









본 개시는 무선 통신 시스템에서 단말 및 기지국의 동작에 관한 것이다. 보다 구체적으로 본 개시는 SVD를 사용하는 무선 통신 시스템에서, DU (Open RAN Digital Unit)을 위해 Port Combining signaling을 위한 단말 및 기지국의 방법 및 장치에 관한 것이다.The present disclosure relates to operations of a terminal and a base station in a wireless communication system. More specifically, the present disclosure relates to a method and device for a terminal and a base station for Port Combining signaling for a DU (Open RAN Digital Unit) in a wireless communication system using SVD.
무선 통신 세대를 거듭하면서 발전한 과정을 돌아보면 음성, 멀티미디어, 데이터 등 주로 인간 대상의 서비스를 위한 기술이 개발되어 왔다. 5G (5th-generation) 통신 시스템 상용화 이후 폭발적인 증가 추세에 있는 커넥티드 기기들이 통신 네트워크에 연결될 것으로 전망되고 있다. 네트워크에 연결된 사물의 예로는 차량, 로봇, 드론, 가전제품, 디스플레이, 각종 인프라에 설치된 스마트 센서, 건설기계, 공장 장비 등이 있을 수 있다. 모바일 기기는 증강현실 안경, 가상현실 헤드셋, 홀로그램 기기 등 다양한 폼팩터로 진화할 것으로 예상된다. 6G (6th-generation) 시대에는 수천억 개의 기기 및 사물을 연결하여 다양한 서비스를 제공하기 위해, 개선된 6G 통신 시스템을 개발하기 위한 노력이 이루어지고 있다. 이러한 이유로, 6G 통신 시스템은 5G 통신 이후 (Beyond 5G) 시스템이라 불리어지고 있다.Looking back at the development process over the generations of wireless communication, technologies have been developed primarily for human-targeted services such as voice, multimedia, and data. After the commercialization of the 5G (5th-generation) communication system, an explosive increase in connected devices is expected to be connected to the communication network. Examples of objects connected to the network include vehicles, robots, drones, home appliances, displays, smart sensors installed in various infrastructures, construction equipment, and factory equipment. Mobile devices are expected to evolve into various form factors such as augmented reality glasses, virtual reality headsets, and holographic devices. In the 6G (6th-generation) era, efforts are being made to develop an improved 6G communication system in order to connect hundreds of billions of devices and objects and provide various services. For this reason, the 6G communication system is called the Beyond 5G system.
2030년쯤 실현될 것으로 예측되는 6G 통신 시스템에서 최대 전송 속도는 테라 (즉, 1,000기가) bps, 무선 지연시간은 100마이크로초(μsec) 이다. 즉, 5G 통신 시스템대비 6G 통신 시스템에서의 전송 속도는 50배 빨라지고 무선 지연시간은 10분의 1로 줄어든다.The maximum transmission speed in the 6G communication system, which is expected to be realized around 2030, is tera (i.e., 1,000 giga) bps, and the wireless delay time is 100 microseconds (μsec). In other words, the transmission speed in the 6G communication system is 50 times faster than that of the 5G communication system, and the wireless delay time is reduced to one-tenth.
이러한 높은 데이터 전송 속도 및 초저(ultra low) 지연시간을 달성하기 위해, 6G 통신 시스템은 테라헤르츠(terahertz) 대역 (예를 들어, 95기가헤르츠(95GHz)에서 3테라헤르츠(3THz)대역과 같은)에서의 구현이 고려되고 있다. 테라헤르츠 대역에서는 5G에서 도입된 밀리미터파(mmWave) 대역에 비해 더 심각한 경로손실 및 대기흡수 현상으로 인해서 신호 도달거리, 즉 커버리지를 보장할 수 있는 기술의 중요성이 더 커질 것으로 예상된다. 커버리지를 보장하기 위한 주요 기술로서 RF(radio frequency) 소자, 안테나, OFDM (orthogonal frequency division multiplexing)보다 커버리지 측면에서 더 우수한 신규 파형(waveform), 빔포밍(beamforming) 및 거대 배열 다중 입출력(massive multiple-input and multiple-output (MIMO)), 전차원 다중입출력(full dimensional MIMO: FD-MIMO), 어레이 안테나(array antenna), 대규모 안테나(large scale antenna)와 같은 다중 안테나 전송 기술 등이 개발되어야 한다. 이 외에도 테라헤르츠 대역 신호의 커버리지를 개선하기 위해 메타물질(metamaterial) 기반 렌즈 및 안테나, OAM(orbital angular momentum)을 이용한 고차원 공간 다중화 기술, RIS(reconfigurable intelligent surface) 등 새로운 기술들이 논의되고 있다.To achieve these high data rates and ultra-low latency, 6G communication systems are being considered for implementation in terahertz bands (e.g., from 95 gigahertz (95 GHz) to 3 terahertz (3 THz) bands). In the terahertz band, the importance of technologies that can guarantee signal reachability, i.e. coverage, is expected to increase due to more severe path loss and atmospheric absorption phenomena compared to the millimeter wave (mmWave) band introduced in 5G. Key technologies to ensure coverage include radio frequency (RF) components, antennas, novel waveforms that are superior to OFDM (orthogonal frequency division multiplexing) in terms of coverage, beamforming, and multiple antenna transmission technologies such as massive multiple-input and multiple-output (MIMO), full dimensional MIMO (FD-MIMO), array antennas, and large scale antennas. In addition, new technologies such as metamaterial-based lenses and antennas, high-dimensional spatial multiplexing technology using orbital angular momentum (OAM), and reconfigurable intelligent surfaces (RIS) are being discussed to improve the coverage of terahertz band signals.
또한 주파수 효율 향상 및 시스템 네트워크 개선을 위해, 6G 통신 시스템에서는 상향링크(uplink)와 하향링크(downlink)가 동일 시간에 동일 주파수 자원을 동시에 활용하는 전이중화(full duplex) 기술, 위성(satellite) 및 HAPS(high-altitude platform stations)등을 통합적으로 활용하는 네트워크 기술, 이동 기지국 등을 지원하고 네트워크 운영 최적화 및 자동화 등을 가능하게 하는 네트워크 구조 혁신 기술, 스펙트럼 사용 예측에 기초한 충돌 회피를 통한 동적 주파수 공유 (dynamic spectrum sharing) 기술, AI (artificial intelligence)를 설계 단계에서부터 활용하고 종단간(end-to-end) AI 지원 기능을 내재화하여 시스템 최적화를 실현하는 AI 기반 통신 기술, 단말 연산 능력의 한계를 넘어서는 복잡도의 서비스를 초고성능 통신과 컴퓨팅 자원(mobile edge computing (MEC), 클라우드 등)을 활용하여 실현하는 차세대 분산 컴퓨팅 기술 등의 개발이 이루어지고 있다. 뿐만 아니라 6G 통신 시스템에서 이용될 새로운 프로토콜의 설계, 하드웨어 기반의 보안 환경의 구현 및 데이터의 안전 활용을 위한 메커니즘 개발 및 프라이버시 유지 방법에 관한 기술 개발을 통해 디바이스 간의 연결성을 더 강화하고, 네트워크를 더 최적화하고, 네트워크 엔티티의 소프트웨어화를 촉진하며, 무선 통신의 개방성을 높이려는 시도가 계속되고 있다.In addition, in order to improve frequency efficiency and system network, 6G communication systems are being developed with full duplex technology that utilizes the same frequency resources for uplink and downlink at the same time, network technology that comprehensively utilizes satellites and HAPS (high-altitude platform stations), network structure innovation technology that supports mobile base stations and enables optimization and automation of network operation, dynamic spectrum sharing technology through collision avoidance based on spectrum usage prediction, AI-based communication technology that utilizes artificial intelligence (AI) from the design stage and internalizes end-to-end AI support functions to realize system optimization, and next-generation distributed computing technology that realizes services with complexity that exceeds the limits of terminal computing capabilities by utilizing ultra-high-performance communication and computing resources (mobile edge computing (MEC), cloud, etc.). In addition, efforts are being made to further strengthen connectivity between devices, further optimize networks, promote softwareization of network entities, and increase the openness of wireless communications by designing new protocols to be used in 6G communication systems, implementing hardware-based security environments, developing mechanisms for safe use of data, and developing technologies for maintaining privacy.
이러한 6G 통신 시스템의 연구 및 개발로 인해, 사물 간의 연결뿐만 아니라 사람과사물 간의 연결까지 모두 포함하는 6G 통신 시스템의 초연결성(hyper-connectivity)을 통해 새로운 차원의 초연결 경험(the next hyper-connected experience)이 가능해질 것으로 기대된다. 구체적으로 6G 통신 시스템을 통해 초실감 확장 현실(truly immersive extended reality (XR)), 고정밀 모바일 홀로그램(high-fidelity mobile hologram), 디지털 복제(digital replica) 등의 서비스 제공이 가능할 것으로 전망된다. 또한 보안 및 신뢰도 증진을 통한 원격 수술(remote surgery), 산업 자동화(industrial automation) 및 비상 응답(emergency response)과 같은 서비스가 6G 통신 시스템을 통해 제공됨으로써 산업, 의료, 자동차, 가전 등 다양한 분야에서 응용될 것이다.These research and developments in 6G communication systems are expected to enable the next hyper-connected experience through the hyper-connectivity of 6G communication systems that include not only connections between things but also connections between people and things. Specifically, 6G communication systems are expected to enable the provision of services such as truly immersive extended reality (XR), high-fidelity mobile holograms, and digital replicas. In addition, services such as remote surgery, industrial automation, and emergency response through enhanced security and reliability will be provided through 6G communication systems, which will be applied in various fields such as industry, medicine, automobiles, and home appliances.
본 개시는 무선 통신 시스템에서 서비스를 효과적으로 제공할 수 있는 방법 및 장치를 제공하고자 한다. 본 개시는 O-RAN에서의 RU가 DU에게 사용한 port combining 방법을 indicate 하여, 무선 통신 시스템에서 통신 성능 향상과 프론트홀 (Front-haul, 이하 FH) 자원 이용 효율을 개선할 수 있는 방법 및 장치를 제공하고자 한다.The present disclosure provides a method and device capable of effectively providing a service in a wireless communication system. The present disclosure provides a method and device capable of improving communication performance and front-haul (FH) resource utilization efficiency in a wireless communication system by indicating a port combining method used by an RU in an O-RAN for a DU.
본 발명의 실시예에서 이루고자 하는 기술적 과제들은 앞서 언급한 기술적 과제들로 제한되지 않으며, 언급하지 않은 또 다른 기술적 과제들은 아래의 기재로부터 본 발명이 속하는 기술분야에서 통상의 지식을 가진 자에게 명확하게 이해될 수 있을 것이다.The technical problems to be achieved in the embodiments of the present invention are not limited to the technical problems mentioned above, and other technical problems not mentioned can be clearly understood by a person having ordinary skill in the technical field to which the present invention belongs from the description below.
본 개시의 일 실시 예에 따른 무선 통신 시스템에서 RU (Remote Unit)에 의해 수행되는 방법에 있어서, DU (Digital Unit)으로부터, port combining configuration을 수신하는 단계, 상기 port combining configuration에 기반하여 SVD (Singular Value Decomposition) port combining 수행 여부를 확인하는 단계, 상기 SVD port combining을 수행할 경우, 상기 SVD port combining 을 지시하는 indication을 상기 DU에게 송신하는 단계, 및 상기 SVD port combining이 적용된 신호를 상기 DU에게 송신하는 단계를 포함하며, 상기 indication은 상기 신호를 디코딩하는데 사용되는 것을 특징으로 할 수 있다.In a method performed by a RU (Remote Unit) in a wireless communication system according to one embodiment of the present disclosure, the method includes the steps of: receiving a port combining configuration from a DU (Digital Unit); determining whether to perform SVD (Singular Value Decomposition) port combining based on the port combining configuration; transmitting an indication indicating the SVD port combining to the DU when the SVD port combining is performed; and transmitting a signal to which the SVD port combining is applied to the DU, wherein the indication may be characterized in that it is used to decode the signal.
본 개시의 일 실시 예에 따른 무선 통신 시스템에서 DU (Digital Unit)에 의해 수행되는 방법에 있어서, RU (Remote Unit)에게, port combining configuration을 송신하는 단계, 상기 port combining configuration에 기반하여 확인된 SVD (Singular Value Decomposition) port combining이 수행될 경우, 상기 RU로부터, 상기 SVD port combining을 지시하는 indication을 수신하는 단계, 및 상기 RU로부터 상기 SVD port combining이 적용된 신호를 수신하는 단계, 및 상기 indication에 기반하여 상기 신호를 디코딩하는 단계를 포함하는 것을 특징으로 할 수 있다.In a method performed by a DU (Digital Unit) in a wireless communication system according to one embodiment of the present disclosure, the method may be characterized by including the steps of: transmitting a port combining configuration to a RU (Remote Unit); receiving an indication from the RU indicating SVD (Singular Value Decomposition) port combining when SVD port combining confirmed based on the port combining configuration is performed; receiving a signal to which the SVD port combining is applied from the RU; and decoding the signal based on the indication.
본 개시의 일 실시 예에 따른 무선 통신 시스템의 RU (Remote Unit)에 있어서, 송수신부, 및 상기 송수신부와 연결된 제어부를 포함하고, 상기 제어부는 DU (Digital Unit)으로부터, port combining configuration을 수신하고, 상기 port combining configuration에 기반하여 SVD (Singular Value Decomposition) port combining 수행 여부를 확인하고, 상기 SVD port combining을 수행할 경우, 상기 SVD port combining 을 지시하는 indication을 상기 DU에게 송신하고, 및 상기 SVD port combining이 적용된 신호를 상기 DU에게 송신하며, 상기 indication은 상기 신호를 디코딩하는데 사용되는 것을 특징으로 할 수 있다.In accordance with one embodiment of the present disclosure, a RU (Remote Unit) of a wireless communication system includes a transceiver, and a control unit connected to the transceiver, wherein the control unit receives a port combining configuration from a DU (Digital Unit), determines whether to perform SVD (Singular Value Decomposition) port combining based on the port combining configuration, and if the SVD port combining is performed, transmits an indication indicating the SVD port combining to the DU, and transmits a signal to which the SVD port combining is applied to the DU, wherein the indication is characterized in that it is used to decode the signal.
본 개시의 일 실시 예에 따른 무선 통신 시스템의 DU (Digital Unit)에 있어서, 송수신부, 및 상기 송수신부와 연결된 제어부를 포함하고, 상기 제어부는 RU (Remote Unit)에게, port combining configuration을 송신하고, 상기 port combining configuration에 기반하여 확인된 SVD (Singular Value Decomposition) port combining이 수행될 경우, 상기 RU로부터, 상기 SVD port combining을 지시하는 indication을 수신하고, 상기 DU로부터 상기 SVD port combining이 적용된 신호를 수신하며, 및 상기 indication에 기반하여 상기 신호를 디코딩하는 것을 특징으로 할 수 있다.In accordance with one embodiment of the present disclosure, a DU (Digital Unit) of a wireless communication system includes a transceiver, and a control unit connected to the transceiver, wherein the control unit transmits a port combining configuration to a RU (Remote Unit), and when SVD (Singular Value Decomposition) port combining is performed based on the port combining configuration, receives an indication from the RU indicating the SVD port combining, receives a signal to which the SVD port combining is applied, from the DU, and decodes the signal based on the indication.
본 개시는 O-RAN 네트워크 환경에서 RU 및 DU 간 데이터 송수신 과정에서 사용한 port combining을 RU가 DU에게 indicate함을 통해 6G 환경에서 보다 적합하게 무선 통신 시스템 서비스를 효과적으로 수행할 수 있는 방법 및 장치를 제공한다.The present disclosure provides a method and device that can effectively perform a wireless communication system service more appropriately in a 6G environment by indicating port combining used by the RU to the DU during data transmission and reception between the RU and DU in an O-RAN network environment.
본 개시에서 얻을 수 있는 효과는 다양한 실시 예들에서 언급한 효과들로 제한되지 않으며, 언급하지 않은 또 다른 효과들은 아래의 기재로부터 본 개시가 속하는 기술 분야에서 통상의 지식을 가진 자에게 명확하게 이해될 수 있을 것이다.The effects obtainable from the present disclosure are not limited to the effects mentioned in the various embodiments, and other effects not mentioned will be clearly understood by those skilled in the art to which the present disclosure belongs from the description below.
도 1은 O-RAN의 구조(architecture)를 도시한 도면이다.
도 2는 MIMO 기술을 사용하는 무선 통신 시스템을 도시한 도면이다.
도 3은 MRC Port combining 방법을 사용하는 방법을 도시한 도면이다.
도 4는 RU와 DU 간의 SVD-based port combining을 수행하는 과정을 도시한 도면이다.
도 5는 DU에서의 matrix inversion 과정을 도시한 도면이다.
도 6는 DU에서의 저복잡도 matrix inversion 과정을 도시한 도면이다.
도 7은 본 개시의 일 실시 예에 따라 RU와 DU간에 port combining을 수행하기 과정을 도시한 도면이다.
도 8은 본 개시의 일 실시 예에 따른 RU의 port combining signaling 과정을 도시한 도면이다.
도 9는 본 개시의 일 실시 예에 따른 DU의 port combining signaling 과정을 도시한 도면이다.
도 10은 본 개시의 일 실시 예에 따른 무선 통신 시스템에서 RU 및 DU의 장치를 도시한 도면이다.Figure 1 is a diagram illustrating the architecture of O-RAN.
FIG. 2 is a diagram illustrating a wireless communication system using MIMO technology.
Figure 3 is a diagram illustrating a method using the MRC Port combining method.
Figure 4 is a diagram illustrating a process of performing SVD-based port combining between RU and DU.
Figure 5 is a diagram illustrating the matrix inversion process in DU.
Figure 6 is a diagram illustrating a low-complexity matrix inversion process in DU.
FIG. 7 is a diagram illustrating a process of performing port combining between RU and DU according to one embodiment of the present disclosure.
FIG. 8 is a diagram illustrating a port combining signaling process of an RU according to an embodiment of the present disclosure.
FIG. 9 is a diagram illustrating a port combining signaling process of a DU according to an embodiment of the present disclosure.
FIG. 10 is a diagram illustrating devices of RU and DU in a wireless communication system according to one embodiment of the present disclosure.
이하 본 개시의 실시 예를 첨부된 도면을 참조하여 상세하게 설명한다.Hereinafter, embodiments of the present disclosure will be described in detail with reference to the attached drawings.
실시 예를 설명함에 있어서 본 개시가 속하는 기술 분야에 익히 알려져 있고, 본 개시와 직접적으로 관련이 없는 기술 내용에 대해서는 설명을 생략한다. 이는 불필요한 설명을 생략함으로써 본 개시의 요지를 흐리지 않고 더욱 명확히 전달하기 위함이다.In describing the embodiments, descriptions of technical contents that are well known in the technical field to which the present disclosure belongs and are not directly related to the present disclosure will be omitted. This is to convey the gist of the present disclosure more clearly without obscuring it by omitting unnecessary descriptions.
마찬가지 이유로, 첨부 도면에 있어서 일부 구성 요소는 과장되거나 생략되거나 개략적으로 도시되었다. 또한, 각 구성요소의 크기는 실제 크기를 전적으로 반영하는 것이 아니다. 각 도면에서 동일한 또는 대응하는 구성요소는 동일한 참조 번호를 부여하였다.For the same reason, some components in the attached drawings are exaggerated, omitted, or schematically illustrated. Also, the size of each component does not entirely reflect the actual size. The same or corresponding components in each drawing are given the same reference numbers.
본 개시의 이점 및 특징, 그리고 그것들을 달성하는 방법은 첨부되는 도면과 함께 상세하게 후술되어 있는 실시 예들을 참조하면 명확해질 것이다. 그러나, 본 개시는 이하에서 개시되는 실시 예들에 한정되는 것이 아니라 서로 다른 다양한 형태로 구현될 수 있으며, 단지 본 실시 예들은 본 개시의 구성을 완전하도록 하고, 본 개시가 속하는 기술분야에서 통상의 지식을 가진 자에게 개시의 범주를 완전하게 알려주기 위해 제공되는 것이며, 본 개시는 청구항의 범주에 의해 정의될 뿐이다. 명세서 전체에 걸쳐 동일참조 부호는 동일 구성 요소를 지칭한다. 또한 본 개시를 설명함에 있어서 관련된 기능 또는 구성에 대한 구체적인 설명이 본 개시의 요지를 불필요하게 흐릴 수 있다고 판단된 경우 그 상세한 설명은 생략한다. 그리고 후술되는 용어들은 본 개시에서의 기능을 고려하여 정의된 용어들로서 이는 사용자, 운용자의 의도 또는 관례 등에 따라 달라질 수 있다. 그러므로 그 정의는 본 명세서 전반에 걸친 내용을 토대로 내려져야 할 것이다.The advantages and features of the present disclosure, and the methods for achieving them, will become clear with reference to the embodiments described in detail below together with the accompanying drawings. However, the present disclosure is not limited to the embodiments disclosed below and may be implemented in various different forms, and the embodiments are provided only to complete the configuration of the present disclosure and to fully inform a person having ordinary skill in the art to which the present disclosure belongs of the scope of the disclosure, and the present disclosure is defined only by the scope of the claims. Like reference numerals refer to like elements throughout the specification. In addition, when describing the present disclosure, if it is determined that a specific description of a related function or configuration may unnecessarily obscure the gist of the present disclosure, the detailed description thereof will be omitted. In addition, the terms described below are terms defined in consideration of the functions in the present disclosure, and may vary depending on the intention or custom of the user or operator. Therefore, the definitions should be made based on the contents throughout the specification.
이하, 기지국은 단말의 자원할당을 수행하는 주체로서, gNode B, eNode B, Node B, BS (Base Station), 무선 접속 유닛, 기지국 제어기, 또는 네트워크 상의 노드 중 적어도 하나일 수 있다. 단말은 UE (User Equipment), MS (Mobile Station), 셀룰러폰, 스마트폰, 컴퓨터, 또는 통신기능을 수행할 수 있는 멀티미디어시스템을 포함할 수 있다. 본 개시에서 하향링크(Downlink; DL)는 기지국이 단말에게 전송하는 신호의 무선 전송경로이고, 상향링크는(Uplink; UL)는 단말이 기국에게 전송하는 신호의 무선 전송경로를 의미한다. 또한, 이하에서 LTE 또는 LTE-A 시스템을 일예로서 설명할 수도 있지만, 유사한 기술적 배경 또는 채널형태를 갖는 여타의 통신시스템에도 본 개시의 실시예가 적용될 수 있다. 예를 들어 LTE-A 이후에 개발되는 5세대 이동통신 기술(5G, new radio, NR)이 이에 포함될 수 있으며, 이하의 5G는 기존의 LTE, LTE-A 및 유사한 다른 서비스를 포함하는 개념일 수도 있다. 또한, 본 개시는 숙련된 기술적 지식을 가진 자의 판단으로써 본 개시의 범위를 크게 벗어나지 아니하는 범위에서 일부 변형을 통해 다른 통신시스템에도 적용될 수 있다.Hereinafter, the base station is an entity that performs resource allocation of a terminal, and may be at least one of a gNode B, an eNode B, a Node B, a BS (Base Station), a wireless access unit, a base station controller, or a node on a network. The terminal may include a UE (User Equipment), an MS (Mobile Station), a cellular phone, a smartphone, a computer, or a multimedia system capable of performing a communication function. In the present disclosure, downlink (DL) refers to a wireless transmission path of a signal that a base station transmits to a terminal, and uplink (UL) refers to a wireless transmission path of a signal that a terminal transmits to a base station. In addition, although an LTE or LTE-A system may be described as an example below, embodiments of the present disclosure may be applied to other communication systems having a similar technical background or channel type. For example, the 5th generation mobile communication technology (5G, new radio, NR) developed after LTE-A may be included here, and the 5G below may be a concept that includes existing LTE, LTE-A, and other similar services. In addition, the present disclosure may be applied to other communication systems through some modifications without significantly departing from the scope of the present disclosure, as judged by a person having skilled technical knowledge.
이 때, 처리 흐름도 도면들의 각 블록과 흐름도 도면들의 조합들은 컴퓨터 프로그램 인스트럭션들에 의해 수행될 수 있음을 이해할 수 있을 것이다. 이들 컴퓨터 프로그램 인스트럭션들은 범용 컴퓨터, 특수용 컴퓨터 또는 기타 프로그램 가능한 데이터 프로세싱 장비의 프로세서에 탑재될 수 있으므로, 컴퓨터 또는 기타 프로그램 가능한 데이터 프로세싱 장비의 프로세서를 통해 수행되는 그 인스트럭션들이 흐름도 블록(들)에서 설명된 기능들을 수행하는 수단을 생성하게 된다. 이들 컴퓨터 프로그램 인스트럭션들은 특정 방식으로 구현하기 위해 컴퓨터 또는 기타 프로그램 가능한 데이터 프로세싱 장비를 지향할 수 있는 컴퓨터 이용 가능 또는 컴퓨터 판독 가능 메모리에 저장되는 것도 가능하므로, 그 컴퓨터 이용가능 또는 컴퓨터 판독 가능 메모리에 저장된 인스트럭션들은 흐름도 블록(들)에서 설명된 기능을 수행하는 인스트럭션 수단을 내포하는 제조 품목을 생산하는 것도 가능하다. 컴퓨터 프로그램 인스트럭션들은 컴퓨터 또는 기타 프로그램 가능한 데이터 프로세싱 장비 상에 탑재되는 것도 가능하므로, 컴퓨터 또는 기타 프로그램 가능한 데이터 프로세싱 장비 상에서 일련의 동작 단계들이 수행되어 컴퓨터로 실행되는 프로세스를 생성해서 컴퓨터 또는 기타 프로그램 가능한 데이터 프로세싱 장비를 수행하는 인스트럭션들은 흐름도 블록(들)에서 설명된 기능들을 실행하기 위한 단계들은 제공하는 것도 가능하다.At this time, it will be understood that each block of the processing flow diagrams and combinations of the flow diagrams can be performed by computer program instructions. These computer program instructions can be loaded onto a processor of a general-purpose computer, a special-purpose computer, or other programmable data processing equipment, so that the instructions executed by the processor of the computer or other programmable data processing equipment create a means for performing the functions described in the flow diagram block(s). These computer program instructions can also be stored in a computer-available or computer-readable memory that can be directed to a computer or other programmable data processing equipment for implementation in a specific manner, so that the instructions stored in the computer-available or computer-readable memory can also produce an article of manufacture that includes an instruction means for performing the functions described in the flow diagram block(s). Since the computer program instructions can also be installed on a computer or other programmable data processing apparatus, the instructions that cause a series of operational steps to be performed on the computer or other programmable data processing apparatus to produce a computer-executable process, thereby causing the computer or other programmable data processing apparatus to perform the steps for performing the functions described in the flowchart block(s), can also provide steps for performing the functions described in the flowchart block(s).
또한, 각 블록은 특정된 논리적 기능(들)을 실행하기 위한 하나 이상의 실행 가능한 인스트럭션들을 포함하는 모듈, 세그먼트 또는 코드의 일부를 나타낼 수 있다. 또, 몇 가지 대체 실행 예들에서는 블록들에서 언급된 기능들이 순서를 벗어나서 발생하는 것도 가능함을 주목해야 한다. 예컨대, 잇달아 도시되어 있는 두 개의 블록들은 사실 실질적으로 동시에 수행되는 것도 가능하고, 또는 그 블록들이 때때로 해당하는 기능에 따라 역순으로 수행되는 것도 가능하다.Additionally, each block may represent a module, segment, or portion of code that contains one or more executable instructions for performing a particular logical function(s). It should also be noted that in some alternative implementation examples, the functions mentioned in the blocks may occur out of order. For example, two blocks shown in succession may in fact be performed substantially concurrently, or the blocks may sometimes be performed in reverse order, depending on the functionality they perform.
이 때, 본 실시 예에서 사용되는 '~부'라는 용어는 소프트웨어 또는 FPGA(field programmable gate array) 또는 ASIC(application-specific integrated circuit)과 같은 하드웨어 구성요소를 의미하며, '~부'는 어떤 역할들을 수행한다. 그렇지만 '~부'는 소프트웨어 또는 하드웨어에 한정되는 의미는 아니다. '~부'는 어드레싱(addressing)할 수 있는 저장 매체에 있도록 구성될 수 있고, 하나 또는 그 이상의 프로세서들을 재생시키도록 구성될 수도 있다. 따라서, 일 예로서 '~부'는 소프트웨어 구성요소들, 객체지향 소프트웨어 구성요소들, 클래스 구성요소들 및 태스크 구성요소들과 같은 구성요소들과, 프로세스들, 함수들, 속성들, 프로시저들, 서브루틴들, 프로그램 코드의 세그먼트들, 드라이버들, 펌웨어, 마이크로코드, 회로, 데이터, 데이터베이스, 데이터 구조들, 테이블들, 어레이들, 및 변수들을 포함한다. 구성요소들과 '~부'들 안에서 제공되는 기능은 더 작은 수의 구성요소들 및 '~부'들로 결합되거나 추가적인 구성요소들과 '~부'들로 더 분리될 수 있다. 뿐만 아니라, 구성 요소들 및 '~부'들은 디바이스 또는 보안 멀티미디어카드 내의 하나 또는 그 이상의 CPU(central processing unit)들을 재생시키도록 구현될 수 있다. 또한 실시예에서 '~부'는 하나 이상의 프로세서를 포함할 수 있다. 이하 a/b는 a 또는 b 중 적어도 하나로 이해될 수 있다.Here, the term '~ part' used in the present embodiment means software or hardware components such as FPGA (field programmable gate array) or ASIC (application-specific integrated circuit), and the '~ part' performs certain roles. However, the '~ part' is not limited to software or hardware. The '~ part' may be configured to be in an addressable storage medium, and may be configured to reproduce one or more processors. Accordingly, as an example, the '~ part' includes components such as software components, object-oriented software components, class components, and task components, and processes, functions, properties, procedures, subroutines, segments of program code, drivers, firmware, microcode, circuits, data, databases, data structures, tables, arrays, and variables. The functions provided in the components and '~ parts' may be combined into a smaller number of components and '~ parts' or further separated into additional components and '~ parts'. In addition, the components and '~parts' may be implemented to play one or more central processing units (CPUs) within the device or the secure multimedia card. Also, in the embodiment, the '~part' may include one or more processors. Hereinafter, a/b may be understood as at least one of a or b.
또한, 이하에서 LTE, LTE-A, NR, 또는 6G를 기반으로 하는 시스템을 일 예로서 본 개시의 다양한 실시예들을 설명하지만, 유사한 기술적 배경 또는 채널 형태를 갖는 여타의 통신 시스템에도 본 개시의 다양한 실시예들이 적용될 수 있다. 또한, 본 개시의 다양한 실시예들을 숙련된 기술적 지식을 가진자의 판단으로써 그 범위를 크게 벗어나지 아니하는 범위에서 일부 변형을 통해 다른 통신 시스템에도 적용될 수 있다.In addition, although various embodiments of the present disclosure are described below using a system based on LTE, LTE-A, NR, or 6G as an example, various embodiments of the present disclosure may be applied to other communication systems having similar technical backgrounds or channel types. In addition, various embodiments of the present disclosure may be applied to other communication systems through some modifications without significantly departing from the scope thereof at the discretion of a person having skilled technical knowledge.
이하의 설명의 편의를 위하여, 3GPP(3rd generation partnership project) 규격(5G, NR, LTE 또는 이와 유사한 시스템의 규격)에서 정의하고 있는 용어 및 명칭들이 일부 사용될 수 있다. 또한, 본 개시가 적용될 수 있는 차세대 통신 시스템(예를 들어, 6G, Beyond 5G 시스템)에서 새롭게 정의되거나, 기존의 통신 시스템에서 사용되는 용어 및 명칭들이 사용될 수 있다. 이러한 용어의 사용은 본 개시의 용어 및 명칭들에 의해 한정되는 것은 아니며, 다른 규격에 따르는 시스템에도 동일하게 적용될 수 있고, 본 개시의 기술적 사상을 벗어나지 않는 범위에서 다른 형태로 변경될 수 있다. 본 개시의 실시 예들은 다른 통신 시스템에서도 용이하게 변형되어 적용될 수 있다.For the convenience of the following description, some of the terms and names defined in the 3rd generation partnership project (3GPP) standards (standards for 5G, NR, LTE or similar systems) may be used. In addition, terms and names newly defined in the next-generation communication system (e.g., 6G,
무선 통신 기술은 최근 몇 년 동안 상당한 발전을 이루었으며 더 빠른 데이터 속도, 향상된 적용 범위 및 더 안정적인 연결을 제공한다. 그러나 무선 통신 서비스에 대한 수요가 계속해서 증가함에 따라 네트워크 정체, 신호 간섭, 네트워크 상태의 동적 변화 등 해결해야 할 과제가 여전히 많다.Wireless communication technology has made significant progress in recent years, providing faster data rates, improved coverage, and more stable connections. However, as the demand for wireless communication services continues to grow, there are still many challenges to be addressed, such as network congestion, signal interference, and dynamic changes in network conditions.
본 발명은 O-RAN (Open-RAN) 시스템에 대한 것으로, O-RAN에서의 무선 신호 처리 장치 (Remote Unit, 이하 RU)과 O-RAN에서의 디지털 데이터 처리 장치 (Digital Unit, 이하 DU) 간의 송수신 과정에서 RU가 SVD-basedport combining을 사용하여 통신 성능과 FH 자원 이용 효율을 개선하도록 하는 signaling 방법과 장치에 관한 것이다.The present invention relates to an O-RAN (Open-RAN) system, and more particularly, to a signaling method and device for enabling a RU to improve communication performance and FH resource utilization efficiency by using SVD-based port combining during a transmission/reception process between a radio signal processing unit (Remote Unit, hereinafter RU) in an O-RAN and a digital data processing unit (Digital Unit, hereinafter DU) in an O-RAN.
이하, 본 개시에서의 RU 및 DU는 O-RAN 네트워크 내의 RU 및 DU를 가정한다. 상황에 따라 RU는 O-RU로, DU는 O-DU로 이해될 수 있다. 그러나 본 발명의 네트워크가 O-RAN에만 한정되는 것은 아니며, 기타 네트워크 내에 RU, DU가 포함되는 경우에도 본 발명이 적용될 수 있다.Hereinafter, RU and DU in the present disclosure are assumed to be RU and DU within an O-RAN network. Depending on the situation, RU may be understood as O-RU, and DU may be understood as O-DU. However, the network of the present invention is not limited to O-RAN, and the present invention may be applied even when RU and DU are included within other networks.
도 1은 O-RAN의 구조(architecture)를 도시한 도면이다.Figure 1 is a diagram illustrating the architecture of O-RAN.
도 1에 따르면, O-RAN 네트워크는 기존의 4G, 5G 시스템의 eNB, gNB 기능을 논리적으로 분리한 표준으로 O-RAN 표준에서는 NRT-RIC(110), O-RAN gNB(100) 내의 RIC(120), CU-CP(130), CU-UP(140), DU(150) 및 RU(160) 등이 정의되었다.According to Fig. 1, the O-RAN network is a standard that logically separates the eNB and gNB functions of existing 4G and 5G systems, and the O-RAN standard defines NRT-RIC (110), RIC (120) within O-RAN gNB (100), CU-CP (130), CU-UP (140), DU (150), and RU (160).
NRT-RIC(110)은 실시간이 아닌(non-real-time) 제어 및 RAN 요소 및 자원의 최적화, 모델트레이닝 및 업데이트 등을 가능하게 하는 논리적 노드이다. 신규로 정의된 RIC(120)은 하나의 물리적 장소에 집중적으로 서버를 배치해서, E2 인터페이스를 통해 DU(150), CU-CP(130), CU-UP(140) 등으로부터 수집된 데이터를 기반으로 실시간에 가까운(near-real-time) 제어 및 RAN 요소 및 자원의 최적화를 가능하게 하는 논리적 노드이다. CU-CP(130) 및 CU-UP(140)를 포함하는 CU는 RRC(radio resource control), SDAP(service data adaptation protocol), PDCP(packet data convergence protocol) 프로토콜의 기능을 제공하는 논리적 노드(logical node)로, CU-CP(130)는 RRC 및 PDCP의 제어 평면 부분의 기능을 제공하는 논리적 노드이고, CU-UP(140)는 SDAP 및 PDCP의 사용자 평면 부분의 기능을 제공하는 논리적 노드이다. CU-CP(130)은 5G 망(5G core)에 포함된 AMF(access and mobility management function)와 NGAP 인터페이스로 연결되어 있다. DU(150)는 RLC, MAC, 상위 물리 계층(high-PHY)의 기능을 제공하는 논리적 노드이고, DU(150)에 연결된 RU(160)는 하위 물리 계층(low-PHY) 기능 및 RF 프로세싱을 제공하는 논리적 노드이다. 상기 도 1에서는 각 논리적 노드가 단수로 도시되었으나, 각 논리적 노드는 복수 개 연결될 수 있으며, 일례로 하나의 DU(150)에는 복수의 RU(160)이 연결될 수 있으며, 하나의 CU-UP(140)에는 복수의 DU(150)이 연결될 수 있다.NRT-RIC (110) is a logical node that enables non-real-time control and optimization of RAN elements and resources, model training and updates, etc. The newly defined RIC (120) is a logical node that enables near-real-time control and optimization of RAN elements and resources based on data collected from DU (150), CU-CP (130), CU-UP (140), etc. through the E2 interface by centrally deploying servers in one physical location. The CU including CU-CP (130) and CU-UP (140) is a logical node that provides functions of RRC (radio resource control), SDAP (service data adaptation protocol), and PDCP (packet data convergence protocol) protocols. CU-CP (130) is a logical node that provides functions of the control plane part of RRC and PDCP, and CU-UP (140) is a logical node that provides functions of the user plane part of SDAP and PDCP. CU-CP (130) is connected to AMF (access and mobility management function) included in 5G network (5G core) and NGAP interface. DU (150) is a logical node providing RLC, MAC, and high-PHY functions, and RU (160) connected to DU (150) is a logical node providing low-PHY functions and RF processing. In Fig. 1, each logical node is illustrated as a single node, but each logical node may be connected in multiple numbers, and for example, multiple RUs (160) may be connected to one DU (150), and multiple DUs (150) may be connected to one CU-UP (140).
본 발명은 상기 기술된 각 노드의 명칭에 의해 제한되지 않으며, 상기 기술된 기능을 수행하는 논리적 노드 또는 엔티티(entity)의 경우 본 발명의 구성이 적용될 수 있다. 또한 상기 논리적 노드는 물리적으로 같은 위치 또는 다른 위치에 위치할 수 있으며, 같은 물리적 장치(일례로 프로세서, 제어부 등)에 의해 그 기능이 제공되거나 또는 다른 물리적 장치에 의해 그 기능이 제공될 수 있다. 일례로, 하나의 물리적 장치에서 가상화를 통해 상기 기술된 적어도 하나의 논리적 노드의 기능이 제공될 수 있다. 이하 DU는 O-DU와, RU는 O-RU와 혼용될 수 있다.The present invention is not limited by the names of each node described above, and the configuration of the present invention can be applied to a logical node or entity that performs the function described above. In addition, the logical node can be physically located at the same location or at different locations, and the function can be provided by the same physical device (for example, a processor, a control unit, etc.) or the function can be provided by a different physical device. For example, the function of at least one logical node described above can be provided through virtualization in one physical device. Hereinafter, DU can be used interchangeably with O-DU, and RU can be used interchangeably with O-RU.
도 2 MIMO 기술을 사용하는 무선 통신 시스템을 도시한 도면이다.FIG. 2 is a diagram illustrating a wireless communication system using MIMO technology.
무선 통신 시스템에서 MIMO (Multiple Input Multiple Output)기술을 사용함에 따라 사용되는 안테나의 수가 증가할 수 있다. 도 2를 참고하면, UE 1, UE 2,...,UE K는 MIMO를 이용하여 신호를 송수신할 수 있다. 단말이 RU로 송신하고자 하는 정보는 예를 들어, s (210)일 수 있다.As MIMO (Multiple Input Multiple Output) technology is used in wireless communication systems, the number of antennas used may increase. Referring to Fig. 2,
해당 정보에 precoder에 해당하는 P 값을 곱할 수 있다. 이 때 생성되는 신호, 예를 들어 Ps (220)는 단말의 각 안테나 포트에서 송신되는 신호일 수 있다. 여기서, 생성된 신호 Ps의 dimension은 N_TX by N_L일 수 있다. N_TX는 안테나 포트의 수를, N_L은 레이어의 수를 의미할 수 있다.The corresponding information can be multiplied by the P value corresponding to the precoder. The signal generated at this time, for example, Ps (220), can be a signal transmitted from each antenna port of the terminal. Here, the dimension of the generated signal Ps can be N_TX by N_L. N_TX can mean the number of antenna ports, and N_L can mean the number of layers.
기지국의 RU는 수신 안테나 포트를 이용하여 신호를 수신할 수 있다. 이 때, 수신된 신호는 y=HPs+n (230)로 표기될 수 있다. 여기서, H는 통과한 채널일 수 있으며, H의 dimension은 N_RX by N_TX일 수 있다. N_RX는 RU의 수신 안테나 포트의 수를 의미할 수 있다.The RU of the base station can receive a signal using the receiving antenna port. At this time, the received signal can be expressed as y=HPs+n (230). Here, H can be a passed channel, and the dimension of H can be N_RX by N_TX. N_RX can mean the number of receiving antenna ports of the RU.
기지국의 RU는 DU에게 RU와 DU 사이를 연결하는 링크 (또는 인터페이스)인 front-haul (FH)을 이용하여 신호 (y' (240))를 전달할 수 있다. 구체적으로, y'는 y에 F^H 값이 곱해진 결과일 수 있다. 여기서, F^H의 dimension은 N_C by N_RX일 수 있다. N_C는 RU에서 DU로 송신하는 안테나 포트의 수일 수 있다. N_C는 N_RX보다 작거나 같을 수 있다.The RU of the base station can transmit a signal (y' (240)) to the DU using the front-haul (FH), which is a link (or interface) connecting the RU and the DU. Specifically, y' can be the result of multiplying y by the value of F^H. Here, the dimension of F^H can be N_C by N_RX. N_C can be the number of antenna ports transmitting from the RU to the DU. N_C can be less than or equal to N_RX.
이와 같이, MIMO의 사용에 따라 사용되는 안테나의 수가 증가함에 따라 RU에서 DU로 전송되는 데이터 양이 많아질 수 있다.In this way, as the number of antennas used increases with the use of MIMO, the amount of data transmitted from the RU to the DU can increase.
FH을 통해 RU에서 DU로 전송되는 데이터의 용량이 증가되면 FH에 요구되는 용량이 증가될 수 있으며, 본 발명에서는 이를 해결하기 위한 방법을 제공한다.As the amount of data transmitted from RU to DU via FH increases, the amount of data required for FH may increase, and the present invention provides a method to solve this problem.
구체적으로, 과도한 FH 용량이 요구되는 문제를 해결하기 위하여, FH 자원 이용을 효율적으로 수행하기 위해 Port combining이 사용될 수 있다. Port Combining은 RU와 DU간 전송되는 data stream의 수를 적게 사용하기 위한 방식을 의미할 수 있다. 예를 들어 전송하고자 하는 data에 크게 손실이 없다고 판단되는 경우, RU 수신 안테나 개수만큼의 data stream을 모두 전송하지 않고 일부 data stream을 전송할 수 있다. Port combining을 통해 RU에서 DU로 전송되는 data stream의 수가 적어질 경우, FH로 전송되는 데이터의 용량을 감소시킬 수 있다.Specifically, in order to solve the problem of excessive FH capacity requirement, Port combining can be used to efficiently perform FH resource utilization. Port combining can mean a method to use a small number of data streams transmitted between RU and DU. For example, if it is determined that there is no significant loss in the data to be transmitted, some data streams can be transmitted instead of all data streams as many as the number of RU receiving antennas. If the number of data streams transmitted from RU to DU is reduced through Port combining, the capacity of data transmitted to FH can be reduced.
Port combining을 적용하기 위한 방법의 일 예로 MRC (Maximum Ratio Combining) 방법이 사용될 수 있다.As an example of a method for applying port combining, the MRC (Maximum Ratio Combining) method can be used.
도 3은 MRC Port combining 방법을 사용하는 방법을 도시한 도면이다.Figure 3 is a diagram illustrating a method using the MRC Port combining method.
구체적으로, MRC Port Combining 방법은 서로 다른 안테나 port로 수신된 수신 신호들에 신호 대 잡음비(Signal Noise Ratio, SNR) 가중치를 부여한 weight 값을 곱하고, weight 값이 곱해진 수신 신호들을 더하여 결합 된 신호 전체의 SNR을 최대화하는 방식으로 combining을 수행될 수 있다.Specifically, the MRC Port Combining method can perform combining by multiplying the received signals received through different antenna ports by a weight value that applies a signal-to-noise ratio (SNR) weight, and adding the received signals multiplied by the weight value to maximize the SNR of the entire combined signal.
또한, Port combining의 또 다른 방법으로 DFT 기반 port combining이 고려될 수 있다. DFT 기반의 Port combining을 수행하기 위하여, projection matrix이 이용될 수 있다. 구체적으로 RU는 codebook에 기반하여 projection matrix을 결정할 수 있으며, 단말로부터 수신된 신호에 상기 projection matrix를 적용된 신호 및 DMRS symbol을 DU로 전송할 수 있다. DU는 DMRS symbol을 사용하여 combiner matrix를 계산하고, 생성하고 및 적용할 수 있다. 이 때, DFT based port combining은 codebook 기반으로 projection matrix를 결정하는 것이므로 pre-define 된 set 중에서 port combining weight이 결정될 수 있다.In addition, DFT-based port combining can be considered as another method of port combining. To perform DFT-based port combining, a projection matrix can be used. Specifically, the RU can determine a projection matrix based on a codebook, and transmit a signal and DMRS symbol to which the projection matrix is applied to a signal received from a terminal to the DU. The DU can calculate, generate, and apply a combiner matrix using the DMRS symbol. In this case, since DFT-based port combining determines a projection matrix based on a codebook, a port combining weight can be determined from a pre-defined set.
single layer만 사용하는 환경에서 port combining을 사용할 경우, MRC port combining 방법을 사용하는 것이 일반적일 수 있다. 한편, 현재 통신 시스템에서는 multi-layer uplink 동작이 지원될 수 있다. X-MIMO 등의 환경이 점차 갖춰지면서 multi-layer uplink를 지원하는 단말이 보편화 될 수 있다. 그러나 multi-layer uplink를 사용하는 환경에서 SVD-based port combining을 적용하는 경우 성능 이득이 매우 큰 반면, 연산의 복잡도가 높다는 문제점이 있다. 따라서, 본 개시에서는 SVD-based port combining을 효율적으로 수행하는 방법을 제안한다.In an environment where only a single layer is used, it may be common to use the MRC port combining method when port combining is used. Meanwhile, multi-layer uplink operation may be supported in the current communication system. As environments such as X-MIMO are gradually established, terminals supporting multi-layer uplink may become widespread. However, when applying SVD-based port combining in an environment using multi-layer uplink, there is a problem that although the performance gain is very large, the computational complexity is high. Therefore, in this disclosure, a method for efficiently performing SVD-based port combining is proposed.
도 4는 RU와 DU 간의 port combining을 수행하는 과정을 도시한 도면이다.Figure 4 is a diagram illustrating a process of performing port combining between RU and DU.
도 4에 따르면, 단계 410에서 RU는 신호 (y)를 수신할 수 있다.According to FIG. 4, at
또한, RU는 채널 추정 (Channel Estimation, CE)을 통하여 H를 얻을 수 있다. 여기서, H는 채널 행렬 (Channel Matrix)이며, 무선 통신 환경에서 신호가 채널을 통과하는 동안 발생한 변화를 반영할 수 있다.Additionally, RU can obtain H through channel estimation (CE). Here, H is a channel matrix and can reflect changes that occur while a signal passes through a channel in a wireless communication environment.
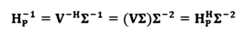
RU는 수신 신호에 대해 SVD-based port combining을 수행할 수 있다. 구체적으로 RU는 SVD-based port combining을 위한 weight 를 획득할 수 있으며, 상기 weight에 기반해서 SVD-based port combining을 수행할 수 있다. SVD-based port combining을 위한 weight는 아래의 수학식 1에 따라 구해질 수 있다.The RU can perform SVD-based port combining on the received signal. Specifically, the RU can obtain a weight for SVD-based port combining, and perform SVD-based port combining based on the weight. The weight for SVD-based port combining can be obtained according to the following
[수학식 1][Mathematical formula 1]
채널 matrix H에 대하여 SVD를 수행할 경우,로 분해될 수 있다. 여기서 SVD를 통해 구해진 U matrix, 또는 상기 U matrix에 기반하여 결정된 값이 SVD-based port combining에서의 weight 값 (F)으로 사용될 수 있다. 상기 U matrix는 채널에 대해 SVD가 수행된 값 또는 행렬로 정의될 수 있다. Port combining (예를 들어, RX port combining)을 통해 획득된 신호 y'는 아래의 수학식 2에 따라 수신한 신호 y에 port combining filter 값에 해당하는 F를 곱하여 얻을 수 있다.When performing SVD on the channel matrix H, can be decomposed into. Here, the U matrix obtained through SVD, or a value determined based on the U matrix, can be used as a weight value (F) in SVD-based port combining. The U matrix can be defined as a value or matrix on which SVD is performed for a channel. The signal y' obtained through port combining (e.g., RX port combining) can be obtained by multiplying the received signal y by F corresponding to the port combining filter value according to the following
[수학식 2][Mathematical formula 2]
RU는, 단계 420에서 결합된 신호에 해당하는 y'를 DU에 송신할 수 있다.The RU can transmit y' corresponding to the combined signal at
y'를 수신한 DU는 검출기 (detector)를 통하여 원래의 신호 y를 추정할 수 있다. 추정된 신호를 획득한 DU는 해당 신호를 네트워크 에 송신할 수 있다.The DU that receives y can estimate the original signal y through the detector. The estimated signal A DU that has acquired the signal can transmit the signal to the network.
SVD-based port combining을 사용할 경우, 아래의 수학식 3를 만족하도록 F 값을 결정할 수 있다.When using SVD-based port combining, the F value can be determined to satisfy the
[수학식 3][Mathematical Formula 3]
상기 수학식 3은 SNIR을 최대화하는 방향으로 F 값이 결정될 수 있음을 나타내는 것이며, F 값 자체를 지시하지 않는다. 이와 같이 SNIR을 최대화하는 방향으로 F 값을 결정함으로써 channel capacity를 최대화할 수 있다. 다만, 상술한 바와 같이 SVD-based port combining을 사용하는 경우 연산의 복잡도가 높다는 문제점이 있다. 따라서, 본 개시에서는 SVD-based port combining을 효율적으로 수행하는 방법을 제안한다.The above
도 5는 DU에서의 matrix inversion 과정을 도시한 도면이다.Figure 5 is a diagram illustrating the matrix inversion process in DU.
RU는 신호 (y)를 수신할 수 있으며, 수신한 신호에 대하여 port combining을 수행하여 y'를 DU에게 송신할 수 있다. 구체적인 내용은 도4와 동일하므로, 이하에서는 생략한다.RU can receive a signal (y), perform port combining on the received signal, and transmit y' to DU. Since the specific details are the same as in Fig. 4, they are omitted below.
도 4에서와 같이 DU는 y'를 수신하고, 특정 과정을 통하여 추정된 신호를 획득하여 네트워크 엔티티에 송신할 수 있다. 도 5에서는 y'를 수신한 DU에서 matrix inversion을 포함하는 detection 동작을 통해 추정된 신호를 획득하는 과정을 도시한다. 여기서, matrix inversion 과정은 Cholesky Decomposition을 통해 Forward Backward Substitution을 수행하는 과정을 포함할 수 있다. 다만, 도 5와 같은 matrix inversion 과정은 연산이 매우 복잡하다는 문제가 존재한다.As in Fig. 4, DU receives y' and estimates the signal through a specific process. can be obtained and transmitted to a network entity. In Fig. 5, a signal estimated through a detection operation including matrix inversion in a DU that received y' is shown. The process of obtaining the matrix inversion is illustrated. Here, the matrix inversion process may include a process of performing forward and backward substitution through Cholesky Decomposition. However, the matrix inversion process as in Fig. 5 has a problem in that the computation is very complex.
도 6는 DU에서의 저복잡도 matrix inversion 과정을 도시한 도면이다.Figure 6 is a diagram illustrating a low-complexity matrix inversion process in DU.
SVD-based port combining 방법을 사용하는 경우, 일반적인 matrix inversion을 사용하면 연산의 복잡도가 높다는 문제점이 있다. 다만, SVD-based port combining을 사용하는 경우, 도 6과 같은 과정을 통해 저복잡도 matrix inversion을 수행할 수 있다.When using the SVD-based port combining method, there is a problem that the computational complexity is high when using general matrix inversion. However, when using SVD-based port combining, low-complexity matrix inversion can be performed through a process such as that in Fig. 6.
구체적으로, DU는 matrix inversion을 통해 값이 결정될 수 있다. 즉, zero-forcing (ZF) 연산이나 Interference Rejection Combining (IRC) 연산을 수행하는 과정에서 저복잡도 channel matrix inversion을 수행할 수 있다.Specifically, DU uses matrix inversion to The value can be determined. That is, low-complexity channel matrix inversion can be performed during the process of performing zero-forcing (ZF) operation or Interference Rejection Combining (IRC) operation.
는 아래의 수학식 4에 따라 구해질 수 있다.can be obtained according to the mathematical formula 4 below.
[수학식 4][Mathematical formula 4]
구체적으로, RU는 추정한 채널 H에 대하여 SVD를 수행할 수 있다. 그 결과 획득한 왼쪽 특이벡터 행렬 U의 전치 행렬을 port combining weight로 적용할 수 있다. RU는 수신한 신호 y에 대하여 port combining filter를 곱한 값인 y'를 DU에 송신할 수 있다. y'를 수신한 DU는 수신한 값에 대하여 채널 추정을 수행할 수 있다. 추정한 결과 값에 해당하는는일 수 있다. 여기서이므로 해당 값은로 표현될 수 있다. V는 unitary matrix이므로 역행렬과 hermitian 행렬이 동일하여의 관계가 성립할 수 있다. 대각 특이값 행렬는 같이와 그 Hermitian 행렬인의 곱연산을 통해 확인할 수 있다. 이때, 대각 행렬의 경우 역행렬 연산에 대각 원소 개수만큼의 나눗셈을 수행하므로 요구되는 계산량이 매우 적을 수 있다. 즉, 기존의 역행렬을 구하기 위해 사용되는 Cholesky Decomposition 및 forward/backward substitution 연산을 사용하지 않고, CE로 구한의 hermitian 연산과 대각 행렬의 역행렬 연산만 수행할 수 있다. 그 결과 SVD-based port combining의 경우 저복잡도 channel matrix inversion을 수행할 수 있다.Specifically, the RU can perform SVD on the estimated channel H. The transpose matrix of the left singular vector matrix U obtained as a result can be applied as a port combining weight. The RU can transmit y', which is the value obtained by multiplying the received signal y by the port combining filter, to the DU. The DU that receives y' can perform channel estimation on the received value. The estimated result value corresponds to Is It could be. Here Therefore, the corresponding value is can be expressed as V. Since V is a unitary matrix, the inverse matrix and the hermitian matrix are identical. The relationship can be established. Diagonal singular value matrix Is together And that Hermitian matrix It can be verified through the multiplication operation. At this time, in the case of a diagonal matrix, the division is performed as many times as the number of diagonal elements for the inverse matrix operation, so the required amount of calculation can be very small. In other words, without using the Cholesky Decomposition and forward/backward substitution operations used to obtain the existing inverse matrix, it is obtained by CE. Hermitian operations and diagonal matrices It can only perform the inverse matrix operation. As a result, low-complexity channel matrix inversion can be performed in the case of SVD-based port combining.
각 변수의 의미는 하기와 같다.The meaning of each variable is as follows.
-: Port Combining weight가 곱해진 채널 행렬- : Channel matrix multiplied by Port Combining weight
- U왼쪽 특이벡터 행렬- U left singular vector matrix
-: 대각 특이값 행렬- : Diagonal singular value matrix
- V 오른쪽 특이벡터 행렬- V right singular vector matrix
저복잡도 matrix inversion을 사용하기 위하여는, RU에서 사용한 port combining 방법을 DU가 알 수 있어야 한다. DU에서 RU가 사용한 port combining이 무엇인지 알 수 없는 경우, 저복잡도 matrix inversion 과정이 DU에서 활용될 수 있는지 여부에 대한 판단이 불가능하다. RU에서 사용한 port combining 방법을 DU가 알 수 없는 경우에는 DU에서는 저복잡도 matrix inversion이 아닌 연산의 복잡도가 높은 matrix inversion 과정이 수행된다. .In order to use low-complexity matrix inversion, the DU must be able to know the port combining method used by the RU. If the DU does not know the port combining method used by the RU, it is impossible to determine whether the low-complexity matrix inversion process can be utilized by the DU. If the DU does not know the port combining method used by the RU, the DU performs a matrix inversion process with high computational complexity rather than low-complexity matrix inversion.
현재의 O-RAN 표준에 따르면, RU에서의 port combining 방법에 대한 indication은 존재하지 않는다. 따라서, 이하 본 개시에서는 DU에게, RU에서 사용한 port combining 방법을 indicate 하기 위한 방법을 제안한다.According to the current O-RAN standard, there is no indication of a port combining method in an RU. Therefore, the present disclosure proposes a method for indicating to a DU the port combining method used in an RU.
또한, RU에서 SVD를 수행하는 과정에서 계산된 특이값 (이하에서, singular value라 칭한다)을 DU에 송신할 수 있다. 해당 singular value를 DU에게 송신할 경우, DU에서의 대각 특이값 행렬을 구하는 연산을 생략시킬 수 있으므로 DU에서의 연산 복잡도를 감소시킬 수 있다. 따라서, 본 개시에서는 RU에서 DU에 singular value를 전송하는 방법을 제안한다.In addition, the singular values (hereinafter referred to as singular values) calculated in the process of performing SVD in the RU can be transmitted to the DU. When the singular values are transmitted to the DU, the operation for obtaining the diagonal singular value matrix in the DU can be omitted, so the computational complexity in the DU can be reduced. Therefore, the present disclosure proposes a method for transmitting singular values from the RU to the DU.
도 7은 본 개시의 일 실시 예에 따른 RU와 DU 간의 port combining signaling의 과정을 도시한 도면이다.FIG. 7 is a diagram illustrating a process of port combining signaling between RU and DU according to one embodiment of the present disclosure.
도 7에 따르면, 단계 710에서 DU는 RU에 게 port combining과 관련된 capability request 메시지를 송신할 수 있다.According to FIG. 7, at
단계 720에서 상기 capability request 메시지에 대한 응답으로, RU는 DU에게 capability information 메시지를 송신할 수 있다. Capability information 메시지에는 RU port combining과 관련된 capability information이 포함될 수 있다.In response to the capability request message at
Capability request 메시지는 RU와 DU가 초기 연결되는 과정뿐만 아니라, 초기 연결 이후의 단계에서 RU로부터 송신될 수 있다. 또한, capability information 메시지는 RU와 DU가 초기 연결되는 과정뿐만 아니라, 초기 연결 이후의 단계에서 DU로부터 RU에게 송신될 수 있다.The capability request message can be sent from the RU not only during the initial connection process between the RU and the DU, but also at a stage after the initial connection. In addition, the capability information message can be sent from the DU to the RU not only during the initial connection process between the RU and the DU, but also at a stage after the initial connection.
단계 730에서 DU는 RU에게 port combining과 관련된 configuration을 송신할 수 있다. 또한, RU는 DU에게 port combining과 관련된 configuration을 송신할 수 있다. 상기 configuration에는 capability information에 기반하여 설정된 port combining parameter가 포함될 수 있다. Port combining과 관련된 parameter는 port combining을 지시하는 데에 사용될 수 있다.In
Parameter를 수신한 RU는 수신한 즉시 parameter를 적용할 수 있다. 또는, DU가 지정한 시점에 parameter를 적용할 수 있다. 이 경우 DU는 port combining enable을 통하여 RU에게 적용 시점 및 적용 여부에 대한 정보를 송신할 수 있다. 또는, RU는 스스로 적용 시점 및 적용 여부를 결정할 수 있다The RU that receives the parameter can apply the parameter immediately after receiving it. Or, the parameter can be applied at the time specified by the DU. In this case, the DU can send information about the application time and whether to apply to the RU through port combining enable. Or, the RU can decide the application time and whether to apply by itself.
단계 740에서 DU는 RU에게 port combining enabling 신호를 송신할 수 있다. Port combining enabling 신호는 port combining이 적용가능한지 여부에 따라 RU에서의 port combining 설정을 활성화 또는 비활성화 할 수 있다. 또한, port combining enabling 신호는 configuration에 포함된 parameter가 적용되었는지 여부를 포함할 수 있다.At
예를 들어, DU는 RU의 SVD capability를 고려하여 single user 스케줄링인 경우에 enable 신호를 on하고, multi user 스케줄링인 경우에 off할 수 있다. 이 때, single user 스케줄링인 경우, RU의 SVD 수행 능력에 따라 특정 resource에서만 SVD port combining이 수행되도록 enable 신호를 송신할 수 있다.For example, the DU can turn on the enable signal in case of single-user scheduling and turn it off in case of multi-user scheduling, considering the SVD capability of the RU. In this case, in case of single-user scheduling, the enable signal can be transmitted so that SVD port combining is performed only on specific resources according to the SVD performance capability of the RU.
해당 단계는 선택적이며, 해당 단계 없이 port combining configuration을 송수신하는 과정에서 port combining enabling 신호가 포함되어 송수신 될 수 있다.This step is optional, and the port combining enabling signal can be included and transmitted and received in the process of transmitting and receiving the port combining configuration without this step.
RU는 단계 750에서, DU에게 port combining indication 신호를 송신할 수 있다. RU는, DU에서 설정한 configuration을 적용하여, port combining을 수행한 후 port combining indication 신호를 통해 DU에게 port combining 수행여부를 알려줄 수 있다. 또는, DU에서 지정한 resource에 대한 ACK (Acknowledgement) 또는 NACK (Negative Acknowledgement)의 의미로 indication 신호를 전송할 수 있다. 또는, DU의 port combining enabling 신호에 대응하여 SVD port combining 적용 여부에 대한 indication 신호를 송신할 수 있다. 또는, DU의 요청이 없는 경우에도 RU 스스로 판단하여 SVD port combining을 적용한 뒤 적용 여부를 indication 신호로 송신할 수 있다.In
상기 indication은 port combining configuration이 적용되었는지 여부를 지시하는 비트로 구성될 수 있다. 상기 indication은 RU에서 DU로 전송되는 기 정의된 메시지에 추가적으로 포함되어 전송되거나 상기 indication을 위한 별도의 메시지가 정의될 수 있다. 또는 상기 indication은 하기에서 제안하는 Port Combining configuration를 사용하여 SVD가 적용되었는지 여부를 지시할 수 있다. 또는 본 개시에서는 RU에서 DU로 indication을 전송하는 방법을 예를 들어 설명하지만, DU에서 SVD를 적용한 신호를 RU에 전송하는 경우 DU에서 RU로 indication을 전송하는 방법도 사용될 수 있다. 또한, 상기 indication을 전송하는 단계는 선택적으로 수행될 수 있다.The above indication may be composed of bits indicating whether the port combining configuration is applied. The indication may be transmitted by being additionally included in a predefined message transmitted from the RU to the DU, or a separate message for the indication may be defined. Alternatively, the indication may indicate whether the SVD is applied using the Port Combining configuration proposed below. Alternatively, although the present disclosure describes a method of transmitting an indication from the RU to the DU as an example, a method of transmitting an indication from the DU to the RU may also be used when a signal to which the SVD is applied is transmitted from the DU to the RU. In addition, the step of transmitting the indication may be performed selectively.
단계 760에서 RU는 DU에게 신호를 전송할 수 있다. 상기 신호는 SVD port combining이 적용된 신호일 수 있다. 해당 신호는 I/Q data를 포함하는 메시지에 해당할 수 있다.At
단계 770에서 RU가 SVD-based port combining 방법을 사용한 경우, DU에게 singular value를 송신할 수 있다. singular value를 DU에게 송신할 경우, DU에서의 singular value 계산에 필요한 연산량을 감소시켜 연산 복잡도를 감소시킬 수 있다.If the RU uses the SVD-based port combining method at
Singular value를 수신하지 않는 경우, DU는 상술한 도 6의 matrix inversion 과정을 수행할 수 있다. 구체적으로, DU는 Channel Estimator로 얻은 채널 H에 대해, H*hermitian(H) 연산을 통해 singular value의 자승 값을 결정할 수 있다. 구체적으로, singular value는 대각 특이 값 행렬에 해당하는 Σ 의 대각 원소 값에 해당할 수 있다.If a singular value is not received, the DU can perform the matrix inversion process of the above-described Fig. 6. Specifically, the DU can determine the square value of the singular value through the H*hermitian(H) operation for the channel H obtained by the Channel Estimator. Specifically, the singular value can correspond to the diagonal element value of Σ corresponding to the diagonal singular value matrix.
이에 반해, RU로부터 singular value를 수신한 DU는 singular value를 사용할 수 있으므로, H*hermitian(H) 연산을 통해 대각 특이 값 행렬 Σ 의 자승 값을 구하는 연산을 수행하지 않을 수 있다. 즉, DU가 singular value를 수신하는 경우 연산량이 감소되는 효과를 얻을 수 있다.In contrast, a DU that receives a singular value from an RU can use the singular value, and thus can avoid performing the operation of finding the square value of the diagonal singular value matrix Σ through the H*hermitian(H) operation. In other words, when a DU receives a singular value, the effect of reducing the amount of computation can be obtained.
해당 단계는 선택적이며, 해당 단계 없이 port combining configuration을 송수신하는 과정에서DU는 RU에게 singular value request값을 송신할 수 있다.This step is optional, and the DU can send a singular value request value to the RU during the process of transmitting and receiving port combining configuration without this step.
이하 실시 예에서는 port combining을 수행하기 위하여, RU 및 DU 간의 port combining capability를 송수신하는 방법을 제안한다.In the following embodiments, a method of transmitting and receiving port combining capability between RU and DU is proposed to perform port combining.
[실시 예 1: M-plane(Management-plane)을 통해 port combining capability 송신][Example 1: Transmitting port combining capability through M-plane (Management-plane)]
본 개시의 일 실시 예에 따르면, RU는 DU에게 port combining capability를 송신할 수 있다. 구체적으로, port combining capability 메시지는 하기의 [표 1]과 같이 M-plane을 통해 송신될 수 있다. 구체적으로, M-plane에서의 o-ran-module-cap (예를 들어, o-ran-module-cap. yang.module)을 통해 송신 될 수 있다.According to one embodiment of the present disclosure, the RU can transmit a port combining capability to the DU. Specifically, the port combining capability message can be transmitted via the M-plane as shown in [Table 1] below. Specifically, it can be transmitted via o-ran-module-cap (e.g., o-ran-module-cap.yang.module) in the M-plane.
구체적으로, o-ran-module-cap을 통하여 송신되는 capability information에는 port combining configuration이 포함될 수 있다. Port combining configuration에는 지원 가능한 port combining 방법들 (예를 들어, method-of-port-combining)이 포함될 수 있다. 또는, Port combining configuration에는 RU의 port combining 수행 가능 여부에 대한 정보가 포함될 수 있다. port combining 방법으로는 SVD-based port combining (예를 들어, svd-port-combining)이 포함될 수 있다. SVD-based port combining 방법을 사용할 경우, port combining 방법에 대한 구체적인 설명으로 지원 가능한 layer의 최대 개수 (예를 들어, max-svd-layers), SVD 연산 engine의 개수 (예를 들어, number-of-svd-engines) 및 singular value 전송 여부를 나타내는 정보 중 적어도 하나가 포함될 수 있다. 해당 정보들은 파라미터(parameter)의 형태로 전달 될 수 있다.Specifically, the capability information transmitted via o-ran-module-cap may include a port combining configuration. The port combining configuration may include supportable port combining methods (e.g., method-of-port-combining). Alternatively, the port combining configuration may include information on whether the RU can perform port combining. The port combining method may include SVD-based port combining (e.g., svd-port-combining). When the SVD-based port combining method is used, at least one of the following may be included as a specific description of the port combining method: the maximum number of layers that can be supported (e.g., max-svd-layers), the number of SVD operation engines (e.g., number-of-svd-engines), and information indicating whether singular values are transmitted. The information may be transmitted in the form of parameters.
또는, 본 개시의 일 실시 예에 따르면, RU는 DU에게 RU port combining과 관련된 capability information이 포함된 capability 메시지를 송신할 수 있다. 구체적으로, capability 메시지는 하기의 [표 2]와 같은 방식으로 송신될 수 있다. Capability 메시지는 O-RAN M-plane에서 beamforming과 관련된 필드의 하위 필드 값으로 전달될 수 있다.Alternatively, according to one embodiment of the present disclosure, the RU may transmit a capability message including capability information related to RU port combining to the DU. Specifically, the capability message may be transmitted in a manner as shown in [Table 2] below. The Capability message may be delivered as a sub-field value of a field related to beamforming in the O-RAN M-plane.
구체적으로, o-ran-module-cap을 통하여 송신되는 capability information에는 port combining configuration이 포함될 수 있다. Port combining configuration에는 지원 가능한 port combining 방법들 (예를 들어, method-of-port-combining)이 포함될 수 있다. 또는, Port combining configuration에는 RU의 port combining 수행 가능 여부에 대한 정보가 포함될 수 있다. port combining 방법으로는 SVD-based port combining (예를 들어, svd-port-combining)이 포함될 수 있다. SVD-based port combining 방법을 사용할 경우, port combining 방법에 대한 구체적인 설명으로 지원 가능한 layer의 최대 개수 (예를 들어, max-svd-layers), SVD 연산 engine의 개수 (예를 들어, number-of-svd-engines) 및 singular value 전송 여부를 나타내는 정보 중 적어도 하나가 포함될 수 있다. 해당 정보들은 파라미터(parameter)의 형태로 전달될 수 있다.Specifically, the capability information transmitted via o-ran-module-cap may include a port combining configuration. The port combining configuration may include supportable port combining methods (e.g., method-of-port-combining). Alternatively, the port combining configuration may include information on whether the RU can perform port combining. The port combining method may include SVD-based port combining (e.g., svd-port-combining). When the SVD-based port combining method is used, at least one of the following may be included as a specific description of the port combining method: the maximum number of layers that can be supported (e.g., max-svd-layers), the number of SVD operation engines (e.g., number-of-svd-engines), and information indicating whether singular values are transmitted. The information may be transmitted in the form of parameters.
RU Port Combining과 관련된 capability information이 포함된 capability 메시지는 상기 [표 1] 또는 [표 2]과 같이 M-plane을 통하여 송신될 수 있다. 그러나, Capability Information 송신 방식은 위 방식에 한정되는 것은 아니며, 다른 방식으로 송신될 수 있다.A capability message containing capability information related to RU Port Combining can be transmitted via the M-plane as shown in [Table 1] or [Table 2] above. However, the Capability Information transmission method is not limited to the above method and can be transmitted in other ways.
capability information은 DU가 단계 710에서 RU에게 송신한 capability request 메시지에 대한 응답으로, capability report 메시지에 포함되어 전송될 수 있다. DU는 RU와 초기 연결되는 과정에서 RU의 port combining capability information을 수신할 수 있다. 또한, DU는 초기 연결 이후의 단계에서도 request 메시지를 송신할 수 있다. 또한 RU는 이에 대한 응답으로 capability information을 수신할 있다.The capability information can be transmitted in a capability report message as a response to the capability request message that the DU transmits to the RU in
이하 실시 예에서는 port combining을 수행하기 위하여, RU 및 DU 간의 송수신되는 RU에 전송하는 port combining configuration을 제안한다. 또한, 본 개시에서는 DU에서 RU로 혹은 RU에서 DU로 전송하는 port combining configuration으로 하기의 정보를 제안한다. 하기의 정보는 RU가 DU에게 전송되어 SVD port combining이 적용되었는지 여부를 지시할 수 있다.In the following embodiments, in order to perform port combining, a port combining configuration transmitted to an RU that is transmitted and received between an RU and a DU is proposed. In addition, the present disclosure proposes the following information as a port combining configuration transmitted from a DU to a RU or from a RU to a DU. The following information can indicate whether SVD port combining is applied when an RU is transmitted to a DU.
[실시 예 2: C-plane(Control plane)을 통해 port combining configuration 송신 - Section Type 1의 Section Extension 활용][Example 2: Transmitting port combining configuration through C-plane (Control plane) - Utilizing Section Extension of Section Type 1]
본 개시의 일 실시 예에 따르면, RU는 DU에게 port combining과 관련된 configuration을 송신할 수 있다. 또한, RU는 DU에게 port combining과 관련된 configuration을 송신할 수 있다. 구체적으로, port combining과 관련된 configuration (이하, port combining configuration)에는 실시 예 1에서의 port combining capability information에 포함된 정보 중 적어도 하나가 포함될 수 있다. 해당 port combining configuration은 C-plane을 통해 송신될 수 있다.According to one embodiment of the present disclosure, the RU can transmit a configuration related to port combining to the DU. In addition, the RU can transmit a configuration related to port combining to the DU. Specifically, the configuration related to port combining (hereinafter, port combining configuration) may include at least one of the information included in the port combining capability information in
Port combining configuration은 Section Type 1의 Section Extensions에서 SVD-based port combining에 대해 정의된 파라미터에 기반하여 설정될 수 있다. 구체적으로, Section Extensions에 새로운 extension type (예를 들어, exType)이 추가될 수 있으며, 상기 extension type은 SVD-based port combining (예를 들어, SVD Port Combing)를 지시할 수 있다. 상기 SVD-based port combining을 지시하는 extension type은 SVD-based port combining과 관련된 parameter들을 지시할 수 있다.Port combining configuration can be set based on parameters defined for SVD-based port combining in Section Extensions of
하기의 [표 3]은 기존의 Section Type 1: DL/UL control msgs를 나타낸다.[Table 3] below shows the existing Section Type 1: DL/UL control msgs.
하기의 [표 4]는 본 개시의 일 실시 예에 따라, 상기 [표 3]에 따른 section extensions에 새로운 extension Type이 추가되어 SVD (based) port combining을 지시하는 경우를 나타낸다.[Table 4] below shows a case where a new extension Type is added to the section extensions according to [Table 3] to indicate SVD (based) port combining, according to one embodiment of the present disclosure.
SVD-based port combining을 지시하는 새로운 extension type이 정의될 경우, port combining configuration에는 다음과 같은 section extension parameter가 포함될 수 있다.If a new extension type is defined that indicates SVD-based port combining, the port combining configuration may include the following section extension parameters:
Section extension parameter에는 M-plane의 실시 예에서 언급한 parameter (예를 들어, 지원 가능한 port combining 방법들, RU의 port combining 수행 가능 여부에 대한 정보, 지원 가능한 layer의 최대 개수, SVD 연산 engine의 개수, singular value 전송 여부를 나타내는 정보 중 적어도 하나) 외에도 RU의 antenna port수 (상기 antenna port는 logical antenna port를 의미할 수 있음), Front-haul 용량을 고려하여 줄어든 reduced port의 수, port combining에 적용 된 antenna 수와 reduced port 수의 비율, 사용된 port combining 방법, port combining 적용 여부, port combining weight의 값 (예를 들어, In-phase 및 quadrature phase 값), port combining weight의 compression 적용 여부, compression 이후 port combining weight의 값 (예를 들어, In-phase 및 quadrature phase 값), port combining weight의 compression bit-width, port combining 적용 resource, RU의 field read 속도 및 처리속도 향상을 위해 configuration값이 이전 configuration과 동일한지 알려주는 repetition indication, Port combining weight extension, Port combining weight extension type, switching 여부 및 singular value 중 적어도 하나가 포함될 수 있다.In addition to the parameters mentioned in the embodiment of the M-plane (for example, at least one of the supportable port combining methods, information on whether the RU can perform port combining, the maximum number of supportable layers, the number of SVD operation engines, and information indicating whether singular value is transmitted), the section extension parameter may include at least one of the following: the number of antenna ports of the RU (the antenna port may mean a logical antenna port), the number of reduced ports reduced in consideration of the front-haul capacity, the ratio of the number of antennas applied to port combining to the number of reduced ports, the port combining method used, whether port combining is applied, the value of the port combining weight (for example, the In-phase and quadrature phase values), whether compression is applied to the port combining weight, the value of the port combining weight after compression (for example, the In-phase and quadrature phase values), the compression bit-width of the port combining weight, the port combining application resource, the repetition indication indicating whether the configuration value is the same as the previous configuration in order to improve the field read speed and processing speed of the RU, the Port combining weight extension, the Port combining weight extension type, whether switching is performed, and the singular value.
RU의 antenna port 수는 예를 들어numLogicalAntPort로 정의될 수 있으며, 64, 128, 512, 1024 등의 값을 가질 수 있다. Front-Haul 용량을 고려하여 줄어든 reduced port의 개수는 예를 들어,numReducedPort로 정의될 수 있으며, 4, 8, 16 등의 값을 가질 수 있다. Port combining에 적용된 antenna 수와 reduced port 수의 비율은 예를 들어,PortCombiningRatio로 정의될 수 있으며 2:1, 4:1, 8:1 등의 값을 가질 수 있다.numReducedPort 값은PortCombiningRatio 값으로 대체될 수 있다. 사용된 port combining 방법은 예를 들어,PortCombiningMethod로 정의될 수 있으며, MRC, SVD, DFT, none 등의 값을 가질 수 있다. 사용된 port combining 방법이 SVD인 경우 역행렬 연산에 저복잡도 방식이 사용될 수 있다. Port combining weight은 예를 들어,PortCombiningWeight로 정의될 수 있다. Port combining weight가 In-phase인 경우에는 예를 들어pcwI로, port combining weight가 quadrate phase인 경우에는 예를 들어pcwQ로 정의될 수 있다. Port combining weight가 정의되는 경우는 DU에서 해당 값을 계산하여 RU를 송신하는 경우를 가정한 것일 수 있다. Port combining weight의 compression 적용 여부는 예를 들어,PortCombiningWeightCompression으로 정의될 수 있다.PortCombiningWeightCompression이 정의된 경우에는 Beamforming에서의 weight compression과 동일한 동작이 수행될 수 있다. Weight compression이 수행된 경우 예를 들어,pcwCompHdr, pcwCompParam등의 값을 가지거나 파라미터로 정의될 수 있다. Singular value는 예를 들어SingularValue로 정의될 수 있다. Singular value가 정의되는 경우는 DU에서 singular value를 계산하는 대신에 RU에서 singular value를 전송하는 경우를 가정한 것일 수 있다. Port combining 적용 resource는PortCombiningRB, PortCombiningRE, PortCombiningSymb 등의 값을 가질 수 있다. 각 값은 port combining을 적용하는 resource가 무엇인지 알려주기 위함일 수 있다. Repetition Indication은 예를 들어,Repetition으로 정의될 수 있으며, 해당 값이 0b인 경우에는 이전 설정을 그대로 이용하는 경우로, parameter를 다시 읽지 않으므로 연산 시간이 단축될 수 있다. Switching 여부는 combining method가 switching 되는지 여부를 나타내기 위한 값으로Switching으로 정의될 수 있다. Repetition 값이 1이며 Switching 값 또한 1인 경우 port combining 방법(method)만 switching되는 경우로 다른 parameters를 읽지 않아도 되므로 연산 시간이 단축될 수 있다. Repetition 값이 1이며 Switching 값 또한 1인 경우를 제외한 나머지 경우에는 기타 모든 field를 읽을 필요가 있을 수 있다.The number of antenna ports of an RU can be defined as, for example,numLogicalAntPort , and can have values such as 64, 128, 512, 1024. The number of reduced ports considering the front-haul capacity can be defined as, for example,numReducedPort , and can have values such as 4, 8, 16. The ratio of the number of antennas applied to port combining to the number of reduced ports can be defined as, for example,PortCombiningRatio , and can have values such as 2:1, 4:1, 8:1. ThenumReducedPort value can be replaced by thePortCombiningRatio value. The used port combining method can be defined as, for example,PortCombiningMethod , and can have values such as MRC, SVD, DFT, none, etc. If the used port combining method is SVD, a low-complexity method can be used for the inverse matrix operation. The port combining weight can be defined as, for example,PortCombiningWeight . When the port combining weight is In-phase, it can be defined as, for example,pcwI , and when the port combining weight is quadrate phase, it can be defined as, for example,pcwQ . When the port combining weight is defined, it may be assumed that the corresponding value is calculated in the DU and the RU is transmitted. Whether or not to apply compression to the port combining weight can be defined as, for example,PortCombiningWeightCompression . WhenPortCombiningWeightCompression is defined, the same operation as weight compression in beamforming can be performed. When weight compression is performed, it may have values such aspcwCompHdr, pcwCompParam, etc. or be defined as a parameter. A singular value can be defined as, for example,SingularValue . When a singular value is defined, it may be assumed that the singular value is transmitted in the RU instead of calculating the singular value in the DU. The port combining application resource can have values such asPortCombiningRB, PortCombiningRE, and PortCombiningSymb . Each value can be used to indicate which resource applies port combining. Repetition Indication can be defined asRepetition , for example, and if the value is 0b, it means that the previous settings are used as is, and the parameters are not read again, so the computation time can be shortened. Switching can be defined asSwitching to indicate whether the combining method is switched. If the Repetition value is 1 and the Switching value is also 1, only the port combining method is switched, so other parameters do not need to be read, so the computation time can be shortened. In all cases except for the case where the Repetition value is 1 and the Switching value is also 1, it may be necessary to read all other fields.
Port combining weight extension 사용 여부를 알기 위하여 예를 들어,PortCombiningWeightExtension이 정의될 수 있다.PortCombiningWeightExtension 값이 1인 경우 extension을 사용할 수 있다. Port combining weight extension의 type을 알기 위하여typePortCombingWeightExtension이 정의될 수 있으며, orthogonal, partial orthogonal 등의 값을 가질 수 있다. Port combining weight extension 및 type combining weight extension type과 관련된 파라미터는 port combining method 파라미터에 통합될 수 있다. 파라미터들 중 In-phase인 경우 및 quadrate phase인 경우를 포함하는 Port combining weight, Port combining weight의 compression 적용 여부, Weight compression이 수행된 경우의 값 (예를 들어,pcwCompHdr, pcwCompParam중 적어도 하나), 및 port combining 적용 resource (예를 들어,PortCombiningRB, PortCombiningRE, PortCombiningSymb중 적어도 하나) 중 적어도 하나는 DU에서 RU로 송신 될 수 있다.For example,PortCombiningWeightExtension can be defined to know whether to use the port combining weight extension. If thePortCombiningWeightExtension value is 1, the extension can be used.TypePortCombingWeightExtension can be defined to know the type of the port combining weight extension, and it can have values such as orthogonal, partial orthogonal, etc. Parameters related to the port combining weight extension and the type combining weight extension can be integrated into the port combining method parameter. At least one of the parameters, the port combining weight including the cases of In-phase and quadrate phase, whether to apply compression to the port combining weight, the value in case weight compression is performed (for example, at least one ofpcwCompHdr, pcwCompParam ), and the port combining application resource (for example, at least one ofPortCombiningRB, PortCombiningRE, PortCombiningSymb ), can be transmitted from the DU to the RU.
파라미터들 중 singular value는 RU에서 DU로 송신될 수 있다.Among the parameters, singular values can be transmitted from RU to DU.
그 외 파라미터에 해당하는 antenna port 수, Front-Haul 용량을 고려하여 줄어든 reduced port의 개수, port combining에 적용된 antenna 수 및 reduced port 수의 비율, 사용된 port combining 방법, repetition indication 및 switching 여부 중 적어도 하나는 RU에서 DU로 송신될 수 있다. 또한, DU에서 RU로 송신될 수 있다.At least one of the following parameters can be transmitted from the RU to the DU: the number of antenna ports corresponding to other parameters, the number of reduced ports considering the Front-Haul capacity, the ratio of the number of antennas applied to port combining and the number of reduced ports, the port combining method used, the repetition indication, and whether switching is enabled. In addition, at least one of the following parameters can be transmitted from the DU to the RU.
Port combining과 관련된 configuration은 단계 730에서 DU가 RU에게 송신할 수 있다. 또한, port combining과 관련된 configuration은 단계 730에서 RU가 DU에게 송신할 수 있다.The configuration related to port combining can be transmitted from the DU to the RU at
이하 실시 예에서는 port combining을 수행하기 위하여, RU 및 DU 간의 송수신되는 RU에 전송하는 port combining configuration을 제안한다. 또한, 본 개시에서는 DU에서 RU로 혹은 RU에서 DU로 전송하는 port combining configuration으로 하기의 정보를 제안한다. 하기의 정보는 RU가 DU에게 전송되어 SVD port combining이 적용되었는지 여부를 지시할 수 있다.In the following embodiments, in order to perform port combining, a port combining configuration transmitted to an RU that is transmitted and received between an RU and a DU is proposed. In addition, the present disclosure proposes the following information as a port combining configuration transmitted from a DU to a RU or from a RU to a DU. The following information can indicate whether SVD port combining is applied when an RU is transmitted to a DU.
[실시 예 3: C-plane을 통해 port combining configuration 송신 - Section Type 4의 dt4CmdType 활용]본 개시의 일 실시 예에 따르면, RU는 DU에게 port combining과 관련된 configuration을 송신할 수 있다. 또한, RU는 DU에게 port combining과 관련된 configuration을 송신할 수 있다. 구체적으로, port combining configuration 에는 실시 예 1에서의 port combining capability information에 포함된 정보 중 적어도 하나가 포함 될 수 있다. 해당 port combining configuration은 C-plane을 통해 송신될 수 있다.[Embodiment 3: Transmitting port combining configuration via C-plane - Utilizing dt4CmdType of Section Type 4] According to one embodiment of the present disclosure, the RU can transmit a configuration related to port combining to the DU. Additionally, the RU can transmit a configuration related to port combining to the DU. Specifically, the port combining configuration can include at least one of the information included in the port combining capability information in
Port combining configuration은 Section Type 4의 st4CmdType에서 SVD-based port combining에 대해 정의된 파라미터에 기반하여 설정될 수 있다. 여기서, st4CmdType는 단일 또는 복수의 ID에 적용 될 슬롯 레벨을 지정하는 고유한 명령 유형 값 (unique command type value)을 지정하는 파라미터를 의미할 수 있다. 구체적으로 st4CmdType에 새로운 type (예를 들어, ST4CmdType)이 추가될 수 있으며, 상기 type은 SVD-based port combining을 지시할 수 있다.Port combining configuration can be set based on the parameters defined for SVD-based port combining in st4CmdType of Section Type 4. Here, st4CmdType can mean a parameter specifying a unique command type value that specifies a slot level to be applied to a single or multiple IDs. Specifically, a new type (e.g., ST4CmdType) can be added to st4CmdType, and the type can indicate SVD-based port combining.
상기 SVD-based port combining을 지시하는 type는 SVD-port combining과 관련된 parameter들을 지시할 수 있다. SVD-port combining과 관련된 parameter에는 SVD-based port combining related configuration 및 port combining weights 중 적어도 하나에 대하여 송신할 것을 명령(command)하는 parameter가 포함될 수 있다.The type indicating the above SVD-based port combining can indicate parameters related to SVD-port combining. The parameters related to SVD-port combining can include a parameter that commands transmission of at least one of SVD-based port combining related configuration and port combining weights.
하기의 [표 5]는 기존의 Section Type 4: Command common header format을 나타낸다.[Table 5] below shows the existing Section Type 4: Command common header format.
하기의 [표 6]는 본 개시의 일 실시 예에 따라, 상기 [표 5]에 따른 st4CmdType=1인 경우, st4CmdType에 새로운 command type이 추가되어 SVD-based port combining을 지시하는 경우를 나타낸다.[Table 6] below shows a case in which, according to one embodiment of the present disclosure, when st4CmdType=1 according to [Table 5], a new command type is added to st4CmdType to indicate SVD-based port combining.
하기 [표 6]을 참고하면, port combining configuration은 Section Type 4의 st4CmdType에서 SVD-based combining에 대해 정의된 파라미터에 기반하여 설정될 수 있다. 구체적으로, st4CmdType에 새로운 type (예를 들어, ST4CmdType)이 추가될 수 있으며, 상기 type은 SVD-based combining을 지시할 수 있다. 상기 SVD-based port combining을 지시하는 type은 SVD-based port combining과 관련된 parameter들을 지시할 수 있다.Referring to [Table 6] below, the port combining configuration can be set based on the parameters defined for SVD-based combining in st4CmdType of Section Type 4. Specifically, a new type (e.g., ST4CmdType) can be added to st4CmdType, and the type can indicate SVD-based combining. The type indicating SVD-based port combining can indicate parameters related to SVD-based port combining.
예를 들어 하기 표를 참고하면 새로운 필드가 0000 0011b으로 설정되는 경우 SVD-based port combining을 지시할 수 있다. 상기 SVD-based port combining이 지시된 경우, port combining configuration 및/또는 port combining weight의 전송을 지시할 수 있다.For example, referring to the table below, if a new field is set to 0000 0011b, SVD-based port combining can be indicated. If the SVD-based port combining is indicated, transmission of port combining configuration and/or port combining weight can be indicated.
하기의 [표 7]은 st4CmdType가 SVD-based port combining을 지시하는 경우의 port combining configuration을 나타낸다. 하기 [표 7]에 따르면, port combining configuration에는 PortCombiningType, 적어도 하나의 singular value (firstSingularValue, secondSingularValue,..), compression header 중 적어도 하나가 포함될 수 있다.[Table 7] below shows the port combining configuration when st4CmdType indicates SVD-based port combining. According to [Table 7] below, the port combining configuration may include PortCombiningType, at least one singular value (firstSingularValue, secondSingularValue, ...), and at least one compression header.
Port combining과 관련된 configuration은 단계 730에서 DU가 RU에게 송신할 수 있다. 또한, port combining과 관련된 configuration은 단계 730에서 RU가 DU에게 송신할 수 있다.The configuration related to port combining can be transmitted from the DU to the RU at
이하 실시 예에서는 port combining을 수행하기 위하여, RU 및 DU 간의 송수신되는 RU에 전송하는 port combining configuration을 제안한다. 또한, 본 개시에서는 DU에서 RU로 혹은 RU에서 DU로 전송하는 port combining configuration으로 하기의 정보를 제안한다. 하기의 정보는 RU가 DU에게 전송되어 SVD port combining이 적용되었는지 여부를 지시할 수 있다.In the following embodiments, in order to perform port combining, a port combining configuration transmitted to an RU that is transmitted and received between an RU and a DU is proposed. In addition, the present disclosure proposes the following information as a port combining configuration transmitted from a DU to a RU or from a RU to a DU. The following information can indicate whether SVD port combining is applied when an RU is transmitted to a DU.
[실시 예 4: C-plane 또는 U-plane (User plane)을 통해 port combining configuration 송신 - Section Type 1의 udCompMeth 활용]본 개시의 일 실시 예에 따르면, RU는 DU에게 port combining과 관련된 configuration을 송신할 수 있다. 또한, RU는 DU에게 port combining과 관련된 configuration을 송신할 수 있다. 구체적으로, port combining configuration 에는 실시 예 1에서의 port combining capability information에 포함된 정보 중 적어도 하나가 포함 될 수 있다. 해당 port combining configuration은 C-plane 또는 U-plane을 통해 송신될 수 있다.[Embodiment 4: Transmitting port combining configuration via C-plane or U-plane (User plane) - Utilizing udCompMeth of Section Type 1] According to one embodiment of the present disclosure, the RU can transmit a configuration related to port combining to the DU. Additionally, the RU can transmit a configuration related to port combining to the DU. Specifically, the port combining configuration may include at least one of the information included in the port combining capability information in
하기의 [표 8]는 기존의 Section Type 1: DL/UL I/Q data msgs를 나타낸다.[Table 8] below shows the existing Section Type 1: DL/UL I/Q data msgs.
하기의 [표 9]는 본 개시의 일 실시 예에 따라, 상기 [표 8]에 따른 udCompHdr에 새로운 udCompMeth가 추가되어 SVD (based) port combining을 지시하는 경우를 나타낸다.[Table 9] below shows a case where a new udCompMeth is added to udCompHdr according to [Table 8] to indicate SVD (based) port combining, according to one embodiment of the present disclosure.
하기의 [표 9]를 참고하면, port combining configuration은 Section Type 1의 udCompHdr에서 정의될 수 있다. 여기서, udCompHdr는 U-plane에 제공되며, 수신한 U-pane data를 해석하고 압축을 해제하는 방법을 RU 및 DU에 지시하는 정보를 의미할 수 있다. 구체적으로, udCompHdr에 새로운 방법 (예를 들어, udCompMeth)이 이 추가될 수 있으며, 상기 방법은 SVD-based port combining (예를 들어, SVD port combining)을 지시할 수 있다. 상기 SVD-based port combining을 지시하는 방법은 SVD-based port combining과 관련된 parameter들을 지시할 수 있다.Referring to [Table 9] below, the port combining configuration can be defined in udCompHdr of
예를 들어, 하기 표를 참고하면 새로운 필드가 0111b로 설정되는 경우 SVD-based port combining (예를 들어, SVD Port Combining)을 지시할 수 있다.For example, referring to the table below, if the new field is set to 0111b, it can indicate SVD-based port combining (e.g., SVD Port Combining).
Port combining과 관련된 configuration은 단계 730에서 DU가 RU에게 송신할 수 있다. 또한, port combining과 관련된 configuration은 단계 730에서 RU가 DU에게 송신할 수 있다.The configuration related to port combining can be transmitted from the DU to the RU at
이하 실시 예에서는 port combining을 수행하기 위하여, RU 및 DU 간의 송수신되는 RU에 전송하는 port combining configuration을 제안한다. 또한, 본 개시에서는 DU에서 RU로 혹은 RU에서 DU로 전송하는 port combining configuration으로 하기의 정보를 제안한다. 하기의 정보는 RU가 DU에게 전송되어 SVD port combining이 적용되었는지 여부를 지시할 수 있다.In the following embodiments, in order to perform port combining, a port combining configuration transmitted to an RU that is transmitted and received between an RU and a DU is proposed. In addition, the present disclosure proposes the following information as a port combining configuration transmitted from a DU to a RU or from a RU to a DU. The following information can indicate whether SVD port combining is applied when an RU is transmitted to a DU.
[실시 예 5: C-pane 또는 U-plane을 통해 port combining configuration 송신 - Section Type 6의 ciCompHdr 활용][Example 5: Transmitting port combining configuration via C-pane or U-plane - Utilizing ciCompHdr of Section Type 6]
본 개시의 일 실시 예에 따르면, RU는 DU에게 port combining과 관련된 configuration을 송신할 수 있다. 또한, RU는 DU에게 port combining과 관련된 configuration을 송신할 수 있다. 구체적으로, port combining configuration 에는 실시 예 1에서의 port combining capability information에 포함된 정보 중 적어도 하나가 포함 될 수 있다. 해당 port combining configuration은 C-plane 또는 U-plane을 통해 송신될 수 있다.According to one embodiment of the present disclosure, the RU can transmit a configuration related to port combining to the DU. In addition, the RU can transmit a configuration related to port combining to the DU. Specifically, the port combining configuration can include at least one of the information included in the port combining capability information in
하기의 [표 10]는 기존의 Section Type 6: channel information frame format을 나타낸다.[Table 10] below shows the existing Section Type 6: channel information frame format.
하기의 [표 11]은 본 개시의 일 실시 예에 따라, 상기 [표 10]에 따른 ciCompHdr에 새로운 ciCompMeth가 추가되어 SVD (based) port combining을 지시하는 경우를 나타낸다.[Table 11] below shows a case where a new ciCompMeth is added to ciCompHdr according to [Table 10] to indicate SVD (based) port combining, according to one embodiment of the present disclosure.
하기의 [표 11]을 참고하면, port combining configuration은 Section Type 1의 ciCompHdr에서 정의될 수 있다. 여기서, ciCompHdr는 U-plane에 제공되며, 수신한 U-pane data를 해석하고 압축을 해제하는 방법을 RU 및 DU에 지시하는 정보를 의미할 수 있다. 구체적으로, ciCompHdr에 새로운 방법 (예를 들어, ciCompMeth)이 이 추가될 수 있으며, 상기 방법은 SVD-based port combining (예를 들어, SVD port combining)을 지시할 수 있다. 상기 SVD-based port combining을 지시하는 방법은 SVD-based port combining과 관련된 parameter들을 지시할 수 있다.Referring to [Table 11] below, the port combining configuration can be defined in ciCompHdr of
예를 들어, 하기 표를 참고하면 새로운 필드가 0111b로 설정되는 경우 SVD-based port combining (예를 들어, SVD Port Combining)을 지시할 수 있다.For example, referring to the table below, if the new field is set to 0111b, it can indicate SVD-based port combining (e.g., SVD Port Combining).
도 8은 본 개시의 일 실시 예에 따른 RU의 port combining signaling 과정을 도시한 도면이다.FIG. 8 is a diagram illustrating a port combining signaling process of an RU according to an embodiment of the present disclosure.
도 8에 따르면, 단계 810에서 RU는 DU로부터 port combining과 관련된 capability request 메시지를 수신할 수 있다.According to FIG. 8, at
단계 820에서 상기 capability request 메시지에 대한 응답으로, RU는 DU에게 capability information 메시지를 송신할 수 있다. Capability information 메시지에는 RU port combining과 관련된 capability information이 포함될 수 있다.In response to the capability request message at
RU는 capability request 메시지를 RU가 DU와 초기 연결되는 과정 뿐만 아니라, 초기 연결 이외의 과정에서 DU로부터 수신할 수 있다. 또한, RU는 capability information 메시지를 RU가 DU와 초기 연결되는 과정 뿐만 아니라, 초기 연결 이외의 과정에서 DU에게 송신할 수 있다.A RU can receive a capability request message from a DU not only during the initial connection between the RU and the DU, but also during a process other than the initial connection. In addition, a RU can send a capability information message to a DU not only during the initial connection between the RU and the DU, but also during a process other than the initial connection.
단계 830에서 RU는 DU에게 port combining과 관련된 configuration을 송신할 수 있다. 또한, RU는 DU로부터 port combining과 관련된 configuration을 수신할 수 있다. 상기 configuration에는 capability information에 기반하여 설정된 port combining parameter가 포함될 수 있다. Port combining과 관련된 parameter는 port combining을 지시하는 데에 사용될 수 있다.At
Parameter를 수신한 RU는 수신한 즉시 parameter를 적용할 수 있다. 또는, DU가 지정한 시점에 parameter를 적용할 수 있다. 이 경우 RU는 DU로부터 port combining enable을 통하여 적용 시점 및 적용 여부에 대한 정보를 수신할 수 있다. 또는, RU는 스스로 적용 시점 및 적용 여부를 결정할 수 있다.The RU that receives the parameter can apply the parameter immediately after receiving it. Or, the parameter can be applied at the time specified by the DU. In this case, the RU can receive information about the application time and whether to apply it through the port combining enable from the DU. Or, the RU can decide the application time and whether to apply it by itself.
단계 840에서 RU는 DU로부터 port combining enabling 또는 port combining enable 신호를 수신할 수 있다. Port combining enabling 또는 port combining enable 신호는 port combining이 적용가능한지 여부에 따라 RU에서의 port combining 설정을 활성화 또는 비활성화 할 수 있다. 또한, port combining enabling 또는 port combining enable 신호는 configuration에 포함된 parameter가 적용되었는지 여부를 포함할 수 있다.At
예를 들어, DU는 RU의 SVD capability를 고려하여 single user 스케줄링인 경우에 enable 신호를 on하고, multi user 스케줄링인 경우에 off할 수 있다. 이 때, single user 스케줄링인 경우, RU는 SVD 수행 능력에 따라 특정 resource에서만 SVD port combining이 수행되도록 설정된 enable 신호를 수신할 수 있다.For example, the DU can turn on the enable signal in case of single-user scheduling and turn it off in case of multi-user scheduling, considering the SVD capability of the RU. In this case, in case of single-user scheduling, the RU can receive an enable signal that is set to perform SVD port combining only on specific resources according to the SVD performance capability.
해당 단계는 선택적이며, 해당 단계 없이 port combining configuration을 송수신하는 과정에서 port combining enabling 또는 port combining enable 신호가 포함되어 송수신 될 수 있다.This step is optional, and the port combining enabling or port combining enable signal can be included and transmitted and received during the process of transmitting and receiving the port combining configuration without this step.
RU는 단계 850에서, DU에게 port combining indication 신호를 송신할 수 있다. RU는 DU에서 설정한 configuration을 적용하여, port combining을 수행한 후 수행 여부를 port combining indication 신호를 통해 DU에게 알려줄 수 있다. 또는, DU에서 지정한 resource에 대한 ACK (Acknowledgement) 또는 NACK (Negative Acknowledgement)의 의미로 indication 신호를 전송할 수 있다. 또는, DU의 port combining enabling 또는 port combining enable 신호에 대응하여 SVD port combining 적용 여부에 대한 indication 신호를 송신할 수 있다. 또는, DU의 요청이 없는 경우에도 RU 스스로 판단하여 SVD port combining을 적용한 뒤 적용 여부를 indication 신호로 송신할 수 있다.In
상기 indication은 port combining configuration이 적용되었는지 여부를 지시하는 비트로 구성될 수 있다. 상기 indication은 RU에서 DU로 전송되는 기 정의된 메시지에 추가적으로 포함되어 전송되거나 상기 indication을 위한 별도의 메시지가 정의될 수 있다. 또는 상기 indication은 하기에서 제안하는 Port Combining configuration를 사용하여 SVD가 적용되었는지 여부를 지시할 수 있다. 또는 본 개시에서는 RU에서 DU로 indication을 전송하는 방법을 예를 들어 설명하지만, DU에서 SVD를 적용한 신호를 RU에 전송하는 경우 DU에서 RU로 indication을 전송하는 방법도 사용될 수 있다. 또한, 상기 indication을 전송하는 단계는 선택적으로 수행될 수 있다.The above indication may be composed of bits indicating whether the port combining configuration is applied. The indication may be transmitted by being additionally included in a predefined message transmitted from the RU to the DU, or a separate message for the indication may be defined. Alternatively, the indication may indicate whether the SVD is applied using the Port Combining configuration proposed below. Alternatively, although the present disclosure describes a method of transmitting an indication from the RU to the DU as an example, a method of transmitting an indication from the DU to the RU may also be used when a signal to which the SVD is applied is transmitted from the DU to the RU. In addition, the step of transmitting the indication may be performed selectively.
단계 860에서 RU는 DU에게 신호를 전송할 수 있다. 상기 신호는 SVD port combining이 적용된 신호일 수 있다. 해당 신호는 I/Q data를 포함하는 메시지에 해당할 수 있다.At
단계 870에서 RU가 SVD-based port combining 방법을 사용한 경우, DU에게 singular value를 송신할 수 있다. singular value를 DU에게 송신할 경우, DU에서의 singular value 계산에 필요한 연산량을 감소시켜 연산 복잡도를 감소시킬 수 있다.If the RU uses the SVD-based port combining method at step 870, it can transmit a singular value to the DU. If the singular value is transmitted to the DU, the amount of computation required to calculate the singular value in the DU can be reduced, thereby reducing computational complexity.
해당 단계는 선택적이며, 해당 단계 없이 port combining configuration을 송수신하는 과정에서DU는 RU에게 singular value request값을 송신할 수 있다.This step is optional, and the DU can send a singular value request value to the RU during the process of transmitting and receiving port combining configuration without this step.
도 9는 본 개시의 일 실시 예에 따른 DU의 port combining signaling 과정을 도시한 도면이다.FIG. 9 is a diagram illustrating a port combining signaling process of a DU according to an embodiment of the present disclosure.
도 9에 따르면, 단계 910에서 DU는 RU에게 port combining과 관련된 capability request 메시지를 송신할 수 있다.According to FIG. 9, at
단계 920에서 상기 capability request 메시지에 대한 응답으로, DU는 RU로부터 capability information 메시지를 수신할 수 있다. Capability information 메시지에는 RU port combining과 관련된 capability information이 포함될 수 있다.In response to the capability request message at
DU는 capability request 메시지를 RU와 DU가 초기 연결되는 과정 뿐만 아니라, 초기 연결 이외의 과정에서 RU에게 송신할 수 있다. 또한, DU는 capability information 메시지를 RU와 DU가 초기 연결되는 과정 뿐만 아니라, 초기 연결 이외의 과정에서 RU로부터 수신할 수 있다.A DU can send a capability request message to a RU not only during the initial connection between a RU and a DU, but also during a process other than the initial connection. In addition, a DU can receive a capability information message from a RU not only during the initial connection between a RU and a DU, but also during a process other than the initial connection.
단계 930에서 DU는 RU에게 port combining과 관련된 configuration을 송신할 수 있다. 또한, RU는 DU에게 port combining과 관련된 configuration을 송신할 수 있다. 상기 configuration에는 capability information에 기반하여 설정된 port combining parameter가 포함될 수 있다. Port combining과 관련된 parameter는 port combining을 지시하는 데에 사용될 수 있다.At
Parameter를 수신한 RU는 수신한 즉시 parameter를 적용할 수 있다. 또는, DU가 지정한 시점에 parameter를 적용할 수 있다. 이 경우 DU는 port combining enable을 통하여 RU에게 적용 시점 및 적용 여부에 대한 정보를 송신할 수 있다. 또는, RU는 스스로 적용 시점 및 적용 여부를 결정할 수 있다The RU that receives the parameter can apply the parameter immediately after receiving it. Or, the parameter can be applied at the time specified by the DU. In this case, the DU can send information about the application time and whether to apply to the RU through port combining enable. Or, the RU can decide the application time and whether to apply by itself.
단계 940에서 DU는 RU에게 port combining enabling 또는 port combining enable 신호를 송신할 수 있다. Port combining enabling 또는 port combining enable 신호는 port combining이 적용가능한지 여부에 따라 RU에서의 port combining 설정을 활성화 또는 비활성화 할 수 있다. 또한, port combining enabling 또는 port combining enable 신호는 configuration에 포함된 parameter가 적용되었는지 여부를 포함할 수 있다.At
예를 들어, DU는 RU의 SVD capability를 고려하여 single user 스케줄링인 경우에 enable 신호를 on하고, multi user 스케줄링인 경우에 off할 수 있다. 이 때, single user 스케줄링인 경우, RU의 SVD 수행 능력에 따라 특정 resource에서만 SVD port combining이 수행되도록 enable 신호를 송신할 수 있다.For example, the DU can turn on the enable signal in case of single-user scheduling and turn it off in case of multi-user scheduling, considering the SVD capability of the RU. In this case, in case of single-user scheduling, the enable signal can be transmitted so that SVD port combining is performed only on specific resources according to the SVD performance capability of the RU.
해당 단계는 선택적이며, 해당 단계 없이 port combining configuration을 송수신하는 과정에서 port combining enabling 또는 port combining enable 신호가 포함되어 송수신 될 수 있다.This step is optional, and the port combining enabling or port combining enable signal can be included and transmitted and received during the process of transmitting and receiving the port combining configuration without this step.
단계 950에서, DU는 RU로부터 port combining indication 신호를 수신할 수 있다. Port combining indication 신호에는 RU에서의 DU에서 설정된 configuration 적용에 따른 port combining 수행 여부가 포함될 수 있다. 또는, RU로부터 DU에서 지정한 resource에 대한 ACK (Acknowledgement) 또는 NACK (Negative Acknowledgement)의 의미로 indication 신호를 수신할 수 있다. 또는, RU로부터 DU의 port combining enabling 또는 port combining enable 신호에 대응한 SVD port combining 적용 여부에 대한 indication 신호를 수신할 수 있다. 또는, RU로부터 RU 스스로 판단에 의한 SVD port combining을 적용에 따른 적용 여부 indication 신호를 수신할 수 있다.In
상기 indication은 port combining configuration이 적용되었는지 여부를 지시하는 비트로 구성될 수 있다. 상기 indication은 RU에서 DU로 전송되는 기 정의된 메시지에 추가적으로 포함되어 전송되거나 상기 indication을 위한 별도의 메시지가 정의될 수 있다. 또는 상기 indication은 하기에서 제안하는 Port Combining configuration를 사용하여 SVD가 적용되었는지 여부를 지시할 수 있다. 또는 본 개시에서는 RU에서 DU로 indication을 전송하는 방법을 예를 들어 설명하지만, DU에서 SVD를 적용한 신호를 RU에 전송하는 경우 DU에서 RU로 indication을 전송하는 방법도 사용될 수 있다. 또한, 상기 indication을 전송하는 단계는 선택적으로 수행될 수 있다. 단계 960에서 DU는 RU로부터 신호를 수신할 수 있다. 상기 신호는 SVD port combining이 적용된 신호일 수 있다. 해당 신호는 I/Q data를 포함하는 메시지에 해당할 수 있다.The above indication may be composed of bits indicating whether the port combining configuration is applied. The indication may be transmitted by being additionally included in a predefined message transmitted from the RU to the DU, or a separate message for the indication may be defined. Alternatively, the indication may indicate whether the SVD is applied using the Port Combining configuration proposed below. Alternatively, although the present disclosure describes a method of transmitting an indication from the RU to the DU as an example, a method of transmitting an indication from the DU to the RU may also be used when a signal to which the SVD is applied is transmitted from the DU to the RU. In addition, the step of transmitting the indication may be performed selectively. In
단계 970에서 RU가 SVD-based port combining 방법을 사용한 경우, DU는 RU로부터 singular value를 수신할 수 있다. DU가 singular value를 수신할 경우, DU에서의 singular value 계산에 필요한 연산량이 감소되어 연산 복잡도가 감소될 수 있다.If the RU uses the SVD-based port combining method at
Singular value를 수신하지 않는 경우, DU는 상술한 도 6의 matrix inversion 과정을 수행할 수 있다. 구체적으로, DU는 Channel Estimator로 얻은 채널 H에 대해, H*hermitian(H) 연산을 통해 singular value의 자승값을 결정할 수 있다. 구체적으로, singular value는 대각 특이 값 행렬에 해당하는 Σ 의 자승 값에 해당할 수 있다.If a singular value is not received, the DU can perform the matrix inversion process of the above-described Fig. 6. Specifically, the DU can determine the square value of the singular value through the H*hermitian(H) operation for the channel H obtained by the Channel Estimator. Specifically, the singular value can correspond to the square value of Σ corresponding to the diagonal singular value matrix.
이에 반해, RU로부터 singular value를 수신한 DU는 singular value를 사용할 수 있으므로, H*hermitian(H) 연산을 통해 대각 특이 값 행렬 Σ 의 자승 값을 구하는 연산을 수행하지 않을 수 있다. 즉, DU가 singular value를 수신하는 경우 연산량이 감소되는 효과를 얻을 수 있다.In contrast, a DU that receives a singular value from an RU can use the singular value, and thus can avoid performing the operation of finding the square value of the diagonal singular value matrix Σ through the H*hermitian(H) operation. In other words, when a DU receives a singular value, the effect of reducing the amount of computation can be obtained.
해당 단계는 선택적이며, 해당 단계 없이 port combining configuration을 송수신하는 과정에서DU는 RU에게 singular value request값을 송신할 수 있다.This step is optional, and the DU can send a singular value request value to the RU during the process of transmitting and receiving port combining configuration without this step.
도 10은 본 개시의 일 실시 예에 따른 무선 통신 시스템에서 RU 및 DU의 장치를 도시한 도면이다. 도 10은 본 발명을 수행할 수 있는 RU와 DU의 장치를 도시한 블록도이다. 도 10에 따르면, RU(1000)는 송수신부(1010), 제어부(820), 연결부(1030) 및 저장부(1040)를 포함한다. 다만, RU(1000)의 구성 요소가 전술한 예에 한정되는 것은 아니며 예를 들어, RU(1000)는 도시한 구성 요소보다 더 많은 구성 요소를 포함하거나 더 적은 구성 요소를 포함할 수도 있다. 뿐만 아니라 송수신부(1010), 저장부(1030), 및 제어부(1020) 등이 하나의 칩(chip) 형태로 구현될 수도 있다.FIG. 10 is a diagram illustrating devices of RU and DU in a wireless communication system according to an embodiment of the present disclosure. FIG. 10 is a block diagram illustrating devices of RU and DU that can perform the present invention. According to FIG. 10, RU (1000) includes a transceiver (1010), a control unit (820), a connection unit (1030), and a storage unit (1040). However, the components of RU (1000) are not limited to the above-described example, and for example, RU (1000) may include more or fewer components than the components illustrated. In addition, the transceiver (1010), the storage unit (1030), and the control unit (1020) may be implemented in the form of a single chip.
송수신부(1010)는 단말과 신호를 송수신할 수 있다. 여기에서, 신호는 제어 정보 및 데이터를 포함할 수 있다. 이를 위해, 송수신부(1010)는 전송되는 신호의 주파수를 상승 변환 및 증폭하는 RF 송신기와, 수신되는 신호를 저 잡음 증폭하고 주파수를 하강 변환하는 RF 수신기 등으로 구성될 수 있다. 다만, 이는 송수신부(1010)의 일 실시예일뿐이며, 송수신부(1010)의 구성 요소가 RF 송신기 및 RF 수신기에 한정되는 것은 아니다. 또한, 송수신부(1010)는 무선 채널을 통해 신호를 수신하여 제어부(1020)로 출력하고, 제어부(1020)로부터 출력된 신호를 무선 채널을 통해 전송할 수 있다. 또한 송수신부(1010)는 LTE 시스템을 위한 RF 송수신기와 NR 시스템을 위한 RF 송수신기를 개별로 구비하거나, 또는 하나의 송수신기로 LTE 및 NR의 물리 계층 프로세싱을 수행할 수 있다.The transceiver (1010) can transmit and receive signals with the terminal. Here, the signals can include control information and data. To this end, the transceiver (1010) can be configured with an RF transmitter that up-converts and amplifies the frequency of a transmitted signal, an RF receiver that low-noise amplifies a received signal and down-converts the frequency, etc. However, this is only one embodiment of the transceiver (1010), and the components of the transceiver (1010) are not limited to the RF transmitter and the RF receiver. In addition, the transceiver (1010) can receive a signal through a wireless channel, output it to the control unit (1020), and transmit the signal output from the control unit (1020) through the wireless channel. In addition, the transceiver (1010) can separately have an RF transceiver for an LTE system and an RF transceiver for an NR system, or can perform physical layer processing of LTE and NR with a single transceiver.
저장부(1040)는 RU의 동작에 필요한 프로그램 및 데이터를 저장할 수 있다. 또한, 저장부(1040)는 RU가 송수신하는 신호에 포함된 제어 정보 또는 데이터를 저장할 수 있다. 저장부(1040)는 롬(ROM), 램(RAM), 하드디스크, CD-ROM 및 DVD 등과 같은 저장 매체 또는 저장 매체들의 조합으로 구성될 수 있다. 또한, 저장부(1040)는 복수 개일 수 있다.The storage unit (1040) can store programs and data required for the operation of the RU. In addition, the storage unit (1040) can store control information or data included in signals transmitted and received by the RU. The storage unit (1040) can be configured as a storage medium or a combination of storage media such as a ROM, a RAM, a hard disk, a CD-ROM, and a DVD. In addition, there can be a plurality of storage units (1040).
제어부(1020)는 전술한 본 개시의 실시예에 따라 RU(800)가 동작할 수 있도록 일련의 과정을 제어할 수 있다. 예를 들어, 제어부(820)는 DU (Digital Unit)으로부터, port combining configuration을 수신하고, 상기 port combining configuration에 기반하여 SVD (Singular Value Decomposition) port combining 수행 여부를 확인하고, 상기 SVD port combining을 수행할 경우, 상기 SVD port combining을 지시하는 indication을 상기 DU에게 송신하고, 및 상기 SVD port combining이 적용된 신호를 상기 DU에게 송신하는 동작을 수행할 수 있다.The control unit (1020) can control a series of processes so that the RU (800) can operate according to the above-described embodiment of the present disclosure. For example, the control unit (820) can receive a port combining configuration from a DU (Digital Unit), determine whether to perform SVD (Singular Value Decomposition) port combining based on the port combining configuration, and, if the SVD port combining is performed, transmit an indication indicating the SVD port combining to the DU, and transmit a signal to which the SVD port combining is applied to the DU.
연결부(1030)은 RU(1000)과 DU(1050)를 연결하는 장치로, 메시지 송수신을 위한 물리 계층 프로세싱 및 DU(1050)로 메시지를 전송하고, DU(1050)로부터 메시지를 수신하는 동작을 수행할 수 있다.The connection unit (1030) is a device that connects the RU (1000) and the DU (1050), and can perform physical layer processing for message transmission and reception, and operations for transmitting messages to the DU (1050) and receiving messages from the DU (1050).
DU(1050)는 제어부(1070), 연결부(1060) 및 저장부(1080)를 포함한다. 다만, DU(1050)의 구성 요소가 전술한 예에 한정되는 것은 아니며 예를 들어, DU(1050)는 도시한 구성 요소보다 더 많은 구성 요소를 포함하거나 더 적은 구성 요소를 포함할 수도 있다. 뿐만 아니라 연결부(1060), 저장부(1080), 및 제어부(1070) 등이 하나의 칩(chip) 형태로 구현될 수도 있다.DU (1050) includes a control unit (1070), a connection unit (1060), and a storage unit (1080). However, the components of DU (1050) are not limited to the above-described examples, and for example, DU (1050) may include more or fewer components than the illustrated components. In addition, the connection unit (1060), the storage unit (1080), and the control unit (1070) may be implemented in the form of a single chip.
제어부(1060)는 전술한 본 개시의 실시예에 따라 DU(1050)가 동작할 수 있도록 일련의 과정을 제어할 수 있다. 예를 들어, 제어부(1060)는 RU (Remote Unit)에게, port combining configuration을 송신하고, 상기 port combining configuration에 기반하여 확인된 SVD (Singular Value Decomposition) port combining이 수행될 경우, 상기 RU로부터, 상기 SVD port combining을 지시하는 indication을 수신하고, 및 상기 DU로부터 상기 SVD port combining이 적용된 신호를 수신하는 동작을 수행할 수 있다.The control unit (1060) can control a series of processes so that the DU (1050) can operate according to the above-described embodiment of the present disclosure. For example, the control unit (1060) can perform an operation of transmitting a port combining configuration to a RU (Remote Unit), receiving an indication indicating the SVD (Singular Value Decomposition) port combining from the RU when the SVD (Singular Value Decomposition) port combining is performed based on the port combining configuration, and receiving a signal to which the SVD port combining is applied from the DU.
저장부(1040)는 RU의 동작에 필요한 프로그램 및 데이터를 저장할 수 있다. 또한, 저장부(1040)는 RU가 송수신하는 신호에 포함된 제어 정보 또는 데이터를 저장할 수 있다. 저장부(1040)는 롬(ROM), 램(RAM), 하드디스크, CD-ROM 및 DVD 등과 같은 저장 매체 또는 저장 매체들의 조합으로 구성될 수 있다. 또한, 저장부(1040)는 복수 개일 수 있다.The storage unit (1040) can store programs and data required for the operation of the RU. In addition, the storage unit (1040) can store control information or data included in signals transmitted and received by the RU. The storage unit (1040) can be configured as a storage medium or a combination of storage media such as a ROM, a RAM, a hard disk, a CD-ROM, and a DVD. In addition, there can be a plurality of storage units (1040).
연결부(1060)은 RU(1000)과 DU(1050)를 연결하는 장치로, 메시지 송수신을 위한 물리 계층 프로세싱 및 RU(1000)로 메시지를 전송하고, RU(1000)로부터 메시지를 수신하는 동작을 수행할 수 있다.The connecting unit (1060) is a device that connects the RU (1000) and the DU (1050), and can perform physical layer processing for message transmission and reception, and operations for transmitting messages to the RU (1000) and receiving messages from the RU (1000).
상술한 본 개시의 구체적인 실시 예들에서, 발명에 포함되는 구성 요소는 제시된 구체적인 실시 예에 따라 단수 또는 복수로 표현되었다. 그러나, 단수 또는 복수의 표현은 설명의 편의를 위해 제시한 상황에 적합하게 선택된 것으로서, 본 개시가 단수 또는 복수의 구성 요소에 제한되는 것은 아니며, 복수로 표현된 구성 요소라 하더라도 단수로 구성되거나, 단수로 표현된 구성 요소라 하더라도 복수로 구성될 수 있다.In the specific embodiments of the present disclosure described above, the components included in the invention are expressed in the singular or plural form according to the specific embodiments presented. However, the singular or plural expressions are selected appropriately for the presented situation for the convenience of explanation, and the present disclosure is not limited to the singular or plural components, and even if a component is expressed in the plural form, it may be composed of the singular form, or even if a component is expressed in the singular form, it may be composed of the plural form.
한편, 본 명세서와 도면에 개시된 본 개시의 실시 예들은 본 개시의 기술 내용을 쉽게 설명하고 본 개시의 이해를 돕기 위해 특정 예를 제시한 것일 뿐이며, 본 개시의 범위를 한정하고자 하는 것은 아니다. 즉 본 개시의 기술적 사상에 바탕을 둔 다른 변형예들이 실시 가능하다는 것은 본 개시의 속하는 기술 분야에서 통상의 지식을 가진 자에게 자명한 것이다. 또한 상기 각각의 실시 예는 필요에 따라 서로 조합되어 운용할 수 있다. 예컨대, 본 개시의 일 실시 예와 다른 일 실시 예의 일부분들이 서로 조합되어 기지국과 단말이 운용될 수 있다. 예를 들면, 본 개시의 제1 실시예, 제2 실시예, 제3 실시예, 제4 실시예 및 제5 실시예의 일부분들이 서로 조합되어 기지국이 운용될 수 있다.Meanwhile, the embodiments of the present disclosure disclosed in this specification and drawings are only specific examples to easily explain the technical contents of the present disclosure and help understand the present disclosure, and are not intended to limit the scope of the present disclosure. That is, it is obvious to a person having ordinary skill in the art to which the present disclosure pertains that other modified examples based on the technical idea of the present disclosure are possible. In addition, each of the above embodiments can be combined and operated with each other as needed. For example, parts of one embodiment of the present disclosure and parts of another embodiment can be combined with each other to operate a base station and a terminal. For example, parts of the first embodiment, the second embodiment, the third embodiment, the fourth embodiment, and the fifth embodiment of the present disclosure can be combined with each other to operate a base station.
| Application Number | Priority Date | Filing Date | Title |
|---|---|---|---|
| KR1020230178721AKR20250089136A (en) | 2023-12-11 | 2023-12-11 | Method and apparatus indicating SVD-based port combining in a communication system |
| Application Number | Priority Date | Filing Date | Title |
|---|---|---|---|
| KR1020230178721AKR20250089136A (en) | 2023-12-11 | 2023-12-11 | Method and apparatus indicating SVD-based port combining in a communication system |
| Publication Number | Publication Date |
|---|---|
| KR20250089136Atrue KR20250089136A (en) | 2025-06-18 |
| Application Number | Title | Priority Date | Filing Date |
|---|---|---|---|
| KR1020230178721APendingKR20250089136A (en) | 2023-12-11 | 2023-12-11 | Method and apparatus indicating SVD-based port combining in a communication system |
| Country | Link |
|---|---|
| KR (1) | KR20250089136A (en) |
| Publication | Publication Date | Title |
|---|---|---|
| CN108631831B (en) | Information transmission method and equipment | |
| CN108282207B (en) | A kind of precoding matrix indication method, apparatus and system | |
| TWI679871B (en) | Data transmission method, device, network side equipment and user equipment | |
| US20140169409A1 (en) | Systems and Methods for Open-loop Spatial Multiplexing Schemes for Radio Access Virtualization | |
| CN110071749A (en) | A kind of antenna selection and indication method, device and system | |
| WO2022064465A1 (en) | Channel state information reporting for multiple transmit/receive points | |
| WO2017078780A1 (en) | Apparatus, system and method of beamforming | |
| KR102217954B1 (en) | Signal processing in spatial multiplexed MIMO communications | |
| WO2020069459A1 (en) | Joint orthogonal compression and quantization for type ii channel state information feedback | |
| WO2018171786A1 (en) | Information transmission method and device | |
| WO2018080608A1 (en) | Apparatus, system and method of communicating an enhanced directional multi-gigabit (edmg) physical layer protocol data unit (ppdu) with a training field over a plurality of spatial streams | |
| CN110581726B (en) | Method and device for transmitting signal and reporting channel state information and storage medium | |
| KR20250089136A (en) | Method and apparatus indicating SVD-based port combining in a communication system | |
| WO2024045031A1 (en) | Communication method and device | |
| CN117461369A (en) | System and method for uplink codebook based transmission | |
| WO2018071057A1 (en) | Apparatus, system and method of communicating a beam refinement protocol (brp) frame | |
| CN104756426B (en) | A kind of data transmission method, equipment | |
| WO2025020888A1 (en) | Reference signal sending method, reference signal receiving method, and related apparatus | |
| KR20250118510A (en) | Apparatus and method for multi user spatial multiplexing in wireless communication system | |
| KR20250124647A (en) | Method and apparatus for supporting two-dimensional precoding in a wireless communication system | |
| CN120710545A (en) | Data transmission method, device, terminal, network equipment and computer program product | |
| KR20230155740A (en) | Method and apparatus for split rendering architecture to support real-time media delivery in a mobile communication system | |
| CN119232334A (en) | A communication method and device | |
| KR20250115636A (en) | Apparatus and method for reporting partial port csi in a wireless communication system | |
| EP4260488A1 (en) | Determining error vector magnitude for a single layer transmission using a multiple-input multiple-output receiver |
| Date | Code | Title | Description |
|---|---|---|---|
| PA0109 | Patent application | Patent event code:PA01091R01D Comment text:Patent Application Patent event date:20231211 | |
| PG1501 | Laying open of application |