
Изобретение относится к робототехнике и может быть использовано при создании систем управления приводами роботов. The invention relates to robotics and can be used to create robot drive control systems.
Известно устройство для управления приводом робота, содержащее последовательно соединенные первый и второй сумматоры, первый блок умножения, третий сумматор, усилитель и двигатель, связанный с первым датчиком скорости непосредственно и через редуктор с первым датчиком положения, выход которого подключен к первому входу первого сумматора, соединенного вторым входом с входом устройства, последовательно подключенные релейный элемент и четвертый сумматор, второй вход которого подключен к входу релейного элемента, второму входу второго сумматора и выходу первого датчика скорости, выход - к второму входу третьего сумматора, последовательно соединенные первый задатчик сигнала и пятый сумматор, а также второй датчик скорости, датчик массы, второй задатчик сигнала, квадратор, шестой сумматор и с второго по пятый блоки умножения, датчик ускорения, а также первый и второй функциональные преобразователи, вход каждого из которых соединен с выходом первого датчика положения, выход датчика массы подключен к второму входу первого блока умножения, первому входу шестого сумматора и второму входу пятого сумматора, соединенного выходом с первыми входами второго и третьего блоков умножения, второй вход каждого из которых подключен соответственно к выходам первого и второго функционального преобразователя, а их выходы - соответственно к второму входу шестого сумматора и первому входу четвертого блока умножения, соединенного вторым входом через квадратор с выходом второго датчика скорости, а выходом - с третьим входом четвертого сумматора, четвертый вход которого подключен к выходу пятого блока умножения, соединенного первым входом с выходом датчика ускорения, а вторым входом - с выходом шестого сумматора, третий вход которого подключен к выходу второго задатчика сигнала, а выход второго сумматора соединен с третьим входом третьего сумматора, последовательно соединенные второй датчик положения, седьмой сумматор, второй вход которого подключен к выходу первого датчика положения, третий функциональный преобразователь и шестой блок умножения, второй вход которого подключен к выходу пятого сумматора, а выход - к пятому входу четвертого сумматора (см. патент РФ N 2028930, БИ N 5, 1995 г.). A device for controlling a robot drive is known, comprising first and second adders connected in series, a first multiplication unit, a third adder, an amplifier and an engine connected to the first speed sensor directly and via a gearbox with a first position sensor, the output of which is connected to the first input of the first adder connected the second input with the input of the device, the relay element and the fourth adder connected in series, the second input of which is connected to the input of the relay element, the second input of the second the adder and the output of the first speed sensor, the output is to the second input of the third adder, the first signal pickup and the fifth adder are connected in series, as well as the second speed sensor, the mass sensor, the second signal pickup, the quadrator, the sixth adder and the second to fifth multiplication units, the sensor acceleration, as well as the first and second functional converters, the input of each of which is connected to the output of the first position sensor, the output of the mass sensor is connected to the second input of the first multiplication unit, the first input of the sixth adder and the second input of the fifth adder connected by the output to the first inputs of the second and third multiplication units, the second input of each of which is connected respectively to the outputs of the first and second functional converter, and their outputs, respectively, to the second input of the sixth adder and the first input of the fourth multiplication unit connected by the second the input through the quadrator with the output of the second speed sensor, and the output with the third input of the fourth adder, the fourth input of which is connected to the output of the fifth multiplication unit, connected the first input with the output of the acceleration sensor, and the second input with the output of the sixth adder, the third input of which is connected to the output of the second signal generator, and the output of the second adder is connected to the third input of the third adder, the second position sensor is connected in series, the seventh adder, the second input of which is connected to the output of the first position sensor, a third functional converter and a sixth multiplication unit, the second input of which is connected to the output of the fifth adder, and the output to the fifth input of the fourth adder (see RF patent N 2028930, BI N 5, 1995).
Недостатком данного устройства является то, что в нем не учтены, полагаясь малой, электрическая постоянная времени электродвигателя. Поэтому это устройство не будет обеспечивать требуемую точность и устойчивость работы, если используемые электродвигатели имеют большую электрическую постоянную времени. The disadvantage of this device is that it does not take into account, relying on a small, electric time constant of the electric motor. Therefore, this device will not provide the required accuracy and stability if the electric motors used have a large electric time constant.
Известно также устройство для управления приводом робота, содержащее последовательно соединенный первый сумматор, второй сумматор, первый блок умножения, третий сумматор, усилитель и двигатель, связанный с первым датчиком скорости непосредственно и через редуктор - с первым датчиком положения, выход которого подключен к первому входу первого сумматора, соединенного вторым входом с входом устройства, последовательно подключенные релейный элемент и четвертый сумматор, второй вход которого подключен к входу релейного элемента, второму входу второго сумматора и выходу первого датчика скорости, выход - к второму входу третьего сумматора, последовательно соединенные первый задатчик сигнала и пятый сумматор, а также второй датчик скорости, датчик массы, второй задатчик сигнала, квадратор, шестой сумматор, с второго по пятый блоки умножения, первый датчик ускорения, а также первый и второй функциональные преобразователи, вход каждого из которых соединен с выходом датчика положения, выход датчика массы подключен к второму входу первого блока умножения, первому входу шестого сумматора и второму входу пятого сумматора, соединенного выходом с первыми входами второго и третьего блоков умножения, второй вход каждого из которых подключен соответственно к выходу первого и второго функционального преобразователя, а их выходы - соответственно к второму входу шестого сумматора и первому входу четвертого блока умножения, соединенного вторым входом через квадратор с выходом второго датчика скорости, а выходом - с третьим входом четвертого сумматора, четвертый вход которого подключен к выходу пятого блока умножения, соединенного первым входом с выходом первого датчика ускорения, а вторым входом - с выходом шестого сумматора, третий вход которого подключен к выходу второго задатчика сигнала, а выход второго сумматора соединен с третьим входом третьего сумматора, второй датчик ускорения, установленный на валу двигателя и выходом подключенный к четвертому входу третьего сумматора, последовательно соединенные седьмой сумматор, первый вход которого подключен к выходу второго датчика скорости, шестой блок умножения, второй вход которого подключен к выходу первого датчика ускорения, седьмой блок умножения, второй вход которого соединен с выходом второго функционального преобразователя, восьмой сумматор, восьмой блок умножения, второй вход которого подключен к выходу пятого сумматора, и девятый сумматор, второй вход которого через последовательно соединенные дифференциатор и девятый блок умножения подключен к выходу первого датчика ускорения, а его выход - к пятому входу третьего сумматора, последовательно соединенные десятый и одиннадцатый блоки умножения, причем второй вход девятого блока умножения подключен к выходу шестого сумматора, первый и второй входы десятого блока умножения - соответственно к выходам квадратора и первого функционального преобразователя, второй вход одиннадцатого блока умножения - к выходу первого датчика скорости и второму входу седьмого сумматора, а его выход - к второму входу восьмого сумматора которого подключен к выходу первого датчика 9 положения, третий функциональный преобразователь 39, двенадцатый 40 и тринадцатый 41 (см. патент РФ N 2057001, БИ N 9, 1996 г.). A device for controlling a robot drive is also known, comprising a series-connected first adder, a second adder, a first multiplication unit, a third adder, an amplifier and an engine connected to the first speed sensor directly and through the gearbox with a first position sensor, the output of which is connected to the first input of the first an adder connected to the input of the second input of the device, a relay element connected in series and a fourth adder, the second input of which is connected to the input of the relay element, the second the second adder and the output of the first speed sensor, the output is to the second input of the third adder, the first signal pickup and fifth adder are connected in series, as well as the second speed sensor, mass sensor, second signal pickup, quadrator, sixth adder, second to fifth multiplication units , the first acceleration sensor, as well as the first and second functional converters, the input of each of which is connected to the output of the position sensor, the output of the mass sensor is connected to the second input of the first multiplication unit, the first input of the sixth the adder and the second input of the fifth adder connected by the output to the first inputs of the second and third multiplication units, the second input of each of which is connected respectively to the output of the first and second functional converter, and their outputs, respectively, to the second input of the sixth adder and the first input of the fourth multiplication unit, connected by the second input through a quadrator to the output of the second speed sensor, and the output to the third input of the fourth adder, the fourth input of which is connected to the output of the fifth multiplication unit, with a single first input with the output of the first acceleration sensor, and a second input with the output of the sixth adder, the third input of which is connected to the output of the second signal generator, and the output of the second adder is connected to the third input of the third adder, the second acceleration sensor mounted on the motor shaft and the output connected to the fourth input of the third adder, the seventh adder connected in series, the first input of which is connected to the output of the second speed sensor, the sixth multiplication unit, the second input of which is connected to the output the first acceleration sensor, the seventh multiplication unit, the second input of which is connected to the output of the second functional converter, the eighth adder, the eighth multiplication unit, the second input of which is connected to the output of the fifth adder, and the ninth adder, the second input of which is connected through the differentiator and the ninth multiplication unit in series to the output of the first acceleration sensor, and its output to the fifth input of the third adder, the tenth and eleventh multiplication blocks connected in series, the second input of the ninth the multiplication lock is connected to the output of the sixth adder, the first and second inputs of the tenth multiplication block are respectively to the outputs of the quadrator and the first functional converter, the second input of the eleventh multiplication block is connected to the output of the first speed sensor and the second input of the seventh adder, and its output to the second input of the eighth the adder of which is connected to the output of the first position sensor 9, the third functional converter 39, the twelfth 40 and the thirteenth 41 (see RF patent N 2057001, BI N 9, 1996).
Данное устройство по своей технической сущности является наиболее близким к предлагаемому изобретению. This device in its technical essence is the closest to the proposed invention.
В заявляемом устройстве, в отличие от прототипа, рассматривается другая кинематическая схема манипулятора. В приводах этой схемы присутствуют дополнительные гравитационные силы и машины, которые обязательно необходимо учитывать. Устройство-прототип не может обеспечить качественное управление рассматриваемым манипулятором, так как указанные силы и моменты в нем не учитываются из-за особенностей кинематической схемы манипулятора. In the claimed device, in contrast to the prototype, another kinematic diagram of the manipulator is considered. In the drives of this circuit there are additional gravitational forces and machines that must be taken into account. The prototype device cannot provide high-quality control of the manipulator in question, since the indicated forces and moments are not taken into account due to the peculiarities of the kinematic scheme of the manipulator.
Задачей, на решение которой направлено предлагаемое изобретение, является обеспечение высокой точности привода робота с учетом всех особенностей внешней моментной нагрузки на привод. The task to which the invention is directed is to ensure high accuracy of the robot drive, taking into account all the features of the external torque load on the drive.
Технический результат, который достигается при реализации заявленного технического решения, выражается в формировании дополнительного форсирующего сигнала управления, подаваемого на вход привода, который точнее компенсирует вредное моментное воздействие со стороны других степеней подвижности робота и гравитационной нагрузки на качественные показатели работы рассматриваемого устройства. The technical result that is achieved by the implementation of the claimed technical solution is expressed in the formation of an additional boost control signal supplied to the input of the drive, which more accurately compensates for the harmful momentum from other degrees of robot mobility and gravitational load on the quality performance of the device in question.
Поставленная задача решается тем, что устройство для управления приводом робота, содержащее последовательно соединенный первый сумматор, второй сумматор, первый блок умножения, третий сумматор, усилитель и двигатель, связанный с первым датчиком скорости непосредственно и через редуктор - с первым датчиком положения, выход которого подключен к первому входу первого сумматора, соединенного вторым входом с входом устройства, последовательно подключенные релейный элемент и четвертый сумматор, второй вход которого подключен к входу релейного элемента, второму входу второго сумматора и выходу первого датчика скорости, выход - к второму входу третьего сумматора, последовательно соединенные первый задатчик сигнала и пятый сумматор, а также второй датчик скорости, датчик массы, второй задатчик сигнала, квадратор, шестой сумматор, с второго по пятый блоки умножения, первый датчик ускорения, а также первый и второй функциональные преобразователи, вход каждого из которых соединен с выходом датчика положения, выход датчика массы подключен к второму входу первого блока умножения, первому входу шестого сумматора и второму входу пятого сумматора, соединенного выходом с первыми входами второго и третьего блоков умножения, второй вход каждого из которых подключен соответственно к выходу первого и второго функционального преобразователя, а их выходы - соответственно к второму входу шестого сумматора и первому входу четвертого блока умножения, соединенного вторым входом через квадратор с выходом второго датчика скорости, а выходом - с третьим входом четвертого сумматора, четвертый вход которого подключен к выходу пятого блока умножения, соединенного первым входом с выходом первого датчика ускорения, а вторым входом - с выходом шестого сумматора, третий вход которого подключен к выходу второго задатчика сигнала, а выход второго сумматора соединен с третьим входом третьего сумматора, второй датчик ускорения, установленный на валу двигателя и выходом подключенный к четвертому входу третьего сумматора, последовательно соединенные седьмой сумматор, первый вход которого подключен к выходу второго датчика скорости, шестой блок умножения, второй вход которого подключен к выходу первого датчика ускорения, седьмой блок умножения, второй входа которого соединен с выходом второго функционального преобразователя, восьмой сумматор, восьмой блок умножения, второй вход которого подключен к выходу пятого сумматора, и девятый сумматор, второй вход которого через последовательно соединенные дифференциатор и девятый блок умножения подключен к выходу первого датчика ускорения, а его выход - к пятому входу третьего сумматора, последовательно соединенные десятый и одиннадцатый блоки умножения, причем второй вход девятого блока умножения подключен к выходу шестого сумматора, первый и второй входы десятого блока умножения - соответственно к выходам квадратора и первого функционального преобразователя, второй вход одиннадцатого блока умножения - к выходу первого датчика скорости и второму входу седьмого сумматора, а его выход - к второму входу восьмого сумматора, отличается тем, что оно дополнительно содержит последовательно соединенные второй датчик положения, десятый сумматор, второй вход которого подключен к выходу первого датчика положения, третий функциональный преобразователь, двенадцатый и тринадцатый блоки умножения, последовательно соединенные четвертый функциональный преобразователь, вход которого подключен к выходу десятого сумматора, и четырнадцатый блок умножения, второй вход которого подключен к выходу пятого сумматора и второму входу двенадцатого блока умножения, а его выход - к пятому входу четвертого сумматора, причем второй вход тринадцатого блока умножения подключен к выходу одиннадцатого сумматора, первый и второй входы которого соединены соответственно с выходами первого и второго датчиков скорости, а его выход - с третьим входом девятого сумматора. The problem is solved in that the device for controlling the robot drive containing a series-connected first adder, a second adder, a first multiplication unit, a third adder, an amplifier and an engine connected directly to the first speed sensor and through the gearbox with the first position sensor, the output of which is connected to the first input of the first adder connected by the second input to the input of the device, a relay element and a fourth adder are connected in series, the second input of which is connected to the relay input of the second element, the second input of the second adder and the output of the first speed sensor, the output is to the second input of the third adder, the first signal pickup and the fifth adder are connected in series, as well as the second speed sensor, mass sensor, second signal pickup, quadrator, sixth adder, from the second according to the fifth multiplication blocks, the first acceleration sensor, as well as the first and second functional converters, the input of each of which is connected to the output of the position sensor, the output of the mass sensor is connected to the second input of the first multiplication block, the first input of the sixth adder and the second input of the fifth adder connected by the output to the first inputs of the second and third multiplication units, the second input of each of which is connected respectively to the output of the first and second functional converter, and their outputs, respectively, to the second input of the sixth adder and the first input of the fourth a multiplication unit connected by a second input through a quadrator to the output of the second speed sensor, and by an output - with the third input of the fourth adder, the fourth input of which is connected to the output of the heel of the second multiplication unit, connected by the first input to the output of the first acceleration sensor, and the second input - with the output of the sixth adder, the third input of which is connected to the output of the second signal generator, and the output of the second adder is connected to the third input of the third adder, the second acceleration sensor mounted on the shaft motor and an output connected to the fourth input of the third adder, sequentially connected to the seventh adder, the first input of which is connected to the output of the second speed sensor, the sixth multiplication unit, the second input of which The seventh multiplication unit, the second input of which is connected to the output of the second functional converter, the eighth adder, the eighth multiplication unit, the second input of which is connected to the output of the fifth adder, and the ninth adder, the second input of which is connected via a series-connected differentiator and the ninth multiplication unit is connected to the output of the first acceleration sensor, and its output to the fifth input of the third adder, the tenth and eleventh multiplication units connected in series, the second input of the ninth multiplication block is connected to the output of the sixth adder, the first and second inputs of the tenth multiplication block are respectively to the outputs of the quadrator and the first functional converter, the second input of the eleventh multiplication block is connected to the output of the first speed sensor and the second input of the seventh adder, and its output is to the second input of the eighth adder, characterized in that it further comprises a second position sensor connected in series, a tenth adder, the second input of which is connected to the output of the first sensor and the provisions, the third functional converter, the twelfth and thirteenth multiplication blocks, connected in series with the fourth functional converter, the input of which is connected to the output of the tenth adder, and the fourteenth multiplication block, the second input of which is connected to the output of the fifth adder and the second input of the twelfth multiplication block, and its output - to the fifth input of the fourth adder, and the second input of the thirteenth multiplication unit is connected to the output of the eleventh adder, the first and second inputs of which are connected ootvetstvenno with outputs of the first and second speed sensors, and the output - to the third input of the ninth adder.
Сопоставительный анализ признаков предлагаемого решения с признаками аналогов и прототипа свидетельствует о его соответствии критерию "новизна". A comparative analysis of the features of the proposed solution with the signs of analogues and prototype indicates its compliance with the criterion of "novelty."
При этом за счет введения дополнительных элементов и связей, указанных в отличительной части формулы изобретения, удается обеспечить полную инвариантность привода к эффектам взаимовлияния между степенями подвижности, гравитационным моментам и моментам трения и при наличии электрической постоянной времени якорной цепи электродвигателя. At the same time, due to the introduction of additional elements and bonds indicated in the characterizing part of the claims, it is possible to ensure complete invariance of the drive to the effects of mutual influence between the degrees of mobility, gravitational moments and friction moments and in the presence of an electric time constant of the motor armature chain.
Блок-схема предлагаемого устройства для управления приводом робота представлена на фиг. 1. На фиг. 2 представлена кинематическая схема исполнительного органа робота. A block diagram of a device for controlling a robot drive is shown in FIG. 1. In FIG. 2 is a kinematic diagram of a robot actuator.
 Устройство для управления приводом робота содержит последовательно соединенный первый сумматор 1, второй сумматор 2, первый блок 3 умножения, третий сумматор 4, усилитель 5 и двигатель 6, связанный с первым датчиком 7 скорости непосредственно и через редуктор 8 - с первым датчиком 9 положения, выход которого подключен к первому входу первого сумматора 1, соединенного вторым входом с входом устройства, последовательно подключенные релейный элемент 10 и четвертый сумматор 11, второй вход которого подключен к входу релейного элемента 10, второму входу второго сумматора 2 и выходу первого датчика 7 скорости, выход - к второму входу третьего сумматора, последовательно соединенные первый задатчик 12 сигнала и пятый сумматор 13, а также второй датчик 14 скорости, датчик 15 массы, второй задатчик 16 сигнала, квадратор 17, шестой сумматор 18, с второго по пятый блоки (19 - 22) умножения, первый датчик 23 ускорения, а также первый 24 и второй 25 функциональные преобразователи, вход каждого из которых соединен с выходом датчика 9 положения, выход датчика 15 массы подключен к второму входу первого блока 3 умножения, первому входу шестого сумматора 18 и второму входу пятого сумматора 13, соединенного выходом с первыми входами второго 19 и третьего 20 блоков умножения, второй вход каждого из которых подключен соответственно к выходу первого 24 и второго 25 функционального преобразователя, а их выходы - соответственно к второму входу шестого сумматора 18 и первому входу четвертого блока 21 умножения, соединенного вторым входом через квадратор 17 с выходом второго датчика 14 скорости, а выходом - с третьим входом четвертого сумматора 11, четвертый вход которого подключен к выходу пятого блока 22 умножения, соединенного первым входом с выходом первого датчика 23 ускорения, а вторым входом - с выходом шестого сумматора 18, третий вход которого подключен к выходу второго задатчика 16 сигнала, а выход второго сумматора 2 соединен с третьим входом третьего сумматора 4, второй датчик 26 ускорения, установленный на валу двигателя 6 и выходом подключенный к четвертому входу третьего сумматора 4, последовательно соединенные седьмой сумматор 27, первый вход которого подключен к выходу второго датчика 14 скорости, шестой блок 28 умножения, второй вход которого подключен к выходу первого датчика 23 ускорения, седьмой блок 29 умножения, второй вход которого соединен с выходом второго функционального преобразователя 25, восьмой сумматор 30, восьмой блок 31 умножения, второй вход которого подключен к выходу пятого сумматора 13, и девятый сумматор 32, второй вход которого через последовательно соединенные дифференциатор 33 и девятый блок 34 умножения подключен к выходу первого датчика 23 ускорения, а его выход - к пятому входу третьего сумматора 4, последовательно соединенные десятый 35 и одиннадцатый 36 блоки умножения, причем второй вход девятого блока 34 умножения подключен к выходу шестого сумматора 18, первый и второй входы десятого блока 35 умножения - соответственно к выходам квадратора 17 и первого функционального преобразователя 24, второй вход одиннадцатого блока 36 умножения - к выходу первого датчика 7 скорости и второму входу седьмого сумматора 27, а его выход - к второму входу восьмого сумматора 30, последовательно соединенные второй датчик 37 положения, десятый сумматор 38, второй вход которого подключен к выходу первого датчика 9 положения, третий функциональный преобразователь 39, двенадцатый 40 и тринадцатый 41 блоки умножения, последовательно соединенные четвертый функциональный преобразователь 42, вход которого подключен к выходу десятого сумматора 38, и четырнадцатый блок 43 умножения, второй вход которого подключен к выходу пятого сумматора 13 и второму входу двенадцатого блока 40 умножения, а его выход - к пятому входу четвертого сумматора 11, причем второй вход тринадцатого блока 41 умножения подключен к выходу одиннадцатого сумматора 44, первый и второй входы которого соединены соответственно с выходами первого 7 и второго 14 датчиков скорости, а его выход - с третьим входом девятого сумматора 32. Объект 45 управления соединен с выходным валом редуктора 8. The device for controlling the drive of the robot contains a series-connected first adder 1, a
 На фиг. 1 и 2 введены следующие обозначения:
 αвх - сигнал желаемого положения;
 q1, q2, q3 - соответствующие обобщенные координаты исполнительного органа робота;
 скорость и ускорение второй обобщенной координаты;
 ε - ошибка привода (величина рассогласования);
 m1, m2, m3, mг - соответственно массы первого, второго, третьего звеньев исполнительного органа и захваченного груза;
 l2 *, l3 * - расстояние от осей вращения звеньев манипулятора до их центров масс;
 l2, l3 - длины соответствующих звеньев манипулятора;
 скорость и ускорение вращения ротора двигателя;
 U*, U - соответственно усиливаемый сигнал и сигнал управления двигателем 5.In FIG. 1 and 2, the following notation is introduced:
 αI - signal of the desired position;
 q1 , q2 , q3 - the corresponding generalized coordinates of the executive body of the robot;
 speed and acceleration of the second generalized coordinate;
 ε is the drive error (mismatch value);
 m1 , m2 , m3 , mg - respectively, the mass of the first, second, third links of the executive body and the captured cargo;
 l2* , l3* - the distance from the axis of rotation of the links of the manipulator to their centers of mass;
 l2 , l3 - the length of the corresponding links of the manipulator;
 speed and acceleration of rotation of the engine rotor;
 U* , U - respectively, the amplified signal and the engine control signal 5.
Устройство работает следующим образом. The device operates as follows.
 Сигнал ошибки ε сумматора 1 после коррекции в блоках 2, 3, 4, усиливаясь, поступает на электродвигатель 6, приводя его вал во вращательное движение с направлением и скоростью (ускорением), зависящими от величины поступающего сигнала U, моментов трения и внешнего моментного воздействия Mв. Электропривод при работе с различными грузами, а также за счет взаимовлияния степеней подвижности исполнительного органа обладает переменными моментными характеристиками, которые могут меняться в широких пределах. Это снижает качественные показатели электропривода и даже приводит к потере устойчивости его работы.The error signal ε of the adder 1 after correction in
Рассматриваемый привод управляет обобщенной координатой q3.The drive in question controls the generalized coordinate q3 .
Конструкция робота (см. фиг. 2) является типовой для отечественных и зарубежных промышленных роботов. Эта конструкция позволяет осуществлять горизонтальное прямолинейное перемещение груза (координата q1) и два вращательных в вертикальной плоскости (координаты q2 и q3).The design of the robot (see Fig. 2) is typical for domestic and foreign industrial robots. This design allows horizontal rectilinear movement of the load (coordinate q1 ) and two rotational in the vertical plane (coordinates q2 and q3 ).
Моментные характеристики привода, управляющего координатой q3, существенно зависят от изменения координат mг. В связи с этим для качественного управления координатой q3 необходимо точно компенсировать отрицательное влияние изменения этих координат на динамические свойства рассматриваемого привода поворота (координата q3).The moment characteristics of the drive controlling the coordinate q3 substantially depend on the change in coordinates mg In this regard, for quality control of the q3 coordinate, it is necessary to precisely compensate for the negative effect of changes in these coordinates on the dynamic properties of the rotation drive in question (q3 coordinate).
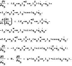
 Для определения моментных воздействий на рассматриваемый привод (обобщенных моментов неконсервативных сил) воспользуемся уравнением Лагранжа 2-го рода. Кинетическая энергия T всех движущихся масс исполнительного органа (фиг. 2) представляется в виде
 где J2, J3 - моменты инерции соответствующих звеньев относительно их центров масс.To determine the momentary effects on the drive in question (generalized moments of non-conservative forces), we use the Lagrange equation of the second kind. The kinetic energy T of all moving masses of the actuator (Fig. 2) is represented as
 where J2 , J3 - moments of inertia of the corresponding links relative to their centers of mass.
 Потенциальная энергия имеет вид:
 где g - ускорение свободного падения тела.Potential energy has the form:
 where g is the acceleration of gravity of the body.
 Учитывая, что
 на основе уравнения Лагранжа 2-го рода можно записать, что моментное воздействие на выходной вал привода, управляющего координатой q3, при движении робота (фиг. 2) с грузом имеет вид
 С учетом соотношения (1), а также уравнений электрической
 и механической
 цепей электродвигателя постоянного тока с постоянными магнитами или независимого возбуждения рассматриваемый привод, управляющий координатой q3, можно описать следующим дифференциальным уравнением:
 где R - активное сопротивление якорной цепи двигателя; J - момент инерции якоря двигателя и вращающихся частей редуктора, приведенных к валу двигателя; Kм - коэффициент крутящегося момента; Kω - коэффициент противо- эдс; Kв - коэффициент вязкого трения; iр - передаточное отношение редуктора; Mстр - момент сухого трения; Kу - коэффициент усиления усилителя 5; i - ток якоря; ускорение вращения вала двигателя третьей степени подвижности.Given that
 based on the Lagrange equation of the 2nd kind, it can be written that the momentary action on the output shaft of the drive controlling the coordinate q3 when the robot moves (Fig. 2) with a load has the form
 Given the relation (1), as well as the equations of electric
 and mechanical
 chains of a DC motor with permanent magnets or independent excitation, the drive in question, which controls the coordinate q3 , can be described by the following differential equation:
 where R is the active resistance of the engine armature circuit; J is the moment of inertia of the motor armature and the rotating parts of the gearbox brought to the motor shaft; Km - coefficient of torque; Kω is the counter-emf coefficient; Kin - coefficient of viscous friction; ip - gear ratio; Mp is the moment of dry friction; Ky - gain of the amplifier 5; i is the armature current; acceleration of rotation of the motor shaft of the third degree of mobility.
Из (2) видно, что параметры этого уравнения, а следовательно, и параметры привода, управляющего координатой q3, являются существенно переменными, зависящими от величин В результате в процессе работы привода меняются (притом существенно) его динамические свойства. В результате для реализации поставленной задачи необходимо сформировать такое корректирующее устройство, которое застабилизировало бы параметры привода таким образом, чтобы он описывался дифференциальным уравнением с постоянными желаемыми параметрами.From (2) it can be seen that the parameters of this equation, and therefore the parameters of the drive controlling the coordinate q3 , are essentially variable, depending on the quantities As a result, during the operation of the drive, its dynamic properties change (and substantially). As a result, in order to accomplish this task, it is necessary to form such a corrective device that would stabilize the drive parameters so that it is described by a differential equation with constant desired parameters.
 Полагается, что первый положительный вход сумматора 2 (со стороны сумматора 1) единичный, а его второй отрицательный вход имеет коэффициент усиления Kω/Kу. Первый, третий и четвертый положительные входы сумматора 11 (соответственно со стороны релейного элемента 100, блока 21 умножения и блока 22 умножения) единичные, второй его положительный вход (со стороны датчика 7 скорости) имеет коэффициент усиления (кмкω/R+кв). Причем выходной сигнал релейного элемента 10 с нулевой нейтральной точкой имеет вид
 где |Mт| - величина момента сухого трения при движении.It is believed that the first positive input of adder 2 (from the adder 1 side) is single, and its second negative input has a gain Kω / Kу . The first, third and fourth positive inputs of the adder 11 (respectively from the side of the relay element 100, the multiplying unit 21 and the multiplying unit 22) are single, its second positive input (from the side of the speed sensor 7) has a gain (km toω / R + кc ). Moreover, the output signal of the relay element 10 with a zero neutral point has the form
 where | Mt | - the magnitude of the dry friction moment in motion.
Первый положительный вход сумматора 4 (со стороны блока 3 умножения) имеет коэффициент усиления l3 2/(Jнiр 2), второй положительный (со стороны сумматора 11) - коэффициент усиления R/(KмKу), а его третий положительный (со стороны сумматора 2) - коэффициент усиления [J+(J3+m3l3 *2)/iр 2]/Jн, где Jн - номинальное (желаемое) значение приведенного момента инерции, обеспечивающее рассматриваемому приводу робота заданные динамические свойства и показатели качества.The first positive input of the adder 4 (from the side of the multiplication block 3) has a gain l32 / (Jн iр2 ), the second positive (from the adder 11) has a gain R / (Km Kу ), and its third positive (from the side of adder 2) is the gain [J + (J3 + m3 l3* 2 ) / ip2 ] / Jn , where Jn is the nominal (desired) value of the reduced moment of inertia, providing the given robot drive with the given dynamic properties and quality indicators.
 Первый положительный вход сумматора 13 (со стороны датчика 15 массы) имеет коэффициент усиления l2l3/iр, а его второй положительный вход (со стороны задатчика 12 сигнала) имеет единичный коэффициент усиления. С выхода задатчика 12 сигнала подается сигнал l2l3 *m3/iр, а с выхода задатчика 16 сигнала - (J3+m3l3 *2)/iр.The first positive input of the adder 13 (from the side of the mass sensor 15) has a gain l2 l3 / ip , and its second positive input (from the side of the signal setter 12) has a unity gain. The signal l2 l3* m3 / ip is output from the output of the
Первый (со стороны блока 19 умножения) и третий (со стороны задатчика 16 сигнала) положительные входы сумматора 18 имеют единичные коэффициенты усиления, а второй положительный вход (со стороны датчика 15 массы) - коэффициент усиления l3 2/iр.The first (from the side of the multiplication block 19) and the third (from the side of the signal setter 16) the positive inputs of the adder 18 have unit gains, and the second positive input (from the side of the mass sensor 15) has a gain l32 / ip .
 Таким образом, на выходе сумматора 13 формируется сигнал l2(m3l3 * + mгl3)/iр. Поскольку функциональный преобразователь 24 формирует сигнал cos q3, то на выходе блока 19 умножения появляется сигнал l2(m3l3 * + mгl3)cos(q3)/iр, а на выходе сумматора 18 - сигнал [J3 + m3l3 *2 + mгl3 2 + l2(m3l3 * + mгl3)cos(q3)]/iр.Thus, at the output of the
 Датчик 23 ускорения измеряет ускорение вращения второй степени подвижности робота (координату ), поэтому на выходе блока 22 умножения формируется сигнал
 Датчик 14 скорости измеряет скорость вращения во второй степени подвижности (координату ), а функциональный преобразователь 25 формирует сигнал sin q3. Поэтому на выходе блока 20 умножения появляется сигнал l2(m3l3 * + mгl3)sin(q3)/iр, а на выходе блока 21 умножения - сигнал l2(m3l3 * + mгl3)sin(q3)q2 2/iр.The acceleration sensor 23 measures the acceleration of rotation of the second degree of robot mobility (coordinate ), therefore, at the output of the multiplication block 22, a signal is generated
 The speed sensor 14 measures the speed of rotation in the second degree of mobility (coordinate ), and the functional converter 25 generates a signal sin q3 . Therefore, at the output of the multiplication block 20, the signal l2 (m3 l3* + mg l3 ) sin (q3 ) / ir appears, and at the output of the multiplication block 21, the signal l2 (m3 l3* + mg l3 ) sin (q3 ) q22 / ip .
 С учетом отмеченных выше коэффициентов усиления соответствующих входов сумматора 11 на его выходе формируется сигнал
 На выходе сумматора 2 формируется сигнал
 а на выходе блока 2 умножения - сигнал
 Датчик 26 измеряет ускорение вращения выходного вала электродвигателя Четвертый положительный вход третьего сумматора 4 (со стороны датчика 26) имеет коэффициент усиления
 На выходе девятого блока 34 умножения формируется сигнал
 Первый положительный вход седьмого сумматора 27 (со стороны датчика 14) имеет коэффициент усиления 2, а его второй отрицательный вход - коэффициент усиления 1/iр. В результате на выходе седьмого блока 29 умножения формируется сигнал
 На выходе одиннадцатого блока 36 умножения формируется сигнал
 Первый (со стороны блока 29 умножения) и второй положительные входы восьмого сумматора 30 имеют соответственно единичный коэффициент усиления и коэффициент усиления, равный 1/iр.Taking into account the gains noted above for the corresponding inputs of the adder 11, a signal is generated at its output
 At the output of
 and at the output of
 The sensor 26 measures the acceleration of rotation of the output shaft of the electric motor The fourth positive input of the third adder 4 (from the sensor 26) has a gain
 At the output of the ninth multiplication block 34, a signal is generated
 The first positive input of the seventh adder 27 (from the sensor 14) has a gain of 2, and its second negative input has a gain of 1 / ip . As a result, a signal is generated at the output of the seventh multiplication block 29
 An output signal is generated at the output of the eleventh multiplication block 36
 The first (from the side of the multiplication unit 29) and the second positive inputs of the eighth adder 30 have a unit gain and a gain of 1 / ip, respectively.
 В результате на выходе восьмого блока 31 умножения формируется сигнал
 Первый и второй положительные входы девятого сумматора 32 также имеют единичные коэффициенты усиления, а пятый положительный вход третьего сумматора 4 (со стороны сумматора 32) - коэффициент усиления L/(KуKм).As a result, a signal is generated at the output of the eighth multiplication block 31
 The first and second positive inputs of the ninth adder 32 also have unity gain, and the fifth positive input of the third adder 4 (from the adder 32) has a gain L / (Kat Km ).
Первый и второй положительные входы сумматора 38 имеют единичные коэффициенты усиления. Датчик 37 положения измеряет координату q2. Функциональные преобразователи 39 и 42 соответственно реализуют функции cos и sin. В результате на их выходах будут формироваться сигналы cos(q2 + q3) и sin(q2 + q3), а на выходах блоков умножения 40 и 43 сигналы l2(m3l3 * + mгl3)cos(q2 + q3)/iр и l2(m3l3 * + mгl3)sin(q2 + q3)/iр соответственно.The first and second positive inputs of the adder 38 have unity gain. The position sensor 37 measures the coordinate q2 . Functional converters 39 and 42 respectively implement the functions cos and sin. As a result, the signals cos (q2 + q3 ) and sin (q2 + q3 ) will be generated at their outputs, and the signals l2 (m3 l3* + mg l3 ) cos at the outputs of the multiplication blocks 40 and 43 (q2 + q3 ) / ip and l2 (m3 l3* + mg l3 ) sin (q2 + q3 ) / ip, respectively.
 Положительные входы сумматора 44 имеют единичный (со стороны датчика 14 скорости) и 1/iр (со стороны датчика 7 скорости) коэффициенты усиления. В результате на выходе блока 41 умножения будет формироваться сигнал
 Третий положительный вход сумматора 32 (со стороны блока 41 умножения) также как и пятый положительный вход сумматора 11 (со стороны блока 43 умножения) имеют коэффициенты усиления g/l2.The positive inputs of the adder 44 have a unity (from the side of the speed sensor 14) and 1 / ip (from the side of the speed sensor 7) amplification factors. As a result, a signal will be generated at the output of the multiplication block 41
 The third positive input of the adder 32 (from the side of the multiplying unit 41) as well as the fifth positive input of the adder 11 (from the side of the multiplying unit 43) have g / l2 gains.
 Таким образом, с учетом указанных коэффициентов усиления соответствующих входов сумматора 4 на его выходе окончательно будет сформирован сигнал U* вида
 Несложно показать, что поскольку при движении привода достаточно точно соответствует Mстр, то подставив полученное значение U* (3) в соотношение (2), получим уравнение
 которое имеет постоянные желаемые параметры, т.е. сам привод, управляющий координатой q3 будет обладать постоянными желаемыми динамическими свойствами и качественными показателями.Thus, taking into account the indicated gains of the corresponding inputs of the adder 4, a signal U* of the form will be finally generated at its output
 It is easy to show that since when the drive moves quite accurately corresponds to Mp , then substituting the obtained value U* (3) in relation (2), we obtain the equation
 which has constant desired parameters, i.e. the drive itself, controlling the coordinate q3 will have constant desired dynamic properties and quality indicators.
| Application Number | Priority Date | Filing Date | Title | 
|---|---|---|---|
| RU99108506ARU2147276C1 (en) | 1999-04-21 | 1999-04-21 | Robot drive control device | 
| Application Number | Priority Date | Filing Date | Title | 
|---|---|---|---|
| RU99108506ARU2147276C1 (en) | 1999-04-21 | 1999-04-21 | Robot drive control device | 
| Publication Number | Publication Date | 
|---|---|
| RU2147276C1true RU2147276C1 (en) | 2000-04-10 | 
| Application Number | Title | Priority Date | Filing Date | 
|---|---|---|---|
| RU99108506ARU2147276C1 (en) | 1999-04-21 | 1999-04-21 | Robot drive control device | 
| Country | Link | 
|---|---|
| RU (1) | RU2147276C1 (en) | 
| Publication number | Priority date | Publication date | Assignee | Title | 
|---|---|---|---|---|
| RU2189306C2 (en)* | 2000-11-17 | 2002-09-20 | Дальневосточный государственный технический университет | Apparatus for controlling drive mechanism of robot | 
| RU2193480C1 (en)* | 2002-01-25 | 2002-11-27 | Дальневосточный государственный технический университет | Device controlling robot drive | 
| RU2214327C1 (en)* | 2002-06-04 | 2003-10-20 | Дальневосточный государственный технический университет | Apparatus for controlling drive system of robot | 
| RU2407633C2 (en)* | 2005-10-18 | 2010-12-27 | Бинар Актиеболаг | Method and device for determining position and extracting objects from transportation device | 
| Publication number | Priority date | Publication date | Assignee | Title | 
|---|---|---|---|---|
| EP0141717A2 (en)* | 1983-10-20 | 1985-05-15 | Commissariat A L'energie Atomique | Positioning device for robots | 
| EP0173747A1 (en)* | 1984-02-22 | 1986-03-12 | Fanuc Ltd. | System for coupling a visual sensor processor and a robot controller | 
| US4587618A (en)* | 1982-04-12 | 1986-05-06 | Kabushiki Kaisha Sankyo Seiki Seisakusho | Apparatus for controlling operation of an industrial robot | 
| GB2146801B (en)* | 1983-09-16 | 1987-06-10 | Emi Plc Thorn | Control of robots | 
| RU2057001C1 (en)* | 1994-04-18 | 1996-03-27 | Дальневосточный государственный технический университет | Device for controlling robot drive | 
| Publication number | Priority date | Publication date | Assignee | Title | 
|---|---|---|---|---|
| US4587618A (en)* | 1982-04-12 | 1986-05-06 | Kabushiki Kaisha Sankyo Seiki Seisakusho | Apparatus for controlling operation of an industrial robot | 
| GB2146801B (en)* | 1983-09-16 | 1987-06-10 | Emi Plc Thorn | Control of robots | 
| EP0141717A2 (en)* | 1983-10-20 | 1985-05-15 | Commissariat A L'energie Atomique | Positioning device for robots | 
| EP0173747A1 (en)* | 1984-02-22 | 1986-03-12 | Fanuc Ltd. | System for coupling a visual sensor processor and a robot controller | 
| RU2057001C1 (en)* | 1994-04-18 | 1996-03-27 | Дальневосточный государственный технический университет | Device for controlling robot drive | 
| Publication number | Priority date | Publication date | Assignee | Title | 
|---|---|---|---|---|
| RU2189306C2 (en)* | 2000-11-17 | 2002-09-20 | Дальневосточный государственный технический университет | Apparatus for controlling drive mechanism of robot | 
| RU2193480C1 (en)* | 2002-01-25 | 2002-11-27 | Дальневосточный государственный технический университет | Device controlling robot drive | 
| RU2214327C1 (en)* | 2002-06-04 | 2003-10-20 | Дальневосточный государственный технический университет | Apparatus for controlling drive system of robot | 
| RU2407633C2 (en)* | 2005-10-18 | 2010-12-27 | Бинар Актиеболаг | Method and device for determining position and extracting objects from transportation device | 
| Publication | Publication Date | Title | 
|---|---|---|
| RU2066626C1 (en) | Robot drive control device | |
| RU2394674C2 (en) | Self-adaptive electric drive of robot | |
| RU2079867C1 (en) | Device for control of robot drive | |
| RU2325268C1 (en) | Control of robotic machine drive | |
| RU2372186C1 (en) | Self-tuning electric drive of manipulation robot | |
| RU2115539C1 (en) | Robot drive control device | |
| RU2147276C1 (en) | Robot drive control device | |
| RU2181660C2 (en) | Apparatus for controlling drive mechanism of robot | |
| RU2028930C1 (en) | Device for controlling the robot drive | |
| RU2312007C1 (en) | Robot drive control apparatus | |
| RU2209719C1 (en) | Device for control of robot drive | |
| RU2272312C1 (en) | Arrangement for controlling of the drive of a robot | |
| RU2228257C1 (en) | Apparatus for controlling drive unit of robot | |
| RU2608005C1 (en) | Self-adjusting electric drive of manipulator | |
| RU2335389C2 (en) | Robot drive control device | |
| RU2193480C1 (en) | Device controlling robot drive | |
| RU2163190C1 (en) | Device for control of robot drive | |
| RU2208242C1 (en) | Self-adjusting electric drive of robot | |
| RU2057001C1 (en) | Device for controlling robot drive | |
| RU2359306C2 (en) | Self-adapting electric drive of robot | |
| RU2258601C1 (en) | Robot's drive control unit | |
| RU2311283C1 (en) | Device for controlling drive of a robot | |
| RU2309444C2 (en) | Self-adjusting electrical drive for robot | |
| RU2164859C2 (en) | Apparatus for controlling robot drive mechanism | |
| RU2212329C1 (en) | Device for control of robot drive |