
Изобретение относится к градиентной оптике и может быть использовано в волоконной оптике и оптическом приборостроении для создания коллиматоров, объективов, биноклей, эндоскопов, устройств согласования волоконных световодов с полупроводниковыми лазерами и т.д. The invention relates to gradient optics and can be used in fiber optics and optical instrumentation to create collimators, lenses, binoculars, endoscopes, devices for matching fiber optic fibers with semiconductor lasers, etc.
Известна телескопическая градиентная линза, выполненная из материала с радиальным градиентом показателя преломления /ПП/ n(y), ограниченная первой и второй плоскими преломляющими поверхностями, перпендикулярными оптической оси, характеризующаяся зависимостью траектории хода лучей y1(z) в материале линзы (при нормальном падении на первую плоскую поверхность параллельного пучка лучей), имеющая длину периодичности хода лучей L и толщину, кратную L/2 /1/.Known telescopic gradient lens made of a material with a radial gradient of the refractive index / PP / n (y), bounded by the first and second flat refractive surfaces perpendicular to the optical axis, characterized by the dependence of the path of the rays y1 (z) in the lens material (with normal incidence on the first flat surface of a parallel beam of rays) having a length of the periodicity of the course of the rays L and a thickness multiple of L / 2/1 /.
В известной линзе входной параллельный пучок, проходя через линзу, периодически самофокусируется в точках на оптической оси линзы и на выходе вновь становится параллельным. In a known lens, the input parallel beam passing through the lens periodically self-focuses at points on the optical axis of the lens and again becomes parallel at the output.
Однако получающийся на выходе параллельный пучок имеет такое же сечение, как и входной, и, таким образом, увеличение известной линзы (в зависимости от ее толщины, кратной L/2) может быть либо +1, либо -1. В результате известная линза практически может лишь передавать изображение без его увеличения, что и является ее основным недостатком. Кроме того, минимальная длина известной линзы не может быть меньше L/2, учитывая свойство внутренней самофокусировки пучка, что также является недостатком, ограничивающим применение известной линзы. However, the parallel beam obtained at the output has the same cross section as the input one, and thus, the increase in the known lens (depending on its thickness, a multiple of L / 2) can be either +1 or -1. As a result, the known lens can practically only transmit an image without increasing it, which is its main drawback. In addition, the minimum length of the known lens cannot be less than L / 2, given the property of internal beam self-focusing, which is also a disadvantage that limits the use of the known lens.
Задача изобретения - создание телескопической градиентной линзы с увеличением, отличным от ±1, и, кроме того, со сниженной минимально толщиной линзы. The objective of the invention is the creation of a telescopic gradient lens with an increase other than ± 1, and, in addition, with a reduced minimum thickness of the lens.
Решение поставленной задачи достигается тем, что первая и/или вторая преломляющие поверхности выполняются в виде поверхностей вращения с образующей функцией (далее - образующей) определенного вида и с учетом ограничений на минимально необходимую толщину линзы. The solution of this problem is achieved by the fact that the first and / or second refracting surfaces are made in the form of surfaces of revolution with a generatrix function (hereinafter - generatrix) of a certain type and taking into account restrictions on the minimum required lens thickness.
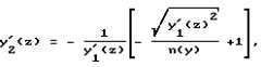
 Для этого в телескопической градиентной линзе, выполненной из материала с радиальным градиентом ПП n(y), ограниченной первой и второй преломляющими поверхностями вращения, причем первая поверхность выполнена плоской, характеризующейся зависимостью траектории хода лучей y1(z) в материале линзы, имеющей длину периодичности хода лучей L, вторая преломляющая поверхность выполнена выпуклой с образующей, определяемой из уравнения
 где
 - первая производная от y1(z);
 z -оптическая ось линзы;
 а толщина линзы с выбирается в зависимости от требуемого увеличения из соотношения
 ,
 где
 k = 0, 1, 2, ...For this, in a telescopic gradient lens made of a material with a radial gradient PP n (y) bounded by the first and second refractive surfaces of rotation, the first surface being flat, characterized by the dependence of the path of the rays y1 (z) in the lens material having a periodicity length ray path L, the second refracting surface is convex with a generatrix determined from the equation
 Where
 - the first derivative of y1 (z);
 z is the optical axis of the lens;
 and the thickness of the lens c is selected depending on the desired increase from the ratio
 ,
 Where
 k = 0, 1, 2, ...
На фиг. 1 показана оптическая схема плоско-выпуклой телескопической градиентной линзы и условные обозначения для расчета хода лучей. In FIG. 1 shows an optical diagram of a plano-convex telescopic gradient lens and legend for calculating the course of the rays.
На фиг. 2 показана оптическая схема плоско-выпуклой телескопической градиентной линзы. In FIG. 2 shows an optical diagram of a plano-convex telescopic gradient lens.
На фиг. 1 оптический элемент из материала с радиальным градиентом ПП n(y) находится в однородной среде с ПП n1 = 1 (например, воздух) и ограничен входной плоской (z = 0) (не показана) и выходной поверхностью вращения с образующей y2(z), причем толщина элемента вдоль оси равна c.In FIG. 1 an optical element made of a material with a radial gradient of the PP n (y) is in a homogeneous medium with a PP n1 = 1 (for example, air) and is bounded by an input plane (z = 0) (not shown) and an output surface of revolution with a generator y2 ( z), and the thickness of the element along the axis is c.
 При падении на входную плоскость элемента из однородной среды параллельного пучка излучения, направление которого совпадает с оптической осью z элемента, внутри элемента пучок периодически самофокусируется в точках на оси с координатами:
 где
 L - длина периодичности;
 m = 0, ±1, ±2, ...,
 а траектория хода каждого луча в пучке в меридиональной плоскости описывается зависимостью y1(z).When a parallel radiation beam falls on the input plane of the element from a homogeneous medium, the direction of which coincides with the optical axis z of the element, the beam inside the element periodically self-focuses at points on the axis with the coordinates:
 Where
 L is the length of the frequency;
 m = 0, ± 1, ± 2, ...,
 and the path of each ray in the beam in the meridional plane is described by the dependence y1 (z).
Луч с траекторией хода y1(z) преломляется на выходной поверхности в точке A и далее идет параллельно оси z. Нормаль N к поверхности в точке A образует с касательной к траектории луча y1(z) угол падения ε .A ray with a path of motion y1 (z) is refracted on the output surface at point A and then goes parallel to the z axis. The normal N to the surface at point A forms the angle of incidence ε with a tangent to the path of the ray y1 (z).
Угол φ является углом наклона касательной к образующей y2(z) в точке A. Угол ε′ является углом преломления, а β - это угол наклона касательной к траектории хода луча y1(z) в точке преломления. Отрезок h - это высота луча после преломления на выходной поверхности.The angle φ is the angle of inclination of the tangent to the generator y2 (z) at point A. The angle ε ′ is the angle of refraction, and β is the angle of inclination of the tangent to the path of the beam y1 (z) at the point of refraction. The segment h is the height of the beam after refraction at the exit surface.
 Рассмотрение хода лучей в соответствии со случаем преломления, показанным на фиг. 1, дает в результате уравнение вида
 .An examination of the ray path in accordance with the case of refraction shown in FIG. 1 gives an equation of the form
 .
 Поскольку полученное уравнение зависит от строго взаимосвязанных функций n(y) и y1(z), общее решение его определить не представляется возможным. Однако можно найти его решение для известных зависимостей n(y) и y1(z) аналитически или численно. Для y2(z) должно быть справедливо
 y2(c) = 0, (2)
 а также желательно, чтобы выполнялось
 .Since the obtained equation depends on strictly interconnected functions n (y) and y1 (z), it is not possible to determine a general solution to it. However, one can find its solution for the known dependences n (y) and y1 (z) analytically or numerically. For y2 (z) should be true
 y2 (c) = 0, (2)
 and it is also desirable that
 .
Причем для выполнения условий (2) и (3) величины z и c должны быть отрицательными. Moreover, to fulfill conditions (2) and (3), the quantities z and c must be negative.
Таким образом, подавая на входную плоскую поверхность оптического элемента падающий нормально параллельный пучок и применяя на выходе преломляющую поверхность с образующей (1) при выполнении начального условия (2), можно получить на выходе также параллельный пучок, но другого сечения, и образовывать телескопическую систему (линзу). Увеличение такой линзы будет зависеть, очевидно, от выбранной величины c. Thus, by supplying an incident normally parallel beam to the input flat surface of the optical element and applying a refractive surface with a generator (1) at the output when the initial condition (2) is fulfilled, it is also possible to obtain a parallel beam at the output, but of a different cross section, and form a telescopic system ( lens). The increase in such a lens will obviously depend on the selected value of c.
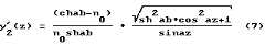
Рассмотрим для иллюстрации известные распределения ПП и связанные с ними траектории хода лучей y1(z).To illustrate, we consider the well-known distribution of PP and the associated paths of the rays y1 (z).
 Так называемое "идеально фокусирующее" или гиперсекансное распределение ПП имеет вид
 n(y) = n0 • schay,
 где
 n0 - значение ПП на оси;
 a - постоянная.The so-called "perfectly focusing" or hypersecond distribution of PP has the form
 n (y) = n0 • schay,
 Where
 n0 - PP value on the axis;
 a is a constant.
 Ход лучей внутри такого элемента со входным плоским торцем, перпендикулярным оптической оси z, при нормальном падении на входную плоскость параллельного пучка излучения, описывается уравнением
 .The path of rays inside such an element with an input flat end face perpendicular to the optical axis z, when a parallel radiation beam is incident normally on the input plane, is described by the equation
 .
 где
 b - высота входа луча над осью z.Where
 b - beam entry height above the z axis.
 Тогда производная будет равна
 .Then the derivative will be equal to
 .
 Зависимость ПП n*(z) в каждой точке траектории y1(z) можно определить в виде
 ,
 или
 .The PP dependence n* (z) at each point of the trajectory y1 (z) can be defined as
 ,
 or
 .
 Подставляя (5) и (6) в уравнение (1), получим после преобразований
 а интегрирование дает следующий вид образующей
 ,
 где
 .Substituting (5) and (6) into equation (1), we obtain after transformations
 and integration gives the following form of generatrix
 ,
 Where
 .
 При этом значения z и c отрицательны и ограничены соотношением
 Аналогично для параболического распределения ПП, при котором
 ,
 производная будет равна
 .Moreover, the values of z and c are negative and are limited by the relation
 Similarly for the parabolic distribution of PP, for which
 ,
 the derivative will be equal
 .
 Интегрирование дает образующую
 .Integration provides a generatrix
 .
 Значения z и c отрицательны и лежат в пределах
 ,
 а высота входа лучей ограничена
 .The values of z and c are negative and lie within
 ,
 and the beam entry height is limited
 .
Таким образом, для обоих рассмотренных выше известных распределений ПП и траекторий хода лучей в них принципиально возможно получить телескопические системы (линзы) с заданным увеличением, отличным от ±1. В таких телескопических линзах, однако, присутствует сферическая аберрация, которая может быть строго исправлена (так же, как и у телескопических линз из однородного материала) в общем случае лишь для одной заданной высоты входного луча. Thus, for both the known PP distributions and the ray paths considered above, it is fundamentally possible to obtain telescopic systems (lenses) with a given magnification other than ± 1. In such telescopic lenses, however, spherical aberration is present, which can be strictly corrected (as well as for telescopic lenses of a uniform material) in the general case for only one given height of the input beam.
При использовании преломляющих поверхностей можно получить телескопические градиентные линзы с различным увеличением. When using refractive surfaces, telescopic gradient lenses with different magnifications can be obtained.
 Для реализации телескопической градиентной линзы с требуемой величиной увеличения из материала с известным распределением ПП n(y) вначале рассчитывают образующие y
 Однако затруднение может вызвать формообразование поверхности вращения с образующими сложного вида. Поэтому для целей изготовления целесообразно сначала аппроксимировать y
 Возможно также применение известной технологии алмазного точения на станке с ЧПУ и воздушной или гидравлической подвеской вала с заготовкой для вытачивания сложного профиля образующих y
При изготовлении преломляющих поверхностей, образующие которых задаются в аппроксимированном виде, увеличиваются различные аберрации телескопической линзы, которые будут тем больше, чем больше отклонения реально изготовленных поверхностей от идеальных теоретически рассчитанных профилей, что следует иметь в виду при дальнейшем применении линзы. In the manufacture of refractive surfaces, the generators of which are specified in an approximated form, the various aberrations of the telescopic lens increase, which will be the greater, the greater the deviation of the actually fabricated surfaces from ideal theoretically calculated profiles, which should be borne in mind when using the lens further.
 Используется предлагаемая телескопическая градиентная линза обычным образом. На первую (входную) поверхность 2 линзы 1 (фиг. 2) подается параллельный пучок излучения (ход лучей показан двойными стрелками), причем оптическая ось линзы должна быть параллельна направлению распространения пучка излучения. После преломления на первой поверхности и прохождения внутри пучок излучения, преломляясь на второй, выходной поверхности 3 линзы, выходит из нее, оставаясь параллельным, но имея меньшее сечение. The proposed telescopic gradient lens is used in the usual manner. A parallel radiation beam is fed to the first (input)
Применение телескопических градиентных линз может упростить решение ряда задач. Так, например, использование телескопической линзы в виде волоконного световода в эндоскопе на выходе позволит получить уже увеличенное изображение исследуемого участка. Применение телескопической градиентной линзы с заданным увеличением совместно с полупроводниковым лазером позволит получить на выходе коллимированный пучок излучения с требуемыми характеристиками расходимости, причем длина телескопической линзы при этом будет принципиально меньше, чем у обычно применяемого для этой цели градана длиной L/4, что может уменьшить габариты оптической системы в целом. The use of telescopic gradient lenses can simplify the solution of a number of problems. So, for example, the use of a telescopic lens in the form of a fiber waveguide in the endoscope at the output will allow you to get an already enlarged image of the investigated area. The use of a telescopic gradient lens with a given magnification together with a semiconductor laser will make it possible to obtain a collimated radiation beam with the required divergence characteristics at the output, and the length of the telescopic lens will be fundamentally shorter than that of a gradation length L / 4 usually used for this purpose, which can reduce the size optical system as a whole.
| Application Number | Priority Date | Filing Date | Title | 
|---|---|---|---|
| RU96122503ARU2114451C1 (en) | 1996-11-25 | 1996-11-25 | Telescopic gradient lens | 
| Application Number | Priority Date | Filing Date | Title | 
|---|---|---|---|
| RU96122503ARU2114451C1 (en) | 1996-11-25 | 1996-11-25 | Telescopic gradient lens | 
| Publication Number | Publication Date | 
|---|---|
| RU2114451C1true RU2114451C1 (en) | 1998-06-27 | 
| RU96122503A RU96122503A (en) | 1999-01-20 | 
| Application Number | Title | Priority Date | Filing Date | 
|---|---|---|---|
| RU96122503ARU2114451C1 (en) | 1996-11-25 | 1996-11-25 | Telescopic gradient lens | 
| Country | Link | 
|---|---|
| RU (1) | RU2114451C1 (en) | 
| Publication number | Priority date | Publication date | Assignee | Title | 
|---|---|---|---|---|
| RU2222819C2 (en)* | 2002-03-20 | 2004-01-27 | Тарханов Владимир Иванович | Gradient lens ( variants ) | 
| RU2224271C2 (en)* | 2001-06-05 | 2004-02-20 | Санкт-Петербургский государственный университет | Objective-gradan for endoscope | 
| RU2288490C1 (en)* | 2005-04-05 | 2006-11-27 | Владимир Иванович Тарханов | Aplanatic gradient lens | 
| RU2529775C1 (en)* | 2013-05-23 | 2014-09-27 | Владимир Иванович Тарханов | Gradient-index lens with aplanatic and telescopic properties | 
| Title | 
|---|
| Вычислительная оптика. Справочник / Под ред. М.М.Русинова. - М.: Машиност роение, 1984, с. 153 - 158.* | 
| Publication number | Priority date | Publication date | Assignee | Title | 
|---|---|---|---|---|
| RU2224271C2 (en)* | 2001-06-05 | 2004-02-20 | Санкт-Петербургский государственный университет | Objective-gradan for endoscope | 
| RU2222819C2 (en)* | 2002-03-20 | 2004-01-27 | Тарханов Владимир Иванович | Gradient lens ( variants ) | 
| RU2288490C1 (en)* | 2005-04-05 | 2006-11-27 | Владимир Иванович Тарханов | Aplanatic gradient lens | 
| RU2529775C1 (en)* | 2013-05-23 | 2014-09-27 | Владимир Иванович Тарханов | Gradient-index lens with aplanatic and telescopic properties | 
| Publication | Publication Date | Title | 
|---|---|---|
| US5541774A (en) | Segmented axial gradient lens | |
| US5285318A (en) | Illumination system having an aspherical lens | |
| US3801181A (en) | Gradient index light conductor | |
| US5703722A (en) | Segmented axial gradinet array lens | |
| US5323268A (en) | Compound lens | |
| JPH0454928B2 (en) | ||
| KR100295535B1 (en) | Quadaxial gradient index lens | |
| US5953162A (en) | Segmented GRIN anamorphic lens | |
| RU2114451C1 (en) | Telescopic gradient lens | |
| US6965483B2 (en) | Imaging system comprising a concave mirror | |
| US5477372A (en) | Optical scanner | |
| CN207081864U (en) | A kind of large-numerical aperture is used for the optical system that fibre bundle couples with detector | |
| JPH11249014A5 (en) | ||
| US4796969A (en) | Fiber optic relay connector | |
| KR100279897B1 (en) | Rear Cone Telescopes, Rear Convergence Lenses and Telescopes | |
| JPS58168026A (en) | Embedded type spherical lens having distributed refractive index | |
| US5995294A (en) | Gradient index lens reflector | |
| US5991082A (en) | Lens system with multiple focal lines | |
| RU2289830C1 (en) | Gradient lens | |
| RU2092880C1 (en) | Ocular | |
| Semercioğlu | Basic parameters of lens design | |
| RU2288490C1 (en) | Aplanatic gradient lens | |
| JPS584326B2 (en) | binocular equipment | |
| RU2215313C1 (en) | Projection lens to focus laser radiation | |
| RU2222819C2 (en) | Gradient lens ( variants ) | 
| Date | Code | Title | Description | 
|---|---|---|---|
| MM4A | The patent is invalid due to non-payment of fees | Effective date:20061126 |