Movatterモバイル変換


[0]ホーム

URL:


RU2016117810A - CONJUGATES PROTEIN-POLYMER-MEDICINE - Google Patents

CONJUGATES PROTEIN-POLYMER-MEDICINE
Download PDF

Info

Publication number
RU2016117810A
RU2016117810ARU2016117810ARU2016117810ARU2016117810ARU 2016117810 ARU2016117810 ARU 2016117810ARU 2016117810 ARU2016117810 ARU 2016117810ARU 2016117810 ARU2016117810 ARU 2016117810ARU 2016117810 ARU2016117810 ARU 2016117810A
Authority
RU
Russia
Prior art keywords
kda
drug conjugate
sum
targeted drug
therapeutic
Prior art date
Application number
RU2016117810A
Other languages
Russian (ru)
Other versions
RU2016117810A3 (en
Inventor
Роджер А. СМИТ
Нитин К. ДАМЛЕ
Александр В. ЮРКОВЕЦКИЙ
Мао ИНЬ
Тимоти Б. ЛОВИНГЕР
Джошуа Д. ТОМАС
Шери А. СТИВЕНСОН
Вену Р. Гуриджала
Original Assignee
Асана Биосайенсис, Ллк
Priority date (The priority date is an assumption and is not a legal conclusion. Google has not performed a legal analysis and makes no representation as to the accuracy of the date listed.)
Filing date
Publication date
Application filed by Асана Биосайенсис, ЛлкfiledCriticalАсана Биосайенсис, Ллк
Publication of RU2016117810ApublicationCriticalpatent/RU2016117810A/en
Publication of RU2016117810A3publicationCriticalpatent/RU2016117810A3/ru

Links

Classifications

Landscapes

Claims (75)

Translated fromRussian
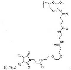
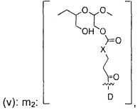
1. Терапевтический направленный конъюгат лекарственного средства, применимый в противоопухолевых терапиях, включающий:1. Therapeutic targeted drug conjugate, applicable in antitumor therapies, including:(a) лиганд (LG), содержащий иммуноглобулин или его функциональный фрагмент, направленный на онкофетальный белок 5Т4 человека, причем лиганд связывает m5 полимерных остовов (b), при этом m5 составляет от одного до приблизительно десяти,(a) a ligand (LG) containing an immunoglobulin or a functional fragment thereof directed to a human 5T4 oncofetal protein, wherein the ligand binds m5 polymer backbones (b), wherein m5 is from one to about ten,(b) полимерный каркас, содержащий поли(1-гидроксиметилэтилен гидроксиметилформаль) (PHF), который имеет молекулярную массу от приблизительно 2 кДа до приблизительно 40 кДа, при этом полимерный каркас содержит расположенные в случайном порядке мономерные звенья m, m1, m2, m3a и m3b, как определено ниже:(b) a polymer skeleton containing poly (1-hydroxymethylethylene hydroxymethylformal) (PHF), which has a molecular weight of from about 2 kDa to about 40 kDa, the polymer skeleton containing randomly arranged monomer units m, m1 , m2 , m3a and m3b , as defined below:
Figure 00000001
Figure 00000001
где m3a отсутствует, или в полимерном каркасе присутствует от 1 до приблизительно 17 мономерных звеньев m3a, и в каждом звене, Ха и Xb независимо выбраны из: (А) один представляет собой Н, а другой представляет собой группировку, блокирующую малеимидо, или (В) Ха и Xb вместе с атомами углерода, к которым они присоединены, образуют углерод-углеродную двойную связь,where m3a is absent, or from 1 to about 17 monomeric units of m3a are present in the polymer framework, and in each link, Xa and Xb are independently selected from: (A) one is H and the other is a maleimido blocking moiety , or (B) Xa and Xb together with the carbon atoms to which they are attached form a carbon-carbon double bond,
Figure 00000002
Figure 00000002
где сульфидная связь образует точку присоединения к лиганду, и при этом в полимерном каркасе присутствует от 1 до приблизительно 8 мономерных звеньев m3b, при условии, что сумма m3a и m3b составляет от 1 до 18, и при этом атом серы представляет собой часть лиганда,where the sulfide bond forms the point of attachment to the ligand, and in this case, from 1 to about 8 monomer units of m3b are present in the polymer framework, provided that the sum of m3a and m3b is from 1 to 18, and the sulfur atom is part ligand
Figure 00000003
Figure 00000003
причем в полимерном каркасе присутствует от 1 до приблизительно 300 мономерных звеньев m,moreover, from 1 to about 300 monomer units m are present in the polymer framework,
Figure 00000004
Figure 00000004
причем в полимерном каркасе присутствует от 1 до приблизительно 140 мономерных звеньев m1,moreover, in the polymer frame is present from 1 to about 140 monomer units m1
Figure 00000005
Figure 00000005
причем в полимерном каркасе присутствует от 1 до приблизительно 40 мономерных звеньев m2,moreover, from 1 to about 40 monomer units of m2 are present in the polymer framework,где в каждом из мономерных звеньев m, m1, m2, m3a и m3b, X представляет собой СН2, О или NH,wherein each of the monomer units m, m1, m2, m3a and m3b, X represents CH2, O or NH,сумма m, m1, m2, m3a и m3b составляет от приблизительно 15 до приблизительно 300, иthe sum of m, m1 , m2 , m3a and m3b is from about 15 to about 300, andпри этом в каждом случае D независимо представляет собой терапевтическое средство, имеющее молекулярную массу меньшую или равную 5 кДа, и
Figure 00000006
между D и карбонильной группой обозначает прямое или непрямое присоединение D к карбонильной группе.
however, in each case, D independently represents a therapeutic agent having a molecular weight of less than or equal to 5 kDa, and
Figure 00000006
between D and a carbonyl group denotes direct or indirect addition of D to a carbonyl group.
2. Терапевтический направленный конъюгат лекарственного средства по п. 1, где лиганд имеет молекулярную массу более чем приблизительно 40 кДа и PHF имеет молекулярную массу от приблизительно 2 кДа до приблизительно 40 кДа.2. The therapeutic targeted drug conjugate of claim 1, wherein the ligand has a molecular weight of more than about 40 kDa and the PHF has a molecular weight of from about 2 kDa to about 40 kDa.3. Терапевтический направленный конъюгат лекарственного средства по п. 1, где лиганд содержит иммуноглобулин или его функциональный фрагмент.3. The therapeutic targeted drug conjugate according to claim 1, wherein the ligand contains an immunoglobulin or a functional fragment thereof.4. Терапевтический направленный конъюгат лекарственного средства по п. 3, где иммуноглобулин или его функциональный фрагмент выбран из группы, состоящей из моноклонального антитела, химерного антитела, гуманизированного антитела, человеческого антитела, иммуноадгезина, F(Ab)2, минитела, Fab', однодоменного антитела, нанотела, одноцепочечного антитела с вариабельными фрагментами (scFv), тандем/бис-scFv, F(ab)3, scFv-Fc (или scFvFc), dsFv, диатела, триатела и тетратела.4. Therapeutic directed drug conjugate according to claim. 3, wherein the immunoglobulin or functional fragment thereof is selected from the group consisting of monoclonal antibody, chimeric antibody, humanized antibody, human antibody, immunoadhesin, F (Ab)2, Minitel, Fab ', single domain antibodies, nanobodies, single-chain antibodies with variable fragments (scFv), tandem / bis-scFv, F (ab)3 , scFv-Fc (or scFvFc), dsFv, diabody, triatel and tetra.5. Терапевтический направленный конъюгат лекарственного средства по п. 4, где иммуноглобулин или его функциональный фрагмент представляет собой анти-5Т4 scFvFc и имеет аминокислотную последовательность SEQ ID NO: А.5. The therapeutic targeted drug conjugate of claim 4, wherein the immunoglobulin or a functional fragment thereof is anti-5T4 scFvFc and has the amino acid sequence of SEQ ID NO: A.6. Терапевтический направленный конъюгат лекарственного средства по п. 1, где m5 составляет от 2 до 8.6. The therapeutic targeted drug conjugate of claim 1, wherein m5 is from 2 to 8.7. Терапевтический направленный конъюгат лекарственного средства по п. 6, где m5 составляет от 2 до 4.7. The therapeutic targeted drug conjugate of claim 6, wherein m5 is from 2 to 4.8. Терапевтический направленный конъюгат лекарственного средства по п. 7, где D независимо выбран из группы, состоящей из (а) ауристатина и его аналогов, (b) калихеамицина и его производных, (с) дуокармицина и его аналогов, (d) SN38 и (е) пирролобензодиазепина и его аналогов.8. The therapeutic targeted drug conjugate according to claim 7, wherein D is independently selected from the group consisting of (a) auristatin and its analogues, (b) calicheamicin and its derivatives, (c) duocarmycin and its analogues, (d) SN38 and (e) pyrrolobenzodiazepine and its analogues.9. Терапевтический направленный конъюгат лекарственного средства по п. 8, где ауристатин или его аналог выбран из группы, состоящей из ауристатина, доластатина, монометилауристатина Е (ММАЕ), монометилауристатина F (MMAF), ауристатина F фенилендиамина (AFP) и ауристатина F гидроксипропиламида (AF НРА).9. The therapeutic targeted drug conjugate according to claim 8, wherein auristatin or an analogue thereof is selected from the group consisting of auristatin, dolastatin, monomethylauristatin E (MMAE), monomethylauristatin F (MMAF), phenylenediamine (AFP) auristatin F and (auristatin AF NRA).10. Терапевтический направленный конъюгат лекарственного средства по п. 8, где дуокармицин или его аналоги выбран из группы, состоящей из дуокармицина А, дуокармицина В1, дуокармицина В2, дуокармицина С1, дуокармицина С2, дуокармицина D, дуокармицина SA, СС-1065, адозелезина, бизелезина и карзелезина.10. The therapeutic targeted drug conjugate according to claim 8, wherein the duocarmycin or its analogs is selected from the group consisting of duocarmycin A, duocarmycin B1, duocarmycin B2, duocarmycin C1, duocarmycin C2, duocarmycin D, Dosec, 10, Duocarmycin D, Dosec bizelezin and carlesesin.11. Терапевтический направленный конъюгат лекарственного средства по п. 1, где X представляет собой NH.11. The therapeutic targeted drug conjugate of claim 1, wherein X is NH.12. Терапевтический направленный конъюгат лекарственного средства по п. 1, где PHF имеет молекулярную массу от приблизительно 2 кДа до приблизительно 20 кДа, сумма m, m1, m2, m3a и m3b составляет от приблизительно 15 до приблизительно 150, m1 составляет от 1 до приблизительно 70, m2 составляет от 1 до приблизительно 20, m3a составляет от 0 до приблизительно 9, m3b составляет от 1 до приблизительно 8, и m5 составляет от 2 до приблизительно 8, и при этом сумма m3a и m3b составляет от 1 до 10.12. The therapeutic targeted drug conjugate of claim 1, wherein the PHF has a molecular weight of from about 2 kDa to about 20 kDa, the sum of m, m1 , m2 , m3a and m3b is from about 15 to about 150, m1 is from 1 to about 70, m2 is from 1 to about 20, m3a is from 0 to about 9, m3b is from 1 to about 8, and m5 is from 2 to about 8, and the sum of m3a and m3b is from 1 to 10.13. Терапевтический направленный конъюгат лекарственного средства по п. 1, где PHF имеет молекулярную массу от приблизительно 3 кДа до приблизительно 15 кДа, сумма m, m1, m2, m3a и m3b составляет от приблизительно 20 до приблизительно 110, m1 составляет от 2 до приблизительно 50, m2 составляет от 2 до приблизительно 15, m3a составляет от 0 до приблизительно 7, m3b составляет от 1 до приблизительно 8 и m5 составляет от 2 до приблизительно 4, и при этом сумма m3a и m3b составляет от 1 до 8.13. The therapeutic targeted drug conjugate of claim 1, wherein the PHF has a molecular weight of from about 3 kDa to about 15 kDa, the sum of m, m1 , m2 , m3a and m3b is from about 20 to about 110, m1 is from 2 to about 50, m2 is from 2 to about 15, m3a is from 0 to about 7, m3b is from 1 to about 8 and m5 is from 2 to about 4, and the sum of m3a and m3b is from 1 to 8.14. Терапевтический направленный конъюгат лекарственного средства по п. 1, где PHF имеет молекулярную массу от приблизительно 5 кДа до приблизительно 10 кДа, сумма m, m1, m2, m3a и m3b составляет от приблизительно 40 до приблизительно 75, m1 составляет от приблизительно 5 до приблизительно 35, m2 составляет от приблизительно 3 до приблизительно 10, m3a составляет от 0 до приблизительно 4, m3b составляет от 1 до приблизительно 5, и m5 составляет от 2 до приблизительно 4, и при этом сумма m3a и m3b составляет от 1 до 5.14. The therapeutic targeted drug conjugate of claim 1, wherein the PHF has a molecular weight of from about 5 kDa to about 10 kDa, the sum of m, m1 , m2 , m3a and m3b is from about 40 to about 75, m1 is from about 5 to about 35, m2 is from about 3 to about 10, m3a is from 0 to about 4, m3b is from 1 to about 5, and m5 is from 2 to about 4, and the sum m3a and m3b is from 1 to 5.15. Терапевтический направленный конъюгат лекарственного средства по п. 1, где m5 составляет от 2 до 4.15. The therapeutic targeted drug conjugate according to claim 1, wherein m5 is from 2 to 4.16. Терапевтический направленный конъюгат лекарственного средства по п. 1, имеющий формулу (В):16. The therapeutic targeted drug conjugate according to claim 1, having the formula (B):
Figure 00000007
Figure 00000007
где PHF имеет молекулярную массу от приблизительно 5 кДа до приблизительно 10 кДа,where the PHF has a molecular weight of from about 5 kDa to about 10 kDa,атом серы представляет собой часть лиганда,a sulfur atom is part of a ligand,m составляет от 1 до 75,m is from 1 to 75,m1 составляет от приблизительно 5 до приблизительно 35,m1 is from about 5 to about 35,m2 составляет от приблизительно 3 до приблизительно 10,m2 is from about 3 to about 10,m3a составляет от 0 до приблизительно 4,m3a is from 0 to about 4,m3b составляет от 1 до приблизительно 5,m3b is from 1 to about 5,сумма m, m1, m2, m3a и m3b составляет от приблизительно 40 до приблизительно 75, иthe sum of m, m1 , m2 , m3a and m3b is from about 40 to about 75, andm5 составляет от 2 до приблизительно 4.m5 is from 2 to about 4.17. Терапевтический направленный конъюгат лекарственного средства по п. 1, где сумма m1 и m2 составляет от приблизительно 8 до приблизительно 45.17. The therapeutic targeted drug conjugate of claim 1, wherein the sum of m1 and m2 is from about 8 to about 45.18. Терапевтический направленный конъюгат лекарственного средства по п. 1, где PHF имеет молекулярную массу от приблизительно 2 кДа до приблизительно 20 кДа, m2 составляет от 1 до приблизительно 20, сумма m3a и m3b составляет от 1 до приблизительно 10, m1 представляет собой целое число от 1 до приблизительно 70 и сумма m, m1, m2, m3a и m3b составляет от приблизительно 15 до приблизительно 150.18. The therapeutic targeted drug conjugate of claim 1, wherein the PHF has a molecular weight of from about 2 kDa to about 20 kDa, m2 is from 1 to about 20, the sum of m3a and m3b is from 1 to about 10, m1 represents an integer from 1 to about 70 and the sum of m, m1 , m2 , m3a and m3b is from about 15 to about 150.19. Терапевтический направленный конъюгат лекарственного средства по п. 1, где PHF имеет молекулярную массу от приблизительно 3 кДа до приблизительно 15 кДа, m2 представляет собой целое число от 2 до приблизительно 15, сумма m3a и m3b составляет от 1 до приблизительно 8, m1 представляет собой целое число от 2 до приблизительно 50, и сумма m, m1, m2, m3a и m3b составляет от приблизительно 20 до приблизительно 110.19. The therapeutic targeted drug conjugate of claim 1, wherein the PHF has a molecular weight of from about 3 kDa to about 15 kDa, m2 is an integer from 2 to about 15, the sum of m3a and m3b is from 1 to about 8 , m1 is an integer from 2 to about 50, and the sum of m, m1 , m2 , m3a and m3b is from about 20 to about 110.20. Терапевтический направленный конъюгат лекарственного средства по п. 1, где PHF имеет молекулярную массу от приблизительно 5 кДа до приблизительно 10 кДа, m2 представляет собой целое число от приблизительно 3 до приблизительно 10, сумма m3a и m3b составляет от 1 до приблизительно 5, m1 представляет собой целое число от приблизительно 5 до приблизительно 35, и сумма m, m1, m2, m3a и m3b составляет от приблизительно 40 до приблизительно 75.20. The therapeutic targeted drug conjugate of claim 1, wherein the PHF has a molecular weight of from about 5 kDa to about 10 kDa, m2 is an integer from about 3 to about 10, the sum of m3a and m3b is from 1 to about 5, m1 is an integer from about 5 to about 35, and the sum of m, m1 , m2 , m3a and m3b is from about 40 to about 75.21. Терапевтический направленный конъюгат лекарственного средства по п. 1, где поли(1-гидроксиметилэтиленгидроксиметилформаль) (PHF) имеет молекулярную массу от приблизительно 2 кДа до приблизительно 20 кДа, и сумма m, m1, m2 m3a и m3b составляет от 15 до приблизительно 150.21. The therapeutic targeted drug conjugate of claim 1, wherein the poly (1-hydroxymethylene ethylene hydroxymethyl formal) (PHF) has a molecular weight of from about 2 kDa to about 20 kDa, and the sum of m, m1 , m2 m3a and m3b is from 15 to about 150.22. Терапевтический направленный конъюгат анти-5Т4 лекарственного средства, применимый в противоопухолевых терапиях, содержащий анти-5Т4 лиганд и полимерный каркас, содержащий поли(1-гидроксиметилэтиленгидроксиметилформаль) (PHF), имеющий молекулярную массу от приблизительно 2 кДа до приблизительно 40 кДа, где конъюгат представляет собой следующую структуру:22. A therapeutic targeted anti-5T4 drug conjugate useful in antitumor therapies comprising an anti-5T4 ligand and a polymer skeleton comprising a poly (1-hydroxymethylethylene hydroxymethylformal) (PHF) having a molecular weight of from about 2 kDa to about 40 kDa, where the conjugate represents the following structure:
Figure 00000008
Figure 00000008
где m5 составляет от 1 до 10,where m5 is from 1 to 10,m представляет собой целое число от 1 до приблизительно 300,m is an integer from 1 to about 300,m1 представляет собой целое число от 1 до приблизительно 140,m1 represents an integer from 1 to 140,m2 представляет собой целое число от 1 до приблизительно 40,m2 is an integer from 1 to about 40,m3a представляет собой целое число от 0 до приблизительно 17,m3a is an integer from 0 to about 17,m3b представляет собой целое число от 1 до приблизительно 8, при условии, что сумма m3a и m3b представляет собой целое число от 1 до приблизительно 18, и сумма m, m1, m2 и m3 составляет от приблизительно 15 до приблизительно 300,m3b is an integer from 1 to about 8, provided that the sum of m3a and m3b is an integer from 1 to about 18, and the sum of m, m1 , m2 and m3 is from about 15 to about 300X представляет собой NH,X represents NH,один из Ха или Xb представляет собой Н, а другой представляет собой водорастворимую группировку, блокирующую малеимидо,one of Xa or Xb is H, and the other is a water-soluble moiety blocking maleimido,и при этом в каждом случае D независимо представляет собой терапевтическое средство, имеющее молекулярную массу меньшую или равную 5 кДа, и
Figure 00000009
между D и карбонильной группой обозначает прямое или непрямое присоединение D к карбонильной группе,
and in this case, in each case, D independently represents a therapeutic agent having a molecular weight of less than or equal to 5 kDa, and
Figure 00000009
between D and a carbonyl group denotes direct or indirect addition of D to a carbonyl group,
при этом АНТИ-5Т4 представляет собой анти-5Т4 лиганд, содержащий иммуноглобулин или его функциональный фрагмент, селективный к онкофетальному антигену 5Т4 человека, иwherein ANTI-5T4 is an anti-5T4 ligand containing an immunoglobulin or a functional fragment thereof selective to the human 5T4 oncofetal antigen, andпри этом атом серы представляет собой часть лиганда.wherein the sulfur atom is part of the ligand.23. Конъюгат по п. 22, где D выбран из одного или более из группы, состоящей из (а) ауристатина или его аналога, (b) калихеамицина или его производного, (с) дуокармицина или его аналога, (d) SN38 и (е) пирролобензодиазепина или его аналога.23. The conjugate according to claim 22, wherein D is selected from one or more of the group consisting of (a) auristatin or its analogue, (b) calicheamicin or its derivative, (c) duocarmycin or its analogue, (d) SN38 and ( e) pyrrolobenzodiazepine or its analogue.24. Конъюгат по п. 23, где D представляет собой ауристатин или его аналог, выбранный из группы, состоящей из ауристатина, доластатина, монометилауристатина Е (ММАЕ), монометилауристатина F (MMAF), ауристатина F фенилендиамина (AFP) и ауристатина F гидроксипропиламида (AF НРА).24. The conjugate of claim 23, wherein D is auristatin or an analogue thereof selected from the group consisting of auristatin, dolastatin, monomethylauristatin E (MMAE), monomethylauristatin F (MMAF), auristatin F phenylenediamine (AFP), and auristiline F (hydroxide AF NRA).25. Конъюгат по п. 22, где D представляет собой ауристатин или его аналог, присоединенный к карбонильной группировке m2 посредством группировки гидроксипропиламид-L-аланин.25. The conjugate of claim 22, wherein D is auristatin or an analogue thereof, attached to the m2 carbonyl moiety through a hydroxypropylamide-L-alanine moiety.26. Конъюгат по п. 22, где отношение терапевтического средства к анти-5Т4 лиганду составляет от приблизительно 5:1 до приблизительно 30:1.26. The conjugate of claim 22, wherein the ratio of therapeutic agent to anti-5T4 ligand is from about 5: 1 to about 30: 1.27. Конъюгат по п. 22, где отношение терапевтического средства к анти-5Т4 лиганду составляет от приблизительно 12:1 до приблизительно 18:1.27. The conjugate of claim 22, wherein the ratio of therapeutic agent to anti-5T4 ligand is from about 12: 1 to about 18: 1.28. Конъюгат по п. 22, где среднее отношение полимерного каркаса, содержащего терапевтическое средство, к анти-5Т4 лиганду составляет от приблизительно 2:1 до приблизительно 4:1.28. The conjugate of claim 22, wherein the average ratio of the polymer backbone containing the therapeutic agent to the anti-5T4 ligand is from about 2: 1 to about 4: 1.29. Терапевтический направленный конъюгат лекарственного средства, применимый в противоопухолевых терапиях, содержащий анти-5Т4 лиганд и полимерный каркас поли(1-гидроксиметилэтилен гидроксиметилформаль) (PHF), содержащий звенья, показанные ниже, которые могут быть соединены друг с другом случайным образом,29. A therapeutic targeted drug conjugate useful in antitumor therapies comprising an anti-5T4 ligand and a poly (1-hydroxymethylethylene hydroxymethyl formal) polymer framework (PHF) containing the units shown below that can be randomly connected to each other,
Figure 00000010
Figure 00000010
где АНТИ-5Т4 представляет собой конструкцию одноцепочечного антитела, содержащую аминокислотную последовательность, обозначенную как SEQ ID NO: А,where ANTI-5T4 is a single chain antibody construct containing the amino acid sequence designated as SEQ ID NO: A,атом серы представляет собой часть конструкции одноцепочечного антитела,a sulfur atom is part of a single chain antibody construct,PHF имеет молекулярную массу от приблизительно 2 кДа до приблизительно 40 кДа,PHF has a molecular weight of from about 2 kDa to about 40 kDa,среднее отношение полимерного каркаса к анти-5Т4 одноцепочечному антителу составляет от приблизительно 2:1 до приблизительно 4:1, иthe average ratio of polymer skeleton to anti-5T4 single chain antibody is from about 2: 1 to about 4: 1, andотношение ауристатина F НРА к анти-5Т4 антителу составляет от приблизительно 12:1 до приблизительно 18:1.the ratio of auristatin F HPA to anti-5T4 antibody is from about 12: 1 to about 18: 1.30. Фармацевтическая композиция, содержащая терапевтический направленный конъюгат лекарственного средства по любому из пп. 1-29 и фармацевтически приемлемый носитель.30. A pharmaceutical composition comprising a therapeutic targeted drug conjugate according to any one of claims. 1-29 and a pharmaceutically acceptable carrier.31. Способ лечения расстройства у субъекта, нуждающегося в этом, включающий введение субъекту эффективного количества фармацевтической композиции по п. 30.31. A method of treating a disorder in a subject in need thereof, comprising administering to the subject an effective amount of a pharmaceutical composition according to claim 30.32. Способ по п. 31, где расстройство представляет собой рак, выбранный из группы, состоящей из рака анального канала, астроцитомы, лейкоза, лимфомы, рака головы и шеи, печени, яичка, шейки матки, саркомы, гемангиомы, рака пищевода, глаза, гортани, полости рта, мезотелиомы, рака кожи, миеломы, рака полости рта, рака прямой кишки, рака горла, мочевого пузыря, молочной железы, тела матки, яичника, предстательной железы, легкого, толстой кишки, поджелудочной железы, почек и желудка.32. The method of claim 31, wherein the disorder is a cancer selected from the group consisting of cancer of the anal canal, astrocytoma, leukemia, lymphoma, cancer of the head and neck, liver, testicle, cervix, sarcoma, hemangioma, cancer of the esophagus, eyes , larynx, oral cavity, mesothelioma, skin cancer, myeloma, oral cancer, cancer of the rectum, cancer of the throat, bladder, breast, uterus, ovary, prostate, lung, colon, pancreas, kidney and stomach.
RU2016117810A2013-10-112014-10-10 CONJUGATES PROTEIN-POLYMER-MEDICINERU2016117810A (en)

Applications Claiming Priority (5)

Application NumberPriority DateFiling DateTitle
US201361890065P2013-10-112013-10-11
US61/890,0652013-10-11
US201461975290P2014-04-042014-04-04
US61/975,2902014-04-04
PCT/US2014/060181WO2015054669A1 (en)2013-10-112014-10-10Protein-polymer-drug conjugates

Publications (2)

Publication NumberPublication Date
RU2016117810Atrue RU2016117810A (en)2017-11-17
RU2016117810A3 RU2016117810A3 (en)2018-07-20

Family

ID=51947469

Family Applications (1)

Application NumberTitlePriority DateFiling Date
RU2016117810ARU2016117810A (en)2013-10-112014-10-10 CONJUGATES PROTEIN-POLYMER-MEDICINE

Country Status (15)

CountryLink
US (3)US10316080B2 (en)
EP (1)EP3054992B1 (en)
JP (5)JP6427564B2 (en)
KR (2)KR102355745B1 (en)
CN (2)CN105813655B (en)
AU (1)AU2014331645C1 (en)
CA (1)CA2927022C (en)
DK (1)DK3054992T3 (en)
ES (1)ES2754397T3 (en)
HU (1)HUE046816T2 (en)
IL (1)IL245009B (en)
MX (2)MX2016004659A (en)
PL (1)PL3054992T3 (en)
RU (1)RU2016117810A (en)
WO (1)WO2015054669A1 (en)

Families Citing this family (28)

* Cited by examiner, † Cited by third party
Publication numberPriority datePublication dateAssigneeTitle
WO2009061345A2 (en)2007-11-072009-05-14Cornell Research Foundation, Inc.Targeting cdk4 and cdk6 in cancer therapy
CA2926586C (en)2013-10-112020-04-07Mersana Therapeutics, Inc.Polymeric scaffold based on phf for targeted drug delivery
RU2016117810A (en)*2013-10-112017-11-17Асана Биосайенсис, Ллк CONJUGATES PROTEIN-POLYMER-MEDICINE
WO2015155345A1 (en)*2014-04-112015-10-15Medimmune LimitedAntibodies and antibody-drug conjugates
US9808528B2 (en)2014-06-182017-11-07Mersana Therapeutics, Inc.Protein-polymer-drug conjugates and methods of using same
TWI695011B (en)2014-06-182020-06-01美商梅爾莎納醫療公司Monoclonal antibodies against her2 epitope and methods of use thereof
GB201516067D0 (en)*2015-09-102015-10-28Imp Innovations LtdDefined monomer sequence polymers
JP2019508023A (en)*2015-12-242019-03-28エックスディーシーエクスプローラー (シャンハイ) カンパニー リミテッド TPBG antibody, method for preparing the same, conjugate thereof and use thereof
PE20231049A1 (en)2016-03-022023-07-11Eisai Randd Man Co Ltd ERIBULIN-BASED ANTIBODY-DRUG CONJUGATES AND METHODS FOR THEIR USE
MX2018011204A (en)*2016-03-152019-03-07Mersana Therapeutics IncNapi2b-targeted antibody-drug conjugates and methods of use thereof.
EP3464400B1 (en)2016-06-032022-04-06Novacyte Therapeutics Company.,LTDPolymer linkers and their uses
AU2018235130B2 (en)*2017-03-152023-12-07Oxford Biomedica (Uk) LimitedMethod
MX2019015057A (en)*2017-06-232020-08-03Velosbio IncRor1 antibody immunoconjugates.
EP3424538A1 (en)2017-07-062019-01-09Centre National De La Recherche ScientifiqueBioconjugates with a controlled degree of conjugation, their process of preparation, and the reagents for their preparation
AU2018337947A1 (en)2017-09-202020-04-09Mersana Therapeutics, Inc.Compositions and methods for predicting response to NaPi2b-targeted therapy
WO2019126270A1 (en)*2017-12-202019-06-27Sienna Biopharmaceuticals, Inc.Formulations for dermal delivery of polymer conjugates of indolocarbazole compounds with reduced exposure
KR20200138288A (en)2018-03-282020-12-09미쓰비시 타나베 파마 코퍼레이션 Drug conjugates of cMET monoclonal binding agents, and uses thereof
CA3109790A1 (en)*2018-08-172020-02-20Mersana Therapeutics, Inc.Napi2b-targeted polymer antibody-drug conjugates and methods of use thereof
HRP20221197T1 (en)*2018-11-092022-12-09Byondis B.V.Filterable duocarmycin-containing antibody-drug conjugate compositions and related methods
CN111362990B (en)*2018-12-262021-08-17联宁(苏州)生物制药有限公司Antitumor drug LND1026-034 and synthetic method thereof
CN113710810A (en)*2019-02-212021-11-26安利舒免疫溶瘤技术公司Oncolytic adenoviral vectors and methods of use
CN116457018A (en)*2020-09-172023-07-18阳光海岸生物技术股份有限公司HERV-K antibody therapeutics
CN116472064A (en)*2020-10-122023-07-21昆山新蕴达生物科技有限公司Antibody-drug conjugates and uses thereof
CN119234007A (en)*2022-03-212024-12-31普灵生物医药(深圳)有限公司Polymer-drug conjugates
KR20250130409A (en)*2023-01-112025-09-01젠맵 에이/에스 Linkers, drug linkers and conjugates thereof and methods of using the same
WO2024160202A1 (en)*2023-01-302024-08-08Primelink Biotherapeutics (Shenzhen) Co., Ltd.Polymer-drug conjugates
WO2024160204A1 (en)*2023-01-302024-08-08Primelink Biotherapeutics (Suzhou) Co., Ltd.Polymer-oligonucleotide conjugates
CN118079022B (en)*2024-04-032024-12-20上海药明合联生物技术有限公司Protein-polysaccharide-drug conjugate and application thereof

Family Cites Families (164)

* Cited by examiner, † Cited by third party
Publication numberPriority datePublication dateAssigneeTitle
GB1541435A (en)1975-02-041979-02-28Searle & CoImmunological materials
US4307016A (en)1978-03-241981-12-22Takeda Chemical Industries, Ltd.Demethyl maytansinoids
US4256746A (en)1978-11-141981-03-17Takeda Chemical IndustriesDechloromaytansinoids, their pharmaceutical compositions and method of use
JPS55102583A (en)1979-01-311980-08-05Takeda Chem Ind Ltd20-acyloxy-20-demethylmaytansinoid compound
JPS55162791A (en)1979-06-051980-12-18Takeda Chem Ind LtdAntibiotic c-15003pnd and its preparation
JPS5645483A (en)1979-09-191981-04-25Takeda Chem Ind LtdC-15003phm and its preparation
JPS5645485A (en)1979-09-211981-04-25Takeda Chem Ind LtdProduction of c-15003pnd
EP0028683A1 (en)1979-09-211981-05-20Takeda Chemical Industries, Ltd.Antibiotic C-15003 PHO and production thereof
WO1982001188A1 (en)1980-10-081982-04-15Takeda Chemical Industries Ltd4,5-deoxymaytansinoide compounds and process for preparing same
US4450254A (en)1980-11-031984-05-22Standard Oil CompanyImpact improvement of high nitrile resins
US4313946A (en)1981-01-271982-02-02The United States Of America As Represented By The Secretary Of AgricultureChemotherapeutically active maytansinoids from Trewia nudiflora
US4315929A (en)1981-01-271982-02-16The United States Of America As Represented By The Secretary Of AgricultureMethod of controlling the European corn borer with trewiasine
JPS57192389A (en)1981-05-201982-11-26Takeda Chem Ind LtdNovel maytansinoid
US4460560A (en)1982-06-181984-07-17University Of Southern CaliforniaDrug delivery by polymeric carriers
JPS59116232A (en)1982-12-241984-07-05Teijin LtdCell toxicity complex and its preparation
US4486414A (en)1983-03-211984-12-04Arizona Board Of ReagentsDolastatins A and B cell growth inhibitory substances
US4816444A (en)1987-07-101989-03-28Arizona Board Of Regents, Arizona State UniversityCell growth inhibitory substance
PH26256A (en)1988-08-121992-04-01Fujisawa Pharmaceutical CoOxaspiro [2,5] octane derivative
US5076973A (en)1988-10-241991-12-31Arizona Board Of RegentsSynthesis of dolastatin 3
JP2598116B2 (en)1988-12-281997-04-09協和醗酵工業株式会社 New substance DC113
US4978744A (en)1989-01-271990-12-18Arizona Board Of RegentsSynthesis of dolastatin 10
US4879278A (en)1989-05-161989-11-07Arizona Board Of RegentsIsolation and structural elucidation of the cytostatic linear depsipeptide dolastatin 15
US4986988A (en)1989-05-181991-01-22Arizona Board Of RegentsIsolation and structural elucidation of the cytostatic linear depsipeptides dolastatin 13 and dehydrodolastatin 13
JP2510335B2 (en)1989-07-031996-06-26協和醗酵工業株式会社 DC-88A derivative
US5187186A (en)1989-07-031993-02-16Kyowa Hakko Kogyo Co., Ltd.Pyrroloindole derivatives
US5208020A (en)1989-10-251993-05-04Immunogen Inc.Cytotoxic agents comprising maytansinoids and their therapeutic use
US5138036A (en)1989-11-131992-08-11Arizona Board Of Regents Acting On Behalf Of Arizona State UniversityIsolation and structural elucidation of the cytostatic cyclodepsipeptide dolastatin 14
AU669124B2 (en)1991-09-181996-05-30Kyowa Hakko Kirin Co., Ltd.Process for producing humanized chimera antibody
US6080751A (en)1992-01-142000-06-27The Stehlin Foundation For Cancer ResearchMethod for treating pancreatic cancer in humans with water-insoluble S-camptothecin of the closed lactone ring form and derivatives thereof
ES2149768T3 (en)1992-03-252000-11-16Immunogen Inc CONJUGATES OF BINDING AGENTS OF CELLS DERIVED FROM CC-1065.
JPH07509467A (en)1992-07-211995-10-19ザ ゼネラル ホスピタル コーポレーション Drug transport system to lymphoid tissue
US5635483A (en)1992-12-031997-06-03Arizona Board Of Regents Acting On Behalf Of Arizona State UniversityTumor inhibiting tetrapeptide bearing modified phenethyl amides
US6034065A (en)1992-12-032000-03-07Arizona Board Of RegentsElucidation and synthesis of antineoplastic tetrapeptide phenethylamides of dolastatin 10
US5410024A (en)1993-01-211995-04-25Arizona Board Of Regents Acting On Behalf Of Arizona State UniversityHuman cancer inhibitory pentapeptide amides
US5780588A (en)1993-01-261998-07-14Arizona Board Of RegentsElucidation and synthesis of selected pentapeptides
US5886026A (en)1993-07-191999-03-23Angiotech Pharmaceuticals Inc.Anti-angiogenic compositions and methods of use
DE69434136T2 (en)1993-10-012005-12-01Teikoku Hormone Mfg. Co., Ltd. Dolastatin DERIVATIVES
GB9320575D0 (en)1993-10-061993-11-24Amp GmbhCoaxial connector having improved locking mechanism
US5773001A (en)1994-06-031998-06-30American Cyanamid CompanyConjugates of methyltrithio antitumor agents and intermediates for their synthesis
US5530097A (en)1994-08-011996-06-25Arizona Board Of Regents Acting On Behalf Of Arizona State UniversityHuman cancer inhibitory peptide amides
US5521284A (en)1994-08-011996-05-28Arizona Board Of Regents Acting On Behalf Of Arizona State UniversityHuman cancer inhibitory pentapeptide amides and esters
US5504191A (en)1994-08-011996-04-02Arizona Board Of Regents Acting On Behalf Of Arizona State UniversityHuman cancer inhibitory pentapeptide methyl esters
US5554725A (en)1994-09-141996-09-10Arizona Board Of Regents Acting On Behalf Of Arizona State UniversitySynthesis of dolastatin 15
US5599902A (en)1994-11-101997-02-04Arizona Board Of Regents Acting On Behalf Of Arizona State UniversityCancer inhibitory peptides
US5663149A (en)1994-12-131997-09-02Arizona Board Of Regents Acting On Behalf Of Arizona State UniversityHuman cancer inhibitory pentapeptide heterocyclic and halophenyl amides
US5811510A (en)1995-04-141998-09-22General Hospital CorporationBiodegradable polyacetal polymers and methods for their formation and use
US5714586A (en)1995-06-071998-02-03American Cyanamid CompanyMethods for the preparation of monomeric calicheamicin derivative/carrier conjugates
US6548530B1 (en)1995-10-032003-04-15The Scripps Research InstituteCBI analogs of CC-1065 and the duocarmycins
EP1186606B2 (en)1995-11-172011-09-07Gesellschaft für Biotechnologische Forschung mbH (GBF)Epothilone derivatives, their preparation and utilization
US5763263A (en)1995-11-271998-06-09Dehlinger; Peter J.Method and apparatus for producing position addressable combinatorial libraries
JP2001500851A (en)1996-08-302001-01-23ノバルティス アクチエンゲゼルシャフト Process for producing epothilone and intermediate products obtained during the process
US5969145A (en)1996-08-301999-10-19Novartis AgProcess for the production of epothilones and intermediate products within the process
US6680311B1 (en)1996-08-302004-01-20Eli Lilly And CompanyCryptophycin compounds
ES2312695T3 (en)1996-11-182009-03-01Gesellschaft Fur Biotechnologische Forschung Mbh (Gbf) EPOTILONES E AND F.
JP4579351B2 (en)1996-12-032010-11-10スローン−ケッタリング インスティトュート フォア キャンサー リサーチ Synthesis of epothilone and its intermediates and analogs and uses thereof
US6441186B1 (en)1996-12-132002-08-27The Scripps Research InstituteEpothilone analogs
CA2281105A1 (en)1997-02-251998-09-03Gesellschaft Fur Biotechnologische Forschung Mbh (Gbf)Epothilones with a modified side chain
DE69832158T2 (en)1997-02-252006-08-10Arizona Board Of Regents, Tempe ISOLATION AND STRUCTURAL EXPLANATION OF CRYOSTATIC LINEARS AND CYCLO DEPSIPEPTIDES DOLASTATIN 16, DOLASTATIN 17, AND DOLASTATIN 18
US6117659A (en)1997-04-302000-09-12Kosan Biosciences, Inc.Recombinant narbonolide polyketide synthase
WO1998056372A1 (en)1997-06-091998-12-17Massachusetts Institute Of TechnologyTYPE 2 METHIONINE AMINOPEPTIDASE (MetAP2) INHIBITORS AND USES THEROF
US6605599B1 (en)1997-07-082003-08-12Bristol-Myers Squibb CompanyEpothilone derivatives
AU8542898A (en)1997-07-161999-02-10Schering AktiengesellschaftThiazole derivatives, method for their production and use
DK1005465T3 (en)1997-08-092007-11-05Bayer Schering Pharma Ag New epothilone derivatives, processes for their preparation and their pharmaceutical use
US6365749B1 (en)1997-12-042002-04-02Bristol-Myers Squibb CompanyProcess for the preparation of ring-opened epothilone intermediates which are useful for the preparation of epothilone analogs
EP1042327B1 (en)1997-12-042003-09-17Bristol-Myers Squibb CompanyA process for the reduction of oxiranyl epothilones to olefinic epothilones
US6124421A (en)1997-12-122000-09-26Alliedsignal Inc.Poly(arylene ether) compositions and methods of manufacture thereof
US6096757A (en)1998-12-212000-08-01Schering CorporationMethod for treating proliferative diseases
US20020103136A1 (en)1998-03-052002-08-01Dong-Mei FengConjugates useful in the treatment of prostate cancer
WO1999061432A1 (en)1998-05-121999-12-02Biochem Pharma Inc.Fumagillin analogs and their use as angiogenesis inhibitors
US6121029A (en)1998-06-182000-09-19Novartis AgGenes for the biosynthesis of epothilones
US6603812B1 (en)1998-08-172003-08-05Linear Technology CorporationHardware implementation of a decimating finite impulse response filter
GB2347932B (en)1998-11-182003-05-07Oxford Biomedica LtdVectors for the delivery of 5T4 antigen
WO2000064486A2 (en)1999-04-282000-11-02Vectramed, Inc.Enzymatically activated polymeric drug conjugates
AU6762600A (en)1999-08-092001-03-05General Hospital Corporation, TheDrug-carrier complexes and methods of use thereof
US6822086B1 (en)1999-08-092004-11-23The General Hospital CorporationDrug-carrier complexes and methods of use thereof
US6323315B1 (en)1999-09-102001-11-27Basf AktiengesellschaftDolastatin peptides
US7303749B1 (en)1999-10-012007-12-04Immunogen Inc.Compositions and methods for treating cancer using immunoconjugates and chemotherapeutic agents
EP2289549A3 (en)1999-10-012011-06-15Immunogen, Inc.Immunoconjugates for treating cancer
JP2003515323A (en)1999-11-182003-05-07オックスフォード バイオメディカ(ユーケイ)リミテッド Body
ES2276708T3 (en)1999-11-242007-07-01Immunogen, Inc. CYTOTOXIC AGENTS UNDERSTANDING TAXANS AND THERAPEUTIC USE.
NZ518764A (en)1999-12-292004-02-27Immunogen IncCytotoxic agents comprising modified doxorubicins and daunorubicins and their therapeutic use
WO2001062827A2 (en)2000-02-222001-08-30Shearwater CorporationN-maleimidyl polymer derivatives
US6956036B1 (en)2000-03-172005-10-18Alcon, Inc.6-hydroxy-indazole derivatives for treating glaucoma
US6608053B2 (en)2000-04-272003-08-19Yamanouchi Pharmaceutical Co., Ltd.Fused heteroaryl derivatives
US6333410B1 (en)2000-08-182001-12-25Immunogen, Inc.Process for the preparation and purification of thiol-containing maytansinoids
CA2453050A1 (en)2000-09-062002-03-14A.P. Pharma, Inc.Degradable polyacetal polymers
US6660742B2 (en)2000-09-192003-12-09Taiho Pharmaceutical Co. Ltd.Compositions and methods of the use thereof achiral analogues of CC-1065 and the duocarmycins
US6747021B2 (en)2000-10-022004-06-08Eli Lilly And CompanyCryptophycin compound
JP2005500974A (en)2000-10-132005-01-13ザ ユニバーシテイ オブ ミシシッピー Synthesis of epothilones and related analogues
US6884869B2 (en)2001-04-302005-04-26Seattle Genetics, Inc.Pentapeptide compounds and uses related thereto
US20030083263A1 (en)2001-04-302003-05-01Svetlana DoroninaPentapeptide compounds and uses related thereto
KR20030033007A (en)2001-05-312003-04-26코울터 파머수티컬, 인코포레이티드Cytotoxins, prodrugs, linkers and stabilizers useful therefor
US6441163B1 (en)2001-05-312002-08-27Immunogen, Inc.Methods for preparation of cytotoxic conjugates of maytansinoids and cell binding agents
US7091186B2 (en)2001-09-242006-08-15Seattle Genetics, Inc.p-Amidobenzylethers in drug delivery agents
US6716821B2 (en)2001-12-212004-04-06Immunogen Inc.Cytotoxic agents bearing a reactive polyethylene glycol moiety, cytotoxic conjugates comprising polyethylene glycol linking groups, and methods of making and using the same
DE60323936D1 (en)2002-01-142008-11-20Gen Hospital Corp BIOABEAABLE POLYCETALES, METHOD FOR THE PRODUCTION THEREOF, AND THEIR USE
US6756397B2 (en)2002-04-052004-06-29Immunogen, Inc.Prodrugs of CC-1065 analogs
US6534660B1 (en)2002-04-052003-03-18Immunogen, Inc.CC-1065 analog synthesis
US6596757B1 (en)2002-05-142003-07-22Immunogen Inc.Cytotoxic agents comprising polyethylene glycol-containing taxanes and their therapeutic use
AU2003256613A1 (en)2002-07-192004-02-09Amgen Inc.Protein conjugates with a water-soluble biocompatible, biogradable polymer
AU2003254023A1 (en)2002-07-192004-02-09The General Hospital CorporationOxime conjugates and methods for their formation and use
CA2802205C (en)2002-07-312016-01-19Seattle Genetics, Inc.Drug conjugates and their use for treating cancer, an autoimmune disease or an infectious disease
US7276589B2 (en)2002-11-262007-10-02Pdl Biopharma, Inc.Chimeric and humanized antibodies to α5β1 integrin that modulate angiogenesis
US7432331B2 (en)2002-12-312008-10-07Nektar Therapeutics Al, CorporationHydrolytically stable maleimide-terminated polymers
US7329721B2 (en)2002-12-312008-02-12Nektar Therapeutics Al, CorporationMaleamic acid polymer derivatives and their bioconjugates
ATE444984T1 (en)2002-12-312009-10-15Nektar Therapeutics Al Corp HYDROLYSIS-STABLE POLYMERS CONTAINING MALEIMIDE END GROUPS
AU2004204136B2 (en)2003-01-062008-10-09Nektar TherapeuticsThiol-selective water-soluble polmer derivatives
ES2347959T3 (en)2003-02-202010-11-26Seattle Genetics, Inc. ANTI-CD70-FARMACO ANTIBODIES CONJUGATES AND THEIR USE FOR CANCER TREATMENT.
US6878374B2 (en)2003-02-252005-04-12Nitto Denko CorporationBiodegradable polyacetals
US8088387B2 (en)2003-10-102012-01-03Immunogen Inc.Method of targeting specific cell populations using cell-binding agent maytansinoid conjugates linked via a non-cleavable linker, said conjugates, and methods of making said conjugates
US7276497B2 (en)2003-05-202007-10-02Immunogen Inc.Cytotoxic agents comprising new maytansinoids
GB0316294D0 (en)2003-07-112003-08-13Polytherics LtdConjugated biological molecules and their preparation
US7048925B2 (en)2003-08-282006-05-23Nitto Denko CorporationAcid-sensitive polyacetals and methods
JP5537763B2 (en)2003-09-052014-07-02ザ ジェネラル ホスピタル コーポレイション Polyacetal drug conjugates as release systems
EP3858387A1 (en)2003-11-062021-08-04Seagen Inc.Monomethylvaline compounds capable of conjugation to ligands
US7517994B2 (en)2003-11-192009-04-14Array Biopharma Inc.Heterocyclic inhibitors of MEK and methods of use thereof
WO2005058366A2 (en)2003-12-102005-06-30Nektar Therapeutics Al, CorporationCompositions comprising two different populations of polymer-active agent conjugates
WO2005108463A2 (en)2004-05-032005-11-17Nektar Therapeutics Al, CorporationBranched polyethylen glycol derivates comprising an acetal or ketal branching point
GT200500255A (en)2004-09-102006-04-10 ANTI-5TA HUMANIZED AND CONJUGATED ANTIBODIES ANTI-5TA ANTIBODY / CALICHEAMICINA
DE602005025676D1 (en)2004-10-182011-02-10Nitto Denko Corp INTRA-CELLULAR PEPTIDE DELIVERY
WO2007008848A2 (en)2005-07-072007-01-18Seattle Genetics, Inc.Monomethylvaline compounds having phenylalanine carboxy modifications at the c-terminus
EP1915412B1 (en)2005-07-192010-03-24Nektar TherapeuticsMethod for preparing polymer maleimides
WO2007103288A2 (en)2006-03-022007-09-13Seattle Genetics, Inc.Engineered antibody drug conjugates
ES2712942T3 (en)2006-03-102019-05-16Wyeth Llc Anti-5T4 antibodies and uses thereof
AR059900A1 (en)2006-03-172008-05-07Genentech Inc ANTI-TAT226 ANTIBODIES AND IMMUNOCATE PLAYERS
SG172656A1 (en)2006-05-302011-07-28Genentech IncAntibodies and immunoconjugates and uses therefor
DK2502938T3 (en)2006-10-272015-04-20Genentech IncAntibodies and immunoconjugates and uses thereof
TWI528976B (en)2006-12-132016-04-11斯茹林製藥公司Cyclodextrin-based polymers for therapeutics delivery
US20080176958A1 (en)2007-01-242008-07-24Insert Therapeutics, Inc.Cyclodextrin-based polymers for therapeutics delivery
AU2008312457B2 (en)2007-10-192014-04-17Genentech, Inc.Cysteine engineered anti-TENB2 antibodies and antibody drug conjugates
WO2009073445A2 (en)2007-11-282009-06-11Mersana Therapeutics, Inc.Biocompatible biodegradable fumagillin analog conjugates
NO2842575T3 (en)2008-03-182018-02-24
US8296398B2 (en)2008-04-292012-10-23Overland Storage, Inc.Peer-to-peer redundant file server system and methods
KR20100137585A (en)2008-04-302010-12-30이뮤노젠 아이엔씨 Strong Complexes and Hydrophilic Linkers
US8030959B2 (en)2008-06-122011-10-04Texas Instruments IncorporatedDevice-under-test power management
ES2604668T3 (en)2009-02-052017-03-08Immunogen, Inc. New benzodiazepine derivatives
US9005598B2 (en)2009-03-042015-04-14Polytherics LimitedConjugated proteins and peptides
CN102369218B (en)2009-04-012014-07-16霍夫曼-拉罗奇有限公司Anti-fcrh5 antibodies and immunoconjugates and methods of use
WO2010126552A1 (en)2009-04-302010-11-04Immunogen, Inc.Potent cell-binding agent drug conjugates
KR20120057588A (en)2009-05-282012-06-05메르사나 테라퓨틱스, 인코포레이티드Polyal drug conjugates comprising variable rate-releasing linkers
EP2480230A4 (en)2009-09-242015-06-10Seattle Genetics Inc LIGAND-DRUG CONJUGATES DR5
WO2011038485A1 (en)2009-09-302011-04-07Ottawa Hospital Research InstituteCrosslinked hydrogels and related method of preparation
US8824850B2 (en)2010-01-262014-09-02Adc Telecommunications, Inc.Insect-infestation prevention device for a telecommunications equipment housing
JP2013528665A (en)2010-03-262013-07-11メルサナ セラピューティックス, インコーポレイテッド Modified polymers for delivery of polynucleotides, methods for their production, and methods of their use
EP2662095A1 (en)2010-04-152013-11-13Spirogen SàrlPyrrolobenzodiazepines and conjugates thereof
RU2013127786A (en)2010-11-192014-12-27Венус Ремедиз Лимитед NEW CONJUGATES FOR DIRECTED DRUG DELIVERY
EP2683737A4 (en)2011-03-092014-09-03Ct Se LlcExtracellular targeted drug conjugates
CN105288644A (en)2011-04-012016-02-03惠氏有限责任公司Antibody-drug conjugates
US8685383B2 (en)*2011-06-102014-04-01Mersana Therapeautics, Inc.Protein-polymer-drug conjugates
US8815226B2 (en)*2011-06-102014-08-26Mersana Therapeutics, Inc.Protein-polymer-drug conjugates
MX2014003313A (en)2011-09-232014-07-09Amgen Res Munich GmbhBispecific binding molecules for 5t4 and cd3.
US9764038B2 (en)*2011-12-232017-09-19Innate PharmaEnzymatic conjugation of antibodies
ES2983109T3 (en)2012-05-152024-10-21Seagen Inc Self-stabilizing linker conjugates
WO2014008375A1 (en)2012-07-052014-01-09Mersana Therapeutics, Inc.Terminally modified polymers and conjugates thereof
WO2014093379A1 (en)*2012-12-102014-06-19Mersana Therapeutics, Inc.Auristatin compounds and conjugates thereof
EP2931316B1 (en)*2012-12-122019-02-20Mersana Therapeutics, Inc.Hydroxyl-polymer-drug-protein conjugates
MX379355B (en)2012-12-212025-03-11Altrubio Inc HYDROPHILIC SELF-DESTRUCTIVE LINKETS AND CONJUGATES THEREOF.
US20160304617A1 (en)*2013-06-172016-10-20Asana Biosciences, Llc5t4-targeted immunofusion molecule and methods
CA2926586C (en)*2013-10-112020-04-07Mersana Therapeutics, Inc.Polymeric scaffold based on phf for targeted drug delivery
RU2016117810A (en)*2013-10-112017-11-17Асана Биосайенсис, Ллк CONJUGATES PROTEIN-POLYMER-MEDICINE
TWI695011B (en)*2014-06-182020-06-01美商梅爾莎納醫療公司Monoclonal antibodies against her2 epitope and methods of use thereof
US9808528B2 (en)*2014-06-182017-11-07Mersana Therapeutics, Inc.Protein-polymer-drug conjugates and methods of using same
MX2018011204A (en)*2016-03-152019-03-07Mersana Therapeutics IncNapi2b-targeted antibody-drug conjugates and methods of use thereof.
CN111315414A (en)*2017-06-222020-06-19梅尔莎纳医疗公司Methods of producing drug-loaded polymer scaffolds and protein-polymer-drug conjugates

Also Published As

Publication numberPublication date
AU2014331645A1 (en)2016-05-12
DK3054992T3 (en)2019-10-28
JP2019011335A (en)2019-01-24
CN105813655B (en)2022-03-15
CA2927022A1 (en)2015-04-16
MX2023001582A (en)2023-03-09
US20190241649A1 (en)2019-08-08
JP2022095745A (en)2022-06-28
IL245009B (en)2022-08-01
AU2014331645B2 (en)2020-01-30
PL3054992T3 (en)2020-01-31
JP2016532670A (en)2016-10-20
JP2024056689A (en)2024-04-23
CN115068626A (en)2022-09-20
US20230183326A1 (en)2023-06-15
ES2754397T3 (en)2020-04-17
KR102355745B1 (en)2022-01-26
WO2015054669A1 (en)2015-04-16
EP3054992A1 (en)2016-08-17
CA2927022C (en)2018-08-21
US11434278B2 (en)2022-09-06
MX2016004659A (en)2017-08-02
US20150125474A1 (en)2015-05-07
HUE046816T2 (en)2020-03-30
IL245009A0 (en)2016-05-31
AU2014331645C1 (en)2020-06-11
JP6427564B2 (en)2018-11-21
KR20220015504A (en)2022-02-08
RU2016117810A3 (en)2018-07-20
EP3054992B1 (en)2019-08-14
CN105813655A (en)2016-07-27
JP7422175B2 (en)2024-01-25
KR102572149B1 (en)2023-08-30
JP2021020918A (en)2021-02-18
US10316080B2 (en)2019-06-11
KR20160067179A (en)2016-06-13
JP6837035B2 (en)2021-03-03

Similar Documents

PublicationPublication DateTitle
RU2016117810A (en) CONJUGATES PROTEIN-POLYMER-MEDICINE
JP2020019787A5 (en)
JP2019532056A5 (en)
JP2017110002A5 (en)
JP2020526584A5 (en)
RU2018134331A (en) CONJUGATES ANTIBODY MEDICINES BASED ON ERIBULIN AND METHODS OF APPLICATION
RU2020103344A (en) ANTIBODY CONJUGATES WITH DRUGS CHARACTERIZED BY HIGH IN VIVO TOLERANCE
RU2016150377A (en) WEBSITE-SPECIFIC CONJUGATION OF LINKED MEDICINES WITH ANTIBODIES AND OBTAINED BY ADC
JP2016523810A5 (en)
RU2018119296A (en) ANTIBODY CONJUGATES CONTAINING TALL-LIKE RECEPTOR AGONISTS
RU2014146951A (en) CONJUGATES TYPE LIGAND DR5-MEDICINE
IL276514B2 (en) Glypican 3 antibodies and their conjugates
JP2015523380A5 (en)
RU2014101669A (en) AGENTS BINDING R-SPONDIN PROTEINS (RSPO), AND WAYS OF THEIR APPLICATION
JP2016098233A5 (en)
SI2582728T1 (en)Human antibody drug conjugates against tissue factor
RU2016111137A (en) DESIGNED CONJUGATES AGAINST DLL3 AND METHODS OF APPLICATION
JP2017519759A5 (en)
IL278574B2 (en) Compounds acting on glycans and methods of using them
RU2022101392A (en) MAITANZINOID DERIVATIVES WITH SELF-REDUCING PEPTIDE LINKERS AND THEIR CONJUGATES
KR20180088445A (en) Novel anti-claudin antibodies and methods of use
RU2018122629A (en) ANTIBODIES AGAINST 5T4 AND CONJUGATES ANTIBODY MEDICINE
CN106999606A (en)antibody drug conjugates
JP2021503915A5 (en)
CN115052632A (en)Targeted polypeptide-drug conjugates and uses thereof

Legal Events

DateCodeTitleDescription
FA92Acknowledgement of application withdrawn (lack of supplementary materials submitted)

Effective date:20181122


[8]ページ先頭

©2009-2025 Movatter.jp