Movatterモバイル変換


[0]ホーム

URL:


KR20250023317A - Apparatus and method for skin care using microneedle - Google Patents

Apparatus and method for skin care using microneedle
Download PDF

Info

Publication number
KR20250023317A
KR20250023317AKR1020240106994AKR20240106994AKR20250023317AKR 20250023317 AKR20250023317 AKR 20250023317AKR 1020240106994 AKR1020240106994 AKR 1020240106994AKR 20240106994 AKR20240106994 AKR 20240106994AKR 20250023317 AKR20250023317 AKR 20250023317A
Authority
KR
South Korea
Prior art keywords
microneedle
skin
target point
location
skin care
Prior art date
Legal status (The legal status is an assumption and is not a legal conclusion. Google has not performed a legal analysis and makes no representation as to the accuracy of the status listed.)
Pending
Application number
KR1020240106994A
Other languages
Korean (ko)
Inventor
심치형
김기찬
김균태
신지훈
윤호영
Original Assignee
주식회사 큐리오시스
Priority date (The priority date is an assumption and is not a legal conclusion. Google has not performed a legal analysis and makes no representation as to the accuracy of the date listed.)
Filing date
Publication date
Application filed by 주식회사 큐리오시스filedCritical주식회사 큐리오시스
Publication of KR20250023317ApublicationCriticalpatent/KR20250023317A/en
Pendinglegal-statusCriticalCurrent

Links

Classifications

Landscapes

Abstract

Translated fromKorean

본 개시의 일 실시예에 따른 마이크로니들을 이용한 피부 관리 장치는 하나 이상의 목표 지점의 위치 및 깊이를 식별하고, 상기 하나 이상의 목표 지점의 위치 및 깊이에 기초하여, 마이크로니들의 삽입 위치, 삽입 길이, 또는 삽입 각도 중 적어도 하나를 포함하는 니들 삽입 정보를 결정하고, 상기 니들 삽입 정보에 기초하여, 상기 마이크로니들이 상기 삽입 위치에서 상기 삽입 각도로 삽입된 후 전진 및 후진하여 다시 삽입 위치로 복귀하는 니들링을 수행할 수 있다.A skin care device using microneedles according to one embodiment of the present disclosure can identify a position and depth of one or more target points, determine needle insertion information including at least one of an insertion position, an insertion length, or an insertion angle of a microneedle based on the position and depth of the one or more target points, and perform needling in which the microneedle is inserted from the insertion position at the insertion angle and then moved forward and backward and then returned to the insertion position based on the needle insertion information.

Description

Translated fromKorean
마이크로니들을 이용한 피부 관리 장치 및 방법{APPARATUS AND METHOD FOR SKIN CARE USING MICRONEEDLE}{APPARATUS AND METHOD FOR SKIN CARE USING MICRONEEDLE}

본 개시는 마이크로니들을 이용한 피부 관리 장치 및 방법에 관한 것으로서, 보다 구체적으로 마이크로니들을 기울여서 삽입하여 스킨 서브시전(Skin Subcision) 또는 지방분해(Lipolysis)를 수행하는 장치 및 방법에 관한 것이다.The present disclosure relates to a skin care device and method using microneedles, and more specifically, to a device and method for performing skin subcision or lipolysis by inserting microneedles at an angle.

일반적으로, 피부의 건강상태는 외모에 미치는 영향이 크기 때문에 현재는 피부질환의 치료목적 외에도 피부의 미백, 주름개선, 보습, 탄력성 증가 등을 목적으로 다양한 방법이 시행되고 있다.In general, since the health of the skin has a great influence on one's appearance, various methods are currently being implemented for the purpose of whitening the skin, improving wrinkles, moisturizing, and increasing elasticity in addition to treating skin diseases.

그리고, 주지된 바와 같이 인체의 피부는 표피층(epidermis), 진피층(dermis) 및 지방조직층(fat layer)으로 크게 구분될 수 있다.And, as is well known, the skin of the human body can be largely divided into the epidermis, dermis, and fat layer.

이 중 피부의 상당 부분을 차지하고 있는 진피층은 유두층과 망상층으로 구성되며, 유두층에는 모세혈관 및 림프관 등이 배치되어 있고, 망상층에는 피부의 주름과 관련된 교원섬유인 콜라겐, 피부에 탄력성을 부여하는 탄력섬유인 엘라스틴 및 기질 등이 포함된다.Among these, the dermis, which occupies a significant portion of the skin, is composed of the papillary layer and the reticular layer. The papillary layer contains capillaries and lymphatic vessels, while the reticular layer contains collagen, which is a collagen fiber related to wrinkles in the skin, elastin, which is an elastic fiber that provides elasticity to the skin, and the stroma.

이와 같이 피부의 시각적인 상태는 진피층의 건강상태에 따라 크게 좌우되므로 피부의 상태개선을 위하여 시행되는 다양한 방법들은 진피층을 대상으로 하는 경우가 대부분이다.As such, the visual condition of the skin is greatly affected by the health of the dermis layer, so most of the various methods used to improve the condition of the skin target the dermis layer.

진피층은 상술한 바와 같이 표피층에 의해 보호되고 있으므로 진피층에 전달하고자 하는 약물을 피부에 도포하더라도 진피층까지 도달되는 양과 속도는 현저히 저하되는 경우가 많다.As described above, the dermis layer is protected by the epidermis layer, so even if a drug to be delivered to the dermis layer is applied to the skin, the amount and speed at which it reaches the dermis layer are often significantly reduced.

이에 표피층에 도포된 약물이 진피층에 신속히 전달되도록 하기 위하여 압력이나 초음파 진동을 가하는 방안이 제안된 바 있다. 이는 표피층을 손상시키지 않는다는 장점은 있으나 목적하는 압력이나 초음파 진동을 발생시키는 수단을 구비하기 위하여 비용이 상승되고 체적이 증가되는 단점이 있다.Accordingly, a method of applying pressure or ultrasonic vibration has been proposed to ensure that the drug applied to the epidermal layer is quickly delivered to the dermal layer. This has the advantage of not damaging the epidermal layer, but has the disadvantage of increased cost and increased volume due to the need for a means of generating the desired pressure or ultrasonic vibration.

이러한 단점을 극복하고자, 1995년 미세침을 이용한 상처 치료 효과가 발표된 이후부터 마이크로니들로 표피층에 통로를 형성하여 목적하는 효과를 갖는 약물이 진피층에 전달되도록 하는 방안(마이크로니들 피부 침투 시스템, MTS:Microneedle Therapy System)이 널리 사용되고 있다.To overcome these shortcomings, since the publication of the wound healing effect using microneedles in 1995, a method of forming a passage in the epidermal layer with microneedles to deliver a drug with the desired effect to the dermal layer (microneedle skin penetration system, MTS: Microneedle Therapy System) has been widely used.

이와 같은 MTS는 두께가 0.2mm 이하, 길이가 2mm 이하의 마이크로니들을 이용하여 표피층과 진피층에 물리적 손상을 일으켜 섬유아세포를 자극함으로써 콜라겐 생성을 유도하고, 비타민이나 히알루론산 등의 약물을 주입시켜 약물 흡수를 전격적으로 유도해 치료 효과를 향상시키기 위한 방법으로 활용되고 있으며, [선행기술문헌]을 비롯한 다수의 특허기술들이 개시된 바 있다.Such MTS is utilized as a method to induce collagen production by stimulating fibroblasts by causing physical damage to the epidermal and dermal layers using microneedles with a thickness of 0.2 mm or less and a length of 2 mm or less, and to inject drugs such as vitamins or hyaluronic acid to rapidly induce drug absorption, thereby improving the therapeutic effect. A number of patented technologies including [prior art literature] have been disclosed.

그런데, 종래의 마이크로니들 피부 치료 시스템에서는 마이크로니들의 피부 침투를 위한 이동(니들링)은 피부에 수직으로 마이크로니들을 삽입하기 때문에, 처치 범위가 국소적이다. 따라서, 한 번의 마이크로니들 장치의 조작으로 복수의 섬유화된 조직을 끊어낼 수 있는 장치 및 방법이 필요한 실정이다.However, in conventional microneedle skin treatment systems, the movement (needling) of the microneedle for skin penetration is localized because the microneedle is inserted vertically into the skin. Therefore, a device and method that can cut off multiple fibrous tissues with a single operation of the microneedle device are required.

대한민국 등록특허공보 제10-0922138호(2009.10.09.)Republic of Korea Patent Publication No. 10-0922138 (October 9, 2009)대한민국 등록특허공보 제10-2206623호(2021.01.18.)Republic of Korea Patent Publication No. 10-2206623 (January 18, 2021)대한민국 등록특허공보 제10-2147856호(2020.08.19.)Republic of Korea Patent Publication No. 10-2147856 (August 19, 2020)

본 개시의 일 실시예는 마이크로니들을 이용한 피부 관리 장치 및 방법을 제공하고자 한다.One embodiment of the present disclosure is to provide a skin care device and method using microneedles.

본 개시의 일 실시예는 마이크로니들을 기울여서 삽입함으로써 스킨 서브시전(Skin Subcision) 또는 지방분해(Lipolysis)를 수행하는 장치 및 방법을 제공하고자 한다.One embodiment of the present disclosure is to provide a device and method for performing skin subcision or lipolysis by inserting microneedles at an angle.

본 개시의 일 실시예는 마이크로니들을 이용한 피부 관리 장치 및 방법을 제공할 수 있다.One embodiment of the present disclosure can provide a skin care device and method using microneedles.

일 실시예에 따른 마이크로니들을 이용한 피부 관리 장치는 니들 커버; 압력 발생 기구; 압력 발생 기구의 니들 커버 내로의 압축 가스 공급을 개폐하는 밸브; 상기 니들 커버 내에 배치되어, 상기 니들 커버의 개구를 통해 돌출 내지 인입되도록 이동하는 마이크로니들; 하나 이상의 명령어들을 저장하는 메모리; 및 상기 메모리에 저장된 상기 하나 이상의 명령어들을 실행하는 적어도 하나의 프로세서를 포함하며, 상기 적어도 하나의 프로세서는 상기 하나 이상의 명령어들을 실행함으로써, 하나 이상의 목표 지점의 위치 및 깊이를 식별하고, 상기 하나 이상의 목표 지점의 위치 및 깊이에 기초하여, 마이크로니들의 삽입 위치, 삽입 길이, 또는 삽입 각도 중 적어도 하나를 포함하는 니들 삽입 정보를 결정하고, 상기 니들 삽입 정보에 기초하여, 상기 마이크로니들이 상기 삽입 위치에서 상기 삽입 각도로 삽입된 후 전진 및 후진하여 다시 삽입 위치로 복귀하는 니들링을 수행할 수 있다.According to one embodiment, a skin care device using microneedles includes: a needle cover; a pressure generating mechanism; a valve for opening and closing the supply of compressed gas into the needle cover of the pressure generating mechanism; microneedles arranged in the needle cover and moving to protrude or be inserted through an opening of the needle cover; a memory for storing one or more commands; and at least one processor for executing the one or more commands stored in the memory, wherein the at least one processor executes the one or more commands to identify a position and depth of one or more target points, and determine needle insertion information including at least one of an insertion position, an insertion length, and an insertion angle of the microneedle based on the position and depth of the one or more target points, and performs needling in which the microneedle is inserted from the insertion position at the insertion angle and then moved forward and backward to return to the insertion position.

일 실시예에서, 상기 피부 관리 장치는, 상기 마이크로니들의 삽입 위치 가이드 장치를 더 포함하고, 상기 삽입 위치 가이드 장치는, 포인팅 장치, 각도 조절이 가능한 미러, 또는 프로젝터 중 적어도 하나를 포함할 수 있다.In one embodiment, the skin care device further includes an insertion position guide device for the microneedles, and the insertion position guide device may include at least one of a pointing device, an angle-adjustable mirror, or a projector.

일 실시예에서, 상기 포인팅 장치는, 상기 삽입 위치를 가리키는 제1 포인팅 장치, 상기 목표 지점의 위치를 가리키는 제2 포인팅 장치, 또는 상기 마이크로니들의 끝단의 위치를 가리키는 제3 포인팅 장치 중 적어도 하나를 포함할 수 있다.In one embodiment, the pointing device may include at least one of a first pointing device pointing to the insertion location, a second pointing device pointing to the location of the target point, or a third pointing device pointing to the location of the tip of the microneedle.

일 실시예에서, 상기 적어도 하나의 프로세서는 상기 하나 이상의 명령어들을 실행함으로써, 상기 니들 삽입 정보를 출력할 수 있다.In one embodiment, the at least one processor can output the needle insertion information by executing the one or more instructions.

일 실시예에서, 상기 적어도 하나의 프로세서는 상기 하나 이상의 명령어들을 실행함으로써, 제1 목표 지점 및 제2 목표 지점의 위치 및 깊이를 식별하고, 상기 제1 목표 지점 및 상기 제2 목표 지점에 기초하여, 상기 마이크로니들의 삽입 위치, 상기 제1 목표 지점에 대응되는 삽입 길이, 상기 제2 목표 지점에 대응되는 삽입 길이, 또는 삽입 각도 중 적어도 하나를 포함하는 니들 삽입 정보를 결정하고, 상기 삽입 위치에서, 상기 제1 목표 지점에 대응되는 삽입 길이의 니들링과 상기 제2 목표 지점에 대응되는 삽입 길이의 니들링을 수행하는 스태킹 모드(stacking mode)를 수행할 수 있다.In one embodiment, the at least one processor may execute the one or more instructions to identify positions and depths of the first target point and the second target point, and determine needle insertion information including at least one of an insertion position of the microneedle, an insertion length corresponding to the first target point, an insertion length corresponding to the second target point, or an insertion angle based on the first target point and the second target point, and perform a stacking mode for performing needling of the insertion length corresponding to the first target point and needling of the insertion length corresponding to the second target point at the insertion position.

일 실시예에서, 상기 압력 발생 기구는, 압축 가스를 형성하여 니들 커버 내로 상기 압축 가스를 공급하도록 구성된 것으로, 공압 펌프 또는 가스통 중 적어도 하나를 포함하며, 상기 적어도 하나의 프로세서는 상기 하나 이상의 명령어들을 실행함으로써, 가스 주입 압력, 가스 주입 시간, 또는 용도 설정 정보 중 적어도 하나를 포함하는 사용자 입력 정보를 획득하고, 상기 사용자의 입력 정보에 기초하여 상기 압력 발생 기구를 제어할 수 있다.In one embodiment, the pressure generating mechanism comprises at least one of a pneumatic pump or a gas cylinder, configured to form a compressed gas and supply the compressed gas into the needle cover, and the at least one processor is configured to obtain user input information including at least one of a gas injection pressure, a gas injection time, or a purpose setting information by executing the one or more commands, and control the pressure generating mechanism based on the user input information.

일 실시예에서, 상기 마이크로니들은 중공형 또는 중실형이며, 상기 마이크로니들의 크기는 15G(게이지) 내지 33G 일 수 있다.In one embodiment, the microneedles are hollow or solid and the size of the microneedles can be from 15G (gauge) to 33G.

본 개시의 일 실시예에 따른 적어도 하나의 프로세서에 의해 수행되는 마이크로니들을 이용한 피부 관리 방법은 하나 이상의 목표 지점의 위치 및 깊이를 식별하는 동작; 상기 하나 이상의 목표 지점의 위치 및 깊이에 기초하여, 피부 관리 장치의 마이크로니들의 삽입 위치, 삽입 길이, 또는 삽입 각도 중 적어도 하나를 포함하는 니들 삽입 정보를 결정하는 동작; 및 상기 니들 삽입 정보에 기초하여, 상기 피부 관리 장치의 마이크로니들이 상기 삽입 위치에서 상기 삽입 각도로 삽입된 후 전진 및 후진하여 다시 삽입 위치로 복귀하는 니들링을 수행하는 동작을 포함할 수 있다. 상기 피부 관리 장치는, 니들 커버; 압력 발생 기구; 및 압력 발생 기구의 니들 커버 내로의 압축 가스 공급을 개폐하는 밸브; 및 상기 니들 커버 내에 배치되어, 상기 니들 커버의 개구를 통해 돌출 내지 인입되도록 이동하는 상기 마이크로니들을 포함할 수 있다.A skin care method using microneedles performed by at least one processor according to one embodiment of the present disclosure may include an operation of identifying a position and depth of one or more target points; an operation of determining needle insertion information including at least one of an insertion position, an insertion length, or an insertion angle of a microneedle of a skin care device based on the position and depth of the one or more target points; and an operation of performing needling in which the microneedle of the skin care device is inserted from the insertion position to the insertion angle and then moved forward and backward and then returned to the insertion position based on the needle insertion information. The skin care device may include a needle cover; a pressure generating mechanism; and a valve for opening and closing a supply of compressed gas into the needle cover of the pressure generating mechanism; and the microneedle disposed within the needle cover and moving to protrude or be inserted through an opening of the needle cover.

일 실시예에서, 상기 방법은, 상기 마이크로니들의 삽입 위치 가이드 장치에 의해 상기 마이크로니들의 삽입 위치를 가이드하는 동작을 더 포함하며, 상기 삽입 위치 가이드 장치는, 포인팅 장치, 각도 조절이 가능한 미러, 또는 프로젝터 중 적어도 하나를 포함할 수 있다.In one embodiment, the method further includes an operation of guiding an insertion position of the microneedle by an insertion position guide device of the microneedle, wherein the insertion position guide device may include at least one of a pointing device, a mirror with adjustable angle, or a projector.

일 실시예에서, 상기 포인팅 장치는, 상기 삽입 위치를 가리키는 제1 포인팅 장치, 상기 목표 지점의 위치를 가리키는 제2 포인팅 장치, 또는 상기 마이크로니들의 끝단의 위치를 가리키는 제3 포인팅 장치 중 적어도 하나를 포함할 수 있다.In one embodiment, the pointing device may include at least one of a first pointing device pointing to the insertion location, a second pointing device pointing to the location of the target point, or a third pointing device pointing to the location of the tip of the microneedle.

일 실시예에서, 상기 방법은, 상기 니들 삽입 정보를 출력하는 동작을 더 포함할 수 있다.In one embodiment, the method may further include outputting the needle insertion information.

일 실시예에서, 상기 하나 이상의 목표 지점의 깊이를 식별하는 동작은, 제1 목표 지점의 깊이 및 제2 목표 지점의 위치 및 깊이를 식별하는 동작을 포함하고, 상기 니들 삽입 정보를 결정하는 동작은, 상기 제1 목표 지점 및 상기 제2 목표 지점에 기초하여, 상기 마이크로니들의 삽입 위치, 상기 제1 목표 지점에 대응되는 삽입 길이, 상기 제2 목표 지점에 대응되는 삽입 길이, 또는 삽입 각도 중 적어도 하나를 포함하는 니들 삽입 정보를 결정하는 동작을 포함하고, 상기 니들링을 수행하는 동작은, 상기 삽입 위치에서, 상기 제1 목표 지점에 대응되는 삽입 길이의 니들링과 상기 제2 목표 지점에 대응되는 삽입 길이의 니들링을 수행하는 스태킹 모드(stacking mode)를 수행하는 동작을 포함할 수 있다.In one embodiment, the operation of identifying the depth of the one or more target points may include the operation of identifying the depth of the first target point and the position and depth of the second target point, the operation of determining the needle insertion information may include the operation of determining, based on the first target point and the second target point, needle insertion information including at least one of an insertion position of the microneedle, an insertion length corresponding to the first target point, an insertion length corresponding to the second target point, or an insertion angle, and the operation of performing the needling may include the operation of performing a stacking mode of performing needling with an insertion length corresponding to the first target point and needling with an insertion length corresponding to the second target point at the insertion position.

일 실시예에서, 상기 압력 발생 기구는, 압축 가스를 형성하여 니들 커버 내로 상기 압축 가스를 공급하도록 구성된 것으로, 공압 펌프, 또는 가스통 중 적어도 하나를 포함하며, 상기 방법은, 가스 주입 압력, 가스 주입 시간, 또는 용도 설정 정보 중 적어도 하나를 포함하는 사용자 입력 정보를 획득하는 동작; 및 상기 사용자의 입력 정보에 기초하여 상기 압력 발생 기구를 제어하는 동작을 포함할 수 있다.In one embodiment, the pressure generating device comprises at least one of a pneumatic pump and a gas cylinder, configured to form a compressed gas and supply the compressed gas into the needle cover, and the method may include: obtaining user input information including at least one of a gas injection pressure, a gas injection time, or a purpose setting information; and controlling the pressure generating device based on the user input information.

일 실시예에서, 상기 마이크로니들은 중공형 또는 중실형이며, 상기 마이크로니들의 크기는 15G(게이지) 내지 33G 일 수 있다.In one embodiment, the microneedles are hollow or solid and the size of the microneedles can be from 15G (gauge) to 33G.

일 실시예는 상기 방법을 수행하도록 구성되는 마이크로니들 피부 침투 시스템을 제공할 수 있다.One embodiment may provide a microneedle skin penetration system configured to perform the above method.

본 개시의 일 실시예는, 본 개시의 일 실시예에 의한 방법을 컴퓨터에서 실행시키도록 기록매체에 저장된 프로그램을 포함한다.One embodiment of the present disclosure includes a program stored on a recording medium to cause a computer to execute a method according to one embodiment of the present disclosure.

본 개시의 일 실시예는, 본 개시의 일 실시예에 의한 방법을 컴퓨터에서 실행시키기 위한 프로그램을 기록한 컴퓨터로 읽을 수 있는 기록매체를 포함한다.One embodiment of the present disclosure includes a computer-readable recording medium having recorded thereon a program for executing a method according to one embodiment of the present disclosure on a computer.

본 개시의 일 실시예는, 본 개시의 일 실시예에서 사용되는 데이터베이스를 기록한 컴퓨터로 읽을 수 있는 기록매체를 포함한다.One embodiment of the present disclosure includes a computer-readable recording medium having recorded thereon a database used in one embodiment of the present disclosure.

일 실시예에 따르면, 마이크로니들 장치의 한 번의 조작으로 정확한 위치에서 여러 개의 섬유화된 조직을 끊어낼 수 있다.In one embodiment, a single manipulation of the microneedle device can sever multiple fibrotic tissues at precise locations.

도 1은 본 개시의 일 실시예에 따른 마이크로니들 피부 침투 시스템의 개략도이다.
도 2는 본 개시에 따른 마이크로니들을 포함하는 장치의 외관을 보인 예시적인 사시도이다.
도 3은 도 2의 일부를 절개하여 보인 예시적인 단면도이다.
도 4는 본 개시의 일 실시예에 따른 마이크로니들 유닛의 예시적인 단면도이다.
도 5a 내지 도 5c는 도 4의 마이크로니들 유닛을 구성하는 니들 커버 선단부를 발췌하여 보인 예시도 및 그 변형예이다.
도 6은 본 개시의 일 실시예에 따른 마이크로니들 유닛을 구성하는 중공형 마이크로니들로 유효성분의 주입 방법을 나타내는 도면이다.
도 7a 내지 도 7c는 본 개시의 일 실시예에 따른 마이크로니들을 포함하는 장치의 사용 방법을 나타내는 도면이다.
도 8a 및 도 8b는 본 개시의 일 실시예에 따른 마이크로니들이 중공형으로 형성된 경우를 나타내는 예시도이다.
도 9a 및 도 9b는 본 개시의 일 실시예에 따른 마이크로니들이 중실형으로 형성된 경우를 나타내는 예시도이다.
도 10은 본 개시의 일 실시예에 따른 공압 펌프의 작동 및 솔레노이드 밸브 개폐 제어의 순서를 설명한다.
도11a는 본 개시의 일 실시예에 따른 최종 침투 깊이가 4mm이며 마이크로니들이 3mm 전진한 상태를 도시한다.
도11b는 본 개시의 일 실시예에 따른 마이크로니들이 최종 침투 깊이인 4mm까지 침투 후 1mm 후퇴한 상태를 도시한다.
도 12는 본 개시의 일 실시예에 따른 마이크로니들을 이용한 피부 관리 방법을 나타내는 도면이다.
도 13은 본 개시의 일 실시예에 따른 니들 끝단의 위치가 포인팅되는 방법을 나타내는 도면이다.
도 14는 본 개시의 일 실시예에 따른 본 개시의 일 실시예에 따른 스태킹 모드 설정을 위한 사용자 인터페이스를 나타내는 도면이다.
도 15는 본 개시의 일 실시예에 따른 스태킹 모드 시 마이크로니들을 이용한 피부 관리 방법을 나타내는 도면이다.
도 16은 본 개시의 일 실시예에 따른 스태킹 모드에서 목표 지점들의 위치들이 포인팅되는 방법을 나타내는 도면이다.
도 17은 본 개시의 일 실시예에 따른 마이크로니들을 이용한 피부 관리 방법의 흐름도이다.
도 18은 본 개시의 일 실시예에 따른 마이크로니들을 이용한 피부 관리 장치의 블록도이다.
FIG. 1 is a schematic diagram of a microneedle skin penetration system according to one embodiment of the present disclosure.
FIG. 2 is an exemplary perspective view showing the appearance of a device including microneedles according to the present disclosure.
Figure 3 is an exemplary cross-sectional view showing a portion of Figure 2 cut away.
FIG. 4 is an exemplary cross-sectional view of a microneedle unit according to one embodiment of the present disclosure.
FIGS. 5A to 5C are exemplary drawings showing the needle cover tip portion constituting the microneedle unit of FIG. 4 and modified examples thereof.
FIG. 6 is a drawing showing a method of injecting an effective ingredient into a hollow microneedle constituting a microneedle unit according to one embodiment of the present disclosure.
FIGS. 7A to 7C are diagrams illustrating a method of using a device including microneedles according to one embodiment of the present disclosure.
FIG. 8a and FIG. 8b are exemplary diagrams showing a case where a microneedle is formed in a hollow shape according to one embodiment of the present disclosure.
FIG. 9a and FIG. 9b are exemplary diagrams showing a case where microneedles are formed in a solid shape according to one embodiment of the present disclosure.
FIG. 10 illustrates the sequence of operation of a pneumatic pump and solenoid valve opening/closing control according to one embodiment of the present disclosure.
Figure 11a illustrates a state in which the final penetration depth is 4 mm and the microneedle has advanced 3 mm according to one embodiment of the present disclosure.
Figure 11b illustrates a state in which a microneedle according to one embodiment of the present disclosure has penetrated to a final penetration depth of 4 mm and then retreated by 1 mm.
FIG. 12 is a drawing showing a skin care method using microneedles according to one embodiment of the present disclosure.
FIG. 13 is a drawing showing how the position of a needle tip is pointed according to one embodiment of the present disclosure.
FIG. 14 is a diagram illustrating a user interface for setting a stacking mode according to one embodiment of the present disclosure.
FIG. 15 is a drawing showing a skin care method using microneedles in stacking mode according to one embodiment of the present disclosure.
FIG. 16 is a diagram illustrating how the positions of target points are pointed in a stacking mode according to one embodiment of the present disclosure.
FIG. 17 is a flow chart of a skin care method using microneedles according to one embodiment of the present disclosure.
FIG. 18 is a block diagram of a skin care device using microneedles according to one embodiment of the present disclosure.

본 개시의 기술적 사상을 명확하게 하기 위하여 첨부된 도면을 참조하여 본 개시의 실시예를 상세하게 설명하도록 한다. 본 개시를 설명함에 있어서, 관련된 공지 기능 또는 구성요소에 대한 구체적인 설명이 본 개시의 요지를 불필요하게 흐릴 수 있다고 판단되는 경우 그 상세한 설명을 생략할 것이다. 도면들 중 실질적으로 동일한 기능구성을 갖는 구성요소들에 대하여는 비록 다른 도면상에 표시되더라도 가능한 한 동일한 참조번호들 및 부호들을 부여하였다. 설명의 편의를 위하여 필요한 경우에는 장치와 방법을 함께 서술하도록 한다. 본 개시의 각 동작은 반드시 기재된 순서대로 수행되어야 할 필요는 없고, 병렬적, 선택적, 또는 개별적으로 수행될 수 있다.In order to clarify the technical idea of the present disclosure, embodiments of the present disclosure will be described in detail with reference to the attached drawings. In describing the present disclosure, if it is determined that a specific description of a related known function or component may unnecessarily obscure the gist of the present disclosure, the detailed description thereof will be omitted. Components having substantially the same functional configuration among the drawings are given the same reference numerals and symbols as much as possible even if they are shown in different drawings. For convenience of explanation, devices and methods are described together when necessary. Each operation of the present disclosure does not necessarily have to be performed in the order described, and may be performed in parallel, selectively, or individually.

본 개시의 실시예들에서 사용되는 용어는 본 개시의 기능을 고려하면서 가능한 현재 널리 사용되는 일반적인 용어들을 선택하였으나, 이는 당 분야에 종사하는 기술자의 의도 또는 판례, 새로운 기술의 출현 등에 따라 달라질 수 있다. 또한, 특정한 경우는 출원인이 임의로 선정한 용어도 있으며, 이 경우 해당되는 실시예의 설명 부분에서 상세히 그 의미를 기재할 것이다. 따라서 본 명세서에서 사용되는 용어는 단순한 용어의 명칭이 아닌, 그 용어가 가지는 의미와 본 개시의 전반에 걸친 내용을 토대로 정의되어야 한다.The terms used in the embodiments of the present disclosure are selected from widely used general terms as much as possible while considering the functions of the present disclosure, but this may vary depending on the intention of a technician working in the relevant field, precedents, the emergence of new technologies, etc. In addition, in certain cases, there are terms arbitrarily selected by the applicant, and in this case, the meanings thereof will be described in detail in the description of the relevant embodiments. Therefore, the terms used in this specification should be defined based on the meanings of the terms and the overall contents of the present disclosure, rather than simply the names of the terms.

본 개시 전체에서 단수의 표현은 문맥상 명백하게 다르게 뜻하지 않는 한, 복수의 표현을 포함할 수 있다. "포함하다" 또는 "가지다" 등의 용어는 특징, 숫자, 단계, 동작, 구성요소, 부품 또는 이들을 조합한 것이 존재함을 지정하려는 것이지, 하나 또는 그 이상의 다른 특징들이나 숫자, 단계, 동작, 구성요소, 부품 또는 이들을 조합한 것들의 존재 또는 부가 가능성을 미리 배제하지 않는 것으로 이해되어야 한다. 즉, 본 개시 전체에서 어떤 부분이 어떤 구성요소를 "포함"한다고 할 때, 이는 특별히 반대되는 기재가 없는 한 다른 구성요소를 제외하는 것이 아니라 다른 구성요소를 더 포함할 수 있음을 의미한다.Throughout this disclosure, singular expressions may include plural expressions unless the context clearly dictates otherwise. It should be understood that terms such as "comprise" or "have" are intended to specify the presence of a feature, number, step, operation, component, part, or combination thereof, but do not exclude in advance the possibility of the presence or addition of one or more other features, numbers, steps, operations, components, parts, or combinations thereof. In other words, when it is said throughout this disclosure that a part "comprises" a certain component, unless specifically stated otherwise, this does not mean that other components are excluded, but rather that other components may be included.

"적어도 하나의"와 같은 표현은, 구성요소들의 리스트 전체를 수식하고, 그 리스트의 구성요소들을 개별적으로 수식하지 않는다. 예를 들어, "A, B, 및 C 중 적어도 하나" 및 "A, B, 또는 C 중 적어도 하나"는 오직 A, 오직 B, 오직 C, A와 B 모두, B와 C 모두, A와 C 모두, A와 B와 C 전체, 또는 그 조합을 가리킨다.Expressions such as "at least one" modify the list of elements as a whole, and do not modify individual elements of the list. For example, "at least one of A, B, and C" and "at least one of A, B, or C" refer to only A, only B, only C, both A and B, both B and C, both A and C, all of A, B, and C, or any combination thereof.

또한, 본 개시에 기재된 "...부", "...모듈" 등의 용어는 적어도 하나의 기능이나 동작을 처리하는 단위를 의미하며, 이는 하드웨어 또는 소프트웨어로 구현되거나 하드웨어와 소프트웨어의 결합으로 구현될 수 있다.In addition, terms such as “... section,” “... module,” etc., described in the present disclosure mean a unit that processes at least one function or operation, which may be implemented by hardware or software, or by a combination of hardware and software.

본 개시 전체에서, 어떤 부분이 다른 부분과 "연결"되어 있다고 할 때, 이는 "직접적으로 연결"되어 있는 경우뿐 아니라, 그 중간에 다른 소자를 사이에 두고 "전기적으로 연결"되어 있는 경우도 포함한다. 또한 어떤 부분이 어떤 구성요소를 "포함"한다고 할 때, 이는 특별히 반대되는 기재가 없는 한 다른 구성요소를 제외하는 것이 아니라 다른 구성요소를 더 포함할 수 있는 것을 의미한다.Throughout this disclosure, when a part is said to be "connected" to another part, this includes not only the case where it is "directly connected" but also the case where it is "electrically connected" with another element in between. Also, when a part is said to "include" a certain component, this does not mean that the other component is excluded, but that the other component can be included, unless specifically stated otherwise.

본 개시 전체에서 사용된 표현 "~하도록 구성된(또는 설정된)(configured to)"은 상황에 따라, 예를 들면, "~에 적합한(suitable for)", "~하는 능력을 가지는(having the capacity to)", "~하도록 설계된(designed to)", "~하도록 변경된(adapted to)", "~하도록 만들어진(made to)", 또는 "~를 할 수 있는(capable of)"과 바꾸어 사용될 수 있다. 용어 "~하도록 구성된(또는 설정된)"은 하드웨어적으로 "특별히 설계된(specifically designed to)" 것만을 반드시 의미하지 않을 수 있다. 대신, 어떤 상황에서는, "~하도록 구성된 시스템"이라는 표현은, 그 시스템이 다른 장치 또는 부품들과 함께 "~할 수 있는" 것을 의미할 수 있다. 예를 들면, 문구 "A, B, 및 C를 수행하도록 구성된(또는 설정된) 프로세서"는 해당 동작을 수행하기 위한 전용 프로세서(예: 임베디드 프로세서), 또는 메모리에 저장된 하나 이상의 소프트웨어 프로그램들을 실행함으로써, 해당 동작들을 수행할 수 있는 범용 프로세서(generic-purpose processor)(예: CPU 또는 application processor)를 의미할 수 있다.The expression "configured to" as used throughout this disclosure can be used interchangeably with, for example, "suitable for," "having the capacity to," "designed to," "adapted to," "made to," or "capable of." The term "configured to" does not necessarily mean something is "specifically designed to" in terms of hardware. Instead, in some contexts, the expression "a system configured to" can mean that the system is "capable of" in conjunction with other devices or components. For example, the phrase "a processor configured to perform A, B, and C" can mean a dedicated processor (e.g., an embedded processor) for performing the operations, or a generic-purpose processor (e.g., a CPU or application processor) that can perform the operations by executing one or more software programs stored in memory.

본 개시에서 사용되는 용어 "약"은 주어진 수치 또는 범위의 10% 이내, 바람직하게는 5% 이내, 더욱 바람직하게는 1% 이내를 의미한다.The term "about" as used herein means within 10%, preferably within 5%, and more preferably within 1% of a given value or range.

도 1은 본 개시의 일 실시예에 따른 마이크로니들 피부 침투 시스템의 개략도이다.FIG. 1 is a schematic diagram of a microneedle skin penetration system according to one embodiment of the present disclosure.

도 1에는 일 실시예에 따른 마이크로니들을 이용한 피부 관리 장치를 이용하는 마이크로니들 피부 침투 시스템(1)이 도시된다. 일 실시예에서, 마이크로니들 피부 침투 시스템(1)은 마이크로니들 피부 침투 장치(10), 마이크로니들의 삽입 위치 가이드 장치(도 12의 1200), 디스플레이 장치(30), 이들 중 둘 이상을 연결하는 케이블(300) 등을 포함할 수 있다. 여기서, 마이크로니들을 이용한 피부 관리 장치는 마이크로니들 피부 침투 장치(10), 마이크로니들의 삽입 위치 가이드 장치(1200), 디스플레이 장치(30), 케이블(300) 중 적어도 하나를 포함하는 장치일 수 있다. 예를 들어, 피부 관리 장치는 마이크로니들 피부 침투 장치(10)만을 포함하는 장치로 지칭될 수도 있고, 마이크로니들 피부 침투 장치(10)와 마이크로니들의 삽입 위치 가이드 장치를 포함하는 장치로 지칭될 수도 있고, 마이크로니들 피부 침투 장치(10), 마이크로니들의 삽입 위치 가이드 장치, 디스플레이 장치(30), 케이블(300) 모두를 포함하는 장치로 지칭될 수 있다. 마이크로니들 피부 침투 장치(10)는 도 2 내지 도 4를 참조하여 보다 자세히 후술하기로 한다.FIG. 1 illustrates a microneedle skin penetration system (1) using a skin care device using microneedles according to one embodiment. In one embodiment, the microneedle skin penetration system (1) may include a microneedle skin penetration device (10), a microneedle insertion position guide device (1200 of FIG. 12), a display device (30), a cable (300) connecting two or more of them, and the like. Here, the skin care device using microneedles may be a device including at least one of the microneedle skin penetration device (10), the microneedle insertion position guide device (1200), the display device (30), and the cable (300). For example, the skin care device may be referred to as a device including only the microneedle skin penetration device (10), a device including the microneedle skin penetration device (10) and the microneedle insertion position guide device, or a device including all of the microneedle skin penetration device (10), the microneedle insertion position guide device, the display device (30), and the cable (300). The microneedle skin penetration device (10) will be described in more detail later with reference to FIGS. 2 to 4.

일 실시예에서, 마이크로니들의 삽입 위치 가이드 장치는 포인팅 장치, 각도 조절이 가능한 미러, 초음파 기기, 프로젝터 등을 포함할 수 있다. 일 실시예에서, 포인팅 장치는 특정 위치를 지시하기 위한 장치로, 레이저 포인터(Laser Pointer)와 같은 광원 발생 장치나 마우스 등 특정 위치를 지시할 수 있는 다양한 장치를 포함할 수 있다. 각도 조절이 가능한 미러는 레이저 포인터와 같은 광원 발생 장치에 의해 나오는 광원을 반사시켜 광원 발생 장치에 의해 특정 위치가 포인팅될 수 있도록 보조하는 역할을 할 수 있다. 일 실시예에서, 프로젝터는 소형 프로젝터, 스크린 등을 포함할 수 있으며, 특정 위치를 지시할 수 있을 뿐만 아니라 다양한 형태의 표시 및 지시를 가능하게 할 수 있다.In one embodiment, the microneedle insertion position guide device may include a pointing device, an angle-adjustable mirror, an ultrasonic device, a projector, and the like. In one embodiment, the pointing device is a device for indicating a specific location, and may include various devices capable of indicating a specific location, such as a light source generating device such as a laser pointer or a mouse. The angle-adjustable mirror may reflect light from a light source generating device such as a laser pointer to assist in allowing the light source generating device to point to a specific location. In one embodiment, the projector may include a small projector, a screen, and the like, and may not only indicate a specific location, but may also enable various forms of display and instruction.

일 실시예에서, 디스플레이 장치(30)는 마이크로니들 피부 침투 장치(10)의 동작에 대한 설정을 사용자로부터 입력받기 위한 사용자 인터페이스(35)(예컨대, 터치 스크린)를 제공하며, 사용자로부터 입력된 설정 정보를 케이블(300)을 통해 마이크로니들 피부 침투 장치(10)의 프로세서(142; 도 3에 도시됨)로 송신한다. 이러한 설정 정보로서는, 마이크로니들 최종 침투 깊이뿐만 아니라, 양압 생성 시점(양압 생성 시의 마이크로니들의 침투 깊이), 공압 펌프의 세기 등이 있을 수 있다.In one embodiment, the display device (30) provides a user interface (35) (e.g., a touch screen) for receiving input from a user for settings regarding the operation of the microneedle skin penetration device (10), and transmits the input setting information from the user to the processor (142; illustrated in FIG. 3) of the microneedle skin penetration device (10) via a cable (300). Such setting information may include not only the final penetration depth of the microneedle, but also the timing of generating positive pressure (the penetration depth of the microneedle when generating positive pressure), the strength of the pneumatic pump, etc.

도 2는 본 개시에 따른 마이크로니들을 포함하는 장치의 외관을 보인 예시적인 사시도이다.FIG. 2 is an exemplary perspective view showing the appearance of a device including microneedles according to the present disclosure.

도 2를 참조하면, 마이크로니들 피부 침투 장치(10)는 본체하우징(100)을 포함할 수 있다. 일 실시예에서, 본체하우징(100)은 마이크로니들 피부 침투 장치(10)의 외관을 구성할 수 있다. 본체하우징(100)의 선단에는 마이크로니들 유닛(200)이 조립되고, 본체하우징(100)의 후단에는 케이블(300)이 연결될 수 있다. 본체하우징(100)의 일부에는 조절버튼(110)이 마련되고, 본체하우징(100)의 다른 일부에는 통기부(120)가 구비될 수 있다. 여기에서, 조절버튼(110)은 전원을 켜고 끄는 것은 물론 동작 개시, 모드절환, 강도 조절 등 다양한 기능을 설정하거나 조절할 수 있다. 일 실시예에서, 통기부(120)는 외부공기를 본체하우징(100) 내부로 공급할 수 있는 통로이며, 필요한 경우 필터가 사용될 수 있다.Referring to FIG. 2, the microneedle skin penetration device (10) may include a main body housing (100). In one embodiment, the main body housing (100) may constitute the exterior of the microneedle skin penetration device (10). A microneedle unit (200) may be assembled to the front end of the main body housing (100), and a cable (300) may be connected to the rear end of the main body housing (100). A control button (110) may be provided on a part of the main body housing (100), and a ventilation part (120) may be provided on another part of the main body housing (100). Here, the control button (110) may turn the power on and off, as well as set or adjust various functions such as starting operation, switching modes, and adjusting intensity. In one embodiment, the ventilation part (120) is a passage that can supply outside air into the interior of the main body housing (100), and a filter may be used if necessary.

일 실시예에서, 사용자가 조절버튼(110)을 누르면, 이러한 사용자의 동작 개시 정보가 프로세서로 전달되어, 프로세서는 마이크로니들이 초기의 홈포지션 위치에서 전진 및 후진하여 다시 홈포지션 위치로 복귀하는 1회의 동작(즉, 니들링 동작)을 수행하도록 제어할 수 있다. 본 개시의 일 실시예에 따르면, 사용자가 조절버튼(110)을 누를 때마다 마이크로니들 피부 침투 장치(10)가 동작을 수행하도록 설정될 수도 있고(수동 모드), 사용자가 조절버튼(110)을 누르면, 자동으로 마이크로니들 피부 침투 장치(10)가 동작을 수행하도록 설정될 수 있다(자동 모드). 이에 따라, 사용자가 자동모드로 설정하는 경우, 사용자가 1회 조절버튼(110)을 누름으로써 마이크로니들의 니들링 동작은 반복될 수 있고, 사용자는 매번 조절버튼(110)을 누를 필요가 없게 될 수 있다. 일 예로서, 수동 모드로 동작할지 아니면 자동 모드를 동작할지 여부는 사용자의 입력 정보에 기초할 수 있다.In one embodiment, when a user presses the control button (110), the user's motion initiation information is transmitted to the processor, and the processor can control the microneedle to perform one motion (i.e., needling motion) in which the microneedle moves forward and backward from the initial home position and then returns to the home position. According to one embodiment of the present disclosure, the microneedle skin penetration device (10) may be set to perform the motion every time the user presses the control button (110) (manual mode), and the microneedle skin penetration device (10) may be set to automatically perform the motion when the user presses the control button (110) (automatic mode). Accordingly, when the user sets the mode to automatic, the needling motion of the microneedle can be repeated by the user pressing the control button (110) once, and the user may not need to press the control button (110) every time. As an example, whether to operate in manual mode or automatic mode may be based on the user's input information.

도 3은 도 2의 일부를 절개하여 보인 예시적인 단면도이다.Figure 3 is an exemplary cross-sectional view showing a portion of Figure 2 cut away.

도 3을 참조하면, 본체하우징(100) 내부에는 구동원(130)이 구비될 수 있다. 구동원(130)은 리니어 모터를 포함할 수 있다. 구동원(130)이 리니어 모터인 경우, 리니어 모터는 통상의 전동기가 고정자 내를 회전자가 도는 것과 달리, 전개 배치된 고정자의 연선상을 틈새를 갖고 이동자가 직선 운동하도록 설계된 모터이므로, 리니어 모터를 사용하면 좁은 공간 내에서 모터를 사용하면서도 회전운동이 아닌 직선 왕복 운동이 가능한 구조를 갖출 수 있다. 또한, 구동원(130)에는 이동자에 해당하는 이동 로드(132)가 돌출되어 일정거리 내에서 왕복 직선 운동할 수 있도록 구비될 수 있다.Referring to FIG. 3, a driving source (130) may be provided inside the main body housing (100). The driving source (130) may include a linear motor. When the driving source (130) is a linear motor, unlike a conventional electric motor in which a rotor rotates inside a stator, a linear motor is designed such that a mover moves linearly along the stator's wires with a gap, and thus, by using a linear motor, a structure capable of performing linear reciprocating motion instead of rotary motion can be provided while using the motor in a narrow space. In addition, a moving rod (132) corresponding to the mover may be provided in the driving source (130) so as to protrude and perform linear reciprocating motion within a certain distance.

일 실시예에서, 본체하우징(100) 내부에는 구동원(130)과 간격을 두고 메인기판(140)이 설치될 수 있으며, 메인기판(140)에는 프로세서(142)가 실장될 수 있다. 이때, 메인기판(140)은 인쇄회로기판(Printed Circuit Board; PCB)으로서 조절버튼(110)과 연결되어 탑재된 프로세서(142)의 제어신호에 따라 본 발명에 따른 마이크로니들 피부 침투 장치의 구동, 제어, 설정 등을 위한 기능을 제공하는 일종의 마이콤일 수 있다. 따라서, 구동원(130)도 프로세서(142)에 의해 구동이 제어될 수 있다.In one embodiment, a main board (140) may be installed inside the main body housing (100) at a distance from the driving source (130), and a processor (142) may be mounted on the main board (140). At this time, the main board (140) may be a type of microcomputer that provides functions for driving, controlling, setting, etc. of the microneedle skin penetration device according to the present invention according to the control signal of the processor (142) mounted thereon, and is a printed circuit board (PCB) connected to the control button (110). Accordingly, the driving source (130) may also be controlled by the processor (142).

일 실시예에서, 메인기판(140)의 하부에는 구동원(130)과 간격을 두고 압력 발생 기구(150)가 설치될 수 있다. 압력 발생 기구(150)는 압축 가스를 형성하여 니들 커버 내로 상기 압축 가스를 공급하도록 구성되는 것으로, 공압 펌프, CO2 가스, 산소 가스, 일반 대기 가스 등 피부에 주입 가능한 기체를 포함하는 가스통 등을 포함할 수 있다. 가스통은 가스 레귤레이터가 장착된 가스통을 포함할 수 있으며, 가스 레귤레이터는 수동 또는 자동(전자식 등) 가스 레귤레이터일 수 있다. 공압 펌프(150)는 공기를 일정 압으로 압축하여 공급하는 펌프로서 본체하우징(100)의 선단에 조립된 마이크로니들 유닛(200)으로 압축 공기를 공급하도록 구성될 수 있다. 이를 위해, 공압 펌프(150)와 마이크로니들 유닛(200) 사이에는 공압 호스(152)가 연결될 수 있다. 일 실시예에서, 공압 펌프(150)에는 솔레노이드 밸브(154)가 설치되어 필요한 시점에만 일정량의 압축 공기를 공급할 수 있도록 제어될 수 있다. 이 경우, 솔레노이드 밸브(154)는 프로세서(142)와 전기적으로 연결되어 프로세서(142)의 제어신호에 따라 그 동작이 제어될 수 있다.In one embodiment, a pressure generating mechanism (150) may be installed at the bottom of the main board (140) at a distance from the driving source (130). The pressure generating mechanism (150) is configured to form a compressed gas and supply the compressed gas into the needle cover, and may include a pneumatic pump, a gas cylinder containing a gas that can be injected into the skin, such as CO2 gas, oxygen gas, or general atmospheric gas. The gas cylinder may include a gas cylinder equipped with a gas regulator, and the gas regulator may be a manual or automatic (electronic, etc.) gas regulator. The pneumatic pump (150) is a pump that supplies compressed air at a certain pressure and may be configured to supply compressed air to the microneedle unit (200) assembled at the tip of the main body housing (100). To this end, a pneumatic hose (152) may be connected between the pneumatic pump (150) and the microneedle unit (200). In one embodiment, the pneumatic pump (150) may be equipped with a solenoid valve (154) that can be controlled to supply a certain amount of compressed air only when necessary. In this case, the solenoid valve (154) may be electrically connected to the processor (142) so that its operation may be controlled according to a control signal of the processor (142).

도 4는 본 개시의 일 실시예에 따른 마이크로니들 유닛의 예시적인 단면도이다.FIG. 4 is an exemplary cross-sectional view of a microneedle unit according to one embodiment of the present disclosure.

도 4를 참조하면, 마이크로니들 유닛(200)은 니들 커버(210)를 포함할 수 있다. 니들 커버(210)는 본체하우징(100)의 선단에 조립되며, 선단으로부터 후단에 이르도록 내경이 제1 내경(212)-제2 내경(214)-제3 내경(216)-제4 내경(218)과 같이 단차를 두고 형성될 수 있다. 이때, 본체하우징(100)에 조립되는 제4 내경(218)이 가장 크고, 그 다음이 제3 내경(216), 제2 내경(214) 순으로 크며, 제1 내경(212)이 가장 작게 형성될 수 있다. 특히, 제2 내경(214)의 일측은 내측 보스(222)가 돌출되어 내측 보스(222)의 외경과 제3 내경(216) 사이에 일정 크기의 걸림 홈(224)을 형성할 수 있다. 이 경우, 걸림 홈(224)은 단면 상으로 볼 때 대략 'ㄷ' 형상이 되며, 내측 보스(222)의 단부 내경, 즉 제2 내경(214)의 단부는 모따기 형태로 테이퍼진 테이퍼 가공면(226)이 형성될 수 있다. 이 테이퍼 가공면(226)은 후술될 제3 오링(O3)에 의한 밀폐력을 높이기 위한 것일 수 있다.Referring to FIG. 4, the microneedle unit (200) may include a needle cover (210). The needle cover (210) is assembled to the front end of the main body housing (100), and may be formed with steps such as a first inner diameter (212) - a second inner diameter (214) - a third inner diameter (216) - a fourth inner diameter (218) from the front end to the rear end. At this time, the fourth inner diameter (218) assembled to the main body housing (100) may be the largest, followed by the third inner diameter (216) and the second inner diameter (214), and the first inner diameter (212) may be formed the smallest. In particular, one side of the second inner diameter (214) may have an inner boss (222) protruding to form a catch groove (224) of a certain size between the outer diameter of the inner boss (222) and the third inner diameter (216). In this case, the catch groove (224) has a shape of approximately 'ㄷ' when viewed in cross section, and a tapered surface (226) tapered in a chamfered shape may be formed on the inner diameter of the end of the inner boss (222), that is, the end of the second inner diameter (214). This tapered surface (226) may be used to increase the sealing force by the third O-ring (O3) described later.

일 실시예에서, 제3 내경(216)에는 코일 스프링(230)이 삽입되고, 코일 스프링(230)의 선단은 걸림 홈(224)에 걸림될 수 있다. 또한, 코일 스프링(230)의 후단은 플런저(240)에 걸림될 수 있다. 따라서, 플런저(240)는 코일 스프링(230)에 의해 탄성적으로 밀리도록 구성될 수 있다. 이러한 플런저(240)는 내부에 중공부(242)를 갖는 원통 형상의 부재로서, 후단은 연결통(250)의 일단에 플랜지 고정될 수 있다. 뿐만 아니라, 연결통(250)의 후단은 이동 로드(132)의 선단과 연결 고정될 수 있다. 때문에, 이동 로드(132)가 전후진 왕복 운동을 하게 되면 연결통(250)도 함께 움직이고, 결국 플런저(240)가 전후진 왕복 운동하게 될 수 있다.In one embodiment, a coil spring (230) is inserted into the third inner diameter (216), and the tip of the coil spring (230) can be caught in the catch groove (224). In addition, the rear end of the coil spring (230) can be caught in the plunger (240). Therefore, the plunger (240) can be configured to be elastically pushed by the coil spring (230). This plunger (240) is a cylindrical member having a hollow portion (242) therein, and the rear end can be flange-fixed to one end of the connecting tube (250). In addition, the rear end of the connecting tube (250) can be connected and fixed to the tip of the moving rod (132). Therefore, when the moving rod (132) reciprocates back and forth, the connecting tube (250) also moves together, and eventually the plunger (240) can reciprocate back and forth.

일 실시예에서, 연결통(250)을 관통하여 공압 호스(152)가 배관되고, 공압 호스(152)의 단부는 플런저(240)의 중공부(242)와 연통되게 연결 고정될 수 있다. 이때, 연결통(250)을 관통하여 배관되는 공압 호스(152)는 플렉시블하게 구성되어 연결통(250)이 움직일 때 공압 호스(152)가 끊어지지 않고 연결통(250)의 유동을 원활하게 하도록 안내할 수 있다. 물론, 상기 연결통(250)의 유동범위가 작기 때문에 크게 문제가 되지는 않는다.In one embodiment, a pneumatic hose (152) may be piped through a connecting tube (250), and an end of the pneumatic hose (152) may be connected and fixed to be in communication with the hollow portion (242) of the plunger (240). At this time, the pneumatic hose (152) piped through the connecting tube (250) may be configured flexibly so that the pneumatic hose (152) does not break when the connecting tube (250) moves, and may be guided to smoothly flow through the connecting tube (250). Of course, this does not pose a significant problem because the flow range of the connecting tube (250) is small.

일 실시예에서, 플런저(240)의 둘레에는 배기공(244)이 형성될 수 있는데, 배기공(244)은 중공부(242)와 연통될 수 있다. 특히, 배기공(244)은 플런저(240)가 홈포지션 위치일 때 내측 보스(222)의 단부와 간격을 두고 바깥쪽에 위치된다. 즉, 플런저(240)의 둘레는 선단으로부터 후단을 향해 제1 내경(212)에 대응되는 제1 외경(D1)과, 제2 내경(214)에 대응되는 제2 외경(D2)을 가지며, 배기공(244)은 제2 외경(D2) 상에 형성되어 제2 외경(D2)이 제2 내경(214) 속으로 삽입되기 직전 위치가 홈포지션일 수 있다. 따라서, 홈포지션일 때 배기공(244)의 위치는 제2 내경(214) 속으로 삽입되지 않은 채 테이퍼 가공면(226)과 간격을 둔 위치에 있게 될 수 있다. 그리고, 배기공(244)과 간격을 두고 제3 오링(O3)이 제2 외경(D2)에 고정될 수 있다.In one embodiment, an exhaust hole (244) may be formed around the plunger (240), and the exhaust hole (244) may be communicated with the hollow portion (242). In particular, the exhaust hole (244) is positioned outside at a distance from the end of the inner boss (222) when the plunger (240) is at the home position. That is, the circumference of the plunger (240) has a first outer diameter (D1) corresponding to the first inner diameter (212) and a second outer diameter (D2) corresponding to the second inner diameter (214) from the front end to the rear end, and the exhaust hole (244) may be formed on the second outer diameter (D2), and a position immediately before the second outer diameter (D2) is inserted into the second inner diameter (214) may be the home position. Accordingly, when in the home position, the position of the exhaust hole (244) may be at a position spaced apart from the tapered processing surface (226) without being inserted into the second inner diameter (214). Then, the third O-ring (O3) may be fixed to the second outer diameter (D2) while spaced apart from the exhaust hole (244).

일 실시예에서, 제3 오링(O3)은 제2 외경(D2)에 형성된 오링 홈(도면번호 생략) 상에 끼워져 고정되는 방식으로 구비되며, 배기공(244)으로부터 연결통(250) 방향으로 간격을 두고 형성될 수 있다.In one embodiment, the third O-ring (O3) is provided in such a way that it is fitted and fixed on an O-ring groove (drawing number omitted) formed in the second outer diameter (D2), and can be formed with a gap from the exhaust hole (244) toward the connecting tube (250).

도 5a 내지 도 5c는 도 4의 마이크로니들 유닛을 구성하는 니들 커버 선단부를 발췌하여 보인 예시도 및 그 변형예이다.FIGS. 5A to 5C are exemplary drawings showing the needle cover tip portion constituting the microneedle unit of FIG. 4 and modified examples thereof.

도 5a 내지 도 5c를 참조하면, 플런저(240)의 선단에는 원통 형상의 고정구(260)가 체결될 수 있다. 일 실시예에서, 고정구(260)의 내경에는 밀폐판(270)이 내장되어 플런저(240)의 선단 개구를 밀폐할 수 있도록 구성될 수 있다. 이를 위해, 고정구(260)의 선단측 내경에는 턱이 형성되어 있어 밀폐판(270)이 이탈되지 않고 걸린 상태로 플런저(240)의 선단에 긴밀하게 조립 고정될 수 있다. 뿐만 아니라, 밀폐판(270)에는 다수의 마이크로니들(N)이 고정되는데, 마이크로니들(N)은 내부 중공 형상이고, 후단은 상기 밀폐판(270)을 관통하여 상기 중공부(242)와 연통되게 구비될 수 있다. 이에 따라, 공기는 중공부(242)를 통해 마이크로니들(N)을 거쳐 제1 내경(212) 속으로 입출입할 수 있다.Referring to FIGS. 5A to 5C, a cylindrical fixture (260) may be fastened to the tip of the plunger (240). In one embodiment, a sealing plate (270) may be built into the inner diameter of the fixture (260) so as to seal the tip opening of the plunger (240). To this end, a protrusion is formed on the inner diameter of the tip side of the fixture (260) so that the sealing plate (270) may be tightly assembled and fixed to the tip of the plunger (240) without being detached and in a hung state. In addition, a plurality of microneedles (N) are fixed to the sealing plate (270). The microneedles (N) have an internal hollow shape, and the rear end may be provided to penetrate the sealing plate (270) and communicate with the hollow portion (242). Accordingly, air can enter and exit the first inner diameter (212) through the microneedle (N) via the hollow portion (242).

일 실시예에서, 고정구(260)의 선단 둘레면에는 제2 오링(O2)이 구비되어 제1 내경(212)과의 사이에서 기밀을 유지시킬 수 있다. 나아가, 니들 커버(210)의 선단면에도 제1오링(O1)이 매립 설치되어 선단면과 피부 사이의 기밀이 유지될 수 있다. 아울러, 밀폐판(270)에는 다수의 배출홀(272)이 더 형성될 수 있다. 배출홀(272)은 중공부(242)와 연통되도록 밀폐판(270)을 관통하여 형성되며, 이 또한 공기의 유출입을 위해 존재할 수 있다. 물론, 도 5b와 같이 고정구(260)를 두지 않고 밀폐판(270)을 플런저(240)의 선단에 직접 고정할 수 있으며, 이 경우에는 마이크로니들(N)만 설치하고 배출홀(272)을 형성하지 않는 형태로도 구현할 수 있다. 이 경우에는 공기의 유출입이 오직 마이크로니들(N)을 통해서만 이루어진다.In one embodiment, a second O-ring (O2) may be provided on the tip end peripheral surface of the fixture (260) to maintain an airtight seal with respect to the first inner diameter (212). In addition, a first O-ring (O1) may be embedded in the tip end surface of the needle cover (210) to maintain an airtight seal between the tip end surface and the skin. In addition, a plurality of discharge holes (272) may be further formed in the sealing plate (270). The discharge holes (272) are formed by penetrating the sealing plate (270) to communicate with the hollow portion (242), and may also exist for the inflow and outflow of air. Of course, as shown in FIG. 5b, the sealing plate (270) may be directly fixed to the tip end of the plunger (240) without the fixture (260), and in this case, it may also be implemented in a form in which only the microneedle (N) is installed and the discharge hole (272) is not formed. In this case, the inflow and outflow of air occurs only through the microneedles (N).

도 6은 본 개시의 일 실시예에 따른 마이크로니들 유닛을 구성하는 중공형 마이크로니들로 유효성분의 주입 방법을 나타내는 도면이다.FIG. 6 is a drawing showing a method of injecting an effective ingredient into a hollow microneedle constituting a microneedle unit according to one embodiment of the present disclosure.

도 6을 참조하면, 마이크로니들(N)을 사용하되, 주사액을 사용하는 것이 아니고 약물 등의 유효성분을 피부에 바른 상태에서 이를 마이크로니들(N)로 피부의 진피층 내부로 주입시키는 방법이 도시된다. 도 6은 중공형 마이크로니들(N)을 사용한 예시이나, 중실형의 마이크로니들이 사용될 수 있음은 물론이다. 본 개시의 일 실시예는 주사액을 주입하는 방식이 아니기 때문에 의료법에 규제를 받지 않으므로 정해진 약물 이외의 다양한 스킨부스터를 시술할 수 있다는 장점이 있다.Referring to FIG. 6, a method is illustrated in which a microneedle (N) is used, but instead of using an injection liquid, an effective ingredient such as a drug is applied to the skin and injected into the dermal layer of the skin using the microneedle (N). FIG. 6 is an example using a hollow microneedle (N), but it is of course possible to use a solid microneedle. Since one embodiment of the present disclosure does not inject an injection liquid, it is not subject to regulations under the Medical Act, and thus has the advantage of being able to perform various skin boosters other than prescribed drugs.

일 실시예에서, 피부에 유효성분인 스킨부스터를 먼저 발라놓은 후 마이크로니들(N)을 전진시켜 마이크로니들(N)이 유효성분을 중공 속에 머금은 채 피부 속으로 진입하게 하고, 마이크로니들(N)이 피부 침투 시작 시 또는 피부 침투 이후에 압축 공기를 마이크로니들(N)의 중공 속으로 불어넣어 마이크로니들(N)만 빠지고 유효성분은 피부 속에 남아 있도록 하는 방법으로 유효성분이 주입될 수 있다.In one embodiment, the active ingredient, skin booster, is first applied to the skin, and then the microneedle (N) is advanced so that the microneedle (N) enters the skin while containing the active ingredient in its hollow space, and when the microneedle (N) begins to penetrate the skin or after penetration of the skin, compressed air is blown into the hollow space of the microneedle (N) so that only the microneedle (N) is removed and the active ingredient remains in the skin, so that the active ingredient can be injected.

마이크로니들을 이용한 피부 관리 방법은 피부밀착단계, 음압형성단계, 양압형성단계를 포함할 수 있다. 이하에서는 도 8a 및 도 8b의 중공형 마이크로니들(N)을 사용하는 경우를 예시로 들어 각 단계를 설명하나 도 9a 및 도 9b와 같이 중실형 마이크로니들(N)을 사용하는 경우에도 유사한 프로세스가 적용될 수 있음은 물론이다.A skin care method using microneedles may include a skin adhesion step, a negative pressure formation step, and a positive pressure formation step. Hereinafter, each step will be described using the case of using the hollow microneedles (N) of FIGS. 8a and 8b as an example, but it is obvious that a similar process can be applied even when using solid microneedles (N) as in FIGS. 9a and 9b.

도 7a 내지 도 7c는 본 개시의 일 실시예에 따른 마이크로니들을 포함하는 장치의 사용 방법을 나타내는 도면이다.FIGS. 7A to 7C are diagrams illustrating a method of using a device including microneedles according to one embodiment of the present disclosure.

도 7a를 참조하면, 피부밀착단계는 피부에 유효성분을 도포한 상태에서 마이크로니들 유닛(200)의 니들 커버(210) 선단을 피부에 밀착시켜 폐쇄공간을 형성하는 단계를 포함할 수 있다. 따라서, 니들 커버(210) 선단면에 구비된 제1오링(O1)이 피부에 밀착되면서 밀폐공간을 형성하게 될 수 있다. 이때, 마이크로니들(N)은 홈포지션 상태에 있는데, 홈포지션 상태란 마이크로니들(N)이 니들 커버(210) 선단과 간격을 두고 위치해 있으며, 제2 외경(D2)이 제2 내경(214) 속으로 삽입되기 직전 위치를 지칭할 수 있다. 또한, 피부밀착단계는 공압 펌프(150)가 가동되어 압축공기는 생성되지만, 솔레노이드 밸브(154)에 의해 압축 공기의 공급이 차단되고 있는 상태일 수 있다.Referring to FIG. 7a, the skin-adhering step may include a step of forming a closed space by adhering the tip of the needle cover (210) of the microneedle unit (200) to the skin while applying an effective ingredient to the skin. Accordingly, the first O-ring (O1) provided on the tip end surface of the needle cover (210) may form a closed space while adhering to the skin. At this time, the microneedle (N) is in a home position state, and the home position state may refer to a position where the microneedle (N) is positioned at a distance from the tip of the needle cover (210) and just before the second outer diameter (D2) is inserted into the second inner diameter (214). In addition, the skin-adhering step may be a state where the pneumatic pump (150) is operated to generate compressed air, but the supply of the compressed air is blocked by the solenoid valve (154).

도 7b를 참조하면, 음압형성단계는 플런저(240)를 전진시키면서 피부와 플런저(240) 선단 사이의 밀폐된 공간상의 공기를 플런저(240)의 배기공(244)과 내측 보스(222)의 테이퍼 가공면(226)을 통해 제3 내경(216) 속 공간으로 배출시켜 밀폐된 공간이 음압을 형성하도록 하는 단계를 포함할 수 있다. 이 경우, 밀폐된 공간 상의 공기는 마이크로니들(N)의 중공을 통해 플런저(240) 내부의 중공부(242)로 이동된 후 제3 오링(O3)이 상기 테이퍼 가공면(226)을 씰링하기 전까지 빠져나가게 된다. 아울러, 플런저(240)는 리니어모터인 구동원(130)의 가동에 의해 이동될 수 있다. 또한, 이렇게 밀폐된 공간 상에 음압이 형성되면 피부에 도포되어 있던 유효성분이 마이크로니들(N)의 중공 내부로 유입되기 쉬워진다. 물론, 이 경우에도 압축공기는 솔레노이드 밸브(154)에 의해 차단되고 있는 상태일 수 있다.Referring to FIG. 7b, the negative pressure forming step may include a step of advancing the plunger (240) and discharging air in a sealed space between the skin and the tip of the plunger (240) through the exhaust hole (244) of the plunger (240) and the tapered surface (226) of the inner boss (222) into the space within the third inner diameter (216) so that the sealed space forms a negative pressure. In this case, the air in the sealed space moves through the hollow of the microneedle (N) into the hollow portion (242) inside the plunger (240) and then escapes before the third O-ring (O3) seals the tapered surface (226). In addition, the plunger (240) may be moved by the operation of the driving source (130), which is a linear motor. In addition, when negative pressure is formed in such a closed space, the active ingredient applied to the skin can easily flow into the hollow interior of the microneedle (N). Of course, even in this case, the compressed air may be blocked by the solenoid valve (154).

도 7c를 참조하면, 양압형성단계는 플런저(240)를 더 전진시켜 마이크로니들(N)이 유효성분을 머금은 상태로 피부 속으로 침투되고, 제3 오링(O3)이 테이퍼 가공면(226)을 밀폐함과 동시에 솔레노이드 밸브(154)를 열어 압축공기를 공급하여 유효성분이 피부 속으로 침투되게 한 후 플런저(240)를 후퇴시켜 마이크로니들(N)을 빼내면서 수초간 압축공기가 더 공급되게 하여 밀폐된 공간이 양압으로 유지되게 하는 단계를 포함할 수 있다. 이렇게 하면, 유효성분을 직접 니들로 주입하는 것과 대등한 효과를 갖기 때문에 유효성분이 원활하고 효과적으로 주입될 수 있게 된다. 이때, 코일 스프링(230)은 플런저(240)의 홈포지션으로의 복귀를 더욱 원활하게 하도록 탄성 동작할 수 있다.Referring to FIG. 7c, the positive pressure forming step may include a step of further advancing the plunger (240) so that the microneedle (N) containing the active ingredient penetrates into the skin, sealing the tapered surface (226) by the third O-ring (O3) and simultaneously opening the solenoid valve (154) to supply compressed air so that the active ingredient penetrates into the skin, and then retracting the plunger (240) to remove the microneedle (N) while supplying more compressed air for several seconds so that the sealed space is maintained at a positive pressure. This has an effect equivalent to directly injecting the active ingredient into the needle, so that the active ingredient can be injected smoothly and effectively. At this time, the coil spring (230) may perform an elastic operation to make the return to the home position of the plunger (240) smoother.

상술한 바와 같이, 본 개시의 일 실시예에서는, 플런지를 상하로 이동시킴에 따른 체적 변화로 양압을 생성하는 것이 아니라, 공압 펌프(150) 및 솔레노이드 밸브(154)를 통해 양압을 생성함으로써, 플런지 상하 이동과는 독립적으로 양압 생성 시점이 설정될 수 있다. 즉, 공압 펌프(150)의 작동 및 솔레노이드 밸브(154) 개폐 시점을 제어함으로써, 플런지 상하 이동과는 독립적으로 양압 생성 시점이 설정될 수 있다. 이에 따라, 시술받는 피부의 상태에 따라, 유효성분의 피부 주입 프로파일(피부 깊이에 따라 유효성분이 주입된 프로파일)을 최적화시킬 수 있다. 예컨대, 피부 깊이에 따라 유효성분이 균일하게 주입되게 할 수도 있으며, 타겟 깊이에 유효성분이 집중적으로 주입되게 할 수도 있다. 또한, 이러한 효과는, 공압 펌프(150)의 세기를 조절할 수 있게 함으로써, 보다 극대화될 수 있다.As described above, in one embodiment of the present disclosure, rather than generating positive pressure by the volume change according to the up and down movement of the plunger, the positive pressure is generated through the pneumatic pump (150) and the solenoid valve (154), so that the positive pressure generation time can be set independently of the up and down movement of the plunger. That is, by controlling the operation of the pneumatic pump (150) and the opening and closing time of the solenoid valve (154), the positive pressure generation time can be set independently of the up and down movement of the plunger. Accordingly, the skin injection profile of the active ingredient (the profile in which the active ingredient is injected according to the skin depth) can be optimized according to the condition of the skin receiving the treatment. For example, the active ingredient can be uniformly injected according to the skin depth, or the active ingredient can be intensively injected at the target depth. In addition, this effect can be further maximized by allowing the strength of the pneumatic pump (150) to be adjusted.

즉, 마이크로니들(N)이 피부에 침투하기 시작하자마자(또는 그 전부터) 소정의 양압을 생성하여 유지함으로써, 피부 깊이에 따라 유효성분이 균일하게 주입될 수 있으며, 마이크로니들(N)이 타겟 깊이에 이르렀을 때, 상대적으로 고압의 압축 공기를 마이크로니들(N)에 불어 넣어 유효성분이 타겟 깊이에 집중적으로 주입될 수도 있다. 여기서, 타겟 깊이는 마이크로니들(N)이 피부에 최종적으로 침투하게 되는 깊이(이하, 최종 침투 깊이)와는 다를 수 있다.That is, by generating and maintaining a predetermined positive pressure as soon as (or before) the microneedles (N) begin to penetrate the skin, the active ingredient can be uniformly injected according to the skin depth, and when the microneedles (N) reach the target depth, the active ingredient can be intensively injected at the target depth by blowing relatively high-pressure compressed air into the microneedles (N). Here, the target depth may be different from the depth at which the microneedles (N) finally penetrate the skin (hereinafter, referred to as the final penetration depth).

도 9a 및 도 9b는 본 개시의 일 실시예에 따른 마이크로니들이 중실형으로 형성된 경우를 나타내는 예시도이다.FIG. 9a and FIG. 9b are exemplary diagrams showing a case where microneedles are formed in a solid shape according to one embodiment of the present disclosure.

도 9a 및 도 9b를 참조하면, 마이크로니들(N)은 내부가 채워진 중실형(solid)으로 구성되고, 밀폐판(270)에는 마이크로니들(N)이 관통한 사이 공간에 다수의 배출홀(272)이 형성된 구조를 가질 수 있다. 그리하여, 도 9a 및 도 9b와 같은 작동이 이루어지는데, 이러한 작동은 앞서 중공형의 마이크로니들을 이용하여 설명한 바와 대부분 유사하기 때문에 마이크로니들(N)이 중실형으로 교체됨으로 인해 달라지는 동작에 대해서만 보충설명하기로 한다.Referring to FIGS. 9a and 9b, the microneedle (N) may be configured as a solid with the interior filled, and the sealing plate (270) may have a structure in which a plurality of discharge holes (272) are formed in the space between the microneedles (N) that penetrate. Thus, the operation as shown in FIGS. 9a and 9b is performed, and since this operation is mostly similar to that described above using a hollow microneedle, only the operation that changes due to the replacement of the microneedle (N) with a solid one will be supplemented.

일 실시예에서, 피부에 유효성분을 도포한 상태에서 니들 커버(210) 선단을 피부에 밀착시키면 피부와 니들 커버(210) 사이에 밀폐공간이 형성되면서 밀폐공간상의 공기는 배출홀(272)을 통해 플런저(240) 내부의 중공부(242)로 이동된 후 테이퍼 가공면(226)을 따라 빠져나가면서 도 9a과 같이 밀폐공간을 음압 상태로 유지시킨다. 이 상태에서 도 9b와 같이 플런저(240)가 전진하면서 마이크로니들(N)이 피부 속으로 침투되고, 제3 오링(O3)이 테이퍼 가공면(226)을 밀폐함과 동시에 플런저(240) 내부의 중공부(242)로 압축공기를 공급하면 밀폐공간은 양압 상태로 바뀌면서 피부에 묻어 있던 유효성분을 피부 속으로 침투시키는데 마이크로니들(N) 둘레 사이의 틈새를 파고들게 되며, 이와 함께 플런저(240)를 후퇴시켜 마이크로니들(N)을 빼내면서 수초간 압축공기가 더 공급되게 하여 밀폐된 공간이 여전히 양압으로 유지되게 하면 마이크로니들(N)이 빠진 자리로 유효성분이 원활하고 효과적으로 주입되어 채워지게 된다. 이렇게 하면, 유효성분을 직접 니들로 주입하는 것과 대등한 효과를 갖기 때문에 유효성분을 원활하고 효과적으로 주입시킬 수 있게 된다. 이때, 코일 스프링(230)은 플런저(240)의 홈포지션으로의 복귀를 더욱 원활하게 하도록 탄성 동작하게 된다.In one embodiment, when the tip of the needle cover (210) is pressed against the skin while an effective ingredient is applied to the skin, a sealed space is formed between the skin and the needle cover (210), and the air in the sealed space moves to the hollow portion (242) inside the plunger (240) through the discharge hole (272) and then escapes along the tapered surface (226), thereby maintaining the sealed space in a negative pressure state as shown in FIG. 9a. In this state, as shown in FIG. 9b, when the plunger (240) advances, the microneedle (N) penetrates into the skin, and at the same time, when the third O-ring (O3) seals the tapered surface (226) and compressed air is supplied to the hollow portion (242) inside the plunger (240), the sealed space changes to a positive pressure state, and the effective ingredient that was stuck on the skin penetrates into the skin by digging into the gap between the microneedle (N) edges. At the same time, when the plunger (240) is retreated to pull out the microneedle (N) and compressed air is further supplied for several seconds so that the sealed space is still maintained at a positive pressure, the effective ingredient is smoothly and effectively injected and filled into the space where the microneedle (N) was removed. In this way, since it has an effect equivalent to injecting the effective ingredient directly into the needle, the effective ingredient can be smoothly and effectively injected. At this time, the coil spring (230) operates elastically to facilitate the return of the plunger (240) to the home position.

도 10은 본 개시의 일 실시예에 따른 공압 펌프의 작동 및 솔레노이드 밸브 개폐 제어의 순서를 설명한다.FIG. 10 illustrates the sequence of operation of a pneumatic pump and solenoid valve opening/closing control according to one embodiment of the present disclosure.

도 10을 참조하면, 사용자는 디스플레이 장치(30)의 사용자 인터페이스(35)를 통해 원하는 양압 생성 시점(양압 생성 시의 마이크로니들의 침투 깊이, 즉 타겟 깊이), 원하는 공압 펌프의 세기를 설정 정보로서 입력할 수 있으며, 이러한 설정 정보는 마이크로니들 피부 침투 장치(10)의 프로세서(142)로 송신될 수 있다. 프로세서(142)는 설정 정보에 기초하여, 솔레노이드 밸브(154)의 개폐, 공압 펌프의 세기를 제어할 수 있다.Referring to FIG. 10, a user can input a desired positive pressure generation time (the penetration depth of the microneedle at the time of positive pressure generation, i.e., the target depth) and the desired strength of the pneumatic pump as setting information through the user interface (35) of the display device (30), and this setting information can be transmitted to the processor (142) of the microneedle skin penetration device (10). The processor (142) can control the opening and closing of the solenoid valve (154) and the strength of the pneumatic pump based on the setting information.

일 실시예에서, 마이크로니들 피부 침투 장치(10)의 동작은 사용자가 조절버튼(110)을 누름으로써 개시될 수 있다. 사용자가 조절버튼(110)을 누르기 전의 마이크로니들 피부 침투 장치(10)의 초기 상태는 공압 펌프(150)가 OFF되어 있으며, 솔레노이드 밸브(154)도 OFF(밸브가 닫혀 있음)되어 있는 상태일 수 있다. 사용자가 조절버튼(110)을 누르면, 공압 펌프(150)가 ON되어 가동되고 압축 공기를 생성하며, 이러한 압축 공기의 공급은 여전히 솔레노이드 밸브(154)에 의해 차단되고 있는 상태일 수 있다. 마이크로니들(N)은 홈포지션 상태에 있을 수 있다(예컨대, 마이크로니들(N)이 니들 커버 선단으로부터 2mm 선단 내측으로 오프셋되어 있음).In one embodiment, the operation of the microneedle skin penetration device (10) may be initiated by the user pressing the control button (110). The initial state of the microneedle skin penetration device (10) before the user presses the control button (110) may be that the pneumatic pump (150) is OFF and the solenoid valve (154) is also OFF (the valve is closed). When the user presses the control button (110), the pneumatic pump (150) is turned ON and operates to generate compressed air, and the supply of this compressed air may still be blocked by the solenoid valve (154). The microneedle (N) may be in a home position state (e.g., the microneedle (N) is offset 2 mm inward from the tip of the needle cover).

일 실시예에서, 사용자가 조절버튼(110)을 누르면, 소정 시간(대략 10초 이내) 후에는 마이크로니들(N)이 전진을 시작할 수 있다. 리니어 모터는 펄스 당 이동 로드(132)의 이동량이 정해져 있으므로, 펄스 횟수를 통해 이동 로드(132)의 이동 거리, 즉 마이크로니들(N)의 이동 거리가 결정될 수 있다.In one embodiment, when the user presses the control button (110), the microneedle (N) can start moving forward after a predetermined time (approximately within 10 seconds). Since the linear motor has a set amount of movement of the moving rod (132) per pulse, the movement distance of the moving rod (132), i.e., the movement distance of the microneedle (N), can be determined through the number of pulses.

일 실시예에서, 마이크로니들(N)이 오프셋된 거리만큼 이동하게 되면, 마이크로니들(N)은 피부와 접촉하게 되고, 이후에는 피부에 마이크로니들(N)이 침투될 수 있다. 이 때 오프셋된 거리는 0 초과 7 mm 이하에서 마이크로니들 유닛의 구성과 사용자가 원하는 바에 따라 다양하게 설정될 수 있다. 예컨대 오프셋된 거리는 0 초과 7 mm 이하에서 0.25 mm 만큼씩 차이가 나는 깊이, 예컨대 0 초과 1 mm 이하로 설정한다면, 0.25, 0.5, 0.75, 1 mm로 설정될 수 있다. 나머지 범위 1 mm 이상 7 mm 이하의 거리 역시 이와 동일한 방식으로 설정될 수 있다.In one embodiment, when the microneedle (N) moves by the offset distance, the microneedle (N) comes into contact with the skin, and thereafter, the microneedle (N) can penetrate the skin. At this time, the offset distance can be variously set from 0 to 7 mm depending on the configuration of the microneedle unit and the user's desire. For example, the offset distance can be set to a depth that differs by 0.25 mm from 0 to 7 mm, for example, if it is set to 0 to 1 mm, it can be set to 0.25, 0.5, 0.75, and 1 mm. The remaining range of distances from 1 mm to 7 mm can also be set in the same manner.

본 개시의 일 실시예에서, 양압은 솔레노이드 밸브(154)를 ON하여 개방함으로써 생성될 수 있다. 즉, 솔레노이드 밸브(154)의 ON 시점이 양압 생성 시점이 될 수 있다.In one embodiment of the present disclosure, the positive pressure can be generated by opening the solenoid valve (154) by turning it ON. That is, the ON point of the solenoid valve (154) can be the point of generating the positive pressure.

일 실시예에서, 유효성분이 피부 깊이에 따라 주입되는 프로파일은 양압 생성 시점, 양압의 크기, 유효성분(즉, 스킨부스터)의 종류 등에 따라 달라질 수 있다. 또한, 시술받는 부위의 피부 상태(예컨대, 표피층 위치 내지 상태, 진피층 위치 내지 상태 등)는 시술받는 자에 따라, 그리고 시술받는 자의 피부 부위(이마 부위, 눈 부위 등)에 따라 달라질 수 있다.In one embodiment, the profile at which the active ingredient is injected into the skin according to depth may vary depending on the timing of positive pressure generation, the magnitude of the positive pressure, the type of the active ingredient (i.e., skin booster), etc. In addition, the skin condition of the area receiving the treatment (e.g., location or condition of the epidermal layer, location or condition of the dermal layer, etc.) may vary depending on the recipient and the skin area of the recipient (forehead area, eye area, etc.).

본 개시의 일 실시예에서는, 사용자가 스킨부스터의 종류, 시술받는 부위의 피부 상태 등을 고려하여, 원하는 유효성분 주입 프로파일을 얻도록 양압 생성 시점 내지 양압의 크기가 설정될 수 있다. 예컨대, 시술받는 피부 부위의 표피층 위치 내지 진피층 위치를 고려하여 3mm의 타겟 깊이에 유효성분이 집중적으로 주입되기를 원한다면, 그에 따라 양압 생성 시점 내지 양압의 크기를 조절할 수 있다. 단, 상기 언급된 타겟 깊이 3 mm는 일 예시일 뿐이며, 타겟 깊이는 0 초과 7 mm 이하에서 설정될 수 있다. 예컨대 상기 깊이는 0.25 mm 만큼씩 차이가 나는 깊이, 예컨대 0 초과 1 mm 이하를 타겟으로 한다면, 0.25, 0.5, 0.75, 1 mm를 타겟 깊이로 할 수 있다. 나머지 범위 1 mm 이상 7 mm 이하의 깊이 역시 이와 동일한 방식으로 설정될 수 있다.In one embodiment of the present disclosure, the timing of generating positive pressure or the size of positive pressure can be set so that the user can obtain a desired active ingredient injection profile by considering the type of skin booster, the skin condition of the area to be treated, etc. For example, if the user wants to intensively inject the active ingredient at a target depth of 3 mm by considering the epidermal layer location or the dermal layer location of the skin area to be treated, the timing of generating positive pressure or the size of positive pressure can be adjusted accordingly. However, the target depth of 3 mm mentioned above is only an example, and the target depth can be set from more than 0 to less than 7 mm. For example, if the target depth is a depth that differs by 0.25 mm, for example, more than 0 to less than 1 mm, 0.25, 0.5, 0.75, and 1 mm can be used as the target depth. The remaining range of depths from 1 mm to 7 mm can also be set in the same manner.

본 개시의 일 실시예에 따르면, 사용자가 양압 생성 시점을 직관적으로 설정할 수 있도록 양압 생성 시점을 양압 생성 시점의 마이크로니들(N)의 침투 깊이로 설정하도록 할 수 있다. 예컨대, 사용자가 양압 생성 시점(양압 생성 시점의 마이크로니들(N)의 침투 깊이)으로서 3mm를 설정하면, 마이크로니들(N)의 침투 깊이가 3mm 일 때 솔레노이드 밸브(154)가 개방되어 양압이 생성된다.According to one embodiment of the present disclosure, the positive pressure generation time can be set to the penetration depth of the microneedle (N) at the positive pressure generation time so that the user can intuitively set the positive pressure generation time. For example, if the user sets 3 mm as the positive pressure generation time (penetration depth of the microneedle (N) at the positive pressure generation time), the solenoid valve (154) opens when the penetration depth of the microneedle (N) is 3 mm, thereby generating positive pressure.

또한, 원하는 유효성분 주입 프로파일에 따라, 양압 생성 시점은 마이크로니들(N)이 전진하는 과정에서 발생하도록 설정될 수도 있고, 마이크로니들(N)이 후퇴하는 과정에서 발생하도록 설정될 수도 있다.Additionally, depending on the desired active ingredient injection profile, the timing of positive pressure generation may be set to occur during the advancement of the microneedle (N) or during the retreat of the microneedle (N).

예컨대, 도 11a는 최종 침투 깊이는 4mm인데, 마이크로니들(N)이 3mm 전진한 상태를 도시하며, 도 11b는 최종 침투 깊이는 4mm인데, 마이크로니들(N)이 최종 침투 깊이인 4mm까지 침투 후 1mm 후퇴한 상태를 도시한다. 도 11a, 도 11b 모두 마이크로니들(N)이 침투 깊이가 3mm인 상태이지만, 마이크로니들(N) 침투에 의해 피부에 난 형상은 서로 다르며, 따라서 유효성분 주입 프로파일은 달라지게 된다.For example, Fig. 11a illustrates a state in which the microneedle (N) has advanced 3 mm and the final penetration depth is 4 mm, and Fig. 11b illustrates a state in which the microneedle (N) has retreated 1 mm after penetrating to the final penetration depth of 4 mm, which is 4 mm. In both Fig. 11a and Fig. 11b, the microneedle (N) has a penetration depth of 3 mm, but the shape formed in the skin by the microneedle (N) penetration is different, and thus the injection profile of the active ingredient becomes different.

예컨대, 도11b에 도시된 바와 같이, 마이크로니들(N)이 최종 침투 깊이인 4mm까지 침투한 후 1mm 후퇴한 상태에서 양압이 생성되는 경우, 마이크로니들(N)이 빠진 직후이기 때문에 마이크로니들(N)이 빠진 자리가 여전히 남아있게 되어서 유효성분이 잘 주입되며, 특히 3mm 근방에서 유효성분이 집중적으로 주입되게 된다.For example, as shown in Fig. 11b, when positive pressure is generated after the microneedle (N) has penetrated to the final penetration depth of 4 mm and then retreated 1 mm, the microneedle (N) has just been removed, so the area where the microneedle (N) was removed still remains, so the active ingredient is well injected, and in particular, the active ingredient is intensively injected near 3 mm.

또한, 생성된 양압을 언제까지 유지할 것인지와 관련하여서는, 마이크로니들(N)이 피부로부터 완전히 빠진 후에도 일정 시간 동안 양압이 유지되도록 할 수 있다. 이를 통해, 마이크로니들(N)이 피부로부터 완전히 빠진 후에도 표피층에 남아 있게 되는 마이크로니들(N)이 빠진 자리로 유효성분이 보다 잘 주입되게 할 수 있다.In addition, with regard to how long the generated positive pressure is maintained, the positive pressure can be maintained for a certain period of time even after the microneedles (N) are completely removed from the skin. Through this, the active ingredient can be better injected into the site where the microneedles (N) are removed, which remains in the epidermal layer even after the microneedles (N) are completely removed from the skin.

일 실시예에서, (디스플레이 장치를 통해 입력되어 프로세서로 전송된) 사용자 입력 정보를 기초로 프로세서는 밸브 개방 시점 내지 공압 펌프의 세기를 설정할 수 있다. 사용자가 조절버튼을 누르면, 공압 펌프가 가동되어, 마이크로니들 피부 침투 장치의 소정 공간 내에 공압이 형성될 수 있다. 니들 커버 내에 배치된 마이크로니들은 니들 커버의 개구를 통해 돌출 내지 인입되도록 마이크로니들을 이동시키고, 이동 단계 중에, 설정된 밸브 개방 시점을 기초로, 형성된 공압이 니들 커버 내에 적용되도록 공간과 니들 커버 사이의 밸브가 개방될 수 있다.In one embodiment, based on user input information (input through the display device and transmitted to the processor), the processor can set the timing of opening the valve and/or the strength of the pneumatic pump. When the user presses the control button, the pneumatic pump can be operated so that pneumatic pressure can be formed within a predetermined space of the microneedle skin penetration device. The microneedles positioned within the needle cover can be moved so that the microneedles protrude or are introduced through the opening of the needle cover, and during the moving step, based on the set valve opening timing, a valve between the space and the needle cover can be opened so that the formed pneumatic pressure is applied within the needle cover.

도 12는 본 개시의 일 실시예에 따른 마이크로니들을 이용한 피부 관리 방법을 나타내는 도면이다.FIG. 12 is a drawing showing a skin care method using microneedles according to one embodiment of the present disclosure.

도 12를 참조하면, 마이크로니들의 삽입 위치 가이드 장치(1200)에 의해 사선으로 삽입되는 마이크로니들의 삽입 위치(1230)가 가이드될 수 있다.Referring to FIG. 12, the insertion position (1230) of the microneedle inserted diagonally can be guided by the microneedle insertion position guide device (1200).

도 7a 내지 도 11b와 같이 목표 지점에 마이크로니들이 도달할 수 있도록 피부의 수직 방향으로 마이크로니들을 삽입하여 섬유화된 조직을 끊어내는 서브시전 방법이 주로 행하여 졌다. 이렇게 피부의 수직 방향으로 마이크로니들을 삽입하게 되면 목표 지점에 정확히 마이크로니들이 도달할 수 있으나, 치료할 수 있는 부위가 매우 한정적이다. 따라서, 본 개시의 일 실시예는 피부에 수직이 아닌, 기울여서 사선으로 마이크로니들을 삽입하여 서브시전을 수행하는 방법을 제공하고자 한다. 다만, 마이크로니들을 단순히 사선으로 삽입하는 경우에는 니들 끝단의 위치를 알 수 없게 되어 목표 지점까지 니들이 정확하게 도달할 수 없어 사선으로 니들을 삽입하면서도 정확한 치료가 가능하도록 삽입 위치 가이드 장치를 이용하는 마이크로니들을 이용한 피부 관리 방법을 제공하고자 한다.As shown in FIGS. 7A to 11B, a subcision method has been mainly performed in which microneedles are inserted vertically into the skin so that the microneedles can reach the target point and sever fibrous tissue. When the microneedles are inserted vertically into the skin in this way, the microneedles can reach the target point accurately, but the area that can be treated is very limited. Therefore, one embodiment of the present disclosure provides a method for performing subcision by inserting microneedles diagonally rather than vertically into the skin. However, when the microneedles are simply inserted diagonally, the position of the needle tip cannot be known, so the needles cannot accurately reach the target point. Therefore, a skin care method using microneedles that uses an insertion position guide device so that accurate treatment is possible even while inserting the needle diagonally is provided.

일 실시예에서, 피부 관리 장치는 하나 이상의 목표 지점(1210)의 위치, 깊이 등을 식별할 수 있다. 여기서, 목표 지점의 위치(1220)란 목표 지점을 수직으로 연장할 때 표피와 만나는 지점을 지칭할 수 있고, 목표 지점의 깊이(D)란 목표 지점의 위치(1220)로부터 목표 지점까지의 깊이를 지칭할 수 있다. 본 개시 전체에서, 피부 관리 장치는 마이크로니들 피부 침투 장치(10)이거나, 마이크로니들 피부 침투 장치(10)와 삽입 위치 가이드 장치(1200)를 포함할 수 있다. 따라서, 피부 관리 장치가 수행하는 동작은 마이크로니들 피부 침투 장치(10)가 수행하는 동작이거나 마이크로니들 피부 침투 장치(10), 삽입 위치 가이드 장치(1200), 또 다른 장치 중 적어도 하나 수행하는 동작일 수 있다. 따라서, 피부 관리 장치가 하나 이상의 목표 지점의 깊이(D)를 식별한다는 것은 마이크로니들 피부 침투 장치(10)가 하나 이상의 목표 지점의 깊이(D)를 식별하거나, 삽입 위치 가이드 장치(1200)가 하나 이상의 목표 지점의 깊이(D)를 식별하거나, 삽입 위치 가이드 장치(1200)에 의해 결정된 하나 이상의 목표 지점 정보를 마이크로니들 피부 침투 장치(10)가 수신하여 하나 이상의 목표 지점의 깊이(D)를 식별하는 것 등을 포함할 수 있다.In one embodiment, the skin care device can identify the location, depth, etc. of one or more target points (1210). Here, the location (1220) of the target point can refer to a point where the target point meets the epidermis when extended vertically, and the depth (D) of the target point can refer to a depth from the location (1220) of the target point to the target point. Throughout the present disclosure, the skin care device can be a microneedle skin penetration device (10), or can include a microneedle skin penetration device (10) and an insertion position guide device (1200). Accordingly, an operation performed by the skin care device can be an operation performed by the microneedle skin penetration device (10), or an operation performed by at least one of the microneedle skin penetration device (10), the insertion position guide device (1200), and another device. Accordingly, the skin care device identifying the depth (D) of one or more target points may include the microneedle skin penetration device (10) identifying the depth (D) of one or more target points, the insertion location guide device (1200) identifying the depth (D) of one or more target points, or the microneedle skin penetration device (10) receiving one or more target point information determined by the insertion location guide device (1200) to identify the depth (D) of one or more target points.

일 실시예에서, 피부 관리 장치는 목표 지점에 대한 사용자 입력을 획득하고, 사용자 입력에 기초하여 목표 지점(1210)의 위치 및 깊이를 식별할 수 있다. 또는, 피부 관리 장치는 초음파 장치와 같은 검사 장치를 이용하여 목표 지점(1210)의 위치 및 깊이를 식별할 수 있다.In one embodiment, the skin care device may obtain user input for a target point and identify the location and depth of the target point (1210) based on the user input. Alternatively, the skin care device may identify the location and depth of the target point (1210) using an inspection device such as an ultrasound device.

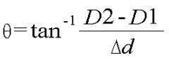
일 실시예에서, 피부 관리 장치는 식별한 하나 이상의 목표 지점의 위치 및 깊이에 기초하여, 마이크로니들의 삽입 위치(1230), 삽입 길이(L), 삽입 각도(θ) 등을 포함하는 니들 삽입 정보를 결정할 수 있다.In one embodiment, the skin care device can determine needle insertion information, including an insertion location (1230) of the microneedle, an insertion length (L), an insertion angle (θ), and the like, based on the location and depth of one or more identified target points.

예를 들어, 기구적으로 삽입 각도(θ)가 결정된 경우, 삽입 길이(L)는

Figure pat00001
로, 삽입 위치(1230)는 목표 지점의 위치(1220)로부터
Figure pat00002
만큼 떨어진 지점으로 결정될 수 있다. 이 경우, 삽입 위치(1230)는 목표 지점의 위치(1220)를 중심으로 하고 반지름이 d인 지점들의 집합인 원의 형태로 결정될 수 있다.For example, if the insertion angle (θ) is mechanically determined, the insertion length (L) is
Figure pat00001
, the insertion position (1230) is from the position of the target point (1220).
Figure pat00002
In this case, the insertion position (1230) can be determined in the form of a circle that is a set of points with a radius of d and a center at the position of the target point (1220).

또는, 예를 들어, 기구적으로 니들 끝단까지의 거리(L)가 결정된 경우, 목표 지점의 위치(1220)로부터 삽입 위치(1230)까지의 길이는

Figure pat00003
로 결정될 수 있다. 이 경우에도 삽입 위치(1230)는 목표 지점의 위치(1220)를 중심으로 하고 반지름이 d인 지점들의 집합인 원의 형태로 결정될 수 있다.Or, for example, if the distance (L) to the tip of the needle is determined mechanically, the length from the position of the target point (1220) to the insertion position (1230) is
Figure pat00003
can be determined. In this case, the insertion position (1230) can also be determined in the form of a circle that is a set of points with a radius of d and a center at the position of the target point (1220).

마찬가지로, 삽입 위치(1230)가 사용자 입력 등에 의해 결정되거나, 기구적으로 니들 끝단까지의 거리(L)가 결정되거나, 기구적으로 삽입 각도(θ)가 결정되거나, 삽입 위치, 삽입 길이, 삽입 각도 중 어느 두 개가 기 설정된 경우,

Figure pat00004
Figure pat00005
을 이용하여 다른 변수들의 값이 결정될 수 있음은 물론이다.Similarly, if the insertion position (1230) is determined by user input, etc., or the distance (L) to the needle tip is determined mechanically, or the insertion angle (θ) is determined mechanically, or any two of the insertion position, insertion length, and insertion angle are preset,
Figure pat00004
and
Figure pat00005
Of course, the values of other variables can be determined using this.

일 실시예에서, 피부 관리 장치는 니들 삽입 정보에 기초하여, 상기 마이크로니들이 삽입 위치(1230)에서 삽입 각도(θ)로 삽입된 후 전진 및 후진하여 다시 삽입 위치로 복귀하는 니들링을 수행할 수 있다.In one embodiment, the skin care device can perform needling based on needle insertion information, in which the microneedle is inserted at an insertion angle (θ) at an insertion location (1230), and then moved forward and backward and then returned to the insertion location.

일 실시예에서, 삽입 위치 가이드 장치(1200)는 더 정확한 치료를 위하여 목표 지점의 위치(1220), 삽입 위치(1230) 등을 포인팅 장치를 이용하여 표시할 수 있다. 포인팅 장치는 예를 들어 레이저 포인터일 수 있다. 예를 들어, 삽입 위치 가이드 장치(1200)는 제1 포인팅 장치를 이용하여 삽입 위치(1230)를 포인팅하고, 제2 포인팅 장치를 이용하여 목표 지점의 위치(1220)를 포인팅할 수 있다. 예를 들어, 제1 포인팅 장치가 적색 레이저 포인터이고, 제2 포인팅 장치가 청색 레이저 포인터인 경우 삽입 위치(1230)는 적색으로 표시되고 목표 지점의 위치(1220)는 청색으로 표시될 수 있다. 둘 중 어느 하나만 표시될 수 있음은 물론이다.In one embodiment, the insertion position guide device (1200) may display the location of the target point (1220), the insertion location (1230), etc., using a pointing device for more accurate treatment. The pointing device may be, for example, a laser pointer. For example, the insertion position guide device (1200) may point to the insertion location (1230) using a first pointing device, and may point to the location of the target point (1220) using a second pointing device. For example, when the first pointing device is a red laser pointer and the second pointing device is a blue laser pointer, the insertion location (1230) may be displayed in red, and the location of the target point (1220) may be displayed in blue. Of course, only one of the two may be displayed.

일 실시예에서, 포인팅 장치는 각도 조절이 가능한 미러(mirror)에 의해 목표 지점의 위치(1220), 삽입 위치(1230) 등을 표시하도록 설정될 수 있다. 예를 들어, 포인팅 장치의 위치는 고정되고, 미러의 각도만을 조절하여 해당 위치가 특정되도록 포인팅될 수 있다. 일 실시예에서, 포인팅 장치에는 레이저 포인터가 아닌 소형 프로젝터가 이용될 수 있음은 물론이다.In one embodiment, the pointing device may be configured to indicate the location (1220) of the target point, the insertion location (1230), etc. by means of a mirror whose angle can be adjusted. For example, the location of the pointing device may be fixed, and the pointing device may be configured to point to a specific location by only adjusting the angle of the mirror. In one embodiment, it should be understood that a small projector may be used instead of a laser pointer as the pointing device.

일 실시예에 따르면, 삽입 위치(1230)가 포인팅 장치에 의해 특정되므로, 의사와 같은 치료 수행자는 해당 위치에서 마이크로니들 피부 침투 장치(10)의 니들을 삽입할 수 있어 정확한 치료가 가능해질 수 있다.In one embodiment, since the insertion location (1230) is specified by the pointing device, a treatment practitioner such as a doctor can insert the needle of the microneedle skin penetration device (10) at that location, thereby enabling precise treatment.

도 13은 본 개시의 일 실시예에 따른 니들 끝단의 위치가 포인팅되는 방법을 나타내는 도면이다.FIG. 13 is a drawing showing how the position of a needle tip is pointed according to one embodiment of the present disclosure.

도 13을 참조하면, 마이크로니들 피부 침투 장치(10)가 피부 관리 장치 작동 시 피부 표피에 삽입된 후에는 삽입 위치 가이드 장치(1200)에 의해 니들 끝단의 위치가 추적되어 포인팅될 수 있다. 즉, 삽입 위치 가이드 장치(1200)는 피부 관리 장치 작동 시 니들 끝단의 현재 위치에 대응되는 지점(1300)을 피부 위에 표시할 수도 있다.Referring to FIG. 13, after the microneedle skin penetration device (10) is inserted into the skin epidermis when the skin care device is in operation, the position of the needle tip can be tracked and pointed by the insertion position guide device (1200). That is, the insertion position guide device (1200) can also display a point (1300) corresponding to the current position of the needle tip when the skin care device is in operation on the skin.

도 14는 본 개시의 일 실시예에 따른 스태킹 모드 설정을 위한 사용자 인터페이스를 나타내는 도면이다.FIG. 14 is a diagram illustrating a user interface for setting a stacking mode according to one embodiment of the present disclosure.

도 14를 참조하면, 마이크로니들 피부 침투 장치(10)가 니들링 동작을 자동으로 반복 수행하도록 설정되는 경우(즉, 자동 모드로 설정되는 경우), 니들링 동작이 자동으로 반복될 때 어떤 방식으로 수행될지에 대하여 사용자에게 복수 개의 설정 중 적어도 하나 이상을 제공할 수 있다.Referring to FIG. 14, when the microneedle skin penetration device (10) is set to automatically repeat the needling motion (i.e., set to the automatic mode), at least one of a plurality of settings may be provided to the user as to how the needling motion will be performed when automatically repeated.

일 실시예에서, 마이크로니들 피부 침투 장치(10)가 니들링 동작을 자동으로 반복 수행하도록 설정하는 경우, 본 발명의 일 실시예에 따르면, 사용자에 의해 니들링 동작들 사이(즉, 제1 니들링에서 제2 니들링)의 시간 간격(time interval)이 설정될 수 있다. 일 예로서, 자동 모드 시 시간 간격은 약 100 내지 약 1,000 msec의 범위 내에서 설정될 수 있다. 예컨대, 시간 간격은 약 100, 약 200, 약 300, 약 400, 약 500, 약 600, 약 700, 약 800, 약 900, 약 1,000 msec 중 어느 하나로 설정될 수 있다. 시간 간격을 설정하기 위한 사용자 인터페이스는 사용자가 자동 모드를 선택하면 제공되도록 구성될 수 있다. 예컨대, 사용자는 타이핑을 통해 원하시는 시간 간격을 입력할 수 있거나, 또는 사용자 인터페이스에 위 화살표 및 아래 화살표를 클릭 버튼으로 포함시켜서, 사용자가 위 화살표 또는 아래 화살표 클릭 버튼을 클릭함으로써 시간 간격을 증감시킬 수도 있다.In one embodiment, when the microneedle skin penetration device (10) is set to automatically repeat the needling motion, according to one embodiment of the present invention, a time interval between the needling motions (i.e., from the first needling to the second needling) may be set by the user. As an example, the time interval in the automatic mode may be set within a range of about 100 to about 1,000 msec. For example, the time interval may be set to any one of about 100, about 200, about 300, about 400, about 500, about 600, about 700, about 800, about 900, and about 1,000 msec. A user interface for setting the time interval may be configured to be provided when the user selects the automatic mode. For example, the user could enter a desired time interval by typing, or the user interface could include up and down arrows as click buttons so that the user can increase or decrease the time interval by clicking the up or down arrow buttons.

본 개시의 일 실시예에 따른 마이크로니들 피부 침투 장치(10)는 스태킹 모드(stacking mode)로 수행될 수 있다. 본 개시 전체에서 "스태킹 모드"란, 마이크로니들의 소정의 연속되는 복수의 니들링들에 대해 각 니들링 별로 침투 깊이가 설정된 하나의 동작 모드를 지칭할 수 있다. 이에 따라 스태킹 모드에서는 니들링이 동일한 피부 표면의 위치에서 일정 시간 간격으로 2회 이상(즉, 복수회) 연속하여 진행되는 것이며, 이 때 시간 간격은 각 니들링 사이마다 동일하거나 상이할 수 있다. 일 예에서, 위 시간 간격은 약 100 내지 약 1,000 msec의 범위 내에서 설정될 수 있다. 예컨대, 시간 간격은 약 100, 약 200, 약 300, 약 400, 약 500, 약 600, 약 700, 약 800, 약 900, 약 1,000 msec 중 어느 하나로 설정될 수 있으나 이로 제한되지는 않는다.The microneedle skin penetration device (10) according to one embodiment of the present disclosure may be operated in a stacking mode. Throughout the present disclosure, the term "stacking mode" may refer to one operation mode in which a penetration depth is set for each needling of a predetermined number of consecutive needlings of microneedles. Accordingly, in the stacking mode, needling is performed consecutively two or more times (i.e., multiple times) at a predetermined time interval at a location on the same skin surface, and the time interval may be the same or different between each needling. In one example, the time interval may be set within a range of about 100 to about 1,000 msec. For example, the time interval may be set to any one of about 100, about 200, about 300, about 400, about 500, about 600, about 700, about 800, about 900, and about 1,000 msec, but is not limited thereto.

일 실시예에서, 스태킹 모드에서 상기 니들링 스태킹의 횟수는 복수회이면 제한없이 사용될 수 있으며, 예컨대 2회 내지 10회 중 선택될 수 있으며, 이러한 횟수는 피험자의 피부 상태 등에 따라 사용자에 의해 적절히 선택될 수 있다. 이때 스태킹 모드에서 반복 수행되는 니들링 스태킹은 자동 모드로 수행될 수 있다.In one embodiment, the number of times of the needling stacking in the stacking mode can be used without limitation as long as it is multiple times, and can be selected from, for example, 2 to 10 times, and the number of times can be appropriately selected by the user depending on the skin condition of the subject, etc. In this case, the needling stacking repeatedly performed in the stacking mode can be performed in an automatic mode.

일 실시예에서, 스태킹 모드의 니들링은 각각 동일 또는 상이한 니들의 침투 깊이로 수행될 수 있으며, 예컨대 니들의 침투 깊이는 각각 약 0 초과 약 7 mm 이하일 수 있고, 각 침투 깊이는 0.25 mm 간격으로 선택될 수 있다(예컨대, 0, 0.25, 0.5, 1 mm 등). 니들의 침투 깊이 역시 피험자의 피부 상태 등에 따라 사용자에 의해 적절히 선택될 수 있다. 일 구체예에서, 스태킹 모드에서 상기 니들링은 2회 또는 3회 반복하여 수행되며, 이 때 니들의 침투 깊이는 약 0.25 내지 6 mm, 예컨대 2회 반복 수행되는 경우, 0.25 및 0.5 mm, 3회 반복 수행되는 경우, 0.25, 0.5, 0.5mm; 혹은 0.5, 1, 1 mm 등으로 수행될 수 있다.In one embodiment, the needling in the stacking mode can be performed with the same or different needle penetration depths, for example, the needle penetration depths can be each greater than about 0 and less than or equal to about 7 mm, and each penetration depth can be selected at an interval of 0.25 mm (e.g., 0, 0.25, 0.5, 1 mm, etc.). The needle penetration depths can also be appropriately selected by the user depending on the skin condition of the subject, etc. In one specific example, the needling in the stacking mode is performed twice or three times, and at this time, the needle penetration depths can be about 0.25 to 6 mm, for example, 0.25 and 0.5 mm when performed twice, and 0.25, 0.5, 0.5 mm when performed three times; or 0.5, 1, 1 mm, etc.

설명의 편의를 위해, 본 개시 전체에서, 하나의 스태킹 모드 내에서의 각 니들링은 "니들링 스태킹" 또는 간단히 "스태킹"으로 지칭하기도 한다. 즉, 하나의 스태킹 모드 내에서의 이전의 니들링은 "제1 (니들링) 스태킹"으로 지칭하며, 그 다음번 니들링은 "제2 (니들링) 스태킹"으로 지칭할 수 있다. 혹은 경우에 따라서는 첫번째 니들링을 제1 (니들링) 스태킹으로 지칭하고, 두번째 니들링을 제2 (니들링) 스태킹으로 지칭할 수 있다.For convenience of explanation, throughout this disclosure, each needling within a stacking mode is also referred to as a "needling stacking" or simply a "stacking." That is, a previous needling within a stacking mode may be referred to as a "first (needling) stacking," and the subsequent needling may be referred to as a "second (needling) stacking." Alternatively, the first needling may be referred to as a first (needling) stacking, and the second needling may be referred to as a second (needling) stacking, as the case may be.

한편, 예컨대 스태킹이 3회 반복되는 하나의 스태킹 모드에서, 3회 스태킹이 자동으로 반복되는 것을 "스태킹 세트"라고 지칭한다. 즉, 3회 스태킹 반복이 완료된 것을 "제1 스태킹 세트"라고 한다면, 그 다음번 3회 스태킹 반복이 완료된 것을 "제2 스태킹 세트"라고 지칭할 수 있다. 위 설명한 바와 같이, 각 (니들링) 스태킹 별로 침투 깊이가 설정될 수 있으며, 각 스태킹 별로 침투 깊이는 이전 (니들링) 스태킹과 동일한 침투 깊이로 설정될 수도 있고, 이전 (니들링) 스태킹과 다른 침투 깊이로 설정될 수도 있다.Meanwhile, in a stacking mode in which stacking is repeated three times, for example, the three-time automatic stacking repetition is referred to as a "stacking set". That is, if the three-time stacking repetition is called a "first stacking set", the next three-time stacking repetition can be called a "second stacking set". As described above, the penetration depth can be set for each (needling) stacking, and the penetration depth for each stacking can be set to the same penetration depth as the previous (needling) stacking, or can be set to a different penetration depth than the previous (needling) stacking.

도 14에서 도시되는 스태킹 모드는 3회의 (니들링) 스태킹을 하도록 설정된 상태이다. 제1 스태킹은 0.75 mm의 침투 깊이로 니들링하도록 설정된 상태이며, 사용자가 위 화살표 또는 아래 화살표를 클릭함으로써, 설정하고자 하는 침투 깊이를 증가시키거나 감소시킬 수 있다. 즉, 제1 스태킹 시 마이크로니들은 홈포지션 위치에서 0.75 mm의 침투 깊이로 전진 후 후진하여 홈포지션 위치로 복귀하게 된다. 제2 스태킹은 0.50 mm의 침투 깊이로 니들링하도록 설정된 상태이다. 시간 간격이, 예컨대, 100 msec로 설정된 상태이면, 제1 스태킹 후 100 msec 후 제2 스태킹이 수행된다. 즉, 홈포지션 위치로 복귀되었던 마이크로니들은 0.50 mm의 침투 깊이로 전진 후 후진하여 홈포지션 위치로 복귀하게 된다. 마찬가지로, 제3 스태킹은 제2 스태킹 후 100 msec 후 수행되어 홈포지션 위치로 복귀되었던 마이크로니들은 0.25 mm의 침투 깊이로 전진 후 후진하여 홈포지션 위치로 복귀하게 된다. 이러한 스태킹 모드는 반복 수행되는데, 즉, 위 스태킹이 3회 반복되는 제1 스태킹 세트 후 100 msec 후에는 제2 스태킹 세트의 제1 스태킹이 다시 수행될 수 있다. 위 예시에서 제1 스태킹과 제2 스태킹, 그리고 제2 스태킹과 제3 스태킹은 모두 100 msec의 시간 간격으로 진행되는 것으로 설명되었으나, 이들은 서로 상이한 시간 간격으로 진행될 수도 있다. 예컨대 제1 스태킹과 제2 스태킹은 100 msec의 시간 간격으로 진행되고, 제2 스태킹과 제3 스태킹은 200 msec의 시간 간격으로 진행될 수 있다.The stacking mode illustrated in Fig. 14 is set to perform three (needling) stackings. The first stacking is set to needling with a penetration depth of 0.75 mm, and the user can increase or decrease the desired penetration depth by clicking the up arrow or the down arrow. That is, during the first stacking, the microneedle advances from the home position to a penetration depth of 0.75 mm and then moves backward to return to the home position. The second stacking is set to needling with a penetration depth of 0.50 mm. When the time interval is set to, for example, 100 msec, the second stacking is performed 100 msec after the first stacking. That is, the microneedle that has returned to the home position advances to a penetration depth of 0.50 mm and then moves backward to return to the home position. Similarly, the third stacking is performed 100 msec after the second stacking, and the microneedles, which had returned to the home position, advance with a penetration depth of 0.25 mm and then move backward to return to the home position. This stacking mode is repeatedly performed, that is, the first stacking of the second stacking set can be performed again 100 msec after the first stacking set in which the above stacking is repeated three times. In the above example, the first stacking and the second stacking, and the second stacking and the third stacking, are all described as being performed at a time interval of 100 msec, but they may be performed at different time intervals. For example, the first stacking and the second stacking may be performed at a time interval of 100 msec, and the second stacking and the third stacking may be performed at a time interval of 200 msec.

이와 같은 스태킹 모드를 통해, 1회 조절버튼(110)을 누름으로써, 마이크로니들이 동일한 피부 위치에 여러 번 침투하여 마이크로 니들링의 기전과 유효성분(약물 등) 주입을 통해 피부의 여러 층(예컨대, 유두층, 망상층 등)을 한번에 치료 가능해질 수 있다. 즉, 전체 피부층에 대해 치료가 가능해진다. 본 개시 전체에서 "피부"라는 용어는 전체 피부로서 두피도 포함되는 것으로 이해되어야 한다. 예컨대, 본 개시의 일 실시예에 따른 마이크로니들 피부 침투 장치는 두피에 유효성분을 주입하기 위해서도 사용될 수 있음은 물론이다.Through this stacking mode, by pressing the single control button (110), the microneedles can penetrate the same skin location multiple times, and multiple layers of the skin (e.g., the papillary layer, the reticular layer, etc.) can be treated at once through the mechanism of microneedling and the injection of effective ingredients (drugs, etc.). That is, treatment is possible for the entire skin layer. It should be understood that the term "skin" throughout this disclosure includes the scalp as the entire skin. For example, it goes without saying that the microneedle skin penetration device according to one embodiment of the present disclosure can also be used to inject effective ingredients into the scalp.

일 실시예에서, 본 발명의 스태킹 모드는 사용자의 선택에 따라 수동 모드 또는 자동 모드로 수행될 수 있다. 상기 수동 모드는 제1 피부 위치에서 수행되는 제1 스태킹 세트에서 제2 피부 위치에서 수행되는 제2 스태킹 세트로 진행시마다 사용자의 입력 정보가 요구되는 것을 의미한다. 상기 자동 모드는 최초 1회의 사용자의 입력 정보에 기초하여 상기 제1 스태킹 세트에서 제2 스태킹 세트로 자동 진행되는 것을 의미한다. 단, 스태킹 모드를 수동 모드로 진행하건 혹은 자동 모드로 진행하건 간에, 스태킹 모드 내의 복수회의 니들링 스태킹은 자동 모드로 수행된다. 위 설명한 스태킹 모드의 세부적인 기능, 즉, 니들린 스태킹의 횟수, 시간 간격, 침투 깊이, 스태킹 세트 간의 수동/자동 모드의 선택 등은 사용자의 입력 정보에 기초할 수 있다.In one embodiment, the stacking mode of the present invention can be performed in a manual mode or an automatic mode according to a user's selection. The manual mode means that user input information is required each time the first stacking set performed at a first skin location is performed to a second stacking set performed at a second skin location. The automatic mode means that the first stacking set is automatically performed to the second stacking set based on the user's input information once at the beginning. However, regardless of whether the stacking mode is performed in the manual mode or the automatic mode, multiple needling stackings within the stacking mode are performed in the automatic mode. The detailed functions of the stacking mode described above, such as the number of needling stackings, the time interval, the penetration depth, the selection of the manual/automatic mode between the stacking sets, etc., can be based on the user's input information.

일 실시예에서, 사용자는 하나의 스태킹 모드 내의 각 니들링 별로 양압 부여 시점을 설정할 수 있다. 예컨대, 하나의 스태킹 모드가 2회 반복하는 니들링 스태킹을 수행하는 경우, 제1 니들링 스태킹의 양압 부여 시점과 제2 니들링 스태킹의 양압 부여 시점(예컨대, 양압 부여 시의 마이크로니들의 침투 깊이, 즉 타겟 깊이)은 서로 동일하거나 상이할 수 있으며, 이는 사용자의 입력 정보에 따라 진행될 수 있다. 스태킹 모드 설정을 위한 사용자 인터페이스에서는 스태킹 모드의 니들링 횟수 및 각 니들링 별로 침투 깊이의 설정에 추가하여, 각 니들링 별 양압 부여 시점을 설정할 수 있다. 이러한 구성을 통해, 사용자는 스태킹 모드에서 각 스태킹 별로 마이크로니들의 최종 침투 길이 및 양압 부여 시점(양압 부여 시의 마이크로니들의 침투 깊이, 즉 타겟 깊이)를 설정함으로써, 각 스태킹 별로 유효성분의 피부 주입 프로파일을 최적화시킬 수 있게 된다. 다시 말해서, 한번에 피부의 여러 층을 치료할 수 있을 뿐만 아니라, 치료하고자 하는 층마다 유효성분의 피부 주입 프로파일을 최적화시킬 수 있게 된다.In one embodiment, a user can set a positive pressure application time for each needling within one stacking mode. For example, when one stacking mode performs needling stacking that repeats twice, the positive pressure application time for the first needling stacking and the positive pressure application time for the second needling stacking (e.g., the penetration depth of the microneedles during positive pressure application, i.e., the target depth) can be the same or different, and this can be done according to the user's input information. In the user interface for setting the stacking mode, in addition to setting the number of needlings in the stacking mode and the penetration depth for each needling, the positive pressure application time for each needling can be set. Through this configuration, the user can set the final penetration length of the microneedles and the positive pressure application time (the penetration depth of the microneedles during positive pressure application, i.e., the target depth) for each stacking in the stacking mode, thereby optimizing the skin injection profile of the active ingredient for each stacking. In other words, not only can multiple layers of the skin be treated at once, but the skin injection profile of the active ingredients can be optimized for each layer to be treated.

본 개시의 일 실시예에 따른 스태킹 모드가 장착된 피부 관리 장치, 특히 양압 생성 장치는 피부의 정확한 위치에 정확한 깊이로 니들이 반복적으로 삽입되도록 하므로, 약물, 특히 스킨부스터와 같은 제품을 함께 사용하는 경우, 피부에 도포된 약물이 원하는 부위에 잘 전달될 수 있도록 하며, 이와 동시에 공압 기체가 피부 아래 섬유질에 반복적으로 분사될 수 있다(에어포켓 생성). 이에 따라 약물로 인한 피부결의 개선, 콜라겐 촉진 등은 물론, 특히 피부 흉터 전반에 걸친 섬유질을 끊어주게 되어 소위 "서브시전" 효과를 유용하게 달성할 수 있다.A skin care device equipped with a stacking mode according to one embodiment of the present disclosure, particularly a positive pressure generating device, allows needles to be repeatedly inserted into a precise location and depth of the skin, so that when a drug, particularly a product such as a skin booster, is used together, the drug applied to the skin can be well delivered to a desired area, and at the same time, pneumatic gas can be repeatedly sprayed to the fibers under the skin (air pocket generation). Accordingly, not only can skin texture be improved due to the drug, collagen can be promoted, but fibers throughout the skin scar can also be broken, so as to effectively achieve the so-called "subcision" effect.

도 15는 본 개시의 일 실시예에 따른 스태킹 모드 시 마이크로니들을 이용한 피부 관리 방법을 나타내는 도면이다.FIG. 15 is a drawing showing a skin care method using microneedles in stacking mode according to one embodiment of the present disclosure.

도 15를 참조하면, 스태킹 모드로 동작하는 경우에도 마이크로니들을 사선으로 삽입함으로써 피부 관리 방법이 수행될 수 있다. 일 실시예에서, 피부 관리 장치는 제1 목표 지점(1520)의 위치(1540) 및 깊이(D1)와 제2 목표 지점(1510)의 위치(1530) 및 깊이(D2)를 식별할 수 있다. 피부 관리 장치는 제1 목표 지점의 위치(1540)와 제2 목표 지점의 위치(1530)에 기초하여, 위치 차이(△d)를 결정할 수 있다. 피부 관리 장치는 제1 목표 지점(1520)의 깊이(D1), 제2 목표 지점(1510)의 깊이(D2), 위치 차이(△d)에 기초하여 삽입 각도(θ)를

Figure pat00006
로 결정할 수 있다. 또한, 삽입 각도(θ)가 결정됨에 따라, 니들의 삽입 길이
Figure pat00007
가 결정될 수 있다. 마찬가지로, d1, d2가 결정될 수 있으며 삽입 위치(1550)는 제1 목표 지점의 위치(1540)를 중심으로 하고 반지름이 d1인 지점들의 집합인 원과 제2 목표 지점의 위치(1530)를 중심으로 하고 반지름이 d2인 지점들의 집합인 원이 만나는 지점(1550)으로 결정될 수 있다.Referring to FIG. 15, a skin care method can be performed by inserting microneedles diagonally even when operating in a stacking mode. In one embodiment, the skin care device can identify a position (1540) and a depth (D1) of a first target point (1520) and a position (1530) and a depth (D2) of a second target point (1510). The skin care device can determine a position difference (△d) based on the position (1540) of the first target point and the position (1530) of the second target point. The skin care device determines an insertion angle (θ) based on the depth (D1) of the first target point (1520), the depth (D2) of the second target point (1510), and the position difference (△d).
Figure pat00006
can be determined. In addition, as the insertion angle (θ) is determined, the insertion length of the needle
Figure pat00007
can be determined. Similarly, d1 and d2 can be determined, and the insertion position (1550) can be determined as a point (1550) where a circle, which is a set of points centered at the position (1540) of the first target point and having a radius of d1, and a circle, which is a set of points centered at the position (1530) of the second target point and having a radius of d2, meet.

일 실시예에서, 피부 관리 장치는 결정된 삽입 위치(1550)에서, 제1 스태킹을 L1의 길이만큼 제1 침투 깊이로 설정하고 제2 스태킹을 L2의 길이만큼 제2 침투 깊이로 설정한 후, 사용자가 1회 조절버튼(110)을 누름으로써, 상기 제1 목표 지점에 대응되는 삽입 길이의 니들링과 상기 제2 목표 지점에 대응되는 삽입 길이의 니들링을 수행하는 스태킹 모드를 이용하여 마이크로니들이 동일한 피부 위치에 여러 번 침투하여 마이크로 니들링의 기전과 유효성분(약물 등) 주입을 통해 피부의 여러 곳을 한번에 치료할 수 있다.In one embodiment, the skin care device sets the first stacking to a first penetration depth equal to the length of L1 at a determined insertion location (1550), sets the second stacking to a second penetration depth equal to the length of L2, and then, by the user pressing the adjustment button (110) once, performs needling with an insertion length corresponding to the first target point and needling with an insertion length corresponding to the second target point, thereby allowing the microneedles to penetrate the same skin location multiple times and treat multiple areas of the skin at once through the mechanism of microneedling and injection of an effective ingredient (such as a drug).

도 16은 본 개시의 일 실시예에 따른 스태킹 모드에서 목표 지점들의 위치들이 포인팅되는 방법을 나타내는 도면이다.FIG. 16 is a diagram illustrating how the positions of target points are pointed in a stacking mode according to one embodiment of the present disclosure.

도 16을 참조하면, 스태킹 모드에서는 목표 지점이 복수 개이어서 목표 지점의 위치(1610, 1620, 1630) 또한 복수 개 일 수 있다. 따라서, 삽입 위치 가이드 장치(1200)는 각 목표 지점의 위치(1610, 1620, 1630)와 삽입 위치(1640) 등을 각각 포인팅하도록 구성될 수 있으며, 더 나아가 현재 니들 끝단의 위치 또한 포인팅하도록 구성될 수도 있다.Referring to FIG. 16, in the stacking mode, since there are multiple target points, the positions (1610, 1620, 1630) of the target points may also be multiple. Accordingly, the insertion position guide device (1200) may be configured to point to the positions (1610, 1620, 1630) of each target point and the insertion position (1640), and further, may be configured to point to the position of the current needle tip.

도 17은 본 개시의 일 실시예에 따른 마이크로니들을 이용한 피부 관리 방법의 흐름도이다.FIG. 17 is a flow chart of a skin care method using microneedles according to one embodiment of the present disclosure.

도 17을 참조하면, 동작 1710에서 피부 관리 장치는 하나 이상의 목표 지점의 깊이를 식별할 수 있다. 일 실시예에서, 피부 관리 장치는 하나 이상의 병변에 기초하여 각 병변을 목표 지점으로 설정하고, 설정한 하나 이상의 목표 지점의 깊이를 식별할 수 있다. 또한, 피부 관리 장치는 목표 지점의 위치도 식별할 수 있다. 여기서, 목표 지점의 위치란, 목표 지점을 수직으로 연장할 때 피부 표면과 만나는 지점으로, 피부 관리 장치는 목표 지점의 피부 표면 내 대응 위치를 식별할 수 있다.Referring to FIG. 17, in operation 1710, the skin care device can identify the depth of one or more target points. In one embodiment, the skin care device can set each lesion as a target point based on one or more lesions, and identify the depth of the set one or more target points. In addition, the skin care device can also identify the location of the target point. Here, the location of the target point refers to a point where the target point meets the skin surface when extended vertically, and the skin care device can identify the corresponding location of the target point within the skin surface.

동작 1730에서, 피부 관리 장치는 하나 이상의 목표 지점의 위치, 깊이 중 적어도 하나에 기초하여, 마이크로니들의 삽입 위치, 삽입 길이, 또는 삽입 각도 중 적어도 하나를 포함하는 니들 삽입 정보를 결정할 수 있다.In operation 1730, the skin care device can determine needle insertion information including at least one of an insertion location, an insertion length, or an insertion angle of a microneedle based on at least one of a location, a depth, or the like of one or more target points.

동작 1750에서, 피부 관리 장치는 결정한 니들 삽입 정보를 출력할 수 있다. 예를 들어, 기구적으로 각도가 고정된 경우에는 삽입 위치와 삽입 길이를 출력하거나, 삽입 길이가 고정된 경우에는 삽입 위치와 삽입 각도를 출력할 수 있다. 여기서, 삽입 위치는 포인팅 장치 등을 이용하여 포인팅함으로써 출력될 수 있다.In operation 1750, the skin care device can output determined needle insertion information. For example, if the angle is mechanically fixed, the insertion position and the insertion length can be output, or if the insertion length is fixed, the insertion position and the insertion angle can be output. Here, the insertion position can be output by pointing using a pointing device or the like.

일 실시예에서, 삽입 위치 가이드 장치를 이용하여 피부의 삽입 위치에 포인팅을 수행할 수 있다. 일 실시예에서, 삽입 위치 가이드 장치는 포인팅 장치(예를 들어, 레이저 포인터), 각도 조절이 가능한 미러, 초음파 기기, 소형 프로젝터, 스크린 등을 포함할 수 있다. 포인팅 장치는 삽입 위치를 가리키는 제1 포인팅 장치, 목표 지점의 위치를 가리키는 제2 포인팅 장치, 니들링 수행 시 마이크로니들의 끝단의 위치를 가리키는 제3 포인팅 장치 등을 포함할 수 있다. 제1 포인팅 장치, 제2 포인팅 장치, 제3 포인팅 장치 중 적어도 하나가 복수 개로 이루어질 수 있음은 물론이다.In one embodiment, the insertion location guide device can be used to perform pointing at the insertion location of the skin. In one embodiment, the insertion location guide device can include a pointing device (e.g., a laser pointer), an angle-adjustable mirror, an ultrasound device, a small projector, a screen, etc. The pointing device can include a first pointing device that points to the insertion location, a second pointing device that points to the location of a target point, a third pointing device that points to the location of a tip of a microneedle when needling is performed, etc. It should be understood that at least one of the first pointing device, the second pointing device, and the third pointing device can be formed in multiple units.

동작 1770에서, 피부 관리 장치는 마이크로니들이 상기 삽입 위치에서 상기 삽입 각도로 삽입된 후 전진 및 후진하여 다시 삽입 위치로 복귀하는 니들링을 수행할 수 있다.In operation 1770, the skin care device can perform needling in which the microneedle is inserted at the insertion angle at the insertion location and then moved forward and backward to return to the insertion location.

만약, 한 번의 동작으로 복수 개의 병변을 치료하고자 하는 스태킹 모드를 수행할 경우에는 피부 관리 장치는 복수 개 병변 각각에 대응되는 목표 지점의 위치, 깊이 등을 식별하고, 복수 개의 목표 지점에 기초하여, 마이크로니들의 삽입 위치, 복수 개의 목표 지점 각각에 대응되는 삽입 길이, 삽입 각도 중 적어도 하나를 포함하는 니들 삽입 정보를 결정하고, 결정한 삽입 위치에서 각 목표 지점에 대응되는 삽입 길이의 니들링들을 수행할 수 있다. 일 실시예에서, 스태킹 모드에서 니들링 스태킹은 2 내지 10회 반복하여 수행될 수 있고, 니들의 침투 깊이는 각각 0 초과 7 mm 이하일 수 있다.If a stacking mode is performed to treat multiple lesions with a single operation, the skin care device may identify the location, depth, etc., of target points corresponding to each of the multiple lesions, and, based on the multiple target points, determine needle insertion information including at least one of an insertion location of a microneedle, an insertion length corresponding to each of the multiple target points, and an insertion angle, and perform needling with an insertion length corresponding to each target point at the determined insertion location. In one embodiment, the needling stacking may be performed 2 to 10 times repeatedly in the stacking mode, and the penetration depth of the needle may be greater than 0 and less than or equal to 7 mm, respectively.

도 18은 본 개시의 일 실시예에 따른 마이크로니들을 이용한 피부 관리 장치의 블록도이다.FIG. 18 is a block diagram of a skin care device using microneedles according to one embodiment of the present disclosure.

도 18을 참조하면, 피부 관리 장치(1800)는 송수신부(1810), 디스플레이(1820), 메모리(1830), 및 프로세서(1840)를 포함할 수 있다. 그러나, 도 18에 도시된 구성 요소 모두가 피부 관리 장치(1800)의 필수 구성 요소인 것은 아니다. 도 18에 도시된 구성 요소보다 많은 구성 요소에 의해 피부 관리 장치(1800)가 구현될 수도 있고, 도 18에 도시된 구성 요소보다 적은 구성 요소에 의해 피부 관리 장치(1800)가 구현될 수도 있다. 뿐만 아니라 송수신부(1810), 디스플레이(1820), 메모리(1830), 및 프로세서(1840)가 하나의 칩(chip) 형태로 구현될 수도 있다. 또한, 피부 관리 장치(1800)는 도 1의 마이크로니들 피부 침투 장치(10), 도 12의 마이크로니들의 삽입 위치 가이드 장치(1200), 도 1의 디스플레이 장치(30), 도 1의 케이블(300) 중 적어도 하나를 포함할 수 있다. 마이크로니들 피부 침투 장치(10)는 니들 커버, 압력 발생 기구, 압력 발생 기구의 니들 커버 내로의 압축 가스 공급을 개폐하는 밸브, 니들 커버 내에 배치되어, 상기 니들 커버의 개구를 통해 돌출 내지 인입되도록 이동하는 마이크로니들을 포함할 수 있다. 일 실시예에서, 마이크로니들은 중공형 또는 중실형일 수 있으며, 마이크로니들의 크기는 15G 내지 33G (게이지)일 수 있다.Referring to FIG. 18, the skin care device (1800) may include a transceiver (1810), a display (1820), a memory (1830), and a processor (1840). However, not all of the components illustrated in FIG. 18 are essential components of the skin care device (1800). The skin care device (1800) may be implemented with more components than the components illustrated in FIG. 18, or may be implemented with fewer components than the components illustrated in FIG. 18. In addition, the transceiver (1810), the display (1820), the memory (1830), and the processor (1840) may be implemented in the form of a single chip. In addition, the skin care device (1800) may include at least one of the microneedle skin penetration device (10) of FIG. 1, the microneedle insertion position guide device (1200) of FIG. 12, the display device (30) of FIG. 1, and the cable (300) of FIG. 1. The microneedle skin penetration device (10) may include a needle cover, a pressure generating mechanism, a valve for opening and closing the supply of compressed gas into the needle cover of the pressure generating mechanism, and microneedles positioned within the needle cover and moving to protrude or be inserted through an opening of the needle cover. In one embodiment, the microneedles may be hollow or solid, and the size of the microneedles may be 15G to 33G (gauge).

일 실시예에서, 압력 발생 기구는 압축 가스를 형성하여 니들 커버 내로 상기 압축 가스를 공급하도록 구성될 수 있으며 공압 펌프 또는 가스통을 포함할 수 있다. 여기서, 가스통은 CO2 가스, 산소 가스, 일반 대기 가스 등 피부에 주입 가능한 기체를 포함하는 가스통으로, 가스 레귤레이터가 장착된 경우를 포함할 수 있다. 가스 레귤레이터는 수동 또는 자동(예를 들어, 전자식 등)일 수 있다. 프로세서는 가스 주입 압력, 가스 주입 시간, 또는 용도 설정 정보 중 적어도 하나를 포함하는 사용자 입력 정보를 획득하고, 사용자의 입력 정보에 기초하여 압력 발생 기구의 세기, 가스 주입 시간, 가동 여부 등을 제어할 수 있다. 즉, 사용자가 입력한 가스 주입 압력 또는 가스 주입 시간 등에 따라 피부 관리 장치의 용도가 결정될 수 있다. 예를 들어, 피부 관리 장치는 사용자 입력에 따라 흉터 치료를 위한 서브 시전 용도로 사용되거나 컨투어링을 위한 지방분해 용도로 사용될 수 있다.In one embodiment, the pressure generating device may be configured to form a compressed gas and supply the compressed gas into the needle cover, and may include a pneumatic pump or a gas cylinder. Here, the gas cylinder is a gas cylinder containing a gas that can be injected into the skin, such asCO2 gas, oxygen gas, or general atmospheric gas, and may include a case where a gas regulator is mounted. The gas regulator may be manual or automatic (e.g., electronic, etc.). The processor may obtain user input information including at least one of a gas injection pressure, a gas injection time, or a purpose setting information, and control the strength, the gas injection time, the operation, or the like of the pressure generating device based on the user input information. That is, the purpose of the skin care device may be determined based on the gas injection pressure or the gas injection time input by the user. For example, the skin care device may be used for a sub-surgical purpose for scar treatment or for a lipolysis purpose for contouring, depending on the user input.

일 실시예에서, 밸브는 마이크로니들이 피부에 침투하는 동안에 개방되도록 구성될 수 있다. 또한, 밸브는 마이크로니들이 최종 침투 깊이에 도달한 후 피부에서 후퇴하는 동안에 개방되도록 구성될 수 있다. 또한, 밸브는 마이크로니들이 피부로부터 완전히 빠지게 된 이후에도 소정 기간동안 개방되도록 구성될 수 있다.In one embodiment, the valve can be configured to open while the microneedles are penetrating the skin. Additionally, the valve can be configured to open while the microneedles are withdrawing from the skin after reaching a final penetration depth. Additionally, the valve can be configured to remain open for a predetermined period of time after the microneedles are completely withdrawn from the skin.

일 실시예에서, 송수신부(1810)는 피부 관리 장치(1800)와 유선 또는 무선으로 연결된 다른 전자 디바이스와 통신할 수 있다.In one embodiment, the transceiver (1810) can communicate with the skin care device (1800) and other electronic devices connected wired or wirelessly.

일 실시예에서, 디스플레이(1820)는 모니터 등을 포함할 수 있다. 디스플레이(1820)에는 병변의 위치, 니들끝단의 위치 등이 출력될 수 있다.In one embodiment, the display (1820) may include a monitor, etc. The display (1820) may output the location of the lesion, the location of the needle tip, etc.

메모리(1830)에는 애플리케이션과 같은 프로그램 및 파일 등과 같은 다양한 종류의 데이터가 설치 및 저장될 수 있다. 프로세서(1840)는 메모리(1830)에 저장된 데이터에 접근하여 이를 이용하거나, 또는 새로운 데이터를 메모리(1830)에 저장할 수도 있다. 일 실시예에서, 메모리(1830)는 데이터 베이스를 포함할 수 있다.Various types of data, such as programs and files, such as applications, can be installed and stored in the memory (1830). The processor (1840) can access and use data stored in the memory (1830), or store new data in the memory (1830). In one embodiment, the memory (1830) can include a database.

프로세서(1840)는 피부 관리 장치(1800)의 전체적인 동작을 제어하며, CPU, GPU 등과 같은 프로세서를 적어도 하나 이상 포함할 수 있다. 프로세서(1840)는 피부 관리 장치(1800)를 작동하기 위한 동작을 수행하도록 피부 관리 장치(1800)에 포함된 다른 구성들을 제어할 수 있다. 예를 들어, 프로세서(1840)는 메모리(1830)에 저장된 프로그램을 실행시키거나, 저장된 파일을 읽어오거나, 새로운 파일을 저장할 수도 있다. 일 실시예에서, 프로세서(1840)는 메모리(1830)에 저장된 프로그램을 실행함으로써, 하나 이상의 목표 지점의 위치 및 깊이를 식별하고, 상기 하나 이상의 목표 지점의 위치 및 깊이에 기초하여, 마이크로니들의 삽입 위치, 삽입 길이, 또는 삽입 각도 중 적어도 하나를 포함하는 니들 삽입 정보를 결정하고, 상기 니들 삽입 정보에 기초하여, 상기 마이크로니들이 상기 삽입 위치에서 상기 삽입 각도로 삽입된 후 전진 및 후진하여 다시 삽입 위치로 복귀하는 니들링을 수행할 수 있다.The processor (1840) controls the overall operation of the skin care device (1800) and may include at least one processor, such as a CPU, a GPU, etc. The processor (1840) may control other components included in the skin care device (1800) to perform operations for operating the skin care device (1800). For example, the processor (1840) may execute a program stored in the memory (1830), read a stored file, or store a new file. In one embodiment, the processor (1840) may execute the program stored in the memory (1830) to identify a position and a depth of one or more target points, and determine needle insertion information including at least one of an insertion position, an insertion length, or an insertion angle of a microneedle based on the position and the depth of the one or more target points, and perform needling based on the needle insertion information in which the microneedle is inserted from the insertion position to the insertion angle and then moved forward and backward to return to the insertion position.

본 개시의 일 실시예는 컴퓨터에 의해 실행되는 프로그램 모듈과 같은 컴퓨터에 의해 실행가능한 명령어를 포함하는 기록 매체의 형태로도 구현될 수 있다. 컴퓨터 판독 가능 매체는 컴퓨터에 의해 액세스될 수 있는 임의의 가용 매체일 수 있고, 휘발성 및 비휘발성 매체, 분리형 및 비분리형 매체를 모두 포함한다. 또한, 컴퓨터 판독가능 매체는 컴퓨터 저장 매체 및 통신 매체를 모두 포함할 수 있다. 컴퓨터 저장 매체는 컴퓨터 판독가능 명령어, 데이터 구조, 프로그램 모듈 또는 기타 데이터와 같은 정보의 저장을 위한 임의의 방법 또는 기술로 구현된 휘발성 및 비휘발성, 분리형 및 비분리형 매체를 모두 포함한다. 통신 매체는 전형적으로 컴퓨터 판독가능 명령어, 데이터 구조, 또는 프로그램 모듈을 포함하며, 임의의 정보 전달 매체를 포함한다.An embodiment of the present disclosure may also be implemented in the form of a recording medium containing computer-executable instructions, such as program modules, that are executed by a computer. Computer-readable media can be any available media that can be accessed by a computer, and includes both volatile and nonvolatile media, removable and non-removable media. Additionally, computer-readable media can include both computer storage media and communication media. Computer storage media includes both volatile and nonvolatile, removable and non-removable media implemented in any method or technology for storage of information, such as computer-readable instructions, data structures, program modules, or other data. Communication media typically includes computer-readable instructions, data structures, or program modules, and includes any information delivery media.

전술한 본 개시의 설명은 예시를 위한 것이며, 본 개시가 속하는 기술분야의 통상의 지식을 가진 자는 본 발명의 기술적 사상이나 필수적인 특징을 변경하지 않고서 다른 구체적인 형태로 쉽게 변형이 가능하다는 것을 이해할 수 있을 것이다. 그러므로 이상에서 기술한 실시예들은 모든 면에서 예시적인 것이며 한정적이 아닌 것으로 이해해야만 한다. 예를 들어, 단일형으로 설명되어 있는 각 구성 요소는 분산되어 실시될 수도 있으며, 마찬가지로 분산된 것으로 설명되어 있는 구성 요소들도 결합된 형태로 실시될 수 있다.The above description of the present disclosure is for illustrative purposes, and those skilled in the art will understand that the present disclosure can be easily modified into other specific forms without changing the technical idea or essential features of the present disclosure. Therefore, it should be understood that the embodiments described above are exemplary in all respects and not restrictive. For example, each component described as a single component may be implemented in a distributed manner, and likewise, components described as distributed may be implemented in a combined manner.

본 개시의 범위는 상기 상세한 설명보다는 후술하는 특허청구범위에 의하여 나타내어지며, 특허청구범위의 의미 및 범위 그리고 그 균등 개념으로부터 도출되는 모든 변경 또는 변형된 형태가 본 개시의 범위에 포함되는 것으로 해석되어야 한다.The scope of the present disclosure is indicated by the claims described below rather than the detailed description above, and all changes or modifications derived from the meaning and scope of the claims and their equivalent concepts should be interpreted as being included in the scope of the present disclosure.

Claims (15)

Translated fromKorean
마이크로니들을 이용한 피부 관리 장치에 있어서,
니들 커버;
압력 발생 기구;
압력 발생 기구의 니들 커버 내로의 압축 가스 공급을 개폐하는 밸브;
상기 니들 커버 내에 배치되어, 상기 니들 커버의 개구를 통해 돌출 내지 인입되도록 이동하는 마이크로니들;
하나 이상의 명령어들을 저장하는 메모리; 및
상기 메모리에 저장된 상기 하나 이상의 명령어들을 실행하는 적어도 하나의 프로세서를 포함하며,
상기 적어도 하나의 프로세서는 상기 하나 이상의 명령어들을 실행함으로써,
하나 이상의 목표 지점의 위치 및 깊이를 식별하고,
상기 하나 이상의 목표 지점의 위치 및 깊이에 기초하여, 마이크로니들의 삽입 위치, 삽입 길이, 또는 삽입 각도 중 적어도 하나를 포함하는 니들 삽입 정보를 결정하고,
상기 니들 삽입 정보에 기초하여, 상기 마이크로니들이 상기 삽입 위치에서 상기 삽입 각도로 삽입된 후 전진 및 후진하여 다시 삽입 위치로 복귀하는 니들링을 수행하는, 피부 관리 장치.
In a skin care device using microneedles,
Needle cover;
pressure generating mechanism;
A valve that opens and closes the supply of compressed gas into the needle cover of the pressure generating device;
A microneedle positioned within the needle cover and moving to protrude or be drawn in through an opening in the needle cover;
a memory for storing one or more instructions; and
At least one processor for executing one or more instructions stored in the memory,
The at least one processor executes the one or more instructions,
Identify the location and depth of one or more target points,
Based on the location and depth of the one or more target points, determine needle insertion information including at least one of the insertion location, insertion length, or insertion angle of the microneedle,
A skin care device that performs needling in which the microneedle is inserted at the insertion angle at the insertion location and then moved forward and backward and then returned to the insertion location based on the needle insertion information.
제1항에 있어서, 상기 피부 관리 장치는,
상기 마이크로니들의 삽입 위치 가이드 장치를 더 포함하고,
상기 삽입 위치 가이드 장치는,
포인팅 장치, 각도 조절이 가능한 미러, 또는 프로젝터 중 적어도 하나를 포함하는, 피부 관리 장치.
In the first paragraph, the skin care device,
Further comprising a device for guiding the insertion position of the above microneedles,
The above insertion position guide device is,
A skin care device comprising at least one of a pointing device, an angle-adjustable mirror, or a projector.
제2항에 있어서, 상기 포인팅 장치는,
상기 삽입 위치를 가리키는 제1 포인팅 장치, 상기 목표 지점의 위치를 가리키는 제2 포인팅 장치, 또는 상기 마이크로니들의 끝단의 위치를 가리키는 제3 포인팅 장치 중 적어도 하나를 포함하는, 피부 관리 장치.
In the second paragraph, the pointing device,
A skin care device comprising at least one of a first pointing device pointing to the insertion location, a second pointing device pointing to the location of the target point, or a third pointing device pointing to the location of the tip of the microneedle.
제1항에 있어서, 상기 적어도 하나의 프로세서는 상기 하나 이상의 명령어들을 실행함으로써,
상기 니들 삽입 정보를 출력하는, 피부 관리 장치.
In the first paragraph, the at least one processor executes the one or more instructions,
A skin care device that outputs the above needle insertion information.
제1항에 있어서, 상기 적어도 하나의 프로세서는 상기 하나 이상의 명령어들을 실행함으로써,
제1 목표 지점 및 제2 목표 지점의 위치 및 깊이를 식별하고,
상기 제1 목표 지점 및 상기 제2 목표 지점에 기초하여, 상기 마이크로니들의 삽입 위치, 상기 제1 목표 지점에 대응되는 삽입 길이, 상기 제2 목표 지점에 대응되는 삽입 길이, 또는 삽입 각도 중 적어도 하나를 포함하는 니들 삽입 정보를 결정하고,
상기 삽입 위치에서, 상기 제1 목표 지점에 대응되는 삽입 길이의 니들링과 상기 제2 목표 지점에 대응되는 삽입 길이의 니들링을 수행하는 스태킹 모드(stacking mode)를 수행하는, 피부 관리 장치.
In the first paragraph, the at least one processor executes the one or more instructions,
Identify the location and depth of the first and second target points,
Based on the first target point and the second target point, needle insertion information including at least one of an insertion position of the microneedle, an insertion length corresponding to the first target point, an insertion length corresponding to the second target point, or an insertion angle is determined,
A skin care device that performs a stacking mode in which, at the insertion position, needling of an insertion length corresponding to the first target point and needling of an insertion length corresponding to the second target point are performed.
제1항에 있어서, 상기 압력 발생 기구는,
압축 가스를 형성하여 니들 커버 내로 상기 압축 가스를 공급하도록 구성된 것으로, 공압 펌프 또는 가스통 중 적어도 하나를 포함하며,
상기 적어도 하나의 프로세서는 상기 하나 이상의 명령어들을 실행함으로써,
가스 주입 압력, 가스 주입 시간, 또는 용도 설정 정보 중 적어도 하나를 포함하는 사용자 입력 정보를 획득하고,
상기 사용자의 입력 정보에 기초하여 상기 압력 발생 기구를 제어하는, 피부 관리 장치.
In the first paragraph, the pressure generating mechanism,
A device configured to form compressed gas and supply the compressed gas into a needle cover, comprising at least one of a pneumatic pump or a gas cylinder,
The at least one processor executes the one or more instructions,
Obtain user input information including at least one of gas injection pressure, gas injection time, or usage setting information,
A skin care device that controls the pressure generating mechanism based on the user's input information.
제1항에 있어서,
상기 마이크로니들은 중공형 또는 중실형이며,
상기 마이크로니들의 크기는 15G(게이지) 내지 33G 인, 피부 관리 장치.
In the first paragraph,
The above microneedles are hollow or solid,
A skin care device, wherein the size of the above microneedles is 15G (gauge) to 33G.
적어도 하나의 프로세서에 의해 수행되는 마이크로니들을 이용한 피부 관리 방법으로서,
하나 이상의 목표 지점의 위치 및 깊이를 식별하는 동작;
상기 하나 이상의 목표 지점의 위치 및 깊이에 기초하여, 피부 관리 장치의 마이크로니들의 삽입 위치, 삽입 길이, 또는 삽입 각도 중 적어도 하나를 포함하는 니들 삽입 정보를 결정하는 동작; 및
상기 니들 삽입 정보에 기초하여, 상기 피부 관리 장치의 마이크로니들이 상기 삽입 위치에서 상기 삽입 각도로 삽입된 후 전진 및 후진하여 다시 삽입 위치로 복귀하는 니들링을 수행하는 동작을 포함하며,
상기 피부 관리 장치는,
니들 커버;
압력 발생 기구; 및
압력 발생 기구의 니들 커버 내로의 압축 가스 공급을 개폐하는 밸브; 및
상기 니들 커버 내에 배치되어, 상기 니들 커버의 개구를 통해 돌출 내지 인입되도록 이동하는 상기 마이크로니들을 포함하는, 방법.
A skin care method using microneedles performed by at least one processor,
An action to identify the location and depth of one or more target points;
An operation of determining needle insertion information including at least one of an insertion position, an insertion length, or an insertion angle of a microneedle of a skin care device based on the position and depth of the one or more target points; and
Based on the needle insertion information, the microneedle of the skin care device is inserted at the insertion position at the insertion angle, and then moves forward and backward to perform needling and then returns to the insertion position.
The above skin care device,
Needle cover;
pressure generating mechanism; and
A valve for opening and closing the supply of compressed gas into the needle cover of the pressure generating device; and
A method comprising: a microneedle disposed within the needle cover and configured to move so as to protrude or be drawn in through an opening in the needle cover.
제8항에 있어서, 상기 방법은,
상기 마이크로니들의 삽입 위치 가이드 장치에 의해 상기 마이크로니들의 삽입 위치를 가이드하는 동작을 더 포함하며,
상기 삽입 위치 가이드 장치는,
포인팅 장치, 각도 조절이 가능한 미러, 또는 프로젝터 중 적어도 하나를 포함하는, 방법.
In the 8th paragraph, the method,
It further includes an operation of guiding the insertion position of the microneedle by the insertion position guide device of the microneedle,
The above insertion position guide device is,
A method comprising at least one of a pointing device, an angle-adjustable mirror, or a projector.
제9항에 있어서, 상기 포인팅 장치는,
상기 삽입 위치를 가리키는 제1 포인팅 장치, 상기 목표 지점의 위치를 가리키는 제2 포인팅 장치, 또는 상기 마이크로니들의 끝단의 위치를 가리키는 제3 포인팅 장치 중 적어도 하나를 포함하는, 방법.
In the 9th paragraph, the pointing device,
A method comprising at least one of a first pointing device pointing to the insertion location, a second pointing device pointing to the location of the target point, or a third pointing device pointing to the location of the tip of the microneedle.
제8항에 있어서, 상기 방법은,
상기 니들 삽입 정보를 출력하는 동작을 더 포함하는, 방법.
In the 8th paragraph, the method,
A method further comprising the action of outputting the needle insertion information.
제8항에 있어서,
상기 하나 이상의 목표 지점의 깊이를 식별하는 동작은,
제1 목표 지점의 깊이 및 제2 목표 지점의 위치 및 깊이를 식별하는 동작을 포함하고,
상기 니들 삽입 정보를 결정하는 동작은,
상기 제1 목표 지점 및 상기 제2 목표 지점에 기초하여, 상기 마이크로니들의 삽입 위치, 상기 제1 목표 지점에 대응되는 삽입 길이, 상기 제2 목표 지점에 대응되는 삽입 길이, 또는 삽입 각도 중 적어도 하나를 포함하는 니들 삽입 정보를 결정하는 동작을 포함하고,
상기 니들링을 수행하는 동작은,
상기 삽입 위치에서, 상기 제1 목표 지점에 대응되는 삽입 길이의 니들링과 상기 제2 목표 지점에 대응되는 삽입 길이의 니들링을 수행하는 스태킹 모드(stacking mode)를 수행하는 동작을 포함하는, 방법.
In Article 8,
The operation of identifying the depth of one or more target points is:
Including an operation of identifying the depth of the first target point and the location and depth of the second target point,
The operation of determining the above needle insertion information is:
An operation of determining needle insertion information including at least one of an insertion position of the microneedle, an insertion length corresponding to the first target point, an insertion length corresponding to the second target point, or an insertion angle based on the first target point and the second target point,
The action of performing the above needling is:
A method comprising: performing a stacking mode in which, at the insertion position, needling of an insertion length corresponding to the first target point and needling of an insertion length corresponding to the second target point are performed.
제8항에 있어서, 상기 압력 발생 기구는,
압축 가스를 형성하여 니들 커버 내로 상기 압축 가스를 공급하도록 구성된 것으로, 공압 펌프, 또는 가스통 중 적어도 하나를 포함하며,
상기 방법은,
가스 주입 압력, 가스 주입 시간, 또는 용도 설정 정보 중 적어도 하나를 포함하는 사용자 입력 정보를 획득하는 동작; 및
상기 사용자의 입력 정보에 기초하여 상기 압력 발생 기구를 제어하는 동작을 포함하는, 방법.
In the 8th paragraph, the pressure generating mechanism,
A device configured to form compressed gas and supply the compressed gas into the needle cover, comprising at least one of a pneumatic pump and a gas cylinder,
The above method,
An operation of obtaining user input information including at least one of gas injection pressure, gas injection time, or usage setting information; and
A method comprising an action of controlling the pressure generating mechanism based on input information of the user.
제8항에 있어서,
상기 마이크로니들은 중공형 또는 중실형이며,
상기 마이크로니들의 크기는 15G(게이지) 내지 33G 인, 방법.
In Article 8,
The above microneedles are hollow or solid,
A method wherein the size of the above microneedle is 15G (gauge) to 33G.
제8항 내지 제14항 중 어느 한 항의 방법을 수행하도록 구성되는, 마이크로니들 피부 침투 시스템.
A microneedle skin penetration system configured to perform any one of the methods of claims 8 to 14.
KR1020240106994A2023-08-092024-08-09Apparatus and method for skin care using microneedlePendingKR20250023317A (en)

Applications Claiming Priority (2)

Application NumberPriority DateFiling DateTitle
KR202301041852023-08-09
KR10202301041852023-08-09

Publications (1)

Publication NumberPublication Date
KR20250023317Atrue KR20250023317A (en)2025-02-18

Family

ID=94825192

Family Applications (1)

Application NumberTitlePriority DateFiling Date
KR1020240106994APendingKR20250023317A (en)2023-08-092024-08-09Apparatus and method for skin care using microneedle

Country Status (1)

CountryLink
KR (1)KR20250023317A (en)

Citations (3)

* Cited by examiner, † Cited by third party
Publication numberPriority datePublication dateAssigneeTitle
KR100922138B1 (en)2009-04-142009-10-19봄텍전자 주식회사 Skin Liquid Penetration Device
KR102147856B1 (en)2019-07-172020-08-25주식회사 제이시스메디칼Needle tip for providing current, handpiece and skin treating device
KR102206623B1 (en)2018-05-252021-01-22주식회사 제이시스메디칼Needle tip mounted on skin caring device and skin caring device

Patent Citations (3)

* Cited by examiner, † Cited by third party
Publication numberPriority datePublication dateAssigneeTitle
KR100922138B1 (en)2009-04-142009-10-19봄텍전자 주식회사 Skin Liquid Penetration Device
KR102206623B1 (en)2018-05-252021-01-22주식회사 제이시스메디칼Needle tip mounted on skin caring device and skin caring device
KR102147856B1 (en)2019-07-172020-08-25주식회사 제이시스메디칼Needle tip for providing current, handpiece and skin treating device

Similar Documents

PublicationPublication DateTitle
KR100819468B1 (en) Multi-injection treatment device capable of multi-injection
JP7244115B2 (en) Drug injection tips, handpieces and skin treatment devices
KR100852500B1 (en) Gun type multi-hole treatment device
KR102604909B1 (en)Microneedle therapy device and system, and active ingredient injection method using the same
US20090149830A1 (en)Intelligent needle technology for acupuncture and injection of cosmetic preparations subcutaneously
KR101587235B1 (en)Electronic drug injection device
KR100910793B1 (en)Multihole Theraphy System
KR101457271B1 (en)Meso therapie apparatus
US12133675B2 (en)Treatment apparatus and method of controlling same
CN105708543A (en)Micro-needle type multifunctional dissolved fat filling beautifying gun
US20240252200A1 (en)Skin treatment systems and methods
KR20190117960A (en)Apparatus of regenerating skin using high frequency
KR20160111119A (en)Apparatus for skin aesthetic
KR102669940B1 (en)Microneedle Skin Penetration Device Having Stacking Mode
KR20110098398A (en) Injection microneedle stamp
KR20250023317A (en)Apparatus and method for skin care using microneedle
KR20130128788A (en)Skin surgical operation system and the operating method using the same
KR101127010B1 (en)Gun guide for multihole theraphy system
KR20190024385A (en)A cartridge-type liquid injection device for skin treatment
KR101057219B1 (en) Detachable Drug Injector
KR101739898B1 (en)Carbon dioxide gas injection apparatus
KR20250069471A (en)Microneedle device and Microneedle system using the same
KR20250144279A (en)Microneedle device and Microneedle system using the same
KR20240178230A (en)Microneedle therapy device and Microneedle therapy system using the same
US20250090824A1 (en)Microneedle therapy device and system, and method for injecting active ingredients into skin using same

Legal Events

DateCodeTitleDescription
PA0109Patent application

Patent event code:PA01091R01D

Comment text:Patent Application

Patent event date:20240809

PA0201Request for examination

Patent event code:PA02011R01I

Patent event date:20240809

Comment text:Patent Application

PG1501Laying open of application

[8]ページ先頭

©2009-2025 Movatter.jp