Movatterモバイル変換


[0]ホーム

URL:


RU2256654C2 - Quinoline and quinazoline derivatives - Google Patents

Quinoline and quinazoline derivatives
Download PDF

Info

Publication number
RU2256654C2
RU2256654C2RU2001123434/04ARU2001123434ARU2256654C2RU 2256654 C2RU2256654 C2RU 2256654C2RU 2001123434/04 ARU2001123434/04 ARU 2001123434/04ARU 2001123434 ARU2001123434 ARU 2001123434ARU 2256654 C2RU2256654 C2RU 2256654C2
Authority
RU
Russia
Prior art keywords
oxy
dimethoxy
phenyl
quinolyl
urea
Prior art date
Application number
RU2001123434/04A
Other languages
Russian (ru)
Other versions
RU2001123434A (en
Inventor
Казуо КУБО (JP)
Казуо КУБО
Ясунари ФУДЗИВАРА (JP)
Ясунари ФУДЗИВАРА
Тосиюки ИСОЕ (JP)
Тосиюки ИСОЕ
Original Assignee
Кирин Бир Кабусики Кайся
Priority date (The priority date is an assumption and is not a legal conclusion. Google has not performed a legal analysis and makes no representation as to the accuracy of the date listed.)
Filing date
Publication date
Application filed by Кирин Бир Кабусики КайсяfiledCriticalКирин Бир Кабусики Кайся
Publication of RU2001123434ApublicationCriticalpatent/RU2001123434A/en
Application grantedgrantedCritical
Publication of RU2256654C2publicationCriticalpatent/RU2256654C2/en

Links

Landscapes

Abstract

FIELD: organic chemistry, medicine, pharmacy.
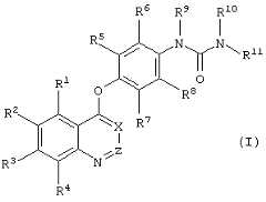
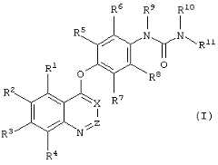
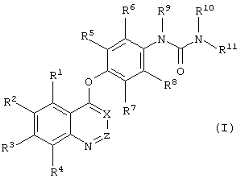
SUBSTANCE: invention relates to new compound of the formula (I)
Figure 00000030
or its pharmaceutically acceptable salt or solvate wherein X represents CH or nitrogen atom (N); Z represents CH; R1 represents hydrogen atom; R2 and R3 can be similar or different and represent (C1-C6)-alkoxy-group that is optionally substituted with halogen atom, hydroxyl, (C1-C4)-alkoxycarbonyl, amino-group wherein one or two hydrogen atom are optionally replaced for (C1-C4)-alkyl that is optionally substituted with hydroxyl or (C1-C4)-alkoxy-group, the group R12R13N-C(=O)-O- wherein R12 and R13 can be similar or different and represent hydrogen atom or (C1-C4)-alkyl substituted optionally with (C1-C4)-alkoxy-group or the group R14-(S)m- wherein R14 represents phenyl or saturated or unsaturated 5-7-membered heterocyclic group substituted optionally with (C1-C4)-alkyl; m = 0 or 1; R4 represents hydrogen atom; R5, R6, R7 and R8 can be similar or different and represent hydrogen atom, halogen atom, (C1-C4)-alkyl, (C1-C4)-alkoxy-group or nitro-group under condition that R5, R6, R7 and R don't represent hydrogen atom simultaneously; R9 represents hydrogen atom, (C1-C6)-alkyl or (C1-C4)-alkylcarbonyl wherein alkyl fragment of indicated (C1-C6)-alkyl or (C1-C4)-alkylcarbonyl is optionally substituted with (C1-C4)-alkoxy-group; R10 represents hydrogen atom or (C1-C6)-alkyl; R11 represents (C1-C6)-alkyl, (C2-C6)-alkenyl or (C2-C6)-alkynyl (wherein each (C1-C6)-alkyl, (C2-C6)-alkenyl and (C2-C6)-alkynyl is substituted optionally with halogen atom or (C1-C6)-alkoxy-group), or R15-(CH2)n- wherein n is a whole number from 0 to 3; R15represents naphthyl or 6-membered saturated or unsaturated carbocyclic or saturated or unsaturated 5-7-membered heterocyclic group that are substituted optionally with halogen atom, (C1-C6)-alkyl or (C1-C6)-alkoxy-group. Also, invention relates to variants of compounds of the formula (I). Compounds elicit antitumor activity and don't effect on cytomorphosis. Also, invention relates to pharmaceutical composition based on above described compounds, to a method for treatment of such diseases as malignant tumor, diabetic retinopathy, chronic rheumatism, psoriasis, atherosclerosis, Kaposi's sarcoma, and to a method for inhibition of vascular vessels angiogenesis.
EFFECT: valuable medicinal properties of compounds and composition.
22 cl, 4 tbl, 186 ex

Description

Translated fromRussian

ПРЕДПОСЫЛКИ СОЗДАНИЯ ИЗОБРЕТЕНИЯBACKGROUND OF THE INVENTION

Область изобретенияField of Invention

Настоящее изобретение относится к хинолиновым и хиназолиновым производным, обладающим противоопухолевой активностью. Более конкретно, настоящее изобретение относится к хинолиновым и хиназолиновым производным, которые могут применяться для лечения таких заболеваний, как опухоль, диабетическая ретинопатия, хронический ревматизм, псориаз, атеросклероз и саркома Капоши.The present invention relates to quinoline and quinazoline derivatives having antitumor activity. More specifically, the present invention relates to quinoline and quinazoline derivatives, which can be used to treat diseases such as tumor, diabetic retinopathy, chronic rheumatism, psoriasis, atherosclerosis, and Kaposi’s sarcoma.

Уровень техникиState of the art

В WO 97/17329 описаны хинолиновые и хиназолиновые производные, обладающие противоопухолевой активностью. Однако в WO 97/17329 не описаны ни влияние данных хинолиновых и хиназолиновых производных на цитоморфоз, ни соединения настоящего изобретения.WO 97/17329 describes quinoline and quinazoline derivatives having antitumor activity. However, in WO 97/17329 neither the effect of these quinoline and quinazoline derivatives on cytomorphosis, nor the compounds of the present invention are described.

КРАТКОЕ СОДЕРЖАНИЕ ИЗОБРЕТЕНИЯSUMMARY OF THE INVENTION

Авторы настоящего изобретения обнаружили, что группа хинолиновых и хиназолиновых производных обладает противоопухолевой активностью и, в то же время, не оказывает значительного влияния на цитоморфоз. Активность, приводящая к увеличению размера клеток может относиться к активности, индуцирующей тканевые нарушения.The authors of the present invention found that the group of quinoline and quinazoline derivatives has antitumor activity and, at the same time, does not significantly affect cytomorphosis. Activity leading to an increase in cell size may relate to activity inducing tissue disorders.

Объектом настоящего изобретения являются соединения, обладающие противоопухолевой активностью, и, в то же время, не оказывающие значительного влияния на цитоморфоз.The object of the present invention are compounds with antitumor activity, and, at the same time, do not have a significant effect on cytomorphosis.

В соответствии с настоящим изобретением, предложено соединение, представленное формулой (I), или его фармацевтически приемлемая соль или сольват:According to the present invention, there is provided a compound represented by formula (I), or a pharmaceutically acceptable salt or solvate thereof:

Figure 00000002
Figure 00000002

где Х и Z, каждый, обозначают СН или N;where X and Z each are CH or N;

R1, R2 и R3, которые могут быть одинаковыми или различными, обозначают атом водорода, C1-6алкил, C1-6алкокси, С2-6алкенил, С2-6алкинил, нитро или амино, причем C1-6алкил, C1-6алкокси, С2-6алкенил и С2-6алкинил необязательно замещены атомом галогена; гидроксил; C1-4алкокси; C1-4алкоксикарбонил; аминогруппу, один или два атома водорода которой необязательно заменены на C1-4алкил, необязательно замещенный гидроксилом или C1-4алкокси; группу R12R13N-C(=O)-О-, где R12 и R13, которые могут быть одинаковыми или различными, обозначают атом водорода или C1-4алкил, причем алкил необязательно замещен гидроксилом или C1-4алкокси; или группу R14-(S)m-, где R14 обозначает насыщенную или ненасыщенную карбоциклическую или гетероциклическую группу, имеющую в цикле от трех до семи атомов, необязательно замещенную C1-4алкилом, и m равно 0 или 1;R1 , R2 and R3 , which may be the same or different, represent a hydrogen atom, C1-6 alkyl, C1-6 alkoxy, C2-6 alkenyl, C2-6 alkynyl, nitro or amino, with C1-6 alkyl, C1-6 alkoxy, C2-6 alkenyl and C2-6 alkynyl are optionally substituted with a halogen atom; hydroxyl; C1-4 alkoxy; C1-4 alkoxycarbonyl; an amino group whose one or two hydrogen atoms are optionally substituted with C1-4 alkyl optionally substituted with hydroxyl or C1-4 alkoxy; a group R12 R13 NC (= O) -O-, where R12 and R13 , which may be the same or different, represent a hydrogen atom or C1-4 alkyl, wherein the alkyl is optionally substituted with hydroxyl or C1-4 alkoxy; or a group R14 - (S)m -, where R14 is a saturated or unsaturated carbocyclic or heterocyclic group having from three to seven atoms in a cycle, optionally substituted with C1-4 alkyl, and m is 0 or 1;

R4 обозначает атом водорода;R4 represents a hydrogen atom;

R5, R6, R7 и R8, которые могут быть одинаковыми или различными, обозначают атом водорода, атом галогена, C1-4алкил, C1-4алкокси, C1-4алкилтио, нитро или амино, при условии, что R5, R6, R7 и R8 не обозначают одновременно атом водорода;R5 , R6 , R7 and R8 , which may be the same or different, represent a hydrogen atom, a halogen atom, C1-4 alkyl, C1-4 alkoxy, C1-4 alkylthio, nitro or amino, provided that R5 , R6 , R7 and R8 do not simultaneously denote a hydrogen atom;

R9 и R10, которые могут быть одинаковыми или различными, обозначают атом водорода, C1-6алкил или C1-4алкилкарбонил, причем алкильный фрагмент данных C1-6алкила или C1-4алкилкарбонила необязательно замещен атомом галогена; C1-4алкокси; аминогруппой, которая необязательно замещена C1-4алкилом, необязательно замещенным C1-4алкокси; или насыщенную или ненасыщенную карбоциклическую или гетероциклическую группу, имеющую в цикле от трех до семи атомов; иR9 and R10 , which may be the same or different, represent a hydrogen atom, C1-6 alkyl or C1-4 alkylcarbonyl, wherein the alkyl moiety of these C1-6 alkyl or C1-4 alkylcarbonyl is optionally substituted with a halogen atom; C1-4 alkoxy; an amino group which is optionally substituted with C1-4 alkyl, optionally substituted with C1-4 alkoxy; or a saturated or unsaturated carbocyclic or heterocyclic group having from three to seven atoms in a cycle; and

R11 обозначает C1-6алкил, С2-6алкенил, или С2-6алкинил (причем каждый C1-6алкил, C2-6алкенил и С2-6алкинил необязательно замещен атомом галогена или C1-6алкокси), или R15-(СН2)n-, где n является целым числом от 0 до 4, и R15 обозначает насыщенную или ненасыщенную карбоциклическую или гетероциклическую группу, имеющую в цикле от трех до семи атомов, которая необязательно замещена атомом галогена, C1-6алкилом или C1-6алкокси, и необязательно конденсирована с другой насыщенной или ненасыщенной карбоциклической или гетероциклической структурой, имеющей в цикле от трех до семи атомов, с образованием бициклической структуры.R11 is C1-6 alkyl, C2-6 alkenyl, or C2-6 alkynyl (each C1-6 alkyl, C2-6 alkenyl and C2-6 alkynyl optionally substituted with a halogen atom or C1-6 alkoxy), or R15 - (CH2 )n -, where n is an integer from 0 to 4, and R15 represents a saturated or unsaturated carbocyclic or heterocyclic group having from three to seven atoms in the cycle which is optionally substituted with a halogen atom , C1-6 alkyl or C1-6 alkoxy and is optionally condensed with other saturated or unsaturated carbocyclic or heterocyclic ring structure having minutes in a cycle of three to seven atoms to form a bicyclic structure.

Соединение в соответствии с настоящим изобретением может применяться, например, для лечения опухоли, диабетической ретинопатии, хронического ревматизма, псориаза, атеросклероза, саркомы Капоши и солидной опухоли.The compound of the present invention can be used, for example, for the treatment of a tumor, diabetic retinopathy, chronic rheumatism, psoriasis, atherosclerosis, Kaposi’s sarcoma and solid tumor.

ПОДРОБНОЕ ОПИСАНИЕ ИЗОБРЕТЕНИЯDETAILED DESCRIPTION OF THE INVENTION

СоединениеCompound

Как здесь используется, термин "C1-6алкил" и "C1-6алкокси" в качестве группы или фрагмента группы, соответственно, обозначает алкил с прямой или разветвленной цепью и алкокси, имеющий от 1 до 6, предпочтительно от 1 до 4 атомов углерода.As used here, the term "C1-6 alkyl" and "C1-6 alkoxy" as a group or fragment of a group, respectively, means straight or branched chain alkyl and alkoxy having from 1 to 6, preferably from 1 to 4 carbon atoms.

Как здесь используется термин "С2-6алкенил" и "С2-6алкинил" в качестве группы или фрагмента группы, соответственно, обозначает алкенил с прямой или разветвленной цепью и алкинил, имеющий от 2 до 6, предпочтительно от 2 до 4 атомов углерода.As used herein, the term “C2-6 alkenyl” and “C2-6 alkynyl” as a group or fragment of a group, respectively, means straight or branched chain alkenyl and alkynyl having from 2 to 6, preferably from 2 to 4 atoms carbon.

Примеры C1-6алкила включают метил, этил, н-пропил, изо-пропил, н-бутил, изобутил, втор-бутил, трет-бутил, н-пентил и н-гексил.Examples of C1-6 alkyl include methyl, ethyl, n-propyl, iso-propyl, n-butyl, isobutyl, sec-butyl, tert-butyl, n-pentyl and n-hexyl.

Примеры C1-6алкокси включают метокси, этокси, н-пропокси, изопропокси, н-бутокси, изобутокси, втор-бутокси и трет-бутокси.Examples of C1-6 alkoxy include methoxy, ethoxy, n-propoxy, isopropoxy, n-butoxy, isobutoxy, sec-butoxy and tert-butoxy.

Примеры С2-6алкенила включают аллил, бутенил, пентенил и гексенил.Examples of C2-6 alkenyl include allyl, butenyl, pentenyl and hexenyl.

Примеры С2-6алкинила включают 2-пропинил, бутинил, пентинил и гексинил.Examples of C2-6 alkynyl include 2-propynyl, butynyl, pentynyl and hexynyl.

Термин "атом галогена" обозначает атом фтора, хлора, брома или иода.The term “halogen atom” means a fluorine, chlorine, bromine or iodine atom.

Насыщенная или ненасыщенная карбоциклическая или гетероциклическая структура, имеющая в цикле от трех до семи атомов, предпочтительно представляет собой пяти-семичленную, более предпочтительно пяти- или шестичленную, насыщенную или ненасыщенную карбоциклическую или гетероциклическую структуру.A saturated or unsaturated carbocyclic or heterocyclic structure having from three to seven atoms in a cycle is preferably a five-seven-membered, more preferably five- or six-membered, saturated or unsaturated carbocyclic or heterocyclic structure.

Примеры насыщенных или ненасыщенных карбоциклических групп, имеющих в цикле от трех до семи атомов, включают фенил, циклогептил, циклогексил и циклопентил.Examples of saturated or unsaturated carbocyclic groups having from three to seven atoms in a cycle include phenyl, cycloheptyl, cyclohexyl and cyclopentyl.

Насыщенная или ненасыщенная гетероциклическая структура, имеющая в цикле от трех до семи атомов, содержит по меньшей мере один гетероатом, выбранный из атомов кислорода, азота и серы. Термин "гетероатом", используемый здесь, обозначает кислород, азот или атом серы. Примеры насыщенных или ненасыщенных гетероциклических групп, имеющих в цикле от трех до семи атомов, включают пиридил, пиперидин, пиперазин, морфолин, имидазолил, триазолил, тетразолил, оксазолил, тиазолил, пирролидинил и пиразолил.A saturated or unsaturated heterocyclic structure having from three to seven atoms in a cycle contains at least one heteroatom selected from oxygen, nitrogen and sulfur atoms. The term “heteroatom” as used herein means oxygen, nitrogen or a sulfur atom. Examples of saturated or unsaturated heterocyclic groups having a ring from three to seven atoms include pyridyl, piperidine, piperazine, morpholine, imidazolyl, triazolyl, tetrazolyl, oxazolyl, thiazolyl, pyrrolidinyl and pyrazolyl.

Насыщенная или ненасыщенная гетероциклическая группа, которая может быть представлена R15 и R32, может быть конденсирована с другой насыщенной или ненасыщенной гетероциклической структурой с образованием бициклического кольца. Такие конденсированные циклические группы включают нафтил, инданил, хинолил и хиназолинил.A saturated or unsaturated heterocyclic group that may be represented by R15 and R32 may be fused to another saturated or unsaturated heterocyclic structure to form a bicyclic ring. Such fused cyclic groups include naphthyl, indanyl, quinolyl and quinazolinyl.

R1 предпочтительно представляет собой атом водорода.R1 preferably represents a hydrogen atom.

R2 и R3 предпочтительно представляют собой необязательно замещенный C1-6алкокси.R2 and R3 are preferably optionally substituted C1-6 alkoxy.

C1-6алкил, C1-6алкокси, С2-6алкенил и С2-6алкинил, которые могут быть представлены R1, R2 и R3, могут быть замещены группой R14-(S)m-.C1-6 alkyl, C1-6 alkoxy, C2-6 alkenyl and C2-6 alkynyl, which may be represented by R1 , R2 and R3 , may be substituted with an R14 - (S)m - group.

Карбоциклическая или гетероциклическая группа, которая может быть представлена R14, предпочтительно обозначает насыщенную или ненасыщенную пяти- или шестичленную карбоциклическую или гетероциклическую группу. Карбоциклическая группа более предпочтительно представляет собой фенил. Гетероциклическая группа более предпочтительно представляет собой насыщенную или ненасыщенную пятичленную гетероциклическую группу, содержащую от одного до четырех атомов азота, или насыщенную или ненасыщенную шестичленную гетероциклическую группу (предпочтительно, пиридил), содержащую один или два гетероатома, выбранных из атомов азота и кислорода. Более конкретно, гетероатомом, входящим в состав шестичленной гетероциклической группы, может быть один атом азота и один атом кислорода, или один или два атома азота.A carbocyclic or heterocyclic group that may be represented by R14 preferably represents a saturated or unsaturated five- or six-membered carbocyclic or heterocyclic group. The carbocyclic group is more preferably phenyl. The heterocyclic group is more preferably a saturated or unsaturated five-membered heterocyclic group containing one to four nitrogen atoms, or a saturated or unsaturated six-membered heterocyclic group (preferably pyridyl) containing one or two heteroatoms selected from nitrogen and oxygen atoms. More specifically, the heteroatom included in the six-membered heterocyclic group may be one nitrogen atom and one oxygen atom, or one or two nitrogen atoms.

Если m равно 0 (нулю), -(S)m- обозначает связь.If m is 0 (zero), - (S)m - means a bond.

Замещенная C1-6алкоксильная группа, которая может быть представлена R1, R2 и R3, предпочтительно представлена группой R31-(CH2)p-O-, где R31 обозначает атом галогена, гидроксил, C1-4алкокси, C1-4алкоксикарбонил, аминогруппу, у которой один или каждый из двух атомов водорода необязательно заменены на C1-4алкил, необязательно замещенный гидроксилом или C1-4алкоксильной группой, группу R12R13N-С(=O)-О-, где R12 и R13 являются такими, как определены в формуле (I), или группу R14-(S)m-, где R14 может быть таким, как определен в формуле (I); p является целым числом от 1 до 6, предпочтительно от 1 до 4, более предпочтительно р равно 1 или 2, особенно предпочтительно 1.The substituted C1-6 alkoxy group which may be represented by R1 , R2 and R3 is preferably represented by the group R31 - (CH2 )p -O-, where R31 is a halogen atom, hydroxyl, C1-4 alkoxy , C1-4 alkoxycarbonyl, an amino group in which one or each of the two hydrogen atoms is optionally replaced with C1-4 alkyl, optionally substituted with hydroxyl or a C1-4 alkoxy group, a group R12 R13 N — C (= O) -O-, where R12 and R13 are as defined in formula (I), or a group R14 - (S)m -, where R14 may be as defined in formula (I); p is an integer from 1 to 6, preferably from 1 to 4, more preferably p is 1 or 2, particularly preferably 1.

Группа предпочтительных соединений, представленных формулой (I), включает:A group of preferred compounds represented by formula (I) includes:

соединения, в которых R1 обозначает атом водорода, а R2 и R3 обозначают C1-4алкоксильную группу, предпочтительно метоксильную;compounds in which R1 is a hydrogen atom, and R2 and R3 are a C1-4 alkoxy group, preferably methoxy;

соединения, в которых R1 обозначает атом водорода, R2обозначает замещенную C1-4алкоксильную группу, предпочтительно группу R31-(СН2)p-O-, и R3 обозначает незамещенную C1-4алкоксильную группу, предпочтительно метоксильную, иcompounds in which R1 is a hydrogen atom, R2 is a substituted C1-4 alkoxy group, preferably a group R31 - (CH2 )p -O-, and R3 is an unsubstituted C1-4 alkoxy group, preferably methoxy, and

соединения, в которых R1 обозначает атом водорода, R2обозначает незамещенную C1-4алкоксильную группу, предпочтительно метоксильную, и R3 обозначает замещенную C1-4алкоксильную группу, предпочтительно группу R31-(CH2)p-O-.compounds in which R1 is a hydrogen atom, R2 is an unsubstituted C1-4 alkoxy group, preferably methoxy, and R3 is a substituted C1-4 alkoxy group, preferably a group R31 - (CH2 )p —O—.

Другая группа предпочтительных соединений, представленных формулой (I), включает:Another group of preferred compounds represented by formula (I) include:

соединения, в которых по меньшей мере один из R5, R6, R7и R8 обозначает атом галогена, предпочтительно атом хлора или атом фтора;compounds in which at least one of R5 , R6 , R7 and R8 represents a halogen atom, preferably a chlorine atom or a fluorine atom;

соединения, в которых по меньшей мере один из R5, R6, R7и R8 обозначает C1-4алкил;compounds in which at least one of R5 , R6 , R7 and R8 is C1-4 alkyl;

соединения, в которых два из R5, R6, R7 и R8 обозначают метил и два остальных обозначают атом водорода;compounds in which two of R5 , R6 , R7 and R8 are methyl and the other two are hydrogen;

соединения, в которых по меньшей мере один из R5, R6, R7и R8 обозначают нитро, амино, C1-4алкокси или C1-4алкилтио;compounds in which at least one of R5 , R6 , R7 and R8 is nitro, amino, C1-4 alkoxy or C1-4 alkylthio;

соединения, в которых R5, R7 и R8 обозначают атом водорода, а R6 обозначает атом галогена, более предпочтительно атом хлора или атом фтора;compounds in which R5 , R7 and R8 represent a hydrogen atom and R6 represents a halogen atom, more preferably a chlorine atom or a fluorine atom;

соединения, в которых R5 и R6 обозначают C1-4алкил, более предпочтительно метил, и R7 и R8 обозначают атом водорода;compounds in which R5 and R6 are C1-4 alkyl, more preferably methyl, and R7 and R8 are hydrogen;

соединения, в которых R5 и R8 обозначают атом водорода, а R6 и R7 обозначают C1-4алкил, более предпочтительно метил; иcompounds in which R5 and R8 represent a hydrogen atom, and R6 and R7 represent C1-4 alkyl, more preferably methyl; and

соединения, в которых R5, R7 и R8 обозначают атом водорода, а R6 обозначает C1-4алкил, C1-4алкокси, C1-4алкилтио, нитро или амино.compounds in which R5 , R7 and R8 represent a hydrogen atom and R6 represents C1-4 alkyl, C1-4 alkoxy, C1-4 alkylthio, nitro or amino.

В R9 и R10 насыщенная или ненасыщенная карбоциклическая или гетероциклическая группа, имеющая от трех до семи атомов в цикле, в качестве заместителя предпочтительно представляет собой насыщенную или ненасыщенную пяти- или шестичленную карбоциклическую или гетероциклическую группу.In R9 and R10, a saturated or unsaturated carbocyclic or heterocyclic group having from three to seven atoms in the ring preferably is a saturated or unsaturated five- or six-membered carbocyclic or heterocyclic group as a substituent.

R9 и R10 предпочтительно обозначают атом водорода, метил, этил, пропил, метоксиметил, формил, ацетил, бензил или фенетил.R9 and R10 preferably represent a hydrogen atom, methyl, ethyl, propyl, methoxymethyl, formyl, acetyl, benzyl or phenethyl.

Следующая группа предпочтительных соединений, представленных формулой (I), включает:The following group of preferred compounds represented by formula (I) include:

соединения, в которых R1, R9 и R10 представляют собой атом водорода; иcompounds in which R1 , R9 and R10 represent a hydrogen atom; and

соединения, в которых R1 обозначает атом водорода, и любой из R9 и R10, или они оба, обозначают группу, отличную от атома водорода.compounds in which R1 represents a hydrogen atom, and any of R9 and R10 , or both, represent a group other than a hydrogen atom.

В группе R15-(CH2)n-, которая может быть представлена R11, n предпочтительно представляет собой целое число от 0 до 2, более предпочтительно 0 или 1. Предпочтительные примеры R15включают необязательно замещенную насыщенную или ненасыщенную шестичленную карбоциклическую группу, более предпочтительно фенил, и необязательно замещенную насыщенную или ненасыщенную шестичленную гетероциклическую группу, более предпочтительно пиридил. Гетероатом(ы), входящий в состав шестичленной гетероциклической группы, особенно, может включать один атом азота, или один атом азота и один атом кислорода.In the group R15 - (CH2 )n -, which may be represented by R11 , n is preferably an integer from 0 to 2, more preferably 0 or 1. Preferred examples of R15 include an optionally substituted saturated or unsaturated six-membered carbocyclic group, more preferably phenyl, and an optionally substituted saturated or unsaturated six-membered heterocyclic group, more preferably pyridyl. The heteroatom (s) included in the six-membered heterocyclic group, especially, may include one nitrogen atom, or one nitrogen atom and one oxygen atom.

Следующая группа предпочтительных соединений, представленных формулой (I), включает соединения, в которых Х представляет собой N или СН, a Z представляет собой СН.The following group of preferred compounds represented by formula (I) includes compounds in which X represents N or CH, and Z represents CH.

Следующая группа предпочтительных соединений, представленных формулой (I), включает соединения, представленные формулой (Ia):The following group of preferred compounds represented by formula (I) includes compounds represented by formula (Ia):

Figure 00000003
Figure 00000003

где X представляет собой СН или N;where X represents CH or N;

R21 и R22, которые могут быть одинаковыми или различными, представляют собой незамещенную C1-6алкокси, или группу R31-(СН2)p-O-, где R31 обозначает атом галогена, гидроксил, C1-4алкокси, C1-4 алкоксикарбонил, аминогруппу, у которой один или два атома водорода необязательно замещены C1-4алкилом, необязательно замещенным гидроксилом или C1-4алкокси, группу R12R13N-C(=O)-О-, где R12 и R13, которые могут быть одинаковыми или различными, обозначают атом водорода или C1-4алкил, причем алкил необязательно замещен гидроксилом или C1-4алкокси, или группу R14-(S)m-, где R14 обозначает насыщенную или ненасыщенную карбоциклическую или гетероциклическую группу, имеющую в цикле от трех до семи атомов, необязательно замещенную C1-4алкилом, и m равно 0 или 1, а р является целым числом от 1 до 6;R21 and R22 , which may be the same or different, are unsubstituted C1-6 alkoxy, or a group R31 - (CH2 )p -O-, where R31 is a halogen atom, hydroxyl, C1-4 alkoxy , C1-4 alkoxycarbonyl, an amino group in which one or two hydrogen atoms are optionally substituted with C1-4 alkyl, optionally substituted with hydroxyl or C1-4 alkoxy, a group R12 R13 NC (= O) -O-, where R12 and R13 , which may be the same or different, represent a hydrogen atom or C1-4 alkyl, wherein the alkyl is optionally substituted with hydroxyl or C1-4 alkoxy, or the group R14 - (S)m -, where e R14 is a saturated or unsaturated carbocyclic or heterocyclic group having from three to seven atoms in the cycle, optionally substituted with C1-4 alkyl, and m is 0 or 1, and p is an integer from 1 to 6;

R23, R24, R25 и R26, которые могут быть одинаковыми или различными, представляют собой атом водорода, атом галогена, C1-4алкил, C1-4алкокси, C1-4алкилтио, нитро или амино, при условии, что R23, R24, R25 и R26 одновременно не обозначают атом водорода;R23 , R24 , R25 and R26 , which may be the same or different, represent a hydrogen atom, a halogen atom, C1-4 alkyl, C1-4 alkoxy, C1-4 alkylthio, nitro or amino, provided that R23 , R24 , R25 and R26 at the same time do not represent a hydrogen atom;

R27 и R28, которые могут быть одинаковыми или различными, представляют собой атом водорода, C1-6алкил или C1-4алкилкарбонил, алкильный фрагмент данных C1-6алкила или C1-4алкилкарбонила необязательно замещен атом галогена; C1-4алкокси; аминогруппу, которая необязательно замещена C1-4алкилом, необязательно замещенным C1-4алкокси; или насыщенную или ненасыщенную карбоциклическую или гетероциклическую группу, имеющую от трех до семи атомов в цикле; иR27 and R28 , which may be the same or different, represent a hydrogen atom, C1-6 alkyl or C1-4 alkylcarbonyl, an alkyl fragment of these C1-6 alkyl or C1-4 alkylcarbonyl optionally substituted with a halogen atom; C1-4 alkoxy; an amino group which is optionally substituted with C1-4 alkyl, optionally substituted with C1-4 alkoxy; or a saturated or unsaturated carbocyclic or heterocyclic group having from three to seven atoms in a cycle; and

R29 представляет собой C1-6алкил, С2-6алкенил или С2-6алкинил (каждый из данных C1-6алкила, С2-6алкенила или С2-6алкинила необязательно замещен атомом галогена или C1-4алкокси), или R32-(СН2)q-, где q представляет собой целое число от 0 до 4, а R32представляет собой насыщенную или ненасыщенную шестичленную карбоциклическую или гетероциклическую группу, которая необязательно замещена атом галогена, C1-4алкилом или C1-4алкокси, и является необязательно конденсированной с другой насыщенной или ненасыщенной пяти- или шестичленной карбоциклической или гетероциклической структурой с образованием бициклической структуры.R29 represents C1-6 alkyl, C2-6 alkenyl or C2-6 alkynyl (each of these C1-6 alkyl, C2-6 alkenyl or C2-6 alkynyl is optionally substituted with a halogen atom or C1- 4 alkoxy), or R32 - (CH2 )q -, where q is an integer from 0 to 4, and R32 is a saturated or unsaturated six-membered carbocyclic or heterocyclic group, which is optionally substituted by a halogen atom, C1-4 alkyl or C1-4 alkoxy, and is optionally fused to another saturated or unsaturated five- or six-membered carbocyclic or a heterocyclic structure to form a bicyclic structure.

R21 и R22 могут представлять собой незамещенный C1-6алкокси, предпочтительно метокси.R21 and R22 may be unsubstituted C1-6 alkoxy, preferably methoxy.

Любой из R21 и R22 может представлять собой незамещенную C1-6алкоксильную группу, предпочтительно метоксильную, и другой представляет собой группу R31-(СН2)p-O-.Any of R21 and R22 may be an unsubstituted C1-6 alkoxy group, preferably methoxy, and the other is an R31 - (CH2 )p —O— group.

В группе R31-(СН2)p-О-, р предпочтительно равен числу от 1 до 4, более предпочтительно 1 или 2, особенно предпочтительно 1.In the group R31 - (CH2 )p —O—, p is preferably equal to a number from 1 to 4, more preferably 1 or 2, particularly preferably 1.

Группа предпочтительных соединений, представленных формулой (Iа), включает:A group of preferred compounds represented by formula (Ia) includes:

соединения, в которых по меньшей мере один из R23, R24, R25 и R26 представляет собой атом галогена, предпочтительно атом хлора или атом фтора;compounds in which at least one of R23 , R24 , R25 and R26 represents a halogen atom, preferably a chlorine atom or a fluorine atom;

соединения, в которых по меньшей мере один из R23, R24, R25 и R26 представляет собой C1-4алкил;compounds in which at least one of R23 , R24 , R25 and R26 is C1-4 alkyl;

соединения, в которых два из R23, R24, R25 и R26 представляют собой метил и остальные два представляют собой атом водорода;compounds in which two of R23 , R24 , R25 and R26 are methyl and the other two are a hydrogen atom;

соединения, в которых по меньшей мере один из R23, R24, R25 и R26 представляет собой нитро, амино, C1-4алкокси, или C1-4алкилтио;compounds in which at least one of R23 , R24 , R25 and R26 is nitro, amino, C1-4 alkoxy, or C1-4 alkylthio;

соединения, в которых R23, R25 и R26 представляют собой атом водорода и R24 представляет собой атом галогена, более предпочтительно атом хлора или атом фтора;compounds in which R23 , R25 and R26 represent a hydrogen atom and R24 represents a halogen atom, more preferably a chlorine atom or a fluorine atom;

соединения, в которых R23 и R24 представляют собой C1-4алкил, более предпочтительно метил, а R25 и R26 представляют собой атом водорода;compounds in which R23 and R24 represent C1-4 alkyl, more preferably methyl, and R25 and R26 represent a hydrogen atom;

соединения, в которых R23 и R26 представляют собой атом водорода, a R24 и R25 представляют собой C1-4алкил, более предпочтительно метил; иcompounds in which R23 and R26 represent a hydrogen atom, and R24 and R25 represent C1-4 alkyl, more preferably methyl; and

соединения, в которых R23, R25 и R26 представляют собой атом водорода, а R24 представляет собой C1-4алкил, C1-4алкокси, C1-4алкилтио, нитро или амино.compounds in which R23 , R25 and R26 represent a hydrogen atom, and R24 represents C1-4 alkyl, C1-4 alkoxy, C1-4 alkylthio, nitro or amino.

Другая группа предпочтительных соединений, представленных формулой (Iа), включает соединения, в которых R27 и R28представляют собой атом водорода.Another group of preferred compounds represented by formula (Ia) includes compounds in which R27 and R28 represent a hydrogen atom.

Очередная группа предпочтительных соединений, представленных формулой (Iа), включает соединения, в которых любой из R27 и R28, или оба, представляют собой группу, отличную от атома водорода.Another group of preferred compounds represented by formula (Ia) includes compounds in which either R27 and R28 , or both, are a group other than a hydrogen atom.

В группе R32-(СН2)q-, которая может быть представлена R29, q предпочтительно представляет собой целое число от 0 до 2, более предпочтительно 0 или 1. Примеры предпочтительного R32включают необязательно замещенный фенил и необязательно замещенную насыщенную или ненасыщенную шестичленную гетероциклическую группу, более предпочтительно пиридил. Гетероатом(ы), входящие в состав шестичленной гетероциклической группы, в частности, могут включать один атом азота или один атом азота и один атом кислорода. Насыщенная или ненасыщенная шестичленная карбоциклическая или гетероциклическая группа, которая может быть представлена R32, предпочтительно является конденсированной с насыщенной или ненасыщенной шестичленной карбоциклической или гетероциклический структурой с образованием бициклического кольца.In the group R32 - (CH2 )q -, which may be represented by R29 , q is preferably an integer from 0 to 2, more preferably 0 or 1. Examples of preferred R32 include optionally substituted phenyl and optionally substituted saturated or unsaturated a six membered heterocyclic group, more preferably pyridyl. The heteroatom (s) included in the six-membered heterocyclic group, in particular, may include one nitrogen atom or one nitrogen atom and one oxygen atom. A saturated or unsaturated six-membered carbocyclic or heterocyclic group that may be represented by R32 is preferably fused to a saturated or unsaturated six-membered carbocyclic or heterocyclic structure to form a bicyclic ring.

Следующая группа предпочтительных соединений, представленных формулой (Iа), включает:The following group of preferred compounds represented by formula (Ia) include:

соединения, в которыхcompounds in which

Х представляет собой СН или N, R21 и R22 представляют собой незамещенную C1-4 алкокси,X represents CH or N, R21 and R22 represent unsubstituted C1-4 alkoxy,

R23, R25 и R26 представляют собой атом водорода,R23 , R25 and R26 represent a hydrogen atom,

R24 представляет собой атом галогена, C1-4алкил, C1-4алкокси или нитро,R24 represents a halogen atom, C1-4 alkyl, C1-4 alkoxy or nitro,

R27 и R28 представляют собой атом водорода, иR27 and R28 represent a hydrogen atom, and

R29 представляет собой C1-6алкил, С2-6алкенил или C2-6алкинил (причем каждый из C1-6алкила, С2-6алкенила и C2-6алкинила необязательно замещен атомом галогена или C1-4алкокси), или -(CH2)q-R32, где q представляет собой целое число, равное 0 или 1, а R32 представляет собой фенил, пиридил или нафтил, причем фенил, пиридил и нафтил являются необязательно замещенными атомом галогена, C1-4алкилом или C1-4алкокси;R29 represents C1-6 alkyl, C2-6 alkenyl or C2-6 alkynyl (each of C1-6 alkyl, C2-6 alkenyl and C2-6 alkynyl optionally substituted with a halogen atom or C1- 4 alkoxy), or - (CH2 )q -R32 where q is an integer of 0 or 1, and R32 is phenyl, pyridyl or naphthyl, wherein phenyl, pyridyl and naphthyl are optionally substituted with a halogen atom, C1-4 alkyl or C1-4 alkoxy;

соединения, в которыхcompounds in which

Х представляет собой СН или N,X represents CH or N,

R21 и R22 представляют собой незамещенную C1-4алкокси, R23, R25 и R26 представляют собой атом водорода,R21 and R22 represent an unsubstituted C1-4 alkoxy, R23 , R25 and R26 represent a hydrogen atom,

R24 представляет собой атом галогена, C1-4алкил, C1-4алкокси или нитро,R24 represents a halogen atom, C1-4 alkyl, C1-4 alkoxy or nitro,

любой из R27 и R28, или оба, представляют собой группу, отличную от атома водорода, иany of R27 and R28 , or both, are a group other than a hydrogen atom, and

R29 представляет собой C1-6алкил, С2-6алкенил или С2-6алкинил (причем каждый из C1-6алкила, С2-6алкенила и С2-6алкинила необязательно замещен атомом галогена или C1-4алкокси), или -(CH2)q-R32, где q представляет собой целое число, равное 0 или 1, а R32 представляет собой фенил, пиридил или нафтил, причем фенил, пиридил и нафтил необязательно замещены атомом галогена, C1-4алкилом или C1-4алкокси;R29 represents C1-6 alkyl, C2-6 alkenyl or C2-6 alkynyl (each of C1-6 alkyl, C2-6 alkenyl and C2-6 alkynyl optionally substituted with a halogen atom or C1- 4 alkoxy), or - (CH2 )q -R32 where q is an integer of 0 or 1, and R32 is phenyl, pyridyl or naphthyl, wherein phenyl, pyridyl and naphthyl are optionally substituted with a halogen atom, C1-4 alkyl or C1-4 alkoxy;

соединения, в которыхcompounds in which

Х представляет собой СН или N,X represents CH or N,

R21 и R22 представляют собой незамещенную C1-4алкокси,R21 and R22 are unsubstituted C1-4 alkoxy,

R23, R25 и R26 представляют собой атом водорода,R23 , R25 and R26 represent a hydrogen atom,

R24 представляет собой атом галогена, C1-4алкил, C1-4алкокси или нитро,R24 represents a halogen atom, C1-4 alkyl, C1-4 alkoxy or nitro,

R27 представляет собой атом водорода,R27 represents a hydrogen atom,

R28 представляет собой группу, отличную от атома водорода, иR28 represents a group other than a hydrogen atom, and

R29 представляет собой C1-6алкил, С2-6алкенил или С2-6алкинил (причем каждый из C1-6алкила, С2-6алкенила и С2-6алкинила необязательно замещены атомом галогена или C1-4алкокси), или - (CH2)q-R32, где q представляет собой целое число, равное 0 или 1, а R32 представляет собой фенил, пиридил или нафтил, причем фенил, пиридил и нафтил необязательно замещены атомом галогена, C1-4алкилом или C1-4алкокси;R29 represents C1-6 alkyl, C2-6 alkenyl or C2-6 alkynyl (each of C1-6 alkyl, C2-6 alkenyl and C2-6 alkynyl optionally substituted with a halogen atom or C1- 4 alkoxy), or - (CH2 )q -R32 where q is an integer of 0 or 1, and R32 is phenyl, pyridyl or naphthyl, wherein phenyl, pyridyl and naphthyl are optionally substituted with a halogen atom, C1-4 alkyl or C1-4 alkoxy;

соединения, в которыхcompounds in which

Х представляет собой СН или N,X represents CH or N,

любой из R21 и R22 представляет собой незамещенную C1-4алкокси, а другой представляет собой группу R31-(CH2)p-O-, предпочтительно R21 представляет собой незамещенную C1-4алкокси, а R22 представляет собой группу R31-(CH2)p-O-,any of R21 and R22 represents unsubstituted C1-4 alkoxy, and the other represents a group R31 - (CH2 )p -O-, preferably R21 represents unsubstituted C1-4 alkoxy, and R22 represents a group R31 - (CH2 )p —O—,

R23, R25 и R26 представляют собой атом водорода,R23 , R25 and R26 represent a hydrogen atom,

R24 представляет собой атом галогена, C1-4алкил, C1-4алкокси или нитро,R24 represents a halogen atom, C1-4 alkyl, C1-4 alkoxy or nitro,

R27 и R28 представляют собой атом водорода, иR27 and R28 represent a hydrogen atom, and

R29 представляет собой C1-6алкил, С2-6алкенил или С2-6алкинил (причем каждый из C1-6алкила, С2-6алкенила и С2-6алкинила необязательно замещен атомом галогена или C1-4алкокси), или -(CH2)q-R32, где q представляет собой целое число, равное 0 или 1, а R32 представляет собой фенил, пиридил или нафтил, причем фенил, пиридил и нафтил необязательно замещены атомом галогена, C1-4алкилом или C1-4алкокси;R29 represents C1-6 alkyl, C2-6 alkenyl or C2-6 alkynyl (each of C1-6 alkyl, C2-6 alkenyl and C2-6 alkynyl optionally substituted with a halogen atom or C1- 4 alkoxy), or - (CH2 )q -R32 where q is an integer of 0 or 1, and R32 is phenyl, pyridyl or naphthyl, wherein phenyl, pyridyl and naphthyl are optionally substituted with a halogen atom, C1-4 alkyl or C1-4 alkoxy;

соединения, в которыхcompounds in which

Х представляет собой СН или N,X represents CH or N,

любой из R21 и R22 представляет собой незамещенную C1-4алкокси, а другой представляет собой группу R31-(CH2)p-O-, предпочтительно R21 представляет собой незамещенную C1-4алкокси, а R22 представляет собой группу R31-(СН2)p-O-,any of R21 and R22 represents unsubstituted C1-4 alkoxy, and the other represents a group R31 - (CH2 )p -O-, preferably R21 represents unsubstituted C1-4 alkoxy, and R22 represents a group R31 - (CH2 )p —O—,

R23, R25 и R26 представляют собой атом водорода,R23 , R25 and R26 represent a hydrogen atom,

R24 представляет собой атом галогена, C1-4алкил, C1-4алкокси или нитро,R24 represents a halogen atom, C1-4 alkyl, C1-4 alkoxy or nitro,

любой из R27 и R28 представляет собой группу, отличную от атома водорода, иany of R27 and R28 represents a group other than a hydrogen atom, and

R29 представляет собой C1-6алкил, С2-6алкенил или С2-6алкинил (причем каждый из C1-6алкила, С2-6алкенила и С2-6алкинила необязательно замещен атомом галогена или C1-4алкокси), или -(CH2)q-R32, где q представляет собой целое число, равное 0 или 1, а R32 представляет собой фенил, пиридил или нафтил, причем фенил, пиридил и нафтил необязательно замещены атомом галогена, C1-4алкилом или C1-4алкокси;R29 represents C1-6 alkyl, C2-6 alkenyl or C2-6 alkynyl (each of C1-6 alkyl, C2-6 alkenyl and C2-6 alkynyl optionally substituted with a halogen atom or C1- 4 alkoxy), or - (CH2 )q -R32 where q is an integer of 0 or 1, and R32 is phenyl, pyridyl or naphthyl, wherein phenyl, pyridyl and naphthyl are optionally substituted with a halogen atom, C1-4 alkyl or C1-4 alkoxy;

соединения, в которыхcompounds in which

Х представляет собой СН или N,X represents CH or N,

любой из R21 и R22 представляет собой незамещенную C1-4алкокси, а другой представляет собой группу R31-(CH2)p-O-, предпочтительно R21 представляет собой незамещенную C1-4алкокси, а R22 представляет собой группу R31-(СН2)p-O-,any of R21 and R22 represents unsubstituted C1-4 alkoxy, and the other represents a group R31 - (CH2 )p -O-, preferably R21 represents unsubstituted C1-4 alkoxy, and R22 represents a group R31 - (CH2 )p —O—,

R23, R25 и R26 представляют собой атом водорода,R23 , R25 and R26 represent a hydrogen atom,

R24 представляет собой атом галогена, C1-4алкил, C1-4алкокси или нитро,R24 represents a halogen atom, C1-4 alkyl, C1-4 alkoxy or nitro,

R27 представляет собой атом водорода,R27 represents a hydrogen atom,

R28 представляет собой группу, отличную от атома водорода, иR28 represents a group other than a hydrogen atom, and

R29 представляет собой C1-6алкил, С2-6алкенил или С2-6алкинил (причем каждый из C1-6алкила, C2-6алкенила и C2-6алкинила необязательно замещен атомом галогена или C1-4алкокси), или -(CH2)q-R32, где q представляет собой целое число, равное 0 или 1, а R32 представляет собой фенил, пиридил или нафтил, причем фенил, пиридил и нафтил необязательно замещены атомом галогена, C1-4алкилом или C1-4алкокси;R29 represents C1-6 alkyl, C2-6 alkenyl or C2-6 alkynyl (each of C1-6 alkyl, C2-6 alkenyl and C2-6 alkynyl optionally substituted with a halogen atom or C1- 4 alkoxy), or - (CH2 )q -R32 where q is an integer of 0 or 1, and R32 is phenyl, pyridyl or naphthyl, wherein phenyl, pyridyl and naphthyl are optionally substituted with a halogen atom, C1-4 alkyl or C1-4 alkoxy;

соединения, в которыхcompounds in which

Х представляет собой СН или N,X represents CH or N,

любой из R21 и R22 представляет собой незамещенную C1-4алкокси, а другой представляет собой группу R31-(CH2)p-O-, предпочтительно R21 представляет собой незамещенную C1-4алкокси, а R22 представляет собой группу R31-(СН2)p-O-,any of R21 and R22 represents unsubstituted C1-4 alkoxy, and the other represents a group R31 - (CH2 )p -O-, preferably R21 represents unsubstituted C1-4 alkoxy, and R22 represents a group R31 - (CH2 )p —O—,

R23 и R26 представляют собой атом водорода,R23 and R26 represent a hydrogen atom,

R24 и R25 представляет собой атом галогена, C1-4алкил, C1-4алкокси или нитро,R24 and R25 represents a halogen atom, C1-4 alkyl, C1-4 alkoxy or nitro,

R27 и R28 представляют собой атом водорода, иR27 and R28 represent a hydrogen atom, and

R29 представляет собой C1-6алкил, С2-6алкенил или С2-6алкинил (причем каждый из C1-6алкила, С2-6алкенила и С2-6алкинила необязательно замещен атомом галогена или C1-4алкокси), или -(CH2)q-R32, где q представляет собой целое число, равное 0 или 1, а R32 представляет собой фенил, пиридил или нафтил, причем фенил, пиридил и нафтил необязательно замещены атомом галогена, C1-4алкилом или C1-4алкокси.R29 represents C1-6 alkyl, C2-6 alkenyl or C2-6 alkynyl (each of C1-6 alkyl, C2-6 alkenyl and C2-6 alkynyl optionally substituted with a halogen atom or C1- 4 alkoxy), or - (CH2 )q -R32 where q is an integer of 0 or 1, and R32 is phenyl, pyridyl or naphthyl, wherein phenyl, pyridyl and naphthyl are optionally substituted with a halogen atom, C1-4 alkyl or C1-4 alkoxy.

Примеры предпочтительных соединений в соответствии с настоящим изобретением включают соединения, описанные в примерах 1-186.Examples of preferred compounds in accordance with the present invention include the compounds described in examples 1-186.

Другие примеры предпочтительных соединений в соответствии с настоящим изобретением включают следующие соединения:Other examples of preferred compounds in accordance with the present invention include the following compounds:

N-{2-хлор-4-[(6,7-диметил-4-хиназолинил)окси]-фенил}-N’-изобутилмочевина;N- {2-chloro-4 - [(6,7-dimethyl-4-quinazolinyl) oxy] phenyl} -N’-isobutylurea;

N-(4-{[7-(бензилокси)-6-метокси-4-хиназолинил]окси}-2-хлорфенил)-N’-пропилмочевина;N- (4 - {[7- (benzyloxy) -6-methoxy-4-quinazolinyl] oxy} -2-chlorophenyl) -N’-propylurea;

N-(4-{[6-(бензилокси)-7-метокси-4-хиназолинил]окси}-2-хлорфенил)-N’-пропилмочевина;N- (4 - {[6- (benzyloxy) -7-methoxy-4-quinazolinyl] oxy} -2-chlorophenyl) -N’-propylurea;

N-(2-хлор-4-{[7-метокси-6-(3-морфолинопропокси)-4-хиназолинил]окси}фенил)-N’-пропилмочевина;N- (2-chloro-4 - {[7-methoxy-6- (3-morpholinopropoxy) -4-quinazolinyl] oxy} phenyl) -N’-propylurea;

N-[2-хлор-4-({6-метокси-7-[2-(lH-1-имидазолил)этокси]-4-хиназолинил}окси)фенил]-N’-этилмочевина;N- [2-chloro-4 - ({6-methoxy-7- [2- (lH-1-imidazolyl) ethoxy] -4-quinazolinyl} oxy) phenyl] -N’-ethylurea;

N-[2-хлор-4-({6-метокси-7-[2-(1Н-1,2,3-триазол-1-ил)этокси]-4-хиназолинил}окси)фенил]-N’-этилмочевина;N- [2-chloro-4 - ({6-methoxy-7- [2- (1H-1,2,3-triazol-1-yl) ethoxy] -4-quinazolinyl} oxy) phenyl] -N'- ethylurea;

N-[2-хлор-4-({6-метокси-7-[3-(1Н-1,2,3-триазол-1-ил)-пропокси]-4-хиназолинил}окси)фенил]-N’-этилмочевина;N- [2-chloro-4 - ({6-methoxy-7- [3- (1H-1,2,3-triazol-1-yl) propoxy] -4-quinazolinyl} oxy) phenyl] -N ' ethyl urea;

N-[2-хлор-4-({6-метокси-7-[2-(4-метилпиперазино)-этокси]-4-хиназолинил}окси)фенил]-N’-этилмочевина;N- [2-chloro-4 - ({6-methoxy-7- [2- (4-methylpiperazino) ethoxy] -4-quinazolinyl} oxy) phenyl] -N’-ethylurea;

N-(2-хлор-4-{[6-метокси-7-(2-морфолинэтокси)-4-хиназолинил]окси}фенил)-N’-этилмочевина;N- (2-chloro-4 - {[6-methoxy-7- (2-morpholinethoxy) -4-quinazolinyl] oxy} phenyl) -N’-ethylurea;

N-(2-хлор-4-{[6-метокси-7-(3-морфолинопропокси)-4-хиназолинил]окси}фенил)-N’-этилмочевина;N- (2-chloro-4 - {[6-methoxy-7- (3-morpholinopropoxy) -4-quinazolinyl] oxy} phenyl) -N’-ethylurea;

N-[2-хлор-4-({6-метокси-7-[2-(диметиламино)-этокси]-4-хиназолинил}окси)фенил]-N’-этилмочевина;N- [2-chloro-4 - ({6-methoxy-7- [2- (dimethylamino) ethoxy] -4-quinazolinyl} oxy) phenyl] -N’-ethylurea;

N-[2-хлор-4-({6-метокси-7-[2-(1H-1-имидазолил)-этокси]-4-хиназолинил}окси)фенил]-N’-пропилмочевина;N- [2-chloro-4 - ({6-methoxy-7- [2- (1H-1-imidazolyl) ethoxy] -4-quinazolinyl} oxy) phenyl] -N’-propylurea;

N-[2-хлор-4-({6-метокси-7-[2-(1Н-1,2,3-триазол-1-ил)этокси]-4-хиназолинил}окси)фенил]-N’-пропилмочевина;N- [2-chloro-4 - ({6-methoxy-7- [2- (1H-1,2,3-triazol-1-yl) ethoxy] -4-quinazolinyl} oxy) phenyl] -N'- propylurea;

N-[2-хлор-4-({6-метокси-7-[3-(1H-1,2,3-триазол-1-ил)пропокси]-4-хиназолинил}окси)фенил]-N’-пропилмочевина;N- [2-chloro-4 - ({6-methoxy-7- [3- (1H-1,2,3-triazol-1-yl) propoxy] -4-quinazolinyl} oxy) phenyl] -N'- propylurea;

N-(2-хлор-4-{[6-метокси-7-(3-морфолинопропокси)-4-хиназолинил]окси}фенил)-N’-пропилмочевина;N- (2-chloro-4 - {[6-methoxy-7- (3-morpholinopropoxy) -4-quinazolinyl] oxy} phenyl) -N’-propylurea;

N-[2-хлор-4-({6-метокси-7-[2-(диметиламино)этокси]-4-хиназолинил}окси)фенил]-N’-пропилмочевина;N- [2-chloro-4 - ({6-methoxy-7- [2- (dimethylamino) ethoxy] -4-quinazolinyl} oxy) phenyl] -N’-propylurea;

N-[2-хлор-4-({6-метокси-7-[2-(1H-1-имидазолил)этокси]-4-хиназолинил}окси)фенил]-N’-бутилмочевина;N- [2-chloro-4 - ({6-methoxy-7- [2- (1H-1-imidazolyl) ethoxy] -4-quinazolinyl} oxy) phenyl] -N’-butylurea;

N-[2-хлор-4-({6-метокси-7-[2-(1H-1,2,3-триазол-1-ил)-этокси]-4-хиназолинил}окси)фенил]-N’-бутилмочевина;N- [2-chloro-4 - ({6-methoxy-7- [2- (1H-1,2,3-triazol-1-yl) -ethoxy] -4-quinazolinyl} oxy) phenyl] -N ' -butylurea;

N-[2-хлор-4-({6-метокси-7-[3-(1H-1,2,3-триазол-1-ил)-пропокси]-4-хиназолинил}окси)фенил]-N’-бутилмочевина;N- [2-chloro-4 - ({6-methoxy-7- [3- (1H-1,2,3-triazol-1-yl) propoxy] -4-quinazolinyl} oxy) phenyl] -N ' -butylurea;

N-[2-хлор-4-({6-метокси-7-[2-(4-метил-пипераэино)этокси]-4-хиназолинил}окси)фенил]-N’-бутилмочевина;N- [2-chloro-4 - ({6-methoxy-7- [2- (4-methyl-piperaino) ethoxy] -4-quinazolinyl} oxy) phenyl] -N’-butylurea;

N-(2-хлор-4-{[6-метокси-7-(2-морфолиноэтокси)-4-хиназолинил]окси}фенил)-N’-бутилмочевина;N- (2-chloro-4 - {[6-methoxy-7- (2-morpholinoethoxy) -4-quinazolinyl] oxy} phenyl) -N’-butylurea;

N-(2-хлор-4-{[6-метокси-7-(3-морфолинопропокси)-4-хиназолинил]окси}фенил)-N’-бутилмочевина;N- (2-chloro-4 - {[6-methoxy-7- (3-morpholinopropoxy) -4-quinazolinyl] oxy} phenyl) -N’-butylurea;

N-[2-хлор-4-({6-метокси-7-[2-(диметиламино)этокси]-4-хиназолинил}окси)фенил]-N’-бутилмочевина; иN- [2-chloro-4 - ({6-methoxy-7- [2- (dimethylamino) ethoxy] -4-quinazolinyl} oxy) phenyl] -N’-butylurea; and

N-[2-хлор-4-({6-метокси-7-[2-(диметиламино)этокси]-4-хинолил}окси)фенил]-N’-пропилмочевина.N- [2-chloro-4 - ({6-methoxy-7- [2- (dimethylamino) ethoxy] -4-quinolyl} oxy) phenyl] -N’-propylurea.

Примеры особенно предпочтительных соединений в соответствии с настоящим изобретением включают:Examples of particularly preferred compounds in accordance with the present invention include:

(13) N-{2-хлор-4-[(6,7-диметокси-4-хинолил)окси]фенил}-N’-пропилмочевина;(13) N- {2-chloro-4 - [(6,7-dimethoxy-4-quinolyl) oxy] phenyl} -N’-propylurea;

(51) N-(2-хлор-4-{[6-метокси-7-(2-морфолинэтокси)-4-хинолил]-окси}фенил)-N’-(2,4-дифторфенил)(51) N- (2-chloro-4 - {[6-methoxy-7- (2-morpholinethoxy) -4-quinolyl] -oxy} phenyl) -N ’- (2,4-difluorophenyl)

(62) N-{2-хлор-4-[(6,7-диметокси-4-хиназолинил)окси]-фенил}-N’-пропилмочевина;(62) N- {2-chloro-4 - [(6,7-dimethoxy-4-quinazolinyl) oxy] phenyl} -N’-propylurea;

(76) N-{2-хлор-4-[(6,7-диметокси-4-хиназолинил)окси]-фенил}-N’-этилмочевина;(76) N- {2-chloro-4 - [(6,7-dimethoxy-4-quinazolinyl) oxy] phenyl} -N’-ethylurea;

(117) N-{2-хлор-4-[(6,7-диметокси-4-хиназолинил)окси]-фенил}-N’-метилмочевина;(117) N- {2-chloro-4 - [(6,7-dimethoxy-4-quinazolinyl) oxy] phenyl} -N’-methylurea;

(119) N-(2-хлор-4-{[6-метокси-7-(3-морфолинпропокси)-4-хиназолинил]окси}фенил)-N’-пропилмочевина;(119) N- (2-chloro-4 - {[6-methoxy-7- (3-morpholinpropoxy) -4-quinazolinyl] oxy} phenyl) -N’-propylurea;

(135) N-(2-хлор-4-{[6-метокси-7-(3-пиперидинпропокси)-4-хиназолинил]окси}фенил)-N’-пропилмочевина;(135) N- (2-chloro-4 - {[6-methoxy-7- (3-piperidinopropoxy) -4-quinazolinyl] oxy} phenyl) -N’-propylurea;

(142) N-(2-хлор-4-{[6-метокси-7-(3-пиридилметокси)-4-хинолил]окси}фенил)-N’-пропилмочевина;(142) N- (2-chloro-4 - {[6-methoxy-7- (3-pyridylmethoxy) -4-quinolyl] oxy} phenyl) -N’-propylurea;

(143) N-(2-хлор-4-{[6-метокси-7-(4-пиридилметокси)-4-хинолил]окси}фенил)-N’-пропилмочевина;(143) N- (2-chloro-4 - {[6-methoxy-7- (4-pyridylmethoxy) -4-quinolyl] oxy} phenyl) -N’-propylurea;

(144) N-(2-хлор-4-{[6-метокси-7-(2-морфолинэтокси)-4-хинолил]окси}фенил)-N’-пропилмочевина;(144) N- (2-chloro-4 - {[6-methoxy-7- (2-morpholinethoxy) -4-quinolyl] oxy} phenyl) -N’-propylurea;

(145) N-[2-хлор-4-([6-метокси-7-[2-(1Н-1,2,3-триазол-1-ил)этокси]-4-хинолил}окси)фенил]-N’-пропилмочевина;(145) N- [2-chloro-4 - ([6-methoxy-7- [2- (1H-1,2,3-triazol-1-yl) ethoxy] -4-quinolyl} oxy) phenyl] - N'-propylurea;

(146) N-[2-хлор-4-((7-[2-(1Н-1-имидазолил)этокси]-6-метокси-4-хинолил]окси)фенил]-N’-пропилмочевина;(146) N- [2-chloro-4 - ((7- [2- (1H-1-imidazolyl) ethoxy] -6-methoxy-4-quinolyl] oxy) phenyl] -N’-propylurea;

(148) N-[2-хлор-4-({6-метокси-7-[2-(4-метилпиперазино)-этокси]-4-хинолил}окси)фенил]-N’-пропилмочевина;(148) N- [2-chloro-4 - ({6-methoxy-7- [2- (4-methylpiperazino) ethoxy] -4-quinolyl} oxy) phenyl] -N’-propylurea;

(149) N-(2-хлор-4-{[7-(2-гидроксиэтокси)-6-метокси-4-хинолил]окси}фенил)-N’-пропилмочевина;(149) N- (2-chloro-4 - {[7- (2-hydroxyethoxy) -6-methoxy-4-quinolyl] oxy} phenyl) -N’-propylurea;

(151) N-(2-хлор-4-{[6-метокси-7-(3-морфолинопропокси)-4-хинолил]окси}фенил)-N’-пропилмочевина;(151) N- (2-chloro-4 - {[6-methoxy-7- (3-morpholinopropoxy) -4-quinolyl] oxy} phenyl) -N’-propylurea;

(152) N-[2-хлор-4-(6-метокси-7-{[3-(4-метилпиперазин)-пропокси]-4-хинолил}окси)фенил]-N’-пропилмочевина;(152) N- [2-chloro-4- (6-methoxy-7 - {[3- (4-methylpiperazine) propoxy] -4-quinolyl} oxy) phenyl] -N’-propylurea;

(153) N-[2-хлор-4-(6-метокси-7-{[3-(1H-1,2,3-триазол-1-ил)пропокси]-4-хинолил}окси)фенил]-N’-пропилмочевина;(153) N- [2-chloro-4- (6-methoxy-7 - {[3- (1H-1,2,3-triazol-1-yl) propoxy] -4-quinolyl} oxy) phenyl] - N'-propylurea;

(157) N-{2-хлор-4-[(7-{3-[(2-гидроксиэтил)-(метил)амино]-пропокси}-6-метокси-4-хинолил)окси]-фенил}-N’-пропилмочевина;(157) N- {2-chloro-4 - [(7- {3 - [(2-hydroxyethyl) - (methyl) amino] propoxy} -6-methoxy-4-quinolyl) oxy] phenyl} -N '-propylurea;

(159) N-{2-хлор-4-[(6-метокси-7-{[5-(1Н-1,2,3-триазол-1-ил)пентил]окси}-4-хинолил)окси]фенил}-N’-пропилмочевина;(159) N- {2-chloro-4 - [(6-methoxy-7 - {[5- (1H-1,2,3-triazol-1-yl) pentyl] oxy} -4-quinolyl) oxy] phenyl} -N'-propylurea;

(160) N-[2-хлор-4-({7-[4-(1Н-1-имидазолил)бутокси]-6-метокси-4-хинолил}окси)фенил]-N’-пропилмочевина;(160) N- [2-chloro-4 - ({7- [4- (1H-1-imidazolyl) butoxy] -6-methoxy-4-quinolyl} oxy) phenyl] -N’-propylurea;

(162) N-(2-хлор-4-{[6-метокси-7-(2-морфолинэтокси)-4-хиназолинил]окси}фенил)-N’-(2,4-дифторфенил)мочевина;(162) N- (2-chloro-4 - {[6-methoxy-7- (2-morpholinethoxy) -4-quinazolinyl] oxy} phenyl) -N ’- (2,4-difluorophenyl) urea;

(163) N-(2-хлор-4-{[6-метокси-7-(3-морфолинпропокси)-4-хиназолинил]окси}фенил)-N’-(2,4-дифторфенил)мочевина;(163) N- (2-chloro-4 - {[6-methoxy-7- (3-morpholinpropoxy) -4-quinazolinyl] oxy} phenyl) -N ’- (2,4-difluorophenyl) urea;

(164) N-[2-хлор-4-({6-метокси-7-[3-(4-метилпиперазино)-пропокси]-4-хиназолинил]окси)фенил]-N’-(2,4-дифторфенил)-мочевина;(164) N- [2-chloro-4 - ({6-methoxy-7- [3- (4-methylpiperazino) propoxy] -4-quinazolinyl] oxy) phenyl] -N '- (2,4-difluorophenyl )-urea;

(165) N-{2-хлор-4-[(7-{3-[(2-гидроксиэтил)-(метил)амино]-пропокси}-6-метокси-4-хиназолинил)окси]-фенил}-N’-(2,4-дифторфенил)мочевина;(165) N- {2-chloro-4 - [(7- {3 - [(2-hydroxyethyl) - (methyl) amino] propoxy} -6-methoxy-4-quinazolinyl) oxy] phenyl} -N '- (2,4-difluorophenyl) urea;

(168) N-(2-хлор-4-{[6-метокси-7-(3-морфолинпропокси)-4-хинолил]окси}фенил)-N’-(2,4-дифторфенил)мочевина;(168) N- (2-chloro-4 - {[6-methoxy-7- (3-morpholinpropoxy) -4-quinolyl] oxy} phenyl) -N ’- (2,4-difluorophenyl) urea;

(169) N-(2-хлор-4-{[6-метокси-7-(3-пиридилметокси)-4-хинолил]окси}фенил)-N’-(2,4-дифторфенил)мочевина;(169) N- (2-chloro-4 - {[6-methoxy-7- (3-pyridylmethoxy) -4-quinolyl] oxy} phenyl) -N ’- (2,4-difluorophenyl) urea;

(170) N-[2-хлор-4-({6-метокси-7-[2-(1Н-1,2,3-триазол-1-ил)этокси]-4-хинолил}окси)фенил]-N’-(2,4-дифторфенил)мочевина;(170) N- [2-chloro-4 - ({6-methoxy-7- [2- (1H-1,2,3-triazol-1-yl) ethoxy] -4-quinolyl} oxy) phenyl] - N '- (2,4-difluorophenyl) urea;

(184) N-(2-хлор-4-{[6-метокси-7-(3-пиперидинпропокси)-4-хиназолинил]окси}фенил)-N’-метилмочевина;(184) N- (2-chloro-4 - {[6-methoxy-7- (3-piperidinopropoxy) -4-quinazolinyl] oxy} phenyl) -N’-methylurea;

(185) N-(2-хлор-4-{[6-метокси-7-(3-пиперидинпропокси)-4-хиназолинил]окси}фенил)-N’-этилмочевина; и(185) N- (2-chloro-4 - {[6-methoxy-7- (3-piperidinopropoxy) -4-quinazolinyl] oxy} phenyl) -N’-ethylurea; and

(186) N-(2-хлор-4-{[6-метокси-7-(4-пиридилметокси)-4-хинолил]окси}фенил)-N’-(2,4-дифторфенил)мочевина.(186) N- (2-chloro-4 - {[6-methoxy-7- (4-pyridylmethoxy) -4-quinolyl] oxy} phenyl) -N ’- (2,4-difluorophenyl) urea.

Примеры более предпочтительных соединений в соответствии с настоящим изобретением включают следующие соединения:Examples of more preferred compounds in accordance with the present invention include the following compounds:

(62) N-{2-хлор-4-[(6,7-диметокси-4-хиназолинил)окси]-фенил}-N’-пропилмочевина;(62) N- {2-chloro-4 - [(6,7-dimethoxy-4-quinazolinyl) oxy] phenyl} -N’-propylurea;

(142) N-(2-хлор-4-{[6-метокси-7-(3-пиридилметокси)-4-хинолил]окси}фенил)-N’-пропилмочевина; и(142) N- (2-chloro-4 - {[6-methoxy-7- (3-pyridylmethoxy) -4-quinolyl] oxy} phenyl) -N’-propylurea; and

(169) N-(2-хлор-4-{[6-метокси-7-(3-пиридилметокси)-4-хинолил]окси}фенил)-N’-(2,4-дифторфенил)мочевина.(169) N- (2-chloro-4 - {[6-methoxy-7- (3-pyridylmethoxy) -4-quinolyl] oxy} phenyl) -N ’- (2,4-difluorophenyl) urea.

Соединения в соответствии с настоящим изобретением могут образовывать фармацевтически приемлемые соли. Предпочтительные примеры таких солей включают: соли щелочных или щелочно-земельных металлов, такие как соли натрия, калия или кальция; соли галогенводородных кислот, такие как гидрофториды, гидрохлориды, гидробромиды или гидроиодиды; соли неорганических кислот, такие как соли азотной кислоты, перхлорной кислоты, серной кислоты или фосфорной кислоты; соли низших алкилсульфоновых кислот, такие как соли метансульфоновой кислоты, трифторметансульфоновой кислоты или этансульфоновой кислоты; соли арилсульфоновых кислот, такие как соли бензолсульфоновой кислоты или п-толуолсульфоновой кислоты; соли органических кислот, такие как соли фумаровой, янтарной, лимонной, винно-каменной, щавелевой, малеиновой, уксусной, яблочной, молочной или аскорбиновой кислот; и соли, образованные с аминокислотами, такие как соли глицина, фенилаланина, глутаминовой кислоты или аспарагиновой кислоты.The compounds of the present invention may form pharmaceutically acceptable salts. Preferred examples of such salts include: alkali or alkaline earth metal salts, such as sodium, potassium or calcium salts; hydrogen halide salts such as hydrofluorides, hydrochlorides, hydrobromides or hydroiodides; inorganic acid salts, such as salts of nitric acid, perchloric acid, sulfuric acid or phosphoric acid; salts of lower alkyl sulfonic acids, such as salts of methanesulfonic acid, trifluoromethanesulfonic acid or ethanesulfonic acid; salts of arylsulfonic acids, such as salts of benzenesulfonic acid or p-toluenesulfonic acid; organic acid salts such as salts of fumaric, succinic, citric, tartaric, oxalic, maleic, acetic, malic, lactic or ascorbic acids; and salts formed with amino acids, such as salts of glycine, phenylalanine, glutamic acid or aspartic acid.

Кроме того, соединения в соответствии с настоящим изобретением могут включать сольваты (например, гидраты).In addition, the compounds of the present invention may include solvates (e.g. hydrates).

Получение соединенийGetting connections

Соединения в соответствии с настоящим изобретением могут быть получены, например, по схеме 1 или 2.Compounds in accordance with the present invention can be obtained, for example, according to scheme 1 or 2.

Figure 00000004
Figure 00000004

Исходные соединения, необходимые для синтеза соединений в соответствии с настоящим изобретением, могут быть коммерчески доступными, или, альтернативно, могут быть получены обычным способом. Например, 4-хлорхинолиновое производное можно синтезировать обычным способом, как описано в Org. Synth. Col. Vol. 3, 272 (1955), Acta Chim. Hung., 112, 241 (1983) или WO 98/47873. 4-Хлорхиназолиновое производное можно синтезировать обычным способом, как описано в J. Am. Chem. Soc., 68, 1299 (1946) или J. Am. Chem. Soc., 68, 1305 (1946).The starting compounds necessary for the synthesis of compounds in accordance with the present invention can be commercially available, or, alternatively, can be obtained in the usual way. For example, the 4-chloroquinoline derivative can be synthesized in the usual way, as described in Org. Synth. Col. Vol. 3, 272 (1955), Acta Chim. Hung., 112, 241 (1983) or WO 98/47873. The 4-chloroquinazoline derivative can be synthesized in the usual manner as described in J. Am. Chem. Soc., 68, 1299 (1946) or J. Am. Chem. Soc. 68, 1305 (1946).

Альтернативно, 4-хлорхиназолиновое производное может быть получено с помощью способа, который включает стадии: (1) сначала взаимодействие эфира бензойной кислоты с формамидом с получением хиназолонового производного (см. пример получения 34), и (2) затем нагревание 4-хиназолонового производного с использованием толуола или сульфолана в качестве растворителя в присутствии оксихлорида фосфора (см. примеры получения 35 и 36). Хиназолоновое производное обычно синтезируют в присутствии эфира бензойной кислоты, метоксида натрия, формамида и такого растворителя, как ДМФ или метанол. На стадии (1) реакция протекает в системе, где присутствуют только эфир бензойной кислоты и формальдегид. Преимущество заключается в том, что синтез можно проводить с использованием небольших количеств исходных соединений. 4-Хиназалоновое производное обычно галогенируют путем нагревания хиназолонового производного и оксихлорида фосфора. В этом случае, зачастую, вследствие высокой реакционноспособности хиназолинового производного растворитель вызывает преобразование хиназолинового производного в исходное соединение и, следовательно, делает невозможным завершение реакции. На стадии (2) реакция завершается в присутствии толуола или сульфолана и, таким образом, имеет преимущество с точки зрения увеличения выхода.Alternatively, the 4-chloroquinazoline derivative can be prepared using a process that comprises the steps of: (1) first reacting the benzoic acid ester with formamide to give the quinazolone derivative (see Production Example 34), and (2) then heating the 4-quinazolone derivative with using toluene or sulfolane as a solvent in the presence of phosphorus oxychloride (see Production Examples 35 and 36). The quinazolone derivative is usually synthesized in the presence of benzoic acid ester, sodium methoxide, formamide and a solvent such as DMF or methanol. At stage (1), the reaction proceeds in a system where only benzoic acid ester and formaldehyde are present. The advantage is that the synthesis can be carried out using small amounts of the starting compounds. The 4-quinazalone derivative is usually halogenated by heating the quinazolone derivative and phosphorus oxychloride. In this case, often, due to the high reactivity of the quinazoline derivative, the solvent causes the quinazoline derivative to be converted to the parent compound and, therefore, the reaction cannot be completed. In step (2), the reaction is completed in the presence of toluene or sulfolane, and thus has an advantage in terms of increasing yield.

Далее, 4-хлорхинолиновое производное или соответствующее хиназолиновое производное подвергают взаимодействию с нитрофенолом в присутствии подходящего растворителя или в отсутствии растворителя, для того чтобы синтезировать 4-(нитрофенокси)хинолиновое производное или соответствующее хиназолиновое производное, которое затем перемешивают в подходящем растворителе, например N,N-диметилформамиде, в присутствии катализатора, например гидроксида палладия на угле или палладия на угле, в атмосфере водорода с получением 4-(аминофенокси)хинолинового производного или соответствующего хиназолинового производного. Альтернативно, 4-хлорхинолиновое производное или соответствующее хиназолиновое производное можно подвергнуть взаимодействию с аминофенолом в присутствии основания, например гидрида нитрия, с получением 4-(аминофенокси)хинолинового производного или соответствующего хиназолинового производного.Further, the 4-chloroquinoline derivative or the corresponding quinazoline derivative is reacted with nitrophenol in the presence of a suitable solvent or in the absence of a solvent in order to synthesize the 4- (nitrophenoxy) quinoline derivative or the corresponding quinazoline derivative, which is then mixed in a suitable solvent, for example N, N -dimethylformamide, in the presence of a catalyst, for example palladium hydroxide on carbon or palladium on coal, in a hydrogen atmosphere to give 4- (aminophenoxy) quinol New derivative or a corresponding quinazoline derivative. Alternatively, the 4-chloroquinoline derivative or the corresponding quinazoline derivative can be reacted with aminophenol in the presence of a base, for example nitrile hydride, to give the 4- (aminophenoxy) quinoline derivative or the corresponding quinazoline derivative.

Альтернативно, 4-(аминофенокси)хинолиновое производное, или соответствующее хиназолиновое производное, может быть также получено следующим образом: аминофенол растворяют в водном растворе гидроксида натрия и затем раствор подвергают двухфазному взаимодействию с раствором 4-хлорхиназолинового производного, или соответствующего хиназолинового производного, в органическом растворителе в присутствии катализатора фазового переноса, или в отсутствии катализатора (см. примеры получения 37 и 38). В данной реакции, например, фенол остается непрореагировавшим, а продукт разложения 4-хлорхиназолина остается в водном слое, в то время как целевой продукт присутствует в органическом слое. То есть органический слой содержит только целевой продукт. Следовательно, процедура, следующая после обработки, является преимущественно простой. Кроме того, получение N-алкиламинофенокси-хиназолина как побочного продукта может быть преимущественно подавлено.Alternatively, the 4- (aminophenoxy) quinoline derivative, or the corresponding quinazoline derivative, can also be prepared as follows: aminophenol is dissolved in an aqueous solution of sodium hydroxide and then the solution is subjected to two-phase reaction with a solution of the 4-chloroquinazoline derivative, or the corresponding quinazoline derivative, in an organic solvent in the presence of a phase transfer catalyst, or in the absence of a catalyst (see Production Examples 37 and 38). In this reaction, for example, phenol remains unreacted, and the decomposition product of 4-chloroquinazoline remains in the aqueous layer, while the target product is present in the organic layer. That is, the organic layer contains only the target product. Therefore, the procedure following processing is predominantly simple. In addition, the production of N-alkylaminophenoxy-quinazoline as a by-product can be advantageously suppressed.

Figure 00000005
Figure 00000005

Полученное таким образом 4-(аминофенокси)хинолиновое производное или соответствующее хиназолиновое производное может взаимодействовать с хлорангидридом кислоты или ангидридом кислоты в присутствии основания с последующим восстановлением, например, с помощью алюмогидрида лития, для введения заместителя в R9 (стадия 1А).The 4- (aminophenoxy) quinoline derivative thus obtained or the corresponding quinazoline derivative can be reacted with an acid chloride or acid anhydride in the presence of a base, followed by reduction, for example, using lithium aluminum hydride, to introduce a substituent in R9 (step 1A).

Альтернативно, 4-(аминофенокси)хинолиновое производное или соответствующее хиназолиновое производное может взаимодействовать с альдегидом или кетоном с получением имина с последующим восстановлением, например, с помощью борцианогидрида натрия, для введения заместителя в R9 (стадия 1В).Alternatively, the 4- (aminophenoxy) quinoline derivative or the corresponding quinazoline derivative can be reacted with an aldehyde or ketone to give an imine, followed by reduction, for example, with sodium boro-cyanohydride, to introduce a substituent in R9 (step 1B).

Производное с заместителем, введенным в R9, взаимодействует с изоцианатным производным (O=C=N-R11) обычным способом (стадия 2), и подходящий алкилирующий реагент (R10Hal) взаимодействует в присутствии основания, например, гидрида нитрия (стадия 3), с получением соединения формулы (I).A derivative with a substituent introduced in R9 is reacted with an isocyanate derivative (O = C = NR11 ) in the usual manner (step 2), and a suitable alkylating reagent (R10 Hal) is reacted in the presence of a base, for example, nitride hydride (step 3) , to obtain the compounds of formula (I).

Альтернативно, R9 и R10 могут быть также введены путем взаимодействия подходящего алкилирующего агента (R9Hal, R10Hal) с производным мочевины, где R9 и/или R10 представляют собой атом водорода, в присутствии основания, например, гидрида нитрия (стадии 5 и 7).Alternatively, R9 and R10 can also be introduced by reacting a suitable alkylating agent (R9 Hal, R10 Hal) with a urea derivative, where R9 and / or R10 represent a hydrogen atom, in the presence of a base, for example, nitride hydride (stages 5 and 7).

Производное мочевины, где R9 и/или R10 представляют собой атом водорода, может быть получено в результате взаимодействия изоцианатного производного с 4-(аминофенокси)хинолиновым производным или соответствующим хиназолиновым производным, полученным по схеме 1, обычным методом, или путем добавления трифосгена к 4-(аминофенокси)хинолиновому производному, или соответствующему хиназолиновому производному в присутствии основания, например триэтиламина, и затем взаимодействия смеси с подходящим алкиламином (R11NH2, R10R11NH) (стадии 4 и 6).A urea derivative, where R9 and / or R10 represents a hydrogen atom, can be obtained by reacting an isocyanate derivative with a 4- (aminophenoxy) quinoline derivative or the corresponding quinazoline derivative obtained according to Scheme 1, by a conventional method, or by adding triphosgene to 4- (aminophenoxy) quinoline derivative, or the corresponding quinazoline derivative in the presence of a base, for example triethylamine, and then the mixture is reacted with a suitable alkylamine (R11 NH2 , R10 R11 NH) (steps 4 and 6).

Производное, имеющее специфический заместитель в 7-положении хинолинового цикла, может быть получено, например, в соответствии со схемой 3.A derivative having a specific substituent at the 7-position of the quinoline ring can be obtained, for example, in accordance with Scheme 3.

Figure 00000006
Figure 00000006

Подходящий заместитель (например, бензил) может взаимодействовать с коммерчески доступным 4’-гидроксиацетофеноновым производным для защиты гидроксильной группы с последующим взаимодействием с нитрирующим агентом (например, азотная кислота-уксусная кислота) для введения нитрогруппы.A suitable substituent (e.g. benzyl) may be reacted with a commercially available 4'-hydroxyacetophenone derivative to protect the hydroxyl group, followed by reaction with a nitrating agent (e.g. nitric acid-acetic acid) to introduce a nitro group.

Затем нитрогруппа может быть восстановлена до аминогруппы, которая затем взаимодействует с эфиром муравьиной кислоты в присутствии основания с образованием хинолонового цикла с последующим взаимодействием с хлорирующим агентом, например оксихлоридом фосфора, с получением 4-хлорхинолинового производного.Then, the nitro group can be reduced to an amino group, which then interacts with formic acid ester in the presence of a base to form a quinolone ring, followed by reaction with a chlorinating agent, for example phosphorus oxychloride, to give the 4-chloroquinoline derivative.

Полученное таким образом 4-хлорхинолиновое производное может взаимодействовать с аминофенолом в присутствии основания, например гидрида нитрия, с получением 4-(аминофенокси)хинолинового производного.The 4-chloroquinoline derivative thus obtained can be reacted with aminophenol in the presence of a base, for example nitrile hydride, to give the 4- (aminophenoxy) quinoline derivative.

Фрагмент мочевины может быть синтезирован путем взаимодействия изоцианатного производного (O=C=N-R29) с полученным таким образом производным обычным методом, или путем обработки производного трифосгеном, и затем взаимодействия ароматического амина или алкиламина (R29NH2) с обработанным производным.A urea fragment can be synthesized by reacting an isocyanate derivative (O = C = NR29 ) with the derivative thus obtained by the usual method, or by treating the derivative with triphosgene, and then reacting the aromatic amine or alkylamine (R29 NH2 ) with the treated derivative.

Далее, защитная группа (PG) гидроксильной группы в 7 положении хинолинового цикла может быть удалена, после чего проводят реакцию с алкилгалогенидом (R22’Hal, где R22’ представляет собой алкильный фрагмент, если R22 представляет собой алкокси) в присутствии основания, или со спиртовым производным (R22’OH) обычным методом, например, путем реакции Mitsunobu, с получением соединения настоящего изобретения, имеющего алкоксильную группу в 7 положении хинолинового цикла.Further, the protecting group (PG) of the hydroxyl group at the 7th position of the quinoline ring can be removed and then reacted with an alkyl halide (R22 'Hal, where R22 ' is an alkyl moiety if R22 is an alkoxy) in the presence of a base, or with an alcohol derivative (R22 'OH) by a conventional method, for example, by reaction of Mitsunobu, to obtain a compound of the present invention having an alkoxyl group at the 7 position of the quinoline ring.

Алкилгалогенид, используемый в реакции замещения, может быть коммерчески доступным или может быть получен по способу, описанному, например, в J. Am. Chem. Soc., 1945, 67, 736.The alkyl halide used in the substitution reaction may be commercially available or may be prepared according to the method described, for example, in J. Am. Chem. Soc., 1945, 67, 736.

Спиртовое производное, используемое в реакции замещения, может быть коммерчески доступным или может быть получено по способу, описанному, например, в J. Antibiot. (1993), 46(1), 177 и Ann. Pharm. Fr. 1977, 35, 503.The alcohol derivative used in the substitution reaction may be commercially available or may be prepared according to the method described, for example, in J. Antibiot. (1993), 46 (1), 177 and Ann. Pharm. Fr 1977, 35, 503.

Производное, имеющее конкретный заместитель в 6 положении хинолинового цикла, может быть получено с использованием 3’-гидроксиацетофенонового производного в качестве исходного соединения по способу, приведенному на схеме 3.A derivative having a specific substituent at the 6th position of the quinoline ring can be prepared using the 3’-hydroxyacetophenone derivative as a starting compound according to the method shown in Scheme 3.

Производное, имеющее конкретный заместитель в 7 положении хиназолинового цикла, может быть получено по способу, приведенному на схеме 4.A derivative having a specific substituent in the 7th position of the quinazoline cycle can be obtained by the method shown in scheme 4.

Figure 00000007
Figure 00000007

Производное эфира 2-аминобензойной кислоты может быть получено путем этерификации производного 2-нитробензойной кислоты, синтезированного по способу, описанному, например, в J. Med. Chem. 1977, 20, 146, например, с использованием диметил-серной кислоты в присутствии основания, например карбоната калия, и затем восстановления нитрогруппы, например, с помощью железа/уксусной кислоты.The 2-aminobenzoic acid ester derivative can be obtained by esterification of the 2-nitrobenzoic acid derivative synthesized according to the method described, for example, in J. Med. Chem. 1977, 20, 146, for example, using dimethyl sulfuric acid in the presence of a base, such as potassium carbonate, and then reducing the nitro group, for example, using iron / acetic acid.

Далее, полученное таким образом соединение взаимодействует с формамидом в присутствии основания с образованием 4-хиназолонового цикла, с последующим взаимодействием с хлорирующим агентом, например оксихлоридом фосфора, с получением 4-хлорхиназолинового производного.Further, the compound thus obtained is reacted with formamide in the presence of a base to form a 4-quinazolone ring, followed by reaction with a chlorinating agent, for example phosphorus oxychloride, to give a 4-chloroquinazoline derivative.

Полученное таким образом 4-хлорхиназолиновое производное взаимодействует с аминофенольным производным в присутствии основания, например гидрида нитрия, с получением 4-(аминофенокси)хиназолинового производного.The 4-chloroquinazoline derivative thus obtained is reacted with an aminophenol derivative in the presence of a base, for example nitrile hydride, to give a 4- (aminophenoxy) quinazoline derivative.

Фрагмент мочевины может быть синтезирован путем взаимодействия изоцианатного производного (O=C=N-R29) с полученным таким образом производным с помощью традиционного способа или путем взаимодействия производного с трифосгеном и затем взаимодействия ароматического амина или алкиламина (R29NH2) с обработанным производным.A urea fragment can be synthesized by reacting an isocyanate derivative (O = C = NR29 ) with the derivative thus obtained using the traditional method or by reacting the derivative with triphosgene and then reacting the aromatic amine or alkylamine (R29 NH2 ) with the treated derivative.

Далее, защитная группа (PG) гидроксильной группы в 7 положении хиназолинового цикла может быть удалена, после чего проводят реакцию с алкилгалогенидом (R22’Hal, где R22’ представляет собой алкильный фрагмент, если R22 представляет собой алкокси) в присутствии основания, или со спиртовым производным (R22’OH) с помощью традиционного метода, например реакции Mitsunobu, с получением соединения настоящего изобретения, имеющего алкоксильную группу в 7 положении хиназолинового цикла.Further, the protecting group (PG) of the hydroxyl group at the 7th position of the quinazoline ring can be removed and then reacted with an alkyl halide (R22 'Hal, where R22 ' is an alkyl moiety if R22 is an alkoxy) in the presence of a base, or with an alcohol derivative (R22 'OH) using a conventional method, for example, the Mitsunobu reaction, to obtain a compound of the present invention having an alkoxyl group at the 7 position of the quinazoline ring.

Алкилгалогенид и спиртовое производное, использующиеся в реакции замещения, могут быть коммерчески доступными или могут быть получены по способу, описанному в литературе, в соответствии с описанием схемы 3.The alkyl halide and alcohol derivative used in the substitution reaction may be commercially available or may be prepared according to the method described in the literature, as described in Scheme 3.

Производное, имеющее конкретный заместитель в 6 положении хиназолинового цикла, может быть получено с использованием 3-гидроксибензальдегидного производного в качестве исходного соединения, в соответствии со схемой 4.A derivative having a specific substituent in the 6th position of the quinazoline ring can be obtained using the 3-hydroxybenzaldehyde derivative as the starting compound, according to Scheme 4.

Применение соединений/фармацевтическая композицияThe use of compounds / pharmaceutical composition

Соединения в соответствии с настоящим изобретением обладают ингибирующей активностью по отношению к пролиферации опухоли in vivo (см. пример фармакологического теста 4).Compounds in accordance with the present invention have inhibitory activity against tumor proliferation in vivo (see Pharmacological Test Example 4).

Кроме того, соединения в соответствии с настоящим изобретением ингибируют in vitro активацию МАРК (митогенактивированной протеинкиназы), вызванную стимуляцией сосудистых эндотелиальных клеток под действием VEGF (фактор роста эндотелия сосудов) (см. примеры фармакологических тестов 1 и 2). При стимуляции клеток эндотелия сосудов под действием VEGF МАРК активируется посредством системы передачи сигнала, расположенной после рецептора, и впоследствии наблюдается увеличение фосфорилированного МАРК (Abedi, H. and Zachary, I., J.Biol. Chem., 272, 15442-15451 (1997)). Известно, что активация МАРК играет важную роль в процессе роста клеток эндотелия сосудов в ангиогенезе (Merenmies, J. et al., Cell Growth & Differ., 83-10 (1997); and Ferrara, N. and Davis-Smyth, Т., Endocr. Rev., 18, 4-25 (1997)). Следовательно, соединения в соответствии с настоящим изобретением обладают ингибиторной активностью по отношению к ангиогенезу.In addition, the compounds of the present invention inhibit in vitro activation of MAPK (mitogen-activated protein kinase) caused by stimulation of vascular endothelial cells by VEGF (vascular endothelial growth factor) (see Pharmacological Test Examples 1 and 2). When vascular endothelial cells are stimulated by VEGF, MAPK is activated by a signal transmission system located after the receptor, and subsequently an increase in phosphorylated MAPK is observed (Abedi, H. and Zachary, I., J. Biol. Chem., 272, 15442-15451 (1997 )). Activation of MAPK is known to play an important role in the growth of vascular endothelial cells in angiogenesis (Merenmies, J. et al., Cell Growth & Differ., 83-10 (1997); and Ferrara, N. and Davis-Smyth, T. , Endocr. Rev. 18, 4-25 (1997)). Therefore, the compounds in accordance with the present invention have inhibitory activity against angiogenesis.

Ангиогенез в патологических участках связан в основном с такими заболеваниями, как опухоль, диабетическая ретинопатия, хронический ревматизм, псориаз, атеросклероз и саркома Капоши, а также метастазы солидных опухолей (Forkman, J. Nature Med. 1: 27-31 (1995); Bicknell, R., Harris, A.L. Curr. Opin. Oncol. 8: 60-65 (1996)). Следовательно, соединения в соответствии с настоящим изобретением могут применяться при лечении таких заболеваний, как опухоль, диабетическая ретинопатия, хронический ревматизм, псориаз, атеросклероз и саркома Капоши, а также метастазы солидных опухолей.Angiogenesis in pathological areas is mainly associated with diseases such as tumor, diabetic retinopathy, chronic rheumatism, psoriasis, atherosclerosis and Kaposi’s sarcoma, as well as solid tumor metastases (Forkman, J. Nature Med. 1: 27-31 (1995); Bicknell , R., Harris, AL Curr. Opin. Oncol. 8: 60-65 (1996)). Therefore, the compounds of the present invention can be used in the treatment of diseases such as tumor, diabetic retinopathy, chronic rheumatism, psoriasis, atherosclerosis and Kaposi’s sarcoma, as well as metastases of solid tumors.

Соединения в соответствии с настоящим изобретением не оказывают значительного влияния на цитоморфоз (см. пример фармакологического теста 3). Следовательно, введение живым организмам соединений в соответствии с настоящим изобретением является в значительной степени безопасным.Compounds in accordance with the present invention do not have a significant effect on cytomorphosis (see Pharmacological Test Example 3). Therefore, administration to a living organism of the compounds of the present invention is substantially safe.

В соответствии с настоящим изобретением предоставляется фармацевтическая композиция, включающая соединение настоящего изобретения. Фармацевтическая композиция в соответствии с настоящим изобретением может применяться при лечении таких заболеваний, как опухоль, диабетическая ретинопатия, хронический ревматизм, псориаз, атеросклероз и саркома Капоши, а также метастазы солидных опухолей.In accordance with the present invention, there is provided a pharmaceutical composition comprising a compound of the present invention. The pharmaceutical composition in accordance with the present invention can be used in the treatment of diseases such as tumor, diabetic retinopathy, chronic rheumatism, psoriasis, atherosclerosis and Kaposi’s sarcoma, as well as metastases of solid tumors.

Кроме того, в соответствии с настоящим изобретением предложен способ лечения заболевания, выбранного из группы, состоящей из опухоли, диабетической ретинопатии, хронического ревматизма, псориаза, атеросклероза и саркома Капоши, включающий стадию введения млекопитающим соединения настоящего изобретения вместе с фармацевтичевски приемлемым носителем.In addition, the present invention provides a method for treating a disease selected from the group consisting of a tumor, diabetic retinopathy, chronic rheumatism, psoriasis, atherosclerosis and Kaposi’s sarcoma, comprising the step of administering to the mammal a compound of the present invention together with a pharmaceutically acceptable carrier.

Соединения настоящего изобретения могут быть введены человеку и животным перорально или парентерально с помощью таких способов введения, как, например, внутривенный, внутримышечный, подкожный, ректальный или чрезкожный. Следовательно, фармацевтическую композицию, включающую в качестве активного ингредиента соединение настоящего изобретения, получают в подходящих дозированных формах, соответствующих способам введения.The compounds of the present invention can be administered to humans and animals orally or parenterally using such methods of administration as, for example, intravenous, intramuscular, subcutaneous, rectal or transdermal. Therefore, a pharmaceutical composition comprising, as an active ingredient, a compound of the present invention is prepared in suitable dosage forms corresponding to the modes of administration.

А именно, препараты для перорального введения включают таблетки, капсулы, порошки, гранулы и сиропы, а препараты для парентерального введения включают растворы для инъекций, свечи, кассеты и мази.Namely, preparations for oral administration include tablets, capsules, powders, granules and syrups, and preparations for parenteral administration include solutions for injection, suppositories, cartridges and ointments.

Данные различные препараты могут быть получены с помощью обычных методов, например, с использованием традиционно применяющихся компонентов, таких как эксципиенты, разрыхляющие средства, связующие средства, смазывающие средства, красители и разбавители.These various preparations can be obtained using conventional methods, for example, using traditionally used components such as excipients, disintegrants, binders, lubricants, dyes and diluents.

Эксципиенты включают, например, лактозу, глюкозу, кукурузный крахмал, сорбит и кристаллическую целлюлозу. Разрыхляющие средства включают, например, крахмал, альгинат натрия, порошок желатина, карбонат кальция, цитрат кальция и декстрин. Связующие средства включают, например, диметилцеллюлозу, поливиниловый спирт, поливиниловый эфир, метилцеллюлозу, этилцеллюлозу, гуммиарабик, желатин, гидроксипропилцеллюлозу и поливинилпирролидон. Смазывающие средства включают, например, тальк, стеарат магния, полиэтиленгликоль и гидрированные растительные масла.Excipients include, for example, lactose, glucose, corn starch, sorbitol, and crystalline cellulose. Disintegrants include, for example, starch, sodium alginate, gelatin powder, calcium carbonate, calcium citrate and dextrin. Binders include, for example, dimethyl cellulose, polyvinyl alcohol, polyvinyl ether, methyl cellulose, ethyl cellulose, gum arabic, gelatin, hydroxypropyl cellulose and polyvinyl pyrrolidone. Lubricating agents include, for example, talc, magnesium stearate, polyethylene glycol and hydrogenated vegetable oils.

При приготовлении растворов для инъекций, если необходимо, могут быть добавлены, например, буферы, средства для установления рН, стабилизаторы, тонизирующие средства и консерваторы.In the preparation of injectable solutions, if necessary, buffers, pH adjusting agents, stabilizers, tonic agents and preservatives can be added.

Содержание соединения настоящего изобретения в фармацевтической композиции в соответствии с настоящим изобретением может варьировать соответственно дозированной форме. В основном, однако, содержание составляет от 0,5 до 50%, предпочтительно от 1 до 20% от общей массы композиции.The content of the compounds of the present invention in the pharmaceutical composition in accordance with the present invention may vary accordingly dosage form. Basically, however, the content is from 0.5 to 50%, preferably from 1 to 20%, of the total weight of the composition.

Доза может быть, соответственно, определена с учетом, например, возраста, массы, пола, различия в заболеваниях и тяжести состояния пациентов, и препарат может быть введен, например, в количестве, составляющем от 0,1 до 100 мг/кг, предпочтительно от 1 до 50 мг/кг. Данную дозу вводят ежедневно в один прием или разделяют на несколько приемов в день.The dose can be accordingly determined taking into account, for example, age, weight, gender, differences in diseases and severity of the patient’s condition, and the preparation can be administered, for example, in an amount of 0.1 to 100 mg / kg, preferably 1 to 50 mg / kg. This dose is administered daily in one dose or divided into several doses per day.

Соединение настоящего изобретения может быть введено в сочетании с другим(и) лекарственным(и) средством(ами). В данном случае, соединение настоящего изобретения можно вводить одновременно с введением одного или нескольких других лекарственных средств, или до, или после введения других лекарственных средств. Например, если заболеванием является злокачественная опухоль, обеспечивают воздействие соединения настоящего изобретения на целевые клетки эндотелия сосудов, что вызывает регрессию опухоли, затем вводят канцеростатический агент для эффективного устранения опухоли. Способ, частота введения и т.п. для канцеростатического агента могут быть определены в зависимости от, например, типа ракового заболевания и состояния пациентов. Данный способ является верным для лечения заболеваний, отличных от злокачественной опухоли.The compound of the present invention may be administered in combination with other drug (s) agent (s). In this case, the compound of the present invention can be administered simultaneously with the introduction of one or more other drugs, either before or after the introduction of other drugs. For example, if the disease is a malignant tumor, the compounds of the present invention are exposed to target vascular endothelial cells, which causes tumor regression, then a carcinostatic agent is administered to effectively eliminate the tumor. Method, frequency of administration, etc. for a carcinostatic agent can be determined depending on, for example, the type of cancer and the condition of the patients. This method is true for the treatment of diseases other than malignant tumors.

Далее, в соответствии с настоящим изобретением, предоставляется способ ингибирования ангиогенеза целевых кровеносных сосудов, включающий стадию приведения соединения настоящего изобретения в контакт с эндотелиальными клетками целевых кровеносных сосудов. Целевые кровеносные сосуды включают кровеносные сосуды, участвующих в снабжении тканей, пораженных заболеванием (например, опухолевых тканей, ретинопатических тканей или ревматических тканей). Соединение настоящего изобретения может быть приведено в контакт с эндотелиальными клетками сосудов, например, в результате общего введения (например, внутривенного или перорального введения), локального введения (например, чрезкожного или внутрисуставного введения), или целевой доставки лекарственного средства с использованием носителя (например, липосомы, липидной микросферы или полимерных форм лекарственных препаратов).Further, in accordance with the present invention, there is provided a method of inhibiting angiogenesis of target blood vessels, comprising the step of bringing the compound of the present invention into contact with endothelial cells of the target blood vessels. Target blood vessels include blood vessels involved in the supply of diseased tissues (e.g., tumor tissues, retinopathic tissues, or rheumatic tissues). The compound of the present invention can be brought into contact with vascular endothelial cells, for example, as a result of general administration (e.g., intravenous or oral administration), local administration (e.g., transdermal or intraarticular administration), or targeted drug delivery using a carrier (e.g. liposomes, lipid microspheres or polymer forms of drugs).

ПРИМЕРЫEXAMPLES

Настоящее изобретение далее описано со ссылкой на следующие примеры, хотя оно не ограничивается только данными примерами.The present invention is further described with reference to the following examples, although it is not limited to these examples.

Пример получения 1: 2-Хлор-4-[(6,7-диметокси-4-хинолил)-окси]анилинProduction Example 1: 2-Chloro-4 - [(6,7-dimethoxy-4-quinolyl) -oxy] aniline

Гидрид натрия (60 масс.%, 0,72 г) добавляют к диметилсульфоксиду (10 мл). Смесь перемешивают при 50°С в течение 30 мин и затем охлаждают до комнатной температуры. К охлажденной смеси добавляют гидрохлорид 4-амино-3-хлорфенола (1,61 г), и смесь перемешивают при комнатной температуре в течение 10 мин. Далее, добавляют 4-хлор-6,7-диметоксихинолин (1,00 г), и смесь перемешивают при 100°С в течение ночи. К реакционному раствору добавляют воду, после чего экстрагируют хлороформом. Затем хлороформный слой промывают насыщенным водным раствором гидрокарбоната натрия и сушат над безводным сульфатом натрия. Растворитель удаляют путем перегонки при пониженном давлении, и к остатку добавляют метанол. Осажденные кристаллы собирают путем фильтрации с отсасыванием, получая 0,89 г (выход 60%) указанного в заголовке соединения.Sodium hydride (60 wt.%, 0.72 g) was added to dimethyl sulfoxide (10 ml). The mixture was stirred at 50 ° C. for 30 minutes and then cooled to room temperature. 4-amino-3-chlorophenol hydrochloride (1.61 g) was added to the cooled mixture, and the mixture was stirred at room temperature for 10 minutes. Next, 4-chloro-6,7-dimethoxyquinoline (1.00 g) was added and the mixture was stirred at 100 ° C. overnight. Water was added to the reaction solution, followed by extraction with chloroform. Then, the chloroform layer is washed with a saturated aqueous sodium hydrogen carbonate solution and dried over anhydrous sodium sulfate. The solvent was removed by distillation under reduced pressure, and methanol was added to the residue. Precipitated crystals were collected by suction filtration to obtain 0.89 g (60% yield) of the title compound.

1H ЯМР (CDCl3, 400 МГц): δ 4,05 (с, 3Н), 4,05 (с, 3Н), 4,08 (с, 2Н), 6,44 (д, J=5,4 Гц, 1Н), 6,85 (д, J=8,5 Гц, 1Н), 6,93-6,96 (м, 1Н), 7,15 (д, J=2,7 Гц, 1Н), 7,41 (с, 1Н), 7,54 (с, 1Н), 8,48 (д, J=5,1 Гц, 1Н).1 H NMR (CDCl3 , 400 MHz): δ 4.05 (s, 3H), 4.05 (s, 3H), 4.08 (s, 2H), 6.44 (d, J = 5.4 Hz, 1H), 6.85 (d, J = 8.5 Hz, 1H), 6.93-6.96 (m, 1H), 7.15 (d, J = 2.7 Hz, 1H), 7.41 (s, 1H), 7.54 (s, 1H), 8.48 (d, J = 5.1 Hz, 1H).

Пример получения 2: 4-[(6,7-Диметокси-4-хинолил)окси]-2,3-диметиланилинProduction Example 2: 4 - [(6,7-Dimethoxy-4-quinolyl) oxy] -2,3-dimethylaniline

Гидрид натрия (60 масс.%, 0,72 г) добавляют к диметилсульфоксиду (10 мл). Смесь перемешивают при 50°С в течение 30 мин и затем охлаждают до комнатной температуры. К охлажденной смеси добавляют гидрохлорид 4-амино-2,3-диметилфенола (1,55 г), и смесь перемешивают при комнатной температуре в течение 10 мин. Далее, добавляют 4-хлор-6,7-диметоксихинолин (1,00 г), и смесь перемешивают при 100°С в течение ночи. К реакционному раствору добавляют воду, после чего экстрагируют хлороформом. После чего хлороформный слой промывают насыщенным водным раствором гидрокарбоната натрия и сушат над безводным сульфатом натрия. Растворитель удаляют путем перегонки при пониженном давлении, и к остатку добавляют метанол. Осажденные кристаллы собирают путем фильтрации с отсасыванием, получая 0,94 г (выход 65%) указанного в заголовке соединения.Sodium hydride (60 wt.%, 0.72 g) was added to dimethyl sulfoxide (10 ml). The mixture was stirred at 50 ° C. for 30 minutes and then cooled to room temperature. 4-amino-2,3-dimethylphenol hydrochloride (1.55 g) was added to the cooled mixture, and the mixture was stirred at room temperature for 10 minutes. Next, 4-chloro-6,7-dimethoxyquinoline (1.00 g) was added and the mixture was stirred at 100 ° C. overnight. Water was added to the reaction solution, followed by extraction with chloroform. Then the chloroform layer is washed with a saturated aqueous solution of sodium bicarbonate and dried over anhydrous sodium sulfate. The solvent was removed by distillation under reduced pressure, and methanol was added to the residue. Precipitated crystals were collected by suction filtration to obtain 0.94 g (yield 65%) of the title compound.

1H ЯМР (СDСl3, 400 МГц): δ 2,07 (с, 3Н), 2,15 (с, 3Н), 3,62 (с, 2Н), 4,05 (с, 3Н), 4,07 (с, 3Н), 6,25 (д, J=5,4 Гц, 1Н), 6,64 (д, J=8,5 Гц, 1Н), 6,83 (д, J=8,5 Гц, 1Н), 7,42 (с, 1Н), 7,64 (с, 1Н), 8,42 (д, J=5,4 Гц, 1Н).1 H NMR (CDCl3 , 400 MHz): δ 2.07 (s, 3H), 2.15 (s, 3H), 3.62 (s, 2H), 4.05 (s, 3H), 4, 07 (s, 3H), 6.25 (d, J = 5.4 Hz, 1H), 6.64 (d, J = 8.5 Hz, 1H), 6.83 (d, J = 8.5 Hz, 1H), 7.42 (s, 1H), 7.64 (s, 1H), 8.42 (d, J = 5.4 Hz, 1H).

Пример получения 3: 4-[(6,7-Диметокси-4-хинолил)окси]-2,5-диметиланилинProduction Example 3: 4 - [(6,7-Dimethoxy-4-quinolyl) oxy] -2,5-dimethylaniline

Гидрид натрия (60 масс.%, 0,36 г) добавляют к диметилсульфоксиду (10 мл), смесь перемешивают при 50°С в течение 30 мин и затем охлаждают до комнатной температуры. К охлажденной смеси добавляют 4-амино-2,5-диметилфенол (1,23 г), и смесь перемешивают при комнатной температуре в течение 10 мин. Далее, добавляют 4-хлор-6,7-диметоксихинолин (1,00 г), и смесь перемешивают при 100°С в течение ночи. К реакционному раствору добавляют воду, после чего экстрагируют хлороформом. Хлороформный слой затем промывают насыщенным водным раствором гидрокарбоната натрия и сушат над безводным сульфатом натрия. Растворитель удаляют путем перегонки при пониженном давлении, и остаток очищают методом хроматографии на силикагеле, элюируя смесью хлороформ/ацетон (1/1), получая указанное в заголовке соединение.Sodium hydride (60 wt.%, 0.36 g) was added to dimethyl sulfoxide (10 ml), the mixture was stirred at 50 ° C for 30 minutes and then cooled to room temperature. 4-amino-2,5-dimethylphenol (1.23 g) was added to the cooled mixture, and the mixture was stirred at room temperature for 10 minutes. Next, 4-chloro-6,7-dimethoxyquinoline (1.00 g) was added and the mixture was stirred at 100 ° C. overnight. Water was added to the reaction solution, followed by extraction with chloroform. The chloroform layer was then washed with saturated aqueous sodium hydrogen carbonate and dried over anhydrous sodium sulfate. The solvent was removed by distillation under reduced pressure, and the residue was purified by silica gel chromatography, eluting with chloroform / acetone (1/1), to give the title compound.

Пример получения 4: 3,5-Дихлор-4-[(6,7-диметокси-4-хинолил)окси]анилинProduction Example 4: 3,5-Dichloro-4 - [(6,7-dimethoxy-4-quinolyl) oxy] aniline

Гидрид натрия (60 масс.%, 0,36 г) добавляют к диметилсульфоксиду (10 мл), смесь перемешивают при 50°С в течение 30 мин и затем охлаждают до комнатной температуры. К охлажденной смеси добавляют 4-амино-2,6-дихлорфенол (1,59 г), и смесь перемешивают при комнатной температуре в течение 10 мин. Далее добавляют 4-хлор-6,7-диметоксихинолин (1,00 г), и смесь перемешивают при 100°С в течение ночи. К реакционному раствору добавляют воду, после чего экстрагируют хлороформом. Хлороформный слой затем промывают насыщенным водным раствором гидрокарбоната натрия и сушат над безводным сульфатом натрия. Растворитель удаляют путем перегонки при пониженном давлении, и остаток очищают методом хроматографии на силикагеле, элюируя смесью хлороформ/ацетон (1/1), получая 0,35 г (выход 22%) указанного в заголовке соединения.Sodium hydride (60 wt.%, 0.36 g) was added to dimethyl sulfoxide (10 ml), the mixture was stirred at 50 ° C for 30 minutes and then cooled to room temperature. 4-amino-2,6-dichlorophenol (1.59 g) was added to the cooled mixture, and the mixture was stirred at room temperature for 10 minutes. Next, 4-chloro-6,7-dimethoxyquinoline (1.00 g) was added, and the mixture was stirred at 100 ° C. overnight. Water was added to the reaction solution, followed by extraction with chloroform. The chloroform layer was then washed with saturated aqueous sodium hydrogen carbonate and dried over anhydrous sodium sulfate. The solvent was removed by distillation under reduced pressure, and the residue was purified by silica gel chromatography, eluting with chloroform / acetone (1/1), to obtain 0.35 g (22% yield) of the title compound.

1H ЯМР (СDСl3, 400 МГц): δ 3,84 (с, 2Н), 4,05 (с, 3Н), 4,08 (с, 3Н), 6,28 (д, J=5,4 Гц, 1Н), 6,74 (с, 2Н), 7,43 (с, 1Н), 7,64 (с, 1Н), 8,48 (д, J=5,4 Гц, 1Н).1 H NMR (CDCl3 , 400 MHz): δ 3.84 (s, 2H), 4.05 (s, 3H), 4.08 (s, 3H), 6.28 (d, J = 5.4 Hz, 1H), 6.74 (s, 2H), 7.43 (s, 1H), 7.64 (s, 1H), 8.48 (d, J = 5.4 Hz, 1H).

Пример получения 5: 4-[(6,7-Диметокси-4-хинолил)окси]-2-нитроанилинProduction Example 5: 4 - [(6,7-Dimethoxy-4-quinolyl) oxy] -2-nitroaniline

Гидрид натрия (60 масс.%, 0,54 г) добавляют к диметилсульфоксиду (15 мл), смесь перемешивают при 70°С в течение 30 мин и затем охлаждают до комнатной температуры. К охлажденной смеси добавляют 4-амино-3-нитрофенол (2,07 г), и смесь перемешивают при комнатной температуре в течение 10 мин. Далее добавляют 4-хлор-6,7-диметоксихинолин (1,50 г), и смесь перемешивают при 100°С в течение 4 ч. К реакционному раствору добавляют воду, после чего экстрагируют хлороформом. Хлороформный слой затем промывают насыщенным водным раствором гидрокарбоната натрия и сушат над безводным сульфатом натрия. Растворитель удаляют путем перегонки при пониженном давлении, и остаток очищают методом хроматографии на силикагеле, элюируя смесью хлороформ/ацетон (1/1), получая 0,53 г (выход 23%) указанного в заголовке соединения.Sodium hydride (60 wt.%, 0.54 g) was added to dimethyl sulfoxide (15 ml), the mixture was stirred at 70 ° C for 30 minutes and then cooled to room temperature. 4-amino-3-nitrophenol (2.07 g) was added to the cooled mixture, and the mixture was stirred at room temperature for 10 minutes. Next, 4-chloro-6,7-dimethoxyquinoline (1.50 g) was added, and the mixture was stirred at 100 ° C. for 4 hours. Water was added to the reaction solution, followed by extraction with chloroform. The chloroform layer was then washed with saturated aqueous sodium hydrogen carbonate and dried over anhydrous sodium sulfate. The solvent was removed by distillation under reduced pressure, and the residue was purified by silica gel chromatography, eluting with chloroform / acetone (1/1) to obtain 0.53 g (23% yield) of the title compound.

Пример получения 6: 1-[2-Амино-4-(бензилокси)-5-метоксифенил]-1-этанонProduction Example 6: 1- [2-Amino-4- (benzyloxy) -5-methoxyphenyl] -1-ethanone

1-(4-Гидрокси-3-метоксифенил)-1-этанон (20 г), карбонат калия (18,3 г), иодид тетра-н-бутиламмония (4,45 г) и бензилбромид (17,3 мл) растворяют в N,N-диметилформамиде (300 мл), и реакцию оставляют протекать при 100°С в течение одного часа. Растворитель удаляют путем перегонки при пониженном давлении, к остатку добавляют воду, после чего экстрагируют этилацетатом. Этилацетатный слой сушат над сульфатом натрия. Затем растворитель удаляют путем перегонки при пониженном давлении. Остаток и дымящуюся азотную кислоту (12,47 мл) растворяют в уксусной кислоте (120 мл), и реакцию оставляют протекать при комнатной температуре в течение 2 ч. Реакционный раствор нейтрализуют при 0°С путем добавления водного раствора гидроксида натрия, после чего экстрагируют хлороформом. Хлороформный слой затем сушат над сульфатом натрия. Затем растворитель удаляют путем перегонки при пониженном давлении. Остаток растворяют в этаноле (1160 мл) и воде (120 мл) при нагревании. Добавляют хлорид аммония (19,2 г) и цинк (101,7 г). Смесь нагревают с обратным холодильником в течение 3 ч. Реакционный раствор фильтруют через Celite, затем промывают смесью хлороформ/метанол (3/1). Растворитель удаляют путем перегонки при пониженном давлении, остаток подщелачивают с помощью водного раствора гидроксида натрия, и щелочной раствор экстрагируют хлороформом. Хлороформный слой сушат над сульфатом натрия. Растворитель удаляют путем перегонки при пониженном давлении, и остаток очищают методом хроматографии на силикагеле, элюируя смесью хлороформ/этилацетат (10/1), получая 24,95 г (выход 77%) указанного в заголовке соединения (3 стадии).1- (4-Hydroxy-3-methoxyphenyl) -1-ethanone (20 g), potassium carbonate (18.3 g), tetra-n-butylammonium iodide (4.45 g) and benzyl bromide (17.3 ml) are dissolved in N, N-dimethylformamide (300 ml), and the reaction was allowed to proceed at 100 ° C. for one hour. The solvent was removed by distillation under reduced pressure, water was added to the residue, followed by extraction with ethyl acetate. The ethyl acetate layer was dried over sodium sulfate. Then, the solvent was removed by distillation under reduced pressure. The residue and steaming nitric acid (12.47 ml) were dissolved in acetic acid (120 ml), and the reaction was allowed to proceed at room temperature for 2 hours. The reaction solution was neutralized at 0 ° C by adding an aqueous sodium hydroxide solution, and then extracted with chloroform . The chloroform layer is then dried over sodium sulfate. Then, the solvent was removed by distillation under reduced pressure. The residue was dissolved in ethanol (1160 ml) and water (120 ml) with heating. Ammonium chloride (19.2 g) and zinc (101.7 g) are added. The mixture was refluxed for 3 hours. The reaction solution was filtered through Celite, then washed with chloroform / methanol (3/1). The solvent was removed by distillation under reduced pressure, the residue was made basic with an aqueous solution of sodium hydroxide, and the alkaline solution was extracted with chloroform. The chloroform layer is dried over sodium sulfate. The solvent was removed by distillation under reduced pressure, and the residue was purified by silica gel chromatography eluting with chloroform / ethyl acetate (10/1) to obtain 24.95 g (77% yield) of the title compound (3 steps).

1H ЯМР (СDСl3, 400 МГц): δ 2,51 (с, 3Н), 3,84 (с, 3Н), 5,14 (с, 2Н), 6,12 (с, 2Н), 7,15-7,62 (м, 7Н).1 H NMR (CDCl3 , 400 MHz): δ 2.51 (s, 3H), 3.84 (s, 3H), 5.14 (s, 2H), 6.12 (s, 2H), 7, 15-7.62 (m, 7H).

Пример получения 7: 7-(Бензилокси)-6-метокси-1,4-дигидро-4-хинолинонProduction Example 7: 7- (Benzyloxy) -6-methoxy-1,4-dihydro-4-quinolinone

1-[2-Амино-4-(бензилокси)-5-метоксифенил]-1-этанон (24,95 г) растворяют в тетрагидрофуране (450 мл) и к раствору добавляют метоксид натрия (24,87 г). Смесь перемешивают при комнатной температуре в течение одного часа. Затем добавляют этилформиат (37,07 мл), и смесь перемешивают при комнатной температуре в течение 2 ч. Затем добавляют воду (150 мл), и смесь перемешивают в течение ночи. рН реакционного раствора доводят до 4 путем добавления концентрированной серной кислоты при 0°С. Добавляют воду, и смесь экстрагируют хлороформом. Хлороформный слой сушат над сульфатом натрия. Растворитель удаляют путем перегонки при пониженном давлении. Остаток очищают методом хроматографии на силикагеле, элюируя смесью хлороформ/метанол (10/1), получая 17,16 г (выход 66%) указанного в заголовке соединения.1- [2-Amino-4- (benzyloxy) -5-methoxyphenyl] -1-ethanone (24.95 g) was dissolved in tetrahydrofuran (450 ml) and sodium methoxide (24.87 g) was added to the solution. The mixture was stirred at room temperature for one hour. Ethyl formate (37.07 ml) was then added, and the mixture was stirred at room temperature for 2 hours. Water (150 ml) was then added, and the mixture was stirred overnight. The pH of the reaction solution was adjusted to 4 by adding concentrated sulfuric acid at 0 ° C. Water was added and the mixture was extracted with chloroform. The chloroform layer is dried over sodium sulfate. The solvent was removed by distillation under reduced pressure. The residue was purified by silica gel chromatography, eluting with a mixture of chloroform / methanol (10/1) to obtain 17.16 g (66% yield) of the title compound.

1H ЯМР (DMSO-d6, 400 МГц): δ 3,84 (с, 3Н), 5,19 (с, 2Н), 5,97 (д, J=7,1 Гц, 1Н), 7,09 (с, 1Н), 7,28-7,51 (м, 6Н), 7,78 (д, J=7,3 Гц, 1Н), 11,50-11,75 (шир, 1Н).1 H NMR (DMSO-d6 , 400 MHz): δ 3.84 (s, 3H), 5.19 (s, 2H), 5.97 (d, J = 7.1 Hz, 1H), 7, 09 (s, 1H), 7.28-7.51 (m, 6H), 7.78 (d, J = 7.3 Hz, 1H), 11.50-11.75 (br, 1H).

Пример получения 8: 7-(Бензилокси)-4-хлор-6-метоксихинолинProduction Example 8: 7- (Benzyloxy) -4-chloro-6-methoxyquinoline

Оксихлорид фосфора (14,19 мл) добавляют к 7-(бензилокси)-6-метокси-1,4-дигидро-4-хинолинону (17,16 г), и смесь нагревают с обратным холодильником в течение одного часа. Растворитель удаляют путем перегонки при пониженном давлении. Остаток растворяют в хлороформе, и раствор подщелачивают путем добавления водного раствора гидроксида натрия, после чего экстрагируют хлороформом. Хлороформный слой сушат над сульфатом натрия. Растворитель удаляют путем перегонки при пониженном давлении, и остаток очищают методом хроматографии на силикагеле, элюируя смесью хлороформ/ацетон (10/1), получая 3,82 г (выход 21%) указанного в заголовке соединения.Phosphorus oxychloride (14.19 ml) was added to 7- (benzyloxy) -6-methoxy-1,4-dihydro-4-quinolinone (17.16 g), and the mixture was heated under reflux for one hour. The solvent was removed by distillation under reduced pressure. The residue was dissolved in chloroform, and the solution was alkalinized by adding an aqueous solution of sodium hydroxide, and then extracted with chloroform. The chloroform layer is dried over sodium sulfate. The solvent was removed by distillation under reduced pressure, and the residue was purified by silica gel chromatography, eluting with chloroform / acetone (10/1), to obtain 3.82 g (yield 21%) of the title compound.

1H ЯМР (CDCl3, 400 МГц): δ 4,06 (с, 3Н), 5,32 (с, 2Н), 7,30-7,55 (м, 8Н), 8,56 (д, J=4,9 Гц, 1Н).1 H NMR (CDCl3 , 400 MHz): δ 4.06 (s, 3H), 5.32 (s, 2H), 7.30-7.55 (m, 8H), 8.56 (d, J = 4.9 Hz, 1H).

Пример получения 9: 4-{[7-(Бензилокси)-6-метокси-4-хинолил]окси}-2,5-диметиланилинProduction Example 9: 4 - {[7- (Benzyloxy) -6-methoxy-4-quinolyl] oxy} -2,5-dimethylaniline

Гидрид натрия (60 масс.%, 1,17 г) добавляют к диметилсульфоксиду (25 мл), смесь перемешивают при 60°С в течение 30 мин и затем охлаждают до комнатной температуры. Затем добавляют 4-амино-2,5-диметилфенол (4,00 г), и смесь перемешивают при комнатной температуре в течение 10 мин затем добавляют 7-(бензилокси)-4-хлор-6-метоксихинолин (4,36 г). Смесь перемешивают в течение 22 ч, после чего к реакционному раствору добавляют воду, после чего экстрагируют хлороформом. Хлороформный слой, затем промывают насыщенным водным раствором гидрокарбоната натрия и сушат над безводным сульфатом натрия. Растворитель удаляют путем перегонки при пониженном давлении, и к остатку добавляют метанол для получения суспензии. Осажденные кристаллы собирают путем фильтрации с отсасыванием, получая 3,04 г (выход 52%) указанного в заголовке соединения.Sodium hydride (60 wt.%, 1.17 g) was added to dimethyl sulfoxide (25 ml), the mixture was stirred at 60 ° C for 30 minutes and then cooled to room temperature. Then 4-amino-2,5-dimethylphenol (4.00 g) was added and the mixture was stirred at room temperature for 10 minutes, then 7- (benzyloxy) -4-chloro-6-methoxyquinoline (4.36 g) was added. The mixture was stirred for 22 hours, after which water was added to the reaction solution, after which it was extracted with chloroform. The chloroform layer is then washed with saturated aqueous sodium hydrogen carbonate and dried over anhydrous sodium sulfate. The solvent was removed by distillation under reduced pressure, and methanol was added to the residue to obtain a suspension. Precipitated crystals were collected by suction filtration to obtain 3.04 g (52% yield) of the title compound.

1H ЯМР (CDCl3, 400 МГц): δ 2,05 (с, 3Н), 2,16 (с, 3Н), 3,58 (с, 2Н), 4,06 (с, 3Н), 5,32 (с, 2Н), 6,28 (д, J=5,1 Гц, 1Н), 6,61 (с, 1Н), 6,81 (с, 1Н), 7,28-7,42 (м, 3Н), 7,44 (с, 1Н), 7,49-7,54 (м, 2Н), 7,63 (с, 1Н), 8,39 (д, J=5,1 Гц, 1Н).1 H NMR (CDCl3 , 400 MHz): δ 2.05 (s, 3H), 2.16 (s, 3H), 3.58 (s, 2H), 4.06 (s, 3H), 5, 32 (s, 2H), 6.28 (d, J = 5.1 Hz, 1H), 6.61 (s, 1H), 6.81 (s, 1H), 7.28-7.42 (m , 3H), 7.44 (s, 1H), 7.49-7.54 (m, 2H), 7.63 (s, 1H), 8.39 (d, J = 5.1 Hz, 1H) .

Определение молекулярной массы (ESI-MS, m/z): 401 (M++1).Determination of molecular weight (ESI-MS, m / z): 401 (M+ +1).

Пример получения 10: N-(4-{[7-(Бензилокси)-6-метокси-4-хинолил]окси}-2,5-диметилфенил)-N’-(2,4-дифторфенил)мочевинаProduction Example 10: N- (4 - {[7- (Benzyloxy) -6-methoxy-4-quinolyl] oxy} -2,5-dimethylphenyl) -N ’- (2,4-difluorophenyl) urea

4-{[7-(Бензилокси)-6-метокси-4-хинолил]окси}-2,5-диметиланилин (300 мг) растворяют в хлороформе (5 мл). К раствору затем добавляют 2,4-дифторфенилизоцианат (200 мкл), и смесь перемешивают при 70°С в течение ночи. Реакционный раствор очищают методом хроматографии на силикагеле, элюируя смесью хлороформ/ацетон (75/25), получая 368 мг (выход 88%) указанного в заголовке соединения.4 - {[7- (Benzyloxy) -6-methoxy-4-quinolyl] oxy} -2,5-dimethylaniline (300 mg) was dissolved in chloroform (5 ml). 2,4-Difluorophenyl isocyanate (200 μl) was then added to the solution, and the mixture was stirred at 70 ° C. overnight. The reaction solution was purified by chromatography on silica gel, eluting with a mixture of chloroform / acetone (75/25) to obtain 368 mg (88% yield) of the title compound.

1H ЯМР (СDСl3, 400 МГц): δ 2,17 (с, 3Н), 2,26 (с, 3Н), 4,06 (с, 3Н), 5,33 (с, 2Н), 6,29 (д, J=5,1 Гц, 1Н), 6,42 (с, 1Н), 6,76-6,93 (м, 3Н), 6,70 (с, 3Н), 7,30-7,54 (м, 7Н), 7,60 (с, 1H), 8,04-8,12 (м, 1H), 8,44 (д, J=5, 4 Гц, 1Н).1 H NMR (CDCl3 , 400 MHz): δ 2.17 (s, 3H), 2.26 (s, 3H), 4.06 (s, 3H), 5.33 (s, 2H), 6, 29 (d, J = 5.1 Hz, 1H), 6.42 (s, 1H), 6.76-6.93 (m, 3H), 6.70 (s, 3H), 7.30-7 54 (m, 7H), 7.60 (s, 1H), 8.04-8.12 (m, 1H), 8.44 (d, J = 5.4 Hz, 1H).

Пример получения 11: N-(4-{[7-(Бензилокси)-6-метокси-4-хинолил]окси}-2,5-диметилфенил)-N’-(2-метоксифенил)-мочевинаProduction Example 11: N- (4 - {[7- (Benzyloxy) -6-methoxy-4-quinolyl] oxy} -2,5-dimethylphenyl) -N ’- (2-methoxyphenyl) urea

4-{[7-(Бензилокси)-6-метокси-4-хинолил]окси}-2,5-диметиланилин (300 мг) растворяют в хлороформе (5 мл). Затем к раствору добавляют 2-метоксифенилизоцианат (0,24 мл), и смесь перемешивают при 70°С в течение ночи. Реакционный раствор очищают методом хроматографии на силикагеле, элюируя смесью хлороформ/ацетон (75/25), получая 365 мг (выход 89%) указанного в заголовке соединения.4 - {[7- (Benzyloxy) -6-methoxy-4-quinolyl] oxy} -2,5-dimethylaniline (300 mg) was dissolved in chloroform (5 ml). Then, 2-methoxyphenyl isocyanate (0.24 ml) was added to the solution, and the mixture was stirred at 70 ° C. overnight. The reaction solution was purified by silica gel chromatography, eluting with a mixture of chloroform / acetone (75/25) to give 365 mg (89% yield) of the title compound.

1H ЯМР (СDСl3, 400 МГц): δ 2,17 (с, 3Н), 2,28 (с, 3Н), 3,83 (с, 3Н), 4,07 (с, 3Н), 5,33 (с, 2Н), 6,26 (с, 3Н), 6,29 (д, J=5,4 Гц, 1Н), 6,86-7,06 (м, 4Н), 7,12 (с, 1Н), 7,30-7,41 (м, 3Н), 7,46 (с, 1Н), 7,50-7,56 (м, 3Н), 7,61 (с, 1Н), 8,11-8,16 (м, 1Н), 8,43 (д, J=5,4 Гц, 1Н).1 H NMR (CDCl3 , 400 MHz): δ 2.17 (s, 3H), 2.28 (s, 3H), 3.83 (s, 3H), 4.07 (s, 3H), 5, 33 (s, 2H), 6.26 (s, 3H), 6.29 (d, J = 5.4 Hz, 1H), 6.86-7.06 (m, 4H), 7.12 (s , 1H), 7.30-7.41 (m, 3H), 7.46 (s, 1H), 7.50-7.56 (m, 3H), 7.61 (s, 1H), 8, 11-8.16 (m, 1H), 8.43 (d, J = 5.4 Hz, 1H).

Пример получения 12: 4-{[7-(Бензилокси)-6-метокси-4-хинолил]окси}-2-хлоранилинProduction Example 12: 4 - {[7- (Benzyloxy) -6-methoxy-4-quinolyl] oxy} -2-chloroaniline

Гидрид натрия (60 масс.%, 320 мг) добавляют к диметилсульфоксиду (3,6 мл), смесь перемешивают при 60°С в течение 30 мин и затем охлаждают до комнатной температуры. Далее, добавляют гидрохлорид 4-амино-3-хлорфенола (720 мг), и смесь перемешивают при комнатной температуре в течение 10 мин. Затем добавляют 7-(бензилокси)-4-хлор-6-метоксихинолин (600 мг), и смесь перемешивают при 105°С в течение 22 ч. К реакционному раствору добавляют воду, после чего экстрагируют хлороформом. Хлороформный слой затем промывают насыщенным водным раствором гидрокарбоната натрия и сушат над безводным сульфатом натрия. Растворитель удаляют путем перегонки при пониженном давлении, и к остатку добавляют метанол для получения суспензии. Осажденные кристаллы собирают путем фильтрации с отсасыванием, получая 533 мг (выход 66%) указанного в заголовке соединения.Sodium hydride (60 wt.%, 320 mg) was added to dimethyl sulfoxide (3.6 ml), the mixture was stirred at 60 ° C for 30 minutes and then cooled to room temperature. Next, 4-amino-3-chlorophenol hydrochloride (720 mg) was added and the mixture was stirred at room temperature for 10 minutes. Then 7- (benzyloxy) -4-chloro-6-methoxyquinoline (600 mg) was added, and the mixture was stirred at 105 ° C for 22 hours. Water was added to the reaction solution, followed by extraction with chloroform. The chloroform layer was then washed with saturated aqueous sodium hydrogen carbonate and dried over anhydrous sodium sulfate. The solvent was removed by distillation under reduced pressure, and methanol was added to the residue to obtain a suspension. Precipitated crystals were collected by suction filtration to obtain 533 mg (66% yield) of the title compound.

1H ЯМР (СDСl3, 400 МГц): δ 4,05 (с, 3Н), 4,08 (с, 2Н), 5,32 (с, 2Н), 6,42 (д, J=5,1 Гц, 1Н), 6,84 (д, J=8,5 Гц, 1Н), 6,93 (дд, J=2,4 Гц, 8,1 Гц, 1Н), 7,14 (д, J=2,4 Гц, 1Н), 7,29-7,42 (м, 3Н), 7,44 (с, 1Н), 7,49-7,53 (м, 2Н), 7,55 (с, 1Н), 8,45 (д, J=5,3 Гц, 1Н).1 H NMR (CDCl3 , 400 MHz): δ 4.05 (s, 3H), 4.08 (s, 2H), 5.32 (s, 2H), 6.42 (d, J = 5.1 Hz, 1H), 6.84 (d, J = 8.5 Hz, 1H), 6.93 (dd, J = 2.4 Hz, 8.1 Hz, 1H), 7.14 (d, J = 2.4 Hz, 1H), 7.29-7.42 (m, 3H), 7.44 (s, 1H), 7.49-7.53 (m, 2H), 7.55 (s, 1H ), 8.45 (d, J = 5.3 Hz, 1H).

Определение молекулярной массы (ESI-MS, m/z): 497 (М++1).Determination of molecular weight (ESI-MS, m / z): 497 (M+ +1).

Пример получения 13: N-(4-{[7-(Бензилокси)-6-метокси-4-хинолил]окси}-2-хлорфенил)-N’-(2,4-дифторфенил)-мочевинаProduction Example 13: N- (4 - {[7- (Benzyloxy) -6-methoxy-4-quinolyl] oxy} -2-chlorophenyl) -N ’- (2,4-difluorophenyl) urea

4-{[7-(Бензилокси)-6-метокси-4-хинолил]окси}-2-хлоранилин (260 мг) растворяют в хлороформе (10 мл). Затем к раствору добавляют 2,4-дифторфенилизоцианат (198 мг), и смесь перемешивают при комнатной температуре в течение 2 ч. Реакционный раствор очищают методом хроматографии на силикагеле, элюируя смесью хлороформ/ацетон (10/1), получая 337 мг (выход 94%) указанного в заголовке соединения.4 - {[7- (Benzyloxy) -6-methoxy-4-quinolyl] oxy} -2-chloroaniline (260 mg) was dissolved in chloroform (10 ml). Then, 2,4-difluorophenyl isocyanate (198 mg) was added to the solution, and the mixture was stirred at room temperature for 2 hours. The reaction solution was purified by silica gel chromatography, eluting with chloroform / acetone (10/1), to obtain 337 mg (yield 94 %) specified in the connection header.

1H ЯМР (СDСl3, 400 МГц): δ 4,04 (с, 3Н), 5,32 (с, 2Н), 6,49 (д, J=5,1 Гц, 1H), 6,86-6,96 (м, 3Н), 7,10-7,17 (м, 2Н), 7,22-7,28 (м, 1Н), 7,28-7,41 (м, 3Н), 7,45-7,53 (м, 4Н), 7,96-8,04 (м, 1H), 8,27 (д, J=9,0 Гц, 1Н), 8,49 (д, J=5,4 Гц, 1H).1 H NMR (CDCl3 , 400 MHz): δ 4.04 (s, 3H), 5.32 (s, 2H), 6.49 (d, J = 5.1 Hz, 1H), 6.86- 6.96 (m, 3H), 7.10-7.17 (m, 2H), 7.22-7.28 (m, 1H), 7.28-7.41 (m, 3H), 7, 45-7.53 (m, 4H), 7.96-8.04 (m, 1H), 8.27 (d, J = 9.0 Hz, 1H), 8.49 (d, J = 5, 4 Hz, 1H).

Определение молекулярной массы (ESI-MS, m/z): 562, 564 (M++1).Determination of molecular weight (ESI-MS, m / z): 562, 564 (M+ +1).

Пример получения 14: N-{2-Хлор-4-[(7-гидрокси-6-метокси-4-хинолил)окси]фенил}-N’-(2,4-дифторфенил)-мочевинаProduction Example 14: N- {2-Chloro-4 - [(7-hydroxy-6-methoxy-4-quinolyl) oxy] phenyl} -N ’- (2,4-difluorophenyl) urea

N-(4-{[7-(Бензилокси)-6-метокси-4-хинолил]окси}-2-хлорфенил)-N’-(2,4-дифторфенил)мочевину (215 мг) растворяют в диметилформамиде (11 мл). К раствору добавляют палладий на угле (215 мг), и смесь перемешивают в атмосфере водорода при комнатной температуре в течение ночи. К реакционному раствору добавляют этилацетат (30 мл), и смесь затем фильтруют через Celite. Растворитель удаляют путем перегонки при пониженном давлении, получая 174 мг (выход 96%) указанного в заголовке соединения.N- (4 - {[7- (Benzyloxy) -6-methoxy-4-quinolyl] oxy} -2-chlorophenyl) -N '- (2,4-difluorophenyl) urea (215 mg) was dissolved in dimethylformamide (11 ml ) Palladium-carbon (215 mg) was added to the solution, and the mixture was stirred under a hydrogen atmosphere at room temperature overnight. Ethyl acetate (30 ml) was added to the reaction solution, and the mixture was then filtered through Celite. The solvent was removed by distillation under reduced pressure to obtain 174 mg (96% yield) of the title compound.

1H ЯМР (DMSO-d6, 400 МГц): δ 3,94 (с, 3Н), 6,47 (д, J=5,1 Гц, 1H), 7,01-7,11 (м, 1H), 7,18-7,36 (м, 3Н), 7,44-7,52 (м, 2Н), 7,95 (с, 1H), 7,98-8,13 (м, 1H), 8,23 (д, J=9,5 Гц, 1Н), 6,50 (д, J=5,1 Гц, 1H), 8,81 (с, 1H), 9,31 (с, 1H).1 H NMR (DMSO-d6 , 400 MHz): δ 3.94 (s, 3H), 6.47 (d, J = 5.1 Hz, 1H), 7.01-7.11 (m, 1H ), 7.18-7.36 (m, 3H), 7.44-7.52 (m, 2H), 7.95 (s, 1H), 7.98-8.13 (m, 1H), 8.23 (d, J = 9.5 Hz, 1H), 6.50 (d, J = 5.1 Hz, 1H), 8.81 (s, 1H), 9.31 (s, 1H).

Определение молекулярной массы (ESI-MS, m/z): 472 (M++1).Determination of molecular weight (ESI-MS, m / z): 472 (M+ +1).

Пример получения 15: 4-([7-(Бензилокси)-6-метокси-4-хинолил]окси}-2,3-диметиланилинProduction Example 15: 4 - ([7- (Benzyloxy) -6-methoxy-4-quinolyl] oxy} -2,3-dimethylaniline

Гидрид натрия (60 масс.%, 0,32 г) добавляют к диметилсульфоксиду (6 мл), и смесь перемешивают при комнатной температуре в течение 30 мин. Затем добавляют 4-амино-2,3-диметилфенол (1,10 г), и смесь перемешивают при комнатной температуре в течение 10 мин. Далее, добавляют 7-(бензилокси)-4-хлор-6-метоксихинолин (1,20 г), и смесь перемешивают при 110°С в течение 6 ч. К реакционному раствору добавляют насыщенный водный раствор гидрокарбоната натрия, после чего экстрагируют хлороформом. Хлороформный слой сушат над безводным сульфатом магния. Растворитель удаляют путем перегонки при пониженном давлении, и остаток очищают методом хроматографии на силикагеле, элюируя смесью хлороформ/ацетон (6/1), получая 0,78 г (выход 49%) указанного в заголовке соединения.Sodium hydride (60 wt.%, 0.32 g) was added to dimethyl sulfoxide (6 ml), and the mixture was stirred at room temperature for 30 minutes. Then 4-amino-2,3-dimethylphenol (1.10 g) was added and the mixture was stirred at room temperature for 10 minutes. Next, 7- (benzyloxy) -4-chloro-6-methoxyquinoline (1.20 g) was added, and the mixture was stirred at 110 ° C for 6 hours. A saturated aqueous solution of sodium hydrogen carbonate was added to the reaction solution, followed by extraction with chloroform. The chloroform layer is dried over anhydrous magnesium sulfate. The solvent was removed by distillation under reduced pressure, and the residue was purified by silica gel chromatography, eluting with chloroform / acetone (6/1), to give 0.78 g (49% yield) of the title compound.

1H ЯМР (DMSO-d6, 400 МГц): δ 1,87 (с, 3Н), 1,96 (с, 3Н), 3,97 (с, 3Н), 4,78 (с, 2Н), 5,23 (с, 2Н), 6,12 (д, J=5,3 Гц, 1Н), 6,54 (д, J=8,4 Гц, 1Н), 6,69 (д, J=8,4 Гц, 1Н), 7,27-7,51 (м, 7Н), 8,31 (д, J=5,3 Гц, 1Н).1 H NMR (DMSO-d6 , 400 MHz): δ 1.87 (s, 3H), 1.96 (s, 3H), 3.97 (s, 3H), 4.78 (s, 2H), 5.23 (s, 2H), 6.12 (d, J = 5.3 Hz, 1H), 6.54 (d, J = 8.4 Hz, 1H), 6.69 (d, J = 8 4 Hz, 1H), 7.27-7.51 (m, 7H), 8.31 (d, J = 5.3 Hz, 1H).

Пример получения 16: N-(4-{[7-(Бензилокси)-6-метокси-4-хинолил]окси}-2,3-диметилфенил)-N’-(2,4-дифторфенил)мочевинаProduction Example 16: N- (4 - {[7- (Benzyloxy) -6-methoxy-4-quinolyl] oxy} -2,3-dimethylphenyl) -N ’- (2,4-difluorophenyl) urea

4-{[7-(Бензилокси)-6-метокси-4-хинолил]окси}-2,3-диметиланилин (260 мг) растворяют в N,N-диметилформамиде (5 мл). Затем к раствору добавляют 2,4-дифторфенилизоцианат (121 мг), и реакцию оставляют протекать при комнатной температуре в течение ночи. К реакционному раствору добавляют метанол, и растворитель удаляют путем перегонки при пониженном давлении. Остаток промывают метанолом и собирают путем фильтрации, получая 219 мг (выход 61%) указанного в заголовке соединения.4 - {[7- (Benzyloxy) -6-methoxy-4-quinolyl] oxy} -2,3-dimethylaniline (260 mg) was dissolved in N, N-dimethylformamide (5 ml). Then, 2,4-difluorophenyl isocyanate (121 mg) was added to the solution, and the reaction was allowed to proceed at room temperature overnight. Methanol was added to the reaction solution, and the solvent was removed by distillation under reduced pressure. The residue was washed with methanol and collected by filtration to obtain 219 mg (61% yield) of the title compound.

1H ЯМР (DMSO-d6, 400 МГц): δ 1,99 (с, 3Н), 2,17 (с, 3Н), 3,90 (с, 3Н), 5,24 (с, 2Н), 6,18 (д, J=5,1 Гц, 1Н), 6,95-6,98 (м, 2Н), 7,25-7,63 (м, 9Н), 8,05-8,08 (м, 1Н), 8,34-8,36 (м, 2Н), 8,79 (с, 1Н).1 H NMR (DMSO-d6 , 400 MHz): δ 1.99 (s, 3H), 2.17 (s, 3H), 3.90 (s, 3H), 5.24 (s, 2H), 6.18 (d, J = 5.1 Hz, 1H), 6.95-6.98 (m, 2H), 7.25-7.63 (m, 9H), 8.05-8.08 ( m, 1H), 8.34-8.36 (m, 2H), 8.79 (s, 1H).

Пример получения 17: 7-(Бензилокси)-4-(3-фтор-4-нитрофенокси)-6-метоксихинолинProduction Example 17: 7- (Benzyloxy) -4- (3-fluoro-4-nitrophenoxy) -6-methoxyquinoline

7-(Бензилокси)-4-хлор-6-метоксихинолин (300 мг) и 3-фтор-4-нитрофенол (785 мг) растворяют в хлорбензоле (3 мл) и раствор перемешивают при 130°С в течение 5 ч. К реакционному раствору добавляют хлороформ и водный раствор гидроксида натрия, и смесь перемешивают в течение одного часа. Реакционный раствор экстрагируют хлороформом, и хлороформный слой сушат над безводным сульфатом магния. Растворитель удаляют путем перегонки при пониженном давлении. Остаток очищают методом тонкослойной хроматографии на силикагеле, элюируя смесью гексан/этилацетат (1/1), получая 197 мг (выход 47%) указанного в заголовке соединения.7- (Benzyloxy) -4-chloro-6-methoxyquinoline (300 mg) and 3-fluoro-4-nitrophenol (785 mg) are dissolved in chlorobenzene (3 ml) and the solution is stirred at 130 ° C for 5 hours. To the reaction chloroform and an aqueous solution of sodium hydroxide are added to the solution, and the mixture is stirred for one hour. The reaction solution was extracted with chloroform, and the chloroform layer was dried over anhydrous magnesium sulfate. The solvent was removed by distillation under reduced pressure. The residue was purified by flash chromatography on silica gel, eluting with hexane / ethyl acetate (1/1) to give 197 mg (47% yield) of the title compound.

1H ЯМР (DMSO-d6, 400 МГц): δ 3,83 (с, 3Н), 5,25 (с, 2Н), 6,91 (д, J=5,1 Гц, 1Н), 7,29-7,50 (м, 9Н), 8,18-8,23 (м, 1Н), 8,56 (д, J=5,1 Гц, 1Н).1 H NMR (DMSO-d6 , 400 MHz): δ 3.83 (s, 3H), 5.25 (s, 2H), 6.91 (d, J = 5.1 Hz, 1H), 7, 29-7.50 (m, 9H), 8.18-8.23 (m, 1H), 8.56 (d, J = 5.1 Hz, 1H).

Пример получения 18: 4-(4-Амино-3-фторфенокси)-6-метокси-7-хинолинолProduction Example 18: 4- (4-amino-3-fluorophenoxy) -6-methoxy-7-quinolinol

7-(Бензилокси)-4-(3-фтор-4-нитрофенокси)-6-метоксихинолин (190 мг) растворяют в N,N-диметилформамиде (5 мл) и триэтиламине (1 мл). К раствору добавляют гидроксид палладия (40 мг), и смесь перемешивают в атмосфере водорода при комнатной температуре в течение ночи. Растворитель удаляют путем перегонки при пониженном давлении. Остаток очищают методом тонкослойной хроматографии на силикагеле, элюируя смесью хлороформ/метанол (20/1), получая 75 мг (выход 56%) указанного в заголовке соединения.7- (Benzyloxy) -4- (3-fluoro-4-nitrophenoxy) -6-methoxyquinoline (190 mg) was dissolved in N, N-dimethylformamide (5 ml) and triethylamine (1 ml). Palladium hydroxide (40 mg) was added to the solution, and the mixture was stirred under a hydrogen atmosphere at room temperature overnight. The solvent was removed by distillation under reduced pressure. The residue was purified by thin layer chromatography on silica gel, eluting with a mixture of chloroform / methanol (20/1) to obtain 75 mg (yield 56%) of the title compound.

1H ЯМР (DMSO-d6, 400 МГц): δ 3,87 (с, 3Н), 5,11 (с, 2Н), 6,29 (д, J=5,1 Гц, 1Н), 6,77-6,80 (м, 2Н), 6,93-6,99 (м, 1Н), 7,19 (с, 1Н), 7,40 (с, 1Н), 8,31 (д, J=5,1 Гц, 1Н), 10,03 (с, 1Н).1 H NMR (DMSO-d6 , 400 MHz): δ 3.87 (s, 3H), 5.11 (s, 2H), 6.29 (d, J = 5.1 Hz, 1H), 6, 77-6.80 (m, 2H), 6.93-6.99 (m, 1H), 7.19 (s, 1H), 7.40 (s, 1H), 8.31 (d, J = 5.1 Hz, 1H); 10.03 (s, 1H).

Пример получения 19: N-(2,4-Дифторфенил)-N’-{2-фтор-4-[(7-гидрокси-6-метокси-4-хинолил)окси]фенил}-мочевинаProduction Example 19: N- (2,4-Difluorophenyl) -N ’- {2-fluoro-4 - [(7-hydroxy-6-methoxy-4-quinolyl) oxy] phenyl} urea

4-(4-Амино-3-фторфенокси)-6-метокси-7-хинолинол (70 мг) растворяют в хлороформе (1,5 мл) и N,N-диметилформамиде (1 мл). Затем к раствору добавляют 2,4-дифторфенилизоцианат (43 мг), и реакцию оставляют протекать при комнатной температуре в течение 3 ч. К реакционному раствору добавляют метанол. Растворитель удаляют путем перегонки при пониженном давлении. Остаток очищают методом тонкослойной хроматографии на силикагеле, элюируя смесью хлороформ/метанол (20/1), получая с количественным выходом указанное в заголовке соединение.4- (4-amino-3-fluorophenoxy) -6-methoxy-7-quinolinol (70 mg) was dissolved in chloroform (1.5 ml) and N, N-dimethylformamide (1 ml). Then, 2,4-difluorophenyl isocyanate (43 mg) was added to the solution, and the reaction was allowed to proceed at room temperature for 3 hours. Methanol was added to the reaction solution. The solvent was removed by distillation under reduced pressure. The residue was purified by thin-layer chromatography on silica gel, eluting with a mixture of chloroform / methanol (20/1), to give the title compound in quantitative yield.

1H ЯМР (DMSO-d6, 400 МГц): δ 3,94 (с, 3Н), 6,47 (д, J=5,1 Гц, 1Н), 7,04-7,10 (м, 2Н), 7,28-7,34 (м, 2Н), 7,47 (с, 1H), 8,05-8,15 (м, 2Н), 8,30 (с, 1H), 8,43 (д, J=5,1 Гц, 1H), 8,97-9,03 (м, 2Н), 10,10 (с, 1H).1 H NMR (DMSO-d6 , 400 MHz): δ 3.94 (s, 3H), 6.47 (d, J = 5.1 Hz, 1H), 7.04-7.10 (m, 2H ), 7.28-7.34 (m, 2H), 7.47 (s, 1H), 8.05-8.15 (m, 2H), 8.30 (s, 1H), 8.43 ( d, J = 5.1 Hz, 1H), 8.97-9.03 (m, 2H), 10.10 (s, 1H).

Пример получения 20: 4-Хлор-6-метокси-7-хинолинолProduction Example 20: 4-Chloro-6-methoxy-7-quinolinol

7-(Бензилокси)-4-хлор-6-метоксихинолин (100 мг), тиоанизол (300 мкл) и метансульфоновую кислоту (25 мкл) растворяют в трифторметансульфоновой кислоте (1 мл). Раствор перемешивают при комнатной температуре в течение 30 мин. Растворитель удаляют путем перегонки при пониженном давлении. Остаток нейтрализуют путем добавления водного раствора гидроксида натрия и добавляют гексан для получения суспензии. Кристаллы собирают путем фильтрации с отсасыванием, получая 53 мг (выход 75%) указанного в заголовке соединения.7- (Benzyloxy) -4-chloro-6-methoxyquinoline (100 mg), thioanisole (300 μl) and methanesulfonic acid (25 μl) are dissolved in trifluoromethanesulfonic acid (1 ml). The solution was stirred at room temperature for 30 minutes. The solvent was removed by distillation under reduced pressure. The residue was neutralized by adding an aqueous solution of sodium hydroxide and hexane was added to obtain a suspension. The crystals were collected by suction filtration to obtain 53 mg (75% yield) of the title compound.

1H ЯМР (DMSO-d6, 400 МГц): δ 3,98 (с, 3Н), 7,33 (с, 1H), 7,36 (с, 1H), 7,47 (д, J=4,9 Гц, 1H), 8,54 (д, J=4,9 Гц, 1H), 10,37 (шир, 1H).1 H NMR (DMSO-d6 , 400 MHz): δ 3.98 (s, 3H), 7.33 (s, 1H), 7.36 (s, 1H), 7.47 (d, J = 4 9 Hz, 1H), 8.54 (d, J = 4.9 Hz, 1H), 10.37 (br, 1H).

Пример получения 21: 4-Хлор-6-метокси-7-(2-метокси-этокси)хинолинProduction Example 21: 4-Chloro-6-methoxy-7- (2-methoxy-ethoxy) quinoline

4-Хлор-6-метокси-7-хинолинол (50 мг), карбонат калия (40 мг), иодид тетра-н-бутиламмония (9 мг), и 2-бромэтилметиловый эфир (40 мг) растворяют в N,N-диметилформамиде (10 мл). Раствор перемешивают при 70°С в течение ночи. Растворитель удаляют путем перегонки при пониженном давлении. К остатку добавляют насыщенный водный раствор гидрокарбоната натрия, после чего экстрагируют хлороформом. Хлороформный слой сушат над сульфатом натрия. Растворитель удаляют путем перегонки при пониженном давлении. Остаток очищают методом хроматографии на силикагеле, элюируя смесью гексан/ацетон/дихлорметан (6/2/1), получая 47 мг (выход 74%) указанного в заголовке соединения.4-Chloro-6-methoxy-7-quinolinol (50 mg), potassium carbonate (40 mg), tetra-n-butylammonium iodide (9 mg), and 2-bromoethyl methyl ether (40 mg) were dissolved in N, N-dimethylformamide (10 ml). The solution was stirred at 70 ° C. overnight. The solvent was removed by distillation under reduced pressure. A saturated aqueous sodium hydrogen carbonate solution was added to the residue, followed by extraction with chloroform. The chloroform layer is dried over sodium sulfate. The solvent was removed by distillation under reduced pressure. The residue was purified by silica gel chromatography, eluting with hexane / acetone / dichloromethane (6/2/1), to obtain 47 mg (yield 74%) of the title compound.

1H ЯМР (СDСl3, 400 МГц): δ 3,49 (с, 3Н), 3,88-3,90 (м, 2Н), 4,04 (с, 3Н), 4,32-4,35 (м, 2Н), 7,35 (д, J=4,9 Гц, 1Н), 7,40 (с, 1Н), 7,43 (с, 1Н), 8,57 (д, J=4,9 Гц, 1Н).1 H NMR (CDCl3 , 400 MHz): δ 3.49 (s, 3H), 3.88-3.90 (m, 2H), 4.04 (s, 3H), 4.32-4.35 (m, 2H), 7.35 (d, J = 4.9 Hz, 1H), 7.40 (s, 1H), 7.43 (s, 1H), 8.57 (d, J = 4, 9 Hz, 1H).

Пример получения 22: 2-Хлор-4-{[(6-метокси-7-(2-метоксиэтокси)-4-хинолил]окси}анилинProduction Example 22: 2-Chloro-4 - {[(6-methoxy-7- (2-methoxyethoxy) -4-quinolyl] oxy} aniline

Гидрид натрия (60 масс.%, 153 мг) добавляют к диметилсульфоксиду (2 мл). Смесь перемешивают при 60°С в течение 30 мин и затем охлаждают до комнатной температуры. Добавляют гидрохлорид 4-амино-3-хлорфенола (343 мг), и смесь перемешивают при комнатной температуре в течение 10 мин. Далее, к реакционному раствору добавляют раствор 4-хлор-6-метокси-7-(2-метоксиэтокси)хинолина (254 мг) в диметилсульфоксиде (2 мл), и смесь перемешивают при 110°С в течение ночи. К реакционному раствору добавляют воду, после чего экстрагируют хлороформом. Хлороформный слой затем промывают насыщенным водным раствором гидрокарбоната натрия и сушат над безводным сульфатом натрия. Растворитель удаляют путем перегонки при пониженном давлении. Остаток очищают методом хроматографии на силикагеле, элюируя смесью хлороформ/ацетон (7/3), получая указанное в заголовке соединение.Sodium hydride (60 wt.%, 153 mg) was added to dimethyl sulfoxide (2 ml). The mixture was stirred at 60 ° C for 30 minutes and then cooled to room temperature. 4-amino-3-chlorophenol hydrochloride (343 mg) was added and the mixture was stirred at room temperature for 10 minutes. Next, a solution of 4-chloro-6-methoxy-7- (2-methoxyethoxy) quinoline (254 mg) in dimethyl sulfoxide (2 ml) was added to the reaction solution, and the mixture was stirred at 110 ° C. overnight. Water was added to the reaction solution, followed by extraction with chloroform. The chloroform layer was then washed with saturated aqueous sodium hydrogen carbonate and dried over anhydrous sodium sulfate. The solvent was removed by distillation under reduced pressure. The residue was purified by silica gel chromatography, eluting with a chloroform / acetone mixture (7/3) to obtain the title compound.

1Н ЯМР (СDСl3, 400 МГц): δ 3,49 (с, 3Н), 3,89-3,91 (м, 2Н), 4,02 (с, 3Н), 4,09 (с, 2Н), 4,33-4,35 (м, 2Н), 6,43 (д, J=5,4 Гц, 1Н), 6,85 (д, J=8,5 Гц, 1Н), 6,93-6,96 (м, 1Н), 7,15 (д, J=2,7 Гц, 1Н), 7,41 (с, 1Н), 7,52 (с, 1Н), 8,47 (д, J=5,1 Гц, 1Н).1 H NMR (CDCl3 , 400 MHz): δ 3.49 (s, 3H), 3.89-3.91 (m, 2H), 4.02 (s, 3H), 4.09 (s, 2H) ), 4.33-4.35 (m, 2H), 6.43 (d, J = 5.4 Hz, 1H), 6.85 (d, J = 8.5 Hz, 1H), 6.93 -6.96 (m, 1H), 7.15 (d, J = 2.7 Hz, 1H), 7.41 (s, 1H), 7.52 (s, 1H), 8.47 (d, J = 5.1 Hz, 1H).

Пример получения 23: 2-Хлор-4-[(6,7-диметокси-4-хиназолинил)окси]анилинProduction Example 23: 2-Chloro-4 - [(6,7-dimethoxy-4-quinazolinyl) oxy] aniline

Гидрид натрия (60 масс.%, 5,80 г) добавляют к диметилсульфоксиду (40 мл). Смесь перемешивают при 60°С в течение 30 мин и затем охлаждают до комнатной температуры. Далее, добавляют гидрохлорид 4-амино-3-хлорфенола (13,05 г). Смесь перемешивают при комнатной температуре в течение 10 мин. Затем добавляют 4-хлор-6,7-диметоксихиназолин (8,14 г), который представляет собой хлорхиназолиновое производное, синтезированное с помощью традиционного способа, как описано, например, в J. Am. Chem. Soc., 68, 1299 (1946) или J. Am. Chem. Soc., 68, 1305 (1946). Смесь перемешивают при 110°С в течение 30 мин. Затем к реакционному раствору добавляют воду, после чего экстрагируют хлороформом. Хлороформный слой затем промывают насыщенным водным раствором гидрокарбоната натрия и сушат над безводным сульфатом натрия. Растворитель удаляют путем перегонки при пониженном давлении, и к остатку добавляют метанол для получения суспензии. Осажденные кристаллы собирают путем фильтрации с отсасыванием, получая 9,13 г (выход 76%) указанного в заголовке соединения.Sodium hydride (60 wt.%, 5.80 g) was added to dimethyl sulfoxide (40 ml). The mixture was stirred at 60 ° C for 30 minutes and then cooled to room temperature. Next, 4-amino-3-chlorophenol hydrochloride (13.05 g) was added. The mixture was stirred at room temperature for 10 minutes. Then 4-chloro-6,7-dimethoxyquinazoline (8.14 g), which is a chloroquinazoline derivative synthesized by a conventional method as described, for example, in J. Am., Is added. Chem. Soc., 68, 1299 (1946) or J. Am. Chem. Soc. 68, 1305 (1946). The mixture was stirred at 110 ° C. for 30 minutes. Then water was added to the reaction solution, after which it was extracted with chloroform. The chloroform layer was then washed with saturated aqueous sodium hydrogen carbonate and dried over anhydrous sodium sulfate. The solvent was removed by distillation under reduced pressure, and methanol was added to the residue to obtain a suspension. Precipitated crystals were collected by suction filtration to obtain 9.13 g (76% yield) of the title compound.

1H ЯМР (CDCl3, 400 МГц): δ 4,05-4,08 (м, 8Н), 6,85 (д, J=8,5 Гц, 1Н), 7,00 (дд, J=2,7 Гц, 8,8 Гц, 1Н), 7,21 (д, J=2,7 Гц, 1H), 7,32 (с, 1Н), 7,52 (с, 1H), 8,64 (с, 1Н).1 H NMR (CDCl3 , 400 MHz): δ 4.05-4.08 (m, 8H), 6.85 (d, J = 8.5 Hz, 1H), 7.00 (dd, J = 2 , 7 Hz, 8.8 Hz, 1H), 7.21 (d, J = 2.7 Hz, 1H), 7.32 (s, 1H), 7.52 (s, 1H), 8.64 ( s, 1H).

Определение молекулярной массы (ESI-MS, m/z): 332 (M++1).Determination of molecular weight (ESI-MS, m / z): 332 (M+ +1).

Пример получения 24: N-Бензил-N-(2,4-дифторфенил)аминAn example of obtaining 24: N-Benzyl-N- (2,4-difluorophenyl) amine

Сульфат магния (5,59 г) и минорное количество уксусной кислоты добавляют к раствору 2,4-дифторанилина (2,37 мл) и бензальдегида (2,36 мл) в метаноле (46 мл). Смесь перемешивают при комнатной температуре в течение 45 мин. Добавляют боргидрид натрия (2,64 г) при охлаждении на льду, и смесь перемешивают при комнатной температуре в течение одного часа. Растворитель удаляют путем перегонки при пониженном давлении. К остатку добавляют воду и этилацетат. Смесь перемешивают и фильтруют через Celite. Органический слой экстрагируют этилацетатом и сушат над безводным сульфатом натрия. Растворитель удаляют путем перегонки при пониженном давлении. Остаток очищают методом хроматографии на силикагеле, элюируя смесью гексан/ацетон (30/1), получая 3,04 г (выход 60%) указанного в заголовке соединения.Magnesium sulfate (5.59 g) and a minor amount of acetic acid are added to a solution of 2,4-difluoroaniline (2.37 ml) and benzaldehyde (2.36 ml) in methanol (46 ml). The mixture was stirred at room temperature for 45 minutes. Sodium borohydride (2.64 g) was added under ice cooling, and the mixture was stirred at room temperature for one hour. The solvent was removed by distillation under reduced pressure. Water and ethyl acetate were added to the residue. The mixture was stirred and filtered through Celite. The organic layer was extracted with ethyl acetate and dried over anhydrous sodium sulfate. The solvent was removed by distillation under reduced pressure. The residue was purified by silica gel chromatography, eluting with hexane / acetone (30/1), to give 3.04 g (60% yield) of the title compound.

1H ЯМР (CDCl3, 400 МГц): δ 4,34 (с, 2Н), 6,56-6,82 (м, 3Н), 7,25-7,38 (м, 5Н).1 H NMR (CDCl3 , 400 MHz): δ 4.34 (s, 2H), 6.56-6.82 (m, 3H), 7.25-7.38 (m, 5H).

Пример получения 25: Метил 4-(бензилокси)-5-метокси-2-нитробензоатProduction Example 25: Methyl 4- (benzyloxy) -5-methoxy-2-nitrobenzoate

Коммерчески доступный метилванилат (50 г) и карбонат калия (76 г) растворяют в N,N-диметилформамиде (200 мл). К раствору добавляют по каплям бензил бромид (33 мл) в течение 10 мин. Смесь перемешивают при комнатной температуре в течение ночи. Добавляют воду (200 мл), после чего экстрагируют этилацетатом. Затем к органическому слою добавляют насыщенный солевой раствор, и смесь экстрагируют этилацетатом. К органическому слою для высушивания добавляют сульфат натрия. Далее органический слой фильтруют, и растворитель затем удаляют путем перегонки при пониженном давлении. Остаток сушат с помощью вакуумного насоса, получая 68 г твердого вещества белого цвета. Затем при охлаждении на льду добавляют 100 мл уксусной кислоты и 200 мл азотной кислоты. Смесь перемешивают в течение 8 ч, после чего добавляют воду. Полученное твердое вещество затем собирают путем фильтрации, тщательно промывают водой и сушат с помощью вакуумного насоса, получая 74 г (выход 93%) указанного в заголовке соединения.Commercially available methyl vanillate (50 g) and potassium carbonate (76 g) are dissolved in N, N-dimethylformamide (200 ml). Benzyl bromide (33 ml) was added dropwise to the solution over 10 minutes. The mixture was stirred at room temperature overnight. Water (200 ml) was added, followed by extraction with ethyl acetate. Then, brine was added to the organic layer, and the mixture was extracted with ethyl acetate. Sodium sulfate is added to the organic layer for drying. Next, the organic layer was filtered, and the solvent was then removed by distillation under reduced pressure. The residue was dried using a vacuum pump to obtain 68 g of a white solid. Then, while cooling on ice, 100 ml of acetic acid and 200 ml of nitric acid are added. The mixture was stirred for 8 hours, after which water was added. The resulting solid was then collected by filtration, washed thoroughly with water and dried using a vacuum pump to obtain 74 g (93% yield) of the title compound.

1H ЯМР (CDCl3, 400 МГц): δ 3,90 (с, 3Н), 3,98 (с, 3Н), 5,21 (с, 2Н), 7,08 (с, 1Н), 7,31-7,45 (м, 5Н), 7,51 (с, 1Н).1 H NMR (CDCl3 , 400 MHz): δ 3.90 (s, 3H), 3.98 (s, 3H), 5.21 (s, 2H), 7.08 (s, 1H), 7, 31-7.45 (m, 5H); 7.51 (s, 1H).

Пример получения 26: 7-(Бензилокси)-6-метокси-3,4-дигидро-4-хиназолинонProduction Example 26: 7- (Benzyloxy) -6-methoxy-3,4-dihydro-4-quinazolinone

Метил 4-(бензилокси)-5-метокси-2-нитробензоат (15,0 г) растворяют в уксусной кислоте (200 мл) при комнатной температуре. Затем к раствору добавляют железо (порошок) (13,2 г). Температуру смеси повышают до 90°С, и затем смесь перемешивают в течение одного часа. Полученное серое твердое вещество фильтруют через Celite, затем промывают уксусной кислотой. К маточной жидкости добавляют концентрированную соляную кислоту. Затем растворитель удаляют путем перегонки при пониженном давлении. Это приводит к осаждению твердого вещества. Твердое вещество собирают путем фильтрации, промывают этилацетатом и простым эфиром и сушат с помощью вакуумного насоса. Затем к твердому веществу для получения суспензии добавляют хлороформ и метанол, после чего добавляют 10% водный раствор гидроксида натрия для растворения твердого вещества и экстрагируют хлороформом. После промывания водой органический слой сушат над сульфатом натрия. Далее органический слой фильтруют, и растворитель затем удаляют путем перегонки при пониженном давлении. Остаток сушат с помощью вакуумного насоса, получая 9,5 г (выход 70%) неочищенного продукта метил 2-амино-4-(бензилокси)-5-метоксибензоата. Метил 2-амино-4-(бензилокси)-5-метоксибензоат (650 мг) растворяют в N,N-диметилформамиде (15 мл) и метаноле (3 мл). К раствору добавляют формамид (0,46 мл) и метоксид натрия (373 мг). Смесь нагревают до 100°С и перемешивают в течение ночи. Реакционный раствор охлаждают до комнатной температуры, и к охлажденному реакционному раствору затем добавляют 10 мл воды. Реакционный раствор нейтрализуют 1 М водным раствором соляной кислоты для осаждения твердого вещества. Твердое вещество собирают путем фильтрации, промывают водой и простым эфиром и затем сушат с помощью вакуумного насоса, получая 566 мг (выход 87%) указанного в заголовке соединения.Methyl 4- (benzyloxy) -5-methoxy-2-nitrobenzoate (15.0 g) was dissolved in acetic acid (200 ml) at room temperature. Then iron (powder) (13.2 g) was added to the solution. The temperature of the mixture was raised to 90 ° C, and then the mixture was stirred for one hour. The resulting gray solid was filtered through Celite, then washed with acetic acid. Concentrated hydrochloric acid is added to the mother liquor. Then, the solvent was removed by distillation under reduced pressure. This results in precipitation of a solid. The solid is collected by filtration, washed with ethyl acetate and ether and dried using a vacuum pump. Then, chloroform and methanol are added to the solid to obtain a suspension, after which a 10% aqueous solution of sodium hydroxide is added to dissolve the solid, and extracted with chloroform. After washing with water, the organic layer is dried over sodium sulfate. Next, the organic layer was filtered, and the solvent was then removed by distillation under reduced pressure. The residue was dried using a vacuum pump to obtain 9.5 g (70% yield) of the crude product of methyl 2-amino-4- (benzyloxy) -5-methoxybenzoate. Methyl 2-amino-4- (benzyloxy) -5-methoxybenzoate (650 mg) was dissolved in N, N-dimethylformamide (15 ml) and methanol (3 ml). Formamide (0.46 ml) and sodium methoxide (373 mg) were added to the solution. The mixture was heated to 100 ° C and stirred overnight. The reaction solution was cooled to room temperature, and 10 ml of water was then added to the cooled reaction solution. The reaction solution was neutralized with a 1 M aqueous hydrochloric acid solution to precipitate a solid. The solid was collected by filtration, washed with water and ether, and then dried using a vacuum pump to obtain 566 mg (87% yield) of the title compound.

1H ЯМР (DMSO-d6, 400 МГц): δ 3,88 (с, 3Н), 5,25 (с, 2Н), 7,23 (с, 1Н), 7,33-7,49 (м, 6Н), 7,97 (с, 1Н), 12,06 (шир, 1Н).1 H NMR (DMSO-d6 , 400 MHz): δ 3.88 (s, 3H), 5.25 (s, 2H), 7.23 (s, 1H), 7.33-7.49 (m 6H), 7.97 (s, 1H), 12.06 (broad, 1H).

Пример получения 27: 7-(Бензилокси)-4-хлор-6-метокси-хиназолинProduction Example 27: 7- (Benzyloxy) -4-chloro-6-methoxy-quinazoline

Оксихлорид фосфора (515 мл) добавляют к 7-(бензилокси)-6-метокси-3,4-дигидро-4-хиназолинону (400 мг) и диизопропилэтиламину (0,3 мл), и смесь нагревают с обратным холодильником в течение 20 мин. Реакционный раствор охлаждают до комнатной температуры. К реакционному раствору затем добавляют 10% водный раствор гидроксида натрия, после чего экстрагируют хлороформом. Органический слой сушат над сульфатом натрия. Органический слой фильтруют, и растворитель затем удаляют путем перегонки при пониженном давлении. Остаток сушат с помощью вакуумного насоса, получая 420 мг (выход 99%) указанного в заголовке соединения.Phosphorus oxychloride (515 ml) was added to 7- (benzyloxy) -6-methoxy-3,4-dihydro-4-quinazolinone (400 mg) and diisopropylethylamine (0.3 ml), and the mixture was heated under reflux for 20 minutes. . The reaction solution was cooled to room temperature. A 10% aqueous sodium hydroxide solution is then added to the reaction solution, followed by extraction with chloroform. The organic layer is dried over sodium sulfate. The organic layer was filtered, and the solvent was then removed by distillation under reduced pressure. The residue was dried using a vacuum pump to give 420 mg (99% yield) of the title compound.

1H ЯМР (CDCl3, 400 МГц): δ 4,08 (с, 3Н), 5,34 (с, 2Н), 7,35-7,51 (м, 7Н), 8,86 (с, 1Н).1 H NMR (CDCl3 , 400 MHz): δ 4.08 (s, 3H), 5.34 (s, 2H), 7.35-7.51 (m, 7H), 8.86 (s, 1H )

Пример получения 28: Метил 5-(бензилокси)-4-метокси-2-нитробензоатProduction Example 28: Methyl 5- (benzyloxy) -4-methoxy-2-nitrobenzoate

Коммерчески доступный метил 3-гидрокси-4-метоксибензоат (10 г) и карбонат калия (23 г) растворяют в N,N-диметилформамиде (50 мл). К раствору добавляют по каплям бензилбромид (6,5 мл) в течение 10 мин. Смесь перемешивают при комнатной температуре в течение ночи. Добавляют воду (200 мл), экстрагируют этилацетатом. Затем к органическому слою добавляют насыщенный солевой раствор, после чего экстрагируют этилацетатом. К органическому слою для высушивания добавляют сульфат натрия. Далее органический слой фильтруют, и растворитель затем удаляют путем перегонки при пониженном давлении. Остаток сушат с помощью вакуумного насоса, получая 8,4 г твердого вещества белого цвета. Затем 7,0 г твердого вещества помещают в колбу, и при охлаждении на льду добавляют 100 мл уксусной кислоты и 200 мл азотной кислоты. Смесь перемешивают в течение 8 ч, и затем добавляют воду. Полученное твердое вещество собирают путем фильтрации, тщательно промывают водой и сушат с помощью вакуумного насоса, получая 7,9 г (выход 96%) указанного в заголовке соединения.Commercially available methyl 3-hydroxy-4-methoxybenzoate (10 g) and potassium carbonate (23 g) are dissolved in N, N-dimethylformamide (50 ml). Benzyl bromide (6.5 ml) was added dropwise to the solution over 10 minutes. The mixture was stirred at room temperature overnight. Water (200 ml) was added, extracted with ethyl acetate. Then, saturated brine was added to the organic layer, after which it was extracted with ethyl acetate. Sodium sulfate is added to the organic layer for drying. Next, the organic layer was filtered, and the solvent was then removed by distillation under reduced pressure. The residue was dried using a vacuum pump to obtain 8.4 g of a white solid. Then 7.0 g of a solid were placed in a flask, and 100 ml of acetic acid and 200 ml of nitric acid were added while cooling on ice. The mixture was stirred for 8 hours and then water was added. The resulting solid was collected by filtration, washed thoroughly with water and dried using a vacuum pump to give 7.9 g (96% yield) of the title compound.

1H ЯМР (CDCl3, 400 МГц): δ 3,89 (с, 3Н), 3,96 (с, 3Н), 5,21 (с, 2Н), 7,15 (с, 1Н), 7,34-7,45 (м, 6Н).1 H NMR (CDCl3 , 400 MHz): δ 3.89 (s, 3H), 3.96 (s, 3H), 5.21 (s, 2H), 7.15 (s, 1H), 7, 34-7.45 (m, 6H).

Пример получения 29: 6-(Бензилокси)-7-метокси-3,4-дигидро-4-хиназолинонProduction Example 29: 6- (Benzyloxy) -7-methoxy-3,4-dihydro-4-quinazolinone

Метил 5-(бензилокси)-4-метокси-2-нитробензоат (15,8 г) растворяют в уксусной кислоте (200 мл) при комнатной температуре. Затем к раствору добавляют железо (порошок) (13,9 г). Смесь нагревают до 90°С и перемешивают в течение одного часа. Полученное серое твердое вещество фильтруют через Celite и промывают уксусной кислотой. Концентрированную соляную кислоту добавляют к маточной жидкости, и растворитель затем удаляют путем перегонки при пониженном давлении для осаждения твердого вещества. Твердое вещество собирают путем фильтрации, промывают этилацетатом и эфиром и сушат с помощью вакуумного насоса. Затем для получения суспензии к твердому веществу добавляют хлороформ и метанол, после чего к суспензии для растворения твердого вещества добавляют 10% водный раствор гидроксида натрия, после чего экстрагируют хлороформом. Экстракт промывают водой и органический слой затем сушат над сульфатом натрия. Далее органический слой фильтруют, и растворитель затем удаляют путем перегонки при пониженном давлении. Остаток сушат с помощью вакуумного насоса, получая 10,4 г (выход 73%) неочищенного продукта метил 2-амино-5-(бензилокси)-4-метоксибензоата. Метил 2-амино-5-(бензилокси)-4-метоксибензоат (5,0 г) растворяют в N,N-диметилформамиде (150 мл) и метаноле (30 мл). К раствору добавляют формамид (3,5 мл) и метоксид натрия (2,8 г). Смесь нагревают до 100°С и затем перемешивают в течение ночи. Реакционный раствор затем охлаждают до комнатной температуры и добавляют 10 мл воды. Реакционный раствор нейтрализуют 1 М водным раствором соляной кислоты для осаждения твердого вещества. Твердое вещество собирают путем фильтрации, промывают водой и эфиром и затем сушат с помощью вакуумного насоса, получая 3,7 г (выход 76%) указанного в заголовке соединения.Methyl 5- (benzyloxy) -4-methoxy-2-nitrobenzoate (15.8 g) was dissolved in acetic acid (200 ml) at room temperature. Then iron (powder) (13.9 g) was added to the solution. The mixture is heated to 90 ° C and stirred for one hour. The resulting gray solid was filtered through Celite and washed with acetic acid. Concentrated hydrochloric acid was added to the mother liquor, and the solvent was then removed by distillation under reduced pressure to precipitate a solid. The solid is collected by filtration, washed with ethyl acetate and ether and dried using a vacuum pump. Then, to obtain a suspension, chloroform and methanol are added to the solid, after which a 10% aqueous solution of sodium hydroxide is added to the suspension to dissolve the solid, and then extracted with chloroform. The extract was washed with water and the organic layer was then dried over sodium sulfate. Next, the organic layer was filtered, and the solvent was then removed by distillation under reduced pressure. The residue was dried using a vacuum pump to obtain 10.4 g (73% yield) of the crude product of methyl 2-amino-5- (benzyloxy) -4-methoxybenzoate. Methyl 2-amino-5- (benzyloxy) -4-methoxybenzoate (5.0 g) was dissolved in N, N-dimethylformamide (150 ml) and methanol (30 ml). Formamide (3.5 ml) and sodium methoxide (2.8 g) were added to the solution. The mixture was heated to 100 ° C and then stirred overnight. The reaction solution was then cooled to room temperature and 10 ml of water was added. The reaction solution was neutralized with a 1 M aqueous hydrochloric acid solution to precipitate a solid. The solid was collected by filtration, washed with water and ether, and then dried using a vacuum pump to obtain 3.7 g (76% yield) of the title compound.

1H ЯМР (DMSO-d6, 400 МГц): δ 3,92 (с, 3Н), 5,21 (с, 2Н), 7,16 (с, 1Н), 7,33-7,49 (м, 5Н), 7,55 (с, 1Н), 7,99 (с, 1Н), 12,06 (шир, 1Н).1 H NMR (DMSO-d6 , 400 MHz): δ 3.92 (s, 3H), 5.21 (s, 2H), 7.16 (s, 1H), 7.33-7.49 (m 5H), 7.55 (s, 1H), 7.99 (s, 1H), 12.06 (br, 1H).

Пример получения 30: 6-(Бензилокси)-4-хлор-7-метоксихиназолинProduction Example 30: 6- (Benzyloxy) -4-chloro-7-methoxyquinazoline

Оксихлорид фосфора (3,1 мл) добавляют к 6-(бензилокси)-7-метокси-3,4-дигидро-4-хиназолинону (3,5 г) и диизопропилэтиламину (11,5 мл). Смесь нагревают с обратным холодильником в течение 20 мин. Реакционный раствор охлаждают до комнатной температуры и затем к охлажденному реакционному раствору добавляют 10% водный раствор гидроксида натрия, после чего экстрагируют хлороформом. Органический слой сушат над сульфатом натрия. Органический слой фильтруют, и растворитель затем удаляют путем перегонки при пониженном давлении. Остаток сушат с помощью вакуумного насоса, получая 2,9 г (выход 72%) указанного в заголовке соединения.Phosphorus oxychloride (3.1 ml) is added to 6- (benzyloxy) -7-methoxy-3,4-dihydro-4-quinazolinone (3.5 g) and diisopropylethylamine (11.5 ml). The mixture was refluxed for 20 minutes. The reaction solution was cooled to room temperature and then a 10% aqueous sodium hydroxide solution was added to the cooled reaction solution, followed by extraction with chloroform. The organic layer is dried over sodium sulfate. The organic layer was filtered, and the solvent was then removed by distillation under reduced pressure. The residue was dried using a vacuum pump to give 2.9 g (72% yield) of the title compound.

1H ЯМР (СDСl3, 400 МГц): δ 4,07 (с, 3Н), 5,32 (с, 2Н), 7,35-7,53 (м, 7Н), 8,86 (с, 1Н).1 H NMR (CDCl3 , 400 MHz): δ 4.07 (s, 3H), 5.32 (s, 2H), 7.35-7.53 (m, 7H), 8.86 (s, 1H )

Пример получения 31: 4-{[7-(Бензилокси)-6-метокси-4-хиназолинил]окси}-2-хлоранилинProduction Example 31: 4 - {[7- (Benzyloxy) -6-methoxy-4-quinazolinyl] oxy} -2-chloroaniline

7-(Бензилокси)-4-хлор-6-метоксихиназолин (30,0 г) и тетрабутилхлорид аммония (13,9 г) растворяют в ацетоне (400 мл) и раствор перемешивают при комнатной температуре. Добавляют раствор гидрохлорида 4-амино-3-хлорфенола (36,0 г) в 20% водном растворе гидроксида натрия (64 мл). Смесь затем нагревают с обратным холодильником в течение 3 ч. Реакционный раствор охлаждают до комнатной температуры, и к охлажденному реакционному раствору добавляют хлороформ и воду, после чего экстрагируют хлороформом. Экстракт промывают насыщенным водным раствором гидрокарбоната натрия и насыщенным солевым раствором и затем сушат над безводным сульфатом натрия. Далее сульфат натрия удаляют, и растворитель затем удаляют путем перегонки. Остаток промывают метанолом, и промытое твердое вещество подвергают упариванию досуха в вакууме с помощью вакуумного насоса, получая 36,6 г (выход 90%) указанного в заголовке соединения.7- (Benzyloxy) -4-chloro-6-methoxyquinazoline (30.0 g) and ammonium tetrabutyl chloride (13.9 g) were dissolved in acetone (400 ml) and the solution was stirred at room temperature. A solution of 4-amino-3-chlorophenol hydrochloride (36.0 g) in a 20% aqueous sodium hydroxide solution (64 ml) was added. The mixture was then refluxed for 3 hours. The reaction solution was cooled to room temperature, and chloroform and water were added to the cooled reaction solution, followed by extraction with chloroform. The extract was washed with saturated aqueous sodium hydrogen carbonate and saturated brine, and then dried over anhydrous sodium sulfate. Next, sodium sulfate is removed, and the solvent is then removed by distillation. The residue was washed with methanol, and the washed solid was evaporated to dryness in vacuo using a vacuum pump to obtain 36.6 g (90% yield) of the title compound.

1H ЯМР (DMSO-d6, 400 МГц): δ 3,96 (с, 3Н), 5,34 (с, 2Н), 6,86 (д, J=8,8 Гц, 1Н), 7,00 (дд, J=2,7 Гц, 8,8 Гц, 1Н), 7,22 (д, J=2,7 Гц, 1Н), 7,35-7,54 (м, 7Н), 8,53 (с, 1Н).1 H NMR (DMSO-d6 , 400 MHz): δ 3.96 (s, 3H), 5.34 (s, 2H), 6.86 (d, J = 8.8 Hz, 1H), 7, 00 (dd, J = 2.7 Hz, 8.8 Hz, 1H), 7.22 (d, J = 2.7 Hz, 1H), 7.35-7.54 (m, 7H), 8, 53 (s, 1H).

Пример получения 32: N-(4-{[7-(Бензилокси)-6-метокси-4-хиназолинил]окси}-2-хлорфенил)-N’-пропилмочевинаProduction Example 32: N- (4 - {[7- (Benzyloxy) -6-methoxy-4-quinazolinyl] oxy} -2-chlorophenyl) -N’-propylurea

4-{[7-(Бензилокси)-6-метокси-4-хиназолинил]окси}-2-хлоранилин (12,2 г) растворяют в безводном хлороформе. Затем к раствору добавляют триэтиламин (8,4 мл), и смесь перемешивают при комнатной температуре. Отдельно трифосген (4,5 г) растворяют в безводном хлороформе (12 мл), и раствор добавляют по каплям к раствору при перемешивании. Смесь перемешивают при комнатной температуре в течение 20 мин, затем добавляют н-пропиламин (4,9 мл), после чего перемешивают при комнатной температуре в течение еще одного часа для осаждения твердого вещества белого цвета. Данное твердое вещество собирают путем фильтрации и затем промывают хлороформом, получая 9,4 г (выход 63%) указанного в заголовке соединения.4 - {[7- (Benzyloxy) -6-methoxy-4-quinazolinyl] oxy} -2-chloroaniline (12.2 g) was dissolved in anhydrous chloroform. Then, triethylamine (8.4 ml) was added to the solution, and the mixture was stirred at room temperature. Separately, triphosgene (4.5 g) was dissolved in anhydrous chloroform (12 ml), and the solution was added dropwise to the solution with stirring. The mixture was stirred at room temperature for 20 minutes, then n-propylamine (4.9 ml) was added, followed by stirring at room temperature for another hour to precipitate a white solid. This solid was collected by filtration and then washed with chloroform to obtain 9.4 g (63% yield) of the title compound.

1H ЯМР (DMSO-d6, 400 МГц): δ 0,91 (т, J=7,3 Гц, 3Н), 1,44-1,50 (м, 2Н), 3,06-3,09 (м, 2Н), 3,98 (с, 3Н), 5,35 (с, 2Н), 6,97-7,01 (м, 1Н), 7,23 (дд, J=2,7 Гц, 9,0 Гц, 1Н), 7,37-7,57 (м, 9Н), 8,20 (д, J=9,3 Гц, 1Н), 8,55 (с, 1Н).1 H NMR (DMSO-d6 , 400 MHz): δ 0.91 (t, J = 7.3 Hz, 3H), 1.44-1.50 (m, 2H), 3.06-3.09 (m, 2H), 3.98 (s, 3H), 5.35 (s, 2H), 6.97-7.01 (m, 1H), 7.23 (dd, J = 2.7 Hz, 9.0 Hz, 1H), 7.37-7.57 (m, 9H), 8.20 (d, J = 9.3 Hz, 1H), 8.55 (s, 1H).

Пример получения 33: N-{2-Хлор-4-[(7-гидрокси-6-метокси-4-хиназолинил)окси]фенил}-N’-пропилмочевинаProduction Example 33: N- {2-Chloro-4 - [(7-hydroxy-6-methoxy-4-quinazolinyl) oxy] phenyl} -N’-propylurea

N-(4-{[7-(Бензилокси)-6-метокси-4-хиназолинил]окси}-2-хлорфенил)-N’-пропилмочевину (42,2 г) растворяют в трифторуксусной кислоте (200 мл). Метансульфоновую кислоту (11,1 мл) затем к раствору добавляют, и смесь перемешивают при 100°С в течение 4 ч. Реакционный раствор охлаждают до комнатной температуры, и трифторуксусную кислоту удаляют путем перегонки при пониженном давлении. Хлороформ и метанол добавляют к смеси в виде остатка, после чего экстрагируют 10% водным раствором гидроксида натрия три раза. Водный слой нейтрализуют концентрированной соляной кислотой для осаждения твердого вещества. Твердое вещество промывают водой, метанолом и эфиром в данном порядке, и затем сушат в вакууме с помощью вакуумного насоса, получая 20,7 г (выход 60%) указанного в заголовке соединения.N- (4 - {[7- (Benzyloxy) -6-methoxy-4-quinazolinyl] oxy} -2-chlorophenyl) -N’-propylurea (42.2 g) was dissolved in trifluoroacetic acid (200 ml). Methanesulfonic acid (11.1 ml) was then added to the solution, and the mixture was stirred at 100 ° C. for 4 hours. The reaction solution was cooled to room temperature and trifluoroacetic acid was removed by distillation under reduced pressure. Chloroform and methanol are added to the mixture as a residue, and then extracted with a 10% aqueous sodium hydroxide solution three times. The aqueous layer was neutralized with concentrated hydrochloric acid to precipitate a solid. The solid was washed with water, methanol and ether in this order, and then dried in vacuo using a vacuum pump to obtain 20.7 g (60% yield) of the title compound.

1H ЯМР (DMSO-d6, 400 МГц): δ 0,91 (т, J=7,3 Гц, 3Н), 1,42-1,49 (м, 2Н), 3,06-3,17 (м, 2Н), 3,84 (с, 3Н), 6,65 (с, 1Н), 7,03 (м, 1Н), 7,14 (дд, J=2,7 Гц, 9,0 Гц, 1Н), 7,20 (с, 1Н), 7,35 (д, J=2,7 Гц, 1Н), 8,05 (с, 1Н), 8,14 (дд, J=2,7 Гц, 8,8 Гц, 1Н), 8,19 (с, 1Н).1 H NMR (DMSO-d6 , 400 MHz): δ 0.91 (t, J = 7.3 Hz, 3H), 1.42-1.49 (m, 2H), 3.06-3.17 (m, 2H), 3.84 (s, 3H), 6.65 (s, 1H), 7.03 (m, 1H), 7.14 (dd, J = 2.7 Hz, 9.0 Hz , 1H), 7.20 (s, 1H), 7.35 (d, J = 2.7 Hz, 1H), 8.05 (s, 1H), 8.14 (dd, J = 2.7 Hz 8.8 Hz, 1H); 8.19 (s, 1H).

Пример получения 34: 6,7-Диметокси-4-хиназолонProduction Example 34: 6,7-Dimethoxy-4-quinazolone

Формамид (150 мл) добавляют к метил 2-амино-3,4-диметоксибензоату (20,0 г, 94,8 ммоль). Смесь нагревают при 160°С в течение 8,5 ч. Реакционный раствор охлаждают и затем фильтруют. Собранный осадок промывают водой (100 мл × 2 раза), и промытый осадок сушат в вакууме, получая 17,85 г (выход 91,5%) целевого соединения.Formamide (150 ml) was added to methyl 2-amino-3,4-dimethoxybenzoate (20.0 g, 94.8 mmol). The mixture was heated at 160 ° C. for 8.5 hours. The reaction solution was cooled and then filtered. The collected precipitate was washed with water (100 ml × 2 times), and the washed precipitate was dried in vacuo to obtain 17.85 g (yield 91.5%) of the target compound.

1H ЯМР (DMSO-d6, 400 МГц): δ 4,01 (с, 3Н), 4,02 (с, 3Н), 7,14 (с, 1Н), 7,34 (с, 1Н), 7,61 (с, 1Н), 7,97 (с, 1Н).1 H NMR (DMSO-d6 , 400 MHz): δ 4.01 (s, 3H), 4.02 (s, 3H), 7.14 (s, 1H), 7.34 (s, 1H), 7.61 (s, 1H); 7.97 (s, 1H).

Пример получения 35: 4-Хлор-6,1-диметоксихиназолинAn example of obtaining 35: 4-Chloro-6,1-dimethoxyquinazoline

Сульфолан (250 мл) и оксихлорид фосфора (250 мл=412,5 г, 2,69 моль) добавляют к 6,7-диметокси-4-хиназолону (50,1 г, 0,24 моль), и смесь перемешивают при 120°С в течение одного часа. Реакционную смесь охлаждают до комнатной температуры, и избыток оксихлорида фосфора затем удаляют путем перегонки при пониженном давлении. Остаток выливают в воду со льдом (1000 мл) и добавляют хлороформ (1000 мл). рН водного слоя доводят до 6,5 путем добавления 20% раствора гидроксида натрия, после чего отделяют органический слой от водного слоя. Отделенный органический слой промывают водой (1000 мл × шесть раз), сушат над сульфатом натрия и затем концентрируют при пониженном давлении. К остатку добавляют тетрагидрофуран (470 мл), и смесь нагревают с обратным холодильником. Реакционный раствор охлаждают до температуры от -5°С до -10°С, фильтруют и сушат, получая 38,5 г (выход 71,4%) целевого продукта.Sulfolane (250 ml) and phosphorus oxychloride (250 ml = 412.5 g, 2.69 mol) are added to 6.7-dimethoxy-4-quinazolone (50.1 g, 0.24 mol), and the mixture is stirred at 120 ° C for one hour. The reaction mixture was cooled to room temperature, and excess phosphorus oxychloride was then removed by distillation under reduced pressure. The residue was poured into ice water (1000 ml) and chloroform (1000 ml) was added. The pH of the aqueous layer was adjusted to 6.5 by adding a 20% sodium hydroxide solution, after which the organic layer was separated from the aqueous layer. The separated organic layer was washed with water (1000 ml × six times), dried over sodium sulfate and then concentrated under reduced pressure. Tetrahydrofuran (470 ml) was added to the residue, and the mixture was heated under reflux. The reaction solution is cooled to a temperature of from -5 ° C to -10 ° C, filtered and dried, yielding 38.5 g (71.4% yield) of the target product.

1H ЯМР (DMSO-d6, 400 МГц): δ 4,09 (с, 3Н), 4,09 (с, 3Н), 7,14 (с, 1Н), 7,34 (с, 1H), 7,61 (с, 1Н), 7,97 (с, 1Н).1 H NMR (DMSO-d6 , 400 MHz): δ 4.09 (s, 3H), 4.09 (s, 3H), 7.14 (s, 1H), 7.34 (s, 1H), 7.61 (s, 1H); 7.97 (s, 1H).

Пример получения 36: 4-Хлор-6,7-диметоксихиназолинProduction Example 36: 4-Chloro-6,7-dimethoxyquinazoline

Толуол (100 мл) и оксихлорид фосфора (7,4 г, 48,6 ммоль), добавляют к 6,7-диметокси-4-хиназолону (10,0 г, 48,5 ммоль), и смесь перемешивают при 120°С в течение 6,5 ч. Реакционный раствор охлаждают до комнатной температуры, затем фильтруют, промывают толуолом (100 мл, 50 мл) и сушат, получая 11,5 г (выход 91%) целевого продукта.Toluene (100 ml) and phosphorus oxychloride (7.4 g, 48.6 mmol) were added to 6.7-dimethoxy-4-quinazolone (10.0 g, 48.5 mmol), and the mixture was stirred at 120 ° C. for 6.5 hours. The reaction solution was cooled to room temperature, then filtered, washed with toluene (100 ml, 50 ml) and dried, yielding 11.5 g (yield 91%) of the desired product.

Пример получения 37: 4-(4’-Амино-3’-хлор)-фенокси-6,7-диметоксихиназолинAn example of obtaining 37: 4- (4’-amino-3’-chloro) -phenoxy-6,7-dimethoxyquinazoline

Гидроксид натрия (8,5 г, 0,21 моль) и воду (90 мл) добавляют к гидрохлориду 4-амино-3-хлорфенола (14,6 г, 81 ммоль) и растворяют в нем. К раствору добавляют 4-хлор-6,7-диметоксихиназолин (12 г, 53 ммоль) и метилэтилкетон (225 мл), и смесь нагревают с обратным холодильником в течение 2 ч. Реакционный раствор охлаждают приблизительно до 50°С, и затем к охлажденному реакционному раствору добавляют хлороформ (500 мл) и воду (500 мл). Смесь перемешивают в течение 10 мин, после чего органический слой отделяют от водного слоя. К водному слою добавляют хлороформ (250 мл), смесь перемешивают в течение 10 мин, затем слои разделяют. Органический слой концентрируют при пониженном давлении. К остатку добавляют метанол (50 мл), и смесь перемешивают в течение 30 мин. Реакционный раствор затем фильтруют и сушат, получая 15,6 г (выход 85%) целевого продукта.Sodium hydroxide (8.5 g, 0.21 mol) and water (90 ml) are added to and dissolved in 4-amino-3-chlorophenol hydrochloride (14.6 g, 81 mmol). 4-Chloro-6,7-dimethoxyquinazoline (12 g, 53 mmol) and methyl ethyl ketone (225 ml) were added to the solution, and the mixture was heated under reflux for 2 hours. The reaction solution was cooled to approximately 50 ° C, and then cooled chloroform (500 ml) and water (500 ml) are added to the reaction solution. The mixture was stirred for 10 minutes, after which the organic layer was separated from the aqueous layer. Chloroform (250 ml) was added to the aqueous layer, the mixture was stirred for 10 minutes, then the layers were separated. The organic layer was concentrated under reduced pressure. Methanol (50 ml) was added to the residue, and the mixture was stirred for 30 minutes. The reaction solution was then filtered and dried, yielding 15.6 g (85% yield) of the expected product.

1H ЯМР (DMSO-d6, 400 МГц): δ 3,95 (с, 3Н), 3,97 (с, 3Н), 5,33 (с, 2Н), 6,85 (д, J=8,8 Гц, 1Н), 6,98 (дд, J=2,8 Гц, J=8,8 Гц, 1Н), 7,20 (д, J=2,8 Гц, 1Н), 7,36 (с, 1Н), 7,51 (с, 1Н), 8,53 (с, 1Н).1 H NMR (DMSO-d6 , 400 MHz): δ 3.95 (s, 3H), 3.97 (s, 3H), 5.33 (s, 2H), 6.85 (d, J = 8 , 8 Hz, 1H), 6.98 (dd, J = 2.8 Hz, J = 8.8 Hz, 1H), 7.20 (d, J = 2.8 Hz, 1H), 7.36 ( s, 1H), 7.51 (s, 1H), 8.53 (s, 1H).

Пример получения 38: 4-(4’-Амино-3’-хлор)-фенокси-6,7-диметоксихиназолинProduction Example 38: 4- (4’-Amino-3’-chloro) phenoxy-6,7-dimethoxyquinazoline

20% Водный раствор гидроксида натрия (3,5 мл) и воду (2 мл) добавляют к гидрохлориду 4-амино-3-хлорфенола (1,3 г, 7,2 ммоль) и растворяют в нем. К раствору добавляют 4-хлор-6,7-диметоксихиназолин (0,8 г, 3,6 ммоль), хлороформ (6 мл) и бромид тетрабутиламмония (0,58 г, 1,8 ммоль), и смесь нагревают с обратным холодильником в течение 2 ч. Реакционный раствор охлаждают. Затем к охлажденному реакционному раствору добавляют хлороформ (10 мл) и воду (10 мл), и смесь перемешивают в течение 10 мин, после чего отделяют органический слой от водного слоя. К отделенному водному слою добавляют хлороформ (10 мл), и смесь перемешивают в течение 10 мин, после чего слои разделяют. Органический слой концентрируют при пониженном давлении. К остатку добавляют метанол (2 мл), и смесь перемешивают в течение 30 мин. Реакционный раствор затем фильтруют и сушат, получая 1,0 г (выход 83%) целевого продукта.A 20% aqueous sodium hydroxide solution (3.5 ml) and water (2 ml) are added to 4-amino-3-chlorophenol hydrochloride (1.3 g, 7.2 mmol) and dissolved therein. 4-Chloro-6,7-dimethoxyquinazoline (0.8 g, 3.6 mmol), chloroform (6 ml) and tetrabutylammonium bromide (0.58 g, 1.8 mmol) were added to the solution, and the mixture was heated under reflux. for 2 hours. The reaction solution was cooled. Then, chloroform (10 ml) and water (10 ml) were added to the cooled reaction solution, and the mixture was stirred for 10 minutes, after which the organic layer was separated from the aqueous layer. Chloroform (10 ml) was added to the separated aqueous layer, and the mixture was stirred for 10 minutes, after which the layers were separated. The organic layer was concentrated under reduced pressure. Methanol (2 ml) was added to the residue, and the mixture was stirred for 30 minutes. The reaction solution was then filtered and dried, yielding 1.0 g (83% yield) of the expected product.

Пример 1: N-(2,4-Дифторбензил)-N’-{4-[(6,7-диметокси-4-хинолил)окси]-2-фторфенил}мочевинаExample 1: N- (2,4-Difluorobenzyl) -N ’- {4 - [(6,7-dimethoxy-4-quinolyl) oxy] -2-fluorophenyl} urea

4-[(6,7-Диметокси-4-хинолил)окси]-2-фторанилин (100 мг) растворяют в толуоле (5,0 мл) и триэтиламине (1,0 мл) при нагревании. Затем к раствору добавляют раствор трифосгена (103 мг) в дихлорметане (1,0 мл), и смесь нагревают с обратным холодильником в течение 3 мин. Далее добавляют 2,4-дифторбензиламин (54 мг), и смесь нагревают с обратным холодильником в течение еще 5 ч. К реакционному раствору добавляют насыщенный водный раствор гидрокарбоната натрия, после чего экстрагируют хлороформом. Хлороформный слой сушат над безводным сульфатом натрия. Растворитель удаляют путем перегонки при пониженном давлении. Остаток очищают методом хроматографии на силикагеле, элюируя смесью хлороформ/ацетон (2/1), получая 123 мг (выход 80%) указанного в заголовке соединения.4 - [(6,7-Dimethoxy-4-quinolyl) oxy] -2-fluoroaniline (100 mg) was dissolved in toluene (5.0 ml) and triethylamine (1.0 ml) with heating. Then a solution of triphosgene (103 mg) in dichloromethane (1.0 ml) was added to the solution, and the mixture was heated under reflux for 3 minutes. Then 2,4-difluorobenzylamine (54 mg) was added and the mixture was heated under reflux for another 5 hours. A saturated aqueous solution of sodium hydrogen carbonate was added to the reaction solution, followed by extraction with chloroform. The chloroform layer was dried over anhydrous sodium sulfate. The solvent was removed by distillation under reduced pressure. The residue was purified by silica gel chromatography, eluting with chloroform / acetone (2/1), to obtain 123 mg (80% yield) of the title compound.

1H ЯМР (CDCl3, 400 МГц): δ 4,02 (с, 3Н), 4,03 (с, 3Н), 4,47 (д, J=5,9 Гц, 2Н), 5,78-5,90 (м, 1Н), 6,46 (д, J=5,4 Гц, 1Н), 6,74-6,99 (м, 4Н), 7,03-7,14 (м, 1Н), 7,35-7,44 (м, 2Н), 7,50 (с, 1Н), 8,16 (т, J=9,0 Гц, 1Н), 8,47 (д, J=5,1 Гц, 1Н).1 H NMR (CDCl3 , 400 MHz): δ 4.02 (s, 3H), 4.03 (s, 3H), 4.47 (d, J = 5.9 Hz, 2H), 5.78- 5.90 (m, 1H), 6.46 (d, J = 5.4 Hz, 1H), 6.74-6.99 (m, 4H), 7.03-7.14 (m, 1H) 7.35-7.44 (m, 2H), 7.50 (s, 1H), 8.16 (t, J = 9.0 Hz, 1H), 8.47 (d, J = 5.1 Hz, 1H).

Определение молекулярной массы (FD-MS, m/z): 483 (М+).Determination of molecular weight (FD-MS, m / z): 483 (M+ ).

Пример 2: N-{4-[(6,7-Диметокси-4-хинолил)окси]-2-фторфенил}-N’-(2-фторэтил)мочевинаExample 2: N- {4 - [(6,7-Dimethoxy-4-quinolyl) oxy] -2-fluorophenyl} -N ’- (2-fluoroethyl) urea

4-[(6,7-Диметокси-4-хинолил)окси]-2-фторанилин (100 мг) растворяют в толуоле (10 мл) и триэтиламине (0,5 мл) при нагревании. Затем к раствору добавляют раствор трифосгена (47 мг) в дихлорметане (1,0 мл), и смесь нагревают с обратным холодильником в течение 5 мин. Далее добавляют гидрохлорид 2-фторэтиламина (42 мг), и смесь нагревают с обратным холодильником в течение еще 8 ч. К реакционному раствору добавляют насыщенный водный раствор гидрокарбоната натрия, после чего экстрагируют этилацетатом. Этилацетатный слой сушат над безводным сульфатом натрия. Растворитель удаляют путем перегонки при пониженном давлении. Остаток очищают методом хроматографии на силикагеле, элюируя смесью хлороформ/ацетон (2/1), получая 93 мг (выход 72%) указанного в заголовке соединения.4 - [(6,7-Dimethoxy-4-quinolyl) oxy] -2-fluoroaniline (100 mg) was dissolved in toluene (10 ml) and triethylamine (0.5 ml) with heating. Then a solution of triphosgene (47 mg) in dichloromethane (1.0 ml) was added, and the mixture was heated under reflux for 5 minutes. Next, 2-fluoroethylamine hydrochloride (42 mg) was added and the mixture was heated under reflux for another 8 hours. A saturated aqueous solution of sodium hydrogen carbonate was added to the reaction solution, followed by extraction with ethyl acetate. The ethyl acetate layer was dried over anhydrous sodium sulfate. The solvent was removed by distillation under reduced pressure. The residue was purified by silica gel chromatography, eluting with chloroform / acetone (2/1), to obtain 93 mg (72% yield) of the title compound.

1H ЯМР (DMSO-d6, 400 МГц): δ 3,40 (м, 1Н), 3,47 (м, 1Н), 3,93 (с, 3Н), 3,95 (с, 3Н), 4,42 (т, J=4,9 Гц, 1Н), 4,54 (т, J=4,9 Гц, 1Н), 6,51 (д, J=5,4 Гц, 1Н), 6,88 (м, 1Н), 7,05 (м, 1Н), 7,28 (дд, J=2,7 Гц, J=11,7 Гц, 1Н), 7,40 (с, 1Н), 7,49 (с, 1Н), 8,21 (м, 1Н), 8,47 (шир, 1Н), 8,48 (д, J=5,4 Гц, 1Н).1 H NMR (DMSO-d6 , 400 MHz): δ 3.40 (m, 1H), 3.47 (m, 1H), 3.93 (s, 3H), 3.95 (s, 3H), 4.42 (t, J = 4.9 Hz, 1H), 4.54 (t, J = 4.9 Hz, 1H), 6.51 (d, J = 5.4 Hz, 1H), 6, 88 (m, 1H), 7.05 (m, 1H), 7.28 (dd, J = 2.7 Hz, J = 11.7 Hz, 1H), 7.40 (s, 1H), 7, 49 (s, 1H), 8.21 (m, 1H), 8.47 (br, 1H), 8.48 (d, J = 5.4 Hz, 1H).

Определение молекулярной массы (ESI-MS, m/z): 404 (M++1).Determination of molecular weight (ESI-MS, m / z): 404 (M+ +1).

Пример 3: N-{4-[(6,7-Диметокси-4-хинолил)окси]-2-фторфенил}-N’-(2-пиридилметил)мочевинаExample 3: N- {4 - [(6,7-Dimethoxy-4-quinolyl) oxy] -2-fluorophenyl} -N ’- (2-pyridylmethyl) urea

4-[(6,7-Диметокси-4-хинолил)окси]-2-фторанилин (100 мг) растворяют в толуоле (5 мл) и триэтиламине (1 мл). К раствору затем добавляют раствор трифосгена (104 мг) в дихлорметане, и смесь нагревают с обратным холодильником в течение 5 мин. Далее добавляют 2-(аминометил)пиридин (40 мкл), и смесь нагревают с обратным холодильником в течение 2 ч. К реакционному раствору добавляют насыщенный водный раствор гидрокарбоната натрия (1 мл) и хлороформ (2 мл). Смесь наносят на диатомовую землю, после чего экстрагируют хлороформом. Растворитель удаляют путем перегонки при пониженном давлении. Остаток очищают методом хроматографии на силикагеле, элюируя смесью хлороформ/метанол (8/1), получая 126 мг (выход 88%) указанного в заголовке соединения.4 - [(6,7-Dimethoxy-4-quinolyl) oxy] -2-fluoroaniline (100 mg) was dissolved in toluene (5 ml) and triethylamine (1 ml). A solution of triphosgene (104 mg) in dichloromethane was then added to the solution, and the mixture was heated under reflux for 5 minutes. Then 2- (aminomethyl) pyridine (40 μl) was added and the mixture was heated under reflux for 2 hours. Saturated aqueous sodium hydrogen carbonate solution (1 ml) and chloroform (2 ml) were added to the reaction solution. The mixture is applied to diatomaceous earth, and then extracted with chloroform. The solvent was removed by distillation under reduced pressure. The residue was purified by silica gel chromatography, eluting with chloroform / methanol (8/1), to give 126 mg (88% yield) of the title compound.

1H ЯМР (СDСl3, 400 МГц): δ 4,07 (с, 3Н), 4,09 (с, 3Н), 4,61 (д, J=5,4 Гц, 2Н), 6,40-6,50 (шир, 1Н), 6,61 (д, J=5,9 Гц, 1Н), 6,92-7,01 (м, 2Н), 7,21-7,25 (м, 1Н), 7,36 (д, J=7,8 Гц, 1Н), 7,56 (с, 1Н), 7,68-7,78 (м, 2Н), 7,75 (с, 1Н), 8,27-8,34 (м, 1Н), 8,49 (д, J=6,1 Гц, 1Н), 8,55 (д, J=4,1 Гц, 1Н).1 H NMR (CDCl3 , 400 MHz): δ 4.07 (s, 3H), 4.09 (s, 3H), 4.61 (d, J = 5.4 Hz, 2H), 6.40- 6.50 (br, 1H), 6.61 (d, J = 5.9 Hz, 1H), 6.92-7.01 (m, 2H), 7.21-7.25 (m, 1H) 7.36 (d, J = 7.8 Hz, 1H), 7.56 (s, 1H), 7.68-7.78 (m, 2H), 7.75 (s, 1H), 8, 27-8.34 (m, 1H), 8.49 (d, J = 6.1 Hz, 1H), 8.55 (d, J = 4.1 Hz, 1H).

Определение молекулярной массы (FD-MS, m/z): 448 (M+).Determination of molecular weight (FD-MS, m / z): 448 (M+ ).

Пример 4: N-Аллил-N’-{4-[(6,7-диметокси-4-хинолил)окси]-2-фторфенил}мочевинаExample 4: N-Allyl-N ’- {4 - [(6,7-dimethoxy-4-quinolyl) oxy] -2-fluorophenyl} urea

4-[(6,7-Диметокси-4-хинолил)окси]-2-фторанилин (100 мг) растворяют в толуоле (5 мл) и триэтиламине (1 мл) и к раствору затем добавляют раствор трифосгена (104 мг) в дихлорметане. Смесь нагревают с обратным холодильником в течение 5 мин. Далее к реакционному раствору добавляют аллиламин (22 мг), и смесь нагревают с обратным холодильником в течение дополнительно 4 ч. К реакционному раствору добавляют насыщенный водный раствор гидрокарбоната натрия (1 мл) и хлороформ (2 мл), и смесь наносят на диатомовую землю, после чего экстрагируют хлороформом. Растворитель удаляют путем перегонки при пониженном давлении. Остаток очищают методом хроматографии на силикагеле, элюируя смесью хлороформ/ацетон (2/1), получая 125 мг (выход 98%) указанного в заголовке соединения.4 - [(6,7-Dimethoxy-4-quinolyl) oxy] -2-fluoroaniline (100 mg) was dissolved in toluene (5 ml) and triethylamine (1 ml), and a solution of triphosgene (104 mg) in dichloromethane was then added to the solution. . The mixture was refluxed for 5 minutes. Then, allylamine (22 mg) was added to the reaction solution, and the mixture was heated under reflux for an additional 4 hours. A saturated aqueous solution of sodium hydrogen carbonate (1 ml) and chloroform (2 ml) were added to the reaction solution, and the mixture was applied to diatomaceous earth. then extracted with chloroform. The solvent was removed by distillation under reduced pressure. The residue was purified by silica gel chromatography, eluting with chloroform / acetone (2/1), to give 125 mg (98% yield) of the title compound.

1H ЯМР (CDCl3, 400 МГц): δ 3,91-3,96 (м, 2Н), 4,06 (с, 3Н), 4,09 (с, 3Н), 5,14-5,20 (м, 1Н), 5,26-5,33 (м, 1Н), 5,58-5,66 (шир, 1Н), 5,86-5,98 (м, 1Н), 6,56 (д, J=5,9 Гц, 1Н), 6,88-7,01 (м, 2Н), 7,23 (с, 1Н), 7,55 (с, 1Н), 7,66 (с, 1Н), 8,26-8,33 (м, 1Н), 8,47 (д, 10 J=5,9 Гц, 1Н).1 H NMR (CDCl3 , 400 MHz): δ 3.91-3.96 (m, 2H), 4.06 (s, 3H), 4.09 (s, 3H), 5.14-5.20 (m, 1H), 5.26-5.33 (m, 1H), 5.58-5.66 (br, 1H), 5.86-5.98 (m, 1H), 6.56 (d , J = 5.9 Hz, 1H), 6.88-7.01 (m, 2H), 7.23 (s, 1H), 7.55 (s, 1H), 7.66 (s, 1H) 8.26-8.33 (m, 1H); 8.47 (d, 10 J = 5.9 Hz, 1H).

Определение молекулярной массы (FD-MS, m/z): 397 (М+).Determination of molecular weight (FD-MS, m / z): 397 (M+ ).

Пример 5: N-{4-[(6,7-Диметокси-4-хинолил)окси]-2-фторфенил}-N’-пропилмочевинаExample 5: N- {4 - [(6,7-Dimethoxy-4-quinolyl) oxy] -2-fluorophenyl} -N’-propylurea

4-[(6,7-Диметокси-4-хинолил)окси]-2-фторанилин (100 мг) растворяют в толуоле (10 мл) и триэтиламине (2 мл) и к раствору затем добавляют раствор трифосгена (104 мг) в дихлорметане. Смесь нагревают с обратным холодильником в течение 5 мин. Далее добавляют пропиламин (29 мг), и смесь нагревают с обратным холодильником в течение 40 мин. К реакционному раствору добавляют насыщенный водный раствор гидрокарбоната натрия, и смесь экстрагируют этилацетатом. Этилацетатный слой затем сушат над безводным сульфатом натрия. Растворитель удаляют путем перегонки при пониженном давлении. Остаток очищают методом тонкослойной хроматографии на силикагеле, элюируя смесью хлороформ/метанол (10/1), получая 89 мг (выход 71%) указанного в заголовке соединения.4 - [(6,7-Dimethoxy-4-quinolyl) oxy] -2-fluoroaniline (100 mg) was dissolved in toluene (10 ml) and triethylamine (2 ml), and a solution of triphosgene (104 mg) in dichloromethane was then added to the solution. . The mixture was refluxed for 5 minutes. Propylamine (29 mg) was added and the mixture was heated under reflux for 40 minutes. A saturated aqueous sodium hydrogen carbonate solution was added to the reaction solution, and the mixture was extracted with ethyl acetate. The ethyl acetate layer was then dried over anhydrous sodium sulfate. The solvent was removed by distillation under reduced pressure. The residue was purified by thin layer chromatography on silica gel, eluting with a mixture of chloroform / methanol (10/1) to obtain 89 mg (71% yield) of the title compound.

1H ЯМР (CDCl3, 400 МГц): δ 0,97 (т, J=7,6 Гц, 3Н), 1,55-1,64 (м, 2Н), 3,24-3,29 (м, 2Н), 4,05 (с, 3Н), 4,06 (с, 3Н), 5,11 (т, J=5,4 Гц, 1Н), 6,51 (д, J=5,4 Гц, 1Н), 6,74-6,76 (м, 1Н), 6,91-6,99 (м, 2Н), 7,48 (с, 1Н), 7,52 (с, 1Н), 8,18-8,23 (м, 1Н), 8,49 (д, J=5,6 Гц, 1Н).1 H NMR (CDCl3 , 400 MHz): δ 0.97 (t, J = 7.6 Hz, 3H), 1.55-1.64 (m, 2H), 3.24-3.29 (m , 2H), 4.05 (s, 3H), 4.06 (s, 3H), 5.11 (t, J = 5.4 Hz, 1H), 6.51 (d, J = 5.4 Hz , 1H), 6.74-6.76 (m, 1H), 6.91-6.99 (m, 2H), 7.48 (s, 1H), 7.52 (s, 1H), 8, 18-8.23 (m, 1H), 8.49 (d, J = 5.6 Hz, 1H).

Определение молекулярной массы (FD-MS, m/z): 399 (М+).Determination of molecular weight (FD-MS, m / z): 399 (M+ ).

Пример 6: N-{4-[(6,7-Диметокси-4-хинолил)окси]-2-фторфенил}-N’-(4-фторбутил)мочевинаExample 6: N- {4 - [(6,7-Dimethoxy-4-quinolyl) oxy] -2-fluorophenyl} -N ’- (4-fluorobutyl) urea

4-[(6,7-Диметокси-4-хинолил)окси]-2-фторанилин (100 мг) растворяют в толуоле (6 мл) и триэтиламине (1,0 мл) при нагревании и затем к раствору добавляют раствор трифосгена (104 мг) в дихлорметане (1,0 мл). Смесь нагревают с обратным холодильником в течение 5 мин. Далее к реакционному раствору добавляют гидрохлорид 4-фторбутиламина (55 мг), и смесь нагревают с обратным холодильником в течение еще 2 ч. К реакционному раствору добавляют насыщенный водный раствор гидрокарбоната натрия, после чего экстрагируют хлороформом. Хлороформный слой сушат над безводным сульфатом натрия. Растворитель удаляют путем перегонки при пониженном давлении. Остаток очищают методом хроматографии на силикагеле, элюируя смесью хлороформ/ацетон (2/1), получая 80 мг (выход 55%) указанного в заголовке соединения.4 - [(6,7-Dimethoxy-4-quinolyl) oxy] -2-fluoroaniline (100 mg) was dissolved in toluene (6 ml) and triethylamine (1.0 ml) with heating, and then a solution of triphosgene (104 mg) in dichloromethane (1.0 ml). The mixture was refluxed for 5 minutes. Next, 4-fluorobutylamine hydrochloride (55 mg) was added to the reaction solution, and the mixture was heated under reflux for another 2 hours. A saturated aqueous solution of sodium hydrogen carbonate was added to the reaction solution, followed by extraction with chloroform. The chloroform layer was dried over anhydrous sodium sulfate. The solvent was removed by distillation under reduced pressure. The residue was purified by silica gel chromatography, eluting with a mixture of chloroform / acetone (2/1) to obtain 80 mg (55% yield) of the title compound.

1H ЯМР (СDСl3, 400 МГц): δ 1,66-1,87 (м, 4Н), 3,33-3,40 (м, 2Н), 4,04 (с, 3Н), 4,05 (с, 3Н), 4,44 (т, J=5,6 Гц, 1Н), 4,56 (т, J=5,7 Гц, 1Н), 4,90 (т, J=5,7 20 Гц, 1H), 6,48-6,52 (м, 2Н), 6,93-7,02 (м, 2Н), 7,42 (с, 1Н), 7,51 (с, 1Н), 8,15 (т, J=8,9 Гц, 1Н), 8,50 (д, J=5,1 Гц, 1Н).1 H NMR (CDCl3 , 400 MHz): δ 1.66-1.87 (m, 4H), 3.33-3.40 (m, 2H), 4.04 (s, 3H), 4.05 (s, 3H), 4.44 (t, J = 5.6 Hz, 1H), 4.56 (t, J = 5.7 Hz, 1H), 4.90 (t, J = 5.7 20 Hz, 1H), 6.48-6.52 (m, 2H), 6.93-7.02 (m, 2H), 7.42 (s, 1H), 7.51 (s, 1H), 8 15 (t, J = 8.9 Hz, 1H); 8.50 (d, J = 5.1 Hz, 1H).

Определение молекулярной массы (FD-MS, m/z): 431 (М+).Determination of molecular weight (FD-MS, m / z): 431 (M+ ).

Пример 7: N-{4-[(6,7-Диметокси-4-хинолил)окси]-2-фторфенил}-N’-(2-пропинил)мочевинаExample 7: N- {4 - [(6,7-Dimethoxy-4-quinolyl) oxy] -2-fluorophenyl} -N ’- (2-propynyl) urea

4-[(6,7-Диметокси-4-хинолил)окси]-2-фторанилин (150 мг) растворяют в хлороформе (10 мл) и триэтиламине (2 мл), и к раствору добавляют раствор трифосгена (156 мг) в дихлорметане. Смесь нагревают с обратным холодильником в течение 10 мин. Далее добавляют пропаргиламин (53 мг), и смесь нагревают с обратным холодильником в течение еще 30 мин. К реакционному раствору добавляют насыщенный водный раствор гидрокарбоната натрия, и смесь экстрагируют хлороформом. Хлороформный слой сушат над безводным сульфатом натрия. Растворитель удаляют путем перегонки при пониженном давлении. Остаток очищают методом хроматографии на силикагеле, элюируя смесью хлороформ/ацетон (2/1), получая 164 мг (выход 87%) указанного в заголовке соединения.4 - [(6,7-Dimethoxy-4-quinolyl) oxy] -2-fluoroaniline (150 mg) was dissolved in chloroform (10 ml) and triethylamine (2 ml), and a solution of triphosgene (156 mg) in dichloromethane was added to the solution . The mixture was refluxed for 10 minutes. Then propargylamine (53 mg) was added and the mixture was refluxed for another 30 minutes. A saturated aqueous sodium hydrogen carbonate solution was added to the reaction solution, and the mixture was extracted with chloroform. The chloroform layer was dried over anhydrous sodium sulfate. The solvent was removed by distillation under reduced pressure. The residue was purified by silica gel chromatography, eluting with chloroform / acetone (2/1), to obtain 164 mg (87% yield) of the title compound.

1H ЯМР (DMSO-d6, 400 МГц): δ 2,49-2,51 (м, 1Н), 3,90-3,95 (м, 8Н), 6,52 (д, J=5,1 Гц, 1Н), 6,89-6,92 (м, 1Н), 7,04-7,06 (м, 1Н), 7,26-7,29 (м, 1Н), 7,39 (с, 1Н), 7,49 (с, 1H), 8,16-8,20 (м, 1H), 8,46-8,49 (м, 2Н).1 H NMR (DMSO-d6 , 400 MHz): δ 2.49-2.51 (m, 1H), 3.90-3.95 (m, 8H), 6.52 (d, J = 5, 1 Hz, 1H), 6.89-6.92 (m, 1H), 7.04-7.06 (m, 1H), 7.26-7.29 (m, 1H), 7.39 (s , 1H), 7.49 (s, 1H), 8.16-8.20 (m, 1H), 8.46-8.49 (m, 2H).

Пример 8: N-{4-[(6,7-Диметокси-4-хинолил)окси]-2-фторфенил}-N’-этилмочевинаExample 8: N- {4 - [(6,7-Dimethoxy-4-quinolyl) oxy] -2-fluorophenyl} -N’-ethylurea

4-[(6,7-Диметокси-4-хинолил)окси]-2-фторанилин (100 мг) растворяют в толуоле (8 мл) и триэтиламине (1,0 мл) при нагревании, и затем к раствору добавляют раствор трифосгена (47 мг) в толуоле (1,0 мл). Смесь нагревают с обратным холодильником в течение 5 мин. Далее к реакционному раствору добавляют гидрохлорид этиламина (60 мг), и смесь нагревают с обратным холодильником в течение еще 5 ч. К реакционному раствору добавляют насыщенный водный раствор гидрокарбоната натрия, и смесь экстрагируют этилацетатом. Этилацетатный слой сушат над безводным сульфатом натрия. Растворитель удаляют путем перегонки при пониженном давлении. Остаток очищают методом хроматографии на силикагеле, элюируя смесью хлороформ/ацетон (2/1), получая 70 мг (выход 53%) указанного в заголовке соединения.4 - [(6,7-Dimethoxy-4-quinolyl) oxy] -2-fluoroaniline (100 mg) was dissolved in toluene (8 ml) and triethylamine (1.0 ml) with heating, and then a solution of triphosgene ( 47 mg) in toluene (1.0 ml). The mixture was refluxed for 5 minutes. Next, ethylamine hydrochloride (60 mg) was added to the reaction solution, and the mixture was heated under reflux for another 5 hours. A saturated aqueous solution of sodium hydrogen carbonate was added to the reaction solution, and the mixture was extracted with ethyl acetate. The ethyl acetate layer was dried over anhydrous sodium sulfate. The solvent was removed by distillation under reduced pressure. The residue was purified by silica gel chromatography, eluting with chloroform / acetone (2/1), to obtain 70 mg (53% yield) of the title compound.

1H ЯМР (СDСl3, 400 МГц): δ 1,21 (т, J=7,3 Гц, 3Н), 3,34 (м, 2Н), 4,06 (с, 3Н), 4,08 (с, 3Н), 5,64 (шир, 1Н), 6,55 (д, J=5,6 Гц, 1Н), 6,89 (дд, J=2,7 Гц, J=11,2 30 Гц, 1Н), 6,97 (м, 1Н), 7,26 (шир, 1Н), 7,54 (с, 1Н), 7,62 (с, 1Н), 8,28 (т, J=9,0 Гц, 1Н), 8,47 (д, J=5,6 Гц, 1Н).1 H NMR (CDCl3 , 400 MHz): δ 1.21 (t, J = 7.3 Hz, 3H), 3.34 (m, 2H), 4.06 (s, 3H), 4.08 ( s, 3H), 5.64 (broad, 1H), 6.55 (d, J = 5.6 Hz, 1H), 6.89 (dd, J = 2.7 Hz, J = 11.2 30 Hz , 1H), 6.97 (m, 1H), 7.26 (br, 1H), 7.54 (s, 1H), 7.62 (s, 1H), 8.28 (t, J = 9, 0 Hz, 1H), 8.47 (d, J = 5.6 Hz, 1H).

Определение молекулярной массы (ESI-MS, m/z): 386 (М++1).Determination of molecular weight (ESI-MS, m / z): 386 (M+ +1).

Пример 9: N-бутил-N’-{4-[(6,7-диметокси-4-хинолил)окси]-2-фторфенил}мочевинаExample 9: N-butyl-N ’- {4 - [(6,7-dimethoxy-4-quinolyl) oxy] -2-fluorophenyl} urea

4-[(6,7-Диметокси-4-хинолил)окси]-2-фторанилин (100 мг) растворяют в толуоле (8 мл) и триэтиламине (1,0 мл) при нагревании, и затем к раствору добавляют раствор трифосгена (47 мг) в толуоле (1,0 мл). Смесь нагревают с обратным холодильником в течение 5 мин. Далее к реакционному раствору добавляют бутиламин (80 мг), и смесь нагревают с обратным холодильником в течение еще 5 ч. К реакционному раствору добавляют насыщенный водный раствор гидрокарбоната натрия, и смесь экстрагируют этилацетатом. Этилацетатный слой сушат над безводным сульфатом натрия. Растворитель удаляют путем перегонки при пониженном давлении. Остаток очищают методом хроматографии на силикагеле, элюируя смесью хлороформ/ацетон (2/1), получая 117 мг (выход 81%) указанного в заголовке соединения.4 - [(6,7-Dimethoxy-4-quinolyl) oxy] -2-fluoroaniline (100 mg) was dissolved in toluene (8 ml) and triethylamine (1.0 ml) with heating, and then a solution of triphosgene ( 47 mg) in toluene (1.0 ml). The mixture was refluxed for 5 minutes. Then, butylamine (80 mg) was added to the reaction solution, and the mixture was heated under reflux for another 5 hours. A saturated aqueous solution of sodium hydrogen carbonate was added to the reaction solution, and the mixture was extracted with ethyl acetate. The ethyl acetate layer was dried over anhydrous sodium sulfate. The solvent was removed by distillation under reduced pressure. The residue was purified by silica gel chromatography, eluting with chloroform / acetone (2/1), to give 117 mg (81% yield) of the title compound.

1H ЯМР (СDСl3, 400 МГц): δ 0,94 (т, J=7,3 Гц, 3Н), 1,40 (м, 2Н), 1,55 (м, 2Н), 3,29 (дд, J=7,1 Гц, J=12,9 Гц, 2Н), 4,06 (с, 3Н), 4,09 (с, 3Н), 5,72 (шир, 1Н), 6,56 (д, J=5,9 Гц, 1Н), 6,88 (дд, J=2,7 Гц, J=11,2 Гц, 1Н), 6,97 (д, J=9,0 Гц, 1Н), 7,33 (с, 1Н), 7,55 (с, 1Н), 7,65 (с, 1Н), 8,30 (т, J=9,0 Гц, 1Н), 8,46 (д, J=5,9 Гц, 1Н).1 H NMR (CDCl3 , 400 MHz): δ 0.94 (t, J = 7.3 Hz, 3H), 1.40 (m, 2H), 1.55 (m, 2H), 3.29 ( dd, J = 7.1 Hz, J = 12.9 Hz, 2H), 4.06 (s, 3H), 4.09 (s, 3H), 5.72 (br, 1H), 6.56 ( d, J = 5.9 Hz, 1H), 6.88 (dd, J = 2.7 Hz, J = 11.2 Hz, 1H), 6.97 (d, J = 9.0 Hz, 1H) , 7.33 (s, 1H), 7.55 (s, 1H), 7.65 (s, 1H), 8.30 (t, J = 9.0 Hz, 1H), 8.46 (d, J = 5.9 Hz, 1H).

Определение молекулярной массы (ESI-MS, m/z): 414 (M++1).Determination of molecular weight (ESI-MS, m / z): 414 (M+ +1).

Пример 10: N-(втор-Бутил)-N’-{4-[(6,7-диметокси-4-хинолил)-окси]-2-фторфенил}мочевинаExample 10: N- (sec-Butyl) -N ’- {4 - [(6,7-dimethoxy-4-quinolyl) -oxy] -2-fluorophenyl} urea

4-[(6,7-Диметокси-4-хинолил)окси]-2-фторанилин (100 мг) растворяют в хлороформе (5 мл) и триэтиламине (1 мл), и затем к раствору добавляют раствор трифосгена (104 мг) в дихлорметане. Смесь нагревают с обратным холодильником в течение 5 мин. Далее к реакционному раствору добавляют втор-бутиламин (48 мкл). Смесь нагревают с обратным холодильником в течение 10 мин. Растворитель удаляют путем перегонки при пониженном давлении. Остаток очищают методом хроматографии на силикагеле, элюируя смесью хлороформ/ацетон (8/2), получая 117 мг (выход 89%) указанного в заголовке соединения.4 - [(6,7-Dimethoxy-4-quinolyl) oxy] -2-fluoroaniline (100 mg) was dissolved in chloroform (5 ml) and triethylamine (1 ml), and then a solution of triphosgene (104 mg) in dichloromethane. The mixture was refluxed for 5 minutes. Next, sec-butylamine (48 μl) was added to the reaction solution. The mixture was refluxed for 10 minutes. The solvent was removed by distillation under reduced pressure. The residue was purified by silica gel chromatography, eluting with a mixture of chloroform / acetone (8/2) to obtain 117 mg (89% yield) of the title compound.

1H ЯМР (CDCl3, 400 МГц): δ 0,95 (т, J=7,6 Гц, 3Н), 1,18 (д, J=6,6 Гц, 3Н), 1,47-1,55 (м, 2Н), 3,79-3,89 (м, 1Н), 4,04 (с, 6Н), 5,28 (д, J=8,1 Гц, 1Н), 6,48 (д, J=5,4 Гц, 1Н), 6,89-6,98 (м, 2Н), 7,08 (д, J=2,7 Гц, 1Н), 7,42 (с, 1Н), 7,51 (с, 1Н), 8,20-8,24 5 (м, J=9,0 Гц, 1Н), 8,48 (д, J=5,4 Гц, 1Н).1 H NMR (CDCl3 , 400 MHz): δ 0.95 (t, J = 7.6 Hz, 3H), 1.18 (d, J = 6.6 Hz, 3H), 1.47-1, 55 (m, 2H), 3.79-3.89 (m, 1H), 4.04 (s, 6H), 5.28 (d, J = 8.1 Hz, 1H), 6.48 (d , J = 5.4 Hz, 1H), 6.89-6.98 (m, 2H), 7.08 (d, J = 2.7 Hz, 1H), 7.42 (s, 1H), 7 51 (s, 1H), 8.20-8.24 5 (m, J = 9.0 Hz, 1H), 8.48 (d, J = 5.4 Hz, 1H).

Определение молекулярной массы (ESI-MS, m/z): 414 (M++1).Determination of molecular weight (ESI-MS, m / z): 414 (M+ +1).

Пример 11: N-{4-[(6,7-Диметокси-4-хинолил)окси]-2-фторфенил}-N’-изобутилмочевинаExample 11: N- {4 - [(6,7-Dimethoxy-4-quinolyl) oxy] -2-fluorophenyl} -N’-isobutylurea

4-[(6,7-Диметокси-4-хинолил)окси]-2-фторанилин (100 мг) растворяют в хлороформе (5 мл) и триэтиламине (1 мл), и затем к раствору добавляют раствор трифосгена (104 мг) в дихлорметане. Смесь нагревают с обратным холодильником в течение 5 мин. Далее к реакционному раствору добавляют изобутиламин (50 мкл), и смесь нагревают с обратным холодильником в течение 10 мин. Реакционный раствор очищают методом хроматографии на силикагеле, элюируя смесью хлороформ/ацетон (4/1). Таким образом указанное в заголовке соединение получают с количественным выходом.4 - [(6,7-Dimethoxy-4-quinolyl) oxy] -2-fluoroaniline (100 mg) was dissolved in chloroform (5 ml) and triethylamine (1 ml), and then a solution of triphosgene (104 mg) in dichloromethane. The mixture was refluxed for 5 minutes. Next, isobutylamine (50 μl) was added to the reaction solution, and the mixture was heated under reflux for 10 minutes. The reaction solution was purified by silica gel chromatography, eluting with chloroform / acetone (4/1). Thus, the title compound was obtained in quantitative yield.

1H ЯМР (CDCl3, 400 МГц): δ 0,94 (д, J=6,6 Гц, 6Н), 1,77-1,84 (м, 1Н), 3,10-3,13 (м, 2Н), 4,03 (с, 3Н), 4,03 (с, 3Н), 5,58 (т, J=5,4 Гц, 1Н), 6,47 (д, J=5,4 Гц, H), 6,88-6,97 (м, 2Н), 7,18 (с, 1H), 7,41 (с, 1Н), 7,50 (с, 1Н), 8,18-8,23 (м, 1H), 8,48 (д, J=5,1 Гц, 1H).1 H NMR (CDCl3 , 400 MHz): δ 0.94 (d, J = 6.6 Hz, 6H), 1.77-1.84 (m, 1H), 3.10-3.13 (m , 2H), 4.03 (s, 3H), 4.03 (s, 3H), 5.58 (t, J = 5.4 Hz, 1H), 6.47 (d, J = 5.4 Hz , H), 6.88-6.97 (m, 2H), 7.18 (s, 1H), 7.41 (s, 1H), 7.50 (s, 1H), 8.18-8, 23 (m, 1H), 8.48 (d, J = 5.1 Hz, 1H).

Определение молекулярной массы (ESI-MS, m/z): 414 (M++1).Determination of molecular weight (ESI-MS, m / z): 414 (M+ +1).

Пример 12: N-{4-[(6,7-Диметокси-4-хинолил)окси]-2-фторфенил}-N’-(1,2-диметилпропил)мочевинаExample 12: N- {4 - [(6,7-Dimethoxy-4-quinolyl) oxy] -2-fluorophenyl} -N ’- (1,2-dimethylpropyl) urea

4-[(6,7-Диметокси-4-хинолил)окси]-2-фторанилин (100 мг) растворяют в хлороформе (5 мл) и триэтиламине (1 мл), и затем к раствору добавляют раствор трифосгена (47 мг) в дихлорметане. Смесь перемешивают при комнатной температуре в течение 30 мин. Далее к реакционному раствору добавляют 1,2-диметилпропиламин (55 мкл), и смесь перемешивают при комнатной температуре в течение 10 мин. Растворитель удаляют путем перегонки при пониженном давлении. Остаток очищают методом хроматографии на силикагеле, элюируя смесью хлороформ/ацетон (2/1), получая 89 мг (выход 65%) указанного в заголовке соединения.4 - [(6,7-Dimethoxy-4-quinolyl) oxy] -2-fluoroaniline (100 mg) was dissolved in chloroform (5 ml) and triethylamine (1 ml), and then a solution of triphosgene (47 mg) in dichloromethane. The mixture was stirred at room temperature for 30 minutes. Next, 1,2-dimethylpropylamine (55 μl) was added to the reaction solution, and the mixture was stirred at room temperature for 10 minutes. The solvent was removed by distillation under reduced pressure. The residue was purified by silica gel chromatography, eluting with chloroform / acetone (2/1), to obtain 89 mg (yield 65%) of the title compound.

1H ЯМР (СDСl3, 400 МГц): δ 0,93 (д, J=2,2 Гц, 3Н), 0,95 (д, J=2,4 Гц, 3Н), 1,14 (д, J=6,8 Гц, 3Н), 1,72 5-1,80 (м, 1H), 3,76-3,84 (м, 1H), 4,04 (с, 3Н), 4,05 (с, 3Н), 4,91 (д, J=8,5 Гц, 1H), 6,48 (д, J=5,4 Гц, 1H), 6,74 (д, J=2,9 Гц, 1H), 6,91-6,98 (м, 2Н), 7,42 (с, 1H), 7,51 (с, 1H), 8,18-8,23 (м, 1H), 8,49 (д, J=5,4 Гц, 1H).1 H NMR (CDCl3 , 400 MHz): δ 0.93 (d, J = 2.2 Hz, 3H), 0.95 (d, J = 2.4 Hz, 3H), 1.14 (d, J = 6.8 Hz, 3H), 1.72 5-1.80 (m, 1H), 3.76-3.84 (m, 1H), 4.04 (s, 3H), 4.05 ( s, 3H), 4.91 (d, J = 8.5 Hz, 1H), 6.48 (d, J = 5.4 Hz, 1H), 6.74 (d, J = 2.9 Hz, 1H), 6.91-6.98 (m, 2H), 7.42 (s, 1H), 7.51 (s, 1H), 8.18-8.23 (m, 1H), 8.49 (d, J = 5.4 Hz, 1H).

Определение молекулярной массы (ESI-MS, m/z); 428 (M++1).Determination of molecular weight (ESI-MS, m / z); 428 (M+ +1).

Пример 13: N-{2-Хлор-4-[(6,7-диметокси-4-хинолил)окси]-фенил}-N’-пропилмочевинаExample 13: N- {2-Chloro-4 - [(6,7-dimethoxy-4-quinolyl) oxy] phenyl} -N’-propylurea

2-Хлор-4-[(6,7-диметокси-4-хинолил)окси]анилин (100 мг) растворяют в хлороформе (7,5 мл) и триэтиламине (1 мл), и затем к раствору добавляют раствор трифосгена (99 мг) в хлороформе. Смесь нагревают с обратным холодильником в течение 5 мин. Далее к реакционному раствору добавляют н-пропиламин (21 мг), и смесь нагревают с обратным холодильником в течение еще 2 ч. К реакционному раствору добавляют насыщенный водный раствор гидрокарбоната натрия, смесь наносят на диатомовую землю, после чего экстрагируют хлороформом. Растворитель удаляют путем перегонки при пониженном давлении. Остаток очищают методом хроматографии на силикагеле, элюируя смесью хлороформ/метанол (8/1). Таким образом указанное в заголовке соединение получают с количественным выходом.2-Chloro-4 - [(6,7-dimethoxy-4-quinolyl) oxy] aniline (100 mg) was dissolved in chloroform (7.5 ml) and triethylamine (1 ml), and then a solution of triphosgene (99 mg) in chloroform. The mixture was refluxed for 5 minutes. Next, n-propylamine (21 mg) was added to the reaction solution, and the mixture was heated under reflux for another 2 hours. A saturated aqueous solution of sodium hydrogen carbonate was added to the reaction solution, the mixture was applied to diatomaceous earth, and then extracted with chloroform. The solvent was removed by distillation under reduced pressure. The residue was purified by silica gel chromatography, eluting with chloroform / methanol (8/1). Thus, the title compound was obtained in quantitative yield.

1H ЯМР (CDCl3, 400 МГц): δ 0,99 (т, J=7,3 Гц, 3Н), 1,58-1,65 (м, 2Н), 3,24-3,31 (м, 2Н), 4,04 (с, 3Н), 30 4,05 (с, 3Н), 4,94 (т, J=5,9 Гц, 1Н), 6,48 (д, J=5,1 Гц, 1Н), 6,77 (с, 1Н), 7,11 (дд, J=2,7 Гц, 9,0 Гц, 1Н), 7,21 (д, J=2,7 Гц, 1Н), 7,43 (с, 1Н), 7,52 (с, 1Н), 8,27 (д, J=9,0 Гц, 1Н), 8,50 (д, J=5,1 Гц, 1Н).1 H NMR (CDCl3 , 400 MHz): δ 0.99 (t, J = 7.3 Hz, 3H), 1.58-1.65 (m, 2H), 3.24-3.31 (m , 2H), 4.04 (s, 3H), 30 4.05 (s, 3H), 4.94 (t, J = 5.9 Hz, 1H), 6.48 (d, J = 5.1 Hz, 1H), 6.77 (s, 1H), 7.11 (dd, J = 2.7 Hz, 9.0 Hz, 1H), 7.21 (d, J = 2.7 Hz, 1H) 7.43 (s, 1H), 7.52 (s, 1H), 8.27 (d, J = 9.0 Hz, 1H), 8.50 (d, J = 5.1 Hz, 1H) .

Определение молекулярной массы (FD-MS, m/z): 415, 417 (М+).Determination of molecular weight (FD-MS, m / z): 415, 417 (M+ ).

Пример 14: N-{2-Хлор-4-[(6,7-диметокси-4-хинолил)окси]-фенил}-N’-(4-фтор-2-метилфенил)мочевинаExample 14: N- {2-Chloro-4 - [(6,7-dimethoxy-4-quinolyl) oxy] phenyl} -N ’- (4-fluoro-2-methylphenyl) urea

2-Хлор-4-[(6,7-диметокси-4-хинолил)окси]анилин (122 мг) растворяют в хлороформе (10 мл) и триэтиламине (1 мл), и затем к раствору добавляют раствор трифосгена (110 мг) в дихлорметане. Смесь перемешивают при комнатной температуре в течение 30 мин. Далее к реакционному раствору добавляют 4-фтор-2-метиланилин (126 мкл), и смесь перемешивают при комнатной температуре в течение 2 ч. К реакционному раствору добавляют метанол, и растворитель удаляют путем перегонки при пониженном давлении. Остаток очищают методом хроматографии на силикагеле, элюируя смесью хлороформ/ацетон (2/1), получая 142 мг (выход 79%) указанного в заголовке соединения.2-Chloro-4 - [(6,7-dimethoxy-4-quinolyl) oxy] aniline (122 mg) was dissolved in chloroform (10 ml) and triethylamine (1 ml), and then a solution of triphosgene (110 mg) was added to the solution in dichloromethane. The mixture was stirred at room temperature for 30 minutes. Next, 4-fluoro-2-methylaniline (126 μl) was added to the reaction solution, and the mixture was stirred at room temperature for 2 hours. Methanol was added to the reaction solution, and the solvent was removed by distillation under reduced pressure. The residue was purified by silica gel chromatography, eluting with chloroform / acetone (2/1), to obtain 142 mg (79% yield) of the title compound.

1H ЯМР (СDСl3, 400 МГц): δ 2,37 (с, 3Н), 4,04 (с, 3Н), 4,04 (с, 3Н), 6,31 (с, 1Н), 6,47 (д, J=5,1 Гц, 1Н), 6,97-7,06 (м, 3Н), 7,11-7,14 (м, 1Н), 7,19 (д, J=2,7 Гц, 1Н), 7,41-7,44 (м, 2Н), 7,50 (с, 1Н), 8,35 (д, J=9,0 Гц, 1Н), 8,50 (д, J=5,4 Гц, 1Н).1 H NMR (CDCl3 , 400 MHz): δ 2.37 (s, 3H), 4.04 (s, 3H), 4.04 (s, 3H), 6.31 (s, 1H), 6, 47 (d, J = 5.1 Hz, 1H), 6.97-7.06 (m, 3H), 7.11-7.14 (m, 1H), 7.19 (d, J = 2, 7 Hz, 1H), 7.41-7.44 (m, 2H), 7.50 (s, 1H), 8.35 (d, J = 9.0 Hz, 1H), 8.50 (d, J = 5.4 Hz, 1H).

Определение молекулярной массы (ESI-MS, m/z): 482, 484 (M++1).Determination of molecular weight (ESI-MS, m / z): 482, 484 (M+ +1).

Пример 15: N-(5-Бром-6-метил-2-пиридил)-N’-{2-хлор-4-[(6,7-диметокси-4-хинолил)окси]фенил}мочевинаExample 15: N- (5-Bromo-6-methyl-2-pyridyl) -N ’- {2-chloro-4 - [(6,7-dimethoxy-4-quinolyl) oxy] phenyl} urea

2-Хлор-4-[(6,7-диметокси-4-хинолил)окси]анилин (122 мг) растворяют в хлороформе (10 мл) и триэтиламине (1 мл), и затем к раствору добавляют раствор трифосгена (110 мг) в дихлорметане. Смесь перемешивают при комнатной температуре в течение 30 мин. Далее к реакционному раствору добавляют 6-амино-3-бром-2-метилпиридин (208 мг), и смесь перемешивают при комнатной температуре в течение 2 ч. К реакционному раствору добавляют метанол, и растворитель удаляют путем перегонки при пониженном давлении. Остаток очищают методом хроматографии на силикагеле, элюируя смесью хлороформ/ацетон (2/1), получая 155 мг (выход 77%) указанного в заголовке соединения.2-Chloro-4 - [(6,7-dimethoxy-4-quinolyl) oxy] aniline (122 mg) was dissolved in chloroform (10 ml) and triethylamine (1 ml), and then a solution of triphosgene (110 mg) was added to the solution in dichloromethane. The mixture was stirred at room temperature for 30 minutes. Next, 6-amino-3-bromo-2-methylpyridine (208 mg) was added to the reaction solution, and the mixture was stirred at room temperature for 2 hours. Methanol was added to the reaction solution, and the solvent was removed by distillation under reduced pressure. The residue was purified by silica gel chromatography, eluting with chloroform / acetone (2/1), to give 155 mg (yield 77%) of the title compound.

1H ЯМР (СDСl3, 400 МГц): δ 2,69 (с, 3Н), 4,06 (с, 6Н), 6,53 (д, J=5,4 Гц, 1Н), 6,56 (д, J=8,5 Гц, 1Н), 7,14-7,17 (м, 1Н), 7,30 (д, J=2,7 Гц, 1Н), 7,44 (с, 1Н), 7,53 (с, 1Н), 7,75 (д, J=8,5 Гц, 1Н), 7,93 (с, 1Н), 8,49 (д, J=9,0 Гц, 1Н), 8,52 (д, J=5,4 Гц, 1Н), 11,92 (с, 1Н).1 H NMR (CDCl3 , 400 MHz): δ 2.69 (s, 3H), 4.06 (s, 6H), 6.53 (d, J = 5.4 Hz, 1H), 6.56 ( d, J = 8.5 Hz, 1H), 7.14-7.17 (m, 1H), 7.30 (d, J = 2.7 Hz, 1H), 7.44 (s, 1H), 7.53 (s, 1H), 7.75 (d, J = 8.5 Hz, 1H), 7.93 (s, 1H), 8.49 (d, J = 9.0 Hz, 1H), 8.52 (d, J = 5.4 Hz, 1H); 11.92 (s, 1H).

Определение молекулярной массы (ESI-MS, m/z): 543, 545, 547 (M++1).Determination of molecular weight (ESI-MS, m / z): 543, 545, 547 (M+ +1).

Пример 16: N-{2-Хлор-4-[(6,7-диметокси-4-хинолил)окси]-фенил}-N’-(5-хлор-2-пиридил)мочевинаExample 16: N- {2-Chloro-4 - [(6,7-dimethoxy-4-quinolyl) oxy] phenyl} -N ’- (5-chloro-2-pyridyl) urea

2-Хлор-4-[(6,7-диметокси-4-хинолил)окси]анилин (122 мг) растворяют в хлороформе (10 мл) и триэтиламине (1 мл), и затем к раствору добавляют раствор трифосгена (110 мг) в дихлорметане. Смесь перемешивают при комнатной температуре в течение 30 мин. Далее к реакционному раствору добавляют 2-амино-5-хлорпиридин (143 мг), и смесь перемешивают при комнатной температуре в течение 2 ч. К реакционному раствору добавляют метанол, и растворитель удаляют путем перегонки при пониженном давлении. Остаток очищают методом хроматографии на силикагеле, элюируя смесью хлороформ/ацетон (2/1), получая 148 мг (выход 82%) указанного в заголовке соединения.2-Chloro-4 - [(6,7-dimethoxy-4-quinolyl) oxy] aniline (122 mg) was dissolved in chloroform (10 ml) and triethylamine (1 ml), and then a solution of triphosgene (110 mg) was added to the solution in dichloromethane. The mixture was stirred at room temperature for 30 minutes. Next, 2-amino-5-chloropyridine (143 mg) was added to the reaction solution, and the mixture was stirred at room temperature for 2 hours. Methanol was added to the reaction solution, and the solvent was removed by distillation under reduced pressure. The residue was purified by silica gel chromatography, eluting with a mixture of chloroform / acetone (2/1) to obtain 148 mg (82% yield) of the title compound.

1H ЯМР (CDCl3, 400 МГц): δ 4,06 (с, 3Н), 4,06 (с, 3Н), 6,53 (д, J=5,1 Гц, 1Н), 6,95 (д, J=8,8 Гц, 1Н), 7,14-7,17 (м, 1Н), 7,31 (д, J=2,7 Гц, 1Н), 7,44 (с, 1Н), 7,53 (с, 1Н), 7,64-7,67 (м, 1Н), 8,28 (д, J=2,7 Гц, 1Н), 8,50-8,53 (м, 2Н), 8,92 (с, 1Н), 12,11 (шир.с, 1Н).1 H NMR (CDCl3 , 400 MHz): δ 4.06 (s, 3H), 4.06 (s, 3H), 6.53 (d, J = 5.1 Hz, 1H), 6.95 ( d, J = 8.8 Hz, 1H), 7.14-7.17 (m, 1H), 7.31 (d, J = 2.7 Hz, 1H), 7.44 (s, 1H), 7.53 (s, 1H), 7.64-7.67 (m, 1H), 8.28 (d, J = 2.7 Hz, 1H), 8.50-8.53 (m, 2H) 8.92 (s, 1H); 12.11 (br s, 1H).

Определение молекулярной массы (ESI-MS, m/z): 485, 487, 489 (M++1).Molecular Weight Determination (ESI-MS, m / z): 485, 487, 489 (M+ +1).

Пример 17: N-(5-Бpoм-2-пиpидил)-N’-{2-xлop-4-[(6,7-димeтoкcи-4-хинолил)окси]фенил}мочевинаExample 17: N- (5-Brom-2-pyridyl) -N ’- {2-chlorop-4 - [(6,7-dimethoxy-4-quinolyl) oxy] phenyl} urea

2-Хлор-4-[(6,7-диметокси-4-хинолил)окси]анилин (122 мг) растворяют в хлороформе (10 мл) и триэтиламине (1 мл), и затем к раствору добавляют раствор трифосгена (110 мг) в дихлорметане. Смесь перемешивают при комнатной температуре в течение 30 мин. Далее к реакционному раствору добавляют 2-амино-5-бромпиридин (192 мг), и смесь перемешивают при комнатной температуре в течение 2 ч. К реакционному раствору добавляют метанол, и растворитель удаляют путем перегонки при пониженном давлении. Остаток очищают методом хроматографии на силикагеле, элюируя смесью хлороформ/ацетон (2/1), получая 108 мг (выход 55%) указанного в заголовке соединения.2-Chloro-4 - [(6,7-dimethoxy-4-quinolyl) oxy] aniline (122 mg) was dissolved in chloroform (10 ml) and triethylamine (1 ml), and then a solution of triphosgene (110 mg) was added to the solution in dichloromethane. The mixture was stirred at room temperature for 30 minutes. Next, 2-amino-5-bromopyridine (192 mg) was added to the reaction solution, and the mixture was stirred at room temperature for 2 hours. Methanol was added to the reaction solution, and the solvent was removed by distillation under reduced pressure. The residue was purified by silica gel chromatography, eluting with chloroform / acetone (2/1), to give 108 mg (55% yield) of the title compound.

1H ЯМР (CDCl3, 400 МГц): δ 4,06 (с, 3Н), 4,06 (с, 3Н), 6,53 (д, J=5,1 Гц, 1Н), 6,80 (д, J=8,8 Гц, 1Н), 7,14-7,18 (м, 1Н), 7,30 (д, J=2,7 Гц, 1Н), 7,45 (с, 1Н), 7,53 (с, 1Н), 7,77-7,80 (м, 1Н), 8,15 (с, 1Н), 10 8,39 (д, J=2,4 Гц, 1Н), 8,50 (д, J=9,0 Гц, 1Н), 8,52 (д, J=5,4 Гц, 1Н), 12,09 (шир.с, 1Н).1 H NMR (CDCl3 , 400 MHz): δ 4.06 (s, 3H), 4.06 (s, 3H), 6.53 (d, J = 5.1 Hz, 1H), 6.80 ( d, J = 8.8 Hz, 1H), 7.14-7.18 (m, 1H), 7.30 (d, J = 2.7 Hz, 1H), 7.45 (s, 1H), 7.53 (s, 1H), 7.77-7.80 (m, 1H), 8.15 (s, 1H), 10 8.39 (d, J = 2.4 Hz, 1H), 8, 50 (d, J = 9.0 Hz, 1H), 8.52 (d, J = 5.4 Hz, 1H), 12.09 (br s, 1H).

Определение молекулярной массы (ESI-MS, m/z): 529, 531, 533 (M++1).Determination of molecular weight (ESI-MS, m / z): 529, 531, 533 (M+ +1).

Пример 18: N-{2-Хлор-4-[(6,7-диметокси-4-хинолил)окси]-фенил}-N’-(2-метоксифенил)мочевинаExample 18: N- {2-Chloro-4 - [(6,7-dimethoxy-4-quinolyl) oxy] phenyl} -N ’- (2-methoxyphenyl) urea

2-Хлор-4-[(6,7-диметокси-4-хинолил)окси]анилин (100 мг) растворяют в хлороформе (10 мл), и к раствору добавляют 2-метоксифенилизоцианат (54 мг). Смесь перемешивают при 60°С в течение ночи. К реакционному раствору добавляют метанол, и растворитель удаляют путем перегонки при пониженном давлении. Остаток очищают методом хроматографии на силикагеле, элюируя смесью хлороформ/ацетон (6/4), получая 111 мг (выход 77%) указанного в заголовке соединения.2-Chloro-4 - [(6,7-dimethoxy-4-quinolyl) oxy] aniline (100 mg) was dissolved in chloroform (10 ml), and 2-methoxyphenyl isocyanate (54 mg) was added to the solution. The mixture was stirred at 60 ° C. overnight. Methanol was added to the reaction solution, and the solvent was removed by distillation under reduced pressure. The residue was purified by silica gel chromatography, eluting with chloroform / acetone (6/4), to give 111 mg (77% yield) of the title compound.

1H ЯМР (CDCl3, 400 МГц): δ 3,85 (с, 3Н), 4,04 (с, 3Н), 4,05 (с, 3Н), 6,50 (д, J=5,1 Гц, 1Н), 6,89-6,93 (м, 1Н), 6,98-7,03 (м, 1Н), 7,05-7,10 (м, 1Н), 7,14 (дд, J=2,7 Гц, 9,0 Гц, 1Н), 7,23 (д, J=2,7 Гц, 1Н), 7,35 (с, 1Н), 7,36 (с, 1Н), 7,44 (с, 1Н), 7,52 (с, 1Н), 8,05-8,07 (м, 1Н), 8,34 (д, J=9,0 Гц, 1Н), 8,52 (д, J=5,4 Гц, 1Н).1 H NMR (CDCl3 , 400 MHz): δ 3.85 (s, 3H), 4.04 (s, 3H), 4.05 (s, 3H), 6.50 (d, J = 5.1 Hz, 1H), 6.89-6.93 (m, 1H), 6.98-7.03 (m, 1H), 7.05-7.10 (m, 1H), 7.14 (dd, J = 2.7 Hz, 9.0 Hz, 1H), 7.23 (d, J = 2.7 Hz, 1H), 7.35 (s, 1H), 7.36 (s, 1H), 7 44 (s, 1H), 7.52 (s, 1H), 8.05-8.07 (m, 1H), 8.34 (d, J = 9.0 Hz, 1H), 8.52 ( d, J = 5.4 Hz, 1H).

Определение молекулярной массы (ESI-MS, m/z): 480, 482 (M++1).Determination of molecular weight (ESI-MS, m / z): 480, 482 (M+ +1).

Пример 19: N-{2-Хлор-4-[(6,7-диметокси-4-хинолил)окси]-фенил}-N’-(2-метилфенил)мочевинаExample 19: N- {2-Chloro-4 - [(6,7-dimethoxy-4-quinolyl) oxy] phenyl} -N ’- (2-methylphenyl) urea

2-Хлор-4-[(6,7-диметокси-4-хинолил)окси]анилин (122 мг) растворяют в хлороформе (10 мл), и к раствору добавляют о-толуолизоцианат (59 мг). Смесь перемешивают при комнатной температуре в течение ночи. К реакционному раствору добавляют метанол и растворитель удаляют путем перегонки при пониженном давлении. Остаток растворяют в небольшом количестве хлороформа, и к раствору добавляют большое количество эфира для осаждения кристаллов. Кристаллы собирают путем фильтрации, получая 59 мг (выход 34%) указанного в заголовке соединения.2-Chloro-4 - [(6,7-dimethoxy-4-quinolyl) oxy] aniline (122 mg) was dissolved in chloroform (10 ml), and o-toluenisocyanate (59 mg) was added to the solution. The mixture was stirred at room temperature overnight. Methanol was added to the reaction solution, and the solvent was removed by distillation under reduced pressure. The residue was dissolved in a small amount of chloroform, and a large amount of ether was added to the solution to precipitate crystals. The crystals were collected by filtration to obtain 59 mg (34% yield) of the title compound.

1H ЯМР (СDСl3, 400 МГц): δ 2,38 (с, 3Н), 4,04 (с, 3Н), 4,05 (с, 3Н), 6,22 (с, 1Н), 6,47 (д, J=5,1 Гц, 1Н), 7,01 (с, 1Н), 7,11-7,14 (м, 1Н), 7,18 (д, J=2,7 Гц, 1Н), 7,25-7,35 (м, 3Н), 7,42 (с, 1Н), 7,46 (д, J=6,8 Гц, 1Н), 7,50 (С, 1Н), 8,37 (д, J=8,8 Гц, 1Н), 8,50 (д, J=5,1 Гц, 1Н).1 H NMR (CDCl3 , 400 MHz): δ 2.38 (s, 3H), 4.04 (s, 3H), 4.05 (s, 3H), 6.22 (s, 1H), 6, 47 (d, J = 5.1 Hz, 1H), 7.01 (s, 1H), 7.11-7.14 (m, 1H), 7.18 (d, J = 2.7 Hz, 1H ), 7.25-7.35 (m, 3H), 7.42 (s, 1H), 7.46 (d, J = 6.8 Hz, 1H), 7.50 (C, 1H), 8 37 (d, J = 8.8 Hz, 1H); 8.50 (d, J = 5.1 Hz, 1H).

Определение молекулярной массы (ESI-MS, m/z): 464, 466 (M++1).Determination of molecular weight (ESI-MS, m / z): 464, 466 (M+ +1).

Пример 20: N-{2-Хлор-4-[(6,7-диметокси-4-хинолил)окси]-фенил}-N’-(5-мeтил-2-пиpидил)мочевинаExample 20: N- {2-Chloro-4 - [(6,7-dimethoxy-4-quinolyl) oxy] phenyl} -N ’- (5-methyl-2-pyridyl) urea

2-Хлор-4-[(6,7-диметокси-4-хинолил)окси]анилин (122 мг) растворяют в хлороформе (10 мл) и триэтиламине (1 мл), и затем к раствору добавляют раствор трифосгена (110 мг) в дихлорметане. Смесь перемешивают при комнатной температуре в течение 30 мин. Далее к реакционному раствору добавляют 2-амино-5-пиколин (120 мг), и смесь перемешивают при комнатной температуре в течение 2 ч. К реакционному раствору добавляют метанол и растворитель удаляют путем перегонки при пониженном давлении. Остаток очищают методом хроматографии на силикагеле, элюируя смесью хлороформ/ацетон (2/1), получая 119 мг (выход 69%) указанного в заголовке соединения.2-Chloro-4 - [(6,7-dimethoxy-4-quinolyl) oxy] aniline (122 mg) was dissolved in chloroform (10 ml) and triethylamine (1 ml), and then a solution of triphosgene (110 mg) was added to the solution in dichloromethane. The mixture was stirred at room temperature for 30 minutes. Next, 2-amino-5-picoline (120 mg) was added to the reaction solution, and the mixture was stirred at room temperature for 2 hours. Methanol was added to the reaction solution, and the solvent was removed by distillation under reduced pressure. The residue was purified by silica gel chromatography, eluting with chloroform / acetone (2/1), to give 119 mg (yield 69%) of the title compound.

1H ЯМР (СDСl3, 400 МГц): δ 2,31 (с, 3Н), 4,06 (с, 6Н), 6,53 (д, J=5,4 Гц, 1Н), 6,76 (д, J=8,3 Гц, 1Н), 7,13-7,16 (м, 1Н), 7,29 (д, J=2,7 Гц, 1Н), 7,43 (с, 1Н), 7,49-7,52 (м, 1Н), 7,54 (с, 1Н), 8,00 (с, 1Н), 35 8,14 (с, 1Н), 8,52 (д, J=5,1 Гц, 1Н), 8,55 (д, J=9,0 Гц, 1Н), 12,57 (шир.с, 1Н).1 H NMR (CDCl3 , 400 MHz): δ 2.31 (s, 3H), 4.06 (s, 6H), 6.53 (d, J = 5.4 Hz, 1H), 6.76 ( d, J = 8.3 Hz, 1H), 7.13-7.16 (m, 1H), 7.29 (d, J = 2.7 Hz, 1H), 7.43 (s, 1H), 7.49-7.52 (m, 1H), 7.54 (s, 1H), 8.00 (s, 1H), 35 8.14 (s, 1H), 8.52 (d, J = 5 , 1 Hz, 1H), 8.55 (d, J = 9.0 Hz, 1H), 12.57 (br s, 1H).

Определение молекулярной массы (ESI-MS, m/z): 465, 467 (M++1).Determination of molecular weight (ESI-MS, m / z): 465, 467 (M+ +1).

Пример 21: N-{2-Хлор-4-[(6,7-диметокси-4-хинолил)окси]-фенил}-N’-(6-метил-2-пиридил)мочевинаExample 21: N- {2-Chloro-4 - [(6,7-dimethoxy-4-quinolyl) oxy] phenyl} -N ’- (6-methyl-2-pyridyl) urea

2-Хлор-4-[(6,7-диметокси-4-хинолил)окси]анилин (122 мг) растворяют в хлороформе (10 мл) и триэтиламине (1 мл), и затем к раствору добавляют раствор трифосгена (110 мг) в дихлорметане. Смесь перемешивают при комнатной температуре в течение 30 мин. Далее к реакционному раствору добавляют 6-амино-2-пиколин (120 мг), и смесь перемешивают при комнатной температуре в течение 2 ч. К реакционному раствору добавляют метанол, и растворитель удаляют путем перегонки при пониженном давлении. Остаток очищают методом хроматографии на силикагеле, элюируя смесью хлороформ/ацетон (2/1), получая 73 мг (выход 42%) указанного в заголовке соединения.2-Chloro-4 - [(6,7-dimethoxy-4-quinolyl) oxy] aniline (122 mg) was dissolved in chloroform (10 ml) and triethylamine (1 ml), and then a solution of triphosgene (110 mg) was added to the solution in dichloromethane. The mixture was stirred at room temperature for 30 minutes. Next, 6-amino-2-picoline (120 mg) was added to the reaction solution, and the mixture was stirred at room temperature for 2 hours. Methanol was added to the reaction solution, and the solvent was removed by distillation under reduced pressure. The residue was purified by silica gel chromatography, eluting with chloroform / acetone (2/1), to obtain 73 mg (42% yield) of the title compound.

1H ЯМР (СDСl3, 400 МГц): δ 2,57 (с, 3Н), 4,06 (с, 6Н), 6,54 (д, J=5,4 Гц, 1Н), 6,66 (д, J=8,1 Гц, 1Н), 6,83 (д, J=7,6 Гц, 1H), 7,15-7,18 (м, 1Н), 7,30 (д, J=2,7 Гц, 1H), 7,44 (с, 1Н), 7,54-7,59 (м, 2Н), 8,36 (с, 1Н), 8,52 (д, J=5,1 Гц, 1H), 8,57 (д, J=9,0 Гц, 1H), 12,45 (с, 1H).1 H NMR (CDCl3 , 400 MHz): δ 2.57 (s, 3H), 4.06 (s, 6H), 6.54 (d, J = 5.4 Hz, 1H), 6.66 ( d, J = 8.1 Hz, 1H), 6.83 (d, J = 7.6 Hz, 1H), 7.15-7.18 (m, 1H), 7.30 (d, J = 2 , 7 Hz, 1H), 7.44 (s, 1H), 7.54-7.59 (m, 2H), 8.36 (s, 1H), 8.52 (d, J = 5.1 Hz , 1H), 8.57 (d, J = 9.0 Hz, 1H), 12.45 (s, 1H).

Определение молекулярной массы (ESI-MS, m/z): 465, 467 (M++1).Determination of molecular weight (ESI-MS, m / z): 465, 467 (M+ +1).

Пример 22: Гидрохлорид N-{2-хлор-4-[(6,7-диметокси-4-хинолил)окси]фенил}-N’-(4-метоксифенил)мочевиныExample 22: N- {2-chloro-4 - [(6,7-dimethoxy-4-quinolyl) oxy] phenyl} -N ’- (4-methoxyphenyl) urea hydrochloride

2-Хлор-4-[(6,7-диметокси-4-хинолил)окси]анилин (100 мг) растворяют в хлороформе (4 мл), и затем к раствору добавляют 4-метоксифенилизоцианат (60 мкл). Затем реакцию оставляют протекать при комнатной температуре в течение ночи. Растворитель удаляют путем перегонки при пониженном давлении. Остаток растворяют в небольшом количестве хлороформа и добавляют большое количество эфира. Полученный осадок собирают путем фильтрации с отсасыванием, получая 90 мг (выход 67%) N-2-хлор-4-[(6,7-диметокси-4-хинолил)окси]фенил-N’-(4-метоксифенил)мочевины. Данный продукт суспендируют в 4 мл метанола, и к суспензии добавляют раствор соляной кислоты в метаноле. Смесь перемешивают при комнатной температуре в течение 4 ч, и затем растворитель удаляют путем перегонки, получая указанное в заголовке соединение.2-Chloro-4 - [(6,7-dimethoxy-4-quinolyl) oxy] aniline (100 mg) was dissolved in chloroform (4 ml), and then 4-methoxyphenyl isocyanate (60 μl) was added to the solution. Then the reaction is allowed to proceed at room temperature overnight. The solvent was removed by distillation under reduced pressure. The residue was dissolved in a small amount of chloroform and a large amount of ether was added. The resulting precipitate was collected by suction filtration to obtain 90 mg (67% yield) of N-2-chloro-4 - [(6,7-dimethoxy-4-quinolyl) oxy] phenyl-N ’- (4-methoxyphenyl) urea. This product was suspended in 4 ml of methanol, and a solution of hydrochloric acid in methanol was added to the suspension. The mixture was stirred at room temperature for 4 hours, and then the solvent was removed by distillation to obtain the title compound.

1H ЯМР (CDCl3, 400 МГц): δ 3,73 (с, 3Н), 4,03 (с, 3Н), 4,05 (с, 3Н), 6,90 (д, J=9,3 Гц, 2Н), 6,97 (д, J=6,6 Гц, 1H), 7,37-7,41 (м, 3Н), 7,62 (с, 1H), 7,67 (д, J=2,7 Гц, 1H), 8,39 (д, J=9,0 Гц, 1H), 8,49 (с, 1H), 8,82 (д, J=6,6 Гц, 1H), 9,49 (с, 1Н).1 H NMR (CDCl3 , 400 MHz): δ 3.73 (s, 3H), 4.03 (s, 3H), 4.05 (s, 3H), 6.90 (d, J = 9.3 Hz, 2H), 6.97 (d, J = 6.6 Hz, 1H), 7.37-7.41 (m, 3H), 7.62 (s, 1H), 7.67 (d, J = 2.7 Hz, 1H), 8.39 (d, J = 9.0 Hz, 1H), 8.49 (s, 1H), 8.82 (d, J = 6.6 Hz, 1H), 9.49 (s, 1H).

Пример 23: N-{2-Хлор-4-[(6,7-диметокси-4-хинолил)окси]-фенил}-N’-(1-нафтил)мочевинаExample 23: N- {2-Chloro-4 - [(6,7-dimethoxy-4-quinolyl) oxy] phenyl} -N ’- (1-naphthyl) urea

2-Хлор-4-[(6,7-диметокси-4-хинолил)окси]анилин (122 мг) растворяют в хлороформе (10 мл), и к раствору добавляют 1-нафтилизоцианат (75 мг). Смесь перемешивают при комнатной температуре в течение ночи. К реакционному раствору добавляют метанол, и растворитель удаляют путем перегонки при пониженном давлении. Остаток растворяют в небольшом количестве хлороформа, и к раствору добавляют большое количество эфира для осаждения кристаллов. Кристаллы собирают путем фильтрации, получая 105 мг (выход 57%) указанного в заголовке соединения.2-Chloro-4 - [(6,7-dimethoxy-4-quinolyl) oxy] aniline (122 mg) was dissolved in chloroform (10 ml), and 1-naphthyl isocyanate (75 mg) was added to the solution. The mixture was stirred at room temperature overnight. Methanol was added to the reaction solution, and the solvent was removed by distillation under reduced pressure. The residue was dissolved in a small amount of chloroform, and a large amount of ether was added to the solution to precipitate crystals. The crystals were collected by filtration to obtain 105 mg (57% yield) of the title compound.

1H ЯМР (СDСl3, 400 МГц): δ 4,03 (с, 3Н), 4,04 (с, 3Н), 6,44 (д, J=5,4 Гц, 1H), 6,72 (с, 1H), 7,10-7,13 (м, 3Н), 7,41 (с, 1H), 7,48 (с, 1H), 7,55-7,69 (м, 4Н), 7,88-7,96 (м, 2Н), 8,15 (д, J=7,6 Гц, 1H), 8,38-8,40 (м, 1H), 8,48 (д, J=5,1 Гц, 1H).1 H NMR (CDCl3 , 400 MHz): δ 4.03 (s, 3H), 4.04 (s, 3H), 6.44 (d, J = 5.4 Hz, 1H), 6.72 ( s, 1H), 7.10-7.13 (m, 3H), 7.41 (s, 1H), 7.48 (s, 1H), 7.55-7.69 (m, 4H), 7 88-7.96 (m, 2H), 8.15 (d, J = 7.6 Hz, 1H), 8.38-8.40 (m, 1H), 8.48 (d, J = 5 , 1 Hz, 1H).

Определение молекулярной массы (ESI-MS, m/z): 500, 502 (M++1).Determination of molecular weight (ESI-MS, m / z): 500, 502 (M+ +1).

Пример 24: N-(2,4-дифторфенил)-N’-{4-[(6,7-диметокси-4-хинолил)окси]-2,3-диметилфенил}мочевинаExample 24: N- (2,4-difluorophenyl) -N ’- {4 - [(6,7-dimethoxy-4-quinolyl) oxy] -2,3-dimethylphenyl} urea

4-[(6,7-Диметокси-4-хинолил)окси]-2,3-диметиланилин (710 мг) растворяют в хлороформе (7 мл), и затем к раствору добавляют 2,4-дифторфенилизоцианат (310 мкл). Смесь нагревают с обратным холодильником в течение одного часа, и к реакционному раствору добавляют большое количество эфира. Полученный осадок собирают путем фильтрации с отсасыванием, получая 735 мг (выход 70%) указанного в заголовке соединения.4 - [(6,7-Dimethoxy-4-quinolyl) oxy] -2,3-dimethylaniline (710 mg) was dissolved in chloroform (7 ml), and then 2,4-difluorophenyl isocyanate (310 μl) was added to the solution. The mixture was refluxed for one hour and a large amount of ether was added to the reaction solution. The resulting precipitate was collected by suction filtration to obtain 735 mg (70% yield) of the title compound.

1H ЯМР (CDCl3, 400 МГц): δ 2,14 (с, 3Н), 2,27 (с, 3Н), 4,04 (с, 3Н), 4,06 (с, 3Н), 6,27 (д, J=5,4 Гц, 1Н), 6,78-6,89 (м, 2Н), 6,95 (с, 1Н), 7,03 (д, J=8,5 Гц, 1Н), 7,10 (с, 1Н), 7,40-7,45 (м, 2Н), 7,61 (с, 1Н), 8,03-8,12 (м, 1Н), 8,46 (д, J=5,4 Гц, 1Н).1 H NMR (CDCl3 , 400 MHz): δ 2.14 (s, 3H), 2.27 (s, 3H), 4.04 (s, 3H), 4.06 (s, 3H), 6, 27 (d, J = 5.4 Hz, 1H), 6.78-6.89 (m, 2H), 6.95 (s, 1H), 7.03 (d, J = 8.5 Hz, 1H ), 7.10 (s, 1H), 7.40-7.45 (m, 2H), 7.61 (s, 1H), 8.03-8.12 (m, 1H), 8.46 ( d, J = 5.4 Hz, 1H).

Определение молекулярной массы (FAB-MS, m/z): 480 (M++1).Determination of molecular weight (FAB-MS, m / z): 480 (M+ +1).

Пример 25: N-{4-[(6,7-Диметокси-4-хинолил)окси]-2,3-диметилфенил}-N’-(4-фтор-2-метилфенил) мочевинаExample 25: N- {4 - [(6,7-Dimethoxy-4-quinolyl) oxy] -2,3-dimethylphenyl} -N ’- (4-fluoro-2-methylphenyl) urea

4-[(6,7-Диметокси-4-хинолил)окси]-2,3-диметиланилин (120 мг) растворяют в хлороформе (10 мл) и триэтиламине (1 мл), затем к раствору добавляют раствор трифосгена (110 мг) в дихлорметане. Смесь перемешивают при комнатной температуре в течение 30 мин. Далее к реакционному раствору добавляют 4-фтор-2-метиланилин (126 мкл), и смесь перемешивают при комнатной температуре в течение 2 ч. К реакционному раствору добавляют метанол, и растворитель удаляют путем перегонки при пониженном давлении. Остаток очищают методом хроматографии на силикагеле, элюируя смесью хлороформ/метанол (91/9), получая 160 мг (выход 91%) указанного в заголовке соединения.4 - [(6,7-Dimethoxy-4-quinolyl) oxy] -2,3-dimethylaniline (120 mg) was dissolved in chloroform (10 ml) and triethylamine (1 ml), then a solution of triphosgene (110 mg) was added to the solution in dichloromethane. The mixture was stirred at room temperature for 30 minutes. Next, 4-fluoro-2-methylaniline (126 μl) was added to the reaction solution, and the mixture was stirred at room temperature for 2 hours. Methanol was added to the reaction solution, and the solvent was removed by distillation under reduced pressure. The residue was purified by silica gel chromatography, eluting with a mixture of chloroform / methanol (91/9) to obtain 160 mg (yield 91%) of the title compound.

1H ЯМР (CDCl3, 400 МГц): δ 2,12 (с, 3Н), 2,22 (с, 3Н), 2,25 (с, 3Н), 4,05 (с, 3Н), 4,06 (с, 3Н), 6,24 (д, J=5,1 Гц, 1Н), 6,33 (с, 1Н), 6,42 (с, 1Н), 6,94-7,03 (м, 3Н), 7,43 (с, 1Н), 7,46-7,55 (м, 2Н), 7,60 (с, 1Н), 8,43 (д, J=5,1 Гц, 1Н).1 H NMR (CDCl3 , 400 MHz): δ 2.12 (s, 3H), 2.22 (s, 3H), 2.25 (s, 3H), 4.05 (s, 3H), 4, 06 (s, 3H), 6.24 (d, J = 5.1 Hz, 1H), 6.33 (s, 1H), 6.42 (s, 1H), 6.94-7.03 (m , 3H), 7.43 (s, 1H), 7.46-7.55 (m, 2H), 7.60 (s, 1H), 8.43 (d, J = 5.1 Hz, 1H) .

Определение молекулярной массы (ESI-MS, m/z): 476 (М++1).Determination of molecular weight (ESI-MS, m / z): 476 (M+ +1).

Пример 26: N-{4-[(6,7-Диметокси-4-хинолил)окси]-2,3-диметилфенил}-N’-(3-фтор-2-метоксифенил)мочевинаExample 26: N- {4 - [(6,7-Dimethoxy-4-quinolyl) oxy] -2,3-dimethylphenyl} -N ’- (3-fluoro-2-methoxyphenyl) urea

4-[(6,7-Диметокси-4-хинолил)окси]-2,3-диметиланилин (120 мг) растворяют в хлороформе (10 мл) и триэтиламине (1 мл), и затем к раствору добавляют раствор трифосгена (110 мг) в дихлорметане. Смесь перемешивают при комнатной температуре в течение 30 мин. Далее к реакционному раствору добавляют 3-фтор-о-анизидин (132 мкл), и смесь перемешивают при комнатной температуре в течение 2 ч. К реакционному раствору добавляют метанол, и растворитель удаляют путем перегонки при пониженном давлении. Остаток очищают методом хроматографии на силикагеле, элюируя смесью хлороформом/метанол (91/9), получая 23 мг (выход 13%) указанного в заголовке соединения.4 - [(6,7-Dimethoxy-4-quinolyl) oxy] -2,3-dimethylaniline (120 mg) was dissolved in chloroform (10 ml) and triethylamine (1 ml), and then a solution of triphosgene (110 mg) was added to the solution ) in dichloromethane. The mixture was stirred at room temperature for 30 minutes. Next, 3-fluoro-o-anisidine (132 μl) was added to the reaction solution, and the mixture was stirred at room temperature for 2 hours. Methanol was added to the reaction solution, and the solvent was removed by distillation under reduced pressure. The residue was purified by silica gel chromatography, eluting with a mixture of chloroform / methanol (91/9) to obtain 23 mg (13% yield) of the title compound.

1H ЯМР (СDСl3, 400 МГц): δ 2,15 (с, 3Н), 2,32 (с, 3Н), 3,84 (д, J=1,7 Гц, 3Н), 4,05 (с, 3Н), 4,08 (с, 3Н), 6,28 (д, J=5,4 Гц, 1Н), 6,72-6,77 (м, 1Н), 6,96-7,09 (м, 3Н), 7,43 (д, J=8,5 Гц, 1Н), 7,46 (с, 1Н), 7,60 (с, 1Н), 7,62 (с, 1Н), 8,02-8,05 (м, 1Н), 8,46 (д, J=5,4 Гц, 1Н).1 H NMR (CDCl3 , 400 MHz): δ 2.15 (s, 3H), 2.32 (s, 3H), 3.84 (d, J = 1.7 Hz, 3H), 4.05 ( s, 3H), 4.08 (s, 3H), 6.28 (d, J = 5.4 Hz, 1H), 6.72-6.77 (m, 1H), 6.96-7.09 (m, 3H), 7.43 (d, J = 8.5 Hz, 1H), 7.46 (s, 1H), 7.60 (s, 1H), 7.62 (s, 1H), 8 02-8.05 (m, 1H); 8.46 (d, J = 5.4 Hz, 1H).

Определение молекулярной массы (ESI-MS, m/z): 492 (M++1).Determination of molecular weight (ESI-MS, m / z): 492 (M+ +1).

Пример 27: N-(5-Бром-6-метил-2-пиридил)-N’-{4-[(6,7-диметокси-4-хинолил)окси]-2,3-диметилфенил}мочевинаExample 27: N- (5-Bromo-6-methyl-2-pyridyl) -N ’- {4 - [(6,7-dimethoxy-4-quinolyl) oxy] -2,3-dimethylphenyl} urea

4-[(6,7-Диметокси-4-хинолил)окси]-2,3-диметиланилин (120 мг) растворяют в хлороформе (10 мл) и триэтиламине (1 мл), и затем к раствору добавляют раствор трифосгена (110 мг) в дихлорметане. Смесь перемешивают при комнатной температуре в течение 30 мин. Далее к реакционному раствору добавляют 6-амино-3-бром-2-метилпиридин (208 мг), и смесь перемешивают при комнатной температуре в течение 2 ч. К реакционному раствору добавляют метанол, и растворитель удаляют путем перегонки при пониженном давлении. Остаток очищают методом хроматографии на силикагеле, элюируя смесью хлороформ/метанол (91/9), получая 103 мг (выход 52%) указанного в заголовке соединения.4 - [(6,7-Dimethoxy-4-quinolyl) oxy] -2,3-dimethylaniline (120 mg) was dissolved in chloroform (10 ml) and triethylamine (1 ml), and then a solution of triphosgene (110 mg) was added to the solution ) in dichloromethane. The mixture was stirred at room temperature for 30 minutes. Next, 6-amino-3-bromo-2-methylpyridine (208 mg) was added to the reaction solution, and the mixture was stirred at room temperature for 2 hours. Methanol was added to the reaction solution, and the solvent was removed by distillation under reduced pressure. The residue was purified by silica gel chromatography, eluting with a chloroform / methanol mixture (91/9), to give 103 mg (52% yield) of the title compound.

1H ЯМР (CDCl3, 400 МГц): δ 2,16 (с, 3Н), 2,42 (с, 30 3Н), 2,65 (с, 3Н), 4,06 (с, 3Н), 4,08 (с, 3Н), 6,32 (д, J=5,1 Гц, 1Н), 6,64 (д, J=8,8 Гц, 1Н), 7,04 (д, J=8,8 Гц, 1Н), 7,44 (с, 1Н), 7,64 (с, 1Н), 7,74 (д, J=8,8 Гц, 1Н), 7,91 (д, J=8,8 Гц, 1Н), 8,29 (с, 1Н), 8,45 (д, J=5,4 Гц, 1Н), 11,30 (шир.с, 1Н).1 H NMR (CDCl3 , 400 MHz): δ 2.16 (s, 3H), 2.42 (s, 30 3H), 2.65 (s, 3H), 4.06 (s, 3H), 4 08 (s, 3H), 6.32 (d, J = 5.1 Hz, 1H), 6.64 (d, J = 8.8 Hz, 1H), 7.04 (d, J = 8, 8 Hz, 1H), 7.44 (s, 1H), 7.64 (s, 1H), 7.74 (d, J = 8.8 Hz, 1H), 7.91 (d, J = 8, 8 Hz, 1H), 8.29 (s, 1H), 8.45 (d, J = 5.4 Hz, 1H), 11.30 (br s, 1H).

Определение молекулярной массы (ESI-MS, m/z): 537, 539 (M++1).Determination of molecular weight (ESI-MS, m / z): 537, 539 (M+ +1).

Пример 28: N-(5-Хлор-2-пиридил)-N’-(4-[(6,7-диметокси-4-хинолил)окси]-2,3-диметилфенил}мочевинаExample 28: N- (5-Chloro-2-pyridyl) -N ’- (4 - [(6,7-dimethoxy-4-quinolyl) oxy] -2,3-dimethylphenyl} urea

4-[(6,7-Диметокси-4-хинолил)окси]-2,3-диметиланилин (3,00 г) растворяют в хлороформе (150 мл) и триэтиламине (6 мл), и затем к раствору добавляют раствор трифосгена (2,74 г) в дихлорметане. Смесь перемешивают при комнатной температуре в течение 30 мин. Далее к реакционному раствору добавляют 2-амино-5-хлорпиридин (2,38 г), и смесь затем перемешивают при комнатной температуре в течение еще 2 ч. К реакционному раствору добавляют насыщенный водный раствор гидрокарбоната натрия, и смесь экстрагируют хлороформом. Хлороформный слой сушат над безводным сульфатом натрия. Растворитель удаляют путем перегонки при пониженном давлении, и остаток очищают методом хроматографии на силикагеле, элюируя смесью хлороформ/метанол (20/1), получая 3,4 г (выход 77%) указанного в заголовке соединения.4 - [(6,7-Dimethoxy-4-quinolyl) oxy] -2,3-dimethylaniline (3.00 g) was dissolved in chloroform (150 ml) and triethylamine (6 ml), and then a solution of triphosgene ( 2.74 g) in dichloromethane. The mixture was stirred at room temperature for 30 minutes. Next, 2-amino-5-chloropyridine (2.38 g) was added to the reaction solution, and the mixture was then stirred at room temperature for another 2 hours. A saturated aqueous solution of sodium hydrogen carbonate was added to the reaction solution, and the mixture was extracted with chloroform. The chloroform layer was dried over anhydrous sodium sulfate. The solvent was removed by distillation under reduced pressure, and the residue was purified by silica gel chromatography, eluting with chloroform / methanol (20/1), to obtain 3.4 g (yield 77%) of the title compound.

1H ЯМР (CDCl3, 400 МГц): δ 2,16 (с, 3Н), 2,38 (с, 3Н), 4,06 (с, 3Н), 4,08 (с, 3Н), 6,31 (д, J=5,4 Гц, 1Н), 6,89 (д, J=8,8 Гц, 1Н), 7,04 (д, J=8,8 Гц, 1Н), 20 7,44 (с, 1Н), 7,62-7,68 (м, 2Н), 7,90 (д, J=8,8 Гц, 1Н), 8,23 (д, J=2,4 Гц, 1Н), 8,45 (д, J=5,4 Гц, 1Н), 8,50 (с, 1Н), 11,23 (шир.с, 1Н).1 H NMR (CDCl3 , 400 MHz): δ 2.16 (s, 3H), 2.38 (s, 3H), 4.06 (s, 3H), 4.08 (s, 3H), 6, 31 (d, J = 5.4 Hz, 1H), 6.89 (d, J = 8.8 Hz, 1H), 7.04 (d, J = 8.8 Hz, 1H), 20 7.44 (s, 1H), 7.62-7.68 (m, 2H), 7.90 (d, J = 8.8 Hz, 1H), 8.23 (d, J = 2.4 Hz, 1H) 8.45 (d, J = 5.4 Hz, 1H); 8.50 (s, 1H); 11.23 (br s, 1H).

Определение молекулярной массы (ESI-MS, m/z): 479, 481 (M++1).Determination of molecular weight (ESI-MS, m / z): 479, 481 (M+ +1).

Пример 29: N-(5-Бром-2-пиридил)-N’-{4-[(6,7-диметокси-4-хинолил)окси]-2,3-диметилфенил}мочевинаExample 29: N- (5-Bromo-2-pyridyl) -N ’- {4 - [(6,7-dimethoxy-4-quinolyl) oxy] -2,3-dimethylphenyl} urea

4-[(6,7-Диметокси-4-хинолил)окси]-2,3-диметиланилин (120 мг) растворяют в хлороформе (10 мл) и триэтиламине (1 мл), и затем к раствору добавляют раствор трифосгена (110 мг) в дихлорметане. Смесь перемешивают при комнатной температуре в течение 30 мин. Далее к реакционному раствору добавляют 2-амино-5-бромпиридин (192 мг), и смесь перемешивают при комнатной температуре в течение 2 ч. К реакционному раствору добавляют метанол, и растворитель удаляют путем перегонки при пониженном давлении. Остаток очищают методом хроматографии на силикагеле, элюируя смесью хлороформ/метанол (91/9). Растворитель удаляют путем перегонки, и кристаллы осаждают из небольшого количества метанола и большого количества эфира. Кристаллы собирают путем фильтрации, получая 80 мг (выход 41%) указанного в заголовке соединения.4 - [(6,7-Dimethoxy-4-quinolyl) oxy] -2,3-dimethylaniline (120 mg) was dissolved in chloroform (10 ml) and triethylamine (1 ml), and then a solution of triphosgene (110 mg) was added to the solution ) in dichloromethane. The mixture was stirred at room temperature for 30 minutes. Next, 2-amino-5-bromopyridine (192 mg) was added to the reaction solution, and the mixture was stirred at room temperature for 2 hours. Methanol was added to the reaction solution, and the solvent was removed by distillation under reduced pressure. The residue was purified by silica gel chromatography, eluting with a chloroform / methanol mixture (91/9). The solvent was removed by distillation, and the crystals precipitated from a small amount of methanol and a large amount of ether. The crystals were collected by filtration to obtain 80 mg (41% yield) of the title compound.

1H ЯМР (CDCl3, 400 МГц): δ 2,16 (с, 3Н), 2,38 (с, 3Н), 4,06 (с, 3Н), 4,08 (с, 3Н), 6,31 (д, J=5,1 Гц, 1Н), 6,96 (д, J=8,5 Гц, 1Н), 7,03 (д, J=8,8 Гц, 1Н), 7,45 (с, 1Н), 7,64 (с, 1Н), 7,75-7,77 (м, 1Н), 7,89 (д, J=8,8 Гц, 1Н), 8,31 (д, J=2,4 Гц, 1Н), 8,45 (д, J=10 5,4 Гц, 1Н), 8,81 (с, 1Н), 11,17 (шир.с, 1Н).1 H NMR (CDCl3 , 400 MHz): δ 2.16 (s, 3H), 2.38 (s, 3H), 4.06 (s, 3H), 4.08 (s, 3H), 6, 31 (d, J = 5.1 Hz, 1H), 6.96 (d, J = 8.5 Hz, 1H), 7.03 (d, J = 8.8 Hz, 1H), 7.45 ( s, 1H), 7.64 (s, 1H), 7.75-7.77 (m, 1H), 7.89 (d, J = 8.8 Hz, 1H), 8.31 (d, J = 2.4 Hz, 1H), 8.45 (d, J = 10.5.4 Hz, 1H), 8.81 (s, 1H), 11.17 (br s, 1H).

Определение молекулярной массы (ESI-MS, m/z): 523, 525 (M++1).Determination of molecular weight (ESI-MS, m / z): 523, 525 (M+ +1).

Пример 30: N-{4-[(6,7-Диметокси-4-хинолил)окси]-2,3-диметилфенил}-N’-(2-метоксифенил)мочевинаExample 30: N- {4 - [(6,7-Dimethoxy-4-quinolyl) oxy] -2,3-dimethylphenyl} -N ’- (2-methoxyphenyl) urea

4-[(6,7-Диметокси-4-хинолил)окси]-2,3-диметиланилин (120 мг) растворяют в хлороформе (10 мл), и к раствору добавляют 2-метоксифенилизоцианат (60 мкл). Смесь перемешивают при комнатной температуре в течение ночи. К реакционному раствору добавляют метанол, и растворитель удаляют путем перегонки при пониженном давлении. Остаток растворяют в небольшом количестве хлороформа, и добавляют большое количество эфира для осаждения кристаллов, которые затем собирают путем фильтрации, получая 131 мг (выход 75%) указанного в заголовке соединения.4 - [(6,7-Dimethoxy-4-quinolyl) oxy] -2,3-dimethylaniline (120 mg) was dissolved in chloroform (10 ml), and 2-methoxyphenyl isocyanate (60 μl) was added to the solution. The mixture was stirred at room temperature overnight. Methanol was added to the reaction solution, and the solvent was removed by distillation under reduced pressure. The residue was dissolved in a small amount of chloroform, and a large amount of ether was added to precipitate crystals, which were then collected by filtration to obtain 131 mg (75% yield) of the title compound.

1H ЯМР (CDCl3, 400 МГц): δ 2,16 (с, 3Н), 2,32 (с, 3Н), 3,81 (с, 3Н), 4,06 (с, 3Н), 4,08 (с, 3Н), 6,25 (с, 1Н), 6,26 (д, J=5,4 Гц, 1Н), 6,85-6,87 (м, 1Н), 6,97-7,07 (м, 4Н), 7,41 (д, J=8,5 Гц, 1Н), 7,44 (с, 1Н), 7,62 (с, 1Н), 8,15-8,17 (м, 1Н), 8,45 (д, J=5,4 Гц, 1Н).1 H NMR (CDCl3 , 400 MHz): δ 2.16 (s, 3H), 2.32 (s, 3H), 3.81 (s, 3H), 4.06 (s, 3H), 4, 08 (s, 3H), 6.25 (s, 1H), 6.26 (d, J = 5.4 Hz, 1H), 6.85-6.87 (m, 1H), 6.97-7 07 (m, 4H), 7.41 (d, J = 8.5 Hz, 1H), 7.44 (s, 1H), 7.62 (s, 1H), 8.15-8.17 ( m, 1H), 8.45 (d, J = 5.4 Hz, 1H).

Определение молекулярной массы (ESI-MS, m/z): 474 (М++1).Determination of molecular weight (ESI-MS, m / z): 474 (M+ +1).

Пример 31: N-{4-[(6,7-Диметокси-4-хинолил)окси]-2,3-диметилфенил}-N’-(2-метилфенил)мочевинаExample 31: N- {4 - [(6,7-Dimethoxy-4-quinolyl) oxy] -2,3-dimethylphenyl} -N ’- (2-methylphenyl) urea

4-[(6,7-Диметокси-4-хинолил)окси]-2,3-диметиланилин (120 мг) растворяют в хлороформе (10 мл), и к раствору добавляют о-толуилизоцианат (55 мкл). Смесь перемешивают при комнатной температуре в течение ночи. К реакционному раствору добавляют метанол, и растворитель удаляют путем перегонки при пониженном давлении. Остаток растворяют в небольшом количестве хлороформа, и к раствору добавляют большое количество эфира для осаждения кристаллов, которые затем собирают путем фильтрации, получая 130 мг (выход 70%) указанного в заголовке соединения.4 - [(6,7-Dimethoxy-4-quinolyl) oxy] -2,3-dimethylaniline (120 mg) was dissolved in chloroform (10 ml), and o-toluyl isocyanate (55 μl) was added to the solution. The mixture was stirred at room temperature overnight. Methanol was added to the reaction solution, and the solvent was removed by distillation under reduced pressure. The residue was dissolved in a small amount of chloroform, and a large amount of ether was added to the solution to precipitate crystals, which were then collected by filtration to obtain 130 mg (70% yield) of the title compound.

1H ЯМР (CDCl3, 400 МГц): δ 2,12 (с, 3Н), 2,22 (с, 3Н), 2,26 (с, 3Н), 4,05 (с, 3Н), 4,07 (с, 3Н), 6,23-10 6,28 (м, 3Н), 7,02 (д, J=8,5 Гц, 1Н), 7,14-7,17 (м, 1Н), 7,24-7,29 (м, 2Н), 7,43 (с, 1Н), 7,49 (д, J=8,5 Гц, 1Н), 7,60 (с, 1Н), 7,63 (д, J=7,3 Гц, 1Н), 8,43 (д, J=5,4 Гц, 1Н).1 H NMR (CDCl3 , 400 MHz): δ 2.12 (s, 3H), 2.22 (s, 3H), 2.26 (s, 3H), 4.05 (s, 3H), 4, 07 (s, 3H), 6.23-10 6.28 (m, 3H), 7.02 (d, J = 8.5 Hz, 1H), 7.14-7.17 (m, 1H), 7.24-7.29 (m, 2H), 7.43 (s, 1H), 7.49 (d, J = 8.5 Hz, 1H), 7.60 (s, 1H), 7.63 (d, J = 7.3 Hz, 1H), 8.43 (d, J = 5.4 Hz, 1H).

Определение молекулярной массы (ESI-MS, m/z): 458 (M++1).Determination of molecular weight (ESI-MS, m / z): 458 (M+ +1).

Пример 32: N-(4-Хлор-2-метилфенил)-N’-{4-[(6,7-диметокси-4-хинолил)окси]-2,3-диметилфенил}мочевинаExample 32: N- (4-Chloro-2-methylphenyl) -N ’- {4 - [(6,7-dimethoxy-4-quinolyl) oxy] -2,3-dimethylphenyl} urea

4-[(6,7-Диметокси-4-хинолил)окси]-2,3-диметиланилин (120 мг) растворяют в хлороформе (10 мл) и триэтиламине (1 мл), и затем к раствору добавляют раствор трифосгена (110 мг) в дихлорметане. Смесь перемешивают при комнатной температуре в течение 30 мин. Далее к реакционному раствору добавляют 4-хлор-2-метиланилин (130 мкл), и смесь перемешивают при комнатной температуре в течение 2 ч. К реакционному раствору добавляют метанол, и растворитель удаляют путем перегонки при пониженном давлении. Остаток очищают методом хроматографии на силикагеле, элюируя смесью хлороформ/метанол (91/9), получая 136 мг (выход 75%) указанного в заголовке соединения.4 - [(6,7-Dimethoxy-4-quinolyl) oxy] -2,3-dimethylaniline (120 mg) was dissolved in chloroform (10 ml) and triethylamine (1 ml), and then a solution of triphosgene (110 mg) was added to the solution ) in dichloromethane. The mixture was stirred at room temperature for 30 minutes. Next, 4-chloro-2-methylaniline (130 μl) was added to the reaction solution, and the mixture was stirred at room temperature for 2 hours. Methanol was added to the reaction solution, and the solvent was removed by distillation under reduced pressure. The residue was purified by silica gel chromatography, eluting with a mixture of chloroform / methanol (91/9) to obtain 136 mg (75% yield) of the title compound.

1H ЯМР (CDCl3, 400 МГц): δ 2,14 (с, 3Н), 2,18 (с, 3Н), 2,27 (с, 3Н), 4,05 (с, 3Н), 4,07 (с, 3Н), 6,24 (д, J=5,4 Гц, 1Н), 6,33 (с, 1Н), 6,40 (с, 1Н), 7,03 (д, J=8,5 Гц, 1Н), 7,19-7,21 (м, 2Н), 7,42-7,44 (м, 2Н), 7,60 (с, 1Н), 7,65 (д, J=9,0 Гц, 1Н), 8,44 (д, J=5,1 Гц, 1Н).1 H NMR (CDCl3 , 400 MHz): δ 2.14 (s, 3H), 2.18 (s, 3H), 2.27 (s, 3H), 4.05 (s, 3H), 4, 07 (s, 3H), 6.24 (d, J = 5.4 Hz, 1H), 6.33 (s, 1H), 6.40 (s, 1H), 7.03 (d, J = 8 5 Hz, 1H), 7.19-7.21 (m, 2H), 7.42-7.44 (m, 2H), 7.60 (s, 1H), 7.65 (d, J = 9.0 Hz, 1H), 8.44 (d, J = 5.1 Hz, 1H).

Определение молекулярной массы (ESI-MS, m/z): 492, 494 (M++1).Determination of molecular weight (ESI-MS, m / z): 492, 494 (M+ +1).

Пример 33: N-{4-[(6,7-Диметокси-4-хинолил)окси]-2,3-диметилфенил}-N’-(2-пиридил)мочевинаExample 33: N- {4 - [(6,7-Dimethoxy-4-quinolyl) oxy] -2,3-dimethylphenyl} -N ’- (2-pyridyl) urea

4-[(6,7-Диметокси-4-хинолил)окси]-2,3-диметиланилин (120 мг) растворяют в хлороформе (10 мл) и триэтиламине (1 мл), и затем к раствору добавляют раствор трифосгена (110 мг) в дихлорметане. Смесь перемешивают при комнатной температуре в течение 30 мин. Далее к реакционному раствору добавляют 2-аминопиридин (104 мг), и смесь нагревают с обратным холодильником в течение ночи. К реакционному раствору добавляют метанол, и растворитель удаляют путем перегонки при пониженном давлении. Остаток очищают методом хроматографии на силикагеле, элюируя смесью хлороформ/метанол (91/9), получая 72 мг (выход 44%) указанного в заголовке соединения.4 - [(6,7-Dimethoxy-4-quinolyl) oxy] -2,3-dimethylaniline (120 mg) was dissolved in chloroform (10 ml) and triethylamine (1 ml), and then a solution of triphosgene (110 mg) was added to the solution ) in dichloromethane. The mixture was stirred at room temperature for 30 minutes. Next, 2-aminopyridine (104 mg) was added to the reaction solution, and the mixture was heated under reflux overnight. Methanol was added to the reaction solution, and the solvent was removed by distillation under reduced pressure. The residue was purified by silica gel chromatography, eluting with a chloroform / methanol (91/9) mixture, to give 72 mg (44% yield) of the title compound.

1H ЯМР (CDCl3, 400 МГц): δ 2,16 (с, 3Н), 2,41 (с, 3Н), 4,06 (с, 3Н), 4,08 (с, 3Н), 6,32 (д, J=5,4 Гц, 1Н), 6,92-6,98 (м, 2Н), 7,04 (д, J=8,8 Гц, 1Н), 7,44 (с, 1Н), 7,65 (с, 1Н), 7,67-7,69 (м, 1Н), 7,97 (д, J=8,8 Гц, 1Н), 8,25-8,27 (м, 1Н), 8,45 (д, J=5,1 Гц, 1Н), 8,72 (с, 1Н), 11,77 (шир, 1Н).1 H NMR (CDCl3 , 400 MHz): δ 2.16 (s, 3H), 2.41 (s, 3H), 4.06 (s, 3H), 4.08 (s, 3H), 6, 32 (d, J = 5.4 Hz, 1H), 6.92-6.98 (m, 2H), 7.04 (d, J = 8.8 Hz, 1H), 7.44 (s, 1H ), 7.65 (s, 1H), 7.67-7.69 (m, 1H), 7.97 (d, J = 8.8 Hz, 1H), 8.25-8.27 (m, 1H), 8.45 (d, J = 5.1 Hz, 1H), 8.72 (s, 1H), 11.77 (br, 1H).

Определение молекулярной массы (ESI-MS, m/z): 445 (M++1).Determination of molecular weight (ESI-MS, m / z): 445 (M+ +1).

Пример 34: N-{4-[(6,7-Диметокси-4-хинолил)окси]-2,3-диметилфенил}-N’-(5-метил-2-пиридил)мочевинаExample 34: N- {4 - [(6,7-Dimethoxy-4-quinolyl) oxy] -2,3-dimethylphenyl} -N ’- (5-methyl-2-pyridyl) urea

4-[(6,7-Диметокси-4-хинолил)окси]-2,3-диметиланилин (120 мг) растворяют в хлороформе (10 мл) и триэтиламине (1 мл), и затем к раствору добавляют раствор трифосгена (110 мг) в дихлорметане. Смесь перемешивают при комнатной температуре в течение 30 мин. Далее к реакционному раствору добавляют 2-амино-5-пиколин (120 мг), и смесь перемешивают при комнатной температуре в течение 2 ч. К реакционному раствору добавляют метанол и растворитель удаляют путем перегонки при пониженном давлении. Остаток очищают методом хроматографии на силикагеле, элюируя смесью хлороформ/метанол (91/9), получая 122 мг (выход 72%) указанного в заголовке соединения.4 - [(6,7-Dimethoxy-4-quinolyl) oxy] -2,3-dimethylaniline (120 mg) was dissolved in chloroform (10 ml) and triethylamine (1 ml), and then a solution of triphosgene (110 mg) was added to the solution ) in dichloromethane. The mixture was stirred at room temperature for 30 minutes. Next, 2-amino-5-picoline (120 mg) was added to the reaction solution, and the mixture was stirred at room temperature for 2 hours. Methanol was added to the reaction solution, and the solvent was removed by distillation under reduced pressure. The residue was purified by silica gel chromatography, eluting with chloroform / methanol (91/9), to give 122 mg (72% yield) of the title compound.

1H ЯМР (СDСl3, 400 МГц): δ 2,15 (с, 3Н), 2,28 (с, 3Н), 2,39 (с, 3Н), 4,04 (с, 3Н), 4,07 (с, 3Н), 6,32 (д, J=5,4 Гц, 1Н), 6,90 (д, J=8,3 Гц, 1Н), 7,02 (д, J=8,8 Гц, 1Н), 7,43 (с, 1Н), 7,45-7,48 (м, 1Н), 7,64 (с, 1Н), 7,99 (д, J=8,8 Гц, 1Н), 8,06 (д, J=1,5 Гц, 1Н), 5 8,44 (д, J=5,4 Гц, 1Н), 9,23 (с, 1H), 11,77 (шир, 1Н).1 H NMR (CDCl3 , 400 MHz): δ 2.15 (s, 3H), 2.28 (s, 3H), 2.39 (s, 3H), 4.04 (s, 3H), 4, 07 (s, 3H), 6.32 (d, J = 5.4 Hz, 1H), 6.90 (d, J = 8.3 Hz, 1H), 7.02 (d, J = 8.8 Hz, 1H), 7.43 (s, 1H), 7.45-7.48 (m, 1H), 7.64 (s, 1H), 7.99 (d, J = 8.8 Hz, 1H ), 8.06 (d, J = 1.5 Hz, 1H), 5 8.44 (d, J = 5.4 Hz, 1H), 9.23 (s, 1H), 11.77 (br, 1H).

Определение молекулярной массы (FD-MS, m/z): 458 (М+).Determination of molecular weight (FD-MS, m / z): 458 (M+ ).

Пример 35: N-{4-[(6,7-Диметокси-4-хинолил)окси]-2,3-диметилфенил}-N’-(6-метил-2-пиридил)мочевинаExample 35: N- {4 - [(6,7-Dimethoxy-4-quinolyl) oxy] -2,3-dimethylphenyl} -N ’- (6-methyl-2-pyridyl) urea

4-[(6,7-Диметокси-4-хинолил)окси]-2,3-диметиланилин (120 мг) растворяют в хлороформе (10 мл) и триэтиламине (1 мл), и затем к раствору добавляют раствор трифосгена (110 мг) в дихлорметане. Смесь перемешивают при комнатной температуре в течение 30 мин. Далее к реакционному раствору добавляют 6-амино-2-пиколин (120 мг), и смесь нагревают с обратным холодильником в течение ночи. К реакционному раствору добавляют метанол, и растворитель удаляют путем перегонки при пониженном давлении. Остаток очищают методом хроматографии на силикагеле, элюируя смесью хлороформ/ацетон (40/60), получая 64 мг (выход 38%) указанного в заголовке соединения.4 - [(6,7-Dimethoxy-4-quinolyl) oxy] -2,3-dimethylaniline (120 mg) was dissolved in chloroform (10 ml) and triethylamine (1 ml), and then a solution of triphosgene (110 mg) was added to the solution ) in dichloromethane. The mixture was stirred at room temperature for 30 minutes. Next, 6-amino-2-picoline (120 mg) was added to the reaction solution, and the mixture was heated under reflux overnight. Methanol was added to the reaction solution, and the solvent was removed by distillation under reduced pressure. The residue was purified by silica gel chromatography, eluting with a chloroform / acetone mixture (40/60) to obtain 64 mg (38% yield) of the title compound.

1H ЯМР (СDСl3, 400 МГц): δ 2,16 (с, 3Н), 2,44 (с, 3Н), 2,54 (с, 3Н), 4,06 (с, 3Н), 4,08 (с, 3Н), 6,32 (д, J=5,4 Гц, 1Н), 6,61 (д, J=8,3 Гц, 1Н), 6,82 (д, J=25 7,6 Гц, 1Н), 7,04 (д, J=8,8 Гц, 1Н), 7,44 (с, 1Н), 7,53-7,57 (м, 1Н), 7,65 (с, 1Н), 7,79 (с, 1Н), 7,99 (д, J=8,8 Гц, 1Н), 8,44 (д, J=5,1 Гц, 1Н), 11,76 (шир, 1Н).1 H NMR (CDCl3 , 400 MHz): δ 2.16 (s, 3H), 2.44 (s, 3H), 2.54 (s, 3H), 4.06 (s, 3H), 4, 08 (s, 3H), 6.32 (d, J = 5.4 Hz, 1H), 6.61 (d, J = 8.3 Hz, 1H), 6.82 (d, J = 25 7, 6 Hz, 1H), 7.04 (d, J = 8.8 Hz, 1H), 7.44 (s, 1H), 7.53-7.57 (m, 1H), 7.65 (s, 1H), 7.79 (s, 1H), 7.99 (d, J = 8.8 Hz, 1H), 8.44 (d, J = 5.1 Hz, 1H), 11.76 (br, 1H).

Определение молекулярной массы (FD-MS, m/z): 458 (M+).Determination of molecular weight (FD-MS, m / z): 458 (M+ ).

Пример 36: N-{4-[(6,7-Диметокси-4-хинолил)окси]-2,3-диметилфенил}-N’-(4-метоксифенил)мочевинаExample 36: N- {4 - [(6,7-Dimethoxy-4-quinolyl) oxy] -2,3-dimethylphenyl} -N ’- (4-methoxyphenyl) urea

4-[(6,7-Диметокси-4-хинолил)окси]-2,3-диметиланилин (100 мг) растворяют в хлороформе (4 мл), затем к раствору добавляют 4-метоксифенилизоцианат (60 мкл). Затем смесь оставляют взаимодействовать при комнатной температуре в течение ночи, и растворитель удаляют путем перегонки при пониженном давлении. Остаток растворяют в небольшом количестве хлороформа, и к раствору добавляют большое количество эфира. Полученный осадок затем собирают путем фильтрации с отсасыванием, получая 115 мг (выход 78%) указанного в заголовке соединения.4 - [(6,7-Dimethoxy-4-quinolyl) oxy] -2,3-dimethylaniline (100 mg) was dissolved in chloroform (4 ml), then 4-methoxyphenyl isocyanate (60 μl) was added to the solution. The mixture was then allowed to react at room temperature overnight, and the solvent was removed by distillation under reduced pressure. The residue was dissolved in a small amount of chloroform, and a large amount of ether was added to the solution. The resulting precipitate was then collected by suction filtration to give 115 mg (78% yield) of the title compound.

1H ЯМР (CDCl3, 400 МГц): δ 2,02 (с, 3Н), 2,30 (с, 3Н), 3,76 (с, 3Н), 4,06 (с, 3Н), 4,12 (с, 3Н), 6,46 (д, J=6,3 Гц, 1Н), 6,78 (д, J=9,0 Гц, 2Н), 6,91 (д, J=8,8 Гц, 1Н), 7,39 (д, J=9,0 Гц, 2Н), 7,67 (с, 1Н), 7,69 (д, J=8,8 Гц, 1Н), 7,92 (с, 1Н), 8,20-8,23 (м, 1Н).1 H NMR (CDCl3 , 400 MHz): δ 2.02 (s, 3H), 2.30 (s, 3H), 3.76 (s, 3H), 4.06 (s, 3H), 4, 12 (s, 3H), 6.46 (d, J = 6.3 Hz, 1H), 6.78 (d, J = 9.0 Hz, 2H), 6.91 (d, J = 8.8 Hz, 1H), 7.39 (d, J = 9.0 Hz, 2H), 7.67 (s, 1H), 7.69 (d, J = 8.8 Hz, 1H), 7.92 ( s, 1H), 8.20-8.23 (m, 1H).

Определение молекулярной массы (ESI-MS, m/z): 474 (M++1).Determination of molecular weight (ESI-MS, m / z): 474 (M+ +1).

Пример 37: N-(2,4-дифторфенил)-N’-{4-[(6,7-диметокси-4-хинолил)окси]-2,5-диметилфенил}мочевинаExample 37: N- (2,4-difluorophenyl) -N ’- {4 - [(6,7-dimethoxy-4-quinolyl) oxy] -2,5-dimethylphenyl} urea

4-[(6,7-Диметокси-4-хинолил)окси]-2,5-диметиланилин (200 мг) растворяют в хлороформе (15 мл), и затем к раствору добавляют 2,4-дифторфенилизоцианат (88 мкл). Смесь нагревают с обратным холодильником в течение одного часа. Реакционный раствор очищают методом хроматографии на силикагеле, элюируя смесью хлороформ/ацетон (4/1), получая 287 мг (выход 97%) указанного в заголовке соединения.4 - [(6,7-Dimethoxy-4-quinolyl) oxy] -2,5-dimethylaniline (200 mg) was dissolved in chloroform (15 ml), and then 2,4-difluorophenyl isocyanate (88 μl) was added to the solution. The mixture was refluxed for one hour. The reaction solution was purified by silica gel chromatography, eluting with chloroform / acetone (4/1), to obtain 287 mg (97% yield) of the title compound.

1H ЯМР (CDCl3, 400 МГц): δ 2,17 (с, 3Н), 2,26 (с, 3Н), 4,05 (с, 3Н), 4,06 (с, 3Н), 6,31 (д, J=5,4 Гц, 1Н), 6,57 (с, 1Н), 6,81-6,95 (м, 3Н), 7,00 (с, 1Н), 7,43 (с, 1Н), 7,55 (с, 1Н), 7,59 (с, 1Н), 8,05-8,13 (м, 1Н), 8,47 (д, J=5,4 Гц, 1Н).1 H NMR (CDCl3 , 400 MHz): δ 2.17 (s, 3H), 2.26 (s, 3H), 4.05 (s, 3H), 4.06 (s, 3H), 6, 31 (d, J = 5.4 Hz, 1H), 6.57 (s, 1H), 6.81-6.95 (m, 3H), 7.00 (s, 1H), 7.43 (s , 1H), 7.55 (s, 1H), 7.59 (s, 1H), 8.05-8.13 (m, 1H), 8.47 (d, J = 5.4 Hz, 1H) .

Определение молекулярной массы (FD-MS, m/z): 479 (М+).Determination of molecular weight (FD-MS, m / z): 479 (M+ ).

Пример 38: N-{4-[(6,7-Диметокси-4-хинолил)окси]-2,5-диметилфенил}-N’-пропилмочевинаExample 38: N- {4 - [(6,7-Dimethoxy-4-quinolyl) oxy] -2,5-dimethylphenyl} -N’-propylurea

4-[(6,7-Диметокси-4-хинолил)окси]-2,5-диметиланилин (150 мг) растворяют в хлороформе (13 мл) и триэтиламине (1,5 мл), и затем к раствору добавляют раствор трифосгена (151 мг) в хлороформе. Смесь нагревают с обратным холодильником в течение 5 мин. Далее к реакционному раствору добавляют п-пропиламин (33 мг), и смесь нагревают с обратным холодильником в течение еще 2 ч. К реакционному раствору добавляют насыщенный водный раствор гидрокарбоната натрия, и смесь наносят на диатомовую землю, после чего экстрагируют хлороформом. Растворитель удаляют путем перегонки при пониженном давлении. Остаток очищают методом хроматографии на силикагеле, элюируя смесью хлороформ/ацетон (4/1), получая 178 мг (выход 95%) указанного в заголовке соединения.4 - [(6,7-Dimethoxy-4-quinolyl) oxy] -2,5-dimethylaniline (150 mg) was dissolved in chloroform (13 ml) and triethylamine (1.5 ml), and then a solution of triphosgene ( 151 mg) in chloroform. The mixture was refluxed for 5 minutes. Next, p-propylamine (33 mg) was added to the reaction solution, and the mixture was heated under reflux for another 2 hours. A saturated aqueous solution of sodium hydrogen carbonate was added to the reaction solution, and the mixture was applied to diatomaceous earth, and then extracted with chloroform. The solvent was removed by distillation under reduced pressure. The residue was purified by silica gel chromatography, eluting with chloroform / acetone (4/1), to obtain 178 mg (95% yield) of the title compound.

1H ЯМР (CDCl3, 400 МГц): δ 0,94 (т, J=7,3 Гц, 3Н), 1,51-1,65 (м, 2Н), 2,15 (с, 3Н), 2,26 (с, 3Н), 3,21-10 3,28 (м, 2Н), 4,05 (с, 3Н), 4,06 (с, 3Н), 4,63-4,69 (м, 1Н), 5,97 (с, 1Н), 6,31 (д, J=5,1 Гц, 1Н), 6,98 (с, 1Н), 7,43 (с, 2Н), 7,58 (с, 1Н), 8,46 (д, J=5,4 Гц, 1Н).1 H NMR (CDCl3 , 400 MHz): δ 0.94 (t, J = 7.3 Hz, 3H), 1.51-1.65 (m, 2H), 2.15 (s, 3H), 2.26 (s, 3H), 3.21-10 3.28 (m, 2H), 4.05 (s, 3H), 4.06 (s, 3H), 4.63-4.69 (m , 1H), 5.97 (s, 1H), 6.31 (d, J = 5.1 Hz, 1H), 6.98 (s, 1H), 7.43 (s, 2H), 7.58 (s, 1H), 8.46 (d, J = 5.4 Hz, 1H).

Определение молекулярной массы (FD-MS, m/z): 409 (M+).Determination of molecular weight (FD-MS, m / z): 409 (M+ ).

Пример 39: N-(4-Хлор-2-метилфенил)-N’-(4-[(6,7-диметокси-4-хинолил)окси]-2,5-диметилфенил}мочевинаExample 39: N- (4-Chloro-2-methylphenyl) -N ’- (4 - [(6,7-dimethoxy-4-quinolyl) oxy] -2,5-dimethylphenyl} urea

4-[(6,7-Диметокси-4-хинолил)окси]-2,5-диметиланилин (100 мг) растворяют в хлороформе (10 мл) и триэтиламине (1 мл), и затем к раствору добавляют раствор трифосгена (92 20 мг) в дихлорметане. Смесь перемешивают при комнатной температуре в течение 30 мин. Далее к реакционному раствору добавляют 4-хлор-2-метиланилин (44 мкл), и смесь перемешивают при комнатной температуре в течение ночи. К реакционному раствору добавляют насыщенный водный раствор гидрокарбоната натрия, после чего экстрагируют хлороформом. Хлороформный слой сушат над сульфатом натрия, и растворитель удаляют путем перегонки при пониженном давлении. Остаток растворяют в небольшом количестве хлороформа, и к раствору добавляют большое количество эфира для осаждения кристаллов, которые затем собирают путем фильтрации, получая 118 мг (выход 78%) указанного в заголовке соединения.4 - [(6,7-Dimethoxy-4-quinolyl) oxy] -2,5-dimethylaniline (100 mg) was dissolved in chloroform (10 ml) and triethylamine (1 ml), and then a solution of triphosgene (92 20 mg) in dichloromethane. The mixture was stirred at room temperature for 30 minutes. Next, 4-chloro-2-methylaniline (44 μl) was added to the reaction solution, and the mixture was stirred at room temperature overnight. A saturated aqueous sodium hydrogen carbonate solution was added to the reaction solution, followed by extraction with chloroform. The chloroform layer was dried over sodium sulfate, and the solvent was removed by distillation under reduced pressure. The residue was dissolved in a small amount of chloroform, and a large amount of ether was added to the solution to precipitate crystals, which were then collected by filtration to obtain 118 mg (78% yield) of the title compound.

1H ЯМР (СDСl3, 400 МГц): δ 2,16 (с, 3Н), 2,21 (с, 35 3Н), 2,23 (с, 3Н), 4,05 (с, 3Н), 4,06 (с, 3Н), 6,28 (д, J=5,4 Гц, 1Н), 6,30 (с, 1Н), 6,32 (с, 1Н), 6,98 (с, 1Н), 7,22-7,23 (м, 2Н), 7,43 (с, 1Н), 7,58 (с, 1Н), 7,59-7,63 (м, 2Н), 8,45 (д, J=5,1 Гц, 1Н).1 H NMR (CDCl3 , 400 MHz): δ 2.16 (s, 3H), 2.21 (s, 35 3H), 2.23 (s, 3H), 4.05 (s, 3H), 4 06 (s, 3H), 6.28 (d, J = 5.4 Hz, 1H), 6.30 (s, 1H), 6.32 (s, 1H), 6.98 (s, 1H) , 7.22-7.23 (m, 2H), 7.43 (s, 1H), 7.58 (s, 1H), 7.59-7.63 (m, 2H), 8.45 (d , J = 5.1 Hz, 1H).

Определение молекулярной массы (ESI-MS, m/z): 492, 494 (M++1).Determination of molecular weight (ESI-MS, m / z): 492, 494 (M+ +1).

Пример 40: N-{4-[(6,7-Диметокси-4-хинолил)окси]-2,5-диметилфенил}-N’-(4-фтор-2-метилфенил)мочевинаExample 40: N- {4 - [(6,7-Dimethoxy-4-quinolyl) oxy] -2,5-dimethylphenyl} -N ’- (4-fluoro-2-methylphenyl) urea

4-[(6,7-Диметокси-4-хинолил)окси]-2,5-диметиланилин (100 мг) растворяют в хлороформе (10 мл) и триэтиламине (1 мл), и затем к раствору добавляют раствор трифосгена (92 мг) в дихлорметане. Смесь перемешивают при комнатной температуре в течение 30 мин. Далее к реакционному раствору добавляют 4-фтор-2-метил анилин (42 мкл), и смесь перемешивают при комнатной температуре в течение ночи. К реакционному раствору добавляют насыщенный водный раствор гидрокарбоната натрия, и смесь экстрагируют хлороформом. Хлороформный слой сушат над сульфатом натрия. Растворитель удаляют путем перегонки при пониженном давлении. Остаток растворяют в небольшом количестве хлороформа, и к раствору добавляют большое количество эфира для осаждения кристаллов, которые затем собирают путем фильтрации, получая 108 мг (выход 74%) указанного в заголовке соединения.4 - [(6,7-Dimethoxy-4-quinolyl) oxy] -2,5-dimethylaniline (100 mg) was dissolved in chloroform (10 ml) and triethylamine (1 ml), and then a solution of triphosgene (92 mg) was added to the solution ) in dichloromethane. The mixture was stirred at room temperature for 30 minutes. Next, 4-fluoro-2-methyl aniline (42 μl) was added to the reaction solution, and the mixture was stirred at room temperature overnight. A saturated aqueous sodium hydrogen carbonate solution was added to the reaction solution, and the mixture was extracted with chloroform. The chloroform layer is dried over sodium sulfate. The solvent was removed by distillation under reduced pressure. The residue was dissolved in a small amount of chloroform, and a large amount of ether was added to the solution to precipitate crystals, which were then collected by filtration to obtain 108 mg (yield 74%) of the title compound.

1H ЯМР (СDСl3, 400 МГц): δ 2,15 (с, 6Н), 2,30 (с, 3Н), 4,05 (с, 3Н), 4,06 (с, 3Н), 6,24 (с, 2Н), 6,28 (д, J=5,1 Гц, 1Н), 6,94 (с, 1Н), 6,96-7,00 (м, 2Н), 7,42 (с, 1Н), 7,49-7,52 (м, 1Н), 7,58 (с, 1Н), 7,64 (с, 1Н), 8,44 (д, J=5,1 Гц, 1Н).1 H NMR (CDCl3 , 400 MHz): δ 2.15 (s, 6H), 2.30 (s, 3H), 4.05 (s, 3H), 4.06 (s, 3H), 6, 24 (s, 2H), 6.28 (d, J = 5.1 Hz, 1H), 6.94 (s, 1H), 6.96-7.00 (m, 2H), 7.42 (s , 1H), 7.49-7.52 (m, 1H), 7.58 (s, 1H), 7.64 (s, 1H), 8.44 (d, J = 5.1 Hz, 1H) .

Определение молекулярной массы (ESI-MS, m/z): 476 (M++1).Determination of molecular weight (ESI-MS, m / z): 476 (M+ +1).

Пример 41: N-{4-[(6,7-Диметокси-4-хинолил)окси]-2,5-диметилфенил}-N’-(3-фтор-2-метоксифенил)мочевинаExample 41: N- {4 - [(6,7-Dimethoxy-4-quinolyl) oxy] -2,5-dimethylphenyl} -N ’- (3-fluoro-2-methoxyphenyl) urea

4-[(6,7-Диметокси-4-хинолил)окси]-2,5-диметиланилин (100 мг) растворяют в хлороформе (10 мл) и триэтиламине (1 мл), и затем к раствору добавляют раствор трифосгена (92 мг) в дихлорметане. Смесь перемешивают при комнатной температуре в течение 30 мин. Далее к реакционному раствору добавляют 3-фтор-о-анизидин (44 мкл), и смесь перемешивают при комнатной температуре в течение ночи. К реакционному раствору добавляют насыщенный водный раствор гидрокарбоната натрия, и смесь экстрагируют хлороформом. Хлороформный слой сушат над сульфатом натрия. Растворитель удаляют путем перегонки при пониженном давлении. Остаток очищают методом хроматографии на силикагеле, элюируя смесью хлороформ/ацетон (2/1), получая 126 мг (выход 83%) указанного в заголовке соединения.4 - [(6,7-Dimethoxy-4-quinolyl) oxy] -2,5-dimethylaniline (100 mg) was dissolved in chloroform (10 ml) and triethylamine (1 ml), and then a solution of triphosgene (92 mg) was added to the solution ) in dichloromethane. The mixture was stirred at room temperature for 30 minutes. Next, 3-fluoro-o-anisidine (44 μl) was added to the reaction solution, and the mixture was stirred at room temperature overnight. A saturated aqueous sodium hydrogen carbonate solution was added to the reaction solution, and the mixture was extracted with chloroform. The chloroform layer is dried over sodium sulfate. The solvent was removed by distillation under reduced pressure. The residue was purified by silica gel chromatography, eluting with a mixture of chloroform / acetone (2/1) to obtain 126 mg (yield 83%) of the title compound.

1H ЯМР (СDСl3, 400 МГц): δ 2,16 (с, 3Н), 2,27 (с, 3Н), 3,83 (д, J=1,7 Гц, 3Н), 4,04 (с, 3Н), 4,07 (с, 10 3Н), 6,31 (д, J=5,1 Гц, 1Н), 6,74-6,79 (м, 1Н), 6,97-7,03 (м, 3Н), 7,44 (с, 1Н), 7,57 (с, 1Н), 7,60 (с, 1Н), 7,66 (с, 1Н), 8,02-8,04 (м, 1Н), 8,48 (д, J=5,1 Гц, 1Н).1 H NMR (CDCl3 , 400 MHz): δ 2.16 (s, 3H), 2.27 (s, 3H), 3.83 (d, J = 1.7 Hz, 3H), 4.04 ( s, 3H), 4.07 (s, 10 3H), 6.31 (d, J = 5.1 Hz, 1H), 6.74-6.79 (m, 1H), 6.97-7, 03 (m, 3H), 7.44 (s, 1H), 7.57 (s, 1H), 7.60 (s, 1H), 7.66 (s, 1H), 8.02-8.04 (m, 1H), 8.48 (d, J = 5.1 Hz, 1H).

Определение молекулярной массы (ESI-MS, m/z): 492 (M++1).Determination of molecular weight (ESI-MS, m / z): 492 (M+ +1).

Пример 42: N-{4-[(6,7-Диметокси-4-хинолил)окси]-2,5-диметилфенил}-N’-(2-метилфенил)мочевинаExample 42: N- {4 - [(6,7-Dimethoxy-4-quinolyl) oxy] -2,5-dimethylphenyl} -N ’- (2-methylphenyl) urea

4-[(6, 7-Диметокси-4-хинолил)окси]-2,5-диметиланилин (100 мг) растворяют в хлороформе (10 мл), и к раствору добавляют о-толуилизоцианат (46 мкл). Смесь перемешивают при комнатной температуре в течение ночи. К реакционному раствору добавляют метанол. Растворитель удаляют путем перегонки при пониженном давлении. Остаток очищают методом хроматографии на силикагеле, элюируя смесью хлороформ/ацетон (2/1), получая 111 мг (выход 79%) указанного в заголовке соединения.4 - [(6, 7-Dimethoxy-4-quinolyl) oxy] -2,5-dimethylaniline (100 mg) was dissolved in chloroform (10 ml), and o-toluyl isocyanate (46 μl) was added to the solution. The mixture was stirred at room temperature overnight. Methanol is added to the reaction solution. The solvent was removed by distillation under reduced pressure. The residue was purified by silica gel chromatography, eluting with chloroform / acetone (2/1), to give 111 mg (79% yield) of the title compound.

1H ЯМР (CDCl3, 400 МГц): δ 2,12 (с, 6Н), 2,26 (с, 3Н), 4,03 (с, 3Н), 4,05 (с, 3Н), 6,27 (д, J=5,1 Гц, 1Н), 6,77 (с, 1Н), 6,81 (с, 1Н), 6,91 (с, 1Н), 7,11-30 7,15 (м, 1Н), 7,22 (с, 1Н), 7,24 (с, 1Н), 7,42 (с, 1Н), 7,59 (с, 1Н), 7,63 (д, J=7,8 Гц, 1Н), 7,68 (с, 1Н), 8,43 (д, J=5,4 Гц, 1Н).1 H NMR (CDCl3 , 400 MHz): δ 2.12 (s, 6H), 2.26 (s, 3H), 4.03 (s, 3H), 4.05 (s, 3H), 6, 27 (d, J = 5.1 Hz, 1H), 6.77 (s, 1H), 6.81 (s, 1H), 6.91 (s, 1H), 7.11-30 7.1.15 ( m, 1H), 7.22 (s, 1H), 7.24 (s, 1H), 7.42 (s, 1H), 7.59 (s, 1H), 7.63 (d, J = 7 8 Hz, 1H), 7.68 (s, 1H), 8.43 (d, J = 5.4 Hz, 1H).

Определение молекулярной массы (ESI-MS, m/z): 458 (М++1).Determination of molecular weight (ESI-MS, m / z): 458 (M+ +1).

Пример 43: N-{4-[(6,7-Диметокси-4-хинолил)окси]-2,5-диметилфенил}-N’-(2-метоксифенил)мочевинаExample 43: N- {4 - [(6,7-Dimethoxy-4-quinolyl) oxy] -2,5-dimethylphenyl} -N ’- (2-methoxyphenyl) urea

4-[(6,7-Диметокси-4-хинолил)окси]-2,5-диметиланилин (100 мг) растворяют в хлороформе (10 мл), и к раствору добавляют 2-метоксифенилизоцианат (49 мкл). Смесь нагревают с обратным холодильником в течение ночи. К реакционному раствору добавляют метанол. Растворитель удаляют путем перегонки при пониженном давлении. Остаток очищают методом хроматографии на силикагеле, элюируя смесью хлороформ/ацетон (2/1), получая указанное в заголовке соединение с количественным выходом.4 - [(6,7-Dimethoxy-4-quinolyl) oxy] -2,5-dimethylaniline (100 mg) was dissolved in chloroform (10 ml), and 2-methoxyphenyl isocyanate (49 μl) was added to the solution. The mixture was refluxed overnight. Methanol is added to the reaction solution. The solvent was removed by distillation under reduced pressure. The residue was purified by silica gel chromatography, eluting with a chloroform / acetone mixture (2/1), to give the title compound in quantitative yield.

1H ЯМР (CDCl3, 400 МГц): δ 2,14 (с, 3Н), 2,24 (с, 3Н), 3,75 (с, 3Н), 4,03 (с, 3Н), 4,07 (с, 3Н), 6,31 (д, 10 J=5,1 Гц, 1Н), 6,84-6,87 (м, 1Н), 6,95-7,03 (м, 3Н), 7,06 (с, 1Н), 7,44 (с, 1Н), 7,56 (с, 1Н), 7,61 (с, 1Н), 7,63 (с, 1Н), 8,17-8,20 (м, 1Н), 8,46 (д, J=5,1 Гц, 1Н).1 H NMR (CDCl3 , 400 MHz): δ 2.14 (s, 3H), 2.24 (s, 3H), 3.75 (s, 3H), 4.03 (s, 3H), 4, 07 (s, 3H), 6.31 (d, 10 J = 5.1 Hz, 1H), 6.84-6.87 (m, 1H), 6.95-7.03 (m, 3H), 7.06 (s, 1H), 7.44 (s, 1H), 7.56 (s, 1H), 7.61 (s, 1H), 7.63 (s, 1H), 8.17-8 20 (m, 1H), 8.46 (d, J = 5.1 Hz, 1H).

Определение молекулярной массы (ESI-MS, m/z): 474 (M++1).Determination of molecular weight (ESI-MS, m / z): 474 (M+ +1).

Пример 44: N-(5-Бром-6-метил-2-пиридил)-N’-{4-[(6,7-диметокси-4-хинолил)окси]-2,5-диметилфенил}мочевинаExample 44: N- (5-Bromo-6-methyl-2-pyridyl) -N ’- {4 - [(6,7-dimethoxy-4-quinolyl) oxy] -2,5-dimethylphenyl} urea

4-[(6,7-Диметокси-4-хинолил)окси]-2,5-диметиланилин (100 мг) растворяют в хлороформе (10 мл) и триэтиламине (1 мл), и затем к раствору добавляют раствор трифосгена (92 мг) в дихлорметане. Смесь перемешивают при комнатной температуре в течение 30 мин. Далее к реакционному раствору добавляют 6-амино-3-бром-2-метилпиридин (69 мг), и смесь перемешивают при комнатной температуре в течение ночи. К реакционному раствору добавляют насыщенный водный раствор гидрокарбоната натрия, и смесь экстрагируют хлороформом. Хлороформный слой сушат над сульфатом натрия. Растворитель удаляют путем перегонки при пониженном давлении. Остаток растворяют в небольшом количестве хлороформа, и к раствору добавляют большее количество эфира для осаждения кристаллов, которые затем собирают путем фильтрации, получая 80 мг (выход 48%) указанного в заголовке соединения.4 - [(6,7-Dimethoxy-4-quinolyl) oxy] -2,5-dimethylaniline (100 mg) was dissolved in chloroform (10 ml) and triethylamine (1 ml), and then a solution of triphosgene (92 mg) was added to the solution ) in dichloromethane. The mixture was stirred at room temperature for 30 minutes. Next, 6-amino-3-bromo-2-methylpyridine (69 mg) was added to the reaction solution, and the mixture was stirred at room temperature overnight. A saturated aqueous sodium hydrogen carbonate solution was added to the reaction solution, and the mixture was extracted with chloroform. The chloroform layer is dried over sodium sulfate. The solvent was removed by distillation under reduced pressure. The residue was dissolved in a small amount of chloroform, and more ether was added to the solution to precipitate crystals, which were then collected by filtration to obtain 80 mg (48% yield) of the title compound.

1H ЯМР (СDСl3, 400 МГц): δ 2,18 (с, 3Н), 2,42 (с, 3Н), 2,65 (с, 3Н), 4,06 (с, 3Н), 4,08 (с, 3Н), 6,34 (д, J=5,4 Гц, 1Н), 6,57 (д, J=8,5 Гц, 1Н), 6,98 (с, 1Н), 7,43 (с, 1Н), 7,62 (с, 1Н), 7,70 (с, 1Н), 7,74 (д, J=8,5 Гц, 1Н), 8,05 (с, 1Н), 8,46 (д, J=5,4 Гц, 1Н), 11,17 (шир, 1Н).1 H NMR (CDCl3 , 400 MHz): δ 2.18 (s, 3H), 2.42 (s, 3H), 2.65 (s, 3H), 4.06 (s, 3H), 4, 08 (s, 3H), 6.34 (d, J = 5.4 Hz, 1H), 6.57 (d, J = 8.5 Hz, 1H), 6.98 (s, 1H), 7, 43 (s, 1H), 7.62 (s, 1H), 7.70 (s, 1H), 7.74 (d, J = 8.5 Hz, 1H), 8.05 (s, 1H), 8.46 (d, J = 5.4 Hz, 1H); 11.17 (br, 1H).

Определение молекулярной массы (ESI-MS, m/z): 537, 539 (M++1).Determination of molecular weight (ESI-MS, m / z): 537, 539 (M+ +1).

Пример 45: N-(2,6-Диметокси-3-пиридил)-N’-{4-[(6,7-диметокси-4-хинолил)окси]-2,5-диметилфенил}мочевинаExample 45: N- (2,6-Dimethoxy-3-pyridyl) -N ’- {4 - [(6,7-dimethoxy-4-quinolyl) oxy] -2,5-dimethylphenyl} urea

4-[(6,7-Диметокси-4-хинолил)окси]-2,5-диметиланилин (100 мг) растворяют в хлороформе (10 мл) и триэтиламине (1 мл), и затем к раствору добавляют раствор трифосгена (92 мг) в дихлорметане. Смесь перемешивают при комнатной температуре в течение 30 мин. Далее к реакционному раствору добавляют 3-амино-2,6-диметоксипиридин (70 мг), и смесь перемешивают при комнатной температуре в течение ночи. К реакционному раствору добавляют насыщенный водный раствор гидрокарбоната натрия, и смесь экстрагируют хлороформом. Хлороформный слой сушат над сульфатом натрия. Растворитель удаляют путем перегонки при пониженном давлении. Остаток растворяют в небольшом количестве хлороформа, и к раствору добавляют большое количество эфира для осаждения кристаллов, которые затем собирают путем фильтрации, получая 124 мг (выход 79%) указанного в заголовке соединения.4 - [(6,7-Dimethoxy-4-quinolyl) oxy] -2,5-dimethylaniline (100 mg) was dissolved in chloroform (10 ml) and triethylamine (1 ml), and then a solution of triphosgene (92 mg) was added to the solution ) in dichloromethane. The mixture was stirred at room temperature for 30 minutes. Next, 3-amino-2,6-dimethoxypyridine (70 mg) was added to the reaction solution, and the mixture was stirred at room temperature overnight. A saturated aqueous sodium hydrogen carbonate solution was added to the reaction solution, and the mixture was extracted with chloroform. The chloroform layer is dried over sodium sulfate. The solvent was removed by distillation under reduced pressure. The residue was dissolved in a small amount of chloroform, and a large amount of ether was added to the solution to precipitate crystals, which were then collected by filtration to obtain 124 mg (yield 79%) of the title compound.

1H ЯМР (CDCl3, 400 МГц): δ 2,17 (с, 3Н), 2,27 (с, 3Н), 3,89 (с, 3Н), 3,95 (с, 3Н), 4,06 (с, 3Н), 4,07 (с, 25 3Н), 6,31 (д, J=5,1 Гц, 1Н), 6,34 (д, J=8,5 Гц, 1Н), 6,36 (с, 1Н), 6,74 (с, 1Н), 6,99 (с, 1Н), 7,44 (с, 1Н), 7,57 (с, 1Н), 7,60 (с, 1Н), 8,20 (д, J=8,3 Гц, 1Н), 8,46 (д, J=5,1 Гц, 1Н).1 H NMR (CDCl3 , 400 MHz): δ 2.17 (s, 3H), 2.27 (s, 3H), 3.89 (s, 3H), 3.95 (s, 3H), 4, 06 (s, 3H), 4.07 (s, 25 3H), 6.31 (d, J = 5.1 Hz, 1H), 6.34 (d, J = 8.5 Hz, 1H), 6 36 (s, 1H), 6.74 (s, 1H), 6.99 (s, 1H), 7.44 (s, 1H), 7.57 (s, 1H), 7.60 (s, 1H), 8.20 (d, J = 8.3 Hz, 1H), 8.46 (d, J = 5.1 Hz, 1H).

Определение молекулярной массы (ESI-MS, m/z): 505 (M++1).Determination of molecular weight (ESI-MS, m / z): 505 (M+ +1).

Пример 46: N-{4-[(6,7-Диметокси-4-хинолил)окси]-2,5-диметилфенил}-N’-(4-метоксифенил)мочевинаExample 46: N- {4 - [(6,7-Dimethoxy-4-quinolyl) oxy] -2,5-dimethylphenyl} -N ’- (4-methoxyphenyl) urea

4-[(6,7-Диметокси-4-хинолил)окси]-2,5-диметиланилин (100 мг) растворяют в хлороформе (4 мл), и затем к раствору добавляют 4-метоксифенилизоцианат (60 мкл). Смесь оставляют взаимодействовать при комнатной температуре в течение ночи. Растворитель удаляют путем перегонки при пониженном давлении. Остаток растворяют в небольшом количестве хлороформа, и к раствору добавляют большое количество эфира. Получившийся осадок собирают путем фильтрации с отсасыванием, получая 110 мг (выход 74%) указанного в заголовке соединения.4 - [(6,7-Dimethoxy-4-quinolyl) oxy] -2,5-dimethylaniline (100 mg) was dissolved in chloroform (4 ml), and then 4-methoxyphenyl isocyanate (60 μl) was added to the solution. The mixture was allowed to react at room temperature overnight. The solvent was removed by distillation under reduced pressure. The residue was dissolved in a small amount of chloroform, and a large amount of ether was added to the solution. The resulting precipitate was collected by suction filtration to obtain 110 mg (74% yield) of the title compound.

1H ЯМР (CDCl3, 400 МГц): δ 2,07 (с, 3Н), 2,26 (с, 3Н), 3,76 (с, 3Н), 4,03 (с, 3Н), 4,08 (с, 3Н), 6,39 (д, J=6,1 Гц, 1Н), 6,80 (д, J=9,0 Гц, 2Н), 6,87 (с, 1Н), 7,36 (д, J=9,0 Гц, 2Н), 7,55 (шир, 1Н), 7,62 (с, 1Н), 7,67 (с, 1Н), 7,80 (с, 1Н), 8,19 (шир, 1Н), 8,27 (д, J=10 6,1 Гц, 1Н).1 H NMR (CDCl3 , 400 MHz): δ 2.07 (s, 3H), 2.26 (s, 3H), 3.76 (s, 3H), 4.03 (s, 3H), 4, 08 (s, 3H), 6.39 (d, J = 6.1 Hz, 1H), 6.80 (d, J = 9.0 Hz, 2H), 6.87 (s, 1H), 7, 36 (d, J = 9.0 Hz, 2H), 7.55 (br, 1H), 7.62 (s, 1H), 7.67 (s, 1H), 7.80 (s, 1H), 8.19 (broad, 1H); 8.27 (d, J = 10 6.1 Hz, 1H).

Определение молекулярной массы (ESI-MS, m/z): 474 (M++1).Determination of molecular weight (ESI-MS, m / z): 474 (M+ +1).

Пример 47: N-{4-[(6,7-Диметокси-4-хинолил)окси]-2-нитрофенил}-N’-пропилмочевинаExample 47: N- {4 - [(6,7-Dimethoxy-4-quinolyl) oxy] -2-nitrophenyl} -N’-propylurea

4-[(6,7-Диметокси-4-хинолил)окси]-2-нитроанилин (150 мг) растворяют в хлороформе (10 мл) и триэтиламине (1,5 мл), и затем к раствору добавляют раствор трифосгена (144 мг) в хлороформе. Смесь нагревают с обратным холодильником в течение 5 мин. Затем добавляют н-пропиламин (31 мг). Смесь нагревают с обратным холодильником в течение еще 2 ч. К реакционному раствору добавляют насыщенный водный раствор гидрокарбоната натрия, и смесь помещают на диатомовую землю, после чего проводят экстракцию хлороформом. Растворитель удаляют путем перегонки при пониженном давлении. Остаток очищают путем хроатографии на силикагеле, элюируя смесью хлороформ/ацетон (4/1), получая 160 мг (выход 86%) указанного в заголовке соединения.4 - [(6,7-Dimethoxy-4-quinolyl) oxy] -2-nitroaniline (150 mg) was dissolved in chloroform (10 ml) and triethylamine (1.5 ml), and then a solution of triphosgene (144 mg) was added to the solution ) in chloroform. The mixture was refluxed for 5 minutes. Then n-propylamine (31 mg) was added. The mixture was refluxed for another 2 hours. A saturated aqueous solution of sodium hydrogen carbonate was added to the reaction solution, and the mixture was placed on diatomaceous earth, followed by extraction with chloroform. The solvent was removed by distillation under reduced pressure. The residue was purified by chromatography on silica gel, eluting with a mixture of chloroform / acetone (4/1) to give 160 mg (86% yield) of the title compound.

1H ЯМР (СDСl3, 400 МГц): δ 1,01 (т, J=7,5 Гц, 3Н), 1,59-1,69 (м, 2Н), 3,27-3,34 (м, 2Н), 4,05 (с, 3Н), 4,06 (с, 3Н), 4,95-5,01 (шир, 1Н), 6,47 (д, J=5,4 Гц, 1Н), 7,43-7,51 (м, 3Н), 8,04 (д, J=2,7 Гц, 1Н), 8,53 (д, J=5,4 Гц, 1Н), 8,81 (д, J=9,3 Гц, 1Н), 9,74-9,79 (шир, 1Н).1 H NMR (CDCl3 , 400 MHz): δ 1.01 (t, J = 7.5 Hz, 3H), 1.59-1.69 (m, 2H), 3.27-3.34 (m , 2H), 4.05 (s, 3H), 4.06 (s, 3H), 4.95-5.01 (broad, 1H), 6.47 (d, J = 5.4 Hz, 1H) 7.43-7.51 (m, 3H), 8.04 (d, J = 2.7 Hz, 1H), 8.53 (d, J = 5.4 Hz, 1H), 8.81 ( d, J = 9.3 Hz, 1H), 9.74-9.79 (br, 1H).

Определение молекулярной массы (FD-MS, m/z): 426 (М+).Determination of molecular weight (FD-MS, m / z): 426 (M+ ).

Пример 48: N-(2,4-Дифторфенил)-N’-{4-[(6,7-диметокси-4-хинолил)окси]-2-нитрофенил}мочевинаExample 48: N- (2,4-Difluorophenyl) -N ’- {4 - [(6,7-dimethoxy-4-quinolyl) oxy] -2-nitrophenyl} urea

4-[(6,7-Диметокси-4-хинолил)окси]-2-нитроанилин (100 мг) растворяют в хлороформе (10 мл) и триэтиламине (1 мл), и затем к раствору добавляют раствор трифосгена (96 мг) в хлороформе. Смесь нагревают с обратным холодильником в течение 5 мин. Далее к реакционному раствору добавляют 2,4-дифторанилин (45 мг), и смесь продолжают нагревать с обратным холодильником в течение ночи. К реакционному раствору добавляют насыщенный водный раствор гидрокарбоната натрия, и смесь наносят на диатомовую землю, после чего экстрагируют хлороформом. Растворитель удаляют путем перегонки при пониженном давлении. Остаток очищают методом тонкослойной хроматографии на силикагеле, элюируя смесью хлороформ/ацетон (3/1), получая 81 мг (выход 56%) указанного в заголовке соединения.4 - [(6,7-Dimethoxy-4-quinolyl) oxy] -2-nitroaniline (100 mg) was dissolved in chloroform (10 ml) and triethylamine (1 ml), and then a solution of triphosgene (96 mg) in chloroform. The mixture was refluxed for 5 minutes. Next, 2,4-difluoroaniline (45 mg) was added to the reaction solution, and the mixture was continued to reflux overnight. A saturated aqueous sodium hydrogen carbonate solution was added to the reaction solution, and the mixture was applied to diatomaceous earth, and then extracted with chloroform. The solvent was removed by distillation under reduced pressure. The residue was purified by thin layer chromatography on silica gel, eluting with a mixture of chloroform / acetone (3/1) to obtain 81 mg (56% yield) of the title compound.

1H ЯМР (CDCl3, 400 МГц): δ 4,05 (с, 3Н), 4,06 (с, 3Н), 6,50 (д, J=5,1 Гц, 1Н), 6,91-6,98 (м, 3Н), 7,45 (с, 1Н), 7,49 (с, 1Н), 7,50-7,54 (м, 1Н), 7,88-7,97 (м, 1Н), 8,05 (д, J=2,9 Гц, 1Н), 8,54 (д, J=5,1 Гц, 1Н), 8,77 (д, J=9,3 Гц, 1Н), 9,98 (с, 1Н).1 H NMR (CDCl3 , 400 MHz): δ 4.05 (s, 3H), 4.06 (s, 3H), 6.50 (d, J = 5.1 Hz, 1H), 6.91- 6.98 (m, 3H), 7.45 (s, 1H), 7.49 (s, 1H), 7.50-7.54 (m, 1H), 7.88-7.97 (m, 1H), 8.05 (d, J = 2.9 Hz, 1H), 8.54 (d, J = 5.1 Hz, 1H), 8.77 (d, J = 9.3 Hz, 1H) 9.98 (s, 1H).

Определение молекулярной массы (FD-MS, m/z): 496 (М+).Determination of molecular weight (FD-MS, m / z): 496 (M+ ).

Пример 49: N-{3,5-Дихлор-4-[(6,7-диметокси-4-хинолил)-окси]фенил}-N’-(2,4-дифторфенил)мочевинаExample 49: N- {3,5-Dichloro-4 - [(6,7-dimethoxy-4-quinolyl) -oxy] phenyl} -N ’- (2,4-difluorophenyl) urea

3,5-Дихлор-4-[(6,7-диметокси-4-хинолил)окси]-анилин (53 мг) растворяют в хлороформе (5 мл), и к раствору добавляют 2,4-дифторфенилизоцианат (34 мкл). Смесь нагревают с обратным холодильником в течение ночи. Растворитель удаляют путем перегонки при пониженном давлении. Остаток очищают методом хроматографии на силикагеле, элюируя смесью хлороформ/ацетон (2/1), получая 56 мг (выход 74%) указанного в заголовке соединения.3,5-Dichloro-4 - [(6,7-dimethoxy-4-quinolyl) oxy] -aniline (53 mg) was dissolved in chloroform (5 ml), and 2,4-difluorophenyl isocyanate (34 μl) was added to the solution. The mixture was refluxed overnight. The solvent was removed by distillation under reduced pressure. The residue was purified by silica gel chromatography, eluting with chloroform / acetone (2/1), to obtain 56 mg (74% yield) of the title compound.

1H ЯМР (CDCl3, 400 МГц): δ 4,05 (с, 3Н), 4,09 (с, 35 3Н), 6,26 (д, J=5,4 Гц, 1Н), 6,86-6,93 (м, 2Н), 7,05 (с, 1Н), 7,44 (с, 1Н), 7,46 (с, 1Н), 7,60 (с, 2Н), 7,64 (с, 1Н), 8,01-8,05 (м, 1Н), 8,48 (д, J=5,4 Гц, 1Н).1 H NMR (CDCl3 , 400 MHz): δ 4.05 (s, 3H), 4.09 (s, 35 3H), 6.26 (d, J = 5.4 Hz, 1H), 6.86 -6.93 (m, 2H), 7.05 (s, 1H), 7.44 (s, 1H), 7.46 (s, 1H), 7.60 (s, 2H), 7.64 ( s, 1H), 8.01-8.05 (m, 1H), 8.48 (d, J = 5.4 Hz, 1H).

Определение молекулярной массы (FAB-MS, m/z): 520, 522, 524 (M++1).Determination of molecular weight (FAB-MS, m / z): 520, 522, 524 (M+ +1).

Пример 50: N-(2,4-Дифторфенил)-N’-(2-фтор-4-{[6-метокси-7-(2-морфолиноэтокси)-4-хинолил]окси}фенил)-мочевинаExample 50: N- (2,4-Difluorophenyl) -N ’- (2-fluoro-4 - {[6-methoxy-7- (2-morpholinoethoxy) -4-quinolyl] oxy} phenyl) urea

N-(2,4-Дифторфенил)-N’-{2-фтор-4-[(7-гидрокси-6-метокси-4-хинолил)окси]фенил}мочевину (20 мг), карбонат калия (7 мг), иодид тетра-н-бутиламмония (2 мг), и гидрохлорид N-(2-хлорэтил)морфолина (10 мг) растворяют в N,N-диметилформамиде (1 мл), и раствор перемешивают при 70°С в течение ночи. К реакционному раствору добавляют насыщенный водный раствор гидрокарбоната натрия, и смесь экстрагируют хлороформом. Хлороформный слой сушат над безводным сульфатом магния. Растворитель удаляют путем перегонки при пониженном давлении. Остаток очищают методом тонкослойной хроматографии на силикагеле, элюируя смесью хлороформ/метанол (30/1), получая 14 мг (выход 57%) указанного в заголовке соединения.N- (2,4-Difluorophenyl) -N '- {2-fluoro-4 - [(7-hydroxy-6-methoxy-4-quinolyl) oxy] phenyl} urea (20 mg), potassium carbonate (7 mg) , tetra-n-butylammonium iodide (2 mg), and N- (2-chloroethyl) morpholine hydrochloride (10 mg) were dissolved in N, N-dimethylformamide (1 ml), and the solution was stirred at 70 ° C. overnight. A saturated aqueous sodium hydrogen carbonate solution was added to the reaction solution, and the mixture was extracted with chloroform. The chloroform layer is dried over anhydrous magnesium sulfate. The solvent was removed by distillation under reduced pressure. The residue was purified by thin layer chromatography on silica gel, eluting with a mixture of chloroform / methanol (30/1) to obtain 14 mg (yield 57%) of the title compound.

1H ЯМР (CDCl3, 400 МГц): δ 2,57 (т, J=4,4 Гц, 4Н), 2,88 (м, 2Н), 3,69 (т, J=4,4 Гц, 4Н), 3,94 (с, 3Н), 4,26 (т, J=5,9 Гц, 2Н), 6,43 (д, J=5,1 Гц, 1Н), 6,77-6,95 (м, 4Н), 7,35 (с, 1Н), 7,43 (с, 1Н), 7,96-8,02 (м, 1Н), 8,13-8,17 (м, 1Н), 8,44 (д, J=5,1 Гц, 1Н).1 H NMR (CDCl3 , 400 MHz): δ 2.57 (t, J = 4.4 Hz, 4H), 2.88 (m, 2H), 3.69 (t, J = 4.4 Hz, 4H), 3.94 (s, 3H), 4.26 (t, J = 5.9 Hz, 2H), 6.43 (d, J = 5.1 Hz, 1H), 6.77-6, 95 (m, 4H), 7.35 (s, 1H), 7.43 (s, 1H), 7.96-8.02 (m, 1H), 8.13-8.17 (m, 1H) 8.44 (d, J = 5.1 Hz, 1H).

Пример 51: N-(2-Хлор-4-{[6-метокси-7-(2-морфолиноэтокси)-4-хинолил]окси}фенил)-N’-(2,4-дифторфенил)мочевинаExample 51: N- (2-Chloro-4 - {[6-methoxy-7- (2-morpholinoethoxy) -4-quinolyl] oxy} phenyl) -N ’- (2,4-difluorophenyl) urea

N-{2-Хлор-4-[(7-гидрокси-6-метокси-4-хинолил)-окси]фенил}-N’-(2,4-дифторфенил)мочевину (174 мг) растворяют в N,N-диметилформамиде (9 мл) и к раствору затем добавляют карбонат калия (64 мг), иодид тетра-н-бутиламмония (14 мг) и гидрохлорид N-(2-хлорэтил)морфолина (86 мг). Смесь перемешивают при 70°С в течение 17 ч, и затем к реакционному раствору добавляют насыщенный водный раствор гидрокарбоната натрия, после чего экстрагируют хлороформом. Хлороформный слой сушат над безводным сульфатом натрия. Растворитель удаляют путем перегонки при пониженном давлении. Остаток очищают методом хроматографии на силикагеле, элюируя смесью хлороформ/метанол (20/1), получая 75 мг (выход 35%) указанного в заголовке соединения.N- {2-Chloro-4 - [(7-hydroxy-6-methoxy-4-quinolyl) -oxy] phenyl} -N '- (2,4-difluorophenyl) urea (174 mg) is dissolved in N, N- dimethylformamide (9 ml) and potassium carbonate (64 mg), tetra-n-butylammonium iodide (14 mg) and N- (2-chloroethyl) morpholine hydrochloride (86 mg) are then added to the solution. The mixture was stirred at 70 ° C. for 17 hours, and then saturated aqueous sodium hydrogen carbonate was added to the reaction solution, followed by extraction with chloroform. The chloroform layer was dried over anhydrous sodium sulfate. The solvent was removed by distillation under reduced pressure. The residue was purified by silica gel chromatography, eluting with chloroform / methanol (20/1), to give 75 mg (35% yield) of the title compound.

1H ЯМР (CDCl3, 400 МГц): δ 2,60-2,67 (м, 4Н), 2,95 (т, J=6,0 Гц, 2Н), 3,71-3,79 (м, 4Н), 4,01 (с, 3Н), 4,33 (т, J=6,0 Гц, 2Н), 6,50 (д, J=5,1 Гц, 1Н), 6,85-6,97 (м, 2Н), 7,09-7,17 (м, 2Н), 7,22-7,27 (м, 2Н), 7,42 (с, 1Н), 7,50 (с, 1Н), 7,97-8,01 (м, 1Н), 8,28 (д, J=9,0 Гц, 1Н), 8,51 (д, J=5,1 Гц, 1Н).1 H NMR (CDCl3 , 400 MHz): δ 2.60-2.67 (m, 4H), 2.95 (t, J = 6.0 Hz, 2H), 3.71-3.79 (m 4H), 4.01 (s, 3H), 4.33 (t, J = 6.0 Hz, 2H), 6.50 (d, J = 5.1 Hz, 1H), 6.85-6 97 (m, 2H), 7.09-7.17 (m, 2H), 7.22-7.27 (m, 2H), 7.42 (s, 1H), 7.50 (s, 1H) ), 7.97-8.01 (m, 1H), 8.28 (d, J = 9.0 Hz, 1H), 8.51 (d, J = 5.1 Hz, 1H).

Определение молекулярной массы (ESI-MS, m/z): 585, 587 (M++1).Determination of molecular weight (ESI-MS, m / z): 585, 587 (M+ +1).

Пример 52: N-(2,4-Дифторфенил)-N’-(4-{[6-метокси-7-(2-морфолиноэтокси)-4-хинолил]окси}-2,5-диметил-фенил)мочевинаExample 52: N- (2,4-Difluorophenyl) -N ’- (4 - {[6-methoxy-7- (2-morpholinoethoxy) -4-quinolyl] oxy} -2,5-dimethyl-phenyl) urea

N-(4-{[7-(Бензилокси)-6-метокси-4-хинолил]окси}-2,5-диметилфенил)-N’-(2,4-дифторфенил)мочевину (366 мг) растворяют в N,N-диметилформамиде (6 мл), и к раствору добавляют гидроксид палладия (366 мг). Смесь перемешивают в атмосфере водорода при комнатной температуре в течение ночи. Растворитель удаляют путем перегонки при пониженном давлении. Остаток растворяют в хлороформе и метаноле. Реакционный раствор фильтруют через Celite. Далее растворитель удаляют путем перегонки при пониженном давлении. Остаток (213 мг), карбонат калия (109 мг), иодид тетра-н-бутиламмония (12 мг) и гидрохлорид N-(2-хлорэтил)морфолина (74 мг) растворяют в N,N-диметилформамиде (5 мл), и раствор перемешивают при 70°С в течение ночи. Растворитель удаляют путем перегонки при пониженном давлении. К остатку добавляют воду, и смесь экстрагируют хлороформом. Хлороформный слой сушат над сульфатом натрия. Растворитель удаляют путем перегонки при пониженном давлении. Остаток очищают методом тонкослойной хроматографии на силикагеле, элюируя смесью хлороформ/метанол (10/1), получая 106 мг (выход 55%) указанного в заголовке соединения.N- (4 - {[7- (Benzyloxy) -6-methoxy-4-quinolyl] oxy} -2,5-dimethylphenyl) -N '- (2,4-difluorophenyl) urea (366 mg) is dissolved in N, N-dimethylformamide (6 ml), and palladium hydroxide (366 mg) was added to the solution. The mixture was stirred under a hydrogen atmosphere at room temperature overnight. The solvent was removed by distillation under reduced pressure. The residue was dissolved in chloroform and methanol. The reaction solution was filtered through Celite. Next, the solvent is removed by distillation under reduced pressure. The residue (213 mg), potassium carbonate (109 mg), tetra-n-butylammonium iodide (12 mg) and N- (2-chloroethyl) morpholine hydrochloride (74 mg) were dissolved in N, N-dimethylformamide (5 ml), and the solution was stirred at 70 ° C. overnight. The solvent was removed by distillation under reduced pressure. Water was added to the residue, and the mixture was extracted with chloroform. The chloroform layer is dried over sodium sulfate. The solvent was removed by distillation under reduced pressure. The residue was purified by flash chromatography on silica gel, eluting with a mixture of chloroform / methanol (10/1) to give 106 mg (55% yield) of the title compound.

1H ЯМР (CDCl3, 400 МГц): δ 2,17 (с, 3Н), 2,27 (с, 3Н), 2,64 (т, J=4,6 Гц, 4Н), 2,96 (т, J=6,0 Гц, 2Н), 3,76 (т, J=4,6 Гц, 4Н), 4,03 (с, 3Н), 4,34 (т, J=6,0 5 Гц, 2Н), 6,31 (д, J=5,4 Гц, 1Н), 6,47 (с, 1Н), 6,81-6,92 (м, 3Н), 7,00 (с, 1Н), 7,43 (с, 1Н), 7,54 (с, 1Н), 7,58 (с, 1Н), 8,05-8,12 (м, 1Н), 8,47 (д, J=5,4 Гц, 1Н).1 H NMR (CDCl3 , 400 MHz): δ 2.17 (s, 3H), 2.27 (s, 3H), 2.64 (t, J = 4.6 Hz, 4H), 2.96 ( t, J = 6.0 Hz, 2H), 3.76 (t, J = 4.6 Hz, 4H), 4.03 (s, 3H), 4.34 (t, J = 6.0 5 Hz) , 2H), 6.31 (d, J = 5.4 Hz, 1H), 6.47 (s, 1H), 6.81-6.92 (m, 3H), 7.00 (s, 1H) 7.43 (s, 1H), 7.54 (s, 1H), 7.58 (s, 1H), 8.05-8.12 (m, 1H), 8.47 (d, J = 5 4 Hz, 1H).

Пример 53: N-(4-{[6-Метокси-7-(2-морфолиноэтокси)-4-хинолил]окси}-2,5-диметилфенил)-N’-(2-метоксифенил)-мочевинаExample 53: N- (4 - {[6-Methoxy-7- (2-morpholinoethoxy) -4-quinolyl] oxy} -2,5-dimethylphenyl) -N ’- (2-methoxyphenyl) urea

N-(4-{[7-(Бензилокси)-6-метокси-4-хинолил]окси}-2,5-диметилфенил)-N’-(2-метоксифенил)мочевину (363 мг) растворяют в N,N-диметилформамиде (6 мл) и к раствору добавляют гидроксид палладия (363 мг). Смесь перемешивают в атмосфере водорода при комнатной температуре в течение ночи. Растворитель удаляют путем перегонки при пониженном давлении. Остаток растворяют в хлороформе и метаноле и раствор фильтруют через Celite. Далее растворитель удаляют путем перегонки при пониженном давлении. Остаток (191 мг), карбонат калия (219 мг), иодид тетра-н-бутиламмония (12 мг) и гидрохлорид N-(2-хлорэтил)морфолина (148 мг) растворяют в N/N-диметилформамиде (5 мл). Раствор перемешивают при 70°С в течение ночи. Растворитель удаляют путем перегонки при пониженном давлении. К остатку добавляют воду, и смесь экстрагируют хлороформом. Хлороформный слой сушат над сульфатом натрия. Растворитель удаляют путем перегонки при пониженном давлении. Остаток очищают методом тонкослойной хроматографии на силикагеле, элюируя смесью хлороформ/метанол (10/1), получая 101 мг (выход 55%) указанного в заголовке соединения.N- (4 - {[7- (Benzyloxy) -6-methoxy-4-quinolyl] oxy} -2,5-dimethylphenyl) -N '- (2-methoxyphenyl) urea (363 mg) is dissolved in N, N- dimethylformamide (6 ml) and palladium hydroxide (363 mg) was added to the solution. The mixture was stirred under a hydrogen atmosphere at room temperature overnight. The solvent was removed by distillation under reduced pressure. The residue was dissolved in chloroform and methanol and the solution was filtered through Celite. Next, the solvent is removed by distillation under reduced pressure. The residue (191 mg), potassium carbonate (219 mg), tetra-n-butylammonium iodide (12 mg) and N- (2-chloroethyl) morpholine hydrochloride (148 mg) were dissolved in N / N-dimethylformamide (5 ml). The solution was stirred at 70 ° C. overnight. The solvent was removed by distillation under reduced pressure. Water was added to the residue, and the mixture was extracted with chloroform. The chloroform layer is dried over sodium sulfate. The solvent was removed by distillation under reduced pressure. The residue was purified by thin layer chromatography on silica gel, eluting with a mixture of chloroform / methanol (10/1) to obtain 101 mg (55% yield) of the title compound.

1H ЯМР (CDCl3, 400 МГц): δ 2,17 (с, 3Н), 2,28 (с, 3Н), 2,64 (т, J=4,5 Гц, 4Н), 2,96 (т, J=5,9 Гц, 2Н), 3,76 (т, J=4,6 Гц, 4Н), 3,83 (с, 3Н), 4,04 (с, 3Н), 4,34 (т, J=6,0 Гц, 2Н), 6,30 (д, J=5,4 Гц, 2Н), 6,86-6,90 (м, 1Н), 6,96-7,06 (м, 3Н), 7,16 (с, 1Н), 7,43 (с, 1Н), 7,57 (с, 1Н), 7,59 (с, 1Н), 8,11-8,16 (м, 1Н), 8,46 (д, J=5,4 Гц, 1Н).1 H NMR (CDCl3 , 400 MHz): δ 2.17 (s, 3H), 2.28 (s, 3H), 2.64 (t, J = 4.5 Hz, 4H), 2.96 ( t, J = 5.9 Hz, 2H), 3.76 (t, J = 4.6 Hz, 4H), 3.83 (s, 3H), 4.04 (s, 3H), 4.34 ( t, J = 6.0 Hz, 2H), 6.30 (d, J = 5.4 Hz, 2H), 6.86-6.90 (m, 1H), 6.96-7.06 (m , 3H), 7.16 (s, 1H), 7.43 (s, 1H), 7.57 (s, 1H), 7.59 (s, 1H), 8.11-8.16 (m, 1H), 8.46 (d, J = 5.4 Hz, 1H).

Пример 54: N-(2-Хлор-4-{[6-метокси-7-(2-метоксиэтокси)-4-хинолил]окси}фенил)-N’-(2,4-дифторфенил)мочевинаExample 54: N- (2-Chloro-4 - {[6-methoxy-7- (2-methoxyethoxy) -4-quinolyl] oxy} phenyl) -N ’- (2,4-difluorophenyl) urea

Гидрид натрия (60 масс.%, 153 мг) добавляют к диметилсульфоксиду (2 мл), смесь перемешивают при 60°С в течение 30 мин и затем охлаждают до комнатной температуры. К реакционному раствору добавляют гидрохлорид 4-амино-3-хлорфенола (343 мг), и смесь перемешивают при комнатной температуре в течение 10 мин. Далее к реакционному раствору добавляют раствор 4-хлор-6-метокси-7-(2-метоксиэтокси)-хинолина (254 мг) в диметилсульфоксиде (2 мл). Смесь перемешивают при 110°С в течение ночи. К реакционному раствору добавляют воду, после чего экстрагируют хлороформом. Хлороформный слой затем промывают насыщенным водным раствором гидрокарбоната натрия и сушат над безводным сульфатом натрия. Растворитель удаляют путем перегонки при пониженном давлении. Остаток очищают методом хроматографии на силикагеле, элюируя смесью хлороформ/ацетон (7/3), получая 332 мг смеси, содержащей в качестве основного продукта 2-хлор-4-{[(6-метокси-7-(2-метоксиэтокси)-4-хинолил]-окси}анилин. Порцию смеси массой 83 мг растворяют в хлороформе (5 мл), и к раствору добавляют 2,4-дифторфенилизоцианат (32 мкл). Смесь нагревают с обратным холодильником в течение ночи. Растворитель удаляют путем перегонки при пониженном давлении. Остаток очищают методом хроматографии на силикагеле, элюируя смесью хлороформ/ацетон (2/1), получая 50 мг указанного в заголовке соединения.Sodium hydride (60 wt.%, 153 mg) was added to dimethyl sulfoxide (2 ml), the mixture was stirred at 60 ° C for 30 minutes and then cooled to room temperature. 4-amino-3-chlorophenol hydrochloride (343 mg) was added to the reaction solution, and the mixture was stirred at room temperature for 10 minutes. Next, a solution of 4-chloro-6-methoxy-7- (2-methoxyethoxy) -quinoline (254 mg) in dimethyl sulfoxide (2 ml) was added to the reaction solution. The mixture was stirred at 110 ° C. overnight. Water was added to the reaction solution, followed by extraction with chloroform. The chloroform layer was then washed with saturated aqueous sodium hydrogen carbonate and dried over anhydrous sodium sulfate. The solvent was removed by distillation under reduced pressure. The residue was purified by silica gel chromatography, eluting with chloroform / acetone (7/3), to obtain 332 mg of a mixture containing 2-chloro-4 - {[(6-methoxy-7- (2-methoxyethoxy) -4 as the main product) -quinolyl] -oxy} aniline A 83 mg portion of the mixture was dissolved in chloroform (5 ml) and 2,4-difluorophenyl isocyanate (32 μl) was added to the solution. The mixture was heated under reflux overnight. The solvent was removed by distillation under reduced pressure. The residue is purified by silica gel chromatography, eluting with a mixture of chloroform / acetone (2/1) to obtain 50 mg of the title of the compound.

1H ЯМР (DMSO-d6, 400 МГц): δ 3,75-3,77 (м, 2Н), 3,94 (с, 3Н), 4,27-4,29 (м, 2Н), 6,55 (д, J=5,1 Гц, 1Н), 7,04-7/09 (м, 1Н), 7,25-7,36 (м, 2Н), 7,42 (с, 1Н), 7,50 (с, 1Н), 7,51 (с, 1Н), 8,09-8,15 (м, 1Н), 8,24 (д, J=9,0 Гц, 1Н), 8,49 (д, J=5,4 Гц, 1Н), 8,82 (с, 1Н), 9,31 (с, 1Н).1 H NMR (DMSO-d6 , 400 MHz): δ 3.75-3.77 (m, 2H), 3.94 (s, 3H), 4.27-4.29 (m, 2H), 6 55 (d, J = 5.1 Hz, 1H), 7.04-7 / 09 (m, 1H), 7.25-7.36 (m, 2H), 7.42 (s, 1H), 7.50 (s, 1H), 7.51 (s, 1H), 8.09-8.15 (m, 1H), 8.24 (d, J = 9.0 Hz, 1H), 8.49 (d, J = 5.4 Hz, 1H), 8.82 (s, 1H), 9.31 (s, 1H).

Пример 55: N-(2-Хлор-4-{[6-метокси-7-(2-метоксиэтокси)-4-хинолил]окси}фенил)-N’-(2-метоксифенил)мочевинаExample 55: N- (2-Chloro-4 - {[6-methoxy-7- (2-methoxyethoxy) -4-quinolyl] oxy} phenyl) -N ’- (2-methoxyphenyl) urea

Гидрид натрия (60 масс.%, 153 мг) добавляют к диметилсульфоксиду (2 мл), и смесь перемешивают при 60°С в течение 30 мин и затем охлаждают до комнатной температуры. К реакционному раствору добавляют гидрохлорид 4-амино-3-хлорфенола (343 мг), и смесь перемешивают при комнатной температуре в течение 10 мин. Далее к реакционному раствору добавляют раствор 4-хлор-6-метокси-7-(2-метоксиэтокси)хинолина (254 мг) в диметилсульфоксиде (2 мл), и смесь перемешивают при 110°С в течение ночи. К реакционному раствору добавляют воду, после чего экстрагируют хлороформом. Хлороформный слой затем промывают насыщенным водным раствором гидрокарбоната натрия и затем сушат над безводным сульфатом натрия. Растворитель удаляют путем перегонки при пониженном давлении. Остаток очищают методом хроматографии на силикагеле, элюируя смесью хлороформ/ацетон (7/3), получая 332 мг смеси, содержащей в качестве основного продукта 2-хлор-4-{[(6-метокси-7-(2-метокси-этокси)-4-хинолил]окси}анилин. Порцию смеси массой 83 мг растворяют в хлороформе (5 мл), и к раствору добавляют 2-метоксифенилизоцианат (35 мкл). Смесь нагревают с обратным холодильником в течение ночи. Растворитель удаляют путем перегонки при пониженном давлении. Остаток очищают методом хроматографии на силикагеле, элюируя смесью хлороформ/ацетон (2/1), получая 31 мг указанного в заголовке соединения.Sodium hydride (60 wt.%, 153 mg) was added to dimethyl sulfoxide (2 ml), and the mixture was stirred at 60 ° C for 30 minutes and then cooled to room temperature. 4-amino-3-chlorophenol hydrochloride (343 mg) was added to the reaction solution, and the mixture was stirred at room temperature for 10 minutes. Next, a solution of 4-chloro-6-methoxy-7- (2-methoxyethoxy) quinoline (254 mg) in dimethyl sulfoxide (2 ml) was added to the reaction solution, and the mixture was stirred at 110 ° C. overnight. Water was added to the reaction solution, followed by extraction with chloroform. The chloroform layer is then washed with a saturated aqueous sodium hydrogen carbonate solution and then dried over anhydrous sodium sulfate. The solvent was removed by distillation under reduced pressure. The residue was purified by silica gel chromatography, eluting with chloroform / acetone (7/3) to obtain 332 mg of a mixture containing 2-chloro-4 - {[(6-methoxy-7- (2-methoxy-ethoxy) as the main product) -4-quinolyl] oxy} aniline A 83 mg portion of the mixture was dissolved in chloroform (5 ml) and 2-methoxyphenyl isocyanate (35 μl) was added to the solution. The mixture was heated under reflux overnight. The solvent was removed by distillation under reduced pressure. The residue was purified by silica gel chromatography, eluting with a mixture of chloroform / acetone (2/1) to obtain 31 mg of the title of the compound.

1H ЯМР (DMSO-d6, 400 МГц): δ 3,75-3,77 (м, 2Н), 3,90 (с, 3Н), 3,94 (с, 3Н), 4,27-4,29 (м, 2Н), 6,55 (д, J=5,1 Гц, 1Н), 6,89-7,05 (м, 3Н), 7,24-7,27 (м, 1Н), 7,42 (с, 1Н), 7,48 (д, J=2,7 Гц, 1Н), 7,50 (с, 1Н), 8,08-8,11 (м, 1Н), 8,18-8,22 (м, 1Н), 8,49 (д, J=5,4 Гц, 1Н), 8,99-9,03 (м, 2Н).1 H NMR (DMSO-d6 , 400 MHz): δ 3.75-3.77 (m, 2H), 3.90 (s, 3H), 3.94 (s, 3H), 4.27-4 29 (m, 2H), 6.55 (d, J = 5.1 Hz, 1H), 6.89-7.05 (m, 3H), 7.24-7.27 (m, 1H), 7.42 (s, 1H), 7.48 (d, J = 2.7 Hz, 1H), 7.50 (s, 1H), 8.08-8.11 (m, 1H), 8.18 -8.22 (m, 1H), 8.49 (d, J = 5.4 Hz, 1H), 8.99-9.03 (m, 2H).

Пример 56: N-(2,4-Дифторфенил)-N’-(4-{[6-метокси-7-(2-метоксиэтокси)-4-хинолил]окси}-2,3-диметилфенил)-мочевинаExample 56: N- (2,4-Difluorophenyl) -N ’- (4 - {[6-methoxy-7- (2-methoxyethoxy) -4-quinolyl] oxy} -2,3-dimethylphenyl) urea

N-(4-{[7-(Бензилокси)-6-метокси-4-хинолил]окси}-2,3-диметилфенил)-N’-(2,4-дифторфенил)мочевину (213 мг) растворяют в N,N-диметилформамиде (5 мл) и триэтиламине (1 мл), и к раствору добавляют гидроксид палладия (40 мг). Смесь перемешивают в атмосфере водорода при комнатной температуре в течение ночи. Реакционный раствор фильтруют через Celite и затем промывают смесью хлороформом/метанол. Растворитель удаляют путем перегонки при пониженном давлении. Порцию остатка (184 мг) массой 90 мг растворяют в N,N-диметилформамиде (1,5 мл), и к раствору добавляют карбонат калия (32 мг), иодид тетра-н-бутиламмония (7 мг) и 2-бромэтилметиловый эфир (32 мг). Смесь перемешивают при 70°С в течение ночи. К реакционному раствору добавляют насыщенный водный раствор гидрокарбоната натрия, и смесь экстрагируют хлороформом. Хлороформный слой сушат над безводным сульфатом магния. Растворитель удаляют путем перегонки при пониженном давлении. Остаток очищают методом тонкослойной хроматографии на силикагеле, элюируя смесью хлороформ/ацетон (2/1), получая 110 мг указанного в заголовке соединения.N- (4 - {[7- (Benzyloxy) -6-methoxy-4-quinolyl] oxy} -2,3-dimethylphenyl) -N '- (2,4-difluorophenyl) urea (213 mg) is dissolved in N, N-dimethylformamide (5 ml) and triethylamine (1 ml), and palladium hydroxide (40 mg) was added to the solution. The mixture was stirred under a hydrogen atmosphere at room temperature overnight. The reaction solution was filtered through Celite and then washed with chloroform / methanol. The solvent was removed by distillation under reduced pressure. A 90 mg portion of the residue (184 mg) was dissolved in N, N-dimethylformamide (1.5 ml), and potassium carbonate (32 mg), tetra-n-butylammonium iodide (7 mg) and 2-bromoethyl methyl ether were added to the solution. 32 mg). The mixture was stirred at 70 ° C. overnight. A saturated aqueous sodium hydrogen carbonate solution was added to the reaction solution, and the mixture was extracted with chloroform. The chloroform layer is dried over anhydrous magnesium sulfate. The solvent was removed by distillation under reduced pressure. The residue was purified by flash chromatography on silica gel, eluting with a mixture of chloroform / acetone (2/1) to give 110 mg of the title compound.

1H ЯМР (DMSO-d6, 400 МГц): δ 1,97 (с, 3Н), 2,17 (с, 3Н), 3,31 (с, 3Н), 3,70 (т, J=4,4 Гц, 2Н), 3,90 (с, 3Н), 4,21 (т, J=4,4 Гц, 2Н), 6,18 (д, J=5,1 Гц, 1Н), 6,95-6,98 (м, 2Н), 7,22-7,31 (м, 1Н), 7,34 (с, 1Н), 7,51 (с, 1Н), 7,62 (д, J=8,8 Гц, 1Н), 8,03-8,10 (м, 1Н), 8,36 (д, J=5,1 Гц, 1Н), 8,38 (с, 1Н), 8,79 (с, 1Н).1 H NMR (DMSO-d6 , 400 MHz): δ 1.97 (s, 3H), 2.17 (s, 3H), 3.31 (s, 3H), 3.70 (t, J = 4 4 Hz, 2H), 3.90 (s, 3H), 4.21 (t, J = 4.4 Hz, 2H), 6.18 (d, J = 5.1 Hz, 1H), 6, 95-6.98 (m, 2H), 7.22-7.31 (m, 1H), 7.34 (s, 1H), 7.51 (s, 1H), 7.62 (d, J = 8.8 Hz, 1H), 8.03-8.10 (m, 1H), 8.36 (d, J = 5.1 Hz, 1H), 8.38 (s, 1H), 8.79 ( s, 1H).

Пример 57: N-(4-{[6-Метокси-7-(2-метоксиэтокси)-4-хинолил]окси}-2,3-диметилфенил)-N’-(2-метоксифенил)-мочевинаExample 57: N- (4 - {[6-Methoxy-7- (2-methoxyethoxy) -4-quinolyl] oxy} -2,3-dimethylphenyl) -N ’- (2-methoxyphenyl) urea

N-(4-{[7-(Бензилокси)-6-метокси-4-хинолил]окси}-2,3-диметилфенил)-N’-(2-метоксифенил)мочевину (161 мг) растворяют в N, N-диметилформамиде (4 мл) и триэтиламине (1 мл), и к раствору добавляют гидроксид палладия (32 мг). Смесь перемешивают в атмосфере водорода при комнатной температуре в течение ночи. Реакционный раствор фильтруют через Celite и промывают смесью хлороформом/метанол. Растворитель удаляют путем перегонки при пониженном давлении. Порцию остатка (223 мг) массой 110 мг растворяют в N,N-диметилформамиде (1,5 мл), и к раствору добавляют карбонат калия (23 мг), иодид тетра-н-бутиламмония (5 мг) и 2-бромэтилметиловый эфир (23 мг). Смесь перемешивают при 70°С в течение ночи. К реакционному раствору добавляют насыщенный водный раствор гидрокарбоната натрия, и смесь экстрагируют хлороформом. Хлороформный слой сушат над безводным сульфатом магния. Растворитель удаляют путем перегонки при пониженном давлении. Остаток очищают методом тонкослойной хроматографии на силикагеле, элюируя смесью хлороформ/ацетон (2/1), получая 89 мг указанного в заголовке соединения.N- (4 - {[7- (Benzyloxy) -6-methoxy-4-quinolyl] oxy} -2,3-dimethylphenyl) -N '- (2-methoxyphenyl) urea (161 mg) is dissolved in N, N- dimethylformamide (4 ml) and triethylamine (1 ml), and palladium hydroxide (32 mg) was added to the solution. The mixture was stirred under a hydrogen atmosphere at room temperature overnight. The reaction solution was filtered through Celite and washed with chloroform / methanol. The solvent was removed by distillation under reduced pressure. A portion of the residue (223 mg), weighing 110 mg, was dissolved in N, N-dimethylformamide (1.5 ml), and potassium carbonate (23 mg), tetra-n-butylammonium iodide (5 mg) and 2-bromoethyl methyl ether were added to the solution. 23 mg). The mixture was stirred at 70 ° C. overnight. A saturated aqueous sodium hydrogen carbonate solution was added to the reaction solution, and the mixture was extracted with chloroform. The chloroform layer is dried over anhydrous magnesium sulfate. The solvent was removed by distillation under reduced pressure. The residue was purified by flash chromatography on silica gel, eluting with a mixture of chloroform / acetone (2/1) to obtain 89 mg of the title compound.

1H ЯМР (DMSO-d6, 400 МГц): δ 2,00 (с, 3Н), 2,17 (с, 3Н), 3,70 (т, J=4,2 Гц, 2Н), 3,83 (с, 3Н), 3,90 (с, 3Н), 4,22 (т, J=4,2 Гц, 2Н), 6,19 (д, J=5,1 Гц, 1Н), 6,81-6,88 (м, 2Н), 6,94-6,97 (м, 2Н), 7,34 (с, 1Н), 7,51 (с, 1Н), 7,58 (д, J=8,8 Гц, 1Н), 8,07 (д, J=8,8 Гц, 1Н), 8,36 (д, J=5,1 Гц, 1Н), 8,48 (с, 1Н), 8,58 (с, 1Н).1 H NMR (DMSO-d6 , 400 MHz): δ 2.00 (s, 3H), 2.17 (s, 3H), 3.70 (t, J = 4.2 Hz, 2H), 3, 83 (s, 3H), 3.90 (s, 3H), 4.22 (t, J = 4.2 Hz, 2H), 6.19 (d, J = 5.1 Hz, 1H), 6, 81-6.88 (m, 2H), 6.94-6.97 (m, 2H), 7.34 (s, 1H), 7.51 (s, 1H), 7.58 (d, J = 8.8 Hz, 1H), 8.07 (d, J = 8.8 Hz, 1H), 8.36 (d, J = 5.1 Hz, 1H), 8.48 (s, 1H), 8 58 (s, 1H).

Пример 58: N-(2,4-Дифторфенил)-N’-(4-{[6-метокси-7-(2-метоксиэтокси-4-хинолил]окси}-2,5-диметилфенил)мочевинаExample 58: N- (2,4-Difluorophenyl) -N ’- (4 - {[6-methoxy-7- (2-methoxyethoxy-4-quinolyl] oxy} -2,5-dimethylphenyl) urea

N-(4-{[7-(Бензилокси)-6-метокси-4-хинолил]окси}-2,5-диметилфенил)-N’-(2,4-дифторфенил)мочевину (366 мг) растворяют в N,N-диметилформамиде (6 мл), и к раствору добавляют гидроксид палладия (366 мг). Смесь перемешивают в атмосфере водорода при комнатной температуре в течение ночи. Растворитель удаляют путем перегонки при пониженном давлении. Остаток растворяют в хлороформе, и метанол и раствор фильтруют через Celite. Далее растворитель удаляют путем перегонки при пониженном давлении. Остаток (213 мг), карбонат калия (109 мг), иодид тетра-н-бутиламммония (12 мг) и 2-бромэтилметиловый эфир (40 мкл) растворяют в N,N-диметилформамиде (5 мл), и раствор перемешивают при 70°С в течение ночи. Растворитель удаляют путем перегонки при пониженном давлении. К остатку добавляют воду, и смесь экстрагируют хлороформом. Хлороформный слой сушат над сульфатом натрия. Растворитель удаляют путем перегонки при пониженном давлении. Остаток очищают методом тонкослойной хроматографии на силикагеле, элюируя смесью хлороформ/метанол (10/1), получая 124 мг (выход 73%) указанного в заголовке соединения.N- (4 - {[7- (Benzyloxy) -6-methoxy-4-quinolyl] oxy} -2,5-dimethylphenyl) -N '- (2,4-difluorophenyl) urea (366 mg) is dissolved in N, N-dimethylformamide (6 ml), and palladium hydroxide (366 mg) was added to the solution. The mixture was stirred under a hydrogen atmosphere at room temperature overnight. The solvent was removed by distillation under reduced pressure. The residue was dissolved in chloroform, and methanol and the solution were filtered through Celite. Next, the solvent is removed by distillation under reduced pressure. The residue (213 mg), potassium carbonate (109 mg), tetra-n-butyl ammonium iodide (12 mg) and 2-bromoethyl methyl ether (40 μl) were dissolved in N, N-dimethylformamide (5 ml), and the solution was stirred at 70 ° With during the night. The solvent was removed by distillation under reduced pressure. Water was added to the residue, and the mixture was extracted with chloroform. The chloroform layer is dried over sodium sulfate. The solvent was removed by distillation under reduced pressure. The residue was purified by thin layer chromatography on silica gel, eluting with a mixture of chloroform / methanol (10/1) to obtain 124 mg (73% yield) of the title compound.

1H ЯМР (СDСl3, 400 МГц): δ 2,17 (с, 3Н), 2,26 (с, 3Н), 3,49 (с, 3Н), 3,90 (т, J=4,8 Гц, 2Н), 4,03 (с, 3Н), 4,34 (т, J=4,8 Гц, 2Н), 6,30 (д, J=5,1 Гц, 1Н), 6,57 (с, 1Н), 6,81-6,95 (м, 3Н), 7,00 (с, 1Н), 7,43 (с, 1Н), 7,55 (с, 1Н), 7,57 (с, 1Н), 8,05-8,14 (м, 1Н), 8,46 (д, J=5,4 Гц, 1Н).1 H NMR (CDCl3 , 400 MHz): δ 2.17 (s, 3H), 2.26 (s, 3H), 3.49 (s, 3H), 3.90 (t, J = 4.8 Hz, 2H), 4.03 (s, 3H), 4.34 (t, J = 4.8 Hz, 2H), 6.30 (d, J = 5.1 Hz, 1H), 6.57 ( s, 1H), 6.81-6.95 (m, 3H), 7.00 (s, 1H), 7.43 (s, 1H), 7.55 (s, 1H), 7.57 (s , 1H), 8.05-8.14 (m, 1H), 8.46 (d, J = 5.4 Hz, 1H).

Определение молекулярной массы (ESI-MS, m/z): 524 (M++1).Determination of molecular weight (ESI-MS, m / z): 524 (M+ +1).

Пример 59: N-(4-{[6-Метокси-7-(2-метоксиэтокси)-4-хинолил]окси}-2,5-диметилфенил)-N’-(2-метоксифенил)-мочевинаExample 59: N- (4 - {[6-Methoxy-7- (2-methoxyethoxy) -4-quinolyl] oxy} -2,5-dimethylphenyl) -N ’- (2-methoxyphenyl) urea

N-(4-{[7-(Бензилокси)-6-метокси-4-хинолил]окси}-2,5-диметилфенил)-N’-(2-метоксифенил)мочевину (363 мг) растворяют в N,N-диметилформамиде (6 мл) и к раствору добавляют гидроксид палладия (363 мг). Смесь перемешивают в атмосфере водорода при комнатной температуре в течение ночи. Растворитель удаляют путем перегонки при пониженном давлении, и остаток растворяют в хлороформе и метаноле. Раствор фильтруют через Celite. Затем растворитель удаляют путем перегонки при пониженном давлении. Остаток (191 мг), карбонат калия (110 мг), иодид тетра-н-бутиламмония (12 мг) и 2-бромэтилметиловый эфир (80 мг) растворяют в N,N-диметилформамиде (5 мл), и раствор перемешивают при 70°С в течение ночи. Растворитель удаляют путем перегонки при пониженном давлении. К остатку добавляют воду, и смесь экстрагируют хлороформом. Хлороформный слой сушат над сульфатом натрия. Растворитель удаляют путем перегонки при пониженном давлении. Остаток очищают методом тонкослойной хроматографии на силикагеле, элюируя смесью хлороформ/метанол (10/1), получая 128 мг (выход 76%) указанного в заголовке соединения.N- (4 - {[7- (Benzyloxy) -6-methoxy-4-quinolyl] oxy} -2,5-dimethylphenyl) -N '- (2-methoxyphenyl) urea (363 mg) is dissolved in N, N- dimethylformamide (6 ml) and palladium hydroxide (363 mg) was added to the solution. The mixture was stirred under a hydrogen atmosphere at room temperature overnight. The solvent was removed by distillation under reduced pressure, and the residue was dissolved in chloroform and methanol. The solution was filtered through Celite. Then, the solvent was removed by distillation under reduced pressure. The residue (191 mg), potassium carbonate (110 mg), tetra-n-butylammonium iodide (12 mg) and 2-bromoethyl methyl ether (80 mg) were dissolved in N, N-dimethylformamide (5 ml), and the solution was stirred at 70 ° With during the night. The solvent was removed by distillation under reduced pressure. Water was added to the residue, and the mixture was extracted with chloroform. The chloroform layer is dried over sodium sulfate. The solvent was removed by distillation under reduced pressure. The residue was purified by thin layer chromatography on silica gel, eluting with a mixture of chloroform / methanol (10/1) to obtain 128 mg (76% yield) of the title compound.

1H ЯМР (СDСl3, 400 МГц): δ 2,17 (с, 3Н), 2,28 (с, 3Н), 3,49 (с, 3Н), 3,83 (с, 3Н), 3,90 (т, J=4,8 Гц, 15 2Н), 4,04 (с, 3Н), 4,35 (т, J=4,9 Гц, 2Н), 6,30 (д, J=5,4 Гц, 1Н), 6,33 (с, 1Н), 6,86-6,90 (м, 1Н), 6,96-7,06 (м, 3Н), 7,17 (с, 1Н), 7,43 (с, 1Н), 7,56 (с, 1Н), 7,58 (с, 1Н), 8,12-8,17 (м, 1Н), 8,45 (д, J=5,1 Гц, 1Н).1 H NMR (CDCl3 , 400 MHz): δ 2.17 (s, 3H), 2.28 (s, 3H), 3.49 (s, 3H), 3.83 (s, 3H), 3, 90 (t, J = 4.8 Hz, 15 2H), 4.04 (s, 3H), 4.35 (t, J = 4.9 Hz, 2H), 6.30 (d, J = 5, 4 Hz, 1H), 6.33 (s, 1H), 6.86-6.90 (m, 1H), 6.96-7.06 (m, 3H), 7.17 (s, 1H), 7.43 (s, 1H), 7.56 (s, 1H), 7.58 (s, 1H), 8.12-8.17 (m, 1H), 8.45 (d, J = 5, 1 Hz, 1H).

Определение молекулярной массы (ESI-MS, m/z): 518 (M++1).Determination of molecular weight (ESI-MS, m / z): 518 (M+ +1).

Пример 60: N-(4-{[7-(Бензилокси)-6-метокси-4-хинолил]-окси}-2,3-диметилфенил)-N’-(2-метоксифенил)-мочевинаExample 60: N- (4 - {[7- (Benzyloxy) -6-methoxy-4-quinolyl] -oxy} -2,3-dimethylphenyl) -N ’- (2-methoxyphenyl) urea

4-{[7-(Бензилокси)-6-метокси-4-хинолил]окси}-2,3-диметиланилин (260 мг) растворяют в N,N-диметилформамиде (5 мл) и затем к раствору добавляют 2-метоксифенилизоцианат (116 мг). Смесь оставляют реагировать при комнатной температуре в течение ночи. К реакционному раствору добавляют насыщенный водный раствор гидрокарбоната натрия, и смесь экстрагируют хлороформом. Хлороформный слой сушат над безводным сульфатом магния. Растворитель удаляют путем перегонки при пониженном давлении. Остаток очищают методом тонкослойной хроматографии на силикагеле, элюируя смесью хлороформ/ацетон (2/1), получая 169 мг (выход 47%) указанного в заголовке соединения.4 - {[7- (Benzyloxy) -6-methoxy-4-quinolyl] oxy} -2,3-dimethylaniline (260 mg) is dissolved in N, N-dimethylformamide (5 ml) and then 2-methoxyphenyl isocyanate ( 116 mg). The mixture was allowed to react at room temperature overnight. A saturated aqueous sodium hydrogen carbonate solution was added to the reaction solution, and the mixture was extracted with chloroform. The chloroform layer is dried over anhydrous magnesium sulfate. The solvent was removed by distillation under reduced pressure. The residue was purified by thin layer chromatography on silica gel, eluting with a mixture of chloroform / acetone (2/1) to obtain 169 mg (47% yield) of the title compound.

1H ЯМР (DMSO-d6, 400 МГц): δ 1,99 (с, 3Н), 2,02 (с, 3Н), 3,83 (с, 3Н), 3,90 (с, 3Н), 5,25 (с, 2Н), 6,18 (д, J=5,3 Гц, 1Н), 6,81-6,87 (м, 2Н), 6,95 (д, J=6,1 Гц, 1Н), 7,29-7,59 (м, 7Н), 8,07 (д, J=6,1 Гц, 1Н), 8,35 (д, J=5,3 Гц, 1Н), 8,48 (с, 1Н), 8,58 (с, 1Н).1 H NMR (DMSO-d6 , 400 MHz): δ 1.99 (s, 3H), 2.02 (s, 3H), 3.83 (s, 3H), 3.90 (s, 3H), 5.25 (s, 2H), 6.18 (d, J = 5.3 Hz, 1H), 6.81-6.87 (m, 2H), 6.95 (d, J = 6.1 Hz , 1H), 7.29-7.59 (m, 7H), 8.07 (d, J = 6.1 Hz, 1H), 8.35 (d, J = 5.3 Hz, 1H), 8 48 (s, 1H); 8.58 (s, 1H).

Пример 61: N-{2-Хлор-4-[(6,7-диметокси-4-хиназолинил)-окси]фенил}-N’-(2,4-дифторфенил)мочевинаExample 61: N- {2-Chloro-4 - [(6,7-dimethoxy-4-quinazolinyl) -oxy] phenyl} -N ’- (2,4-difluorophenyl) urea

2-Хлор-4-[(6,7-диметокси-4-хиназолинил)окси]-анилин (214 мг) растворяют в хлороформе (5 мл) и затем к раствору добавляют 2,4-дифторфенилизоцианат (180 мкл). Смесь оставляют реагировать при 70°С в течение 4 ч, и к реакционному раствору добавляют большое количество эфира. Полученный осадок собирают путем фильтрации с отсасыванием, получая 146 мг (выход 46%) указанного в заголовке соединения.2-Chloro-4 - [(6,7-dimethoxy-4-quinazolinyl) oxy] -aniline (214 mg) was dissolved in chloroform (5 ml) and then 2,4-difluorophenyl isocyanate (180 μl) was added to the solution. The mixture was allowed to react at 70 ° C. for 4 hours, and a large amount of ether was added to the reaction solution. The resulting precipitate was collected by suction filtration to obtain 146 mg (46% yield) of the title compound.

1H ЯМР (DMSO-d6, 400 МГц): δ 3,98 (с, 3Н), 3,99 (с, 3Н), 7,03-7,10 (м, 1H), 7,28-7,37 (м, 2Н), 7,40 (с, 1Н), 7,56 (с, 2Н), 8,08-8,21 (м, 2Н), 8,57 (с, 1Н), 8,80 (с, 1Н), 9,30 (с, 1Н).1 H NMR (DMSO-d6 , 400 MHz): δ 3.98 (s, 3H), 3.99 (s, 3H), 7.03-7.10 (m, 1H), 7.28-7 37 (m, 2H), 7.40 (s, 1H), 7.56 (s, 2H), 8.08-8.21 (m, 2H), 8.57 (s, 1H), 8, 80 (s, 1H); 9.30 (s, 1H).

Определение молекулярной массы (ESI-MS, m/z): 487, 489 (M++1).Determination of molecular weight (ESI-MS, m / z): 487, 489 (M+ +1).

Пример 62: N-{2-Хлор-4-[(6,7-диметокси-4-хиназолинил)-окси]фенил}-N’-пропилмочевинаExample 62: N- {2-Chloro-4 - [(6,7-dimethoxy-4-quinazolinyl) -oxy] phenyl} -N’-propylurea

2-Хлор-4-[(6,7-диметокси-4-хиназолинил)окси]-анилин (5,13 г) растворяют в хлороформе (100 мл) и триэтиламине (50 мл), и затем к раствору добавляют раствор трифосгена (4,59 г) в хлороформе (3 мл). Смесь перемешивают в течение 30 мин. Далее к реакционному раствору добавляют н-пропиламин (2,74 г), и смесь перемешивают в течение еще 2 ч. К реакционному раствору добавляют насыщенный водный раствор гидрокарбоната натрия, и смесь экстрагируют хлороформом. Хлороформный слой сушат над безводным сульфатом натрия. Растворитель удаляют путем перегонки при пониженном давлении. Остаток очищают методом хроматографии на силикагеле, элюируя смесью хлороформом/метанол (50/1), получая 4,14 г (выход 64%) указанного в заголовке соединения.2-Chloro-4 - [(6,7-dimethoxy-4-quinazolinyl) oxy] -aniline (5.13 g) was dissolved in chloroform (100 ml) and triethylamine (50 ml), and then a solution of triphosgene ( 4.59 g) in chloroform (3 ml). The mixture is stirred for 30 minutes. Next, n-propylamine (2.74 g) was added to the reaction solution, and the mixture was stirred for another 2 hours. A saturated aqueous solution of sodium hydrogen carbonate was added to the reaction solution, and the mixture was extracted with chloroform. The chloroform layer was dried over anhydrous sodium sulfate. The solvent was removed by distillation under reduced pressure. The residue was purified by silica gel chromatography, eluting with a mixture of chloroform / methanol (50/1) to obtain 4.14 g (64% yield) of the title compound.

1H ЯМР (DMSO-d6, 400 МГц): δ 0,91 (т, J=7,3 Гц, 3Н), 1,41-1,53 (м, 2Н), 3,05-3,12 (м, 2Н), 3,97 (с, 3Н), 3,99 (с, 3Н), 6,99 (т, J=5,4 Гц, 1Н), 7,22 (дд, J=2,7 Гц, 9,0 Гц, 1Н), 7,38 (с, 1Н), 7,46 (д, J=2,9 Гц, 1Н), 7,54 (с, 1Н), 8,04 (с, 1H), 8,20 (д, J=9,3 Гц, 5 1Н), 8,55 (с, 1Н).1 H NMR (DMSO-d6 , 400 MHz): δ 0.91 (t, J = 7.3 Hz, 3H), 1.41-1.53 (m, 2H), 3.05-3.12 (m, 2H), 3.97 (s, 3H), 3.99 (s, 3H), 6.99 (t, J = 5.4 Hz, 1H), 7.22 (dd, J = 2, 7 Hz, 9.0 Hz, 1H), 7.38 (s, 1H), 7.46 (d, J = 2.9 Hz, 1H), 7.54 (s, 1H), 8.04 (s , 1H), 8.20 (d, J = 9.3 Hz, 5 1H), 8.55 (s, 1H).

Определение молекулярной массы (ESI-MS, m/z): 417 (M++1).Determination of molecular weight (ESI-MS, m / z): 417 (M+ +1).

Пример 63: N-{4-[(6,7-Диметокси-4-хиназолинил)окси]фенил}-N’-этилмочевинаExample 63: N- {4 - [(6,7-Dimethoxy-4-quinazolinyl) oxy] phenyl} -N’-ethylurea

4-[(6,7-Диметокси-4-хиназолинил)окси]анилин (50 мг) растворяют в хлороформе (3 мл) и триэтиламине (0,2 мл), и затем к раствору добавляют раствор трифосгена (50 мг) в хлороформе. Смесь перемешивают при комнатной температуре в течение 30 мин. Далее к реакционному раствору добавляют гидрохлорид этиламина (69 мг), и смесь продолжают перемешивать при комнатной температуре в течение ночи. Метанол добавляют к реакционному раствору, и раствор очищают методом ВЭЖХ, элюируя смесью хлороформ/метанол, получая 10 мг (выход 16%) указанного в заголовке соединения.4 - [(6,7-Dimethoxy-4-quinazolinyl) oxy] aniline (50 mg) was dissolved in chloroform (3 ml) and triethylamine (0.2 ml), and then a solution of triphosgene (50 mg) in chloroform was added to the solution . The mixture was stirred at room temperature for 30 minutes. Next, ethylamine hydrochloride (69 mg) was added to the reaction solution, and the mixture was continued to stir at room temperature overnight. Methanol was added to the reaction solution, and the solution was purified by HPLC, eluting with a chloroform / methanol mixture to give 10 mg (16% yield) of the title compound.

1H ЯМР (DMSO-d6, 400 МГц): δ 1,07 (т, J=7,3 Гц, 3Н), 3,11-3,14 (м, 2Н), 3,97 (с, 3Н), 3,99 (с, 3Н), 6,10 (т, J=5,4 Гц, 1H), 7,14 (д, J=9,0 Гц, 2Н), 7,37 (с, 1H), 7,46 (д, J=9,0 Гц, 2Н), 7,55 (с, 1H), 8,49 (шир, 1H), 8,53 (с, 1H).1 H NMR (DMSO-d6 , 400 MHz): δ 1.07 (t, J = 7.3 Hz, 3H), 3.11-3.14 (m, 2H), 3.97 (s, 3H ), 3.99 (s, 3H), 6.10 (t, J = 5.4 Hz, 1H), 7.14 (d, J = 9.0 Hz, 2H), 7.37 (s, 1H ), 7.46 (d, J = 9.0 Hz, 2H), 7.55 (s, 1H), 8.49 (broad, 1H), 8.53 (s, 1H).

Определение молекулярной массы (ESI-MS, m/z): 369 (M++1).Determination of molecular weight (ESI-MS, m / z): 369 (M+ +1).

Пример 64: N-{4-[(6,7-Диметокси-4-хиназолинил)окси]фенил}-N’-пропилмочевинаExample 64: N- {4 - [(6,7-Dimethoxy-4-quinazolinyl) oxy] phenyl} -N’-propylurea

4-[(6,7-Диметокси-4-хиназолинил)окси]анилин (50 мг) растворяют в хлороформе (3 мл) и триэтиламине (0,2 мл), и затем к раствору добавляют раствор трифосгена (50 мг) в хлороформе. Смесь перемешивают при комнатной температуре в течение 304 - [(6,7-Dimethoxy-4-quinazolinyl) oxy] aniline (50 mg) was dissolved in chloroform (3 ml) and triethylamine (0.2 ml), and then a solution of triphosgene (50 mg) in chloroform was added to the solution . The mixture was stirred at room temperature for 30

мин. Далее к реакционному раствору добавляют пропиламин (21 мкл), и смесь продолжают перемешивать при комнатной температуре в течение ночи. К реакционному раствору добавляют метанол, и раствор очищают методом ВЭЖХ, элюируя смесью хлороформ/метанол, получая 30 мг (выход 47%) указанного в заголовке соединения.min Then, propylamine (21 μl) was added to the reaction solution, and the mixture was continued to stir at room temperature overnight. Methanol was added to the reaction solution, and the solution was purified by HPLC, eluting with a chloroform / methanol mixture to obtain 30 mg (47% yield) of the title compound.

1H ЯМР (DMSO-d6, 400 МГц): δ 0,89 (т, J=7,6 Гц, 3Н), 1,41-1,50 (м, 2Н), 3,04-3,08 (м, 2Н), 3,97 (с, 3Н), 3,99 (с, 3Н), 6,15 (т, J=5,9 Гц, 1Н), 7,15 (д, J=8,8 Гц, 2Н), 7,37 (с, 1Н), 7,46 (д, J=9,0 Гц, 2Н), 7,55 (с, 1Н), 8,48 (шир, 1Н), 8,53 (с, 1Н).1 H NMR (DMSO-d6 , 400 MHz): δ 0.89 (t, J = 7.6 Hz, 3H), 1.41-1.50 (m, 2H), 3.04-3.08 (m, 2H), 3.97 (s, 3H), 3.99 (s, 3H), 6.15 (t, J = 5.9 Hz, 1H), 7.15 (d, J = 8, 8 Hz, 2H), 7.37 (s, 1H), 7.46 (d, J = 9.0 Hz, 2H), 7.55 (s, 1H), 8.48 (br, 1H), 8 53 (s, 1H).

Определение молекулярной массы (ESI-MS, m/z): 383 (М++1).Determination of molecular weight (ESI-MS, m / z): 383 (M+ +1).

Пример 65: N-бутил-N’-{4-[(6,7-диметокси-4-хиназолинил)-окси]фенил}мочевинаExample 65: N-butyl-N ’- {4 - [(6,7-dimethoxy-4-quinazolinyl) -oxy] phenyl} urea

4-[(6,7-Диметокси-4-хиназолинил)окси]анилин (50 мг) растворяют в хлороформе (3 мл) и триэтиламине (0,2 мл), и затем к раствору добавляют раствор трифосгена (50 мг) в хлороформе. Смесь перемешивают при комнатной температуре в течение 30 мин. Далее к реакционному раствору добавляют бутиламин (22 мкл), и смесь продолжают перемешивать при комнатной температуре в течение ночи. К реакционному раствору добавляют метанол, и смесь очищают методом ВЭЖХ, элюируя смесью хлороформ/метанол, получая 29 мг (выход 43%) указанного в заголовке соединения.4 - [(6,7-Dimethoxy-4-quinazolinyl) oxy] aniline (50 mg) was dissolved in chloroform (3 ml) and triethylamine (0.2 ml), and then a solution of triphosgene (50 mg) in chloroform was added to the solution . The mixture was stirred at room temperature for 30 minutes. Then, butylamine (22 μl) was added to the reaction solution, and the mixture was continued to stir at room temperature overnight. Methanol was added to the reaction solution, and the mixture was purified by HPLC, eluting with a chloroform / methanol mixture to obtain 29 mg (43% yield) of the title compound.

1H ЯМР (DMSO-d6, 400 МГц): δ 0,91 (т, J=7,3 Гц, 3Н), 1,28-1,47 (м, 4Н), 3,07-3,12 (м, 2Н), 3,97 (с, 3Н), 3,99 (с, 3Н), 6,12 (т, J=5,6 Гц, 1Н), 7,15 (д, J=8,8 Гц, 2Н), 7,37 (с, 1Н), 7,46 (д, J=9,0 Гц, 2Н), 7,55 (с, 1Н), 8,47 (шир, 1Н), 8,53 (с, 1Н).1 H NMR (DMSO-d6 , 400 MHz): δ 0.91 (t, J = 7.3 Hz, 3H), 1.28-1.47 (m, 4H), 3.07-3.12 (m, 2H), 3.97 (s, 3H), 3.99 (s, 3H), 6.12 (t, J = 5.6 Hz, 1H), 7.15 (d, J = 8, 8 Hz, 2H), 7.37 (s, 1H), 7.46 (d, J = 9.0 Hz, 2H), 7.55 (s, 1H), 8.47 (br, 1H), 8 53 (s, 1H).

Определение молекулярной массы (ESI-MS, m/z): 397 (М++1).Determination of molecular weight (ESI-MS, m / z): 397 (M+ +1).

Пример 66: N-{4-[(6,7-Диметокси-4-хиназолинил)окси]-фенил}-N’-пентилмочевинаExample 66: N- {4 - [(6,7-Dimethoxy-4-quinazolinyl) oxy] phenyl} -N’-pentylurea

4-[(6,7-Диметокси-4-хиназолинил)окси]анилин (50 мг) растворяют в хлороформе (3 мл) и триэтиламине (0,2 мл), и затем к раствору добавляют раствор трифосгена (50 мг) в хлороформе. Смесь перемешивают при комнатной температуре в течение 30 мин. Далее к реакционному раствору добавляют амиламин (26 мкл), и смесь перемешивают при комнатной температуре в течение ночи. К реакционному раствору добавляют метанол, и смесь очищают методом ВЭЖХ, элюируя смесью хлороформ/метанол, получая 21 мг (выход 30%) указанного в заголовке соединения.4 - [(6,7-Dimethoxy-4-quinazolinyl) oxy] aniline (50 mg) was dissolved in chloroform (3 ml) and triethylamine (0.2 ml), and then a solution of triphosgene (50 mg) in chloroform was added to the solution . The mixture was stirred at room temperature for 30 minutes. Amylamine (26 μl) was added to the reaction solution, and the mixture was stirred at room temperature overnight. Methanol was added to the reaction solution, and the mixture was purified by HPLC, eluting with a chloroform / methanol mixture to give 21 mg (30% yield) of the title compound.

1H ЯМР (DMSO-d6, 400 МГц): δ 0,89 (т, J=7,1 Гц, 3Н), 1,27-1,47 (м, 4Н), 1,41-1,48 (м, 2Н), 3,06-5 3,11 (м, 2Н), 3,97 (с, 3Н), 3,99 (с, 3Н), 6,13 (т, J=5,6 Гц, 1Н), 7,15 (д, J=9,0 Гц, 2Н), 7,37 (с, 1Н), 7,46 (д, J=8,8 Гц, 2Н), 7,55 (с, 1Н), 8,47 (шир, 1Н), 8,53 (с, 1Н).1 H NMR (DMSO-d6 , 400 MHz): δ 0.89 (t, J = 7.1 Hz, 3H), 1.27-1.47 (m, 4H), 1.41-1.48 (m, 2H), 3.06-5 3.11 (m, 2H), 3.97 (s, 3H), 3.99 (s, 3H), 6.13 (t, J = 5.6 Hz , 1H), 7.15 (d, J = 9.0 Hz, 2H), 7.37 (s, 1H), 7.46 (d, J = 8.8 Hz, 2H), 7.55 (s , 1H), 8.47 (broad, 1H), 8.53 (s, 1H).

Определение молекулярной массы (ESI-MS, m/z); 411 (М++1).Determination of molecular weight (ESI-MS, m / z); 411 (M+ +1).

Пример 67: N-(втор-Бутил)-N’-{4-[(6,7-диметокси-4-хиназолинил)окси]фенил}мочевинаExample 67: N- (sec-Butyl) -N ’- {4 - [(6,7-dimethoxy-4-quinazolinyl) oxy] phenyl} urea

4-[(6,7-Диметокси-4-хиназолинил)окси]анилин (50 мг) растворяют4 - [(6,7-Dimethoxy-4-quinazolinyl) oxy] aniline (50 mg) was dissolved

в хлороформе (3 мл) и триэтиламине (0,2 мл), и затем к раствору добавляют раствор трифосгена (50 мг) в хлороформе. Смесь перемешивают при комнатной температуре в течение 30 мин. Затем добавляют втор-бутиламин (23 мкл), и смесь перемешивают при комнатной температуре в течение ночи. К реакционному раствору добавляют метанол, и смесь очищают методом ВЭЖХ, элюируя смесью хлороформ/метанол, получая 33 мг (выход 49%) указанного в заголовке соединения.in chloroform (3 ml) and triethylamine (0.2 ml), and then a solution of triphosgene (50 mg) in chloroform is added to the solution. The mixture was stirred at room temperature for 30 minutes. Then sec-butylamine (23 μl) was added and the mixture was stirred at room temperature overnight. Methanol was added to the reaction solution, and the mixture was purified by HPLC, eluting with a chloroform / methanol mixture to obtain 33 mg (49% yield) of the title compound.

1H ЯМР (DMSO-d6, 400 МГц): δ 0,88 (т, J=7,3 Гц, 3Н), 1,08 (д, J=6,6 Гц, 3Н), 1,40-1,47 (м, 2Н), 3,58-3,64 (м, 1Н), 3,97 (с, 3Н), 3,99 (с, 3Н), 5,98 (т, J=8,1 Гц, 1Н), 7,15 (д, J=9,0 Гц, 2Н), 7,37 (с, 1Н), 7,46 (д, J=9,0 Гц, 2Н), 7,55 (с, 1Н), 8,38 (с, 1Н), 8,53 (с, 1Н).1 H NMR (DMSO-d6 , 400 MHz): δ 0.88 (t, J = 7.3 Hz, 3H), 1.08 (d, J = 6.6 Hz, 3H), 1.40- 1.47 (m, 2H), 3.58-3.64 (m, 1H), 3.97 (s, 3H), 3.99 (s, 3H), 5.98 (t, J = 8, 1 Hz, 1H), 7.15 (d, J = 9.0 Hz, 2H), 7.37 (s, 1H), 7.46 (d, J = 9.0 Hz, 2H), 7.55 (s, 1H), 8.38 (s, 1H), 8.53 (s, 1H).

Определение молекулярной массы (ESI-MS, m/z): 397 (М++1).Determination of molecular weight (ESI-MS, m / z): 397 (M+ +1).

Пример 68: N-Аллил-N’-{4-[(6,7-Диметокси-4-хиназолинил)-окси]фенил}мочевинаExample 68: N-Allyl-N ’- {4 - [(6,7-Dimethoxy-4-quinazolinyl) -oxy] phenyl} urea

4-[(6,7-Диметокси-4-хиназолинил)окси]анилин (50 мг) растворяют в хлороформе (3 мл) и триэтиламине (0,2 мл), и затем к раствору добавляют раствор трифосгена (50 мг) в хлороформе. Смесь перемешивают при комнатной температуре в течение 30 мин. Далее к реакционному раствору добавляют аллиламин гидрохлорид (31 мг) и смесь перемешивают при комнатной температуре в течение ночи. К реакционному раствору добавляют метанол, и смесь очищают методом ВЭЖХ, элюируя смесью хлороформ/метанол, получая 21 мг (выход 33%) указанного в заголовке соединения.4 - [(6,7-Dimethoxy-4-quinazolinyl) oxy] aniline (50 mg) was dissolved in chloroform (3 ml) and triethylamine (0.2 ml), and then a solution of triphosgene (50 mg) in chloroform was added to the solution . The mixture was stirred at room temperature for 30 minutes. Then, allylamine hydrochloride (31 mg) was added to the reaction solution, and the mixture was stirred at room temperature overnight. Methanol was added to the reaction solution, and the mixture was purified by HPLC, eluting with a chloroform / methanol mixture to obtain 21 mg (33% yield) of the title compound.

1H ЯМР (DMSO-d6, 400 МГц): δ 3,73-3,76 (м, 2Н), 3,97 (с, 3Н), 3,99 (с, 3Н), 5,07-5,21 (м, 2Н), 5,84-5,92 (м, 1Н), 6,28 (т, J=5,6 Гц, 1Н), 7,16 (д, J=9,0 Гц, 2Н), 7,38 (с, 1Н), 7,47 (д, J=9,0 Гц, 2Н), 7,55 (с, 1Н), 8,53 (с, 1Н), 8,59 (с, 1Н).1 H NMR (DMSO-d6 , 400 MHz): δ 3.73-3.76 (m, 2H), 3.97 (s, 3H), 3.99 (s, 3H), 5.07-5 21 (m, 2H), 5.84-5.92 (m, 1H), 6.28 (t, J = 5.6 Hz, 1H), 7.16 (d, J = 9.0 Hz, 2H), 7.38 (s, 1H), 7.47 (d, J = 9.0 Hz, 2H), 7.55 (s, 1H), 8.53 (s, 1H), 8.59 ( s, 1H).

Определение молекулярной массы (ESI-MS, m/z): 381 (M++1).Determination of molecular weight (ESI-MS, m / z): 381 (M+ +1).

Пример 69: N-{4-[(6,7-Диметокси-4-хиназолинил)-окси]-фенил}-N’-(2-пропинил)мочевинаExample 69: N- {4 - [(6,7-Dimethoxy-4-quinazolinyl) -oxy] phenyl} -N ’- (2-propynyl) urea

4-[(6,7-Диметокси-4-хиназолинил)окси]анилин (50 мг) растворяют в хлороформе (3 мл) и триэтиламине (0,2 мл), и затем к раствору добавляют раствор трифосгена (50 мг) в хлороформе. Смесь перемешивают при комнатной температуре в течение 30 мин. Далее к реакционному раствору добавляют гидрохлорид пропаргиламина (31 мг), и смесь перемешивают при комнатной температуре в течение ночи. К реакционному раствору добавляют метанол, и смесь очищают методом ВЭЖХ, элюируя смесью хлороформ/метанол, получая 26 мг (выход 41%) указанного в заголовке соединения.4 - [(6,7-Dimethoxy-4-quinazolinyl) oxy] aniline (50 mg) was dissolved in chloroform (3 ml) and triethylamine (0.2 ml), and then a solution of triphosgene (50 mg) in chloroform was added to the solution . The mixture was stirred at room temperature for 30 minutes. Next, propargylamine hydrochloride (31 mg) was added to the reaction solution, and the mixture was stirred at room temperature overnight. Methanol was added to the reaction solution, and the mixture was purified by HPLC, eluting with a chloroform / methanol mixture to obtain 26 mg (41% yield) of the title compound.

1H ЯМР (DMSO-d6, 400 МГц): δ 3,11-3,12 (м, 1Н), 3,89-3,90 (м, 2Н), 3,97 (с, 3Н), 3,99 (с, 3Н), 6,49 (т, J=5,9 Гц, 1Н), 7,17 (д, J=9,0 Гц, 2Н), 7,38 (с, 1Н), 7,48 (д, J=8,8 Гц, 2Н), 7,55 (с, 1Н), 8,53 (с, 1Н), 8,68 (с, 1Н).1 H NMR (DMSO-d6 , 400 MHz): δ 3.11-3.12 (m, 1H), 3.89-3.90 (m, 2H), 3.97 (s, 3H), 3 99 (s, 3H), 6.49 (t, J = 5.9 Hz, 1H), 7.17 (d, J = 9.0 Hz, 2H), 7.38 (s, 1H), 7 48 (d, J = 8.8 Hz, 2H), 7.55 (s, 1H), 8.53 (s, 1H), 8.68 (s, 1H).

Определение молекулярной массы (ESI-MS, m/z): 379 (M++1).Determination of molecular weight (ESI-MS, m / z): 379 (M+ +1).

Пример 70: N-(2,4-Дифторбензил)-N’-{4-[(6,7-диметокси-4-хиназолинил)окси]фенил}мочевинаExample 70: N- (2,4-Difluorobenzyl) -N ’- {4 - [(6,7-dimethoxy-4-quinazolinyl) oxy] phenyl} urea

4-[(6,7-Диметокси-4-хиназолинил)окси]анилин (50 мг) растворяют в хлороформе (3 мл) и триэтиламине (0,2 мл), и затем к раствору добавляют раствор трифосгена (50 мг) в хлороформе. Смесь перемешивают при комнатной температуре в течение 30 мин. Далее к реакционному раствору добавляют 2,4-дифторбензиламин (22 мкл), и смесь перемешивают при комнатной температуре в течение ночи. К реакционному раствору добавляют метанол, и смесь очищают методом ВЭЖХ, элюируя смесью хлороформ/метанол, получая 32 мг (выход 41%) указанного в заголовке соединения.4 - [(6,7-Dimethoxy-4-quinazolinyl) oxy] aniline (50 mg) was dissolved in chloroform (3 ml) and triethylamine (0.2 ml), and then a solution of triphosgene (50 mg) in chloroform was added to the solution . The mixture was stirred at room temperature for 30 minutes. Next, 2,4-difluorobenzylamine (22 μl) was added to the reaction solution, and the mixture was stirred at room temperature overnight. Methanol was added to the reaction solution, and the mixture was purified by HPLC, eluting with a chloroform / methanol mixture to obtain 32 mg (41% yield) of the title compound.

1H ЯМР (DMSO-d6, 400 МГц): δ 3,97 (с, 3Н), 3,98 (с, 3Н), 4,32-4,33 (м, 2Н), 6,66 (т, J=5,9 Гц, 1Н), 7,06-7,10 (м, 1Н), 7,16 (д, J=8,8 Гц, 2Н), 7,19-7,24 (м, 1Н), 7,37 (с, 1Н), 7,40-7,44 (м, 1Н), 7,48 (д, J=9,0 Гц, 2Н), 7,55 (с, 1Н), 8,52 (с, 1Н), 8,69 (с, 1Н).1 H NMR (DMSO-d6 , 400 MHz): δ 3.97 (s, 3H), 3.98 (s, 3H), 4.32-4.33 (m, 2H), 6.66 (t , J = 5.9 Hz, 1H), 7.06-7.10 (m, 1H), 7.16 (d, J = 8.8 Hz, 2H), 7.19-7.24 (m, 1H), 7.37 (s, 1H), 7.40-7.44 (m, 1H), 7.48 (d, J = 9.0 Hz, 2H), 7.55 (s, 1H), 8.52 (s, 1H); 8.69 (s, 1H).

Определение молекулярной массы (ESI-MS, m/z): 467 (M++1).Determination of molecular weight (ESI-MS, m / z): 467 (M+ +1).

Пример 71: N-{4-[(6,7-Диметокси-4-хиназолинил)окси]-фенил}-N’-(2-пиридилметил)мочевинаExample 71: N- {4 - [(6,7-Dimethoxy-4-quinazolinyl) oxy] phenyl} -N ’- (2-pyridylmethyl) urea

4-[(6,7-Диметокси-4-хиназолинил)окси]анилин (50 мг) растворяют в хлороформе (3 мл) и триэтиламине (0,2 мл) и затем к раствору добавляют раствор трифосгена (50 мг) в хлороформе. Смесь перемешивают при комнатной температуре в течение 30 мин. Далее к реакционному раствору добавляют 2,4-дифторбензиламин (31 мкл), и смесь перемешивают при комнатной температуре в течение ночи. К реакционному раствору добавляют метанол, и смесь очищают методом ВЭЖХ, элюируя смесью хлороформ/метанол, получая 31 мг (выход 43%) указанного в заголовке соединения.4 - [(6,7-Dimethoxy-4-quinazolinyl) oxy] aniline (50 mg) was dissolved in chloroform (3 ml) and triethylamine (0.2 ml), and then a solution of triphosgene (50 mg) in chloroform was added to the solution. The mixture was stirred at room temperature for 30 minutes. Next, 2,4-difluorobenzylamine (31 μl) was added to the reaction solution, and the mixture was stirred at room temperature overnight. Methanol was added to the reaction solution, and the mixture was purified by HPLC eluting with a chloroform / methanol mixture to obtain 31 mg (yield 43%) of the title compound.

1H ЯМР (DMSO-d6, 400 МГц): δ 3,42 (с, 2Н), 3,98 (с, 3Н), 3,99 (с, 3Н), 7,16-7,19 (м, 2Н), 7,22-7,27 (м, 3Н), 7,38 (с, 1Н), 7,57 (с, 1Н), 7,67 (д, J=8,8 Гц, 2Н), 7,88-7,92 (м, 1Н), 8,46-8,48 (м, 1Н), 8,54 (с, 1Н), 8,87 (с, 1Н), 12,19 (с, 1Н).1 H NMR (DMSO-d6 , 400 MHz): δ 3.42 (s, 2H), 3.98 (s, 3H), 3.99 (s, 3H), 7.16-7.19 (m , 2H), 7.22-7.27 (m, 3H), 7.38 (s, 1H), 7.57 (s, 1H), 7.67 (d, J = 8.8 Hz, 2H) 7.88-7.92 (m, 1H), 8.46-8.48 (m, 1H), 8.54 (s, 1H), 8.87 (s, 1H), 12.19 (s , 1H).

Определение молекулярной массы (FD-MS, m/z): 431 (М+).Determination of molecular weight (FD-MS, m / z): 431 (M+ ).

Пример 72: N-(2,4-Дифторфенил)-N’-{4-[(6,7-диметокси-4-хиназолинил)окси]фенил}мочевинаExample 72: N- (2,4-Difluorophenyl) -N ’- {4 - [(6,7-dimethoxy-4-quinazolinyl) oxy] phenyl} urea

4-[(6,7-Диметокси-4-хиназолинил)окси]анилин (50 мг) растворяют в хлороформе (3 мл), и затем к раствору добавляют 2,4-дифторфенилизоцианат (24 мкл). Смесь нагревают с обратным холодильником в течение ночи. Осажденные кристаллы собирают путем фильтрации и промывают, получая 55 мг (выход 72%) указанного в заголовке соединения.4 - [(6,7-Dimethoxy-4-quinazolinyl) oxy] aniline (50 mg) was dissolved in chloroform (3 ml), and then 2,4-difluorophenyl isocyanate (24 μl) was added to the solution. The mixture was refluxed overnight. Precipitated crystals were collected by filtration and washed to obtain 55 mg (72% yield) of the title compound.

1H ЯМР (DMSO-d6, 400 МГц): δ 3,98 (с, 3Н), 3,99 (с, 3Н), 7,04-7,08 (м, 2Н), 7,24 (д, J=8,8 Гц, 2Н), 7,29-7,35 (м, 1Н), 7,38 (с, 1Н), 7,54 (д, J=9,0 Гц, 2Н), 7,56 (с, 1Н), 8,06-8,14 (м, 1Н), 8,51-8,54 (м, 1Н), 8,54 (с, 1Н), 9,11-9,12 (м, 1Н).1 H NMR (DMSO-d6 , 400 MHz): δ 3.98 (s, 3H), 3.99 (s, 3H), 7.04-7.08 (m, 2H), 7.24 (d , J = 8.8 Hz, 2H), 7.29-7.35 (m, 1H), 7.38 (s, 1H), 7.54 (d, J = 9.0 Hz, 2H), 7 56 (s, 1H), 8.06-8.14 (m, 1H), 8.51-8.54 (m, 1H), 8.54 (s, 1H), 9.11-9.12 (m, 1H).

Определение молекулярной массы (ESI-MS, m/z): 453 (M++1).Determination of molecular weight (ESI-MS, m / z): 453 (M+ +1).

Пример 73: N-{4-[(6,7-Диметокси-4-хиназолинил)окси]-фенил}-N’-(4-фторфенил)мочевинаExample 73: N- {4 - [(6,7-Dimethoxy-4-quinazolinyl) oxy] phenyl} -N ’- (4-fluorophenyl) urea

4-[(6,7-Диметокси-4-хиназолинил)окси]анилин (50 мг) растворяют в хлороформе (3 мл), и затем к раствору добавляют п-фторфенилизоцианат (23 мкл). Смесь нагревают с обратным холодильником в течение ночи. К реакционному раствору добавляют метанол, и смесь очищают методом ВЭЖХ, элюируя смесью хлороформ/метанол, получая 26 мг (выход 36%) указанного в заголовке соединения.4 - [(6,7-Dimethoxy-4-quinazolinyl) oxy] aniline (50 mg) was dissolved in chloroform (3 ml), and then p-fluorophenyl isocyanate (23 μl) was added to the solution. The mixture was refluxed overnight. Methanol was added to the reaction solution, and the mixture was purified by HPLC, eluting with a chloroform / methanol mixture to obtain 26 mg (36% yield) of the title compound.

1H ЯМР (DMSO-d6, 400 МГц): δ 3,98 (с, 3Н), 3,99 (с, 20 ЗН), 7,11-7,15 (м, 2Н), 7,22 (д, J=8,8 Гц, 2Н), 7,38 (с, IE), 7,46-7,50 (м, 2Н), 7,54 (д, J=9,0 Гц, 2Н), 7,56 (с, 1Н), 8,54 (с, 1Н), 8,72 (с, 1Н), 8,75 (с, 1Н).1 H NMR (DMSO-d6 , 400 MHz): δ 3.98 (s, 3H), 3.99 (s, 20 H), 7.11-7.15 (m, 2H), 7.22 ( d, J = 8.8 Hz, 2H), 7.38 (s, IE), 7.46-7.50 (m, 2H), 7.54 (d, J = 9.0 Hz, 2H), 7.56 (s, 1H), 8.54 (s, 1H), 8.72 (s, 1H), 8.75 (s, 1H).

Определение молекулярной массы (ESI-MS, m/z): 435 (M++1).Determination of molecular weight (ESI-MS, m / z): 435 (M+ +1).

Пример 74: N-{4-[(6,7-Диметокси-4-хиназолинил)окси]-фенил}-N’-(2-метилфенил)мочевинаExample 74: N- {4 - [(6,7-Dimethoxy-4-quinazolinyl) oxy] phenyl} -N ’- (2-methylphenyl) urea

4-[(6,7-Диметокси-4-хиназолинил)окси]анилин (50 мг) растворяют в хлороформе (3 мл), и затем к раствору добавляют о-толуилизоцианат (25 мкл). Смесь нагревают с обратным холодильником в течение ночи. К реакционному раствору добавляют метанол, и смесь очищают методом ВЭЖХ, элюируя смесью хлороформ/метанол, получая 30 мг (выход 41%) указанного в заголовке соединения.4 - [(6,7-Dimethoxy-4-quinazolinyl) oxy] aniline (50 mg) was dissolved in chloroform (3 ml), and then o-toluyl isocyanate (25 μl) was added to the solution. The mixture was refluxed overnight. Methanol was added to the reaction solution, and the mixture was purified by HPLC, eluting with a chloroform / methanol mixture to obtain 30 mg (41% yield) of the title compound.

1H ЯМР (DMSO-d6, 400 МГц): δ 2,26 (с, 3Н), 3,98 (с, 3Н), 3,99 (с, 3Н), 6,93-6,98 (м, 1Н), 7,13-7,19 (м, 2Н), 7,22 (д, J=8,8 Гц, 2Н), 7,38 (с, 1Н), 7,54-7,56 (м, 3Н), 7,83-7,86 (м, 1Н), 7,93 (с, 1Н), 8,54 (с, 1Н), 9,10-9,11 (м, 1Н).1 H NMR (DMSO-d6 , 400 MHz): δ 2.26 (s, 3H), 3.98 (s, 3H), 3.99 (s, 3H), 6.93-6.98 (m , 1H), 7.13-7.19 (m, 2H), 7.22 (d, J = 8.8 Hz, 2H), 7.38 (s, 1H), 7.54-7.56 ( m, 3H), 7.83-7.86 (m, 1H), 7.93 (s, 1H), 8.54 (s, 1H), 9.10-9.11 (m, 1H).

Определение молекулярной массы (ESI-MS, m/z): 431 (M++1).Determination of molecular weight (ESI-MS, m / z): 431 (M+ +1).

Пример 75: N-{4-[(6,7-Диметокси-4-хиназолинил)окси]-фенил}-N’-(2-метоксифенил)мочевинаExample 75: N- {4 - [(6,7-Dimethoxy-4-quinazolinyl) oxy] phenyl} -N ’- (2-methoxyphenyl) urea

4-[(6,7-Диметокси-4-хиназолинил)окси]анилин (50 мг) растворяют в хлороформе (3 мл), и затем к раствору добавляют 2-метоксифенилизоцианат (27 мкл). Смесь нагревают с обратным холодильником в течение ночи. К реакционному раствору добавляют метанол, и смесь очищают методом ВЭЖХ, элюируя смесью хлороформ/метанол, получая 34 мг (выход 45%) указанного в заголовке соединения.4 - [(6,7-Dimethoxy-4-quinazolinyl) oxy] aniline (50 mg) was dissolved in chloroform (3 ml), and then 2-methoxyphenyl isocyanate (27 μl) was added to the solution. The mixture was refluxed overnight. Methanol was added to the reaction solution, and the mixture was purified by HPLC, eluting with a chloroform / methanol mixture to obtain 34 mg (45% yield) of the title compound.

1H ЯМР (DMSO-d6, 400 МГц): δ 3,89 (с, 3Н), 3,98 (с, 3Н), 3,99 (с, 3Н), 6,89-7,05 (м, 3Н), 7,22 (д, J=8,8 Гц, 2Н), 7,38 (с, 1Н), 7,54 (д, J=8,8 Гц, 2Н), 7,56 (с, 1Н), 8,13-8,15 (м, 1Н), 8,23-8,24 (м, 1Н), 8,54 (с, 1Н), 9,40-9,41 (м, 1Н).1 H NMR (DMSO-d6 , 400 MHz): δ 3.89 (s, 3H), 3.98 (s, 3H), 3.99 (s, 3H), 6.89-7.05 (m , 3H), 7.22 (d, J = 8.8 Hz, 2H), 7.38 (s, 1H), 7.54 (d, J = 8.8 Hz, 2H), 7.56 (s , 1H), 8.13-8.15 (m, 1H), 8.23-8.24 (m, 1H), 8.54 (s, 1H), 9.40-9.41 (m, 1H )

Определение молекулярной массы (ESI-MS, m/z): 447 (M++1).Determination of molecular weight (ESI-MS, m / z): 447 (M+ +1).

Пример 76: N-{2-Хлор-4-[(6,7-диметокси-4-хиназолинил)-окси]фенил}-N’-этилмочевинаExample 76: N- {2-Chloro-4 - [(6,7-dimethoxy-4-quinazolinyl) -oxy] phenyl} -N’-ethylurea

2-Хлор-4-[(6,7-диметокси-4-хиназолинил)окси]-анилин (200 мг) растворяют в хлороформе (5 мл) и триэтиламине (1 мл), и затем к раствору добавляют раствор трифосгена (179 мг) в хлороформе. Смесь перемешивают при комнатной температуре в течение 30 мин. Далее к реакционному раствору добавляют гидрохлорид этиламина (246 мг) и смесь перемешивают при комнатной температуре в течение ночи. К реакционному раствору добавляют насыщенный водный раствор гидрокарбоната натрия, и смесь экстрагируют хлороформом. Хлороформный слой сушат над безводным сульфатом натрия. Растворитель удаляют путем перегонки при пониженном давлении. Остаток очищают методом ВЭЖХ, элюируя смесью хлороформ/метанол, получая 159 мг (выход 65%) указанного в заголовке соединения.2-Chloro-4 - [(6,7-dimethoxy-4-quinazolinyl) oxy] -aniline (200 mg) was dissolved in chloroform (5 ml) and triethylamine (1 ml), and then a solution of triphosgene (179 mg) was added to the solution ) in chloroform. The mixture was stirred at room temperature for 30 minutes. Next, ethylamine hydrochloride (246 mg) was added to the reaction solution, and the mixture was stirred at room temperature overnight. A saturated aqueous sodium hydrogen carbonate solution was added to the reaction solution, and the mixture was extracted with chloroform. The chloroform layer was dried over anhydrous sodium sulfate. The solvent was removed by distillation under reduced pressure. The residue was purified by HPLC, eluting with a chloroform / methanol mixture to give 159 mg (65% yield) of the title compound.

1H ЯМР (DMSO-d6, 400 МГц): δ 1,08 (т, J=7,1 Гц, 3Н), 3,11-3,16 (м, 2Н), 3,97 (с, 3Н), 3,99 (с, 3Н), 6,96 (т, J=5,6 Гц, 1Н), 7,23 (дд, J=2,7 Гц, 9,0 Гц, 1Н), 7,39 (с, 1Н), 7,47 (д, J=2,7 Гц, 1Н), 7,55 (с, 1Н), 8,02 (с, 1Н), 8,20 (д, J=9,3 Гц, 1Н), 8,56 (с, 1Н).1 H NMR (DMSO-d6 , 400 MHz): δ 1.08 (t, J = 7.1 Hz, 3H), 3.11-3.16 (m, 2H), 3.97 (s, 3H) ), 3.99 (s, 3H), 6.96 (t, J = 5.6 Hz, 1H), 7.23 (dd, J = 2.7 Hz, 9.0 Hz, 1H), 7, 39 (s, 1H), 7.47 (d, J = 2.7 Hz, 1H), 7.55 (s, 1H), 8.02 (s, 1H), 8.20 (d, J = 9 3 Hz, 1H); 8.56 (s, 1H).

Определение молекулярной массы (ESI-MS, m/z): 403 (M++1).Determination of molecular weight (ESI-MS, m / z): 403 (M+ +1).

Пример 77: N-бутил-N’-{2-хлор-4-[(6,7-диметокси-4-хиназолинил)окси]фенил}мочевинаExample 77: N-butyl-N ’- {2-chloro-4 - [(6,7-dimethoxy-4-quinazolinyl) oxy] phenyl} urea

2-Хлор-4-[(6,7-диметокси-4-хиназолинил)окси]-анилин (50 мг) растворяют в хлороформе (5 мл) и триэтиламине (1 мл), и затем к раствору добавляют раствор трифосгена (45 мг) в хлороформе. Смесь перемешивают при комнатной температуре в течение 30 мин. Далее к реакционному раствору добавляют бутиламин (22 мкл), и смесь перемешивают при комнатной температуре в течение еще 30 мин. К реакционному раствору добавляют насыщенный водный раствор гидрокарбоната натрия, и смесь экстрагируют хлороформом. Хлороформный слой сушат над безводным сульфатом натрия. Растворитель удаляют путем перегонки при пониженном давлении. Остаток очищают методом ВЭЖХ, элюируя смесью хлороформ/метанол, получая 30 мг (выход 46%) указанного в заголовке соединения.2-Chloro-4 - [(6,7-dimethoxy-4-quinazolinyl) oxy] -aniline (50 mg) was dissolved in chloroform (5 ml) and triethylamine (1 ml), and then a solution of triphosgene (45 mg) was added to the solution ) in chloroform. The mixture was stirred at room temperature for 30 minutes. Butylamine (22 μl) was added to the reaction solution, and the mixture was stirred at room temperature for another 30 minutes. A saturated aqueous sodium hydrogen carbonate solution was added to the reaction solution, and the mixture was extracted with chloroform. The chloroform layer was dried over anhydrous sodium sulfate. The solvent was removed by distillation under reduced pressure. The residue was purified by HPLC, eluting with a chloroform / methanol mixture to give 30 mg (46% yield) of the title compound.

1H ЯМР (DMSO-d6, 400 МГц): δ 0,91 (т, J=7,3 Гц, 3Н), 1,31-1,46 (м, 4Н), 3,09-3,14 (м, 2Н), 3,97 (с, 3Н), 3,99 (с, 3Н), 6,96 (т, J=5,6 Гц, 1Н), 7,23 (дд, J =2,7 Гц, 9,0 Гц, 1Н), 7,39 (с, 1Н), 7,47 (д, J=2,7 Гц, 1Н), 7,55 (с, 1Н), 8,03 (с, 1Н), 8,20 (д, J=9,0 Гц, 1Н), 8,56 (с, 1Н).1 H NMR (DMSO-d6 , 400 MHz): δ 0.91 (t, J = 7.3 Hz, 3H), 1.31-1.46 (m, 4H), 3.09-3.14 (m, 2H), 3.97 (s, 3H), 3.99 (s, 3H), 6.96 (t, J = 5.6 Hz, 1H), 7.23 (dd, J = 2, 7 Hz, 9.0 Hz, 1H), 7.39 (s, 1H), 7.47 (d, J = 2.7 Hz, 1H), 7.55 (s, 1H), 8.03 (s , 1H), 8.20 (d, J = 9.0 Hz, 1H), 8.56 (s, 1H).

Определение молекулярной массы (ESI-MS, m/z): 431 (M++1).Determination of molecular weight (ESI-MS, m / z): 431 (M+ +1).

Пример 78: N-{2-Хлор-4-[(6,7-диметокси-4-хиназолинил)-окси]фенил}-N’-пентилмочевинаExample 78: N- {2-Chloro-4 - [(6,7-dimethoxy-4-quinazolinyl) -oxy] phenyl} -N’-pentylurea

2-Хлор-4-[(6,7-диметокси-4-хиназолинил)окси]-анилин (50 мг) растворяют в хлороформе (5 мл) и триэтиламине (1 мл), и затем к раствору добавляют раствор трифосгена (45 мг) в хлороформе. Смесь перемешивают при комнатной температуре в течение 30 мин. Далее к реакционному раствору добавляют амиламин (26 мкл), и смесь перемешивают при комнатной температуре в течение еще 30 мин. К реакционному раствору добавляют насыщенный водный раствор гидрокарбоната натрия, и смесь экстрагируют хлороформом. Хлороформный слой сушат над безводным сульфатом натрия. Растворитель удаляют путем перегонки при пониженном давлении. Остаток очищают методом ВЭЖХ, элюируя смесью хлороформ/метанол, получая 33 мг (выход 49%) указанного в заголовке соединения.2-Chloro-4 - [(6,7-dimethoxy-4-quinazolinyl) oxy] -aniline (50 mg) was dissolved in chloroform (5 ml) and triethylamine (1 ml), and then a solution of triphosgene (45 mg) was added to the solution ) in chloroform. The mixture was stirred at room temperature for 30 minutes. Amylamine (26 μl) was added to the reaction solution, and the mixture was stirred at room temperature for another 30 minutes. A saturated aqueous sodium hydrogen carbonate solution was added to the reaction solution, and the mixture was extracted with chloroform. The chloroform layer was dried over anhydrous sodium sulfate. The solvent was removed by distillation under reduced pressure. The residue was purified by HPLC, eluting with a chloroform / methanol mixture to give 33 mg (49% yield) of the title compound.

1H ЯМР (DMSO-d6, 400 МГц): δ 0,90 (т, J=7,1 Гц, 3Н), 1,24-1,34 (м, 4Н), 1,43-1,48 (м, 2Н), 3,08-3,14 (м, 2Н), 3,97 (с, 3Н), 3,99 (с, 3Н), 6,97 (т, J=5,1 Гц, 1Н), 7,23 (дд, J=2,7 Гц, 9,0 Гц, 1Н), 7,39 (с, 1Н), 7,47 (д, J=2,8 Гц, 1Н), 7,55 (с, 1Н), 8,03 (с, 1Н), 8,20 (д, J=9,0 Гц, 1Н), 8,56 (с, 1Н).1 H NMR (DMSO-d6 , 400 MHz): δ 0.90 (t, J = 7.1 Hz, 3H), 1.24-1.34 (m, 4H), 1.43-1.48 (m, 2H), 3.08-3.14 (m, 2H), 3.97 (s, 3H), 3.99 (s, 3H), 6.97 (t, J = 5.1 Hz, 1H), 7.23 (dd, J = 2.7 Hz, 9.0 Hz, 1H), 7.39 (s, 1H), 7.47 (d, J = 2.8 Hz, 1H), 7 55 (s, 1H), 8.03 (s, 1H), 8.20 (d, J = 9.0 Hz, 1H), 8.56 (s, 1H).

Определение молекулярной массы (ESI-MS, m/z): 445 (M++1).Determination of molecular weight (ESI-MS, m / z): 445 (M+ +1).

Пример 79: N-(втор-Бутил)-N’-{2-хлор-4-[(6,7-диметокси-4-хиназолинил)окси]фенил}мочевинаExample 79: N- (sec-Butyl) -N ’- {2-chloro-4 - [(6,7-dimethoxy-4-quinazolinyl) oxy] phenyl} urea

2-Хлор-4-[(6,7-диметокси-4-хиназолинил)окси]-анилин (50 мг) растворяют в хлороформе (5 мл) и триэтиламине (1 мл), и затем к раствору добавляют раствор трифосгена (45 мг) в хлороформе. Смесь перемешивают при комнатной температуре в течение 30 мин. Далее к реакционному раствору добавляют втор-бутиламин (23 мкл), и смесь перемешивают при комнатной температуре в течение еще 30 мин. К реакционному раствору добавляют насыщенный водный раствор гидрокарбоната натрия, и смесь экстрагируют хлороформом. Хлороформный слой сушат над безводным сульфатом натрия. Растворитель удаляют путем перегонки при пониженном давлении. Остаток очищают методом ВЭЖХ, элюируя смесью хлороформ/метанол, получая 34 мг (выход 52%) указанного в заголовке соединения.2-Chloro-4 - [(6,7-dimethoxy-4-quinazolinyl) oxy] -aniline (50 mg) was dissolved in chloroform (5 ml) and triethylamine (1 ml), and then a solution of triphosgene (45 mg) was added to the solution ) in chloroform. The mixture was stirred at room temperature for 30 minutes. Next, sec-butylamine (23 μl) was added to the reaction solution, and the mixture was stirred at room temperature for another 30 minutes. A saturated aqueous sodium hydrogen carbonate solution was added to the reaction solution, and the mixture was extracted with chloroform. The chloroform layer was dried over anhydrous sodium sulfate. The solvent was removed by distillation under reduced pressure. The residue was purified by HPLC, eluting with a chloroform / methanol mixture to give 34 mg (52% yield) of the title compound.

1H ЯМР (DMSO-d6, 400 МГц): δ 0,89 (т, J=7,6 Гц, 3Н), 1,09 (д, J=6,6 Гц, 3Н), 1,43-1,46 (м, 2Н), 3,58-3,66 (м, 1Н), 3,97 (с, 3Н), 3,99 (с, 3Н), 6,88 (д, J=7,6 Гц, 1Н), 7,22 (дд, J=2,4 Гц, 9,3 Гц, 1Н), 7,39 (с, 1Н), 7,47 (д, J=2,7 Гц, 1Н), 7,55 (с, 1Н), 7,98 (с, 1Н), 8,23 (д, J=9,0 Гц, 1Н), 8,55-8,56 (м, 1Н).1 H NMR (DMSO-d6 , 400 MHz): δ 0.89 (t, J = 7.6 Hz, 3H), 1.09 (d, J = 6.6 Hz, 3H), 1.43- 1.46 (m, 2H), 3.58-3.66 (m, 1H), 3.97 (s, 3H), 3.99 (s, 3H), 6.88 (d, J = 7, 6 Hz, 1H), 7.22 (dd, J = 2.4 Hz, 9.3 Hz, 1H), 7.39 (s, 1H), 7.47 (d, J = 2.7 Hz, 1H ), 7.55 (s, 1H), 7.98 (s, 1H), 8.23 (d, J = 9.0 Hz, 1H), 8.55-8.56 (m, 1H).

Определение молекулярной массы (ESI-MS, m/z): 431 (M++1).Determination of molecular weight (ESI-MS, m / z): 431 (M+ +1).

Пример 80: N-Аллил-N’-{2-хлор-4-[(6,7-диметокси-4-хиназолинил)окси]фенил}мочевинаExample 80: N-Allyl-N ’- {2-chloro-4 - [(6,7-dimethoxy-4-quinazolinyl) oxy] phenyl} urea

2-Хлор-4-[(6,7-диметокси-4-хиназолинил)окси]-анилин (50 мг) растворяют в хлороформе (5 мл) и триэтиламине (1 мл), и затем к раствору добавляют раствор трифосгена (45 мг) в хлороформе. Смесь перемешивают при комнатной температуре в течение 30 мин. Далее к реакционному раствору добавляют гидрохлорид аллиламина (21 мг), и смесь перемешивают при комнатной температуре в течение еще 30 мин. К реакционному раствору добавляют насыщенный водный раствор гидрокарбоната натрия, и смесь экстрагируют хлороформом. Хлороформный слой сушат над безводным сульфатом натрия. Растворитель удаляют путем перегонки при пониженном давлении. Остаток очищают методом ВЭЖХ, элюируя смесью хлороформ/метанол, получая 45 мг (выход 72%) указанного в заголовке соединения.2-Chloro-4 - [(6,7-dimethoxy-4-quinazolinyl) oxy] -aniline (50 mg) was dissolved in chloroform (5 ml) and triethylamine (1 ml), and then a solution of triphosgene (45 mg) was added to the solution ) in chloroform. The mixture was stirred at room temperature for 30 minutes. Then, allylamine hydrochloride (21 mg) was added to the reaction solution, and the mixture was stirred at room temperature for another 30 minutes. A saturated aqueous sodium hydrogen carbonate solution was added to the reaction solution, and the mixture was extracted with chloroform. The chloroform layer was dried over anhydrous sodium sulfate. The solvent was removed by distillation under reduced pressure. The residue was purified by HPLC, eluting with a chloroform / methanol mixture to give 45 mg (72% yield) of the title compound.

1H ЯМР (DMSO-d6, 400 МГц): δ 3,76-3,79 (м, 2Н), 3,97 (с, 3Н), 3,99 (с, 3Н), 5,10-5,24 (м, 2Н), 5,85-5,94 (м, 1Н), 7,11 (т, J=5,4 Гц, 1Н), 7,24 (дд, J=2,7 Гц, 9,0 Гц, 1Н), 7,39 (с, 1Н), 7,49 (д, J=2,7 Гц, 1Н), 7,55 (с, 1Н), 8,14 (с, 1Н), 8,19 (д, J=9,0 Гц, 1Н), 8,56 (с, 1Н).1 H NMR (DMSO-d6 , 400 MHz): δ 3.76-3.79 (m, 2H), 3.97 (s, 3H), 3.99 (s, 3H), 5.10-5 24 (m, 2H), 5.85-5.94 (m, 1H), 7.11 (t, J = 5.4 Hz, 1H), 7.24 (dd, J = 2.7 Hz, 9.0 Hz, 1H), 7.39 (s, 1H), 7.49 (d, J = 2.7 Hz, 1H), 7.55 (s, 1H), 8.14 (s, 1H) 8.19 (d, J = 9.0 Hz, 1H); 8.56 (s, 1H).

Определение молекулярной массы (ESI-MS, m/z): 415 (M++1).Determination of molecular weight (ESI-MS, m / z): 415 (M+ +1).

Пример 81: N-{2-Хлор-4-[(6,7-диметокси-4-хиназолинил)-окси]фенил}-N’-(2-пропинил)мочевинаExample 81: N- {2-Chloro-4 - [(6,7-dimethoxy-4-quinazolinyl) -oxy] phenyl} -N ’- (2-propynyl) urea

2-Хлор-4-[(6,7-диметокси-4-хиназолинил)окси]-анилин (50 мг) растворяют в хлороформе (5 мл) и триэтиламине (1 мл), и затем к раствору добавляют раствор трифосгена (45 мг) в хлороформе. Смесь перемешивают при комнатной температуре в течение 30 мин. Далее к реакционному раствору добавляют гидрохлорид пропаргиламина (21 мг), и смесь перемешивают при комнатной температуре в течение еще 30 мин. Осажденные кристаллы собирают путем фильтрации и промывают, получая 38 мг (выход 61%) указанного в заголовке соединения.2-Chloro-4 - [(6,7-dimethoxy-4-quinazolinyl) oxy] -aniline (50 mg) was dissolved in chloroform (5 ml) and triethylamine (1 ml), and then a solution of triphosgene (45 mg) was added to the solution ) in chloroform. The mixture was stirred at room temperature for 30 minutes. Next, propargylamine hydrochloride (21 mg) was added to the reaction solution, and the mixture was stirred at room temperature for another 30 minutes. Precipitated crystals were collected by filtration and washed to obtain 38 mg (61% yield) of the title compound.

1H ЯМР (DMSO-d6, 400 МГц): δ 3,16-3,17 (м, 1Н), 3,93-3,95 (м, 2Н), 3,97 (с, 3Н), 3,99 (с, 3Н), 7,25 (дд, J=2,7 Гц, 9,0 Гц, 1Н), 7,30 (т, J=5,6 Гц, 1Н), 7,39 (с, 1Н), 7,50 (д, J=2,7 Гц, 1Н), 7,55 (с, 1Н), 8,16 (д, J=9,3 Гц, 1Н), 8,18 (с, 1Н), 8,56 (с, 1Н).1 H NMR (DMSO-d6 , 400 MHz): δ 3.16-3.17 (m, 1H), 3.93-3.95 (m, 2H), 3.97 (s, 3H), 3 99 (s, 3H), 7.25 (dd, J = 2.7 Hz, 9.0 Hz, 1H), 7.30 (t, J = 5.6 Hz, 1H), 7.39 (s , 1H), 7.50 (d, J = 2.7 Hz, 1H), 7.55 (s, 1H), 8.16 (d, J = 9.3 Hz, 1H), 8.18 (s , 1H); 8.56 (s, 1H).

Определение молекулярной массы (ESI-MS, m/z): 413 (M++1).Determination of molecular weight (ESI-MS, m / z): 413 (M+ +1).

Пример 82: N-{2-Хлор-4-[(6,7-диметокси-4-хиназолинил)-окси]фенил}-N’-(2,4-дифторбензил)мочевинаExample 82: N- {2-Chloro-4 - [(6,7-dimethoxy-4-quinazolinyl) -oxy] phenyl} -N ’- (2,4-difluorobenzyl) urea

2-Хлор-4-[(6,7-диметокси-4-хиназолинил)окси]-анилин (50 мг) растворяют в хлороформе (5 мл) и триэтиламине (1 мл), и затем к раствору добавляют раствор трифосгена (45 мг) в хлороформе. Смесь перемешивают при комнатной температуре в течение 30 мин. Далее к реакционному раствору добавляют 2,4-дифторбензиламин (22 мкл), и смесь перемешивают при комнатной температуре в течение еще 30 мин. Осажденные кристаллы собирают путем фильтрации и промывают, получая 48 мг (выход 64%) указанного в заголовке соединения.2-Chloro-4 - [(6,7-dimethoxy-4-quinazolinyl) oxy] -aniline (50 mg) was dissolved in chloroform (5 ml) and triethylamine (1 ml), and then a solution of triphosgene (45 mg) was added to the solution ) in chloroform. The mixture was stirred at room temperature for 30 minutes. Next, 2,4-difluorobenzylamine (22 μl) was added to the reaction solution, and the mixture was stirred at room temperature for another 30 minutes. Precipitated crystals were collected by filtration and washed to obtain 48 mg (64% yield) of the title compound.

1H ЯМР (DMSO-d6, 400 МГц): δ 3,97 (с, 3Н), 3,99 (с, 3Н), 4,33-4,36 (м, 2Н), 7,08-7,12 (м, 1Н), 7,22-7,28 (м, 2Н), 7,39 (с, 1Н), 7,42-7,46 (м, 1Н), 7,49 (д, J=2,7 Гц, 1Н), 7,54 (с, 1Н), 8,18-8,20 (м, 2Н), 8,56 (с, 1Н).1 H NMR (DMSO-d6 , 400 MHz): δ 3.97 (s, 3H), 3.99 (s, 3H), 4.33-4.36 (m, 2H), 7.08-7 12 (m, 1H), 7.22-7.28 (m, 2H), 7.39 (s, 1H), 7.42-7.46 (m, 1H), 7.49 (d, J = 2.7 Hz, 1H), 7.54 (s, 1H), 8.18-8.20 (m, 2H), 8.56 (s, 1H).

Определение молекулярной массы (ESI-MS, m/z): 501 (М++1).Determination of molecular weight (ESI-MS, m / z): 501 (M+ +1).

Пример 83: N-{2-Хлор-4-[(6,7-диметокси-4-хиназолинил)-окси]фенил}-N’-(2-пиридилметил)мочевинаExample 83: N- {2-Chloro-4 - [(6,7-dimethoxy-4-quinazolinyl) -oxy] phenyl} -N ’- (2-pyridylmethyl) urea

2-Хлор-4-[(6,7-диметокси-4-хиназолинил)окси]-анилин (50 мг) растворяют в хлороформе (5 мл) и триэтиламине (1 мл), и затем к раствору добавляют раствор трифосгена (45 мг) в хлороформе. Смесь перемешивают при комнатной температуре в течение 30 мин. Далее к реакционному раствору добавляют 2-(метиламино)пиридин (19 мкл), и смесь перемешивают при 60°С в течение еще одного часа. К реакционному раствору добавляют насыщенный водный раствор гидрокарбоната натрия, и смесь экстрагируют хлороформом. Хлороформный слой сушат над безводным сульфатом натрия. Растворитель удаляют путем перегонки при пониженном давлении. Остаток очищают методом ВЭЖХ, элюируя смесью хлороформ/метанол, получая 26 мг (выход 37%) указанного в заголовке соединения.2-Chloro-4 - [(6,7-dimethoxy-4-quinazolinyl) oxy] -aniline (50 mg) was dissolved in chloroform (5 ml) and triethylamine (1 ml), and then a solution of triphosgene (45 mg) was added to the solution ) in chloroform. The mixture was stirred at room temperature for 30 minutes. Next, 2- (methylamino) pyridine (19 μl) was added to the reaction solution, and the mixture was stirred at 60 ° C. for another hour. A saturated aqueous sodium hydrogen carbonate solution was added to the reaction solution, and the mixture was extracted with chloroform. The chloroform layer was dried over anhydrous sodium sulfate. The solvent was removed by distillation under reduced pressure. The residue was purified by HPLC, eluting with a chloroform / methanol mixture to give 26 mg (37% yield) of the title compound.

1H ЯМР (СDСl3, 400 МГц): δ 3,51 (с, 2Н), 4,07 (с, 3Н), 4,07 (с, 3Н), 7,03-7,10 (м, 2Н), 7,19 (дд, J=2,7 Гц, 9,0 Гц, 1Н), 7,35 (с, 1Н), 7,36 (д, J=2,7 Гц, 1Н), 7,54 (с, 1Н), 7,76-7,81 (м, 1Н), 8,38-8,43 (м, 1Н), 8,56 (д, J=9,0 Гц, 1Н), 8,64 (с, 1H), 13,53 (с, 1Н).1 H NMR (CDCl3 , 400 MHz): δ 3.51 (s, 2H), 4.07 (s, 3H), 4.07 (s, 3H), 7.03-7.10 (m, 2H ), 7.19 (dd, J = 2.7 Hz, 9.0 Hz, 1H), 7.35 (s, 1H), 7.36 (d, J = 2.7 Hz, 1H), 7, 54 (s, 1H), 7.76-7.81 (m, 1H), 8.38-8.43 (m, 1H), 8.56 (d, J = 9.0 Hz, 1H), 8 64 (s, 1H); 13.53 (s, 1H).

Определение молекулярной массы (ESI-MS, m/z): 466 (М++1).Determination of molecular weight (ESI-MS, m / z): 466 (M+ +1).

Пример 85: N-{2-Хлор-4-[(6,7-диметокси-4-хиназолинил)-окси]фенил}-N’-(4-фтopфeнил)мочевинаExample 85: N- {2-Chloro-4 - [(6,7-dimethoxy-4-quinazolinyl) -oxy] phenyl} -N ’- (4-fluorophenyl) urea

2-Хлор-4-1(6,7-диметокси-4-хиназолинил)окси]-анилин (50 мг) растворяют в хлороформе (5 мл), и затем к раствору добавляют п-фторфенилизоцианат (21 мкл). Смесь перемешивают при 60°С в течение одного часа. Осажденные кристаллы собирают путем фильтрации и промывают, получая 57 мг (выход 81%) указанного в заголовке соединения.2-Chloro-4-1 (6,7-dimethoxy-4-quinazolinyl) oxy] -aniline (50 mg) was dissolved in chloroform (5 ml), and then p-fluorophenyl isocyanate (21 μl) was added to the solution. The mixture was stirred at 60 ° C for one hour. Precipitated crystals were collected by filtration and washed to obtain 57 mg (81% yield) of the title compound.

1H ЯМР (DMSO-d6, 400 МГц): δ 3,98 (с, 3Н), 3,99 (с, 3Н), 7,13-7,17 (м, 2Н), 7,30 (дд, J=2,4 Гц, 8,8 Гц, 1H), 7,40 (с, 1H), 7,48-7,51 (м, 2Н), 7,55-7,56 (м, 2Н), 8,21 (д, J=9,0 Гц, 1H), 8,31 (с, 1H), 8,57 (с, 1H).1 H NMR (DMSO-d6 , 400 MHz): δ 3.98 (s, 3H), 3.99 (s, 3H), 7.13-7.17 (m, 2H), 7.30 (dd , J = 2.4 Hz, 8.8 Hz, 1H), 7.40 (s, 1H), 7.48-7.51 (m, 2H), 7.55-7.56 (m, 2H) 8.21 (d, J = 9.0 Hz, 1H); 8.31 (s, 1H); 8.57 (s, 1H).

Определение молекулярной массы (ESI-MS, m/z): 469 (M++1).Determination of molecular weight (ESI-MS, m / z): 469 (M+ +1).

Пример 86: N-{2-Хлор-4-[(6,7-диметокси-4-хиназолинил)-окси]фенил}-N’- (2-метоксифенил)мочевинаExample 86: N- {2-Chloro-4 - [(6,7-dimethoxy-4-quinazolinyl) -oxy] phenyl} -N’- (2-methoxyphenyl) urea

2-Хлор-4-[(6,7-диметокси-4-хиназолинил)окси]-анилин (50 мг) растворяют в хлороформе (5 мл), и затем к раствору добавляют 2-метоксифенилизоцианат (24 мкл). Смесь перемешивают при 60°С в течение одного часа. К реакционному раствору добавляют метанол, и смесь очищают методом ВЭЖХ, элюируя смесью хлороформ/метанол, получая 39 мг (выход 54%) указанного в заголовке соединения.2-Chloro-4 - [(6,7-dimethoxy-4-quinazolinyl) oxy] -aniline (50 mg) was dissolved in chloroform (5 ml), and then 2-methoxyphenyl isocyanate (24 μl) was added to the solution. The mixture was stirred at 60 ° C for one hour. Methanol was added to the reaction solution, and the mixture was purified by HPLC, eluting with a chloroform / methanol mixture to obtain 39 mg (54% yield) of the title compound.

1H ЯМР (DMSO-d6, 400 МГц): δ 3,90 (с, 3Н), 3,98 (с, 3Н), 3,99 (с, 3Н), 6,89-7,05 (м, 3Н), 7,29 (дд, J=2,7 Гц, 9,0 Гц, 1Н), 7,40 (с, 1Н), 7,54 (д, J=2,7 Гц, 1Н), 7,56 (с, 1Н), 8,09-8,16 (м, 2Н), 8,58 (с, 1Н), 8,96-9,02 (м, 2Н).1 H NMR (DMSO-d6 , 400 MHz): δ 3.90 (s, 3H), 3.98 (s, 3H), 3.99 (s, 3H), 6.89-7.05 (m , 3H), 7.29 (dd, J = 2.7 Hz, 9.0 Hz, 1H), 7.40 (s, 1H), 7.54 (d, J = 2.7 Hz, 1H), 7.56 (s, 1H), 8.09-8.16 (m, 2H), 8.58 (s, 1H), 8.96-9.02 (m, 2H).

Определение молекулярной массы (ESI-MS, m/z): 418 (M++1).Determination of molecular weight (ESI-MS, m / z): 418 (M+ +1).

Пример 87: N-{2-Хлор-4-[(6,7-диметокси-4-хиназолинил)-окси]фенил}-N’-(5-хлор-2-пиридил)мочевинаExample 87: N- {2-Chloro-4 - [(6,7-dimethoxy-4-quinazolinyl) -oxy] phenyl} -N ’- (5-chloro-2-pyridyl) urea

2-Хлор-4-[(6,7-диметокси-4-хиназолинил)окси]-анилин (50 мг) растворяют в хлороформе (5 мл) и триэтиламине (1 мл), и затем к раствору добавляют раствор трифосгена (45 мг) в хлороформе. Смесь перемешивают при комнатной температуре в течение 30 мин. Далее к реакционному раствору добавляют 2-амино-5-хлорпиридин (23 мг), и смесь перемешивают при 60°С в течение еще одного часа. К реакционному раствору добавляют насыщенный водный раствор гидрокарбоната натрия, и смесь экстрагируют хлороформом. Хлороформный слой сушат над безводным сульфатом натрия. Растворитель удаляют путем перегонки при пониженном давлении. Остаток очищают методом ВЭЖХ, элюируя смесью хлороформ/метанол, получая 39 мг (выход 53%) указанного в заголовке соединения.2-Chloro-4 - [(6,7-dimethoxy-4-quinazolinyl) oxy] -aniline (50 mg) was dissolved in chloroform (5 ml) and triethylamine (1 ml), and then a solution of triphosgene (45 mg) was added to the solution ) in chloroform. The mixture was stirred at room temperature for 30 minutes. Next, 2-amino-5-chloropyridine (23 mg) was added to the reaction solution, and the mixture was stirred at 60 ° C. for another hour. A saturated aqueous sodium hydrogen carbonate solution was added to the reaction solution, and the mixture was extracted with chloroform. The chloroform layer was dried over anhydrous sodium sulfate. The solvent was removed by distillation under reduced pressure. The residue was purified by HPLC, eluting with a chloroform / methanol mixture to give 39 mg (53% yield) of the title compound.

1H ЯМР (DMSO-d6, 400 МГц): δ 3,98 (с, 3Н), 4,00 (с, 3Н), 7,33 (дд, J=2,7 Гц, 9,3 Гц, 1Н), 7,40 (с, 1Н), 7,43-7,48 (м, 1Н), 7,56 (с, 1Н), 7,60 (д, J=2,7 Гц, 1Н), 7,91 (дд, J=2,7 Гц, 9,0 Гц, 1Н), 8,35 (д, J=8,8 Гц, 1H), 8,40 (д, J=2,4 Гц, 1H), 8,58 (с, 1H), 10,17 (с, 1H).1 H NMR (DMSO-d6 , 400 MHz): δ 3.98 (s, 3H), 4.00 (s, 3H), 7.33 (dd, J = 2.7 Hz, 9.3 Hz, 1H), 7.40 (s, 1H), 7.43-7.48 (m, 1H), 7.56 (s, 1H), 7.60 (d, J = 2.7 Hz, 1H), 7.91 (dd, J = 2.7 Hz, 9.0 Hz, 1H), 8.35 (d, J = 8.8 Hz, 1H), 8.40 (d, J = 2.4 Hz, 1H), 8.58 (s, 1H), 10.17 (s, 1H).

Определение молекулярной массы (ESI-MS, m/z): 486 (M++1).Determination of molecular weight (ESI-MS, m / z): 486 (M+ +1).

Пример 88: N-{4-[(6,7-Диметокси-4-хиназолинил)окси]-2-фторфенил}-N’-пропилмочевинаExample 88: N- {4 - [(6,7-Dimethoxy-4-quinazolinyl) oxy] -2-fluorophenyl} -N’-propylurea

4-[(6,7-Диметокси-4-хиназолинил)окси]-2-фтор-анилин (50 мг) растворяют в хлороформе (3 мл), и триэтиламине (0,3 мл) и затем к раствору добавляют раствор трифосгена (47 мг) в хлороформе. Смесь перемешивают при комнатной температуре в течение 30 мин. Далее к реакционному раствору добавляют пропиламин (20 мкл), и смесь продолжают перемешивать при комнатной температуре в течение ночи. К реакционному раствору добавляют метанол, и смесь очищают методом ВЭЖХ, элюируя смесью хлороформ/метанол, получая 9 мг (выход 14%) указанного в заголовке соединения.4 - [(6,7-Dimethoxy-4-quinazolinyl) oxy] -2-fluoroaniline (50 mg) was dissolved in chloroform (3 ml) and triethylamine (0.3 ml) and then a solution of triphosgene ( 47 mg) in chloroform. The mixture was stirred at room temperature for 30 minutes. Then, propylamine (20 μl) was added to the reaction solution, and the mixture was continued to stir at room temperature overnight. Methanol was added to the reaction solution, and the mixture was purified by HPLC, eluting with a chloroform / methanol mixture to give 9 mg (14% yield) of the title compound.

1H ЯМР (DMSO-d6, 400 МГц): δ 0,90 (т, J=7, 6 Гц, 3Н), 1,43-1,49 (м, 2Н), 3,05-3,10 (м, 2Н), 3,97 (с, 3Н), 3,99 (с, 3Н), 6,61 (т, J=5,6 Гц, 1H), 7,05-7,07 (м, 1Н), 7,27-7,31 (м, 1H), 7,38 (с, 1H), 7,54 (с, 1H), 8,14-8,19 (м, 1H), 8,28-8,29 (м, 1Н), 8,55 (с, 1Н).1 H NMR (DMSO-d6 , 400 MHz): δ 0.90 (t, J = 7.6 Hz, 3H), 1.43-1.49 (m, 2H), 3.05-3.10 (m, 2H), 3.97 (s, 3H), 3.99 (s, 3H), 6.61 (t, J = 5.6 Hz, 1H), 7.05-7.07 (m, 1H), 7.27-7.31 (m, 1H), 7.38 (s, 1H), 7.54 (s, 1H), 8.14-8.19 (m, 1H), 8.28 -8.29 (m, 1H); 8.55 (s, 1H).

Определение молекулярной массы (ESI-MS, m/z): 401 (М++1).Determination of molecular weight (ESI-MS, m / z): 401 (M+ +1).

Пример 89: N-бутил-N’-{4-[(6,7-диметокси-4-хиназолинил)-окси]-2-фторфенил}мочевинаExample 89: N-butyl-N ’- {4 - [(6,7-dimethoxy-4-quinazolinyl) -oxy] -2-fluorophenyl} urea

4-[(6,7-Диметокси-4-хиназолинил)окси]-2-фтор-анилин (50 мг) растворяют в хлороформе (3 мл) и триэтиламине (0,3 мл), и затем к раствору добавляют раствор трифосгена (47 мг) в хлороформе. Смесь перемешивают при комнатной температуре в течение 30 мин. Далее добавляют бутиламин (24 мкл), и смесь продолжают перемешивать при комнатной температуре в течение ночи. К реакционному раствору добавляют метанол, и смесь очищают методом ВЭЖХ, элюируя смесью хлороформ/метанол, получая 25 мг (выход 38%) указанного в заголовке соединения.4 - [(6,7-Dimethoxy-4-quinazolinyl) oxy] -2-fluoroaniline (50 mg) was dissolved in chloroform (3 ml) and triethylamine (0.3 ml), and then a solution of triphosgene ( 47 mg) in chloroform. The mixture was stirred at room temperature for 30 minutes. Butylamine (24 μl) was added and the mixture was continued to stir at room temperature overnight. Methanol was added to the reaction solution, and the mixture was purified by HPLC, eluting with a chloroform / methanol mixture to obtain 25 mg (38% yield) of the title compound.

1H ЯМР (DMSO-d6, 400 МГц): δ 0,91 (т, J=7,3 Гц, 3Н), 1,30-1,47 (м, 4Н), 3,09-3,13 (м, 2Н), 3,97 (с, 3Н), 3,99 (с, 3Н), 6,58 (т, J=5,6 Гц, 1Н), 7,04-7,07 (м, 1Н), 7,28-7,31 (м, 1Н), 7,38 (с, 1Н), 7,54 (с, 1Н), 8,14-8,19 (м, 1Н), 8,26-8,28 (м, 1Н), 8,55 (с, 1Н).1 H NMR (DMSO-d6 , 400 MHz): δ 0.91 (t, J = 7.3 Hz, 3H), 1.30-1.47 (m, 4H), 3.09-3.13 (m, 2H), 3.97 (s, 3H), 3.99 (s, 3H), 6.58 (t, J = 5.6 Hz, 1H), 7.04-7.07 (m, 1H), 7.28-7.31 (m, 1H), 7.38 (s, 1H), 7.54 (s, 1H), 8.14-8.19 (m, 1H), 8.26 -8.28 (m, 1H); 8.55 (s, 1H).

Определение молекулярной массы (ESI-MS, m/z); 415 (М++1).Determination of molecular weight (ESI-MS, m / z); 415 (M+ +1).

Пример 90: N-(втор-Бутил)-N’-{4-[(6,7-диметокси-4-хиназолинил)окси]-2-фторфенил}мочевинаExample 90: N- (sec-Butyl) -N ’- {4 - [(6,7-dimethoxy-4-quinazolinyl) oxy] -2-fluorophenyl} urea

4-[(6,7-Диметокси-4-хиназолинил)окси]-2-фтор-анилин (50 мг) растворяют в хлороформе (3 мл) и триэтиламине (0,3 мл), и затем к раствору добавляют раствор трифосгена (47 мг) в хлороформе. Смесь перемешивают при комнатной температуре в течение 30 мин. Далее к реакционному раствору добавляют втор-бутиламин (25 мкл), и смесь продолжают перемешивать при комнатной температуре в течение ночи. К реакционному раствору добавляют метанол, и смесь очищают методом ВЭЖХ, элюируя смесью хлороформ/метанол, получая 12 мг (выход 18%) указанного в заголовке соединения.4 - [(6,7-Dimethoxy-4-quinazolinyl) oxy] -2-fluoroaniline (50 mg) was dissolved in chloroform (3 ml) and triethylamine (0.3 ml), and then a solution of triphosgene ( 47 mg) in chloroform. The mixture was stirred at room temperature for 30 minutes. Next, sec-butylamine (25 μl) was added to the reaction solution, and the mixture was continued to stir at room temperature overnight. Methanol was added to the reaction solution, and the mixture was purified by HPLC, eluting with a chloroform / methanol mixture to obtain 12 mg (18% yield) of the title compound.

1H ЯМР (DMSO-d6, 400 МГц): δ 0,89 (т, J=7,6 Гц, 3Н), 1,08 (д, J=6,6 Гц, 3Н), 1,39-1,48 (м, 2Н), 3,58-3,64 (м, 1H), 3,97 (с, 3Н), 3,99 (с, 3Н), 6,51 (д, J=7,6 Гц, 1H), 7,04-7,08 (м, 1H), 7,30 (дд, J=2,4 Гц, 11,7 Гц, 1Н), 7,39 (с, 1Н), 7,54 (с, 1Н), 8,16-8,22 (м, 2Н), 8,56 (с, 1Н).1 H NMR (DMSO-d6 , 400 MHz): δ 0.89 (t, J = 7.6 Hz, 3H), 1.08 (d, J = 6.6 Hz, 3H), 1.39- 1.48 (m, 2H), 3.58-3.64 (m, 1H), 3.97 (s, 3H), 3.99 (s, 3H), 6.51 (d, J = 7, 6 Hz, 1H), 7.04-7.08 (m, 1H), 7.30 (dd, J = 2.4 Hz, 11.7 Hz, 1H), 7.39 (s, 1H), 7 54 (s, 1H), 8.16-8.22 (m, 2H), 8.56 (s, 1H).

Определение молекулярной массы (ESI-MS, m/z): 415 (M++1).Determination of molecular weight (ESI-MS, m / z): 415 (M+ +1).

Пример 91: N-Аллил-N’-(4-[(6,7-диметокси-4-хиназолинил)-окси]-2-фторфенил)мочевинаExample 91: N-Allyl-N ’- (4 - [(6,7-dimethoxy-4-quinazolinyl) -oxy] -2-fluorophenyl) urea

4-[(6,7-Диметокси-4-хиназолинил)окси]-2-фтор-анилин (50 мг) растворяют в хлороформе (3 мл) и триэтиламине (0,3 мл), и затем к раствору добавляют раствор трифосгена (47 мг) в хлороформе. Смесь перемешивают при комнатной температуре в течение 30 мин. Далее к реакционному раствору добавляют гидрохлорид аллиламина (30 мг), и смесь продолжают перемешивать при комнатной температуре в течение ночи. К реакционному раствору добавляют метанол, и смесь очищают методом ВЭЖХ, элюируя смесью хлороформ/метанол, получая 18 мг (выход 28%) указанного в заголовке соединения.4 - [(6,7-Dimethoxy-4-quinazolinyl) oxy] -2-fluoroaniline (50 mg) was dissolved in chloroform (3 ml) and triethylamine (0.3 ml), and then a solution of triphosgene ( 47 mg) in chloroform. The mixture was stirred at room temperature for 30 minutes. Then, allylamine hydrochloride (30 mg) was added to the reaction solution, and the mixture was continued to stir at room temperature overnight. Methanol was added to the reaction solution, and the mixture was purified by HPLC, eluting with a chloroform / methanol mixture to obtain 18 mg (28% yield) of the title compound.

1H ЯМР (DMSO-d6, 400 МГц): δ 3,75-3,79 (м, 2Н), 3,97 (с, 3Н), 3,99 (с, 3Н), 5,08-5,22 (м, 2Н), 5,84-5,94 (м, 1Н), 6,72 (т, J=5,9 Гц, 1Н), 7,06-7,08 (м, 1Н), 7,30-7,33 (м, 1Н), 7,39 (с, 1Н), 7,54 (с, 1Н), 8,13-8,18 (м, 1Н), 8,40 (с, 1Н), 8,56 (с, 1Н).1 H NMR (DMSO-d6 , 400 MHz): δ 3.75-3.79 (m, 2H), 3.97 (s, 3H), 3.99 (s, 3H), 5.08-5 22 (m, 2H), 5.84-5.94 (m, 1H), 6.72 (t, J = 5.9 Hz, 1H), 7.06-7.08 (m, 1H), 7.30-7.33 (m, 1H), 7.39 (s, 1H), 7.54 (s, 1H), 8.13-8.18 (m, 1H), 8.40 (s, 1H), 8.56 (s, 1H).

Определение молекулярной массы (ESI-MS, m/z): 399 (М++1).Determination of molecular weight (ESI-MS, m / z): 399 (M+ +1).

Пример 92: N-{4-[(6,7-Диметокси-4-хиназолинил)окси]-2-фторфенил}-N’-(2-пропинил)мочевинаExample 92: N- {4 - [(6,7-Dimethoxy-4-quinazolinyl) oxy] -2-fluorophenyl} -N ’- (2-propynyl) urea

4-[(6,7-Диметокси-4-хиназолинил)окси]-2-фтор-анилин (50 мг) растворяют в хлороформе (3 мл) и триэтиламине (0,3 мл), и затем к раствору добавляют раствор трифосгена (47 мг) в хлороформе. Смесь перемешивают при комнатной температуре в течение 30 мин. Далее к реакционному раствору добавляют гидрохлорид пропаргиламина (29 мг), и смесь продолжают перемешивать при комнатной температуре в течение ночи. К реакционному раствору добавляют насыщенный водный раствор гидрокарбоната натрия, и смесь экстрагируют хлороформом. Хлороформный слой сушат над безводным сульфатом натрия. Растворитель удаляют путем перегонки при пониженном давлении. Остаток промывают хлороформом, получая 21 мг (выход 33%) указанного в заголовке соединения.4 - [(6,7-Dimethoxy-4-quinazolinyl) oxy] -2-fluoroaniline (50 mg) was dissolved in chloroform (3 ml) and triethylamine (0.3 ml), and then a solution of triphosgene ( 47 mg) in chloroform. The mixture was stirred at room temperature for 30 minutes. Next, propargylamine hydrochloride (29 mg) was added to the reaction solution, and the mixture was continued to stir at room temperature overnight. A saturated aqueous sodium hydrogen carbonate solution was added to the reaction solution, and the mixture was extracted with chloroform. The chloroform layer was dried over anhydrous sodium sulfate. The solvent was removed by distillation under reduced pressure. The residue was washed with chloroform to obtain 21 mg (33% yield) of the title compound.

1H ЯМР (DMSO-d6, 400 МГц): δ 3,15 (т, J=2,4 Гц, 1H), 3,91-3,94 (м, 2Н), 3,97 (с, 3Н), 3,99 (с, 3Н), 7,07-7,11 (м, 1Н), 7,33 (дд, J=2,4 Гц, 11,7 Гц, 1Н), 7,39 (с, 1Н), 7,54 (с, 1Н), 8,09-8,15 (м, 1Н), 8,47-8,48 (м, 1Н), 8,56 (с, 1Н).1 H NMR (DMSO-d6 , 400 MHz): δ 3.15 (t, J = 2.4 Hz, 1H), 3.91-3.94 (m, 2H), 3.97 (s, 3H ), 3.99 (s, 3H), 7.07-7.11 (m, 1H), 7.33 (dd, J = 2.4 Hz, 11.7 Hz, 1H), 7.39 (s , 1H), 7.54 (s, 1H), 8.09-8.15 (m, 1H), 8.47-8.48 (m, 1H), 8.56 (s, 1H).

Определение молекулярной массы (ESI-MS, m/z); 397 (M++1).Determination of molecular weight (ESI-MS, m / z); 397 (M+ +1).

Пример 93: N-(2,4-Дифторбензил)-N’-{4-[(6,7-диметокси-4-хиназолинил)окси]-2-фторфенил}мочевинаExample 93: N- (2,4-Difluorobenzyl) -N ’- {4 - [(6,7-dimethoxy-4-quinazolinyl) oxy] -2-fluorophenyl} urea

4-[(6,7-Диметокси-4-хиназолинил)окси]-2-фтор-анилин (50 мг) растворяют в хлороформе (3 мл) и триэтиламине (0,3 мл), и затем к раствору добавляют раствор трифосгена (47 мг) в хлороформе. Смесь перемешивают при комнатной температуре в течение 30 мин. Далее к реакционному раствору добавляют 2,4-дифторбензиламин (28 мкл), и смесь продолжают перемешивать при комнатной температуре в течение ночи. Осажденные кристаллы собирают путем фильтрации и промывают, получая 20 мг (выход 26%) указанного в заголовке соединения.4 - [(6,7-Dimethoxy-4-quinazolinyl) oxy] -2-fluoroaniline (50 mg) was dissolved in chloroform (3 ml) and triethylamine (0.3 ml), and then a solution of triphosgene ( 47 mg) in chloroform. The mixture was stirred at room temperature for 30 minutes. Next, 2,4-difluorobenzylamine (28 μl) was added to the reaction solution, and the mixture was continued to stir at room temperature overnight. Precipitated crystals were collected by filtration and washed to obtain 20 mg (26% yield) of the title compound.

1H ЯМР (DMSO-d6, 400 МГц): δ 3,97 (с, 3Н), 3,99 (с, 3Н), 4,34 (д, J=5,8 Гц, 2Н), 7,07-7,11 (м, 3Н), 7,21-7,27 (м, 1Н), 7,30-7,33 (м, 1Н), 7,39 (с, 1Н), 7,41-7,47 (м, 1Н), 7,54 (с, 1Н), 8,12-8,16 (м, 1Н), 8,46-8,47 (м, 1Н), 8,55 (с, 1Н).1 H NMR (DMSO-d6 , 400 MHz): δ 3.97 (s, 3H), 3.99 (s, 3H), 4.34 (d, J = 5.8 Hz, 2H), 7, 07-7.11 (m, 3H), 7.21-7.27 (m, 1H), 7.30-7.33 (m, 1H), 7.39 (s, 1H), 7.41- 7.47 (m, 1H), 7.54 (s, 1H), 8.12-8.16 (m, 1H), 8.46-8.47 (m, 1H), 8.55 (s, 1H).

Определение молекулярной массы (FD-MS, m/z): 484 (М+).Determination of molecular weight (FD-MS, m / z): 484 (M+ ).

Пример 94: N-(2,4-Дифторфенил)-N’-{4-[(6,7-диметокси-4-хиназолинил)окси]-2-фторфенил}мочевинаExample 94: N- (2,4-Difluorophenyl) -N ’- {4 - [(6,7-dimethoxy-4-quinazolinyl) oxy] -2-fluorophenyl} urea

4-[(6,7-Диметокси-4-хиназолинил)окси]-2-фтор-анилин (50 мг) растворяют в хлороформе (3 мл), и затем к раствору добавляют 2,4-дифторфенилизоцианат (29 мкл). Смесь перемешивают при 60°С в течение ночи. Осажденные кристаллы собирают путем фильтрации и промывают, получая 50 мг (выход 67%) указанного в заголовке соединения.4 - [(6,7-Dimethoxy-4-quinazolinyl) oxy] -2-fluoroaniline (50 mg) was dissolved in chloroform (3 ml), and then 2,4-difluorophenyl isocyanate (29 μl) was added to the solution. The mixture was stirred at 60 ° C. overnight. Precipitated crystals were collected by filtration and washed to obtain 50 mg (67% yield) of the title compound.

1H ЯМР (DMSO-d6, 400 МГц): δ 3,98 (с, 3Н), 3,99 (с, 10 3Н), 7,04-7,08 (м, 1Н), 7,13-7,15 (м, 1Н), 7,29-7,40 (м, ЗН), 7,55 (с, 1H), 8,10-8,23 (м, 2Н), 8,57 (с, 1Н), 8,97-9,04 (м, 2Н).1 H NMR (DMSO-d6 , 400 MHz): δ 3.98 (s, 3H), 3.99 (s, 10 3H), 7.04-7.08 (m, 1H), 7.13- 7.15 (m, 1H), 7.29-7.40 (m, 3H), 7.55 (s, 1H), 8.10-8.23 (m, 2H), 8.57 (s, 1H), 8.97-9.04 (m, 2H).

Определение молекулярной массы (ESI-MS, m/z): 471 (M++1).Determination of molecular weight (ESI-MS, m / z): 471 (M+ +1).

Пример 95: N-{4-[(6,7-Диметокси-4-хиназолинил)окси]-2-фторфенил}-N’-(2-метилфенил)мочевинаExample 95: N- {4 - [(6,7-Dimethoxy-4-quinazolinyl) oxy] -2-fluorophenyl} -N ’- (2-methylphenyl) urea

4-[(6,7-Диметокси-4-хиназолинил)окси]-2-фтор-анилин (50 мг) растворяют в хлороформе (3 мл), и затем к раствору добавляют о-толуилизоцианат (30 мкл). Смесь перемешивают при 60°С в течение ночи. К реакционному раствору добавляют метанол, и смесь очищают методом ВЭЖХ, элюируя смесью хлороформ/метанол, получая 17 мг (выход 24%) указанного в заголовке соединения.4 - [(6,7-Dimethoxy-4-quinazolinyl) oxy] -2-fluoroaniline (50 mg) was dissolved in chloroform (3 ml), and then o-toluyl isocyanate (30 μl) was added to the solution. The mixture was stirred at 60 ° C. overnight. Methanol was added to the reaction solution, and the mixture was purified by HPLC, eluting with a chloroform / methanol mixture to obtain 17 mg (24% yield) of the title compound.

1H ЯМР (DMSO-d6, 400 МГц); δ 2,27 (с, 3Н), 3,98 (с, 3Н), 3,99 (с, 3Н), 6,95-6,98 (м, 1Н), 7,12-7,20 (м, 3Н), 7,36-7,39 (м, 2Н), 7,55 (с, 1Н), 7,86 (д, J=7,8 Гц, 1H), 8,21-8,26 (м, 1H), 8,35 (с, 1H), 8,57 (с, 1H), 9,00-9,02 (м, 1H).1 H NMR (DMSO-d6 , 400 MHz); δ 2.27 (s, 3H), 3.98 (s, 3H), 3.99 (s, 3H), 6.95-6.98 (m, 1H), 7.12-7.20 (m , 3H), 7.36-7.39 (m, 2H), 7.55 (s, 1H), 7.86 (d, J = 7.8 Hz, 1H), 8.21-8.26 ( m, 1H), 8.35 (s, 1H), 8.57 (s, 1H), 9.00-9.02 (m, 1H).

Определение молекулярной массы (ESI-MS, m/z): 449 (M++1).Determination of molecular weight (ESI-MS, m / z): 449 (M+ +1).

Пример 96: N-{4-[(6,7-Диметокси-4-хиназолинил)окси]-2-фторфенил}-N’-(2-метоксифенил)мочевинаExample 96: N- {4 - [(6,7-Dimethoxy-4-quinazolinyl) oxy] -2-fluorophenyl} -N ’- (2-methoxyphenyl) urea

4-[(6,7-Диметокси-4-хиназолинил)окси]-2-фтор-анилин (50 мг) растворяют в хлороформе (3 мл), и затем к раствору добавляют 2-метоксифенилизоцианат (32 мкл). Смесь перемешивают при 60°С в течение ночи. К реакционному раствору добавляют метанол, и смесь очищают методом ВЭЖХ, элюируя смесью хлороформ/метанол, получая 22 мг (выход 30%) указанного в заголовке соединения.4 - [(6,7-Dimethoxy-4-quinazolinyl) oxy] -2-fluoroaniline (50 mg) was dissolved in chloroform (3 ml), and then 2-methoxyphenyl isocyanate (32 μl) was added to the solution. The mixture was stirred at 60 ° C. overnight. Methanol was added to the reaction solution, and the mixture was purified by HPLC, eluting with a chloroform / methanol mixture to obtain 22 mg (30% yield) of the title compound.

1H ЯМР (DMSO-d6, 400 МГц): δ 3,89 (с, 3Н), 3,98 (с, 3Н), 3,99 (с, 3Н), 6,88-7,04 (м, 3Н), 7,11-7,14 (м, 1H), 7,35-7,39 (м, 1H), 7,40 (с, 1H), 7,56 (с, 1H), 8,12-8,15 (м, 1H), 8,19-8,25 (м, 1H), 8,57 (с, 1H), 8,75-8,78 (м, 1Н), 9,26-9,29 (м, 1Н).1 H NMR (DMSO-d6 , 400 MHz): δ 3.89 (s, 3H), 3.98 (s, 3H), 3.99 (s, 3H), 6.88-7.04 (m , 3H), 7.11-7.14 (m, 1H), 7.35-7.39 (m, 1H), 7.40 (s, 1H), 7.56 (s, 1H), 8, 12-8.15 (m, 1H), 8.19-8.25 (m, 1H), 8.57 (s, 1H), 8.75-8.78 (m, 1H), 9.26- 9.29 (m, 1H).

Определение молекулярной массы (ESI-MS, m/z): 465 (M++1).Determination of molecular weight (ESI-MS, m / z): 465 (M+ +1).

Пример 97: N-{4-[(6,7-Диметокси-4-хиназолинил)окси]-3-метилфенил}-N’-пропилмочевинаExample 97: N- {4 - [(6,7-Dimethoxy-4-quinazolinyl) oxy] -3-methylphenyl} -N’-propylurea

4-[(6,7-Диметокси-4-хиназолинил)окси]-3-метил-анилин (50 мг) растворяют в хлороформе (3 мл) и триэтиламине (0,2 мл), и затем к раствору добавляют раствор трифосгена (48 мг) в хлороформе. Смесь перемешивают при комнатной температуре в течение 30 мин. Далее к реакционному раствору добавляют пропиламин (20 мкл), и смесь продолжают перемешивать при комнатной температуре в течение ночи. К реакционному раствору добавляют метанол, и смесь очищают методом ВЭЖХ, элюируя смесью хлороформ/метанол, получая 30 мг (выход 47%) указанного в заголовке соединения.4 - [(6,7-Dimethoxy-4-quinazolinyl) oxy] -3-methyl-aniline (50 mg) was dissolved in chloroform (3 ml) and triethylamine (0.2 ml), and then a solution of triphosgene ( 48 mg) in chloroform. The mixture was stirred at room temperature for 30 minutes. Then, propylamine (20 μl) was added to the reaction solution, and the mixture was continued to stir at room temperature overnight. Methanol was added to the reaction solution, and the mixture was purified by HPLC, eluting with a chloroform / methanol mixture to obtain 30 mg (47% yield) of the title compound.

1H ЯМР (DMSO-d6, 400 МГц): δ 0,89 (т, J=7,5 Гц, 3Н), 1,41-1,50 (м, 2Н), 2,03 (с, 3Н), 3,03-3,08 (м, 2Н), 3,98 (с, 3Н), 3,99 (с, 3Н), 6,13 (т, J=5,4 Гц, 25 1Н), 7,04 (д, J=8,5 Гц, 1Н), 7,28 (дд, J=2,4 Гц, 8,5 Гц, 1Н), 7,36 (д, J=2,4 Гц, 1Н), 7,38 (с, 1Н), 7,58 (с, 1Н), 8,39 (с, 1Н), 8,50 (с, 1Н).1 H NMR (DMSO-d6 , 400 MHz): δ 0.89 (t, J = 7.5 Hz, 3H), 1.41-1.50 (m, 2H), 2.03 (s, 3H ), 3.03-3.08 (m, 2H), 3.98 (s, 3H), 3.99 (s, 3H), 6.13 (t, J = 5.4 Hz, 25 1H), 7.04 (d, J = 8.5 Hz, 1H), 7.28 (dd, J = 2.4 Hz, 8.5 Hz, 1H), 7.36 (d, J = 2.4 Hz, 1H), 7.38 (s, 1H), 7.58 (s, 1H), 8.39 (s, 1H), 8.50 (s, 1H).

Определение молекулярной массы (ESI-MS, m/z): 397 (М++1).Determination of molecular weight (ESI-MS, m / z): 397 (M+ +1).

Пример 98: N-бутил-N’-{4-[(6,7-диметокси-4-хиназолинил)-окси]-3-метилфенил}мочевинаExample 98: N-butyl-N ’- {4 - [(6,7-dimethoxy-4-quinazolinyl) -oxy] -3-methylphenyl} urea

4-[(6,7-Диметокси-4-хиназолинил)окси]-3-метил-анилин (50 мг) растворяют в хлороформе (3 мл) и триэтиламине (0,2 мл), и затем к раствору добавляют раствор трифосгена (48 мг) в хлороформе. Смесь перемешивают при комнатной температуре в течение 30 мин. Далее к реакционному раствору добавляют бутиламин (24 мкл), и смесь продолжают перемешивать при комнатной температуре в течение ночи. К реакционному раствору добавляют метанол, и смесь очищают методом ВЭЖХ, элюируя смесью хлороформ/метанол, получая 31 мг (выход 47%) указанного в заголовке соединения.4 - [(6,7-Dimethoxy-4-quinazolinyl) oxy] -3-methyl-aniline (50 mg) was dissolved in chloroform (3 ml) and triethylamine (0.2 ml), and then a solution of triphosgene ( 48 mg) in chloroform. The mixture was stirred at room temperature for 30 minutes. Then, butylamine (24 μl) was added to the reaction solution, and the mixture was continued to stir at room temperature overnight. Methanol was added to the reaction solution, and the mixture was purified by HPLC, eluting with a chloroform / methanol mixture to obtain 31 mg (47% yield) of the title compound.

1H ЯМР (DMSO-d6, 400 МГц): δ 0,91 (т, J=7,3 Гц, 3Н), 1,29-1,46 (м, 4Н), 2,03 (с, 3Н), 3,07-3,12 (м, 2Н), 3,98 (с, 3Н), 3,99 (с, 3Н), 6,11 (т, J=5,6 Гц, 1Н), 7,05 (д, J=8,8 Гц, 1Н), 7,27 (дд, J=2,3 Гц, 8,5 Гц, 1Н), 7,36 (д, J=2,4 Гц, 1Н), 7,38 (с, 1Н), 7,58 (с, 1Н), 8,39 (с, 1Н), 8,51 (с, 1Н).1 H NMR (DMSO-d6 , 400 MHz): δ 0.91 (t, J = 7.3 Hz, 3H), 1.29-1.46 (m, 4H), 2.03 (s, 3H ), 3.07-3.12 (m, 2H), 3.98 (s, 3H), 3.99 (s, 3H), 6.11 (t, J = 5.6 Hz, 1H), 7 05 (d, J = 8.8 Hz, 1H), 7.27 (dd, J = 2.3 Hz, 8.5 Hz, 1H), 7.36 (d, J = 2.4 Hz, 1H ), 7.38 (s, 1H), 7.58 (s, 1H), 8.39 (s, 1H), 8.51 (s, 1H).

Определение молекулярной массы (ESI-MS, m/z): 411 (M++1).Determination of molecular weight (ESI-MS, m / z): 411 (M+ +1).

Пример 99: N-(2,4-Дифторфенил)-N’-{4-[(6,7-диметокси-4-хиназолинил)окси]-3-метилфенил}мочевинаExample 99: N- (2,4-Difluorophenyl) -N ’- {4 - [(6,7-dimethoxy-4-quinazolinyl) oxy] -3-methylphenyl} urea

4-[(6,7-Диметокси-4-хиназолинил)окси]-3-метил-анилин (50 мг) растворяют в хлороформе (3 мл), и затем к раствору добавляют 2,4-дифторфенилизоцианат (23 мкл). Смесь нагревают с обратным холодильником в течение ночи. Осажденные кристаллы собирают путем фильтрации и промывают, получая 59 мг (выход 79%) указанного в заголовке соединения.4 - [(6,7-Dimethoxy-4-quinazolinyl) oxy] -3-methyl-aniline (50 mg) was dissolved in chloroform (3 ml), and then 2,4-difluorophenyl isocyanate (23 μl) was added to the solution. The mixture was refluxed overnight. Precipitated crystals were collected by filtration and washed to obtain 59 mg (yield 79%) of the title compound.

1H ЯМР (DMSO-d6, 400 МГц): δ 2,07 (с, 3Н), 3,99 (с, 3Н), 3,99 (с, 3Н), 7,03-7,08 (м, 1Н), 7,14 (д, J=8,5 Гц, 1Н), 7,29-7,37 (м, 2Н), 7,39 (с, 1Н), 7,43 (д, J=2,4 Гц, 1Н), 7,60 (с, 1Н), 8,07-8,14 (м, 1Н), 8,52 (с, 1Н), 9,03-9,05 (м, 1Н).1 H NMR (DMSO-d6 , 400 MHz): δ 2.07 (s, 3H), 3.99 (s, 3H), 3.99 (s, 3H), 7.03-7.08 (m , 1H), 7.14 (d, J = 8.5 Hz, 1H), 7.29-7.37 (m, 2H), 7.39 (s, 1H), 7.43 (d, J = 2.4 Hz, 1H), 7.60 (s, 1H), 8.07-8.14 (m, 1H), 8.52 (s, 1H), 9.03-9.05 (m, 1H )

Определение молекулярной массы (ESI-MS, m/z): 467 (M++1).Determination of molecular weight (ESI-MS, m / z): 467 (M+ +1).

Пример 100: N-{4-[(6,7-Диметокси-4-хиназолинил)окси]-3-метилфенил)-N’-(4-фторфенил)мочевинаExample 100: N- {4 - [(6,7-Dimethoxy-4-quinazolinyl) oxy] -3-methylphenyl) -N ’- (4-fluorophenyl) urea

4-[(6,7-Диметокси-4-хиназолинил)окси]-3-метил-анилин (50 мг) растворяют в хлороформе (3 мл), и затем к раствору добавляют п-фторфенилизоцианат (22 мкл). Смесь нагревают с обратным холодильником в течение ночи. Осажденные кристаллы собирают путем фильтрации и промывают, получая 42 мг (выход 58%) указанного в заголовке соединения.4 - [(6,7-Dimethoxy-4-quinazolinyl) oxy] -3-methyl-aniline (50 mg) was dissolved in chloroform (3 ml), and then p-fluorophenyl isocyanate (22 μl) was added to the solution. The mixture was refluxed overnight. Precipitated crystals were collected by filtration and washed to obtain 42 mg (58% yield) of the title compound.

1H ЯМР (DMSO-d6, 400 МГц): δ 2,07 (с, 3Н), 3,98 (с, 3Н), 3,99 (с, 3Н), 7,10-7,14 (м, 3Н), 7,35 (дд, J=2,4 Гц, 8,5 Гц, 1Н), 7,39 (с, 1Н), 7,43 (д, J=2,4 Гц, 1Н), 7,46-7,49 (м, 2Н), 7,59 (с, 1Н), 8,51 (с, 1Н), 8,66 (с, 1Н), 8,70 (с, 1Н).1 H NMR (DMSO-d6 , 400 MHz): δ 2.07 (s, 3H), 3.98 (s, 3H), 3.99 (s, 3H), 7.10-7.14 (m , 3H), 7.35 (dd, J = 2.4 Hz, 8.5 Hz, 1H), 7.39 (s, 1H), 7.43 (d, J = 2.4 Hz, 1H), 7.46-7.49 (m, 2H), 7.59 (s, 1H), 8.51 (s, 1H), 8.66 (s, 1H), 8.70 (s, 1H).

Определение молекулярной массы (ESI-MS, m/z): 449 (М++1).Determination of molecular weight (ESI-MS, m / z): 449 (M+ +1).

Пример 101: N-{4-[(6,7-Диметокси-4-хиназолинил)окси]-3-метилфенил}-N’-(2-метоксифенил)мочевинаExample 101: N- {4 - [(6,7-Dimethoxy-4-quinazolinyl) oxy] -3-methylphenyl} -N ’- (2-methoxyphenyl) urea

4-[(6,7-Диметокси-4-хиназолинил)окси]-3-метил-анилин (50 мг) растворяют в хлороформе (3 мл), и затем к раствору добавляют 2-метоксифенилизоцианат (26 мкл). Смесь нагревают с обратным холодильником в течение ночи. К реакционному раствору добавляют метанол, и смесь очищают методом ВЭЖХ, элюируя смесью хлороформ/метанол, получая 41 мг (выход 55%) указанного в заголовке соединения.4 - [(6,7-Dimethoxy-4-quinazolinyl) oxy] -3-methyl-aniline (50 mg) was dissolved in chloroform (3 ml), and then 2-methoxyphenyl isocyanate (26 μl) was added to the solution. The mixture was refluxed overnight. Methanol was added to the reaction solution, and the mixture was purified by HPLC, eluting with a chloroform / methanol mixture to obtain 41 mg (55% yield) of the title compound.

1H ЯМР (DMSO-d6, 400 МГц): δ 2,07 (с, 3Н), 3,89 (с, 3Н), 3,99 (с, 3Н), 3,99 (с, 3Н), 6,88-6,97 (м, 2Н), 7,01-7,03 (м, 1Н), 7,12 (д, J=8,5 Гц, 1Н), 7,35 (дд, J=2,4 Гц, 8,5 Гц, 1Н), 7,39 (с, 1Н), 7,44 (д, J=2,4 Гц, 1Н), 7,60 (с, 1Н), 8,13-8,15 (м, 1Н), 8,23 (с, 1Н), 8,52 (с, 1Н), 9,33 (с, 1Н).1 H NMR (DMSO-d6 , 400 MHz): δ 2.07 (s, 3H), 3.89 (s, 3H), 3.99 (s, 3H), 3.99 (s, 3H), 6.88-6.97 (m, 2H), 7.01-7.03 (m, 1H), 7.12 (d, J = 8.5 Hz, 1H), 7.35 (dd, J = 2.4 Hz, 8.5 Hz, 1H), 7.39 (s, 1H), 7.44 (d, J = 2.4 Hz, 1H), 7.60 (s, 1H), 8.13 -8.15 (m, 1H), 8.23 (s, 1H), 8.52 (s, 1H), 9.33 (s, 1H).

Определение молекулярной массы (ESI-MS, m/z): 461 (M++1).Determination of molecular weight (ESI-MS, m / z): 461 (M+ +1).

Пример 102: N-{4-[(6,7-Диметокси-4-хиназолинил)окси]-2-метилфенил}-N’-пропилмочевинаExample 102: N- {4 - [(6,7-Dimethoxy-4-quinazolinyl) oxy] -2-methylphenyl} -N’-propylurea

4-[(6,7-Диметокси-4-хиназолинил)окси]-2-метил-анилин (50 мг) растворяют в хлороформе (3 мл) и триэтиламине (0,2 мл), и затем к раствору добавляют раствор трифосгена (48 мг) в хлороформе. Смесь перемешивают при комнатной температуре в течение 30 мин. Далее к реакционному раствору добавляют пропиламин (20 мкл), и смесь продолжают перемешивать при комнатной температуре в течение ночи. К реакционному раствору добавляют метанол, и смесь очищают методом ВЭЖХ, элюируя смесью хлороформ/метанол, получая 30 мг (выход 47%) указанного в заголовке соединения.4 - [(6,7-Dimethoxy-4-quinazolinyl) oxy] -2-methyl-aniline (50 mg) was dissolved in chloroform (3 ml) and triethylamine (0.2 ml), and then a solution of triphosgene ( 48 mg) in chloroform. The mixture was stirred at room temperature for 30 minutes. Then, propylamine (20 μl) was added to the reaction solution, and the mixture was continued to stir at room temperature overnight. Methanol was added to the reaction solution, and the mixture was purified by HPLC, eluting with a chloroform / methanol mixture to obtain 30 mg (47% yield) of the title compound.

1H ЯМР (DMSO-d6, 400 МГц): δ 0,90 (т, J=7,3 Гц, 3Н), 1,42-1,51 (м, 2Н), 2,21 (с, 3Н), 3,04-3,09 (м, 2Н), 3,97 (с, 3Н), 3,99 (с, 3Н), 6,53 (т, J=5,6 Гц, 1Н), 7,02 (дд, J=2,7 Гц, 8,8 Гц, 1Н), 7,08 (д, J=2,7 Гц, 1Н), 7,37 (с, 1Н), 7,54 (с, 1H), 7,65 (с, 1H), 7,85 (д, J=8,8 Гц, 1H), 8,53 (с, 1Н).1 H NMR (DMSO-d6 , 400 MHz): δ 0.90 (t, J = 7.3 Hz, 3H), 1.42-1.51 (m, 2H), 2.21 (s, 3H ), 3.04-3.09 (m, 2H), 3.97 (s, 3H), 3.99 (s, 3H), 6.53 (t, J = 5.6 Hz, 1H), 7 02 (dd, J = 2.7 Hz, 8.8 Hz, 1H), 7.08 (d, J = 2.7 Hz, 1H), 7.37 (s, 1H), 7.54 (s , 1H), 7.65 (s, 1H), 7.85 (d, J = 8.8 Hz, 1H), 8.53 (s, 1H).

Определение молекулярной массы (ESI-MS, m/z): 397 (M++1).Determination of molecular weight (ESI-MS, m / z): 397 (M+ +1).

Пример 103: N-бутил-N’-{4-[(6,7-диметокси-4-хиназолинил)-окси]-2-метилфенил}мочевинаExample 103: N-butyl-N ’- {4 - [(6,7-dimethoxy-4-quinazolinyl) -oxy] -2-methylphenyl} urea

4-[(6,7-Диметокси-4-хиназолинил)окси]-2-метил-анилин (50 мг) растворяют в хлороформе (3 мл) и триэтиламине (0,2 мл), и затем к раствору добавляют раствор трифосгена (48 мг) в хлороформе. Смесь перемешивают при комнатной температуре в течение 30 мин. Далее к реакционному раствору добавляют бутиламин (24 мкл), и смесь продолжают перемешивать при комнатной температуре в течение ночи. К реакционному раствору добавляют метанол, и смесь очищают методом ВЭЖХ, элюируя смесью хлороформ/метанол, получая 37 мг (выход 56%) указанного в заголовке соединения.4 - [(6,7-Dimethoxy-4-quinazolinyl) oxy] -2-methyl-aniline (50 mg) was dissolved in chloroform (3 ml) and triethylamine (0.2 ml), and then a solution of triphosgene ( 48 mg) in chloroform. The mixture was stirred at room temperature for 30 minutes. Then, butylamine (24 μl) was added to the reaction solution, and the mixture was continued to stir at room temperature overnight. Methanol was added to the reaction solution, and the mixture was purified by HPLC, eluting with a chloroform / methanol mixture to obtain 37 mg (56% yield) of the title compound.

1H ЯМР (DMSO-d6, 400 МГц): δ 0,92 (т, J=7,1 Гц, 3Н), 1,31-1,48 (м, 4Н), 2,21 (с, 3Н), 3,08-3,13 (м, 20 2Н), 3,97 (с, 3Н), 3,99 (с, 3Н), 6,50 (т, J=5,4 Гц, 1Н), 7,02 (дд, J=2,7 Гц, 8,8 Гц, 1Н), 7,08 (д, J=2,7 Гц, 1Н), 7,37 (с, 1Н), 7,54 (с, 1Н), 7,64 (с, 1Н), 7,86 (д, J=8,8 Гц, 1H), 8,53 (с, 1Н).1 H NMR (DMSO-d6 , 400 MHz): δ 0.92 (t, J = 7.1 Hz, 3H), 1.31-1.48 (m, 4H), 2.21 (s, 3H ), 3.08-3.13 (m, 20 2H), 3.97 (s, 3H), 3.99 (s, 3H), 6.50 (t, J = 5.4 Hz, 1H), 7.02 (dd, J = 2.7 Hz, 8.8 Hz, 1H), 7.08 (d, J = 2.7 Hz, 1H), 7.37 (s, 1H), 7.54 ( s, 1H), 7.64 (s, 1H), 7.86 (d, J = 8.8 Hz, 1H), 8.53 (s, 1H).

Определение молекулярной массы (ES1-MS, m/z): 411 (M++1).Determination of molecular weight (ES1-MS, m / z): 411 (M+ +1).

Пример 104: N-(2,4-Дифторфенил)-N’-(4-[(6,7-диметокси-4-хиназолинил)окси]-2-метилфенил}мочевинаExample 104: N- (2,4-Difluorophenyl) -N ’- (4 - [(6,7-dimethoxy-4-quinazolinyl) oxy] -2-methylphenyl} urea

4-[(6,7-Диметокси-4-хиназолинил)окси]-2-метил-анилин (50 мг) растворяют в хлороформе (3 мл), и затем к раствору добавляют 2,4-дифторфенилизоцианат (23 мкл). Смесь нагревают с обратным холодильником в течение ночи. Осажденные кристаллы собирают путем фильтрации и промывают, получая указанное в заголовке соединение с количественным выходом.4 - [(6,7-Dimethoxy-4-quinazolinyl) oxy] -2-methyl-aniline (50 mg) was dissolved in chloroform (3 ml), and then 2,4-difluorophenyl isocyanate (23 μl) was added to the solution. The mixture was refluxed overnight. Precipitated crystals were collected by filtration and washed to obtain the title compound in quantitative yield.

1H ЯМР (DMSO-d6, 400 МГц): δ 2,29 (с, 3Н), 3,98 (с, 3Н), 3,99 (с, 3Н), 7,03-7,11 (м, 2Н), 7,16 (д, J=2,7 Гц, 1H), 7,29-7,35 (м, 1H), 7,38 (с, 1H), 7,55 (с, 1H), 7,87-7,90 (м, 1H), 8,13-8,19 (м, 1H), 8,36-8,39 (м, 1Н), 8,55 (с, 1H), 8,92-8,95 (м, 1Н).1 H NMR (DMSO-d6 , 400 MHz): δ 2.29 (s, 3H), 3.98 (s, 3H), 3.99 (s, 3H), 7.03-7.11 (m , 2H), 7.16 (d, J = 2.7 Hz, 1H), 7.29-7.35 (m, 1H), 7.38 (s, 1H), 7.55 (s, 1H) 7.87-7.90 (m, 1H), 8.13-8.19 (m, 1H), 8.36-8.39 (m, 1H), 8.55 (s, 1H), 8 92-8.95 (m, 1H).

Определение молекулярной массы (ESI-MS, m/z): 467 (M++1).Determination of molecular weight (ESI-MS, m / z): 467 (M+ +1).

Пример 105: N-(4-[(6,7-Диметокси-4-хиназолинил)окси]-2-метилфенил}-N’-(4-фторфенил)мочевинаExample 105: N- (4 - [(6,7-Dimethoxy-4-quinazolinyl) oxy] -2-methylphenyl} -N ’- (4-fluorophenyl) urea

4-1(6,7-Диметокси-4-хиназолинил)окси]-2-метил-анилин (50 мг) растворяют в хлороформе (3 мл), и затем к раствору добавляют п-фторфенилизоцианат (22 мкл). Смесь нагревают с обратным холодильником в течение ночи. Осажденные кристаллы собирают путем фильтрации и промывают, получая указанное в заголовке соединение с количественным выходом.4-1 (6,7-Dimethoxy-4-quinazolinyl) oxy] -2-methyl-aniline (50 mg) was dissolved in chloroform (3 ml), and then p-fluorophenylisocyanate (22 μl) was added to the solution. The mixture was refluxed overnight. Precipitated crystals were collected by filtration and washed to obtain the title compound in quantitative yield.

1H ЯМР (DMSO-d6, 400 МГц): δ 2,28 (с, 3Н), 3,98 (с, 3Н), 3,99 (с, 3Н), 7,08-7,15 (м, 4Н), 7,38 (с, 1H), 7,47-7,50 (м, 2Н), 7,55 (с, 1H), 7,84-7,88 (м, 1H), 7,98 (с, 1H), 8,55 (с, 1H), 9,03-9,05 (м, 1H).1 H NMR (DMSO-d6 , 400 MHz): δ 2.28 (s, 3H), 3.98 (s, 3H), 3.99 (s, 3H), 7.08-7.15 (m , 4H), 7.38 (s, 1H), 7.47-7.50 (m, 2H), 7.55 (s, 1H), 7.84-7.88 (m, 1H), 7, 98 (s, 1H), 8.55 (s, 1H), 9.03-9.05 (m, 1H).

Определение молекулярной массы (ESI-MS, m/z): 449 (M++1).Determination of molecular weight (ESI-MS, m / z): 449 (M+ +1).

Пример 106; N-{4-[(6,7-Диметокси-4-хиназолинил)окси]-2-метилфенил}-N’-(2-метоксифенил)мочевинаExample 106; N- {4 - [(6,7-Dimethoxy-4-quinazolinyl) oxy] -2-methylphenyl} -N ’- (2-methoxyphenyl) urea

4-[(6,7-Диметокси-4-хиназолинил)окси]-2-метил-анилин (50 мг) растворяют в хлороформе (3 мл), и затем к раствору добавляют 2-метоксифенилизоцианат (26 мкл). Смесь нагревают с обратным холодильником в течение ночи. Осажденные кристаллы собирают путем фильтрации и промывают, получая 70 мг (выход 95%) указанного в заголовке соединения.4 - [(6,7-Dimethoxy-4-quinazolinyl) oxy] -2-methyl-aniline (50 mg) was dissolved in chloroform (3 ml), and then 2-methoxyphenyl isocyanate (26 μl) was added to the solution. The mixture was refluxed overnight. Precipitated crystals were collected by filtration and washed to obtain 70 mg (95% yield) of the title compound.

1H ЯМР (DMSO-d6, 400 МГц): δ 2,29 (с, 3Н), 3,90 (с, 3Н), 3,98 (с, 3Н), 3,99 (с, 3Н), 6,87-6,97 (м, 2Н), 7,02-7,04 (м, 1Н), 7,08 (дд, J=2,9 Гц, 8,8 Гц, 1Н), 7,14 (д, J=2,7 Гц, 1Н), 7,38 (с, 1Н), 7,55 (с, 1Н), 7,84 (д, J=8,8 Гц, 1Н), 8,13-8,15 (м, 1Н), 8,55 (с, 1Н), 8,58 (с, 1Н), 8,61-8,62 (м, 1Н).1 H NMR (DMSO-d6 , 400 MHz): δ 2.29 (s, 3H), 3.90 (s, 3H), 3.98 (s, 3H), 3.99 (s, 3H), 6.87-6.97 (m, 2H), 7.02-7.04 (m, 1H), 7.08 (dd, J = 2.9 Hz, 8.8 Hz, 1H), 7.14 (d, J = 2.7 Hz, 1H), 7.38 (s, 1H), 7.55 (s, 1H), 7.84 (d, J = 8.8 Hz, 1H), 8.13 -8.15 (m, 1H), 8.55 (s, 1H), 8.58 (s, 1H), 8.61-8.62 (m, 1H).

Определение молекулярной массы (ESI-MS, m/z): 461 (М++1).Determination of molecular weight (ESI-MS, m / z): 461 (M+ +1).

Пример 107: N-{4-[(6,7-Диметокси-4-хиназолинил)окси]-2-нитрофенил}-N’-пропилмочевинаExample 107: N- {4 - [(6,7-Dimethoxy-4-quinazolinyl) oxy] -2-nitrophenyl} -N’-propylurea

4-[(6,7-Диметокси-4-хиназолинил)окси]-2-нитро-анилин (50 мг) растворяют в хлороформе (10 мл) и триэтиламине (0,2 мл), и затем к раствору добавляют раствор трифосгена (43 мг) в хлороформе. Смесь перемешивают при комнатной температуре в течение 30 мин. Далее к реакционному раствору добавляют пропиламин (18 мкл), и смесь продолжают перемешивать при комнатной температуре в течение ночи. К реакционному раствору добавляют метанол, и смесь очищают методом ВЭЖХ, элюируя смесью хлороформ/метанол, получая 24 мг (выход 38%) указанного в заголовке соединения.4 - [(6,7-Dimethoxy-4-quinazolinyl) oxy] -2-nitro-aniline (50 mg) was dissolved in chloroform (10 ml) and triethylamine (0.2 ml), and then a solution of triphosgene ( 43 mg) in chloroform. The mixture was stirred at room temperature for 30 minutes. Then, propylamine (18 μl) was added to the reaction solution, and the mixture was continued to stir at room temperature overnight. Methanol was added to the reaction solution, and the mixture was purified by HPLC, eluting with a chloroform / methanol mixture to obtain 24 mg (38% yield) of the title compound.

1H ЯМР (DMSO-d6, 400 МГц): δ 0,91 (т, J=7,6 Гц, 3Н), 1,45-1,51 (м, 2Н), 3,06-3,09 (м, 2Н), 3,98 (с, 3Н), 4,00 (с, 3Н), 7,40 (с, 1Н), 7,52 (шир, 1Н), 7,58 (с, 1Н), 7,67-7,70 (м, 1Н), 8,04-8,06 (м, 1Н), 8,38-8,41 (м, 1Н), 8,57 (с, 1Н), 9,35 (с, 1Н).1 H NMR (DMSO-d6 , 400 MHz): δ 0.91 (t, J = 7.6 Hz, 3H), 1.45-1.51 (m, 2H), 3.06-3.09 (m, 2H), 3.98 (s, 3H), 4.00 (s, 3H), 7.40 (s, 1H), 7.52 (br, 1H), 7.58 (s, 1H) 7.67-7.70 (m, 1H), 8.04-8.06 (m, 1H), 8.38-8.41 (m, 1H), 8.57 (s, 1H), 9 35 (s, 1H).

Определение молекулярной массы (ESI-MS, m/z): 428 (M++1).Determination of molecular weight (ESI-MS, m / z): 428 (M+ +1).

Пример 108: N-бутил-N’-{4-[(6,7-диметокси-4-хиназолинил)-окси]-2-нитрофенил}мочевинаExample 108: N-butyl-N ’- {4 - [(6,7-dimethoxy-4-quinazolinyl) -oxy] -2-nitrophenyl} urea

4-[(6,7-Диметокси-4-хиназолинил)окси]-2-нитро-анилин (50 мг) растворяют в хлороформе (10 мл) и триэтиламине (0,2 мл), и затем к раствору добавляют раствор трифосгена (43 мг) в хлороформе. Смесь перемешивают при комнатной температуре в течение 30 мин. Далее к реакционному раствору добавляют бутиламин (22 мкл), и смесь продолжают перемешивать при комнатной температуре в течение ночи. К реакционному раствору добавляют метанол, и смесь очищают методом ВЭЖХ, элюируя смесью хлороформ/метанол, получая 15 мг (выход 23%) указанного в заголовке соединения.4 - [(6,7-Dimethoxy-4-quinazolinyl) oxy] -2-nitro-aniline (50 mg) was dissolved in chloroform (10 ml) and triethylamine (0.2 ml), and then a solution of triphosgene ( 43 mg) in chloroform. The mixture was stirred at room temperature for 30 minutes. Then, butylamine (22 μl) was added to the reaction solution, and the mixture was continued to stir at room temperature overnight. Methanol was added to the reaction solution, and the mixture was purified by HPLC, eluting with a chloroform / methanol mixture to obtain 15 mg (23% yield) of the title compound.

1H ЯМР (DMSO-d6, 400 МГц): δ 0,91 (т, J=7,3 Гц, 3Н), 1,30-1,49 (м, 4Н), 3,10-3,15 (м, 2Н), 3,98 (с, 3Н), 4,00 (с, 3Н), 7,40 (с, 1Н), 7,51 (шир, 1Н), 7,57 (с, 1Н), 7,68 (дд, J=2,9 Гц, 9,3 Гц, 1Н), 8,05 (д, J=2,9 Гц, 1Н), 8,40 (д, J=9,2 Гц, 1Н), 8,57 (с, 1Н), 9,35 (с, 1Н).1 H NMR (DMSO-d6 , 400 MHz): δ 0.91 (t, J = 7.3 Hz, 3H), 1.30-1.49 (m, 4H), 3.10-3.15 (m, 2H), 3.98 (s, 3H), 4.00 (s, 3H), 7.40 (s, 1H), 7.51 (br, 1H), 7.57 (s, 1H) 7.68 (dd, J = 2.9 Hz, 9.3 Hz, 1H), 8.05 (d, J = 2.9 Hz, 1H), 8.40 (d, J = 9.2 Hz , 1H), 8.57 (s, 1H), 9.35 (s, 1H).

Определение молекулярной массы (ESI-MS, m/z): 442 (M++1).Determination of molecular weight (ESI-MS, m / z): 442 (M+ +1).

Пример 109: N-{2-Хлор-4-[(6,7-диметокси-4-хиназолинил)-окси]фенил}-N-метоксиметил-N’-пропилмочевинаExample 109: N- {2-Chloro-4 - [(6,7-dimethoxy-4-quinazolinyl) -oxy] phenyl} -N-methoxymethyl-N’-propylurea

N-{2-Хлор-4-[(6,7-диметокси-4-хиназолинил)окси]-фенил}-N’-пропилмочевину (100 мг) растворяют в безводном тетрагидрофуране (30 мл), и к раствору добавляют гидрид натрия (60 масс.%, 88 мг). Смесь перемешивают при комнатной температуре в течение 15 мин. Далее к реакционному раствору добавляют хлорметилметиловый эфир (67 мкл), и смесь перемешивают при комнатной температуре в течение еще 30 мин. Растворитель удаляют путем перегонки при пониженном давлении, и к остатку добавляют воду. Смесь экстрагируют хлороформом. Хлороформный слой сушат над безводным сульфатом натрия. Растворитель удаляют путем перегонки при пониженном давлении. Остаток очищают методом ВЭЖХ, элюируя смесью хлороформ/метанол, получая 18 мг (выход 18%) указанного в заголовке соединения.N- {2-Chloro-4 - [(6,7-dimethoxy-4-quinazolinyl) oxy] phenyl} -N'-propylurea (100 mg) was dissolved in anhydrous tetrahydrofuran (30 ml), and sodium hydride was added to the solution (60 wt.%, 88 mg). The mixture was stirred at room temperature for 15 minutes. Chloromethyl methyl ether (67 μl) was added to the reaction solution, and the mixture was stirred at room temperature for another 30 minutes. The solvent was removed by distillation under reduced pressure, and water was added to the residue. The mixture was extracted with chloroform. The chloroform layer was dried over anhydrous sodium sulfate. The solvent was removed by distillation under reduced pressure. The residue was purified by HPLC, eluting with a chloroform / methanol mixture to obtain 18 mg (18% yield) of the title compound.

1H ЯМР (DMSO-d6, 400 МГц): δ 0,89 (т, J=7,6 Гц, 3Н), 1,46-1,55 (м, 2Н), 3,20 (шир, 2Н), 3,48 (с, 3Н), 4,07 (с, 3Н), 4,08 (с, 3Н), 4,54 (шир, 2Н), 7,29 (дд, J=2,7 Гц, 8,5 Гц, 1Н), 7,37 (с, 1Н), 7,47 (д, J=8,8 Гц, 1Н), 7,50 (с, 1Н), 7,50 (д, J=2,7 Гц, 1Н), 8,66 (с, 1Н).1 H NMR (DMSO-d6 , 400 MHz): δ 0.89 (t, J = 7.6 Hz, 3H), 1.46-1.55 (m, 2H), 3.20 (br, 2H ), 3.48 (s, 3H), 4.07 (s, 3H), 4.08 (s, 3H), 4.54 (broad, 2H), 7.29 (dd, J = 2.7 Hz) , 8.5 Hz, 1H), 7.37 (s, 1H), 7.47 (d, J = 8.8 Hz, 1H), 7.50 (s, 1H), 7.50 (d, J = 2.7 Hz, 1H), 8.66 (s, 1H).

Определение молекулярной массы (ESI-MS, m/z): 461 (М++1).Determination of molecular weight (ESI-MS, m / z): 461 (M+ +1).

Пример 110: N-Ацетил-N-{2-хлор-4-[(6,7-диметокси-4-хиназолинил)окси]фенил}-N’-пропилмочевинаExample 110: N-Acetyl-N- {2-chloro-4 - [(6,7-dimethoxy-4-quinazolinyl) oxy] phenyl} -N’-propylurea

N-{2-Хлор-4-[(6,7-диметокси-4-хиназолинил)окси]-фенил}-N’-пропилмочевину (100 мг) растворяют в безводном тетрагидрофуран (30 мл), и к раствору добавляют гидрид натрия (60 масс.%, 88 мг). Смесь перемешивают при комнатной температуре в течение 15 мин. Далее к реакционному раствору добавляют ацетилхлорид (63 мкл), и смесь перемешивают при комнатной температуре в течение еще 2 ч. Растворитель удаляют путем перегонки при пониженном давлении, и к остатку добавляют воду. Смесь экстрагируют хлороформом. Хлороформный слой сушат над безводным сульфатом натрия. Растворитель удаляют путем перегонки при пониженном давлении. Остаток очищают методом ВЭЖХ, элюируя смесью хлороформом/ацетон, получая 27 мг (выход 26%) указанного в заголовке соединения.N- {2-Chloro-4 - [(6,7-dimethoxy-4-quinazolinyl) oxy] phenyl} -N'-propylurea (100 mg) was dissolved in anhydrous tetrahydrofuran (30 ml), and sodium hydride was added to the solution (60 wt.%, 88 mg). The mixture was stirred at room temperature for 15 minutes. Next, acetyl chloride (63 μl) was added to the reaction solution, and the mixture was stirred at room temperature for another 2 hours. The solvent was removed by distillation under reduced pressure, and water was added to the residue. The mixture was extracted with chloroform. The chloroform layer was dried over anhydrous sodium sulfate. The solvent was removed by distillation under reduced pressure. The residue was purified by HPLC, eluting with a mixture of chloroform / acetone to give 27 mg (26% yield) of the title compound.

1H ЯМР (DMSO-d6, 400 МГц): δ 0,98 (т, J=7,3 Гц, 3Н), 1,59-1,68 (м, 2Н), 2,04 (с, 3Н), 3,27-3,36 (м, 2Н), 4,07 (с, 3Н), 4,08 (с, ЗН), 7,31-7,33 (м, 1Н), 7,35 (с, 1Н), 7,41 (д, J=9,0 Гц, 1Н), 7,50-7,51 (м, 2Н), 8,63 (с, 1Н), 9,08 (шир, 1Н).1 H NMR (DMSO-d6 , 400 MHz): δ 0.98 (t, J = 7.3 Hz, 3H), 1.59-1.68 (m, 2H), 2.04 (s, 3H ), 3.27-3.36 (m, 2H), 4.07 (s, 3H), 4.08 (s, 3H), 7.31-7.33 (m, 1H), 7.35 ( s, 1H), 7.41 (d, J = 9.0 Hz, 1H), 7.50-7.51 (m, 2H), 8.63 (s, 1H), 9.08 (br, 1H )

Определение молекулярной массы (ESI-MS, m/z): 459 (M++1).Determination of molecular weight (ESI-MS, m / z): 459 (M+ +1).

Пример 111: N’-{2-Хлор-4-[(6,7-диметокси-4-хиназолинил)-окси]фенил}-N-метил-N-пропилмочевинаExample 111: N ’- {2-Chloro-4 - [(6,7-dimethoxy-4-quinazolinyl) -oxy] phenyl} -N-methyl-N-propylurea

2-Хлор-4-[(6,7-диметокси-4-хиназолинил)окси]-анилин (56 мг) растворяют в хлороформе (4 мл) и триэтиламине (0,3 мл), и затем к раствору добавляют раствор трифосгена (50 мг) в хлороформе. Смесь перемешивают при комнатной температуре в течение 30 мин. Далее к реакционному раствору добавляют N-метилпропиламин (26 мкл), и смесь перемешивают при комнатной температуре в течение еще одного часа. К реакционному раствору добавляют метанол, и смесь очищают методом ВЭЖХ, элюируя смесью хлороформ/метанол. Растворитель удаляют путем перегонки, и полученные кристаллы промывают гексаном, получая 42 мг (выход 58%) указанного в заголовке соединения.2-Chloro-4 - [(6,7-dimethoxy-4-quinazolinyl) oxy] -aniline (56 mg) was dissolved in chloroform (4 ml) and triethylamine (0.3 ml), and then a solution of triphosgene ( 50 mg) in chloroform. The mixture was stirred at room temperature for 30 minutes. Next, N-methylpropylamine (26 μl) was added to the reaction solution, and the mixture was stirred at room temperature for another hour. Methanol was added to the reaction solution, and the mixture was purified by HPLC, eluting with a chloroform / methanol mixture. The solvent was removed by distillation, and the resulting crystals were washed with hexane, to give 42 mg (58% yield) of the title compound.

1H ЯМР (DMSO-d6, 400 МГц): δ 0,99 (т, J=7,3 Гц, 3Н), 1,64-1,74 (м, 2Н), 3,08 (с, 3Н), 3,34 (т, J=7,6 Гц, 2Н), 4,07 (с, 3Н), 4,08 (с, 3Н), 7,00 (с, 1Н), 7,17 (дд, J=2,7 Гц, 9,3 Гц, 1Н), 7,31 (д, J=2,7 Гц, 1Н), 7,38 (с, 1Н), 7,53 (с, 1Н), 8,41 (д, J=9,0 Гц, 1Н), 8,64 (с, 1Н).1 H NMR (DMSO-d6 , 400 MHz): δ 0.99 (t, J = 7.3 Hz, 3H), 1.64-1.74 (m, 2H), 3.08 (s, 3H) ), 3.34 (t, J = 7.6 Hz, 2H), 4.07 (s, 3H), 4.08 (s, 3H), 7.00 (s, 1H), 7.17 (dd , J = 2.7 Hz, 9.3 Hz, 1H), 7.31 (d, J = 2.7 Hz, 1H), 7.38 (s, 1H), 7.53 (s, 1H), 8.41 (d, J = 9.0 Hz, 1H); 8.64 (s, 1H).

Определение молекулярной массы (ESI-MS, m/z): 431 (M++1).Determination of molecular weight (ESI-MS, m / z): 431 (M+ +1).

Пример 112: N’-{2-Хлор-4-[(6,7-диметокси-4-хиназолинил)-окси]фенил}-N-этил-N-пропилмочевинаExample 112: N ’- {2-Chloro-4 - [(6,7-dimethoxy-4-quinazolinyl) -oxy] phenyl} -N-ethyl-N-propylurea

2-Хлор-4-[(6,7-диметокси-4-хиназолинил)окси]-анилин (80 мг) растворяют в хлороформе (3 мл) и триэтиламине (0,3 мл), и затем к раствору добавляют раствор трифосгена (72 мг) в хлороформе. Смесь перемешивают при комнатной температуре в течение 15 мин. Далее к реакционному раствору добавляют N-этилпропиламин (44 мкл), и смесь перемешивают при комнатной температуре в течение еще 30 мин. К реакционному раствору добавляют метанол, и смесь очищают методом ВЭЖХ, элюируя смесью хлороформ/метанол. Растворитель удаляют путем перегонки. Полученные кристаллы промывают гексаном, получая 40 мг (выход 37%) указанного в заголовке соединения.2-Chloro-4 - [(6,7-dimethoxy-4-quinazolinyl) oxy] -aniline (80 mg) was dissolved in chloroform (3 ml) and triethylamine (0.3 ml), and then a solution of triphosgene ( 72 mg) in chloroform. The mixture was stirred at room temperature for 15 minutes. Next, N-ethylpropylamine (44 μl) was added to the reaction solution, and the mixture was stirred at room temperature for another 30 minutes. Methanol was added to the reaction solution, and the mixture was purified by HPLC, eluting with a chloroform / methanol mixture. The solvent is removed by distillation. The resulting crystals were washed with hexane to give 40 mg (37% yield) of the title compound.

1Н ЯМР (DMSO-d6, 400 МГц): δ 1,00 (т, J=7,3 Гц, 3Н), 1,28 (т, J=7,1 Гц, 3Н), 1,69-1,74 (м, 2Н), 3,32 10 (т, J=7,6 Гц, 2Н), 3,43 (kb, J=7,1 Гц, 2Н), 4,07 (с, 3Н), 4,07 (с, 3Н), 7,02 (с, 1Н), 7,17 (дд, J=2,9 Гц, 9,2 Гц, 1Н), 7,31 (д, J=2,7 Гц, 1Н), 7,36 (с, 1Н), 7,53 (с, 1Н), 8,42 (д, J=9,0 Гц, 1Н), 8,63 (с, 1Н).1 H NMR (DMSO-d6 , 400 MHz): δ 1.00 (t, J = 7.3 Hz, 3H), 1.28 (t, J = 7.1 Hz, 3H), 1.69- 1.74 (m, 2H), 3.32 10 (t, J = 7.6 Hz, 2H), 3.43 (kb, J = 7.1 Hz, 2H), 4.07 (s, 3H) , 4.07 (s, 3H), 7.02 (s, 1H), 7.17 (dd, J = 2.9 Hz, 9.2 Hz, 1H), 7.31 (d, J = 2, 7 Hz, 1H), 7.36 (s, 1H), 7.53 (s, 1H), 8.42 (d, J = 9.0 Hz, 1H), 8.63 (s, 1H).

Определение молекулярной массы (ESI-MS, m/z): 445 (M++1).Determination of molecular weight (ESI-MS, m / z): 445 (M+ +1).

Пример 113: N’-{2-Хлор-4-[(6,7-диметокси-4-хиназолинил)-окси]фенил}-N,N-дипропилмочевинаExample 113: N ’- {2-Chloro-4 - [(6,7-dimethoxy-4-quinazolinyl) -oxy] phenyl} -N, N-dipropylurea

2-Хлор-4-[(6,7-диметокси-4-хиназолинил)окси]-анилин (100 мг) растворяют в хлороформе (3 мл) и триэтиламине (0,3 мл), и затем к раствору добавляют раствор трифосгена (90 мг) в хлороформе. Смесь перемешивают при комнатной температуре в течение 15 мин. Далее к реакционному раствору добавляют дипропиламин (62 мкл), и смесь перемешивают при комнатной температуре в течение еще 30 мин. К реакционному раствору добавляют метанол, и смесь очищают методом ВЭЖХ, элюируя смесью хлороформ/метанол. Растворитель удаляют путем перегонки и полученные кристаллы промывают гексаном, получая 48 мг (выход 35%) указанного в заголовке соединения.2-Chloro-4 - [(6,7-dimethoxy-4-quinazolinyl) oxy] -aniline (100 mg) was dissolved in chloroform (3 ml) and triethylamine (0.3 ml), and then a solution of triphosgene ( 90 mg) in chloroform. The mixture was stirred at room temperature for 15 minutes. Next, dipropylamine (62 μl) was added to the reaction solution, and the mixture was stirred at room temperature for another 30 minutes. Methanol was added to the reaction solution, and the mixture was purified by HPLC, eluting with a chloroform / methanol mixture. The solvent was removed by distillation, and the resulting crystals were washed with hexane to obtain 48 mg (yield 35%) of the title compound.

1H ЯМР (DMSO-d6, 400 МГц): δ 0,99 (т, J=7,3 Гц, 6Н), 1,66-1,76 (м, 4Н), 3,32 (т, J=7,8 Гц, 4Н), 4,07 (с, 3Н), 4,07 (с, 3Н), 7,03 (с, 1Н), 7,16 (дд, J=2,7 Гц, 9,3 Гц, 1Н), 7,31 (д, J=2,7 Гц, 1Н), 7,34 (с, 1Н), 7,52 (с, 1Н), 8,43 (д, J=9,0 Гц, 1Н), 8,63 (с, 1Н).1 H NMR (DMSO-d6 , 400 MHz): δ 0.99 (t, J = 7.3 Hz, 6H), 1.66-1.76 (m, 4H), 3.32 (t, J = 7.8 Hz, 4H), 4.07 (s, 3H), 4.07 (s, 3H), 7.03 (s, 1H), 7.16 (dd, J = 2.7 Hz, 9 , 3 Hz, 1H), 7.31 (d, J = 2.7 Hz, 1H), 7.34 (s, 1H), 7.52 (s, 1H), 8.43 (d, J = 9 , 0 Hz, 1H), 8.63 (s, 1H).

Определение молекулярной массы (ESI-MS, m/z): 459 (М++1).Determination of molecular weight (ESI-MS, m / z): 459 (M+ +1).

Пример 114: N-бутил-N’-{2-хлор-4-[(6,7-диметокси-4-хиназолинил)окси]фенил}-N-метилмочевинаExample 114: N-butyl-N ’- {2-chloro-4 - [(6,7-dimethoxy-4-quinazolinyl) oxy] phenyl} -N-methylurea

2-Хлор-4-[(6,7-диметокси-4-хиназолинил)окси]-анилин (80 мг) растворяют в хлороформе (3 мл) триэтиламине (0,3 мл), и затем к раствору добавляют раствор трифосгена (72 мг) в хлороформе. Смесь перемешивают при комнатной температуре в течение 15 мин. Далее к реакционному раствору добавляют N-метилбутиламин (43 мкл), и смесь перемешивают при комнатной температуре в течение еще 30 мин. К реакционному раствору добавляют метанол, и смесь очищают методом ВЭЖХ, элюируя смесью хлороформ/метанол. Растворитель удаляют путем перегонки, и полученные кристаллы промывают гексаном, получая 26 мг (выход 24%) указанного в заголовке соединения.2-Chloro-4 - [(6,7-dimethoxy-4-quinazolinyl) oxy] -aniline (80 mg) was dissolved in chloroform (3 ml) triethylamine (0.3 ml), and then a solution of triphosgene (72 mg) in chloroform. The mixture was stirred at room temperature for 15 minutes. Next, N-methylbutylamine (43 μl) was added to the reaction solution, and the mixture was stirred at room temperature for another 30 minutes. Methanol was added to the reaction solution, and the mixture was purified by HPLC, eluting with a chloroform / methanol mixture. The solvent was removed by distillation, and the resulting crystals were washed with hexane to obtain 26 mg (24% yield) of the title compound.

1H ЯМР (DMSO-d6, 400 МГц): δ 0,99 (т, J=7,3 Гц, 15 3Н), 1,38-1,43 (м, 2Н), 1,62-1,66 (м, 2Н), 3,07 (с, 3Н), 3,40 (т, J=7,3 Гц, 2Н), 4,07 (с, 3Н), 4,07 (с, 3Н), 7,00 (с, 1Н), 7,17 (дд, J=2,7 Гц, 9,3 Гц, 1Н), 7,31 (д, J=2,7 Гц, 1Н), 7,36 (с, 1Н), 7,53 (с, 1Н), 8,41 (д, J=9,3 Гц, 1Н), 8,63 (с, 1Н).1 H NMR (DMSO-d6 , 400 MHz): δ 0.99 (t, J = 7.3 Hz, 15 3H), 1.38-1.43 (m, 2H), 1.62-1, 66 (m, 2H), 3.07 (s, 3H), 3.40 (t, J = 7.3 Hz, 2H), 4.07 (s, 3H), 4.07 (s, 3H), 7.00 (s, 1H), 7.17 (dd, J = 2.7 Hz, 9.3 Hz, 1H), 7.31 (d, J = 2.7 Hz, 1H), 7.36 ( s, 1H), 7.53 (s, 1H), 8.41 (d, J = 9.3 Hz, 1H), 8.63 (s, 1H).

Определение молекулярной массы (ESI-MS, m/z): 445 (M++1).Determination of molecular weight (ESI-MS, m / z): 445 (M+ +1).

Пример 115: N’-{2-Хлор-4-[(6,7-диметокси-4-хиназолинил)-окси]фенил}-N-(4-хлорфенил)-N-метилмочевинаExample 115: N ’- {2-Chloro-4 - [(6,7-dimethoxy-4-quinazolinyl) -oxy] phenyl} -N- (4-chlorophenyl) -N-methylurea

2-Хлор-4-[(6,7-диметокси-4-хиназолинил)окси]-анилин (80 мг) растворяют в хлороформе (3 мл) и триэтиламине (0,3 мл), и затем к раствору добавляют раствор трифосгена (72 мг) в хлороформе. Смесь перемешивают при комнатной температуре в течение 15 мин. Далее к реакционному раствору добавляют 4-хлор-N-метиланилин (35 мкл), и смесь нагревают с обратным холодильником в течение еще 30 мин. К реакционному раствору добавляют метанол, и смесь очищают методом ВЭЖХ, элюируя смесью хлороформ/метанол, и растворитель удаляют путем перегонки. Полученные кристаллы промывают эфиром, получая 83 мг (выход 69%) указанного в заголовке соединения.2-Chloro-4 - [(6,7-dimethoxy-4-quinazolinyl) oxy] -aniline (80 mg) was dissolved in chloroform (3 ml) and triethylamine (0.3 ml), and then a solution of triphosgene ( 72 mg) in chloroform. The mixture was stirred at room temperature for 15 minutes. Next, 4-chloro-N-methylaniline (35 μl) was added to the reaction solution, and the mixture was heated under reflux for another 30 minutes. Methanol was added to the reaction solution, and the mixture was purified by HPLC, eluting with a chloroform / methanol mixture, and the solvent was removed by distillation. The resulting crystals were washed with ether to obtain 83 mg (69% yield) of the title compound.

1H ЯМР (DMSO-d6, 400 МГц): δ 3,36 (с, 3Н), 4,06 (с, 3Н), 4,07 (с, 3Н), 6,89 (с, 1Н), 7,17 (дд, J=2,7 Гц, 9,0 Гц, 1Н), 7,23 (д, J=2,7 Гц, 1Н), 7,33-7,35 (м, 3Н), 7,48-7,50 (м, 3Н), 8,41 (д, J=9,0 Гц, 1Н), 8,61 (с, 1Н).1 H NMR (DMSO-d6 , 400 MHz): δ 3.36 (s, 3H), 4.06 (s, 3H), 4.07 (s, 3H), 6.89 (s, 1H), 7.17 (dd, J = 2.7 Hz, 9.0 Hz, 1H), 7.23 (d, J = 2.7 Hz, 1H), 7.33-7.35 (m, 3H), 7.48-7.50 (m, 3H), 8.41 (d, J = 9.0 Hz, 1H), 8.61 (s, 1H).

Определение молекулярной массы (ESI-MS, m/z): 499 (M++1).Determination of molecular weight (ESI-MS, m / z): 499 (M+ +1).

Пример 116: N’-{2-Хлор-4-[(6,7-диметокси-4-хиназолинил)-окси]фенил}-N,N-диэтилмочевинаExample 116: N ’- {2-Chloro-4 - [(6,7-dimethoxy-4-quinazolinyl) -oxy] phenyl} -N, N-diethylurea

2-Хлор-4-[(6,7-диметокси-4-хиназолинил)окси]-анилин (50 мг) растворяют в хлороформе (2 мл) и триэтиламине (0,5 мл), и затем к раствору добавляют раствор трифосгена 10 (48 мг) в хлороформе. Смесь перемешивают при комнатной температуре в течение 30 мин. Далее к реакционному раствору добавляют диэтиламин (0,5 мл), и смесь продолжают перемешивать при комнатной температуре в течение ночи. Метанол добавляют к реакционному раствору, и смесь очищают методом ВЭЖХ, элюируя смесью хлороформ/метанол, получая 37 мг (выход 93%) указанного в заголовке соединения.2-Chloro-4 - [(6,7-dimethoxy-4-quinazolinyl) oxy] -aniline (50 mg) was dissolved in chloroform (2 ml) and triethylamine (0.5 ml), and then a solution of triphosgene 10 was added to the solution (48 mg) in chloroform. The mixture was stirred at room temperature for 30 minutes. Then diethylamine (0.5 ml) was added to the reaction solution, and the mixture was continued to stir at room temperature overnight. Methanol was added to the reaction solution, and the mixture was purified by HPLC, eluting with a chloroform / methanol mixture to obtain 37 mg (yield 93%) of the title compound.

1H ЯМР (CDCl3, 400 МГц): δ 1,30 (т, J=7,1 Гц, 6Н), 3,44 (кв, J=7,1 Гц, 4Н), 4,12 (с, 3Н), 4,20 (с, 3Н), 7,16 (дд, J=2,7 Гц, 9,0 Гц, 1Н), 7,27 (с, 1Н), 7,31 (д, J=2,7 Гц, 1Н), 7,59 (с, 1Н), 8,15 (с, 1Н), 8,48 (д, J=9,0 Гц, 1Н), 8,81 (с, 1Н).1 H NMR (CDCl3 , 400 MHz): δ 1.30 (t, J = 7.1 Hz, 6H), 3.44 (q, J = 7.1 Hz, 4H), 4.12 (s, 3H), 4.20 (s, 3H), 7.16 (dd, J = 2.7 Hz, 9.0 Hz, 1H), 7.27 (s, 1H), 7.31 (d, J = 2.7 Hz, 1H), 7.59 (s, 1H), 8.15 (s, 1H), 8.48 (d, J = 9.0 Hz, 1H), 8.81 (s, 1H) .

Определение молекулярной массы (ESI-MS, m/z): 431 (M++1).Determination of molecular weight (ESI-MS, m / z): 431 (M+ +1).

Пример 117: N-{2-Хлор-4-[(6,7-диметокси-4-хиназолинил)-окси]фенил}-N’-метилмочевинаExample 117: N- {2-Chloro-4 - [(6,7-dimethoxy-4-quinazolinyl) -oxy] phenyl} -N’-methylurea

2-Хлор-4-[(6,7-диметокси-4-хиназолинил)окси]-анилин (50 мг) растворяют в хлороформе (2 мл) триэтиламине (0,5 мл), и затем к раствору добавляют раствор трифосгена (48 мг) в хлороформе. Смесь перемешивают при комнатной температуре в течение 30 мин. Далее реакционный раствор охлаждают до -78°С, и к охлажденному реакционному раствору добавляют гидрохлорид метиламина (130 мг). Температура смеси спонтанно повышается, и смесь продолжают перемешивать при комнатной температуре в течение ночи. К реакционному раствору добавляют метанол, и смесь очищают методом ВЭЖХ, элюируя смесью хлороформ/метанол, получая 41 мг (выход 70%) указанного в заголовке соединения.2-Chloro-4 - [(6,7-dimethoxy-4-quinazolinyl) oxy] -aniline (50 mg) was dissolved in chloroform (2 ml) triethylamine (0.5 ml), and then a solution of triphosgene (48 mg) in chloroform. The mixture was stirred at room temperature for 30 minutes. Next, the reaction solution was cooled to -78 ° C, and methylamine hydrochloride (130 mg) was added to the cooled reaction solution. The temperature of the mixture rises spontaneously, and the mixture continues to stir at room temperature overnight. Methanol was added to the reaction solution, and the mixture was purified by HPLC, eluting with a chloroform / methanol mixture to obtain 41 mg (70% yield) of the title compound.

1H ЯМР (СDСl3, 400 МГц): δ 2,68 (д, J=4,4 Гц, 3Н), 3,97 (с, 3Н), 3,99 (с, 3Н), 6,86-6,88 (га, 1Н), 7,21 (дд, J=2,7 Гц, 9,0 Гц, 1Н), 7,37 (с, 1Н), 7,43 (д, J=2,7 Гц, 1Н), 7,53 (с, 1Н), 8,07 (с, 1Н), 8,17 (д, J=9, 0 Гц, 1Н), 8,54 (с, 1Н).1 H NMR (CDCl3 , 400 MHz): δ 2.68 (d, J = 4.4 Hz, 3H), 3.97 (s, 3H), 3.99 (s, 3H), 6.86- 6.88 (ha, 1H), 7.21 (dd, J = 2.7 Hz, 9.0 Hz, 1H), 7.37 (s, 1H), 7.43 (d, J = 2.7 Hz, 1H), 7.53 (s, 1H), 8.07 (s, 1H), 8.17 (d, J = 9.0 Hz, 1H), 8.54 (s, 1H).

Определение молекулярной массы (ESI-MS, m/z): 389 (M++1).Determination of molecular weight (ESI-MS, m / z): 389 (M+ +1).

Пример 118: N’-{2-Хлор-4-[(6,7-диметокси-4-хиназолинил)-окси]фенил}-N,N-диметилмочевинаExample 118: N ’- {2-Chloro-4 - [(6,7-dimethoxy-4-quinazolinyl) -oxy] phenyl} -N, N-dimethylurea

2-Хлор-4-[(6,7-диметокси-4-хиназолинил)окси]-анилин (50 мг) растворяют в хлороформе (2 мл) и триэтиламине (0,5 мл), и затем к раствору добавляют раствор трифосгена (48 мг) в хлороформе. Смесь перемешивают при комнатной температуре в течение 30 мин. Далее реакционный раствор охлаждают до -78°С, и к охлажденному реакционному раствору добавляют гидрохлорид диметиламина (250 мг). Температура смеси спонтанно повышается, и смесь продолжают перемешивать при комнатной температуре в течение ночи. К реакционному раствору добавляют метанол, и смесь очищают методом ВЭЖХ, элюируя смесью хлороформ/метанол, получая 33 мг (выход 53%) указанного в заголовке соединения.2-Chloro-4 - [(6,7-dimethoxy-4-quinazolinyl) oxy] -aniline (50 mg) was dissolved in chloroform (2 ml) and triethylamine (0.5 ml), and then a solution of triphosgene ( 48 mg) in chloroform. The mixture was stirred at room temperature for 30 minutes. The reaction solution was then cooled to −78 ° C., and dimethylamine hydrochloride (250 mg) was added to the cooled reaction solution. The temperature of the mixture rises spontaneously, and the mixture continues to stir at room temperature overnight. Methanol was added to the reaction solution, and the mixture was purified by HPLC, eluting with a chloroform / methanol mixture to obtain 33 mg (53% yield) of the title compound.

1H ЯМР (СDСl3, 400 МГц): δ 3,11 (с, 6Н), 4,12 (с, 3Н), 4,20 (с, 3Н), 7,05 (с, 1Н), 7,17 (дд, J=2,4 Гц, 9,3 Гц, 1Н), 7,31 (д, J=2,4 Гц, 1Н), 7,59 (с, 1Н), 8,15 (с, 1Н), 8,46 (д, J=9,3 Гц, 1Н), 8,82 (с, 1Н).1 H NMR (CDCl3 , 400 MHz): δ 3.11 (s, 6H), 4.12 (s, 3H), 4.20 (s, 3H), 7.05 (s, 1H), 7, 17 (dd, J = 2.4 Hz, 9.3 Hz, 1H), 7.31 (d, J = 2.4 Hz, 1H), 7.59 (s, 1H), 8.15 (s, 1H), 8.46 (d, J = 9.3 Hz, 1H), 8.82 (s, 1H).

Определение молекулярной массы (ESI-MS, m/z): 403 (М++1).Determination of molecular weight (ESI-MS, m / z): 403 (M+ +1).

Пример 119: N-(2-Хлор-4-{[6-метокси-7-(3-морфолинопропокси)-4-хиназолинил]окси}фенил)-N’-пропилмочевинаExample 119: N- (2-Chloro-4 - {[6-methoxy-7- (3-morpholinopropoxy) -4-quinazolinyl] oxy} phenyl) -N’-propylurea

N-{2-Хлор-4-[(7-гидрокси-6-метокси-4-хиназолинил)окси]фенил}-N’-пропилмочевину (75 мг), карбонат калия (51 мг) и 1,3-дибромпропан (76 мкл) растворяют в N,N-диметилформамиде (4 мл), и раствор перемешивают при комнатной температуре в течение 3 ч. Растворитель удаляют путем перегонки при пониженном давлении. К остатку добавляют воду, и смесь экстрагируют хлороформом. Органический слой сушат над безводным сульфатом натрия. Растворитель удаляют путем перегонки при пониженном давлении. Остаток промывают эфиром, получая 74 мг (выход 78%) N-(4-{[7-(3-бромпропокси)-6-метокси-4-хиназолинил]-окси}-2-хлорфенил)-N’-пропилмочевину в качестве промежуточного соединения.N- {2-Chloro-4 - [(7-hydroxy-6-methoxy-4-quinazolinyl) oxy] phenyl} -N'-propylurea (75 mg), potassium carbonate (51 mg) and 1,3-dibromopropane ( 76 μl) was dissolved in N, N-dimethylformamide (4 ml), and the solution was stirred at room temperature for 3 hours. The solvent was removed by distillation under reduced pressure. Water was added to the residue, and the mixture was extracted with chloroform. The organic layer was dried over anhydrous sodium sulfate. The solvent was removed by distillation under reduced pressure. The residue was washed with ether to give 74 mg (78% yield) of N- (4 - {[7- (3-bromopropoxy) -6-methoxy-4-quinazolinyl] -oxy} -2-chlorophenyl) -N'-propylurea as intermediate compound.

Промежуточное соединение (74 мг), карбонат калия (51 мг) и морфолин (130 мкл) растворяют в N,N-диметилформамиде (4 мл), и раствор перемешивают при комнатной температуре в течение ночи. Растворитель удаляют путем перегонки при пониженном давлении. К остатку добавляют насыщенный водный раствор гидрокарбоната натрия, и смесь экстрагируют хлороформом. Органический слой сушат над безводным сульфатом натрия. Растворитель удаляют путем перегонки при пониженном давлении. Остаток очищают методом хроматографии на силикагеле, элюируя смесью хлороформ/метанол, получая 49 мг (выход 63%) указанного в заголовке соединения.The intermediate (74 mg), potassium carbonate (51 mg) and morpholine (130 μl) were dissolved in N, N-dimethylformamide (4 ml), and the solution was stirred at room temperature overnight. The solvent was removed by distillation under reduced pressure. A saturated aqueous sodium hydrogen carbonate solution was added to the residue, and the mixture was extracted with chloroform. The organic layer was dried over anhydrous sodium sulfate. The solvent was removed by distillation under reduced pressure. The residue was purified by silica gel chromatography, eluting with a chloroform / methanol mixture, to give 49 mg (63% yield) of the title compound.

1H ЯМР (CDCl3, 400 МГц): δ 0,89 (т, J=7,44 Гц, 3Н), 1,41-1,50 (м, 2Н), 1,97 (т, J=6,83 Гц, 1Н), 2,33-2,49 (м, 4Н), 3,04-3,09 (м, 2Н), 3,32-3,38 (м, 4Н), 3,52-3,68 (м, 3Н), 4,03 (с, 3Н), 4,23-4,29 (м, 1Н), 4,32 (т, J=5,89 Гц, 1Н), 6,98 (т, J=5,49 Гц, 1Н), 7,21 (дд, J=2,68, 9,03 Гц, 1Н), 7,36 (с, 1Н), 7,46 (д, J=2,68 Гц, 1Н), 7,53 (д, J=7,81 Гц, 1Н), 8,03 (с, 1Н), 8,18 (д, J=9,27 Гц, 1H), 8,54 (д, J=4,39 Гц, 1Н).1 H NMR (CDCl3 , 400 MHz): δ 0.89 (t, J = 7.44 Hz, 3H), 1.41-1.50 (m, 2H), 1.97 (t, J = 6 , 83 Hz, 1H), 2.33-2.49 (m, 4H), 3.04-3.09 (m, 2H), 3.32-3.38 (m, 4H), 3.52- 3.68 (m, 3H), 4.03 (s, 3H), 4.23-4.29 (m, 1H), 4.32 (t, J = 5.89 Hz, 1H), 6.98 (t, J = 5.49 Hz, 1H), 7.21 (dd, J = 2.68, 9.03 Hz, 1H), 7.36 (s, 1H), 7.46 (d, J = 2.68 Hz, 1H), 7.53 (d, J = 7.81 Hz, 1H), 8.03 (s, 1H), 8.18 (d, J = 9.27 Hz, 1H), 8 54 (d, J = 4.39 Hz, 1H).

Определение молекулярной массы (ESI-MS, m/z): 529 (М+).Determination of molecular weight (ESI-MS, m / z): 529 (M+ ).

Пример 120: N-(2-Хлор-4-{[6-метокси-7-(2-морфолиноэтокси)-4-хиназолинил]окси}фенил)-N’-пропилмочевинаExample 120: N- (2-Chloro-4 - {[6-methoxy-7- (2-morpholinoethoxy) -4-quinazolinyl] oxy} phenyl) -N’-propylurea

N-{2-Хлор-4-[(7-гидрокси-6-метокси-4-хиназолинил)окси]-фенил}-N’-пропилмочевину (72 мг), карбонат калия (30 мг) и 1,2-дибромэтан (62 мкл) растворяют в N,N-диметилформамиде (4 мл), и раствор перемешивают при комнатной температуре в течение 3 ч. Растворитель удаляют путем перегонки при пониженном давлении. К остатку добавляют воду, и смесь экстрагируют хлороформом. Органический слой сушат над безводным сульфатом натрия. Растворитель удаляют путем перегонки при пониженном давлении. Остаток промывают эфиром, получая 40 мг (выход 45%) N-(4-{[7-(2-бромэтокси)-6-метокси-4-хиназолинил]-окси}-2-хлорфенил)-N’-пропилмочевину в качестве промежуточного соединения.N- {2-Chloro-4 - [(7-hydroxy-6-methoxy-4-quinazolinyl) oxy] phenyl} -N'-propylurea (72 mg), potassium carbonate (30 mg) and 1,2-dibromethane (62 μl) was dissolved in N, N-dimethylformamide (4 ml), and the solution was stirred at room temperature for 3 hours. The solvent was removed by distillation under reduced pressure. Water was added to the residue, and the mixture was extracted with chloroform. The organic layer was dried over anhydrous sodium sulfate. The solvent was removed by distillation under reduced pressure. The residue was washed with ether to give 40 mg (yield 45%) of N- (4 - {[7- (2-bromoethoxy) -6-methoxy-4-quinazolinyl] -oxy} -2-chlorophenyl) -N'-propylurea as intermediate compound.

Промежуточное соединение (45 мг), карбонат калия (30 мг) и морфолин (80 мкл) растворяют в N,N-диметилформамиде (2 мл), и раствор перемешивают при комнатной температуре в течение ночи. Растворитель удаляют путем перегонки при пониженном давлении. К остатку добавляют насыщенный водный раствор гидрокарбоната натрия, и смесь экстрагируют хлороформом. Органический слой сушат над безводным сульфатом натрия, и растворитель удаляют путем перегонки при пониженном давлении. Остаток очищают методом хроматографии на силикагеле, элюируя смесью хлороформ/метанол, получая 42 мг (выход 56%) указанного в заголовке соединения.The intermediate (45 mg), potassium carbonate (30 mg) and morpholine (80 μl) were dissolved in N, N-dimethylformamide (2 ml), and the solution was stirred at room temperature overnight. The solvent was removed by distillation under reduced pressure. A saturated aqueous sodium hydrogen carbonate solution was added to the residue, and the mixture was extracted with chloroform. The organic layer was dried over anhydrous sodium sulfate, and the solvent was removed by distillation under reduced pressure. The residue was purified by silica gel chromatography, eluting with a chloroform / methanol mixture, to give 42 mg (56% yield) of the title compound.

1H ЯМР (CDCl3, 400 МГц): δ 0,89 (т, J=7,32 Гц, 3Н), 1,43-1,49 (м, 2Н), 2,32-2,38 (м, 2Н), 2,66 (шир, 1Н), 2,79 (т, J=5,86 Гц, 1Н), 3,04-3,09 (м, 2Н), 3,29-3,36 (м, 4Н), 3,53 (м, 1Н), 3,57-3,59 (м, 2Н), 3,96 (с, 3Н), 4,31 (т, J=5,85 Гц, 1Н), 6,98 (м, 1Н), 7,21-7,23 (м, 1Н), 7,41 (с, 1Н), 7,46-7,47 (м, 1Н), 7,55 (д, J=12,69 Гц, 1Н), 8,03 (с, 1Н), 8,19 (д, J=9,27 Гц, 1Н), 8,55 (д, J=5,37 Гц, 1Н).1 H NMR (CDCl3 , 400 MHz): δ 0.89 (t, J = 7.32 Hz, 3H), 1.43-1.49 (m, 2H), 2.32-2.38 (m , 2H), 2.66 (broad, 1H), 2.79 (t, J = 5.86 Hz, 1H), 3.04-3.09 (m, 2H), 3.29-3.36 ( m, 4H), 3.53 (m, 1H), 3.57-3.59 (m, 2H), 3.96 (s, 3H), 4.31 (t, J = 5.85 Hz, 1H ), 6.98 (m, 1H), 7.21-7.23 (m, 1H), 7.41 (s, 1H), 7.46-7.47 (m, 1H), 7.55 ( d, J = 12.69 Hz, 1H), 8.03 (s, 1H), 8.19 (d, J = 9.27 Hz, 1H), 8.55 (d, J = 5.37 Hz, 1H).

Определение молекулярной массы (ESI-MS, m/z): 517 (M++1).Determination of molecular weight (ESI-MS, m / z): 517 (M+ +1).

Пример 121: N-(2-Хлор-4-{[7-(3-гидроксипропокси)-6-метокси-4-хиназолинил]окси}фенил)-N’-пропилмочевинаExample 121: N- (2-Chloro-4 - {[7- (3-hydroxypropoxy) -6-methoxy-4-quinazolinyl] oxy} phenyl) -N’-propylurea

N-{2-Хлор-4-[(7-гидрокси-6-метокси-4-хиназолинил)окси]фенил}-N’-пропилмочевину (55 мг), карбонат калия (20 мг) и 3-бром-1-пропанол (62 мкл) растворяют в N,N-диметилформамиде (4 мл), и раствор перемешивают при комнатной температуре в течение 3 ч. Растворитель удаляют путем перегонки при пониженном давлении. К остатку добавляют воду, и смесь экстрагируют хлороформом. Органический слой сушат над безводным сульфатом натрия, и растворитель удаляют путем перегонки при пониженном давлении. Остаток очищают методом хроматографии на силикагеле, элюируя смесью хлороформ/метанол, получая 25 мг (выход 40%) указанного в заголовке соединения.N- {2-Chloro-4 - [(7-hydroxy-6-methoxy-4-quinazolinyl) oxy] phenyl} -N'-propylurea (55 mg), potassium carbonate (20 mg) and 3-bromo-1- propanol (62 μl) was dissolved in N, N-dimethylformamide (4 ml), and the solution was stirred at room temperature for 3 hours. The solvent was removed by distillation under reduced pressure. Water was added to the residue, and the mixture was extracted with chloroform. The organic layer was dried over anhydrous sodium sulfate, and the solvent was removed by distillation under reduced pressure. The residue was purified by silica gel chromatography, eluting with a chloroform / methanol mixture, to give 25 mg (yield 40%) of the title compound.

1H ЯМР (СDСl3, 400 МГц): δ 0,91 (т, J=7,44 Гц, 3Н), 1,24 (шир, 1Н), 1,43-1,52 (м, 2Н), 1,97 (т, J=6,22 Гц, 2Н), 3,06-3,11 (м, 2Н), 3,56-3,71 (м, 2Н), 3,97 (с, 3Н), 4,27 (м, 2Н), 6,99 (т, J=5,62 Гц, 1Н), 7,23 (дд, J=2,68, 9,03 Гц, 1Н), 7,38 (д, J=9,03 Гц, 1Н), 7,47 (д, J=2,68 Гц, 1Н), 7,54 (с, 1Н), 8,05 (с, 1Н), 8,20 (д, J=9,03 Гц, 1Н), 8,55 (с, 1Н).1 H NMR (CDCl3 , 400 MHz): δ 0.91 (t, J = 7.44 Hz, 3H), 1.24 (broad, 1H), 1.43-1.52 (m, 2H), 1.97 (t, J = 6.22 Hz, 2H), 3.06-3.11 (m, 2H), 3.56-3.71 (m, 2H), 3.97 (s, 3H) 4.27 (m, 2H), 6.99 (t, J = 5.62 Hz, 1H), 7.23 (dd, J = 2.68, 9.03 Hz, 1H), 7.38 ( d, J = 9.03 Hz, 1H), 7.47 (d, J = 2.68 Hz, 1H), 7.54 (s, 1H), 8.05 (s, 1H), 8.20 ( d, J = 9.03 Hz, 1H), 8.55 (s, 1H).

Определение молекулярной массы (ESI-MS, m/z): 461 (M++1).Determination of molecular weight (ESI-MS, m / z): 461 (M+ +1).

Пример 122: N-(2-Хлор-4-{[7-(2-гидроксиэтокси)-6-метокси-4-хиназолинил]окси}фенил)-N’-пропилмочевинаExample 122: N- (2-Chloro-4 - {[7- (2-hydroxyethoxy) -6-methoxy-4-quinazolinyl] oxy} phenyl) -N’-propylurea

N-{2-Хлор-4-[(7-гидрокси-6-метокси-4-хиназолинил)окси]-фенил}-N’-пропилмочевину (50 мг), карбонат калия (30 мг) и этиленбромгидрин (44 мкл) растворяют в N,N-диметилформамиде (4 мл), и раствор перемешивают при комнатной температуре в течение 3 ч. Растворитель удаляют путем перегонки при пониженном давлении. К остатку добавляют воду, и смесь экстрагируют хлороформом. Органический слой сушат над безводным сульфатом натрия. Растворитель удаляют путем перегонки при пониженном давлении. Остаток очищают методом хроматографии на силикагеле, элюируя смесью хлороформ/метанол, получая 12 мг (выход 22%) указанного в заголовке соединения.N- {2-Chloro-4 - [(7-hydroxy-6-methoxy-4-quinazolinyl) oxy] phenyl} -N'-propylurea (50 mg), potassium carbonate (30 mg) and ethylene bromohydrin (44 μl) dissolved in N, N-dimethylformamide (4 ml), and the solution was stirred at room temperature for 3 hours. The solvent was removed by distillation under reduced pressure. Water was added to the residue, and the mixture was extracted with chloroform. The organic layer was dried over anhydrous sodium sulfate. The solvent was removed by distillation under reduced pressure. The residue was purified by silica gel chromatography, eluting with a chloroform / methanol mixture, to give 12 mg (22% yield) of the title compound.

1H ЯМР (CDCl3, 400 МГц): δ 0,91 (т, J=7,44 Гц, 3Н), 1,42-1,49 (м, 2Н), 3,06-3,11 (м, 2Н), 3,80-3,83 (м, 2Н), 3,98 (с, 3Н), 4,22 (т, J=4,64 Гц, 2Н), 4,98 (т, J 35=5,37 Гц, 1Н), 6,99 (т, J=5,37 Гц, 1Н), 7,33 (дд, J=2,69 Гц, 9,03 Гц, 1Н), 7,39 (с, 1Н), 7,48 (д, J=2,68 Гц, 1Н), 7,55 (с, 1Н), 8,05 (с, 1Н), 8,19 (д, J=9,27 Гц, 1Н), 8,55 (с, 1Н).1 H NMR (CDCl3 , 400 MHz): δ 0.91 (t, J = 7.44 Hz, 3H), 1.42-1.49 (m, 2H), 3.06-3.11 (m , 2H), 3.80-3.83 (m, 2H), 3.98 (s, 3H), 4.22 (t, J = 4.64 Hz, 2H), 4.98 (t, J 35 = 5.37 Hz, 1H), 6.99 (t, J = 5.37 Hz, 1H), 7.33 (dd, J = 2.69 Hz, 9.03 Hz, 1H), 7.39 ( s, 1H), 7.48 (d, J = 2.68 Hz, 1H), 7.55 (s, 1H), 8.05 (s, 1H), 8.19 (d, J = 9.27 Hz, 1H), 8.55 (s, 1H).

Определение молекулярной массы (ESI-MS, m/z): 447 (M++1).Determination of molecular weight (ESI-MS, m / z): 447 (M+ +1).

Пример 123: N-(2-Хлор-4-{[6-метокси-7-(4-пиридилметокси)-4-хиназолинил]окси}фенил)-N’-пропилмочевинаExample 123: N- (2-Chloro-4 - {[6-methoxy-7- (4-pyridylmethoxy) -4-quinazolinyl] oxy} phenyl) -N’-propylurea

Исходное соединение (N-{2-хлор-4-[(7-гидрокси-6-метокси-4-хиназолинил)окси]фенил}-N’-пропилмочевина, 80 мг), карбонат калия (138 мг) и гидрохлорид 4-хлорметилпиридина (41 мг) растворяют в N,N-диметилформамиде (1 мл), и раствор перемешивают при 80°С в течение 3 ч. К реакционной смеси добавляют воду, после чего экстрагируют смесью смесью хлороформ-пропанол (3/1). Органический слой сушат над безводным сульфатом натрия и растворитель удаляют путем перегонки при пониженном давлении. Остаток очищают методом ВЭЖХ, получая 65 мг (выход 66%) указанного в заголовке соединения.Starting compound (N- {2-chloro-4 - [(7-hydroxy-6-methoxy-4-quinazolinyl) oxy] phenyl} -N'-propylurea, 80 mg), potassium carbonate (138 mg) and 4- hydrochloride chloromethylpyridine (41 mg) was dissolved in N, N-dimethylformamide (1 ml), and the solution was stirred at 80 ° C for 3 hours. Water was added to the reaction mixture, followed by extraction with chloroform-propanol (3/1). The organic layer was dried over anhydrous sodium sulfate, and the solvent was removed by distillation under reduced pressure. The residue was purified by HPLC to obtain 65 mg (66% yield) of the title compound.

1H ЯМР (CDCl3, 400 МГц): δ 0,96 (т, J=7,6 Гц, 3Н), 1,53-1,64 (м, 2Н), 3,25 (дд, J=7,3 Гц, 12,9 Гц, 2Н), 4,07 (с, 3Н), 5,32 (с, 2Н), 6,66 (с, 1Н), 7,14 (дд, J=2,7 Гц, 9,0 Гц, 1Н), 7,27 (с, 1Н), 7,29 (д, J=2,7 Гц, 1Н), 7,41 (д, J=5,9 Гц, 2Н), 7,54 (с, 1Н), 8,24 (д, J=9,0 Гц, 1Н), 8,59 (с, 1Н), 8,63 (д, J=6,1 Гц, 2Н).1 H NMR (CDCl3 , 400 MHz): δ 0.96 (t, J = 7.6 Hz, 3H), 1.53-1.64 (m, 2H), 3.25 (dd, J = 7 , 3 Hz, 12.9 Hz, 2H), 4.07 (s, 3H), 5.32 (s, 2H), 6.66 (s, 1H), 7.14 (dd, J = 2.7 Hz, 9.0 Hz, 1H), 7.27 (s, 1H), 7.29 (d, J = 2.7 Hz, 1H), 7.41 (d, J = 5.9 Hz, 2H) 7.54 (s, 1H), 8.24 (d, J = 9.0 Hz, 1H), 8.59 (s, 1H), 8.63 (d, J = 6.1 Hz, 2H) .

Определение молекулярной массы (ESI-MS, m/z): 494 (М++1).Determination of molecular weight (ESI-MS, m / z): 494 (M+ +1).

Пример 124: N-[2-Хлор-4-({6-метокси-7-[(5-морфолинопентил)-окси]-4-хиназолинил}окси)фенил]-N’-пропилмочевинаExample 124: N- [2-Chloro-4 - ({6-methoxy-7 - [(5-morpholinopentyl) -oxy] -4-quinazolinyl} oxy) phenyl] -N’-propylurea

N-{2-Хлор-4-[(7-гидрокси-6-метокси-4-хиназолинил)окси]-фенил}-N’-пропилмочевину (70 мг), карбонат калия (30 мг) и пентаметиленбромид (80 мкл) растворяют в N,N-диметилформамиде (5 мл), и раствор перемешивают при комнатной температуре в течение 3 ч. Растворитель удаляют путем перегонки при пониженном давлении. К остатку добавляют воду, и смесь экстрагируют хлороформом. Органический слой сушат над безводным сульфатом натрия, и растворитель удаляют путем перегонки при пониженном давлении. Остаток промывают эфиром, получая 43 мг (выход 46%) N-[4-({7-(5-бромпентил)окси}-6-метокси-4-хиназолинил)окси]-2-хлорфенил]-N’-пропилмочевины в качестве промежуточного соединения. Промежуточное соединение (43 мг), карбонат калия (30 мг) и морфолин (70 мкл) растворяют в N,N-диметилформамиде (4 мл), и раствор перемешивают при комнатной температуре в течение ночи. Растворитель удаляют путем перегонки при пониженном давлении. К остатку добавляют насыщенный водный раствор гидрокарбоната натрия, и смесь экстрагируют хлороформом. Органический слой сушат над безводным сульфатом натрия, и растворитель удаляют путем перегонки при пониженном давлении. Остаток очищают методом хроматографии на силикагеле, элюируя смесью хлороформ/метанол, получая 30 мг (выход 68%) указанного в заголовке соединения.N- {2-Chloro-4 - [(7-hydroxy-6-methoxy-4-quinazolinyl) oxy] phenyl} -N'-propylurea (70 mg), potassium carbonate (30 mg) and pentamethylene bromide (80 μl) dissolved in N, N-dimethylformamide (5 ml), and the solution was stirred at room temperature for 3 hours. The solvent was removed by distillation under reduced pressure. Water was added to the residue, and the mixture was extracted with chloroform. The organic layer was dried over anhydrous sodium sulfate, and the solvent was removed by distillation under reduced pressure. The residue was washed with ether to give 43 mg (46% yield) of N- [4 - ({7- (5-bromopentyl) oxy} -6-methoxy-4-quinazolinyl) oxy] -2-chlorophenyl] -N'-propylurea in as an intermediate compound. The intermediate (43 mg), potassium carbonate (30 mg) and morpholine (70 μl) were dissolved in N, N-dimethylformamide (4 ml), and the solution was stirred at room temperature overnight. The solvent was removed by distillation under reduced pressure. A saturated aqueous sodium hydrogen carbonate solution was added to the residue, and the mixture was extracted with chloroform. The organic layer was dried over anhydrous sodium sulfate, and the solvent was removed by distillation under reduced pressure. The residue was purified by silica gel chromatography, eluting with a chloroform / methanol mixture, to give 30 mg (68% yield) of the title compound.

1H ЯМР (СDСl3, 400 МГц): δ 1,71 (т, J=7,32 Гц, 3Н), 2,28 (т, J=7,20 Гц, 2Н), 2,63 (м, 2Н), 3,08-3,14 (м, 5Н), 3,29-3,30 (м, 5Н), 3,47 (шир, 1Н), 3,73 (м, 1Н), 3,86-3,90 (м, 2Н), 4,36 (т, J=4,65 Гц, 3Н), 4,46 (т, J=4,76 Гц, 1H), 4,77 (с, 1H), 4,99 (т, J=6,34 Гц, 2Н), 7,80 (м, 1Н), 8,02 (дд, J=2,68 Гц, 9,27 Гц, 1H), 8,18 (с, 1H), 8,27 (д, J=2,68 Гц, 1H), 8,34 (с, 1H), 8,85 (с, 1H), 9,00 (д, J=9,03 Гц, 1H), 9,35 (с, 1H).1 H NMR (CDCl3 , 400 MHz): δ 1.71 (t, J = 7.32 Hz, 3H), 2.28 (t, J = 7.20 Hz, 2H), 2.63 (m, 2H), 3.08-3.14 (m, 5H), 3.29-3.30 (m, 5H), 3.47 (broad, 1H), 3.73 (m, 1H), 3.86 -3.90 (m, 2H), 4.36 (t, J = 4.65 Hz, 3H), 4.46 (t, J = 4.76 Hz, 1H), 4.77 (s, 1H) 4.99 (t, J = 6.34 Hz, 2H), 7.80 (m, 1H), 8.02 (dd, J = 2.68 Hz, 9.27 Hz, 1H), 8.18 (s, 1H), 8.27 (d, J = 2.68 Hz, 1H), 8.34 (s, 1H), 8.85 (s, 1H), 9.00 (d, J = 9, 03 Hz, 1H), 9.35 (s, 1H).

Определение молекулярной массы (ESI-MS, m/z): 559 (M++1).Determination of molecular weight (ESI-MS, m / z): 559 (M+ +1).

Пример 125: N-{2-Хлор-4-[(6-метокси-7-{[5-(1H-1,2,3-триазол-1-ил)пентил]окси]-4-хиназолинил)окси]фенил}-N’-пропилмочевинаExample 125: N- {2-Chloro-4 - [(6-methoxy-7 - {[5- (1H-1,2,3-triazol-1-yl) pentyl] oxy] -4-quinazolinyl) oxy] phenyl} -N'-propylurea

Триазол (0,41 мл), 1-бром-5-хлорпентан (1,0 мл), иодид тетрабутиламмония (10 мг) и 3 М водный раствор гидроксида натрия (1 мл) растворяют в ацетоне (10 мл), и раствор перемешивают при 50°С в течение 18 ч. К реакционной смеси добавляют воду, и смесь экстрагируют хлороформом. Органический слой сушат над безводным сульфатом натрия. Растворитель удаляют путем перегонки при пониженном давлении. Остаток очищают методом хроматографии, элюируя хлороформом, получая промежуточное соединение (390 мг).Triazole (0.41 ml), 1-bromo-5-chloropentane (1.0 ml), tetrabutylammonium iodide (10 mg) and 3 M aqueous sodium hydroxide solution (1 ml) were dissolved in acetone (10 ml), and the solution was stirred at 50 ° C. for 18 hours. Water was added to the reaction mixture, and the mixture was extracted with chloroform. The organic layer was dried over anhydrous sodium sulfate. The solvent was removed by distillation under reduced pressure. The residue was purified by chromatography, eluting with chloroform, to give an intermediate (390 mg).

Исходное соединение (N-{2-хлор-4-[(7-гидрокси-6-метокси-4-хиназолинил)окси]фенил}-N’-пропилмочевина, 80 мг), карбонат калия (138 мг), и полученное ранее промежуточное соединение (52 мг) растворяют в N,N-диметилформамиде (1 мл), и раствор перемешивают при 120°С в течение 5 ч. К реакционной смеси добавляют воду и проводят экстракцию смесью хлороформ-пропанол (3/1). Органический слой сушат над безводным сульфатом натрия. Растворитель удаляют путем перегонки при пониженном давлении. Остаток очищают методом ВЭЖХ, получая 41 мг (выход 38%) указанного в заголовке соединения.Starting compound (N- {2-chloro-4 - [(7-hydroxy-6-methoxy-4-quinazolinyl) oxy] phenyl} -N'-propylurea, 80 mg), potassium carbonate (138 mg), as previously obtained the intermediate (52 mg) was dissolved in N, N-dimethylformamide (1 ml), and the solution was stirred at 120 ° C. for 5 hours. Water was added to the reaction mixture and extraction was performed with chloroform-propanol (3/1). The organic layer was dried over anhydrous sodium sulfate. The solvent was removed by distillation under reduced pressure. The residue was purified by HPLC to obtain 41 mg (38% yield) of the title compound.

1H ЯМР (CDCl3, 400 МГц): δ 0,96 (т, J=7,6 Гц, 3Н), 1,50-1,65 (м, 4Н), 1,90-2,08 (м, 4Н), 3,24 (дд, J=7,1 Гц, 12,9 Гц, 2Н), 4,01 (с, 3Н), 4,17 (т, J=6,6 Гц, 2Н), 4,44 (т, J=7,3 Гц, 2Н), 4,88-4,94 (м, 1Н), 6,32 (с, 1Н), 7,14 (дд, J=2,7 Гц, 9,0 Гц, 1Н), 7,25 (с, 1Н), 7,29 (д, J=2,7 Гц, 1Н), 7,48 (с, 1Н), 7,55 (с, 1Н), 7,70 (с, 1Н), 8,23 (д, J=9,0 Гц, 1Н), 8,58 (с, 1Н).1 H NMR (CDCl3 , 400 MHz): δ 0.96 (t, J = 7.6 Hz, 3H), 1.50-1.65 (m, 4H), 1.90-2.08 (m , 4H), 3.24 (dd, J = 7.1 Hz, 12.9 Hz, 2H), 4.01 (s, 3H), 4.17 (t, J = 6.6 Hz, 2H), 4.44 (t, J = 7.3 Hz, 2H), 4.88-4.94 (m, 1H), 6.32 (s, 1H), 7.14 (dd, J = 2.7 Hz) , 9.0 Hz, 1H), 7.25 (s, 1H), 7.29 (d, J = 2.7 Hz, 1H), 7.48 (s, 1H), 7.55 (s, 1H ), 7.70 (s, 1H), 8.23 (d, J = 9.0 Hz, 1H), 8.58 (s, 1H).

Определение молекулярной массы (ESI-MS, m/z): 540 (M++1).Determination of molecular weight (ESI-MS, m / z): 540 (M+ +1).

Пример 126: N’-(2-Хлор-4-{[6-метокси-7-(4-пиридилметокси)-4-хиназолинил]окси}фенил)-N,N-диэтил-мочевинаExample 126: N ’- (2-Chloro-4 - {[6-methoxy-7- (4-pyridylmethoxy) -4-quinazolinyl] oxy} phenyl) -N, N-diethyl urea

Исходное соединение (N’-{2-хлор-4-[(7-гидрокси-6-метокси-4-хиназолинил)окси]фенил}-N,N-диэтилмочевина, 83 мг), карбонат калия (138 мг) и гидрохлорид 4-хлорметилпиридина (49 мг) растворяют в N,N-диметилформамиде (1 мл), и раствор перемешивают при комнатной температуре в течение 18 ч. К реакционной смеси добавляют воду, и проводят экстракцию смесью хлороформ-пропанол (3/1). Органический слой сушат над безводным сульфатом натрия. Растворитель удаляют путем перегонки при пониженном давлении. Остаток очищают методом ВЭЖХ, получая 57 мг (выход 56%) указанного в заголовке соединения.Starting compound (N '- {2-chloro-4 - [(7-hydroxy-6-methoxy-4-quinazolinyl) oxy] phenyl} -N, N-diethylurea, 83 mg), potassium carbonate (138 mg) and hydrochloride 4-chloromethylpyridine (49 mg) was dissolved in N, N-dimethylformamide (1 ml), and the solution was stirred at room temperature for 18 hours. Water was added to the reaction mixture and extraction was performed with chloroform-propanol (3/1). The organic layer was dried over anhydrous sodium sulfate. The solvent was removed by distillation under reduced pressure. The residue was purified by HPLC to obtain 57 mg (56% yield) of the title compound.

1H ЯМР (CDCl3, 400 МГц): δ 1,26 (т, J=7,3 Гц, 6Н), 3,41 (kb, J=7,1 Гц, 4Н), 4,08 (с, 3Н), 5,32 (с, 2Н), 6,98 (с, 1Н), 7,14 (дд, J=2,7 Гц, 9,0 Гц, 1Н), 7,27 (с, 1Н), 7,29 (д, J=2,7 Гц, 1Н), 7,41 (д, J=5,9 Гц, 2Н), 7,55 (с, 1Н), 8,37 (д, J=9,0 Гц, 1H), 8,58 (с, 1Н), 8,63 (д, J=5,9 Гц, 2Н).1 H NMR (CDCl3 , 400 MHz): δ 1.26 (t, J = 7.3 Hz, 6H), 3.41 (kb, J = 7.1 Hz, 4H), 4.08 (s, 3H), 5.32 (s, 2H), 6.98 (s, 1H), 7.14 (dd, J = 2.7 Hz, 9.0 Hz, 1H), 7.27 (s, 1H) , 7.29 (d, J = 2.7 Hz, 1H), 7.41 (d, J = 5.9 Hz, 2H), 7.55 (s, 1H), 8.37 (d, J = 9.0 Hz, 1H), 8.58 (s, 1H), 8.63 (d, J = 5.9 Hz, 2H).

Определение молекулярной массы (ESI-MS, m/z): 508 (M++1).Determination of molecular weight (ESI-MS, m / z): 508 (M+ +1).

Пример 127: N-(2-Хлор-4-{[6-метокси-7-(4-морфолинобутокси)-4-хиназолинил]окси}фенил)-N’-пропилмочевинаExample 127: N- (2-Chloro-4 - {[6-methoxy-7- (4-morpholinobutoxy) -4-quinazolinyl] oxy} phenyl) -N’-propylurea

N-{2-Хлор-4-[(7-гидрокси-6-метокси-4-хиназолинил)окси]-фенил}-N’-пропилмочевину (70 мг), карбонат калия (30 мг) и пентаметилен бромид (80 мкл) растворяют в N,N-диметилформамиде (5 мл), и раствор перемешивают при комнатной температуре в течение 3 ч. Растворитель удаляют путем перегонки при пониженном давлении. К остатку добавляют воду, и смесь экстрагируют хлороформом. Органический слой сушат над безводным сульфатом натрия. Растворитель удаляют путем перегонки при пониженном давлении. Остаток промывают эфиром, получая 43 мг (выход 46%) N-(4-{[7-(4-бромбутокси)-6-метокси-4-хиназолинил]-окси}-2-хлорфенил)-N’-пропилмочевины в качестве промежуточного соединения.N- {2-Chloro-4 - [(7-hydroxy-6-methoxy-4-quinazolinyl) oxy] phenyl} -N'-propylurea (70 mg), potassium carbonate (30 mg) and pentamethylene bromide (80 μl ) was dissolved in N, N-dimethylformamide (5 ml), and the solution was stirred at room temperature for 3 hours. The solvent was removed by distillation under reduced pressure. Water was added to the residue, and the mixture was extracted with chloroform. The organic layer was dried over anhydrous sodium sulfate. The solvent was removed by distillation under reduced pressure. The residue was washed with ether to give 43 mg (46% yield) of N- (4 - {[7- (4-bromobutoxy) -6-methoxy-4-quinazolinyl] -oxy} -2-chlorophenyl) -N'-propylurea as intermediate compound.

Промежуточное соединение (43 мг), карбонат калия (30 мг) и морфолин (40 мкл) растворяют в N,N-диметилформамиде (4 мл), и раствор перемешивают при комнатной температуре в течение ночи. Растворитель удаляют путем перегонки при пониженном давлении. К остатку добавляют насыщенный водный раствор гидрокарбоната натрия, и смесь экстрагируют хлороформом. Органический слой сушат над безводным сульфатом натрия. Растворитель удаляют путем перегонки при пониженном давлении. Остаток очищают методом хроматографии на силикагеле, элюируя смесью хлороформ/метанол, получая 23 мг (выход 53%) указанного в заголовке соединения.The intermediate (43 mg), potassium carbonate (30 mg) and morpholine (40 μl) were dissolved in N, N-dimethylformamide (4 ml), and the solution was stirred at room temperature overnight. The solvent was removed by distillation under reduced pressure. A saturated aqueous sodium hydrogen carbonate solution was added to the residue, and the mixture was extracted with chloroform. The organic layer was dried over anhydrous sodium sulfate. The solvent was removed by distillation under reduced pressure. The residue was purified by silica gel chromatography, eluting with a chloroform / methanol mixture, to give 23 mg (53% yield) of the title compound.

1H ЯМР (СDСl3, 400 МГц): δ 0,99 (т, J=7,32 Гц, 3Н), 1,56-1,62 (м, 13Н), 2,00-2,08 (м, 2Н), 3,26-3,28 (м, 2Н), 4,04 (с, 3Н), 4,24 (м, 2Н), 4,72-4,77 (м, 1Н), 6,65 (с, 1Н), 6,99 (с, 1Н), 7,19-7,26 (м, 1Н), 7,30 (с, 1Н), 7,32-7,34 (м, 1Н), 7,51 (с, 1Н), 8,25 (д, J=9,03 Гц, 1Н), 8,61 (с, 1Н).1 H NMR (CDCl3 , 400 MHz): δ 0.99 (t, J = 7.32 Hz, 3H), 1.56-1.62 (m, 13H), 2.00-2.08 (m , 2H), 3.26-3.28 (m, 2H), 4.04 (s, 3H), 4.24 (m, 2H), 4.72-4.77 (m, 1H), 6, 65 (s, 1H), 6.99 (s, 1H), 7.19-7.26 (m, 1H), 7.30 (s, 1H), 7.32-7.34 (m, 1H) 7.51 (s, 1H), 8.25 (d, J = 9.03 Hz, 1H), 8.61 (s, 1H).

Определение молекулярной массы (ESI-MS, m/z): 545 (М++1).Determination of molecular weight (ESI-MS, m / z): 545 (M+ +1).

Пример 128: N-[2-Хлор-4-({6-метокси-7-[2-(4-метилпиперазин)-этокси]-4-хиназолинил}окси)фенил]-N’-пропилмочевинаExample 128: N- [2-Chloro-4 - ({6-methoxy-7- [2- (4-methylpiperazine) ethoxy] -4-quinazolinyl} oxy) phenyl] -N’-propylurea

N-{2-Хлор-4-[(7-гидрокси-6-метокси-4-хиназолинил)окси]-фенил}-N’-пропилмочевину (60 мг), карбонат калия (30 мг) и 1,2-дибромэтан (70 мкл) растворяют в N,N-диметилформамиде (4 мл), и раствор перемешивают при комнатной температуре в течение 3 ч. Растворитель удаляют путем перегонки при пониженном давлении. К остатку добавляют воду, и смесь экстрагируют хлороформом. Органический слой сушат над безводным сульфатом натрия. Растворитель удаляют путем перегонки при пониженном давлении. Остаток промывают эфиром, получая 46 мг (выход 62%) N-(4-{[7-(2-бромэтокси)-6-метокси-4-хиназолинил]-окси}-2-хлорфенил)-N’-пропилмочевины в качестве промежуточного соединения.N- {2-Chloro-4 - [(7-hydroxy-6-methoxy-4-quinazolinyl) oxy] phenyl} -N'-propylurea (60 mg), potassium carbonate (30 mg) and 1,2-dibromethane (70 μl) was dissolved in N, N-dimethylformamide (4 ml), and the solution was stirred at room temperature for 3 hours. The solvent was removed by distillation under reduced pressure. Water was added to the residue, and the mixture was extracted with chloroform. The organic layer was dried over anhydrous sodium sulfate. The solvent was removed by distillation under reduced pressure. The residue was washed with ether to give 46 mg (yield 62%) of N- (4 - {[7- (2-bromoethoxy) -6-methoxy-4-quinazolinyl] -oxy} -2-chlorophenyl) -N'-propylurea as intermediate compound.

Промежуточное соединение (46 мг), карбонат калия (20 мг) и N-метилпиперазин (50 мкл) растворяют в N,N-диметилформамиде (3 мл), и раствор перемешивают при комнатной температуре в течение ночи. Растворитель удаляют путем перегонки при пониженном давлении, к остатку добавляют насыщенный водный раствор гидрокарбоната натрия, и смесь экстрагируют хлороформом. Органический слой сушат над безводным сульфатом натрия. Растворитель удаляют путем перегонки при пониженном давлении. Остаток очищают методом хроматографии на силикагеле, элюируя смесью хлороформ/метанол, получая 24 мг (выход 50%) указанного в заголовке соединения.The intermediate (46 mg), potassium carbonate (20 mg) and N-methylpiperazine (50 μl) were dissolved in N, N-dimethylformamide (3 ml), and the solution was stirred at room temperature overnight. The solvent was removed by distillation under reduced pressure, saturated aqueous sodium hydrogen carbonate was added to the residue, and the mixture was extracted with chloroform. The organic layer was dried over anhydrous sodium sulfate. The solvent was removed by distillation under reduced pressure. The residue was purified by silica gel chromatography, eluting with a chloroform / methanol mixture, to give 24 mg (50% yield) of the title compound.

1H ЯМР (CDCl3, 400 МГц): δ 0,99 (т, J=7,32 Гц, 3Н), 1,61-1,64 (м, 2Н), 2,75 (м, 2Н), 3,00-3,16 (м, 4Н), 3,25-3,16 (м, 4Н), 3,25-3,29 (м, 2Н), 4,02 (с, 3Н), 4,27-4,35 (м, 2Н), 4,78-4,83 (м, 2Н), 5,33 (с, 3Н), 6,69 (с, 1Н), 7,17 (дд, J=2,68 Гц, 9,03 Гц, 1Н), 7,31 (с, 1Н), 7,49 (с, 1Н), 8,26 (д, J=9,27 Гц, 1Н), 8,59 (с, 1Н).1 H NMR (CDCl3 , 400 MHz): δ 0.99 (t, J = 7.32 Hz, 3H), 1.61-1.64 (m, 2H), 2.75 (m, 2H), 3.00-3.16 (m, 4H), 3.25-3.16 (m, 4H), 3.25-3.29 (m, 2H), 4.02 (s, 3H), 4, 27-4.35 (m, 2H), 4.78-4.83 (m, 2H), 5.33 (s, 3H), 6.69 (s, 1H), 7.17 (dd, J = 2.68 Hz, 9.03 Hz, 1H), 7.31 (s, 1H), 7.49 (s, 1H), 8.26 (d, J = 9.27 Hz, 1H), 8.59 (s, 1H).

Определение молекулярной массы (ESI-MS, m/z): 530 (M++1).Determination of molecular weight (ESI-MS, m / z): 530 (M+ +1).

Пример 129: N-{2-Хлор-4-[(7-{2-[(2-гидроксиэтил)(метил)-амино]этокси}-6-метокси-4-хиназолинил)окси]-фенил}-N’-пропилмочевинаExample 129: N- {2-Chloro-4 - [(7- {2 - [(2-hydroxyethyl) (methyl) amino] ethoxy} -6-methoxy-4-quinazolinyl) oxy] phenyl} -N ' propylurea

N-{2-Хлор-4-[(7-гидрокси-6-метокси-4-хиназолинил)окси]-фенил}-N’-пропилмочевину (65 мг), карбонат калия (30 мг) и 1,2-дибромэтан (30 мкл) растворяют в N,N-диметилформамиде (4 мл), и раствор перемешивают при комнатной температуре в течение 3 ч. Растворитель удаляют путем перегонки при пониженном давлении. К остатку добавляют воду, и смесь экстрагируют хлороформом. Органический слой сушат над безводным сульфатом натрия. Растворитель удаляют путем перегонки при пониженном давлении. Остаток промывают эфиром, получая 36 мг (выход 45%) N-(4-{[7-(2-бромэтокси)-6-метокси-4-хиназолинил]-окси}-2-хлорфенил)-N’-пропилмочевины в качестве промежуточного соединения.N- {2-Chloro-4 - [(7-hydroxy-6-methoxy-4-quinazolinyl) oxy] phenyl} -N'-propylurea (65 mg), potassium carbonate (30 mg) and 1,2-dibromethane (30 μl) was dissolved in N, N-dimethylformamide (4 ml), and the solution was stirred at room temperature for 3 hours. The solvent was removed by distillation under reduced pressure. Water was added to the residue, and the mixture was extracted with chloroform. The organic layer was dried over anhydrous sodium sulfate. The solvent was removed by distillation under reduced pressure. The residue was washed with ether to give 36 mg (yield 45%) of N- (4 - {[7- (2-bromoethoxy) -6-methoxy-4-quinazolinyl] -oxy} -2-chlorophenyl) -N'-propylurea as intermediate compound.

Промежуточное соединение (36 мг), карбонат калия (30 мг) и N-метилэтаноламин (30 мкл) растворяют в N,N-диметилформамиде (3 мл), и раствор перемешивают при комнатной температуре в течение ночи. Растворитель удаляют путем перегонки при пониженном давлении. К остатку добавляют насыщенный водный раствор гидрокарбоната натрия, и смесь экстрагируют хлороформом. Органический слой сушат над безводным сульфатом натрия. Растворитель удаляют путем перегонки при пониженном давлении. Остаток очищают методом хроматографии на силикагеле, элюируя смесью хлороформ/метанол, получая 21 мг (выход 55%) указанного в заголовке соединения.The intermediate (36 mg), potassium carbonate (30 mg) and N-methylethanolamine (30 μl) were dissolved in N, N-dimethylformamide (3 ml), and the solution was stirred at room temperature overnight. The solvent was removed by distillation under reduced pressure. A saturated aqueous sodium hydrogen carbonate solution was added to the residue, and the mixture was extracted with chloroform. The organic layer was dried over anhydrous sodium sulfate. The solvent was removed by distillation under reduced pressure. The residue was purified by silica gel chromatography, eluting with a chloroform / methanol mixture, to give 21 mg (55% yield) of the title compound.

1H ЯМР (СDСl3, 400 МГц): δ 0,98 (т, J=7,32 Гц, 3Н), 1,59 (м, 2Н), 1,94 (bs, 1H), 3,23 (м, 2Н), 4,03 (с, 3Н), 4,07-4,15 (м, 4Н), 4,76 (м, 4Н), 5,35 (с, 3Н), 7,10-7,17 (м, 1H), 7,28 (с, 3Н), 7,40 (с, 1H), 7,54 (с, 1H), 8,37 (д, J=9,03 Гц, 1H), 8,64 (с, 1H).1 H NMR (CDCl3 , 400 MHz): δ 0.98 (t, J = 7.32 Hz, 3H), 1.59 (m, 2H), 1.94 (bs, 1H), 3.23 ( m, 2H), 4.03 (s, 3H), 4.07-4.15 (m, 4H), 4.76 (m, 4H), 5.35 (s, 3H), 7.10-7 , 17 (m, 1H), 7.28 (s, 3H), 7.40 (s, 1H), 7.54 (s, 1H), 8.37 (d, J = 9.03 Hz, 1H) 8.64 (s, 1H).

Определение молекулярной массы (ESI-MS, m/z): 504 (М++1).Determination of molecular weight (ESI-MS, m / z): 504 (M+ +1).

Пример 130: N-[2-хлор-4-({6-метокси-7-[3-(4-метилпиперазин)-пропокси]-4-хиназолинил}окси)фенил]-N’-пропилмочевинаExample 130: N- [2-chloro-4 - ({6-methoxy-7- [3- (4-methylpiperazine) propoxy] -4-quinazolinyl} oxy) phenyl] -N’-propylurea

М-{2-Хлор-4-[(7-гидрокси-6-метокси-4-хиназолинил)окси]-фенил}-N’-пропилмочевину (75 мг), карбонат калия (30 мг) и 1,3-дибромпропан (75 мкл) растворяют в N,N-диметилформамиде (4 мл), и раствор перемешивают при комнатной температуре в течение 3 ч. Растворитель удаляют путем перегонки при пониженном давлении. К остатку добавляют воду, и смесь экстрагируют хлороформом. Органический слой сушат над безводным сульфатом натрия. Растворитель удаляют путем перегонки при пониженном давлении. Остаток промывают эфиром, получая 50 мг (выход 52%) N-(4-{[7-(3-бромпропокси)-6-метокси-4-хиназолинил]-окси}-2-хлорфенил)-N’-пропилмочевины в качестве промежуточного соединения.M- {2-Chloro-4 - [(7-hydroxy-6-methoxy-4-quinazolinyl) oxy] phenyl} -N'-propylurea (75 mg), potassium carbonate (30 mg) and 1,3-dibromopropane (75 μl) was dissolved in N, N-dimethylformamide (4 ml), and the solution was stirred at room temperature for 3 hours. The solvent was removed by distillation under reduced pressure. Water was added to the residue, and the mixture was extracted with chloroform. The organic layer was dried over anhydrous sodium sulfate. The solvent was removed by distillation under reduced pressure. The residue was washed with ether to give 50 mg (52% yield) of N- (4 - {[7- (3-bromopropoxy) -6-methoxy-4-quinazolinyl] -oxy} -2-chlorophenyl) -N'-propylurea as intermediate compound.

Промежуточное соединение (30 мг), карбонат калия (20 мг) и N-метилпиперазин (40 мкл) растворяют в N,N-диметилформамиде (3 мл), и раствор перемешивают при комнатной температуре в течение ночи. Растворитель удаляют путем перегонки при пониженном давлении. К остатку добавляют насыщенный водный раствор гидрокарбоната натрия, и экстрагируют хлороформом. Органический слой сушат над безводным сульфатом натрия и растворитель удаляют путем перегонки при пониженном давлении. Остаток очищают методом хроматографии на силикагеле, элюируя смесью хлороформ/метанол, получая 20 мг (выход 63%) указанного в заголовке соединения.The intermediate (30 mg), potassium carbonate (20 mg) and N-methylpiperazine (40 μl) were dissolved in N, N-dimethylformamide (3 ml), and the solution was stirred at room temperature overnight. The solvent was removed by distillation under reduced pressure. A saturated aqueous sodium hydrogen carbonate solution was added to the residue, and extracted with chloroform. The organic layer was dried over anhydrous sodium sulfate, and the solvent was removed by distillation under reduced pressure. The residue was purified by silica gel chromatography, eluting with a chloroform / methanol mixture, to give 20 mg (63% yield) of the title compound.

1H ЯМР (CDCl3, 400 МГц): δ 0,99 (т, J=7,32 Гц, 3Н), 1,58-1,62 (м, 2Н), 2,25-2,50 (м, 3Н), 2,70-2,85 (м, ЗН), 2,92-2,98 (м, 3Н), 3,25 (м, 2Н), 4,04 (с, 3Н), 4,25 (м, 2Н), 4,83 (м, 3Н), 5,34 (с, 3Н), 6,70 (с, 1Н), 35 7,21 (дд, J=2,68, 9,03 Гц, 1Н), 7,26 (с, 2Н), 7,31 (с, 1Н), 7,49 (с, 1H), 8,18 (д, J=9,27 Гц, 1H), 8,59 (с, 1Н).1 H NMR (CDCl3 , 400 MHz): δ 0.99 (t, J = 7.32 Hz, 3H), 1.58-1.62 (m, 2H), 2.25-2.50 (m , 3H), 2.70-2.85 (m, 3H), 2.92-2.98 (m, 3H), 3.25 (m, 2H), 4.04 (s, 3H), 4, 25 (m, 2H), 4.83 (m, 3H), 5.34 (s, 3H), 6.70 (s, 1H), 35 7.21 (dd, J = 2.68, 9.03 Hz, 1H), 7.26 (s, 2H), 7.31 (s, 1H), 7.49 (s, 1H), 8.18 (d, J = 9.27 Hz, 1H), 8, 59 (s, 1H).

Определение молекулярной массы (ESI-MS, m/z): 544 (M++1).Determination of molecular weight (ESI-MS, m / z): 544 (M+ +1).

Пример 131: N’-[2-Хлор-4-({6-метокси-7-[2-(1H-1,2,3-триазол-1-ил)этокси]-4-хиназолинил}окси)фенил]-N,N-диэтилмочевинаExample 131: N '- [2-Chloro-4 - ({6-methoxy-7- [2- (1H-1,2,3-triazol-1-yl) ethoxy] -4-quinazolinyl} oxy) phenyl] -N, N-diethylurea

Исходное соединение (N’-{2-хлор-4-[(7-гидрокси-6-метокси-4-хиназолинил)окси]фенил}-N,N-диэтилмочевину, 83 мг), карбонат калия (138 мг) и 2-(1Н-1,2,3-триазол-1-ил)этил 4-метил-1-бензолсульфонат (59 мг) растворяют в N,N-диметилформамиде (1 мл), и раствор перемешивают при 80°С в течение 18 ч. К реакционной смеси добавляют воду и проводят экстракцию смесью хлороформ-пропанол (3/1). Органический слой сушат над безводным сульфатом натрия. Растворитель удаляют путем перегонки при пониженном давлении. Остаток промывают эфиром, получая промежуточное соединение. К раствору промежуточного соединения и триэтиламина (0,027 мл) в хлороформе (1 мл) добавляют трифосген (90 мг) при 0°С, и смесь перемешивают в течение 30 мин. Реакционную смесь охлаждают до 0°С, и затем к охлажденной реакционной смеси добавляют по каплям диэтиламин (0,044 мл). Температуру смеси повышают до комнатной температуры в течение 2 ч. К реакционной смеси добавляют насыщенный водный раствор гидрокарбоната натрия, после чего экстрагируют смесью хлороформ-пропанол (3/1). Органический слой сушат над безводным сульфатом натрия. Растворитель удаляют путем перегонки при пониженном давлении. Остаток очищают методом ВЭЖХ, получая 30 мг (выход 29%) указанного в заголовке соединения.Starting compound (N '- {2-chloro-4 - [(7-hydroxy-6-methoxy-4-quinazolinyl) oxy] phenyl} -N, N-diethylurea, 83 mg), potassium carbonate (138 mg) and 2 - (1H-1,2,3-triazol-1-yl) ethyl 4-methyl-1-benzenesulfonate (59 mg) was dissolved in N, N-dimethylformamide (1 ml), and the solution was stirred at 80 ° C. for 18 h. Water is added to the reaction mixture and extraction is carried out with chloroform-propanol (3/1). The organic layer was dried over anhydrous sodium sulfate. The solvent was removed by distillation under reduced pressure. The residue was washed with ether to give an intermediate. To a solution of the intermediate and triethylamine (0.027 ml) in chloroform (1 ml) was added triphosgene (90 mg) at 0 ° C, and the mixture was stirred for 30 minutes. The reaction mixture was cooled to 0 ° C, and then diethylamine (0.044 ml) was added dropwise to the cooled reaction mixture. The temperature of the mixture was raised to room temperature over 2 hours. A saturated aqueous solution of sodium bicarbonate was added to the reaction mixture, followed by extraction with a mixture of chloroform-propanol (3/1). The organic layer was dried over anhydrous sodium sulfate. The solvent was removed by distillation under reduced pressure. The residue was purified by HPLC to obtain 30 mg (29% yield) of the title compound.

1H ЯМР (CDCl3, 400 МГц): δ 1,26 (т, J=7,1 Гц, 6Н), 3,41 (q, J=7,1 Гц, 4Н), 4,03 (с, 3Н), 4,53 (т, J=4,9 Гц, 2Н), 4,94 (т, J=5,1 Гц, 2Н), 6,98 (с, 1Н), 7,13 (дд, J=2,7 Гц, 9,0 Гц, 1Н), 7,26 (с, 1Н), 7,73 (с, 1Н), 7,94 (с, 1Н), 8,38 (д, J=9,0 Гц, 1Н), 8,60 (с, 1Н).1 H NMR (CDCl3 , 400 MHz): δ 1.26 (t, J = 7.1 Hz, 6H), 3.41 (q, J = 7.1 Hz, 4H), 4.03 (s, 3H), 4.53 (t, J = 4.9 Hz, 2H), 4.94 (t, J = 5.1 Hz, 2H), 6.98 (s, 1H), 7.13 (dd, J = 2.7 Hz, 9.0 Hz, 1H), 7.26 (s, 1H), 7.73 (s, 1H), 7.94 (s, 1H), 8.38 (d, J = 9.0 Hz, 1H); 8.60 (s, 1H).

Пример 132: 3-{[4-(3-Хлор-4-{[(диэтиламино)карбонил]амино}-фенокси)-6-метокси-7-хиназолинил]окси}-пропил-N,N-диэтил-карбаматExample 132: 3 - {[4- (3-Chloro-4 - {[(diethylamino) carbonyl] amino} -phenoxy) -6-methoxy-7-quinazolinyl] oxy} propyl-N, N-diethyl-carbamate

Исходное соединение (N’-{2-хлор-4-[(7-гидрокси-6-метокси-4-хиназолинил)окси]фенил}-N,N-диэтилмочевина, 83 мг), карбонат калия (138 мг) и 3-бром-1-пропанол (0,027 мл) растворяют в N,N-5 диметилформамиде (1 мл), и раствор перемешивают при 80°С в течение 18 ч. К реакционной смеси добавляют воду и проводят экстракцию смесью хлороформ-пропанол (3/1). Органический слой сушат над безводным сульфатом натрия. Растворитель удаляют путем перегонки при пониженном давлении. Остаток промывают эфиром, получая промежуточное соединение. К раствору промежуточного соединения и триэтиламина (0,027 мл) в хлороформе (1 мл) при 0°С добавляют трифосген (90 мг), и смесь перемешивают в течение 30 мин. Реакционную смесь охлаждают до 0°С, и затем к охлажденной реакционной смеси добавляют по каплям диэтиламин (0,044 мл). Температуру смеси повышают до комнатной температуры в течение 2 ч. К реакционной смеси добавляют насыщенный водный раствор гидрокарбоната натрия и экстрагируют смесью хлороформ-пропанол (3/1). Органический слой сушат над безводным сульфатом натрия. Растворитель удаляют путем перегонки при пониженном давлении. Остаток очищают методом ВЭЖХ, получая 19 мг (выход 17%) указанного в заголовке соединения.Starting compound (N '- {2-chloro-4 - [(7-hydroxy-6-methoxy-4-quinazolinyl) oxy] phenyl} -N, N-diethylurea, 83 mg), potassium carbonate (138 mg) and 3 β-bromo-1-propanol (0.027 ml) was dissolved in N, N-5 dimethylformamide (1 ml), and the solution was stirred at 80 ° C for 18 hours. Water was added to the reaction mixture and extraction was performed with chloroform-propanol (3 / 1). The organic layer was dried over anhydrous sodium sulfate. The solvent was removed by distillation under reduced pressure. The residue was washed with ether to give an intermediate. To a solution of the intermediate and triethylamine (0.027 ml) in chloroform (1 ml) at 0 ° C, triphosgene (90 mg) was added and the mixture was stirred for 30 minutes. The reaction mixture was cooled to 0 ° C, and then diethylamine (0.044 ml) was added dropwise to the cooled reaction mixture. The temperature of the mixture was raised to room temperature over 2 hours. A saturated aqueous solution of sodium bicarbonate was added to the reaction mixture, and extracted with a mixture of chloroform-propanol (3/1). The organic layer was dried over anhydrous sodium sulfate. The solvent was removed by distillation under reduced pressure. The residue was purified by HPLC to obtain 19 mg (17% yield) of the title compound.

1H ЯМР (СDСl3, 400 МГц): δ 1,04 (т, J=7,1 Гц, 6Н), 1,22 (т, J=7,3 Гц, 6Н), 3,09 (кв, J=7,1 Гц, 4Н), 3,36 (кв, J=7,1 Гц, 4Н), 3,75 (т, J=6,3 Гц, 2Н), 3,97 (с, 3Н), 4,29 (т, J=6,1 Гц, 2Н), 6,93 (с, 1Н), 7,10 (дд, J=2,7 Гц, 9,0 Гц, 1Н), 7,24 (д, J=2,7 Гц, 1Н), 7,27 (с, 1Н), 7,45 (с, 1Н), 8,33 (д, J=9,3 Гц, 1Н), 8,55 (с, 1Н).1 H NMR (CDCl3 , 400 MHz): δ 1.04 (t, J = 7.1 Hz, 6H), 1.22 (t, J = 7.3 Hz, 6H), 3.09 (q, J = 7.1 Hz, 4H), 3.36 (q, J = 7.1 Hz, 4H), 3.75 (t, J = 6.3 Hz, 2H), 3.97 (s, 3H) 4.29 (t, J = 6.1 Hz, 2H), 6.93 (s, 1H), 7.10 (dd, J = 2.7 Hz, 9.0 Hz, 1H), 7.24 (d, J = 2.7 Hz, 1H), 7.27 (s, 1H), 7.45 (s, 1H), 8.33 (d, J = 9.3 Hz, 1H), 8.55 (s, 1H).

Пример 133: N-[2-Хлор-4-({6-метокси-7-[3-(4-пиридилтио)-пропокси]-4-хиназолинил}окси)фенил]-М'-пропилмочевинаExample 133: N- [2-Chloro-4 - ({6-methoxy-7- [3- (4-pyridylthio) propoxy] -4-quinazolinyl} oxy) phenyl] -M'-propylurea

Исходное соединение (N-(4-{[7-(3-бромпропокси)-6-метокси-4-хиназолинил]окси}-2-хлорфенил)-N’-пропилмочевина, 80 мг), карбонат калия (138 мг) и 4-меркаптопиридин (22 мг) растворяют в N,N-диметилформамиде (1 мл), и раствор перемешивают при комнатной температуре в течение 3 ч. К реакционной смеси добавляют воду и проводят экстракцию смесью хлороформ-пропанол (3/1). Органический слой сушат над безводным сульфатом натрия. Растворитель удаляют путем перегонки при пониженном давлении. Остаток промывают эфиром, получая 60 мг (выход 72%) указанного в заголовке соединения.Starting compound (N- (4 - {[7- (3-bromopropoxy) -6-methoxy-4-quinazolinyl] oxy} -2-chlorophenyl) -N'-propylurea, 80 mg), potassium carbonate (138 mg) and 4-mercaptopropyridine (22 mg) was dissolved in N, N-dimethylformamide (1 ml), and the solution was stirred at room temperature for 3 hours. Water was added to the reaction mixture and extraction was performed with chloroform-propanol (3/1). The organic layer was dried over anhydrous sodium sulfate. The solvent was removed by distillation under reduced pressure. The residue was washed with ether to give 60 mg (72% yield) of the title compound.

1H ЯМР (CDCl3, 400 МГц): δ 0,91 (т, J=7,6 Гц, 3Н), 1,50-1,60 (м, 2Н), 2,24-2,32 (м, 2Н), 3,11-3,24 (м, 4Н), 3,99 (с, 3Н), 4,25 (т, J=5,9 Гц, 2Н), 4,70-4,80 (м, 1Н), 6,62 (с, 1Н), 7,11 (дд, J=2,7 Гц, 9,0 Гц, 1Н), 15 7,11-7,16 (м, 2Н), 7,23 (с, 1Н), 7,25 (д, J=2,7 Гц, 1Н), 7,45 (с, 1Н), 8,19 (д, J=9,0 Гц, 1Н), 8,30-8,34 (м, 2Н), 8,55 (с, 1Н).1 H NMR (CDCl3 , 400 MHz): δ 0.91 (t, J = 7.6 Hz, 3H), 1.50-1.60 (m, 2H), 2.24-2.32 (m , 2H), 3.11-3.24 (m, 4H), 3.99 (s, 3H), 4.25 (t, J = 5.9 Hz, 2H), 4.70-4.80 ( m, 1H), 6.62 (s, 1H), 7.11 (dd, J = 2.7 Hz, 9.0 Hz, 1H), 15 7.11-7.16 (m, 2H), 7 23 (s, 1H), 7.25 (d, J = 2.7 Hz, 1H), 7.45 (s, 1H), 8.19 (d, J = 9.0 Hz, 1H), 8 30-8.34 (m, 2H); 8.55 (s, 1H).

Определение молекулярной массы (ESI-MS, m/z): 554 (M++1).Determination of molecular weight (ESI-MS, m / z): 554 (M+ +1).

Пример 134: N-{2-Хлор-4-[(6-метокси-7-{3-[(1-метил-1Н-1,2,3,4-тетразол-5-ил)тио]пропокси}-4-хиназолинил)-окси]фенил}-N’-пропилмочевинаExample 134: N- {2-Chloro-4 - [(6-methoxy-7- {3 - [(1-methyl-1H-1,2,3,4-tetrazol-5-yl) thio] propoxy} - 4-quinazolinyl) -oxy] phenyl} -N'-propylurea

Исходное соединение (N-(4-{[7-(3-бромпропокси)-6-метокси-4-хиназолинил]окси}-2-хлорфенил)-N’-пропилмочевина, 80 мг), карбонат калия (138 мг) и 5-меркапто-1-тетразол (23 мг) растворяют в N,N-диметилформамиде (1 мл), и раствор перемешивают при комнатной температуре в течение 3 ч. К реакционной смеси добавляют воду и проводят экстракцию смесью хлороформ-пропанол (3/1). Органический слой сушат над безводным сульфатом натрия, и растворитель удаляют путем перегонки при пониженном давлении. Остаток промывают эфиром, получая 71 мг (выход 85%) указанного в заголовке соединения.Starting compound (N- (4 - {[7- (3-bromopropoxy) -6-methoxy-4-quinazolinyl] oxy} -2-chlorophenyl) -N'-propylurea, 80 mg), potassium carbonate (138 mg) and 5-mercapto-1-tetrazole (23 mg) was dissolved in N, N-dimethylformamide (1 ml), and the solution was stirred at room temperature for 3 hours. Water was added to the reaction mixture and extraction was performed with chloroform-propanol (3/1 ) The organic layer was dried over anhydrous sodium sulfate, and the solvent was removed by distillation under reduced pressure. The residue was washed with ether to give 71 mg (85% yield) of the title compound.

1H ЯМР (CDCl3, 400 МГц): δ 0,91 (т, J=7,3 Гц, 3Н), 1,51-1,56 (м, 2Н), 2,39-2,48 (м, 2Н), 3,17-3,23 (м, 2Н), 3,56 (т, J=7,1 Гц, 2Н), 3,86 (с, 3Н), 3,97 (с, 3Н), 4,27 (т, J=5,9 Гц, 2Н), 4,75-4,82 (м, 1Н), 6,63 (с, 1Н), 7,10 (дд, J=2,7 Гц, 9,0 Гц, 1Н), 7,24 (д, J=3,7 Гц, 1Н), 7,44 (с, 1Н), 8,19 (д, J=9,0 Гц, 1Н), 8,55 (с, 1Н).1 H NMR (CDCl3 , 400 MHz): δ 0.91 (t, J = 7.3 Hz, 3H), 1.51-1.56 (m, 2H), 2.39-2.48 (m , 2H), 3.17-3.23 (m, 2H), 3.56 (t, J = 7.1 Hz, 2H), 3.86 (s, 3H), 3.97 (s, 3H) 4.27 (t, J = 5.9 Hz, 2H), 4.75-4.82 (m, 1H), 6.63 (s, 1H), 7.10 (dd, J = 2.7 Hz, 9.0 Hz, 1H), 7.24 (d, J = 3.7 Hz, 1H), 7.44 (s, 1H), 8.19 (d, J = 9.0 Hz, 1H) 8.55 (s, 1H).

Определение молекулярной массы (ESI-MS, m/z): 559 (M++1).Determination of molecular weight (ESI-MS, m / z): 559 (M+ +1).

Пример 135: N-(2-Хлор-4-{[6-метокси-7-(3-пиперидино-пропокси)-4-хиназолинил]окси}фенил)-N’-пропилмочевинаExample 135: N- (2-Chloro-4 - {[6-methoxy-7- (3-piperidino-propoxy) -4-quinazolinyl] oxy} phenyl) -N’-propylurea

N-{2-Хлор-4-[(7-гидрокси-6-метокси-4-хиназолинил)окси]-фенил}-N’-пропилмочевину (500 мг), карбонат калия (857 мг) и 1,3-дибромпропан (0,5 мл) растворяют в N,N-диметилформамиде (5 мл), и раствор перемешивают при комнатной температуре в течение 3 ч. Растворитель удаляют путем перегонки при пониженном давлении. К остатку добавляют воду и экстрагируют смесью хлороформ/2-пропанол (4/1). Органический слой сушат над безводным сульфатом натрия. Растворитель удаляют путем перегонки при пониженном давлении. Остаток промывают эфиром, получая 451 мг (выход 71%) N-(4-{[7-(3-бромпропокси)-6-метокси-4-хиназолинил]окси}-2-хлорфенил}-N’-пропил-мочевины. N-(4-{[7-(3-Бромпропокси)-6-метокси-4-хиназолинил]окси}-2-хлорфенил}-N’-пропилмочевину (70 мг), карбонат калия (54 мг) и пиперидин (39 мкл) растворяют в N, N-диметилформамиде (2 мл), и раствор перемешивают при комнатной температуре в течение ночи. Растворитель удаляют путем перегонки при пониженном давлении. К остатку добавляют насыщенный водный раствор гидрокарбоната натрия, и смесь экстрагируют хлороформом. Органический слой сушат над безводным сульфатом натрия. Растворитель удаляют путем перегонки при пониженном давлении. Остаток очищают методом хроматографии на силикагеле, элюируя смесью хлороформ/метанол (20/1), получая 35 мг (выход 50%) указанного в заголовке соединения.N- {2-Chloro-4 - [(7-hydroxy-6-methoxy-4-quinazolinyl) oxy] phenyl} -N'-propylurea (500 mg), potassium carbonate (857 mg) and 1,3-dibromopropane (0.5 ml) was dissolved in N, N-dimethylformamide (5 ml), and the solution was stirred at room temperature for 3 hours. The solvent was removed by distillation under reduced pressure. Water was added to the residue and extracted with chloroform / 2-propanol (4/1). The organic layer was dried over anhydrous sodium sulfate. The solvent was removed by distillation under reduced pressure. The residue was washed with ether to give 451 mg (71% yield) of N- (4 - {[7- (3-bromopropoxy) -6-methoxy-4-quinazolinyl] oxy} -2-chlorophenyl} -N'-propyl-urea. N- (4 - {[7- (3-Bromopropoxy) -6-methoxy-4-quinazolinyl] oxy} -2-chlorophenyl} -N'-propylurea (70 mg), potassium carbonate (54 mg) and piperidine (39 μl) was dissolved in N, N-dimethylformamide (2 ml) and the solution was stirred at room temperature overnight. The solvent was removed by distillation under reduced pressure. Saturated aqueous sodium hydrogen carbonate solution was added to the residue, and the mixture was extracted with chloroform. Organic layer dried over anhydrous sodium sulfate. The solvent was removed by distillation under reduced pressure. The residue was purified by silica gel chromatography, eluting with chloroform / methanol (20/1), to give 35 mg (yield 50%) of the title compound.

1H ЯМР (CDCl3, 400 МГц): δ 0,98 (т, J=7,6 Гц, 3Н), 1,46 (шир, 2Н), 1,54-1,66 (м, 8Н), 2,15 (шир, 2Н), 2,44 (шир, 2Н), 2,55 (шир, 2Н), 3,20-3,30 (м, 2Н), 4,04 (с, 3Н), 4,27 (т, J=6,6 Гц, 2Н), 4,77 (т, J=5,9 Гц, 1Н), 6,65 (с, 1Н), 7, 17 (дд, J=2,7 Гц, 9,0 Гц, 1Н), 7,32 (д, J=2,7 Гц, 1Н), 7,33 (с, 1Н), 7,49 (с, 1Н), 8,24 (д, J=9,0 Гц, 1Н), 8,61 (с, 1Н).1 H NMR (CDCl3 , 400 MHz): δ 0.98 (t, J = 7.6 Hz, 3H), 1.46 (broad, 2H), 1.54-1.66 (m, 8H), 2.15 (broad, 2H), 2.44 (broad, 2H), 2.55 (broad, 2H), 3.20-3.30 (m, 2H), 4.04 (s, 3H), 4 27 (t, J = 6.6 Hz, 2H), 4.77 (t, J = 5.9 Hz, 1H), 6.65 (s, 1H), 7, 17 (dd, J = 2, 7 Hz, 9.0 Hz, 1H), 7.32 (d, J = 2.7 Hz, 1H), 7.33 (s, 1H), 7.49 (s, 1H), 8.24 (d , J = 9.0 Hz, 1H), 8.61 (s, 1H).

Пример 136: N-[2-Хлор-4-({7-метокси-6-[2-(4-метилпиперазин)-этокси]-4-хиназолинил}окси)фенил]-N’-пропилмочевинаExample 136: N- [2-Chloro-4 - ({7-methoxy-6- [2- (4-methylpiperazine) ethoxy] -4-quinazolinyl} oxy) phenyl] -N’-propylurea

N-{2-Хлор-4-[(6-гидрокси-7-метокси-4-хиназолинил)окси]-фенил}-N’-пропилмочевину (500 мг), карбонат калия (857 мг) и 1,3-дибромпропан (0,5 мл) растворяют в N,N-диметилформамиде (5 мл), и раствор перемешивают при комнатной температуре в течение 3 ч. Растворитель удаляют путем перегонки при пониженном давлении. К остатку добавляют воду и экстрагируют смесью хлороформ/2-пропанол (4/1). Органический слой сушат над безводным сульфатом натрия. Растворитель удаляют путем перегонки при пониженном давлении. Остаток промывают эфиром, получая 451 мг (выход 71%) N-(4-{[6-(2-бромэтокси)-7-метокси-4-хиназолинил]окси}-2-хлорфенил}-N’-пропил-мочевины. N-(4-{[6-(2-Бромэтокси)-7-метокси-4-хиназолинил]окси}-2-хлорфенил}-N’-пропилмочевину (50 мг), карбонат калия (40 мг) и N-метилпиперазин (50 мкл) растворяют в N,N-диметилформамиде (1 мл), и раствор перемешивают при комнатной температуре в течение ночи. Растворитель удаляют путем перегонки при пониженном давлении. К остатку добавляют насыщенный водный раствор гидрокарбоната натрия, и смесь экстрагируют хлороформом. Органический слой сушат над безводным сульфатом натрия. Растворитель удаляют путем перегонки при пониженном давлении. Остаток очищают методом хроматографии на силикагеле, элюируя смесью хлороформ/метанол, получая 20 мг (выход 44%) указанного в заголовке соединения.N- {2-Chloro-4 - [(6-hydroxy-7-methoxy-4-quinazolinyl) oxy] phenyl} -N'-propylurea (500 mg), potassium carbonate (857 mg) and 1,3-dibromopropane (0.5 ml) was dissolved in N, N-dimethylformamide (5 ml), and the solution was stirred at room temperature for 3 hours. The solvent was removed by distillation under reduced pressure. Water was added to the residue and extracted with chloroform / 2-propanol (4/1). The organic layer was dried over anhydrous sodium sulfate. The solvent was removed by distillation under reduced pressure. The residue was washed with ether to give 451 mg (71% yield) of N- (4 - {[6- (2-bromoethoxy) -7-methoxy-4-quinazolinyl] oxy} -2-chlorophenyl} -N'-propyl-urea. N- (4 - {[6- (2-Bromoethoxy) -7-methoxy-4-quinazolinyl] oxy} -2-chlorophenyl} -N'-propylurea (50 mg), potassium carbonate (40 mg) and N-methylpiperazine (50 μl) was dissolved in N, N-dimethylformamide (1 ml) and the solution was stirred at room temperature overnight. The solvent was removed by distillation under reduced pressure. Saturated aqueous sodium hydrogen carbonate solution was added to the residue, and the mixture was extracted with chloroform. Organic layer dried over anhydrous sodium sulfate. The solvent was removed by distillation under reduced pressure. The residue was purified by silica gel chromatography, eluting with chloroform / methanol, to give 20 mg (44%) of the title compound.

1H ЯМР (CDCl3, 400 МГц): δ 0,98 (т, J=7,3 Гц, 3Н), 1,56-1,65 (м, 2Н), 1,77 (шир, 4Н), 2,31 (с, 3Н), 2,53 (шир, 2Н), 2,71 (шир, 2Н), 2,97 (т, J=6,1 Гц, 3Н), 3,24-3,29 (м, 2Н), 4,04 (с, 3Н), 4,32 (т, J=6,1 Гц, 2Н), 4,83 (шир, 1Н), 6,69 (с, 1Н), 7,16 (дд, J=2,7 Гц, 9,0 Гц, 1Н), 7,30 (с, 1Н), 7,31 (с, 1Н), 7,55 (с, 1Н), 8,25 (д, J=9,0 Гц, 1Н), 8,62 (с, 1Н).1 H NMR (CDCl3 , 400 MHz): δ 0.98 (t, J = 7.3 Hz, 3H), 1.56-1.65 (m, 2H), 1.77 (broad, 4H), 2.31 (s, 3H), 2.53 (broad, 2H), 2.71 (broad, 2H), 2.97 (t, J = 6.1 Hz, 3H), 3.24-3.29 (m, 2H), 4.04 (s, 3H), 4.32 (t, J = 6.1 Hz, 2H), 4.83 (br, 1H), 6.69 (s, 1H), 7 16 (dd, J = 2.7 Hz, 9.0 Hz, 1H), 7.30 (s, 1H), 7.31 (s, 1H), 7.55 (s, 1H), 8.25 (d, J = 9.0 Hz, 1H), 8.62 (s, 1H).

Определение молекулярной массы (ESI-MS, rа/z): 529 (М++1).Determination of molecular weight (ESI-MS, ra / z): 529 (M+ +1).

Пример 137: N-[2-Хлор-4-({7-метокси-6-[3-(4-метил-пиперазин)-пропокси]-4-хиназолинил}окси)фенил]-N’-пропилмочевинаExample 137: N- [2-Chloro-4 - ({7-methoxy-6- [3- (4-methyl-piperazine) propoxy] -4-quinazolinyl} oxy) phenyl] -N’-propylurea

N-{2-Хлор-4-[(6-гидрокси-7-метокси-4-хиназолинил)окси]-фенил}-N’-пропилмочевину (500 мг), карбонат калия (857 мг) и 1,3-дибромпропан (0,5 мл) растворяют в N,N-диметилформамиде (5 мл), и раствор перемешивают при комнатной температуре в течение 3 ч. Растворитель удаляют путем перегонки при пониженном давлении. К остатку добавляют воду и экстрагируют смесью хлороформ/2-пропанол (4/1). Органический слой сушат над безводным сульфатом натрия. Растворитель удаляют путем перегонки при пониженном давлении. Остаток промывают эфиром, получая 451 мг (выход 71%) N-(4-{[6-(3-бромпропокси)-7-метокси-4-хиназолинил]окси}-2-хлорфенил}-N’-пропилмочевины. N-(4-{[6-(3-Бромпропокси)-7-метокси-4-хиназолинил]окси}-2-хлорфенил}-N’-пропилмочевину (50 мг), карбонат калия (40 мг) и N-метилпиперазин (50 мкл) растворяют в N,N-диметилформамиде (1 мл), и раствор перемешивают при комнатной температуре в течение ночи. Растворитель удаляют путем перегонки при пониженном давлении. К остатку добавляют насыщенный водный раствор гидрокарбоната натрия, и смесь экстрагируют хлороформом. Органический слой сушат над безводным сульфатом натрия. Растворитель удаляют путем перегонки при пониженном давлении. Остаток очищают методом хроматографии на силикагеле, элюируя смесью хлороформ/метанол, получая 20 мг (выход 44%) указанного в заголовке соединения.N- {2-Chloro-4 - [(6-hydroxy-7-methoxy-4-quinazolinyl) oxy] phenyl} -N'-propylurea (500 mg), potassium carbonate (857 mg) and 1,3-dibromopropane (0.5 ml) was dissolved in N, N-dimethylformamide (5 ml), and the solution was stirred at room temperature for 3 hours. The solvent was removed by distillation under reduced pressure. Water was added to the residue and extracted with chloroform / 2-propanol (4/1). The organic layer was dried over anhydrous sodium sulfate. The solvent was removed by distillation under reduced pressure. The residue was washed with ether to give 451 mg (71% yield) of N- (4 - {[6- (3-bromopropoxy) -7-methoxy-4-quinazolinyl] oxy} -2-chlorophenyl} -N'-propylurea. N- (4 - {[6- (3-Bromopropoxy) -7-methoxy-4-quinazolinyl] oxy} -2-chlorophenyl} -N'-propylurea (50 mg), potassium carbonate (40 mg) and N-methylpiperazine (50 μl) was dissolved in N, N-dimethylformamide (1 ml) and the solution was stirred at room temperature overnight. The solvent was removed by distillation under reduced pressure. Saturated aqueous sodium hydrogen carbonate solution was added to the residue, and the mixture was extracted with chloroform. the layer was dried over anhydrous sodium sulfate, the solvent was removed by distillation under reduced pressure, and the residue was purified by silica gel chromatography eluting with chloroform / methanol to obtain 20 mg (44%) of the title compound.

1H ЯМР (CDCl3, 400 МГц): δ 0,98 (т, J=7,6 Гц, 3Н), 1,58-1,64 (м, 2Н), 1,71 (шир, 4Н), 2,31 (с, 3Н), 2,53 (шир, 2Н), 2,71 (шир, 2Н), 2,11-2,17 (м, 2Н), 2,30 (с, 3Н), 2,59-2,62 (м, 2Н), 3,24-3,29 (м, 2Н), 4,04 (с, 3Н), 4,26 (т, J=6,6 Гц, 2Н), 4,80 (шир, 1Н), 6,67 (с, 1Н), 7,17 (дд, J=2,7 Гц, 9,0 Гц, 1H), 7,31 (с, 1Н), 7,31 (с, 1H), 7,52 (с, 1Н), 8,25 (д, J=9,0 Гц, 1Н), 5 8,61 (с, 1Н).1 H NMR (CDCl3 , 400 MHz): δ 0.98 (t, J = 7.6 Hz, 3H), 1.58-1.64 (m, 2H), 1.71 (broad, 4H), 2.31 (s, 3H), 2.53 (broad, 2H), 2.71 (broad, 2H), 2.11-2.17 (m, 2H), 2.30 (s, 3H), 2 59-2.62 (m, 2H), 3.24-3.29 (m, 2H), 4.04 (s, 3H), 4.26 (t, J = 6.6 Hz, 2H), 4.80 (broad, 1H), 6.67 (s, 1H), 7.17 (dd, J = 2.7 Hz, 9.0 Hz, 1H), 7.31 (s, 1H), 7, 31 (s, 1H), 7.52 (s, 1H), 8.25 (d, J = 9.0 Hz, 1H), 5 8.61 (s, 1H).

Определение молекулярной массы (ESI-MS, m/z): 543 (M++1).Determination of molecular weight (ESI-MS, m / z): 543 (M+ +1).

Пример 138: N-(2-Хлор-4-{[7-метокси-6-(2-пиридилметокси)-4-хиназолинил]окси}фенил)-N’-пропилмочевинаExample 138: N- (2-Chloro-4 - {[7-methoxy-6- (2-pyridylmethoxy) -4-quinazolinyl] oxy} phenyl) -N’-propylurea

Исходное соединение (N-{2-хлор-4-[(6-гидрокси-7-метокси-4-хиназолинил)окси]фенил}-N’-пропилмочевина, 80 мг), карбонат калия (138 мг) и гидрохлорид 2-(хлорметил)пиридина (41 мг) растворяют в N,N-диметилформамиде (1 мл), и раствор перемешивают при 120°С в течение 3 ч. К реакционной смеси добавляют воду и проводят экстракцию смесью хлороформ-пропанол (3/1). Органический слой сушат над безводным сульфатом натрия, и растворитель удаляют путем перегонки при пониженном давлении. Остаток промывают этилацетатом, получая 54 мг (выход 55%) указанного в заголовке соединения.Starting compound (N- {2-chloro-4 - [(6-hydroxy-7-methoxy-4-quinazolinyl) oxy] phenyl} -N'-propylurea, 80 mg), potassium carbonate (138 mg) and 2- hydrochloride (chloromethyl) pyridine (41 mg) was dissolved in N, N-dimethylformamide (1 ml), and the solution was stirred at 120 ° C. for 3 hours. Water was added to the reaction mixture and extraction was performed with chloroform-propanol (3/1). The organic layer was dried over anhydrous sodium sulfate, and the solvent was removed by distillation under reduced pressure. The residue was washed with ethyl acetate to obtain 54 mg (55% yield) of the title compound.

1H ЯМР (СDСl3, 400 МГц): δ 0,91 (т, J=7,6 Гц, 3Н), 1,51-1,58 (м, 2Н), 3,17-3,22 (м, 2Н), 4,02 (с, 3Н), 4,69 (шир, 1Н), 5,36 (с, 2Н), 6,57 (с, 1Н), 7,08 (дд, J=2,7 Гц, 9,0 Гц, 1Н), 7,21-7,29 (м, 2Н), 7,53-7,55 (м, 2Н), 7,66-7,71 (м, 1Н), 8,15 (д, J=9,0 Гц, 1Н), 8,55-8,57 (м, 2Н).1 H NMR (CDCl3 , 400 MHz): δ 0.91 (t, J = 7.6 Hz, 3H), 1.51-1.58 (m, 2H), 3.17-3.22 (m , 2H), 4.02 (s, 3H), 4.69 (broad, 1H), 5.36 (s, 2H), 6.57 (s, 1H), 7.08 (dd, J = 2, 7 Hz, 9.0 Hz, 1H), 7.21-7.29 (m, 2H), 7.53-7.55 (m, 2H), 7.66-7.71 (m, 1H), 8.15 (d, J = 9.0 Hz, 1H); 8.55-8.57 (m, 2H).

Определение молекулярной массы (ESI-MS, m/z): 494 (М++1).Determination of molecular weight (ESI-MS, m / z): 494 (M+ +1).

Пример 139: N-(2-Хлор-4-{[7-метокси-6-(3-морфолинпропокси)-4-хиназолинил]окси}фенил)-N’-пропилмочевинаExample 139: N- (2-Chloro-4 - {[7-methoxy-6- (3-morpholinpropoxy) -4-quinazolinyl] oxy} phenyl) -N’-propylurea

Исходное соединение (N-(4-{[6-(3-пропокси)-7-метокси-4-хиназолинил]окси}-2-хлорфенил)-N’-пропилмочевина, 54 мг), карбонат калия (138 мг) и морфолин (0,017 мл) растворяют в N, N-диметилформамиде (1 мл), и раствор перемешивают при 120°С в течение 3 ч. К реакционной смеси добавляют воду и проводят экстракцию смесью хлороформ-пропанол (3/1). Органический слой сушат над безводным сульфатом натрия. Растворитель удаляют путем перегонки при пониженном давлении. Остаток промывают этилацетатом, получая 42 мг (выход 77%) указанного в заголовке соединения.Starting compound (N- (4 - {[6- (3-propoxy) -7-methoxy-4-quinazolinyl] oxy} -2-chlorophenyl) -N'-propylurea, 54 mg), potassium carbonate (138 mg) and morpholine (0.017 ml) was dissolved in N, N-dimethylformamide (1 ml), and the solution was stirred at 120 ° C. for 3 hours. Water was added to the reaction mixture and extraction was performed with chloroform-propanol (3/1). The organic layer was dried over anhydrous sodium sulfate. The solvent was removed by distillation under reduced pressure. The residue was washed with ethyl acetate to obtain 42 mg (yield 77%) of the title compound.

1H ЯМР (СDСl3, 400 МГц): δ 0,91 (т, J=7,6 Гц, 3Н), 1,47-1,59 (м, 4Н), 1,88-2,00 (м, 2Н), 2,35-2,48 (м, 4Н), 3,20 (дд, J=7,3 Гц, 12,9 Гц, 2Н), 3,62-3,74 (м, 4Н), 3,97 (с, 3Н), 4,15 (т, J=6,3 Гц, 2Н), 4,74-4,80 (м, 1Н), 6,63 (с, 1Н), 7,09 (дд, J=2,7 Гц, 9,0 Гц, 1Н), 7,24 (д, J=2,7 Гц, 1Н), 7,42 (с, 1Н), 8,18 (д, J=9, 0 Гц, 1Н), 8,54 (с, 1Н).1 H NMR (CDCl3 , 400 MHz): δ 0.91 (t, J = 7.6 Hz, 3H), 1.47-1.59 (m, 4H), 1.88-2.00 (m , 2H), 2.35-2.48 (m, 4H), 3.20 (dd, J = 7.3 Hz, 12.9 Hz, 2H), 3.62-3.74 (m, 4H) 3.97 (s, 3H), 4.15 (t, J = 6.3 Hz, 2H), 4.74-4.80 (m, 1H), 6.63 (s, 1H), 7, 09 (dd, J = 2.7 Hz, 9.0 Hz, 1H), 7.24 (d, J = 2.7 Hz, 1H), 7.42 (s, 1H), 8.18 (d, J = 9.0 Hz, 1H), 8.54 (s, 1H).

Определение молекулярной массы (ESI-MS, m/z): 530 (М++1).Determination of molecular weight (ESI-MS, m / z): 530 (M+ +1).

Пример 140: N-{2-Хлор-4-[(6-{3-(2-гидроксиэтил)-(метил)-амино]пропокси}-7-метокси-4-хиназолинил)окси]-фенил}-N’-пропилмочевинаExample 140: N- {2-Chloro-4 - [(6- {3- (2-hydroxyethyl) - (methyl) amino] propoxy} -7-methoxy-4-quinazolinyl) oxy] phenyl} -N ' propylurea

Исходное соединение (N-(4-{[6-(3-бромпропокси)-7-метокси-4-хиназолинил]окси}-2-хлорфенил)-N’-пропил-мочевина, 51 мг), карбонат калия (68 мг) и 2-(метиламино)этанол (15 мг) растворяют в N,N-диметилформамиде (1 мл), и раствор перемешивают при 80°С в течение 3 ч. К реакционной смеси добавляют воду и проводят экстракцию смесью хлороформ-пропанол (3/1). Органический слой сушат над безводным сульфатом натрия, и растворитель удаляют путем перегонки при пониженном давлении. Остаток очищают методом ВЭЖХ, элюируя смесью хлороформ/метанол, получая 25 мг (выход 48%) указанного в заголовке соединения.Starting compound (N- (4 - {[6- (3-bromopropoxy) -7-methoxy-4-quinazolinyl] oxy} -2-chlorophenyl) -N'-propyl urea, 51 mg), potassium carbonate (68 mg ) and 2- (methylamino) ethanol (15 mg) are dissolved in N, N-dimethylformamide (1 ml), and the solution is stirred at 80 ° C for 3 hours. Water is added to the reaction mixture and extraction is carried out with chloroform-propanol (3 /1). The organic layer was dried over anhydrous sodium sulfate, and the solvent was removed by distillation under reduced pressure. The residue was purified by HPLC, eluting with a chloroform / methanol mixture to give 25 mg (48% yield) of the title compound.

1H ЯМР (CDCl3, 400 МГц): δ 0,95 (т, J=7,6 Гц, 3Н), 1,53-1,62 (м, 2Н), 2,08-2,15 (м, 2Н), 2,30 (с, 3Н), 2,58 (т, J=5,4 Гц, 2Н), 2,68 (т, J=7,1 Гц, 2Н), 3,21-3,26 (м, 2Н), 3,60 (т, J=5,4 Гц, 2Н), 4,02 (с, 3Н), 4,23 (т, J=6,3 Гц, 2Н), 5,06 (т, J=5,6 Гц, 1 Гц), 6,79 (с, 1Н), 7,13 (дд, J=2,7 Гц, 9,0 Гц, 1Н), 7,27-7,28 (м, 2Н), 7,48 (с, 1Н), 8,21 (д, J=9,0 Гц, 1Н), 8,58 (с, 1Н).1 H NMR (CDCl3 , 400 MHz): δ 0.95 (t, J = 7.6 Hz, 3H), 1.53-1.62 (m, 2H), 2.08-2.15 (m , 2H), 2.30 (s, 3H), 2.58 (t, J = 5.4 Hz, 2H), 2.68 (t, J = 7.1 Hz, 2H), 3.21-3 26 (m, 2H), 3.60 (t, J = 5.4 Hz, 2H), 4.02 (s, 3H), 4.23 (t, J = 6.3 Hz, 2H), 5 06 (t, J = 5.6 Hz, 1 Hz), 6.79 (s, 1H), 7.13 (dd, J = 2.7 Hz, 9.0 Hz, 1H), 7.27- 7.28 (m, 2H), 7.48 (s, 1H), 8.21 (d, J = 9.0 Hz, 1H), 8.58 (s, 1H).

Пример 141: N-(2-Хлор-4-{[6-метокси-7-(2-пиридил-метокси)-4-хинолил]окси}фенил)-N’-пропилмочевинаExample 141: N- (2-Chloro-4 - {[6-methoxy-7- (2-pyridyl-methoxy) -4-quinolyl] oxy} phenyl) -N’-propylurea

Исходное соединение (N-{2-хлор-4-[(7-гидрокси-6-метокси-4-хинолил)окси]фенил}-N’-пропилмочевина, 80 мг), карбонат калия (138 мг) и гидрохлорид 2-хлорметилпиридина (41 мг) растворяют в N,N-диметилформамиде (1 мл), и раствор перемешивают при 80°С в течение 3 ч. К реакционной смеси добавляют воду и проводят экстракцию смесью хлороформ-пропанол (3/1). Органический слой сушат над безводным сульфатом натрия. Растворитель удаляют путем перегонки при пониженном давлении. Остаток очищают методом ВЭЖХ, получая 81 мг (выход 82%) указанного в заголовке соединения.Starting compound (N- {2-chloro-4 - [(7-hydroxy-6-methoxy-4-quinolyl) oxy] phenyl} -N'-propylurea, 80 mg), potassium carbonate (138 mg) and 2- hydrochloride chloromethylpyridine (41 mg) was dissolved in N, N-dimethylformamide (1 ml), and the solution was stirred at 80 ° C. for 3 hours. Water was added to the reaction mixture and extraction was performed with chloroform-propanol (3/1). The organic layer was dried over anhydrous sodium sulfate. The solvent was removed by distillation under reduced pressure. The residue was purified by HPLC to give 81 mg (82% yield) of the title compound.

1H ЯМР (СDСl3, 400 МГц): δ 0,97 (т, J=7,6 Гц, 3Н), 1,54-1,65 (м, 2Н), 3,25 (дд, J=7,1 Гц, 12,9 Гц, 2Н), 4,05 (с, 3Н), 4,75-4,82 (м, 1Н), 5,42 (с, 2Н), 6,46 (д, J=5,4 Гц, 1H), 6,67 (с, 1H), 7,08 (дд, J=2,9 Гц, 9,0 Гц, 1Н), 7,19 (д, J=2,7 Гц, 1Н), 7,44 (с, 1Н), 7,53 (с, 1Н), 7,56 (д, J=7,8 Гц, 1Н), 7,69 (dt, J=2,0 Гц, 7,8 Гц, 1Н), 8,25 (д, J=9,0 Гц, 1Н), 8,46 (д, J=5,1 Гц, 1Н), 8,61 (д, J=4,6 Гц, 1H).1 H NMR (CDCl3 , 400 MHz): δ 0.97 (t, J = 7.6 Hz, 3H), 1.54-1.65 (m, 2H), 3.25 (dd, J = 7 , 1 Hz, 12.9 Hz, 2H), 4.05 (s, 3H), 4.75-4.82 (m, 1H), 5.42 (s, 2H), 6.46 (d, J = 5.4 Hz, 1H), 6.67 (s, 1H), 7.08 (dd, J = 2.9 Hz, 9.0 Hz, 1H), 7.19 (d, J = 2.7 Hz, 1H), 7.44 (s, 1H), 7.53 (s, 1H), 7.56 (d, J = 7.8 Hz, 1H), 7.69 (dt, J = 2.0 Hz, 7.8 Hz, 1H), 8.25 (d, J = 9.0 Hz, 1H), 8.46 (d, J = 5.1 Hz, 1H), 8.61 (d, J = 4.6 Hz, 1H).

Определение молекулярной массы (ESI-MS, m/z): 493 (M++1).Determination of molecular weight (ESI-MS, m / z): 493 (M+ +1).

Пример 142: N-(2-Хлор-4-{[6-метокси-7-(3-пиридил-метокси)-4-хинолил]окси}фенил)-N’-пропилмочевинаExample 142: N- (2-Chloro-4 - {[6-methoxy-7- (3-pyridyl-methoxy) -4-quinolyl] oxy} phenyl) -N’-propylurea

Исходное соединение (N-{2-хлор-4-[(7-гидрокси-6-метокси-4-хинолил)окси]фенил}-N’-пропилмочевина, 80 мг), карбонат калия (138 мг) и гидрохлорид 3-хлорметилпиридина (41 мг) растворяют в N,N-диметилформамиде (1 мл), и раствор перемешивают при 80°С в течение 3 ч. К реакционной смеси добавляют воду и проводят экстракцию смесью хлороформ-пропанол (3/1). Органический слой сушат над безводным сульфатом натрия, и растворитель удаляют путем перегонки при пониженном давлении. Остаток очищают методом ВЭЖХ, получая 70 мг (выход 71%) указанного в заголовке соединения.Starting compound (N- {2-chloro-4 - [(7-hydroxy-6-methoxy-4-quinolyl) oxy] phenyl} -N'-propylurea, 80 mg), potassium carbonate (138 mg) and 3- hydrochloride chloromethylpyridine (41 mg) was dissolved in N, N-dimethylformamide (1 ml), and the solution was stirred at 80 ° C. for 3 hours. Water was added to the reaction mixture and extraction was performed with chloroform-propanol (3/1). The organic layer was dried over anhydrous sodium sulfate, and the solvent was removed by distillation under reduced pressure. The residue was purified by HPLC to obtain 70 mg (71% yield) of the title compound.

1H ЯМР (CDCl3, 400 МГц): δ 0,97 (т, J=7,3 Гц, 3Н), 1,54-1,65 (м, 2Н), 3,25 (дд, J=7,3 Гц, 12,9 Гц, 2Н), 4,02 (с, 3Н), 4,82-4,90 (м, 1H), 5,30 (с, 2Н), 6,47 (д, J=5,4 Гц, 1H), 6,72 (с, 1H), 7,09 (дд, J=2,7 Гц, 9,0 Гц, 1H), 7,19 (д, J=2,7 Гц, 1Н), 7,32 (дд, J=4,9 Гц, 7,8 Гц, 1H), 7,47 (с, 1H), 7,52 (с, 1H), 7,84 (д, J=5 7,8 Гц, 1H), 8,26 (д, J=9,3 Гц, 1H), 8,47 (д, J=5,4 Гц, 1H), 8,58 (д, J=3,2 Гц, 1Н), 8,75 (с, 1Н).1 H NMR (CDCl3 , 400 MHz): δ 0.97 (t, J = 7.3 Hz, 3H), 1.54-1.65 (m, 2H), 3.25 (dd, J = 7 , 3 Hz, 12.9 Hz, 2H), 4.02 (s, 3H), 4.82-4.90 (m, 1H), 5.30 (s, 2H), 6.47 (d, J = 5.4 Hz, 1H), 6.72 (s, 1H), 7.09 (dd, J = 2.7 Hz, 9.0 Hz, 1H), 7.19 (d, J = 2.7 Hz, 1H), 7.32 (dd, J = 4.9 Hz, 7.8 Hz, 1H), 7.47 (s, 1H), 7.52 (s, 1H), 7.84 (d, J = 5.7.8 Hz, 1H), 8.26 (d, J = 9.3 Hz, 1H), 8.47 (d, J = 5.4 Hz, 1H), 8.58 (d, J = 3.2 Hz, 1H), 8.75 (s, 1H).

Определение молекулярной массы (ESI-MS, m/z): 493 (М++1).Determination of molecular weight (ESI-MS, m / z): 493 (M+ +1).

Пример 143: N-(2-Хлор-4-{[6-метокси-7-(4-пиридил-метокси)-4-хинолил]окси}фенил)-N’-пропилмочевинаExample 143: N- (2-Chloro-4 - {[6-methoxy-7- (4-pyridyl-methoxy) -4-quinolyl] oxy} phenyl) -N’-propylurea

Исходное соединение (N-{2-хлор-4-[(7-гидрокси-6-метокси-4-хинолил)окси]фенил}-N’-пропилмочевина, 80 мг), карбонат калия (138 мг) и гидрохлорид 4-хлорметилпиридина (41 мг) растворяют в N,N-диметилформамиде (1 мл), и раствор перемешивают при 80°С в течение 3 ч. К реакционной смеси добавляют воду и проводят экстракцию смесью хлороформ-пропанол (3/1). Органический слой сушат над безводным сульфатом натрия, и растворитель удаляют путем перегонки при пониженном давлении. Остаток очищают методом ВЭЖХ, получая 71 мг (выход 71%) указанного в заголовке соединения.Starting compound (N- {2-chloro-4 - [(7-hydroxy-6-methoxy-4-quinolyl) oxy] phenyl} -N'-propylurea, 80 mg), potassium carbonate (138 mg) and 4- hydrochloride chloromethylpyridine (41 mg) was dissolved in N, N-dimethylformamide (1 ml), and the solution was stirred at 80 ° C. for 3 hours. Water was added to the reaction mixture and extraction was performed with chloroform-propanol (3/1). The organic layer was dried over anhydrous sodium sulfate, and the solvent was removed by distillation under reduced pressure. The residue was purified by HPLC to obtain 71 mg (71% yield) of the title compound.

1H ЯМР (CDCl3, 400 МГц): δ 0,97 (т, J=7,6 Гц, 3Н), 1,54-1,65 (м, 2Н), 3,25 (дд, J=7,1 Гц, 12,9 Гц, 2Н), 4,05 (с, 3Н), 4,86-4,92 (м, 1Н), 5,32 (с, 2Н), 6,48 (д, J=4,7 Гц, 1Н), 6,73 (с, 1Н), 7,08 (дд, J=2,7 Гц,, 9,0 Гц, 1Н), 7,19 (д, J=2,9 Гц, 1Н), 7,38 (с, 1Н), 7,41 (д, J=6,1 Гц, 2Н), 7,54 (с, 1Н), 8,26 (д, J=9,0 Гц, 1Н), 8,46 (д, J=5,4 Гц, 1Н), 8, 61 (д, J=6,1 Гц, 2Н).1 H NMR (CDCl3 , 400 MHz): δ 0.97 (t, J = 7.6 Hz, 3H), 1.54-1.65 (m, 2H), 3.25 (dd, J = 7 , 1 Hz, 12.9 Hz, 2H), 4.05 (s, 3H), 4.86-4.92 (m, 1H), 5.32 (s, 2H), 6.48 (d, J = 4.7 Hz, 1H), 6.73 (s, 1H), 7.08 (dd, J = 2.7 Hz ,, 9.0 Hz, 1H), 7.19 (d, J = 2, 9 Hz, 1H), 7.38 (s, 1H), 7.41 (d, J = 6.1 Hz, 2H), 7.54 (s, 1H), 8.26 (d, J = 9, 0 Hz, 1H), 8.46 (d, J = 5.4 Hz, 1H), 8, 61 (d, J = 6.1 Hz, 2H).

Определение молекулярной массы (ESI-MS, m/z): 493 (M++1).Determination of molecular weight (ESI-MS, m / z): 493 (M+ +1).

Пример 144: N-(2-Хлор-4-{[6-метокси-7-(2-морфолинэтокси)-4-хинолил]окси}фенил)-N’-пропилмочевинаExample 144: N- (2-Chloro-4 - {[6-methoxy-7- (2-morpholinethoxy) -4-quinolyl] oxy} phenyl) -N’-propylurea

Исходное соединение (N-{2-хлор-4-[(7-гидрокси-6-метокси-4-хинолил)окси]фенил}-N’-пропилмочевина, 100 мг), карбонат калия (172 мг) и 1,2-дибромэтан (0,086 мл) растворяют в N,N-диметилформамиде (1 мл), и раствор перемешивают при комнатной температуре в течение 3 ч. К реакционной смеси добавляют воду и проводят экстракцию смесью хлороформ-пропанол (3/1). Органический слой сушат над безводным сульфатом натрия, и растворитель удаляют путем перегонки при пониженном давлении. Остаток промывают эфиром, получая промежуточное соединение (N-(4-{[7-(2-бромэтокси)-6-метокси-4-хинолил]окси}-2-хлорфенил)-N’-пропилмочевину). Промежуточное соединение, карбонат калия (138 мг) и морфолин (0,17 мл) растворяют в N,N-диметилформамиде (1 мл), и раствор перемешивают при 80°С в течение 2 ч. К реакционной смеси добавляют воду, и проводят экстракцию смесью хлороформ-пропанол (3/1). Органический слой сушат над безводным сульфатом натрия, и растворитель удаляют путем перегонки при пониженном давлении. Остаток очищают методом хроматографии на силикагеле, элюируя смесью хлороформ/метанол, получая 70 мг (выход 54%) указанного в заголовке соединения.Starting compound (N- {2-chloro-4 - [(7-hydroxy-6-methoxy-4-quinolyl) oxy] phenyl} -N'-propylurea, 100 mg), potassium carbonate (172 mg) and 1.2 -dibromoethane (0.086 ml) was dissolved in N, N-dimethylformamide (1 ml), and the solution was stirred at room temperature for 3 hours. Water was added to the reaction mixture and extraction was performed with chloroform-propanol (3/1). The organic layer was dried over anhydrous sodium sulfate, and the solvent was removed by distillation under reduced pressure. The residue was washed with ether to give the intermediate (N- (4 - {[7- (2-bromoethoxy) -6-methoxy-4-quinolyl] oxy} -2-chlorophenyl) -N’-propylurea). The intermediate, potassium carbonate (138 mg) and morpholine (0.17 ml) were dissolved in N, N-dimethylformamide (1 ml), and the solution was stirred at 80 ° C. for 2 hours. Water was added to the reaction mixture and extraction was performed a mixture of chloroform-propanol (3/1). The organic layer was dried over anhydrous sodium sulfate, and the solvent was removed by distillation under reduced pressure. The residue was purified by silica gel chromatography, eluting with a chloroform / methanol mixture, to give 70 mg (54% yield) of the title compound.

1H ЯМР (СDСl3, 400 МГц): δ 0,91 (т, J=7,6 Гц, 3Н), 1,50-1,59 (м, 2Н), 2,57 (т, J=4,6 Гц, 4Н), 2,88 (т, J=5,9 Гц, 2Н), 3,18-3,23 (м, 2Н), 3,68 (т, J=4,6 Гц, 4Н), 3,94 (с, 3Н), 4,26 (т, J=5,9 Гц, 2Н), 4,98 (т, J=5,3 Гц, 2Н), 6,41 (д, J=5,3 Гц, 1Н), 6,74 (шир, 1Н), 7,03 (дд, J=2,7 Гц, 9,0 Гц, 1Н), 7,14 (д, J=2,7 Гц, 1Н), 7,34 (с, 1Н), 7,43 (с, 1H), 8,42 (д, J=5,1 Гц, 1Н).1 H NMR (CDCl3 , 400 MHz): δ 0.91 (t, J = 7.6 Hz, 3H), 1.50-1.59 (m, 2H), 2.57 (t, J = 4 6 Hz, 4H), 2.88 (t, J = 5.9 Hz, 2H), 3.18-3.23 (m, 2H), 3.68 (t, J = 4.6 Hz, 4H ), 3.94 (s, 3H), 4.26 (t, J = 5.9 Hz, 2H), 4.98 (t, J = 5.3 Hz, 2H), 6.41 (d, J = 5.3 Hz, 1H), 6.74 (br, 1H), 7.03 (dd, J = 2.7 Hz, 9.0 Hz, 1H), 7.14 (d, J = 2.7 Hz, 1H), 7.34 (s, 1H), 7.43 (s, 1H), 8.42 (d, J = 5.1 Hz, 1H).

Определение молекулярной массы (ESI-MS, m/z): 515 (M++1).Determination of molecular weight (ESI-MS, m / z): 515 (M+ +1).

Пример 145: N-[2-Хлор-4-({6-метокси-7-[2-(1Н-1,2,3-триазол-1-ил)этокси]-4-хинолил}окси)фенил]-N’-пропилмочевинаExample 145: N- [2-Chloro-4 - ({6-methoxy-7- [2- (1H-1,2,3-triazol-1-yl) ethoxy] -4-quinolyl} oxy) phenyl] - N'-propylurea

Исходное соединение (N-{2-хлор-4-[(7-гидрокси-6-метокси-4-хинолил)окси]фенил}-N’-пропилмочевина, 80 мг), карбонат калия (138 мг) и 2-(1Н-1,2,3-триазол-1-ил)этил 4-метил-1-бензолсульфонат (59 мг) растворяют в N,N-диметилформамиде (1 мл), и раствор перемешивают при 120°С в течение 5 ч. К реакционной смеси добавляют воду и проводят экстракцию смесью хлороформ-пропанол (3/1). Органический слой сушат над безводным сульфатом натрия, и растворитель удаляют путем перегонки при пониженном давлении. Остаток очищают методом ВЭЖХ, элюируя смесью хлороформ-метанол, получая 92 мг (выход 92%) указанного в заголовке соединения.Starting compound (N- {2-chloro-4 - [(7-hydroxy-6-methoxy-4-quinolyl) oxy] phenyl} -N'-propylurea, 80 mg), potassium carbonate (138 mg) and 2- ( 1H-1,2,3-triazol-1-yl) ethyl 4-methyl-1-benzenesulfonate (59 mg) was dissolved in N, N-dimethylformamide (1 ml), and the solution was stirred at 120 ° C for 5 h. Water was added to the reaction mixture and extraction was carried out with a mixture of chloroform-propanol (3/1). The organic layer was dried over anhydrous sodium sulfate, and the solvent was removed by distillation under reduced pressure. The residue was purified by HPLC, eluting with a mixture of chloroform-methanol, to give 92 mg (yield 92%) of the title compound.

1H ЯМР (СDСl3, 400 МГц): δ 0,97 (т, J=7,6 Гц, 3Н), 1,57-1,63 (м, 2Н), 3,23-3,28 (м, 2Н), 4,01 (с, 3Н), 4,52 (т, J=5,1 Гц, 2Н), 4,81 (шир, 1H), 4,93 (т, J=5,1 Гц, 2Н), 6,47 (д, J=5,4 Гц, 1H), 6,69 (с, 1H), 7,08 (дд, J=2,7 Гц, 9,0 Гц, 1H), 7,18 (д, J=2,7 Гц, 1H), 7,37 (с, 1H), 7,51 (с, 1H), 7,72 (д, J=1,0 Гц, 1H), 7,97 (д, J=1,0 Гц, 1H), 8,26 (д, J=9,0 Гц, 1H), 8,48 (д, J=5,4 Гц, 1H).1 H NMR (CDCl3 , 400 MHz): δ 0.97 (t, J = 7.6 Hz, 3H), 1.57-1.63 (m, 2H), 3.23-3.28 (m , 2H), 4.01 (s, 3H), 4.52 (t, J = 5.1 Hz, 2H), 4.81 (broad, 1H), 4.93 (t, J = 5.1 Hz , 2H), 6.47 (d, J = 5.4 Hz, 1H), 6.69 (s, 1H), 7.08 (dd, J = 2.7 Hz, 9.0 Hz, 1H), 7.18 (d, J = 2.7 Hz, 1H), 7.37 (s, 1H), 7.51 (s, 1H), 7.72 (d, J = 1.0 Hz, 1H), 7.97 (d, J = 1.0 Hz, 1H), 8.26 (d, J = 9.0 Hz, 1H), 8.48 (d, J = 5.4 Hz, 1H).

Определение молекулярной массы (ESI-MS, m/z): 497 (M++1).Determination of molecular weight (ESI-MS, m / z): 497 (M+ +1).

Пример 146: N-[2-Хлор-4-({7-[2-(1H-1-имидазолил)-этокси]-6-метокси-4-хинолил}окси)фенил]-N’-пропилмочевинаExample 146: N- [2-Chloro-4 - ({7- [2- (1H-1-imidazolyl) ethoxy] -6-methoxy-4-quinolyl} oxy) phenyl] -N’-propylurea

Исходное соединение (N-{2-хлор-4-[(7-гидрокси-6-метокси-4-хинолил)окси]фенил}-N’-пропилмочевина, 80 мг), карбонат калия (138 мг) и 2-(1H-1-имидазолил)этил 4-метил-1-бензол-сульфонат (59 мг) растворяют в N,N-диметилформамиде (1 мл), и раствор перемешивают при 120°С в течение 5 ч. К реакционной смеси добавляют воду и проводят экстракцию смесью хлороформ-пропанол (3/1). Органический слой сушат над безводным сульфатом натрия. Растворитель удаляют путем перегонки при пониженном давлении, и остаток очищают методом ВЭЖХ, элюируя смесью хлороформ/метанол, получая 81 мг (выход 82%) указанного в заголовке соединения.Starting compound (N- {2-chloro-4 - [(7-hydroxy-6-methoxy-4-quinolyl) oxy] phenyl} -N'-propylurea, 80 mg), potassium carbonate (138 mg) and 2- ( 1H-1-imidazolyl) ethyl 4-methyl-1-benzene-sulfonate (59 mg) was dissolved in N, N-dimethylformamide (1 ml), and the solution was stirred at 120 ° C. for 5 hours. Water was added to the reaction mixture, and extraction is carried out with a mixture of chloroform-propanol (3/1). The organic layer was dried over anhydrous sodium sulfate. The solvent was removed by distillation under reduced pressure, and the residue was purified by HPLC, eluting with a chloroform / methanol mixture to obtain 81 mg (82% yield) of the title compound.

1H ЯМР (CDCl3, 400 МГц): δ 0,96 (т, J=7,6 Гц, 3Н), 1,50-1,65 (м, 2Н), 1,90-2,08 (м, 2Н), 3,24 (дд, J=7,1 Гц, 12,9 Гц, 2Н), 4,01 (с, 3Н), 4,17 (т, J=6,6 Гц, 2Н), 4,44 (т, J=7,3 Гц, 2Н), 4,88-4,94 (м, 1Н), 6,32 (с, 1Н), 7,14 (дд, J=2,7 Гц, 9,0 Гц, 1Н), 7,25 (с, 1Н), 7,29 (д, J=2,7 Гц, 1Н), 7,48 (с, 1Н), 7,55 (с, 1Н), 7,70 (с, 1Н), 8,23 (д, J=9,0 Гц, 1Н), 8,58 (с, 1Н).1 H NMR (CDCl3 , 400 MHz): δ 0.96 (t, J = 7.6 Hz, 3H), 1.50-1.65 (m, 2H), 1.90-2.08 (m , 2H), 3.24 (dd, J = 7.1 Hz, 12.9 Hz, 2H), 4.01 (s, 3H), 4.17 (t, J = 6.6 Hz, 2H), 4.44 (t, J = 7.3 Hz, 2H), 4.88-4.94 (m, 1H), 6.32 (s, 1H), 7.14 (dd, J = 2.7 Hz) , 9.0 Hz, 1H), 7.25 (s, 1H), 7.29 (d, J = 2.7 Hz, 1H), 7.48 (s, 1H), 7.55 (s, 1H ), 7.70 (s, 1H), 8.23 (d, J = 9.0 Hz, 1H), 8.58 (s, 1H).

Определение молекулярной массы (ESI-MS, m/z): 496 (M++1).Determination of molecular weight (ESI-MS, m / z): 496 (M+ +1).

Пример 147: N-(2-Хлор-4-{[7-(3-гидроксипропокси)-6-метокси-4-хинолил]окси}фенил)-N’-пропилмочевинаExample 147: N- (2-Chloro-4 - {[7- (3-hydroxypropoxy) -6-methoxy-4-quinolyl] oxy} phenyl) -N’-propylurea

Исходное соединение (N-{2-хлор-4-[(7-гидрокси-6-метокси-4-хинолил)окси]фенил}-N’-пропилмочевина, 80 мг), карбонат калия (138 мг) и 3-бром-1-пропанол (0,027 мл) растворяют в N,N-диметилформамиде (1 мл), и раствор перемешивают при комнатной температуре в течение 18 ч. К реакционной смеси добавляют воду, и экстрагируют смесью хлороформ-пропанол (3/1). Органический слой сушат над безводным сульфатом натрия, и растворитель удаляют путем перегонки при пониженном давлении. Остаток очищают методом ВЭЖХ, элюируя смесью хлороформ/метанол, получая 94 мг (выход 100%) указанного в заголовке соединения.Starting compound (N- {2-chloro-4 - [(7-hydroxy-6-methoxy-4-quinolyl) oxy] phenyl} -N'-propylurea, 80 mg), potassium carbonate (138 mg) and 3-bromine -1-propanol (0.027 ml) was dissolved in N, N-dimethylformamide (1 ml), and the solution was stirred at room temperature for 18 hours. Water was added to the reaction mixture and extracted with chloroform-propanol (3/1). The organic layer was dried over anhydrous sodium sulfate, and the solvent was removed by distillation under reduced pressure. The residue was purified by HPLC, eluting with a chloroform / methanol mixture to give 94 mg (100% yield) of the title compound.

1H ЯМР (СDСl3, 400 МГц): δ 0,92 (т, J=7,6 Гц, 3Н), 1,45-1,62 (м, 2Н), 2,09-2,18 (м, 2Н), 3,21 (дд, J=7,1 Гц, 12,9 Гц, 2Н), 3,87 (т, J=5,6 Гц, 2Н), 3,94 (с, 3Н), 4,31 (т, J=6,1 Гц, 2Н), 4,81-4,87 (м, 1Н), 6,42 (д, J=5,1 Гц, 1Н), 6,69 (с, 1Н), 7,03 (дд, J=2,7 Гц, 9,0 Гц, 1Н), 7,14 (д, J=2,7 Гц, 1Н), 7,36 (с, 1Н), 7,43 (с, 1Н), 8,20 (д, J=9,0 Гц, 1Н), 8,42 (д, J=5,4 Гц, 1Н).1 H NMR (CDCl3 , 400 MHz): δ 0.92 (t, J = 7.6 Hz, 3H), 1.45-1.62 (m, 2H), 2.09-2.18 (m , 2H), 3.21 (dd, J = 7.1 Hz, 12.9 Hz, 2H), 3.87 (t, J = 5.6 Hz, 2H), 3.94 (s, 3H), 4.31 (t, J = 6.1 Hz, 2H), 4.81-4.87 (m, 1H), 6.42 (d, J = 5.1 Hz, 1H), 6.69 (s , 1H), 7.03 (dd, J = 2.7 Hz, 9.0 Hz, 1H), 7.14 (d, J = 2.7 Hz, 1H), 7.36 (s, 1H), 7.43 (s, 1H), 8.20 (d, J = 9.0 Hz, 1H), 8.42 (d, J = 5.4 Hz, 1H).

Пример 148: N-[2-Хлор-4-({6-метокси-7-[2-(4-метилпиперазин)-этокси]-4-хинолил}окси)фенил]-N’-пропилмочевинаExample 148: N- [2-Chloro-4 - ({6-methoxy-7- [2- (4-methylpiperazine) ethoxy] -4-quinolyl} oxy) phenyl] -N’-propylurea

Исходное соединение (N-(4-{[7-(2-бромэтокси)-6-метокси-4-хинолил]окси}-2-хлорфенил)-N’-пропилмочевина, 50 мг), карбонат калия (138 мг) и 1-метилпиперазин (0,055 мл) растворяют в N,N-диметилформамиде (1 мл), и раствор перемешивают при комнатной температуре в течение 18 ч. К реакционной смеси добавляют воду и проводят экстракцию смесью хлороформ-пропанол (3/1). Органический слой сушат над безводным сульфатом натрия, и растворитель удаляют путем перегонки при пониженном давлении. Остаток промывают эфиром, получая 54 мг (выход 100%) указанного в заголовке соединения.Starting compound (N- (4 - {[7- (2-bromoethoxy) -6-methoxy-4-quinolyl] oxy} -2-chlorophenyl) -N'-propylurea, 50 mg), potassium carbonate (138 mg) and 1-methylpiperazine (0.055 ml) was dissolved in N, N-dimethylformamide (1 ml), and the solution was stirred at room temperature for 18 hours. Water was added to the reaction mixture and extraction was performed with chloroform-propanol (3/1). The organic layer was dried over anhydrous sodium sulfate, and the solvent was removed by distillation under reduced pressure. The residue was washed with ether to give 54 mg (100% yield) of the title compound.

1H ЯМР (СDСl3, 400 МГц): δ 0,92 (т, J=7,3 Гц, 3Н), 1,49-1,62 (м, 2Н), 2,24 (с, 3Н), 2,35-2,70 (м, 2Н), 2,90 (т, J=4,6 Гц, 2Н), 3,21 (дд, J=7,3 Гц, 12,9 Гц, 2Н), 3,94 (с, 3Н), 4,26 (т, J=6,1 Гц, 2Н), 4,75-4,85 (м, 1Н), 6,41 (д, J=5,1 Гц, 1Н), 6,67 (с, 1Н), 7,04 5 (дд, J=2,7 Гц, 9,0 Гц, 1Н), 7,14 (д, J=2,7 Гц, 1Н), 7,34 (с, 1Н), 7,42 (с, 1Н), 8,19 (д, J=9,0 Гц, 1Н), 8,42 (д, J=5,1 Гц, 1Н).1 H NMR (CDCl3 , 400 MHz): δ 0.92 (t, J = 7.3 Hz, 3H), 1.49-1.62 (m, 2H), 2.24 (s, 3H), 2.35-2.70 (m, 2H), 2.90 (t, J = 4.6 Hz, 2H), 3.21 (dd, J = 7.3 Hz, 12.9 Hz, 2H), 3.94 (s, 3H), 4.26 (t, J = 6.1 Hz, 2H), 4.75-4.85 (m, 1H), 6.41 (d, J = 5.1 Hz , 1H), 6.67 (s, 1H), 7.04 5 (dd, J = 2.7 Hz, 9.0 Hz, 1H), 7.14 (d, J = 2.7 Hz, 1H) , 7.34 (s, 1H), 7.42 (s, 1H), 8.19 (d, J = 9.0 Hz, 1H), 8.42 (d, J = 5.1 Hz, 1H) .

Определение молекулярной массы (ESI-MS, m/z): 528 (M++1).Determination of molecular weight (ESI-MS, m / z): 528 (M+ +1).

Пример 149: N-(2-Хлор-4-{[7-(2-гидроксиэтокси)-6-метокси-4-хинолил]окси}фенил)-N’-пропилмочевинаExample 149: N- (2-Chloro-4 - {[7- (2-hydroxyethoxy) -6-methoxy-4-quinolyl] oxy} phenyl) -N’-propylurea

Исходное соединение (N-{2-хлор-4-[(7-гидрокси-6-метокси-4-хинолил)окси]фенил}-N’-пропилмочевина, 80 мг), карбонат калия (138 мг) и 2-бромэтанол (0,021 мл) растворяют в N,N-диметилформамиде (1 мл), и раствор перемешивают при комнатной температуре в течение 18 ч. К реакционной смеси добавляют воду и проводят экстракцию смесью хлороформ-пропанол (3/1). Органический слой сушат над безводным сульфатом натрия, и растворитель удаляют путем перегонки при пониженном давлении. Остаток очищают методом ВЭЖХ, элюируя смесью хлороформ/метанол, получая 80 мг (выход 90%) указанного в заголовке соединения.Starting compound (N- {2-chloro-4 - [(7-hydroxy-6-methoxy-4-quinolyl) oxy] phenyl} -N'-propylurea, 80 mg), potassium carbonate (138 mg) and 2-bromoethanol (0.021 ml) was dissolved in N, N-dimethylformamide (1 ml), and the solution was stirred at room temperature for 18 hours. Water was added to the reaction mixture and extraction was performed with chloroform-propanol (3/1). The organic layer was dried over anhydrous sodium sulfate, and the solvent was removed by distillation under reduced pressure. The residue was purified by HPLC, eluting with a chloroform / methanol mixture to give 80 mg (90% yield) of the title compound.

1H ЯМР (CDCl3, 400 МГц): δ 0,96 (т, J=7,6 Гц, 3Н), 1,54-1,65 (м, 2Н), 3,25 (дд, J=7,1 Гц, 12,9 Гц, 2Н), 3,99 (с, ЗН), 4,07 (т, J=4,4 Гц, 2Н), 4,28 (т, J=4,6 Гц, 2Н), 6,46 (д, J=5,4 Гц, 1Н), 6,77 (д, J=8,3 Гц, 1Н), 7,08 (с, 1Н), 7,08 (дд, J=2,7 Гц, 9,0 Гц, 1Н), 7,42 (с, 1Н), 7,49 (с, 1H), 8,25 (д, J=9,0 Гц, 1Н), 8,48 (д, J=2,9 Гц, 1Н).1 H NMR (CDCl3 , 400 MHz): δ 0.96 (t, J = 7.6 Hz, 3H), 1.54-1.65 (m, 2H), 3.25 (dd, J = 7 , 1 Hz, 12.9 Hz, 2H), 3.99 (s, 3H), 4.07 (t, J = 4.4 Hz, 2H), 4.28 (t, J = 4.6 Hz, 2H), 6.46 (d, J = 5.4 Hz, 1H), 6.77 (d, J = 8.3 Hz, 1H), 7.08 (s, 1H), 7.08 (dd, J = 2.7 Hz, 9.0 Hz, 1H), 7.42 (s, 1H), 7.49 (s, 1H), 8.25 (d, J = 9.0 Hz, 1H), 8 48 (d, J = 2.9 Hz, 1H).

Пример 150: N-{2-Хлор-4-[(7-{2-[(2-гидроксиэтил)-(метил)-амино]этокси}-6-метокси-4-хинолил)окси]фенил}-N’-пропилмочевинаExample 150: N- {2-Chloro-4 - [(7- {2 - [(2-hydroxyethyl) - (methyl) amino] ethoxy} -6-methoxy-4-quinolyl) oxy] phenyl} -N ' propylurea

Исходное соединение (N-(4-{[7-(2-бромэтокси)-6-метокси-4-хинолил]окси}-2-хлорфенил)-N’-пропилмочевина, 50 мг), карбонат калия (138 мг) и 2-(метиламино) этанол (0,040 мл) растворяют в N,N-диметилформамиде (1 мл), и раствор перемешивают при комнатной температуре в течение 18 ч. К реакционной смеси добавляют воду и проводят экстракцию смесью хлороформ-пропанол (3/1). Органический слой сушат над безводным сульфатом натрия, и растворитель удаляют путем перегонки при пониженном давлении. Остаток промывают эфиром, получая 53 мг (выход 106%) указанного в заголовке соединения.Starting compound (N- (4 - {[7- (2-bromoethoxy) -6-methoxy-4-quinolyl] oxy} -2-chlorophenyl) -N'-propylurea, 50 mg), potassium carbonate (138 mg) and 2- (methylamino) ethanol (0.040 ml) was dissolved in N, N-dimethylformamide (1 ml), and the solution was stirred at room temperature for 18 hours. Water was added to the reaction mixture and extraction was performed with chloroform-propanol (3/1) . The organic layer was dried over anhydrous sodium sulfate, and the solvent was removed by distillation under reduced pressure. The residue was washed with ether to obtain 53 mg (yield 106%) of the title compound.

1H ЯМР (СDСl3, 400 МГц): δ 0,97 (т, J=7,6 Гц, 3Н), 1,54-1,65 (м, 2Н), 2,42 (с, 3Н), 2,69 (т, J=5,1 Гц, 2Н), 3,00 (т, J=5,6 Гц, 2Н), 3,26 (дд, J=7,1 Гц, 12,7 Гц, 2Н), 3,64 (т, J=5,1 Гц, 2Н), 3,99 (с, 3Н), 4,26 (т, J=5,6 Гц, 2Н), 4,66-4,69 (м, 1H), 6,46 (д, J=5,1 Гц, 1H), 6,70 (с, 1H), 7,09 (дд, J=2,7 Гц, 9,0 Гц, 1H), 7,19 (д, J=2,7 Гц, 1H), 7,39 (с, 1H), 7,47 (с, 1H), 8,24 (д, J=9,0 Гц, 1H), 8,47 (д, J=5,1 Гц, 1H).1 H NMR (CDCl3 , 400 MHz): δ 0.97 (t, J = 7.6 Hz, 3H), 1.54-1.65 (m, 2H), 2.42 (s, 3H), 2.69 (t, J = 5.1 Hz, 2H), 3.00 (t, J = 5.6 Hz, 2H), 3.26 (dd, J = 7.1 Hz, 12.7 Hz, 2H), 3.64 (t, J = 5.1 Hz, 2H), 3.99 (s, 3H), 4.26 (t, J = 5.6 Hz, 2H), 4.66-4, 69 (m, 1H), 6.46 (d, J = 5.1 Hz, 1H), 6.70 (s, 1H), 7.09 (dd, J = 2.7 Hz, 9.0 Hz, 1H), 7.19 (d, J = 2.7 Hz, 1H), 7.39 (s, 1H), 7.47 (s, 1H), 8.24 (d, J = 9.0 Hz, 1H), 8.47 (d, J = 5.1 Hz, 1H).

Определение молекулярной массы (ESI-MS, m/z): 503 (M++1).Determination of molecular weight (ESI-MS, m / z): 503 (M+ +1).

Пример 151: N-(2-Хлор-4-{[6-метокси-7-(3-морфолинопропокси)-4-хинолил]окси}фенил)-N’-пропилмочевинаExample 151: N- (2-Chloro-4 - {[6-methoxy-7- (3-morpholinopropoxy) -4-quinolyl] oxy} phenyl) -N’-propylurea

Исходное соединение (N-(4-{[7-(3-бромпропокси)-6-метокси-4-хинолил]окси}-2-хлорфенил)-N’-пропилмочевина, 52 мг), карбонат калия (138 мг) и морфолин (0,044 мл) растворяют в N,N-диметилформамиде (1 мл), и раствор перемешивают при комнатной температуре в течение 18 ч. К реакционной смеси добавляют воду и проводят экстракцию смесью хлороформ-пропанол (3/1). Органический слой сушат над безводным сульфатом натрия, и растворитель удаляют путем перегонки при пониженном давлении. Остаток промывают эфиром, получая 23 мг (выход 44%) указанного в заголовке соединения.Starting compound (N- (4 - {[7- (3-bromopropoxy) -6-methoxy-4-quinolyl] oxy} -2-chlorophenyl) -N'-propylurea, 52 mg), potassium carbonate (138 mg) and morpholine (0.044 ml) was dissolved in N, N-dimethylformamide (1 ml), and the solution was stirred at room temperature for 18 hours. Water was added to the reaction mixture and extraction was performed with chloroform-propanol (3/1). The organic layer was dried over anhydrous sodium sulfate, and the solvent was removed by distillation under reduced pressure. The residue was washed with ether to give 23 mg (44% yield) of the title compound.

1H ЯМР (CDCl3, 400 МГц): δ 0,92 (т, J=7,6 Гц, 3Н), 1,49-1,60 (м, 2Н), 2,02-2,11 (м, 2Н), 2,40-2,47 (м, 4Н), 2,52 (т, J=7,1 Гц, 2Н), 3,21 (дд, J=7,1 Гц, 12,9 Гц, 2Н), 3,62-3,69 (м, 4Н), 3,95 (с, 3Н), 4,20 (т, J=6,6 Гц, 2Н), 4,70-4,78 (м, 1Н), 6,41 (д, J=5,1 Гц, 1Н), 6,64 (с, 1Н), 7,04 (дд, J=2,7 Гц, 9,0 Гц, 1H), 7,15 (д, J=2,7 Гц, 1Н), 7,37 (с, 1H), 7,43 (с, 1H), 8,20 (д, J=9,0 Гц, 1H), 8,42 (д, J=5,4 Гц, 1H).1 H NMR (CDCl3 , 400 MHz): δ 0.92 (t, J = 7.6 Hz, 3H), 1.49-1.60 (m, 2H), 2.02-2.11 (m , 2H), 2.40-2.47 (m, 4H), 2.52 (t, J = 7.1 Hz, 2H), 3.21 (dd, J = 7.1 Hz, 12.9 Hz , 2H), 3.62-3.69 (m, 4H), 3.95 (s, 3H), 4.20 (t, J = 6.6 Hz, 2H), 4.70-4.78 ( m, 1H), 6.41 (d, J = 5.1 Hz, 1H), 6.64 (s, 1H), 7.04 (dd, J = 2.7 Hz, 9.0 Hz, 1H) 7.15 (d, J = 2.7 Hz, 1H), 7.37 (s, 1H), 7.43 (s, 1H), 8.20 (d, J = 9.0 Hz, 1H) 8.42 (d, J = 5.4 Hz, 1H).

Пример 152: N-[2-Хлор-4-(6-метокси-7-{[3-(4-метил-пиперазино)пропокси]-4-хинолил}окси)фенил]-N’-пропилмочевинаExample 152: N- [2-Chloro-4- (6-methoxy-7 - {[3- (4-methyl-piperazino) propoxy] -4-quinolyl} oxy) phenyl] -N’-propylurea

Исходное соединение (N-(4-{[7-(3-бромпропокси)-6-метокси-4-хинолил]окси}-2-хлорфенил)-N’-пропилмочевина, 52 мг), карбонат калия (138 мг) и 1-метилпиперазин (0,055 мл) растворяют в N,N-диметилформамиде (1 мл), и раствор перемешивают при комнатной температуре в течение 18 ч. К реакционной смеси добавляют воду и проводят экстракцию смесью хлороформ-пропанол (3/1). Органический слой сушат над безводным сульфатом натрия, и растворитель удаляют путем перегонки при пониженном давлении. Остаток промывают эфиром, получая 41 мг (выход 76%) указанного в заголовке соединения.Starting compound (N- (4 - {[7- (3-bromopropoxy) -6-methoxy-4-quinolyl] oxy} -2-chlorophenyl) -N'-propylurea, 52 mg), potassium carbonate (138 mg) and 1-methylpiperazine (0.055 ml) was dissolved in N, N-dimethylformamide (1 ml), and the solution was stirred at room temperature for 18 hours. Water was added to the reaction mixture and extraction was performed with chloroform-propanol (3/1). The organic layer was dried over anhydrous sodium sulfate, and the solvent was removed by distillation under reduced pressure. The residue was washed with ether to give 41 mg (76% yield) of the title compound.

1H ЯМР (СDСl3, 400 МГц): δ 0,92 (т, J=7,6 Гц, 3Н), 1,49-1,64 (м, 2Н), 2,02-2,10 (м, 2Н), 2,23 (с, 3Н), 2,30-2,56 (м, 8Н), 2,52 (т, J=7,3 Гц, 2Н), 3,20 (дд, J=7,1 Гц, 12,9 Гц, 2Н), 3,94 (с, 3Н), 4,19 (т, J=6,8 Гц, 2Н), 4,83-4,92 (м, 1Н), 6,40 (д, J=5,1 Гц, 1Н), 6,69 (с, 1Н), 7,03 (дд, J=2,9 Гц, 9,3 Гц, 1Н), 7,14 (д, J=2,7 Гц, 1Н), 7,35 (с, 1Н), 7,42 (с, 1Н), 8,19 (д, J=9,0 Гц, 1Н), 8,42 (д, J=5,4 Гц, 1Н).1 H NMR (CDCl3 , 400 MHz): δ 0.92 (t, J = 7.6 Hz, 3H), 1.49-1.64 (m, 2H), 2.02-2.10 (m , 2H), 2.23 (s, 3H), 2.30-2.56 (m, 8H), 2.52 (t, J = 7.3 Hz, 2H), 3.20 (dd, J = 7.1 Hz, 12.9 Hz, 2H), 3.94 (s, 3H), 4.19 (t, J = 6.8 Hz, 2H), 4.83-4.92 (m, 1H) 6.40 (d, J = 5.1 Hz, 1H), 6.69 (s, 1H), 7.03 (dd, J = 2.9 Hz, 9.3 Hz, 1H), 7.14 (d, J = 2.7 Hz, 1H), 7.35 (s, 1H), 7.42 (s, 1H), 8.19 (d, J = 9.0 Hz, 1H), 8.42 (d, J = 5.4 Hz, 1H).

Определение молекулярной массы (ESI-MS, m/z): 542 (М++1).Determination of molecular weight (ESI-MS, m / z): 542 (M+ +1).

Пример 153: N-[2-Хлор-4-(6-метокси-7-{[3-(1Н-1,2,3-триазол-1-ил)пропокси]-4-хинолил}окси)фенил]-N’-пропилмочевинаExample 153: N- [2-Chloro-4- (6-methoxy-7 - {[3- (1H-1,2,3-triazol-1-yl) propoxy] -4-quinolyl} oxy) phenyl] - N'-propylurea

Триазол (0,41 мл), 1-бром-3-хлорпропан (0,79 мл), иодид тетрабутиламмония (10 мг) и 3 М водный раствор гидроксида натрия (1 мл) растворяют в ацетоне (10 мл), и раствор перемешивают при 50°С в течение 18 ч. К реакционной смеси добавляют воду, и смесь экстрагируют хлороформом. Органический слой сушат над безводным сульфатом натрия, и растворитель удаляют путем перегонки при пониженном давлении. Остаток очищают методом хроматографии, элюируя хлороформом, получая промежуточное соединение (327 мг).Triazole (0.41 ml), 1-bromo-3-chloropropane (0.79 ml), tetrabutylammonium iodide (10 mg) and 3 M aqueous sodium hydroxide solution (1 ml) were dissolved in acetone (10 ml), and the solution was stirred at 50 ° C. for 18 hours. Water was added to the reaction mixture, and the mixture was extracted with chloroform. The organic layer was dried over anhydrous sodium sulfate, and the solvent was removed by distillation under reduced pressure. The residue was purified by chromatography, eluting with chloroform, to give an intermediate (327 mg).

Исходное соединение (N-{2-хлор-4-[(7-гидрокси-6-метокси-4-хинолил)окси]фенил}-N’-пропилмочевина, 80 мг), карбонат калия (138 мг) и промежуточное соединение (43 мг) растворяют в N,N-диметилформамиде (1 мл), и раствор перемешивают при 80°С в течение 3 ч. К реакционной смеси добавляют воду и проводят экстракцию смесью хлороформ-пропанол (3/1). Органический слой сушат над безводным сульфатом натрия, и растворитель удаляют путем перегонки при пониженном давлении. Остаток очищают методом ВЭЖХ, элюируя смесью хлороформ/метанол, получая 54 мг (выход 52%) указанного в заголовке соединения.Starting compound (N- {2-chloro-4 - [(7-hydroxy-6-methoxy-4-quinolyl) oxy] phenyl} -N'-propylurea, 80 mg), potassium carbonate (138 mg) and intermediate ( 43 mg) was dissolved in N, N-dimethylformamide (1 ml), and the solution was stirred at 80 ° C. for 3 hours. Water was added to the reaction mixture and extraction was performed with chloroform-propanol (3/1). The organic layer was dried over anhydrous sodium sulfate, and the solvent was removed by distillation under reduced pressure. The residue was purified by HPLC, eluting with a chloroform / methanol mixture to give 54 mg (52% yield) of the title compound.

1H ЯМР (СDСl3, 400 МГц): δ 0,97 (т, J=7,6 Гц, 3Н), 1,54-1,65 (м, 2Н), 2,49-2,58 (м, 2Н), 3,26 (дд, J=7,1 Гц, 13,2 Гц, 2Н), 4,01 (с, 3Н), 4,15 (т, J=5,9 Гц, 2Н), 4,69 (т, J=6,6 Гц, 2Н), 4,90-5,00 (м, 1Н), 6,46 (д, J=5,1 Гц, 1Н), 6,77 (с, 1Н), 7,08 (дд, J=2,7 Гц, 9,0 Гц, 1Н), 7,19 (д, J=2,7 Гц, 1Н), 7,36 (с, 1Н), 7,51 (с, 1Н), 7,61 (с, 1Н), 7,67 (с, 1Н), 8,26 (д, J=9,0 Гц, 1Н), 8,47 (д, J=5,4 Гц, 1Н).1 H NMR (CDCl3 , 400 MHz): δ 0.97 (t, J = 7.6 Hz, 3H), 1.54-1.65 (m, 2H), 2.49-2.58 (m , 2H), 3.26 (dd, J = 7.1 Hz, 13.2 Hz, 2H), 4.01 (s, 3H), 4.15 (t, J = 5.9 Hz, 2H), 4.69 (t, J = 6.6 Hz, 2H), 4.90-5.00 (m, 1H), 6.46 (d, J = 5.1 Hz, 1H), 6.77 (s , 1H), 7.08 (dd, J = 2.7 Hz, 9.0 Hz, 1H), 7.19 (d, J = 2.7 Hz, 1H), 7.36 (s, 1H), 7.51 (s, 1H), 7.61 (s, 1H), 7.67 (s, 1H), 8.26 (d, J = 9.0 Hz, 1H), 8.47 (d, J = 5.4 Hz, 1H).

Определение молекулярной массы (ESI-MS, m/z): 511 (M++1).Determination of molecular weight (ESI-MS, m / z): 511 (M+ +1).

Пример 154: N-[2-Хлор-4-({7-[3-(1Н-1-имидазолил)пропокси]-6-метокси-4-хинолил}окси)фенил]-N’-пропилмочевинаExample 154: N- [2-Chloro-4 - ({7- [3- (1H-1-imidazolyl) propoxy] -6-methoxy-4-quinolyl} oxy) phenyl] -N’-propylurea

Имидазол (680 мг), 1-бром-3-хлорпропан (0,79 мл), иодид тетрабутиламмония (10 мг) и 3М водный раствор гидроксида натрия (1 мл) растворяют в ацетоне (10 мл), и раствор перемешивают при 50°С в течение 18 ч. К реакционной смеси добавляют воду, и смесь экстрагируют хлороформом. Органический слой сушат над безводным сульфатом натрия, и растворитель удаляют путем перегонки при пониженном давлении. Остаток очищают методом хроматографии, элюируя хлороформом, получая промежуточное соединение (1-(3-хлорпропил)-1H-имидазол, 525 мг).Imidazole (680 mg), 1-bromo-3-chloropropane (0.79 ml), tetrabutylammonium iodide (10 mg) and 3M aqueous sodium hydroxide solution (1 ml) are dissolved in acetone (10 ml), and the solution is stirred at 50 ° C for 18 hours. Water was added to the reaction mixture, and the mixture was extracted with chloroform. The organic layer was dried over anhydrous sodium sulfate, and the solvent was removed by distillation under reduced pressure. The residue was purified by chromatography, eluting with chloroform, to give the intermediate (1- (3-chloropropyl) -1H-imidazole, 525 mg).

Исходное соединение (N-{2-хлор-4-[(7-гидрокси-6-метокси-4-хинолил)окси]фенил}-N’-пропилмочевина, 80 мг), карбонат калия (138 мг) и промежуточное соединение (42 мг) растворяют в N,N-диметилформамиде (1 мл), и раствор перемешивают при 80°С в течение 3 ч. К реакционной смеси добавляют воду и проводят экстракцию смесью хлороформ-пропанол (3/1). Органический слой сушат над безводным сульфатом натрия, и растворитель удаляют путем перегонки при пониженном давлении. Остаток очищают методом ВЭЖХ, элюируя смесью хлороформ/метанол, получая 23 мг (выход 23%) указанного в заголовке соединения.Starting compound (N- {2-chloro-4 - [(7-hydroxy-6-methoxy-4-quinolyl) oxy] phenyl} -N'-propylurea, 80 mg), potassium carbonate (138 mg) and intermediate ( 42 mg) was dissolved in N, N-dimethylformamide (1 ml), and the solution was stirred at 80 ° C. for 3 hours. Water was added to the reaction mixture and extraction was performed with chloroform-propanol (3/1). The organic layer was dried over anhydrous sodium sulfate, and the solvent was removed by distillation under reduced pressure. The residue was purified by HPLC, eluting with a chloroform / methanol mixture to give 23 mg (23% yield) of the title compound.

1H ЯМР (CDCl3, 400 МГц): δ 0,91 (т, J=7,3 Гц, 3Н), 1,48-1,60 (м, 2Н), 2,27-2,36 (м, 2Н), 3,20 (дд, J=6,8 Гц, 12,9 Гц, 2Н), 3,97 (с, 3Н), 4,06 (т, J=5,9 Гц, 2Н), 4,21 (т, J=6,8 Гц, 2Н), 6,39 (д, J=5,4 Гц, 1Н), 6,90 (с, 1Н), 6,98-7,04 (м, 2Н), 7,12 (д, J=2,7 Гц, 1Н), 7,30 (с, 1Н), 7,44-7,48 (м, 2Н), 8,22 (д, J=9,0 Гц, 1Н), 8,41 (д, J=5,4 Гц, 1Н).1 H NMR (CDCl3 , 400 MHz): δ 0.91 (t, J = 7.3 Hz, 3H), 1.48-1.60 (m, 2H), 2.27-2.36 (m , 2H), 3.20 (dd, J = 6.8 Hz, 12.9 Hz, 2H), 3.97 (s, 3H), 4.06 (t, J = 5.9 Hz, 2H), 4.21 (t, J = 6.8 Hz, 2H), 6.39 (d, J = 5.4 Hz, 1H), 6.90 (s, 1H), 6.98-7.04 (m , 2H), 7.12 (d, J = 2.7 Hz, 1H), 7.30 (s, 1H), 7.44-7.48 (m, 2H), 8.22 (d, J = 9.0 Hz, 1H), 8.41 (d, J = 5.4 Hz, 1H).

Пример 155: N-{2-Хлор-4-[(7-{2-[ди(2-гидроксиэтил)амино]-этокси}-6-метокси-4-хинолил)окси]фенил}-N’-пропилмочевинаExample 155: N- {2-Chloro-4 - [(7- {2- [di (2-hydroxyethyl) amino] ethoxy} -6-methoxy-4-quinolyl) oxy] phenyl} -N’-propylurea

Исходное соединение (N-(4-{[7-(2-бромэтокси)-6-метокси-4-хинолил]окси}-2-хлорфенил)-N’-пропилмочевина, 50 мг), карбонат калия (138 мг) и 1-метилпиперазин (0,055 мл) растворяют в N,N-диметилформамиде (1 мл), и смесь перемешивают при комнатной температуре в течение 18 ч. К реакционной смеси добавляют воду и проводят экстракцию смесью хлороформ-пропанол (3/1). Органический слой сушат над безводным сульфатом натрия, и растворитель удаляют путем перегонки при пониженном давлении. Остаток промывают эфиром, получая 46 мг (выход 92%) указанного в заголовке соединения.Starting compound (N- (4 - {[7- (2-bromoethoxy) -6-methoxy-4-quinolyl] oxy} -2-chlorophenyl) -N'-propylurea, 50 mg), potassium carbonate (138 mg) and 1-methylpiperazine (0.055 ml) was dissolved in N, N-dimethylformamide (1 ml), and the mixture was stirred at room temperature for 18 hours. Water was added to the reaction mixture and extraction was performed with chloroform-propanol (3/1). The organic layer was dried over anhydrous sodium sulfate, and the solvent was removed by distillation under reduced pressure. The residue was washed with ether to give 46 mg (92% yield) of the title compound.

1H ЯМР (СDСl3, 400 МГц): δ 0,92 (т, J=7,3 Гц, 3Н), 1,50-1,60 (м, 2Н), 2,74 (т, J=4,9 Гц, 4Н), 3,04 (т, J=4,9 Гц, 2Н), 3,15-3,24 (м, 2Н), 3,60 (т, J=5, 1 Гц, 4Н), 3,94 (с, 3Н), 4,17 (т, J=5,0 Гц, 2Н), 6,41 (д, J=5,4 Гц, 1Н), 6,75 (с, 1Н), 7,04 (дд, J=2,4 Гц, 8,8 Гц, 1Н), 7,14 (д, J=2,7 Гц, 1Н), 7,38 (с, 1Н), 7,43 (с, 1Н), 8,19 (д, J=9,0 Гц, 1Н), 8,42 (д, J=5,4 Гц, 1Н).1 H NMR (CDCl3 , 400 MHz): δ 0.92 (t, J = 7.3 Hz, 3H), 1.50-1.60 (m, 2H), 2.74 (t, J = 4 , 9 Hz, 4H), 3.04 (t, J = 4.9 Hz, 2H), 3.15-3.24 (m, 2H), 3.60 (t, J = 5, 1 Hz, 4H ), 3.94 (s, 3H), 4.17 (t, J = 5.0 Hz, 2H), 6.41 (d, J = 5.4 Hz, 1H), 6.75 (s, 1H ), 7.04 (dd, J = 2.4 Hz, 8.8 Hz, 1H), 7.14 (d, J = 2.7 Hz, 1H), 7.38 (s, 1H), 7, 43 (s, 1H), 8.19 (d, J = 9.0 Hz, 1H), 8.42 (d, J = 5.4 Hz, 1H).

Пример 156: N-{2-Хлор-4-[(7-{3-[ди(2-гидроксиэтил)амино]-пропокси}-6-метокси-4-хинолил)окси]фенил}-N’-пропилмочевинаExample 156: N- {2-Chloro-4 - [(7- {3- [di (2-hydroxyethyl) amino] propoxy} -6-methoxy-4-quinolyl) oxy] phenyl} -N’-propylurea

Исходное соединение (N-(4-{[7-(3-бромпропокси)-6-метокси-4-хинолил]окси}-2-хлорфенил)-N’-пропилмочевина, 52 мг), карбонат калия (138 мг) и диэтаноламин (53 мг) растворяют в N,N-диметилформамиде (1 мл), и раствор перемешивают при комнатной температуре в течение 18 ч. К реакционной смеси добавляют воду и проводят экстракцию смесью хлороформ-пропанол (3/1). Органический слой сушат над безводным сульфатом натрия, и растворитель удаляют путем перегонки при пониженном давлении. Остаток промывают эфиром, получая 41 мг (выход 82%) указанного в заголовке соединения.Starting compound (N- (4 - {[7- (3-bromopropoxy) -6-methoxy-4-quinolyl] oxy} -2-chlorophenyl) -N'-propylurea, 52 mg), potassium carbonate (138 mg) and diethanolamine (53 mg) was dissolved in N, N-dimethylformamide (1 ml), and the solution was stirred at room temperature for 18 hours. Water was added to the reaction mixture and extraction was performed with chloroform-propanol (3/1). The organic layer was dried over anhydrous sodium sulfate, and the solvent was removed by distillation under reduced pressure. The residue was washed with ether to give 41 mg (82% yield) of the title compound.

1H ЯМР (СDСl3, 400 МГц): δ 0,89 (т, J=7,3 Гц, 3Н), 1,46-1,56 (м, 2Н), 1,97-2,05 (м, 2Н), 2,63 (т, J=5,1 Гц, 4Н), 2,69 (т, J=6,1 Гц, 2Н), 3,19 (дд, J=7,1 Гц, 13,2 Гц, 2Н), 3,60 (т, J=4,9 Гц, 4Н), 3,94 (с, 3Н), 4,32 (т, J=5,9 Гц, 2Н), 5,27-5,35 (м, 1Н), 6,37 (д, J=5,4 Гц, 1Н), 6,94 (с, 1Н), 7,01 (дд, J=2,9 Гц, 9,0 Гц, 1Н), 7,10 (д, J=2,7 Гц, 1Н), 7,42 (с, 1Н), 7,53 (с, 1Н), 8,19 (д, J=9,0 Гц, 1Н), 8,35 (д, J=5,4 Гц, 1Н).1 H NMR (CDCl3 , 400 MHz): δ 0.89 (t, J = 7.3 Hz, 3H), 1.46-1.56 (m, 2H), 1.97-2.05 (m , 2H), 2.63 (t, J = 5.1 Hz, 4H), 2.69 (t, J = 6.1 Hz, 2H), 3.19 (dd, J = 7.1 Hz, 13 , 2 Hz, 2H), 3.60 (t, J = 4.9 Hz, 4H), 3.94 (s, 3H), 4.32 (t, J = 5.9 Hz, 2H), 5, 27-5.35 (m, 1H), 6.37 (d, J = 5.4 Hz, 1H), 6.94 (s, 1H), 7.01 (dd, J = 2.9 Hz, 9 , 0 Hz, 1H), 7.10 (d, J = 2.7 Hz, 1H), 7.42 (s, 1H), 7.53 (s, 1H), 8.19 (d, J = 9 , 0 Hz, 1H), 8.35 (d, J = 5.4 Hz, 1H).

Определение молекулярной массы (ESI-MS, m/z); 547 (M++1).Determination of molecular weight (ESI-MS, m / z); 547 (M+ +1).

Пример 157: N-{2-Хлор-4-[(7-{3-[(2-гидроксиэтил)(метил)-амино]пропокси}-6-метокси-4-хинолил)окси]-фенил}-N’-пропилмочевинаExample 157: N- {2-Chloro-4 - [(7- {3 - [(2-hydroxyethyl) (methyl) amino] propoxy} -6-methoxy-4-quinolyl) oxy] phenyl} -N ' propylurea

Исходное соединение (N-(4-{[7-(3-бромпропокси)-6-метокси-4-хинолил] окси}-2-хлорфенил)-N’-пропилмочевина, 52 мг), карбонат калия (138 мг) и 2-(метиламино) этанол (0,040 мл) растворяют в N,N-диметилформамиде (1 мл), и раствор перемешивают при комнатной температуре в течение 18 ч. К реакционной смеси добавляют воду и проводят экстракцию смесью хлороформ-пропанол (3/1). Органический слой сушат над безводным сульфатом натрия, и растворитель удаляют путем перегонки при пониженном давлении. Остаток промывают эфиром, получая 51 мг (выход 98%) указанного в заголовке соединения.Starting compound (N- (4 - {[7- (3-bromopropoxy) -6-methoxy-4-quinolyl] oxy} -2-chlorophenyl) -N'-propylurea, 52 mg), potassium carbonate (138 mg) and 2- (methylamino) ethanol (0.040 ml) was dissolved in N, N-dimethylformamide (1 ml), and the solution was stirred at room temperature for 18 hours. Water was added to the reaction mixture and extraction was performed with chloroform-propanol (3/1) . The organic layer was dried over anhydrous sodium sulfate, and the solvent was removed by distillation under reduced pressure. The residue was washed with ether to give 51 mg (98% yield) of the title compound.

1H ЯМР (CDCl3, 400 МГц): δ 0,91 (т, J=7,6 Гц, 3Н), 1,45-1,59 (м, 2Н), 2,05 (т, J=6,8 Гц, 2Н), 2,24 (с, 3Н), 2,51 (т, J=5,1 Гц, 2Н), 2,59 (т, J=7,1 Гц, 2Н), 3,20 (дд, J=6,8 Гц, 12,9 Гц, 2Н), 3,57 (т, J=5,4 Гц, 2Н), 3,95 (с, 3Н), 4,22 (т, J=6,3 Гц, 2Н), 5,00-5,08 (м, 1Н), 6,40 (д, J=5,1 Гц, 1Н), 6,79 (с, 1Н), 7,03 (дд, J=2,7 Гц, 9,0 Гц, 1Н), 7,13 (д, J=2,7 Гц, 1Н), 7,426 (с, 1Н), 7,433 (с, 1Н), 8,19 (д, J=9,0 Гц, 1Н), 8,40 (д, J=5,4 Гц, 1Н).1 H NMR (CDCl3 , 400 MHz): δ 0.91 (t, J = 7.6 Hz, 3H), 1.45-1.59 (m, 2H), 2.05 (t, J = 6 , 8 Hz, 2H), 2.24 (s, 3H), 2.51 (t, J = 5.1 Hz, 2H), 2.59 (t, J = 7.1 Hz, 2H), 3, 20 (dd, J = 6.8 Hz, 12.9 Hz, 2H), 3.57 (t, J = 5.4 Hz, 2H), 3.95 (s, 3H), 4.22 (t, J = 6.3 Hz, 2H), 5.00-5.08 (m, 1H), 6.40 (d, J = 5.1 Hz, 1H), 6.79 (s, 1H), 7, 03 (dd, J = 2.7 Hz, 9.0 Hz, 1H), 7.13 (d, J = 2.7 Hz, 1H), 7.426 (s, 1H), 7.433 (s, 1H), 8 19 (d, J = 9.0 Hz, 1H); 8.40 (d, J = 5.4 Hz, 1H).

Определение молекулярной массы (ESI-MS, m/z): 517 (M++1).Determination of molecular weight (ESI-MS, m / z): 517 (M+ +1).

Пример 158: N-[2-Хлор-4-({6-метокси-7-[4-(1H-1,2,3-триазол-1-ил)бутокси]-4-хинолил}окси)фенил]-N’-пропилмочевинаExample 158: N- [2-Chloro-4 - ({6-methoxy-7- [4- (1H-1,2,3-triazol-1-yl) butoxy] -4-quinolyl} oxy) phenyl] - N'-propylurea

Триазол (0,41 мл), 1-бром-4-хлорбутан (0,93 мл), иодид тетрабутиламмония (10 мг) и 3 М водный раствор гидроксида натрия (1 мл) растворяют в ацетоне (10 мл), и раствор перемешивают при 50°С в течение 18 ч. К реакционной смеси добавляют воду, и смесь экстрагируют хлороформом. Органический слой сушат над безводным сульфатом натрия, и растворитель удаляют путем перегонки при пониженном давлении. Остаток очищают методом хроматографии, элюируя хлороформом, получая промежуточное соединение (1-(4-хлорбутил)-1H-1,2,3-триазол, 314 мг).Triazole (0.41 ml), 1-bromo-4-chlorobutane (0.93 ml), tetrabutylammonium iodide (10 mg) and 3 M aqueous sodium hydroxide solution (1 ml) were dissolved in acetone (10 ml), and the solution was stirred at 50 ° C. for 18 hours. Water was added to the reaction mixture, and the mixture was extracted with chloroform. The organic layer was dried over anhydrous sodium sulfate, and the solvent was removed by distillation under reduced pressure. The residue was purified by chromatography, eluting with chloroform, to give the intermediate (1- (4-chlorobutyl) -1H-1,2,3-triazole, 314 mg).

Исходное соединение (N-{2-хлор-4-[(7-гидрокси-6-метокси-4-хинолил)окси]фенил}-N’-пропилмочевина, 80 мг), карбонат калия (138 мг) и промежуточное соединение (48 мг) растворяют в N,N-диметилформамиде (1 мл), и раствор перемешивают при 80°С в течение 3 ч. К реакционной смеси добавляют воду и проводят экстракцию смесью хлороформ-пропанол (3/1). Органический слой сушат над безводным сульфатом натрия, и растворитель удаляют путем перегонки при пониженном давлении. Остаток очищают методом ВЭЖХ, элюируя смесью хлороформ/метанол, получая 42 мг (выход 40%) указанного в заголовке соединения.Starting compound (N- {2-chloro-4 - [(7-hydroxy-6-methoxy-4-quinolyl) oxy] phenyl} -N'-propylurea, 80 mg), potassium carbonate (138 mg) and intermediate ( 48 mg) was dissolved in N, N-dimethylformamide (1 ml), and the solution was stirred at 80 ° C. for 3 hours. Water was added to the reaction mixture and extraction was performed with chloroform-propanol (3/1). The organic layer was dried over anhydrous sodium sulfate, and the solvent was removed by distillation under reduced pressure. The residue was purified by HPLC, eluting with a chloroform / methanol mixture to give 42 mg (40% yield) of the title compound.

1H ЯМР (СDСl3, 400 МГц): δ 0,96 (т, J=7,3 Гц, 3Н), 1,54-1,65 (м, 2Н), 1,88-1,98 (м, 2Н), 2,14-2,24 (м, 2Н), 3,26 (дд, J=6,6 Гц, 13,2 Гц, 2Н), 3,99 (с, 3Н), 5 4,20 (т, J=5,9 Гц, 2Н), 4,55 (т, J=7,1 Гц, 2Н), 5,00-5,06 (м, 1Н), 6,46 (д, J=5,4 Гц, 1Н), 6,80 (с, 1Н), 7,08 (дд, J=2,7 Гц, 9,0 Гц, 1Н), 7,19 (д, J=2,7 Гц, 1Н), 7,37 (с, 1Н), 7,49 (с, 1Н), 7,68-7,72 (м, 2Н), 8,26 (д, J=9,0 Гц, 1Н), 8,47 (д, J=5,1 Гц, 1Н).1 H NMR (CDCl3 , 400 MHz): δ 0.96 (t, J = 7.3 Hz, 3H), 1.54-1.65 (m, 2H), 1.88-1.98 (m , 2H), 2.14-2.24 (m, 2H), 3.26 (dd, J = 6.6 Hz, 13.2 Hz, 2H), 3.99 (s, 3H), 5 4, 20 (t, J = 5.9 Hz, 2H), 4.55 (t, J = 7.1 Hz, 2H), 5.00-5.06 (m, 1H), 6.46 (d, J = 5.4 Hz, 1H), 6.80 (s, 1H), 7.08 (dd, J = 2.7 Hz, 9.0 Hz, 1H), 7.19 (d, J = 2.7 Hz, 1H), 7.37 (s, 1H), 7.49 (s, 1H), 7.68-7.72 (m, 2H), 8.26 (d, J = 9.0 Hz, 1H ), 8.47 (d, J = 5.1 Hz, 1H).

Определение молекулярной массы (ESI-MS, m/z): 525 (M++1).Determination of molecular weight (ESI-MS, m / z): 525 (M+ +1).

Пример 159: N-{2-Хлор-4-[(6-метокси-7-{[5-(1Н-1,2,3-триазол-1-ил)пентил]окси}-4-хинолил)окси]фенил}-N’-пропилмочевинаExample 159: N- {2-Chloro-4 - [(6-methoxy-7 - {[5- (1H-1,2,3-triazol-1-yl) pentyl] oxy} -4-quinolyl) oxy] phenyl} -N'-propylurea

Триазол (0,41 мл), 1-бром-5-хлорпентап (1,0 мл), иодид тетрабутиламмония (10 мг) и 3 М водный раствор гидроксида натрия (1 мл) растворяют в ацетоне (10 мл), и раствор перемешивают при 50°С в течение 18 ч. К реакционной смеси добавляют воду, и смесь экстрагируют хлороформом. Органический слой сушат над безводным сульфатом натрия, и растворитель удаляют путем перегонки при пониженном давлении. Остаток очищают методом хроматографии, элюируя хлороформом, получая промежуточное соединение (1-(5-хлорпентил-1Н-1,2,3-триазол, 390 мг).Triazole (0.41 ml), 1-bromo-5-chloropentap (1.0 ml), tetrabutylammonium iodide (10 mg) and 3 M aqueous sodium hydroxide solution (1 ml) were dissolved in acetone (10 ml), and the solution was stirred at 50 ° C. for 18 hours. Water was added to the reaction mixture, and the mixture was extracted with chloroform. The organic layer was dried over anhydrous sodium sulfate, and the solvent was removed by distillation under reduced pressure. The residue was purified by chromatography, eluting with chloroform, to give the intermediate (1- (5-chloropentyl-1H-1,2,3-triazole, 390 mg).

Исходное соединение (N-{2-хлор-4-[(7-гидрокси-6-метокси-4-хинолил)окси]фенил}-N’-пропилмочевина, 80 мг), карбонат калия (138 мг) и промежуточное соединение (51 мг) растворяют в N,N-диметилформамиде (1 мл), и раствор перемешивают при 80°С в течение 3 ч. К реакционной смеси добавляют воду, и смесь экстрагируют смесью хлороформ-пропанол (3/1). Органический слой сушат над безводным сульфатом натрия, и растворитель удаляют путем перегонки при пониженном давлении. Остаток очищают методом ВЭЖХ, элюируя смесью хлороформом/метанол, получая 33 мг (выход 31%) указанного в заголовке соединения.Starting compound (N- {2-chloro-4 - [(7-hydroxy-6-methoxy-4-quinolyl) oxy] phenyl} -N'-propylurea, 80 mg), potassium carbonate (138 mg) and intermediate ( 51 mg) was dissolved in N, N-dimethylformamide (1 ml), and the solution was stirred at 80 ° C. for 3 hours. Water was added to the reaction mixture, and the mixture was extracted with chloroform-propanol (3/1). The organic layer was dried over anhydrous sodium sulfate, and the solvent was removed by distillation under reduced pressure. The residue was purified by HPLC, eluting with chloroform / methanol to give 33 mg (31% yield) of the title compound.

1H ЯМР (СDСl3, 400 МГц): δ 0,92 (т, J=7,6 Гц, 3Н), 1,47-1,59 (м, 2Н), 1,85-2,03 (м, 4Н), 3,21 (дд, J=6,6 Гц, 13,2 Гц, 2Н), 3,94 (с, 3Н), 4,11 (т, J=6,3 Гц, 2Н), 4,38 (т, J=7,1 Гц, 2Н), 4,86-4,94 (м, 1Н), 6,41 (д, J=5,4 Гц, 1Н), 6,71 (с, 1Н), 7,03 (дд, J=2,4 Гц, 5 9,0 Гц, 1Н), 7,14 (д, J=2,7 Гц, 1Н), 7,31 (с, 1Н), 7,43 (с, 1Н), 7,51 (с, 1Н), 7,64 (с, 1Н), 8,20 (д, J=9,0 Гц, 1Н), 8,41 (д, J=5,4 Гц, 1Н).1 H NMR (CDCl3 , 400 MHz): δ 0.92 (t, J = 7.6 Hz, 3H), 1.47-1.59 (m, 2H), 1.85-2.03 (m 4H), 3.21 (dd, J = 6.6 Hz, 13.2 Hz, 2H), 3.94 (s, 3H), 4.11 (t, J = 6.3 Hz, 2H), 4.38 (t, J = 7.1 Hz, 2H), 4.86-4.94 (m, 1H), 6.41 (d, J = 5.4 Hz, 1H), 6.71 (s , 1H), 7.03 (dd, J = 2.4 Hz, 5.9.0 Hz, 1H), 7.14 (d, J = 2.7 Hz, 1H), 7.31 (s, 1H) 7.43 (s, 1H), 7.51 (s, 1H), 7.64 (s, 1H), 8.20 (d, J = 9.0 Hz, 1H), 8.41 (d, J = 5.4 Hz, 1H).

Определение молекулярной массы (ESI-MS, m/z): 539 (M++1).Determination of molecular weight (ESI-MS, m / z): 539 (M+ +1).

Пример 160: N-[2-Хлор-4-({7-[4-(1H-1-имидазолил)бутокси]-6-метокси-4-хинолил}окси)фенил]-N’-пропилмочевинаExample 160: N- [2-Chloro-4 - ({7- [4- (1H-1-imidazolyl) butoxy] -6-methoxy-4-quinolyl} oxy) phenyl] -N’-propylurea

Имидазол (680 мг), 1-бром-4-хлорбутан (0,93 мл), тетра-бутиламмоний иодид (10 мг) и 3М водный раствор гидроксида натрия (1 мл) растворяют в ацетоне (10 мл), и раствор перемешивают при 50°С в течение 18 ч. К реакционной смеси добавляют воду, и смесь экстрагируют хлороформом. Органический слой сушат над безводным сульфатом натрия, и растворитель удаляют путем перегонки при пониженном давлении. Остаток очищают методом хроматографии, элюируя хлороформом, получая промежуточное соединение (1-(4-хлорбутил)-1H-имидазол, 756 мг).Imidazole (680 mg), 1-bromo-4-chlorobutane (0.93 ml), tetra-butylammonium iodide (10 mg) and a 3M aqueous sodium hydroxide solution (1 ml) were dissolved in acetone (10 ml), and the solution was stirred at 50 ° C. for 18 hours. Water was added to the reaction mixture, and the mixture was extracted with chloroform. The organic layer was dried over anhydrous sodium sulfate, and the solvent was removed by distillation under reduced pressure. The residue was purified by chromatography, eluting with chloroform, to give the intermediate (1- (4-chlorobutyl) -1H-imidazole, 756 mg).

Исходное соединение (N-{2-хлор-4-[(7-гидрокси-6-метокси-4-хинолил)окси]фенил}-N’-пропилмочевина, 80 мг), карбонат калия (138 мг) и промежуточное соединение (48 мг) растворяют в N,N-диметилформамиде (1 мл), и раствор перемешивают при 80°С в течение 3 ч. К реакционной смеси добавляют воду и проводят экстракцию смесью хлороформ-пропанол (3/1). Органический слой сушат над безводным сульфатом натрия, и растворитель удаляют путем перегонки при пониженном давлении. Остаток очищают методом ВЭЖХ, элюируя смесью хлороформ/метанол, получая 29 мг (выход 28%) указанного в заголовке соединения.Starting compound (N- {2-chloro-4 - [(7-hydroxy-6-methoxy-4-quinolyl) oxy] phenyl} -N'-propylurea, 80 mg), potassium carbonate (138 mg) and intermediate ( 48 mg) was dissolved in N, N-dimethylformamide (1 ml), and the solution was stirred at 80 ° C. for 3 hours. Water was added to the reaction mixture and extraction was performed with chloroform-propanol (3/1). The organic layer was dried over anhydrous sodium sulfate, and the solvent was removed by distillation under reduced pressure. The residue was purified by HPLC, eluting with a chloroform / methanol mixture to give 29 mg (28% yield) of the title compound.

1H ЯМР (СDСl3, 400 МГц): δ 0,96 (т, J=7,3 Гц, 3Н), 1,54-1,65 (м, 2Н), 1,83-1,95 (м, 2Н), 1,98-2,08 (м, 2Н), 3,25 (дд, J=6,8 Гц, 12,7 Гц, 2Н), 4,00 (с, 3Н), 4,10 (т, J=7,1 Гц, 2Н), 4,20 (т, J=6,1 Гц, 2Н), 5,08-5,16 (м, 1Н), 6,46 (д, J=5,1 Гц, 1Н), 6,83 (с, 1Н), 6,97 (с, 1Н), 7,06 (с, 1Н), 7,08 (дд, J=2,9 Гц, 9,3 Гц, 1Н), 7,18 (д, J=2,7 Гц, 1Н), 7,37 (с, 1Н), 7,49 (с, 1Н), 7,58 (с, 1Н), 8,26 (д, J=9,0 Гц, 1Н), 8,46 (д, J 5=5,4 Гц, 1Н).1 H NMR (CDCl3 , 400 MHz): δ 0.96 (t, J = 7.3 Hz, 3H), 1.54-1.65 (m, 2H), 1.83-1.95 (m , 2H), 1.98-2.08 (m, 2H), 3.25 (dd, J = 6.8 Hz, 12.7 Hz, 2H), 4.00 (s, 3H), 4.10 (t, J = 7.1 Hz, 2H), 4.20 (t, J = 6.1 Hz, 2H), 5.08-5.16 (m, 1H), 6.46 (d, J = 5.1 Hz, 1H), 6.83 (s, 1H), 6.97 (s, 1H), 7.06 (s, 1H), 7.08 (dd, J = 2.9 Hz, 9, 3 Hz, 1H), 7.18 (d, J = 2.7 Hz, 1H), 7.37 (s, 1H), 7.49 (s, 1H), 7.58 (s, 1H), 8 26 (d, J = 9.0 Hz, 1H), 8.46 (d, J 5 = 5.4 Hz, 1H).

Пример 161: N-(2-Хлор-4-{[6-метокси-7-(4-пиридилметокси)- 4-хиназолинил]окси}фенил)-N’-(2,4-дифтор-фенил)мочевинаExample 161: N- (2-Chloro-4 - {[6-methoxy-7- (4-pyridylmethoxy) -4-quinazolinyl] oxy} phenyl) -N ’- (2,4-difluoro-phenyl) urea

Исходное соединение (N’-{2-хлор-4-[(7-гидрокси-6-метокси-4-хиназолинил)окси]фенил}-N’-(2,4-дифторфенил)мочевина, 80 мг), карбонат калия (138 мг) и гидрохлорид 4-хлорметилпиридина (41 мг) растворяют в N,N-диметилформамиде (1 мл), и раствор перемешивают при комнатной температуре в течение 18 ч. К реакционной смеси добавляют воду и проводят экстракцию смесью хлороформ-пропанол (3/1). Органический слой сушат над безводным сульфатом натрия, и растворитель удаляют путем перегонки при пониженном давлении. Остаток промывают эфиром, получая 50 мг (выход 52%) указанного в заголовке соединения.Starting compound (N '- {2-chloro-4 - [(7-hydroxy-6-methoxy-4-quinazolinyl) oxy] phenyl} -N' - (2,4-difluorophenyl) urea, 80 mg), potassium carbonate (138 mg) and 4-chloromethylpyridine hydrochloride (41 mg) were dissolved in N, N-dimethylformamide (1 ml), and the solution was stirred at room temperature for 18 hours. Water was added to the reaction mixture and extraction was carried out with chloroform-propanol (3 /1). The organic layer was dried over anhydrous sodium sulfate, and the solvent was removed by distillation under reduced pressure. The residue was washed with ether to give 50 mg (52% yield) of the title compound.

1H ЯМР (CDCl3, 400 МГц): δ 4,03 (с, 3Н), 5,46 (с, 2Н), 7,03-7,11 (м, 1Н), 7,28-7,38 (м, 1Н), 7,47 (с, 1Н), 7,50 (д, J=5,9 Гц, 2Н), 7,56 (д, J=2,7 Гц, 1Н), 7,61 (с, 1Н), 7,95 (с, 1Н), 8,09-8,18 (м, 1Н), 8,19 (д, J=9,0 Гц, 1Н), 8,57 (с, 1Н), 8,63 (д, J=5,9 Гц, 2Н), 8,81 (с, 1Н), 9,30 (с, 1Н).1 H NMR (CDCl3 , 400 MHz): δ 4.03 (s, 3H), 5.46 (s, 2H), 7.03-7.11 (m, 1H), 7.28-7.38 (m, 1H), 7.47 (s, 1H), 7.50 (d, J = 5.9 Hz, 2H), 7.56 (d, J = 2.7 Hz, 1H), 7.61 (s, 1H), 7.95 (s, 1H), 8.09-8.18 (m, 1H), 8.19 (d, J = 9.0 Hz, 1H), 8.57 (s, 1H), 8.63 (d, J = 5.9 Hz, 2H), 8.81 (s, 1H), 9.30 (s, 1H).

Пример 162: N-(2-Хлор-4-{[6-метокси-7-(2-морфолинэтокси)-4-хиназолинил]окси}фенил)-N’-(2,4-дифтор-фенил)мочевинаExample 162: N- (2-Chloro-4 - {[6-methoxy-7- (2-morpholinethoxy) -4-quinazolinyl] oxy} phenyl) -N ’- (2,4-difluoro-phenyl) urea

Исходное соединение (N’-{2-хлор-4-[(7-гидрокси-6-метокси-4-хиназолинил)окси]фенил}-N’-(2,4-дифторфенил)мочевина, 100 мг), карбонат калия (857 мг) и 1,2-дибромэтан (0,085 мл) растворяют в N,N-диметилформамиде (1 мл), и раствор перемешивают при комнатной температуре в течение 18 ч. К реакционной смеси добавляют воду и проводят экстракцию смесью хлороформ-пропанол (3/1). Органический слой сушат над безводным сульфатом натрия, и растворитель удаляют путем перегонки при пониженном давлении. Остаток промывают эфиром, получая промежуточное соединение (N-(4-{[7-(2-бромэтокси)-6-метокси-4-хиназолинил]окси}-2-хлорфенил)-N’-(2,4-дифторфенил)мочевину).Starting compound (N '- {2-chloro-4 - [(7-hydroxy-6-methoxy-4-quinazolinyl) oxy] phenyl} -N' - (2,4-difluorophenyl) urea, 100 mg), potassium carbonate (857 mg) and 1,2-dibromoethane (0.085 ml) were dissolved in N, N-dimethylformamide (1 ml), and the solution was stirred at room temperature for 18 hours. Water was added to the reaction mixture and extraction was performed with chloroform-propanol ( 3/1). The organic layer was dried over anhydrous sodium sulfate, and the solvent was removed by distillation under reduced pressure. The residue was washed with ether to give the intermediate (N- (4 - {[7- (2-bromoethoxy) -6-methoxy-4-quinazolinyl] oxy} -2-chlorophenyl) -N '- (2,4-difluorophenyl) urea )

Промежуточное соединение, карбонат калия (138 мг) и морфолин (0,05 мл) растворяют в N,N-диметилформамиде (1 мл), и раствор перемешивают при комнатной температуре в течение 18 ч. К реакционной смеси добавляют воду и проводят экстракцию смесью хлороформ-пропанол (3/1). Органический слой сушат над безводным сульфатом натрия, и растворитель удаляют путем перегонки при пониженном давлении. Остаток очищают методом ВЭЖХ, элюируя смесью хлороформ/метанол, получая 57 мг (выход 46%) указанного в заголовке соединения.The intermediate, potassium carbonate (138 mg) and morpholine (0.05 ml) were dissolved in N, N-dimethylformamide (1 ml), and the solution was stirred at room temperature for 18 hours. Water was added to the reaction mixture and extraction was carried out with chloroform propanol (3/1). The organic layer was dried over anhydrous sodium sulfate, and the solvent was removed by distillation under reduced pressure. The residue was purified by HPLC, eluting with a chloroform / methanol mixture to give 57 mg (46% yield) of the title compound.

1H ЯМР (CDCl3, 400 МГц): δ 2,54-2,63 (м, 4Н), 2,85-2,94 (м, 2Н), 3,66-3,73 (м, 4Н), 3,97 (с, 3Н), 4,25-4,32 (м, 2Н), 6,77-6,88 (м, 2Н), 7,09 (с, 1Н), 7,14 (дд, J=2,7 Гц, 9,0 Гц, 1Н), 7,257 (с, 1Н), 7,264 (с, 1Н), 7,44 (с, 1Н), 7,90-7,99 (м, 1Н), 8,22 (д, J=9,0 Гц, 1Н), 8,56 (с, 1Н).1 H NMR (CDCl3 , 400 MHz): δ 2.54-2.63 (m, 4H), 2.85-2.94 (m, 2H), 3.66-3.73 (m, 4H) 3.97 (s, 3H), 4.25-4.32 (m, 2H), 6.77-6.88 (m, 2H), 7.09 (s, 1H), 7.14 (dd , J = 2.7 Hz, 9.0 Hz, 1H), 7.257 (s, 1H), 7.264 (s, 1H), 7.44 (s, 1H), 7.90-7.99 (m, 1H ), 8.22 (d, J = 9.0 Hz, 1H), 8.56 (s, 1H).

Определение молекулярной массы (ESI-MS, m/z): 586 (M++1).Determination of molecular weight (ESI-MS, m / z): 586 (M+ +1).

Пример 163: N-(2-Хлор-4-{[6-метокси-7-(3-морфолинпропокси)-4-хиназолинил] окси} фенил) -NY-(2,4-дифтор-фенил) мочевинаExample 163: N- (2-Chloro-4 - {[6-methoxy-7- (3-morpholinpropoxy) -4-quinazolinyl] oxy} phenyl) -NY - (2,4-difluoro-phenyl) urea

Исходное соединение (N-(4-{[7-(3-бромпропокси)-6-метокси-4-хиназолинил] окси}-2-хлорфенил)-N’-(2,4-дифторфенил)мочевина, 59 мг), карбонат калия (857 мг) и морфолин (0,043 мл) растворяют в N,N-диметилформамиде (1 мл), и раствор перемешивают при комнатной температуре в течение 18 ч. К реакционной смеси добавляют воду и проводят экстракцию смесью хлороформ-пропанол (3/1). Органический слой сушат над безводным сульфатом натрия, и растворитель удаляют путем перегонки при пониженном давлении. Остаток промывают эфиром, получая 53 мг (выход 89%) указанного в заголовке соединения.Starting compound (N- (4 - {[7- (3-bromopropoxy) -6-methoxy-4-quinazolinyl] oxy} -2-chlorophenyl) -N '- (2,4-difluorophenyl) urea, 59 mg), potassium carbonate (857 mg) and morpholine (0.043 ml) were dissolved in N, N-dimethylformamide (1 ml), and the solution was stirred at room temperature for 18 hours. Water was added to the reaction mixture and extraction was performed with chloroform-propanol (3 / 1). The organic layer was dried over anhydrous sodium sulfate, and the solvent was removed by distillation under reduced pressure. The residue was washed with ether to give 53 mg (89% yield) of the title compound.

1H ЯМР (СDСl3, 400 МГц): δ 2,06-2,16 (м, 2Н), 2,43-2,57 (м, 4Н), 2,56 (т, J=6,8 Гц, 2Н), 3,68-3,75 (м, 4Н), 4,03 (с, 3Н), 4,27 (т, J=6,6 Гц, 2Н), 6,79-6,91 5 (м, 2Н), 7,14 (с, 1Н), 7,19 (дд, J=2,7 Гц, 9,0 Гц, 1Н), 7,28 (с, 1Н), 7,29 (д, J=9,0 Гц, 1Н), 7,33 (с, 1Н), 7,49 (с, 1Н), 8,26 (д, J=9,0 Гц, 1Н), 8,61 (с, 1Н).1 H NMR (CDCl3 , 400 MHz): δ 2.06-2.16 (m, 2H), 2.43-2.57 (m, 4H), 2.56 (t, J = 6.8 Hz , 2H), 3.68-3.75 (m, 4H), 4.03 (s, 3H), 4.27 (t, J = 6.6 Hz, 2H), 6.79-6.91 5 (m, 2H), 7.14 (s, 1H), 7.19 (dd, J = 2.7 Hz, 9.0 Hz, 1H), 7.28 (s, 1H), 7.29 (d , J = 9.0 Hz, 1H), 7.33 (s, 1H), 7.49 (s, 1H), 8.26 (d, J = 9.0 Hz, 1H), 8.61 (s , 1H).

Определение молекулярной массы (ESI-MS, m/z): 600 (M++1).Determination of molecular weight (ESI-MS, m / z): 600 (M+ +1).

Пример 164: N-[2-Хлор-4-({6-метокси-7-[3-(4-метил-пиперазин)-пропокси]-4-хиназолинил)окси)фенил]-N’-(2,4-дифторфенил)мочевинаExample 164: N- [2-Chloro-4 - ({6-methoxy-7- [3- (4-methyl-piperazine) propoxy] -4-quinazolinyl) oxy) phenyl] -N '- (2,4 difluorophenyl) urea

Исходное соединение (N-(4-{[7-(3-бромпропокси)-6-метокси-4-хиназолинил]окси}-2-хлорфенил)-N’-(2,4-дифторфенил)мочевина, 59 мг), карбонат калия (138 мг) и 1-метилпиперазин (0,055 мл) растворяют в N,N-диметилформамиде (1 мл), и раствор перемешивают при комнатной температуре в течение 18 ч. К реакционной смеси добавляют воду и проводят экстракцию смесью хлороформ-пропанол (3/1). Органический слой сушат над безводным сульфатом натрия, и растворитель удаляют путем перегонки при пониженном давлении. Остаток промывают эфиром, получая 58 мг (выход 95%) указанного в заголовке соединения.Starting compound (N- (4 - {[7- (3-bromopropoxy) -6-methoxy-4-quinazolinyl] oxy} -2-chlorophenyl) -N '- (2,4-difluorophenyl) urea, 59 mg), Potassium carbonate (138 mg) and 1-methylpiperazine (0.055 ml) were dissolved in N, N-dimethylformamide (1 ml), and the solution was stirred at room temperature for 18 hours. Water was added to the reaction mixture and extraction was performed with chloroform-propanol ( 3/1). The organic layer was dried over anhydrous sodium sulfate, and the solvent was removed by distillation under reduced pressure. The residue was washed with ether to give 58 mg (95% yield) of the title compound.

1H ЯМР (СDСl3, 400 МГц): δ 2,01-2,12 (м, 2Н), 2,23 (с, 3Н), 2,23-2,80 (м, 8Н), 2,51 (т, J=7,1 Гц, 2Н), 3,97 (с, 3Н), 4,20 (т, J=7,2 Гц, 2Н), 6,73-6,87 (м, 2Н), 7,13 (дд, J=2,7 Гц, 9,0 Гц, 1Н), 7,24 (д, J=2,7 Hz, 1H), 7,27 (с, 1H), 7,30 (с, 1H), 7,44 (с, 1H), 7,91-8,00 (м, 2Н), 8,21 (д, J=9,0 Гц, 1H), 8,56 (с, 1H).1 H NMR (CDCl3 , 400 MHz): δ 2.01-2.12 (m, 2H), 2.23 (s, 3H), 2.23-2.80 (m, 8H), 2.51 (t, J = 7.1 Hz, 2H), 3.97 (s, 3H), 4.20 (t, J = 7.2 Hz, 2H), 6.73-6.87 (m, 2H) 7.13 (dd, J = 2.7 Hz, 9.0 Hz, 1H), 7.24 (d, J = 2.7 Hz, 1H), 7.27 (s, 1H), 7.30 (s, 1H), 7.44 (s, 1H), 7.91-8.00 (m, 2H), 8.21 (d, J = 9.0 Hz, 1H), 8.56 (s, 1H).

Пример 165: N-(2-Хлор-4-[(1-{3-[(2-гидроксиэтил)-(метил)-амино]пропокси}-6-метокси-4-хиназолинил)окси]-фенил}-N’-(2,4-дифторфенил)мочевинаExample 165: N- (2-Chloro-4 - [(1- {3 - [(2-hydroxyethyl) - (methyl) amino] propoxy} -6-methoxy-4-quinazolinyl) oxy] phenyl} -N '- (2,4-difluorophenyl) urea

Исходное соединение (N-(4-{[7-(3-бромпропокси)-6-метокси-4-хиназолинил]окси}-2-хлорфенил)-N’-(2,4-дифторфенил)мочевина, 59 мг), карбонат калия (138 мг) и 2-(метиламино)этанол (0,040 мл) растворяют в N,N-диметилформамиде (1 мл), и раствор перемешивают при комнатной температуре в течение 18 ч. К реакционной смеси добавляют воду и проводят экстракцию смесью хлороформ-пропанол (3/1). Органический слой сушат над безводным сульфатом натрия, и растворитель удаляют путем перегонки при пониженном давлении. Остаток промывают эфиром, получая 58 мг (выход 100%) указанного в заголовке соединения.Starting compound (N- (4 - {[7- (3-bromopropoxy) -6-methoxy-4-quinazolinyl] oxy} -2-chlorophenyl) -N '- (2,4-difluorophenyl) urea, 59 mg), Potassium carbonate (138 mg) and 2- (methylamino) ethanol (0.040 ml) were dissolved in N, N-dimethylformamide (1 ml), and the solution was stirred at room temperature for 18 hours. Water was added to the reaction mixture and extraction was carried out with chloroform mixture. propanol (3/1). The organic layer was dried over anhydrous sodium sulfate, and the solvent was removed by distillation under reduced pressure. The residue was washed with ether to give 58 mg (100% yield) of the title compound.

1H ЯМР (CDCl3, 400 МГц): δ 2,06-2,16 (м, 2Н), 2,30 (с, 3Н), 2,57 (т, J=5,1 Гц, 2Н), 2,65 (т, J=6,8 Гц, 1H), 3,63 (т, J=5,4 Гц, 2Н), 4,02 (с, 3Н), 4,28 (т, J=6,1 Гц, 2Н), 6,79-6,91 (м, 2Н), 7,18 (дд, J=2,7 Гц, 9,0 Гц, 1H), 7,28 (д, J=2,7 Гц, 1H), 7,37 (с, 1H), 7,48 (с, 1H), 7,96-8,06 (м, 2Н), 8,26 (д, J=9,0 Гц, 1H), 8,59 (с, 1H).1 H NMR (CDCl3 , 400 MHz): δ 2.06-2.16 (m, 2H), 2.30 (s, 3H), 2.57 (t, J = 5.1 Hz, 2H), 2.65 (t, J = 6.8 Hz, 1H), 3.63 (t, J = 5.4 Hz, 2H), 4.02 (s, 3H), 4.28 (t, J = 6 , 1 Hz, 2H), 6.79-6.91 (m, 2H), 7.18 (dd, J = 2.7 Hz, 9.0 Hz, 1H), 7.28 (d, J = 2 , 7 Hz, 1H), 7.37 (s, 1H), 7.48 (s, 1H), 7.96-8.06 (m, 2H), 8.26 (d, J = 9.0 Hz , 1H); 8.59 (s, 1H).

Определение молекулярной массы (ESI-MS, m/z): 588 (М++1).Determination of molecular weight (ESI-MS, m / z): 588 (M+ +1).

Пример 166: N-[2-Хлор-4-({6-метокси-7-[2-(4-метилпиперазино)-этокси]-4-хинолил}окси)фенил]-N’-(2,4-дифторфенил)мочевинаExample 166: N- [2-Chloro-4 - ({6-methoxy-7- [2- (4-methylpiperazino) ethoxy] -4-quinolyl} oxy) phenyl] -N '- (2,4-difluorophenyl )urea

Исходное соединение (N-(4-{[7-(2-бромэтокси)-6-метокси-4-хинолил]окси}-2-хлорфенил)-N’-(2,4-дифторфенил)мочевина, 50 мг), карбонат калия (138 мг) и 1-метилпиперазин (0,055 мл) растворяют в N,N-диметилформамиде (1 мл), и раствор перемешивают при комнатной температуре в течение 18 ч. К реакционной смеси добавляют воду и проводят экстракцию смесью хлороформ-пропанол (3/1). Органический слой сушат над безводным сульфатом натрия, и растворитель удаляют путем перегонки при пониженном давлении. Остаток промывают эфиром, получая 48 мг (выход 93%) указанного в заголовке соединения.Starting compound (N- (4 - {[7- (2-bromoethoxy) -6-methoxy-4-quinolyl] oxy} -2-chlorophenyl) -N '- (2,4-difluorophenyl) urea, 50 mg), Potassium carbonate (138 mg) and 1-methylpiperazine (0.055 ml) were dissolved in N, N-dimethylformamide (1 ml), and the solution was stirred at room temperature for 18 hours. Water was added to the reaction mixture and extraction was performed with chloroform-propanol ( 3/1). The organic layer was dried over anhydrous sodium sulfate, and the solvent was removed by distillation under reduced pressure. The residue was washed with ether to give 48 mg (93% yield) of the title compound.

1H ЯМР (СDСl3, 400 МГц): δ 2,31 (с, 3Н), 2,40-2,75 (м, 8Н), 2,95 (т, J=6,1 Гц, 2Н), 3,99 (с, 3Н), 4,31 (т, J=5,9 Гц, 2Н), 6,48 (д, J=5,1 Гц, 1Н), 6,85-6,96 (м, 3Н), 7,12 (дд, J=2,7 Гц, 9,0 Гц, 1Н), 7,15 (с, 1Н), 35 7,22 (д, J=2,7 Гц, 1Н), 7,40 (с, 1Н), 7,47 (с, 1Н), 7,94-8,03 (м, 1Н), 8,25 (д, J=9,0 Гц, 1Н), 8,49 (д, J=5,1 Гц, 1Н).1 H NMR (CDCl3 , 400 MHz): δ 2.31 (s, 3H), 2.40-2.75 (m, 8H), 2.95 (t, J = 6.1 Hz, 2H), 3.99 (s, 3H), 4.31 (t, J = 5.9 Hz, 2H), 6.48 (d, J = 5.1 Hz, 1H), 6.85-6.96 (m , 3H), 7.12 (dd, J = 2.7 Hz, 9.0 Hz, 1H), 7.15 (s, 1H), 35 7.22 (d, J = 2.7 Hz, 1H) 7.40 (s, 1H), 7.47 (s, 1H), 7.94-8.03 (m, 1H), 8.25 (d, J = 9.0 Hz, 1H), 8, 49 (d, J = 5.1 Hz, 1H).

Пример 167: N-{2-Хлор-4-[(7-{2-[(2-гидроксиэтил)-(метил)-амино]этокси}-6-метокси-4-хинолил)окси]фенил}-N’-(2,4-дифторфенил) мочевинаExample 167: N- {2-Chloro-4 - [(7- {2 - [(2-hydroxyethyl) - (methyl) amino] ethoxy} -6-methoxy-4-quinolyl) oxy] phenyl} -N ' - (2,4-difluorophenyl) urea

Исходное соединение (N-(4-{[7-(2-бромэтокси)-6-метокси-4-хинолил] окси}-2-хлорфенил)-N’-(2,4-дифторфенил)мочевина, 50 мг), карбонат калия (138 мг) и 2-(метиламин)этанол (0,040 мл) растворяют в N,N-диметилформамиде (1 мл), и раствор перемешивают при комнатной температуре в течение 18 ч. К реакционной смеси добавляют воду и проводят экстракцию смесью хлороформ-пропанол (3/1). Органический слой сушат над безводным сульфатом натрия, и растворитель удаляют путем перегонки при пониженном давлении. Остаток промывают эфиром, получая 48 мг (выход 97%) указанного в заголовке соединения.Starting compound (N- (4 - {[7- (2-bromoethoxy) -6-methoxy-4-quinolyl] oxy} -2-chlorophenyl) -N '- (2,4-difluorophenyl) urea, 50 mg), Potassium carbonate (138 mg) and 2- (methylamine) ethanol (0.040 ml) were dissolved in N, N-dimethylformamide (1 ml), and the solution was stirred at room temperature for 18 hours. Water was added to the reaction mixture and extraction was performed with chloroform mixture. propanol (3/1). The organic layer was dried over anhydrous sodium sulfate, and the solvent was removed by distillation under reduced pressure. The residue was washed with ether to give 48 mg (97% yield) of the title compound.

1H ЯМР (CDCl3, 400 МГц): δ 2,44 (с, 3Н), 2,71 (т, J=4,9 Гц, 2Н), 3,02 (т, J=5,6 Гц, 4Н), 3,66 (т, J=5, 1 Гц, 2Н), 3,97 (с, 3Н), 4,27 (т, J=5,6 Гц, 2Н), 6,46 (д, J=5,4 Гц, 1Н), 6,80-6,93 (м, 2Н), 7,11 (дд, J=2,7 Гц, 9,0 Гц, 1Н), 7,19 (д, J=2,7 Гц, 1Н), 7,45 (с, 1Н), 7,96-8,04 (м, 1Н), 8,25 (д, J=9,0 Гц, 1Н), 8,48 (д, J=5,1 Гц, 1Н).1 H NMR (CDCl3 , 400 MHz): δ 2.44 (s, 3H), 2.71 (t, J = 4.9 Hz, 2H), 3.02 (t, J = 5.6 Hz, 4H), 3.66 (t, J = 5.1 Hz, 2H), 3.97 (s, 3H), 4.27 (t, J = 5.6 Hz, 2H), 6.46 (d, J = 5.4 Hz, 1H), 6.80-6.93 (m, 2H), 7.11 (dd, J = 2.7 Hz, 9.0 Hz, 1H), 7.19 (d, J = 2.7 Hz, 1H), 7.45 (s, 1H), 7.96-8.04 (m, 1H), 8.25 (d, J = 9.0 Hz, 1H), 8, 48 (d, J = 5.1 Hz, 1H).

Пример 168: N-(2-Хлор-4-{[6-метокси-7-(3-морфолино-пропокси)-4-хинолил]окси}фенил)-N’-(2,4-дифторфенил)-мочевинаExample 168: N- (2-Chloro-4 - {[6-methoxy-7- (3-morpholino-propoxy) -4-quinolyl] oxy} phenyl) -N ’- (2,4-difluorophenyl) urea

Исходное соединение (N-(4-{[7-(3-бромпропокси)-6-метокси-4-хинолил]окси}-2-хлорфенил)-N’-(2,4-дифторфенил)мочевина, 50 мг), карбонат калия (138 мг) и морфолин (0,044 мл) растворяют в N,N-диметилформамиде (1 мл), и раствор перемешивают при комнатной температуре в течение 18 ч. К реакционной смеси добавляют воду и проводят экстракцию смесью хлороформ-пропанол (3/1). Органический слой сушат над безводным сульфатом натрия, и растворитель удаляют путем перегонки при пониженном давлении. Остаток промывают эфиром, получая 32 мг (выход 64%) указанного в заголовке соединения.Starting compound (N- (4 - {[7- (3-bromopropoxy) -6-methoxy-4-quinolyl] oxy} -2-chlorophenyl) -N '- (2,4-difluorophenyl) urea, 50 mg), potassium carbonate (138 mg) and morpholine (0.044 ml) were dissolved in N, N-dimethylformamide (1 ml), and the solution was stirred at room temperature for 18 hours. Water was added to the reaction mixture and extraction was performed with chloroform-propanol (3 / 1). The organic layer was dried over anhydrous sodium sulfate, and the solvent was removed by distillation under reduced pressure. The residue was washed with ether to give 32 mg (64% yield) of the title compound.

1H ЯМР (CDCl3, 400 МГц): δ 2,06-2,16 (м, 2Н), 2,43-2,51 (м, 4Н), 2,56 (т, J=7,3 Гц, 2Н), 3,68-3,74 (м, 4Н), 4,00 (с, 3Н), 4,25 (т, J=6,6 Гц, 2Н), 6,47 (д, J=5,1 Гц, 1Н), 6,84-6,93 (м, 2Н), 7,06 (с, 1Н), 7,12 5 (дд, J=2,7 Гц, 9,0 Гц, 1Н), 7,22 (д, J=2,9 Гц, 1Н), 7,42 (с, 1Н), 7,47 (с, 1Н), 7,95-8,04 (м, 1Н), 8,25 (д, J=9,0 Гц, 1Н), 8,48 (д, J=5,4 Гц, 1Н).1 H NMR (CDCl3 , 400 MHz): δ 2.06-2.16 (m, 2H), 2.43-2.51 (m, 4H), 2.56 (t, J = 7.3 Hz , 2H), 3.68-3.74 (m, 4H), 4.00 (s, 3H), 4.25 (t, J = 6.6 Hz, 2H), 6.47 (d, J = 5.1 Hz, 1H), 6.84-6.93 (m, 2H), 7.06 (s, 1H), 7.12 5 (dd, J = 2.7 Hz, 9.0 Hz, 1H ), 7.22 (d, J = 2.9 Hz, 1H), 7.42 (s, 1H), 7.47 (s, 1H), 7.95-8.04 (m, 1H), 8 25 (d, J = 9.0 Hz, 1H); 8.48 (d, J = 5.4 Hz, 1H).

Пример 169: N-(2-Хлор-4-{[6-метокси-7-(3-пиридилметокси)-4-хинолил]окси}фенил)-N’-(2,4-дифторфенил)-мочевинаExample 169: N- (2-Chloro-4 - {[6-methoxy-7- (3-pyridylmethoxy) -4-quinolyl] oxy} phenyl) -N ’- (2,4-difluorophenyl) urea

N-{2-Хлор-4-[(7-гидрокси-6-метокси-4-хинолил)-окси]фенил}-N’-(2,4-дифторфенил)мочевину (55 мг), карбонат калия (31 мг) и гидрохлорид 3-пиколилхлорида (22 мг) растворяют в N,N-диметилформамиде (1 мл), и раствор перемешивают при 80°С в течение одного часа. Растворитель удаляют путем перегонки при пониженном давлении. К остатку добавляют насыщенный водный раствор гидрокарбоната натрия, и смесь экстрагируют хлороформом. Хлороформный слой сушат над безводным сульфатом натрия. Растворитель удаляют путем перегонки при пониженном давлении. Остаток промывают эфиром, получая 30 мг (выход 48%) указанного в заголовке соединения.N- {2-Chloro-4 - [(7-hydroxy-6-methoxy-4-quinolyl) -oxy] phenyl} -N '- (2,4-difluorophenyl) urea (55 mg), potassium carbonate (31 mg ) and 3-picolyl chloride hydrochloride (22 mg) were dissolved in N, N-dimethylformamide (1 ml), and the solution was stirred at 80 ° C. for one hour. The solvent was removed by distillation under reduced pressure. A saturated aqueous sodium hydrogen carbonate solution was added to the residue, and the mixture was extracted with chloroform. The chloroform layer was dried over anhydrous sodium sulfate. The solvent was removed by distillation under reduced pressure. The residue was washed with ether to give 30 mg (48% yield) of the title compound.

1H ЯМР (СDСl3, 400 МГц): δ 4,03 (с, 3Н), 5,31 (с, 2Н), 6,49 (д, J=5,4 Гц, 1Н), 6,77-6,88 (м, 2Н), 7,10-7,16 (м, 2Н), 7,31-7,35 (м, 1Н), 7,48 (с, 1Н), 7,54 (с, 1Н), 7,86 (д, J=7,8 Гц, 1Н), 7,96 (с, 1Н), 8,03-8,10 (м, 1Н), 8,32 (д, J=9,0 Гц, 1Н), 8,42 (с, 1Н), 8,49 (д, J=5,4 Гц, 1Н), 8,59 (д, J=3,9 Гц, 1Н), 8,77 (с, 1Н).1 H NMR (CDCl3 , 400 MHz): δ 4.03 (s, 3H), 5.31 (s, 2H), 6.49 (d, J = 5.4 Hz, 1H), 6.77- 6.88 (m, 2H), 7.10-7.16 (m, 2H), 7.31-7.35 (m, 1H), 7.48 (s, 1H), 7.54 (s, 1H), 7.86 (d, J = 7.8 Hz, 1H), 7.96 (s, 1H), 8.03-8.10 (m, 1H), 8.32 (d, J = 9 , 0 Hz, 1H), 8.42 (s, 1H), 8.49 (d, J = 5.4 Hz, 1H), 8.59 (d, J = 3.9 Hz, 1H), 8, 77 (s, 1H).

Пример 170: N-[2-Хлор-4-({6-метокси-7-[2-(1Н-1,2,3-триазол-1-ил)этокси]-4-хинолил}окси)фенил]-N’-(2,4-дифторфенил)мочевинаExample 170: N- [2-Chloro-4 - ({6-methoxy-7- [2- (1H-1,2,3-triazol-1-yl) ethoxy] -4-quinolyl} oxy) phenyl] - N '- (2,4-difluorophenyl) urea

N-{2-Хлор-4-[(7-гидрокси-6-метокси-4-хинолил)-окси]фенил}-N’-(2,4-дифторфенил)мочевину (55 мг), карбонат калия (31 мг) и 2-(1Н-1,2,3-триазол-1-ил) этил 4-метил-1-бензолсульфонат (36 мг) растворяют в N,N-диметилформамиде (1 мл), и раствор перемешивают при 80°С в течение одного часа. Растворитель удаляют путем перегонки при пониженном давлении. К остатку добавляют насыщенный водный раствор гидрокарбоната натрия, и смесь экстрагируют хлороформом. Хлороформный слой сушат над безводным сульфатом натрия. Растворитель удаляют путем перегонки при пониженном давлении. Остаток промывают эфиром, получая 46 мг (выход 72%) указанного в заголовке соединения.N- {2-Chloro-4 - [(7-hydroxy-6-methoxy-4-quinolyl) -oxy] phenyl} -N '- (2,4-difluorophenyl) urea (55 mg), potassium carbonate (31 mg ) and 2- (1H-1,2,3-triazol-1-yl) ethyl 4-methyl-1-benzenesulfonate (36 mg) are dissolved in N, N-dimethylformamide (1 ml), and the solution is stirred at 80 ° C. for one hour. The solvent was removed by distillation under reduced pressure. A saturated aqueous sodium hydrogen carbonate solution was added to the residue, and the mixture was extracted with chloroform. The chloroform layer was dried over anhydrous sodium sulfate. The solvent was removed by distillation under reduced pressure. The residue was washed with ether to give 46 mg (72% yield) of the title compound.

1H ЯМР (СDСl3, 400 МГц): δ 4,02 (с, 3Н), 4,53 (д, J=4,9 Гц, 2Н), 4,95 (д, J=5,1 Гц, 2Н), 6,47 (д, J=5,1 Гц, 1Н), 6,83-6,92 (м, 2Н), 7,11 (дд, J=2,7 Гц, 9,0 Гц, 1Н), 7,16 (д, J=2,7 Гц, 1Н), 7,39 (с, 1Н), 7,52 (с, 1Н), 7,58 (с, 1Н), 7,70 (с, 1Н), 7,76 (с, 1Н), 8,00 (с, 1Н), 8,01-8,07 (м, 1Н), 8,29 (д, J=9,0 Гц, 1Н), 8,49 (д, J=5,4 Гц, 1Н).1 H NMR (CDCl3 , 400 MHz): δ 4.02 (s, 3H), 4.53 (d, J = 4.9 Hz, 2H), 4.95 (d, J = 5.1 Hz, 2H), 6.47 (d, J = 5.1 Hz, 1H), 6.83-6.92 (m, 2H), 7.11 (dd, J = 2.7 Hz, 9.0 Hz, 1H), 7.16 (d, J = 2.7 Hz, 1H), 7.39 (s, 1H), 7.52 (s, 1H), 7.58 (s, 1H), 7.70 ( s, 1H), 7.76 (s, 1H), 8.00 (s, 1H), 8.01-8.07 (m, 1H), 8.29 (d, J = 9.0 Hz, 1H ), 8.49 (d, J = 5.4 Hz, 1H).

Пример 171: N-(2-Метокси-4-{[6-метокси-7-(3-морфолин-пропокси)-4-хиназолинил]окси}фенил)-N’-пропилмочевинаExample 171: N- (2-Methoxy-4 - {[6-methoxy-7- (3-morpholine-propoxy) -4-quinazolinyl] oxy} phenyl) -N’-propylurea

N-4-[(7-Гидрокси-6-метокси-4-хиназолинил)окси]-2-метокси-фенил}-N’-пропилмочевина (100 мг), карбонат калия (138 мг) и 1,3-дибромпропан (56 мг) растворяют в N,N-диметилформамиде (5 мл), и раствор перемешивают при комнатной температуре в течение 3 ч. Растворитель удаляют путем перегонки при пониженном давлении. К остатку добавляют воду и экстрагируют смесью хлороформ/2-пропанол (4/1). Органический слой сушат над безводным сульфатом натрия, и растворитель удаляют путем перегонки при пониженном давлении. Остаток промывают эфиром, получая 53 мг (выход 41%) N-(4-[7-(3-бромпропокси)-6-метокси-4-хиназолинил]окси-2-метокси-фенил}-N’-пропилмочевины. N-(4-{[6-(3-Бромпропокси)-7-метокси-4-хиназолинил]окси}-2-хлорфенил}-N’-пропилмочевину (50 мг), карбонат калия (60 мг) и N-метилпиперазин (100 мкл) растворяют в N,N-диметилформамиде (2 мл), и раствор перемешивают при комнатной температуре в течение 16 ч. Растворитель удаляют путем перегонки при пониженном давлении. К остатку добавляют насыщенный водный раствор гидрокарбоната натрия, и смесь экстрагируют хлороформом. Органический слой сушат над безводным сульфатом натрия, и растворитель удаляют путем перегонки при пониженном давлении. Остаток очищают методом хроматографии на силикагеле, элюируя смесью хлороформ/метанол, получая 22 мг (выход 42%) указанного в заголовке соединения.N-4 - [(7-Hydroxy-6-methoxy-4-quinazolinyl) oxy] -2-methoxyphenyl} -N'-propylurea (100 mg), potassium carbonate (138 mg) and 1,3-dibromopropane ( 56 mg) was dissolved in N, N-dimethylformamide (5 ml), and the solution was stirred at room temperature for 3 hours. The solvent was removed by distillation under reduced pressure. Water was added to the residue and extracted with chloroform / 2-propanol (4/1). The organic layer was dried over anhydrous sodium sulfate, and the solvent was removed by distillation under reduced pressure. The residue was washed with ether to give 53 mg (yield 41%) of N- (4- [7- (3-bromopropoxy) -6-methoxy-4-quinazolinyl] hydroxy-2-methoxy-phenyl} -N'-propylurea. N- (4 - {[6- (3-Bromopropoxy) -7-methoxy-4-quinazolinyl] oxy} -2-chlorophenyl} -N'-propylurea (50 mg), potassium carbonate (60 mg) and N-methylpiperazine (100 μl) was dissolved in N, N-dimethylformamide (2 ml) and the solution was stirred at room temperature for 16 hours. The solvent was removed by distillation under reduced pressure. Saturated aqueous sodium hydrogen carbonate solution was added to the residue, and the mixture was extracted with chloroform. the th layer was dried over anhydrous sodium sulfate, and the solvent was removed by distillation under reduced pressure, and the residue was purified by silica gel chromatography eluting with chloroform / methanol to obtain 22 mg (42%) of the title compound.

1H ЯМР (СDСl3, 400 МГц): δ 0,97 (т, J=7,6 Гц, 3Н), 1,56-1,60 (м, 2Н), 2,14 (шир, 2Н), 2,50 (шир, 4Н), 2,58 (шир, 2Н), 3,23-3,26 (м, 2Н), 3,74 (шир, 4Н), 3,87 (с, 3Н), 4,04 (с, 3Н), 4,27-4,31 (м, 2Н), 4,62-4,64 (м, 1Н), 6,65 (с, 1Н), 6,79-6,85 (м, 2Н), 7,33 (с, 1Н), 7,53 (с, 1Н), 8,10 (д, J=8,5 Гц, 1Н), 8,62 (с, 1Н).1 H NMR (CDCl3 , 400 MHz): δ 0.97 (t, J = 7.6 Hz, 3H), 1.56-1.60 (m, 2H), 2.14 (broad, 2H), 2.50 (broad 4H), 2.58 (broad 2H), 3.23-3.26 (m, 2H), 3.74 (broad 4H), 3.87 (s, 3H), 4 04 (s, 3H), 4.27-4.31 (m, 2H), 4.62-4.64 (m, 1H), 6.65 (s, 1H), 6.79-6.85 (m, 2H), 7.33 (s, 1H), 7.53 (s, 1H), 8.10 (d, J = 8.5 Hz, 1H), 8.62 (s, 1H).

Определение молекулярной массы (ESI-MS, m/z): 526 (M++1).Determination of molecular weight (ESI-MS, m / z): 526 (M+ +1).

Пример 172: N-(2,4-Дифторфенил)-N’-(2-метокси-4-{[6-метокси-7-(3-морфолинопропокси)-4-хиназолинил]окси}-фенил)мочевинаExample 172: N- (2,4-Difluorophenyl) -N ’- (2-methoxy-4 - {[6-methoxy-7- (3-morpholinopropoxy) -4-quinazolinyl] oxy} phenyl) urea

N-(2,4-Дифторфенил)-N’-4-[(7-гидрокси-6-метокси-4-хиназолинил)окси]-2-метоксифенилмочевину (375 мг), карбонат калия (442 мг) и 1,3-дибромпропан (242 мг) растворяют в N,N-диметилформамиде (5 мл), и раствор перемешивают при комнатной температуре в течение 3 ч. Растворитель удаляют путем перегонки при пониженном давлении. К остатку добавляют воду, после чего экстрагируют этилацетатом. Органический слой сушат над безводным сульфатом натрия, и растворитель удаляют путем перегонки при пониженном давлении. Остаток промывают эфиром, получая 210 мг (выход 45%) N-{4-[7-(3-бромпропокси)-6-метокси-4-хиназолинил]окси-2-метоксифенил}-N’-(2,4-дифторфенил)мочевины.N- (2,4-Difluorophenyl) -N'-4 - [(7-hydroxy-6-methoxy-4-quinazolinyl) oxy] -2-methoxyphenylurea (375 mg), potassium carbonate (442 mg) and 1.3 -dibromopropane (242 mg) was dissolved in N, N-dimethylformamide (5 ml), and the solution was stirred at room temperature for 3 hours. The solvent was removed by distillation under reduced pressure. Water was added to the residue, followed by extraction with ethyl acetate. The organic layer was dried over anhydrous sodium sulfate, and the solvent was removed by distillation under reduced pressure. The residue was washed with ether to give 210 mg (yield 45%) of N- {4- [7- (3-bromopropoxy) -6-methoxy-4-quinazolinyl] hydroxy-2-methoxyphenyl} -N '- (2,4-difluorophenyl ) urea.

N-(4-{[6-(3-Бромпропокси)-7-метокси-4-хиназолинил]окси}-2-хлорфенил}-N’-пропилмочевину (130 мг), триэтиламин (0,5 мл) и морфолин (0,5 мл) растворяют в N,N-диметилформамиде (4 мл), и раствор перемешивают при комнатной температуре в течение 18 ч. Растворитель удаляют путем перегонки при пониженном давлении. К остатку добавляют насыщенный водный раствор гидрокарбоната натрия, и смесь экстрагируют хлороформом. Органический слой сушат над безводным сульфатом натрия, и растворитель удаляют путем перегонки при пониженном давлении. Остаток очищают методом хроматографии на силикагеле, элюируя смесью хлороформ/метанол, получая 81 мг (выход 62%) указанного в заголовке соединения.N- (4 - {[6- (3-Bromopropoxy) -7-methoxy-4-quinazolinyl] oxy} -2-chlorophenyl} -N'-propylurea (130 mg), triethylamine (0.5 ml) and morpholine ( 0.5 ml) was dissolved in N, N-dimethylformamide (4 ml) and the solution was stirred at room temperature for 18 hours. The solvent was removed by distillation under reduced pressure. Saturated aqueous sodium hydrogen carbonate solution was added to the residue, and the mixture was extracted with chloroform. The organic layer was dried over anhydrous sodium sulfate, and the solvent was removed by distillation under reduced pressure. graphy on silica gel, eluting with chloroform / methanol to give 81 mg (yield 62%) of the title compound.

1H ЯМР (СDСl3, 400 МГц): δ 1,97-2,00 (м, 2Н), 2,39 (шир, 4Н), 2,49-2,51 (м, 2Н), 3,58-3,60 (м, 4Н), 3,88 (с, 3Н), 3,98 (с, 3Н), 4,25 (т, J=6,3 Гц, 2Н), 4,27-4,31 (м, 2Н), 4,62-4,64 (м, 1Н), 6,84 (дд, J=2,7 Гц, 8,8 Гц, 1Н), 7,03-7,07 (м, 2Н), 7,28-7,34 (м, 1Н), 7,38 (с, 1Н), 7,55 (с, 1Н), 8,11-8,17 (м, 2Н), 8,55 (с, 1Н), 8,74 (с, 1Н), 9,18 (с, 1Н).1 H NMR (CDCl3 , 400 MHz): δ 1.97-2.00 (m, 2H), 2.39 (broad, 4H), 2.49-2.51 (m, 2H), 3.58 -3.60 (m, 4H), 3.88 (s, 3H), 3.98 (s, 3H), 4.25 (t, J = 6.3 Hz, 2H), 4.27-4, 31 (m, 2H), 4.62-4.64 (m, 1H), 6.84 (dd, J = 2.7 Hz, 8.8 Hz, 1H), 7.03-7.07 (m , 2H), 7.28-7.34 (m, 1H), 7.38 (s, 1H), 7.55 (s, 1H), 8.11-8.17 (m, 2H), 8, 55 (s, 1H), 8.74 (s, 1H), 9.18 (s, 1H).

Определение молекулярной массы (ESI-MS, m/z): 596 (M++1).Determination of molecular weight (ESI-MS, m / z): 596 (M+ +1).

Пример 173: N-(2-Метокси-4-{[6-метокси-7-(3-морфолин-пропокси)-4-хинолил]окси}фенил)-N’-пропилмочевинаExample 173: N- (2-Methoxy-4 - {[6-methoxy-7- (3-morpholine-propoxy) -4-quinolyl] oxy} phenyl) -N’-propylurea

Исходное соединение (N-{4-[(7-гидрокси-6-метокси-4-хинолил)окси]-2-метоксифенил}-N’-пропилмочевина, 80 мг), карбонат калия (138 мг) и 1,3-дибромпропан (0,10 мл) растворяют в N,N-диметилформамиде (1 мл), и раствор перемешивают при комнатной температуре в течение 18 ч. К реакционной смеси добавляют воду и проводят экстракцию смесью хлороформ-пропанол (3/1). Органический слой сушат над безводным сульфатом натрия, и растворитель удаляют путем перегонки при пониженном давлении. Остаток промывают эфиром, получая промежуточное соединение. Промежуточное соединение, карбонат калия (138 мг) и морфолин (0,040 мл) растворяют в N,N-диметилформамиде (1 мл), и раствор перемешивают при комнатной температуре в течение 18 ч. К реакционной смеси добавляют воду и проводят экстракцию смесью хлороформ-пропанол (3/1). Органический слой сушат над безводным сульфатом натрия, и растворитель удаляют путем перегонки при пониженном давлении. Остаток очищают методом хроматографии на силикагеле, элюируя смесью хлороформ/метанол, получая 74 мг (выход 71%) указанного в заголовке соединения.Starting compound (N- {4 - [(7-hydroxy-6-methoxy-4-quinolyl) oxy] -2-methoxyphenyl} -N'-propylurea, 80 mg), potassium carbonate (138 mg) and 1,3- dibromopropane (0.10 ml) was dissolved in N, N-dimethylformamide (1 ml), and the solution was stirred at room temperature for 18 hours. Water was added to the reaction mixture and extraction was performed with chloroform-propanol (3/1). The organic layer was dried over anhydrous sodium sulfate, and the solvent was removed by distillation under reduced pressure. The residue was washed with ether to give an intermediate. The intermediate, potassium carbonate (138 mg) and morpholine (0.040 ml) were dissolved in N, N-dimethylformamide (1 ml), and the solution was stirred at room temperature for 18 hours. Water was added to the reaction mixture and extraction was carried out with chloroform-propanol (3/1). The organic layer was dried over anhydrous sodium sulfate, and the solvent was removed by distillation under reduced pressure. The residue was purified by silica gel chromatography, eluting with a chloroform / methanol mixture, to give 74 mg (71% yield) of the title compound.

1H ЯМР (CDCl3, 400 МГц): δ 0,95 (т, J=1,6 Гц, 3Н), 1,52-1,69 (м, 2Н), 2,06-2,15 (м, 2Н), 2,43-2,49 (м, 4Н), 2,55 (т, J=7,3 Гц, 2Н), 3,23 (дд, J=6,1 Гц, 12,9 Гц, 2Н), 3,67-3,72 (м, 4Н), 3,81 (с, 3Н), 4,00 (с, 3Н), 4,24 (т, J=6,8 Гц, 2Н), 6,44 (д, J=5,1 Гц, 1Н), 6,68 (д, J=2,4 Гц, 1Н), 6,76 (дд, J=2,4 Гц, 8,8 Гц, 1Н), 7,40 (с, 1Н), 7,53 (с, 1Н), 8,12 (д, J=8,8 Гц, 1Н), 8,44 (д, J=5,1 Гц, 1Н).1 H NMR (CDCl3 , 400 MHz): δ 0.95 (t, J = 1.6 Hz, 3H), 1.52-1.69 (m, 2H), 2.06-2.15 (m , 2H), 2.43-2.49 (m, 4H), 2.55 (t, J = 7.3 Hz, 2H), 3.23 (dd, J = 6.1 Hz, 12.9 Hz , 2H), 3.67-3.72 (m, 4H), 3.81 (s, 3H), 4.00 (s, 3H), 4.24 (t, J = 6.8 Hz, 2H) 6.44 (d, J = 5.1 Hz, 1H); 6.68 (d, J = 2.4 Hz, 1H); 6.76 (dd, J = 2.4 Hz, 8.8 Hz , 1H), 7.40 (s, 1H), 7.53 (s, 1H), 8.12 (d, J = 8.8 Hz, 1H), 8.44 (d, J = 5.1 Hz , 1H).

Пример 174: N-(2-Метокси-4-{[6-метокси-7-(4-пиридилметокси)-4-хинолил]окси}фенил)-N’-пропилмочевинаExample 174: N- (2-Methoxy-4 - {[6-methoxy-7- (4-pyridylmethoxy) -4-quinolyl] oxy} phenyl) -N’-propylurea

Исходное соединение (N-{4-[(7-гидрокси-6-метокси-4-хинолил)окси]-2-метоксифенил}-N’-пропилмочевина, 80 мг), карбонат калия (138 мг) и гидрохлорид 4-хлорметилпиридина (48 мг) растворяют в N,N-диметилформамиде (1 мл), и раствор перемешивают при комнатной температуре в течение 18 ч. К реакционной смеси добавляют воду и проводят экстракцию смесью хлороформ-пропанол (3/1). Органический слой сушат над безводным сульфатом натрия, и растворитель удаляют путем перегонки при пониженном давлении. Остаток очищают методом ВЭЖХ, элюируя смесью хлороформ/метанол, получая 65 мг (выход 67%) указанного в заголовке соединения.Starting compound (N- {4 - [(7-hydroxy-6-methoxy-4-quinolyl) oxy] -2-methoxyphenyl} -N'-propylurea, 80 mg), potassium carbonate (138 mg) and 4-chloromethylpyridine hydrochloride (48 mg) was dissolved in N, N-dimethylformamide (1 ml), and the solution was stirred at room temperature for 18 hours. Water was added to the reaction mixture and extraction was performed with chloroform-propanol (3/1). The organic layer was dried over anhydrous sodium sulfate, and the solvent was removed by distillation under reduced pressure. The residue was purified by HPLC, eluting with a chloroform / methanol mixture to give 65 mg (67% yield) of the title compound.

1H ЯМР (CDCl3, 400 МГц): δ 0,95 (т, J=7,3 Гц, 3Н), 1,52-1,69 (м, 2Н), 3,24 (дд, J=7,3 Гц, 12,9 Гц, 2Н), 3,82 (с, ЗН), 4,06 (с, 3Н), 4,63-4,69 (м, 1Н), 5,32 (с, 2Н), 6,46 (д, J=5,4 Гц, 1Н), 6,68 (д, J=2,7 Гц, 1Н), 6,77 (дд, J=2,4 Гц, 8,5 Гц, 1Н), 7,37 (с, 1Н), 7,42 (д, J=6,1 Гц, 2Н), 7,59 (с, 1Н), 8,14 (д, J=8,5 Гц, 1Н), 8,43 (д, J=5,4 Гц, 1Н), 8,61 (д, J=6,1 Гц, 2Н).1 H NMR (CDCl3 , 400 MHz): δ 0.95 (t, J = 7.3 Hz, 3H), 1.52-1.69 (m, 2H), 3.24 (dd, J = 7 , 3 Hz, 12.9 Hz, 2H), 3.82 (s, 3H), 4.06 (s, 3H), 4.63-4.69 (m, 1H), 5.32 (s, 2H) ), 6.46 (d, J = 5.4 Hz, 1H), 6.68 (d, J = 2.7 Hz, 1H), 6.77 (dd, J = 2.4 Hz, 8.5 Hz, 1H), 7.37 (s, 1H), 7.42 (d, J = 6.1 Hz, 2H), 7.59 (s, 1H), 8.14 (d, J = 8.5 Hz, 1H), 8.43 (d, J = 5.4 Hz, 1H), 8.61 (d, J = 6.1 Hz, 2H).

Пример 175: N-Этил-N’-(4-{[6-метокси-7-(2-морфолинэтокси)-4-хинолил]окси}-2,5-диметилфенил)мочевинаExample 175: N-Ethyl-N ’- (4 - {[6-methoxy-7- (2-morpholinethoxy) -4-quinolyl] oxy} -2,5-dimethylphenyl) urea

Исходное соединение (N-этил-N’-{4-[(7-гидрокси-6-метокси-4-хинолил)окси]-2,5-диметилфенил}мочевина, 76 мг), карбонат калия (138 мг) и 1,2-дибромэтан (0,085 мл) растворяют в N,N-диметилформамиде (1 мл), и раствор перемешивают при комнатной температуре в течение 18 ч. К реакционной смеси добавляют воду и проводят экстракцию смесью хлороформ-пропанол (3/1). Органический слой сушат над безводным сульфатом натрия, и растворитель удаляют путем перегонки при пониженном давлении. Остаток промывают эфиром, получая промежуточное соединение (N-(4-{[7-(2-бромэтокси)-6-метокси-4-хинолил]окси}-2,5-диметилфенил)-N’-этилмочевину). Промежуточное соединение, карбонат калия (138 мг) и морфолин (0,044 мл) растворяют в N,N-диметилформамиде (1 мл), и раствор перемешивают при комнатной температуре в течение 18 ч. К реакционной смеси добавляют воду и проводят экстракцию смесью хлороформ-пропанол (3/1). Органический слой сушат над безводным сульфатом натрия, и растворитель удаляют путем перегонки при пониженном давлении. Остаток очищают методом ВЭЖХ, элюируя смесью хлороформ/метанол, получая 72 мг (выход 73%) указанного в заголовке соединения.Starting compound (N-ethyl-N '- {4 - [(7-hydroxy-6-methoxy-4-quinolyl) oxy] -2,5-dimethylphenyl} urea, 76 mg), potassium carbonate (138 mg) and 1 , 2-dibromoethane (0.085 ml) was dissolved in N, N-dimethylformamide (1 ml), and the solution was stirred at room temperature for 18 hours. Water was added to the reaction mixture and extraction was performed with chloroform-propanol (3/1). The organic layer was dried over anhydrous sodium sulfate, and the solvent was removed by distillation under reduced pressure. The residue was washed with ether to give the intermediate (N- (4 - {[7- (2-bromoethoxy) -6-methoxy-4-quinolyl] oxy} -2,5-dimethylphenyl) -N’-ethylurea). The intermediate, potassium carbonate (138 mg) and morpholine (0.044 ml) were dissolved in N, N-dimethylformamide (1 ml), and the solution was stirred at room temperature for 18 hours. Water was added to the reaction mixture and extraction was carried out with chloroform-propanol (3/1). The organic layer was dried over anhydrous sodium sulfate, and the solvent was removed by distillation under reduced pressure. The residue was purified by HPLC, eluting with a chloroform / methanol mixture to give 72 mg (73% yield) of the title compound.

1H ЯМР (СDСl3, 400 МГц): δ 1,10 (т, J=7,3 Гц, 3Н), 2,07 (с, 3Н), 2,16 (с, 3Н), 2,53-2,59 (м, 4Н), 2,88 (т, J=5,9 Гц, 2Н), 3,20-3,30 (м, 2Н), 3,66-3,71 (м, 4Н), 3,96 (с, ЗН), 4,26 (т, J=5,9 Гц, 2Н), 4,73-4,82 (м, 1Н), 6,16 (с, 1Н), 6,23 (д, J=5,4 Гц, 1Н), 6,88 (с, 1Н), 7,35 (с, 1Н), 7,40 (с, 1Н), 7,50 (с, 1Н), 8,38 (д, J=5,1 Гц, 1Н).1 H NMR (CDCl3 , 400 MHz): δ 1.10 (t, J = 7.3 Hz, 3H), 2.07 (s, 3H), 2.16 (s, 3H), 2.53- 2.59 (m, 4H), 2.88 (t, J = 5.9 Hz, 2H), 3.20-3.30 (m, 2H), 3.66-3.71 (m, 4H) 3.96 (s, 3H), 4.26 (t, J = 5.9 Hz, 2H), 4.73-4.82 (m, 1H), 6.16 (s, 1H), 6, 23 (d, J = 5.4 Hz, 1H), 6.88 (s, 1H), 7.35 (s, 1H), 7.40 (s, 1H), 7.50 (s, 1H), 8.38 (d, J = 5.1 Hz, 1H).

Пример 176: N-[4-({6-Метокси-7-[3-(4-метилпиперазин)-пропокси]-4-хинолил}окси)-2,5-диметилфенил]-N’-пропилмочевинаExample 176: N- [4 - ({6-Methoxy-7- [3- (4-methylpiperazine) propoxy] -4-quinolyl} oxy) -2,5-dimethylphenyl] -N’-propylurea

Исходное соединение (N-{4-[(7-гидрокси-6-метокси-4-хинолил)окси]-2,5-диметилфенил}-N’-пропилмочевина, 80 мг), карбонат калия (138 мг) и 1,3-дибромпропан (0,10 мл) растворяют в N,N-диметилформамиде (1 мл), и раствор перемешивают при комнатной температуре в течение 18 ч. К реакционной смеси добавляют воду и проводят экстракцию смесью хлороформ-пропанол (3/1). Органический слой сушат над безводным сульфатом натрия, и растворитель удаляют путем перегонки при пониженном давлении. Остаток промывают эфиром, получая промежуточное соединение (N-(4-{[7-(3-бромпропокси)-6-метокси-4-хинолил]окси}-2,5-диметилфенил)-N’-пропилмочевину). Промежуточное соединение, карбонат калия (138 мг) и 1-метилпиперазин (0,055 мл) растворяют в N,N-диметилформамиде (1 мл), и смесь перемешивают при комнатной температуре в течение 18 ч. К реакционной смеси добавляют воду и проводят экстракцию смесью хлороформ-пропанол (3/1). Органический слой сушат над безводным сульфатом натрия, и растворитель удаляют путем перегонки при пониженном давлении. Остаток промывают эфиром, получая 33 мг (выход 31%) указанного в заголовке соединения.Starting compound (N- {4 - [(7-hydroxy-6-methoxy-4-quinolyl) oxy] -2,5-dimethylphenyl} -N'-propylurea, 80 mg), potassium carbonate (138 mg) and 1, 3-dibromopropane (0.10 ml) was dissolved in N, N-dimethylformamide (1 ml), and the solution was stirred at room temperature for 18 hours. Water was added to the reaction mixture and extraction was performed with chloroform-propanol (3/1). The organic layer was dried over anhydrous sodium sulfate, and the solvent was removed by distillation under reduced pressure. The residue was washed with ether to give the intermediate (N- (4 - {[7- (3-bromopropoxy) -6-methoxy-4-quinolyl] oxy} -2,5-dimethylphenyl) -N’-propylurea). The intermediate, potassium carbonate (138 mg) and 1-methylpiperazine (0.055 ml) was dissolved in N, N-dimethylformamide (1 ml), and the mixture was stirred at room temperature for 18 hours. Water was added to the reaction mixture and extraction was carried out with chloroform mixture. propanol (3/1). The organic layer was dried over anhydrous sodium sulfate, and the solvent was removed by distillation under reduced pressure. The residue was washed with ether to give 33 mg (31% yield) of the title compound.

1H ЯМР (CDCl3, 400 МГц): δ 0,91 (т, J=1,6 Гц, 3Н), 1,50-1,58 (м, 2Н), 2,07-2,20 (м, 2Н), 2,12 (с, 3Н), 2,23 (с, 3Н), 2,28 (с, 3Н), 2,33-2,70 (м, 10Н), 3,21 (дд, J=7,3 Гц, 13,4 Гц, 2Н), 4,00 (с, 3Н), 4,24 (т, J=6,6 Гц, 2Н), 4,64-4,76 (м, 1Н), 5,95-6,05 (м, 1Н), 6,27 (д, J=5,1 Гц, 1Н), 6,95 (с, 1Н), 7,39-7,43 (м, 2Н), 7,54 (с, 1Н), 8,42 (д, J=5,1 Гц, 1Н).1 H NMR (CDCl3 , 400 MHz): δ 0.91 (t, J = 1.6 Hz, 3H), 1.50-1.58 (m, 2H), 2.07-2.20 (m , 2H), 2.12 (s, 3H), 2.23 (s, 3H), 2.28 (s, 3H), 2.33-2.70 (m, 10H), 3.21 (dd, J = 7.3 Hz, 13.4 Hz, 2H), 4.00 (s, 3H), 4.24 (t, J = 6.6 Hz, 2H), 4.64-4.76 (m, 1H), 5.95-6.05 (m, 1H), 6.27 (d, J = 5.1 Hz, 1H), 6.95 (s, 1H), 7.39-7.43 (m , 2H), 7.54 (s, 1H), 8.42 (d, J = 5.1 Hz, 1H).

Определение молекулярной массы (ESI-MS, m/z): 536 (M++1).Determination of molecular weight (ESI-MS, m / z): 536 (M+ +1).

Пример 177: N-(2,4-Дифторфенил)-N’-[4-({6-метокси-7-[2-(1Н-1,2,3-триазол-1-ил)этокси]-4-хинолил}окси)-2,5-диметилфенил]мочевинаExample 177: N- (2,4-Difluorophenyl) -N '- [4 - ({6-methoxy-7- [2- (1H-1,2,3-triazol-1-yl) ethoxy] -4- quinolyl} oxy) -2,5-dimethylphenyl] urea

Исходное соединение (N-(2,4-дифторфенил)-N’-{4-[(7-гидрокси-6-метокси-4-хинолил)окси]-2,5-диметил-фенил}мочевина, 93 мг), карбонат калия (138 мг) и 2-(1Н-1,2,З-триазол-1-ил)этил 4-метил-1-бензол-сульфонат (52 мг) растворяют в N,N-диметилформамиде (1 мл), и раствор перемешивают при 80°С в течение 5 ч. К реакционной смеси добавляют воду и проводят экстракцию смесью хлороформ-пропанол (3/1). Органический слой сушат над безводным сульфатом натрия, и растворитель удаляют путем перегонки при пониженном давлении. Остаток очищают методом ВЭЖХ, элюируя смесью хлороформ/метанол, получая 33 мг (выход 30%) указанного в заголовке соединения.Starting compound (N- (2,4-difluorophenyl) -N '- {4 - [(7-hydroxy-6-methoxy-4-quinolyl) oxy] -2,5-dimethyl-phenyl} urea, 93 mg), potassium carbonate (138 mg) and 2- (1H-1,2, 3-triazol-1-yl) ethyl 4-methyl-1-benzene sulfonate (52 mg) are dissolved in N, N-dimethylformamide (1 ml), and the solution was stirred at 80 ° C. for 5 hours. Water was added to the reaction mixture and extraction was performed with chloroform-propanol (3/1). The organic layer was dried over anhydrous sodium sulfate, and the solvent was removed by distillation under reduced pressure. The residue was purified by HPLC, eluting with a chloroform / methanol mixture to give 33 mg (30% yield) of the title compound.

1H ЯМР (СDСl3, 400 МГц): δ 2,10 (с, 3Н), 2,19 (с, 3Н), 4,01 (с, 3Н), 4,51 (т, J=4,9 Гц, 2Н), 4,93 (т, J=5,4 Гц, 2Н), 4,94 (с, 1Н), 6,28 (д, J=5,1 Гц, 1Н), 6,75-6,88 (м, 2Н), 6,90 (с, 1Н), 7,36 (с, 1Н), 7,58 (с, 1Н), 7,60 (с, 1Н), 7,73 (с, 1Н), 7,99 (с, 1Н), 8,08 (дд, J=9,3 Гц, 15,1 Гц, 1Н), 8,41 (д, J=5,1 Гц, 1Н).1 H NMR (CDCl3 , 400 MHz): δ 2.10 (s, 3H), 2.19 (s, 3H), 4.01 (s, 3H), 4.51 (t, J = 4.9 Hz, 2H), 4.93 (t, J = 5.4 Hz, 2H), 4.94 (s, 1H), 6.28 (d, J = 5.1 Hz, 1H), 6.75- 6.88 (m, 2H), 6.90 (s, 1H), 7.36 (s, 1H), 7.58 (s, 1H), 7.60 (s, 1H), 7.73 (s , 1H), 7.99 (s, 1H), 8.08 (dd, J = 9.3 Hz, 15.1 Hz, 1H), 8.41 (d, J = 5.1 Hz, 1H).

Пример 178: N’-(2-Хлор-4-{[6-метокси-7-(2-морфолинэтокси)-4-хиназолинил]окси}фенил)-N,N-диметилмочевинаExample 178: N ’- (2-Chloro-4 - {[6-methoxy-7- (2-morpholinethoxy) -4-quinazolinyl] oxy} phenyl) -N, N-dimethylurea

Исходное соединение (N’-{2-хлор-4-[(7-гидрокси-6-метокси-4-хиназолинил)окси]фенил}-N,N-диметилмочевина, 80 мг), карбонат калия (138 мг) и 1,2-дибромэтан (0,085 мл) растворяют в N,N-диметилформамиде (1 мл), и раствор перемешивают при комнатной температуре в течение 18 ч. К реакционной смеси добавляют воду и проводят экстракцию смесью хлороформ-пропанол (3/1). Органический слой сушат над безводным сульфатом натрия, и растворитель удаляют путем перегонки при пониженном давлении. Остаток промывают эфиром, получая промежуточное соединение (N’-(4-{[7-(2-бромэтокси)-6-метокси-4-хиназолинил]окси}-2-хлорфенил)-N,N-диметилмочевину).Starting compound (N '- {2-chloro-4 - [(7-hydroxy-6-methoxy-4-quinazolinyl) oxy] phenyl} -N, N-dimethylurea, 80 mg), potassium carbonate (138 mg) and 1 , 2-dibromoethane (0.085 ml) was dissolved in N, N-dimethylformamide (1 ml), and the solution was stirred at room temperature for 18 hours. Water was added to the reaction mixture and extraction was performed with chloroform-propanol (3/1). The organic layer was dried over anhydrous sodium sulfate, and the solvent was removed by distillation under reduced pressure. The residue was washed with ether to give intermediate (N ’- (4 - {[7- (2-bromoethoxy) -6-methoxy-4-quinazolinyl] oxy} -2-chlorophenyl) -N, N-dimethylurea).

Промежуточное соединение, карбонат калия (138 мг) и морфолин (0,043 мл) растворяют в N,N-диметилформамиде (1 мл), и раствор перемешивают при комнатной температуре в течение ночи. К реакционной смеси добавляют воду и проводят экстракцию смесью хлороформ-пропанол (3/1). Органический слой сушат над безводным сульфатом натрия, и растворитель удаляют путем перегонки при пониженном давлении. Остаток очищают методом ВЭЖХ, элюируя смесью хлороформ/метанол, получая 72 мг (выход 72%) указанного в заголовке соединения.The intermediate, potassium carbonate (138 mg) and morpholine (0.043 ml) were dissolved in N, N-dimethylformamide (1 ml), and the solution was stirred at room temperature overnight. Water was added to the reaction mixture and extraction was carried out with a mixture of chloroform-propanol (3/1). The organic layer was dried over anhydrous sodium sulfate, and the solvent was removed by distillation under reduced pressure. The residue was purified by HPLC, eluting with a chloroform / methanol mixture to give 72 mg (72% yield) of the title compound.

1H ЯМР (CDCl3, 400 МГц): δ 2,58-2,66 (м, 4Н), 2,90-2,98 (м, 2Н), 3,08 (с, 6Н), 3,70-3,79 (м, 4Н), 4,02 (с, 3Н), 4,29-4,37 (м, 2Н), 6,97 (с, 1Н), 7,15 (дд, J=2,7 Гц, 9,0 Гц, 1Н), 7,24-7,26 (м, 1Н), 7,29 (с, 1Н), 5 7,49 (с, 1Н), 8,36 (д, J=9,3 Гц, 1Н), 8,60 (с, 1Н).1 H NMR (CDCl3 , 400 MHz): δ 2.58-2.66 (m, 4H), 2.90-2.98 (m, 2H), 3.08 (s, 6H), 3.70 -3.79 (m, 4H), 4.02 (s, 3H), 4.29-4.37 (m, 2H), 6.97 (s, 1H), 7.15 (dd, J = 2 , 7 Hz, 9.0 Hz, 1H), 7.24-7.26 (m, 1H), 7.29 (s, 1H), 5 7.49 (s, 1H), 8.36 (d, J = 9.3 Hz, 1H), 8.60 (s, 1H).

Определение молекулярной массы (ESI-MS, m/z): 502 (M++1).Determination of molecular weight (ESI-MS, m / z): 502 (M+ +1).

Пример 179: N’-(2-Хлор-4-{[6-метокси-7-(4-морфолинбутокси)-4-хиназолинил]окси}фенил)-N,N-диметилмочевинаExample 179: N ’- (2-Chloro-4 - {[6-methoxy-7- (4-morpholinbutoxy) -4-quinazolinyl] oxy} phenyl) -N, N-dimethylurea

Исходное соединение (N’-{2-хлор-4-[(7-гидрокси-6-метокси-4-хиназолинил)окси]фенил}-N,N-диметилмочевина, 80 мг), карбонат калия (138 мг) и 1,4-дибромбутан (0,12 мл) растворяют в N,N-диметилформамиде (1 мл), и раствор перемешивают при комнатной температуре в течение 18 ч. К реакционной смеси добавляют воду и проводят экстракцию смесью хлороформ-пропанол (3/1). Органический слой сушат над безводным сульфатом натрия, и растворитель удаляют путем перегонки при пониженном давлении. Остаток промывают эфиром, получая промежуточное соединение (N’-(4-{[7-(4-бромбутокси)-6-метокси-4-хиназолинил]окси}-2-хлорфенил)-N,N-диметилмочевину).Starting compound (N '- {2-chloro-4 - [(7-hydroxy-6-methoxy-4-quinazolinyl) oxy] phenyl} -N, N-dimethylurea, 80 mg), potassium carbonate (138 mg) and 1 , 4-dibromobutane (0.12 ml) was dissolved in N, N-dimethylformamide (1 ml), and the solution was stirred at room temperature for 18 hours. Water was added to the reaction mixture and extraction was performed with chloroform-propanol (3/1) . The organic layer was dried over anhydrous sodium sulfate, and the solvent was removed by distillation under reduced pressure. The residue was washed with ether to give the intermediate (N ’- (4 - {[7- (4-bromobutoxy) -6-methoxy-4-quinazolinyl] oxy} -2-chlorophenyl) -N, N-dimethylurea).

Промежуточное соединение, карбонат калия (138 мг) и морфолин (0,043 мл) растворяют в N,N-диметилформамиде (1 мл), и раствор перемешивают при комнатной температуре в течение ночи. К реакционной смеси добавляют воду и проводят экстракцию смесью хлороформ-пропанол (3/1). Органический слой сушат над безводным сульфатом натрия, и растворитель удаляют путем перегонки при пониженном давлении. Остаток очищают методом ВЭЖХ, элюируя смесью хлороформом/метанол, получая 47 мг (выход 44%) указанного в заголовке соединения.The intermediate, potassium carbonate (138 mg) and morpholine (0.043 ml) were dissolved in N, N-dimethylformamide (1 ml), and the solution was stirred at room temperature overnight. Water was added to the reaction mixture and extraction was carried out with a mixture of chloroform-propanol (3/1). The organic layer was dried over anhydrous sodium sulfate, and the solvent was removed by distillation under reduced pressure. The residue was purified by HPLC, eluting with chloroform / methanol to give 47 mg (44% yield) of the title compound.

1H ЯМР (СDСl3, 400 МГц): δ 1,67-1,77 (м, 2Н), 1,93-2,03 (м, 2Н), 2,39-2,50 (м, 4Н), 3,67 (с, 6Н), 3,64-3,75 (м, 4Н), 4,02 (с, 3Н), 4,21 (т, J=6,6 Гц, 2Н), 35 6,97 (с, 1Н), 7,16 (дд, J=2,7 Гц, 9,3 Гц, 1Н), 7,26 (с, 1Н), 7,28 (с, 1Н), 7,29 (д, J=2,7 Гц, 1Н), 7,48 (с, 1Н), 8,36 (д, J=9,3 Гц, 1Н), 8,59 (с, 1Н).1 H NMR (CDCl3 , 400 MHz): δ 1.67-1.77 (m, 2H), 1.93-2.03 (m, 2H), 2.39-2.50 (m, 4H) 3.67 (s, 6H), 3.64-3.75 (m, 4H), 4.02 (s, 3H), 4.21 (t, J = 6.6 Hz, 2H), 35 6 97 (s, 1H), 7.16 (dd, J = 2.7 Hz, 9.3 Hz, 1H), 7.26 (s, 1H), 7.28 (s, 1H), 7.29 (d, J = 2.7 Hz, 1H), 7.48 (s, 1H), 8.36 (d, J = 9.3 Hz, 1H), 8.59 (s, 1H).

Пример 180: N’-(2-Хлор-4-{[6-метокси-7-(4-пиридилметокси)-4-хиназолинил]окси}фенил)-N,N-диметилмочевинаExample 180: N ’- (2-Chloro-4 - {[6-methoxy-7- (4-pyridylmethoxy) -4-quinazolinyl] oxy} phenyl) -N, N-dimethylurea

Исходное соединение (N’-{2-хлор-4-[(7-гидрокси-6-метокси-4-хиназолинил)окси]фенил}-N,N-диметилмочевина, 50 мг), карбонат калия (138 мг) и гидрохлорид 4-хлорметилпиридина (49 мг) растворяют в N,N-диметилформамиде (1 мл), и раствор перемешивают при комнатной температуре в течение 18 ч. К реакционной смеси добавляют воду, и смесь экстрагируют смесью хлороформ-пропанол (3/1). Органический слой сушат над безводным сульфатом натрия, и растворитель удаляют путем перегонки при пониженном давлении. Остаток очищают методом ВЭЖХ, элюируя смесью хлороформ/метанол, получая 37 мг (выход 60%) указанного в заголовке соединения.Starting compound (N '- {2-chloro-4 - [(7-hydroxy-6-methoxy-4-quinazolinyl) oxy] phenyl} -N, N-dimethylurea, 50 mg), potassium carbonate (138 mg) and hydrochloride 4-chloromethylpyridine (49 mg) was dissolved in N, N-dimethylformamide (1 ml), and the solution was stirred at room temperature for 18 hours. Water was added to the reaction mixture and the mixture was extracted with chloroform-propanol (3/1). The organic layer was dried over anhydrous sodium sulfate, and the solvent was removed by distillation under reduced pressure. The residue was purified by HPLC, eluting with a chloroform / methanol mixture to give 37 mg (60% yield) of the title compound.

1H ЯМР (CDCl3, 400 МГц): δ 3,07 (с, 6Н), 4,07 (с, 3Н), 5,32 (с, 2Н), 6,97 (с, 1Н), 7,15 (дд, J=2,7 Гц, 9,0 Гц, 1Н), 7,26 (с, 1Н), 7,29 (д, J=2,7 Гц, 1Н), 7,41 (д, J=6,1 Гц, 1Н), 7,55 (с, 1Н), 8,37 (д, J=9, 0 Гц, 1Н), 8,58 (с, 1Н), 8,63 (д, J=6,1 Гц, 1Н).1 H NMR (CDCl3 , 400 MHz): δ 3.07 (s, 6H), 4.07 (s, 3H), 5.32 (s, 2H), 6.97 (s, 1H), 7, 15 (dd, J = 2.7 Hz, 9.0 Hz, 1H), 7.26 (s, 1H), 7.29 (d, J = 2.7 Hz, 1H), 7.41 (d, J = 6.1 Hz, 1H), 7.55 (s, 1H), 8.37 (d, J = 9.0 Hz, 1H), 8.58 (s, 1H), 8.63 (d, J = 6.1 Hz, 1H).

Определение молекулярной массы (ESI-MS, m/z): 480 (М++1).Determination of molecular weight (ESI-MS, m / z): 480 (M+ +1).

Пример 181: Метил-2-{[4-(3-хлор-4-{[(диметиламино)-карбонил]амино}фенокси)-6-метокси-7-хиназолинил]окси}ацетатExample 181: Methyl-2 - {[4- (3-chloro-4 - {[(dimethylamino) -carbonyl] amino} phenoxy) -6-methoxy-7-quinazolinyl] oxy} acetate

Исходное соединение (N’-{2-хлор-4-[(7-гидрокси-6-метокси-4-хиназолинил)окси]фенил}-N,N-диметилмочевина, 50 мг), карбонат калия (138 мг) и бромэтилацетат (49 мг) растворяют в N,N-диметилформамиде (1 мл), и раствор перемешивают при комнатной температуре в течение 18 ч. К реакционной смеси добавляют воду и проводят экстракцию смесью хлороформ-пропанол (3/1). Органический слой сушат над безводным сульфатом натрия, и растворитель удаляют путем перегонки при пониженном давлении. Остаток очищают методом ВЭЖХ, элюируя смесью хлороформ/метанол, получая 37 мг (выход 60%) указанного в заголовке соединения.Starting compound (N '- {2-chloro-4 - [(7-hydroxy-6-methoxy-4-quinazolinyl) oxy] phenyl} -N, N-dimethylurea, 50 mg), potassium carbonate (138 mg) and bromoethyl acetate (49 mg) was dissolved in N, N-dimethylformamide (1 ml), and the solution was stirred at room temperature for 18 hours. Water was added to the reaction mixture and extraction was performed with chloroform-propanol (3/1). The organic layer was dried over anhydrous sodium sulfate, and the solvent was removed by distillation under reduced pressure. The residue was purified by HPLC, eluting with a chloroform / methanol mixture to give 37 mg (60% yield) of the title compound.

1H ЯМР (CDCl3, 400 МГц): δ 3,07 (с, 6Н), 3,82 (с, 3Н), 4,06 (с, 3Н), 4,87 (с, 2Н), 6,97 (с, 1Н), 7,14 (дд, J=2,7 Гц, 9,0 Гц, 1Н), 7,18 (с, 1Н), 7,29 (д, J=2,7 Гц, 1Н), 7,54 (с, 1H), 8,36 (д, J=9,0 Гц, 1H), 8,60 (с, 1Н).1 H NMR (CDCl3 , 400 MHz): δ 3.07 (s, 6H), 3.82 (s, 3H), 4.06 (s, 3H), 4.87 (s, 2H), 6, 97 (s, 1H), 7.14 (dd, J = 2.7 Hz, 9.0 Hz, 1H), 7.18 (s, 1H), 7.29 (d, J = 2.7 Hz, 1H), 7.54 (s, 1H), 8.36 (d, J = 9.0 Hz, 1H), 8.60 (s, 1H).

Пример 182: N’-[2-Хлор-4-({6-метокси-7-[3-(4-метилпи-перазин)пропокси]-4-хиназолинил}окси)фенил]-N,N-диметилмочевинаExample 182: N ’- [2-Chloro-4 - ({6-methoxy-7- [3- (4-methylpiperazine) propoxy] -4-quinazolinyl} oxy) phenyl] -N, N-dimethylurea

Исходное соединение (N’-{2-хлор-4-[(7-гидрокси-6-метокси-4-хиназолинил)окси]фенил}-N,N-диметилмочевина, 400 мг), карбонат калия (966 мг) и 1,3-дибромпропан (0,51 мл) растворяют в N,N-диметилформамиде (5 мл), и раствор перемешивают при комнатной температуре в течение 18 ч. К реакционной смеси добавляют воду и проводят экстракцию смесью хлороформ-пропанол (3/1). Органический слой сушат над безводным сульфатом натрия и растворитель удаляют путем перегонки при пониженном давлении. Остаток промывают эфиром, получая 398 мг (выход 78%) промежуточного соединения (N’-(4-{[7-(3-бромпропокси)-6-метокси-4-хиназолинил]окси}-2-хлорфенил)-N,N-диметилмочевины). Промежуточное соединение (51 мг), карбонат калия (138 мг) и 1-метилпиперазин (0,055 мл) растворяют в N,N-диметилформамиде (1 мл), и раствор перемешивают при комнатной температуре в течение 18 ч. К реакционной смеси добавляют воду и проводят экстракцию смесью хлороформ-пропанол (3/1). Органический слой сушат над безводным сульфатом натрия, и растворитель удаляют путем перегонки при пониженном давлении. Остаток промывают эфиром, получая 46 мг (выход 85%) указанного в заголовке соединения.Starting compound (N '- {2-chloro-4 - [(7-hydroxy-6-methoxy-4-quinazolinyl) oxy] phenyl} -N, N-dimethylurea, 400 mg), potassium carbonate (966 mg) and 1 , 3-dibromopropane (0.51 ml) was dissolved in N, N-dimethylformamide (5 ml), and the solution was stirred at room temperature for 18 hours. Water was added to the reaction mixture and extraction was performed with chloroform-propanol (3/1) . The organic layer was dried over anhydrous sodium sulfate, and the solvent was removed by distillation under reduced pressure. The residue was washed with ether to give 398 mg (78% yield) of the intermediate (N '- (4 - {[7- (3-bromopropoxy) -6-methoxy-4-quinazolinyl] oxy} -2-chlorophenyl) -N, N dimethylurea). The intermediate (51 mg), potassium carbonate (138 mg) and 1-methylpiperazine (0.055 ml) were dissolved in N, N-dimethylformamide (1 ml), and the solution was stirred at room temperature for 18 hours. Water was added to the reaction mixture and extraction is carried out with a mixture of chloroform-propanol (3/1). The organic layer was dried over anhydrous sodium sulfate, and the solvent was removed by distillation under reduced pressure. The residue was washed with ether to give 46 mg (85% yield) of the title compound.

1H ЯМР (СDСl3, 400 МГц): δ 2,06-2,16 (м, 2Н), 2,29 (с, 3Н), 2,30-2,60 (м, 10Н), 3,07 (с, 6Н), 4,02 (с, 3Н), 4,25 (т, J=6,8 Гц, 2Н), 6,96 (с, 1Н), 7,15 (дд, J=2,7 Гц, 9,0 Гц, 1Н), 7,29 (д, J=2,7 Гц, 1Н), 7,30 (с, 1Н), 7,48 (с, 1Н), 8,36 (д, J=9,0 Гц, 1Н), 8,59 (с, 1Н).1 H NMR (CDCl3 , 400 MHz): δ 2.06-2.16 (m, 2H), 2.29 (s, 3H), 2.30-2.60 (m, 10H), 3.07 (s, 6H), 4.02 (s, 3H), 4.25 (t, J = 6.8 Hz, 2H), 6.96 (s, 1H), 7.15 (dd, J = 2, 7 Hz, 9.0 Hz, 1H), 7.29 (d, J = 2.7 Hz, 1H), 7.30 (s, 1H), 7.48 (s, 1H), 8.36 (d , J = 9.0 Hz, 1H), 8.59 (s, 1H).

Определение молекулярной массы (ESI-MS, m/z): 529 (М++1).Determination of molecular weight (ESI-MS, m / z): 529 (M+ +1).

Пример 183: N’-{2-Хлор-4-[(7-{3-[(2-гидроксиэтил)-(метил)амино]пропокси}-6-метокси-4-хиназолинил)окси]-фенил}-N,N-диметилмочевинаExample 183: N '- {2-Chloro-4 - [(7- {3 - [(2-hydroxyethyl) - (methyl) amino] propoxy} -6-methoxy-4-quinazolinyl) oxy] phenyl} -N , N-dimethylurea

Исходное соединение (N’-{2-хлор-4-[(7-гидрокси-6-метокси-4-хиназолинил)окси]фенил}-N,N-диметилмочевина, 400 мг), карбонат калия (966 мг) и 1,3-дибромпропан (0,51 мл) растворяют в N,N-диметилформамиде (5 мл), и смесь перемешивают при комнатной температуре в течение 18 ч. К реакционной смеси добавляют воду и проводят экстракцию смесью хлороформ-пропанол (3/1). Органический слой сушат над безводным сульфатом натрия, и растворитель удаляют путем перегонки при пониженном давлении. Остаток промывают эфиром, получая 398 мг (выход 78%) промежуточного соединения (N’-(4-{[7-(3-бромпропокси)-6-метокси-4-хиназолинил]окси}-2-хлорфенил)-N,N-диметилмочевины).Starting compound (N '- {2-chloro-4 - [(7-hydroxy-6-methoxy-4-quinazolinyl) oxy] phenyl} -N, N-dimethylurea, 400 mg), potassium carbonate (966 mg) and 1 , 3-dibromopropane (0.51 ml) was dissolved in N, N-dimethylformamide (5 ml), and the mixture was stirred at room temperature for 18 hours. Water was added to the reaction mixture and extraction was performed with chloroform-propanol (3/1) . The organic layer was dried over anhydrous sodium sulfate, and the solvent was removed by distillation under reduced pressure. The residue was washed with ether to give 398 mg (78% yield) of the intermediate (N '- (4 - {[7- (3-bromopropoxy) -6-methoxy-4-quinazolinyl] oxy} -2-chlorophenyl) -N, N dimethylurea).

Промежуточное соединение (51 мг), карбонат калия (138 мг) и 2-(метиламино)этанол (0,040 мл) растворяют в N,N-диметилформамиде (1 мл). Смесь перемешивают при комнатной температуре в течение 18 ч. К реакционной смеси добавляют воду и проводят экстракцию смесью хлороформ-пропанол (3/1). Органический слой сушат над безводным сульфатом натрия, и растворитель удаляют путем перегонки при пониженном давлении. Остаток промывают эфиром, получая 49 мг (выход 97%) указанного в заголовке соединения.The intermediate (51 mg), potassium carbonate (138 mg) and 2- (methylamino) ethanol (0.040 ml) are dissolved in N, N-dimethylformamide (1 ml). The mixture was stirred at room temperature for 18 hours. Water was added to the reaction mixture and extraction was performed with chloroform-propanol (3/1). The organic layer was dried over anhydrous sodium sulfate, and the solvent was removed by distillation under reduced pressure. The residue was washed with ether to give 49 mg (yield 97%) of the title compound.

1H ЯМР (СDСl3, 400 МГц): δ 2,01-2,11 (м, 2Н), 2,25 (с, 3Н), 2,52 (т, J=5,1 Гц, 2Н), 2,61 (т, J=7,1 Гц, 2Н), 3,03 (с, 6Н), 3,57 (т, J=5,1 Гц, 2Н), 3,98 (с, 3Н), 4,23 (т, J=6,6 Гц, 2Н), 6,92 (с, 1Н), 7,10 (дд, J=2,7 Гц, 9,3 Гц, 1Н), 7,24 (д, J=2,7 Гц, 1Н), 7,31 (с, 1Н), 7,44 (с, 1Н), 8,31 (д, J=9,0 Гц, 1Н), 8,54 (с, 1Н).1 H NMR (CDCl3 , 400 MHz): δ 2.01-2.11 (m, 2H), 2.25 (s, 3H), 2.52 (t, J = 5.1 Hz, 2H), 2.61 (t, J = 7.1 Hz, 2H), 3.03 (s, 6H), 3.57 (t, J = 5.1 Hz, 2H), 3.98 (s, 3H), 4.23 (t, J = 6.6 Hz, 2H), 6.92 (s, 1H), 7.10 (dd, J = 2.7 Hz, 9.3 Hz, 1H), 7.24 ( d, J = 2.7 Hz, 1H), 7.31 (s, 1H), 7.44 (s, 1H), 8.31 (d, J = 9.0 Hz, 1H), 8.54 ( s, 1H).

Определение молекулярной массы (ESI-MS, m/z): 504 (М++1).Determination of molecular weight (ESI-MS, m / z): 504 (M+ +1).

Пример 184: N-(2-Хлор-4-{[6-метокси-7-(3-пиперидинпропокси)-4-хиназолинил]окси}фенил)-N’-метилмочевинаExample 184: N- (2-Chloro-4 - {[6-methoxy-7- (3-piperidinopropoxy) -4-quinazolinyl] oxy} phenyl) -N’-methylurea

N-{2-Хлор-4-[(7-гидрокси-6-метокси-4-хиназолинил)окси]-фенил}-N’-метилмочевину (2,0 г) растворяют в N,N-диметилформамиде (50 мл), и к раствору добавляют трифенилфосфин (2,8 г), пиперидинпропанол (0,9 г) и диэтилазидокарбоксилат (1,9 г). Смесь перемешивают при комнатной температуре в течение 2 ч. К реакционному раствору снова добавляют трифенилфосфин (2,8 г), пиперидинпропанол (0,6 г) и диэтилазидокарбоксилат (1,9 г), после чего перемешивают при комнатной температуре еще 10 ч. Растворитель удаляют путем перегонки при пониженном давлении. Остаток очищают методом хроматографии на силикагеле, элюируя смесью хлороформом/метанол (20/1), получая 650 мг (выход 25%) указанного в заголовке соединения.N- {2-Chloro-4 - [(7-hydroxy-6-methoxy-4-quinazolinyl) oxy] phenyl} -N'-methylurea (2.0 g) was dissolved in N, N-dimethylformamide (50 ml) and triphenylphosphine (2.8 g), piperidine propanol (0.9 g) and diethyl azidocarboxylate (1.9 g) were added to the solution. The mixture was stirred at room temperature for 2 hours. Triphenylphosphine (2.8 g), piperidine propanol (0.6 g) and diethyl azidocarboxylate (1.9 g) were again added to the reaction solution, followed by stirring at room temperature for another 10 hours. The solvent removed by distillation under reduced pressure. The residue was purified by silica gel chromatography, eluting with a mixture of chloroform / methanol (20/1) to give 650 mg (25% yield) of the title compound.

1H ЯМР (DMSO-d6, 400 МГц): δ 1,37-1,43 (м, 2Н), 1,43-1,53 (м, 4Н), 1,96-2,00 (м, 2Н), 2,29-2,50 (м, 6Н), 2,68 (д, J=4,6 Гц, 3Н), 3,97 (с, 3Н), 4,23 (т, J=6,3 Гц, 2Н), 6,82-6,85 (м, 1Н), 7,23 (дд, J=2,7 Гц, 9,0 Гц, 1Н), 7,38 (с, 1Н), 7,47 (д, J=2,7 Гц, 1Н), 7,54 (с, 1Н), 8,07 (с, 1Н), 8,17 (д, J=9,0 Гц, 1Н), 8,55 (с, 1Н).1 H NMR (DMSO-d6 , 400 MHz): δ 1.37-1.43 (m, 2H), 1.43-1.53 (m, 4H), 1.96-2.00 (m, 2H), 2.29-2.50 (m, 6H), 2.68 (d, J = 4.6 Hz, 3H), 3.97 (s, 3H), 4.23 (t, J = 6 , 3 Hz, 2H), 6.82-6.85 (m, 1H), 7.23 (dd, J = 2.7 Hz, 9.0 Hz, 1H), 7.38 (s, 1H), 7.47 (d, J = 2.7 Hz, 1H), 7.54 (s, 1H), 8.07 (s, 1H), 8.17 (d, J = 9.0 Hz, 1H), 8.55 (s, 1H).

Определение молекулярной массы (ESI-MS, m/z): 500 (M++1).Determination of molecular weight (ESI-MS, m / z): 500 (M+ +1).

Пример 185: N-(2-Хлор-4-{[6-метокси-7-(3-пиперидинпропокси)-4-хиназолинил]окси}фенил)-N’-этилмочевинаExample 185: N- (2-Chloro-4 - {[6-methoxy-7- (3-piperidinopropoxy) -4-quinazolinyl] oxy} phenyl) -N’-ethylurea

N-{2-Хлор-4-[(7-гидрокси-6-метокси-4-хиназолинил)окси]-фенил}-N’-этилмочевину (2,7 г) растворяют в N,N-диметилформамиде (30 мл), и к раствору добавляют трифенилфосфин (3,6 г), пиперидинпропанол (1,2 г) и диэтилазидокарбоксилат (2,4 г). Смесь перемешивают при комнатной температуре в течение 2 ч. К реакционному раствору снова добавляют трифенилфосфин (3,6 г), пиперидинпропанол (0,8 г) и диэтилазидокарбоксилат (1,9 г). Смесь перемешивают при комнатной температуре в течение еще 10 ч. Растворитель удаляют путем перегонки при пониженном давлении, и остаток очищают методом хроматографии на силикагеле, элюируя смесью хлороформ/метанол (20/1), получая 1,5 г (выход 42%) указанного в заголовке соединения.N- {2-Chloro-4 - [(7-hydroxy-6-methoxy-4-quinazolinyl) oxy] phenyl} -N'-ethylurea (2.7 g) was dissolved in N, N-dimethylformamide (30 ml) and triphenylphosphine (3.6 g), piperidine propanol (1.2 g) and diethyl azidocarboxylate (2.4 g) are added to the solution. The mixture was stirred at room temperature for 2 hours. Triphenylphosphine (3.6 g), piperidine propanol (0.8 g) and diethyl azidocarboxylate (1.9 g) were again added to the reaction solution. The mixture was stirred at room temperature for another 10 hours. The solvent was removed by distillation under reduced pressure, and the residue was purified by silica gel chromatography, eluting with chloroform / methanol (20/1), to give 1.5 g (42%) of the title connection header.

1H ЯМР (DMSO-d6, 400 МГц): δ 1,08 (т, J=7,0 Гц, 3Н), 1,38-1,41 (м, 2Н), 1,47-1,53 (м, 4Н), 1,95-2,00 (м, 2Н), 2,31-2,46 (м, 6Н), 3,10-3,17 (м, 2Н), 3,97 (с, 3Н), 4,23 (т, J=6,3 Гц, 2Н), 6,96 (т, J=5,6 5 Гц, 1Н), 7,23 (дд, J=2,7 Гц, 9,0 Гц, 1Н), 7,37 (с, 1Н), 7,47 (д, J=2,7 Гц, 1H), 7,54 (с, 1Н), 8,02 (с, 1Н), 8,19 (д, J=9,3 Гц, 1Н), 8,55 (с, 1H).1 H NMR (DMSO-d6 , 400 MHz): δ 1.08 (t, J = 7.0 Hz, 3H), 1.38-1.41 (m, 2H), 1.47-1.53 (m, 4H), 1.95-2.00 (m, 2H), 2.31-2.46 (m, 6H), 3.10-3.17 (m, 2H), 3.97 (s , 3H), 4.23 (t, J = 6.3 Hz, 2H), 6.96 (t, J = 5.6 5 Hz, 1H), 7.23 (dd, J = 2.7 Hz, 9.0 Hz, 1H), 7.37 (s, 1H), 7.47 (d, J = 2.7 Hz, 1H), 7.54 (s, 1H), 8.02 (s, 1H) 8.19 (d, J = 9.3 Hz, 1H); 8.55 (s, 1H).

Определение молекулярной массы (ESI-MS, m/z): 514 (M++1).Determination of molecular weight (ESI-MS, m / z): 514 (M+ +1).

Пример 186: N-(2-Хлор-4-{[6-метокси-7-(4-пиридилметокси)-4-хинолил]окси}фенил)-N’-(2,4-дифторфенил)мочевинаExample 186: N- (2-Chloro-4 - {[6-methoxy-7- (4-pyridylmethoxy) -4-quinolyl] oxy} phenyl) -N ’- (2,4-difluorophenyl) urea

N-{2-Хлор-4-[(7-гидрокси-6-метокси-4-хинолил)-окси]-фенил}-N’-(2,4-дифторфенил)мочевину (55 мг), карбонат калия (62 мг) и гидрохлорид 4-(хлорметил)пиридина (22 мг) растворяют в N,N-диметилформамиде (1 мл), и раствор перемешивают при 80°С в течение одного часа. Растворитель удаляют путем перегонки при пониженном давлении. К остатку добавляют насыщенный водный раствор гидрокарбоната натрия, и смесь экстрагируют хлороформом. Органический слой сушат над безводным сульфатом натрия, и растворитель удаляют путем перегонки при пониженном давлении. Остаток промывают эфиром, получая 35 мг (выход 55%) указанного в заголовке соединения.N- {2-Chloro-4 - [(7-hydroxy-6-methoxy-4-quinolyl) -oxy] phenyl} -N '- (2,4-difluorophenyl) urea (55 mg), potassium carbonate (62 mg) and 4- (chloromethyl) pyridine hydrochloride (22 mg) were dissolved in N, N-dimethylformamide (1 ml), and the solution was stirred at 80 ° C. for one hour. The solvent was removed by distillation under reduced pressure. A saturated aqueous sodium hydrogen carbonate solution was added to the residue, and the mixture was extracted with chloroform. The organic layer was dried over anhydrous sodium sulfate, and the solvent was removed by distillation under reduced pressure. The residue was washed with ether to give 35 mg (55% yield) of the title compound.

1H ЯМР (DMSO-d6, 400МГц): δ 3,98 (с, 3Н), 5,41 (с, 2Н), 6,56 (д, J=5,1 Гц, 1H), 7,04-7,10 (м, 1H), 7,25-7,37 (м, 2Н), 7,47 (с, 1H), 7,49-7,52 (м, 4Н), 7,55 (с, 1H), 8,08-8,15 (м, 1H), 8,24 (д, J=9,0 Гц, 1H), 8,49 30 (д, J=5,4 Гц, 1Н), 8,60-8,63 (м, 1H), 8,81-8,83 (м, 1H), 9,30-9,31 (м, 1Н).1 H NMR (DMSO-d6 , 400 MHz): δ 3.98 (s, 3H), 5.41 (s, 2H), 6.56 (d, J = 5.1 Hz, 1H), 7.04 -7.10 (m, 1H), 7.25-7.37 (m, 2H), 7.47 (s, 1H), 7.49-7.52 (m, 4H), 7.55 (s , 1H), 8.08-8.15 (m, 1H), 8.24 (d, J = 9.0 Hz, 1H), 8.49 30 (d, J = 5.4 Hz, 1H), 8.60-8.63 (m, 1H), 8.81-8.83 (m, 1H), 9.30-9.31 (m, 1H).

Определение молекулярной массы (ESI-MS, m/z): 563 (M++1).Determination of molecular weight (ESI-MS, m / z): 563 (M+ +1).

Соединения, описанные в примерах, имеют следующие структуры.The compounds described in the examples have the following structures.

Figure 00000008
Figure 00000008

Figure 00000009
Figure 00000009

Figure 00000010
Figure 00000010

Figure 00000011
Figure 00000011

Figure 00000012
Figure 00000012

Figure 00000013
Figure 00000013

Figure 00000014
Figure 00000014

Figure 00000015
Figure 00000015

Figure 00000016
Figure 00000016

Figure 00000017
Figure 00000017

Figure 00000018
Figure 00000018

Figure 00000019
Figure 00000019

Figure 00000020
Figure 00000020

Figure 00000021
Figure 00000021

Figure 00000022
Figure 00000022

Figure 00000023
Figure 00000023

Figure 00000024
Figure 00000024

Figure 00000025
Figure 00000025

Figure 00000026
Figure 00000026

Пример фармакологического теста 1: Измерение ингибирующей активности по отношению к активации МАРК в эндотелиальных клетках сосудов, вызванной стимуляцией под действием VEGFPharmacological Test Example 1: Measurement of Inhibitory Activity Against MAPK Activation in Vascular Endothelial Cells Caused by VEGF Stimulation

Канатиковые венозные сосудистые эндотелиальные клетки человека (полученные от Chronetics) культивируют в среде EGM-2 (полученной от Chronetics) в инкубаторе, содержащем 5% диоксида углерода, до 50-70% слияния и культуру вносят в лунки, содержащие такую же среду, в 96-луночный плоскодонный планшет в количестве 1,5×105 на лунку. После культивирования при 37°С в течение ночи среду заменяют на среду ЕВМ-2, содержащую 0,5% фетальной телячьей сыворотки (полученной от Chronetics), после чего культивируют в течение 24 ч. К каждой лунке добавляют раствор тестируемого соединения в диметилсульфоксиде, и культивирование продолжают при 37°С в течение еще одного часа. Человеческий рекомбинантный фактор роста эндотелия сосудов (упоминающийся ниже как "VEGF") добавляют до конечной концентрации 50 нг/мл и стимуляцию клеток проводят при 37°С в течение 8 мин. Среду удаляют, клетки промывают физиологическим раствором с фосфатным буфером (рН 7,4), и затем добавляют 10 мкл солюбилизирующего буфера (физиологический раствор с Tris-буфером (рН 7,4), содержащим 1% Тритон Х100, 2 мМ ортованадат натрия и 1 мМ динатрий этилендиаминтетраацетат). Смесь встряхивают при 4°С в течение одного часа для солюбилизации клеток. К раствору добавляют равное количество физиологического раствора с Tris-буфером, содержащим 1% лаурилсульфат натрия, и тщательно перемешивают. Проводят адсорбцию данного раствора (2 мкл) на фильтре PVDF путем дот-блоттинга, и данный фильтр подвергают иммуноблоттингу с использованием антител против тирозин-фосфорилированного МАРК (полученных от Daiichi Pure Chemicals). Уровень фосфорилированного МАРК количественно определяют с помощью денситометра, и процентное содержание фосфорилированного МАРК в присутствии тестируемого соединения определяют, принимая уровень фосфорилированного МАРК при добавлении VEGF в отсутствие тестируемого соединения за 100%, а уровень фосфорилированного МАРК в отсутствие тестируемого соединения и VEGF за 0%. Концентрацию тестируемого соединения (IC50), необходимую для 50% ингибирования активации МАРК, рассчитывают на основе процентного содержания фосфорилированного МАРК. Результаты приведены в таблице 1.Human cord venous vascular endothelial cells (obtained from Chronetics) were cultured in EGM-2 medium (obtained from Chronetics) in an incubator containing 5% carbon dioxide, up to 50-70% of the fusion and culture was added to wells containing the same medium in 96 well flat-bottomed tablet in the amount of 1.5 × 105 per well. After culturing at 37 ° C. overnight, the medium was replaced with EBM-2 medium containing 0.5% fetal calf serum (obtained from Chronetics), and then cultured for 24 hours. A solution of the test compound in dimethyl sulfoxide was added to each well, and cultivation is continued at 37 ° C for another hour. Human recombinant vascular endothelial growth factor (referred to below as "VEGF") is added to a final concentration of 50 ng / ml and cell stimulation is carried out at 37 ° C for 8 min. The medium is removed, the cells are washed with saline with phosphate buffer (pH 7.4), and then 10 μl of solubilizing buffer (saline with Tris buffer (pH 7.4) containing 1% Triton X100, 2 mm sodium orthovanadate and 1 mM disodium ethylenediaminetetraacetate). The mixture was shaken at 4 ° C for one hour to solubilize the cells. An equal amount of physiological saline is added to the solution with Tris buffer containing 1% sodium lauryl sulfate and mixed thoroughly. This solution (2 μl) was adsorbed on a PVDF filter by dot blotting, and the filter was immunoblotted using anti-tyrosine phosphorylated MAPK antibodies (obtained from Daiichi Pure Chemicals). The level of phosphorylated MAPK is quantified using a densitometer, and the percentage of phosphorylated MAPK in the presence of the test compound is determined by taking the level of phosphorylated MAPK in the absence of test compound as 100%, and the level of phosphorylated MAPK in the absence of test compound and VEGF as 0%. The concentration of test compound (IC50 ) required for 50% inhibition of MAPK activation is calculated based on the percentage of phosphorylated MAPK. The results are shown in table 1.

Таблица 1Table 1СоединениеCompoundIC50(нM)IC50 (nm)СоединениеCompoundIC50(нM)IC50 (nm)СоединениеCompoundIC50(нM)IC50 (nm)111,81.845452,02.085850,70.7442,12.146464,34.386860,60.6552,92.947474,04.0878758,058.0775,25.248480,50.5898945,045.08811,011.049494,34.3909042,042.09nine5,15.150fifty0,50.5929246,046.010107,87.852524,44.4939314,014.011eleven15,015.053535,95.994941,81.813thirteen2,22.254540,50.595952,72.714140,70.755552,82,89696<1<116162,92.956565,15.19797518,0518.0171711,011.057576,56.59898450,0450,018eighteen0,60.658585,15.199998,88.819190,60.659595,85.81001005,25.220twenty8,58.5626216,016,0102102150,0150.021213,43.4636370,070.010310353,053.022220,40.4646442,042.01041045,35.323235,45,4656536,036.01051052,32,324240,60.6666621,021.0106106<1<125253,93.96767345,0345.010710710,210,226265,35.3686845,045.0  28284,04.0696967,067.0  2929th4,44.470706,86.8  30thirty1,71.77171750,0750.0  31312,52,572723,93.9  32327,37.37373<2<2  33333,53,574746,06.0  34344,24.275751,21,2  35353,73,776768,08.0  36363,33.3777771,071.0  37372,32,378784,14.1  404012,012.0797930,030,0  41414,94.9808013,013.0  42425,95.982823,83.8  43433,83.88383>1000> 1000  

Пример фармакологического теста 2: Измерение ингибиторной активности по отношению к фосфорилированию KDR методом ELISAPharmacological Test Example 2: Measurement of Inhibitory Activity Against KDR Phosphorylation by ELISA

NIH 3Т3 клетки (Sawano A. et al., Cell Growth & Differentation, 1, 213-221 (1996), "Flt-1 but not KDR/Flk-1 tyrosine kinase is a receptor for placenta growth factor, which is related to vascular endothelial growth factor"), полученные в результате трансфекции KDR, культивируют в среде DMEM (полученной от GIBCO BRL), содержащей 10% фетальную телячью сыворотку, в инкубаторе с 5% диоксидом углерода до 50-70% слияния. Собранные клетки вносят в лунки, содержащие такую же среду, в 96-луночный плоскодонный планшет коллагенового типа с одним покрытием в количестве 1,5×104 на лунку, после чего культивируют при 37°С в течение ночи. Среду затем заменяют на среду DMEM, содержащую 0,1% фетальную телячью сыворотку. К каждой лунке добавляют раствор тестируемого соединения в диметилсульфоксиде, и культивирование продолжают при 37°С в течение еще одного часа. Человеческий рекомбинантный фактор роста эндотелия сосудов (упоминающийся ниже как "VEGF") добавляют до конечной концентрации 100 нг/мл, и стимуляцию клеток проводят при 37°С в течение 2 мин. Среду удаляют, клетки промывают физиологическим раствором с фосфатным буфером (рН 7,4), и затем добавляют 50 мкл солюбилизирующего буфера (20 мМ HEPES (рН 7,4), 150 мМ NaCl, 0,2% тритон Х-100, 10% глицерин, 5 мМ ортованадилат натрия, 5 мМ динатрий этилендиаминтетраацетат и 2 мМ Na4P2O7). Смесь встряхивают при 4°С в течение 2 часов для получения клеточного экстракта.NIH 3T3 cells (Sawano A. et al., Cell Growth & Differentation, 1, 213-221 (1996), "Flt-1 but not KDR / Flk-1 tyrosine kinase is a receptor for placenta growth factor, which is related to vascular endothelial growth factor "), obtained by transfection of KDR, was cultured in DMEM medium (obtained from GIBCO BRL) containing 10% fetal calf serum in an incubator with 5% carbon dioxide to 50-70% confluence. The collected cells are introduced into wells containing the same medium in a 96-well flat-coated collagen type plate with one coating in an amount of 1.5 × 104 per well, and then cultured at 37 ° C. overnight. The medium is then replaced with DMEM medium containing 0.1% fetal calf serum. A solution of the test compound in dimethyl sulfoxide was added to each well, and cultivation was continued at 37 ° C. for another hour. Human recombinant vascular endothelial growth factor (referred to below as “VEGF”) is added to a final concentration of 100 ng / ml and cell stimulation is carried out at 37 ° C. for 2 minutes. The medium is removed, the cells are washed with saline with phosphate buffer (pH 7.4), and then 50 μl of solubilizing buffer (20 mm HEPES (pH 7.4), 150 mm NaCl, 0.2% Triton X-100, 10% glycerol, 5 mM sodium orthovanadilate, 5 mM disodium ethylenediaminetetraacetate and 2 mM Na4 P2 O7 ). The mixture was shaken at 4 ° C for 2 hours to obtain a cell extract.

Отдельно к микропланшету для проведения ELISA (Maxisorp; получено от NUNC) добавляют физиологический раствор с фосфатным буфером (50 мкл, рН 7,4), содержащий 5 мкг/мл антифосфотирозиновых антител (PY20; полученных от Transduction Laboratories), после чего оставляют на ночь при 4°С для образования на лунках твердой фазы. После промывания планшета добавляют 300 мкл блокирующего раствора, затем оставляют на 2 часа при комнатной температуре для осуществления блокировки. После промывания весь клеточный экстракт переносят в лунки, и затем планшет оставляют стоять при 4°С в течение ночи. После промывания при комнатной температуре в течение одного часа проводят взаимодействие с антителами против KDR (полученными от Santa Cruz), и после промывания при комнатной температуре в течение одного часа проводят взаимодействие с меченными пероксидазой антителами против кроличьих Ig (полученными от Amersham). После промывания для инициации реакции добавляют хромофорный субстрат пероксидазы (полученный от Sumitomo Bakelite Co., Ltd.). После достижения подходящего уровня окрашивания для остановки реакции добавляют останавливающий раствор и измеряют поглощение при 450 нм с помощью аппарата для прочтения микропланшет. Фосфорилирующую активность KDR для каждой лунки определяют, принимая поглощение при добавлении VEGF в отсутствие лекарственного препарата за 100% фосфорилирующей активности KDR, а поглощение в отсутствие лекарственного препарата и VEGF за 0% фосфорилирующей активности KDR. Концентрация тестируемого соединения варьируется на нескольких уровнях, ингибирование (%) фосфорилирования KDR определяют для каждого случая, и рассчитывают концентрацию тестируемого соединения, необходимую для 50% ингибирования фосфорилирования KDR (IC50). Результаты приведены в таблице 2.Separately, physiological saline with phosphate buffer (50 μl, pH 7.4) containing 5 μg / ml antiphosphothyrosine antibodies (PY20; obtained from Transduction Laboratories) was added to the ELISA microplate (Maxisorp; obtained from NUNC), and then left overnight at 4 ° C to form a solid phase in the wells. After washing the plate, add 300 μl of blocking solution, then leave for 2 hours at room temperature to block. After washing, the entire cell extract is transferred to the wells, and then the plate is left to stand at 4 ° C. overnight. After washing at room temperature for one hour, interaction with anti-KDR antibodies (obtained from Santa Cruz) is carried out, and after washing at room temperature for one hour, interaction with peroxidase-labeled anti-rabbit Ig antibodies (obtained from Amersham) is carried out. After washing, a chromophore peroxidase substrate (obtained from Sumitomo Bakelite Co., Ltd.) is added to initiate the reaction. After reaching the appropriate level of staining, a stopping solution is added to stop the reaction and the absorbance is measured at 450 nm using a microplate reader. The phosphorylating activity of KDR for each well is determined by taking the absorption upon addition of VEGF in the absence of the drug as 100% of the phosphorylating activity of KDR, and the absorption in the absence of the drug and VEGF as 0% of the phosphorylating activity of KDR. The concentration of the test compound varies at several levels, the inhibition (%) of KDR phosphorylation is determined for each case, and the concentration of the test compound required for 50% inhibition of KDR phosphorylation (IC50 ) is calculated. The results are shown in table 2.

Таблица 2table 2СоединениеCompoundIC50(нM)IC50 (nm)СоединениеCompoundIC50(нM)IC50 (nm)СоединениеCompoundIC50(нM)IC50 (nm)626211,011.010310378,078.01461461,01,06363150,0150.01041043,93.91471471,01,06464150,0150.01051052,02.014814815,015.0656527,027.01061061,51,51491491,61,6666615,015.010710711,011.01501501,81.8676763,063.01081085,05,01511510,50.5686824,024.0110110>1000> 10001521520,80.8696964,064.0111111>1000> 10001531531,51,5707032,032,0112112>1000> 10001541541,51,57171350,0350,0113113>1000> 10001551552,12.172723,53,5114114>1000> 10001561560,80.873731,01,0115115>1000> 10001571570,40.4747411,011.0116116>1000> 10001581581,61,675751,41.411711724,024.01591591,91.976763,53,5118118>1000> 10001601600,90.977776,06.01191193,63.61611613,93.978783,43.41201203,93.91621621,01,0797918,018.012112112,512.51631631,41.480802,72.71221225,85.81641640,90.981814,14.11231238,98.91651650,60.682828,48.41241241,91.91661662,22.28383840,0840.01251252,62.61671672,12.185850,50.5126126>1000> 10001681684,04.086861,51,51271271,11,11691693,73,78787110,0110.0131131>1000> 10001701701,11,1888861,061.0132132>1000> 10001751754,74.7898924,024.01331338,38.31761763,73,7909057,057.01341345,05,01771772,32,3929263,063.01351351,01,0178178>1000> 1000939337,037.0136136160,0160,0179179>1000> 100094942,32,313713724,024.0180180>1000> 100095953,83.813813840,040,0181181>1000> 100096960,40.413913915,015.0182182>1000> 10009797490,0490.014014036,036.0183183>1000> 10009898330,0330.014114114,014.01841840,20.2999925,025.01421422,62.61851850,50.510010013,013.01431433,53,51861866,36.31011013,03.01441441,61,6 102102105,0105.01451450,80.8

Пример фармакологического теста 3: Тест на кариоморфозPharmacological Test Example 3: Karyomorphosis Test

Клетки меланомы человека А375 (2×104) (полученные от Japanese Foundation for Cancer Research) высевают на культуральное предметное стекло (произведенное Falcon) и культивируют при 37°С. Через 5 ч после начала культивирования добавляют тестируемое соединение до получения концентрации 10 мкМ и 1 мкМ, и культивирование продолжают еще 48 ч. После фиксации клеток для окрашивания ядер добавляют раствор 50 мкг/мл иодида пропидия, содержащий рибонуклеазу (200 (мкг/мл). Окрашенные ядра наблюдают под флюоресцентным микроскопом для анализа ядер на нарушение кариоморфоза. Изменение в процессе кариоморфоза для тестируемых соединений оценивают как (2+), если изменение в процессе кариоморфоза клеток имеет место при концентрации 1 мкМ; оценивают как (+), если изменение в процессе кариоморфоза клеток имеет место при концентрации 10 мкМ; и оценивают как (-), если изменение в процессе кариоморфоза клеток отсутствует при 10 мкМ.A375 human melanoma cells (2 × 104 ) (obtained from the Japanese Foundation for Cancer Research) were plated on a culture slide (manufactured by Falcon) and cultured at 37 ° C. 5 hours after the start of cultivation, the test compound is added until a concentration of 10 μM and 1 μM are obtained, and cultivation is continued for another 48 hours. After fixing the cells for staining the nuclei, a solution of 50 μg / ml of propidium iodide containing ribonuclease (200 (μg / ml) is added. The stained nuclei are observed under a fluorescence microscope to analyze the nuclei for karyomorphism disturbance.The change in the karyomorphism process for the test compounds is evaluated as (2+) if the change in the process of karyomorphosis of the cells occurs at a concentration of 1 μM; dissolved as (+) if the change in the process kariomorfoza cells occurs at a concentration of 10 uM, and is evaluated as (-) if the change in the process kariomorfoza offline cells at 10 uM.

Результаты приведены в таблице 3.The results are shown in table 3.

Таблица 3Table 3№ соединенияConnection No.Изменение в морфозеChange in morphosis№ соединенияConnection No.Изменение в морфозеChange in morphosis13thirteen(-)(-)3737(-)(-)1414(-)(-)3838(-)(-)15fifteen(-)(-)3939(-)(-)1616(-)(-)4040(-)(-)1717(-)(-)4141(-)(-)18eighteen(-)(-)4242(-)(-)20twenty(-)(-)4343(-)(-)2121(-)(-)4444(-)(-)2222(-)(-)4545(-)(-)2424(-)(-)4646(-)(-)2525(-)(-)4747(-)(-)2626(-)(-)4848(-)(-)2828(-)(-)4949(-)(-)2929th(-)(-)5252(-)(-)30thirty(-)(-)5353(-)(-)3131(-)(-)5555(-)(-)3232(-)(-)5858(-)(-)3333(-)(-)5959(-)(-)3434(-)(-)6060(-)(-)3535(-)(-)6161(-)(-)3636(-)(-)6262(-)(-)

Пример фармакологического теста 4: Антиопухолевый эффект на клетках глиомы человека (GL07)Pharmacological Test Example 4: Antitumor effect on human glioma cells (GL07)

Клетки глиомы человека GL07 (полученные от Central Laboratories for Experimental Animals) трансплантируют голым мышам. Когда объем опухоли достигает приблизительно 100 мм3мышей распределяют по группам. В данном случае распределение по группам проводят так, чтобы каждая группа состояла из четырех мышей и средний объем опухоли был одинаковым для всех групп. Тестируемое соединение вводят исследуемым группам перорально или интраперитонеально в дозе, составляющей 20 мг/кг, ежедневно один раз в день, в течение 9 дней, в то время как контрольной группе вводят среду таким же способом, как и исследуемым группам. Степень ингибирования роста опухоли (TGIR) рассчитывают следующим образом: скорость ингибирования роста опухоли (TGIR)=(1-Тх/Сх)×100, где Сх обозначает объем опухоли в день х для контрольной группы, если объем опухоли в день начала введения принимают за 1; и Тх обозначает объем опухоли для групп, которым вводят тестируемое соединение.GL07 human glioma cells (obtained from Central Laboratories for Experimental Animals) are transplanted into nude mice. When the tumor volume reaches approximately 100 mm3, the mice are grouped. In this case, the distribution into groups is carried out so that each group consists of four mice and the average tumor volume is the same for all groups. The test compound is administered to the study groups orally or intraperitoneally in a dose of 20 mg / kg, once a day, for 9 days, while the control group is administered the medium in the same manner as the study groups. The degree of inhibition of tumor growth (TGIR) is calculated as follows: the rate of inhibition of tumor growth (TGIR) = (1-Tx / Cx) × 100, where Cx is the tumor volume per day x for the control group, if the tumor volume on the day of administration is taken as 1; and Tx is the tumor volume for the groups to which the test compound is administered.

Степень ингибирования роста опухоли для типичных примеров группы соединений настоящего изобретения показана в таблице 4.The degree of inhibition of tumor growth for typical examples of the group of compounds of the present invention is shown in table 4.

Таблица 4Table 4Номер примераExample NumberСпособ введенияRoute of administrationTGIR, %TGIR,%Номер примераExample NumberСпособ введенияRoute of administrationTGIR, %TGIR,%Номер примераExample NumberСпособ введенияRoute of administrationTGIR, %TGIR,%44ПероральныйOral6161102102ПероральныйOral2424147147ПероральныйOral343455ПероральныйOral5959103103ПероральныйOral2323148148ПероральныйOral54549nineИнтраперитонеальныйIntraperitoneal5959104104ПероральныйOral2222149149ПероральныйOral474713thirteenИнтраперитонеальныйIntraperitoneal5252105105ПероральныйOral20twenty150150ПероральныйOral22221414ИнтраперитонеальныйIntraperitoneal8181107107ПероральныйOral4949151151ПероральныйOral44441616ИнтраперитонеальныйIntraperitoneal7777109109ПероральныйOral7171152152ПероральныйOral44441717ИнтраперитонеальныйIntraperitoneal8585110110ПероральныйOral2626153153ПероральныйOral535318eighteenПероральныйOral5757111111ПероральныйOral7878154154ПероральныйOral34342424ПероральныйOral6363112112ПероральныйOral8181155155ПероральныйOral2929th2525ИнтраперитонеальныйIntraperitoneal6868113113ПероральныйOral6161156156ПероральныйOral24242828ИнтраперитонеальныйIntraperitoneal8484114114ПероральныйOral6060157157ПероральныйOral44442929thПероральныйOral6464115115ПероральныйOral7474158158ПероральныйOral39393737ИнтраперитонеальныйIntraperitoneal7070116116ПероральныйOral8383159159ПероральныйOral40404848ИнтраперитонеальныйIntraperitoneal9090119119ПероральныйOral4040160160ПероральныйOral434350fiftyПероральныйOral5959120120ПероральныйOral30thirty161161ПероральныйOral39395151ПероральныйOral6565121121ПероральныйOral2222162162ПероральныйOral40405454ПероральныйOral5959122122ПероральныйOral2121163163ПероральныйOral52526262ПероральныйOral7878123123ПероральныйOral3131164164ПероральныйOral55556464ПероральныйOral3737124124ПероральныйOral2727165165ПероральныйOral44446666ПероральныйOral2626125125ПероральныйOral30thirty166166ПероральныйOral2727TGIR, % - Степень ингибирования роста опухали (%)TGIR,% - The degree of growth inhibition was swollen (%)

Таблица 4 (продолжение)Table 4 (continued)Номер примераExample NumberСпособ введенияRoute of administrationTGIR,%TGIR,%Номер примераExample NumberСпособ введенияRoute of administrationTGIR, %TGIR,%Номер примераExample NumberСпособ введенияRoute of administrationTGIR, %TGIR,%6767ПероральныйOral30thirty126126ПероральныйOral5252167167ПероральныйOral28286868ПероральныйOral5757127127ПероральныйOral2525168168ПероральныйOral42426969ПероральныйOral2626128128ПероральныйOral2121169169ПероральныйOral55557171ПероральныйOral6767129129ПероральныйOral2525170170ПероральныйOral64647373ПероральныйOral3434130130ПероральныйOral3232171171ПероральныйOral13thirteen7474ПероральныйOral2828131131ПероральныйOral3131172172ПероральныйOral42427777ПероральныйOral2626132132ПероральныйOral2424173173ПероральныйOral21217878ПероральныйOral2121133133ПероральныйOral20twenty174174ПероральныйOral19197979ПероральныйOral2828134134ПероральныйOral2929th175175ПероральныйOral17178080ПероральныйOral5252135135ПероральныйOral6262176176ПероральныйOral22228282ПероральныйOral2727136136ПероральныйOral2323177177ПероральныйOral35358383ПероральныйOral3131137137ПероральныйOral20twenty178178ПероральныйOral28288585ПероральныйOral2626138138ПероральныйOral2121179179ПероральныйOral33338989ПероральныйOral4040139139ПероральныйOral2727180180ПероральныйOral45459393ПероральныйOral2929th140140ПероральныйOral2121181181ПероральныйOral21219494ПероральныйOral2929th141141ПероральныйOral2828182182ПероральныйOral31319797ПероральныйOral4848142142ПероральныйOral4848183183ПероральныйOral22229898ПероральныйOral3838143143ПероральныйOral5353184184ПероральныйOral48489999ПероральныйOral3333144144ПероральныйOral5656185185ПероральныйOral5959100100ПероральныйOral3636145145ПероральныйOral5757186186ПероральныйOral4747101101ПероральныйOral4444146146ПероральныйOral4848   TGIR, %=Степень ингибирования роста опухоли (%)TGIR,% = Inhibition of tumor growth (%)

Claims (22)

Translated fromRussian
1. Соединение, представленное формулой (I) или его фармацевтически приемлемая соль или сольват:1. The compound represented by formula (I) or a pharmaceutically acceptable salt or solvate thereof:
Figure 00000027
Figure 00000027
гдеWhereХ представляет собой СН или N;X represents CH or N;Z представляет собой СН;Z represents CH;R1 представляет собой атом водорода;R1 represents a hydrogen atom;R2 и R3, которые могут быть одинаковыми или различными, представляют собой C1-6алкокси, который необязательно замещен атомом галогена, гидроксилом, C1-4алкокси, C1-4алкоксикарбонилом, аминогруппой, один или два атома водорода которой необязательно заменены на C1-4алкил, который необязательно замещен гидроксилом или C1-4алкокси, группой R12R13N-C (=O)-О-, где R12 и R13, которые могут быть одинаковыми или различными и представляют собой атом водорода или C1-4алкил, необязательно замещенный гидроксилом или C1-4алкокси, или группой R14-(S)m-, где R14 представляет собой фенил или насыщенную или ненасыщенную пяти-семичленную гетероциклическую группу, необязательно замещенную C1-4алкилом, m равно 0 или 1;R2 and R3 , which may be the same or different, are C1-6 alkoxy, which is optionally substituted with a halogen atom, hydroxyl, C1-4 alkoxy, C1-4 alkoxycarbonyl, an amino group, one or two of which hydrogen atoms are optional replaced by C1-4 alkyl, which is optionally substituted with hydroxyl or C1-4 alkoxy, by the group R12 R13 NC (= O) -O-, where R12 and R13 , which may be the same or different and represent an atom hydrogen or C1-4 alkyl optionally substituted by hydroxy or C1-4 alkoxy, or group R14 - (S)m -, wherein R14 Representat spin precession is a phenyl or a saturated or unsaturated five to seven membered heterocyclic group, optionally substituted C1-4 alkyl, m is 0 or 1;R4 представляет собой атом водорода;R4 represents a hydrogen atom;R5, R6, R7 и R8, которые могут быть одинаковыми или различными, представляют собой атом водорода, атом галогена, C1-4алкил, C1-4алкокси или нитро, при условии, что R5, R6, R7 и R8 одновременно не представляют собой атом водорода;R5 , R6 , R7 and R8 , which may be the same or different, represent a hydrogen atom, a halogen atom, C1-4 alkyl, C1-4 alkoxy or nitro, provided that R5 , R6 , R7 and R8 at the same time do not represent a hydrogen atom;R9 представляет собой атом водорода, C1-6алкил или C1-4алкилкарбонил, где алкильный фрагмент указанных C1-6алкила или C1-4алкилкарбонила необязательно замещен C1-4алкокси;R9 represents a hydrogen atom, C1-6 alkyl or C1-4 alkylcarbonyl, where the alkyl moiety of said C1-6 alkyl or C1-4 alkylcarbonyl is optionally substituted with C1-4 alkoxy;R10 представляет собой, атом водорода или C1-6алкил;R10 represents a hydrogen atom or C1-6 alkyl;R11 представляет собой C1-6алкил, С2-6алкенил или С2-6алкинил (где каждый C1-6алкил, С2-6алкенил и С2-6алкинил необязательно замещен атомом галогена или C1-6алкокси), или R15-(CH2)n-, где n является целым числом от 0 до 3, и R15 представляет собой нафтил или шестичленную насыщенную или ненасыщенную карбоциклическую или насыщенную или ненасыщенную пяти-семичленную гетероциклическую группу, которые необязательно замещены атомом галогена, C1-6алкилом или C1-6алкокси.R11 represents C1-6 alkyl, C2-6 alkenyl or C2-6 alkynyl (where each C1-6 alkyl, C2-6 alkenyl and C2-6 alkynyl is optionally substituted with a halogen atom or C1-6 alkoxy), or R15 - (CH2 )n -, where n is an integer from 0 to 3, and R15 is a naphthyl or six-membered saturated or unsaturated carbocyclic or saturated or unsaturated five-seven-membered heterocyclic group, which are optionally substituted by an atom halogen, C1-6 alkyl or C1-6 alkoxy.2. Соединение по п.1, где R9 и R10 представляют собой атом водорода.2. The compound according to claim 1, where R9 and R10 represent a hydrogen atom.3. Соединение, представленное формулой (la), или его фармацевтически приемлемая соль или сольват:3. The compound represented by formula (la), or a pharmaceutically acceptable salt or solvate thereof:
Figure 00000028
Figure 00000028
где Х представляет собой СН или N;where X represents CH or N;R21 и R22, которые могут быть одинаковыми или различными, представляют собой незамещенный C1-6алкокси или группу R31-(СН2)р-O-, где R31 представляет собой атом галогена, гидроксил, C1-4алкокси, C1-4алкоксикарбонил, аминогруппу, у которой один или два атома водорода необязательно заменены на C1-4алкилом, который необязательно замещен гидроксилом или C1-4алкокси, группу R12R13N-C(=O)-О-, где R12 и R13, которые могут быть одинаковыми или различными, представляют собой атом водорода или C1-4алкил, где алкил необязательно замещен гидроксилом или C1-4алкокси, или группу R14-(S)m-, где R14 представляет собой фенил или насыщенную или ненасыщенную пяти-семичленную гетероциклическую группу, необязательно замещенную C1-4алкилом, и m равно 0 или 1; р является целым числом от 1 до 6;R21 and R22 , which may be the same or different, are unsubstituted C1-6 alkoxy or a group R31 - (CH2 )p —O—, where R31 represents a halogen atom, hydroxyl, C1-4 alkoxy , C1-4 alkoxycarbonyl, an amino group in which one or two hydrogen atoms are optionally replaced by C1-4 alkyl, which is optionally substituted with hydroxyl or C1-4 alkoxy, a group R12 R13 NC (= O) -O-, wherein R12 and R13, which may be identical or different, represent a hydrogen atom or C1-4 alkyl, wherein alkyl is optionally substituted by hydroxyl or C1-4 alkoxy, Whether a group R14 - (S)m -, wherein R14 represents phenyl or a saturated or unsaturated five to seven membered heterocyclic group, optionally substituted C1-4 alkyl, and m is 0 or 1; p is an integer from 1 to 6;R23, R24, R25 и R26, которые могут быть одинаковыми или различными, представляют собой атом водорода, атом галогена, C1-4алкил, C1-4алкокси или нитро, при условии, что R23, R24, R25 и R26 одновременно не представляют собой атом водорода;R23 , R24 , R25 and R26 , which may be the same or different, represent a hydrogen atom, a halogen atom, C1-4 alkyl, C1-4 alkoxy or nitro, provided that R23 , R24 , R25 and R26 at the same time do not represent a hydrogen atom;R27 представляет собой атом водорода, C1-6алкил или C1-4алкилкарбонил, где алкильный фрагмент указанных C1-6алкила или C1-4алкилкарбонила необязательно замещен C1-4алкокси;R27 represents a hydrogen atom, C1-6 alkyl or C1-4 alkylcarbonyl, where the alkyl moiety of said C1-6 alkyl or C1-4 alkylcarbonyl is optionally substituted with C1-4 alkoxy;R28 представляет собой атом водорода или C1-6алкил; R29 представляет собой C1-6алкил, С2-6алкенил или С2-6алкинил (каждый из данных C1-6алкила, С2-6алкенила или С2-6алкинила необязательно замещен атомом галогена или C1-4алкокси), или R32-(CH2)q-, где q представляет собой целое число от 0 до 4, R32 представляет собой нафтил или насыщенную или ненасыщенную шестичленную карбоциклическую или гетероциклическую группу, которые необязательно замещены атомом галогена, C1-4алкилом или C1-4алкокси.R28 represents a hydrogen atom or C1-6 alkyl; R29 represents C1-6 alkyl, C2-6 alkenyl or C2-6 alkynyl (each of these C1-6 alkyl, C2-6 alkenyl or C2-6 alkynyl is optionally substituted with a halogen atom or C1- 4 alkoxy), or R32 - (CH2 )q -, where q is an integer from 0 to 4, R32 is a naphthyl or saturated or unsaturated six-membered carbocyclic or heterocyclic group, which are optionally substituted with a halogen atom, C1- 4 alkyl or C1-4 alkoxy.
4. Соединение по п.3, где R21 и R22 представляют собой незамещенную C1-4алкоксильную группу.4. The compound according to claim 3, where R21 and R22 represent an unsubstituted C1-4 alkoxyl group.5. Соединение по п.3, где один из R21 и R22 представляет собой незамещенную C1-4алкоксильную группу и другой представляет собой группу R31-(CH2)p-O-.5. The compound according to claim 3, where one of R21 and R22 represents an unsubstituted C1-4 alkoxyl group and the other represents a group R31 - (CH2 )p —O—.6. Соединение по п.3, где по меньшей мере один из R23, R24, R25 и R26 представляет собой атом галогена.6. The compound according to claim 3, where at least one of R23 , R24 , R25 and R26 represents a halogen atom.7. Соединение по п.3, где по меньшей мере один из R23, R24, R25 и R26 представляет собой атом хлора или атом фтора.7. The compound according to claim 3, where at least one of R23 , R24 , R25 and R26 represents a chlorine atom or a fluorine atom.8. Соединение по п.3, где по меньшей мере один из R23, R24, R25, и R26 представляет собой C1-4алкил.8. The compound according to claim 3, where at least one of R23 , R24 , R25 , and R26 represents a C1-4 alkyl.9. Соединение по п.3, где два из R23, R24, R25 и R26 представляют собой метил и остальные два представляют собой атом водорода.9. The compound according to claim 3, where two of R23 , R24 , R25 and R26 represent methyl and the other two represent a hydrogen atom.10. Соединение по п.3, где по меньшей мере один из R23, R24, R25 и R26 представляет собой нитро или C1-4алкокси.10. The compound according to claim 3, where at least one of R23 , R24 , R25 and R26 represents nitro or C1-4 alkoxy.11. Соединение по п.3, где R23, R25 и R26 представляют собой атом водорода, и R24 представляет собой атом галогена, C1-4алкил, C1-4алкокси или нитро.11. The compound according to claim 3, where R23 , R25 and R26 represent a hydrogen atom, and R24 represents a halogen atom, C1-4 alkyl, C1-4 alkoxy or nitro.12. Соединение по п.3, где оба R27 и R28 представляют собой атом водорода.12. The compound according to claim 3, where both R27 and R28 represent a hydrogen atom.13. Соединение по п.3, где13. The compound according to claim 3, whereХ представляет собой СН или N;X represents CH or N;R21 и R22 представляют собой незамещенный C1-4алкокси;R21 and R22 are unsubstituted C1-4 alkoxy;R23, R25 и R26 представляют собой атом водорода;R23 , R25 and R26 represent a hydrogen atom;R24 представляет собой атом галогена, C1-4алкил, C1-4алкокси или нитро;R24 represents a halogen atom, C1-4 alkyl, C1-4 alkoxy or nitro;R27 и R28 представляют собой атом водорода; R29 представляет собой C1-6алкил, С2-6алкенил или С2-6алкинил (где каждый из C1-6алкила, С2-6алкенила и С2-6алкинила необязательно замещен атомом галогена или C1-4алкокси), или -(CH2)q-R32, где q представляет собой целое число, равное 0 или 1, и R32 представляет собой фенил, пиридил или нафтил, где фенил, пиридил и нафтил необязательно замещены атомом галогена, C1-4алкилом или C1-4алкокси.R27 and R28 represent a hydrogen atom; R29 represents C1-6 alkyl, C2-6 alkenyl or C2-6 alkynyl (where each of C1-6 alkyl, C2-6 alkenyl and C2-6 alkynyl is optionally substituted with a halogen atom or C1- 4 alkoxy), or - (CH2 )q -R32 , where q is an integer of 0 or 1, and R32 is phenyl, pyridyl or naphthyl, where phenyl, pyridyl and naphthyl are optionally substituted with a halogen atom, C1-4 alkyl or C1-4 alkoxy.14. Соединение по п.1, которое представляет собой соединение, выбранное из группы, состоящей из следующих соединений, или его фармацевтическая соль или сольват:14. The compound according to claim 1, which is a compound selected from the group consisting of the following compounds, or its pharmaceutical salt or MES:(1) N-(2,4-дифторбензил)-N’-{4-[(6,7-диметокси-4-хинолил)окси]-2-фторфенил}мочевина;(1) N- (2,4-difluorobenzyl) -N ’- {4 - [(6,7-dimethoxy-4-quinolyl) oxy] -2-fluorophenyl} urea;(2) N-{4-[(6,7-диметокси-4-хинолил)окси]-2-фторфенил}-N’-(2-фторэтил)мочевина;(2) N- {4 - [(6,7-dimethoxy-4-quinolyl) oxy] -2-fluorophenyl} -N ’- (2-fluoroethyl) urea;(3) N-{4-[(6,7-диметокси-4-хинолил)окси]-2-фторфенил}-N’-(2-пиридилметил)мочевина;(3) N- {4 - [(6,7-dimethoxy-4-quinolyl) oxy] -2-fluorophenyl} -N ’- (2-pyridylmethyl) urea;(4) N-аллил-N’-{4-[(6,7-диметокси-4-хинолил)окси]-2-фторфенил)мочевина;(4) N-allyl-N ’- {4 - [(6,7-dimethoxy-4-quinolyl) oxy] -2-fluorophenyl) urea;(5) N-{4-[(6,7-диметокси-4-хинолил)окси]-2-фторфенил}-N’-пропилмочевина;(5) N- {4 - [(6,7-dimethoxy-4-quinolyl) oxy] -2-fluorophenyl} -N’-propylurea;(6) N-{4-[(6,7-диметокси-4-хинолил)окси]-2-фторфенил}-N’-(4-фторбутил)мочевина;(6) N- {4 - [(6,7-dimethoxy-4-quinolyl) oxy] -2-fluorophenyl} -N ’- (4-fluorobutyl) urea;(7) N-{4-[(6,7-диметокси-4-хинолил)окси]-2-фторфенил}-N’-(2-пропинил)мочевина;(7) N- {4 - [(6,7-dimethoxy-4-quinolyl) oxy] -2-fluorophenyl} -N ’- (2-propynyl) urea;(8) N-{4-[(6,7-диметокси-4-хинолил)окси]-2-фторфенил}-N’-этилмочевина;(8) N- {4 - [(6,7-dimethoxy-4-quinolyl) oxy] -2-fluorophenyl} -N’-ethylurea;(9) N-бутил-N’-{4-[(6,7-диметокси-4-хинолил)окси]-2-фторфенил}мочевина;(9) N-butyl-N ’- {4 - [(6,7-dimethoxy-4-quinolyl) oxy] -2-fluorophenyl} urea;(10) N-(фтор-бутил)-N’-{4-[(6,7-диметокси-4-хинолил)окси]-2-фторфенил}мочевина;(10) N- (fluoro-butyl) -N ’- {4 - [(6,7-dimethoxy-4-quinolyl) oxy] -2-fluorophenyl} urea;(11) N-{4-[(6,7-диметокси-4-хинолил)окси]-2-фторфенил}-N’-изобутилмочевина;(11) N- {4 - [(6,7-dimethoxy-4-quinolyl) oxy] -2-fluorophenyl} -N’-isobutylurea;(12) N-{4-[(6,7-диметокси-4-хинолил)окси]-2-фторфенил}-N’-(1,2-диметилпропил)мочевина;(12) N- {4 - [(6,7-dimethoxy-4-quinolyl) oxy] -2-fluorophenyl} -N ’- (1,2-dimethylpropyl) urea;(13) N-{2-хлор-4-[(6,7-диметокси-4-хинолил)окси]фенил}-(13) N- {2-chloro-4 - [(6,7-dimethoxy-4-quinolyl) oxy] phenyl} -N’-пропилмочевина;N’-propylurea;(14) N-{2-хлор-4-[(6,7-диметокси-4-хинолил)окси]фенил}-N’-(4-фтор-2-метилфенил)мочевина;(14) N- {2-chloro-4 - [(6,7-dimethoxy-4-quinolyl) oxy] phenyl} -N ’- (4-fluoro-2-methylphenyl) urea;(15) N-(5-бром-6-метил-2-пиридил)-N’-{2-хлор-4-[(6,7-диметокси-4-хинолил)окси]фенил}мочевина;(15) N- (5-bromo-6-methyl-2-pyridyl) -N ’- {2-chloro-4 - [(6,7-dimethoxy-4-quinolyl) oxy] phenyl} urea;(16) N-{2-хлор-4-[(6,7-диметокси-4-хинолил)окси]фенил}-N’-(5-хлор-2-пиридил)мочевина;(16) N- {2-chloro-4 - [(6,7-dimethoxy-4-quinolyl) oxy] phenyl} -N ’- (5-chloro-2-pyridyl) urea;(17) N-(5-бром-2-пиридил)-N’-{2-хлор-4-[(6,7-диметокси-4-хинолил)окси]фенил}мочевина;(17) N- (5-bromo-2-pyridyl) -N ’- {2-chloro-4 - [(6,7-dimethoxy-4-quinolyl) oxy] phenyl} urea;(18) N-{2-хлор-4-[(6,7-диметокси-4-хинолил)окси]фенил}-N’-(2-метоксифенил)мочевина;(18) N- {2-chloro-4 - [(6,7-dimethoxy-4-quinolyl) oxy] phenyl} -N ’- (2-methoxyphenyl) urea;(19) N-{2-хлор-4-[(6,7-диметокси-4-хинолил)окси]фенил}-N’-(2-метилфенил)мочевина;(19) N- {2-chloro-4 - [(6,7-dimethoxy-4-quinolyl) oxy] phenyl} -N ’- (2-methylphenyl) urea;(20) N-{2-хлор-4-[(6,7-диметокси-4-хинолил)окси]фенил}-N’-(5-метил-2-пиридил)мочевина;(20) N- {2-chloro-4 - [(6,7-dimethoxy-4-quinolyl) oxy] phenyl} -N ’- (5-methyl-2-pyridyl) urea;(21) N-{2-хлор-4-[(6,7-диметокси-4-хинолил)окси]фенил}-N’-(6-метил-2-пиридил)мочевина;(21) N- {2-chloro-4 - [(6,7-dimethoxy-4-quinolyl) oxy] phenyl} -N ’- (6-methyl-2-pyridyl) urea;(22) гидрохлорид N-{2-хлор-4-[(6,7-диметокси-4-хинолил)окси]фенил}-N’-(4-метоксифенил)мочевины;(22) N- {2-chloro-4 - [(6,7-dimethoxy-4-quinolyl) oxy] phenyl} -N ’- (4-methoxyphenyl) urea hydrochloride;(23) N-{2-хлор-4-[(6,7-диметокси-4-хинолил)окси]фенил}-N’-(1-нафтил)мочевина;(23) N- {2-chloro-4 - [(6,7-dimethoxy-4-quinolyl) oxy] phenyl} -N ’- (1-naphthyl) urea;(24) N-(2,4-дифторфенил)-N’-{4-[(6,7-диметокси-4-хинолил)окси]-2,3-диметилфенил}мочевина;(24) N- (2,4-difluorophenyl) -N ’- {4 - [(6,7-dimethoxy-4-quinolyl) oxy] -2,3-dimethylphenyl} urea;(25) N-{4-[(6,7-диметокси-4-хинолил)окси]-2,3-диметилфенил}-N’-(4-фтор-2-метилфенил)мочевина;(25) N- {4 - [(6,7-dimethoxy-4-quinolyl) oxy] -2,3-dimethylphenyl} -N ’- (4-fluoro-2-methylphenyl) urea;(26) N-{4-[(6,7-диметокси-4-хинолил)окси]-2,3-(26) N- {4 - [(6,7-dimethoxy-4-quinolyl) oxy] -2,3-диметилфенил}-N’-(3-фтор-2-метоксифенил)мочевина;dimethylphenyl} -N ’- (3-fluoro-2-methoxyphenyl) urea;(27) N-(5-бром-6-метил-2-пиридил)-N’-{4-[(6,7-диметокси-4-хинолил)окси]-2,3-диметилфенил}мочевина;(27) N- (5-bromo-6-methyl-2-pyridyl) -N ’- {4 - [(6,7-dimethoxy-4-quinolyl) oxy] -2,3-dimethylphenyl} urea;(28) N-(5-хлор-2-пиридил)-N’-{4-[(6,7-диметокси-4-хинолил)окси]-2,3-диметилфенил}мочевина;(28) N- (5-chloro-2-pyridyl) -N ’- {4 - [(6,7-dimethoxy-4-quinolyl) oxy] -2,3-dimethylphenyl} urea;(29) N-(5-бром-2-пиридил)-N’-{4-[(6,7-диметокси-4-хинолил)окси]-2,3-диметилфенил}мочевина;(29) N- (5-bromo-2-pyridyl) -N ’- {4 - [(6,7-dimethoxy-4-quinolyl) oxy] -2,3-dimethylphenyl} urea;(30) N-{4-[(6,7-диметокси-4-хинолил)окси]-2,3-диметилфенил}-N’-(2-метоксифенил)мочевина;(30) N- {4 - [(6,7-dimethoxy-4-quinolyl) oxy] -2,3-dimethylphenyl} -N ’- (2-methoxyphenyl) urea;(31) N-{4-[(6,7-диметокси-4-хинолил)окси]-2,3-диметилфенил}-N’-(2-метилфенил)мочевина;(31) N- {4 - [(6,7-dimethoxy-4-quinolyl) oxy] -2,3-dimethylphenyl} -N ’- (2-methylphenyl) urea;(32) N-(4-хлор-2-метилфенил)-N’-{4-[(6,7-диметокси-4-хинолил)окси]-2,3-диметилфенил}мочевина;(32) N- (4-chloro-2-methylphenyl) -N ’- {4 - [(6,7-dimethoxy-4-quinolyl) oxy] -2,3-dimethylphenyl} urea;(33) N-{4-[(6,7-диметокси-4-хинолил)окси]-2,3-диметилфенил}-N’-(2-пиридил)мочевина;(33) N- {4 - [(6,7-dimethoxy-4-quinolyl) oxy] -2,3-dimethylphenyl} -N ’- (2-pyridyl) urea;(34) N-{4-[(6,7-диметокси-4-хинолил)окси]-2,3-диметилфенил}-N’-(5-метил-2-пиридил)мочевина;(34) N- {4 - [(6,7-dimethoxy-4-quinolyl) oxy] -2,3-dimethylphenyl} -N ’- (5-methyl-2-pyridyl) urea;(35) N-{4-[(6,7-диметокси-4-хинолил)окси]-2,3-диметилфенил}-N’-(6-метил-2-пиридил)мочевина;(35) N- {4 - [(6,7-dimethoxy-4-quinolyl) oxy] -2,3-dimethylphenyl} -N ’- (6-methyl-2-pyridyl) urea;(36) N-{4-[(6,7-диметокси-4-хинолил)окси]-2,3-диметилфенил}-N’-(4-метоксифенил)мочевина;(36) N- {4 - [(6,7-dimethoxy-4-quinolyl) oxy] -2,3-dimethylphenyl} -N ’- (4-methoxyphenyl) urea;(37) N-(2,4-дифторфенил)-N’-{4-[(6,7-диметокси-4-хинолил)окси]-2,5-диметилфенил}мочевина;(37) N- (2,4-difluorophenyl) -N ’- {4 - [(6,7-dimethoxy-4-quinolyl) oxy] -2,5-dimethylphenyl} urea;(38) N-{4-[(6,7-химетокси-4-хинолил)окси]-2,5-диметилфенил}-N’-пропилмочевина;(38) N- {4 - [(6,7-chimethoxy-4-quinolyl) oxy] -2,5-dimethylphenyl} -N’-propylurea;(39) N-(4-хлор-2-метилфенил)-N’-{4-[(6,7-диметокси-4-(39) N- (4-chloro-2-methylphenyl) -N ’- {4 - [(6,7-dimethoxy-4-хинолил)окси]-2,5-диметилфенил}мочевина;quinolyl) oxy] -2,5-dimethylphenyl} urea;(40) N-{4-[(6,7-диметокси-4-хинолил)окси]-2,5-диметилфенил}-N’-(4-фтор-2-метилфенил)мочевина;(40) N- {4 - [(6,7-dimethoxy-4-quinolyl) oxy] -2,5-dimethylphenyl} -N ’- (4-fluoro-2-methylphenyl) urea;(41) N-{4-[(6,7-диметокси-4-хинолил)окси]-2,5-диметилфенил}-N’-(3-фтор-2-метоксифенил}мочевина;(41) N- {4 - [(6,7-dimethoxy-4-quinolyl) oxy] -2,5-dimethylphenyl} -N ’- (3-fluoro-2-methoxyphenyl} urea;(42) N-{4-[(6,7-диметокси-4-хинолил)окси]-2,5-диметилфенил}-N’-(2-метилфенил)мочевина;(42) N- {4 - [(6,7-dimethoxy-4-quinolyl) oxy] -2,5-dimethylphenyl} -N ’- (2-methylphenyl) urea;(43) N-{4-[(6,7-диметокси-4-хинолил)окси]-2,5-диметилфенил}-N’-(2-метоксифенил)мочевина;(43) N- {4 - [(6,7-dimethoxy-4-quinolyl) oxy] -2,5-dimethylphenyl} -N ’- (2-methoxyphenyl) urea;(44) N-(5-бром-6-метил-2-пиридил)-N’-{4-[(6,7-диметокси-4-хинолил)окси]-2,5-диметилфенил}мочевина;(44) N- (5-bromo-6-methyl-2-pyridyl) -N ’- {4 - [(6,7-dimethoxy-4-quinolyl) oxy] -2,5-dimethylphenyl} urea;(45) N-(2,6-диметокси-3-пиридил)-N’-{4-[(6,7-диметокси-4-хинолил)окси]-2,5-диметилфенил}мочевина;(45) N- (2,6-dimethoxy-3-pyridyl) -N ’- {4 - [(6,7-dimethoxy-4-quinolyl) oxy] -2,5-dimethylphenyl} urea;(46) N-{4-[(6,7-диметокси-4-хинолил)окси]-2,5-диметилфенил}-N’-(4-метоксифенил)мочевина;(46) N- {4 - [(6,7-dimethoxy-4-quinolyl) oxy] -2,5-dimethylphenyl} -N ’- (4-methoxyphenyl) urea;(47) N-{4-[(6,7-диметокси-4-хинолил)окси]-2-нитрофенил}-N’-пропилмочевина;(47) N- {4 - [(6,7-dimethoxy-4-quinolyl) oxy] -2-nitrophenyl} -N’-propylurea;(48) N-(2,4-дифторфенил)-N’-{4-[(6,7-диметокси-4-хинолил)окси]-2-нитрофенил}мочевина;(48) N- (2,4-difluorophenyl) -N ’- {4 - [(6,7-dimethoxy-4-quinolyl) oxy] -2-nitrophenyl} urea;(49) N-{3,5-дихлор-4-[(6,7-диметокси-4-хинолил)окси]фенил}-N’-(2,4-дифторфенил)мочевина;(49) N- {3,5-dichloro-4 - [(6,7-dimethoxy-4-quinolyl) oxy] phenyl} -N ’- (2,4-difluorophenyl) urea;(50) N-(2,4-дифторфенил)-N’-(2-фтор-4-{[6-метокси-7-(2-морфолиноэтокси)-4-хинолил]окси}фенил)мочевина;(50) N- (2,4-difluorophenyl) -N ’- (2-fluoro-4 - {[6-methoxy-7- (2-morpholinoethoxy) -4-quinolyl] oxy} phenyl) urea;(51) N-(2-хлор-4-{[6-метокси-7-(2-морфолиноэтокси)-4-хинолил]окси}фенил)-N’-(2,4-дифторфенил)мочевина;(51) N- (2-chloro-4 - {[6-methoxy-7- (2-morpholinoethoxy) -4-quinolyl] oxy} phenyl) -N ’- (2,4-difluorophenyl) urea;(52) N-(2,4-дифторфенил)-N’-(4-{[6-метокси-7-(2-(52) N- (2,4-difluorophenyl) -N ’- (4 - {[6-methoxy-7- (2-морфолиноэтокси)-4-хинолил]окси}-2,5-диметил-фенил)мочевина;morpholinoethoxy) -4-quinolyl] oxy} -2,5-dimethyl-phenyl) urea;(53) N-(4-{[6-метокси-7-(2-морфолиноэтокси)-4-хинолил]окси}-2,5-диметилфенил)-N’-(2-метоксифенил)мочевина;(53) N- (4 - {[6-methoxy-7- (2-morpholinoethoxy) -4-quinolyl] oxy} -2,5-dimethylphenyl) -N ’- (2-methoxyphenyl) urea;(54) N-(2-хлор-4-{[6-метокси-7-(2-метоксиэтокси)-4-хинолил]окси}фенил)-N’-(2,4-дифторфенил)мочевина;(54) N- (2-chloro-4 - {[6-methoxy-7- (2-methoxyethoxy) -4-quinolyl] oxy} phenyl) -N ’- (2,4-difluorophenyl) urea;(55) N-(2-хлор-4-{[6-метокси-7-(2-метоксиэтокси)-4-хинолил]окси}фенил)-N’-(2-метоксифенил)мочевина;(55) N- (2-chloro-4 - {[6-methoxy-7- (2-methoxyethoxy) -4-quinolyl] oxy} phenyl) -N ’- (2-methoxyphenyl) urea;(56) N-(2,4-дифторфенил)-N’-(4-{[6-метокси-7-(2-метоксиэтокси)-4-хинолил]окси}-2,3-диметилфенил)мочевина;(56) N- (2,4-difluorophenyl) -N ’- (4 - {[6-methoxy-7- (2-methoxyethoxy) -4-quinolyl] oxy} -2,3-dimethylphenyl) urea;(57) N-(4-{[6-метокси-7-(2-метоксиэтокси)-4-хинолил]окси}-2,3-диметилфенил)-N’-(2-метоксифенил)мочевина;(57) N- (4 - {[6-methoxy-7- (2-methoxyethoxy) -4-quinolyl] oxy} -2,3-dimethylphenyl) -N ’- (2-methoxyphenyl) urea;(58) N-(2,4-дифторфенил)-N’-(4-{[6-метокси-7-(2-метоксиэтокси-4-хинолил]окси}-2,5-диметилфенил)мочевина;(58) N- (2,4-difluorophenyl) -N ’- (4 - {[6-methoxy-7- (2-methoxyethoxy-4-quinolyl] oxy} -2,5-dimethylphenyl) urea;(59) N-(4-{[6-метокси-7-(2-метоксиэтокси)-4-хинолил]окси}-2,5-диметилфенил)-N’-(2-метоксифенил)мочевина;(59) N- (4 - {[6-methoxy-7- (2-methoxyethoxy) -4-quinolyl] oxy} -2,5-dimethylphenyl) -N ’- (2-methoxyphenyl) urea;(60) N-(4-{[7-(бензилокси)-6-метокси-4-хинолил]окси}-2,3-диметилфенил)-N’-(2-метоксифенил)мочевина;(60) N- (4 - {[7- (benzyloxy) -6-methoxy-4-quinolyl] oxy} -2,3-dimethylphenyl) -N ’- (2-methoxyphenyl) urea;(61) N-{2-хлор-4-[(6,7-диметокси-4-хиназолинил)окси]фенил}-N’-(2,4-дифторфенил)мочевина;(61) N- {2-chloro-4 - [(6,7-dimethoxy-4-quinazolinyl) oxy] phenyl} -N ’- (2,4-difluorophenyl) urea;(76) N-{2-хлор-4-[(6,7-диметокси-4-хиназолинил)окси]фенил}-N’-этилмочевина;(76) N- {2-chloro-4 - [(6,7-dimethoxy-4-quinazolinyl) oxy] phenyl} -N’-ethylurea;(77) N-бутил-N’-{2-хлор-4-[(6,7-диметокси-4-хиназолинил)окси]фенил}мочевина;(77) N-butyl-N ’- {2-chloro-4 - [(6,7-dimethoxy-4-quinazolinyl) oxy] phenyl} urea;(78) N-{2-xnop-4-[(6,7-диметокси-4-хиназолинил)окси]фенил}-]N’-пентилмочевина;(78) N- {2-xnop-4 - [(6,7-dimethoxy-4-quinazolinyl) oxy] phenyl} -] N’-pentylurea;(79) N-(втор-бутил)-N’-{2-хлор-4-[(6,7-диметокси-4-хиназолинил)окси]фенил}мочевина;(79) N- (sec-butyl) -N ’- {2-chloro-4 - [(6,7-dimethoxy-4-quinazolinyl) oxy] phenyl} urea;(80) N-аллил-N’-{2-хлор-4-[(6,7-диметокси-4-хиназолинил)окси]фенил}мочевина;(80) N-allyl-N ’- {2-chloro-4 - [(6,7-dimethoxy-4-quinazolinyl) oxy] phenyl} urea;(81) N-{2-хлор-4-[(6,7-диметокси-4-хиназолинил)окси]фенил}-N’-(2-пропинил)мочевина;(81) N- {2-chloro-4 - [(6,7-dimethoxy-4-quinazolinyl) oxy] phenyl} -N ’- (2-propynyl) urea;(82) N-{2-xлop-4-[(6,7-диметокси-4-хиназолинил)окси]фенил}-N’-(2,4-дифторбензил)мочевина;(82) N- {2-chlorop-4 - [(6,7-dimethoxy-4-quinazolinyl) oxy] phenyl} -N ’- (2,4-difluorobenzyl) urea;(83) N-{2-хлор-4-[(6,7-диметокси-4-хиназолинил)окси]фенил}-N’-(2-пиридилметил)мочевина;(83) N- {2-chloro-4 - [(6,7-dimethoxy-4-quinazolinyl) oxy] phenyl} -N ’- (2-pyridylmethyl) urea;(85) N-{2-хлор-4-[(6,7-диметокси-4-хиназолинил)окси]фенил}-N’-(4-фторфенил)мочевина;(85) N- {2-chloro-4 - [(6,7-dimethoxy-4-quinazolinyl) oxy] phenyl} -N ’- (4-fluorophenyl) urea;(86) N-{2-хлор-4-[(6,7-диметокси-4-хиназолинил)окси]фенил}-N’-(2-метоксифенил)мочевина;(86) N- {2-chloro-4 - [(6,7-dimethoxy-4-quinazolinyl) oxy] phenyl} -N ’- (2-methoxyphenyl) urea;(87) N-{2-xnop-4-[(6,7-диметокси-4-хиназолинил)окси]фенил}-N’-(5-хлор-2-пиридил)мочевина;(87) N- {2-xnop-4 - [(6,7-dimethoxy-4-quinazolinyl) oxy] phenyl} -N ’- (5-chloro-2-pyridyl) urea;(88) N-{4-[(6,7-диметокси-4-хиназолинил)окси]-2-фторфенил}-N’-пропилмочевина;(88) N- {4 - [(6,7-dimethoxy-4-quinazolinyl) oxy] -2-fluorophenyl} -N’-propylurea;(89) N-бутил-N’-{4-[(6,7-диметокси-4-хиназолинил)окси]-2-фторфенил}мочевина;(89) N-butyl-N ’- {4 - [(6,7-dimethoxy-4-quinazolinyl) oxy] -2-fluorophenyl} urea;(90) N-(втор-бутил)-N’-{4-[(6,7-диметокси-4-хиназолинил)окси]-2-фторфенил}мочевина;(90) N- (sec-butyl) -N ’- {4 - [(6,7-dimethoxy-4-quinazolinyl) oxy] -2-fluorophenyl} urea;(91) N-аллил-N’-{4-[(6,7-диметокси-4-хиназолинил)окси]-2-фторфенил}мочевина;(91) N-allyl-N ’- {4 - [(6,7-dimethoxy-4-quinazolinyl) oxy] -2-fluorophenyl} urea;(92) N-{4-[(6,7-диметокси-4-хиназолинил)окси]-2-фторфенил}-N’-(2-пропинил)мочевина;(92) N- {4 - [(6,7-dimethoxy-4-quinazolinyl) oxy] -2-fluorophenyl} -N ’- (2-propynyl) urea;(93) N-(2,4-дифторбензил)-N’-{4-[(6,7-диметокси-4-хиназолинил)окси]-2-фторфенил}мочевина;(93) N- (2,4-difluorobenzyl) -N ’- {4 - [(6,7-dimethoxy-4-quinazolinyl) oxy] -2-fluorophenyl} urea;(94) N-(2,4-дифторфенил)-N’-{4-[(6,7-диметокси-4-хиназолинил)окси]-2-фторфенил}мочевина;(94) N- (2,4-difluorophenyl) -N ’- {4 - [(6,7-dimethoxy-4-quinazolinyl) oxy] -2-fluorophenyl} urea;(95) N-{4-[(6,7-диметокси-4-хиназолинил)окси]-2-фторфенил}-N’-(2-метилфенил)мочевина;(95) N- {4 - [(6,7-dimethoxy-4-quinazolinyl) oxy] -2-fluorophenyl} -N ’- (2-methylphenyl) urea;(96) N-{4-[(6,7-диметокси-4-хиназолинил)окси]-2-фторфенил}-N’-(2-метоксифенил)мочевина;(96) N- {4 - [(6,7-dimethoxy-4-quinazolinyl) oxy] -2-fluorophenyl} -N ’- (2-methoxyphenyl) urea;(97) N-{4-[(6,7-диметокси-4-хиназолинил)окси]-3-метилфенил}-N’-пропилмочевина;(97) N- {4 - [(6,7-dimethoxy-4-quinazolinyl) oxy] -3-methylphenyl} -N’-propylurea;(98) N-бутил-N’-{4-[(6,7-диметокси-4-хиназолинил)окси]-3-метилфенил}мочевина;(98) N-butyl-N ’- {4 - [(6,7-dimethoxy-4-quinazolinyl) oxy] -3-methylphenyl} urea;(99) N-(2,4-дифторфенил)-N’-{4-[(6,7-диметокси-4-хиназолинил)окси]-3-метилфенил}мочевина;(99) N- (2,4-difluorophenyl) -N ’- {4 - [(6,7-dimethoxy-4-quinazolinyl) oxy] -3-methylphenyl} urea;(100) N-{4-[(6,7-диметокси-4-хиназолинил)окси]-3-метилфенил)-N’-(4-фторфенил)мочевина;(100) N- {4 - [(6,7-dimethoxy-4-quinazolinyl) oxy] -3-methylphenyl) -N ’- (4-fluorophenyl) urea;(101) N-{4-[(6,7-диметокси-4-хиназолинил)окси]-3-метилфенил}-N’-(2-метоксифенил)мочевина;(101) N- {4 - [(6,7-dimethoxy-4-quinazolinyl) oxy] -3-methylphenyl} -N ’- (2-methoxyphenyl) urea;(102) N-{4-[(6,7-диметокси-4-хиназолинил)окси]-2-метилфенил}-N’-пропилмочевина;(102) N- {4 - [(6,7-dimethoxy-4-quinazolinyl) oxy] -2-methylphenyl} -N’-propylurea;(103) N-бутил-N’-{4-[(6,7-диметокси-4-хиназолинил)окси]-2-метилфенил}мочевина;(103) N-butyl-N ’- {4 - [(6,7-dimethoxy-4-quinazolinyl) oxy] -2-methylphenyl} urea;(104) N-(2,4-дифторфенил)-N’-(4-[(6,7-диметокси-4-хиназолинил)окси]-2-метилфенил}мочевина;(104) N- (2,4-difluorophenyl) -N ’- (4 - [(6,7-dimethoxy-4-quinazolinyl) oxy] -2-methylphenyl} urea;(105) N-{4-[(6,7-диметокси-4-хиназолинил)окси]-2-метилфенил}-N’-(4-фторфенил)мочевина;(105) N- {4 - [(6,7-dimethoxy-4-quinazolinyl) oxy] -2-methylphenyl} -N ’- (4-fluorophenyl) urea;(106) N-{4-[(6r7-диметокси-4-хиназолинил)окси]-2-метилфенил}-N’-(2-метоксифенил)мочевина;(106) N- {4 - [(6r 7-dimethoxy-4-quinazolinyl) oxy] -2-methylphenyl} -N '- (2-methoxyphenyl) urea;(107) N-{4-[(6,7-диметокси-4-хиназолинил)окси]-2-нитрофенил}-N’-пропилмочевина;(107) N- {4 - [(6,7-dimethoxy-4-quinazolinyl) oxy] -2-nitrophenyl} -N’-propylurea;(108) N-бутил-N’-{4-[(6,7-диметокси-4-хиназолинил)окси]-2-нитрофенил}мочевина;(108) N-butyl-N ’- {4 - [(6,7-dimethoxy-4-quinazolinyl) oxy] -2-nitrophenyl} urea;(117) N-{2-хлор-4-[(6,7-диметокси-4-хиназолинил)окси]фенил}-N’-метилмочевина;(117) N- {2-chloro-4 - [(6,7-dimethoxy-4-quinazolinyl) oxy] phenyl} -N’-methylurea;(119) N-(2-хлор-4-{[6-метокси-7-(3-морфолинопропокси)-4-хиназолинил]окси}фенил)-N’-пропилмочевина;(119) N- (2-chloro-4 - {[6-methoxy-7- (3-morpholinopropoxy) -4-quinazolinyl] oxy} phenyl) -N’-propylurea;(120) N-(2-хлор-4-{[6-метокси-7-(2-морфолиноэтокси)-4-хиназолинил]окси}фенил)-N’-пропилмочевина;(120) N- (2-chloro-4 - {[6-methoxy-7- (2-morpholinoethoxy) -4-quinazolinyl] oxy} phenyl) -N’-propylurea;(121) N-(2-хлор-4-{[7-(3-гидроксипропокси)-6-метокси-4-хиназолинил]окси}фенил)-N’-пропилмочевина;(121) N- (2-chloro-4 - {[7- (3-hydroxypropoxy) -6-methoxy-4-quinazolinyl] oxy} phenyl) -N’-propylurea;(122) N-(2-хлор-4-{[7-(2-гидроксиэтокси)-6-метокси-4-хиназолинил]окси}фенил)-N’-пропилмочевина;(122) N- (2-chloro-4 - {[7- (2-hydroxyethoxy) -6-methoxy-4-quinazolinyl] oxy} phenyl) -N’-propylurea;(123) N-(2-хлор-4-{[6-метокси-7-(4-пиридилметокси)-4-хиназолинил]окси}фенил)-N’-пропилмочевина;(123) N- (2-chloro-4 - {[6-methoxy-7- (4-pyridylmethoxy) -4-quinazolinyl] oxy} phenyl) -N’-propylurea;(124) N-[2-хлор-4-({6-метокси-7-[(5-морфолинопентил)окси]-4-хиназолинил}окси)фенил]-N’-пропилмочевина;(124) N- [2-chloro-4 - ({6-methoxy-7 - [(5-morpholinopentyl) oxy] -4-quinazolinyl} oxy) phenyl] -N’-propylurea;(125) N-{2-хлор-4-[(6-метокси-7-{[5-(1H-1,2,3-триазол-1-ил)пентил]окси]-4-хиназолинил)окси]фенил}-N’-пропилмочевина;(125) N- {2-chloro-4 - [(6-methoxy-7 - {[5- (1H-1,2,3-triazol-1-yl) pentyl] oxy] -4-quinazolinyl) oxy] phenyl} -N'-propylurea;(127) N-(2-хлор-4-{[6-метокси-7-(4-морфолинобутокси)-4-хиназолинил]окси}фенил)-N’-пропилмочевина;(127) N- (2-chloro-4 - {[6-methoxy-7- (4-morpholinobutoxy) -4-quinazolinyl] oxy} phenyl) -N’-propylurea;(128) N-[2-хлор-4-({6-метокси-7-[2-(4-метилпиперазин)-этокси]-4-хиназолинил}окси)фенил]-N’-пропилмочевина;(128) N- [2-chloro-4 - ({6-methoxy-7- [2- (4-methylpiperazine) ethoxy] -4-quinazolinyl} oxy) phenyl] -N’-propylurea;(129) N-{2-хлор-4-[(7-{2-[(2-гидроксиэтил)(метил)-амино]этокси}-6-метокси-4-хиназолинил)окси]фенил}-N’-пропилмочевина;(129) N- {2-chloro-4 - [(7- {2 - [(2-hydroxyethyl) (methyl) amino] ethoxy} -6-methoxy-4-quinazolinyl) oxy] phenyl} -N'- propylurea;(130) N-[2-хлор-4-({6-метокси-7-[3-(4-метилпиперазин)пропокси]-4-хиназолинил}окси)фенил]-N’-пропилмочевина;(130) N- [2-chloro-4 - ({6-methoxy-7- [3- (4-methylpiperazine) propoxy] -4-quinazolinyl} oxy) phenyl] -N’-propylurea;(133) N-[2-хлор-4-({6-метокси-7-[3-(4-пиридилтио)пропокси]-4-хиназолинил}окси)фенил]-N’-пропилмочевина;(133) N- [2-chloro-4 - ({6-methoxy-7- [3- (4-pyridylthio) propoxy] -4-quinazolinyl} oxy) phenyl] -N’-propylurea;(134) N-{2-хлор-4-[(6-метокси-7-{3-[(1-метил-1Н-1,2,3,4-тетразол-5-ил)тио]пропокси}-4-хиназолинил)окси]фенил}-N’-пропилмочевина;(134) N- {2-chloro-4 - [(6-methoxy-7- {3 - [(1-methyl-1H-1,2,3,4-tetrazol-5-yl) thio] propoxy} - 4-quinazolinyl) hydroxy] phenyl} -N'-propylurea;(135) N-(2-хлор-4-{[6-метокси-7-(3-пиперидинопропокси)-4-хиназолинил]окси}фенил)-N’-пропилмочевина;(135) N- (2-chloro-4 - {[6-methoxy-7- (3-piperidinopropoxy) -4-quinazolinyl] oxy} phenyl) -N’-propylurea;(136) N-[2-хлор-4-({7-метокси-6-[2-(4-метилпиперазин)-этокси]-4-хиназолинил}окси)фенил]-N’-пропилмочевина;(136) N- [2-chloro-4 - ({7-methoxy-6- [2- (4-methylpiperazine) ethoxy] -4-quinazolinyl} oxy) phenyl] -N’-propylurea;(137) N-[2-хлор-4-({7-метокси-6-[3-(4-метилпиперазин)пропокси]-4-хиназолинил}окси)фенил]-N’-пропилмочевина;(137) N- [2-chloro-4 - ({7-methoxy-6- [3- (4-methylpiperazine) propoxy] -4-quinazolinyl} oxy) phenyl] -N’-propylurea;(138) N-(2-хлор-4-{[7-метокси-6-(2-пиридилметокси)-4-хиназолинил]окси}фенил)-N’-пропилмочевина;(138) N- (2-chloro-4 - {[7-methoxy-6- (2-pyridylmethoxy) -4-quinazolinyl] oxy} phenyl) -N’-propylurea;(139) N-(2-хлор-4-{[7-метокси-6-(3-морфолинопропокси)-4-хиназолинил]окси}фенил)-N’-пропилмочевина;(139) N- (2-chloro-4 - {[7-methoxy-6- (3-morpholinopropoxy) -4-quinazolinyl] oxy} phenyl) -N’-propylurea;(140) N-{2-хлор-4-[(6-{3-(2-гидроксиэтил)-(метил)-амино]пропокси}-7-метокси-4-хиназолинил)окси]фенил}-N’-пропилмочевина;(140) N- {2-chloro-4 - [(6- {3- (2-hydroxyethyl) - (methyl) amino] propoxy} -7-methoxy-4-quinazolinyl) oxy] phenyl} -N'- propylurea;(141) N-(2-хлор-4-{[6-метокси-7-(2-пиридил-метокси)-4-хинолил]окси}фенил)-N’-пропилмочевина;(141) N- (2-chloro-4 - {[6-methoxy-7- (2-pyridyl-methoxy) -4-quinolyl] oxy} phenyl) -N’-propylurea;(142) N-(2-хлор-4-{[6-метокси-7-(3-пиридилметокси)-4-хинолил]окси}фенил)-N’-пропилмочевина;(142) N- (2-chloro-4 - {[6-methoxy-7- (3-pyridylmethoxy) -4-quinolyl] oxy} phenyl) -N’-propylurea;(143) N-(2-хлор-4-{[6-метокси-7-(4-пиридилметокси)-4-хинолил]окси}фенил)-N’-пропилмочевина;(143) N- (2-chloro-4 - {[6-methoxy-7- (4-pyridylmethoxy) -4-quinolyl] oxy} phenyl) -N’-propylurea;(144) N-(2-хлор-4-{[6-метокси-7-(2-морфолиноэтокси)-4-хинолил]окси}фенил)-N’-пропилмочевина;(144) N- (2-chloro-4 - {[6-methoxy-7- (2-morpholinoethoxy) -4-quinolyl] oxy} phenyl) -N’-propylurea;(145) N-[2-хлор-4-({6-метокси-7-[2-(1H-1,2,3-триазол-1-ил)этокси]-4-хинолил}окси)фенил]-N’-пропилмочевина;(145) N- [2-chloro-4 - ({6-methoxy-7- [2- (1H-1,2,3-triazol-1-yl) ethoxy] -4-quinolyl} oxy) phenyl] - N'-propylurea;(146) N-[2-хлор-4-({7-[2-(1H-1-имидазолил)этокси]-6-метокси-4-хинолил}окси)фенил]-N’-пропилмочевина;(146) N- [2-chloro-4 - ({7- [2- (1H-1-imidazolyl) ethoxy] -6-methoxy-4-quinolyl} oxy) phenyl] -N’-propylurea;(147) N-(2-хлор-4-{[7-(3-гидроксипропокси)-6-метокси-4-хинолил]окси}фенил)-N’-пропилмочевина;(147) N- (2-chloro-4 - {[7- (3-hydroxypropoxy) -6-methoxy-4-quinolyl] oxy} phenyl) -N’-propylurea;(148) N-[2-хлор-4-({6-метокси-7-[2-(4-метилпиперазин)-этокси]-4-хинолил}окси)фенил]-N’-пропилмочевина;(148) N- [2-chloro-4 - ({6-methoxy-7- [2- (4-methylpiperazine) ethoxy] -4-quinolyl} oxy) phenyl] -N’-propylurea;(149) N-(2-хлор-4-{[7-(2-гидроксиэтокси)-6-метокси-4-хинолил]окси}фенил)-N’-пропилмочевина;(149) N- (2-chloro-4 - {[7- (2-hydroxyethoxy) -6-methoxy-4-quinolyl] oxy} phenyl) -N’-propylurea;(150) N-{2-хлор-4-[(7-{2-[(2-гидроксиэтил)-(метил)-амино]этокси}-6-метокси-4-хинолил)окси]фенил}-N’-пропилмочевина;(150) N- {2-chloro-4 - [(7- {2 - [(2-hydroxyethyl) - (methyl) amino] ethoxy} -6-methoxy-4-quinolyl) oxy] phenyl} -N ' propylurea;(151) N-(2-хлор-4-{[6-метокси-7-(3-морфолинопропокси)-4-хинолил]окси}фенил)-N’-пропилмочевина;(151) N- (2-chloro-4 - {[6-methoxy-7- (3-morpholinopropoxy) -4-quinolyl] oxy} phenyl) -N’-propylurea;(152) N-[2-хлор-4-(6-метокси-7-{[3-(4-метилпиперазин)пропокси]-4-хинолил}окси)фенил]-N’-пропилмочевина;(152) N- [2-chloro-4- (6-methoxy-7 - {[3- (4-methylpiperazine) propoxy] -4-quinolyl} oxy) phenyl] -N’-propylurea;(153) N-[2-хлор-4-(6-метокси-7-{[3-(1Н-1,2,3-триазол-1-ил)пропокси]-4-хинолил}окси)фенил]-N’-пропилмочевина;(153) N- [2-chloro-4- (6-methoxy-7 - {[3- (1H-1,2,3-triazol-1-yl) propoxy] -4-quinolyl} oxy) phenyl] - N'-propylurea;(154) N-[2-хлор-4-({7-[3-(1H-1-имидазолил)пропокси]-6-метокси-4-хинолил}окси)фенил]-N’-пропилмочевина;(154) N- [2-chloro-4 - ({7- [3- (1H-1-imidazolyl) propoxy] -6-methoxy-4-quinolyl} oxy) phenyl] -N’-propylurea;(155) N-{2-хлор-4-[(7-{2-[ди(2-гидроксиэтил)амино]-этокси}-6-метокси-4-хинолил)окси]фенил}-N’-пропилмочевина;(155) N- {2-chloro-4 - [(7- {2- [di (2-hydroxyethyl) amino] ethoxy} -6-methoxy-4-quinolyl) oxy] phenyl} -N’-propylurea;(156) N-{2-хлор-4-[(7-{3-[ди(2-гидроксиэтил)амино]-пропокси}-6-метокси-4-хинолил)окси]фенил}-N’-пропилмочевина;(156) N- {2-chloro-4 - [(7- {3- [di (2-hydroxyethyl) amino] propoxy} -6-methoxy-4-quinolyl) oxy] phenyl} -N’-propylurea;(157) N-{2-хлор-4-[(7-{3-[(2-гидроксиэтил)-(метил)амино]-пропокси}-6-метокси-4-хинолил)окси]фенил}-N’-пропилмочевина;(157) N- {2-chloro-4 - [(7- {3 - [(2-hydroxyethyl) - (methyl) amino] propoxy} -6-methoxy-4-quinolyl) oxy] phenyl} -N ' propylurea;(158) N-[2-хлор-4-({6-метокси-7-[4-(1Н-1,2,3-триазол-1-ил)бутокси]-4-хинолил}окси)фенил]-N’-пропилмочевина;(158) N- [2-chloro-4 - ({6-methoxy-7- [4- (1H-1,2,3-triazol-1-yl) butoxy] -4-quinolyl} oxy) phenyl] - N'-propylurea;(159) N-{2-хлор-4-[(6-метокси-7-{[5-(1H-1,2,3-триазол-1-ил)пентил]окси}-4-хинолил)окси]фенил}-N’-пропилмочевина;(159) N- {2-chloro-4 - [(6-methoxy-7 - {[5- (1H-1,2,3-triazol-1-yl) pentyl] oxy} -4-quinolyl) oxy] phenyl} -N'-propylurea;(160) N-[2-хлор-4-({7-[4-(1H-1-имидазолил)бутокси]-6-метокси-4-хинолил}окси)фенил]-N’-пропилмочевина;(160) N- [2-chloro-4 - ({7- [4- (1H-1-imidazolyl) butoxy] -6-methoxy-4-quinolyl} oxy) phenyl] -N’-propylurea;(161) N-(2-хлор-4-{[6-метокси-7-(4-пиридилметокси)-4-хиназолинил]окси}фенил)-N’-(2,4-дифтор-фенил)мочевина;(161) N- (2-chloro-4 - {[6-methoxy-7- (4-pyridylmethoxy) -4-quinazolinyl] oxy} phenyl) -N ’- (2,4-difluoro-phenyl) urea;(162) N-(2-хлор-4-{[6-метокси-7-(2-морфолиноэтокси)-4-хиназолинил]окси}фенил)-N’-(2,4-дифторфенил)мочевина;(162) N- (2-chloro-4 - {[6-methoxy-7- (2-morpholinoethoxy) -4-quinazolinyl] oxy} phenyl) -N ’- (2,4-difluorophenyl) urea;(163) N-(2-хлор-4-{[6-метокси-7-(3-морфолинопропокси)-4-хиназолинил]окси}фенил)-N’-(2,4-дифторфенил)мочевина;(163) N- (2-chloro-4 - {[6-methoxy-7- (3-morpholinopropoxy) -4-quinazolinyl] oxy} phenyl) -N ’- (2,4-difluorophenyl) urea;(164) N-[2-хлор-4-({6-метокси-7-[3-(4-метилпиперазино)пропокси]-4-хиназолинил}окси)фенил)-N’-(2,4-дифторфенил)мочевина;(164) N- [2-chloro-4 - ({6-methoxy-7- [3- (4-methylpiperazino) propoxy] -4-quinazolinyl} oxy) phenyl) -N '- (2,4-difluorophenyl) urea;(165) N-{2-хлор-4-[(7-{3-[(2-гидроксиэтил)-(метил)амино]-пропокси}-6-метокси-4-хиназолинил)окси]фенил}-N’-(2,4-дифторфенил)мочевина;(165) N- {2-chloro-4 - [(7- {3 - [(2-hydroxyethyl) - (methyl) amino] propoxy} -6-methoxy-4-quinazolinyl) oxy] phenyl} -N ' - (2,4-difluorophenyl) urea;(166) N-[2-хлор-4-({6-метокси-7-[2-(4-метилпиперазино)-этокси]-4-хинолил}окси)фенил]-N’-(2,4-дифторфенил)мочевина;(166) N- [2-chloro-4 - ({6-methoxy-7- [2- (4-methylpiperazino) ethoxy] -4-quinolyl} oxy) phenyl] -N '- (2,4-difluorophenyl )urea;(167) N-{2-xлop-4-[(7-{2-[(2-гидроксиэтил)-(метил)-амино]этокси}-6-метокси-4-хинолил)окси]фенил}-N’-(2,4-дифторфенил)мочевина;(167) N- {2-chlorop-4 - [(7- {2 - [(2-hydroxyethyl) - (methyl) amino] ethoxy} -6-methoxy-4-quinolyl) oxy] phenyl} -N ' - (2,4-difluorophenyl) urea;(168) N-(2-хлор-4-{[6-метокси-7-(3-морфолинопропокси)-4-хинолил]окси}фенил)-N’-(2,4-дифторфенил)мочевина;(168) N- (2-chloro-4 - {[6-methoxy-7- (3-morpholinopropoxy) -4-quinolyl] oxy} phenyl) -N ’- (2,4-difluorophenyl) urea;(169) N-(2-хлор-4-{[6-метокси-7-(3-пиридилметокси)-4-хинолил]окси}фенил)-N’-(2,4-дифторфенил)мочевина;(169) N- (2-chloro-4 - {[6-methoxy-7- (3-pyridylmethoxy) -4-quinolyl] oxy} phenyl) -N ’- (2,4-difluorophenyl) urea;(170) N-(2-хлор-4-({6-метокси-7-[2-(1H-1,2,3-триазол-1-ил)этокси]-4-хинолил}окси)фенил]-N’-(2,4-дифторфенил)мочевина;(170) N- (2-chloro-4 - ({6-methoxy-7- [2- (1H-1,2,3-triazol-1-yl) ethoxy] -4-quinolyl} oxy) phenyl] - N '- (2,4-difluorophenyl) urea;(171) N-(2-метокси-4-{[6-метокси-7-(3-морфолинопропокси)-4-хиназолинил]окси}фенил)-N’-пропилмочевина;(171) N- (2-methoxy-4 - {[6-methoxy-7- (3-morpholinopropoxy) -4-quinazolinyl] oxy} phenyl) -N’-propylurea;(172) N-(2,4-дифторфенил)-N’-(2-метокси-4-{[6-метокси-7-(3-морфолинопропокси)-4-хиназолинил]окси}-фенил)мочевина;(172) N- (2,4-difluorophenyl) -N ’- (2-methoxy-4 - {[6-methoxy-7- (3-morpholinopropoxy) -4-quinazolinyl] oxy} phenyl) urea;(173) N-(2-метокси-4-{[6-метокси-7-(3-морфолинопропокси)-4-хинолил]окси}фенил)-N’-пропилмочевина;(173) N- (2-methoxy-4 - {[6-methoxy-7- (3-morpholinopropoxy) -4-quinolyl] oxy} phenyl) -N’-propylurea;(174) N-(2-метокси-4-{[6-метокси-7-(4-пиридилметокси)-4-хинолил]окси}фенил)-N’-пропилмочевина;(174) N- (2-methoxy-4 - {[6-methoxy-7- (4-pyridylmethoxy) -4-quinolyl] oxy} phenyl) -N’-propylurea;(175) N-этил-N’-(4-{[6-метокси-7-(2-морфолиноэтокси)-4-хинолил]окси}-2,5-диметилфенил)мочевина;(175) N-ethyl-N ’- (4 - {[6-methoxy-7- (2-morpholinoethoxy) -4-quinolyl] oxy} -2,5-dimethylphenyl) urea;(176) N-[4-({6-метокси-7-[3-(4-метилпиперазин)пропокси]-4-хинолил}окси)-2,5-диметилфенил]-N’-пропилмочевина;(176) N- [4 - ({6-methoxy-7- [3- (4-methylpiperazine) propoxy] -4-quinolyl} oxy) -2,5-dimethylphenyl] -N’-propylurea;(177) N-(2,4-дифторфенил)-N’-[4-({6-метокси-7-[2-(1Н-1,2,3-триазол-1-ил)этокси]-4-хинолил}окси)-2,5-диметилфенил]мочевина;(177) N- (2,4-difluorophenyl) -N '- [4 - ({6-methoxy-7- [2- (1H-1,2,3-triazol-1-yl) ethoxy] -4- quinolyl} oxy) -2,5-dimethylphenyl] urea;(184) N-(2-хлор-4-{[6-метокси-7-(3-пиперидинопропокси)-4-хиназолинил]окси}фенил)-N’-метилмочевина;(184) N- (2-chloro-4 - {[6-methoxy-7- (3-piperidinopropoxy) -4-quinazolinyl] oxy} phenyl) -N’-methylurea;(185) N-(2-хлор-4-{[6-метокси-7-(3-пиперидинопропокси)-4-хиназолинил]окси}фенил)-N’-этилмочевина;(185) N- (2-chloro-4 - {[6-methoxy-7- (3-piperidinopropoxy) -4-quinazolinyl] oxy} phenyl) -N’-ethylurea;(186) N-(2-хлор-4-{[6-метокси-7-(4-пиридилметокси)-4-хинолил]окси}фенил)-N’-(2,4-дифторфенил)мочевина.(186) N- (2-chloro-4 - {[6-methoxy-7- (4-pyridylmethoxy) -4-quinolyl] oxy} phenyl) -N ’- (2,4-difluorophenyl) urea.15. Соединение по любому из пп.1-14 или его фармацевтически приемлемая соль или сольват в качестве активного ингредиента терапевтического агента для лечения заболевания, выбранного из группы, включающей злокачественную опухоль, диабетическую ретинопатию, хронический ревматизм, псориаз, атеросклероз и саркому Капоши.15. The compound according to any one of claims 1 to 14, or a pharmaceutically acceptable salt or solvate thereof, as an active ingredient in a therapeutic agent for treating a disease selected from the group consisting of a malignant tumor, diabetic retinopathy, chronic rheumatism, psoriasis, atherosclerosis, and Kaposi’s sarcoma.16. Фармацевтическая композиция, ингибирующая активацию митоген-активированной протеинкиназы, содержащая в качестве активного ингредиента соединение по любому из пп.1-14 или его фармацевтически приемлемую соль или сольват.16. A pharmaceutical composition that inhibits the activation of mitogen-activated protein kinase containing, as an active ingredient, a compound according to any one of claims 1 to 14 or a pharmaceutically acceptable salt or solvate thereof.17. Фармацевтическая композиция по п.16 для лечения заболевания, выбранного из группы, включающей злокачественную опухоль, диабетическую ретинопатию, хронический ревматизм, псориаз, атеросклероз и саркому Капоши.17. The pharmaceutical composition of claim 16 for treating a disease selected from the group consisting of a malignant tumor, diabetic retinopathy, chronic rheumatism, psoriasis, atherosclerosis, and Kaposi’s sarcoma.18. Способ лечения заболевания, выбранного из группы, включающей злокачественную опухоль, диабетическую ретинопатию, хронический ревматизм, псориаз, атеросклероз и саркому Капоши, включающий стадию введения млекопитающему эффективного количества соединения по любому из пп.1-14, или его фармацевтически приемлемой соли или сольвата, вместе с фармацевтически приемлемым носителем.18. A method of treating a disease selected from the group comprising a malignant tumor, diabetic retinopathy, chronic rheumatism, psoriasis, atherosclerosis and Kaposi’s sarcoma, comprising the step of administering to the mammal an effective amount of a compound according to any one of claims 1-14, or a pharmaceutically acceptable salt or solvate thereof , together with a pharmaceutically acceptable carrier.19. Способ ингибирования ангиогенеза целевых кровеносных сосудов, включающий стадию приведения в контакт соединения по любому из пп.1-14, или его фармацевтически приемлемой соли или сольвата, с эндотелиальными клетками целевых кровеносных сосудов.19. A method of inhibiting angiogenesis of target blood vessels, comprising the step of contacting a compound according to any one of claims 1 to 14, or a pharmaceutically acceptable salt or solvate thereof, with endothelial cells of the target blood vessels.20. Соединение, представленное формулой (Iа), или его фармацевтически приемлемая соль или сольват:20. The compound represented by formula (Ia), or a pharmaceutically acceptable salt or solvate thereof:
Figure 00000029
где Х представляет собой N; R21 и R22, которые могут быть одинаковыми или различными, представляют собой незамещенную C1-6алкокси; R23, R25 и R26 представляют собой атом водорода, R24 представляет собой атом галогена; R27 и R28 представляют собой атом водорода; R29 представляет собой C1-6алкил, С2-6алкенил или С2-6алкинил.
Figure 00000029
where X represents N; R21 and R22 , which may be the same or different, are unsubstituted C1-6 alkoxy; R23 , R25 and R26 represent a hydrogen atom, R24 represents a halogen atom; R27 and R28 represent a hydrogen atom; R29 represents C1-6 alkyl, C2-6 alkenyl or C2-6 alkynyl.
21. Соединение по п.20, где R21 и R22 представляют собой метокси.21. The compound according to claim 20, where R21 and R22 are methoxy.22. Соединение по п.20, представляющее собой N-{2-хлор-4-[(6,7-диметокси-4-хиназолинил)окси]фенил}-N’-пропилмочевину или ее фармацевтическую соль или сольват.22. The compound according to claim 20, representing N- {2-chloro-4 - [(6,7-dimethoxy-4-quinazolinyl) oxy] phenyl} -N’-propylurea or its pharmaceutical salt or solvate.
RU2001123434/04A1999-01-222000-01-20Quinoline and quinazoline derivativesRU2256654C2 (en)

Applications Claiming Priority (7)

Application NumberPriority DateFiling DateTitle
JP11/148581999-01-22
JP14858991999-01-22
JP26691991999-02-03
JP11/266911999-02-03
JP11/1424931999-05-21
JP253624991999-09-07
JP11/2536241999-09-07

Publications (2)

Publication NumberPublication Date
RU2001123434A RU2001123434A (en)2003-09-10
RU2256654C2true RU2256654C2 (en)2005-07-20

Family

ID=35842735

Family Applications (1)

Application NumberTitlePriority DateFiling Date
RU2001123434/04ARU2256654C2 (en)1999-01-222000-01-20Quinoline and quinazoline derivatives

Country Status (1)

CountryLink
RU (1)RU2256654C2 (en)

Cited By (5)

* Cited by examiner, † Cited by third party
Publication numberPriority datePublication dateAssigneeTitle
RU2362771C1 (en)*2005-08-242009-07-27Эйсай Ар Энд Ди Менеджмент Ко., Лтд.Novel pyridine derivative and derivative of pyrimidine (3)
RU2464263C2 (en)*2005-10-032012-10-20Ниппон Синяку Ко., Лтд.Quinazoline derivative and pharmaceutical preparation
EA017702B1 (en)*2007-08-092013-02-28Тайджен Байотекнолоджи Ко., Лтд.Method for treating infectious disease
RU2573834C2 (en)*2010-08-282016-01-27Лид Дискавери Сентер ГмбхPHARMACEUTICALLY ACTIVE COMPOUNDS AS Axl INHIBITORS
RU2789405C2 (en)*2018-12-122023-02-02Тарапьютикс Сайенс Инк.Pan-kit kinase inhibitor having quinoline structure and its use

Families Citing this family (1)

* Cited by examiner, † Cited by third party
Publication numberPriority datePublication dateAssigneeTitle
CN101337931B (en)*2003-12-252010-09-29卫材R&D管理有限公司 The crystallization (I) of the acetate of the mesylate of quinoline carboxamide and its preparation method

Citations (2)

* Cited by examiner, † Cited by third party
Publication numberPriority datePublication dateAssigneeTitle
WO1997017329A1 (en)*1995-11-071997-05-15Kirin Beer Kabushiki KaishaQuinoline derivatives and quinazoline derivatives inhibiting autophosphorylation of growth factor receptor originating in platelet and pharmaceutical compositions containing the same
RU2111209C1 (en)*1992-03-111998-05-20Зенека ЛимитедQuinazoline derivatives, method of their synthesis and pharmaceutical composition based on thereof

Patent Citations (2)

* Cited by examiner, † Cited by third party
Publication numberPriority datePublication dateAssigneeTitle
RU2111209C1 (en)*1992-03-111998-05-20Зенека ЛимитедQuinazoline derivatives, method of their synthesis and pharmaceutical composition based on thereof
WO1997017329A1 (en)*1995-11-071997-05-15Kirin Beer Kabushiki KaishaQuinoline derivatives and quinazoline derivatives inhibiting autophosphorylation of growth factor receptor originating in platelet and pharmaceutical compositions containing the same

Cited By (5)

* Cited by examiner, † Cited by third party
Publication numberPriority datePublication dateAssigneeTitle
RU2362771C1 (en)*2005-08-242009-07-27Эйсай Ар Энд Ди Менеджмент Ко., Лтд.Novel pyridine derivative and derivative of pyrimidine (3)
RU2464263C2 (en)*2005-10-032012-10-20Ниппон Синяку Ко., Лтд.Quinazoline derivative and pharmaceutical preparation
EA017702B1 (en)*2007-08-092013-02-28Тайджен Байотекнолоджи Ко., Лтд.Method for treating infectious disease
RU2573834C2 (en)*2010-08-282016-01-27Лид Дискавери Сентер ГмбхPHARMACEUTICALLY ACTIVE COMPOUNDS AS Axl INHIBITORS
RU2789405C2 (en)*2018-12-122023-02-02Тарапьютикс Сайенс Инк.Pan-kit kinase inhibitor having quinoline structure and its use

Similar Documents

PublicationPublication DateTitle
EP1153920B1 (en)Quinoline derivatives and quinazoline derivatives
EP1382604B1 (en)Quinoline derivative having azolyl group and quinazoline derivative
AU2002313249B2 (en)Quinoline derivative and quinazoline derivate inhibiting self-phosphorylation of hepatocytus proliferator receptor, and medicinal composition containing the same
CN107556295B (en)Quinazoline derivatives and process for their preparation
US8735409B2 (en)Quinazoline derivatives
KR101421786B1 (en)Naphthalene carboxamide derivatives as inhibitors of protein kinase and histone deacetylase, preparation methods and uses thereof
RU2262935C2 (en)Derivatives of quinazoline as inhibitors of angiogenesis
US20080300248A1 (en)Quinazoline Derivatives, Preparation Methods and Uses Thereof
KR20030082537A (en)Quinazoline derivatives as kinase inhibitors
JP2009514947A (en) Quinazoline derivatives as multiple inhibitors and process for producing the same
RU2256654C2 (en)Quinoline and quinazoline derivatives
KR102379959B1 (en) Novel 2,4,6-trisubstituted-s-triazine compound, preparation method and use thereof
MXPA01007251A (en)Quinoline derivatives and quinazoline derivatives
HK1221720B (en)Quinazoline derivative and preparation method therefor

Legal Events

DateCodeTitleDescription
PD4ACorrection of name of patent owner
PC4AInvention patent assignment

Effective date:20081031

HK4AChanges in a published invention
MM4AThe patent is invalid due to non-payment of fees

Effective date:20110121


[8]ページ先頭

©2009-2025 Movatter.jp