Movatterモバイル変換


[0]ホーム

URL:


RU112579U1 - CONSTRUCTION OF THE ONE-PART SEALED COVER OF THE COVER AND HOUSING - Google Patents

CONSTRUCTION OF THE ONE-PART SEALED COVER OF THE COVER AND HOUSING
Download PDF

Info

Publication number
RU112579U1
RU112579U1RU2011135892/07URU2011135892URU112579U1RU 112579 U1RU112579 U1RU 112579U1RU 2011135892/07 URU2011135892/07 URU 2011135892/07URU 2011135892 URU2011135892 URU 2011135892URU 112579 U1RU112579 U1RU 112579U1
Authority
RU
Russia
Prior art keywords
cover
housing
chamfer
design
gap
Prior art date
Application number
RU2011135892/07U
Other languages
Russian (ru)
Inventor
Эдгар Александрович Семёнов
Виктор Николаевич Посадский
Любовь Алексеевна Шалопина
Надежда Александровна Бубнова
Original Assignee
Закрытое акционерное общество "Научно-производственный центр "Алмаз-Фазотрон"
Priority date (The priority date is an assumption and is not a legal conclusion. Google has not performed a legal analysis and makes no representation as to the accuracy of the date listed.)
Filing date
Publication date
Application filed by Закрытое акционерное общество "Научно-производственный центр "Алмаз-Фазотрон"filedCriticalЗакрытое акционерное общество "Научно-производственный центр "Алмаз-Фазотрон"
Priority to RU2011135892/07UpriorityCriticalpatent/RU112579U1/en
Application grantedgrantedCritical
Publication of RU112579U1publicationCriticalpatent/RU112579U1/en

Links

Landscapes

Abstract

Translated fromRussian

1. Конструкция неразъемного герметичного соединения крышки и корпуса, реализованная на основе заполненного герметизирующим составом зазора между крышкой и стенками корпуса, верхняя часть которых выполнена в виде ступени, при этом на нижнюю горизонтальную поверхность ступени опирается крышка, отличающаяся тем, что крышка по периметру верхней поверхности имеет фаску и торцевой поверхностью до поверхности фаски прилегает к вертикальной поверхности ступени с образованием зазора между поверхностью фаски и вертикальной поверхностью ступени. ! 2. Конструкция по п.1, отличающаяся тем, что ее элементы выполняют в соответствии со следующими соотношениями: ! ; ! ; ! , ! где h - высота торцевой поверхности крышки до поверхности фаски; H - толщина крышки; d - поперечный размер нижней горизонтальной поверхности ступени; D - толщина стенки корпуса. ! 3. Конструкция по п.2, отличающаяся тем, что толщина стенки корпуса составляет 4-8 мм. ! 4. Конструкция по п.1, отличающаяся тем, что герметизирующий состав является двухслойным: первый слой представляет собой отвержденный эпоксидный клей, второй - полимеризованный кремнийорганический герметик. 1. The design of the one-piece tight connection of the cover and the body, implemented on the basis of a gap filled with a sealing compound between the cover and the walls of the body, the upper part of which is made in the form of a step, while the cover rests on the lower horizontal surface of the step, characterized in that the cover along the perimeter of the upper surface has a chamfer and end surface to the surface of the chamfer adjoins the vertical surface of the step with the formation of a gap between the surface of the chamfer and the vertical surface of the step. ! 2. The structure according to claim 1, characterized in that its elements are made in accordance with the following relationships:! ; ! ; ! ,! where h is the height of the end surface of the cover to the surface of the chamfer; H - cover thickness; d is the transverse dimension of the lower horizontal surface of the step; D - case wall thickness. ! 3. Construction according to claim 2, characterized in that the wall thickness of the housing is 4-8 mm. ! 4. The structure according to claim 1, characterized in that the sealing composition is two-layer: the first layer is a cured epoxy adhesive, the second is a polymerized organosilicon sealant.

Description

Translated fromRussian

Полезная модель относится к радиоэлектронике, в частности к герметически закрытым корпусам для радиоэлектронной аппаратуры (РЭА), и может быть использована при конструировании герметичных корпусов для защиты РЭА, в том числе бортовой, от негативного воздействия окружающей среды.The utility model relates to electronics, in particular to hermetically sealed enclosures for electronic equipment (REA), and can be used in the design of sealed enclosures to protect REA, including on-board, from the negative effects of the environment.

Известна конструкция неразъемного герметичного соединения крышки и корпуса [патент RU №2072124], представляющая собой соединенные паяным швом торцевую поверхность крышки и внутреннюю поверхность стенок корпуса. Стенки корпуса в верхней своей части имеют форму ступени, на нижнюю горизонтальную поверхности которой опирается крышка, образую своей торцевой поверхностью с вертикальной поверхностью ступени зазор прямоугольного сечения, который герметизирован пайкой. В зазоре дополнительно размещены резиновый уплотнитель и проволока для осуществления разгерметизации.The known design of a one-piece sealed connection of the lid and the housing [patent RU No. 2072124], which is the end surface of the lid connected by a soldered seam and the inner surface of the housing walls. The walls of the housing in their upper part have the form of a step, on the lower horizontal surface of which a lid rests, forming a gap of rectangular section, which is sealed by soldering, with its end surface with a vertical surface of the step. A rubber seal and a wire are additionally placed in the gap for depressurization.

Однако в случае неплотного прилегания резинового уплотнителя к поверхностям зазора происходит затекание припоя под крышку, что приводит к упрочнению соединения крышки с корпусом и значительно затрудняет последующую разгерметизацию.However, in the case of a loose fit of the rubber sealant to the surfaces of the gap, leakage of solder under the cover occurs, which leads to hardening of the connection of the cover with the body and significantly complicates the subsequent depressurization.

Известна также конструкция неразъемного герметичного соединения крышки и корпуса, описанная в патенте RU №2155462. Согласно данной конструкции верхняя часть боковых стенок выполнена двухступенчатой. Нижняя ступень предназначена для размещения крышки, другая образует с торцевой поверхностью крышки зазор, который герметизирован пайкой. Такая двухступенчатая конструкция корпуса в отличие от предыдущего решения облегчает центровку крышки и снижает риск затекания припоя под крышку.Also known is the design of a permanent tight connection of the cover and the housing, described in patent RU No. 21545462. According to this design, the upper part of the side walls is made in two stages. The lower stage is designed to accommodate the cover, the other forms a gap with the end surface of the cover, which is sealed by soldering. This two-stage housing design, unlike the previous solution, facilitates the alignment of the lid and reduces the risk of leakage of solder under the lid.

Однако данное техническое решение, как и предыдущее, имеет недостаток, обусловленный использованием пайки для герметизации стыка крышки и основания, требующей прогрева корпуса до температуры плавления припоя, что может привести к распаиванию электронных компонентов, помещенных в корпус. Кроме того, операцию герметизации-разгерметизации корпусов такой конструкции можно осуществлять не более 5 раз.However, this technical solution, like the previous one, has a drawback due to the use of soldering to seal the joint of the lid and base, which requires heating the housing to the melting point of the solder, which can lead to the soldering of electronic components placed in the housing. In addition, the operation of sealing-depressurization of buildings of this design can be carried out no more than 5 times.

Наиболее близким аналогом к заявляемой полезной модели является конструкция неразъемного соединения крышки и корпуса [Приложение: Гелль П.П., Иванов-Есипович Н.К., Конструирование радиоэлектронной аппаратуры. Л., Энергия, 1972, с.138], в которой зазор между стенками корпуса и торцевой поверхностью крышки заполнен компаундом. Использование компаунда облегчает разгерметизацию корпуса и не накладывает ограничения на количество возможных циклов герметизации-разгерметизации.The closest analogue to the claimed utility model is the design of a permanent connection of the cover and the housing [Appendix: Gell PP, Ivanov-Esipovich NK, Design of electronic equipment. L., Energy, 1972, p.138], in which the gap between the walls of the housing and the end surface of the lid is filled with a compound. The use of the compound facilitates depressurization of the housing and does not impose a limit on the number of possible sealing-depressurization cycles.

Однако в данной конструкции не обеспечивается центровка крышки, что приводит к неодинаковой толщине шва герметизации и, соответственно, снижению надежности герметизации. Кроме того, для корпусов с подобной конструкцией соединения крышки и корпуса характерно затекание компаунда под крышку, что затрудняет последующую разгерметизацию.However, in this design, the alignment of the cover is not ensured, which leads to unequal thickness of the sealing joint and, consequently, a decrease in the reliability of sealing. In addition, for cases with a similar design of the connection between the cover and the body, leakage of the compound under the cover is characteristic, which complicates the subsequent depressurization.

Задачей заявляемой полезной модели является повышение надежности герметичности корпуса для РЭА при сохранении высокой ремонтопригодности.The objective of the claimed utility model is to increase the reliability of the tightness of the housing for CEA while maintaining high maintainability.

Сущность заявляемой полезной модели заключается в том, что в конструкции неразъемного герметичного соединения крышки и корпуса, реализованной на основе заполненного герметизирующим составом зазора между крышкой и стенками корпуса, верхняя часть которых выполнена в виде ступени, при этом на нижнюю горизонтальную поверхность ступени опирается крышка; крышка по периметру верхней поверхности имеет фаску и торцевой поверхностью до поверхности фаски прилегает к вертикальной поверхности ступени с образованием зазора между поверхностью фаски и вертикальной поверхностью ступени.The essence of the claimed utility model lies in the fact that in the design of a one-piece tight connection of the cover and the housing, implemented on the basis of the gap between the cover and the walls of the housing filled with a sealing compound, the upper part of which is made in the form of a step, with the cover resting on the lower horizontal surface of the step; the lid around the perimeter of the upper surface has a chamfer and the end surface to the chamfer surface is adjacent to the vertical surface of the step with the formation of a gap between the surface of the chamfer and the vertical surface of the step.

Кроме того, заявляется конструкция неразъемного герметичного соединения крышки и корпуса, в которой наряду с вышеназванными признаками ее элементы выполнены в соответствии со следующими соотношениями:In addition, the claimed design is a permanent tight connection of the cover and the housing, in which, along with the above features, its elements are made in accordance with the following ratios:

; ;

; ;

; ;

где h - высота торцевой поверхности крышки до поверхности фаски; Н - толщина крышки; d - поперечный размер нижней горизонтальной поверхности ступени; D - толщина стенки корпуса.where h is the height of the end surface of the cover to the surface of the bevel; H is the thickness of the cover; d is the transverse dimension of the lower horizontal surface of the step; D is the wall thickness of the housing.

Кроме того, заявляется также конструкция неразъемного герметичного соединения крышки и корпуса, в которой наряду с вышеназванными признаками толщина стенки корпуса составляет 4-8 мм.In addition, also claimed is the design of a permanent tight connection of the lid and the housing, in which, along with the above features, the wall thickness of the housing is 4-8 mm.

Кроме того, заявляется также конструкция неразъемного герметичного соединения крышки и корпуса, в которой наряду с вышеназванными признаками герметизирующий состав является двухслойным: первый слой представляет собой отвержденный эпоксидный клей, второй - полимеризованный кремнийорганический герметик.In addition, the claimed design is a permanent tight connection of the lid and the housing, in which, along with the above characteristics, the sealing composition is two-layer: the first layer is a cured epoxy adhesive, the second is a polymerized silicone sealant.

Техническим результатом заявляемой полезной модели является решение поставленной задачи за счет использования крышки с фаской по периметру верхней стороны крышки и обеспечения прилегания торцевой поверхности крышки до поверхности фаски к внутренней поверхности вертикального выступа стенки корпуса. Такая конструкция обеспечивает центровку крышки без дополнительных манипуляций и одинаковый размер зазора по всему периметру корпуса. Следовательно, получаемый герметичный шов имеет также одинаковый размер по всему периметру крышки, благодаря чему отсутствуют области излишнего или недостаточного скопления герметизирующего состава, в которых и происходит нарушение герметичности в первую очередь. Прилегание торцевой поверхности крышки до поверхности фаски предотвращает затекание клеевой композиции под крышку, что облегчает последующую разгерметизацию модуля и значительно повышает его ремонтопригодность.The technical result of the claimed utility model is to solve the problem by using a lid with a chamfer around the perimeter of the upper side of the lid and ensuring the fit of the end surface of the lid to the surface of the chamfer to the inner surface of the vertical protrusion of the housing wall. This design ensures the alignment of the cover without additional manipulations and the same size of the gap around the entire perimeter of the housing. Therefore, the resulting tight joint is also the same size along the entire perimeter of the lid, due to which there are no areas of excessive or insufficient accumulation of the sealing compound, in which the leak occurs in the first place. The fit of the end surface of the lid to the surface of the chamfer prevents leakage of the adhesive composition under the lid, which facilitates the subsequent depressurization of the module and significantly increases its maintainability.

Дополнительным техническим результатом является повышение надежности герметизации за счет использования двухслойного шва герметизации. Первым является слой эпоксидного клея, который обладает высокими адгезией к стенкам металлического корпуса и прочностью после отверждения. Слой кремнийорганического герметика, расположенный поверх слоя эпоксидного клея, благодаря своей эластичной структуре растягивается и сжимается вслед за микродеформациями корпуса при перепадах температуры, обеспечивая изоляцию слоя эпоксидного клея от воздействия влаги и пыли и предохраняя его от крошения.An additional technical result is to increase the reliability of sealing due to the use of a two-layer sealing seam. The first is a layer of epoxy glue, which has high adhesion to the walls of the metal casing and strength after curing. The layer of silicone sealant located on top of the epoxy adhesive layer, due to its elastic structure, stretches and contracts after microdeformations of the body at temperature extremes, providing insulation of the epoxy adhesive layer from moisture and dust and protecting it from crumbling.

Заявляемая полезная модель поясняется с помощью Фиг., на которой изображен разрез заявляемой конструкции неразъемного герметичного соединения крышки и корпуса:The inventive utility model is illustrated with the help of Fig., Which shows a section of the claimed design of a one-piece sealed connection of the cover and housing:

На Фиг. позициями 1-7 обозначены:In FIG. positions 1-7 are indicated:

1 - крышка;1 - cover;

2 - фаска;2 - chamfer;

3 - стенка;3 - wall;

4 - горизонтальная поверхность;4 - horizontal surface;

5 - вертикальная поверхность;5 - vertical surface;

6 - эпоксидный клей;6 - epoxy glue;

7 - кремнийорганический герметик.7 - silicone sealant.

В заявляемой конструкции крышка 1 по всему периметру верхней поверхности имеет фаску 2, верхняя часть стенок 3 корпуса имеет форму ступени. Крышка 1 опирается на нижнюю горизонтальную поверхность 4 ступени и прилегает до уровня фаски 2 торцевой поверхностью к вертикальной поверхности ступени 5. Поверхность фаски 2 и верхняя часть вертикальной поверхности 5 ступени образуют зазор, который заполнен герметизирующим составом. Герметизирующий состав в частном случае является двухслойным. Первый слой представляет собой отвержденный эпоксидный клей 6, второй слой - полимеризованный кремнийорганический герметик 7.In the claimed design, the cover 1 around the entire perimeter of the upper surface has a chamfer 2, the upper part of the walls 3 of the housing has the shape of a step. The cover 1 rests on the lower horizontal surface 4 of the step and abuts to the level of the chamfer 2 with the end surface on the vertical surface of the step 5. The surface of the chamfer 2 and the upper part of the vertical surface 5 of the step form a gap that is filled with a sealing compound. The sealing composition in a particular case is two-layer. The first layer is a cured epoxy adhesive 6, the second layer is a polymerized silicone sealant 7.

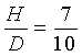
Размеры крышки 1 и стенок 3 корпуса выполнены в соответствии с соотношениями:The dimensions of the cover 1 and the walls 3 of the housing are made in accordance with the ratios:

; ;

; ;

; ;

где h - высота торцевой поверхности крышки 1 до уровня фаски 2; Н - толщина крышки 1; d - поперечный размер горизонтальной поверхности 4; D - толщина стенки 3 корпуса, которую выбирают равной 4-8 мм.where h is the height of the end surface of the cover 1 to the level of the chamfer 2; H is the thickness of the cover 1; d is the transverse dimension of the horizontal surface 4; D is the thickness of the wall 3 of the housing, which is chosen equal to 4-8 mm

Указанные соотношения являются оптимальными и позволяют получить зазор необходимых размеров. Количество герметизирующего состава, размещенного в зазоре, ограничено его размерами и достаточно для обеспечения надежной герметизации.These ratios are optimal and allow you to get a gap of the required size. The amount of sealing compound placed in the gap is limited by its size and sufficient to ensure reliable sealing.

Конструкцию неразъемного герметичного соединения крышки и корпуса используют следующим образом.The design of a permanent tight connection of the cover and the housing is used as follows.

После установки и регулировки сборочных узлов в корпусе на горизонтальной поверхности 4 размещают крышку 1, которую затем винтовой стяжкой привинчивают к стенкам 3. При этом участки торцевой поверхности крышки 1 до поверхности фаски 2 прилегают к вертикальной поверхности 5. Допускается технологический зазор между торцевой поверхностью крышки 1 и вертикальной поверхностью 5 не более 0,1 мм. Поверхность фаски 2 и верхняя часть вертикальной поверхности 5 образуют зазор, который в частном случае заполняют двухслойным герметизирующим составом. Сначала в зазор закладывают эпоксидный клей 6 до верхнего уровня боковых стенок 3, который совпадает с верхней плоскостью крышки 1. Благодаря вязкой структуре и хорошей адгезии к металлу эпоксидный клей 6 заполняет все щели и компенсирует неровности поверхности. После нанесения эпоксидный клей 6 отверждают. Режим отверждения выбирают в зависимости от используемой марки клея. В процессе отверждения происходит его усадка, и в отвержденном состоянии слой эпоксидного клея 6 занимает 2/3 высоты зазора.After installing and adjusting the assemblies in the case, a cover 1 is placed on a horizontal surface 4, which is then screwed onto the walls 3 with a screw tie. At the same time, the sections of the end surface of the cover 1 are adjacent to the vertical surface 5. The technological gap between the end surface of the cover 1 is allowed. and a vertical surface 5 of not more than 0.1 mm. The surface of the chamfer 2 and the upper part of the vertical surface 5 form a gap, which in a particular case is filled with a two-layer sealing compound. First, the epoxy adhesive 6 is laid in the gap to the upper level of the side walls 3, which coincides with the upper plane of the cover 1. Due to the viscous structure and good adhesion to the metal, the epoxy adhesive 6 fills all the cracks and compensates for surface irregularities. After application, the epoxy adhesive 6 is cured. The curing mode is selected depending on the brand of glue used. During curing, it shrinks, and in the cured state, the layer of epoxy adhesive 6 occupies 2/3 of the height of the gap.

В образованную в результате отверждения эпоксидного клея 6 выемку закладывают герметик 7. В качестве герметика 7 может быть использован кремнийорганический герметик марки ВГО-1 (ТУ 38.303-04-04-90), который представляет собой пастообразное вещество белого цвета. Излишки герметика 7 снимают скальпелем до уровня плоскости крышки 1. После нанесения герметика 7 корпус выдерживают 3 часа на воздухе и 3,5 часа в электрошкафу при температуре +75±5°C. Возможен также вариант сушки на воздухе в течение 24 часов.A sealant 7 is placed in the recess formed as a result of curing of the epoxy adhesive 6. As a sealant 7, a silicone sealant of the VGO-1 brand (TU 38.303-04-04-90) can be used, which is a white paste-like substance. The excess sealant 7 is removed with a scalpel to the level of the plane of the cover 1. After applying the sealant 7, the casing can withstand 3 hours in air and 3.5 hours in an electrical cabinet at a temperature of + 75 ± 5 ° C. Air drying for 24 hours is also possible.

В случае ремонта или замены электронных компонентов РЭА проводят разгерметизацию корпуса. Для этого слой герметика 7 снимают скальпелем. Затем корпус помещают в электрошкаф, разогретый до 80°C, и выдерживают 15-20 мин. Размягченный эпоксидный клей 6 снимают скальпелем.In case of repair or replacement of electronic components, REA conduct depressurization of the housing. For this, the sealant layer 7 is removed with a scalpel. Then the case is placed in a control cabinet, heated to 80 ° C, and incubated for 15-20 minutes. The softened epoxy glue 6 is removed with a scalpel.

Заявляемая конструкция неразъемного герметичного соединения крышки и корпуса пригодна для использования в корпусах, обеспечивающих защиту РЭА, в том числе бортовую, от дестабилизирующего воздействия окружающей среды. Работоспособность РЭА с использованием корпуса с заявляемой конструкцией соединения сохраняется в течение 15 лет при хранении в нормальных условиях и 5 лет в неблагоприятных, т.е. при повышенной влажности и температуре.The inventive design of a one-piece sealed connection of the cover and the housing is suitable for use in housings that provide protection for CEA, including on-board, from the destabilizing effect of the environment. The performance of CEA using a housing with the claimed design of the connection is maintained for 15 years when stored under normal conditions and 5 years in adverse conditions, i.e. at high humidity and temperature.

Claims (4)

Translated fromRussian
1. Конструкция неразъемного герметичного соединения крышки и корпуса, реализованная на основе заполненного герметизирующим составом зазора между крышкой и стенками корпуса, верхняя часть которых выполнена в виде ступени, при этом на нижнюю горизонтальную поверхность ступени опирается крышка, отличающаяся тем, что крышка по периметру верхней поверхности имеет фаску и торцевой поверхностью до поверхности фаски прилегает к вертикальной поверхности ступени с образованием зазора между поверхностью фаски и вертикальной поверхностью ступени.1. The design of the permanent tight connection of the cover and the housing, implemented on the basis of the gap filled by the sealing compound between the cover and the walls of the housing, the upper part of which is made in the form of a step, with a cover resting on the lower horizontal surface of the step, characterized in that the cover is around the perimeter of the upper surface has a chamfer and the end surface to the chamfer surface is adjacent to the vertical surface of the step with the formation of a gap between the chamfer surface and the vertical surface of the steps no.2. Конструкция по п.1, отличающаяся тем, что ее элементы выполняют в соответствии со следующими соотношениями:2. The design according to claim 1, characterized in that its elements are performed in accordance with the following ratios:
Figure 00000001
;
Figure 00000001
;
Figure 00000002
;
Figure 00000002
;
Figure 00000003
,
Figure 00000003
,
где h - высота торцевой поверхности крышки до поверхности фаски; H - толщина крышки; d - поперечный размер нижней горизонтальной поверхности ступени; D - толщина стенки корпуса.where h is the height of the end surface of the cover to the surface of the bevel; H is the thickness of the cover; d is the transverse dimension of the lower horizontal surface of the step; D is the wall thickness of the housing.3. Конструкция по п.2, отличающаяся тем, что толщина стенки корпуса составляет 4-8 мм.3. The design according to claim 2, characterized in that the wall thickness of the housing is 4-8 mm4. Конструкция по п.1, отличающаяся тем, что герметизирующий состав является двухслойным: первый слой представляет собой отвержденный эпоксидный клей, второй - полимеризованный кремнийорганический герметик.
Figure 00000004
4. The construction according to claim 1, characterized in that the sealing composition is two-layer: the first layer is a cured epoxy adhesive, the second is a polymerized silicone sealant.
Figure 00000004
RU2011135892/07U2011-08-302011-08-30 CONSTRUCTION OF THE ONE-PART SEALED COVER OF THE COVER AND HOUSINGRU112579U1 (en)

Priority Applications (1)

Application NumberPriority DateFiling DateTitle
RU2011135892/07URU112579U1 (en)2011-08-302011-08-30 CONSTRUCTION OF THE ONE-PART SEALED COVER OF THE COVER AND HOUSING

Applications Claiming Priority (1)

Application NumberPriority DateFiling DateTitle
RU2011135892/07URU112579U1 (en)2011-08-302011-08-30 CONSTRUCTION OF THE ONE-PART SEALED COVER OF THE COVER AND HOUSING

Publications (1)

Publication NumberPublication Date
RU112579U1true RU112579U1 (en)2012-01-10

Family

ID=45785024

Family Applications (1)

Application NumberTitlePriority DateFiling Date
RU2011135892/07URU112579U1 (en)2011-08-302011-08-30 CONSTRUCTION OF THE ONE-PART SEALED COVER OF THE COVER AND HOUSING

Country Status (1)

CountryLink
RU (1)RU112579U1 (en)

Cited By (1)

* Cited by examiner, † Cited by third party
Publication numberPriority datePublication dateAssigneeTitle
RU2636933C1 (en)*2016-08-102017-11-29Публичное акционерное общество "Радиофизика"Germechic radioelectronic unit

Cited By (1)

* Cited by examiner, † Cited by third party
Publication numberPriority datePublication dateAssigneeTitle
RU2636933C1 (en)*2016-08-102017-11-29Публичное акционерное общество "Радиофизика"Germechic radioelectronic unit

Similar Documents

PublicationPublication DateTitle
US10716230B2 (en)Waterproof electronic device and production method of waterproof electronic device
CN109727947B (en) A pin, a pin combination structure, a package body and a manufacturing method thereof
CN102044641B (en)Sealing unit, cap plate and manufacturing method thereof, secondary battery and manufacturing method thereof
CN101488395B (en)Storage cell
JP6159444B2 (en) electrical plug
JPS62198139A (en)Power semiconductor module and manufacture of the same
CN216749870U (en)Liquid metal packaging structure for chip heat dissipation
RU112579U1 (en) CONSTRUCTION OF THE ONE-PART SEALED COVER OF THE COVER AND HOUSING
JP3797021B2 (en) Power semiconductor device
DE102006007989A1 (en)Electrical plug for use in e.g. rail pressure sensor, has housing, electrical contacts and connecting flange, which are sealed against each other by sealing or adhesive compound provided at housing sides around contacts and flange
US9991691B2 (en)Component with at least one opening
JP2011049421A (en)Insulated, sealed electronic component and method of manufacturing the same
CN209694244U (en)A kind of wearable component
RU113107U1 (en) SEALED HOUSING
CN102025074A (en)Leakproof structure for electric connector assembly and leakproof method thereof
CN204350511U (en)Power module with heat-radiating substrate and shell, assembling semi-finished product
US3298870A (en)Battery casing construction
CN110034266A (en)The manufacturing method and electric component of electric component
RU2697458C1 (en)Method for production of sealed electronic module
JP2013187172A (en)Lead storage battery
RU2352087C2 (en)Method and construction for obtaining of hermetic detachable joint of case and cover of electronic module
CN204178871U (en)A kind of transformer oil tank cover assembly
JP3267078B2 (en) Lead storage battery
CN209056690U (en)A kind of closed type adapter
CN219478339U (en)Electronic component with waterproof function

Legal Events

DateCodeTitleDescription
MM1KUtility model has become invalid (non-payment of fees)

Effective date:20140831


[8]ページ先頭

©2009-2025 Movatter.jp