Movatterモバイル変換


[0]ホーム

URL:


RU2261533C1 - Device for client receipt of digital tv broadcasting, providing protection of viewer from harmful psychic and physiological influences from tv programs - Google Patents

Device for client receipt of digital tv broadcasting, providing protection of viewer from harmful psychic and physiological influences from tv programs
Download PDF

Info

Publication number
RU2261533C1
RU2261533C1RU2004102720/09ARU2004102720ARU2261533C1RU 2261533 C1RU2261533 C1RU 2261533C1RU 2004102720/09 ARU2004102720/09 ARU 2004102720/09ARU 2004102720 ARU2004102720 ARU 2004102720ARU 2261533 C1RU2261533 C1RU 2261533C1
Authority
RU
Russia
Prior art keywords
output
input
block
signals
image
Prior art date
Application number
RU2004102720/09A
Other languages
Russian (ru)
Other versions
RU2004102720A (en
Inventor
Ю.Б. Зубарев (RU)
Ю.Б. Зубарев
М.И. Кривошеев (RU)
М.И. Кривошеев
С.И. Лопато (RU)
С.И. Лопато
А.А. Касаткин (RU)
А.А. Касаткин
В.М. Минкин (RU)
В.М. Минкин
А.А. Плотников (RU)
А.А. Плотников
Original Assignee
Федеральное государственное унитарное предприятие научно-исследовательский институт радио (ФГУП НИИР)
Priority date (The priority date is an assumption and is not a legal conclusion. Google has not performed a legal analysis and makes no representation as to the accuracy of the date listed.)
Filing date
Publication date
Application filed by Федеральное государственное унитарное предприятие научно-исследовательский институт радио (ФГУП НИИР)filedCriticalФедеральное государственное унитарное предприятие научно-исследовательский институт радио (ФГУП НИИР)
Priority to RU2004102720/09ApriorityCriticalpatent/RU2261533C1/en
Publication of RU2004102720ApublicationCriticalpatent/RU2004102720A/en
Application grantedgrantedCritical
Publication of RU2261533C1publicationCriticalpatent/RU2261533C1/en

Links

Landscapes

Abstract

FIELD: television.
SUBSTANCE: device has scaling block, two delay registers, block for forming pixel blocks, buffer register, block for calculating movement vectors, two subtracters, demultiplexer, enlargement block, pulsation filtering block, mathematical detectors block, multiplexer, reverse scaling block, as a result of interaction of which it is possible to detect and remove some series of TV frames from programs, which cause harmful effect to viewer, specifically pulsations of brightness signals and color signals with frequency 6-13 Hz.
EFFECT: higher efficiency.
1 dwg

Description

Translated fromRussian

Изобретение относится к технике телевидения, в частности к устройствам абонентского приема сигналов цифрового телевизионного вещания, и может найти применение при внедрении цифрового ТВ вещания в России, так как применение данного изобретения позволит обеспечить защиту зрителя от вредных психофизиологических воздействий со стороны программ ТВ вещания.The invention relates to the technique of television, in particular to devices for receiving digital television broadcasting signals, and may find application in the implementation of digital TV broadcasting in Russia, since the use of this invention will protect the viewer from harmful psychophysiological effects from TV broadcasting programs.

Происходящая в мире в последние годы техническая революция в области цифровых и компьютерных средств формирования программ ТВ вещания, включающая, в частности, широкое использование компьютерной графики, компьютерной анимации и нелинейного монтажа, многократно увеличивает вероятность наличия в составе сигналов ТВ вещания изображений и их последовательностей, создающих недопустимый уровень воздействия на зрительную систему и психику человека. К таковым, в частности, относятся смена видео- и аудиосюжетов с частотой, превышающей инерционность видео- и аудиоанализаторов головного мозга, а также наличие в составе видео- и аудиосигналов частот, близких к частотам альфа-ритма электроэнцефалограммы головного мозга человека, что представляет особую опасность. Данные эффекты способны нанести психофизиологическую травму зрителю в самом широком диапазоне - от легкого ощущения мешающего воздействия или дискомфорта до прямого поражения психики и нервной системы. Известным примером такого поражения является имевший место в 1997 г. в Японии инцидент, заключавшийся в возникновении эпилептического синдрома у нескольких сот детей, просматривавших телевизионный анимационный фильм (т.н. ″эффект ″Покемона″). Следует подчеркнуть, что указанный инцидент произошел, как показало последующее изучение обстоятельств эффекта, при полном соблюдении всех технических норм на параметры и характеристики сигнала ТВ вещания и при высоком качестве всех аппаратурных блоков и узлов комплекса подготовки программ, а также каналообразующей и передающей аппаратуры.The technological revolution taking place in recent years in the field of digital and computer tools for generating TV broadcast programs, including, in particular, the widespread use of computer graphics, computer animation and non-linear editing, greatly increases the likelihood of images and their sequences creating TV broadcast signals unacceptable level of impact on the human visual system and psyche. These include, in particular, the change of video and audio plots with a frequency exceeding the inertia of video and audio analyzers of the brain, as well as the presence in the composition of video and audio signals of frequencies close to the frequencies of the alpha rhythm of the electroencephalogram of the human brain, which is especially dangerous . These effects can cause psychophysiological trauma to the viewer in the widest range - from a slight sensation of interfering effects or discomfort to direct damage to the psyche and nervous system. A well-known example of such a lesion is the incident in Japan in 1997 of the appearance of an epileptic syndrome in several hundred children watching a television animated film (the so-called “Pokemon effect”). It should be emphasized that the indicated incident occurred, as the subsequent study of the circumstances of the effect showed, with full observance of all technical standards for the parameters and characteristics of the TV broadcast signal and with high quality of all hardware blocks and nodes of the program preparation complex, as well as channel-forming and transmitting equipment.

Известно, что зрительная система человека чрезвычайно чувствительна к мельканиям, причем для некоторых частот (8-10 Гц) наблюдается максимум чувствительности. По данным физиологов, именно на этот частотный диапазон приходится так называемый основной альфа-ритм энцефалограммы, отражающий наличие главных нейропульсаций в нейронах. Таким образом, присутствие внешнего раздражения в виде мельканий в указанном диапазоне частот приводит к резонансным явлениям в нейронах, что отрицательно сказывается на организме человека и приводит к крайне резкому нарушению психоэмоцианального состояния телезрителей, особенно детей. Очевидно, что в таком случае за дискомфортом скрываются вредные воздействия.It is known that the human visual system is extremely sensitive to flicker, and for some frequencies (8-10 Hz) there is a maximum of sensitivity. According to physiologists, it is precisely this frequency range that accounts for the so-called main alpha rhythm of the encephalogram, which reflects the presence of major neuro pulsations in neurons. Thus, the presence of external irritation in the form of flickers in the indicated frequency range leads to resonance phenomena in neurons, which negatively affects the human body and leads to an extremely sharp violation of the psychoemotional state of viewers, especially children. Obviously, in this case, discomfort hides the harmful effects.

Результаты исследований телепрограмм показали корреляцию субъективных оценок дискомфортности телевизионных сюжетов для зрителя со значениями амплитуды и частоты колебаний интегральной яркости телевизионного изображения. При этом было установлено, что дискомфортными для зрителя являются сюжеты, содержащие определенную последовательность полей. Поля в такой последовательности отстоят друг от друга на 4-8 межполевых интервалов, т.е. частота последовательности составляет 6-12 Гц. При этом изменение яркости каждого из полей последовательности по отношению к предыдущему полю этой последовательности составляет более 30% от уровня белого.The results of studies of television programs showed a correlation of subjective assessments of the discomfort of television plots for the viewer with the values of the amplitude and frequency of oscillations of the integrated brightness of the television image. Moreover, it was found that the scenes containing a certain sequence of fields are uncomfortable for the viewer. Fields in this sequence are separated by 4-8 interfield intervals, i.e. the frequency of the sequence is 6-12 Hz. Moreover, the change in brightness of each of the fields in the sequence with respect to the previous field of this sequence is more than 30% of the white level.

Сюжетами, содержащими подобные последовательности, дискомфортные для просмотра, как правило оказывались видеоклипы и рекламные ролики. Некоторые из этих дискомфортных мельканий представляли собой съемку мигающих источников света, а некоторые были намеренно введены при монтаже путем периодической вставки черных полей в сцену с высокой интегральной яркостью.Scenes containing similar sequences that are uncomfortable for viewing, as a rule, are video clips and commercials. Some of these uncomfortable flickers were pictures of flashing light sources, and some were intentionally introduced during editing by periodically inserting black fields into the scene with high integrated brightness.

В связи с данными обстоятельствами возникает проблема специальной ″экологической″ защиты зрителя от вредных психофизиологических воздействий со стороны программ как аналогового, так и цифрового вещания.In connection with these circumstances, the problem of special ″ environmental ″ protection of the viewer from harmful psychophysiological influences from both analogue and digital broadcasting programs arises.

В связи с тем, что подавление сигналов, вызывающих отрицательные психофизические воздействия, на стадии их формирования аппаратурно-студийными комплексами не всегда возможно, оптимальным путем борьбы с этими воздействиями, особенно, с учетом перехода к цифровому ТВ вещанию, представляется выявление и подавление этих сигналов непосредственно в абонентских приемных устройствах.Due to the fact that the suppression of signals causing negative psychophysical effects at the stage of their formation by hardware-studio complexes is not always possible, the optimal way to deal with these effects, especially taking into account the transition to digital TV broadcasting, is to identify and suppress these signals directly in subscriber receiving devices.

С целью обеспечения экологической безопасности вещания, дискомфортные и опасные для зрителя последовательности в составе ТВ сигнала могут быть удалены путем введения в состав абонентских Set-top box (STB) цифрового ТВ вещания специальных программно-аппаратных средств, осуществляющих выявление указанных последовательностей и блокирование их отображения на экране ТВ приемника. Указанные средства должны осуществлять непрерывный мониторинг ТВ изображения и его элементов и, в случае выявления пульсаций изображения с глубиной модуляции сигнала яркости более 30% от уровня белого, в диапазоне частот 6-12 Гц, автоматически блокировать подачу изображения на экран ТВ приемника, заменяя его статическим изображением из памяти STB, либо переключаться на другой канал на период следования вредных пульсаций. Возможной является также оперативная корректировка ТВ изображения, осуществляемая с помощью программно реализованного фильтра, работающего эквивалентно фильтру низких частот. Вид АЧХ такого фильтра должен быть выбран таким образом, чтобы обеспечить удаление пульсаций либо снижение глубины этих пульсаций на частотах 6-12 Гц до некоторого безопасного для зрителя значения. При этом максимальное снижение глубины модуляции должно приходиться на частоту 10 Гц.In order to ensure ecological safety of broadcasting, uncomfortable and dangerous sequences for the viewer in the TV signal can be removed by introducing special software and hardware into the subscriber Set-top box (STB) of digital TV broadcasting, which identify these sequences and block their display on TV receiver screen. The indicated means should carry out continuous monitoring of the TV image and its elements and, in case of detection of image ripples with a brightness signal modulation depth of more than 30% of the white level, in the frequency range 6-12 Hz, automatically block the image supply to the TV receiver screen, replacing it with a static one image from the STB memory, or switch to another channel for the period following harmful pulsations. It is also possible operational adjustment of the TV image, carried out using a software-implemented filter that works equivalent to a low-pass filter. The type of frequency response of such a filter should be selected in such a way as to ensure the removal of ripples or to reduce the depth of these ripples at frequencies of 6-12 Hz to a certain value safe for the viewer. In this case, the maximum decrease in the modulation depth should occur at a frequency of 10 Hz.

Использование: при цифровом телевизионном вещании.Use: for digital television broadcasting.

Известно устройство абонентского приема сигналов цифрового ТВ вещания, включающее центральный процессор, системную шину, контроллер шины, тюнер, демультиплексор, декодер видео и декодер звука.A device for subscriber reception of digital TV broadcasting signals, including a central processor, a system bus, a bus controller, a tuner, a demultiplexer, a video decoder and a sound decoder.

Данные об указанном устройстве содержатся в книге: Б.А.Локшин. Цифровое вещание - от студии к телезрителю, издательство компании ″Сайрус Системе″, Москва, 2001 г., стр.287, рис.11.8.Data on the specified device is contained in the book: B.A. Lokshin. Digital broadcasting - from studio to viewer, publishing house of the company Сай Cyrus System ’, Moscow, 2001, p. 287, Fig. 11.8.

В процессе приема сигналов цифрового ТВ вещания с помощью данного устройства, принятый многопрограммный сигнал цифрового ТВ вещания с выхода тюнера поступает на демультиплексор, выделяющий из состава многопрограммного сигнала цифрового ТВ вещания выбранную абонентом ТВ программу. Выбранная ТВ программа декодируется декодерам видео и декодером аудио, осуществляющими декомпрессию сигналов изображения и звукового сопровождения, компрессированных на передаче в соответствии со стандартом MPEG-2. Далее декомпрессированные цифровые сигналы видео и звука поступают на вход цифрового ТВ приемника, либо, после аналого-цифрового преобразования, на вход аналогового ТВ приемника. Все указанные блоки функционируют под управлением центрального процессора и обмениваются сигналами с центральным процессором посредством системной шины. Порядок обмена сигналами между блоками также определяется центральным процессором и осуществляется с помощью контроллера шины, работающего под управлением центрального процессора.In the process of receiving digital TV broadcast signals using this device, the received multi-program digital TV broadcast signal from the tuner output is fed to a demultiplexer that extracts the selected TV program from the multi-program digital TV broadcast signal. The selected TV program is decoded by video decoders and audio decoders, which decompress image and sound signals compressed in transmission in accordance with the MPEG-2 standard. Next, the decompressed digital video and sound signals are fed to the input of a digital TV receiver, or, after analog-to-digital conversion, to the input of an analog TV receiver. All of these units operate under the control of the central processor and exchange signals with the central processor via the system bus. The order of signal exchange between the blocks is also determined by the central processor and is carried out using a bus controller operating under the control of the central processor.

Недостатком известного устройства является то, что данное устройство не обеспечивает выявления и удаления из состава ТВ программ составляющих последовательностей ТВ кадров, оказывающих вредное психофизиологическое воздействие на зрителя, а именно пульсаций сигналов яркости и цветности с частотой 6-13 Гц.A disadvantage of the known device is that this device does not provide for the identification and removal from the composition of TV programs of constituent sequences of TV frames that have a harmful psychophysiological effect on the viewer, namely pulsations of luminance and color signals with a frequency of 6-13 Hz.

Наиболее близким по своей технической сущности к заявляемому техническому решению является устройство абонентского приема сигналов цифрового ТВ вещания, включающее центральный процессор, осуществляющий управление всеми блоками устройства, контроллер системной шины, осуществляющий преобразование команд управления, полученных от центрального процессора, в сигналы, передаваемые блокам устройства по системной шине, а также управляющий процедурами обмена сигналами по системной шине между блоками устройства, а также между центральным процессором и блоками устройства, вход которого соединен с выходом центрального процессора, демультиплексор, осуществляющий выделение из состава полученного с выхода тюнера многопрограммного сигнала цифрового ТВ вещания выбранную абонентом ТВ программу, декодер видео, осуществляющий декомпрессию сигналов изображения, компрессированных в соответствии со стандартом MPEG-2 на передаче, вход которого через системную шину соединен с выходом демультиплексора и с выходом контроллера системной шины, и декодер аудио, осуществляющий декомпрессию сигналов звукового сопровождения, компрессированных в соответствии со стандартом MPEG-2 на передаче, вход которого через системную шину также соединен с выходом демультиплексора и с выходом контроллера системной шины.The closest in technical essence to the claimed technical solution is a device for subscriber reception of digital TV broadcasting signals, including a central processor that controls all the units of the device, a system bus controller that converts control commands received from the central processor into signals transmitted to the device blocks via the system bus, as well as the manager of the procedures for exchanging signals on the system bus between the units of the device, as well as between the central a processor and units of the device, the input of which is connected to the output of the central processor, a demultiplexer that extracts from the tuner output of the multi-program digital TV broadcast signal the TV program selected by the subscriber, a video decoder that decompresses image signals compressed in accordance with the MPEG-2 standard to transmission, the input of which is connected through the system bus to the output of the demultiplexer and to the output of the system bus controller, and an audio decoder performing decompression th audio signals, compressed in accordance with MPEG-2 standard for transmission is input via a system bus is also connected to the output of the demultiplexer and the output of the system bus controller.

Недостатки данного устройства связаны с невозможностью выявления и удаления из состава ТВ программ составляющих последовательностей ТВ кадров, оказывающих вредное психофизиологическое воздействие на зрителя, а именно пульсаций сигналов яркости и цветности с частотой 6-13 Гц.The disadvantages of this device are related to the impossibility of identifying and removing from the composition of TV programs the constituent sequences of TV frames that have a harmful psychophysiological effect on the viewer, namely pulsations of luminance and color signals with a frequency of 6-13 Hz.

В основу изобретения положена задача получить устройство абонентского приема сигналов цифрового ТВ вещания, дающее возможность осуществлять выявление и удаление из состава ТВ программ составляющих последовательностей ТВ кадров, оказывающих вредное психофизиологическое воздействие на зрителя, а именно пульсаций сигналов яркости и цветности с частотой 6-13 Гц.The basis of the invention is the task of obtaining a subscriber receiving device for digital TV broadcasting signals, which makes it possible to identify and remove from the composition of TV programs constituent sequences of TV frames that have a harmful psychophysiological effect on the viewer, namely pulsations of luminance and color signals with a frequency of 6-13 Hz.

Реализация данного изобретения означает обеспечение экологической защиты абонентов цифрового ТВ вещания путем выявления и удаления из состава ТВ программ составляющих последовательностей ТВ кадров, оказывающих вредное психофизиологическое воздействие на зрителя, а именно пульсаций сигналов яркости и цветности с частотой 6-13 Гц. Указанное выявление и удаление будут осуществляться в абонентском приемнике цифрового ТВ вещания.The implementation of this invention means the environmental protection of digital TV broadcast subscribers by identifying and removing from the composition of TV programs constituent sequences of TV frames that have a harmful psychophysiological effect on the viewer, namely pulsations of luminance and color signals with a frequency of 6-13 Hz. The specified identification and deletion will be carried out in the subscriber receiver of digital TV broadcasting.

Следует отметить особенности данной задачи для цифрового ТВ вещания по сравнению с той же задачей для аналогового ТВ вещания. В условиях аналогового вещания зрителю доставлялось небольшое количество ТВ программ, формирование которых осуществлялось, как правило, в рамках одного и того же телецентра (например, в России - телецентра Останкино в Москве). Поэтому и экологический контроль ТВ программ во многих случаях можно было обеспечивать на стадии студийного формирования программ. В условиях многопрограммного цифрового ТВ вещания пакет программ, получаемый абонентом, состоит из большого количества ТВ программ, созданных в разных телецентрах и, чаще всего, в разных странах, так что студии, в которых осуществляется формирование ТВ программ, в большинстве случаев недоступны и находятся в юрисдикции зарубежных администраций, что делает невозможным или крайне трудным с юридической и организационной точек зрения, осуществление экологического контроля на стадии студийного формирования программ. Кроме того, методы экологического контроля ТВ программ на стадии студийного формирования также не обладают стопроцентной надежностью, а цена ошибки в данном случае весьма велика, так как недостаточная эффективность экологического контроля может привести к серьезному ущербу, нанесенному здоровью зрителей. В связи с этим встает задача реализации эффективного экологического контроля ТВ программ непосредственно в абонентских приемниках цифрового ТВ вещания.It should be noted the features of this task for digital TV broadcasting in comparison with the same task for analog TV broadcasting. Under the conditions of analog broadcasting, a small number of TV programs were delivered to the viewer, the formation of which was carried out, as a rule, within the framework of the same television center (for example, in Russia - the Ostankino television center in Moscow). Therefore, the environmental control of TV programs in many cases could be ensured at the stage of the studio formation of programs. In the conditions of multi-program digital TV broadcasting, the package of programs received by the subscriber consists of a large number of TV programs created in different television centers and, most often, in different countries, so the studios in which the formation of TV programs are carried out are in most cases unavailable and are located in the jurisdiction of foreign administrations, which makes it impossible or extremely difficult from a legal and organizational point of view, the implementation of environmental control at the stage of the studio formation of programs. In addition, the methods of environmental monitoring of TV programs at the stage of studio formation also do not have one hundred percent reliability, and the cost of an error in this case is very high, since insufficient environmental monitoring can lead to serious damage to the health of viewers. In this regard, the task arises of implementing effective environmental control of TV programs directly in subscriber receivers of digital TV broadcasting.

Данная задача решена с помощью устройства абонентского приема сигналов цифрового ТВ вещания, включающего центральный процессор, осуществляющий управление всеми блоками устройства, контроллер системной шины, осуществляющий преобразование команд управления, полученных от центрального процессора, в сигналы, передаваемые блокам устройства по системной шине, а также управляющий процедурами обмена сигналами по системной шине между блоками устройства, а также между центральным процессором и блоками устройства, вход которого соединен с выходом центрального процессора, демультиплексор, осуществляющий выделение из состава полученного с выхода тюнера многопрограммного сигнала цифрового ТВ вещания выбранную абонентом ТВ программу, декодер видео, осуществляющий декомпрессию сигналов изображения, компрессированных в соответствии со стандартом MPEG-2 на передаче, вход которого через системную шину соединен с выходом демультиплексора и с выходом контроллера системной шины, и декодер аудио, осуществляющий декомпрессию сигналов звукового сопровождения, компрессированных в соответствии со стандартом MPEG-2 на передаче, вход которого через системную шину также соединен с выходом демультиплексора и с выходом контроллера системной шины, интерфейсный блок, обеспечивающий получение с интерфейсной шины сигналов яркости полей ТВ кадров, отличающегося тем, что в устройство дополнительно введены блок масштабирования, формирующий из исходного изображения размерностью 720×488 изображение размерностью 90×61, вход которого через системную шину соединен с выходом декодера видео, первый регистр задержки, вход которого через системную шину соединен с выходом декодера видео, блок формирования блоков пикселов, формирующий в составе изображения размерностью 90×61 24 блока размерностью 15×15, вход которого соединен с выходом блока масштабирования, буферный регистр, вход которого соединен с выходом блока формирования блоков пикселов, второй регистр задержки, вход которого соединен с выходом блока формирования блоков пикселов, блок вычисления векторов движения, осуществляющий выявление блоков изображения, в составе которых имеют место пульсации сигнала яркости с частотой 6-12 Гц, первый вход которого соединен с выходом буферного регистра, а второй вход с выходом блока формирования блоков пикселов, первый вычитатель, первый вход которого соединен с выходом блока вычисления векторов движения, а второй вход с выходом второго регистра задержки, демультиплексор, осуществляющий формирование сигналов отдельно для каждого из 24 блоков размерностью 15×15 в составе изображения размерностью 90×61, вход которого соединен с выходом первого вычитателя, блок укрупнения, осуществляющий суммирование сигналов каждых четырех смежных блоков размерностью 15×15 и формирующий, таким образом, шесть сигналов для шести зон изображения, двадцать четыре входа которого соединены с соответствующими двадцатью четырьмя выходами демультиплексора, блок фильтров пульсаций, осуществляющий выделение пульсаций сигналов яркости с частотой 6-12 Гц для каждой из шести зон изображения, шесть входов которого соединены с соответствующими шестью выходами блока укрупнения, блок амплитудных детекторов, осуществляющий обнуление пульсаций сигналов яркости с частотой 6-12 Гц в том случае, если глубина пульсаций составляет менее 30%, шесть входов которого соединены с соответствующими шестью выходами блока фильтров пульсаций, мультиплексор, объединяющий шесть параллельных сигналов зон изображения, шесть входов которого соединены с шестью выходами блока амплитудных детекторов, блок обратного масштабирования, восстанавливающий исходную размерность изображения 720×488, вход которого соединен с выходом мультиплексора, второй вычитатель, осуществляющий вычитание из исходного изображения пульсаций сигнала яркости с частотой 6-12 Гц и глубиной 30% и выше, первый вход которого соединен с выходом блока обратного масштабирования, второй вход соединен с выходом первого регистра задержки, а выход с системной шиной.This problem is solved using a digital TV broadcast signal subscriber’s device, including a central processor that controls all the device blocks, a system bus controller that converts control commands received from the central processor into signals transmitted to the device blocks via the system bus, and also controls procedures for exchanging signals on the system bus between the units of the device, as well as between the central processor and units of the device, the input of which is connected to by the central processor, a demultiplexer, which selects from the composition of the multiprogram signal of digital TV broadcast received from the tuner output a TV program selected by the subscriber, a video decoder that decompresses image signals compressed in accordance with the MPEG-2 standard on the transmission, the input of which is connected to the system bus the output of the demultiplexer and the output of the system bus controller, and an audio decoder that decompresses audio signals compressed in in accordance with the MPEG-2 standard on transmission, the input of which via the system bus is also connected to the output of the demultiplexer and to the output of the system bus controller, an interface unit that provides receiving from the interface bus signals of the brightness of the fields of TV frames, characterized in that a scaling unit is additionally introduced into the device forming an image of dimension 90 × 61 from an original image of 720 × 488 size, the input of which through the system bus is connected to the output of the video decoder, the first delay register, the input of which is through s a dark bus is connected to the output of the video decoder, a block of pixel blocks forming an image of 90 × 61 24 block size 15 × 15, the input of which is connected to the output of the scaling block, a buffer register, the input of which is connected to the output of the block of forming block of pixels, the second a delay register, the input of which is connected to the output of the block of forming blocks of pixels, the block of calculation of motion vectors, which identifies image blocks, which include pulsations of the brightness signal with frequent that 6-12 Hz, the first input of which is connected to the output of the buffer register, and the second input with the output of the block of forming blocks of pixels, the first subtracter, the first input of which is connected to the output of the block of motion vector calculation, and the second input with the output of the second delay register, demultiplexer, generating signals separately for each of the 24 blocks of dimension 15 × 15 as part of an image of dimension 90 × 61, the input of which is connected to the output of the first subtractor, an enlargement unit that performs the summation of the signals of each four ex adjacent blocks of dimension 15 × 15 and thus generating six signals for six image areas, twenty-four inputs of which are connected to the corresponding twenty-four outputs of the demultiplexer, a ripple filter unit that performs ripple isolation of brightness signals with a frequency of 6-12 Hz for each of six image zones, six inputs of which are connected to the corresponding six outputs of the enlargement unit, an amplitude detector unit, which resets pulsations of the brightness signals with a frequency of 6-12 Hz in that case e, if the ripple depth is less than 30%, six inputs of which are connected to the corresponding six outputs of the ripple filter block, a multiplexer combining six parallel signals of the image zones, six inputs of which are connected to six outputs of the amplitude detector block, an inverse scaling unit that restores the original image dimension 720 × 488, the input of which is connected to the output of the multiplexer, the second subtractor, subtracting from the original image the ripple of the brightness signal with a frequency 6-12 Hz and a depth of 30% and above, the first input of which is connected to the output of the reverse scaling unit, the second input is connected to the output of the first delay register, and the output is with the system bus.

Предлагаемое устройство работает следующим образом.The proposed device operates as follows.

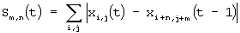
Яркостная компонента каждого поля ТВ кадра, имеющая размерность 720×488 пикселов, далее именуемая исходным изображением поля ТВ кадра, поступает в блок масштабирования, где подвергается масштабированию с коэффициентом 1:8 путем трехкратного применения к ней процедуры прореживающей фильтрации по формулеThe brightness component of each field of the TV frame, having a dimension of 720 × 488 pixels, hereinafter referred to as the original image of the field of the TV frame, enters the scaling unit, where it is scaled with a factor of 1: 8 by applying the decimation filtering procedure three times to it using the formula

Figure 00000002
Figure 00000002

В результате последовательно получаются монохромные изображения с размерностями 360×244, 180×122, 90×61. Все эти преобразования делаются для того, чтобы уменьшить объем дальнейших вычислений, выполняемых над яркостными компонентами полей ТВ кадров. Полученное в результате изображение размерностью 90×61 используется для дальнейшей обработки.As a result, monochrome images with dimensions 360 × 244, 180 × 122, 90 × 61 are sequentially obtained. All these transformations are done in order to reduce the amount of further calculations performed on the luminance components of the fields of TV frames. The resulting image with a dimension of 90 × 61 is used for further processing.

Параллельно яркостная компонента каждого поля ЕВ кадра поступает на вход первого регистра задержки.In parallel, the luminance component of each field of the EB frame is input to the first delay register.

С выхода блока масштабирования изображения малой (90×61) размерности поступают в блок формирования блоков пикселов, где они разбиваются на 24 блока с размерностью 15×15 пикселов.From the output of the block for scaling images of small (90 × 61) dimensions, they enter the block for forming blocks of pixels, where they are divided into 24 blocks with a dimension of 15 × 15 pixels.

С выхода блока формирования блоков пикселов полученные изображения малой (90×61) размерности, разбитые на 24 блока, поступают на буферный регистр. Это необходимо для осуществляемой далее процедуры поиска векторов движения, когда каждый из 24 блоков будет сравниваться с каждым из 24 блоков в предыдущем поле.From the output of the block of formation of blocks of pixels, the obtained images of small (90 × 61) dimensions, divided into 24 blocks, go to the buffer register. This is necessary for the further motion vector search procedure, when each of the 24 blocks will be compared with each of the 24 blocks in the previous field.

Параллельно с выхода блока формирования блоков пикселов полученные изображения малой (90×61) размерности, разбитые на 24 блока, поступают на блок вычисления векторов движения. Вычисление векторов движения необходимо для того, чтобы исключить ложное срабатывание блоков устройства, осуществляющих фильтрацию пульсаций яркости, оказывающих вредное психофизиологическое влияние на зрителя. Такое ложное срабатывание может иметь место при перемещении в плоскости кадра фрагментов изображения, имеющих ″полосатую″ структуру. Если, например, по экрану движется зебра, или изображение формируется телевизионной камерой, движущейся вдоль забора или частокола, то, применительно к фиксированному участку кадра, смена черных и белых полос зебры или смена кольев частокола на просветы между ними будут восприниматься соответствующими блоками как пульсации яркости, и, в результате, будут удалены значащие элементы изображения, не оказывающие вредного влияния на зрителя. Чтобы предотвратить такое ложное срабатывание необходимо вычисление векторов движения в ТВ кадрах (полях), с тем, чтобы удаление пульсаций осуществлялось применительно только к тем фрагментам изображения, где не зафиксировано векторов движения с ненулевыми значениями, возникающих при перемещении в плоскости кадра ″полосатых″ деталей изображения.In parallel with the output of the block of forming blocks of pixels, the obtained images of small (90 × 61) dimensions, divided into 24 blocks, are sent to the block for calculating motion vectors. Calculation of motion vectors is necessary in order to exclude false triggering of device blocks that filter brightness pulsations that have a harmful psychophysiological effect on the viewer. Such a false response can occur when moving fragments of an image having a ″ striped ’structure in the plane of the frame. If, for example, a zebra moves on the screen, or the image is formed by a television camera moving along a fence or a picket fence, then, in relation to a fixed portion of the frame, a change in the black and white stripes of a zebra or a change in the picket fence stakes into the gaps between them will be perceived by the corresponding blocks as brightness pulsations , and, as a result, significant image elements that do not adversely affect the viewer will be deleted. To prevent such a false positive, it is necessary to calculate motion vectors in TV frames (fields) so that ripple is removed only for those fragments of the image where motion vectors with nonzero values that occur when moving ″ striped ″ image details in the frame plane are not recorded .

В блоке вычисления векторов движения каждый из 24 блоков размерности 15×15 в составе изображения малой (90×61) размерности сравнивается со всеми возможными блоками размерности 15×15 в составе изображения малой (90×61) размерности предыдущего поля, хранящегося в буферном регистре (в том числе и с блоком, имеющим то же положение, что и он сам). Каждый из 24 блоков как шаблон, сдвигаемый на пиксел по строке и, далее, по столбцу, как бы прикладывается во всех возможных положениях к изображению малой (90×61) размерности предыдущего поля, хранящемуся в буферном регистре. Это делается для нахождения векторов движения, т.е. выявления смещений деталей изображения от поля к полю. Для каждого блока находится вектор движения (всего находится 24 вектора). Векторы находятся стандартным методом по критерию минимальности суммы абсолютных значений разностей яркости пикселов в смежных кадрах (полях).In the block of calculation of motion vectors, each of the 24 blocks of dimension 15 × 15 in the composition of the image of small (90 × 61) dimensions is compared with all possible blocks of dimension 15 × 15 in the composition of the image of the small (90 × 61) dimension of the previous field stored in the buffer register ( including with a block having the same position as himself). Each of the 24 blocks as a template, shifted by a pixel along the line and, further, along the column, as if applied in all possible positions to the image of the small (90 × 61) dimension of the previous field, stored in the buffer register. This is done to find the motion vectors, i.e. detect displacements of image details from field to field. For each block, there is a motion vector (there are 24 vectors in total). The vectors are found by the standard method according to the criterion of minimality of the sum of the absolute values of the differences in the brightness of pixels in adjacent frames (fields).

Figure 00000003
Figure 00000003

где:Where:

Figure 00000004
Figure 00000004

Вычисляются разности между пикселами в смежных кадрах (полях). Разности внутри каждого из 24 блоков суммируются. В дальнейшем эта сумма называется нормой.Differences between pixels in adjacent frames (fields) are calculated. Differences within each of the 24 blocks are summed. In the future, this amount is called the norm.

С выхода блока вычисления векторов движения значения норм поступают на первый вход первого вычитателя. Одновременно на второй вход первого вычитателя через второй регистр задержки поступают блоки размерностью 15×15 изображения малой (90×61) размерности с выхода блока формирования блоков пикселов. Это блоки в составе изображения малой (90×61) размерности текущего поля, т.е. те, с которыми производилось сравнение каждого из 24 блоков размерностью 15×15, находящихся в буферном регистре, где хранились блоки размерностью 15×15 в составе изображения малой (90×61) размерности предыдущего поля. Второй регистр задержки имеет объем, соответствующий длительности обработки блоков в блоке вычисления векторов движения, так чтобы вычитание производилось в правильной фазе. Первый вычитатель последовательно производит вычитание соответствующей нормы из значений пикселов в составе каждого из 24 блоков размерностью 15×15 в составе изображения малой (90×61) размерности текущего поля.From the output of the motion vector calculation unit, the norm values are sent to the first input of the first subtractor. At the same time, the second input of the first subtractor, through the second delay register, receives blocks of dimension 15 × 15 images of small (90 × 61) dimensions from the output of the block forming pixel blocks. These are blocks in the image composition of a small (90 × 61) dimension of the current field, i.e. those with which each of the 24 15 × 15 blocks in the buffer register was compared with, where 15 × 15 blocks were stored as part of the small (90 × 61) image of the previous field. The second delay register has a volume corresponding to the processing time of the blocks in the block for calculating motion vectors, so that the subtraction is performed in the correct phase. The first subtractor sequentially subtracts the corresponding norm from the pixel values in each of the 24 blocks of 15 × 15 dimensions in the image composition of the small (90 × 61) dimension of the current field.

С выхода первого вычитателя разности поступают на демультиплексор. Поскольку на вход первого вычитателя последовательно поступают пикселы каждого из 24 блоков и соответствующие им нормы, то и на выходе первого вычитателя последовательно появляются разности для каждого из 24 блоков. Демультиплексор имеет 24 выхода, на каждом из которых формируются временные сигналы разности, соответствующие каждому из 24 блоков.From the output of the first subtractor, the differences are sent to the demultiplexer. Since the pixels of each of the 24 blocks and the corresponding norms arrive at the input of the first subtractor, the differences for each of the 24 blocks appear successively at the output of the first subtractor. The demultiplexer has 24 outputs, on each of which temporary difference signals corresponding to each of the 24 blocks are generated.

В случае если для блока размерностью 15×15 не имели места ни пульсация, ни эффект ″зебры″, временная функция полученной разности для этого блока на выходе демультиплексора будет иметь характеристики случайного процесса.If for a block with a dimension of 15 × 15 neither ripple nor the effect of a “zebra" took place, the time function of the obtained difference for this block at the output of the demultiplexer will have the characteristics of a random process.

В случае, если имел место эффект ″зебры″, временная функция разности для этого блока будет практически нулевой.In case the ″ zebra ″ effect took place, the time difference function for this block will be practically zero.

В случае, если имела место пульсация яркости, временная функция разности для этого блока будет иметь вид этой же пульсации.If there was a ripple of brightness, the time difference function for this block will have the form of the same ripple.

Психофизиологические исследования показали, что вредное воздействие на зрителя могут оказывать пульсации яркости в элементах изображения, занимающих не менее одной трети ширины экрана и не менее одной второй высоты экрана. Поэтому сигналы с 24 выходов демультиплексора поступают на блок укрупнения. В этом блоке происходит укрупнение на основе зон в составе изображения малой (90х61) размерности, расположенных следующим образом:Psychophysiological studies have shown that brightness pulsations in image elements occupying at least one third of the screen width and at least one second screen height can have a harmful effect on the viewer. Therefore, signals from 24 outputs of the demultiplexer are fed to the enlargement unit. In this block, enlargement occurs on the basis of zones in the composition of the image of small (90x61) dimension, located as follows:

++++++++++++

В блоке укрупнения складываются сигналы разностей для смежных четырех (2×2) блоков размерностью 15×15, находящихся в составе одной зоны.In the enlargement unit, the difference signals for adjacent four (2 × 2) blocks of dimension 15 × 15, which are part of one zone, are added.

С выхода блока укрупнения шесть полученных сигналов разностей параллельно поступают на блок фильтров пульсаций, содержащий шесть рекурсивных цифровых фильтров частот от 6 до 15 Гц, каждый из которых имеет передаточную функцию:From the output of the enlargement unit, the six received difference signals are simultaneously sent to the ripple filter unit containing six recursive digital frequency filters from 6 to 15 Hz, each of which has a transfer function:

Figure 00000005
Figure 00000005

где а0=0,54726;where a0 = 0.54726;

a1=0;a1 = 0;

а2=-0,54726;a2 = -0.54726;

b1=0,08919;b1 = 0.08919;

b2=0,09452b2 = 0.09452

В результате, если в какой-либо из 6 зон изображения имели место опасные для здоровья человека колебания яркости с частотами от 6 до 15 Гц, эти колебания выделяются и появляются на выходе соответствующего фильтра.As a result, if in any of the 6 zones of the image there were brightness fluctuations hazardous to human health with frequencies from 6 to 15 Hz, these vibrations are highlighted and appear at the output of the corresponding filter.

С выхода блока фильтров пульсаций шесть полученных сигналов параллельно поступают на блок амплитудных детекторов, содержащий шесть амплитудных детекторов, каждый из которых настроен на глубину модуляции 30%, т.к., согласно результатам психофизиологических исследований, пульсации сигнала яркости с частотой 6-12 Гц представляют опасность для человека при глубине этих пульсаций выше 30%. В случае, если в каком-либо из шести сигналов имеются пульсации глубиной 30% и выше, блок амплитудных детекторов пропускает этот сигнал на выход. В противном случае сигнал обнуляется.From the output of the pulsation filter block, six received signals are simultaneously sent to the amplitude detector block containing six amplitude detectors, each of which is tuned to a modulation depth of 30%, because, according to the results of psychophysiological studies, the pulsations of the brightness signal with a frequency of 6-12 Hz represent danger to humans with a depth of these pulsations above 30%. If in any of the six signals there are ripples 30% or more deep, the amplitude detector unit passes this signal to the output. Otherwise, the signal is reset.

С выхода блока амплитудных детекторов шесть сигналов параллельно поступают на мультиплексор, осуществляющий процедуру, обратную процедуре, осуществлявшейся демультиплексором, т.е. объединяющий шесть сигналов в один блок размерностью 2×3.From the output of the amplitude detector unit, six signals are simultaneously sent to the multiplexer, which performs the procedure inverse to the procedure carried out by the demultiplexer, i.e. combining six signals into one 2 × 3 block.

С выхода мультиплексора блок размерностью 2×3 поступает на блок обратного масштабирования, формирующий полномерное (720×488) изображение, содержащее шесть зон размерностью 90×61, каждая из которых включает пикселы с одинаковыми значениями, равными значению на выходе соответствующего цифрового рекурсивного фильтра в составе блока фильтров пульсаций.From the output of the multiplexer, a 2 × 3 block arrives at a backscaling block, forming a full-sized (720 × 488) image containing six 90 × 61 zones, each of which includes pixels with the same values equal to the output value of the corresponding digital recursive filter in the composition ripple filter unit.

С выхода блока обратного масштабирования изображение размерностью 720×488 поступает на первый вход второго вычитателя. На второй вход второго вычитателя с выхода первого регистра задержки поступает исходное изображение данного поля ТВ кадра. В результате вычитания осуществляется удаление из исходного изображения поля ТВ кадра вредных для здоровья человека пульсаций сигнала яркости.From the output of the backscaling block, an image of dimension 720 × 488 is fed to the first input of the second subtractor. At the second input of the second subtractor, from the output of the first delay register, the original image of this field of the TV frame is received. As a result of the subtraction, pulsation of the brightness signal from the source image of the TV frame field is detrimental to human health.

Все указанные блоки реализуются на базе программируемых промышленных модулей, серийно выпускаемых многими компаниями. Так, блоки масштабирования, формирования блоков пикселов, вычисления векторов движения, укрупнения, обратного масштабирования могут быть реализованы на базе программируемых процессорных модулей AT90S8535-8PI, выпускаемых компанией Atmel, блоки мультиплексора и демультиплексора, блок фильтров пульсаций, блок амплитудных фильтров и вычитатели - на базе микросхемы программируемой логики (например, 10К50 фирмы Altera), буферный регистр, первый и второй регистры задержки, - на базе микросхемы оперативного запоминающего устройства (например, МТ4С фирмы Micron). Все указанные блоки имеют собственное программное обеспечение, входящее в комплект поставки и способное в полном объеме выполнять набор функций, указанных выше для каждого из блоков.All of these blocks are implemented on the basis of programmable industrial modules, mass-produced by many companies. So, the scaling blocks, the formation of pixel blocks, the calculation of motion vectors, enlargement, and back scaling can be implemented on the basis of ATmel programmable processor modules manufactured by Atmel, the multiplexer and demultiplexer blocks, the ripple filter block, the amplitude filter block, and the subtracters based on programmable logic chips (for example, 10K50 from Altera), buffer register, first and second delay registers - based on random access memory chips (for example, MT4C from Micro n). All of these blocks have their own software, which is included in the delivery and is able to fully perform the set of functions specified above for each of the blocks.

На чертеже изображена структурная схема устройства абонентского приема сигналов цифрового ТВ вещания, обеспечивающее защиту зрителя от вредных психофизиологических воздействий со стороны программ ТВ вещания. Устройство, изображенное на чертеже, содержит центральный процессор 1, осуществляющий управление всеми блоками устройства, контроллер системной шины 2, осуществляющий преобразование команд управления, полученных от центрального процессора, в сигналы, передаваемые блокам устройства по системной шине, а также управляющий процедурами обмена сигналами по системной шине между блоками устройства, а также между центральным процессором и блоками устройства, демультиплексор 3, осуществляющий выделение из состава полученного с выхода тюнера многопрограммного сигнала цифрового ТВ вещания выбранную абонентом ТВ программу, декодер видео 4, осуществляющий декомпрессию сигналов изображения, компрессированных в соответствии со стандартом MPEG-2 на передаче, декодер аудио 5, осуществляющий декомпрессию сигналов звукового сопровождения, компрессированных в соответствии со стандартом MPEG-2 на передаче, интерфейсный блок 6, обеспечивающий получение с системной шины сигналов яркости полей ТВ кадров, блок масштабирования 7, формирующий из исходного изображения размерностью 720×488 изображение размерностью 90×61, первый регистр задержки 8, блок формирования блоков пикселов 9, формирующий в составе изображения размерностью 90×61 24 блока размерностью 15×15, буферный регистр 10, второй регистр задержки 11, блок вычисления векторов движения 12, осуществляющий выявление блоков изображения, в составе которых имеют место пульсации сигнала яркости с частотой 6-12 Гц, первый вычитатель 13, демультиплексор 14, осуществляющий формирование сигналов отдельно для каждого из 24 блоков размерностью 15×15 в составе изображения размерностью 90×61, блок укрупнения 15, осуществляющий суммирование сигналов каждых четырех смежных блоков размерностью 15×15 и формирующий, таким образом, шесть сигналов для шести зон изображения, блок фильтров пульсаций 16, осуществляющий выделение пульсаций сигналов яркости с частотой 6-12 Гц для каждой из шести зон изображения, блок амплитудных детекторов 17, осуществляющий обнуление пульсаций сигналов яркости с частотой 6-12 Гц в том случае, если глубина пульсаций составляет менее 30%, мультиплексор 18, объединяющий шесть параллельных сигналов зон изображения, блок обратного масштабирования 19, восстанавливающий исходную размерность изображения 720×488, и второй вычитатель 20, осуществляющий вычитание из исходного изображения пульсаций сигнала яркости с частотой 6-12 Гц и глубиной 30% и выше.The drawing shows a structural diagram of a subscriber device for receiving digital TV broadcast signals, which protects the viewer from harmful psychophysiological effects from TV broadcast programs. The device shown in the drawing contains a central processor 1, which controls all the units of the device, a system bus controller 2, converting control commands received from the central processor into signals transmitted to the device blocks via the system bus, and also controls the procedures for exchanging signals through the system the bus between the blocks of the device, as well as between the central processor and the blocks of the device, demultiplexer 3, which isolates from the composition received from the output of the tuner program signal of digital TV broadcasting selected by the subscriber TV program, video decoder 4, decompressing image signals, compressed in accordance with MPEG-2 standard for transmission, audio decoder 5, decompressing audio signals, compressed in accordance with MPEG-2 standard on transmission , an interface unit 6, which provides receiving from the system bus signals of the brightness of the fields of TV frames, a scaling unit 7, forming from the original image with a dimension of 720 × 488 dimension 90 × 61, the first delay register 8, a block of forming blocks of pixels 9, forming an image of dimension 90 × 61 24 blocks of dimension 15 × 15, a buffer register 10, a second register of delay 11, a block of calculating motion vectors 12, detecting blocks images, which include pulsations of the luminance signal with a frequency of 6-12 Hz, the first subtractor 13, the demultiplexer 14, which performs the formation of signals separately for each of the 24 blocks of 15 × 15 in the composition of the image of 90 × 61, the unit is large 15, performing the summation of the signals of each four adjacent blocks with a dimension of 15 × 15 and thus generating six signals for six image zones, a ripple filter unit 16 that extracts ripple signals of brightness with a frequency of 6-12 Hz for each of the six image areas, a block of amplitude detectors 17, performing zeroing of pulsations of luminance signals with a frequency of 6-12 Hz if the ripple depth is less than 30%, multiplexer 18, combining six parallel signals of the image zones, the inverse block th scale 19, restoring the original image dimension of 720 × 488 and a second subtracter 20 performs subtraction of the original image luminance signal with pulsation frequency of 6-12 Hz and a depth of 30% or higher.

Предлагаемое устройство работает следующим образом.The proposed device operates as follows.

С выхода интерфейсного блока 6, обеспечивающего получение с интерфейсной шины сигналов яркости полей ТВ кадров, указанные сигналы поступают на вход блока масштабирования 7, который формирует из исходного изображения размерностью 720×488 изображение размерностью 90×61 и передает его на вход первого регистра задержки 8 и на вход блока формирования блоков пикселов 9, который формирует в составе изображения размерностью 90×61 24 блока размерностью 15×15 и передает полученные блоки на вход буферного регистра 10 и на вход второго регистра задержки 11. Блок вычисления векторов движения 12 осуществляет выявление в изображении текущего поля ТВ кадра блоков изображения, в составе которых имеют место пульсации сигнала яркости с частотой 6-12 Гц, путем сравнения этого изображения с изображением в составе предыдущего поля ТВ кадра. Вычисленные вектора движения поступают на первый вход первого вычитателя 13, на второй вход которого одновременно поступает сигнал изображения размерностью 90×61, разбитый на 24 блока размерностью 15×15, с выхода второго регистра задержки. Вычисленный сигнал разности поступает на демультиплексор 14, осуществляющий формирование сигналов разностей отдельно для каждого из 24 блоков размерностью 15×15 в составе изображения размерностью 90×61. Полученные 24 сигнала параллельно поступают на 24 входа блока укрупнения 15, осуществляющего суммирование сигналов каждых четырех смежных блоков размерностью 15×15 и формирующего, таким образом, шесть сигналов для шести зон изображения. Сформированные 6 сигналов параллельно поступают на 6 входов блока фильтров пульсаций 16, который осуществляет выделение пульсаций сигналов яркости с частотой 6-12 Гц для каждой из шести зон изображения. Блок амплитудных детекторов, осуществляющий обнуление пульсаций сигналов яркости с частотой 6-12 Гц в том случае, если глубина пульсаций составляет менее 30%, шесть входов которого соединены с соответствующими шестью выходами блока фильтров пульсаций, мультиплексор, объединяющий шесть параллельных сигналов зон изображения, шесть входов которого соединены с шестью выходами блока амплитудных детекторов, блок обратного масштабирования, восстанавливающий исходную размерность изображения 720×488, вход которого соединен с выходом мультиплексора, второй вычитатель, осуществляющий вычитание из исходного изображения пульсаций сигнала яркости с частотой 6-12 Гц и глубиной 30% и выше, первый вход которого соединен с выходом блока обратного масштабирования, второй вход соединен с выходом первого регистра задержки, а выход с системной шиной.From the output of the interface unit 6, which provides receiving signals of the brightness of the fields of TV frames from the interface bus, these signals are fed to the input of the scaling unit 7, which forms an image of dimension 90 × 61 from the initial image of 720 × 488 size and transfers it to the input of the first delay register 8 and to the input of the block of formation of blocks of pixels 9, which forms a block of dimension 15 × 15 in the composition of an image of dimension 90 × 61 24 and transfers the received blocks to the input of buffer register 10 and to the input of the second delay register 11. Bl to calculate the motion vectors 12, it detects in the image the current field of the TV frame of the image blocks, which include pulsations of the brightness signal with a frequency of 6-12 Hz, by comparing this image with the image in the previous field of the TV frame. The calculated motion vectors arrive at the first input of the first subtractor 13, the second input of which simultaneously receives an image signal of dimension 90 × 61, divided into 24 blocks of dimension 15 × 15, from the output of the second delay register. The calculated difference signal is fed to the demultiplexer 14, which generates the difference signals separately for each of the 24 blocks of dimension 15 × 15 in the composition of the image dimension 90 × 61. The obtained 24 signals are simultaneously sent to the 24 inputs of the enlargement unit 15, which sums the signals of each four adjacent blocks with a dimension of 15 × 15 and thus generates six signals for six image zones. The generated 6 signals are sent in parallel to the 6 inputs of the ripple filter block 16, which selects ripple signals of brightness with a frequency of 6-12 Hz for each of the six image zones. A block of amplitude detectors performing zeroing of pulsations of brightness signals with a frequency of 6-12 Hz if the ripple depth is less than 30%, six inputs of which are connected to the corresponding six outputs of the pulsation filter block, a multiplexer combining six parallel signals of the image zones, six inputs which is connected to six outputs of the amplitude detector unit, a backscaling unit that restores the original image dimension of 720 × 488, the input of which is connected to the multiplex output RA, the second subtractor, which subtracts from the original image the pulsations of the brightness signal with a frequency of 6-12 Hz and a depth of 30% and higher, the first input of which is connected to the output of the backscaling unit, the second input is connected to the output of the first delay register, and the output to the system bus .

Промышленная полезность предлагаемого устройства состоит в обеспечении им экологической защиты абонентов цифрового ТВ вещания путем выявления и удаления из состава ТВ программ составляющих последовательностей ТВ кадров, оказывающих вредное психофизиологическое воздействие на зрителя, а именно пульсаций сигналов яркости и цветности с частотой 6-13 Гц.The industrial usefulness of the proposed device consists in providing it with environmental protection for digital TV broadcast subscribers by identifying and removing from the composition of TV programs constituent sequences of TV frames that have a harmful psychophysiological effect on the viewer, namely pulsations of luminance and color signals with a frequency of 6-13 Hz.

Claims (1)

Translated fromRussian
Устройство абонентского приема сигналов цифрового интерактивного ТВ вещания, включающее центральный процессор, осуществляющий управление всеми блоками устройства, контроллер системной шины, осуществляющий преобразование команд управления, полученных от центрального процессора, в сигналы, передаваемые блокам устройства по системной шине, а также управляющий процедурами обмена сигналами по системной шине между блоками устройства, а также между центральным процессором и блоками устройства, вход которого соединен с выходом центрального процессора, демультиплексор, осуществляющий выделение из состава полученного с выхода тюнера многопрограммного сигнала цифрового ТВ вещания выбранную абонентом ТВ программу, декодер видео, осуществляющий декомпрессию сигналов изображения, компрессированных в соответствии со стандартом MPEG-2 на передаче, вход которого через системную шину соединен с выходом демультиплексора и с выходом контроллера системной шины, и декодер аудио, осуществляющий декомпрессию сигналов звукового сопровождения, компрессированных в соответствии со стандартом MPEG-2 на передаче, вход которого через системную шину также соединен с выходом демультиплексора и с выходом контроллера системной шины, отличающееся тем, что в устройство дополнительно введены блок масштабирования, формирующий из исходного изображения размерностью 720×488 изображение размерностью 90×61, вход которого через системную шину соединен с выходом декодера видео, первый регистр задержки, вход которого через системную шину соединен с выходом декодера видео, блок формирования блоков пикселов, формирующий в составе изображения размерностью 90×61 24 блока размерностью 15×15, вход которого соединен с выходом блока масштабирования, буферный регистр, вход которого соединен с выходом блока формирования блоков пикселов, второй регистр задержки, вход которого соединен с выходом блока формирования блоков пикселов, блок вычисления векторов движения, осуществляющий выявление блоков изображения, в составе которых имеют место пульсации сигнала яркости с частотой 6-12 Гц, первый вход которого соединен с выходом буферного регистра, а второй вход с выходом блока формирования блоков пикселов, первый вычитатель, первый вход которого соединен с выходом блока вычисления векторов движения, а второй вход с выходом второго регистра задержки, демультиплексор, осуществляющий формирование сигналов отдельно для каждого из 24 блоков размерностью 15×15 в составе изображения размерностью 90×61, вход которого соединен с выходом первого вычитателя, блок укрупнения, осуществляющий суммирование сигналов каждых четырех смежных блоков размерностью 15×15 и формирующий, таким образом, шесть сигналов для шести зон изображения, двадцать четыре входа которого соединены с соответствующими двадцатью четырьмя выходами демультиплексора, блок фильтров пульсаций, осуществляющий выделение пульсаций сигналов яркости с частотой 6-12 Гц для каждой из шести зон изображения, шесть входов которого соединены с соответствующими шестью выходами блока укрупнения, блок амплитудных детекторов, осуществляющий обнуление пульсаций сигналов яркости с частотой 6-12 Гц в том случае, если глубина пульсаций составляет менее 30%, шесть входов которого соединены с соответствующими шестью выходами блока фильтров пульсаций, мультиплексор, объединяющий шесть параллельных сигналов зон изображения, шесть входов которого соединены с шестью выходами блока амплитудных детекторов, блок обратного масштабирования, восстанавливающий исходную размерность изображения 720×488, вход которого соединен с выходом мультиплексора, второй вычитатель, осуществляющий вычитание из исходного изображения пульсаций сигнала яркости с частотой 6-12 Гц и глубиной 30% и выше, первый вход которого соединен с выходом блока обратного масштабирования, второй вход соединен с выходом первого регистра задержки, а выход с системной шиной.A device for subscribing to digital interactive TV broadcasting signals, including a central processor that controls all units of the device, a system bus controller that converts control commands received from the central processor into signals transmitted to the device units via the system bus, and also controls signal exchange procedures via the system bus between the device blocks, as well as between the central processor and the device blocks, the input of which is connected to the output centrally of the processor, a demultiplexer that extracts from the composition of the received from the tuner output a digital TV broadcast program signal selected by the subscriber, a TV program, a video decoder that decompresses image signals compressed in accordance with the MPEG-2 standard on a transmission whose input is connected to the output via the system bus demultiplexer and with the output of the system bus controller, and an audio decoder that decompresses sound signals, compressed in accordance with MPEG-2 standard on transmission, the input of which via the system bus is also connected to the output of the demultiplexer and to the output of the system bus controller, characterized in that a scaling unit is additionally introduced into the device, which forms an image of dimension 90 × 61 from the original image of 720 × 488 image, input which through the system bus is connected to the output of the video decoder, the first delay register, the input of which through the system bus is connected to the output of the video decoder, is a block of pixel block formation, forming as part of the image dimension 90 × 61 24 blocks dimension 15 × 15, the input of which is connected to the output of the scaling unit, a buffer register, the input of which is connected to the output of the block of forming blocks of pixels, the second delay register, the input of which is connected to the output of the block of forming blocks of pixels, the block of calculation of motion vectors identifying image blocks containing pulsations of a luminance signal with a frequency of 6-12 Hz, the first input of which is connected to the output of the buffer register, and the second input with the output of the block forming unit pixels, the first subtractor, the first input of which is connected to the output of the motion vector calculation unit, and the second input with the output of the second delay register, a demultiplexer that generates signals separately for each of the 24 blocks of 15 × 15 dimension in the composition of the 90 × 61 image, input which is connected to the output of the first subtractor, an enlargement unit that sums the signals of each four adjacent blocks of dimension 15 × 15 and thus generates six signals for six image areas, twenty four inputs of which are connected to the corresponding twenty-four outputs of the demultiplexer, a pulsation filter block that performs pulsation of luminance signals with a frequency of 6-12 Hz for each of the six image zones, six inputs of which are connected to the corresponding six outputs of the enlargement unit, the amplitude detector block, performing zeroing pulsations of luminance signals with a frequency of 6-12 Hz if the ripple depth is less than 30%, the six inputs of which are connected to the corresponding six outputs b an eye of ripple filters, a multiplexer combining six parallel signals of image zones, six inputs of which are connected to six outputs of the amplitude detector unit, a backscaling unit that restores the original image dimension of 720 × 488, the input of which is connected to the output of the multiplexer, a second subtractor subtracting from the original images of pulsations of a brightness signal with a frequency of 6-12 Hz and a depth of 30% and higher, the first input of which is connected to the output of the backscaling unit, the second input is Dinen with the output of the first delay register, and the output with the system bus.
RU2004102720/09A2004-02-022004-02-02Device for client receipt of digital tv broadcasting, providing protection of viewer from harmful psychic and physiological influences from tv programsRU2261533C1 (en)

Priority Applications (1)

Application NumberPriority DateFiling DateTitle
RU2004102720/09ARU2261533C1 (en)2004-02-022004-02-02Device for client receipt of digital tv broadcasting, providing protection of viewer from harmful psychic and physiological influences from tv programs

Applications Claiming Priority (1)

Application NumberPriority DateFiling DateTitle
RU2004102720/09ARU2261533C1 (en)2004-02-022004-02-02Device for client receipt of digital tv broadcasting, providing protection of viewer from harmful psychic and physiological influences from tv programs

Publications (2)

Publication NumberPublication Date
RU2004102720A RU2004102720A (en)2005-08-10
RU2261533C1true RU2261533C1 (en)2005-09-27

Family

ID=35844304

Family Applications (1)

Application NumberTitlePriority DateFiling Date
RU2004102720/09ARU2261533C1 (en)2004-02-022004-02-02Device for client receipt of digital tv broadcasting, providing protection of viewer from harmful psychic and physiological influences from tv programs

Country Status (1)

CountryLink
RU (1)RU2261533C1 (en)

Cited By (1)

* Cited by examiner, † Cited by third party
Publication numberPriority datePublication dateAssigneeTitle
RU2570831C2 (en)*2013-12-272015-12-10Федеральное государственное образовательное бюджетное учреждение высшего профессионального образования Московский технический университет связи и информатики (ФГОБУ ВПО МТУСИ)Method and subscriber device for broadcast television image signal reproduction

Citations (4)

* Cited by examiner, † Cited by third party
Publication numberPriority datePublication dateAssigneeTitle
RU2027317C1 (en)*1991-05-281995-01-20Центральное конструкторское бюро Министерства связи РФTellevision and broadcasting signal transceiving system
RU2112325C1 (en)*1992-12-091998-05-27Дискавери Коммьюникейшнз, Инк.Hardware master terminal for system delivering tv programs and method for its use
US5872588A (en)*1995-12-061999-02-16International Business Machines CorporationMethod and apparatus for monitoring audio-visual materials presented to a subscriber
WO2000059224A1 (en)*1999-03-292000-10-05Qcom Tv, Inc.System and method for the near-real time capture and reporting of large population consumer behaviors concerning television use

Patent Citations (4)

* Cited by examiner, † Cited by third party
Publication numberPriority datePublication dateAssigneeTitle
RU2027317C1 (en)*1991-05-281995-01-20Центральное конструкторское бюро Министерства связи РФTellevision and broadcasting signal transceiving system
RU2112325C1 (en)*1992-12-091998-05-27Дискавери Коммьюникейшнз, Инк.Hardware master terminal for system delivering tv programs and method for its use
US5872588A (en)*1995-12-061999-02-16International Business Machines CorporationMethod and apparatus for monitoring audio-visual materials presented to a subscriber
WO2000059224A1 (en)*1999-03-292000-10-05Qcom Tv, Inc.System and method for the near-real time capture and reporting of large population consumer behaviors concerning television use

Non-Patent Citations (1)

* Cited by examiner, † Cited by third party
Title
ЛОКШИН Б.А. Цифровое вещание: от студии к телезрителю. SYRUS SYSTEM. - М., 2001, с.287, 296-301, рис. 11.8.*

Cited By (1)

* Cited by examiner, † Cited by third party
Publication numberPriority datePublication dateAssigneeTitle
RU2570831C2 (en)*2013-12-272015-12-10Федеральное государственное образовательное бюджетное учреждение высшего профессионального образования Московский технический университет связи и информатики (ФГОБУ ВПО МТУСИ)Method and subscriber device for broadcast television image signal reproduction

Also Published As

Publication numberPublication date
RU2004102720A (en)2005-08-10

Similar Documents

PublicationPublication DateTitle
US7027659B1 (en)Method and apparatus for generating video images
US4651211A (en)Video signal motion detecting apparatus
US5638130A (en)Display system with switchable aspect ratio
Zhang et al.Kaleido: You can watch it but cannot record it
JP5695186B2 (en) 3D video comfort noise and film grain processing
US8558875B2 (en)Video signal processing device
AU675387B2 (en)Method and apparatus for graphic processing
US20220007040A1 (en)Video encoder and encoding method
US7869650B2 (en)Digital video signal processing apparatus and method for compensating a chrominance signal
US20060133472A1 (en)Spatial scalable compression
US9426445B2 (en)Image processing apparatus and image processing method and program using super-resolution and sharpening
RU2261533C1 (en)Device for client receipt of digital tv broadcasting, providing protection of viewer from harmful psychic and physiological influences from tv programs
US4721998A (en)Method and apparatus for processing color video signals
JPH01248893A (en)Noise eliminating device
Glenn et al.HDTV compatible transmission system
US20100119175A1 (en)Method for encoding a plurality of video signals into a single video signal
Grafe et al.Interfield noise and cross color reduction IC for flicker-free TV receivers
Wu et al.Quantitative quality and impairment metrics for digitally coded images and image sequences
JPH04360395A (en)Parallax correction device
US20060197878A1 (en)Circuits, methods, and computer program products for reducing cross-color artifacts in video data
JP2008250366A (en)Person extraction method, its device, its program, and recording medium with same program recorded
KR940001442B1 (en)Luminance and chroma signal separation system
JP3171349B2 (en) Video communication system
KR100777287B1 (en) Video image display device
KR0181960B1 (en) Y / C separation system according to edge type

Legal Events

DateCodeTitleDescription
MM4AThe patent is invalid due to non-payment of fees

Effective date:20060203

NF4AReinstatement of patent

Effective date:20070510

PD4ACorrection of name of patent owner
RH4ACopy of patent granted that was duplicated for the russian federation

Effective date:20081225

MM4AThe patent is invalid due to non-payment of fees

Effective date:20090203

NF4AReinstatement of patent

Effective date:20111027

MM4AThe patent is invalid due to non-payment of fees

Effective date:20180203


[8]ページ先頭

©2009-2025 Movatter.jp