
Предлагаемое изобретение относится к области измерительной техники и может быть использовано в магниторазведке для поиска полезных ископаемых, в области космических исследований для измерения магнитного поля околоземного пространства и магнитного поля планет, в магнитной навигации для определения местоположения судна и т.д. The present invention relates to the field of measurement technology and can be used in magnetic exploration for mineral exploration, in the field of space research for measuring the magnetic field of near-Earth space and the magnetic field of planets, in magnetic navigation to determine the location of a vessel, etc.
 Известен способ определения коэффициента Пуассона подвижного объекта и устройство для его осуществления (Лысенко А.П. Теория и методы компенсации магнитных помех// Сб. статей "Геофизическое приборостроение". Л. Мингеологии и охраны недр СССР. ОКБ. 1960, вып.7, с. 44 58). Способ заключается в измерении модуля вектора магнитной индукции с помощью модульного датчика, в частности квантового датчика при периодических поперечных кренах подвижного объекта на четырех основных магнитных курсах, соответственно равных 0o, 90o, 180o, 270o, затем измерении модуля вектора магнитной индукции при периодических продольных кренах подвижного объекта на упомянутых четырех основных курсах и по измеренным параметрам магнитного поля на основных четырех курсах объекта при прохождении его над ориентиром, известному наклонению и модулю вектора магнитной индукции геомагнитного поля в районе перемещения объекта определяют из девяти коэффициентов Пуассона, которые можно представить в виде тензора магнитных масс мягкого железа (Гузеев С.Т. Семевский Р.Б. Определение параметров Пуассона по измерениям магнитной индукции T-магнитометром // Геофизическая аппаратура. Л. Недра, 1980, вып. 70, с. 25 - 30).There is a method of determining the Poisson's ratio of a moving object and a device for its implementation (Lysenko A.P. Theory and methods of compensating magnetic interference // Collection of articles "Geophysical instrumentation". L. Mingeology and mineral resources of the USSR. Design Bureau. 1960,
 две разности (a k), (e k), три суммы (b + d), (c + q), (f + h), а также составляющие постоянного магнитного поля подвижного объекта, при этом магнитный курс, поперечные и продольные углы кренов определяют соответственно от магнитного компаса и гировертикали, значение модуля вектора магнитной индукции геомагнитного поля определяют, например, по показаниям аэромагнитометра, а наклонение по магнитным картам (Лысенко А.П. Теория и методы компенсации магнитных помех // Сб. статей "Геофизическое приборостроение". Л. Мингеологии и охраны недр СССР. ОКБ, 1960, вып.7, с.54, абз.1, с.56, абз.4). Известное решение обеспечивает только определение двух разностей и трех сумм коэффициентов Пуассона. В известном техническом решении попарное определение коэффициентов Пуассона (a k), (e k), (b + d), (c + q), (f + h) осуществляется при малых кренах объекта, равных примерно 10o, принимая при этом косинусы таких углов равными единице, а синусы этих углов равными соответствующим углам, выраженным в радианах, что снижает точность определения попарных значений коэффициентов Пуассона.
 two differences (ak), (ek), three sums (b + d), (c + q), (f + h), as well as the components of the constant magnetic field of a moving object, while the magnetic course, the transverse and longitudinal angles of the rolls determine respectively, from the magnetic compass and the gyrovertical, the magnitude of the magnetic induction vector of the geomagnetic field is determined, for example, by the readings of an aeromagnetometer, and the inclination by magnetic maps (Lysenko A.P. Theory and methods of compensating magnetic interference // Collection of articles "Geophysical Instrumentation". L Mingeology and protection of the bowels of the USSR. OKB, 1960,
В известном способе и устройстве для определения сумм и разностей коэффициентов Пуассона необходимо иметь значение наклонения, которое определяют по магнитным картам. Но магнитное поле меняется во времени, каждые его изменения определяют по результатам измерений во всех магнитных обсерваториях мира, а также со спутником. Карты же элементов земного магнитного поля составляются ИЗМИР РАН через каждые пять лет и относятся к середине года, кратного пяти (Логачев А.А. Захаров В.П. Магниторазведка. Л. Недра, 1979, с.16, 17). Изменение магнитного поля Земли вызывает изменение наклонения, что приводит к снижению точности определения сумм и разностей коэффициентов Пуассона. In the known method and device for determining the sums and differences of Poisson's ratios, it is necessary to have an inclination value, which is determined by magnetic cards. But the magnetic field changes in time, each of its changes is determined by the results of measurements in all magnetic observatories of the world, as well as with a satellite. Maps of the elements of the earth's magnetic field are compiled by the IZMIR RAS every five years and refer to the middle of the year, a multiple of five (Logachev A.A. Zakharov V.P. Magnetic prospecting. L. Nedra, 1979, p.16, 17). A change in the Earth's magnetic field causes a change in inclination, which leads to a decrease in the accuracy of determining the sums and differences of Poisson's ratios.
Кроме того, все расчетные формулы для определения коэффициентов Пуассона выведены в предположении, что движение реального объекта, в частности самолета, судна, осуществляется строго по четырем основным курсам, соответственно равным 0o, 90o, 180o, 270o, и выполнение периодических кренов одного вида (поперечных, а затем продольных) с одинаковой амплитудой колебаний. Однако в реальном движении объекта это условие невыполнимо, так как поворот относительно любой из осей объекта вызывает дополнительные (паразитные) повороты относительно двух других осей, причем эти паразитные эволюции при движении могут быть уменьшены только частично (Резник Э.Е. Канторович В.Л. Некоторые вопросы компенсации магнитных полей самолета // Сб. статей "Геофизическое приборостроение". Л. Недра, 1964, вып. 18, с. 26 30).In addition, all the calculation formulas for determining the Poisson's ratios were derived under the assumption that the movement of a real object, in particular an airplane, a ship, is carried out strictly at four main courses, respectively equal to 0o , 90o , 180o , 270o , and periodic rolls are performed one type (transverse, and then longitudinal) with the same amplitude of vibrations. However, in the real motion of an object, this condition is not feasible, since rotation about any of the object’s axes causes additional (parasitic) rotations relative to the other two axes, and these parasitic evolutions during movement can only be partially reduced (Reznik E.E. Kantorovich V.L. Some issues of compensation of the aircraft’s magnetic fields // Collection of articles "Geophysical Instrumentation". L. Nedra, 1964, issue 18, p. 26 30).
 Известен способ определения коэффициентов Пуассона (Резник Э.Е. Канторович В. Л. Некоторые вопросы компенсации магнитных полей самолета // Сб. статей "Геофизическое приборостроение". Л. Недра, 1984, вып. 18, с. 34 36), который по совокупности существенных признаков наиболее близок к предлагаемому и принят за прототип. Известный способ заключается в изменении углов курса, крена, тангажа подвижного объекта, измерений в процессе изменения упомянутых углов девяти модулей и девяти значений каждой проекции векторов магнитной индукции на оси системы координат объекта, отличных друг от друга, измерении, например, наземными стационарными магнитометрами не искаженного объектом модуля вектора магнитной индукции геомагнитного поля по магнитным картам, а затем по измеренным параметрам магнитного поля определении двух разностей и трех сумм коэффициентов Пуассона, соответственно равных (a k), (e k), (b + d), (c + q), (f + h), а также определении составляющих вектора магнитной индукции постоянного магнитного поля объекта. Из измеренных девяти значений модулей векторов магнитной индукции T1, T2, T9 отнимают значение вектора магнитной индукции геомагнитного поля T и получают девять значений разностей модулей векторов магнитной индукции ΔT1= T1-T, ΔT2= T2-T, ... , ΔT9= T9-T. После этого из каждой предыдущей разности модулей векторов магнитной индукции отнимают последующую, получая восемь значений ΔTi-ΔTi+1 где i 1, 2, 3, и систему восьми уравнений, которую можно представить в следующем общем виде (Резник Э.Е. Канторович В.Л. Некоторые вопросы компенсации магнитных полей самолета // Сб. статей "геофизическое приборостроение". Л. Недра, 1964, вып. 18, с. 35):
 где Xix a k; Xiy b + d; Zix c + q; Yiy e k; Ziy f + h; Xp, Yp, Zp - проекции вектора магнитной индукции постоянного магнитного поля объекта.There is a method of determining the Poisson's ratios (Reznik EE Kantorovich V. L. Some issues of compensation of the magnetic fields of the aircraft // Collection of articles "Geophysical instrumentation". L. Nedra, 1984, issue 18, p. 34 36), which the set of essential features is closest to the proposed and adopted as a prototype. The known method consists in changing the angles of the heading, roll, pitch of a moving object, measuring in the process of changing the mentioned angles of nine modules and nine values of each projection of the magnetic induction vectors on the axis of the object’s coordinate system, which are different from each other, measuring, for example, without distorted ground stationary magnetometers object of the module of the vector of magnetic induction of the geomagnetic field from magnetic cards, and then from the measured parameters of the magnetic field to determine two differences and three sums of Poiss coefficients at respectively equal (ak), (ek), (b + d), (c + q), (f + h), and determining the vector components of the magnetic induction of constant magnetic field object. From the measured nine values of the modules of the magnetic induction vectors T1 , T2 , T9, the value of the magnetic induction vector of the geomagnetic field T is taken and nine values of the differences of the modules of the magnetic induction vectors ΔT1 = T1 -T, ΔT2 = T2 -T, are obtained. .., ΔT9 = T9 -T. After that, the following is subtracted from each previous difference in the magnitude of the modules of the magnetic induction vectors, obtaining eight values of ΔTi -ΔTi + 1 where i 1, 2, 3, and a system of eight equations, which can be represented in the following general form (Reznik E.E. Kantorovich VL Some issues of compensation of the magnetic fields of an airplane // Collection of articles "geophysical instrumentation". L. Nedra, 1964, issue 18, p. 35):
 where Xix ak; Xiy b + d; Zix c + q; Yiy ek; Ziy f + h; Xp , Yp , Zp - projection of the magnetic induction vector of the constant magnetic field of the object.
Известный способ, как и аналог, обеспечивает определение только двух разностей и трех сумм коэффициентов Пуассона. В известном техническом решении проекции вектора магнитной индукции Xi, Yi, Zi, Xi+1, Yi+1, Zi+1 измеряют на подвижном объекте. Следовательно, значение каждой из этих проекций есть сумма проекций векторов магнитной индукции геомагнитного поля и магнитного поля подвижного объекта. Однако в расчетные формулы упомянутые проекции входят как проекции вектора магнитной индукции только геомагнитного поля (Резник Э. Е. Канторович В.Л. Некоторые вопросы компенсации магнитных полей самолета // Сб. статей "Геофизическое приборостроение". Л. Недра, 1964, вып. 18, с. 34, абз. 1 снизу, с. 35), что приводит к погрешности определения коэффициентов Пуассона, а, следовательно, и к снижению точности определения этих коэффициентов.The known method, like the analogue, provides the determination of only two differences and three sums of Poisson's ratios. In the known technical solution of the projection of the magnetic induction vector Xi , Yi , Zi , Xi + 1 , Yi + 1 , Zi + 1 is measured on a moving object. Therefore, the value of each of these projections is the sum of the projections of the magnetic induction vectors of the geomagnetic field and the magnetic field of the moving object. However, the mentioned projections enter into the calculation formulas as projections of the magnetic induction vector of only the geomagnetic field (Reznik E. E. Kantorovich VL Some issues of compensation of the aircraft magnetic fields // Collection of articles "Geophysical Instrumentation". L. Nedra, 1964, no. 18, p. 34, para 1 below, p. 35), which leads to an error in determining the Poisson's ratios, and, consequently, to a decrease in the accuracy of determining these coefficients.
В известном способе измеряют девять различных значений проекций векторов магнитной индукции в процессе изменения углов курса, крена, тангажа. Различные же значения отношений проекций векторов магнитной индукции к геомагнитному полю могут не соответствовать значениям направляющих косинусов осей системы координат объекта относительно вектора магнитной индукции геомагнитного поля, так как упомянутые проекции равны сумме проекций геомагнитного поля и магнитного поля объекта, а направляющие косинусы осей системы координат объекта являются функциями наклонения и углов курса, крена, тангажа объекта. Следовательно, решение приведенной ранее системы восьми уравнений может быть неустойчивым, что снижает точность определения коэффициентов Пуассона. In the known method, nine different values of the projections of the magnetic induction vectors are measured in the process of changing the course angles, roll, pitch. Different values of the ratios of the projections of the magnetic induction vectors to the geomagnetic field may not correspond to the values of the directing cosines of the axes of the coordinate system of the object relative to the magnetic induction vector of the geomagnetic field, since the projections are equal to the sum of the projections of the geomagnetic field and the magnetic field of the object, and the direction cosines of the axes of the coordinate system of the object are functions of inclination and course angles, roll, pitch of the object. Therefore, the solution of the above system of eight equations may be unstable, which reduces the accuracy of determining the Poisson's ratios.
В известном способе, как и в аналоге, для определения коэффициентов Пуассона необходимо знать пространственное распределение модуля вектора магнитной индукции геомагнитного поля в районе движения объекта или значение неискаженного объекта модуля вектора магнитной индукции геомагнитного поля над хорошо опознаваемыми ориентирами, где осуществляется эволюция объекта для определения коэффициентов Пуассона (Логачев А.А. Захаров В.П. Магниторазведка. Л. Недра, 1979, с. 105, 106; Вацуро А.Э. Цирель В.С. Измерение и компенсация магнитных помех самолета АН-2. Принципы и методы) // Геофизическая аппаратура Л. Недра, 1979, вып. 69, с. 100). Следовательно, для определения коэффициентов Пуассона подвижного объекта известными способами должен быть подготовлен участок пространства для подвижного объекта с известными параметрами естественного (неискаженного объектом) магнитного поля. Поэтому известные способы не обеспечивают возможность определения коэффициентов Пуассона в рабочих условиях, в частности, в условиях магнитной съемки. In the known method, as well as in the analogue, to determine the Poisson’s coefficients, it is necessary to know the spatial distribution of the module of the magnetic induction vector of the geomagnetic field in the region of motion of the object or the value of the undistorted object of the module of the vector of magnetic induction of the geomagnetic field over well-identifiable landmarks where the object is evolved to determine the Poisson's ratios (Logachev A.A. Zakharov V.P. Magnetic prospecting. L. Nedra, 1979, p. 105, 106; Vatsuro A.E. Tsirel V.S. Measurement and compensation of magnetic interference in aircraft that AN-2. Principles and methods) // Geophysical equipment L. Nedra, 1979, issue. 69, p. one hundred). Therefore, to determine the Poisson's ratios of a moving object by known methods, a piece of space should be prepared for a moving object with known parameters of the natural (undistorted by the object) magnetic field. Therefore, the known methods do not provide the ability to determine the Poisson's ratios under operating conditions, in particular, in magnetic recording conditions.
Известны технические решения для измерения проекций вектора магнитной индукции (Афанасьев Ю.В. Феррозондовые приборы. Л. Энергоатомиздат, 1986, с. 117) и модуля вектора магнитной индукции (Логачев А.А. Захаров В.П. Магниторазведка. Л. Недра, 1979, с. 85 94), которые в совокупности представляют устройство для реализации способа определения коэффициентов Пуассона. Устройство содержит модульный магниточувствительный датчик, измерительно-регистрирующий блок, вход которого подключен к входам упомянутого датчика, трехкомпонентный магниточувствительный датчик, три усилительно-преобразовательных блока, первые входы которых подключены к выходам трехкомпонентного датчика, а первые выходы к входам этого датчика, генератор переменной ЭДС, выходы которого подключены к входу трехкомпонентного датчика и вторым входам усилительно-преобразовательных блоков, и регистрирующий блок, входы которого подключены к выходам усилительно-преобразовательных блоков и к третьему выходу измерительно-регистрирующего блока, состоящего из генератора высокой частоты, фазовращателя и усилителя напряжения переменной частоты. Трехкомпонентный и модульный датчики жестко связаны с подвижным объектом. Known technical solutions for measuring projections of the vector of magnetic induction (Afanasyev Yu.V. Fluxgate devices. L. Energoatomizdat, 1986, p. 117) and the module of the vector of magnetic induction (Logachev A.A. Zakharov V.P. Magnetic prospecting. L. Nedra, 1979, p. 85 94), which together represent a device for implementing a method for determining Poisson's ratios. The device contains a modular magnetosensitive sensor, a measuring and recording unit, the input of which is connected to the inputs of the said sensor, a three-component magnetosensitive sensor, three amplifier-converter blocks, the first inputs of which are connected to the outputs of the three-component sensor, and the first outputs to the inputs of this sensor, a variable emf generator, the outputs of which are connected to the input of a three-component sensor and the second inputs of the amplifier-conversion blocks, and a recording unit, the inputs of which are connected They are connected to the outputs of the amplifier-converter blocks and to the third output of the measuring and recording unit, which consists of a high-frequency generator, a phase shifter, and a variable-frequency voltage amplifier. Three-component and modular sensors are rigidly connected to a moving object.
Известное устройство работает следующим образом. Напряжение с генератора высокой частоты измерительно-регистрирующего блока, поступающее на вход модульного датчика, осуществляет поляризацию рабочего вещества, например паров цезия упомянутого датчика. В результате этого на выходе датчика появляется напряжение полезного сигнала с частотой прецессии вектора намагниченности рабочего вещества вокруг вектора внешнего магнитного поля, при этом частота прецессии равна произведению гиромагнитного отношения ядра атома рабочего вещества на модуль внешнего магнитного поля. Напряжение это усиливается усилителем переменной частоты измерительно-регистрирующего блока и с одного из выходов этого усилителя подается на регистрирующий блок (частотомер), а с второго выхода на фазовращатель измерительно-регистрирующего блока, выходной сигнал с которого подается на вход модульного датчика, обеспечивая положительную обратную связь. Благодаря положительной обратной связи создается автоколебательная система, генерирующая на резонансной частоте, пропорциональной внешнему магнитному полю. На первый вход трехкомпонентного датчика подается с генератора переменной ЭДС напряжение, возбуждающее этот датчик. В результате этого на выходах трехкомпонентного датчика появляются три ЭДС второй гармоники, каждая из которых пропорциональна проекции вектора магнитной индукции на соответствующую магнитную ось трехкомпонентного датчика (Афанасьев Ю.В. Феррозондовые приборы. Л. Энергоатомиздат, 1986, с. 66). Выходные сигналы с трехкомпонентного датчика усиливаются и детектируются в соответствующих усилительно-преобразовательных блоках. Для детектирования сигналов на вторые входы усилительно-преобразовательных блоков подается переменное напряжение с генератора переменной ЭДС. Выходной сигнал с каждого усилительно-преобразовательного блока подается на регистрирующий блок, обеспечивающий синхронную регистрацию значений проекций векторов магнитной индукции и модулей векторов магнитной индукции при изменении углов курса, крена, тангажа подвижного объекта. По измеренным значениям модулей и проекций векторов магнитной индукции при изменении углового положения подвижного объекта, по значению неискаженным объектом модулю вектора магнитной индукции геомагнитного поля, измеренного, например, стационарным наземным магнитометром в месте расположения опознаваемого ориентира, определяют две разности и три суммы коэффициентов Пуассона, соответственно равных (a k), (e k), (b + d), (f + h), (c + q). The known device operates as follows. The voltage from the high-frequency generator of the measuring and recording unit supplied to the input of the modular sensor polarizes the working substance, for example, cesium vapor of the sensor. As a result of this, the voltage of the useful signal with the precession frequency of the magnetization vector of the working substance around the vector of the external magnetic field appears at the output of the sensor, while the precession frequency is equal to the product of the gyromagnetic ratio of the core of the atom of the working substance to the external magnetic field module. This voltage is amplified by a variable frequency amplifier of the measuring and recording unit and from one of the outputs of this amplifier is fed to the recording unit (frequency meter), and from the second output to the phase shifter of the measuring and recording unit, the output signal from which is fed to the input of the modular sensor, providing positive feedback . Thanks to the positive feedback, a self-oscillating system is created that generates at a resonant frequency proportional to the external magnetic field. At the first input of a three-component sensor, the voltage exciting this sensor is supplied from a variable EMF generator. As a result of this, three emfs of the second harmonic appear at the outputs of the three-component sensor, each of which is proportional to the projection of the magnetic induction vector onto the corresponding magnetic axis of the three-component sensor (Afanasyev Yu.V. Ferrozond devices. L. Energoatomizdat, 1986, p. 66). The output signals from the three-component sensor are amplified and detected in the corresponding amplifier-conversion units. To detect the signals, the second inputs of the amplifier-converter blocks are supplied with alternating voltage from a variable emf generator. The output signal from each amplifier-converter unit is fed to a recording unit, which provides synchronous registration of the values of the projections of the magnetic induction vectors and the modules of the magnetic induction vectors when changing the course angles, roll, pitch of the moving object. From the measured values of the modules and projections of the magnetic induction vectors when the angular position of the moving object changes, from the value of the undistorted object to the module of the magnetic induction vector of the geomagnetic field, measured, for example, by a stationary ground magnetometer at the location of the recognized landmark, two differences and three sums of Poisson's ratios are determined, respectively equal to (ak), (ek), (b + d), (f + h), (c + q).
Таким образом, известное устройство обеспечивает определение двух разностей и трех сумм коэффициентов Пуассона. Выходные сигналы с усилительно-преобразовательных блоков известного устройства, расположенного на подвижном объекте, пропорциональны как проекциям вектора магнитной индукции геомагнитного поля, так и проекциям магнитной индукции магнитного поля подвижного объекта. Однако в расчетные формулы упомянутые выходные сигналы входят как проекции вектора магнитной индукции только геомагнитного поля (Резник Э.Е. Канторович В. Л. Некоторые вопросы компенсации магнитных полей самолета // Сб. статей "Геофизическое приборостроение". Л. Недра, 1964, вып. 18, с.34, абз. 1 снизу, с.35), что приводит к снижению точности определения попарных сумм и разностей коэффициентов Пуассона. Thus, the known device provides the determination of two differences and three sums of Poisson's ratios. The output signals from the amplifier-converting units of the known device located on a moving object are proportional to both the projections of the magnetic induction vector of the geomagnetic field and the projections of the magnetic induction of the magnetic field of the moving object. However, the mentioned output signals enter into the calculation formulas as projections of the magnetic induction vector of only the geomagnetic field (Reznik E.E. Kantorovich V.L. Some problems of compensation of the aircraft magnetic fields // Collection of articles "Geophysical Instrumentation". L. Nedra, 1964, no. . 18, p. 34, para. 1 below, p. 35), which leads to a decrease in the accuracy of determination of pairwise sums and differences of Poisson's ratios.
Для определения коэффициентов Пуассона известным устройством необходимо знать пространственное распределение не искаженного объектом модуля вектора магнитной индукции геомагнитного поля в районе движения объекта или значение не искаженного объектом модуля вектора магнитной индукции геомагнитного поля над опознаваемым ориентиром, где осуществляется эволюция объекта для определения коэффициентов Пуассона. Следовательно, для определения коэффициентов Пуассона подвижного объекта известным устройством должен быть подготовлен участок пространства (стенд) с известными параметрами геомагнитного поля, поэтому упомянутое устройство не обеспечивает возможность определения коэффициентов Пуассона в рабочих условиях, например, в условиях магнитной съемки. To determine the Poisson coefficients by a known device, it is necessary to know the spatial distribution of the geomagnetic field magnetic induction vector module not distorted by the object in the region of the object’s motion or the value of the geomagnetic field magnetic induction vector module not distorted by the object over an identifiable landmark where the object is evolved to determine the Poisson coefficients. Therefore, in order to determine the Poisson's ratios of a moving object by a known device, a piece of space (stand) with known parameters of the geomagnetic field must be prepared, therefore, the said device does not provide the ability to determine the Poisson's ratios in operating conditions, for example, in magnetic recording conditions.
Кроме того, по совокупности проведенных измерений в известных технических решениях возможно определение попарных значений двух разностей и трех сумм коэффициентов Пуассона только с использованием приближенных формул, полагая, что модуль вектора магнитной индукции геомагнитного поля много больше модуля вектора магнитной индукции подвижного объекта (Вацуро А.Э. Цирель В. С. Измерение и компенсация магнитных помех самолета АН-2 (Принципы и методы) //. Геофизическая аппаратура. Л. Недра, 1979, вып. 69, с.98). Однако для ряда объектов, в частности, для судов водоизмещением от 2 до 7 тыс.т только индуктивное магнитное поле может достигать до 10000 нТл (Гузеев С.Т. Семеновский Р.Б. Определение параметров Пуассона по измерениям магнитной индукции T-магнитометром // Геофизическая аппаратура. Л. Недра, 1980, вып.70, с. 25, абз.2). Диапазон же измерения модуля полного вектора магнитной индукции геомагнитного поля составляет от 33000 нТл до 66000 нТл (Логачев А.А. Захаров В.П. Магниторазведка. Л. Недра, 1979, с.14, абз.1 снизу). Определение попарных значений коэффициентов Пуассона по приближенным расчетным формулам для подвижных объектов, магнитное поле которых отличается от геомагнитного менее, чем на порядок, приводит к снижению точности определения упомянутых коэффициентов. In addition, from the totality of the measurements made in the known technical solutions, it is possible to determine pairwise values of two differences and three sums of Poisson's ratios only using approximate formulas, assuming that the modulus of the magnetic induction vector of the geomagnetic field is much larger than the modulus of the magnetic induction vector of a moving object (Vatsuro A.E. Tsirel V. S. Measurement and compensation of magnetic interference of the AN-2 aircraft (Principles and methods) //. Geophysical equipment. L. Nedra, 1979, issue 69, p. 98). However, for a number of objects, in particular, for ships with a displacement of 2 to 7 thousand tons, only the inductive magnetic field can reach up to 10,000 nT (Guzeev S.T. Semenovsky RB.Determination of Poisson parameters from measurements of magnetic induction by a T-magnetometer // Geophysical equipment. L. Nedra, 1980, issue 70, p. 25, para. 2). The measurement range of the module of the full vector of the magnetic induction of the geomagnetic field is from 33,000 nT to 66,000 nT (Logachev A.A. Zakharov V.P. Magnetic prospecting. L. Nedra, 1979, p. 14, paragraph 1 below). The determination of paired values of the Poisson's ratios using approximate calculation formulas for moving objects whose magnetic field differs from the geomagnetic field by less than an order of magnitude leads to a decrease in the accuracy of determination of the mentioned coefficients.
Задачей предлагаемого изобретения является разработка способа определения всех девяти коэффициентов Пуассона подвижного объекта и устройства для его осуществления, при этом определение коэффициентов Пуассона должно осуществляться не только на специально изготовленных стендах с известным модулем вектора геомагнитного поля, но и в рабочих условиях, в частности в условиях магнитной съемки, когда нет никаких сведений о значении внешнего магнитного поля, например, магнитного поля Земли, не искаженного подвижным объектом. Поставленная задача решается за счет измерения результирующих значений проекций вектора магнитной индукции внешнего поля (магнитного поля Земли) в системе координат подвижного объекта и проекций векторов магнитной индукции индуктивного и постоянного полей объекта в той же системе координат при эволюциях упомянутого объекта (при изменении по крайней мере двух из трех углов курса, крена, тангажа объекта), как и при отсутствии этой информации, но имея сведения о коэффициентах Пуассона образца из мягкого в магнитном отношении железа. The objective of the invention is to develop a method for determining all nine Poisson's ratios of a moving object and a device for its implementation, while the determination of Poisson's ratios should be carried out not only on specially made stands with a known module of the geomagnetic field vector, but also under operating conditions, in particular under magnetic shooting when there is no information about the value of the external magnetic field, for example, the magnetic field of the Earth, not distorted by a moving object. The problem is solved by measuring the resulting values of the projections of the magnetic induction vector of the external field (Earth's magnetic field) in the coordinate system of the moving object and the projections of the magnetic induction vectors of the inductive and constant fields of the object in the same coordinate system during the evolution of the mentioned object (when changing at least two from the three angles of the course, roll, pitch of the object), as in the absence of this information, but having information about the Poisson's ratios of the sample made of soft magnetically iron.
Предлагаемое техническое решение представляет собой два способа и два устройства для осуществления этих способов, связанных между собой настолько, что они образуют единый общий изобретательский замысел. The proposed technical solution consists of two methods and two devices for implementing these methods, so interconnected that they form a single common inventive concept.
Предлагаемый способ определения коэффициентов Пуассона подвижного объекта в точке пространства, жестко связанный с системой координат объекта (по первому варианту), заключается в измерении в выбранном месте пространства модуля вектора магнитной индукции при отсутствии подвижного объекта, размещении подвижного объекта в упомянутом месте пространства, изменении курса, крена, тангажа объекта относительно опорной системы координат, измерении в процессе изменения упомянутых углов проекций векторов магнитной индукции на оси системы координат объекта и вычисления коэффициентов Пуассона, используя измеренные значения модуля и проекций девяти векторов магнитной индукции, изменении по крайней мере двух из трех углов курса, крена, тангажа объекта, измерении углов курса, крена, тангажа объекта и по ним определении направляющих косинусов каждой оси системы координат объекта в опорной системе координат, а проекций векторов магнитной индукции измерении синхронно с измерением углов курса, крена, тангажа, выборе проекций десяти векторов магнитной индукции, при которых направляющие косинусы осей системы координат объекта различны при каждом измерении упомянутых проекций, и определении коэффициентов Пуассона по измеренным модулю вектора магнитной индукции при отсутствии объекта и проекциям десяти векторов магнитной индукции, заданных в виде функций направляющих косинусов измеренных углов курса, крена, тангажа и неизвестных параметров, которыми являются проекции магнитной индукции на оси опорной системы координат при отсутствии объекта, постоянного магнитного поля объекта и коэффициентов Пуассона объекта. The proposed method for determining the Poisson's ratios of a moving object at a point in space, rigidly connected with the coordinate system of the object (according to the first option), consists in measuring the magnetic induction vector module in the selected location in the absence of a moving object, placing the moving object in the space, and changing course roll, pitch of the object relative to the reference coordinate system, measurement in the process of changing the mentioned projection angles of the magnetic induction vectors on the axis of the coordinate system object datum and calculation of Poisson's ratios, using measured values of the modulus and projections of nine magnetic induction vectors, changing at least two of the three angles of the heading, roll, pitch of the object, measuring the heading angles, roll, pitch of the object and using them to determine the direction cosines of each axis of the system the coordinates of the object in the reference coordinate system, and the projections of the magnetic induction vectors are measured synchronously with the measurement of the course, roll, pitch angles, the choice of the projections of ten magnetic induction vectors, at which I direct the cosines of the axes of the coordinate system of the object are different for each measurement of the projections mentioned, and for determining the Poisson ratios from the measured modulus of the magnetic induction vector in the absence of the object and the projections of ten magnetic induction vectors defined as functions of the guiding cosines of the measured heading, roll, pitch and unknown parameters, which are the projections of magnetic induction on the axis of the reference coordinate system in the absence of an object, a constant magnetic field of the object and Poisson's ratios of the object.
Предлагаемый способ определения коэффициентов Пуассона подвижного объекта в точке пространства, жестко связанной с системой координат объекта (по второму варианту), заключается в изменении углов курса, крена, тангажа объекта относительно опорной системы координат, измерении в процессе изменения упомянутых углов проекций векторов магнитной индукции на оси системы координат объекта и вычислении коэффициентов Пуассона, используя измеренные значения проекций девяти векторов магнитной индукции, изменении по крайней мере двух из трех углов курса, крена, тангажа объекта и по ним определении направляющих косинусов каждой оси системы координат объекта в опорной системе координат, а проекций векторов магнитной индукции измерении синхронно с измерением углов курса, крена, тангажа, выборе проекций десяти векторов магнитной индукции, при которых направляющие косинусы осей системы координат объекта различны при каждом измерении упомянутых проекций, затем в дополнительной точке пространства, жестко связанной с системой координат объекта, размещении образца из мягкого в магнитном отношении железа, коэффициенты Пуассона которого известны в основной точке пространства, вновь изменении по крайней мере двух из трех углов курса, крена, тангажа объекта, измерении углов курса, крена, тангажа объекта и по ним определении направляющих косинусов каждой оси системы координат объекта в опорной системе координат, а проекций векторов магнитной индукции измерении синхронно с измерением углов курса, крена, тангажа, выборе проекций десяти векторов магнитной индукции по крайней мере на одну и ту же ось объекта, при которых направляющие косинусы различны при каждом измерении упомянутых проекций, и определении коэффициентов Пуассона объекта по проекциям десяти векторов магнитной индукции при отсутствии образца, заданных в виде функций измеренных углов курса, крена, тангажа и неизвестных параметров, которыми являются проекции магнитной индукции на оси опорной системы координат при отсутствии объекта, постоянного магнитного поля объекта, коэффициентов Пуассона объекта и по проекциям десяти векторов магнитной индукции по крайней мере на одну и ту же ось системы координат объекта при наличии образца, заданных в виде функций направляющих косинусов измеренных углов курса, крена и тангажа, известных коэффициентов Пуассона образца и неизвестных параметров, которыми являются проекции магнитной индукции на оси опорной системы координат при отсутствии объекта и образца, постоянного магнитного поля объекта и образца и коэффициентов Пуассона объекта. The proposed method for determining the Poisson's ratios of a moving object at a point in space that is rigidly connected with the coordinate system of the object (according to the second option) consists in changing the angles of the course, roll, pitch of the object relative to the reference coordinate system, measuring in the process of changing the mentioned projection angles of the magnetic induction vectors on the axis the coordinate system of the object and the calculation of Poisson's ratios, using the measured values of the projections of nine vectors of magnetic induction, changing at least two of the three angles the course, roll, pitch of the object and from them the determination of the directional cosines of each axis of the coordinate system of the object in the reference coordinate system, and the projections of the magnetic induction vectors are measured synchronously with the measurement of the course, roll, pitch angles, the choice of the projections of ten magnetic induction vectors for which the direction cosines the axes of the object’s coordinate system are different for each measurement of the mentioned projections, then at an additional point in space that is rigidly connected with the object’s coordinate system, placing the sample from soft to magnesium in relation to iron, whose Poisson's ratios are known at the main point in space, again changing at least two of the three angles of the heading, roll, pitch of the object, measuring the heading angles, roll, pitch of the object and using them determine the direction cosines of each axis of the coordinate system of the object in the reference coordinate system, and the projections of the magnetic induction vectors are measured simultaneously with the measurement of the course, roll, pitch angles, the choice of the projections of ten magnetic induction vectors on at least one of the same axis of the object, at which The apparent cosines are different for each measurement of the projections mentioned, and for determining the Poisson's ratios of the object from the projections of ten magnetic induction vectors in the absence of a sample, defined as functions of the measured heading angles, roll, pitch and unknown parameters, which are the magnetic induction projections on the axis of the reference coordinate system for the absence of the object, the constant magnetic field of the object, the Poisson's ratio of the object and the projections of ten vectors of magnetic induction on at least one of the same axis of the systems s the coordinates of the object in the presence of the sample, defined as functions of the guiding cosines of the measured heading angles, roll and pitch, the known Poisson's ratios of the sample and unknown parameters, which are the projections of magnetic induction on the axis of the reference coordinate system in the absence of the object and the sample, the constant magnetic field of the object and sample and Poisson's ratios of the object.
Изменение в предлагаемом изобретении (по способу первого и второго вариантов) по крайней мере двух из трех углов курса, крена, тангажа подвижного объекта приводит к изменению проекций вектора магнитной индукции внешнего поля, например магнитного поля Земли (МПЗ), и изменению вектора магнитной индукции упомянутого объекта на оси координат объекта пропорционально направляющим косинусам каждой оси системы координат объекта относительно опорной системы координат, при этом индуктивное поле объекта является функцией коэффициентов Пуассона объекта и вектора внешнего магнитного поля, в частности, МПЗ. При синхронном измерении проекций десяти векторов магнитной индукции с измерением изменяющихся углов курса, крена, тангажа объекта, при которых направляющие косинусы осей системы координат объекта различны, получают по десять значений каждой проекции вектора магнитной индукции на оси системы координат объекта. Значение каждой из измеренных проекций векторов магнитной индукции можно задать аналитически в виде функций направляющих косинусов измеренных углов курса, крена, тангажа объекта, неизвестных значений проекций векторов магнитной индукции МПЗ, постоянного магнитного поля объекта и коэффициентов Пуассона объекта. Получим тем самым для упомянутых значений проекций на одну и ту же координатную ось объекта систему десяти уравнений. A change in the present invention (according to the method of the first and second variants) of at least two of the three angles of the course, roll, pitch of the moving object leads to a change in the projections of the magnetic field vector of the external field, for example, the Earth’s magnetic field (magnetic field), and a change in the magnetic induction vector of the aforementioned of the object on the coordinate axis of the object is proportional to the direction cosines of each axis of the coordinate system of the object relative to the reference coordinate system, while the inductive field of the object is a function of the Poisson's ratios the object and the vector of the external magnetic field, in particular, the MPZ. When synchronously measuring the projections of ten vectors of magnetic induction with measuring the varying angles of the course, roll, pitch of the object, at which the direction cosines of the axes of the coordinate system of the object are different, ten values of each projection of the vector of magnetic induction on the axis of the coordinate system of the object are obtained. The value of each of the measured projections of the magnetic induction vectors can be set analytically in the form of functions of the guiding cosines of the measured heading angles, roll, pitch of the object, unknown values of the projections of the magnetic induction vectors of the magnetic field, the constant magnetic field of the object, and the Poisson's ratios of the object. Thus, we obtain a system of ten equations for the mentioned values of the projections onto the same coordinate axis of the object.
Для способа по первому варианту общим решением полученных уравнений при измеренном модуле вектора магнитной индукции при отсутствии объекта в выбранном месте пространства являются девять коэффициентов Пуассона объекта, проекции вектора магнитной индукции внешнего магнитного поля, в частности МПЗ, проекций постоянного и индуктивного полей объекта. For the method according to the first embodiment, the general solution of the obtained equations for the measured module of the magnetic induction vector in the absence of an object in the selected space location is nine Poisson's ratios of the object, the projection of the magnetic induction vector of the external magnetic field, in particular, the magnetic field, projections of the constant and inductive fields of the object.
Для способа по второму варианту размещение в дополнительной точке пространства, жестко связанной с системой координат объекта, образца из мягкого в магнитном отношении железа, коэффициенты Пуассона которого известны в основной точке пространства, а затем изменение по крайней мере двух из трех углов курса, крена, тангажа подвижного объекта приводит к изменению проекций вектора магнитной индукции внешнего поля, например МПЗ, и к изменению вектора магнитной индукции индуктивного поля объекта и образца пропорционально направляющим косинусам каждой оси системы координат объекта относительно опорной системы координат, при этом индуктивное поле объекта является функцией коэффициентов Пуассона объекта и образца, вектора внешнего магнитного поля, в частности МПЗ. При синхронном измерении проекций десяти векторов магнитной индукции с измерением изменяющихся углов курса, крена, тангажа объекта, при которых направляющие ко- синусы осей системы координат объекта различны, получают по десять значений каждой проекции вектора магнитной индукции на оси системы координат объекта. Значение каждой из измеренных проекций векторов магнитной индукции можно задать аналитически в виде направляющих косинусов измеренных углов курса, крена, тангажа объекта, известных коэффициентов Пуассона образца и неизвестных значений проекции векторов МПЗ постоянного магнитного поля объекта и образца и коэффициентов Пуассона объекта. Получим тем самым для упомянутых значений проекций на одну и ту же координатную ось объекта дополнительную систему десяти уравнений при наличии образца. Общим решением полученных при наличии образца и ранее полученных уравнений при отсутствии образца являются девять коэффициентов Пуассона объекта, проекции вектора магнитной индукции внешнего магнитного поля, в частности МПЗ, постоянного и индуктивного полей объекта и образца. For the method according to the second embodiment, placing at an additional point in space, rigidly connected with the coordinate system of the object, a sample of magnetically soft iron, the Poisson ratios of which are known at the main point in space, and then changing at least two of the three course angles, heel, pitch of a moving object leads to a change in the projections of the magnetic induction vector of the external field, for example, the magnetic field, and to a change in the magnetic induction vector of the inductive field of the object and the sample in proportion to the guides of the cosine each axis of the object’s coordinate system relative to the reference coordinate system itself, while the inductive field of the object is a function of the Poisson’s coefficients of the object and the sample, the vector of the external magnetic field, in particular the magnetic field. When synchronously measuring the projections of ten magnetic induction vectors with measuring the angles of the heading, roll, and pitch of the object, at which the guiding axes of the axes of the object’s coordinate system are different, ten values of each projection of the magnetic induction vector on the axis of the object’s coordinate system are obtained. The value of each of the measured projections of the magnetic induction vectors can be set analytically in the form of the guiding cosines of the measured heading angles, roll, pitch of the object, known Poisson coefficients of the sample and unknown projections of the magnetic field vectors of the constant magnetic field of the object and the sample and Poisson's ratios of the object. Thus, we obtain for the mentioned values of projections onto the same coordinate axis of the object an additional system of ten equations in the presence of a sample. The general solution obtained in the presence of the sample and previously obtained equations in the absence of the sample are nine Poisson's ratios of the object, the projection of the magnetic induction vector of the external magnetic field, in particular the magnetic field, the constant and inductive fields of the object and the sample.
Таким образом, технический результат предлагаемого способа выражается в определении всех девяти коэффициентов Пуассона подвижного объекта как при наличии сведений о значении магнитного поля, не искаженного объектом (для способа по первому варианту), так и при отсутствии сведений (для способа по второму варианту) о значении внешнего магнитного поля, не искаженного магнитным полем объекта, при этом совокупность результатов измеряемых параметров обеспечивает определение коэффициентов Пуассона объекта не по приближенным, а по точным формулам. Thus, the technical result of the proposed method is expressed in the determination of all nine Poisson's ratios of a moving object both in the presence of information about the value of the magnetic field not distorted by the object (for the method according to the first embodiment), and in the absence of information (for the method according to the second embodiment) about the value external magnetic field, not distorted by the magnetic field of the object, while the totality of the results of the measured parameters provides the determination of the Poisson's ratios of the object not by approximate but by exact forms ulam.
 Предлагаемое устройство (по первому варианту) для осуществления способа определения коэффициентов Пуассона подвижного объекта в точке пространства, жестко связанной с системой координат объекта, содержащее трехкомпонентный магниточувствительный датчик, размещенный в упомянутой точке пространства, три усилительно-преобразовательных блока, первые входы которых подключены к выходам упомянутого датчика, генератор переменной ЭДС, первый выход которого подключен к входу трехкомпонентного датчика, а второй выход к вторым входам усилительно-преобразовательных блоков, и регистрирующий блок, входы которого подключены к выходам усилительно-преобразовательных блоков, снабжено углоизмерительным устройством, выходы которого подключены к трем дополнительным входам регистрирующего блока, выполненного с возможностью синхронной регистрации сигналов, пропорциональных значениям проекций векторов магнитной индукции и углов курса, крена, тангажа объекта, и устройством обработки информации, подключенным к выходу регистрирующего блока, с возможностью вычисления коэффициентов Пуассона из следующей системы уравнений:
 Bxi=l1i(1+a)•Bxt+m1i(1+a)•Byt+ n1i(1+a)•Bzt+b(l2iBxt+m2iByt+ n2iBzt+c(l3i(Bxt+m3iByt+ n3iBzt)+Bxp;
 Byi=l2i(1+e)•Bxt+m2i(1+e)•Byt+ n2i(1+e)•Bzt+d(l1iBxt+m1iByt+ n1iBzt)+f(l3iBxt+m3iByt+ n3iBzt)+Byp;
 Bzi=l3i(1+k)•Bxt+m3i(1+k)•Byt+ n3i(1+k)•Bzt+q(l1iBxt+m1iByt+ n1iBzt+h(l2iBxt+m2iByt+ n2iBzt)+Bzp,
 где Bxi, Byi, Bzi проекции векторов магнитной индукции на оси системы координат объекта при i-x значениях углов курса, крена, тангажа объекта;
 i=1, 2, 10;
 Bxt, Byt, Bzt проекции вектора магнитной индукции на оси опорной системы координат при отсутствии объекта;
 l1i, m1i, n1i, l2i, m2i, n2i, l3i, m3i, n3i направляющие косинусы осей системы координат объекта при i-x значениях углов курса, крена, тангажа объекта;
 Bxp, Byp, Bzp проекции вектора магнитной индукции на оси системы координат объекта, созданные жестким в магнитном отношении железом объекта;
 a, b, c, d, e, f, q, h, k коэффициенты Пуассона объекта в точке пространства размещения датчика.The proposed device (according to the first embodiment) for implementing the method of determining the Poisson's ratios of a moving object at a point in space, rigidly connected with the coordinate system of the object, containing a three-component magnetosensitive sensor located at the said point in space, three amplifier-converter blocks, the first inputs of which are connected to the outputs of the aforementioned sensor, variable EMF generator, the first output of which is connected to the input of a three-component sensor, and the second output to the second inputs of the amplifier of the conversion units, and the recording unit, the inputs of which are connected to the outputs of the amplification-conversion units, is equipped with an angle measuring device, the outputs of which are connected to three additional inputs of the recording unit, which is capable of synchronously recording signals proportional to the values of the projections of the magnetic induction vectors and course angles, roll, pitch of the object, and an information processing device connected to the output of the recording unit, with the possibility of calculating the coefficients P wasson from the following system of equations:
 Bxi = l1i (1 + a) • Bxt + m1i (1 + a) • Byt + n1i (1 + a) • Bzt + b (l2i Bxt + m2i Byt + n2i Bzt + c (l3i (Bxt + m3i Byt + n3i Bzt ) + Bxp ;
 Byi = l2i (1 + e) • Bxt + m2i (1 + e) • Byt + n2i (1 + e) • Bzt + d (l1i Bxt + m1i Byt + n1i Bzt ) + f (l3i Bxt + m3i Byt + n3i Bzt ) + Byp ;
 Bzi = l3i (1 + k) • Bxt + m3i (1 + k) • Byt + n3i (1 + k) • Bzt + q (l1i Bxt + m1i Byt + n1i Bzt + h (l2i Bxt + m2i Byt + n2i Bzt ) + Bzp ,
 where Bxi , Byi , Bzi are the projections of the magnetic induction vectors on the axis of the coordinate system of the object at ix values of the angles of the course, roll, pitch of the object;
 i = 1, 2, 10;
 Bxt , Byt , Bzt projections of the magnetic induction vector on the axis of the reference coordinate system in the absence of an object;
 l1i , m1i , n1i , l2i , m2i , n2i , l3i , m3i , n3i the direction cosines of the axes of the coordinate system of the object with ix values of the course angles, roll, pitch of the object;
 Bxp , Byp , Bzp projections of the magnetic induction vector on the axis of the coordinate system of the object, created by the magnetically hard iron of the object;
 a, b, c, d, e, f, q, h, k Poisson's ratios of the object at the point of the sensor placement space.
 Предлагаемое устройство (по второму варианту) для осуществления способа определения коэффициентов Пуассона подвижного объекта в точке пространства, жестко связанной с системой координат объекта, содержащее трехкомпонентный магниточувствительный датчик, размещенный в упомянутой точке пространства, три усилительно-преобразовательных блока, первые входы которых подключены к выходам упомянутого датчика, генератор переменной ЭДС, первый выход которого подключен к входу трехкомпонентого датчика, а второй выход к вторым входам усилительно-преобразовательных блоков, и регистрирующий блок, входы которого подключены к выходам усилительно-преобразовательных блоков, снабжено углоизмерительным устройством, выходы которого подключены к трем дополнительным входам регистрирующего блока, выполненного с возможностью синхронной регистрации сигналов, пропорциональных значениям проекций векторов магнитной индукции и углов курса, крена, тангажа объекта, образцом из мягкого в магнитном отношении железа с возможностью его размещения в дополнительной точке пространства, жестко связанной с системой координат объекта, и устройством обработки информации, подключенным к выходу регистрирующего блока, с возможностью вычисления коэффициентов Пуассона из следующей системы уравнений:
 Bxi=l1i(1+a)•Bxt+m1i(1+a)•Byt+ n1i(1+a)•Bzt+b(l2iBxt+m2iByt+ n2iBzt+c(l3iBxt+m3iByt+ n3iBzt)+Bxp;
 Byi=l2i(1+e)•Bxt+m2i(1+e)•Byt+ n2i(1+e)•Bzt+d(l1iBxt+m1iByt+ n1iBzt)+f(l3iBxt+m3iByt+ n3iBzt)+Byp;
 Bzi=l3i(1+k)•Bxt+m3i(1+k)•Byt+ n3i(1+k)•Bzt+q(l1iBxt+m1iByt+ n1iBzt+h(l2iBxt+m2iByt+ n2iBzt)+Bzp;
 Bxj=l1j(1+a+a0)•Bxt+m1j(1+a+ a0)•Byt+n1j(1+a+a0)•Bzt+ (b+b0)•(l2jBxt+m2jByt+ n2jBzt+(c+c0)•(l3jBxt+ m3jByt+n3jBzt)+Bxp+Bx0; Byj=l2i(1+e+e0)•Bxt+m2j(1+e+ e0)•Byt+n2j(1+e+e0)•Bzt+ (d+d0)•(l1jBxt+m1jByt+ n1jBzt+(f+f0)•(l3jBxt+ m3jByt+n3jBzt)+Byp+By0;
 Bzj=l3j(1+k+k0)•Bxt+m3j(1+k+ k0)•Byt+n3j(1+k+k0)•Bzt+ (q+q0)•(l1jBxt+m1jByt+ n1jBzt+(h+h0)•(l2jBxt+m2jByt+n2jBzt)+Bzp+Bzo, где Bxi, Byi, Bzi, Bxj, Byj, Bzj проекции векторов магнитной индукции на оси системы координат объекта при i-x и j-x значениях углов курса, крена, тангажа объекта при наличии и отсутствии образца;
 i=1, 2, 10; j=1, 2, 10;
 Bxt, Byt, Bzt проекции вектора магнитной индукции на оси опорной системы координат при отсутствии объекта;
 l1i, m1i, n1i, l2i, m2i, n2i, l3i, m3i, n3i и l1j, m1j, n1j, l2j, m2j, n2j, l3j, m3j, n3j направляющие косинусы осей системы координат объекта при i-x и j-x значениях углов курса, крена, тангажа объекта;
 Bxp, Byp, Bzp, Bx0, By0, Bz0 - проекции вектора магнитной индукции на оси системы координат объекта, созданные жестким в магнитном отношении железом объекта и образца;
 a, b, c, d, e, f, q, h, k и a0, b0, c0, d0, e0, f0, q0, h0, k0 коэффициенты Пуассона объекта и образца в точке пространства размещения датчика, при этом коэффициенты Пуассона образца, расположенного в дополнительной точке пространства, известны в точке размещения трехкомпонентного датчика.The proposed device (according to the second embodiment) for implementing the method of determining the Poisson's ratios of a moving object at a point in space, rigidly connected with the coordinate system of the object, containing a three-component magnetosensitive sensor located at the said point in space, three amplifier-conversion blocks, the first inputs of which are connected to the outputs of the aforementioned sensor, variable EMF generator, the first output of which is connected to the input of a three-component sensor, and the second output to the second inputs of the amplifier but-converter blocks, and the recording block, the inputs of which are connected to the outputs of the amplifier-conversion blocks, is equipped with an angle measuring device, the outputs of which are connected to three additional inputs of the recording block, configured to synchronously register signals proportional to the values of the projections of the magnetic induction vectors and course angles, roll, pitch of the object, a sample of magnetically soft iron with the possibility of its placement at an additional point in space, rigidly with knitted with the coordinate system of the object, and the information processing device connected to the output of the recording unit, with the possibility of calculating the Poisson's ratios from the following system of equations:
 Bxi = l1i (1 + a) • Bxt + m1i (1 + a) • Byt + n1i (1 + a) • Bzt + b (l2i Bxt + m2i Byt + n2i Bzt + c (l3i Bxt + m3i Byt + n3i Bzt ) + Bxp ;
 Byi = l2i (1 + e) • Bxt + m2i (1 + e) • Byt + n2i (1 + e) • Bzt + d (l1i Bxt + m1i Byt + n1i Bzt ) + f (l3i Bxt + m3i Byt + n3i Bzt ) + Byp ;
 Bzi = l3i (1 + k) • Bxt + m3i (1 + k) • Byt + n3i (1 + k) • Bzt + q (l1i Bxt + m1i Byt + n1i Bzt + h (l2i Bxt + m2i Byt + n2i Bzt ) + Bzp ;
 Bxj = l1j (1 + a + a0 ) • Bxt + m1j (1 + a + a0 ) • Byt + n1j (1 + a + a0 ) • Bzt + (b + b0 ) • (l2j Bxt + m2j Byt + n2j Bzt + (c + c0 ) • (l3j Bxt + m3j Byt + n3j Bzt ) + Bxp + Bx0 ; Byj = l2i (1 + e + e0 ) • Bxt + m2j (1 + e + e0 ) • Byt + n2j (1 + e + e0 ) • Bzt + (d + d0 ) • (l1j Bxt + m1j Byt + n1j Bzt + (f + f0 ) • (l3j Bxt + m3j Byt + n3j Bzt ) + Byp + By0 ;
 Bzj = l3j (1 + k + k0 ) • Bxt + m3j (1 + k + k0 ) • Byt + n3j (1 + k + k0 ) • Bzt + (q + q0 ) • (l1j Bxt + m1j Byt + n1j Bzt + (h + h0 ) • (l2j Bxt + m2j Byt + n2j Bzt ) + Bzp + Bzo , where Bxi , Byi , Bzi , Bxj , Byj , Bzj projections of the magnetic induction vectors on the axis of the coordinate system of the object with ix and jx values of the course angles, roll, pitch of the object with and without a sample;
 i = 1, 2, 10; j = 1, 2, 10;
 Bxt , Byt , Bzt projections of the magnetic induction vector on the axis of the reference coordinate system in the absence of an object;
 l1i , m1i , n1i , l2i , m2i , n2i , l3i , m3i , n3i and l1j , m1j , n1j , l2j , m2j , n2j , l3j , m3j , n3j are the directing cosines of the axes of the object's coordinate system at ix and jx values of the course angles, roll, pitch of the object;
 Bxp , Byp , Bzp , Bx0 , By0 , Bz0 - projections of the magnetic induction vector on the axis of the coordinate system of the object, created by the magnetically hard iron of the object and the sample;
 a, b, c, d, e, f, q, h, k and a0 , b0 , c0 , d0 , e0 , f0 , q0 , h0 , k0 Poisson's ratios of the object and the sample in point of the sensor placement space, while the Poisson's ratios of the sample located at an additional point in space are known at the location of the three-component sensor.
Совокупность используемых средств для устройства по первому варианту, одно из которых предназначено для измерения проекций вектора магнитной индукции, состоящее из трехкомпонентного датчика, жестко связанного с подвижным объектом, трех усилительно-преобразовательных блоков и генератора переменной ЭДС, второе для измерения углов курса, крена, тангажа объекта, а не магнитных физических величин и третье для одновременной регистрации проекций векторов магнитной индукции и упомянутых углов объекта и устройства обработки этой информации, образуют единое устройство, обеспечивающее определение девяти коэффициентов Пуассона объекта по синхронно измеренным проекциям векторов магнитной индукции, каждый из которых равен сумме векторов магнитной индукции МПЗ и магнитного поля объекта, с измерением изменяющихся углов курса, крена, тангажа объекта и информации о модуле магнитной индукции МПЗ на стенде, на котором осуществляются измерения. The set of tools used for the device according to the first embodiment, one of which is designed to measure the projections of the magnetic induction vector, consisting of a three-component sensor, rigidly connected to a moving object, three amplifier-converter blocks and a variable emf generator, the second for measuring heading angles, roll, pitch an object, not magnetic physical quantities, and a third for simultaneously registering the projections of the magnetic induction vectors and the mentioned angles of the object and the device for processing this information, form a single device that provides the determination of nine Poisson's ratios of the object from the synchronously measured projections of the magnetic induction vectors, each of which is equal to the sum of the magnetic induction vectors of the magnetic field and the magnetic field of the object, with the measurement of the changing course angles, roll, pitch of the object and information about the magnetic induction module of the magnetic field stand at which measurements are taken.
Совокупность используемых средств для устройства по второму варианту, одно из которых предназначено для измерения проекций вектора магнитной индукции, состоящее из трехкомпонентного датчика, жестко связанного с подвижным объектом, трех усилительно-преобразовательных блоков и генератора переменной ЭДС, второе для измерения углов курса, крена, тангажа объекта, а не магнитных физических величин, третье для одновременной регистрации проекций векторов магнитной индукции и упомянутых углов объекта и устройства обработки информации и четвертое состоящее из образца из мягкого в магнитном отношении железа, с возможностью его размещения в дополнительной точке пространства, коэффициенты Пуассона которого известны в месте размещения датчика, образуют единое устройство, обеспечивающее по синхронно измеренным проекциям векторов магнитной индукции при отсутствии в наличии образца в дополнительной точке пространства, с измерением изменяющихся углов курса, крена, тангажа объекта, определение девяти коэффициентов Пуассона объекта в месте размещения датчика. The set of tools used for the device according to the second embodiment, one of which is designed to measure the projections of the magnetic induction vector, consisting of a three-component sensor, rigidly connected to a moving object, three amplifier-converter blocks and a variable emf generator, the second for measuring heading angles, roll, pitch an object, and not magnetic physical quantities, the third for simultaneously recording the projections of the magnetic induction vectors and the mentioned angles of the object and the information processing device and four The fourth one consisting of a sample of magnetically soft iron, with the possibility of its placement at an additional point in space, the Poisson ratios of which are known at the location of the sensor, form a single device that provides synchronously measured projections of the magnetic induction vectors in the absence of a sample at an additional point in space , with the measurement of changing course angles, roll, pitch of the object, determination of nine Poisson's ratios of the object at the location of the sensor.
Таким образом, технический результат предлагаемого устройства выражается в определении всех девяти коэффициентов Пуассона подвижного объекта как при наличии сведений о модуле вектора магнитной индукции внешнего магнитного поля, в частности МПЗ, не искаженного магнитным полем объекта (для устройства по первому варианту), так и при отсутствии этих сведений (для устройства по второму варианту), что позволяет осуществлять определение коэффициентов Пуассона в рабочих условиях, например в условиях магнитной съемки. Thus, the technical result of the proposed device is expressed in the determination of all nine Poisson's ratios of the moving object, both in the presence of information about the module of the magnetic induction vector of the external magnetic field, in particular, the magnetic field, not distorted by the magnetic field of the object (for the device according to the first embodiment), and in the absence this information (for the device according to the second embodiment), which allows the determination of Poisson's ratios under operating conditions, for example, in magnetic recording conditions.
Сущность предлагаемого способа и устройства для его осуществления поясняется следующими графическими материалами. The essence of the proposed method and device for its implementation is illustrated by the following graphic materials.
На фиг. 1 изображена структурная схема устройства для осуществления способа определения коэффициентов Пуассона объекта. In FIG. 1 shows a block diagram of a device for implementing the method for determining the Poisson's ratios of an object.
На фиг. 2 изображены направления осей объекта в опорной системе координат при углах курса, крена, тангажа. In FIG. 2 shows the directions of the axes of the object in the reference coordinate system at the corners of the course, roll, pitch.
 Предлагаемое устройство (по первому варианту) для осуществления способа определения коэффициентов Пуассона подвижного объекта по первому варианту состоит (см. фиг. 1) из трехкомпонентного магниточувствительного датчика 1, трех усилительно-преобразовательных блоков 2 4, первые входы которых подключены к выходам датчика 1, генератора переменной ЭДС 5, первый выход которого подключен к входу датчика 1, а второй выход к вторым входам блоков 2 4, регистрирующего блока 6, входы которого подключены к выходам блоков 2 - 4, углоизмерительного устройства 7, выходы которого подключены к трем дополнительным входам блока 6, и устройства обработки информации 8, подключенного к выходу блока 6. При этом датчик 1, блоки 2 4, генератор 5, блок 6, устройство 7 и блок 8 размещены на подвижном объекте 9. The proposed device (according to the first embodiment) for implementing the method for determining the Poisson ratios of a moving object according to the first embodiment consists (see Fig. 1) of a three-component magnetosensitive sensor 1, three amplifier-converter blocks 2 4, the first inputs of which are connected to the outputs of the sensor 1, generator EMF variable 5, the first output of which is connected to the input of the sensor 1, and the second output to the second inputs of blocks 2 4, of the recording block 6, whose inputs are connected to the outputs of blocks 2 - 4, of the
Заявленный способ по первому варианту реализуется посредством предлагаемого устройства (по первому варианту) следующим образом. The claimed method according to the first embodiment is implemented by the proposed device (according to the first embodiment) as follows.
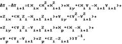
 На первый вход трехкомпонентного датчика 1 (см. фиг. 1), в частности феррозонда, подается с генератора 5 переменная ЭДС, возбуждающая этот датчик. В результате этого на выходе датчика 1 появляются три ЭДС второй гармоники, каждая из которых пропорциональна проекции вектора магнитной индукции на соответствующую магнитную ось датчика 1 (Афанасьев Ю.В. Феррозондовые приборы. Л. Энергоатомиздат, 1986, с. 66). Выходные сигналы с датчика 1 усиливаются и детектируются в соответствующих блоках 2 -4. Для детектирования сигналов на вторые входы блоков 2 4 подается переменное напряжение с генератора 5. На входы блока 6 поступают сигналы с выходов блоков 2 4, пропорциональные проекциям векторов магнитной индукции, и выходные сигналы с устройства 7, пропорциональные углам курса, крена, тангажа объекта 9. Блок 6 обеспечивает синхронную регистрацию сигналов, пропорциональных значениям проекций векторов магнитной индукции и углов курса, крена, тангажа объекта, и передачу их на устройство обработки информации 8, при введении в которое данных о модуле вектора магнитной индукции внешнего магнитного поля при отсутствии объекта осуществляется определение коэффициентов Пуассона и составляющих магнитного поля объекта. При синхронном измерении проекций десяти векторов магнитной индукции и углов курса, крена и тангажа, например, при циркуляции объекта, при которых направляющие косинусы осей системы координат объекта различны, получают по десять значений проекций векторов магнитной индукции Bxi, Byi, Bzi на одну и ту же ось объекта. Алгебраические выражения Bxi, Byi, Bzi, образующие системы уравнений, представлены ранее в предлагаемом устройстве по первому варианту. В этих уравнениях (l1i, m1i, n1i), (l2i, m2i, n2i), (l3i, m3i, n3i) направляющие косинусы соответствующих осей O'X', O'Y', O'Z' (см. фиг. 2) системы координат объекта O'X'Y'Z', являющиеся функциями углов курса ψ крена qк и тангажа θу относительно опорной системы координат OXYZ. В данных уравнениях неизвестными параметрами являются Bxp, Byp, Bzp и произведения Bxt, Byt, Bzt на коэффициенты Пуассона. Измеренными параметрами являются направляющие косинусы осей системы координат объекта и Bxi, Byi, Bzi при различных друг от друга направляющих косинусах осей системы координат объекта, поэтому каждая из систем упомянутых уравнений имеет устойчивое и единственное решение. Решением этой системы уравнений являются (1+a)•Bxt, (1+a)•Byt, (1+a)•Bzt, b•Bxt, b•Byt, b•Bzt, d•Bxt, d•Byt, d•Bzt, (1+e)•Bxt,
 (1+e)•Byt, (1+e)•Bzt, f•Bxt, f•Byt, f•Bzt, q•Bxt, q•Byt, q•Bzt, h•Bxt, h•Byt, h•Bzp, (1+k)•Bxt, (1+k)•Byt, (1+k)•Bzt, Bxp, Byp, Bzp.At the first input of a three-component sensor 1 (see Fig. 1), in particular a flux gate, an EMF variable is supplied from the generator 5, exciting this sensor. As a result of this, three emfs of the second harmonic appear at the output of sensor 1, each of which is proportional to the projection of the magnetic induction vector onto the corresponding magnetic axis of sensor 1 (Afanasyev Yu.V. Ferrozond devices. L. Energoatomizdat, 1986, p. 66). The output signals from the sensor 1 are amplified and detected in the corresponding blocks 2 -4. To detect the signals, the second inputs of blocks 2 4 are supplied with alternating voltage from the generator 5. The inputs from block 6 receive the signals from the outputs of blocks 2 4 proportional to the projections of the magnetic induction vectors, and the output signals from the
 (1 + e) • Byt , (1 + e) • Bzt , f • Bxt , f • Byt , f • Bzt , q • Bxt , q • Byt , q • Bzt , h • Bxt , h • Byt , h • Bzp , (1 + k) • Bxt , (1 + k) • Byt , (1 + k) • Bzt , Bxp , Byp , Bzp .
 По полученным решениям определяют
 Аналогично определяют (1+e)•Bt, (1+k)•Bt, b•Bt, c•Bt, d•Bt, f•Bt, q•Bt, h•Bt.According to the decisions determined
 Similarly define (1 + e) • Bt , (1 + k) • Bt , b • Bt , c • Bt , d • Bt , f • Bt , q • Bt , h • Bt .
Измерив, например, квантовым магнитометром модуль вектора магнитной индукции Bt, как это представлено в работе (Резник Э.Е. Канторович В.Л. Некоторые вопросы компенсации магнитных полей самолета // Сб. статей "Геофизическое приборостроение". Л. Недра, 1964, вып. 18, с. 26 30), при отсутствии влияния магнитного поля объекта и подставляя его значение в полученные решения произведения параметров Пуассона на Bt, определяют все девять параметров Пуассона объекта 9 в месте размещения датчика 1, жестко связанного с объектом 9.By measuring, for example, a quantum magnetometer, the magnitude of the magnetic induction vector Bt , as presented in (Reznik E.E. Kantorovich V.L. Some problems of compensating the magnetic fields of an airplane // Collection of articles "Geophysical Instrumentation". L. Nedra, 1964 , issue 18, p. 26 30), in the absence of the influence of the magnetic field of the object and substituting its value in the obtained solutions of the product of the Poisson parameters by Bt , all nine Poisson parameters of the object 9 are determined at the location of the sensor 1, which is rigidly connected with the object 9.
Значение Bt можно определить по географическому местоположению объекта и картам магнитного поля, составленным и периодически корректируемым Институтом земного магнетизма, ионосферы и распространения радиоволн Российской Академии Наук (Логачев А.А. Захаров В.П. Магниторазведка. Л. Недра, 1979).The value of Bt can be determined by the geographic location of the object and magnetic field maps compiled and periodically adjusted by the Institute of Terrestrial Magnetism, Ionosphere and Radio Wave Propagation of the Russian Academy of Sciences (Logachev A.A. Zakharov V.P. Magnitorazvedka. L. Nedra, 1979).
 Предлагаемое устройство (по второму варианту) для осуществления способа определения коэффициентов Пуассона подвижного объекта по второму варианту состоит (см. фиг. 1) из трехкомпонентного магниточувствительного датчика 1, трех усилительно-преобразовательных блоков 2 4, первые входы которых подключены к выходам датчика 1, генератора переменной ЭДС 5, первый выход которого подключен к входу датчика 1, а второй выход к вторым входам блоков 2 4, регистрирующего блока 6, входы которого подключены к выходам блоков 2 - 4, углоизмерительного устройства 7, выходы которого подключены к трем дополнительным входам блока 6, устройства обработки информации 8, подключенного к выходу блока 6, и образца 10 из мягкого в магнитном отношении железа с возможностью его размещения в дополнительной точке пространства, жестко связанной с системой координат объекта 9. При этом коэффициенты Пуассона образца 10, расположенного в дополнительной точке пространства, известны в точке размещения датчика 1. The proposed device (according to the second embodiment) for implementing the method for determining the Poisson ratios of a moving object according to the second embodiment consists (see Fig. 1) of a three-component magnetosensitive sensor 1, three amplifier-converter blocks 2 4, the first inputs of which are connected to the outputs of the sensor 1, generator EMF variable 5, the first output of which is connected to the input of the sensor 1, and the second output to the second inputs of blocks 2 4, of the recording block 6, whose inputs are connected to the outputs of blocks 2 - 4, of the
Заявляемый способ по второму варианту реализуется посредством предлагаемого устройства (по второму варианту) следующим образом. The inventive method according to the second embodiment is implemented by the proposed device (according to the second embodiment) as follows.
 Устройство по второму варианту при отсутствии в дополнительной точке образца 10 (см. фиг. 1) обеспечивает определение произведений коэффициентов Пуассона объекта на Bt аналогично устройству по первому варианту, значения которых остаются в памяти устройства 8. Затем размещают в дополнительной точке пространства, жестко связанной с системой координат объекта 9, образец 10 из мягкого в магнитном отношении железа, параметры Пуассона которого при выбранной его ориентации известны в месте размещения датчика 1. При синхронном измерении проекций десяти векторов магнитной индукции и углов курса, крена, тангажа, например, при циркуляции объекта, в частности судна, при которых направляющие косинусы осей системы координат объекта различны, получают по десять значений проекций векторов магнитной индукции Bxj, Byj, Bzj на одну и ту же ось объекта. Алгебраические выражения Bxj, Byj, Bzj, образующие системы уравнений, представлены в предлагаемом устройстве по второму варианту. В этих уравнениях (l1j, m1j, n1j), (l2j, m2j, n2j), (l3j, m3j, n3j) направляющие косинусы соответствующих осей O'X', O'Y', O'Z' (см. фиг. 2) системы координат объекта O'X'Y'Z', являющиеся функциями углов курса ψ крена qx и тангажа θy относительно опорной системы координат OXYZ. В данных уравнениях неизвестными параметрами являются Bxp+Bx0, Byp+By0, Bzp+Bz0 и произведения Bxt, Byt, Bzt на соответствующие суммы коэффициентов Пуассона объекта и образца. Измеренными параметрами являются направляющие косинусы осей системы координат объекта, коэффициенты Пуассона образца и Bxj, Byj, Bzj при различных друг от друга направляющих косинусах осей системы координат объекта, поэтому каждая из систем упомянутых уравнений имеет устойчивое и единственное решение. Решением этой системы уравнений являются (1+a+a0)•Bxt, (1+a+a0)•Byt, (1+a+a0)•Bzt, (b+b0)•Bxt, (b+b0)•Byt, (b+b0)•Bzt, (c+c0)•Bxt, (c+c0)•Byt, (c+c0)•Bzt, (d+d0)•Bxt, (d+d0)•Byt, (d+d0)•Bzt, (1+e+e0)•Bxt, (1+e+e0)•Byt, (1+e+e0)•Bzt, (f+f0)•Bxt,
 (f+f0)•Byt, (f+f0)•Bzt, (q+q0)•Bxt, (q+q0)•Byt, (q+q0)•Bzt, (h+h0)•bxt,
 (h+h0)•Byt, (h+h0)•Bzp, (1+k+k0)•Bxt, (1+k+k0)•Byt, (1+k+k0)•Bzt, Bxp+Bx0, Byp+By0, Bzp+Bz0.The device according to the second embodiment, in the absence of sample 10 at an additional point (see Fig. 1), provides the determination of the product of the Poisson's ratios of the object by Bt similarly to the device according to the first embodiment, the values of which remain in the memory of device 8. Then, they are placed in an additional space point that is rigidly connected with the coordinate system of object 9, a sample 10 of magnetically soft iron, the Poisson parameters of which, when its orientation is selected, are known at the location of sensor 1. When synchronously measuring projections, syati vectors of magnetic induction and course angles, roll, pitch, for example, in the circulation of the object, in particular vessel in which the direction cosines of the axes of the object coordinate system are different, obtained ten values of the projections of the magnetic induction Bxj, Byj, Bzj one and the same axis of the object. Algebraic expressions Bxj , Byj , Bzj , forming a system of equations, are presented in the proposed device according to the second embodiment. In these equations (l1j , m1j , n1j ), (l2j , m2j , n2j ), (l3j , m3j , n3j ) the direction cosines of the corresponding axes O'X ', O'Y', O 'Z' (see Fig. 2) of the coordinate system of the object O'X'Y'Z ', which are functions of the angles of the course ψ of the roll qx and the pitch θy relative to the reference coordinate system OXYZ. In these equations, the unknown parameters are Bxp + Bx0 , Byp + By0 , Bzp + Bz0 and the products Bxt , Byt , Bzt and the corresponding sums of the Poisson's ratios of the object and the sample. The measured parameters are the direction cosines of the axes of the object's coordinate system, the Poisson's ratios of the sample and Bxj , Byj , Bzj for the different directional cosines of the axes of the object's coordinate system, therefore, each of the systems of the mentioned equations has a stable and unique solution. The solution to this system of equations is (1 + a + a0 ) • Bxt , (1 + a + a0 ) • Byt , (1 + a + a0 ) • Bzt , (b + b0 ) • Bxt , (b + b0 ) • Byt , (b + b0 ) • Bzt , (c + c0 ) • Bxt , (c + c0 ) • Byt , (c + c0 ) • Bzt , (d + d0 ) • Bxt , (d + d0 ) • Byt , (d + d0 ) • Bzt , (1 + e + e0 ) • Bxt , (1 + e + e0 ) • Byt , (1 + e + e0 ) • Bzt , (f + f0 ) • Bxt ,
 (f + f0 ) • Byt , (f + f0 ) • Bzt , (q + q0 ) • Bxt , (q + q0 ) • Byt , (q + q0 ) • Bzt , (h + h0 ) • bxt ,
 (h + h0 ) • Byt , (h + h0 ) • Bzp , (1 + k + k0 ) • Bxt , (1 + k + k0 ) • Byt , (1 + k + k0 ) • Bzt , Bxp + Bx0 , Byp + By0 , Bzp + Bz0 .
 По полученным решениям определяют
 Аналогично определяют (1+e+eo)•Bt, (1+k+ko)•Bt, (b+b0)•Bt, (c+c0)•Bt, (d+d0)•Bt, (f+f0)•Bt, (q+q0)•Bt, (h+h0)•Bt.According to the decisions determined
 Similarly determine (1 + e + eo ) • Bt , (1 + k + ko ) • Bt , (b + b0 ) • Bt , (c + c0 ) • Bt , (d + d0 ) • Bt , (f + f0 ) • Bt , (q + q0 ) • Bt , (h + h0 ) • Bt .
 Из решения уравнений при отсутствии и наличии образца определяют параметры Пуассона объекта и значения Bxt, Byt, Bzt. Так, например, при отсутствии образца 10 определяют (1+a)•Bt, которое обозначим через N1, а при наличии образца 10 определяют (1+a+a0)Bt, которое обозначим через N2, то есть получают систему двух уравнений:
 (1+a)•Bt=N1
 (1+a+a0)•Bt=N2
 Решением этой системы будет
 В месте расположения датчика 1 (см. фиг. 1) параметры Пуассона образца правильной геометрической формы, например в виде шара или эллипсоида, можно определить аналитически (Яновский Б.М. Земной магнетизм. Л. ЛГУ, 1978; Кожухов В. П. Воронов В.В. Григорьев В.В. Магнитные компасы. М. Транспорт, 1981) или экспериментально с помощью трехкомпонентной меры магнитной индукции (Афанасьев В.В. Студенов Н.В. Хорев В.Н. и др. Средства измерения параметров магнитного поля. Л. Энергия, 1979) в зависимости от изменения магнитной индукции внешнего намагничивающего поля, например, от изменения магнитной широты, при этом сохраняя неизменным взаимное расположение датчика и образца, которое они должны иметь при работе в полевых условиях.From the solution of the equations in the absence and presence of a sample, the Poisson parameters of the object and the values of Bxt , Byt , Bzt are determined. So, for example, in the absence of sample 10, (1 + a) • Bt is determined, which is denoted by N1 , and in the presence of sample 10, (1 + a + a0 ) Bt is determined, which is denoted by N2 , that is, a system of two equations:
 (1 + a) • Bt = N1
 (1 + a + a0 ) • Bt = N2
 The solution to this system will be
 At the location of sensor 1 (see Fig. 1), the Poisson parameters of a sample of a regular geometric shape, for example, in the form of a ball or an ellipsoid, can be determined analytically (Yanovsky B.M. Earth magnetism. L. Leningrad State University, 1978; Kozhukhov V.P. Voronov VV Grigoryev VV Magnetic compasses. M. Transport, 1981) or experimentally using a three-component measure of magnetic induction (Afanasyev VV Studenov NV, Khorev VN and other means of measuring magnetic field parameters . L. Energia, 1979) depending on the change in the magnetic induction of the external magnetizing field, n example, by changes in the magnetic latitude while maintaining unchanged the mutual arrangement of the sensor and the sample, they must be in operation in the field.
Техническое решение по второму варианту может быть использовано для контроля коэффициентов Пуассона объекта и определения смещения нуля тесламетра или для корректировки постоянного и индуктивного магнитного поля объекта в рабочих условиях, например, в условиях магнитной съемки. The technical solution according to the second option can be used to control the Poisson's ratios of the object and determine the zero offset of the teslameter or to adjust the constant and inductive magnetic field of the object under operating conditions, for example, in magnetic recording conditions.
Таким образом, технический результат предлагаемого технического решения выражается в определении всех девяти коэффициентов Пуассона объекта как при наличии сведений о модуле вектора магнитной индукции внешнего магнитного поля, так и при отсутствии этих сведений. Thus, the technical result of the proposed technical solution is expressed in the determination of all nine Poisson's ratios of the object, both in the presence of information about the module of the magnetic induction vector of the external magnetic field, and in the absence of this information.
В предлагаемом техническом решении датчик 1 (см. фиг. 1), блоки 2 4 и генератор 5 выполнены аналогично известному устройству для измерения параметров магнитного поля (Афанасьев Ю.В. Феррозондовые приборы. Л. Энергоатомиздат, 1986, с. 117). При этом каждый блок 2 4 состоит из избирательного усилителя и синхронного детектора (Афанасьев Ю.В. Студенцов Н.В. Щелкин А.П. Магнитометрические преобразователи, приборы, установки. Л. Энергия, 1972, с. 155). Углоизмерительным устройством 7 (см. фиг. 1) может быть гиростабилизированная платформа (ГСП), обеспечивающая измерение трех углов вращения объекта с погрешностью около 0,5 угловых минут за счет трехосной гироскопической стабилизации ГСП относительно трех взаимно перпендикулярных осей опорной системы координат (Теория и конструкция гироскопических приборов и систем // И. В. Одинова, Г.Д. Блюмин, А.В.Карпухин и др. М. Высшая школа, 1971, с. 387 -393, рис. 9.9). Для высокоточного измерения углового положения подвижного объекта в опорной системе координат с погрешностью до десятых долей угловых секунд в предлагаемом техническом решении в качестве углоизмерительного устройства 7 (см. фиг. 1) для измерения углов курса, крена, тангажа могут быть использованы навигационные системы на основе лазерных гироскопов, которыми оснащены самолеты (Тенденция совершенствования гироскопов и гиростабилизированных платформ. Д.П.Лукьянов, Л.А.Северов, Е.Л.Смирнов, А.В.Тиль // Л. Изв. вузов СССР. Приборостроение. Т. 30, N 10, 1987). Регистрирующий блок 6 и устройство обработки информации 8 могут быть реализованы УПК (Универсальным программируемым контроллером), разработанным и выпускаемым АО "ИФ-АТИС" (193131, С. -Петербург, ул. Ивановская, 24, тел. (812)568-37-14, факс (812) 568-37-12). In the proposed technical solution, the sensor 1 (see Fig. 1), blocks 2 4 and the generator 5 are made similar to the known device for measuring magnetic field parameters (Afanasyev Yu.V. Ferrozond devices. L. Energoatomizdat, 1986, p. 117). Moreover, each block 2 4 consists of a selective amplifier and a synchronous detector (Afanasyev Yu.V. Studentsov N.V. Shchelkin A.P. Magnetometric transducers, devices, installations. L. Energia, 1972, p. 155). The angle measuring device 7 (see Fig. 1) can be a gyrostabilized platform (GSP), which provides measurement of three angles of rotation of the object with an error of about 0.5 angular minutes due to the triaxial gyroscopic stabilization of the GSP relative to three mutually perpendicular axes of the reference coordinate system (Theory and Design gyroscopic instruments and systems // I.V. Odinova, G.D. Blumin, A.V. Karpukhin, and others M. Higher School, 1971, p. 387 -393, Fig. 9.9). For accurate measurement of the angular position of a moving object in a reference coordinate system with an error of up to tenths of arc seconds in the proposed technical solution, as a corner measuring device 7 (see Fig. 1), laser-based navigation systems can be used to measure heading angles, roll, pitch of gyroscopes with which airplanes are equipped (The tendency of improving gyroscopes and gyrostabilized platforms. D.P. Lukyanov, L.A. Severov, E.L. Smirnov, A.V. Til // L. Izv. Universities of the USSR. Instrument making. T. 30 , N 10, 1987). The recording unit 6 and the information processing device 8 can be implemented by the CPC (Universal Programmable Controller) developed and manufactured by IF-ATIS JSC (193131, St. Petersburg, 24 Ivanovskaya St., tel. (812) 568-37- 14, fax (812) 568-37-12).
Образец из мягкого в магнитном отношении железа может быть выполнен из пермаллоя или железа Армко (В.П.Кожухов, В.В.Воробьев, В.В.Григорьев. Магнитные компасы. М. Транспорт, 1981). A sample of magnetically soft iron can be made of permalloy or Armco iron (V.P. Kozhukhov, V.V. Vorobiev, V.V. Grigoriev. Magnetic compasses. M. Transport, 1981).
| Application Number | Priority Date | Filing Date | Title | 
|---|---|---|---|
| RU95101779ARU2096818C1 (en) | 1995-02-07 | 1995-02-07 | Method determining poisson's ratio of mobile object and device for its realization | 
| Application Number | Priority Date | Filing Date | Title | 
|---|---|---|---|
| RU95101779ARU2096818C1 (en) | 1995-02-07 | 1995-02-07 | Method determining poisson's ratio of mobile object and device for its realization | 
| Publication Number | Publication Date | 
|---|---|
| RU95101779A RU95101779A (en) | 1997-05-27 | 
| RU2096818C1true RU2096818C1 (en) | 1997-11-20 | 
| Application Number | Title | Priority Date | Filing Date | 
|---|---|---|---|
| RU95101779ARU2096818C1 (en) | 1995-02-07 | 1995-02-07 | Method determining poisson's ratio of mobile object and device for its realization | 
| Country | Link | 
|---|---|
| RU (1) | RU2096818C1 (en) | 
| Publication number | Priority date | Publication date | Assignee | Title | 
|---|---|---|---|---|
| RU2134426C1 (en)* | 1998-07-28 | 1999-08-10 | Смирнов Борис Михайлович | Method of determination of moving object poisson coefficients | 
| RU2168188C1 (en)* | 2000-05-26 | 2001-05-27 | Смирнов Борис Михайлович | Process determining projections of magnetic induction vector of geomagnetic field from mobile object ( versions ) | 
| RU2204851C1 (en)* | 2001-11-30 | 2003-05-20 | Смирнов Борис Михайлович | Device for measuring flux density of mobile-object geomagnetic field | 
| RU2207599C1 (en)* | 2002-07-22 | 2003-06-27 | Смирнов Борис Михайлович | Facility establishing induction of geomagnetic field from mobile object | 
| RU2207513C1 (en)* | 2001-11-28 | 2003-06-27 | Мамошин Владимир Романович | Combination method of forming of flight vehicle and object motion parameters observed from its board in stabilized coordinate system, complex system of its realization | 
| RU2219497C1 (en)* | 2002-04-01 | 2003-12-20 | Смирнов Борис Михайлович | Device determining coordinates of source of magnetic field from mobile object | 
| RU2236029C1 (en)* | 2003-06-02 | 2004-09-10 | Смирнов Борис Михайлович | Device for measuring flux density of geomagnetic field from mobile object | 
| RU2247404C1 (en)* | 2004-01-19 | 2005-02-27 | Смирнов Борис Михайлович | Apparatus for determining parameters of magnetization degree of movable object | 
| RU2257594C1 (en)* | 2004-03-01 | 2005-07-27 | Смирнов Борис Михайлович | Device for measuring parameters characterizing magnetization of moving object | 
| RU2261456C1 (en)* | 2004-05-17 | 2005-09-27 | Смирнов Борис Михайлович | Method and device for measuring parameters characterizing magnetization of object | 
| Title | 
|---|
| Лысенко А.П. Теория и методы компенсации магнитных потерь. Сб. статьей "Геофизическое приборостроение",- Л.: Мингеология и охрана недр СССР, ОКБ, 1960, вып. 7, с. 44 - 58. Резник Э.Е. и др. Некоторые вопросы компенсации магнитных полей самолета Сб. статей "Геофизическое приборостроение", Л.: Недра, 1964, вып. 18, с. 26 - 30, 34 - 36. Афанасьев Ю.В. Феррозондовые приборы. Л.: Энергоатомиздат, 1986, с. 117. Логачев А.А. и др. Магниторазведка, Л.: Недра, 1979, с. 85 - 94.* | 
| Publication number | Priority date | Publication date | Assignee | Title | 
|---|---|---|---|---|
| RU2134426C1 (en)* | 1998-07-28 | 1999-08-10 | Смирнов Борис Михайлович | Method of determination of moving object poisson coefficients | 
| RU2168188C1 (en)* | 2000-05-26 | 2001-05-27 | Смирнов Борис Михайлович | Process determining projections of magnetic induction vector of geomagnetic field from mobile object ( versions ) | 
| RU2207513C1 (en)* | 2001-11-28 | 2003-06-27 | Мамошин Владимир Романович | Combination method of forming of flight vehicle and object motion parameters observed from its board in stabilized coordinate system, complex system of its realization | 
| RU2204851C1 (en)* | 2001-11-30 | 2003-05-20 | Смирнов Борис Михайлович | Device for measuring flux density of mobile-object geomagnetic field | 
| RU2219497C1 (en)* | 2002-04-01 | 2003-12-20 | Смирнов Борис Михайлович | Device determining coordinates of source of magnetic field from mobile object | 
| RU2207599C1 (en)* | 2002-07-22 | 2003-06-27 | Смирнов Борис Михайлович | Facility establishing induction of geomagnetic field from mobile object | 
| RU2236029C1 (en)* | 2003-06-02 | 2004-09-10 | Смирнов Борис Михайлович | Device for measuring flux density of geomagnetic field from mobile object | 
| RU2247404C1 (en)* | 2004-01-19 | 2005-02-27 | Смирнов Борис Михайлович | Apparatus for determining parameters of magnetization degree of movable object | 
| RU2257594C1 (en)* | 2004-03-01 | 2005-07-27 | Смирнов Борис Михайлович | Device for measuring parameters characterizing magnetization of moving object | 
| RU2261456C1 (en)* | 2004-05-17 | 2005-09-27 | Смирнов Борис Михайлович | Method and device for measuring parameters characterizing magnetization of object | 
| Publication number | Publication date | 
|---|---|
| RU95101779A (en) | 1997-05-27 | 
| Publication | Publication Date | Title | 
|---|---|---|
| EP0363370B1 (en) | A roll-independent magnetometer system | |
| Isezaki | A new shipboard three-component magnetometer | |
| JP4093861B2 (en) | Compensation of large magnetic errors for electronic compass and all orientation operations | |
| Munschy et al. | Magnetic mapping for the detection and characterization of UXO: Use of multi-sensor fluxgate 3-axis magnetometers and methods of interpretation | |
| CA1194111A (en) | Borehole azimuth determination using magnetic field sensor | |
| Munschy et al. | Scalar, vector, tensor magnetic anomalies: Measurement or computation? | |
| Schiffler et al. | Calibration of SQUID vector magnetometers in full tensor gradiometry systems | |
| RU2096818C1 (en) | Method determining poisson's ratio of mobile object and device for its realization | |
| Schneider et al. | Inversion of geo-magnetic full-tensor gradiometer data | |
| Karshakov et al. | Aeromagnetic gradiometry and its application to navigation | |
| Chen et al. | A correction method of magnetic gradient tensor system to improve magnet localization accuracy | |
| Getscher et al. | Magnetic gradient tensor framework for attitude-free position estimation | |
| Pang et al. | A new misalignment calibration method of portable geomagnetic field vector measurement system | |
| Zhang et al. | A component compensation method for magnetic interferential field | |
| Sapunov et al. | Theodolite-borne vector Overhauser magnetometer: DIMOVER | |
| Georgievich et al. | Multielement triaxial fluxgate gradiometer with variable base | |
| RU2168188C1 (en) | Process determining projections of magnetic induction vector of geomagnetic field from mobile object ( versions ) | |
| RU2166735C1 (en) | Device for remote determination of coordinates and attitude of object (versions) | |
| RU2365877C1 (en) | Method for definition of magnet deviation on movable object | |
| GB2200463A (en) | Determination of position magnetically | |
| RU2796372C1 (en) | Method for determining magnetic deviation on a moving object | |
| RU2131029C1 (en) | Method of determination of azimuth, zenith angle and angle of dip | |
| RU2206109C1 (en) | Facility determining induction of geomagnetic field from mobile object | |
| RU2247404C1 (en) | Apparatus for determining parameters of magnetization degree of movable object | |
| RU2257594C1 (en) | Device for measuring parameters characterizing magnetization of moving object |