Movatterモバイル変換


[0]ホーム

URL:


NL8901322A - ROENTGEN IMAGE SYNCHRONIZATION METHOD. - Google Patents

ROENTGEN IMAGE SYNCHRONIZATION METHOD.
Download PDF

Info

Publication number
NL8901322A
NL8901322ANL8901322ANL8901322ANL8901322ANL 8901322 ANL8901322 ANL 8901322ANL 8901322 ANL8901322 ANL 8901322ANL 8901322 ANL8901322 ANL 8901322ANL 8901322 ANL8901322 ANL 8901322A
Authority
NL
Netherlands
Prior art keywords
ray
recording
synchronization method
image synchronization
rhythm
Prior art date
Application number
NL8901322A
Other languages
Dutch (nl)
Original Assignee
Philips Nv
Priority date (The priority date is an assumption and is not a legal conclusion. Google has not performed a legal analysis and makes no representation as to the accuracy of the date listed.)
Filing date
Publication date
Application filed by Philips NvfiledCriticalPhilips Nv
Priority to NL8901322ApriorityCriticalpatent/NL8901322A/en
Priority to DE69013571Tprioritypatent/DE69013571T2/en
Priority to EP90201274Aprioritypatent/EP0399606B1/en
Priority to US07/527,998prioritypatent/US5040201A/en
Priority to JP02133715Aprioritypatent/JP3105520B2/en
Publication of NL8901322ApublicationCriticalpatent/NL8901322A/en

Links

Classifications

Landscapes

Description

Translated fromDutch

De uitvinding heeft betrekking op een röntgenbeeldsynchronisatiemethode voor het maken van in de tijd opeenvolgende röntgenbeelden van een periodiek bewegend object, waarbij het object wordt doorstraald met. een door een röntgenbron uitgezonden röntgenbundel,, waarbij door een opneeminrichting een bewegingsperiode van het object wordt gemeten en opneempulsen aan een synchronisatie-inrichting worden afgegeven, door welke synchronisatie-inrichting de röntgenbron wordt geactiveerd en gedeactiveerd.The invention relates to an X-ray image synchronization method for making time-sequential X-ray images of a periodically moving object, the object being irradiated with. an X-ray beam emitted by an X-ray source, wherein a period of movement of the object is measured by a recording device and recording pulses are delivered to a synchronizing device, by which synchronizing device the X-ray source is activated and deactivated.

De uitvinding heeft tevens betrekking op een inrichting voorzien van een röntgenbron, een opneeminrichting en een synchronisatie inrichting, geschikt voor toepassing van de röntgenbeeidsynchronisatiemethode. Een dergelijke röntgenbeeldsynchronisatiemethode en een dergelijke inrichting zijn bekend uit de brochure "Philips Medical Systems", 4522 984 09241/744; DVI-V, januari 1985.The invention also relates to a device provided with an X-ray source, a pick-up device and a synchronization device, suitable for applying the X-ray image synchronization method. Such an X-ray image synchronization method and such a device are known from the brochure "Philips Medical Systems", 4522 984 09241/744; DVI-V, January 1985.

Bij het maken van een röntgenbeeld van een object, in bijvoorbeeld een menselijk lichaaam, zoals bijvoorbeeld een hart of bloedvaten,, wordt. de. röntgenbundel door het. object en de omgeving rondom het object verzwakt. In een menselijk lichaam bestaan het af te beelden object en de. omgeving grotendeels uit. water, waardoor de röntgenbundel door het object en de omgeving nagenoeg evenveel wordt verzwakt. Dit resulteert in een afbeelding van het object met een laag contrast.. Door het. weer te geven object te vullen met een relatief sterk röntgenstraling absorberend contrastmiddel, zoals jodium, en een opname van het met contrastmiddel gevulde object af te trekken van een opname van het. object zonder contrastmiddel, een zogenaamde achtergrondopnarae, wordt een contrastversterking bewerkstelligd. Indien de opname van het. met contrastmiddel gevulde object door beweging van het object is verschoven ten opzichte van de achtergrondopname, ontstaan hierdoor in het contrastversterkte beeld artefakten. Met name bij het maken van een serie opeenvolgende röntgenbeelden, die alvorens op een televisiemonitor te worden weergegeven, ten behoeve van ruisintegratie worden gesommeerd, of die een contrastmiddelstroom door het af te beelden object volgen, zal de techniek van contrastversterking door het aftrekken van een achtergrondopname door de beweging van het object sterk worden benadeeld. Bij het afbeelden van in de buurt van een hart gelegen vaten, treden door de hartbeweging bovengenoemde problemen op. Door het roeten van een bewegingsritme van een object met de opneeminrichting, bijvoorbeeld het maken van een elektro cardiogram, kan doorlichting worden gesynchroniseerd met het bewegingsritme. Dit gebeurt bijvoorbeeld in het Philips DVI-V systeem. Door de doorlichting te laten plaatsvinden na een voorbepaalde tijdvertraging ten opzichte van een door de opneeminrichting afgegeven opneempuls, zijn de röntgenbeelden in fase, en dekkend met de achtergrondopname. Hierbij is een optredend nadeel, dat bij veranderingen van het bewegingsritme van het af te beelden object, die bijvoorbeeld kunnen worden veroorzaakt door het contrastmiddel, de röntgenbeelden het object op verschillende posities weergeven, zodat ook bij deze röntgenbeeldsynchronisatiemethode artefakten zullen optreden.When making an X-ray image of an object, for example in a human body, such as, for example, a heart or blood vessels. the. x-ray beam through it. object and the environment surrounding the object weakens. In a human body, the object to be depicted and the. environment largely. water, so that the X-ray beam is weakened almost as much by the object and the surroundings. This results in a low contrast image of the object. fill object to be displayed with a relatively strong X-ray absorbing contrast agent, such as iodine, and subtract an image of the object filled with contrast agent from an image of the. object without contrast medium, a so-called background recording, a contrast enhancement is effected. If the recording of it. Contrast-filled object has shifted from movement of the object relative to the background image, creating artifacts in the contrast-enhanced image. In particular, when taking a series of consecutive X-ray images, which are summed for noise integration before being displayed on a television monitor, or that follow a contrast medium flow through the object to be imaged, the technique of contrast enhancement by subtracting a background image be greatly disadvantaged by the movement of the object. When imaging vessels located near a heart, the above-mentioned problems arise due to the heart movement. By soothe the rhythm of movement of an object with the pick-up device, for example making an electro cardiogram, screening can be synchronized with the movement rhythm. This happens, for example, in the Philips DVI-V system. By allowing the irradiation to take place after a predetermined time delay with respect to a pick-up pulse delivered by the pick-up device, the X-ray images are in phase and cover with the background picture. A disadvantage here is that when changes in the rhythm of movement of the object to be imaged, which can for instance be caused by the contrast agent, the X-ray images represent the object at different positions, so that artefacts will also occur with this X-ray image synchronization method.

De uitvinding heeft onder meer ten doel te voorzien in een röntgenbeeldsynchronisatiemethode waarbij het optreden van bewegingsartefakten wordt verminderd.One of the objects of the invention is to provide an X-ray image synchronization method in which the occurrence of motion artifacts is reduced.

Hiertoe heeft een röntgenbeeldsynchronisatiemethode volgens de uitvinding tot kenmerk, dat in de synchronisatie-inrichting met rekenmiddelen uit de opneempulsen een tijdstip van een eerstvolgende toekomstige opneempuls wordt berekend.For this purpose, an X-ray image synchronization method according to the invention is characterized in that a time of a next future recording pulse is calculated in the synchronization device with calculating means from the recording pulses.

Door uit de gemeten opneempulsen het tijdstip van de eerstvolgende opneempuls te bereken, kan de doorlichting op een in tijd constant moment tussen twee opeenvolgende opneempulsen, dus op een constante objectpositie, plaatsvinden. Veranderingen in het bewegingsritme worden door de berekening gedetekteerd en de synchronisatie van de röntgenbron wordt aan het veranderde bewegingsritme aangepast. Naarmate bij de berekening de invloed, van in tijd verder weg gelegen gemeten opneempulsen sterker of zwakker is, reageert de synchronisatie langzamer of sneller op ritmeveranderingen. Indien de objectbeweging naast systematische versnellingen en vertragingen ook stochastische bewegingen vertoont, zoals bijvoorbeeld extra systoles of premature ventriculaire contracties van een hart, volgen de opneempulsen elkaar niet op exact voorspelbare momenten op.By calculating the time of the next recording pulse from the measured recording pulses, the screening can take place at a time constant between two successive recording pulses, i.e. at a constant object position. Changes in the movement rhythm are detected by the calculation and the synchronization of the X-ray source is adapted to the changed movement rhythm. As the influence of measured recording pulses farther away in time is stronger or weaker in the calculation, the synchronization responds slower or faster to rhythm changes. If, in addition to systematic accelerations and delays, the object movement also exhibits stochastic movements, such as extra systoles or premature ventricular contractions of a heart, the recording pulses do not follow each other at exactly predictable moments.

Voor een nauwkeurige berekening van de eerstvolgende opneempuls door combinatie van de gemeten opneempulsen, is het van belang dat een juiste weging van de voorafgaande pulsen plaats vindt, zodat niet elke fluctuatie leidt tot een verandering in de synchronisatie, zonder dat hierbij de synchronisatie ongevoelig wordt voor systematische ritmeveranderingen. indien van het stochastisch proces dat de Objectbeweging beschrijft karakteriserende parameters het gemiddelde bewegingsritme en de variantie zijn, kan een nauwkeurige voorspelling van de eerstvolgende opneempuls plaats vinden wanneer het gemiddelde en de variantie bekend zijn. Veelal is er voor een uitgebreide statistische analyse van de objectbeweging geen tijd en moet vanwege contrastmiddelverplaatsing snel een aantal röntgenbeelden worden gemaakt. De berekening dient binnen een gemiddelde periode van de opneempulsen een waarde voor het tijdstip van de eerstvolgende toekomstige opneempuls te genereren en dient derhalve weinig rekentijd te vergen. Een berekening van de eerstvolgende toekomstige opneempuls dient verder, ter bevordering van vereenvoudiging van het maken van de röntgenbeelden, geheel automatisch te zijn.For an accurate calculation of the next recording pulse by combining the measured recording pulses, it is important that the previous pulses are correctly weighted, so that not every fluctuation leads to a change in the synchronization, without thereby making the synchronization insensitive to systematic rhythm changes. if of the stochastic process describing the Object Motion characterizing parameters are the mean rhythm of movement and the variance, an accurate prediction of the next recording pulse can take place when the mean and variance are known. Often there is no time for an extensive statistical analysis of the object movement and a number of X-ray images have to be taken quickly due to contrast agent displacement. The calculation should generate a value for the time of the next future recording pulse within an average period of the recording pulses and should therefore require little computing time. Furthermore, a calculation of the next future recording pulse should be fully automatic, in order to facilitate simplification of the production of the X-ray images.

Een voorkeursuitvoering van een röntgenbeeldsynchronisatiemethode volgens de uitvinding heeft tot kenmerk, dat bij het berekenen van de eerstvolgende toekomstige opneempuls een recursieve kalman filtermethode wordt toegepast.A preferred embodiment of an X-ray image synchronization method according to the invention is characterized in that a recursive Kalman filter method is used when calculating the next future recording pulse.

Door de toepassing van een kalman filtermethode wordt’ een recursieve beschrijving van het bewegingsritme gegeven, welke beschrijving zich aan veranderingen van dit stochastisch proces aanpast. Niet-systemat.ische variaties van het bewegingsritme worden met deze berekeningswijze adequaat onderscheiden van systematische variaties. Dit is vooral van voordeel bij cardiologisch angiografisch onderzoek,By applying a Kalman filter method, a recursive description of the movement rhythm is given, which description adapts to changes in this stochastic process. Non-systematic variations of the rhythm of movement are adequately distinguished from systematic variations with this calculation method. This is particularly advantageous for cardiological angiographic examination,

De uitvinding zal nader worden toegelicht aan.de hand van bijgevoegde tekening. In de tekening toont: figuur 1 een schematische weergave van een inrichting geschikt voor toepassing van de röntgenbeeldsynchrcinisatiemethode, figuur 2a tot en met 2f reeksen opneempulsen met bijbehorende synchronisatiepulsen en figuur 3 een stroomdiagram van een berekeningswijze van de eerstvolgende toekomstige opneempuls volgens de kalman filtermethode.The invention will be further elucidated with reference to the annexed drawing. In the drawing: figure 1 shows a schematic representation of a device suitable for application of the X-ray image synchronization method, figures 2a to 2f series of recording pulses with associated synchronizing pulses and figure 3 shows a flow diagram of a calculation method of the next future recording pulse according to the kalman filter method.

Figuur 1 toont een röntgenbron 1 die een object 3, dat een detail 4 omvat, doorstraalt met een röntgenbundel 5, Met een röntgendetektor 7, in dit geval een röntgenbeeldversterkerbuis, wordt een beelddragende röntgenbundel 6 omgezet in een lichtbeeld, dat op een uitgangsscherm van de röntgenbeeldversterkerbuis verschijnt en met een televisie opneembuis 9 wordt omgezet in een elektrisch signaal. Dit signaal wordt toegevoerd aan een analoog-digitaal convertor 11 en wordt vervolgens toegevoerd aan één der geheugens 12 of 13. Tn bijvoorbeeld geheugen 12 wordt een opname van het object 3 met een met contrastmiddel gevuld detail 4 opgeslagen en in geheugen 13 wordt een achtergrond opname van het object 3 opgeslagen. Na logaritmering van de signalen in de in de geheugens 12 en 13, worden de digitale beelden in de geheugens van elkaar afgetrokken in een aftrekinrichting 15, waardoor een contrastversterkt beeld van het detail 4 wordt verkregen. Dit beeld wordt na digitaal-analoog conversie met een digitaal-analoog convertor 16 weergegeven op een monitor 17. De in de geheugens 12 en 13 opgeslagen digitale röntgenbeelden kunnen worden opgeslagen in een achtergrondgeheugen 19, waaruit eveneens digitale beelden aan de geheugens 12 en 13 kunnen worden toegevoerd. Om een bewegingsritme van het object 3 te bepalen, is een opneeminrichting 20 met het object 4 verbonden, welke opneeminrichting op tijdstippen waarop het object 4 een voorbepaalde positie inneemt, een pulsvorraig signaal aan een synchronisatie-inrichting 22 toevoert. De synchronisatie-inrichting 22 berekent uit de opneempulsen het tijdstip van de eerstvolgende opneempuls, en detecteert systematische ritmeveranderingen van het object 4. De synchronisatie-inrichting 22 aktiveert de röntgenbron 1 synchroon met een frameperiode, bijvoorbeeld 40 ms, van een televisiemonitor 23, waarop een real time beeld van het object wordt weergegeven.Figure 1 shows an X-ray source 1 which irradiates an object 3, which includes a detail 4, with an X-ray beam 5. With an X-ray detector 7, in this case an X-ray image intensifier tube, an image-carrying X-ray beam 6 is converted into a light image, which is displayed on an output screen of the X-ray image intensifier tube appears and with a television pick-up tube 9 is converted into an electrical signal. This signal is applied to an analog-to-digital converter 11 and is then applied to one of the memories 12 or 13. For example, in memory 12, a recording of the object 3 with detail 4 filled with contrast medium is stored and in memory 13 a background recording of the object 3 saved. After logarithmising the signals in the memories 12 and 13, the digital images in the memories are subtracted from each other in a subtractor 15, thereby obtaining a contrast-enhanced image of the detail 4. After digital-analog conversion with a digital-analog converter 16, this image is displayed on a monitor 17. The digital X-ray images stored in the memories 12 and 13 can be stored in a background memory 19, from which digital images can also be stored in the memories 12 and 13. be fed. To determine a movement rhythm of the object 3, a pick-up device 20 is connected to the object 4, which pick-up device supplies a pulse-shaped signal to a synchronizing device 22 at times when the object 4 occupies a predetermined position. The synchronizing device 22 calculates from the recording pulses the time of the next recording pulse, and detects systematic rhythm changes of the object 4. The synchronizing device 22 activates the X-ray source 1 synchronously with a frame period, for example 40 ms, of a television monitor 23, on which a real time image of the object is displayed.

Figuur 2a toont een reeks opneempulsen t^-tg die elkaar met een interval T opvolgen, waarbij na tijdstip f3 een systematische ritmeverandering optreedt. Synchronisatie van de röntgenbron door de synchronisatie-inrichting op tijdstippen X.J-X4, die ten opzichte van de opneempulsen een voorbepaalde tijd vertraagd zijn, vindt, op tijdstippen vóór de ritmeverandering plaats op een fraktie van T die verschilt van de fraktie van T na de ritmeverandering. Door het toekomstig interval T te berekenen en door de synchronisatie op een voorbepaalde fraktie van T na de laatste opneempuls te laten plaatsvinden wordt, het hier geïllustreerde probleem vermeden. Figuur 2b toont een stochastische ritmevariatie die bij hartritmes voor komt, de extra systole. Hierbij treedt een extra hartcontractie op, tussen twee elkaar met interval T opeenvolgende hartslagen. Synchronisatie na een, ten opzichte van de laatste opneempuls, voorbepaalde tijdvertraging, leidt tot een in fase afwijkende doorlichting op momenten x2 en x-j. Figuur 2c toont dat, indien de fluctuatie geen invloed heeft op de berekende eerstvolgende toekomstige opneempuls, alleen op moment x2 een in fase afwijkende doorlichting plaatsvindt. Door het herkennen van opneempuls t.3 als stochastische fluctuatie, kan op grond hiervan de synchronisatie op tijdstip x2 worden onderdrukt. Een verdere fluctuatie die in een hartritme voorkomt, .is een zogenaamde premature ventriculaire contractie, waarbij één opneempuls vevroegd optreedt, en waarbij de daaropvolgende opneempuls op het verwachte moment optreedt. Hierbij treden bij de bekende synchronisatiemethode op momenten x^ en x2 in fase afwijkende doorlichtingen op, terwijl bij de synchronisatie volgens de uitvinding alleen op tijdstip x^ een in fase afwijkende doorlichting plaats vindt. Synchronisatie op tijdstip x2 kan na herkennen van opneempuls t2 als stochastische fluktuatie, worden onderdrukt..Figure 2a shows a series of recording pulses t ^ -tg which follow each other at an interval T, with a systematic rhythm change occurring after time f3. Synchronization of the X-ray source by the synchronizing device at times XJ-X4, which are delayed relative to the pick-up pulses, takes place at times before the rhythm change at a fraction of T that differs from the fraction of T after the rhythm change . By calculating the future interval T and by allowing the synchronization to a predetermined fraction of T after the last pick-up pulse, the problem illustrated here is avoided. Figure 2b shows a stochastic rhythm variation that occurs with heart rhythms, the extra systole. An extra heart contraction occurs between two consecutive heartbeats with interval T. Synchronization after a predetermined time delay relative to the last pick-up pulse results in phase differing views at moments x2 and x-j. Figure 2c shows that if the fluctuation has no influence on the calculated next future pick-up pulse, a phase-deviating screening only takes place at time x2. By recognizing recording pulse t.3 as a stochastic fluctuation, the synchronization at time x2 can be suppressed on this basis. A further fluctuation that occurs in a heart rhythm is a so-called premature ventricular contraction, in which one recording pulse occurs early, and the subsequent recording pulse occurs at the expected time. In the known synchronization method, phase differing views occur at times x ^ and x2, while in the synchronization according to the invention a phase deviating phase differs only at time x ^. Synchronization at time x2 can be suppressed after recognition of recording pulse t2 as stochastic fluctuation.

Figuur 3 toont een stroomschema voor de kalman filtemethode. Om het probleem van het voorspellen van het bewegingsritme van het af te beelden object wiskundig te omschrijven, wordt het bewegingsritme voorgesteld als een stochastisch proces waarvan een drie dimensionale vektor x(t) de voor het proces relevante parameters omvat. Gebleken is dat. xi (tn) = tn, x2(tn} = Wi en X3(V = V2tn-1+tn-2 het proces voldoende karakteriseren. Het proces wordt voorgesteld door de relatie: x (k+1) = A x (k) + w (k) (1)Figure 3 shows a flow chart for the kalman filter method. To mathematically describe the problem of predicting the motion rhythm of the object to be imaged, the motion rhythm is presented as a stochastic process whose three dimensional vector x (t) includes the parameters relevant to the process. It turned out that. xi (tn) = tn, x2 (tn} = Wi and X3 (V = V2tn-1 + tn-2) sufficiently characterize the process. The process is represented by the relation: x (k + 1) = A x (k) + w (k) (1)

Hierin zijn onderlijnde grootheden kolomvektoren, en duidt een hóófdletter een matrix aan. w (k) wordt voorgesteld als een stochastisc wit proces, met een gemiddelde nul: E [ w (k)< w T(l)·]. (?)Here, underlined quantities are column vectors, and a capital letter denotes a matrix. w (k) is represented as a stochastic white process, with a mean zero: E [w (k) <w T (l) ·]. (?)

Hierin is E de. verwachtings operator en w (k)T is de getransponeerde vektor van kolomvektor w (k).E is the. expectation operator and w (k) T is the transposed vector of column vector w (k).

Het autoregressieve proces van. de eerste orde, zoals beschreven in formule 1, wordt geobserveerd als een serie discrete metingen z (k), de opneempulsen, die aan het systeem gerelateerd zijn door: y(k) =C 2 (k) + v (k) (3)The autoregressive process of. the first order, as described in formula 1, is observed as a series of discrete measurements z (k), the recording pulses, which are related to the system by: y (k) = C 2 (k) + v (k) (3 )

Hierin is C = (1,0,0) en v (k) is een wit ruisproces dat de meetwaarden verstoort, met gemiddelde nul en met covariantiematrix: E[ v (k). v (1)] = R{k)5kl (4)Where C = (1,0,0) and v (k) is a white noise process that disturbs the measured values, with mean zero and with covariance matrix: E [v (k). v (1)] = R {k) 5kl (4)

Voorts zijn w (k) en v (k) ongecorreleerd. Het probleem dat moet worden opgelost is dat uit de waargenomen opneempulsen y(0)...y(k) het bewegingsritme x (k+1) moet worden berekend. Deze schatter wordt aangeduid met x (k+1|k), waarbij x (k+1|k) = E[ x (k+1 -I z (k) ], het voorwaardelijke gemiddelde van x (k+1) bij gegeven y (k). Daar x (k) en y (k) gezamelijk Gaussisch zijn verdeeld, wordt de statistiek van het bewegingsritme volledig beschreven door het voorwaardelijk gemiddelde en de variantie van deze verdeling. De gezamelijke voorwaardelijke waarschijnlijkheidsverdeling wordt op recursieve wijze door de kalman filtermethode gegeven. De kalman filtermethode minimaliseert de gemiddelde gekwadrateerde fout in de voorspelde eerstvolgende opneempuls, E[(tn+j-tn)^]. Voor x (k+1Jk) geeft de kalman filtermethode: t (k+1|k) = A x(k|k-1)+G(k)[ y (k)-C i(k|k-l) (5)Furthermore, w (k) and v (k) are uncorrelated. The problem to be solved is that from the sensed recording pulses y (0) ... y (k) the motion rhythm x (k + 1) must be calculated. This estimator is denoted by x (k + 1 | k), where x (k + 1 | k) = E [x (k + 1 -I z (k)], the conditional mean of x (k + 1) at given y (k) Since x (k) and y (k) are jointly Gaussian distributed, the statistic of the rhythm of motion is fully described by the conditional mean and the variance of this distribution. kalman filter method given. The kalman filter method minimizes the mean squared error in the predicted next recording pulse, E [(tn + j-tn) ^]. For x (k + 1Jk), the kalman filter method gives: t (k + 1 | k) = A x (k | k-1) + G (k) [y (k) -C i (k | kl) (5)

Of: x (k+1[k)=A x (k|k) (5b)Or: x (k + 1 [k) = A x (k | k) (5b)

Hierin is G(k) de voorspellingsversterkingsmatrix. G(k) is gegeven door: G(k) = AP(k|k~1)CT[CP(kjk-1)CT+R(k)r1 (6)Here G (k) is the prediction gain matrix. G (k) is given by: G (k) = AP (k | k ~ 1) CT [CP (kjk-1) CT + R (k) r1 (6)

De kalman versterkingsmatrix K(k) wordt gedefinieerd als: AK(k) = G(k) (6b) P(k+1|k) is de voorspelde gemiddeld gekwadrateerde foutmatrix: P(k+1|k) = (A-G(k)C)P(k|k-1)AT+Q(k) (7)The Kalman gain matrix K (k) is defined as: AK (k) = G (k) (6b) P (k + 1 | k) is the predicted mean squared error matrix: P (k + 1 | k) = (AG ( k) C) P (k | k-1) AT + Q (k) (7)

De gemiddeld gekwadrateerde foutmatrix P(k|k) is: P(k|k) = E[( x(k)- x (k))( x(k)~ x (kj)T] (8)The mean squared error matrix P (k | k) is: P (k | k) = E [(x (k) - x (k)) (x (k) ~ x (kj) T] (8)

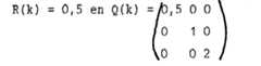
Voor de hierboven beschreven toepassing geldt:For the application described above, the following applies:

Figure NL8901322AD00071

Aangenomen wordt dat:It is believed that:

Figure NL8901322AD00081

Als initialisatie geldt: *1(3) = t3, x2(3) = t3-t2 en X3O) = ΐ3-2ΐ2+1.ιThe initialization applies: * 1 (3) = t3, x2 (3) = t3-t2 and X3O) = ΐ3-2ΐ2 + 1.ι

Voor P(313) geldt, als initialisatie:For P (313), the initialization applies:

Figure NL8901322AD00082

Met (5) volgt voor de voorspelde waarde van x: x (41 3) = A x. (3 l 3) = 3(t3~t2)+t.j en met (7) volgt voor de voorspelde waarde van P: P(41 3) = AP(3 13).AT+Q'(k)With (5) for the predicted value of x follows: x (41 3) = A x. (3 l 3) = 3 (t3 ~ t2) + t.j and with (7) for the predicted value of P: P (41 3) = AP (3 13) .AT + Q '(k)

Op het volgende tij stip is een correctie nodig: x (4|4) = x (4|3)+K(k)( z (4)—C x(4|3) (9) met K de kalman versterkingsmatrix: K(k) = P(4|3)CT(C.P(4|3)CT+0,5)_1 (10) P(4|4) is gegeven door: P(4l4) = P(4|3)-KCP(4|3) (11)A correction is necessary at the following time: x (4 | 4) = x (4 | 3) + K (k) (z (4) —C x (4 | 3) (9) with K the kalman gain matrix: K (k) = P (4 | 3) CT (CP (4 | 3) CT + 0.5) _1 (10) P (4 | 4) is given by: P (4l4) = P (4 | 3) -KCP (4 | 3) (11)

Na uitwerking van 9, 10 en 11 kan met behulp van 5 x(5|4) worden berekend enzovoorts.After working out 9, 10 and 11, calculations can be made using 5 x (5 | 4) and so on.

Claims (4)

Translated fromDutch
1. Röntgenbeeldsynchronisatiemethode voor het maken van in de tijd opeenvolgende röntgenbeelden van een periodiek bewegend object, waarbij het object wordt doorstraald met een door een röntgenbron uitgezonden röntgenbundel, waarbij door een opneeminrichting een bewegingsperiode van het object wordt gemeten en opneempulsen aan een synchronisatie-inrichting worden afgegeven, door welke synchronisatie-inrichting de röntgenbron wordt geaktiveerd en gedeaktiveerd, met het kenmerk, dat in de synchronisatie-inrichting met rekenmiddelen uit de opneempulsen een tijdstip van een eerstvolgende toekomstige opneempuls wordt berekend.An X-ray image synchronization method for making successive X-ray images of a periodically moving object, irradiating the object with an X-ray beam emitted by an X-ray source, measuring a period of movement of the object through a recording device and recording pulses on a synchronizing device by which synchronizing device the X-ray source is activated and deactivated, characterized in that a time of a next future recording pulse is calculated in the synchronizing device with calculating means from the recording pulses.2. Röntgenbeeldsynchronisatiemethode volgens conclusie 1, met het kenmerk, dat bij het berekenen van de eerstvolgende toekomstige opneempuls een recursieve kalman filtermethode wordt toegepast.X-ray image synchronization method according to claim 1, characterized in that a recursive kalman filter method is used when calculating the next future recording pulse.3. Röntgenbeeldsynchronisatiemethode volgens conclusie 3, met het kenmerk, dat een objectpositie als functie van de tijd wordt beschreven door een drie dimensionale vektor waarvan elementen worden berekend uit drie opeenvolgende opneempulsen tn, tn_^ en tn_2 waarbij een eerste element, gelijk is aan t , een tweede element gelijk is aan tn-t.n_^, en een derde element gelijk is aan *V^n-l+*n-2'X-ray image synchronization method according to claim 3, characterized in that an object position as a function of time is described by a three-dimensional vector whose elements are calculated from three successive recording pulses tn, tn_ ^ and tn_2, where a first element equals t, a second element equals tn-t.n_ ^, and a third element equals * V ^ n-l + * n-2 '4. Inrichting voorzien van een röntgenbron, een opneeminrichting en een synchronisatie-inrichting, geschikt voor toepassing in een röntgenbeeldsynchronisatiemethode volgens één der voorgaande conclusies.Device provided with an X-ray source, a pick-up device and a synchronization device, suitable for use in an X-ray image synchronization method according to any one of the preceding claims.
NL8901322A1989-05-261989-05-26 ROENTGEN IMAGE SYNCHRONIZATION METHOD.NL8901322A (en)

Priority Applications (5)

Application NumberPriority DateFiling DateTitle
NL8901322ANL8901322A (en)1989-05-261989-05-26 ROENTGEN IMAGE SYNCHRONIZATION METHOD.
DE69013571TDE69013571T2 (en)1989-05-261990-05-21 X-ray image synchronization method and device.
EP90201274AEP0399606B1 (en)1989-05-261990-05-21X-ray exposure synchronisation method and device
US07/527,998US5040201A (en)1989-05-261990-05-22X-ray exposure synchronization method and apparatus
JP02133715AJP3105520B2 (en)1989-05-261990-05-23 X-ray inspection equipment

Applications Claiming Priority (2)

Application NumberPriority DateFiling DateTitle
NL8901322ANL8901322A (en)1989-05-261989-05-26 ROENTGEN IMAGE SYNCHRONIZATION METHOD.
NL89013221989-05-26

Publications (1)

Publication NumberPublication Date
NL8901322Atrue NL8901322A (en)1990-12-17

Family

ID=19854717

Family Applications (1)

Application NumberTitlePriority DateFiling Date
NL8901322ANL8901322A (en)1989-05-261989-05-26 ROENTGEN IMAGE SYNCHRONIZATION METHOD.

Country Status (5)

CountryLink
US (1)US5040201A (en)
EP (1)EP0399606B1 (en)
JP (1)JP3105520B2 (en)
DE (1)DE69013571T2 (en)
NL (1)NL8901322A (en)

Families Citing this family (12)

* Cited by examiner, † Cited by third party
Publication numberPriority datePublication dateAssigneeTitle
US5490505A (en)*1991-03-071996-02-13Masimo CorporationSignal processing apparatus
MX9702434A (en)1991-03-071998-05-31Masimo CorpSignal processing apparatus.
US5271055A (en)*1992-08-191993-12-14General Electric CompanyMethods for reducing motion induced artifacts in a projection imaging system
US7376453B1 (en)1993-10-062008-05-20Masimo CorporationSignal processing apparatus
EP1905352B1 (en)1994-10-072014-07-16Masimo CorporationSignal processing method
US8019400B2 (en)1994-10-072011-09-13Masimo CorporationSignal processing apparatus
EP0967917B1 (en)*1997-01-292005-11-30Picker Medical Systems, Ltd.Predictive bolus tracking
DE102008032296B4 (en)2008-07-092010-06-02Siemens Aktiengesellschaft X-ray machine
JP5335313B2 (en)*2008-08-052013-11-06キヤノン株式会社 X-ray imaging apparatus, X-ray imaging system, X-ray imaging control apparatus, control method, and program
JP6046853B1 (en)*2016-07-012016-12-21範子 遣水 Grooving cutter for cooking food
JP6848407B2 (en)*2016-12-092021-03-24コニカミノルタ株式会社 Radiation imaging system
CN111513738B (en)*2020-04-102023-08-01北京东软医疗设备有限公司Angiography method, device, equipment and system

Family Cites Families (3)

* Cited by examiner, † Cited by third party
Publication numberPriority datePublication dateAssigneeTitle
US3871360A (en)*1973-07-301975-03-18Brattle Instr CorpTiming biological imaging, measuring, and therapeutic timing systems
US4245647A (en)*1978-12-061981-01-20General Electric CompanyArrhythmia rejection circuit for gated cardiac image display systems
DE3670745D1 (en)*1985-02-041990-05-31Siemens Ag X-RAY DIAGNOSTIC DEVICE FOR SUBTRACTION ANGIOGRAPHY.

Also Published As

Publication numberPublication date
JP3105520B2 (en)2000-11-06
JPH0382000A (en)1991-04-08
US5040201A (en)1991-08-13
DE69013571T2 (en)1995-05-11
EP0399606A1 (en)1990-11-28
EP0399606B1 (en)1994-10-26
DE69013571D1 (en)1994-12-01

Similar Documents

PublicationPublication DateTitle
EP0606709B1 (en)Digital X-ray imaging method with automatic tracking
US5967981A (en)Time series prediction for event triggering
US4903705A (en)Digital radiography apparatus
JP7133346B2 (en) Method of operation and imaging device for quantitative flow analysis of fluid flowing through a conduit from a sequence of successive image frames of said conduit
NL8901322A (en) ROENTGEN IMAGE SYNCHRONIZATION METHOD.
US4995064A (en)Continuously sweeping multiple-pass image acquisition system for peripheral angiography
EP1436782B1 (en)Method of rencostructing a high-resolution 3d image
US6673017B1 (en)Temporal resolution method and systems for ultrasound imaging
EP0866607A2 (en)Noise filter for digital x-ray imaging system
EP2320801B1 (en)Mask construction for cardiac subtraction
US7940892B2 (en)Energy substraction method and apparatus
US20090169080A1 (en)System and method for spatially enhancing structures in noisy images with blind de-convolution
US20050220264A1 (en)Method and device for medical image reconstruction
WO2004081877A1 (en)Motion-corrected three-dimensional volume imaging method
EP1604612B1 (en)X-ray CT apparatus for myocardial perfusion image generation
JP2024519764A (en) Motion-compensated wavelet angiography.
DE102011083408A1 (en) An imaging method and apparatus for displaying vessels or organs in an examination area of a patient
US8103078B2 (en)Method for determining ECG-triggered recording times for imaging to support interventional and diagnostic cardiac procedures
US20040260177A1 (en)Change detection for optimized medical imaging
JPH05192319A (en)X-ray diagnostic device
EP4042924A1 (en)Position estimation of an interventional device
Movassaghi et al.3D coronary reconstruction from calibrated motion-compensated 2D projections
Close et al.Accuracy assessment of layer decomposition using simulated angiographic image sequences
USRE35456E (en)Fluoroscopic method with reduced x-ray dosage
Nagesh et al.Long short term memory (LSTM) architecture based neural network encoder model for reducing noise in 1000fps high-speed angiography image sequences

Legal Events

DateCodeTitleDescription
A1BA search report has been drawn up
BVThe patent application has lapsed

[8]ページ先頭

©2009-2025 Movatter.jp