Movatterモバイル変換


[0]ホーム

URL:


KR20240082358A - Multivalent Ligand Clusters with Diamine Scaffolds for Targeted Delivery of Therapeutics - Google Patents

Multivalent Ligand Clusters with Diamine Scaffolds for Targeted Delivery of Therapeutics
Download PDF

Info

Publication number
KR20240082358A
KR20240082358AKR1020247012856AKR20247012856AKR20240082358AKR 20240082358 AKR20240082358 AKR 20240082358AKR 1020247012856 AKR1020247012856 AKR 1020247012856AKR 20247012856 AKR20247012856 AKR 20247012856AKR 20240082358 AKR20240082358 AKR 20240082358A
Authority
KR
South Korea
Prior art keywords
compound
group
nucleotide
nitrogen
preparing
Prior art date
Legal status (The legal status is an assumption and is not a legal conclusion. Google has not performed a legal analysis and makes no representation as to the accuracy of the status listed.)
Pending
Application number
KR1020247012856A
Other languages
Korean (ko)
Inventor
동수 슈
펭쳉 패트릭 샤오
Original Assignee
상하이 아르고 바이오파마슈티칼 씨오., 엘티디.
Priority date (The priority date is an assumption and is not a legal conclusion. Google has not performed a legal analysis and makes no representation as to the accuracy of the date listed.)
Filing date
Publication date
Application filed by 상하이 아르고 바이오파마슈티칼 씨오., 엘티디.filedCritical상하이 아르고 바이오파마슈티칼 씨오., 엘티디.
Publication of KR20240082358ApublicationCriticalpatent/KR20240082358A/en
Pendinglegal-statusCriticalCurrent

Links

Classifications

Landscapes

Abstract

Translated fromKorean

그에 접합된 제약 작용제의 표적화된 전달을 위한, 디아민 스캐폴드를 갖는 다가 리간드 클러스터가 기재된다. 다가 리간드 클러스터는 1종 이상의 N-아세틸갈락토사민 (GalNAc) 표적화 리간드를 포함할 수 있다. 다가 리간드 클러스터는 1종 이상의 소형 간섭 리보핵산 (siRNA)에 접합될 수 있고, siRNA가 제약 작용제의 예이다. 다가 리간드 클러스터를 포함하는 조성물, 및 다가 리간드 클러스터의 제조 방법이 또한 기재된다.Multivalent ligand clusters with diamine scaffolds for targeted delivery of pharmaceutical agents conjugated thereto are described. A multivalent ligand cluster may include one or more N-acetylgalactosamine (GalNAc) targeting ligands. Multivalent ligand clusters can be conjugated to one or more small interfering ribonucleic acids (siRNAs), with siRNAs being examples of pharmaceutical agents. Compositions comprising multivalent ligand clusters, and methods of making multivalent ligand clusters are also described.

Description

Translated fromKorean
치료제의 표적화된 전달을 위한 디아민 스캐폴드를 갖는 다가 리간드 클러스터Multivalent Ligand Clusters with Diamine Scaffolds for Targeted Delivery of Therapeutics

올리고뉴클레오티드의 고분자량 및 다가음이온성 성질로 인해, 이는 일반적으로 낮은 세포 막 투과성을 갖는다. 따라서, 표적 리간드는 종종 수용체-매개 세포내이입의 널리 공지된 메카니즘을 통해 올리고뉴클레오티드 화합물에 접합되어 세포 흡수를 증진시키고 생체내 전달의 조직 특이성을 개선시킨다. 일부 경우에, 다가 리간드 클러스터는 특이적 수용체를 통해 표적화된 조직으로의 전달을 증진시키는 데 있어서 단일 리간드에 비해 이점을 갖는다. 아시알로당단백질 수용체 (ASGPR)는 이러한 수용체 중 하나이다.Due to the high molecular weight and polyanionic nature of oligonucleotides, they generally have low cell membrane permeability. Therefore, targeting ligands are often conjugated to oligonucleotide compounds through the well-known mechanism of receptor-mediated endocytosis to enhance cellular uptake and improve tissue specificity of in vivo delivery. In some cases, multivalent ligand clusters have advantages over single ligands in enhancing delivery to targeted tissues through specific receptors. The asialoglycoprotein receptor (ASGPR) is one of these receptors.

ASGPR에 대한 리간드인 N-아세틸갈락토사민 (GalNAc)이 간세포 내로의 올리고뉴클레오티드 약물의 전달을 용이하게 할 수 있다는 것이 입증되었다. 다가 GalNAc 리간드 클러스터가 개별적인 GalNAc 리간드보다 ASGPR에 대한 결합 친화력이 더 높고, 따라서 치료 올리고뉴클레오티드를 간 간세포 내로 전달하는 데에서의 효율이 더 높다는 것이 또한 입증되었다.It has been demonstrated that N-acetylgalactosamine (GalNAc), a ligand for ASGPR, can facilitate the delivery of oligonucleotide drugs into hepatocytes. It was also demonstrated that multivalent GalNAc ligand clusters have higher binding affinity for ASGPR than individual GalNAc ligands and therefore higher efficiency in delivering therapeutic oligonucleotides into liver hepatocytes.

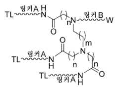
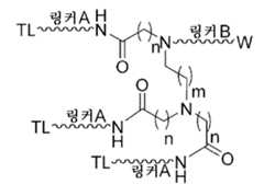
본 개시내용의 한 측면은 1종 이상의 제약 작용제의 표적화된 전달을 위한 화합물에 관한 것이고, 여기서 화합물은 하기 화학식을 갖는다:One aspect of the disclosure relates to compounds for targeted delivery of one or more pharmaceutical agents, wherein the compounds have the formula:

Figure pct00001
Figure pct00001

여기서 각각의 TL은 독립적으로 선택된 표적화 리간드이고, m은 1 내지 10의 정수이고, 각각의 n은 독립적으로 선택된 1 내지 10의 정수이고, 각각의 링커A는 독립적으로 선택된 스페이서이고, 링커B는 스페이서이고, W는 1종 이상의 제약 작용제 또는 1종 이상의 제약 작용제에 연결될 수 있는 관능기이다. 일부 실시양태에서, m은 1이다. 일부 실시양태에서, m은 2이다.where each TL is an independently selected targeting ligand, m is an independently selected integer from 1 to 10, each n is an independently selected integer from 1 to 10, each LinkerA is an independently selected spacer, and LinkerB is a spacer. and W is one or more pharmaceutical agents or a functional group that can be linked to one or more pharmaceutical agents. In some embodiments, m is 1. In some embodiments, m is 2.

일부 실시양태에서, n은 1이다. 일부 실시양태에서, n은 2이다.In some embodiments, n is 1. In some embodiments, n is 2.

일부 실시양태에서, 독립적으로 선택된 TL 중 적어도 1종은 세포내이입을 용이하게 할 수 있는 1종 이상의 세포 수용체, 세포 채널, 및 세포 수송체에 결합할 수 있다. 일부 실시양태에서, 독립적으로 선택된 TL 중 적어도 1종은 적어도 1종의 소분자 리간드를 포함한다. 일부 실시양태에서, 적어도 1종의 소분자는 N-아세틸갈락토사민, 갈락토스, 갈락토사민, N-포르밀-갈락토사민, N-프로피오닐갈락토사민, N-부타노일갈락토사민, 및 N-이소-부타노일갈락토사민, 마크로사이클, 폴레이트 분자, 지방산, 담즙산, 및 콜레스테롤 중 적어도 1종을 포함한다. 일부 실시양태에서, 독립적으로 선택된 TL 중 적어도 1종은 적어도 1종의 펩티드를 포함한다. 일부 실시양태에서, 독립적으로 선택된 TL 중 적어도 1종은 적어도 1종의 시클릭 펩티드를 포함한다. 일부 실시양태에서, 독립적으로 선택된 TL 중 적어도 1종은 적어도 1종의 압타머를 포함한다. 일부 실시양태에서, 독립적으로 선택된 TL 중 적어도 1종은 적어도 1종의 아시알로당단백질 수용체 (ASGPR)에 결합할 수 있다. 일부 실시양태에서, 독립적으로 선택된 TL 중 적어도 1종은 적어도 1종의 트랜스페린 수용체에 결합할 수 있다. 일부 실시양태에서, 독립적으로 선택된 TL 중 적어도 1종은 적어도 1종의 인테그린 수용체에 결합할 수 있다. 일부 실시양태에서, 독립적으로 선택된 TL 중 적어도 1종은 적어도 1종의 폴레이트 수용체에 결합할 수 있다. 일부 실시양태에서, 독립적으로 선택된 TL 중 적어도 1종은 적어도 1종의 G-단백질-커플링된 수용체 (GPCR)에 결합할 수 있다.In some embodiments, at least one of the independently selected TLs is capable of binding to one or more cell receptors, cell channels, and cell transporters that can facilitate endocytosis. In some embodiments, at least one of the independently selected TLs comprises at least one small molecule ligand. In some embodiments, the at least one small molecule is N-acetylgalactosamine, galactose, galactosamine, N-formyl-galactosamine, N-propionylgalactosamine, N-butanoylgalactosamine, and It includes at least one of N-iso-butanoylgalactosamine, macrocycle, folate molecule, fatty acid, bile acid, and cholesterol. In some embodiments, at least one of the independently selected TLs comprises at least one peptide. In some embodiments, at least one of the independently selected TLs comprises at least one cyclic peptide. In some embodiments, at least one of the independently selected TLs comprises at least one aptamer. In some embodiments, at least one of the independently selected TLs is capable of binding to at least one asialoglycoprotein receptor (ASGPR). In some embodiments, at least one of the independently selected TLs is capable of binding at least one transferrin receptor. In some embodiments, at least one of the independently selected TLs is capable of binding to at least one integrin receptor. In some embodiments, at least one of the independently selected TLs is capable of binding at least one folate receptor. In some embodiments, at least one of the independently selected TLs is capable of binding to at least one G-protein-coupled receptor (GPCR).

일부 실시양태에서, 독립적으로 선택된 링커A 중 적어도 1종은 폴리에틸렌 글리콜, 알킬 기, 시클로알킬 기, 알케닐 기, 시클로알케닐 기, 알키닐 기, 아릴 기, 아르알킬 기, 아르알케닐 기 및 아르알키닐 기 중 적어도 1종을 포함한다. 일부 실시양태에서, 독립적으로 선택된 링커A 중 적어도 1종은 적어도 1종의 헤테로원자를 포함한다. 일부 실시양태에서, 적어도 1종의 헤테로원자는 산소, 질소, 황 또는 인 중 적어도 1종을 포함한다. 일부 실시양태에서, 독립적으로 선택된 링커A 중 적어도 1종은 적어도 1종의 지방족 헤테로사이클을 포함한다. 일부 실시양태에서, 적어도 1종의 지방족 헤테로사이클은 테트라히드로푸란, 테트라히드로피란, 모르폴린, 피페리딘, 피페라진, 피롤리딘 및 아제티딘 중 적어도 1종을 포함한다. 일부 실시양태에서, 독립적으로 선택된 링커A 중 적어도 1종은 적어도 1종의 헤테로아릴 기를 포함한다. 일부 실시양태에서, 적어도 1종의 헤테로아릴 기는 이미다졸, 피라졸, 피리딘, 피리미딘, 트리아졸 및 1,2,3-트리아졸 중 적어도 1종을 포함한다. 일부 실시양태에서, 독립적으로 선택된 링커A 중 적어도 1종은 적어도 1종의 아미노산을 포함한다. 일부 실시양태에서, 독립적으로 선택된 링커A 중 적어도 1종은 적어도 1종의 뉴클레오티드를 포함한다. 일부 실시양태에서, 독립적으로 선택된 링커A 중 적어도 1종은 적어도 1종의 사카라이드를 포함한다. 일부 실시양태에서, 적어도 1종의 사카라이드는 글루코스, 프룩토스, 만노스, 갈락토스, 리보스 및 글루코사민 중 적어도 1종을 포함한다. 일부 실시양태에서, 독립적으로 선택된 링커A 중 적어도 1종은 하기 중 1종 이상을 포함한다:In some embodiments, at least one of the independently selected Linkers A is polyethylene glycol, an alkyl group, a cycloalkyl group, an alkenyl group, a cycloalkenyl group, an alkynyl group, an aryl group, an aralkyl group, an aralkenyl group, and It contains at least one type of aralkynyl group. In some embodiments, at least one of the independently selected Linkers A comprises at least one heteroatom. In some embodiments, the at least one heteroatom includes at least one of oxygen, nitrogen, sulfur, or phosphorus. In some embodiments, at least one of the independently selected Linkers A comprises at least one aliphatic heterocycle. In some embodiments, the at least one aliphatic heterocycle includes at least one of tetrahydrofuran, tetrahydropyran, morpholine, piperidine, piperazine, pyrrolidine, and azetidine. In some embodiments, at least one of the independently selected Linkers A comprises at least one heteroaryl group. In some embodiments, the at least one heteroaryl group includes at least one of imidazole, pyrazole, pyridine, pyrimidine, triazole, and 1,2,3-triazole. In some embodiments, at least one of the independently selected Linkers A comprises at least one amino acid. In some embodiments, at least one of the independently selected Linkers A comprises at least one nucleotide. In some embodiments, at least one of the independently selected Linkers A comprises at least one saccharide. In some embodiments, the at least one saccharide includes at least one of glucose, fructose, mannose, galactose, ribose, and glucosamine. In some embodiments, at least one of the independently selected Linkers A comprises one or more of the following:

Figure pct00002
Figure pct00002

여기서 p는 0 내지 12의 정수이고, pp는 0 내지 12의 정수이고, q는 1 내지 12의 정수이고, qq는 1 내지 12의 정수이다.Here, p is an integer from 0 to 12, pp is an integer from 0 to 12, q is an integer from 1 to 12, and qq is an integer from 1 to 12.

일부 실시양태에서, 링커B는 폴리에틸렌 글리콜, 알킬 기, 시클로알킬 기, 알케닐 기, 시클로알케닐 기, 알키닐 기, 아릴 기, 아르알킬 기, 아르알케닐 기 및 아르알키닐 기 중 적어도 1종을 포함한다. 일부 실시양태에서, 링커B는 적어도 1종의 헤테로원자를 포함한다. 일부 실시양태에서, 적어도 1종의 헤테로원자는 산소, 질소, 황 및 인 중 적어도 1종을 포함한다. 일부 실시양태에서, 링커B는 적어도 1종의 지방족 헤테로사이클을 포함한다. 일부 실시양태에서, 적어도 1종의 지방족 헤테로사이클은 테트라히드로푸란, 테트라히드로피란, 모르폴린, 피페리딘, 피페라진, 피롤리딘 및 아제티딘 중 적어도 1종을 포함한다. 일부 실시양태에서, 링커B는 적어도 1종의 헤테로아릴 기를 포함한다. 일부 실시양태에서, 적어도 1종의 헤테로아릴 기는 이미다졸, 피라졸, 피리딘, 피리미딘, 트리아졸 및 1,2,3-트리아졸 중 적어도 1종을 포함한다. 일부 실시양태에서, 링커B는 적어도 1종의 아미노산을 포함한다. 일부 실시양태에서, 링커B는 적어도 1종의 뉴클레오티드를 포함한다. 일부 실시양태에서, 적어도 1종의 뉴클레오티드는 무염기성(abasic) 뉴클레오티드 및 역전된 무염기성 뉴클레오티드 중 적어도 1종을 포함한다. 일부 실시양태에서, 무염기성 뉴클레오티드는 무염기성 데옥시리보핵산이다. 일부 실시양태에서, 역전된 무염기성 뉴클레오티드는 역전된 무염기성 데옥시리보핵산이다. 일부 실시양태에서, 무염기성 뉴클레오티드는 무염기성 리보핵산이다. 일부 실시양태에서, 역전된 무염기성 뉴클레오티드는 역전된 무염기성 리보핵산이다. 일부 실시양태에서, 링커B는 적어도 1종의 사카라이드를 포함한다. 일부 실시양태에서, 적어도 1종의 사카라이드는 글루코스, 프룩토스, 만노스, 갈락토스, 리보스 및 글루코사민 중 적어도 1종을 포함한다. 일부 실시양태에서, 링커B는 중 적어도 1종을 포함한다:In some embodiments, Linker B is polyethylene glycol, at least one of an alkyl group, a cycloalkyl group, an alkenyl group, a cycloalkenyl group, an alkynyl group, an aryl group, an aralkyl group, an aralkenyl group, and an aralkynyl group. Includes species. In some embodiments, Linker B includes at least one heteroatom. In some embodiments, the at least one heteroatom includes at least one of oxygen, nitrogen, sulfur, and phosphorus. In some embodiments, Linker B comprises at least one aliphatic heterocycle. In some embodiments, the at least one aliphatic heterocycle includes at least one of tetrahydrofuran, tetrahydropyran, morpholine, piperidine, piperazine, pyrrolidine, and azetidine. In some embodiments, Linker B includes at least one heteroaryl group. In some embodiments, the at least one heteroaryl group includes at least one of imidazole, pyrazole, pyridine, pyrimidine, triazole, and 1,2,3-triazole. In some embodiments, Linker B comprises at least one amino acid. In some embodiments, Linker B comprises at least one nucleotide. In some embodiments, the at least one nucleotide comprises at least one of an abasic nucleotide and an inverted abasic nucleotide. In some embodiments, the abasic nucleotide is an abasic deoxyribonucleic acid. In some embodiments, the inverted abasic nucleotide is an inverted abasic deoxyribonucleic acid. In some embodiments, the abasic nucleotide is an abasic ribonucleic acid. In some embodiments, the inverted abasic nucleotide is an inverted abasic ribonucleic acid. In some embodiments, Linker B comprises at least one saccharide. In some embodiments, the at least one saccharide includes at least one of glucose, fructose, mannose, galactose, ribose, and glucosamine. In some embodiments, Linker B comprises at least one of:

Figure pct00003
Figure pct00003

Figure pct00004
Figure pct00004

여기서 j는 1 내지 12의 정수이고, k는 0 내지 12의 정수이다.Here, j is an integer from 1 to 12, and k is an integer from 0 to 12.

일부 실시양태에서, 링커B-W는 하기이다:In some embodiments, LinkerB-W is:

Figure pct00005
Figure pct00005

여기서 j는 0 내지 12의 정수이고, k는 0 내지 12의 정수이다.Here, j is an integer from 0 to 12, and k is an integer from 0 to 12.

일부 실시양태에서, W는 히드록시 기이다. 일부 실시양태에서, W는 보호된 히드록시 기이다. 일부 실시양태에서, 보호된 히드록시 기는 4,4'-디메톡시트리틸 (DMT), 모노메톡시트리틸 (MMT), 9-(p-메톡시페닐)크산텐-9-일 (Mox) 및 9-페닐크산텐-9-일 (Px) 중 적어도 1종을 사용하여 보호된다. 일부 실시양태에서, W는 하기 화학식을 갖는 포스포르아미다이트 기이다:In some embodiments, W is a hydroxy group. In some embodiments, W is a protected hydroxy group. In some embodiments, the protected hydroxy group is 4,4'-dimethoxytrityl (DMT), monomethoxytrityl (MMT), 9-(p-methoxyphenyl)xanthen-9-yl (Mox) and 9-phenylxanthen-9-yl (Px). In some embodiments, W is a phosphoramidite group having the formula:

Figure pct00006
Figure pct00006

여기서:here:

Ra는 C1 내지 C6 알킬, C3 내지 C6 시클로알킬, 이소프로필 기이거나, 또는 Ra는 질소 원자를 통해 Rb와 연결되어 사이클을 형성하고,Ra is C1 to C6 alkyl, C3 to C6 cycloalkyl, isopropyl group, or Ra is connected to Rb through a nitrogen atom to form a cycle,

Rb는 C1 내지 C6 알킬, C3 내지 C6 시클로알킬, 이소프로필 기이거나, 또는 Rb는 질소 원자를 통해 Ra와 연결되어 사이클을 형성하고,Rb is C1 to C6 alkyl, C3 to C6 cycloalkyl, isopropyl group, or Rb is connected to Ra through a nitrogen atom to form a cycle,

Rc는 포스파이트 보호기, 포스페이트 보호기, 또는 2-시아노에틸 기이다.Rc is a phosphite protecting group, a phosphate protecting group, or a 2-cyanoethyl group.

일부 실시양태에서, 포스파이트 보호기는 메틸, 알릴, 2-시아노에틸, 4-시아노-2-부테닐, 2-시아노-1,1-디메틸에틸, 2-(트리메틸실릴)에틸, 2-(S-아세틸티오)에틸, 2-(S-피발로일티오)에틸, 2-(4-니트로페닐)에틸, 2,2,2-트리클로로에틸, 2,2,2-트리클로로-1,1-디메틸에틸, 1,1,1,3,3,3-헥사플루오로-2-프로필, 플루오레닐-9-메틸, 2-클로로페닐, 4-클로로페닐 및 2,4-디클로로페닐 중 적어도 1종을 포함한다. 일부 실시양태에서, 포스페이트 보호기는 메틸, 알릴, 2-시아노에틸, 4-시아노-2-부테닐, 2-시아노-1,1-디메틸에틸, 2-(트리메틸실릴)에틸, 2-(S-아세틸티오)에틸, 2-(S-피발로일티오)에틸, 2-(4-니트로페닐)에틸, 2,2,2-트리클로로에틸, 2,2,2-트리클로로-1,1-디메틸에틸, 1,1,1,3,3,3-헥사플루오로-2-프로필, 플루오레닐-9-메틸, 2-클로로페닐, 4-클로로페닐 및 2,4-디클로로페닐 중 적어도 1종을 포함한다.In some embodiments, the phosphite protecting group is methyl, allyl, 2-cyanoethyl, 4-cyano-2-butenyl, 2-cyano-1,1-dimethylethyl, 2-(trimethylsilyl)ethyl, 2 -(S-acetylthio)ethyl, 2-(S-pivaloylthio)ethyl, 2-(4-nitrophenyl)ethyl, 2,2,2-trichloroethyl, 2,2,2-trichloro- 1,1-dimethylethyl, 1,1,1,3,3,3-hexafluoro-2-propyl, fluorenyl-9-methyl, 2-chlorophenyl, 4-chlorophenyl and 2,4-dichloro Contains at least one type of phenyl. In some embodiments, the phosphate protecting group is methyl, allyl, 2-cyanoethyl, 4-cyano-2-butenyl, 2-cyano-1,1-dimethylethyl, 2-(trimethylsilyl)ethyl, 2- (S-acetylthio)ethyl, 2-(S-pivaloylthio)ethyl, 2-(4-nitrophenyl)ethyl, 2,2,2-trichloroethyl, 2,2,2-trichloro-1 ,1-dimethylethyl, 1,1,1,3,3,3-hexafluoro-2-propyl, fluorenyl-9-methyl, 2-chlorophenyl, 4-chlorophenyl and 2,4-dichlorophenyl Includes at least one of the following.

일부 실시양태에서, W는 카르복실 기이다. 일부 실시양태에서, W는 하기 화학식을 갖는 활성화된 카르복실 기이다:In some embodiments, W is a carboxyl group. In some embodiments, W is an activated carboxyl group having the formula:

Figure pct00007
Figure pct00007

여기서 X는 이탈기이다. 일부 실시양태에서, 이탈기는 카르복실레이트, 술포네이트, 클로라이드, 포스페이트, 이미다졸, 히드록시벤조트리아졸 (HOBt), N-히드록시숙신이미드 (NHS), 테트라플루오로페놀, 펜타플루오로페놀 및 파라-니트로페놀로 이루어진 군으로부터 선택된다.Here, X is a leaving group. In some embodiments, the leaving group is carboxylate, sulfonate, chloride, phosphate, imidazole, hydroxybenzotriazole (HOBt), N-hydroxysuccinimide (NHS), tetrafluorophenol, pentafluorophenol and para-nitrophenol.

일부 실시양태에서, W는 마이클 수용체이다. 일부 실시양태에서, 마이클 수용자는 하기 화학식을 갖는다:In some embodiments, W is a Michael acceptor. In some embodiments, the Michael acceptor has the formula:

Figure pct00008
Figure pct00008

여기서 E는 전자 끄는 기이고, Rd는 수소 또는 올레핀 상의 C1-C6 알킬 치환기이다. 일부 실시양태에서, 전자 끄는 기는 카르복스아미드 또는 에스테르이다. 일부 실시양태에서, E 및 탄소-탄소 이중 결합은 말레이미드의 일부이다.where E is an electron withdrawing group and Rd is hydrogen or a C1-C6 alkyl substituent on the olefin. In some embodiments, the electron withdrawing group is a carboxamide or ester. In some embodiments, E and the carbon-carbon double bond are part of a maleimide.

일부 실시양태에서, W는 올리고뉴클레오티드이다. 일부 실시양태에서, 올리고뉴클레오티드는 단일-가닥 올리고뉴클레오티드이다. 일부 실시양태에서, 올리고뉴클레오티드는 이중-가닥 올리고뉴클레오티드이다. 일부 실시양태에서, 올리고뉴클레오티드는 적어도 3개의 독립적으로 선택된 뉴클레오티드를 포함한다. 일부 실시양태에서, 올리고뉴클레오티드는 16 내지 23개의 독립적으로 선택된 뉴클레오티드를 포함한다. 일부 실시양태에서, 올리고뉴클레오티드는 약 100개의 독립적으로 선택된 뉴클레오티드를 포함한다. 일부 실시양태에서, 올리고뉴클레오티드는 최대 14,000개의 독립적으로 선택된 뉴클레오티드를 포함한다.In some embodiments, W is an oligonucleotide. In some embodiments, the oligonucleotide is a single-stranded oligonucleotide. In some embodiments, the oligonucleotide is a double-stranded oligonucleotide. In some embodiments, the oligonucleotide comprises at least three independently selected nucleotides. In some embodiments, the oligonucleotide comprises 16 to 23 independently selected nucleotides. In some embodiments, the oligonucleotide comprises about 100 independently selected nucleotides. In some embodiments, oligonucleotides comprise up to 14,000 independently selected nucleotides.

일부 실시양태에서, W는 하기이다:In some embodiments, W is:

Figure pct00009
Figure pct00009

여기서:here:

링커C는 부재하거나 또는 올리고뉴클레오티드의 3' 또는 5' 말단에 부착된 스페이서이고,Linker C is a spacer that is absent or attached to the 3' or 5' end of the oligonucleotide,

X는 메틸 기, 산소, 황 또는 아미노 기이고,X is a methyl group, oxygen, sulfur or amino group,

Y는 산소, 황 또는 아미노 기이다.Y is oxygen, sulfur or amino group.

일부 실시양태에서, 링커C는 적어도 1종의 헤테로시클릭 화합물을 포함한다. 일부 실시양태에서, 헤테로시클릭 화합물은 무염기성 뉴클레오티드 또는 역전된 무염기성 뉴클레오티드이다.In some embodiments, Linker C includes at least one heterocyclic compound. In some embodiments, the heterocyclic compound is an abasic nucleotide or an inverted abasic nucleotide.

일부 실시양태에서, W는 하기이다:In some embodiments, W is:

Figure pct00010
Figure pct00010

여기서 링커C는 올리고뉴클레오티드의 3' 또는 5' 말단에 부착된 스페이서이다. 일부 실시양태에서, 링커C는 폴리에틸렌 글리콜 (PEG), 알킬 기 및 시클로알킬 기 중 적어도 1종을 포함한다. 일부 실시양태에서, 링커C는 적어도 1종의 헤테로원자를 포함한다. 일부 실시양태에서, 적어도 1종의 헤테로원자는 산소, 질소, 황 및 인 중 적어도 1종을 포함한다. 일부 실시양태에서, 링커C는 적어도 1종의 지방족 헤테로사이클을 포함한다. 일부 실시양태에서, 적어도 1종의 지방족 헤테로사이클은 테트라히드로푸란, 테트라히드로피란, 모르폴린, 피페리딘, 피페라진, 피롤리딘 및 아제티딘 중 적어도 1종을 포함한다. 일부 실시양태에서, 링커C는 적어도 1종의 헤테로아릴 기를 포함한다. 일부 실시양태에서, 적어도 1종의 헤테로아릴 기는 이미다졸, 피라졸, 피리딘, 피리미딘, 트리아졸 및 1,2,3-트리아졸 중 적어도 1종을 포함한다. 일부 실시양태에서, 링커C는 적어도 1종의 아미노산을 포함한다. 일부 실시양태에서, 링커C는 적어도 1종의 뉴클레오티드를 포함한다. 일부 실시양태에서, 적어도 1종의 뉴클레오티드는 무염기성 뉴클레오티드 및 역전된 무염기성 뉴클레오티드 중 적어도 1종을 포함한다. 일부 실시양태에서, 무염기성 뉴클레오티드는 무염기성 데옥시리보핵산 (DNA)이다. 일부 실시양태에서, 역전된 무염기성 뉴클레오티드는 역전된 무염기성 데옥시리보핵산 (DNA)이다. 일부 실시양태에서, 무염기성 뉴클레오티드는 무염기성 리보핵산 (RNA)이다. 일부 실시양태에서, 역전된 무염기성 뉴클레오티드는 역전된 무염기성 리보핵산 (RNA)이다. 일부 실시양태에서, 링커C는 적어도 1종의 사카라이드를 포함한다. 일부 실시양태에서, 적어도 1종의 사카라이드는 글루코스, 프룩토스, 만노스, 갈락토스, 리보스 및 글루코사민 중 적어도 1종을 포함한다. 일부 실시양태에서, 링커C는 하기 중 1종 이상을 포함한다:Here, Linker C is a spacer attached to the 3' or 5' end of the oligonucleotide. In some embodiments, Linker C includes at least one of polyethylene glycol (PEG), an alkyl group, and a cycloalkyl group. In some embodiments, Linker C includes at least one heteroatom. In some embodiments, the at least one heteroatom includes at least one of oxygen, nitrogen, sulfur, and phosphorus. In some embodiments, Linker C includes at least one aliphatic heterocycle. In some embodiments, the at least one aliphatic heterocycle includes at least one of tetrahydrofuran, tetrahydropyran, morpholine, piperidine, piperazine, pyrrolidine, and azetidine. In some embodiments, Linker C includes at least one heteroaryl group. In some embodiments, the at least one heteroaryl group includes at least one of imidazole, pyrazole, pyridine, pyrimidine, triazole, and 1,2,3-triazole. In some embodiments, Linker C includes at least one amino acid. In some embodiments, Linker C comprises at least one nucleotide. In some embodiments, the at least one nucleotide comprises at least one of an abasic nucleotide and an inverted abasic nucleotide. In some embodiments, the abasic nucleotide is an abasic deoxyribonucleic acid (DNA). In some embodiments, the inverted abasic nucleotide is an inverted abasic deoxyribonucleic acid (DNA). In some embodiments, the abasic nucleotide is an abasic ribonucleic acid (RNA). In some embodiments, the inverted abasic nucleotide is an inverted abasic ribonucleic acid (RNA). In some embodiments, Linker C comprises at least one saccharide. In some embodiments, the at least one saccharide includes at least one of glucose, fructose, mannose, galactose, ribose, and glucosamine. In some embodiments, Linker C comprises one or more of the following:

Figure pct00011
Figure pct00011

여기서 j는 1 내지 12의 정수이고, k는 0 내지 12의 정수이다.Here, j is an integer from 1 to 12, and k is an integer from 0 to 12.

일부 실시양태에서, W는 하기이다:In some embodiments, W is:

Figure pct00012
Figure pct00012

여기서 링커C는 올리고뉴클레오티드의 3' 또는 5' 말단에 부착된 스페이서이다. 일부 실시양태에서, 링커C는 폴리에틸렌 글리콜 (PEG), 알킬 기 및 시클로알킬 기 중 적어도 1종을 포함한다. 일부 실시양태에서, 링커C는 하기 중 1종 이상을 포함한다:Here, Linker C is a spacer attached to the 3' or 5' end of the oligonucleotide. In some embodiments, Linker C includes at least one of polyethylene glycol (PEG), an alkyl group, and a cycloalkyl group. In some embodiments, Linker C comprises one or more of the following:

Figure pct00013
Figure pct00013

여기서 j는 1 내지 12의 정수이고, k는 0 내지 12의 정수이다.Here, j is an integer from 1 to 12, and k is an integer from 0 to 12.

일부 실시양태에서, 화합물은 하기로 이루어진 군으로부터 선택된다:In some embodiments, the compound is selected from the group consisting of:

Figure pct00014
Figure pct00014

Figure pct00015
Figure pct00015

Figure pct00016
Figure pct00016

Figure pct00017
Figure pct00017

Figure pct00018
Figure pct00018

Figure pct00019
Figure pct00019

Figure pct00020
Figure pct00020

Figure pct00021
Figure pct00021

Figure pct00022
Figure pct00022

Figure pct00023
Figure pct00023

Figure pct00024
Figure pct00024

Figure pct00025
Figure pct00025

Figure pct00026
Figure pct00026

Figure pct00027
Figure pct00027

Figure pct00028
Figure pct00028

Figure pct00029
Figure pct00029

Figure pct00030
Figure pct00030

Figure pct00031
Figure pct00031

Figure pct00032
Figure pct00032

Figure pct00033
Figure pct00033

Figure pct00034
Figure pct00034

Figure pct00035
Figure pct00035

Figure pct00036
Figure pct00036

Figure pct00037
Figure pct00037

Figure pct00038
Figure pct00038

일부 실시양태에서, 화합물은 화합물 1-75 중 하나의 입체이성질체이다.In some embodiments, the compound is a stereoisomer of one of Compounds 1-75.

일부 실시양태에서, W는 1종 이상의 제약 작용제이다. 일부 실시양태에서, 1종 이상의 제약 작용제는 소형 간섭 RNA (siRNA), 단일 가닥 siRNA, 이중 가닥 siRNA, 소형 활성화 RNA, RNAi, 마이크로RNA (miRNA), 안티센스 올리고뉴클레오티드, 짧은 가이드 RNA (gRNA), 단일 가이드 RNA (sgRNA), 메신저 RNA (mRNA), 리보자임, 플라스미드, 면역-자극 핵산, 안타고미르 및 압타머 중 적어도 1종을 포함한다. 일부 실시양태에서, 이중 가닥 siRNA는 적어도 1종의 변형된 리보뉴클레오티드를 포함한다. 일부 실시양태에서, 이중 가닥 siRNA의 각각의 가닥은 19-23개 뉴클레오티드 길이이다. 일부 실시양태에서, 이중 가닥 siRNA의 실질적으로 모든 리보뉴클레오티드가 변형된다. 일부 실시양태에서, 이중 가닥 siRNA의 모든 리보뉴클레오티드는 변형된다. 일부 실시양태에서, 변형된 리보뉴클레오티드는 2'-O-메틸 뉴클레오티드, 2'-플루오로 뉴클레오티드, 2'-데옥시 뉴클레오티드, 2'3'-세코 뉴클레오티드 모방체, 잠금 뉴클레오티드, 2'-F-아라비노 뉴클레오티드, 2'-메톡시에틸 뉴클레오티드, 무염기성 뉴클레오티드, 리비톨, 역전된 뉴클레오티드, 역전된 무염기성 뉴클레오티드, 역전된 2'-OMe 뉴클레오티드, 역전된 2'데옥시 뉴클레오티드, 2'-아미노-변형된 뉴클레오티드, 2'-알킬-변형된 뉴클레오티드, 모르폴리노 뉴클레오티드, 및 3'-OMe 뉴클레오티드, 5'-포스포로티오에이트 기 포함 뉴클레오티드, 또는 5'-(E)-비닐 포스포네이트 뉴클레오티드 (안티센스 가닥 단독), 또는 콜레스테릴 유도체 또는 도데칸산 비스데실아미드 기에 연결된 말단 뉴클레오티드, 2'-아미노-변형된 뉴클레오티드, 2'-알킬-변형된 뉴클레오티드, 포스포르아미데이트, 또는 비-천연 염기 포함 뉴클레오티드를 포함한다. 일부 실시양태에서, 이중 가닥 siRNA의 적어도 1개의 가닥은 적어도 1개의 포스포로티오에이트 연결을 포함한다. 일부 실시양태에서, 이중 가닥 siRNA의 적어도 1개의 가닥은 최대 6개의 포스포로티오에이트 연결을 포함한다. 일부 실시양태에서, 이중 가닥 siRNA는 적어도 1종의 잠금 핵산을 포함한다. 일부 실시양태에서, 이중 가닥 siRNA는 적어도 1종의 비잠금 핵산을 포함한다. 일부 실시양태에서, 이중 가닥 siRNA는 적어도 1종의 글리세롤 핵산을 포함한다.In some embodiments, W is one or more pharmaceutical agents. In some embodiments, one or more pharmaceutical agents include small interfering RNA (siRNA), single-stranded siRNA, double-stranded siRNA, small activating RNA, RNAi, microRNA (miRNA), antisense oligonucleotide, short guide RNA (gRNA), single It includes at least one of guide RNA (sgRNA), messenger RNA (mRNA), ribozyme, plasmid, immune-stimulating nucleic acid, antagomir, and aptamer. In some embodiments, the double-stranded siRNA includes at least one modified ribonucleotide. In some embodiments, each strand of double-stranded siRNA is 19-23 nucleotides in length. In some embodiments, substantially all ribonucleotides of the double-stranded siRNA are modified. In some embodiments, all ribonucleotides of a double-stranded siRNA are modified. In some embodiments, the modified ribonucleotide is 2'-O-methyl nucleotide, 2'-fluoro nucleotide, 2'-deoxy nucleotide, 2'3'-seco nucleotide mimetic, lock nucleotide, 2'-F- Arabino nucleotide, 2'-methoxyethyl nucleotide, abasic nucleotide, ribitol, inverted nucleotide, inverted abasic nucleotide, inverted 2'-OMe nucleotide, inverted 2'deoxy nucleotide, 2'-amino- Modified nucleotides, 2'-alkyl-modified nucleotides, morpholino nucleotides, and 3'-OMe nucleotides, nucleotides containing a 5'-phosphorothioate group, or 5'-(E)-vinyl phosphonate nucleotides ( antisense strand alone), or a terminal nucleotide linked to a cholesteryl derivative or dodecanoic acid bisdecylamide group, a 2'-amino-modified nucleotide, a 2'-alkyl-modified nucleotide, a phosphoramidate, or a non-natural base. Contains nucleotides. In some embodiments, at least one strand of the double-stranded siRNA comprises at least one phosphorothioate linkage. In some embodiments, at least one strand of the double-stranded siRNA comprises up to 6 phosphorothioate linkages. In some embodiments, the double-stranded siRNA includes at least one locked nucleic acid. In some embodiments, the double-stranded siRNA includes at least one unlocked nucleic acid. In some embodiments, the double-stranded siRNA comprises at least one glycerol nucleic acid.

본 개시내용의 또 다른 측면은 상기 상술된 화합물 중 임의의 것을 포함하는 제약 조성물에 관한 것이다. 일부 실시양태에서, 제약 조성물은 1종 이상의 제약 작용제를 포함한다. 일부 실시양태에서, 제약 조성물은 1종 이상의 치료제를 포함한다. 일부 실시양태에서, 제약 조성물은 제약상 허용되는 담체를 포함한다.Another aspect of the disclosure relates to pharmaceutical compositions comprising any of the compounds detailed above. In some embodiments, the pharmaceutical composition includes one or more pharmaceutical agents. In some embodiments, the pharmaceutical composition includes one or more therapeutic agents. In some embodiments, the pharmaceutical composition includes a pharmaceutically acceptable carrier.

본 개시내용의 추가 측면은 1종 이상의 제약 작용제의 표적화된 전달을 위한 조성물에 관한 것이며, 여기서 조성물은 상기 기재된 화합물 중 임의의 것을 포함하고, 여기서 W는 1종 이상의 제약 작용제이다. 일부 실시양태에서, 1종 이상의 제약 작용제는 소형 간섭 RNA (siRNA), 단일 가닥 siRNA, 이중 가닥 siRNA, 소형 활성화 RNA, 마이크로RNA (miRNA), 안티센스 올리고뉴클레오티드, 짧은 가이드 RNA (gRNA), 단일 가이드 RNA (sgRNA), 메신저 RNA (mRNA), 리보자임, 플라스미드, 면역 자극 핵산, 안타고미르 및 압타머 중 적어도 1종을 포함한다. 일부 실시양태에서, 이중 가닥 siRNA는 siRNA의 한쪽 또는 양쪽 가닥에 적어도 1종의 변형된 리보뉴클레오티드를 포함한다. 일부 실시양태에서, 각각의 가닥의 이중 가닥 siRNA는 뉴클레오티드 19-23개 길이이다. 일부 실시양태에서, 이중 가닥 siRNA의 실질적으로 모든 리보뉴클레오티드가 변형된다. 일부 실시양태에서, 이중 가닥 siRNA의 모든 리보뉴클레오티드는 변형된다. 일부 실시양태에서, 변형된 리보뉴클레오티드는 2'-O-메틸 뉴클레오티드, 2'-플루오로 뉴클레오티드, 2'-데옥시 뉴클레오티드, 2'3'-세코 뉴클레오티드 모방체, 잠금 뉴클레오티드, 2'-F-아라비노 뉴클레오티드, 2'-메톡시에틸 뉴클레오티드, 무염기성 뉴클레오티드, 리비톨, 역전된 뉴클레오티드, 역전된 무염기성 뉴클레오티드, 역전된 2'-OMe 뉴클레오티드, 역전된 2'데옥시 뉴클레오티드, 2'-아미노-변형된 뉴클레오티드, 2'-알킬-변형된 뉴클레오티드, 모르폴리노 뉴클레오티드, 및 3'-OMe 뉴클레오티드, 5'-포스포로티오에이트 기 포함 뉴클레오티드, 또는 5'-(E)-비닐 포스포네이트 뉴클레오티드 (안티센스 가닥 단독), 또는 콜레스테릴 유도체 또는 도데칸산 비스데실아미드 기에 연결된 말단 뉴클레오티드, 2'-아미노-변형된 뉴클레오티드, 2'-알킬-변형된 뉴클레오티드, 포스포르아미데이트, 또는 비-천연 염기 포함 뉴클레오티드를 포함한다. 일부 실시양태에서, 이중 가닥 siRNA의 적어도 1개의 가닥은 적어도 1개의 포스포로티오에이트 연결을 포함한다. 일부 실시양태에서, 이중 가닥 siRNA의 적어도 1개의 가닥은 최대 6개의 포스포로티오에이트 연결을 포함한다. 일부 실시양태에서, 이중 가닥 siRNA는 적어도 1종의 잠금 핵산을 포함한다. 일부 실시양태에서, 이중 가닥 siRNA는 적어도 1종의 비잠금 핵산을 포함한다. 일부 실시양태에서, 이중 가닥 siRNA는 적어도 1종의 글리세롤 핵산을 포함한다.A further aspect of the disclosure relates to compositions for targeted delivery of one or more pharmaceutical agents, wherein the composition comprises any of the compounds described above, and wherein W is one or more pharmaceutical agents. In some embodiments, one or more pharmaceutical agents include small interfering RNA (siRNA), single-stranded siRNA, double-stranded siRNA, small activating RNA, microRNA (miRNA), antisense oligonucleotide, short guide RNA (gRNA), single guide RNA. (sgRNA), messenger RNA (mRNA), ribozyme, plasmid, immunostimulatory nucleic acid, antagomir, and aptamer. In some embodiments, a double-stranded siRNA includes at least one modified ribonucleotide on one or both strands of the siRNA. In some embodiments, each strand of double-stranded siRNA is 19-23 nucleotides long. In some embodiments, substantially all ribonucleotides of the double-stranded siRNA are modified. In some embodiments, all ribonucleotides of a double-stranded siRNA are modified. In some embodiments, the modified ribonucleotide is 2'-O-methyl nucleotide, 2'-fluoro nucleotide, 2'-deoxy nucleotide, 2'3'-seco nucleotide mimetic, lock nucleotide, 2'-F- Arabino nucleotide, 2'-methoxyethyl nucleotide, abasic nucleotide, ribitol, inverted nucleotide, inverted abasic nucleotide, inverted 2'-OMe nucleotide, inverted 2'deoxy nucleotide, 2'-amino- Modified nucleotides, 2'-alkyl-modified nucleotides, morpholino nucleotides, and 3'-OMe nucleotides, nucleotides containing a 5'-phosphorothioate group, or 5'-(E)-vinyl phosphonate nucleotides ( antisense strand alone), or a terminal nucleotide linked to a cholesteryl derivative or dodecanoic acid bisdecylamide group, a 2'-amino-modified nucleotide, a 2'-alkyl-modified nucleotide, a phosphoramidate, or a non-natural base. Contains nucleotides. In some embodiments, at least one strand of the double-stranded siRNA comprises at least one phosphorothioate linkage. In some embodiments, at least one strand of the double-stranded siRNA comprises up to 6 phosphorothioate linkages. In some embodiments, the double-stranded siRNA includes at least one locked nucleic acid. In some embodiments, the double-stranded siRNA comprises at least one unlocked nucleic acid. In some embodiments, the double-stranded siRNA comprises at least one glycerol nucleic acid.

본 개시내용의 또 다른 측면은 상기 기재된 조성물 중 임의의 것을 포함하는 제약 조성물에 관한 것이다. 일부 실시양태에서, 제약 조성물은 1종 이상의 치료제를 포함한다. 일부 실시양태에서, 제약 조성물은 제약상 허용되는 담체를 포함한다.Another aspect of the disclosure relates to pharmaceutical compositions comprising any of the compositions described above. In some embodiments, the pharmaceutical composition includes one or more therapeutic agents. In some embodiments, the pharmaceutical composition includes a pharmaceutically acceptable carrier.

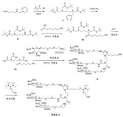
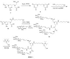
본 개시내용의 추가 측면은 1종 이상의 제약 작용제의 표적화된 전달을 위한 화합물을 제조하는 방법에 관한 것이며, 여기서 방법은 하기를 포함한다: 디아민을 포함하는 제1 화합물을 수용하는 단계로서, 디아민은 제1 질소 및 제2 질소를 포함하고, 제1 질소는 1급 아민이고, 제2 질소는 보호기를 포함하는 2급 아민인 단계; 복수의 보호된 카르복실산을 제1 화합물에 커플링시킴으로써 제2 화합물을 제조하는 단계로서, 제2 화합물에서의 제1 질소는 제1 보호된 카르복실산 및 제2 보호된 카르복실산을 포함하는 3급 아민이고, 제2 화합물에서의 제2 질소는 보호기 및 제3 보호된 카르복실산을 포함하는 3급 아민인 단계; 제2 화합물의 제2 질소를 탈보호하여 제2 질소가 제3 보호된 카르복실산을 포함하는 2급 아민이 되도록 함으로써 제3 화합물을 제조하는 단계; 히드록시 기를 포함하는 모이어티를 제3 화합물의 제2 질소에 부착시켜 제2 질소가 제3 보호된 카르복실산 및 히드록시 기를 포함하는 모이어티를 포함하는 3급 아민 또는 아미드가 되도록 함으로써 제4 화합물을 제조하는 단계; 제4 화합물의 보호된 카르복실산을 카르복실산으로 전환시킴으로써 제5 화합물을 제조하는 단계; 및 제5 화합물을 사용하여 아미드 커플링 반응을 수행함으로써 제6 화합물을 제조하는 단계로서, 제6 화합물에서의 제1 질소는 제1 아미드 및 제2 아미드를 포함하는 3급 아민이고, 제6 화합물에서의 제2 질소는 히드록시 기를 포함하는 모이어티 및 제3 아미드를 포함하는 3급 아민이고, 여기서 제1 아미드, 제2 아미드 및 제3 아미드 각각은 독립적으로 선택된 표적화 리간드에 커플링된 것인 단계.A further aspect of the disclosure relates to a method of preparing a compound for targeted delivery of one or more pharmaceutical agents, wherein the method comprises: receiving a first compound comprising a diamine, wherein the diamine A step comprising a first nitrogen and a second nitrogen, wherein the first nitrogen is a primary amine and the second nitrogen is a secondary amine containing a protecting group; preparing a second compound by coupling a plurality of protected carboxylic acids to the first compound, wherein the first nitrogen in the second compound comprises the first protected carboxylic acid and the second protected carboxylic acid. is a tertiary amine, and the second nitrogen in the second compound is a tertiary amine comprising a protecting group and a third protected carboxylic acid; preparing a third compound by deprotecting the second nitrogen of the second compound such that the second nitrogen becomes a secondary amine comprising a third protected carboxylic acid; A fourth compound is formed by attaching a moiety containing a hydroxy group to the second nitrogen of a third compound such that the second nitrogen is a tertiary amine or amide containing a third protected carboxylic acid and a moiety containing a hydroxy group. Preparing a compound; preparing a fifth compound by converting the protected carboxylic acid of the fourth compound to a carboxylic acid; and preparing a sixth compound by performing an amide coupling reaction using the fifth compound, wherein the first nitrogen in the sixth compound is a tertiary amine comprising a first amide and a second amide, and the sixth compound The second nitrogen in is a tertiary amine comprising a moiety comprising a hydroxy group and a third amide, wherein each of the first amide, second amide and third amide is coupled to an independently selected targeting ligand. step.

일부 실시양태에서, 보호기는 벤질 기 및 트리페닐메틸 기로 이루어진 군으로부터 선택된다. 일부 실시양태에서, 제2 화합물을 제조하는 것은 제1 화합물을 사용하여 SN2 치환 반응을 수행하는 것을 포함한다. 일부 실시양태에서, 제2 화합물을 제조하는 것은 제1 화합물을 사용하여 환원성 아미노화 반응을 수행하는 것을 포함한다. 일부 실시양태에서, 제2 화합물을 제조하는 것은 제1 화합물을 사용하여 마이클 첨가 반응을 수행하는 것을 포함한다. 일부 실시양태에서, 보호기는 벤질 기이고, 제3 화합물을 제조하는 것은 제2 화합물을 사용하여 수소화 반응을 수행하는 것을 포함한다. 일부 실시양태에서, 보호기는 트리페닐메틸 기이고, 제3 화합물을 제조하는 것은 제2 성분을 적어도 1종의 산과 반응시키는 것을 포함한다. 일부 실시양태에서, 제4 화합물을 제조하는 것은 제3 화합물을 사용하여 SN2 치환 반응을 수행하는 것을 포함한다. 일부 실시양태에서, 제4 화합물을 제조하는 것은 제3 화합물을 사용하여 환원성 아미노화 반응을 수행하는 것을 포함한다. 일부 실시양태에서, 제4 화합물을 제조하는 것은 제3 화합물을 사용하여 마이클 첨가 반응을 수행하는 것을 포함한다. 일부 실시양태에서, 제4 화합물을 제조하는 것은 제3 화합물을 사용하여 아미드 커플링 반응을 수행하는 것을 포함한다. 일부 실시양태에서, 제4 화합물을 제조하는 것은 제3 화합물을 사용하여 친핵성 첨가 반응을 수행하는 것을 포함한다. 일부 실시양태에서, 히드록시 기를 포함하는 모이어티는 상기 기재된 임의의 링커B를 사용하여 제2 질소에 부착된다. 일부 실시양태에서, 제5 화합물을 제조하는 것은 제4 화합물을 적어도 1종의 산과 반응시키는 것을 포함한다. 일부 실시양태에서, 적어도 1종의 산은 염산, 브로민화수소산, 트리플루오로아세트산 및 포름산 중 적어도 1종을 포함한다. 일부 실시양태에서, 제5 화합물을 제조하는 것은 제4 화합물을 사용하여 수소화 반응을 수행하는 것을 포함한다. 일부 실시양태에서, 제5 화합물을 제조하는 것은 제4 화합물을 사용하여 가수분해 반응을 수행하는 것을 포함한다. 일부 실시양태에서, 제1 아미드, 제2 아미드 및 제3 아미드 각각은 상기 기재된 임의의 독립적으로 선택된 링커A를 사용하여 독립적으로 선택된 표적화 리간드에 커플링된다. 일부 실시양태에서, 독립적으로 선택된 표적화 리간드는 상기 기재된 독립적으로 선택된 표적화 리간드이다. 일부 실시양태에서, 방법은 인산화 반응을 사용하여 히드록시 기를 포스포르아미다이트 기로 전환시키는 것을 추가로 포함한다. 일부 실시양태에서, 히드록시 기를 포스포르아미다이트 기로 전환시키는 것은 아미드 커플링 반응을 수행하여 제6 화합물을 제조한 후에 수행된다.In some embodiments, the protecting group is selected from the group consisting of a benzyl group and a triphenylmethyl group. In some embodiments, preparing the second compound includes performing a SN 2 substitution reaction using the first compound. In some embodiments, preparing the second compound includes performing a reductive amination reaction using the first compound. In some embodiments, preparing the second compound includes performing a Michael addition reaction using the first compound. In some embodiments, the protecting group is a benzyl group, and preparing the third compound includes performing a hydrogenation reaction using the second compound. In some embodiments, the protecting group is a triphenylmethyl group, and preparing the third compound includes reacting the second component with at least one acid. In some embodiments, preparing the fourth compound includes performing an SN 2 substitution reaction using the third compound. In some embodiments, preparing the fourth compound includes performing a reductive amination reaction using the third compound. In some embodiments, preparing the fourth compound includes performing a Michael addition reaction using the third compound. In some embodiments, preparing the fourth compound includes performing an amide coupling reaction using the third compound. In some embodiments, preparing the fourth compound includes performing a nucleophilic addition reaction using the third compound. In some embodiments, the moiety comprising a hydroxy group is attached to the second nitrogen using any of the linkers B described above. In some embodiments, preparing the fifth compound includes reacting the fourth compound with at least one acid. In some embodiments, the at least one acid includes at least one of hydrochloric acid, hydrobromide acid, trifluoroacetic acid, and formic acid. In some embodiments, preparing the fifth compound includes performing a hydrogenation reaction using the fourth compound. In some embodiments, preparing the fifth compound includes performing a hydrolysis reaction using the fourth compound. In some embodiments, the first amide, second amide, and third amide are each coupled to an independently selected targeting ligand using any of the independently selected LinkerA described above. In some embodiments, the independently selected targeting ligand is an independently selected targeting ligand described above. In some embodiments, the method further comprises converting a hydroxy group to a phosphoramidite group using a phosphorylation reaction. In some embodiments, converting the hydroxy group to a phosphoramidite group is performed after performing an amide coupling reaction to prepare the sixth compound.

본 개시내용의 또 다른 측면은 1종 이상의 제약 작용제의 표적화된 전달을 위한 화합물을 제조하는 방법에 관한 것이며, 여기서 방법은 하기를 포함한다: 디아민을 포함하는 제1 화합물을 수용하는 단계로서, 디아민은 제1 질소 및 제2 질소를 포함하고, 제1 질소는 제1 보호기를 포함하는 2급 아민이고, 제2 질소는 제2 보호기를 포함하는 아민인 단계; 제1 보호된 카르복실산을 제1 화합물의 제1 질소에 커플링시켜 제1 질소가 3급 아민이 되도록 함으로써 제2 화합물을 제조하는 단계; 제2 화합물의 제1 질소로부터 제1 보호기를 제거하여 제1 질소 및 제2 질소를 포함하는 제3 화합물을 제조하는 단계로서, 제1 질소는 제1 보호된 카르복실산을 포함하는 2급 아민이고, 제2 질소는 제2 보호기를 포함하는 아민인 단계; 제2 보호된 카르복실산을 제3 화합물의 제1 질소에 커플링시켜 제1 질소가 3급 아민이 되도록 함으로써 제4 화합물을 제조하는 단계; 제4 화합물로부터 제2 보호기를 제거하여 제1 질소 및 제2 질소를 포함하는 제5 화합물을 제조하는 단계로서, 제1 질소는 제1 보호된 카르복실산 및 제2 보호된 카르복실산을 포함하는 3급 아민이고, 제2 질소는 1급 아민인 단계; 제3 보호된 카르복실산을 제5 화합물의 제2 질소에 커플링시켜 제2 질소가 2급 아민이 되도록 함으로써 제6 화합물을 제조하는 단계; 히드록시 기를 포함하는 모이어티를 제6 화합물의 제2 질소에 부착시켜 제2 질소가 3급 아민이 되도록 함으로써 제7 화합물을 제조하는 단계; 제7 화합물의 제3 보호된 카르복실산을 제1 카르복실산으로 전환시킴으로써 제8 화합물을 제조하는 단계; 제8 화합물을 사용하여 아미드 커플링 반응을 수행함으로써 제9 화합물을 제조하는 단계로서, 제9 화합물의 제1 질소는 제1 보호된 카르복실산 및 제2 보호된 카르복실산을 포함하고, 제9 화합물의 제2 질소는 그에 커플링된 제1 표적화 리간드를 갖는 제1 아미드 및 히드록시 기를 포함하는 모이어티를 포함하는 것인 단계; 제9 화합물의 제2 보호된 카르복실산을 제2 카르복실산으로 전환시킴으로써 제10 화합물을 제조하는 단계; 제10 화합물을 사용하여 아미드 커플링 반응을 수행함으로써 제11 화합물을 제조하는 단계로서, 제11 화합물의 제1 질소는 제1 보호된 카르복실산 및 그에 커플링된 제2 표적화 리간드를 갖는 제2 아미드를 포함하고, 제11 화합물의 제2 질소는 그에 커플링된 제1 표적화 리간드를 갖는 제1 아미드 및 히드록시 기를 포함하는 모이어티를 포함하는 것인 단계; 제11 화합물의 제1 보호된 카르복실산을 제3 카르복실산으로 전환시킴으로써 제12 화합물을 제조하는 단계; 및 제12 화합물을 사용하여 아미드 커플링 반응을 수행함으로써 제13 화합물을 제조하는 단계로서, 제13 화합물의 제1 질소는 그에 커플링된 제2 표적화 리간드를 갖는 제2 아미드 및 그에 커플링된 제3 표적화 리간드를 갖는 제3 아미드를 포함하고, 제13 화합물의 제2 질소는 그에 커플링된 제1 표적화 리간드를 갖는 제1 아미드 및 히드록시 기를 포함하는 모이어티를 포함하는 것인 단계.Another aspect of the disclosure relates to a method of preparing a compound for targeted delivery of one or more pharmaceutical agents, wherein the method comprises: receiving a first compound comprising a diamine, wherein the diamine includes a first nitrogen and a second nitrogen, the first nitrogen is a secondary amine containing a first protecting group, and the second nitrogen is an amine containing a second protecting group; preparing a second compound by coupling the first protected carboxylic acid to the first nitrogen of the first compound such that the first nitrogen is a tertiary amine; removing the first protecting group from the first nitrogen of the second compound to prepare a third compound comprising a first nitrogen and a second nitrogen, wherein the first nitrogen is a secondary amine comprising a first protected carboxylic acid. and the second nitrogen is an amine containing a second protecting group; preparing a fourth compound by coupling the second protected carboxylic acid to the first nitrogen of the third compound such that the first nitrogen is a tertiary amine; removing the second protecting group from the fourth compound to produce a fifth compound comprising a first nitrogen and a second nitrogen, wherein the first nitrogen comprises a first protected carboxylic acid and a second protected carboxylic acid. is a tertiary amine, and the second nitrogen is a primary amine; preparing a sixth compound by coupling the third protected carboxylic acid to the second nitrogen of the fifth compound such that the second nitrogen is a secondary amine; preparing a seventh compound by attaching a moiety comprising a hydroxy group to the second nitrogen of the sixth compound such that the second nitrogen is a tertiary amine; preparing an eighth compound by converting the third protected carboxylic acid of the seventh compound to a first carboxylic acid; Preparing a ninth compound by performing an amide coupling reaction using the eighth compound, wherein the first nitrogen of the ninth compound includes a first protected carboxylic acid and a second protected carboxylic acid, wherein the second nitrogen of compound 9 comprises a moiety comprising a first amide and hydroxy group with a first targeting ligand coupled thereto; preparing a tenth compound by converting the second protected carboxylic acid of the ninth compound to a second carboxylic acid; Preparing an eleventh compound by performing an amide coupling reaction using the tenth compound, wherein the first nitrogen of the eleventh compound is a second nitrogen having a first protected carboxylic acid and a second targeting ligand coupled thereto. comprising an amide, wherein the second nitrogen of the eleventh compound comprises a moiety comprising a hydroxy group and a first amide having a first targeting ligand coupled thereto; preparing a twelfth compound by converting the first protected carboxylic acid of the eleventh compound to a third carboxylic acid; and preparing a thirteenth compound by performing an amide coupling reaction using the twelfth compound, wherein the first nitrogen of the thirteenth compound is a second amide having a second targeting ligand coupled thereto and a second amide coupled thereto. 3 comprising a third amide having a targeting ligand, and wherein the second nitrogen of the thirteenth compound comprises a moiety comprising a hydroxy group and a first amide having a first targeting ligand coupled thereto.

일부 실시양태에서, 제1 보호기는 벤질 기이고, 제2 보호기는 tert-부틸옥시카르보닐 (Boc) 기이다. 일부 실시양태에서, 제2 화합물을 제조하는 것은 제1 화합물을 사용하여 SN2 치환 반응을 수행하는 것을 포함한다. 일부 실시양태에서, 제2 화합물을 제조하는 것은 제1 화합물을 사용하여 환원성 아미노화 반응을 수행하는 것을 포함한다. 일부 실시양태에서, 제2 화합물을 제조하는 것은 제1 화합물을 사용하여 마이클 첨가 반응을 수행하는 것을 포함한다. 일부 실시양태에서, 제3 화합물을 제조하는 것은 제2 화합물을 사용하여 수소화 반응을 수행하는 것을 포함한다. 일부 실시양태에서, 제4 화합물을 제조하는 것은 제3 화합물을 사용하여 SN2 치환 반응을 수행하는 것을 포함한다. 일부 실시양태에서, 제4 화합물을 제조하는 것은 제3 화합물을 사용하여 환원성 아미노화 반응을 수행하는 것을 포함한다. 일부 실시양태에서, 제4 화합물을 제조하는 것은 제3 화합물을 사용하여 마이클 첨가 반응을 수행하는 것을 포함한다. 일부 실시양태에서, 제4 화합물을 제조하는 것은 제3 화합물을 사용하여 아미드 커플링 반응을 수행하는 것을 포함한다. 일부 실시양태에서, 제4 화합물을 제조하는 것은 제3 화합물을 사용하여 친핵성 첨가 반응을 수행하는 것을 포함한다. 일부 실시양태에서, 제5 화합물을 제조하는 것은 제4 화합물을 적어도 1종의 산과 반응시키는 것을 포함한다. 일부 실시양태에서, 적어도 1종의 산은 염산 및 트리플루오로아세트산 중 적어도 1종을 포함한다. 일부 실시양태에서, 제6 화합물을 제조하는 것은 제5 화합물을 사용하여 SN2 치환 반응을 수행하는 것을 포함한다. 일부 실시양태에서, 제6 화합물을 제조하는 것은 제5 화합물을 사용하여 환원성 아미노화 반응을 수행하는 것을 포함한다. 일부 실시양태에서, 제6 화합물을 제조하는 것은 제5 화합물을 사용하여 마이클 첨가 반응을 수행하는 것을 포함한다. 일부 실시양태에서, 제7 화합물을 제조하는 것은 제6 화합물을 사용하여 SN2 치환 반응을 수행하는 것을 포함한다. 일부 실시양태에서, 제7 화합물을 제조하는 것은 제6 화합물을 사용하여 환원성 아미노화 반응을 수행하는 것을 포함한다. 일부 실시양태에서, 제7 화합물을 제조하는 것은 제6 화합물을 사용하여 마이클 첨가 반응을 수행하는 것을 포함한다. 일부 실시양태에서, 제7 화합물을 제조하는 것은 제6 화합물을 사용하여 아미드 커플링 반응을 수행하는 것을 포함한다. 일부 실시양태에서, 제7 화합물을 제조하는 것은 제6 화합물을 사용하여 친핵성 첨가 반응을 수행하는 것을 포함한다. 일부 실시양태에서, 제1 아미드는 상기 기재된 독립적으로 선택된 링커A를 사용하여 제1 표적화 리간드에 커플링된다. 일부 실시양태에서, 제2 아미드는 상기 기재된 독립적으로 선택된 링커A를 사용하여 제2 표적화 리간드에 커플링된다. 일부 실시양태에서, 제3 아미드는 상기 기재된 독립적으로 선택된 링커A를 사용하여 제3 표적화 리간드에 커플링된다. 일부 실시양태에서, 제1 표적화 리간드, 제2 표적화 리간드 및 제3 표적화 리간드는 독립적으로 상기 기재된 표적화 리간드 중 1종 이상이 되도록 선택된다. 일부 실시양태에서, 히드록시 기는 상기 기재된 링커B를 사용하여 제2 질소에 커플링된다. 일부 실시양태에서, 방법은 인산화 반응을 사용하여 히드록시 기를 포스포르아미다이트 기로 전환시키는 것을 추가로 포함한다. 일부 실시양태에서, 히드록시 기를 포스포르아미다이트 기로 전환시키는 것은 제13 화합물을 제조한 후에 수행된다.In some embodiments, the first protecting group is a benzyl group and the second protecting group is a tert-butyloxycarbonyl (Boc) group. In some embodiments, preparing the second compound includes performing a SN 2 substitution reaction using the first compound. In some embodiments, preparing the second compound includes performing a reductive amination reaction using the first compound. In some embodiments, preparing the second compound includes performing a Michael addition reaction using the first compound. In some embodiments, preparing the third compound includes performing a hydrogenation reaction using the second compound. In some embodiments, preparing the fourth compound includes performing an SN 2 substitution reaction using the third compound. In some embodiments, preparing the fourth compound includes performing a reductive amination reaction using the third compound. In some embodiments, preparing the fourth compound includes performing a Michael addition reaction using the third compound. In some embodiments, preparing the fourth compound includes performing an amide coupling reaction using the third compound. In some embodiments, preparing the fourth compound includes performing a nucleophilic addition reaction using the third compound. In some embodiments, preparing the fifth compound includes reacting the fourth compound with at least one acid. In some embodiments, the at least one acid includes at least one of hydrochloric acid and trifluoroacetic acid. In some embodiments, preparing the sixth compound includes performing a SN 2 substitution reaction using the fifth compound. In some embodiments, preparing the sixth compound includes performing a reductive amination reaction using the fifth compound. In some embodiments, preparing the sixth compound includes performing a Michael addition reaction using the fifth compound. In some embodiments, preparing the seventh compound includes performing a SN 2 substitution reaction using the sixth compound. In some embodiments, preparing the seventh compound includes performing a reductive amination reaction using the sixth compound. In some embodiments, preparing the seventh compound includes performing a Michael addition reaction using the sixth compound. In some embodiments, preparing the seventh compound includes performing an amide coupling reaction using the sixth compound. In some embodiments, preparing the seventh compound includes performing a nucleophilic addition reaction using the sixth compound. In some embodiments, the first amide is coupled to the first targeting ligand using an independently selected linker A described above. In some embodiments, the second amide is coupled to the second targeting ligand using an independently selected linker A described above. In some embodiments, the third amide is coupled to the third targeting ligand using an independently selected linker A described above. In some embodiments, the first targeting ligand, second targeting ligand and third targeting ligand are independently selected to be one or more of the targeting ligands described above. In some embodiments, the hydroxy group is coupled to the second nitrogen using Linker B described above. In some embodiments, the method further comprises converting a hydroxy group to a phosphoramidite group using a phosphorylation reaction. In some embodiments, converting the hydroxy group to a phosphoramidite group is performed after preparing the thirteenth compound.

본 개시내용의 추가 측면은 대상체에게 (a) W가 1종 이상의 제약 작용제인 상기 기재된 화합물, 또는 (b) 상기 기재된 조성물을 투여하는 것을 포함하는, 대상체에게 제약 작용제를 전달하는 방법에 관한 것이다. 일부 실시양태에서, 대상체는 척추동물이다. 일부 실시양태에서, 대상체는 포유동물이다. 일부 실시양태에서, 포유동물은 인간이다. 일부 실시양태에서, 화합물은 제약상 허용되는 담체로 투여된다.Additional aspects of the disclosure relate to methods of delivering a pharmaceutical agent to a subject, comprising administering to the subject (a) a compound as described above, wherein W is one or more pharmaceutical agents, or (b) a composition as described above. In some embodiments, the subject is a vertebrate. In some embodiments, the subject is a mammal. In some embodiments, the mammal is a human. In some embodiments, the compound is administered in a pharmaceutically acceptable carrier.

본 개시내용의 또 다른 측면은 대상체에게 상기 기재된 제약 조성물을 투여하는 것을 포함하는, 대상체에게 제약 작용제를 전달하는 방법에 관한 것이다. 일부 실시양태에서, 대상체는 척추동물이다. 일부 실시양태에서, 대상체는 포유동물이고, 임의로 포유동물은 인간이다. 일부 실시양태에서, 1종 이상의 제약 작용제는 소형 간섭 RNA (siRNA), 단일 가닥 siRNA, 이중 가닥 siRNA, 소형 활성화 RNA, 마이크로RNA (miRNA), 안티센스 올리고뉴클레오티드, 짧은 가이드 RNA (gRNA), 단일 가이드 RNA (sgRNA), 메신저 RNA (mRNA), 리보자임, 플라스미드, 면역 자극 핵산, 안타고미르 및 압타머 중 적어도 1종을 포함한다. 일부 실시양태에서, 이중 가닥 siRNA는 siRNA의 한쪽 또는 양쪽 가닥에 적어도 1종의 변형된 리보뉴클레오티드를 포함한다. 일부 실시양태에서, 이중 가닥 siRNA의 실질적으로 모든 리보뉴클레오티드가 변형된다. 일부 실시양태에서, 이중 가닥 siRNA의 모든 리보뉴클레오티드는 변형된다. 일부 실시양태에서, 변형된 리보뉴클레오티드는 2'-O-메틸 뉴클레오티드, 2'-플루오로 뉴클레오티드, 2'-데옥시 뉴클레오티드, 2'3'-세코 뉴클레오티드 모방체, 잠금 뉴클레오티드, 2'-F-아라비노 뉴클레오티드, 2'-메톡시에틸 뉴클레오티드, 무염기성 뉴클레오티드, 리비톨, 역전된 뉴클레오티드, 역전된 무염기성 뉴클레오티드, 역전된 2'-OMe 뉴클레오티드, 역전된 2'데옥시 뉴클레오티드, 2'-아미노-변형된 뉴클레오티드, 2'-알킬-변형된 뉴클레오티드, 모르폴리노 뉴클레오티드, 및 3'-OMe 뉴클레오티드, 5'-포스포로티오에이트 기 포함 뉴클레오티드, 또는 5'-(E)-비닐 포스포네이트 뉴클레오티드 (안티센스 가닥 단독), 또는 콜레스테릴 유도체 또는 도데칸산 비스데실아미드 기에 연결된 말단 뉴클레오티드, 2'-아미노-변형된 뉴클레오티드, 2'-알킬-변형된 뉴클레오티드, 포스포르아미데이트, 또는 비-천연 염기 포함 뉴클레오티드를 포함한다. 일부 실시양태에서, 이중 가닥 siRNA의 적어도 1개의 가닥은 적어도 1개의 포스포로티오에이트 연결을 포함한다. 일부 실시양태에서, 이중 가닥 siRNA의 적어도 1개의 가닥은 최대 6개의 포스포로티오에이트 연결을 포함한다. 일부 실시양태에서, 이중 가닥 siRNA는 적어도 1종의 잠금 핵산을 포함한다. 일부 실시양태에서, 이중 가닥 siRNA는 적어도 1종의 비잠금 핵산을 포함한다. 일부 실시양태에서, 이중 가닥 siRNA는 적어도 1종의 글리세롤 핵산을 포함한다. 일부 실시양태에서, 제약 조성물은 1종 이상의 치료제를 추가로 포함한다.Another aspect of the disclosure relates to a method of delivering a pharmaceutical agent to a subject comprising administering to the subject a pharmaceutical composition as described above. In some embodiments, the subject is a vertebrate. In some embodiments, the subject is a mammal, and optionally the mammal is a human. In some embodiments, one or more pharmaceutical agents include small interfering RNA (siRNA), single-stranded siRNA, double-stranded siRNA, small activating RNA, microRNA (miRNA), antisense oligonucleotide, short guide RNA (gRNA), single guide RNA. (sgRNA), messenger RNA (mRNA), ribozyme, plasmid, immunostimulatory nucleic acid, antagomir, and aptamer. In some embodiments, a double-stranded siRNA includes at least one modified ribonucleotide on one or both strands of the siRNA. In some embodiments, substantially all ribonucleotides of the double-stranded siRNA are modified. In some embodiments, all ribonucleotides of a double-stranded siRNA are modified. In some embodiments, the modified ribonucleotide is 2'-O-methyl nucleotide, 2'-fluoro nucleotide, 2'-deoxy nucleotide, 2'3'-seco nucleotide mimetic, lock nucleotide, 2'-F- Arabino nucleotide, 2'-methoxyethyl nucleotide, abasic nucleotide, ribitol, inverted nucleotide, inverted abasic nucleotide, inverted 2'-OMe nucleotide, inverted 2'deoxy nucleotide, 2'-amino- Modified nucleotides, 2'-alkyl-modified nucleotides, morpholino nucleotides, and 3'-OMe nucleotides, nucleotides containing a 5'-phosphorothioate group, or 5'-(E)-vinyl phosphonate nucleotides ( antisense strand alone), or a terminal nucleotide linked to a cholesteryl derivative or dodecanoic acid bisdecylamide group, a 2'-amino-modified nucleotide, a 2'-alkyl-modified nucleotide, a phosphoramidate, or a non-natural base. Contains nucleotides. In some embodiments, at least one strand of the double-stranded siRNA comprises at least one phosphorothioate linkage. In some embodiments, at least one strand of the double-stranded siRNA comprises up to 6 phosphorothioate linkages. In some embodiments, the double-stranded siRNA includes at least one locked nucleic acid. In some embodiments, the double-stranded siRNA comprises at least one unlocked nucleic acid. In some embodiments, the double-stranded siRNA comprises at least one glycerol nucleic acid. In some embodiments, the pharmaceutical composition further comprises one or more therapeutic agents.

본 개시내용의 또 다른 측면은 대상체에게 제약 작용제를 전달하는 데 사용하기 위한 화합물이다. 일부 실시양태에서, 대상체는 척추동물이다. 일부 실시양태에서, 대상체는 포유동물이다. 일부 실시양태에서, 포유동물은 인간이다. 일부 실시양태에서, 화합물은 제약상 허용되는 담체로 투여된다.Another aspect of the present disclosure is compounds for use in delivering pharmaceutical agents to a subject. In some embodiments, the subject is a vertebrate. In some embodiments, the subject is a mammal. In some embodiments, the mammal is a human. In some embodiments, the compound is administered in a pharmaceutically acceptable carrier.

본 개시내용의 또 다른 측면에서, dsRNA 작용제는 안티센스 가닥의 위치 2, 7, 12, 14 및 16에서의 2'-플루오로 변형된 뉴클레오티드 (안티센스 가닥의 5' 말단으로부터 첫번째로 쌍형성된 뉴클레오티드로부터 카운팅됨), 및/또는 센스 가닥의 위치 9, 11 및 13에서의 2'-플루오린-변형된 뉴클레오티드 (센스 가닥의 3' 말단으로부터 첫번째로 쌍형성된 뉴클레오티드로부터 카운팅됨)를 포함한다.In another aspect of the disclosure, the dsRNA agent comprises 2'-fluoro modified nucleotides at positions 2, 7, 12, 14, and 16 of the antisense strand (counting from the first paired nucleotide from the 5' end of the antisense strand). ), and/or 2'-fluorine-modified nucleotides at positions 9, 11, and 13 of the sense strand (counted from the first paired nucleotide from the 3' end of the sense strand).

개관survey

본 개시내용은 그에 접합된 제약 작용제의 표적화된 전달을 위한, 디아민 스캐폴드를 갖는 다가 리간드 클러스터를 제공한다. 일부 실시양태에서, 다가 리간드 클러스터는 1종 이상의 N-아세틸갈락토사민 (GalNAc) 표적화 리간드를 포함할 수 있다. 일부 실시양태에서, 다가 리간드 클러스터는 1종 이상의 소형 간섭 리보핵산 (siRNA)에 접합될 수 있고, siRNA는 제약 작용제의 예이다. 본 개시내용은 또한 본 개시내용의 다가 리간드 클러스터를 포함하는 조성물, 및 본 개시내용의 다가 리간드 클러스터의 제조 및 사용 방법을 제공한다.The present disclosure provides multivalent ligand clusters with diamine scaffolds for targeted delivery of pharmaceutical agents conjugated thereto. In some embodiments, a multivalent ligand cluster may include one or more N-acetylgalactosamine (GalNAc) targeting ligands. In some embodiments, a multivalent ligand cluster can be conjugated to one or more small interfering ribonucleic acids (siRNAs), where siRNAs are examples of pharmaceutical agents. The disclosure also provides compositions comprising the multivalent ligand clusters of the disclosure, and methods of making and using the multivalent ligand clusters of the disclosure.

정의Justice

본 발명의 추가의 설명 전에, 및 본 발명이 보다 용이하게 이해될 수 있도록 하기 위해, 편의상 특정 용어가 먼저 본원에 정의되고 수집된다.Before further description of the invention, and to enable the invention to be more readily understood, certain terms are first defined and collected herein for convenience.

본원에 사용된 용어 "치료하다", "치료하는" 또는 "치료"는 예방을 포함할 수 있고, 증상을 호전시키거나, 완화시키거나, 일시적 또는 영구적 기준으로 증상의 원인을 제거하거나, 또는 명명된 장애 또는 상태의 증상의 출현을 예방하거나 늦추는 것을 의미한다.As used herein, the terms “treat,” “treating,” or “treatment” may include prevention, improving, alleviating, eliminating the cause of symptoms on a temporary or permanent basis, or naming. It is meant to prevent or delay the appearance of symptoms of a disorder or condition.

측정된 양과 관련하여 본원에 사용된 용어 "약"은, 측정을 수행하고 측정 목적 및 측정 장비의 정밀도에 부합하는 관리 수준을 행사하는 통상의 기술자에 의해 예상되는 바와 같은, 그 측정된 양에서의 정상적 변동을 지칭한다.As used herein with respect to a measured quantity, the term "about" means about that measured quantity as would be expected by a person of ordinary skill in the art making the measurement and exercising a level of care commensurate with the purpose of the measurement and the precision of the measuring equipment. Refers to normal fluctuations.

본원에 사용된 용어 "접합체" 또는 "접합체 기"는 올리고뉴클레오티드 또는 다른 올리고머에 결합된 원자 또는 원자단을 의미한다. 일반적으로, 접합체 기는 약역학, 약동학, 결합, 흡수, 세포 분포, 세포 흡수, 전하 및/또는 클리어런스 특성을 포함하나 이에 제한되지는 않는, 이들이 부착되어 있는 화합물의 하나 이상의 특성을 변형시킨다.As used herein, the term “conjugate” or “conjugate group” means an atom or group of atoms bound to an oligonucleotide or other oligomer. Typically, conjugate groups modify one or more properties of the compound to which they are attached, including but not limited to pharmacodynamics, pharmacokinetics, binding, absorption, cellular distribution, cellular uptake, charge and/or clearance properties.

본원에 사용된 용어 "연결된"은, 2개의 분자 사이의 연결을 지칭하는 경우에, 2개의 분자가, 직접 또는 간접적으로, 공유 결합에 의해 연결되거나 또는 2개의 분자가 비공유 결합 (예를 들어, 수소 결합 또는 이온 결합)을 통해 회합되는 것을 의미한다. 화합물 B에 직접 연결되는 화합물 A의 예는 A-B로서 나타내어질 수 있다. 화합물 B에 간접적으로 연결되는 화합물 A의 예는 A-C-B로서 나타내어질 수 있으며, 여기서 화합물 A는 화합물 C를 통해 화합물 B에 간접적으로 연결된다. 1종 초과의 중간 화합물이 화합물의 간접 연결 상황에 존재할 수 있는 것으로 인지될 것이다.As used herein, the term “linked” refers to a connection between two molecules, either directly or indirectly, when the two molecules are connected by a covalent bond or when the two molecules are linked by a non-covalent bond (e.g. refers to being associated through a hydrogen bond or ionic bond. An example of compound A directly linked to compound B can be represented as A-B. An example of compound A indirectly linked to compound B can be represented as A-C-B, where compound A is indirectly linked to compound B through compound C. It will be appreciated that more than one intermediate compound may be present in the indirect linkage context of the compounds.

본원에 사용된 용어 "핵산"은 단량체 뉴클레오티드로 구성된 분자를 지칭한다. 핵산은 리보핵산 (RNA), 데옥시리보핵산 (DNA), 단일 가닥 핵산 (ssDNA), 이중-가닥 핵산 (dsDNA), 소형 간섭 리보핵산 (siRNA) 및 마이크로RNA (miRNA)를 포함한다. 핵산은 또한 단일 분자 내에 이들 요소의 임의의 조합을 포함할 수 있다. 핵산은 천연 핵산, 비-천연 핵산, 또는 천연 및 비-천연 핵산의 조합을 포함할 수 있다. 핵산은 또한 본원에서 뉴클레오티드 서열로서, 또는 폴리뉴클레오티드로서 지칭될 수 있다.As used herein, the term “nucleic acid” refers to a molecule composed of monomeric nucleotides. Nucleic acids include ribonucleic acid (RNA), deoxyribonucleic acid (DNA), single-stranded nucleic acid (ssDNA), double-stranded nucleic acid (dsDNA), small interfering ribonucleic acid (siRNA), and microRNA (miRNA). Nucleic acids can also contain any combination of these elements within a single molecule. Nucleic acids may include natural nucleic acids, non-natural nucleic acids, or a combination of natural and non-natural nucleic acids. Nucleic acids may also be referred to herein as nucleotide sequences, or as polynucleotides.

본원에 사용된 용어 "올리고머"는 5개 이하, 10개 이하, 15개 이하, 20개 이하, 또는 20개 초과의 뉴클레오티드 또는 뉴클레오티드 염기 쌍을 함유하는 뉴클레오티드 서열을 지칭한다. 일부 실시양태에서, 올리고머는 세포 내의 발현된 표적 핵산 또는 표적 유전자 내의 코딩 서열에 적어도 부분적으로 상보적인 핵염기 서열을 갖는다. 일부 실시양태에서, 올리고머는, 유전자를 발현하는 세포에 전달 시, 기저 유전자의 발현을 억제할 수 있다. 유전자 발현은 시험관내 또는 생체내 억제될 수 있다. 본 발명의 방법 및 복합체에 포함될 수 있는 올리고머의 비제한적 예는 올리고뉴클레오티드, 단일-가닥 올리고뉴클레오티드, 단일-가닥 안티센스 올리고뉴클레오티드, 짧은 간섭 RNA (siRNA), 단일-가닥 siRNA, 이중-가닥 RNA (dsRNA), 마이크로 RNA (miRNA), 짧은 헤어핀 RNA (shRNA), 리보자임, 간섭 RNA 분자 및 다이서 기질이다.As used herein, the term “oligomer” refers to a nucleotide sequence containing 5 or fewer, 10 or fewer, 15 or fewer, 20 or fewer, or more than 20 nucleotides or nucleotide base pairs. In some embodiments, the oligomer has a nucleobase sequence that is at least partially complementary to a coding sequence in a target gene or expressed target nucleic acid in a cell. In some embodiments, oligomers can inhibit expression of an underlying gene when delivered to a cell expressing the gene. Gene expression can be inhibited in vitro or in vivo. Non-limiting examples of oligomers that can be included in the methods and complexes of the present invention include oligonucleotides, single-stranded oligonucleotides, single-stranded antisense oligonucleotides, short interfering RNA (siRNA), single-stranded siRNA, double-stranded RNA (dsRNA). ), micro RNA (miRNA), short hairpin RNA (shRNA), ribozyme, interfering RNA molecule and Dicer substrate.

본원에 사용된 용어 "올리고뉴클레오티드"는 각각 독립적으로 변형 또는 비변형될 수 있는 연결된 뉴클레오티드의 중합체를 지칭한다.As used herein, the term “oligonucleotide” refers to a polymer of linked nucleotides, each of which may be independently modified or unmodified.

본원에 사용된 용어 "단일-가닥 올리고뉴클레오티드"는 단일-가닥 올리고머를 지칭하고, 특정 실시양태에서 단일-가닥 올리고뉴클레오티드는 포유동물 생리학적 조건 (또는 시험관내 대등한 조건) 하에 수소 결합을 통해 표적 mRNA에 혼성화할 수 있는, 표적 mRNA에 적어도 부분적으로 상보적인 서열을 포함할 수 있다. 일부 실시양태에서, 단일-가닥 올리고뉴클레오티드는 단일 가닥 안티센스 올리고뉴클레오티드이다.As used herein, the term “single-stranded oligonucleotide” refers to a single-stranded oligomer, and in certain embodiments, a single-stranded oligonucleotide targets its target via hydrogen bonding under mammalian physiological conditions (or equivalent conditions in vitro). It may comprise a sequence that is at least partially complementary to the target mRNA, capable of hybridizing to the mRNA. In some embodiments, the single-stranded oligonucleotide is a single-stranded antisense oligonucleotide.

본원에 사용된 용어 "siRNA"는 짧은 간섭 RNA 또는 침묵 RNA를 지칭한다. siRNA는 RNA 간섭 (RNAi) 경로 내에서 작동하는 마이크로RNA (miRNA)와 유사한 20-25개 (또는 더 짧은) 염기 쌍 길이일 수 있는 이중-가닥 RNA 분자의 부류이다. siRNA는 전사 후 mRNA를 분해하여 번역을 방지함으로써 siRNA에 상보적인 뉴클레오티드 서열을 갖는 특이적 유전자의 발현을 방해한다. siRNA는 세포에서 RNA-유도된 침묵 복합체 (RISC)를 유도하여 메신저 RNA (mRNA)를 절단함으로써 유전자 발현을 침묵시키는 작용을 한다.As used herein, the term “siRNA” refers to short interfering RNA or silencing RNA. siRNAs are a class of double-stranded RNA molecules that can be 20-25 base pairs long (or shorter), similar to microRNAs (miRNAs) that operate within the RNA interference (RNAi) pathway. siRNA degrades mRNA after transcription and prevents translation, thereby interfering with the expression of a specific gene with a nucleotide sequence complementary to the siRNA. siRNA acts to silence gene expression by inducing the RNA-induced silencing complex (RISC) in cells to cleave messenger RNA (mRNA).

본원에 사용된 용어 "유효량", "치료 유효량" 또는 "유효 용량"은 목적하는 약리학적 또는 치료 효과를 도출하여 장애의 효과적인 예방 또는 치료를 유발하기에 충분한 양을 지칭한다. 장애의 예방은 장애의 증상의 개시를 의학적으로 유의한 정도로 지연시킴으로써 나타난다. 장애의 치료는 장애와 연관된 증상의 감소 또는 장애의 증상의 재발의 개선에 의해 나타난다.As used herein, the term “effective amount,” “therapeutically effective amount,” or “effective dose” refers to an amount sufficient to elicit the desired pharmacological or therapeutic effect and result in effective prevention or treatment of a disorder. Prevention of a disorder occurs by delaying the onset of symptoms of the disorder to a medically significant extent. Treatment of a disorder is indicated by reduction of symptoms associated with the disorder or amelioration of recurrence of symptoms of the disorder.

본원에 사용된 용어 "제약 조성물" 또는 "조성물"은 개체에게 투여하기에 적합한 물질의 혼합물을 지칭한다. 예를 들어, 제약 조성물은 본원에서 "제약상 허용되는 담체" (예를 들어 멸균 수용액)로도 지칭되는 1종 이상의 활성제 및 제약 담체를 포함할 수 있으나, 이에 제한되지는 않는다. 일부 실시양태에서, 제약 조성물은 멸균성이다.As used herein, the term “pharmaceutical composition” or “composition” refers to a mixture of substances suitable for administration to a subject. For example, a pharmaceutical composition may include, but is not limited to, one or more active agents and a pharmaceutical carrier, also referred to herein as a “pharmaceutically acceptable carrier” (e.g., a sterile aqueous solution). In some embodiments, the pharmaceutical composition is sterile.

본원에 사용된 바와 같이, 그 자체로 또는 또 다른 기의 일부로서 사용된 용어 "알킬"은 1 내지 12개의 탄소 원자 (즉, C1-12 알킬) 또는 지정된 수의 탄소 원자 (즉, C1 알킬, 예컨대 메틸, C2 알킬, 예컨대 에틸, C3 알킬, 예컨대 프로필 또는 이소프로필 등)를 함유하는 직쇄 또는 분지쇄 지방족 탄화수소를 지칭한다. 비제한적 예시적인 C1-10 알킬 기는 메틸, 에틸, 프로필, 이소프로필, 부틸, sec-부틸, tert-부틸, 이소-부틸, 3-펜틸, 헥실, 헵틸, 옥틸, 노닐, 데실 등을 포함한다.As used herein, the term “alkyl,” by itself or as part of another group, refers to a group consisting of 1 to 12 carbon atoms (i.e., C1-12 alkyl) or the specified number of carbon atoms (i.e., C1 refers to a straight or branched chain aliphatic hydrocarbon containing an alkyl such as methyl, C2 alkyl such as ethyl, C3 alkyl such as propyl or isopropyl, etc. Non-limiting exemplary C1-10 alkyl groups include methyl, ethyl, propyl, isopropyl, butyl, sec-butyl, tert-butyl, iso-butyl, 3-pentyl, hexyl, heptyl, octyl, nonyl, decyl, etc. .

본원에 사용된, 그 자체로 또는 또 다른 기의 일부로서 용어 "치환된 알킬"은 본원에 정의된 바와 같은 알킬이 1개 이상 (예를 들어, 1, 2 또는 3개)의 독립적으로 선택된 치환기로 치환되는 것을 의미한다. 독립적으로 선택된 치환기의 비제한적 목록은 아미노, (알킬)아미노, (알킬)카르보닐, (아릴)카르보닐, (알콕시)카르보닐, [(알콕시)카르보닐]아미노, 카르복시, 아릴, 헤테로아릴, 우레이도, 구아니디노, 할로겐, 술폰아미도, 히드록실, (알킬)술파닐, 니트로, 할로알콕시, 아릴옥시, 아르알킬옥시, (알킬)술포닐, (시클로알킬)술포닐, (아릴)술포닐, 시클로알킬, 술파닐, 카르복스아미도, 헤테로시클릴 및 (헤테로시클릴)술포닐을 포함한다.As used herein, by itself or as part of another group, the term "substituted alkyl" means that alkyl, as defined herein, has one or more (e.g., 1, 2 or 3) independently selected substituents. It means being replaced with . A non-limiting list of independently selected substituents includes amino, (alkyl)amino, (alkyl)carbonyl, (aryl)carbonyl, (alkoxy)carbonyl, [(alkoxy)carbonyl]amino, carboxy, aryl, heteroaryl, Ureido, guanidino, halogen, sulfonamido, hydroxyl, (alkyl)sulfanyl, nitro, haloalkoxy, aryloxy, aralkyloxy, (alkyl)sulfonyl, (cycloalkyl)sulfonyl, (aryl) Includes sulfonyl, cycloalkyl, sulfanyl, carboxamido, heterocyclyl and (heterocyclyl)sulfonyl.

본원에 사용된 용어 "시클로알킬"은 그 자체로 또는 또 다른 기의 일부로서 3 내지 12개의 탄소 원자 (즉, C3-12시클로알킬) 또는 지정된 수의 탄소를 갖는 1 내지 3개의 고리를 함유하는 포화 및 부분 불포화 (1 또는 2개의 이중 결합을 함유함) 시클릭 지방족 탄화수소를 지칭한다. 비제한적 예시적인 시클로알킬 기는 시클로프로필, 시클로부틸, 시클로펜틸, 시클로헥실, 시클로헵틸, 시클로옥틸, 노르보르닐, 데칼린, 아다만틸, 시클로헥세닐, 시클로펜테닐, 시클로헥세닐 등을 포함한다.As used herein, the term “cycloalkyl,” by itself or as part of another group, contains a ring having 3 to 12 carbon atoms (i.e., C3-12 cycloalkyl) or 1 to 3 rings having the indicated number of carbons. refers to saturated and partially unsaturated (containing one or two double bonds) cyclic aliphatic hydrocarbons. Non-limiting exemplary cycloalkyl groups include cyclopropyl, cyclobutyl, cyclopentyl, cyclohexyl, cycloheptyl, cyclooctyl, norbornyl, decalin, adamantyl, cyclohexenyl, cyclopentenyl, cyclohexenyl, etc. .

본원에 사용된, 그 자체로 또는 또 다른 기의 일부로서 용어 "치환된 시클로알킬"은 본원에 정의된 바와 같은 시클로알킬이 1, 2 또는 3개의 독립적으로 선택된 치환기로 치환되는 것을 의미한다. 독립적으로 선택된 치환기의 비제한적 목록은 할로, 니트로, 시아노, 히드록실, 아미노, (알킬)아미노, (디알킬)아미노, 할로알킬, (히드록실)알킬, (디히드록시)알킬, 알콕시, 할로알콕시, 아릴옥시, 아르알킬옥시, 알킬티오, 카르복스아미도, 술폰아미도, (알킬)카르보닐, (아릴)카르보닐, (알킬)술포닐, 아릴술포닐, 우레이도, 구아니디노, 카르복시, (카르복시)알킬, 알킬, 시클로알킬, 알케닐, 알키닐, 아릴, 헤테로아릴, 헤테로시클릴, (알콕시)알킬, (아미노)알킬, (히드록실)알킬아미노, (알킬아미노)알킬, (디알킬아미노)알킬, (시아노)알킬, (카르복스아미도)알킬, (알킬)술파닐, (헤테로시클로)알킬, (헤테로아릴)알킬, (알콕시)카르보닐 및 메르캅토알킬을 포함한다.As used herein, by itself or as part of another group, the term “substituted cycloalkyl” means that cycloalkyl, as defined herein, is substituted with 1, 2 or 3 independently selected substituents. A non-limiting list of independently selected substituents include halo, nitro, cyano, hydroxyl, amino, (alkyl)amino, (dialkyl)amino, haloalkyl, (hydroxyl)alkyl, (dihydroxy)alkyl, alkoxy, Haloalkoxy, aryloxy, aralkyloxy, alkylthio, carboxamido, sulfonamido, (alkyl)carbonyl, (aryl)carbonyl, (alkyl)sulfonyl, arylsulfonyl, ureido, guanidino , carboxy, (carboxy)alkyl, alkyl, cycloalkyl, alkenyl, alkynyl, aryl, heteroaryl, heterocyclyl, (alkoxy)alkyl, (amino)alkyl, (hydroxyl)alkylamino, (alkylamino)alkyl , (dialkylamino)alkyl, (cyano)alkyl, (carboxamido)alkyl, (alkyl)sulfanyl, (heterocyclo)alkyl, (heteroaryl)alkyl, (alkoxy)carbonyl and mercaptoalkyl. Includes.

본원에 사용된, 그 자체로 또는 또 다른 기의 일부로서 용어 "알케닐"은 1, 2 또는 3개의 탄소-대-탄소 이중 결합을 함유하는 본원에 정의된 바와 같은 알킬 기를 지칭한다. 비제한적 예시적인 알케닐 기는 에테닐, 프로페닐, 이소프로페닐, 부테닐, sec-부테닐, 펜테닐 및 헥세닐을 포함한다.As used herein, by itself or as part of another group, the term “alkenyl” refers to an alkyl group as defined herein containing 1, 2 or 3 carbon-to-carbon double bonds. Non-limiting exemplary alkenyl groups include ethenyl, propenyl, isopropenyl, butenyl, sec-butenyl, pentenyl, and hexenyl.

본원에 사용된, 그 자체로 또는 또 다른 기의 일부로서 용어 "치환된 알케닐"은 본원에 정의된 바와 같은 알케닐이 1, 2 또는 3개의 독립적으로 선택된 치환기로 치환된 것을 의미한다. 독립적으로 선택된 치환기의 비제한적 목록은 할로, 니트로, 시아노, 히드록실, 아미노, (알킬)아미노, (디알킬)아미노, 할로알킬, (히드록시)알킬, (디히드록시)알킬, 알콕시, 할로알콕시, 아릴옥시, 아르알킬옥시, (알킬)술파닐, 카르복스아미도, 술폰아미도, (알킬)카르보닐, (아릴)카르보닐, (알킬)술포닐, (아릴)술포닐, 우레이도, 구아니디노, 카르복시, (카르복시)알킬, 알킬, 시클로알킬, 알케닐, 알키닐, 아릴, 헤테로아릴 및 헤테로시클릴을 포함한다.As used herein, by itself or as part of another group, the term "substituted alkenyl" means that alkenyl, as defined herein, is substituted with 1, 2 or 3 independently selected substituents. A non-limiting list of independently selected substituents include halo, nitro, cyano, hydroxyl, amino, (alkyl)amino, (dialkyl)amino, haloalkyl, (hydroxy)alkyl, (dihydroxy)alkyl, alkoxy, Haloalkoxy, aryloxy, aralkyloxy, (alkyl)sulfanyl, carboxamido, sulfonamido, (alkyl)carbonyl, (aryl)carbonyl, (alkyl)sulfonyl, (aryl)sulfonyl, urei , guanidino, carboxy, (carboxy)alkyl, alkyl, cycloalkyl, alkenyl, alkynyl, aryl, heteroaryl, and heterocyclyl.

본원에 사용된 용어 "시클로알케닐"은 그 자체로 또는 또 다른 기의 일부로서 단일 또는 다중 시클릭 고리를 갖고 적어도 1종의 >C=C< 고리 불포화 및 바람직하게는 1 내지 2개의 >C=C< 고리 불포화 부위를 갖는 4 내지 10개의 탄소 원자의 비-방향족 시클릭 알킬 기를 지칭한다.As used herein, the term "cycloalkenyl", by itself or as part of another group, has a single or multiple cyclic ring and has at least one >C=C< ring unsaturation and preferably one to two >C =C<refers to a non-aromatic cyclic alkyl group of 4 to 10 carbon atoms with a site of ring unsaturation.

본원에 사용된, 그 자체로 또는 또 다른 기의 일부로서 용어 "치환된 시클로알케닐"은 1 내지 5개의 독립적으로 선택된 치환기를 갖는 본원에 정의된 바와 같은 시클로알케닐을 지칭한다. 독립적으로 선택된 치환기의 비제한적 목록은 옥소, 티온, 알킬, 치환된 알킬, 알케닐, 치환된 알케닐, 알키닐, 치환된 알키닐, 알콕시, 치환된 알콕시, 아실, 아실아미노, 아실옥시, 아미노, 치환된 아미노, 아미노카르보닐, 아미노티오카르보닐, 아미노카르보닐아미노, 아미노티오카르보닐아미노, 아미노카르보닐옥시, 아미노술포닐, 아미노술포닐옥시, 아미노술포닐아미노, 아미디노, 아릴, 치환된 아릴, 아릴옥시, 치환된 아릴옥시, 아릴티오, 치환된 아릴티오, 아지도, 카르복실, 카르복실 에스테르, (카르복실 에스테르)아미노, (카르복실 에스테르)옥시, 시아노, 시아네이트, 시클로알킬, 치환된 시클로알킬, 시클로알킬옥시, 치환된 시클로알킬옥시, 시클로알킬티오, 치환된 시클로알킬티오, 시클로알케닐, 치환된 시클로알케닐, 시클로알케닐옥시, 치환된 시클로알케닐옥시, 시클로알케닐티오, 치환된 시클로알케닐티오, 구아니디노, 치환된 구아니디노, 할로, 히드록시, 히드록시아미노, 알콕시아미노, 히드라지노, 치환된 히드라지노, 헤테로아릴, 치환된 헤테로아릴, 헤테로아릴옥시, 치환된 헤테로아릴옥시, 헤테로아릴티오, 치환된 헤테로아릴티오, 헤테로시클릭, 치환된 헤테로시클릭, 헤테로시클릴옥시, 치환된 헤테로시클릴옥시, 헤테로시클릴티오, 치환된 헤테로시클릴티오, 니트로, SO3H, 치환된 술포닐, 술포닐옥시, 티오아실, 티오시아네이트, 티올, 알킬티오 및 치환된 알킬티오를 포함한다.As used herein, by itself or as part of another group, the term “substituted cycloalkenyl” refers to a cycloalkenyl as defined herein having from 1 to 5 independently selected substituents. A non-limiting list of independently selected substituents includes: oxo, thione, alkyl, substituted alkyl, alkenyl, substituted alkenyl, alkynyl, substituted alkynyl, alkoxy, substituted alkoxy, acyl, acylamino, acyloxy, amino. , substituted amino, aminocarbonyl, aminothiocarbonyl, aminocarbonylamino, aminothiocarbonylamino, aminocarbonyloxy, aminosulfonyl, aminosulfonyloxy, aminosulfonylamino, amidino, aryl, substituted aryl, aryloxy, substituted aryloxy, arylthio, substituted arylthio, azido, carboxyl, carboxyl ester, (carboxyl ester) amino, (carboxyl ester)oxy, cyano, cyanate, cyclo Alkyl, substituted cycloalkyl, cycloalkyloxy, substituted cycloalkyloxy, cycloalkylthio, substituted cycloalkylthio, cycloalkenyl, substituted cycloalkenyl, cycloalkenyloxy, substituted cycloalkenyloxy, cyclo Alkenylthio, substituted cycloalkenylthio, guanidino, substituted guanidino, halo, hydroxy, hydroxyamino, alkoxyamino, hydrazino, substituted hydrazino, heteroaryl, substituted heteroaryl, hetero Aryloxy, substituted heteroaryloxy, heteroarylthio, substituted heteroarylthio, heterocyclic, substituted heterocyclic, heterocyclyloxy, substituted heterocyclyloxy, heterocyclylthio, substituted heterocycle Includes lylthio, nitro, SO3 H, substituted sulfonyl, sulfonyloxy, thioacyl, thiocyanate, thiol, alkylthio and substituted alkylthio.

본원에 사용된, 그 자체로 또는 또 다른 기의 일부로서 용어 "알키닐"은 1 내지 3개의 탄소-대-탄소 삼중 결합을 함유하는 본원에 정의된 바와 같은 알킬 기를 지칭한다. 비제한적 예시적인 알키닐 기는 에티닐, 프로피닐, 부티닐, 2-부티닐, 펜티닐 및 헥시닐 기를 포함한다.As used herein, by itself or as part of another group, the term “alkynyl” refers to an alkyl group as defined herein containing one to three carbon-to-carbon triple bonds. Non-limiting exemplary alkynyl groups include ethynyl, propynyl, butynyl, 2-butynyl, pentynyl, and hexynyl groups.

본원에 사용된, 그 자체로 또는 또 다른 기의 일부로서 용어 "치환된 알키닐"은 본원에 정의된 바와 같은 알키닐이 1, 2 또는 3개의 독립적으로 선택된 치환기로 치환된 것을 의미한다. 독립적으로 선택된 치환기의 비제한적 목록은 할로, 니트로, 시아노, 히드록실, 아미노, 알킬아미노, 디알킬아미노, 할로알킬, (히드록시)알킬, (디히드록시)알킬, 알콕시, 할로알콕시, 아릴옥시, 아르알킬옥시, (알킬)술파닐, 카르복스아미도, 술폰아미도, 알킬카르보닐, 아릴카르보닐, 알킬술포닐, 아릴술포닐, 우레이도, 구아니디노, 카르복시, (카르복시)알킬, 알킬, 시클로알킬, 알케닐, 알키닐, 아릴, 헤테로아릴 및 헤테로시클릴을 포함한다.As used herein, by itself or as part of another group, the term “substituted alkynyl” means that an alkynyl, as defined herein, is substituted with 1, 2 or 3 independently selected substituents. A non-limiting list of independently selected substituents include halo, nitro, cyano, hydroxyl, amino, alkylamino, dialkylamino, haloalkyl, (hydroxy)alkyl, (dihydroxy)alkyl, alkoxy, haloalkoxy, aryl Oxy, aralkyloxy, (alkyl)sulfanyl, carboxamido, sulfonamido, alkylcarbonyl, arylcarbonyl, alkylsulfonyl, arylsulfonyl, ureido, guanidino, carboxy, (carboxy)alkyl , alkyl, cycloalkyl, alkenyl, alkynyl, aryl, heteroaryl, and heterocyclyl.

본원에 사용된, 그 자체로 또는 또 다른 기의 일부로서 용어 "할로알킬"은 1개 이상의 플루오린, 염소, 브로민 및/또는 아이오딘 원자에 의해 치환된 알킬 기를 지칭한다. 비제한적 예시적인 할로알킬 기는 플루오로메틸, 디플루오로메틸, 트리플루오로메틸, 펜타플루오로에틸, 1,1-디플루오로에틸, 2,2-디플루오로에틸, 2,2,2-트리플루오로에틸, 3,3,3-트리플루오로프로필, 4,4,4-트리플루오로부틸 및 트리클로로메틸 기를 포함한다.As used herein, by itself or as part of another group, the term “haloalkyl” refers to an alkyl group substituted by one or more fluorine, chlorine, bromine and/or iodine atoms. Non-limiting exemplary haloalkyl groups include fluoromethyl, difluoromethyl, trifluoromethyl, pentafluoroethyl, 1,1-difluoroethyl, 2,2-difluoroethyl, 2,2,2- It includes trifluoroethyl, 3,3,3-trifluoropropyl, 4,4,4-trifluorobutyl and trichloromethyl groups.

본원에 사용된 용어 "알콕시"는 그 자체로 또는 또 다른 기의 일부로서 말단 산소 원자에 부착된 알킬, 치환된 알킬, 시클로알킬, 치환된 시클로알킬, 알케닐, 치환된 알케닐, 알키닐 또는 치환된 알키닐을 지칭한다.As used herein, the term "alkoxy" by itself or as part of another group means alkyl, substituted alkyl, cycloalkyl, substituted cycloalkyl, alkenyl, substituted alkenyl, alkynyl or Refers to substituted alkynyl.

본원에 사용된, 그 자체로 또는 또 다른 기의 일부로서 용어 "할로알콕시"는 말단 산소 원자에 부착된 할로알킬을 지칭한다. 비제한적 예시적인 할로알콕시 기는 플루오로메톡시, 디플루오로메톡시, 트리플루오로메톡시 및 2,2,2-트리플루오로에톡시를 포함한다.As used herein, by itself or as part of another group, the term “haloalkoxy” refers to a haloalkyl attached to a terminal oxygen atom. Non-limiting exemplary haloalkoxy groups include fluoromethoxy, difluoromethoxy, trifluoromethoxy, and 2,2,2-trifluoroethoxy.

본원에 사용된, 그 자체로 또는 또 다른 기의 일부로서 용어 "아릴"은 6 내지 14개의 탄소 원자를 갖는 모노시클릭 또는 비시클릭 방향족 고리계 (즉, C6-C14 아릴)를 지칭한다. 비제한적 예시적인 아릴 기는 페닐, 나프틸, 페난트릴, 안트라실, 인데닐, 아줄레닐, 비페닐, 비페닐레닐 및 플루오레닐 기를 포함한다.As used herein, by itself or as part of another group, the term “aryl” refers to a monocyclic or bicyclic aromatic ring system having 6 to 14 carbon atoms (i.e., C6 -C14 aryl). . Non-limiting exemplary aryl groups include phenyl, naphthyl, phenanthryl, anthracyl, indenyl, azulenyl, biphenyl, biphenylenyl, and fluorenyl groups.

본원에 사용된, 그 자체로 또는 또 다른 기의 일부로서 용어 "치환된 아릴"은 본원에 정의된 바와 같은 아릴이 1 내지 5개의 독립적으로 선택된 치환기로 치환되는 것을 의미한다. 독립적으로 선택된 치환기의 비제한적 목록은 할로, 니트로, 시아노, 히드록실, 아미노, 알킬아미노, 디알킬아미노, 할로알킬, (히드록시)알킬, (디히드록시)알킬, 알콕시, 할로알콕시, 아릴옥시, 헤테로아릴옥시, 아르알킬옥시, 알킬티오, 카르복스아미도, 술폰아미도, (알킬)카르보닐, (아릴)카르보닐, (알킬)술포닐, (아릴)술포닐, 우레이도, 구아니디노, 카르복시, 카르복시알킬, 알킬, 시클로알킬, 알케닐, 알키닐, 아릴, 헤테로아릴, 헤테로시클로, (알콕시)알킬, (아미노)알킬, [(히드록실)알킬]아미노, [(알킬)아미노]알킬, [(디알킬)아미노)알킬, (시아노)알킬, (카르복스아미도)알킬, 메르캅토알킬, (헤테로시클로)알킬, (시클로알킬아미노)알킬, (할로(C1-C4)알콕시)알킬, (헤테로아릴)알킬 등을 포함한다. 비제한적 예시적인 치환된 아릴 기는 2-메틸페닐, 2-메톡시페닐, 2-플루오로페닐, 2-클로로페닐, 2-브로모페닐, 3-메틸페닐, 3-메톡시페닐, 3-플루오로페닐, 3-클로로페닐, 4-메틸페닐, 4-에틸페닐, 4-메톡시페닐, 4-플루오로페닐, 4-클로로페닐, 2,6-디-플루오로페닐, 2,6-디-클로로페닐, 2-메틸, 3-메톡시페닐, 2-에틸, 3-메톡시페닐, 3,4-디-메톡시페닐, 3,5-디-플루오로페닐 3,5-디-메틸페닐, 3,5-디메톡시, 4-메틸페닐, 2-플루오로-3-클로로페닐 및 3-클로로-4-플루오로페닐을 포함한다. 용어 치환된 아릴은 융합된 치환된 시클로알킬 및 융합된 치환된 헤테로시클로 고리를 갖는 기를 포함하는 것으로 의도된다.As used herein, by itself or as part of another group, the term “substituted aryl” means that an aryl as defined herein is substituted with 1 to 5 independently selected substituents. A non-limiting list of independently selected substituents include halo, nitro, cyano, hydroxyl, amino, alkylamino, dialkylamino, haloalkyl, (hydroxy)alkyl, (dihydroxy)alkyl, alkoxy, haloalkoxy, aryl Oxy, heteroaryloxy, aralkyloxy, alkylthio, carboxamido, sulfonamido, (alkyl)carbonyl, (aryl)carbonyl, (alkyl)sulfonyl, (aryl)sulfonyl, ureido, anidino, carboxy, carboxyalkyl, alkyl, cycloalkyl, alkenyl, alkynyl, aryl, heteroaryl, heterocyclo, (alkoxy)alkyl, (amino)alkyl, [(hydroxyl)alkyl]amino, [(alkyl) Amino]alkyl, [(dialkyl)amino)alkyl, (cyano)alkyl, (carboxamido)alkyl, mercaptoalkyl, (heterocyclo)alkyl, (cycloalkylamino)alkyl, (halo(C1 - C4 )Alkoxy)alkyl, (heteroaryl)alkyl, etc. Non-limiting exemplary substituted aryl groups include 2-methylphenyl, 2-methoxyphenyl, 2-fluorophenyl, 2-chlorophenyl, 2-bromophenyl, 3-methylphenyl, 3-methoxyphenyl, 3-fluorophenyl. , 3-chlorophenyl, 4-methylphenyl, 4-ethylphenyl, 4-methoxyphenyl, 4-fluorophenyl, 4-chlorophenyl, 2,6-di-fluorophenyl, 2,6-di-chlorophenyl , 2-methyl, 3-methoxyphenyl, 2-ethyl, 3-methoxyphenyl, 3,4-di-methoxyphenyl, 3,5-di-fluorophenyl 3,5-di-methylphenyl, 3, Includes 5-dimethoxy, 4-methylphenyl, 2-fluoro-3-chlorophenyl and 3-chloro-4-fluorophenyl. The term substituted aryl is intended to include groups having fused substituted cycloalkyl and fused substituted heterocyclo rings.

본원에 사용된 바와 같이, 그 자체로 또는 또 다른 기의 일부로서의 용어 "아릴옥시"는 말단 산소 원자에 부착된 아릴 또는 치환된 아릴을 지칭한다. 비제한적 예시적인 아릴옥시 기는 PhO-이다.As used herein, the term “aryloxy,” by itself or as part of another group, refers to an aryl or substituted aryl attached to a terminal oxygen atom. A non-limiting exemplary aryloxy group is PhO-.

본원에 사용된, 그 자체로 또는 또 다른 기의 일부로서 용어 "헤테로아릴옥시"는 말단 산소 원자에 부착된 헤테로아릴 또는 치환된 헤테로아릴을 지칭한다.As used herein, by itself or as part of another group, the term “heteroaryloxy” refers to a heteroaryl or substituted heteroaryl attached to a terminal oxygen atom.

본원에 사용된, 그 자체로 또는 또 다른 기의 일부로서 용어 "아르알킬옥시"는 말단 산소 원자에 부착된 아르알킬 기를 지칭한다. 비제한적 예시적인 아르알킬옥시 기는 PhCH2O-이다.As used herein, by itself or as part of another group, the term “aralkyloxy” refers to an aralkyl group attached to a terminal oxygen atom. A non-limiting exemplary aralkyloxy group is PhCH2 O-.

본원에 사용된 용어 "헤테로아릴"은 5 내지 14개의 고리 원자 (즉, C5-C14 헤테로아릴) 및 산소 (O), 질소 (N) 및 황 (S)으로부터 독립적으로 선택된 1, 2, 3 또는 4개의 헤테로원자를 갖는 모노시클릭 및 비시클릭 방향족 고리계를 지칭한다. 비제한적 예시적인 헤테로아릴 기는 티에닐, 벤조[b]티에닐, 나프토[2,3-b]티에닐, 티안트레닐, 푸릴, 벤조푸릴, 피라닐, 이소벤조푸라닐, 벤조옥사조닐, 크로메닐, 크산테닐, 2H-피롤릴, 피롤릴, 이미다졸릴, 피라졸릴, 피리딜, 피라지닐, 피리미디닐, 피리다지닐, 이소인돌릴, 3H-인돌릴, 인돌릴, 인다졸릴, 퓨리닐, 이소퀴놀릴, 퀴놀릴, 프탈라지닐, 나프티리디닐, 신놀리닐, 퀴나졸리닐, 프테리디닐, 4aH-카르바졸릴, 카르바졸릴, β-카르볼리닐, 페난트리디닐, 아크리디닐, 피리미디닐, 페난트롤리닐, 페나지닐, 티아졸릴, 이소티아졸릴, 페노티아졸릴, 이속사졸릴, 푸라자닐 및 페녹사지닐을 포함한다. 용어 "헤테로아릴"은 또한 가능한 N-옥시드를 포함하는 것으로 의도된다. 예시적인 N-옥시드는 피리딜 N-옥시드 등을 포함한다.As used herein, the term “heteroaryl” refers to a ring atom having 5 to 14 ring atoms (i.e., C5 -C14 heteroaryl) and 1, 2, Refers to monocyclic and bicyclic aromatic ring systems having 3 or 4 heteroatoms. Non-limiting exemplary heteroaryl groups include thienyl, benzo[b]thienyl, naphtho[2,3-b]thienyl, thianthrenyl, furyl, benzofuryl, pyranyl, isobenzofuranyl, benzoxazonyl, Chromenyl, xanthenyl, 2H-pyrrolyl, pyrrolyl, imidazolyl, pyrazolyl, pyridyl, pyrazinyl, pyrimidinyl, pyridazinyl, isoindolyl, 3H-indolyl, indolyl, indazolyl , purinyl, isoquinolyl, quinolyl, phthalazinyl, naphthyridinyl, cinnolinyl, quinazolinyl, pteridinyl, 4aH-carbazolyl, carbazolyl, β-carbolinyl, phenanthridinyl. , acridinyl, pyrimidinyl, phenanthrolinyl, phenazinyl, thiazolyl, isothiazolyl, phenothiazolyl, isoxazolyl, furazanyl and phenoxazinyl. The term “heteroaryl” is also intended to include possible N-oxides. Exemplary N-oxides include pyridyl N-oxide and the like.

본원에 사용된, 그 자체로 또는 또 다른 기의 일부로서 용어 "치환된 헤테로아릴"은 본원에 정의된 바와 같은 헤테로아릴이 1 내지 4개의 독립적으로 선택된 치환기로 치환되는 것을 의미한다. 독립적으로 선택된 치환기의 비제한적 목록은 할로, 니트로, 시아노, 히드록시, 아미노, (알킬)아미노, (디알킬)아미노, 할로알킬, (히드록시)알킬, (디히드록시)알킬, 알콕시, 할로알콕시, 아릴옥시, 아르알킬옥시, 알킬티오, 카르복스아미도, 술폰아미도, (알킬)카르보닐, (아릴)카르보닐, (알킬) 술포닐, (아릴)술포닐, 우레이도, 구아니디노, 카르복시, (카르복시)알킬, 알킬, 시클로알킬, 알케닐, 알키닐, 아릴, 헤테로아릴, 헤테로시클로, (알콕시)알킬, (아미노)알킬, [(히드록실)알킬]아미노, [(알킬)아미노]알킬, [(디알킬)아미노]알킬, (시아노)알킬, (카르복스아미도)알킬, 메레아프토알킬, (헤테로시클로)알킬 및 (헤테로아릴)알킬을 포함한다. 임의의 이용가능한 탄소 또는 질소 원자는 치환될 수 있다.As used herein, by itself or as part of another group, the term "substituted heteroaryl" means that heteroaryl as defined herein is substituted with 1 to 4 independently selected substituents. A non-limiting list of independently selected substituents include halo, nitro, cyano, hydroxy, amino, (alkyl)amino, (dialkyl)amino, haloalkyl, (hydroxy)alkyl, (dihydroxy)alkyl, alkoxy, Haloalkoxy, aryloxy, aralkyloxy, alkylthio, carboxamido, sulfonamido, (alkyl)carbonyl, (aryl)carbonyl, (alkyl)sulfonyl, (aryl)sulfonyl, ureido, anidino, carboxy, (carboxy)alkyl, alkyl, cycloalkyl, alkenyl, alkynyl, aryl, heteroaryl, heterocyclo, (alkoxy)alkyl, (amino)alkyl, [(hydroxyl)alkyl]amino, [( Includes alkyl)amino]alkyl, [(dialkyl)amino]alkyl, (cyano)alkyl, (carboxamido)alkyl, mereapthoalkyl, (heterocyclo)alkyl and (heteroaryl)alkyl. Any available carbon or nitrogen atom may be substituted.

본원에 사용된, 그 자체로 또는 또 다른 기의 일부로서 용어 "헤테로시클로" 또는 "헤테로시클릴"은 3 내지 14개의 고리원 (즉, 3- 내지 14-원 헤테로시클로) 및 적어도 1종의 헤테로원자를 갖는 1, 2 또는 3개의 고리를 함유하는 포화 및 부분 불포화 (예를 들어, 1 또는 2개의 이중 결합을 함유함) 시클릭 기를 지칭한다. 각각의 헤테로원자는 독립적으로 선택된다. 용어 "헤테로시클로" 또는 "헤테로시클릴"은 시클릭 우레이도 기, 예컨대 2-이미다졸리디논, 및 시클릭 아미드 기, 예컨대 β-락탐, γ-락탐, δ-락탐 및 ε-락탐을 포함하는 것으로 의도된다. 용어 "헤테로시클로" 또는 "헤테로시클릴"은 또한 융합된 아릴 또는 치환된 아릴 기를 갖는 기, 예를 들어 인돌리닐을 포함하는 것으로 의도된다. 헤테로시클로 또는 헤테로시클릴은 탄소 또는 질소 원자를 통해 분자의 나머지에 연결될 수 있다. 비제한적 예시적인 헤테로시클로 (또는 헤테로시클릴) 기는 2-옥소피롤리딘-3-일, 2-이미다졸리디논, 피페리디닐, 모르폴리닐, 피페라지닐, 피롤리디닐 및 인돌리닐을 포함한다.As used herein, by itself or as part of another group, the term "heterocyclo" or "heterocyclyl" refers to a group having 3 to 14 ring members (i.e., 3- to 14-membered heterocyclo) and at least one refers to saturated and partially unsaturated (e.g., containing 1 or 2 double bonds) cyclic groups containing 1, 2, or 3 rings with heteroatoms. Each heteroatom is selected independently. The term “heterocyclo” or “heterocyclyl” includes cyclic ureido groups such as 2-imidazolidinone, and cyclic amide groups such as β-lactam, γ-lactam, δ-lactam and ε-lactam. It is intended to. The term “heterocyclo” or “heterocyclyl” is also intended to include groups having fused aryl or substituted aryl groups, such as indolinyl. Heterocyclo or heterocyclyl can be connected to the rest of the molecule through a carbon or nitrogen atom. Non-limiting exemplary heterocyclo (or heterocyclyl) groups include 2-oxopyrrolidin-3-yl, 2-imidazolidinone, piperidinyl, morpholinyl, piperazinyl, pyrrolidinyl, and indolinyl. Includes.

본원에 사용된, 그 자체로 또는 또 다른 기의 일부로서 용어 "치환된 헤테로시클로" 또는 "치환된 헤테로시클릴"은 상기 정의된 바와 같은 헤테로시클로 또는 헤테로시클릴 기가 1 내지 4개의 독립적으로 선택된 치환기로 치환되는 것을 의미한다. 독립적으로 선택된 치환기의 비제한적 목록은 할로, 니트로, 시아노, 히드록실, 아미노, (알킬)아미노, (디알킬)아미노, 할로알킬, (히드록시)알킬, (디히드록시)알킬, 알콕시, 할로알콕시, 아릴옥시, 아르알킬옥시, 알킬티오, 카르복스아미도, 술폰아미도, (알킬)카르보닐, (아릴)카르보닐, (알킬)술포닐, (아릴)술포닐, 우레이도, 구아니디노, 카르복시, 카르복시알킬, 알킬, 시클로알킬, 알케닐, 알키닐, 아릴, 헤테로아릴, 헤테로시클릴, 알콕시알킬, (아미노)알킬, [(히드록실)알킬]아미노, [(알킬)아미노]알킬, [(디알킬)아미노]알킬, (시아노)알킬, (카르복스아미도)알킬, 메르캅토알킬, (헤테로시클릴)알킬 및 (헤테로아릴)알킬을 포함한다. 치환은 임의의 이용가능한 탄소 또는 질소 원자 상에서 일어날 수 있고, 스피로사이클을 형성할 수 있다.As used herein, by itself or as part of another group, the term "substituted heterocyclo" or "substituted heterocyclyl" means that the heterocyclo or heterocyclyl group as defined above is one to four independently selected It means being substituted with a substituent. A non-limiting list of independently selected substituents include halo, nitro, cyano, hydroxyl, amino, (alkyl)amino, (dialkyl)amino, haloalkyl, (hydroxy)alkyl, (dihydroxy)alkyl, alkoxy, Haloalkoxy, aryloxy, aralkyloxy, alkylthio, carboxamido, sulfonamido, (alkyl)carbonyl, (aryl)carbonyl, (alkyl)sulfonyl, (aryl)sulfonyl, ureido, anidino, carboxy, carboxyalkyl, alkyl, cycloalkyl, alkenyl, alkynyl, aryl, heteroaryl, heterocyclyl, alkoxyalkyl, (amino)alkyl, [(hydroxyl)alkyl]amino, [(alkyl)amino ]alkyl, [(dialkyl)amino]alkyl, (cyano)alkyl, (carboxamido)alkyl, mercaptoalkyl, (heterocyclyl)alkyl, and (heteroaryl)alkyl. Substitutions can occur on any available carbon or nitrogen atom and can form a spirocycle.

본원에 사용된, 그 자체로 또는 또 다른 기의 일부로서 용어 "아미노"는 -NH2를 지칭한다.As used herein, by itself or as part of another group, the term “amino” refers to -NH2 .

본원에 사용된, 그 자체로 또는 또 다른 기의 일부로서 용어 "알킬아미노" 또는 "(알킬)아미노"는 R이 알킬인 -NHR을 지칭한다.As used herein, by itself or as part of another group, the term “alkylamino” or “(alkyl)amino” refers to -NHR where R is alkyl.

본원에 사용된, 그 자체로 또는 또 다른 기의 일부로서 용어 "디알킬아미노" 또는 "(디알킬)아미노"는 -NR'R"를 지칭하며, 여기서 R' 및 R"는 각각 독립적으로 알킬이거나 또는 R' 및 R"는 함께 3- 내지 8-원 헤테로시클로 또는 치환된 헤테로시클로를 형성한다.As used herein, by itself or as part of another group, the term "dialkylamino" or "(dialkyl)amino" refers to -NR' R" , where R' and R" are each independently alkyl or R' and R" together form a 3- to 8-membered heterocyclo or substituted heterocyclo.

본원에 사용된, 그 자체로 또는 또 다른 기의 일부로서 용어 "시클로알킬아미노"는 -NR'R"를 지칭하며, 여기서 R'는 시클로알킬 또는 치환된 시클로알킬이고, R"는 수소 또는 알킬이다.As used herein, by itself or as part of another group, the term "cycloalkylamino" refers to -NR' R" , where R' is cycloalkyl or substituted cycloalkyl and R" is hydrogen or alkyl am.

본원에 사용된, 그 자체로 또는 또 다른 기의 일부로서 용어 "(아미노)알킬"은 아미노 기로 치환된 알킬 기를 지칭한다. 비제한적 예시적인 (아미노)알킬 기는 -CH2CH2NH2, -CH2CH2CH2NH2, 및 -CH2CH2CH2CH2NH2를 포함한다.As used herein, by itself or as part of another group, the term “(amino)alkyl” refers to an alkyl group substituted with an amino group. Non-limiting exemplary (amino)alkyl groups include -CH2 CH2 NH2 , -CH2 CH2 CH2 NH2 , and -CH2 CH2 CH2 CH2 NH2 .

본원에 사용된, 그 자체로 또는 또 다른 기의 일부로서 용어 "(알킬아미노)알킬" 또는 "[(알킬)아미노]알킬"은 알킬아미노 기로 치환된 알킬 기를 지칭한다. 비제한적 예시적인 (알킬아미노)알킬 기는 -CH2CH2N(H)CH3이다.As used herein, by itself or as part of another group, the term “(alkylamino)alkyl” or “[(alkyl)amino]alkyl” refers to an alkyl group substituted with an alkylamino group. A non-limiting exemplary (alkylamino)alkyl group is -CH2 CH2 N(H)CH3 .

본원에 사용된, 그 자체로 또는 또 다른 기의 일부로서 용어 "(디알킬아미노)알킬"은 디알킬아미노 기에 의해 치환된 알킬 기를 지칭한다. 비제한적 예시적인 (디알킬아미노)알킬 기는 -CH2N(CH3)2 및 -CH2CH2N(CH-3)2를 포함한다.As used herein, by itself or as part of another group, the term “(dialkylamino)alkyl” refers to an alkyl group substituted by a dialkylamino group. Non-limiting exemplary (dialkylamino)alkyl groups include -CH2 N(CH3 )2 and -CH2 CH2 N(CH-3 )2 .

본원에 사용된, 그 자체로 또는 또 다른 기의 일부로서 용어 "(시클로알킬아미노)알킬"은 시클로알킬아미노 기에 의해 치환된 알킬 기를 지칭한다. 비제한적 예시적인 (시클로알킬아미노)알킬 기는 -CH2N(H)시클로프로필, -CH2N(H)시클로부틸 및 -CH2N(H)시클로헥실을 포함한다.As used herein, by itself or as part of another group, the term “(cycloalkylamino)alkyl” refers to an alkyl group substituted by a cycloalkylamino group. Non-limiting exemplary (cycloalkylamino)alkyl groups include -CH2 N(H)cyclopropyl, -CH2 N(H)cyclobutyl, and -CH2 N(H)cyclohexyl.

본원에 사용된, 그 자체로 또는 또 다른 기의 일부로서 용어 "카르복스아미도"는 화학식 -C(=O)NR'R"의 라디칼을 지칭하며, 여기서 R' 및 R"는 각각 독립적으로 수소, 알킬, 치환된 알킬, 아르알킬, 치환된 아르알킬, 아릴, 치환된 아릴, 헤테로아릴 또는 치환된 헤테로아릴이거나, 또는 R' 및 R"는 이들이 부착되어 있는 질소와 함께, 3- 내지 8-원 헤테로시클로 기를 형성한다. 비제한적 예시적인 카르복스아미도 기는 -CONH2, -CON(H)CH3, CON(CH3)2, 및 CON(H)Ph를 포함한다.As used herein, by itself or as part of another group, the term "carboxamido" refers to a radical of the formula -C(=O)NR' R" , where R' and R" are each independently is hydrogen, alkyl, substituted alkyl, aralkyl, substituted aralkyl, aryl, substituted aryl, heteroaryl or substituted heteroaryl, or R' and R" , together with the nitrogen to which they are attached, are 3- to 8 Non-limiting exemplary carboxamido groups include -CONH2 , -CON(H)CH3 , CON(CH3 )2 , and CON(H)Ph.

본원에 사용된 용어 "술폰아미도"는 그 자체로 또는 또 다른 기의 일부로서 화학식 -SO2NR'R"의 라디칼을 지칭하며, 여기서 R' 및 R"는 각각 독립적으로 수소, 알킬, 치환된 알킬, 아릴 또는 치환된 아릴이거나, 또는 R' 및 R"는 이들이 부착되어 있는 질소와 함께, 3- 내지 8-원 헤테로시클로 기를 형성한다. 비제한적 예시적인 술폰아미도 기는 -SO2NH2, -SO2N(H)CH3 및 -SO2N(H)Ph를 포함한다.As used herein, the term "sulfonamido", by itself or as part of another group, refers to a radical of the formula -SO2 NR' R" , where R' and R" are each independently hydrogen, alkyl, substituted is an alkyl, aryl or substituted aryl, or R' and R" , together with the nitrogen to which they are attached, form a 3- to 8-membered heterocyclo group. Non-limiting exemplary sulfonamido groups include -SO2 NH2 , -SO2 N(H)CH3 and -SO2 N(H)Ph.

본원에 사용된, 그 자체로 또는 또 다른 기의 일부로서 용어 "(알킬)카르보닐"은 알킬 기에 의해 치환된 카르보닐 기, 즉 -C(=O)-를 지칭한다. 비제한적 예시적인 알킬카르보닐 기는 -COCH3이다.As used herein, by itself or as part of another group, the term "(alkyl)carbonyl" refers to a carbonyl group substituted by an alkyl group, i.e. -C(=O)-. A non-limiting exemplary alkylcarbonyl group is -COCH3 .

본원에 사용된, 그 자체로 또는 또 다른 기의 일부로서 용어 "(알콕시)카르보닐" (또는 "에스테르")은 알콕시 기에 의해 치환된 카르보닐 기, 즉 -C(=O)-를 지칭한다. 비제한적 예시적인 (알콕시)카르보닐 기는 -C(O)OCH3이다.As used herein, by itself or as part of another group, the term "(alkoxy)carbonyl" (or "ester") refers to a carbonyl group substituted by an alkoxy group, i.e. -C(=O)- . A non-limiting exemplary (alkoxy)carbonyl group is -C(O)OCH3 .

본원에 사용된, 그 자체로 또는 또 다른 기의 일부로서 용어 "(아릴)카르보닐"은 아릴 또는 치환된 아릴 기에 의해 치환된 카르보닐 기, 즉 -C(=O)-를 지칭한다. 비제한적 예시적인 아릴카르보닐 기는 -COPh이다.As used herein, by itself or as part of another group, the term “(aryl)carbonyl” refers to a carbonyl group substituted by an aryl or substituted aryl group, i.e., -C(=O)-. A non-limiting exemplary arylcarbonyl group is -COPh.

본원에 사용된, 그 자체로 또는 또 다른 기의 일부로서 용어 "술파닐"은 -SH 기를 지칭한다.As used herein, by itself or as part of another group, the term “sulfanyl” refers to the group -SH.

본원에 사용된, 그 자체로 또는 또 다른 기의 일부로서 용어 "(알킬)술파닐" 또는 "알킬티오"는 알킬 또는 치환된 알킬 기에 의해 치환된 황 원자를 지칭한다. 비제한적 예시적인 알킬티오 기는 -SCH3 및 -SCH2CH3을 포함한다.As used herein, by itself or as part of another group, the term “(alkyl)sulfanyl” or “alkylthio” refers to a sulfur atom substituted by an alkyl or substituted alkyl group. Non-limiting exemplary alkylthio groups include -SCH3 and -SCH2 CH3 .

본원에 사용된, 그 자체로 또는 또 다른 기의 일부로서 용어 "메르캅토알킬"은 -SH 기에 의해 치환된 알킬 기를 지칭한다.As used herein, by itself or as part of another group, the term “mercaptoalkyl” refers to an alkyl group substituted by an -SH group.

본원에 사용된, 그 자체로 또는 또 다른 기의 일부로서 용어 "알킬술포닐" 또는 "(알킬)술포닐"은 알킬 또는 치환된 알킬 기에 의해 치환된 술포닐 기, 즉 -SO2-를 지칭한다. 비제한적 예시적인 알킬술포닐 기는 -SO2CH3이다.As used herein, by itself or as part of another group, the term "alkylsulfonyl" or "(alkyl)sulfonyl" refers to a sulfonyl group substituted by an alkyl or substituted alkyl group, i.e. -SO2 - do. A non-limiting exemplary alkylsulfonyl group is -SO2 CH3 .

본원에 사용된, 그 자체로 또는 또 다른 기의 일부로서 용어 "아릴술포닐" 또는 "(아릴)술포닐"은 아릴 또는 치환된 아릴 기에 의해 치환된 술포닐 기, 즉 -SO2-를 지칭한다. 비제한적 예시적인 아릴술포닐 기는 -SO2Ph이다.As used herein, by itself or as part of another group, the term "arylsulfonyl" or "(aryl)sulfonyl" refers to a sulfonyl group substituted by an aryl or substituted aryl group, i.e. -SO2 - do. A non-limiting exemplary arylsulfonyl group is -SO2 Ph.

본원에 사용된, 그 자체로 또는 또 다른 기의 일부로서 용어 "카르복시"는 화학식 -COOH의 라디칼을 지칭한다.As used herein, by itself or as part of another group, the term “carboxy” refers to a radical of the formula -COOH.

본원에 사용된, 그 자체로 또는 또 다른 기의 일부로서 용어 "(카르복시)알킬"은 -COOH로 치환된 알킬 기를 지칭한다. 비제한적 예시적인 카르복시알킬 기는 -CH2CO2H이다.As used herein, by itself or as part of another group, the term “(carboxy)alkyl” refers to an alkyl group substituted with -COOH. A non-limiting exemplary carboxyalkyl group is -CH2 CO2 H.

본원에 사용된, 그 자체로 또는 또 다른 기의 일부로서 용어 "아르알킬"은 아릴 모이어티가 알킬 잔기에 부착되어 있는 잔기를 지칭한다. 아르알킬 기는 아릴 또는 알킬 잔기에서 모 구조에 부착될 수 있다.As used herein, by itself or as part of another group, the term “aralkyl” refers to the moiety to which an aryl moiety is attached to an alkyl moiety. An aralkyl group can be attached to the parent structure at an aryl or alkyl moiety.

본원에 사용된, 그 자체로 또는 또 다른 기의 일부로서 용어 "치환된 아르알킬"은 아릴 모이어티가 치환된 알킬 잔기에 부착된 잔기를 지칭한다.As used herein, by itself or as part of another group, the term “substituted aralkyl” refers to the moiety to which an aryl moiety is attached to a substituted alkyl moiety.

본원에 사용된, 그 자체로 또는 또 다른 기의 일부로서 용어 "아르알케닐"은 화학식 -Rd-Rc의 라디칼을 지칭하며, 여기서 Rd는 알케닐렌 쇄이고, Rc는 1개 이상의 아릴 라디칼이다.As used herein, by itself or as part of another group, the term "araalkenyl" refers to a radical of the formula -Rd -Rc , where Rd is an alkenylene chain and Rc is one or more It is an aryl radical.

본원에 사용된, 그 자체로 또는 또 다른 기의 일부로서 용어 "치환된 아르알케닐"은 아르알케닐 라디칼의 알케닐렌 쇄가 임의로 치환된 알케닐렌 쇄이고, 아르알케닐 라디칼의 각각의 아릴 라디칼이 임의로 치환된 아릴 라디칼인 아르알케닐 라디칼을 지칭한다.As used herein, by itself or as part of another group, the term "substituted aralkenyl" refers to an alkenylene chain in which the alkenylene chain of an aralkenyl radical is optionally substituted, and each aryl radical of the aralkenyl radical is This optionally substituted aryl radical refers to an aralkenyl radical.

본원에 사용된, 그 자체로 또는 또 다른 기의 일부로서 용어 "아르알키닐"은 화학식 -ReRc의 라디칼을 지칭하며, 여기서 Re는 알키닐렌 쇄이고, Rc는 1개 이상의 아릴 라디칼이다.As used herein, by itself or as part of another group, the term "aralkynyl" refers to a radical of the formula -Re Rc , wherein Re is an alkynylene chain and Rc is one or more aryl groups. It is a radical.

본원에 사용된, 그 자체로 또는 또 다른 기의 일부로서 용어 "치환된 아르알키닐"은 아르알키닐 라디칼의 알키닐렌 쇄가 임의로 치환된 알키닐렌 쇄이고, 아르알키닐 라디칼의 각각의 아릴 라디칼이 임의로 치환된 아릴 라디칼인 아르알키닐 라디칼을 지칭한다.As used herein, by itself or as part of another group, the term "substituted aralkynyl" means an alkynylene chain in which the alkynylene chain of the aralkynyl radical is optionally substituted, and each aryl radical of the aralkynyl radical is This optionally substituted aryl radical refers to an aralkynyl radical.

본원에 사용된, 그 자체로 또는 또 다른 기의 일부로서 용어 "지방족 헤테로사이클"은 고리-형성 원자 중 1개 이상이 헤테로원자인 비-방향족 고리를 지칭한다.As used herein, by itself or as part of another group, the term “aliphatic heterocycle” refers to a non-aromatic ring in which one or more of the ring-forming atoms is a heteroatom.

본원에 사용된 용어 "헤테로원자"는 탄소 원자와 그의 모 분자 사이에 (즉, 부착 지점 사이에) 삽입된 원자를 지칭한다. 비제한적 예시적인 헤테로원자는 산소, 질소, 황 (술폭시드 및 술폰 포함), 및 인 (P)을 포함한다.As used herein, the term “heteroatom” refers to an atom inserted between a carbon atom and its parent molecule (i.e., between the point of attachment). Non-limiting exemplary heteroatoms include oxygen, nitrogen, sulfur (including sulfoxides and sulfones), and phosphorus (P).

본원에 사용된 용어 "사카라이드"는 단일 당 모이어티 또는 모노사카라이드 단위 뿐만 아니라 공유 연결되어 디사카라이드, 올리고사카라이드 및 폴리사카라이드를 형성하는 2개 이상의 단일 당 모이어티 또는 모노사카라이드 단위의 조합을 지칭한다. 폴리사카라이드는 선형 또는 분지형일 수 있다.As used herein, the term "saccharide" refers to a single sugar moiety or monosaccharide unit as well as two or more single sugar moieties or monosaccharide units that are covalently linked to form disaccharides, oligosaccharides and polysaccharides. refers to a combination of Polysaccharides can be linear or branched.

본원에 사용된 용어 "모노사카라이드"는 올리고사카라이드 내의 단일 당 잔기를 지칭한다.As used herein, the term “monosaccharide” refers to a single sugar residue within an oligosaccharide.

본원에 사용된 용어 "디사카라이드"는 글리코시드 결합에 의해 함께 연결된 2개의 모노사카라이드 단위 또는 모이어티로 구성된 폴리사카라이드를 지칭한다.As used herein, the term “disaccharide” refers to a polysaccharide composed of two monosaccharide units or moieties linked together by a glycosidic bond.

본원에 사용된 "올리고사카라이드"는 2개 이상의 모노사카라이드 단위 또는 모이어티를 함유하는 화합물을 지칭한다. 올리고사카라이드와 관련하여, 개별 단량체 단위 또는 모이어티는 히드록시 기를 통해 또 다른 모노사카라이드 단위 또는 모이어티에 결합되거나 또는 결합될 수 있는 모노사카라이드이다. 올리고사카라이드는 보호된 단일 잔기 당으로부터의 화학적 합성에 의해 또는 생물학적으로 생산된 폴리사카라이드의 화학적 분해에 의해 제조될 수 있다. 대안적으로, 올리고사카라이드는 시험관내 효소적 방법에 의해 제조될 수 있다.As used herein, “oligosaccharide” refers to a compound containing two or more monosaccharide units or moieties. With regard to oligosaccharides, the individual monomer units or moieties are monosaccharides that are or can be linked to another monosaccharide unit or moiety through a hydroxy group. Oligosaccharides can be prepared by chemical synthesis from protected single residue sugars or by chemical breakdown of biologically produced polysaccharides. Alternatively, oligosaccharides can be prepared by in vitro enzymatic methods.

본원에 사용된, 그 자체로 또는 또 다른 기의 일부로서 용어 "우레이도"는 화학식 -NR'-C(=O)-NR"R"의 라디칼을 지칭하며, 여기서 R'는 수소, 알킬, 아릴 또는 치환된 아릴이고, R" 및 R"'는 각각 독립적으로 수소, 알킬, 아릴 또는 치환된 아릴이거나, 또는 R" 및 R"'는 이들이 부착되어 있는 질소와 함께, 4- 내지 8-원 헤테로시클로 기를 형성한다. 비제한적 예시적인 우레이도 기는 -NH-C(=O)-NH2 및 -NH-C(=O)-NHCH3을 포함한다.As used herein, by itself or as part of another group, the term "ureido" refers to a radical of the formula -NR' -C(=O)-NR" R" , where R' is hydrogen, alkyl, aryl or substituted aryl, and R" and R"' are each independently hydrogen, alkyl, aryl or substituted aryl, or R" and R"' , together with the nitrogen to which they are attached, are 4- to 8-membered It forms a heterocyclyl group. Non-limiting exemplary ureido groups include -NH-C(=O)-NH2 and -NH-C(=O)-NHCH3 .

본원에 사용된, 그 자체로 또는 또 다른 기의 일부로서 용어 "구아니디노"는 화학식 -NR'-C(=NR")-NR"'R""의 라디칼을 지칭하며, 여기서 R', R"' 및 R""는 각각 독립적으로 수소, 알킬, 아릴 또는 치환된 아릴이고, R"는 수소, 알킬, 시아노, 알킬술포닐, 알킬카르보닐, 카르복스아미도 또는 술폰아미도이다. 비제한적 예시적인 구아니디노 기는 -NH-C(=NH)-NH2, -NH-C(=NCN)-NH2, 및 -NH-C(=NH)-NHCH3을 포함한다.As used herein, the term "guanidino", by itself or as part of another group, refers to a radical of the formula -NR' -C(=NR" ) -NR"' R"" , where R' , R"' and R"" are each independently hydrogen, alkyl, aryl, or substituted aryl, and R" is hydrogen, alkyl, cyano, alkylsulfonyl, alkylcarbonyl, carboxamido, or sulfonamido. Non-limiting exemplary guanidino groups include -NH-C(=NH)-NH2 , -NH-C(=NCN)-NH2 , and -NH-C(=NH)-NHCH3 .

본원에 사용된, 그 자체로 또는 또 다른 기의 일부로서 용어 "(헤테로아릴)알킬"은 1, 2 또는 3개의 헤테로아릴 또는 치환된 헤테로아릴 기로 치환된 알킬 기를 지칭한다.As used herein, by itself or as part of another group, the term “(heteroaryl)alkyl” refers to an alkyl group substituted with 1, 2 or 3 heteroaryl or substituted heteroaryl groups.

본원에 사용된, 그 자체로 또는 또 다른 기의 일부로서 용어 "헤테로알킬"은 동일하거나 상이할 수 있는 적어도 1종의 헤테로원자를 함유하는 안정한 직쇄 또는 분지쇄 탄화수소 라디칼을 지칭한다. 헤테로원자(들)는 헤테로알킬 기의 임의의 내부 위치 또는 말단 위치에, 또는 헤테로알킬 기가 분자의 나머지에 부착되는 위치에 위치할 수 있다. 비제한적 예시적인 헤테로알킬 기는 -CH2N(H)CH2CH2N(CH3)2, -CH2N(CH3)CH2CH2N(CH3)2, -CH2N(H)CH2CH2CH2N(CH3)2, -CH2N(H)CH2CH2OH, -CH2N(CH3)CH2CH2OH, -CH2OCH2CH2OCH3, -OCH2CH2OCH2CH2OCH3, -CH2NHCH2CH2OCH2, -OCH2CH2NH2, 및 -NHCH2CH2N(H)CH3을 포함한다.As used herein, by itself or as part of another group, the term “heteroalkyl” refers to a stable straight-chain or branched-chain hydrocarbon radical containing at least one heteroatom, which may be the same or different. The heteroatom(s) may be located at any internal or terminal position of the heteroalkyl group, or at the position at which the heteroalkyl group is attached to the remainder of the molecule. Non-limiting exemplary heteroalkyl groups include -CH2 N(H)CH2 CH2 N(CH3 )2 , -CH2 N(CH3 )CH2 CH2 N(CH3 )2 , -CH2 N(H )CH2 CH2 CH2 N(CH3 )2 , -CH2 N(H)CH2 CH2 OH, -CH2 N(CH3 )CH2 CH2 OH, -CH2 OCH2 CH2 OCH3 , -OCH2 CH2 OCH2 CH2 OCH3 , -CH2 NHCH2 CH2 OCH2 , -OCH2 CH2 NH2 , and -NHCH2 CH2 N(H)CH3 .

본원에 사용된, 그 자체로 또는 또 다른 기의 일부로서 용어 "(헤테로시클로)알킬" 또는 "(헤테로시클릴)알킬"은 1개의 헤테로시클릴 또는 치환된 헤테로시클릴 기, 및 임의로 1개의 히드록시 기로 치환된 알킬 기를 지칭한다.As used herein, by itself or as part of another group, the term “(heterocyclo)alkyl” or “(heterocyclyl)alkyl” refers to one heterocyclyl or substituted heterocyclyl group, and optionally one Refers to an alkyl group substituted with a hydroxy group.

본원에 사용된, 그 자체로 또는 또 다른 기의 일부로서 용어 "(카르복스아미도)알킬"은 1개의 카르복스아미도 기, 및 임의로 1개의 헤테로시클로, 아미노, 알킬아미노 또는 디알킬아미노 기로 치환된 알킬 기를 지칭한다.As used herein, by itself or as part of another group, the term "(carboxamido)alkyl" means one carboxamido group, and optionally one heterocyclo, amino, alkylamino or dialkylamino group. Refers to a substituted alkyl group.

본원에 사용된 용어 "N-옥시드"는 관능기를 함유하는 화합물을 지칭하며, 여기서 N+는 H 및/또는 화합물 구조의 나머지에 추가로 연결된다.As used herein, the term “N-oxide” refers to a compound containing a functional group, wherein N+ is further connected to H and/or the remainder of the compound structure.

본원에 사용된 용어 "정수"는 0, 1, 2, 3, 4, 5, 6, 7, 8, 9 등을 포함하나 이에 제한되지는 않는 정수를 지칭한다.As used herein, the term “integer” refers to an integer including, but not limited to, 0, 1, 2, 3, 4, 5, 6, 7, 8, 9, etc.

화합물compound

일반적 구조general structure

디아민 스캐폴드를 갖는 다가 리간드 클러스터는 화학식 1의 구조를 가질 수 있다:A multivalent ligand cluster with a diamine scaffold may have the structure of Formula 1:

Figure pct00039
Figure pct00039

여기서:here:

각각의 TL은 독립적으로 선택된 표적화 리간드이고,Each TL is an independently selected targeting ligand,

m은 1 내지 10의 정수이고,m is an integer from 1 to 10,

각각의 n은 1 내지 10의 독립적으로 선택된 정수이고,Each n is an independently selected integer from 1 to 10,

각각의 링커A는 TL에 부착된 한 말단 및 알킬카르복스아미드의 질소에 부착된 다른 말단을 갖는 독립적으로 선택된 스페이서이고,Each Linker A is an independently selected spacer with one end attached to TL and the other end attached to the nitrogen of an alkylcarboxamide,

링커B는 제약 작용제 또는 1종 이상의 제약 작용제에 연결될 수 있는 관능기에 부착된 한 말단 및 디아민 질소에 부착된 다른 말단을 갖는 스페이서이고,Linker B is a spacer having one end attached to a pharmaceutical agent or a functional group capable of being linked to one or more pharmaceutical agents and the other end attached to a diamine nitrogen,

W는 1종 이상의 제약 작용제, 또는 1종 이상의 제약 작용제에 연결될 수 있는 관능기이다.W is one or more pharmaceutical agents, or a functional group that can be linked to one or more pharmaceutical agents.

일부 실시양태에서, m은 다가 리간드 클러스터를 합성하는 데 사용된 출발 물질을 기초로 하여 구성될 수 있다. 예를 들어, 출발 물질로서 사용되는 에틸렌디아민으로 인해 m은 1일 수 있고, 출발 물질로서 사용되는 1,3-프로판디아민으로 인해 m은 2일 수 있고, 출발 물질로서 사용되는 1,4-부탄디아민으로 인해 m은 3일 수 있다.In some embodiments, m can be constructed based on the starting materials used to synthesize the multivalent ligand cluster. For example, m may be 1 due to ethylenediamine used as starting material, m may be 2 due to 1,3-propanediamine used as starting material, and m may be 2 due to 1,4-butane used as starting material. Due to the diamine, m may be 3.

본원에 사용된 "스페이서"는 다른 기를 함께 연결하는 화합물 또는 분자를 지칭한다. 링커A 및 링커B 스페이서의 예는 하기 본원에 상세히 기재되어 있다.As used herein, “spacer” refers to a compound or molecule that links different groups together. Examples of Linker A and Linker B spacers are described in detail herein below.

본 발명의 다가 리간드 클러스터의 요소와 관련하여 본원에 사용된 용어 "독립적으로 선택된"은 각각의 주어진 유형의 요소가 다가 리간드 클러스터 내의 동일한 유형의 요소의 1개 이상의 다른 것과 상이할 수 있음을 의미한다. 예를 들어, 다가 리간드 클러스터는 1종 초과의 TL을 포함할 수 있고, 여기서 각각은 그 다가 리간드 클러스터 내의 1종 이상의 다른 TL과 상이하거나 동일하도록 선택될 수 있다. 추가의 예를 들어, 다가 리간드 클러스터는 하나 초과의 "n"을 포함할 수 있고, 여기서 각각은 상기 다가 리간드 클러스터 내의 하나 이상의 다른 "n"과 상이하거나 동일하도록 선택될 수 있다. 또 다른 예에서, 다가 리간드 클러스터는 1개 초과의 링커A를 포함할 수 있고, 여기서 각각은 상기 다가 리간드 클러스터 내의 1종 이상의 다른 링커A와 상이하거나 동일하도록 선택될 수 있다.As used herein in relation to elements of a multivalent ligand cluster of the invention, the term "independently selected" means that each given type of element may differ from one or more others of the same type of element within the multivalent ligand cluster. . For example, a multivalent ligand cluster may include more than one type of TL, where each may be selected to be different or the same as one or more other TLs within the multivalent ligand cluster. For a further example, a multivalent ligand cluster may include more than one “n”, where each may be selected to be different or the same as one or more other “n”s within the multivalent ligand cluster. In another example, a multivalent ligand cluster may include more than one Linker A, where each may be selected to be different or the same as one or more other Linker A's within the multivalent ligand cluster.

표적화 리간드targeting ligand

화학식 1과 관련하여 상기 언급된 바와 같이, 본 개시내용의 다가 리간드 클러스터는 다수 (예를 들어, 3개)의 독립적으로 선택된 표적화 리간드를 포함할 수 있다. 이와 관련하여, 용어 "독립적으로 선택된"은 각각의 표적화 리간드가 동일한 다가 리간드 클러스터 내의 1종 이상의 다른 표적화 리간드와 상이하거나 동일하도록 선택될 수 있음을 의미한다.As noted above with respect to Formula 1, multivalent ligand clusters of the present disclosure may include multiple (e.g., three) independently selected targeting ligands. In this context, the term “independently selected” means that each targeting ligand may be selected to be different from or identical to one or more other targeting ligands within the same multivalent ligand cluster.

화학식 1의 독립적으로 선택된 표적화 리간드 중 적어도 1종은 세포내이입을 용이하게 할 수 있는 1종 이상의 세포 수용체, 세포 채널 및/또는 세포 수송체에 결합할 수 있다.At least one of the independently selected targeting ligands of Formula 1 is capable of binding to one or more cell receptors, cell channels and/or cell transporters that can facilitate endocytosis.

일부 실시양태에서, 화학식 1의 독립적으로 선택된 표적화 리간드 중 적어도 1종은 적어도 1종의 소분자 리간드를 포함할 수 있다. 본원에 사용된 "소분자 리간드"는 단백질보다 더 작은 리간드를 지칭한다. 일부 실시양태에서, 적어도 1종의 소분자 리간드는 N-아세틸갈락토사민 (GalNAc), 갈락토스, 갈락토사민, N-포르밀-갈락토사민, N-프로피오닐갈락토사민, N-부타노일갈락토사민, 및 N-이소-부타노일갈락토사민, 마크로사이클, 폴레이트 분자, 지방산, 담즙산, 콜레스테롤, 및 그의 유도체 중 적어도 1종을 포함할 수 있다.In some embodiments, at least one of the independently selected targeting ligands of Formula 1 may comprise at least one small molecule ligand. As used herein, “small molecule ligand” refers to a ligand that is smaller than a protein. In some embodiments, the at least one small molecule ligand is N-acetylgalactosamine (GalNAc), galactose, galactosamine, N-formyl-galactosamine, N-propionylgalactosamine, N-butanoylgal. It may include at least one of lactosamine, N-iso-butanoylgalactosamine, macrocycle, folate molecule, fatty acid, bile acid, cholesterol, and derivatives thereof.

마크로사이클은 12원 이상의 고리를 함유하는 분자 또는 이온이다. 본 개시내용은 임의의 특정한 마크로사이클로 제한되지 않는다. 본 개시내용의 범주 내의 마크로사이클의 비제한적 목록은 테르페노이드 마크로사이클, 포르피린 및 시클로덱스트린을 포함한다.A macrocycle is a molecule or ion containing a ring of 12 or more members. The present disclosure is not limited to any particular macrocycle. A non-limiting list of macrocycles within the scope of this disclosure includes terpenoid macrocycles, porphyrins, and cyclodextrins.

비타민 B9 및 폴라신으로도 공지된 폴레이트는 인간 신체에 의해 DNA 및 RNA를 제조하고, 세포 분열에 필요한 아미노산을 대사하는 데 사용된다. 폴레이트 수용체는 폴레이트, 및 환원된 폴산 유도체에 결합한다. 따라서, 일부 실시양태에서, 독립적으로 선택된 표적화 리간드 중 적어도 1종은 환원된 폴산 유도체를 포함할 수 있다.Folate, also known as vitamin B9 and folacin, is used by the human body to manufacture DNA and RNA and to metabolize amino acids needed for cell division. Folate receptors bind folate and reduced folic acid derivatives. Accordingly, in some embodiments, at least one of the independently selected targeting ligands may comprise a reduced folic acid derivative.

지방산은 긴 지방족 쇄를 갖는 카르복실산이다. 일부 실시양태에서, 지방산은 포화될 수 있으며, 이는 지방족 쇄가 모두 단일 탄소-대-탄소 결합을 가짐을 의미한다. 일부 실시양태에서, 지방산은 불포화일 수 있으며, 이는 지방족 쇄가 적어도 1개의 이중 또는 삼중 탄소-대-탄소 결합을 포함함을 의미한다. 일부 실시양태에서, 지방산은 분지쇄를 포함할 수 있다. 일부 실시양태에서, 지방산은 고리 구조를 포함할 수 있다. 지방산은 세포로의 제약 작용제의 업데이트를 보조하는 것으로 공지되어 있다. 문헌 [Prakash et al. "Fatty acid conjugation enhances potency of antisense oligonucleotides in muscle." Nucleic Acids Res. 2019;47(12):6029-6044. doi:10.1093/nar/gkz354; Raouane et al. "Lipid Conjugated Oligonucleotides: A Useful Strategy for Delivery." Bioconjugate Chemistry 2012 23 (6), 1091-1104, DOI: 10.1021/bc200422w; and Osborn et al. "Improving siRNA Delivery In Vivo Through Lipid Conjugation." Nucleic Acid Ther. 2018;28(3):128-136. doi:10.1089/nat.2018.0725]을 참조한다.Fatty acids are carboxylic acids with long aliphatic chains. In some embodiments, fatty acids may be saturated, meaning that the aliphatic chains all have a single carbon-to-carbon bond. In some embodiments, the fatty acid may be unsaturated, meaning that the aliphatic chain contains at least one double or triple carbon-to-carbon bond. In some embodiments, fatty acids may comprise branched chains. In some embodiments, fatty acids may comprise ring structures. Fatty acids are known to assist in the updating of pharmaceutical agents into cells. Prakash et al. “Fatty acid conjugation enhances potency of antisense oligonucleotides in muscle.” Nucleic Acids Res. 2019;47(12):6029-6044. doi:10.1093/nar/gkz354; Raouane et al. “Lipid Conjugated Oligonucleotides: A Useful Strategy for Delivery.” Bioconjugate Chemistry 2012 23 (6), 1091-1104, DOI: 10.1021/bc200422w; and Osborn et al. “Improving siRNA Delivery In Vivo Through Lipid Conjugation.” Nucleic Acid Ther. 2018;28(3):128-136. doi:10.1089/nat.2018.0725].

담즙산은 담즙에서 발견되는 스테로이드산이다. 담즙산은 파르네소이드 X 수용체 (FXR) 및 G 단백질-커플링된 담즙산 수용체 1 (GPBAR1) (TGR5)에 대한 공지된 리간드이다. 일부 실시양태에서, 담즙산은 간에서 합성된 1차 담즙산일 수 있다. 일부 실시양태에서, 담즙산은 결장에서의 박테리아 작용으로부터 생성된 2차 담즙산일 수 있다. 담즙산은 RNA 번역을 억제하는 데 유익한 것으로 공지되어 있다. 문헌 [Gonzalez-Carmona et al. "Inhibition of hepatitis C virus RNA translation by antisense bile acid conjugated phosphorothioate modified oligodeoxynucleotides (ODN)." Antiviral Res. 2013, 97, 49-59. doi:10.1089/nat.2018.0725]을 참조한다.Bile acids are steroid acids found in bile. Bile acids are known ligands for the farnesoid X receptor (FXR) and G protein-coupled bile acid receptor 1 (GPBAR1) (TGR5). In some embodiments, the bile acid may be a primary bile acid synthesized in the liver. In some embodiments, the bile acids may be secondary bile acids produced from bacterial action in the colon. Bile acids are known to be beneficial in inhibiting RNA translation. Gonzalez-Carmona et al. “Inhibition of hepatitis C virus RNA translation by antisense bile acid conjugated phosphorothioate modified oligodeoxynucleotides (ODN).” Antiviral Res. 2013, 97, 49-59. doi:10.1089/nat.2018.0725].

일부 실시양태에서, 화학식 1의 독립적으로 선택된 표적화 리간드 중 적어도 1종은 적어도 1종의 펩티드를 포함할 수 있다. 다양한 펩티드 및 상응하는 펩티드 수용체는 관련 기술분야의 통상의 기술자에게 공지되어 있다. 본 개시내용은 임의의 특정한 펩티드로 제한되지 않는다. 공지되고 아직 발견되지 않은 펩티드는 본 개시내용의 범주 내에 있다.In some embodiments, at least one of the independently selected targeting ligands of Formula 1 may comprise at least one peptide. Various peptides and corresponding peptide receptors are known to those skilled in the art. The present disclosure is not limited to any particular peptide. Known and as yet undiscovered peptides are within the scope of this disclosure.

일부 실시양태에서, 화학식 1의 독립적으로 선택된 표적화 리간드 중 적어도 1종은 적어도 1종의 시클릭 펩티드를 포함할 수 있다. 관련 기술분야의 통상의 기술자에게 공지된 바와 같이, 시클릭 펩티드는 시클릭 고리 구조를 갖는 폴리펩티드 쇄이다. 일부 실시양태에서, 시클릭 고리 구조는 펩티드의 한 말단을 아미드 결합, 또는 다른 화학적으로 안정한 결합, 예컨대 락톤, 에테르, 티오에테르, 디술피드 등으로 다른 말단에 연결함으로써 형성될 수 있다. 일부 실시양태에서, 본 개시내용의 시클릭 펩티드는 헤드-투-테일 (또는 N-투-C) 고리화가 아미노와 카르복실 말단 사이의 아미드 결합에 의해 형성된 생물학적 활성 시클릭 펩티드일 수 있다. 일부 실시양태에서, 본 개시내용의 시클릭 펩티드는 고리화가 "클릭 화학"에 의해 형성된 생물학적 활성 시클릭 펩티드일 수 있다. 문헌 [Rashad A.A. (2019) Click Chemistry for Cyclic Peptide Drug Design. In: Goetz G. (eds) Cyclic Peptide Design. Methods in Molecular Biology, vol 2001. Humana, New York, NY. https://doi.org/10.1007/978-1-4939-9504-2_8]을 참조한다. 본 개시내용은 임의의 특정한 시클릭 펩티드로 제한되지 않는다. 본 개시내용의 시클릭 펩티드는 자연 발생이거나 또는 합성적으로 생산될 수 있다.In some embodiments, at least one of the independently selected targeting ligands of Formula 1 may comprise at least one cyclic peptide. As known to those skilled in the art, cyclic peptides are polypeptide chains with a cyclic ring structure. In some embodiments, cyclic ring structures can be formed by linking one end of the peptide to the other end with an amide bond, or other chemically stable bond, such as a lactone, ether, thioether, disulfide, etc. In some embodiments, cyclic peptides of the present disclosure may be biologically active cyclic peptides in which the head-to-tail (or N-to-C) cyclization is formed by an amide bond between the amino and carboxyl termini. In some embodiments, cyclic peptides of the present disclosure may be biologically active cyclic peptides whose cyclization is formed by “click chemistry.” Literature [Rashad A.A. (2019) Click Chemistry for Cyclic Peptide Drug Design. In: Goetz G. (eds) Cyclic Peptide Design. Methods in Molecular Biology, vol 2001. Humana, New York, NY. See https://doi.org/10.1007/978-1-4939-9504-2_8]. The present disclosure is not limited to any particular cyclic peptide. Cyclic peptides of the present disclosure may be naturally occurring or synthetically produced.

일부 실시양태에서, 화학식 1의 독립적으로 선택된 표적화 리간드 중 적어도 1종은 적어도 1종의 압타머를 포함할 수 있다. 압타머는 특정 표적, 예컨대 단백질, 펩티드, 탄수화물, 소분자, 독소 또는 살아있는 세포에 선택적으로 결합할 수 있는 짧은 단일-가닥 DNA 또는 RNA 분자이다. 압타머는 나선 및 단일-가닥 루프를 형성하는 경향이 있기 때문에 다양한 형상을 취한다. 본 개시내용은 임의의 특정한 압타머로 제한되지 않는다. 공지되고 아직 발견되지 않은 압타머는 본 개시내용의 범주 내에 있다.In some embodiments, at least one of the independently selected targeting ligands of Formula 1 may comprise at least one aptamer. Aptamers are short, single-stranded DNA or RNA molecules that can selectively bind to specific targets, such as proteins, peptides, carbohydrates, small molecules, toxins, or living cells. Aptamers take on a variety of shapes because they tend to form helices and single-stranded loops. The present disclosure is not limited to any particular aptamer. Known and as yet undiscovered aptamers are within the scope of this disclosure.

일부 실시양태에서, 화학식 1의 독립적으로 선택된 표적화 리간드 중 적어도 1종은 적어도 1종의 아시알로당단백질 수용체 (ASGPR)에 결합할 수 있다. ASGPR은 갈락토스 잔기에 결합하는, 간 세포 상에 위치하는 렉틴이다. ASGPR은 간세포, 인간 암종 세포주 및 간암의 표면 상에서 높은 발현을 갖는 것으로 입증되었다. ASGPR은 또한 담낭 및 위의 선상 세포에 의해 약하게 발현된다.In some embodiments, at least one of the independently selected targeting ligands of Formula 1 is capable of binding to at least one asialoglycoprotein receptor (ASGPR). ASGPR is a lectin located on liver cells that binds galactose residues. ASGPR has been demonstrated to have high expression on the surface of hepatocytes, human carcinoma cell lines, and liver cancer. ASGPR is also weakly expressed by glandular cells of the gallbladder and stomach.

일부 실시양태에서, 화학식 1의 독립적으로 선택된 표적화 리간드 중 적어도 1종은 적어도 1종의 트랜스페린 수용체에 결합할 수 있다. 트랜스페린 수용체는 철에 결합하여 그것을 신체를 통하여 수송하는 혈액 중 단백질인 트랜스페린의 세포 흡수를 매개하는 막 당단백질이다. 트랜스페린 수용체-매개 세포내이입 경로는 관련 기술분야의 관련 기술분야의 통상의 기술자에게 공지되어 있다. 문헌 [Qian et al. "Targeted drug delivery via the transferrin receptor-mediated endocytosis pathway." Pharmacol Rev. 2002 Dec; 54(4):561-87. doi: 10.1124/pr.54.4.561. PMID: 12429868]을 참조한다. 본 개시내용은 적어도 1종의 전달 수용체에 결합할 수 있는 임의의 특정한 리간드로 제한되지 않는다. 공지되고 아직 개발되지 않은 트랜스페린 수용체 리간드는 본 개시내용의 범주 내에 있다.In some embodiments, at least one of the independently selected targeting ligands of Formula 1 is capable of binding to at least one transferrin receptor. The transferrin receptor is a membrane glycoprotein that mediates cellular uptake of transferrin, a blood protein that binds iron and transports it throughout the body. The transferrin receptor-mediated endocytosis pathway is known to those skilled in the art. Qian et al. “Targeted drug delivery via the transferrin receptor-mediated endocytosis pathway.” Pharmacol Rev. Dec 2002; 54(4):561-87. doi: 10.1124/pr.54.4.561. PMID: 12429868]. The present disclosure is not limited to any specific ligand capable of binding to at least one transduction receptor. Known and as yet undeveloped transferrin receptor ligands are within the scope of this disclosure.

일부 실시양태에서, 화학식 1의 독립적으로 선택된 표적화 리간드 중 적어도 1종은 적어도 1종의 인테그린 수용체에 결합할 수 있다. 인테그린 수용체는 세포-세포 및 세포-세포외 매트릭스 (ECM) 부착을 용이하게 하는 막횡단 수용체이다. 리간드 결합 시, 인테그린 수용체는 세포 신호를 매개하는 신호 전달 경로, 예컨대 세포 주기의 조절, 세포내 세포골격의 조직화, 및 새로운 수용체의 세포 막으로의 이동을 활성화시킨다. 유전자 치료제의 인테그린 표적화된 전달은 관련 기술분야의 통상의 기술자에게 공지되어 있다. 문헌 [Juliano et al. "Integrin targeted delivery of gene therapeutics." Theranostics vol. 1 211-9. 2 Mar. 2011, doi:10.7150/thno/v01p0211]을 참조한다. 본 개시내용은 적어도 1종의 인테그린 수용체에 결합할 수 있는 임의의 특정 리간드에 제한되지 않는다. 공지되고 아직 개발되지 않은 인테그린 수용체 리간드는 본 개시내용의 범주 내에 있다.In some embodiments, at least one of the independently selected targeting ligands of Formula 1 is capable of binding to at least one integrin receptor. Integrin receptors are transmembrane receptors that facilitate cell-cell and cell-extracellular matrix (ECM) adhesion. Upon ligand binding, integrin receptors activate signaling pathways that mediate cell signaling, such as regulation of the cell cycle, organization of the intracellular cytoskeleton, and trafficking of new receptors to the cell membrane. Integrin targeted delivery of gene therapeutics is known to those skilled in the art. In Juliano et al. “Integrin targeted delivery of gene therapeutics.” Theranostics vol. 1 211-9. 2 Mar. 2011, doi:10.7150/thno/v01p0211]. The present disclosure is not limited to any specific ligand capable of binding to at least one integrin receptor. Known and as yet undeveloped integrin receptor ligands are within the scope of this disclosure.

일부 실시양태에서, 화학식 1의 독립적으로 선택된 표적화 리간드 중 적어도 1종은 적어도 1종의 폴레이트 수용체에 결합할 수 있다. 폴레이트 수용체는 폴레이트 및 환원된 폴산 유도체에 결합하고, 세포의 내부로의 테트라히드로폴레이트의 전달을 매개한다. 폴레이트 수용체를 통한 표적화된 약물 전달은 관련 기술분야의 통상의 기술자에게 공지되어 있다. 문헌 [Zhao et al. "Targeted drug delivery via folate receptors." Expert Opin Drug Deliv. 2008 Mar; 5(3):309-19. doi: 10.1517/17425247.5.3.309. PMID: 18318652]을 참조한다. 본 개시내용은 적어도 1종의 폴레이트 수용체에 결합할 수 있는 임의의 특정 리간드에 제한되지 않는다. 공지되고 아직 개발되지 않은 폴레이트 수용체 리간드는 본 개시내용의 범위 내에 있다.In some embodiments, at least one of the independently selected targeting ligands of Formula 1 is capable of binding to at least one folate receptor. The folate receptor binds folate and reduced folic acid derivatives and mediates the transport of tetrahydrofolate into the interior of the cell. Targeted drug delivery through folate receptors is known to those skilled in the art. Zhao et al. “Targeted drug delivery via folate receptors.” Expert Opin Drug Deliv. 2008 Mar; 5(3):309-19. doi: 10.1517/17425247.5.3.309. PMID: 18318652]. The present disclosure is not limited to any specific ligand capable of binding to at least one folate receptor. Known and as yet undeveloped folate receptor ligands are within the scope of this disclosure.

일부 실시양태에서, 화학식 1의 독립적으로 선택된 표적화 리간드 중 적어도 1종은 적어도 1종의 G-단백질-커플링된 수용체 (GPCR)에 결합할 수 있다. GPCR은 특히 펩티드, 지질, 당 및 단백질에 결합하는 세포 표면 수용체이다. GPCR은 형질막에서 G 단백질과 상호작용한다. 외부 신호전달 분자가 GPCR에 결합하는 경우, 이는 GPCR에서 입체형태적 변화를 일으키고, 이는 GPCR과 근처의 G 단백질 사이의 상호작용을 촉발한다. GPCR은 구형 형상으로 폴딩되고 세포의 형질막에 매립된 단일 폴리펩티드로 이루어진다. 올리고뉴클레오티드 치료제의 GPCR 표적화된 전달은 관련 기술분야의 통상의 기술자에게 공지되어 있다. 문헌 [Knerr et al. "Glucagon Like Peptide 1 Receptor Agonists for Targeted Delivery of Antisense Oligonucleotides to Pancreatic Beta Cell" J. Am. Chem. Soc., 2021 143 (9), 3416-3429. DOI: 10.1021/jacs.0c12043]을 참조한다.In some embodiments, at least one of the independently selected targeting ligands of Formula 1 is capable of binding to at least one G-protein-coupled receptor (GPCR). GPCRs are cell surface receptors that bind to peptides, lipids, sugars, and proteins, among others. GPCRs interact with G proteins in the plasma membrane. When an external signaling molecule binds to a GPCR, it causes a conformational change in the GPCR, which triggers an interaction between the GPCR and a nearby G protein. GPCRs consist of a single polypeptide that folds into a spherical shape and is embedded in the cell's plasma membrane. GPCR targeted delivery of oligonucleotide therapeutics is known to those skilled in the art. Knerr et al. “Glucagon Like Peptide 1 Receptor Agonists for Targeted Delivery of Antisense Oligonucleotides to Pancreatic Beta Cell” J. Am. Chem. Soc., 2021 143 (9), 3416-3429. DOI: 10.1021/jacs.0c12043].

링커ALinker A

화학식 1과 관련하여 상기 언급된 바와 같이, 본 개시내용의 다가 리간드 클러스터는 다수 (예를 들어, 3개)의 독립적으로 선택된 링커A를 포함할 수 있다. 이와 관련하여, 용어 "독립적으로 선택된"은 각각의 링커A가 동일한 다가 리간드 클러스터 내의 1종 이상의 다른 링커A와 상이하거나 동일하도록 선택될 수 있음을 의미한다.As noted above with respect to Formula 1, the multivalent ligand clusters of the present disclosure may include multiple (e.g., three) independently selected LinkerAs. In this context, the term “independently selected” means that each Linker A may be selected to be different from or identical to one or more other Linker A's within the same multivalent ligand cluster.

각각의 링커A는 표적화 리간드 (화학식 1에서 TL)에 부착된 한 말단 및 다가 리간드 클러스터의 알킬카르복스아미드의 질소에 부착된 다른 말단을 갖는, 독립적으로 선택된 스페이서이다.Each Linker A is an independently selected spacer with one end attached to the targeting ligand (TL in Formula 1) and the other end attached to the nitrogen of the alkylcarboxamide of the multivalent ligand cluster.

일부 실시양태에서, 독립적으로 선택된 링커A 중 적어도 1종은 폴리에틸렌 글리콜 (PEG)을 포함할 수 있다. PEG는 임의의 수의 반복 O-CH2-CH2 단위를 가질 수 있다. 예를 들어, PEG는 PEG1, PEG2, PEG3, PEG4, PEG5, PEG6, PEG7, PEG8, PEG9, PEG10, PEG11, PEG12, PEG13, PEG14, PEG15, PEG16, PEG17, PEG18, PEG19, PEG20, PEG21, PEG22, PEG23, PEG24, PEG25, PEG26, PEG27, PEG28, PEG29, PEG30, PEG31, PEG32, PEG33, PEG34, PEG35, PEG36, PEG37, PEG38, PEG39, PEG40, PEG41, PEG42, PEG43, PEG44, PEG45, PEG46, PEG47, PEG48, PEG49, PEG50, PEG51, PEG52, PEG53, PEG54, PEG55, PEG56, PEG57, PEG58, PEG59, PEG60, PEG61, PEG62, PEG63, PEG64, PEG65, PEG66, PEG67, PEG68, PEG69, PEG70, PEG71, PEG72, PEG73, PEG74, PEG75, PEG76, PEG77, PEG78, PEG79, PEG80, PEG81, PEG82, PEG83, PEG84, PEG85, PEG86, PEG87, PEG88, PEG89, PEG90, PEG91, PEG92, PEG93, PEG94, PEG95, PEG96, PEG97, PEG98, PEG99, PEG100, 또는 그 초과일 수 있다.In some embodiments, at least one of the independently selected Linkers A may comprise polyethylene glycol (PEG). PEG may have any number of repeating O-CH2 -CH2 units. For example, PEG is PEG1, PEG2, PEG3, PEG4, PEG5, PEG6, PEG7, PEG8, PEG9, PEG10, PEG11, PEG12, PEG13, PEG14, PEG15, PEG16, PEG17, PEG18, PEG19, PEG20, PEG21, PEG22, PEG23, PEG24, PEG25, PEG26, PEG27, PEG28, PEG29, PEG30, PEG31, PEG32, PEG33, PEG34, PEG35, PEG36, PEG37, PEG38, PEG39, PEG40, PEG41, PEG42, PEG43, PEG44, PEG45, PEG46, 7, PEG48, PEG49, PEG50, PEG51, PEG52, PEG53, PEG54, PEG55, PEG56, PEG57, PEG58, PEG59, PEG60, PEG61, PEG62, PEG63, PEG64, PEG65, PEG66, PEG67, PEG68, PEG69, PEG70, PEG71, 2, PEG73, PEG74, PEG75, PEG76, PEG77, PEG78, PEG79, PEG80, PEG81, PEG82, PEG83, PEG84, PEG85, PEG86, PEG87, PEG88, PEG89, PEG90, PEG91, PEG92, PEG93, PEG94, PEG95, PEG96, 7, It may be PEG98, PEG99, PEG100, or higher.

일부 실시양태에서, 독립적으로 선택된 링커A 중 적어도 1종은 적어도 1종의 알킬 기를 포함할 수 있다. 일부 실시양태에서, 알킬 기는 2개의 탄소, 3개의 탄소, 4개의 탄소, 5개의 탄소, 6개의 탄소, 7개의 탄소, 8개의 탄소, 9개의 탄소, 10개의 탄소, 11개의 탄소, 12개의 탄소, 13개의 탄소, 14개의 탄소, 15개의 탄소, 16개의 탄소, 17개의 탄소, 18개의 탄소, 19개의 탄소, 또는 20개의 탄소를 가질 수 있다.In some embodiments, at least one of the independently selected Linkers A can include at least one alkyl group. In some embodiments, the alkyl group has 2 carbons, 3 carbons, 4 carbons, 5 carbons, 6 carbons, 7 carbons, 8 carbons, 9 carbons, 10 carbons, 11 carbons, 12 carbons. , may have 13 carbons, 14 carbons, 15 carbons, 16 carbons, 17 carbons, 18 carbons, 19 carbons, or 20 carbons.

일부 실시양태에서, 독립적으로 선택된 링커A 중 적어도 1종은 적어도 1종의 치환된 알킬 기를 포함할 수 있다. 일부 실시양태에서, 치환된 알킬 기는 2개의 탄소, 3개의 탄소, 4개의 탄소, 5개의 탄소, 6개의 탄소, 7개의 탄소, 8개의 탄소, 9개의 탄소, 10개의 탄소, 11개의 탄소, 12개의 탄소, 13개의 탄소, 14개의 탄소, 15개의 탄소, 16개의 탄소, 17개의 탄소, 18개의 탄소, 19개의 탄소 또는 20개의 탄소를 가질 수 있다. 일부 실시양태에서, 치환된 알킬 기는 하기 치환기 중 1종 이상을 포함할 수 있다: 알킬, 시클로알킬, 히드록시, 알콕시드, 카르복실, 아민, 아미드, 할라이드, 술포닐 및 술폰아미드.In some embodiments, at least one of the independently selected Linkers A can include at least one substituted alkyl group. In some embodiments, the substituted alkyl group has 2 carbon, 3 carbon, 4 carbon, 5 carbon, 6 carbon, 7 carbon, 8 carbon, 9 carbon, 10 carbon, 11 carbon, 12 It can have 2 carbons, 13 carbons, 14 carbons, 15 carbons, 16 carbons, 17 carbons, 18 carbons, 19 carbons, or 20 carbons. In some embodiments, a substituted alkyl group can include one or more of the following substituents: alkyl, cycloalkyl, hydroxy, alkoxide, carboxyl, amine, amide, halide, sulfonyl, and sulfonamide.

일부 실시양태에서, 독립적으로 선택된 링커A 중 적어도 1종은 적어도 1종의 시클로알킬 기를 포함할 수 있다. 일부 실시양태에서, 시클로알킬 기는 C3 시클로알킬 (즉, 시클로프로판), C4 시클로알킬 (즉, 시클로부텐), C5 시클로알킬 (즉, 시클로펜탄), C6 시클로알킬 (즉, 시클로헥산), C7 시클로알킬 (즉, 시클로헵탄), C8 시클로알킬 (즉, 시클로옥탄), C9 시클로알킬 (즉, 시클로노난), 또는 C10 시클로알킬 (즉, 시클로데칸)일 수 있다.In some embodiments, at least one of the independently selected Linkers A may include at least one cycloalkyl group. In some embodiments, a cycloalkyl group is C3 cycloalkyl (i.e., cyclopropane), C4 cycloalkyl (i.e., cyclobutene), C5 cycloalkyl (i.e., cyclopentane), C6 cycloalkyl (i.e., cyclohexane), C7 cycloalkyl It may be alkyl (i.e. cycloheptane), C8 cycloalkyl (i.e. cyclooctane), C9 cycloalkyl (i.e. cyclononane), or C10 cycloalkyl (i.e. cyclodecane).

일부 실시양태에서, 독립적으로 선택된 링커A 중 적어도 1종은 적어도 1종의 치환된 시클로알킬 기를 포함할 수 있다. 일부 실시양태에서, 치환된 시클로알킬 기는 C3 치환된 시클로알킬, C4 치환된 시클로알킬, C5 치환된 시클로알킬, C6 치환된 시클로알킬, C7 치환된 시클로알킬, C8 치환된 시클로알킬, C9 치환된 시클로알킬, 또는 C10 치환된 시클로알킬일 수 있다. 일부 실시양태에서, 치환된 시클로알킬 기는 하기 치환기 중 1종 이상을 포함할 수 있다: 알킬, 시클로알킬, 히드록시, 알콕시드, 카르복실, 아민, 아미드, 할라이드, 술포닐 및 술폰아미드.In some embodiments, at least one of the independently selected Linkers A can include at least one substituted cycloalkyl group. In some embodiments, a substituted cycloalkyl group is C3 substituted cycloalkyl, C4 substituted cycloalkyl, C5 substituted cycloalkyl, C6 substituted cycloalkyl, C7 substituted cycloalkyl, C8 substituted cycloalkyl, C9 substituted cycloalkyl. It may be alkyl, or C10 substituted cycloalkyl. In some embodiments, a substituted cycloalkyl group can include one or more of the following substituents: alkyl, cycloalkyl, hydroxy, alkoxide, carboxyl, amine, amide, halide, sulfonyl, and sulfonamide.

일부 실시양태에서, 독립적으로 선택된 링커A 중 적어도 1종은 적어도 1종의 알케닐 기를 포함할 수 있다. 일부 실시양태에서, 알케닐 기는 4개의 탄소, 5개의 탄소, 6개의 탄소, 7개의 탄소, 8개의 탄소, 9개의 탄소, 10개의 탄소, 11개의 탄소, 12개의 탄소, 13개의 탄소, 14개의 탄소, 15개의 탄소, 16개의 탄소, 17개의 탄소, 18개의 탄소, 19개의 탄소, 또는 20개의 탄소를 가질 수 있다.In some embodiments, at least one of the independently selected Linkers A can comprise at least one alkenyl group. In some embodiments, an alkenyl group has 4 carbons, 5 carbons, 6 carbons, 7 carbons, 8 carbons, 9 carbons, 10 carbons, 11 carbons, 12 carbons, 13 carbons, 14 carbons, It can have 15 carbons, 16 carbons, 17 carbons, 18 carbons, 19 carbons, or 20 carbons.

일부 실시양태에서, 독립적으로 선택된 링커A 중 적어도 1종은 적어도 1종의 치환된 알케닐 기를 포함할 수 있다. 일부 실시양태에서, 알케닐 기는 4개의 탄소, 5개의 탄소, 6개의 탄소, 7개의 탄소, 8개의 탄소, 9개의 탄소, 10개의 탄소, 11개의 탄소, 12개의 탄소, 13개의 탄소, 14개의 탄소, 15개의 탄소, 16개의 탄소, 17개의 탄소, 18개의 탄소, 19개의 탄소, 또는 20개의 탄소를 가질 수 있다. 일부 실시양태에서, 치환된 알케닐 기는 하기 치환기 중 1종 이상을 포함할 수 있다: 알킬, 시클로알킬, 히드록시, 알콕시드, 카르복실, 아민, 아미드, 할라이드, 술포닐 및 술폰아미드.In some embodiments, at least one of the independently selected Linkers A can include at least one substituted alkenyl group. In some embodiments, an alkenyl group has 4 carbons, 5 carbons, 6 carbons, 7 carbons, 8 carbons, 9 carbons, 10 carbons, 11 carbons, 12 carbons, 13 carbons, 14 carbons, It can have 15 carbons, 16 carbons, 17 carbons, 18 carbons, 19 carbons, or 20 carbons. In some embodiments, a substituted alkenyl group can include one or more of the following substituents: alkyl, cycloalkyl, hydroxy, alkoxide, carboxyl, amine, amide, halide, sulfonyl, and sulfonamide.

일부 실시양태에서, 독립적으로 선택된 링커A 중 적어도 1종은 적어도 1종의 시클로알케닐 기를 포함할 수 있다. 일부 실시양태에서, 시클로알케닐 기는 C5 시클로알케닐, C6 시클로알케닐, C7 시클로알케닐, C8 시클로알케닐, C9 시클로알케닐 또는 C10 시클로알케닐일 수 있다.In some embodiments, at least one of the independently selected Linkers A may comprise at least one cycloalkenyl group. In some embodiments, a cycloalkenyl group can be C5 cycloalkenyl, C6 cycloalkenyl, C7 cycloalkenyl, C8 cycloalkenyl, C9 cycloalkenyl, or C10 cycloalkenyl.

일부 실시양태에서, 독립적으로 선택된 링커A 중 적어도 1종은 적어도 1종의 치환된 시클로알케닐 기를 포함할 수 있다. 일부 실시양태에서, 시클로알케닐 기는 C5 시클로알케닐, C6 시클로알케닐, C7 시클로알케닐, C8 시클로알케닐, C9 시클로알케닐 또는 C10 시클로알케닐일 수 있다. 일부 실시양태에서, 치환된 시클로알케닐 기는 하기 치환기 중 1종 이상을 포함할 수 있다: 알킬, 시클로알킬, 히드록시, 알콕시드, 카르복실, 아민, 아미드, 할라이드, 술포닐 및 술폰아미드.In some embodiments, at least one of the independently selected Linkers A can include at least one substituted cycloalkenyl group. In some embodiments, a cycloalkenyl group can be C5 cycloalkenyl, C6 cycloalkenyl, C7 cycloalkenyl, C8 cycloalkenyl, C9 cycloalkenyl, or C10 cycloalkenyl. In some embodiments, substituted cycloalkenyl groups can include one or more of the following substituents: alkyl, cycloalkyl, hydroxy, alkoxide, carboxyl, amine, amide, halide, sulfonyl, and sulfonamide.

일부 실시양태에서, 독립적으로 선택된 링커A 중 적어도 1종은 적어도 1종의 알키닐 기를 포함할 수 있다. 일부 실시양태에서, 알키닐 기는 4개의 탄소, 5개의 탄소, 6개의 탄소, 7개의 탄소, 8개의 탄소, 9개의 탄소, 10개의 탄소, 11개의 탄소, 12개의 탄소, 13개의 탄소, 14개의 탄소, 15개의 탄소, 16개의 탄소, 17개의 탄소, 18개의 탄소, 19개의 탄소, 또는 20개의 탄소를 가질 수 있다.In some embodiments, at least one of the independently selected Linkers A may comprise at least one alkynyl group. In some embodiments, an alkynyl group has 4 carbons, 5 carbons, 6 carbons, 7 carbons, 8 carbons, 9 carbons, 10 carbons, 11 carbons, 12 carbons, 13 carbons, 14 carbons, It can have 15 carbons, 16 carbons, 17 carbons, 18 carbons, 19 carbons, or 20 carbons.

일부 실시양태에서, 독립적으로 선택된 링커A 중 적어도 1종은 적어도 1종의 치환된 알키닐 기를 포함할 수 있다. 일부 실시양태에서, 치환된 알키닐 기는 4개의 탄소, 5개의 탄소, 6개의 탄소, 7개의 탄소, 8개의 탄소, 9개의 탄소, 10개의 탄소, 11개의 탄소, 12개의 탄소, 13개의 탄소, 14개의 탄소, 15개의 탄소, 16개의 탄소, 17개의 탄소, 18개의 탄소, 19개의 탄소, 또는 20개의 탄소를 가질 수 있다. 일부 실시양태에서, 치환된 알키닐 기는 하기 치환기 중 1종 이상을 포함할 수 있다: 알킬, 시클로알킬, 히드록시, 알콕시드, 카르복실, 아민, 아미드, 할라이드, 술포닐 및 술폰아미드.In some embodiments, at least one of the independently selected Linkers A can include at least one substituted alkynyl group. In some embodiments, a substituted alkynyl group has 4 carbons, 5 carbons, 6 carbons, 7 carbons, 8 carbons, 9 carbons, 10 carbons, 11 carbons, 12 carbons, 13 carbons, It can have 14 carbons, 15 carbons, 16 carbons, 17 carbons, 18 carbons, 19 carbons, or 20 carbons. In some embodiments, substituted alkynyl groups can include one or more of the following substituents: alkyl, cycloalkyl, hydroxy, alkoxide, carboxyl, amine, amide, halide, sulfonyl, and sulfonamide.

일부 실시양태에서, 독립적으로 선택된 링커A 중 적어도 1종은 적어도 1종의 아릴 또는 헤테로아릴 기를 포함할 수 있다. 예는 페닐, 나프틸 및 피리디닐을 포함하지만, 본원에 제공된 정의 내에 속하는 다른 아릴 및 헤테로아릴 기가 사용될 수 있음을 주목한다.In some embodiments, at least one of the independently selected Linkers A may include at least one aryl or heteroaryl group. Examples include phenyl, naphthyl, and pyridinyl, but note that other aryl and heteroaryl groups may be used that fall within the definitions provided herein.

일부 실시양태에서, 독립적으로 선택된 링커A 중 적어도 1종은 적어도 1종의 치환된 아릴 기를 포함할 수 있다. 일부 실시양태에서, 치환된 아릴 기는 하기 치환기 중 1종 이상을 포함할 수 있다: 알킬, 시클로알킬, 히드록시, 알콕시드, 카르복실, 아민, 아미드, 할라이드, 술포닐 및 술폰아미드.In some embodiments, at least one of the independently selected Linkers A can include at least one substituted aryl group. In some embodiments, substituted aryl groups can include one or more of the following substituents: alkyl, cycloalkyl, hydroxy, alkoxide, carboxyl, amine, amide, halide, sulfonyl, and sulfonamide.

일부 실시양태에서, 독립적으로 선택된 링커A 중 적어도 1종은 적어도 1종의 아르알킬 기를 포함할 수 있다. 아르알킬 기의 예는 페닐메틸, 페닐에틸 및 페닐프로필을 포함하나, 이에 제한되지는 않는다.In some embodiments, at least one of the independently selected Linkers A may comprise at least one aralkyl group. Examples of aralkyl groups include, but are not limited to, phenylmethyl, phenylethyl, and phenylpropyl.

일부 실시양태에서, 독립적으로 선택된 링커A 중 적어도 1종은 적어도 1종의 치환된 아르알킬 기를 포함할 수 있다. 일부 실시양태에서, 치환된 아르알킬 기는 하기 치환기 중 1종 이상을 포함할 수 있다: 알킬, 시클로알킬, 히드록시, 알콕시드, 카르복실, 아민, 아미드, 할라이드, 술포닐 및 술폰아미드.In some embodiments, at least one of the independently selected Linkers A can include at least one substituted aralkyl group. In some embodiments, a substituted aralkyl group can include one or more of the following substituents: alkyl, cycloalkyl, hydroxy, alkoxide, carboxyl, amine, amide, halide, sulfonyl, and sulfonamide.

일부 실시양태에서, 독립적으로 선택된 링커A 중 적어도 1종은 적어도 1종의 아르알케닐 기를 포함할 수 있다. 아르알케닐 기의 예는 에테닐벤젠 및 프로페닐벤젠을 포함하나, 이에 제한되지는 않는다.In some embodiments, at least one of the independently selected Linkers A may comprise at least one aralkenyl group. Examples of aralkenyl groups include, but are not limited to, ethenylbenzene and propenylbenzene.

일부 실시양태에서, 독립적으로 선택된 링커A 중 적어도 1종은 적어도 1종의 치환된 아르알케닐 기를 포함할 수 있다. 일부 실시양태에서, 치환된 아르알케닐 기는 하기 치환기 중 1종 이상을 포함할 수 있다: 알킬, 시클로알킬, 히드록시, 알콕시드, 카르복실, 아민, 아미드, 할라이드, 술포닐 및 술폰아미드.In some embodiments, at least one of the independently selected Linkers A can include at least one substituted aralkenyl group. In some embodiments, a substituted aralkenyl group can include one or more of the following substituents: alkyl, cycloalkyl, hydroxy, alkoxide, carboxyl, amine, amide, halide, sulfonyl, and sulfonamide.

일부 실시양태에서, 독립적으로 선택된 링커A 중 적어도 1종은 적어도 1종의 아르알키닐 기를 포함할 수 있다. 아르알키닐 기의 예는 에티닐벤젠 및 프로피닐벤젠을 포함하나, 이에 제한되지는 않는다.In some embodiments, at least one of the independently selected Linkers A may comprise at least one aralkynyl group. Examples of aralkynyl groups include, but are not limited to, ethynylbenzene and propynylbenzene.

일부 실시양태에서, 독립적으로 선택된 링커A 중 적어도 1종은 적어도 1종의 치환된 아르알키닐 기를 포함할 수 있다. 일부 실시양태에서, 치환된 아르알키닐 기는 하기 치환기 중 1종 이상을 포함할 수 있다: 알킬, 시클로알킬, 히드록시, 알콕시드, 카르복실, 아민, 아미드, 할라이드, 술포닐 및 술폰아미드.In some embodiments, at least one of the independently selected Linkers A may comprise at least one substituted aralkynyl group. In some embodiments, a substituted aralkynyl group can include one or more of the following substituents: alkyl, cycloalkyl, hydroxy, alkoxide, carboxyl, amine, amide, halide, sulfonyl, and sulfonamide.

일부 실시양태에서, 독립적으로 선택된 링커A 중 적어도 1종은 적어도 1종의 헤테로원자를 포함할 수 있다. 일부 실시양태에서, 독립적으로 선택된 링커A 중 적어도 1종은 1개 이상의 산소 (O) 헤테로원자, 1개 이상의 질소 (N) 헤테로원자, 1개 이상의 황 (S) 헤테로원자, 및/또는 1개 이상의 인 (P) 헤테로원자를 포함할 수 있다. 일부 실시양태에서, 독립적으로 선택된 링커A 중 적어도 1종은 적어도 1종의 헤테로알킬 기를 포함할 수 있다.In some embodiments, at least one of the independently selected Linkers A may include at least one heteroatom. In some embodiments, at least one independently selected Linker A has one or more oxygen (O) heteroatoms, one or more nitrogen (N) heteroatoms, one or more sulfur (S) heteroatoms, and/or one It may contain one or more phosphorus (P) heteroatoms. In some embodiments, at least one of the independently selected Linkers A may comprise at least one heteroalkyl group.

일부 실시양태에서, 독립적으로 선택된 링커A 중 적어도 1종은 적어도 1종의 지방족 헤테로사이클을 포함할 수 있다. 일부 실시양태에서, 독립적으로 선택된 링커A 중 적어도 1종은 테트라히드로푸란 (THF), 테트라히드로피란 (THP), 모르폴린, 피페리딘, 피페라진, 피롤리딘, 및/또는 아제티딘 중 적어도 1종을 포함할 수 있다.In some embodiments, at least one of the independently selected Linkers A may comprise at least one aliphatic heterocycle. In some embodiments, at least one of the independently selected Linkers A is at least one of tetrahydrofuran (THF), tetrahydropyran (THP), morpholine, piperidine, piperazine, pyrrolidine, and/or azetidine. It may include one type.

일부 실시양태에서, 독립적으로 선택된 링커A 중 적어도 1종은 적어도 1종의 헤테로아릴 기를 포함할 수 있다. 일부 실시양태에서, 독립적으로 선택된 링커A 중 적어도 1종은 이미다졸, 피라졸, 피리딘, 피리미딘, 트리아졸, 및/또는 1,2,3-트리아졸 중 1종 이상을 포함할 수 있다.In some embodiments, at least one of the independently selected Linkers A may comprise at least one heteroaryl group. In some embodiments, at least one of the independently selected Linkers A may include one or more of imidazole, pyrazole, pyridine, pyrimidine, triazole, and/or 1,2,3-triazole.

일부 실시양태에서, 독립적으로 선택된 링커A 중 적어도 1종은 적어도 1종의 치환된 헤테로아릴 기를 포함할 수 있다. 일부 실시양태에서, 치환된 헤테로아릴 기는 하기 치환기 중 1종 이상을 포함할 수 있다: 알킬, 시클로알킬, 히드록시, 알콕시드, 카르복실, 아민, 아미드, 할라이드, 술포닐 및 술폰아미드.In some embodiments, at least one of the independently selected Linkers A may include at least one substituted heteroaryl group. In some embodiments, substituted heteroaryl groups can include one or more of the following substituents: alkyl, cycloalkyl, hydroxy, alkoxide, carboxyl, amine, amide, halide, sulfonyl, and sulfonamide.

일부 실시양태에서, 독립적으로 선택된 링커A 중 적어도 1종은 적어도 1종의 아미노산을 포함할 수 있다. 다양한 아미노산이 관련 기술분야의 통상의 기술자에게 공지되어 있다. 독립적으로 선택된 링커A는 1개 이상의 특정 아미노산을 포함하는 것으로 제한되지 않는다. 예를 들어, 독립적으로 선택된 링커A는 1개 이상의 아르기닌 (Arg) 아미노산, 1개 이상의 히스티딘 (His) 아미노산, 1개 이상의 리신 (Lys) 아미노산, 1개 이상의 아스파르트산 (Asp) 아미노산, 1개 이상의 글루탐산 (Glu) 아미노산, 1개 이상의 세린 (Ser) 아미노산, 1개 이상의 트레오닌 (Thr) 아미노산, 1개 이상의 아스파라긴 (Asn) 아미노산, 1개 이상의 글루타민 (Gln) 아미노산, 1개 이상의 시스테인 (Cys) 아미노산, 1개 이상의 셀레노시스테인 (Sec) 아미노산, 1개 이상의 글리신 (Gly) 아미노산, 1개 이상의 프롤린 (Pro) 아미노산, 1개 이상의 알라닌 (Ala) 아미노산, 1개 이상의 발린 (Val) 아미노산, 1개 이상의 이소류신 (Ile) 아미노산, 1개 이상의 류신 (Leu) 아미노산, 1개 이상의 메티오닌 (Met) 아미노산, 1개 이상의 페닐알라닌 (Phe) 아미노산, 1개 이상의 티로신 (Tyr) 아미노산, 및/또는 1개 이상의 트립토판 (Trp) 아미노산을 포함할 수 있다.In some embodiments, at least one of the independently selected Linkers A may comprise at least one amino acid. A variety of amino acids are known to those skilled in the art. The independently selected Linker A is not limited to containing one or more specific amino acids. For example, an independently selected linker A may include one or more arginine (Arg) amino acids, one or more histidine (His) amino acids, one or more lysine (Lys) amino acids, one or more aspartic acid (Asp) amino acids, and one or more amino acids. Glutamic acid (Glu) amino acid, one or more serine (Ser) amino acids, one or more threonine (Thr) amino acids, one or more asparagine (Asn) amino acids, one or more glutamine (Gln) amino acids, one or more cysteine (Cys) amino acids , 1 or more selenocysteine (Sec) amino acids, 1 or more glycine (Gly) amino acids, 1 or more proline (Pro) amino acids, 1 or more alanine (Ala) amino acids, 1 or more valine (Val) amino acids, 1 At least one isoleucine (Ile) amino acid, at least one leucine (Leu) amino acid, at least one methionine (Met) amino acid, at least one phenylalanine (Phe) amino acid, at least one tyrosine (Tyr) amino acid, and/or at least one tryptophan (Trp) may contain amino acids.

일부 실시양태에서, 독립적으로 선택된 링커A 중 적어도 1종은 적어도 1종의 뉴클레오티드를 포함할 수 있다. 다양한 뉴클레오티드가 관련 기술분야의 통상의 기술자에게 공지되어 있다. 독립적으로 선택된 링커A는 1종 이상의 특이적 뉴클레오티드를 포함하는 것으로 제한되지 않는다. 예를 들어, 독립적으로 선택된 링커A는 구아닌 핵염기를 포함하는 1종 이상의 뉴클레오티드, 아데닌 핵염기를 포함하는 1종 이상의 뉴클레오티드, 시토신 핵염기를 포함하는 1종 이상의 뉴클레오티드, 티민 핵염기를 포함하는 1종 이상의 뉴클레오티드, 및/또는 우라실 핵염기를 포함하는 1종 이상의 뉴클레오티드를 포함할 수 있다.In some embodiments, at least one of the independently selected Linkers A may comprise at least one nucleotide. A variety of nucleotides are known to those skilled in the art. The independently selected Linker A is not limited to comprising one or more specific nucleotides. For example, the independently selected Linker A can be selected from one or more nucleotides containing a guanine nucleobase, one or more nucleotides containing an adenine nucleobase, one or more nucleotides containing a cytosine nucleobase, or one or more nucleotides containing a thymine nucleobase. It may comprise more than one type of nucleotide, and/or one or more types of nucleotide containing a uracil nucleobase.

일부 실시양태에서, 적어도 1종의 독립적으로 선택된 링커A는 적어도 1종의 무염기성 뉴클레오티드를 포함할 수 있다. 관련 기술분야에 공지된 바와 같이, 무염기성 뉴클레오티드는 푸린 염기도 피리미딘 염기도 갖지 않는 위치인 무염기성 부위를 갖는 뉴클레오티드이다. 예를 들어, 적어도 1종의 독립적으로 선택된 링커A는 1종 이상의 무염기성 DNA 및/또는 1종 이상의 무염기성 RNA를 포함할 수 있다. 일부 실시양태에서, 적어도 1종의 독립적으로 선택된 링커A는 적어도 1종의 역전된 무염기성 뉴클레오티드를 포함할 수 있다. 관련 기술분야에 공지된 바와 같이, 역전된 무염기성 뉴클레오티드는 그의 5' 말단이 다음 뉴클레오티드의 5' 말단에 연결되고, 그의 3' 말단이 다음 뉴클레오티드의 3' 말단에 연결되는 무염기성 뉴클레오티드이다. 예를 들어, 적어도 1종의 독립적으로 선택된 링커A는 1종 이상의 역전된 무염기성 DNA 및/또는 1종 이상의 역전된 무염기성 RNA를 포함할 수 있다.In some embodiments, at least one independently selected Linker A may comprise at least one abasic nucleotide. As is known in the art, an abasic nucleotide is a nucleotide that has an abasic site, which is a position that has neither a purine base nor a pyrimidine base. For example, at least one independently selected Linker A may comprise one or more types of abasic DNA and/or one or more types of abasic RNA. In some embodiments, at least one independently selected Linker A may comprise at least one inverted basic nucleotide. As is known in the art, an inverted abasic nucleotide is an abasic nucleotide whose 5' end is joined to the 5' end of the next nucleotide and its 3' end is joined to the 3' end of the next nucleotide. For example, at least one independently selected Linker A may comprise one or more inverted abasic DNA and/or one or more inverted abasic RNA.

일부 실시양태에서, 독립적으로 선택된 링커A 중 적어도 1종은 적어도 1종의 사카라이드를 포함할 수 있다. 일부 실시양태에서, 독립적으로 선택된 링커A 중 적어도 1종은 적어도 1종의 글루코스 단당류 단위, 적어도 1종의 프룩토스 단당류 단위, 적어도 1종의 만노스 단당류 단위, 적어도 1종의 갈락토스 단당류 단위, 적어도 1종의 리보스 단당류 단위, 및/또는 적어도 1종의 글루코사민 단당류 단위를 포함할 수 있다.In some embodiments, at least one of the independently selected Linkers A may comprise at least one saccharide. In some embodiments, at least one of the independently selected Linkers A has at least one glucose monosaccharide unit, at least one fructose monosaccharide unit, at least one mannose monosaccharide unit, at least one galactose monosaccharide unit, at least one species of ribose monosaccharide units, and/or at least one glucosamine monosaccharide unit.

일부 실시양태에서, 독립적으로 선택된 링커A 중 적어도 1종은 하기 중 1종 이상을 포함할 수 있다.In some embodiments, at least one of the independently selected Linkers A may include one or more of the following:

Figure pct00040
Figure pct00040

여기서:here:

p는 0 내지 12의 정수이고,p is an integer from 0 to 12,

pp는 0 내지 12의 정수이고,pp is an integer from 0 to 12,

q는 1 내지 12의 정수이고,q is an integer from 1 to 12,

qq는 1 내지 12의 정수이다.qq is an integer from 1 to 12.

일부 실시양태에서, p는 0, 1, 2, 3, 4, 5, 6, 7, 8, 9, 10, 11 및 12로부터 독립적으로 선택된 정수이다. 일부 실시양태에서, pp는 0, 1, 2, 3, 4, 5, 6, 7, 8, 9, 10, 11 및 12로부터 독립적으로 선택된 정수이다. 일부 실시양태에서, q는 1, 2, 3, 4, 5, 6, 7, 8, 9, 10, 11 및 12로부터 독립적으로 선택된 정수이다. 일부 실시양태에서, qq는 1, 2, 3, 4, 5, 6, 7, 8, 9, 10, 11 및 12로부터 독립적으로 선택된 정수이다.In some embodiments, p is an integer independently selected from 0, 1, 2, 3, 4, 5, 6, 7, 8, 9, 10, 11, and 12. In some embodiments, pp is an integer independently selected from 0, 1, 2, 3, 4, 5, 6, 7, 8, 9, 10, 11, and 12. In some embodiments, q is an integer independently selected from 1, 2, 3, 4, 5, 6, 7, 8, 9, 10, 11, and 12. In some embodiments, qq is an integer independently selected from 1, 2, 3, 4, 5, 6, 7, 8, 9, 10, 11, and 12.

링커BLinker B

링커B는 제약 작용제 또는 1종 이상의 제약 작용제에 연결될 수 있는 관능기에 부착된 한 말단 및 다가 리간드 클러스터의 디아민 질소에 부착된 다른 말단을 갖는 스페이서이다.Linker B is a spacer with one end attached to a pharmaceutical agent or a functional group that can be linked to one or more pharmaceutical agents and the other end attached to the diamine nitrogen of the multivalent ligand cluster.

일부 실시양태에서, 링커B는 폴리에틸렌 글리콜 (PEG)을 포함할 수 있다. PEG는 임의의 수의 반복 O-CH2-CH2 단위를 가질 수 있다. 예를 들어, PEG는 PEG1, PEG2, PEG3, PEG4, PEG5, PEG6, PEG7, PEG8, PEG9, PEG10, PEG11, PEG12, PEG13, PEG14, PEG15, PEG16, PEG17, PEG18, PEG19, PEG20, PEG21, PEG22, PEG23, PEG24, PEG25, PEG26, PEG27, PEG28, PEG29, PEG30, PEG31, PEG32, PEG33, PEG34, PEG35, PEG36, PEG37, PEG38, PEG39, PEG40, PEG41, PEG42, PEG43, PEG44, PEG45, PEG46, PEG47, PEG48, PEG49, PEG50, PEG51, PEG52, PEG53, PEG54, PEG55, PEG56, PEG57, PEG58, PEG59, PEG60, PEG61, PEG62, PEG63, PEG64, PEG65, PEG66, PEG67, PEG68, PEG69, PEG70, PEG71, PEG72, PEG73, PEG74, PEG75, PEG76, PEG77, PEG78, PEG79, PEG80, PEG81, PEG82, PEG83, PEG84, PEG85, PEG86, PEG87, PEG88, PEG89, PEG90, PEG91, PEG92, PEG93, PEG94, PEG95, PEG96, PEG97, PEG98, PEG99, PEG100, 또는 그 초과일 수 있다. 일부 실시양태에서, PEG가 PEG10 이하인 것이 유익할 수 있다.In some embodiments, Linker B may comprise polyethylene glycol (PEG). PEG may have any number of repeating O-CH2 -CH2 units. For example, PEG is PEG1, PEG2, PEG3, PEG4, PEG5, PEG6, PEG7, PEG8, PEG9, PEG10, PEG11, PEG12, PEG13, PEG14, PEG15, PEG16, PEG17, PEG18, PEG19, PEG20, PEG21, PEG22, PEG23, PEG24, PEG25, PEG26, PEG27, PEG28, PEG29, PEG30, PEG31, PEG32, PEG33, PEG34, PEG35, PEG36, PEG37, PEG38, PEG39, PEG40, PEG41, PEG42, PEG43, PEG44, PEG45, PEG46, 7, PEG48, PEG49, PEG50, PEG51, PEG52, PEG53, PEG54, PEG55, PEG56, PEG57, PEG58, PEG59, PEG60, PEG61, PEG62, PEG63, PEG64, PEG65, PEG66, PEG67, PEG68, PEG69, PEG70, PEG71, 2, PEG73, PEG74, PEG75, PEG76, PEG77, PEG78, PEG79, PEG80, PEG81, PEG82, PEG83, PEG84, PEG85, PEG86, PEG87, PEG88, PEG89, PEG90, PEG91, PEG92, PEG93, PEG94, PEG95, PEG96, 7, It may be PEG98, PEG99, PEG100, or higher. In some embodiments, it may be advantageous for the PEG to be PEG10 or less.

일부 실시양태에서, 링커B는 적어도 1종의 알킬 기를 포함할 수 있다. 일부 실시양태에서, 링커B는 적어도 1종의 치환된 알킬 기를 포함할 수 있다. 일부 실시양태에서, 알킬 기는 2개의 탄소, 3개의 탄소, 4개의 탄소, 5개의 탄소, 6개의 탄소, 7개의 탄소, 8개의 탄소, 9개의 탄소, 10개의 탄소, 11개의 탄소, 12개의 탄소, 13개의 탄소, 14개의 탄소, 15개의 탄소, 16개의 탄소, 17개의 탄소, 18개의 탄소, 19개의 탄소, 또는 20개의 탄소를 가질 수 있다.In some embodiments, Linker B may include at least one alkyl group. In some embodiments, Linker B may include at least one substituted alkyl group. In some embodiments, the alkyl group has 2 carbons, 3 carbons, 4 carbons, 5 carbons, 6 carbons, 7 carbons, 8 carbons, 9 carbons, 10 carbons, 11 carbons, 12 carbons. , may have 13 carbons, 14 carbons, 15 carbons, 16 carbons, 17 carbons, 18 carbons, 19 carbons, or 20 carbons.

일부 실시양태에서, 링커B는 적어도 1종의 치환된 알킬 기를 포함할 수 있다. 일부 실시양태에서, 치환된 알킬 기는 2개의 탄소, 3개의 탄소, 4개의 탄소, 5개의 탄소, 6개의 탄소, 7개의 탄소, 8개의 탄소, 9개의 탄소, 10개의 탄소, 11개의 탄소, 12개의 탄소, 13개의 탄소, 14개의 탄소, 15개의 탄소, 16개의 탄소, 17개의 탄소, 18개의 탄소, 19개의 탄소 또는 20개의 탄소를 가질 수 있다. 일부 실시양태에서, 치환된 알킬 기는 하기 치환기 중 1종 이상을 포함할 수 있다: 알킬, 시클로알킬, 히드록시, 알콕시드, 카르복실, 아민, 아미드, 할라이드, 술포닐 및 술폰아미드.In some embodiments, Linker B may include at least one substituted alkyl group. In some embodiments, the substituted alkyl group has 2 carbon, 3 carbon, 4 carbon, 5 carbon, 6 carbon, 7 carbon, 8 carbon, 9 carbon, 10 carbon, 11 carbon, 12 It can have 2 carbons, 13 carbons, 14 carbons, 15 carbons, 16 carbons, 17 carbons, 18 carbons, 19 carbons, or 20 carbons. In some embodiments, a substituted alkyl group can include one or more of the following substituents: alkyl, cycloalkyl, hydroxy, alkoxide, carboxyl, amine, amide, halide, sulfonyl, and sulfonamide.

일부 실시양태에서, 링커B는 적어도 1종의 시클로알킬 기를 포함할 수 있다. 일부 실시양태에서, 시클로알킬 기는 C3 시클로알킬 (즉, 시클로프로판), C4 시클로알킬 (즉, 시클로부텐), C5 시클로알킬 (즉, 시클로펜탄), C6 시클로알킬 (즉, 시클로헥산), C7 시클로알킬 (즉, 시클로헵탄), C8 시클로알킬 (즉, 시클로옥탄), C9 시클로알킬 (즉, 시클로노난), 또는 C10 시클로알킬 (즉, 시클로데칸)일 수 있다.In some embodiments, Linker B may include at least one cycloalkyl group. In some embodiments, a cycloalkyl group is C3 cycloalkyl (i.e., cyclopropane), C4 cycloalkyl (i.e., cyclobutene), C5 cycloalkyl (i.e., cyclopentane), C6 cycloalkyl (i.e., cyclohexane), C7 cycloalkyl It may be alkyl (i.e. cycloheptane), C8 cycloalkyl (i.e. cyclooctane), C9 cycloalkyl (i.e. cyclononane), or C10 cycloalkyl (i.e. cyclodecane).

일부 실시양태에서, 링커B는 적어도 1종의 치환된 시클로알킬 기를 포함할 수 있다. 일부 실시양태에서, 치환된 시클로알킬 기는 C3 치환된 시클로알킬, C4 치환된 시클로알킬, C5 치환된 시클로알킬, C6 치환된 시클로알킬, C7 치환된 시클로알킬, C8 치환된 시클로알킬, C9 치환된 시클로알킬, 또는 C10 치환된 시클로알킬일 수 있다. 일부 실시양태에서, 치환된 시클로알킬 기는 하기 치환기 중 1종 이상을 포함할 수 있다: 알킬, 시클로알킬, 히드록시, 알콕시드, 카르복실, 아민, 아미드, 할라이드, 술포닐 및 술폰아미드.In some embodiments, Linker B can include at least one substituted cycloalkyl group. In some embodiments, a substituted cycloalkyl group is C3 substituted cycloalkyl, C4 substituted cycloalkyl, C5 substituted cycloalkyl, C6 substituted cycloalkyl, C7 substituted cycloalkyl, C8 substituted cycloalkyl, C9 substituted cycloalkyl. It may be alkyl, or C10 substituted cycloalkyl. In some embodiments, a substituted cycloalkyl group can include one or more of the following substituents: alkyl, cycloalkyl, hydroxy, alkoxide, carboxyl, amine, amide, halide, sulfonyl, and sulfonamide.

일부 실시양태에서, 링커B는 적어도 1종의 알케닐 기를 포함할 수 있다. 일부 실시양태에서, 알케닐 기는 4개의 탄소, 5개의 탄소, 6개의 탄소, 7개의 탄소, 8개의 탄소, 9개의 탄소, 10개의 탄소, 11개의 탄소, 12개의 탄소, 13개의 탄소, 14개의 탄소, 15개의 탄소, 16개의 탄소, 17개의 탄소, 18개의 탄소, 19개의 탄소, 또는 20개의 탄소를 가질 수 있다.In some embodiments, Linker B may include at least one alkenyl group. In some embodiments, an alkenyl group has 4 carbons, 5 carbons, 6 carbons, 7 carbons, 8 carbons, 9 carbons, 10 carbons, 11 carbons, 12 carbons, 13 carbons, 14 carbons, It can have 15 carbons, 16 carbons, 17 carbons, 18 carbons, 19 carbons, or 20 carbons.

일부 실시양태에서, 링커B는 적어도 1종의 치환된 알케닐 기를 포함할 수 있다. 일부 실시양태에서, 알케닐 기는 4개의 탄소, 5개의 탄소, 6개의 탄소, 7개의 탄소, 8개의 탄소, 9개의 탄소, 10개의 탄소, 11개의 탄소, 12개의 탄소, 13개의 탄소, 14개의 탄소, 15개의 탄소, 16개의 탄소, 17개의 탄소, 18개의 탄소, 19개의 탄소, 또는 20개의 탄소를 가질 수 있다. 일부 실시양태에서, 치환된 알케닐 기는 하기 치환기 중 1종 이상을 포함할 수 있다: 알킬, 시클로알킬, 히드록시, 알콕시드, 카르복실, 아민, 아미드, 할라이드, 술포닐 및 술폰아미드.In some embodiments, Linker B may include at least one substituted alkenyl group. In some embodiments, an alkenyl group has 4 carbons, 5 carbons, 6 carbons, 7 carbons, 8 carbons, 9 carbons, 10 carbons, 11 carbons, 12 carbons, 13 carbons, 14 carbons, It can have 15 carbons, 16 carbons, 17 carbons, 18 carbons, 19 carbons, or 20 carbons. In some embodiments, a substituted alkenyl group can include one or more of the following substituents: alkyl, cycloalkyl, hydroxy, alkoxide, carboxyl, amine, amide, halide, sulfonyl, and sulfonamide.

일부 실시양태에서, 링커B는 적어도 1종의 시클로알케닐 기를 포함할 수 있다. 일부 실시양태에서, 시클로알케닐 기는 C5 시클로알케닐, C6 시클로알케닐, C7 시클로알케닐, C8 시클로알케닐, C9 시클로알케닐 또는 C10 시클로알케닐일 수 있다.In some embodiments, Linker B may include at least one cycloalkenyl group. In some embodiments, a cycloalkenyl group can be C5 cycloalkenyl, C6 cycloalkenyl, C7 cycloalkenyl, C8 cycloalkenyl, C9 cycloalkenyl, or C10 cycloalkenyl.

일부 실시양태에서, 링커B는 적어도 1종의 치환된 시클로알케닐 기를 포함할 수 있다. 일부 실시양태에서, 시클로알케닐 기는 C5 시클로알케닐, C6 시클로알케닐, C7 시클로알케닐, C8 시클로알케닐, C9 시클로알케닐 또는 C10 시클로알케닐일 수 있다. 일부 실시양태에서, 치환된 시클로알케닐 기는 하기 치환기 중 1종 이상을 포함할 수 있다: 알킬, 시클로알킬, 히드록시, 알콕시드, 카르복실, 아민, 아미드, 할라이드, 술포닐 및 술폰아미드.In some embodiments, Linker B may include at least one substituted cycloalkenyl group. In some embodiments, a cycloalkenyl group can be C5 cycloalkenyl, C6 cycloalkenyl, C7 cycloalkenyl, C8 cycloalkenyl, C9 cycloalkenyl, or C10 cycloalkenyl. In some embodiments, substituted cycloalkenyl groups can include one or more of the following substituents: alkyl, cycloalkyl, hydroxy, alkoxide, carboxyl, amine, amide, halide, sulfonyl, and sulfonamide.

일부 실시양태에서, 링커B는 적어도 1종의 알키닐 기를 포함할 수 있다. 일부 실시양태에서, 알키닐 기는 4개의 탄소, 5개의 탄소, 6개의 탄소, 7개의 탄소, 8개의 탄소, 9개의 탄소, 10개의 탄소, 11개의 탄소, 12개의 탄소, 13개의 탄소, 14개의 탄소, 15개의 탄소, 16개의 탄소, 17개의 탄소, 18개의 탄소, 19개의 탄소, 또는 20개의 탄소를 가질 수 있다.In some embodiments, Linker B may include at least one alkynyl group. In some embodiments, an alkynyl group has 4 carbons, 5 carbons, 6 carbons, 7 carbons, 8 carbons, 9 carbons, 10 carbons, 11 carbons, 12 carbons, 13 carbons, 14 carbons, It can have 15 carbons, 16 carbons, 17 carbons, 18 carbons, 19 carbons, or 20 carbons.

일부 실시양태에서, 링커B는 적어도 1종의 치환된 알키닐 기를 포함할 수 있다. 일부 실시양태에서, 치환된 알키닐 기는 4개의 탄소, 5개의 탄소, 6개의 탄소, 7개의 탄소, 8개의 탄소, 9개의 탄소, 10개의 탄소, 11개의 탄소, 12개의 탄소, 13개의 탄소, 14개의 탄소, 15개의 탄소, 16개의 탄소, 17개의 탄소, 18개의 탄소, 19개의 탄소, 또는 20개의 탄소를 가질 수 있다. 일부 실시양태에서, 치환된 알키닐 기는 하기 치환기 중 1종 이상을 포함할 수 있다: 알킬, 시클로알킬, 히드록시, 알콕시드, 카르복실, 아민, 아미드, 할라이드, 술포닐 및 술폰아미드.In some embodiments, Linker B may include at least one substituted alkynyl group. In some embodiments, a substituted alkynyl group has 4 carbons, 5 carbons, 6 carbons, 7 carbons, 8 carbons, 9 carbons, 10 carbons, 11 carbons, 12 carbons, 13 carbons, It can have 14 carbons, 15 carbons, 16 carbons, 17 carbons, 18 carbons, 19 carbons, or 20 carbons. In some embodiments, substituted alkynyl groups can include one or more of the following substituents: alkyl, cycloalkyl, hydroxy, alkoxide, carboxyl, amine, amide, halide, sulfonyl, and sulfonamide.

일부 실시양태에서, 링커B는 적어도 1종의 아릴 기 또는 헤테로아릴 기를 포함할 수 있다. 예는 페닐, 나프틸 및 피리디닐을 포함하지만, 본원에 제공된 정의 내에 속하는 다른 아릴 및 헤테로아릴 기가 사용될 수 있음을 주목한다.In some embodiments, Linker B may include at least one aryl group or heteroaryl group. Examples include phenyl, naphthyl, and pyridinyl, but note that other aryl and heteroaryl groups may be used that fall within the definitions provided herein.

일부 실시양태에서, 링커B는 적어도 1종의 치환된 아릴 기를 포함할 수 있다. 일부 실시양태에서, 치환된 아릴 기는 하기 치환기 중 1종 이상을 포함할 수 있다: 알킬, 시클로알킬, 히드록시, 알콕시드, 카르복실, 아민, 아미드, 할라이드, 술포닐 및 술폰아미드.In some embodiments, Linker B may include at least one substituted aryl group. In some embodiments, substituted aryl groups can include one or more of the following substituents: alkyl, cycloalkyl, hydroxy, alkoxide, carboxyl, amine, amide, halide, sulfonyl, and sulfonamide.

일부 실시양태에서, 링커B는 적어도 1종의 아르알킬 기를 포함할 수 있다. 아르알킬 기의 예는 페닐메틸, 페닐에틸 및 페닐프로필을 포함하나, 이에 제한되지는 않는다.In some embodiments, Linker B may include at least one aralkyl group. Examples of aralkyl groups include, but are not limited to, phenylmethyl, phenylethyl, and phenylpropyl.

일부 실시양태에서, 링커B는 적어도 1종의 치환된 아르알킬 기를 포함할 수 있다. 일부 실시양태에서, 치환된 아르알킬 기는 하기 치환기 중 1종 이상을 포함할 수 있다: 알킬, 시클로알킬, 히드록시, 알콕시드, 카르복실, 아민, 아미드, 할라이드, 술포닐 및 술폰아미드.In some embodiments, Linker B may include at least one substituted aralkyl group. In some embodiments, a substituted aralkyl group can include one or more of the following substituents: alkyl, cycloalkyl, hydroxy, alkoxide, carboxyl, amine, amide, halide, sulfonyl, and sulfonamide.

일부 실시양태에서, 링커B는 적어도 1종의 아르알케닐 기를 포함할 수 있다. 아르알케닐 기의 예는 에테닐벤젠 및 프로페닐벤젠을 포함하나, 이에 제한되지는 않는다.In some embodiments, Linker B may include at least one aralkenyl group. Examples of aralkenyl groups include, but are not limited to, ethenylbenzene and propenylbenzene.

일부 실시양태에서, 링커B는 적어도 1종의 치환된 아르알케닐 기를 포함할 수 있다. 일부 실시양태에서, 치환된 아르알케닐 기는 하기 치환기 중 1종 이상을 포함할 수 있다: 알킬, 시클로알킬, 히드록시, 알콕시드, 카르복실, 아민, 아미드, 할라이드, 술포닐 및 술폰아미드.In some embodiments, Linker B may include at least one substituted aralkenyl group. In some embodiments, a substituted aralkenyl group can include one or more of the following substituents: alkyl, cycloalkyl, hydroxy, alkoxide, carboxyl, amine, amide, halide, sulfonyl, and sulfonamide.

일부 실시양태에서, 링커B는 적어도 1종의 아르알키닐 기를 포함할 수 있다. 아르알키닐 기의 예는 에티닐벤젠 및 프로피닐벤젠을 포함하나, 이에 제한되지는 않는다.In some embodiments, Linker B may include at least one aralkynyl group. Examples of aralkynyl groups include, but are not limited to, ethynylbenzene and propynylbenzene.

일부 실시양태에서, 링커B는 적어도 1종의 치환된 아르알키닐 기를 포함할 수 있다. 일부 실시양태에서, 치환된 아르알키닐 기는 하기 치환기 중 1종 이상을 포함할 수 있다: 알킬, 시클로알킬, 히드록시, 알콕시드, 카르복실, 아민, 아미드, 할라이드, 술포닐 및 술폰아미드.In some embodiments, Linker B may include at least one substituted aralkynyl group. In some embodiments, a substituted aralkynyl group can include one or more of the following substituents: alkyl, cycloalkyl, hydroxy, alkoxide, carboxyl, amine, amide, halide, sulfonyl, and sulfonamide.

일부 실시양태에서, 링커B는 적어도 1종의 헤테로원자를 포함할 수 있다. 일부 실시양태에서, 링커B는 1개 이상의 산소 (O) 헤테로원자, 1개 이상의 질소 (N) 헤테로원자, 1개 이상의 황 (S) 헤테로원자 및/또는 1개 이상의 인 (P) 헤테로원자를 포함할 수 있다. 일부 실시양태에서, 독립적으로 선택된 링커A 중 적어도 1종은 적어도 1종의 헤테로알킬 기를 포함할 수 있다.In some embodiments, Linker B may include at least one heteroatom. In some embodiments, Linker B comprises one or more oxygen (O) heteroatoms, one or more nitrogen (N) heteroatoms, one or more sulfur (S) heteroatoms, and/or one or more phosphorus (P) heteroatoms. It can be included. In some embodiments, at least one of the independently selected Linkers A may comprise at least one heteroalkyl group.

일부 실시양태에서, 링커B는 적어도 1종의 지방족 헤테로사이클을 포함할 수 있다. 일부 실시양태에서, 링커B는 테트라히드로푸란 (THF), 테트라히드로피란 (THP), 모르폴린, 피페리딘, 피페라진, 피롤리딘 및/또는 아제티딘 중 적어도 1종을 포함할 수 있다.In some embodiments, Linker B can include at least one aliphatic heterocycle. In some embodiments, Linker B may comprise at least one of tetrahydrofuran (THF), tetrahydropyran (THP), morpholine, piperidine, piperazine, pyrrolidine, and/or azetidine.

일부 실시양태에서, 링커B는 적어도 1종의 헤테로아릴 기를 포함할 수 있다. 일부 실시양태에서, 링커B는 이미다졸, 피라졸, 피리딘, 피리미딘, 트리아졸, 및/또는 1,2,3-트리아졸 중 1종 이상을 포함할 수 있다.In some embodiments, Linker B may include at least one heteroaryl group. In some embodiments, Linker B may include one or more of imidazole, pyrazole, pyridine, pyrimidine, triazole, and/or 1,2,3-triazole.

일부 실시양태에서, 링커B는 적어도 1종의 치환된 헤테로아릴 기를 포함할 수 있다. 일부 실시양태에서, 치환된 헤테로아릴 기는 하기 치환기 중 1종 이상을 포함할 수 있다: 알킬, 시클로알킬, 히드록시, 알콕시드, 카르복실, 아민, 아미드, 할라이드, 술포닐 및 술폰아미드.In some embodiments, Linker B can include at least one substituted heteroaryl group. In some embodiments, substituted heteroaryl groups can include one or more of the following substituents: alkyl, cycloalkyl, hydroxy, alkoxide, carboxyl, amine, amide, halide, sulfonyl, and sulfonamide.

일부 실시양태에서, 링커B는 적어도 1종의 아미노산을 포함할 수 있다. 다양한 아미노산이 관련 기술분야의 통상의 기술자에게 공지되어 있다. 링커B는 1종 이상의 특이적 아미노산을 포함하는 것으로 제한되지 않는다. 예를 들어, 링커B는 1개 이상의 아르기닌 (Arg) 아미노산, 1개 이상의 히스티딘 (His) 아미노산, 1개 이상의 리신 (Lys) 아미노산, 1개 이상의 아스파르트산 (Asp) 아미노산, 1개 이상의 글루탐산 (Glu) 아미노산, 1개 이상의 세린 (Ser) 아미노산, 1개 이상의 트레오닌 (Thr) 아미노산, 1개 이상의 아스파라긴 (Asn) 아미노산, 1개 이상의 글루타민 (Gln) 아미노산, 1개 이상의 시스테인 (Cys) 아미노산, 1개 이상의 셀레노시스테인 (Sec) 아미노산, 1개 이상의 글리신 (Gly) 아미노산, 1개 이상의 프롤린 (Pro) 아미노산, 1개 이상의 알라닌 (Ala) 아미노산, 1개 이상의 발린 (Val) 아미노산, 1개 이상의 이소류신 (Ile) 아미노산, 1개 이상의 류신 (Leu) 아미노산, 1개 이상의 메티오닌 (Met) 아미노산, 1개 이상의 페닐알라닌 (Phe) 아미노산, 1개 이상의 티로신 (Tyr) 아미노산, 및/또는 1개 이상의 트립토판 (Trp) 아미노산을 포함할 수 있다.In some embodiments, Linker B may include at least one amino acid. A variety of amino acids are known to those skilled in the art. Linker B is not limited to containing one or more specific amino acids. For example, linker B contains one or more arginine (Arg) amino acids, one or more histidine (His) amino acids, one or more lysine (Lys) amino acids, one or more aspartic acid (Asp) amino acids, and one or more glutamic acids (Glu). ) amino acids, 1 or more serine (Ser) amino acids, 1 or more threonine (Thr) amino acids, 1 or more asparagine (Asn) amino acids, 1 or more glutamine (Gln) amino acids, 1 or more cysteine (Cys) amino acids, 1 One or more selenocysteine (Sec) amino acids, one or more glycine (Gly) amino acids, one or more proline (Pro) amino acids, one or more alanine (Ala) amino acids, one or more valine (Val) amino acids, one or more isoleucine ( Ile) amino acid, one or more leucine (Leu) amino acids, one or more methionine (Met) amino acids, one or more phenylalanine (Phe) amino acids, one or more tyrosine (Tyr) amino acids, and/or one or more tryptophan (Trp) May contain amino acids.

일부 실시양태에서, 링커B는 적어도 1종의 뉴클레오티드를 포함할 수 있다. 다양한 뉴클레오티드가 관련 기술분야의 통상의 기술자에게 공지되어 있다. 링커B는 1종 이상의 특이적 뉴클레오티드를 포함하는 것으로 제한되지 않는다. 예를 들어, 링커B는 구아닌 핵염기를 포함하는 1종 이상의 뉴클레오티드, 아데닌 핵염기를 포함하는 1종 이상의 뉴클레오티드, 시토신 핵염기를 포함하는 1종 이상의 뉴클레오티드, 티민 핵염기를 포함하는 1종 이상의 뉴클레오티드, 및/또는 우라실 핵염기를 포함하는 1종 이상의 뉴클레오티드를 포함할 수 있다. 일부 실시양태에서, 링커B는 적어도 1종의 무염기성 뉴클레오티드를 포함할 수 있다. 관련 기술분야에 공지된 바와 같이, 무염기성 뉴클레오티드는 푸린 염기도 피리미딘 염기도 갖지 않는 위치인 무염기성 부위를 갖는 뉴클레오티드이다. 예를 들어, 링커B는 1종 이상의 무염기성 DNA 및/또는 1종 이상의 무염기성 RNA를 포함할 수 있다. 일부 실시양태에서, 링커B는 적어도 1종의 역전된 무염기성 뉴클레오티드를 포함할 수 있다. 예를 들어, 링커B는 1종 이상의 역전된 무염기성 DNA 및/또는 1종 이상의 역전된 무염기성 RNA를 포함할 수 있다.In some embodiments, Linker B may comprise at least one nucleotide. A variety of nucleotides are known to those skilled in the art. Linker B is not limited to containing one or more specific nucleotides. For example, linker B is one or more nucleotides containing a guanine nucleobase, one or more nucleotides containing an adenine nucleobase, one or more nucleotides containing a cytosine nucleobase, and one or more nucleotides containing a thymine nucleobase. , and/or may include one or more nucleotides containing a uracil nucleobase. In some embodiments, Linker B may comprise at least one abasic nucleotide. As is known in the art, an abasic nucleotide is a nucleotide that has an abasic site, which is a position that has neither a purine base nor a pyrimidine base. For example, Linker B may comprise one or more types of abasic DNA and/or one or more types of abasic RNA. In some embodiments, Linker B may comprise at least one inverted basic nucleotide. For example, Linker B may comprise one or more inverted abasic DNA and/or one or more inverted abasic RNA.

일부 실시양태에서, 링커B는 적어도 1종의 사카라이드를 포함할 수 있다. 일부 실시양태에서, 링커B는 적어도 1종의 글루코스 단당류 단위, 적어도 1종의 프룩토스 단당류 단위, 적어도 1종의 만노스 단당류 단위, 적어도 1종의 갈락토스 단당류 단위, 적어도 1종의 리보스 단당류 단위, 및/또는 적어도 1종의 글루코사민 단당류 단위를 포함할 수 있다.In some embodiments, Linker B may comprise at least one saccharide. In some embodiments, Linker B comprises at least one glucose monosaccharide unit, at least one fructose monosaccharide unit, at least one mannose monosaccharide unit, at least one galactose monosaccharide unit, at least one ribose monosaccharide unit, and /or may contain at least one type of glucosamine monosaccharide unit.

일부 실시양태에서, 링커B는 하기 중 1종 이상을 포함할 수 있다:In some embodiments, Linker B may include one or more of the following:

Figure pct00041
Figure pct00041

Figure pct00042
Figure pct00042

여기서:here:

j는 1 내지 12의 정수이고,j is an integer from 1 to 12,

k는 0 내지 12의 정수이다.k is an integer from 0 to 12.

일부 실시양태에서, j는 1, 2, 3, 4, 5, 6, 7, 8, 9, 10, 11 및 12로부터 독립적으로 선택된 정수이다. 일부 실시양태에서, k는 0, 1, 2, 3, 4, 5, 6, 7, 8, 9, 10, 11 및 12로부터 독립적으로 선택된 정수이다. 일부 경우에, 본 발명은 또한 링커B가 6-원 고리 단편, 특히 4-히드록시피페리디닐 기를 함유하는 경우에, 5-원 고리와 비교하여 제약 작용제의 표적화된 전달로서 사용되면, 본 발명의 화합물 75와 같은 보다 우수한 생체내 안정성 및 활성을 나타낸다는 것을 발견하였다.In some embodiments, j is an integer independently selected from 1, 2, 3, 4, 5, 6, 7, 8, 9, 10, 11, and 12. In some embodiments, k is an integer independently selected from 0, 1, 2, 3, 4, 5, 6, 7, 8, 9, 10, 11, and 12. In some cases, the invention also provides that when Linker B contains a 6-membered ring fragment, particularly a 4-hydroxypiperidinyl group, when used for targeted delivery of a pharmaceutical agent compared to a 5-membered ring, the invention It was found that it exhibits superior in vivo stability and activity, similar to Compound 75.

제약 작용제pharmaceutical agent

일부 실시양태에서, 제약 작용제는 예를 들어 세포 또는 대상체에서 질환 또는 상태의 진단, 예방, 치료 및/또는 완화를 보조하는 특성을 갖는 진단 또는 치료 약물, 분자, 화합물, 또는 약물, 분자 또는 화합물의 조합물이다. 특정 실시양태에서, 제약 작용제는, 예를 들어 세포 또는 대상체에서 바람직한 상태의 증진을 보조하는 특성을 갖는 약물, 분자, 화합물 또는 약물, 분자 또는 화합물의 조합물이다.In some embodiments, the pharmaceutical agent is, for example, a diagnostic or therapeutic drug, molecule, compound, or a group of drugs, molecules, or compounds that have properties that assist in the diagnosis, prevention, treatment, and/or alleviation of a disease or condition in a cell or subject. It is a combination. In certain embodiments, the pharmaceutical agent is a drug, molecule, compound, or combination of drugs, molecules, or compounds that has properties that assist, for example, in promoting a desired state in a cell or subject.

일부 실시양태에서, 제약 작용제는 올리고뉴클레오티드일 수 있다. 일부 실시양태에서, 올리고뉴클레오티드는 siRNA를 포함할 수 있다. 일부 실시양태에서, 올리고뉴클레오티드는 이중 가닥 siRNA를 포함할 수 있다. 일부 실시양태에서, 이중 가닥 siRNA는 적어도 1종의 변형된 리보뉴클레오티드를 포함할 수 있다. 본 발명의 조성물 및 방법의 일부 실시양태에서, 적어도 1종의 변형된 뉴클레오티드는 2'-O-메틸 뉴클레오티드, 2'-플루오로 뉴클레오티드, 2'-데옥시 뉴클레오티드, 2'3'-세코 뉴클레오티드 모방체, 잠금 뉴클레오티드, 비잠금 핵산 뉴클레오티드 (UNA), 글리콜 핵산 뉴클레오티드 (GNA), 2'-F-아라비노 뉴클레오티드, 2'-메톡시에틸 뉴클레오티드, 무염기성 뉴클레오티드, 리비톨, 역전된 뉴클레오티드, 역전된 무염기성 뉴클레오티드, 역전된 2'-Ome 뉴클레오티드, 역전된 2'-데옥시 뉴클레오티드, 2'-아미노-변형된 뉴클레오티드, 2'-알킬-변형된 뉴클레오티드, 모르폴리노 뉴클레오티드, 3'-Ome 뉴클레오티드, 5'-포스포로티오에이트 기 포함 뉴클레오티드, 또는 5'-(E)-비닐 포스포네이트 뉴클레오티드 (안티센스 가닥 단독), 또는 콜레스테릴 유도체 또는 도데칸산 비스데실아미드 기에 연결된 말단 뉴클레오티드, 2'-아미노-변형된 뉴클레오티드, 포스포르아미데이트, 또는 비-천연 염기 포함 뉴클레오티드를 포함한다. 일부 실시양태에서, 이중 가닥 siRNA의 실질적으로 모든 (즉, 85% 초과의) 리보뉴클레오티드가 변형될 수 있다.In some embodiments, the pharmaceutical agent may be an oligonucleotide. In some embodiments, oligonucleotides may include siRNA. In some embodiments, oligonucleotides may comprise double-stranded siRNA. In some embodiments, a double-stranded siRNA may include at least one modified ribonucleotide. In some embodiments of the compositions and methods of the invention, the at least one modified nucleotide is a 2'-O-methyl nucleotide, a 2'-fluoro nucleotide, a 2'-deoxy nucleotide, a 2'3'-seco nucleotide mimic. sieve, locked nucleotide, unlocked nucleic acid nucleotide (UNA), glycol nucleic acid nucleotide (GNA), 2'-F-arabino nucleotide, 2'-methoxyethyl nucleotide, abasic nucleotide, ribitol, inverted nucleotide, inverted Abasic nucleotide, inverted 2'-Ome nucleotide, inverted 2'-deoxy nucleotide, 2'-amino-modified nucleotide, 2'-alkyl-modified nucleotide, morpholino nucleotide, 3'-Ome nucleotide, A nucleotide containing a 5'-phosphorothioate group, or a 5'-(E)-vinyl phosphonate nucleotide (antisense strand alone), or a terminal nucleotide linked to a cholesteryl derivative or dodecanoic acid bisdecylamide group, 2'-amino -comprises modified nucleotides, phosphoramidates, or nucleotides containing non-natural bases. In some embodiments, substantially all (i.e., greater than 85%) ribonucleotides of a double-stranded siRNA may be modified.

일부 실시양태에서, 이중 가닥 siRNA의 모든 리보뉴클레오티드는 변형될 수 있다. 일부 실시양태에서, 이중 가닥 siRNA의 적어도 1개의 가닥은 적어도 1개의 포스포로티오에이트 연결을 포함할 수 있다. 일부 실시양태에서, 이중 가닥 siRNA의 적어도 1개의 가닥은 최대 6개의 포스포로티오에이트 연결을 포함할 수 있다. 일부 실시양태에서, 이중 가닥 siRNA는 적어도 1종의 잠금 핵산 (LNA)을 포함할 수 있다. 관련 기술분야에 공지된 바와 같이, LNA (때때로 가교된 핵산 (BNA) 또는 접근불가능한 RNA로 지칭됨)는 리보스 모이어티가 2' 산소 및 4' 탄소를 연결하는 여분의 가교로 변형되어 리보스를 3'-엔도 입체형태로 잠그는 변형된 RNA 분자이다. LNA는 효소적 분해에 대한 안정성을 증가시키고, 특이성 및 친화도를 개선시키는 것으로 공지되어 있다. 일부 실시양태에서, 이중 가닥 siRNA는 적어도 1종의 비잠금 핵산 (UNA)을 포함할 수 있다. 관련 기술분야에 공지된 바와 같이, UNA는 RNA의 리보스 고리의 C2'-C3'-결합이 결여된 RNA의 비-시클릭 유도체이다. siRNA의 안티센스 가닥의 특정 위치에 UNA를 포함하는 것은 활성에 대해 허용되고, 감소된 오프 타겟 활성을 촉진할 수 있음이 관련 기술분야의 통상의 기술자에게 공지되어 있다.In some embodiments, all ribonucleotides of a double-stranded siRNA may be modified. In some embodiments, at least one strand of a double-stranded siRNA may comprise at least one phosphorothioate linkage. In some embodiments, at least one strand of a double-stranded siRNA may include up to 6 phosphorothioate linkages. In some embodiments, a double-stranded siRNA may include at least one locked nucleic acid (LNA). As is known in the art, LNA (sometimes referred to as cross-linked nucleic acid (BNA) or inaccessible RNA) is a ribose moiety modified with an extra bridge connecting the 2' oxygen and 4' carbon to form a ribose 3 '-endo is a modified RNA molecule that is locked into its conformation. LNAs are known to increase stability against enzymatic degradation and improve specificity and affinity. In some embodiments, a double-stranded siRNA may include at least one unlocked nucleic acid (UNA). As is known in the art, UNA is a non-cyclic derivative of RNA that lacks the C2'-C3'-linkage of the ribose ring of RNA. It is known to those skilled in the art that inclusion of UNA at specific positions in the antisense strand of siRNA is permissive for activity and can promote reduced off-target activity.

일부 실시양태에서, 이중 가닥 siRNA는 적어도 1종의 글리세롤 핵산 (GNA)을 포함할 수 있다. 관련 기술분야에 공지된 바와 같이, GNA (때때로 글리콜 핵산으로 지칭됨)는 RNA와 유사하지만 그의 당-포스포디에스테르 백본의 조성이 상이한 핵산이다. siRNA의 안티센스 가닥의 특정 위치에 GNA를 포함하는 것은 활성에 대해 허용되고, 감소된 오프 타겟 활성을 촉진할 수 있다는 것이 관련 기술분야의 통상의 기술자에게 공지되어 있다.In some embodiments, double-stranded siRNA may comprise at least one glycerol nucleic acid (GNA). As is known in the art, GNA (sometimes referred to as glycol nucleic acid) is a nucleic acid that is similar to RNA but differs in the composition of its sugar-phosphodiester backbone. It is known to those skilled in the art that inclusion of a GNA at a specific position in the antisense strand of a siRNA is permissive for activity and can promote reduced off-target activity.

일부 실시양태에서, 올리고뉴클레오티드는 2'-변형된 뉴클레오티드 (예를 들어 F 및 MeO), 무염기성 뉴클레오티드, 역전된 무염기성 뉴클레오티드, 잠금 뉴클레오티드, UNA 비잠금 핵산 (UNA), 및 글리세롤 핵산 (GNA)을 포함하나 이에 제한되지는 않는 1종 이상의 변형된 뉴클레오티드를 포함하는 siRNA를 포함할 수 있다.In some embodiments, oligonucleotides are 2'-modified nucleotides (e.g. F and MeO), abasic nucleotides, reversed abasic nucleotides, locked nucleotides, UNA unlocked nucleic acids (UNA), and glycerol nucleic acids (GNA). It may include siRNA containing one or more modified nucleotides, including but not limited to.

일부 실시양태에서, 올리고뉴클레오티드는 1개 이상의 포스포로티오에이트 백본 연결을 포함하는 siRNA를 포함할 수 있다.In some embodiments, oligonucleotides may comprise siRNA comprising one or more phosphorothioate backbone linkages.

일부 실시양태에서, 올리고뉴클레오티드는 단일 가닥 siRNA를 포함할 수 있다. 일부 실시양태에서, 올리고뉴클레오티드는 소형 활성화 RNA를 포함할 수 있다. 일부 실시양태에서, 올리고뉴클레오티드는 마이크로RNA (miRNA)를 포함할 수 있다. 일부 실시양태에서, 올리고뉴클레오티드는 안티센스 올리고뉴클레오티드를 포함할 수 있다. 일부 실시양태에서, 올리고뉴클레오티드는 짧은 가이드 RNA (gRNA)를 포함할 수 있다. 일부 실시양태에서, 올리고뉴클레오티드는 단일 가이드 RNA (sgRNA)를 포함할 수 있다. 일부 실시양태에서, 올리고뉴클레오티드는 메신저 RNA (mRNA)를 포함할 수 있다. 일부 실시양태에서, 올리고뉴클레오티드는 리보자임을 포함할 수 있다. 일부 실시양태에서, 올리고뉴클레오티드는 플라스미드를 포함할 수 있다. 일부 실시양태에서, 올리고뉴클레오티드는 면역 자극 핵산을 포함할 수 있다. 일부 실시양태에서, 올리고뉴클레오티드는 안타고미르를 포함할 수 있다. 일부 실시양태에서, 올리고뉴클레오티드는 압타머를 포함할 수 있다. 압타머는 특정 표적, 예컨대 단백질, 펩티드, 탄수화물, 소분자, 독소 또는 살아있는 세포에 선택적으로 결합할 수 있는 짧은 단일-가닥 DNA 또는 RNA 분자이다. 압타머는 나선 및 단일-가닥 루프를 형성하는 경향이 있기 때문에 다양한 형상을 취한다. 본 개시내용은 임의의 특정한 압타머로 제한되지 않는다. 공지되고 아직 발견되지 않은 압타머는 본 개시내용의 범주 내에 있다.In some embodiments, oligonucleotides may comprise single-stranded siRNA. In some embodiments, oligonucleotides may comprise small activating RNAs. In some embodiments, oligonucleotides may comprise microRNAs (miRNAs). In some embodiments, oligonucleotides may include antisense oligonucleotides. In some embodiments, oligonucleotides may include a short guide RNA (gRNA). In some embodiments, an oligonucleotide may comprise a single guide RNA (sgRNA). In some embodiments, oligonucleotides may comprise messenger RNA (mRNA). In some embodiments, the oligonucleotide may comprise a ribozyme. In some embodiments, oligonucleotides may comprise plasmids. In some embodiments, oligonucleotides may comprise immunostimulatory nucleic acids. In some embodiments, oligonucleotides may include an antagomyr. In some embodiments, oligonucleotides may include aptamers. Aptamers are short, single-stranded DNA or RNA molecules that can selectively bind to specific targets, such as proteins, peptides, carbohydrates, small molecules, toxins, or living cells. Aptamers take on a variety of shapes because they tend to form helices and single-stranded loops. The present disclosure is not limited to any particular aptamer. Known and as yet undiscovered aptamers are within the scope of this disclosure.

일부 실시양태에서, 올리고뉴클레오티드는 적어도 3개의 독립적으로 선택된 뉴클레오티드를 포함할 수 있다. 일부 실시양태에서, 예를 들어 올리고뉴클레오티드가 siRNA인 경우에, 올리고뉴클레오티드는 16 내지 23개의 독립적으로 선택된 뉴클레오티드를 포함할 수 있다. 일부 실시양태에서, 예를 들어 올리고뉴클레오티드가 sgRNA인 경우에, 올리고뉴클레오티드는 약 100개의 독립적으로 선택된 뉴클레오티드를 포함할 수 있다. 일부 실시양태에서, 예를 들어 올리고뉴클레오티드가 mRNA인 경우에, 올리고뉴클레오티드는 최대 14,000개의 독립적으로 선택된 뉴클레오티드를 포함할 수 있다.In some embodiments, an oligonucleotide may comprise at least three independently selected nucleotides. In some embodiments, for example when the oligonucleotide is siRNA, the oligonucleotide may comprise 16 to 23 independently selected nucleotides. In some embodiments, for example when the oligonucleotide is an sgRNA, the oligonucleotide may comprise about 100 independently selected nucleotides. In some embodiments, for example if the oligonucleotide is mRNA, the oligonucleotide may comprise up to 14,000 independently selected nucleotides.

1종 이상의 제약 작용제에 연결될 수 있는 관능기A functional group that can be linked to one or more pharmaceutical agents

상기 나타낸 바와 같이, 화학식 1에서 "W"는 1종 이상의 제약 작용제에 연결될 수 있는 관능기일 수 있다.As indicated above, “W” in Formula 1 may be a functional group that can be linked to one or more pharmaceutical agents.

일부 실시양태에서, 관능기는 히드록시 기 (OH)일 수 있다. 일부 실시양태에서, 관능기는 보호된 히드록시 기일 수 있다. 관련 기술분야의 통상의 기술자는 다양한 보호기가 히드록시 기를 보호하는 데 사용될 수 있음을 인지할 것이다. 다양한 처리 그룹 각각은 본 개시내용의 범위 내에 있다. 예를 들어, 및 비제한적으로, 히드록시 기는 4,4'-디메톡시트리틸 (DMT), 모노메톡시트리틸 (MMT), 9-(p-메톡시페닐)크산텐-9-일 (Mox), 및 9-페닐크산텐-9-일 (Px) 중 적어도 1종을 사용하여 보호될 수 있다.In some embodiments, the functional group can be a hydroxy group (OH). In some embodiments, the functional group can be a protected hydroxy group. Those skilled in the art will recognize that a variety of protecting groups can be used to protect hydroxy groups. Each of the various treatment groups is within the scope of this disclosure. For example, and without limitation, the hydroxy group is 4,4'-dimethoxytrityl (DMT), monomethoxytrityl (MMT), 9-(p-methoxyphenyl)xanthen-9-yl ( Mox), and 9-phenylxanthen-9-yl (Px).

일부 실시양태에서, 관능기는 하기 화학식을 갖는 포스포르아미다이트 기일 수 있다:In some embodiments, the functional group can be a phosphoramidite group having the formula:

Figure pct00043
Figure pct00043

여기서:here:

Ra는 C1 내지 C6 알킬, C3 내지 C6 시클로알킬, 이소프로필 기이거나, 또는 Ra는 질소 원자를 통해 Rb와 연결되어 사이클을 형성하고,Ra is C1 to C6 alkyl, C3 to C6 cycloalkyl, isopropyl group, or Ra is connected to Rb through a nitrogen atom to form a cycle,

Rb는 C1 내지 C6 알킬, C3 내지 C6 시클로알킬, 이소프로필 기이거나, 또는 Rb는 질소 원자를 통해 Ra와 연결되어 사이클을 형성하고,Rb is C1 to C6 alkyl, C3 to C6 cycloalkyl, isopropyl group, or Rb is connected to Ra through a nitrogen atom to form a cycle,

Rc는 포스파이트 보호기, 포스페이트 보호기, 또는 2-시아노에틸 기이다.Rc is a phosphite protecting group, a phosphate protecting group, or a 2-cyanoethyl group.

Rc는 관련 기술분야의 통상의 기술자에게 공지된 다양한 포스파이트 보호기 중 하나일 수 있다. 일부 실시양태에서, 포스파이트 보호기는 메틸, 알릴, 2-시아노에틸, 4-시아노-2-부테닐, 2-시아노-1,1-디메틸에틸, 2-(트리메틸실릴)에틸, 2-(S-아세틸티오)에틸, 2-(S-피발로일티오)에틸, 2-(4-니트로페닐)에틸, 2,2,2-트리클로로에틸, 2,2,2-트리클로로-1,1-디메틸에틸, 1,1,1,3,3,3-헥사플루오로-2-프로필, 플루오레닐-9-메틸, 2-클로로페닐, 4-클로로페닐 및 2,4-디클로로페닐 중 적어도 1종을 포함할 수 있다.Rc may be one of a variety of phosphite protecting groups known to those skilled in the art. In some embodiments, the phosphite protecting group is methyl, allyl, 2-cyanoethyl, 4-cyano-2-butenyl, 2-cyano-1,1-dimethylethyl, 2-(trimethylsilyl)ethyl, 2 -(S-acetylthio)ethyl, 2-(S-pivaloylthio)ethyl, 2-(4-nitrophenyl)ethyl, 2,2,2-trichloroethyl, 2,2,2-trichloro- 1,1-dimethylethyl, 1,1,1,3,3,3-hexafluoro-2-propyl, fluorenyl-9-methyl, 2-chlorophenyl, 4-chlorophenyl and 2,4-dichloro It may contain at least one type of phenyl.

Rc는 관련 기술분야의 통상의 기술자에게 공지된 다양한 포스페이트 보호기 중 하나일 수 있다. 일부 실시양태에서, 포스페이트 보호기는 메틸, 알릴, 2-시아노에틸, 4-시아노-2-부테닐, 2-시아노-1,1-디메틸에틸, 2-(트리메틸실릴)에틸, 2-(S-아세틸티오)에틸, 2-(S-피발로일티오)에틸, 2-(4-니트로페닐)에틸, 2,2,2-트리클로로에틸, 2,2,2-트리클로로-1,1-디메틸에틸, 1,1,1,3,3,3-헥사플루오로-2-프로필, 플루오레닐-9-메틸, 2-클로로페닐, 4-클로로페닐 및 2,4-디클로로페닐 중 적어도 1종을 포함할 수 있다.Rc may be one of a variety of phosphate protecting groups known to those skilled in the art. In some embodiments, the phosphate protecting group is methyl, allyl, 2-cyanoethyl, 4-cyano-2-butenyl, 2-cyano-1,1-dimethylethyl, 2-(trimethylsilyl)ethyl, 2- (S-acetylthio)ethyl, 2-(S-pivaloylthio)ethyl, 2-(4-nitrophenyl)ethyl, 2,2,2-trichloroethyl, 2,2,2-trichloro-1 ,1-dimethylethyl, 1,1,1,3,3,3-hexafluoro-2-propyl, fluorenyl-9-methyl, 2-chlorophenyl, 4-chlorophenyl and 2,4-dichlorophenyl It may include at least one of the following.

일부 실시양태에서, 관능기는 카르복실 기 (CO2H)일 수 있다. 일부 실시양태에서, 관능기는 하기 화학식을 갖는 활성화된 카르복실 기일 수 있다:In some embodiments, the functional group can be a carboxyl group (CO2 H). In some embodiments, the functional group can be an activated carboxyl group having the formula:

Figure pct00044
Figure pct00044

여기서 X는 이탈기이다.Here, X is a leaving group.

다양한 활성화된 카르복실 기가 관련 기술분야의 통상의 기술자에게 공지되어 있으며, 이들 모두는 본 개시내용의 범주 내에 있다. 일부 실시양태에서, 이탈기 (X)는 카르복실레이트, 술포네이트, 클로라이드, 포스페이트, 이미다졸, 히드록시벤조트리아졸 (HOBt), N-히드록시숙신이미드 (NHS), 테트라플루오로페놀, 펜타플루오로페놀, 또는 파라-니트로페놀 중 하나일 수 있다.A variety of activated carboxyl groups are known to those skilled in the art, all of which are within the scope of this disclosure. In some embodiments, leaving group (X) is carboxylate, sulfonate, chloride, phosphate, imidazole, hydroxybenzotriazole (HOBt), N-hydroxysuccinimide (NHS), tetrafluorophenol, It may be either pentafluorophenol, or para-nitrophenol.

일부 실시양태에서, 관능기는 마이클 수용자일 수 있다. 일부 실시양태에서, 마이클 수용자는 하기 화학식을 가질 수 있다:In some embodiments, the functional group may be a Michael acceptor. In some embodiments, the Michael acceptor can have the formula:

Figure pct00045
Figure pct00045

여기서:here:

E는 전자 끄는 기이고;E is an electron withdrawing group;

Rd는 수소 또는 올레핀 상의 C1-C6 알킬 치환기 (E 및 Rd가 탄소-탄소 이중 결합에 대해 시스, 트랜스 또는 이소일 수 있음을 의미함)이다.Rd is hydrogen or a C1-C6 alkyl substituent on the olefin (meaning that E and Rd may be cis, trans or iso to the carbon-carbon double bond).

다양한 전자 끄는 기가 관련 기술분야의 통상의 기술자에게 공지되어 있으며, 이들 모두는 본 개시내용의 범주 내에 있다. 일부 실시양태에서, 전자 끄는 기 (E)는 카르복스아미드 또는 에스테르일 수 있다. 일부 실시양태에서, 전자 끄는 기 (E) 및 마이클 수용자의 탄소-탄소 이중 결합은 질소 상의 2개의 카르보아실 기가 질소 자체와 함께 1H-피롤-2,5-디온 구조를 형성하는 시클릭 디카르복스이미드인 말레이미드의 일부일 수 있다.A variety of electron withdrawing groups are known to those skilled in the art, all of which are within the scope of this disclosure. In some embodiments, the electron withdrawing group (E) can be a carboxamide or ester. In some embodiments, the carbon-carbon double bond of the electron withdrawing group (E) and the Michael acceptor is a cyclic dicarboxyl group such that the two carboacyl groups on the nitrogen together with the nitrogen itself form a 1H-pyrrole-2,5-dione structure. It may be part of maleimide, which is a voximide.

일부 실시양태에서, 관능기는 하기 화학식을 가질 수 있다:In some embodiments, the functional group can have the formula:

Figure pct00046
Figure pct00046

여기서:here:

링커C는 부재하거나 또는 올리고뉴클레오티드의 3' 또는 5' 말단에 부착된 스페이서이고,Linker C is a spacer that is absent or attached to the 3' or 5' end of the oligonucleotide,

X는 메틸 기, 산소, 황 또는 아미노 기이고,X is a methyl group, oxygen, sulfur or amino group,

Y는 산소, 황 또는 아미노 기이다.Y is oxygen, sulfur or amino group.

일부 실시양태에서, 화학식 5의 링커C는 적어도 1종의 헤테로시클릭 화합물을 포함할 수 있다. 일부 실시양태에서, 헤테로시클릭 화합물은 무염기성 뉴클레오티드 또는 역전된 무염기성 뉴클레오티드일 수 있다.In some embodiments, Linker C of Formula 5 may include at least one heterocyclic compound. In some embodiments, the heterocyclic compound may be an abasic nucleotide or an inverted abasic nucleotide.

일부 실시양태에서, 관능기는 하기 화학식을 가질 수 있다:In some embodiments, the functional group can have the formula:

Figure pct00047
Figure pct00047

여기서 링커C는 카르복스아미드의 질소에 부착된 한 말단 및 올리고뉴클레오티드의 3' 또는 5' 말단에 부착된 다른 말단을 갖는 스페이서이다.Here, Linker C is a spacer with one end attached to the nitrogen of the carboxamide and the other end attached to the 3' or 5' end of the oligonucleotide.

일부 실시양태에서, 링커B는 화학식 6의 카르복시아미드의 카르보닐에 부착된다.In some embodiments, Linker B is attached to the carbonyl of the carboxyamide of Formula 6.

일부 실시양태에서, 화학식 6에서의 링커C는 적어도 1종의 PEG를 포함할 수 있다. PEG는 임의의 수의 반복 O-CH2-CH2 단위를 가질 수 있다. 예를 들어, PEG는 PEG1, PEG2, PEG3, PEG4, PEG5, PEG6, PEG7, PEG8, PEG9, PEG10, PEG11, PEG12, PEG13, PEG14, PEG15, PEG16, PEG17, PEG18, PEG19, PEG20, PEG21, PEG22, PEG23, PEG24, PEG25, PEG26, PEG27, PEG28, PEG29, PEG30, PEG31, PEG32, PEG33, PEG34, PEG35, PEG36, PEG37, PEG38, PEG39, PEG40, PEG41, PEG42, PEG43, PEG44, PEG45, PEG46, PEG47, PEG48, PEG49, PEG50, PEG51, PEG52, PEG53, PEG54, PEG55, PEG56, PEG57, PEG58, PEG59, PEG60, PEG61, PEG62, PEG63, PEG64, PEG65, PEG66, PEG67, PEG68, PEG69, PEG70, PEG71, PEG72, PEG73, PEG74, PEG75, PEG76, PEG77, PEG78, PEG79, PEG80, PEG81, PEG82, PEG83, PEG84, PEG85, PEG86, PEG87, PEG88, PEG89, PEG90, PEG91, PEG92, PEG93, PEG94, PEG95, PEG96, PEG97, PEG98, PEG99, PEG100, 또는 그 초과일 수 있다.In some embodiments, Linker C in Formula 6 may include at least one PEG. PEG may have any number of repeating O-CH2 -CH2 units. For example, PEG is PEG1, PEG2, PEG3, PEG4, PEG5, PEG6, PEG7, PEG8, PEG9, PEG10, PEG11, PEG12, PEG13, PEG14, PEG15, PEG16, PEG17, PEG18, PEG19, PEG20, PEG21, PEG22, PEG23, PEG24, PEG25, PEG26, PEG27, PEG28, PEG29, PEG30, PEG31, PEG32, PEG33, PEG34, PEG35, PEG36, PEG37, PEG38, PEG39, PEG40, PEG41, PEG42, PEG43, PEG44, PEG45, PEG46, 7, PEG48, PEG49, PEG50, PEG51, PEG52, PEG53, PEG54, PEG55, PEG56, PEG57, PEG58, PEG59, PEG60, PEG61, PEG62, PEG63, PEG64, PEG65, PEG66, PEG67, PEG68, PEG69, PEG70, PEG71, 2, PEG73, PEG74, PEG75, PEG76, PEG77, PEG78, PEG79, PEG80, PEG81, PEG82, PEG83, PEG84, PEG85, PEG86, PEG87, PEG88, PEG89, PEG90, PEG91, PEG92, PEG93, PEG94, PEG95, PEG96, 7, It may be PEG98, PEG99, PEG100, or higher.

일부 실시양태에서, 화학식 6에서의 링커C는 적어도 1종의 알킬 기를 포함할 수 있다. 일부 실시양태에서, 알킬 기는 2개의 탄소, 3개의 탄소, 4개의 탄소, 5개의 탄소, 6개의 탄소, 7개의 탄소, 8개의 탄소, 9개의 탄소, 10개의 탄소, 11개의 탄소, 12개의 탄소, 13개의 탄소, 14개의 탄소, 15개의 탄소, 16개의 탄소, 17개의 탄소, 18개의 탄소, 19개의 탄소, 또는 20개의 탄소를 가질 수 있다.In some embodiments, Linker C in Formula 6 can include at least one alkyl group. In some embodiments, the alkyl group has 2 carbons, 3 carbons, 4 carbons, 5 carbons, 6 carbons, 7 carbons, 8 carbons, 9 carbons, 10 carbons, 11 carbons, 12 carbons. , may have 13 carbons, 14 carbons, 15 carbons, 16 carbons, 17 carbons, 18 carbons, 19 carbons, or 20 carbons.

일부 실시양태에서, 화학식 6에서의 링커C는 적어도 1종의 시클로알킬 기를 포함할 수 있다. 일부 실시양태에서, 시클로알킬 기는 C3 시클로알킬 (즉, 시클로프로판), C4 시클로알킬 (즉, 시클로부텐), C5 시클로알킬 (즉, 시클로펜탄), C6 시클로알킬 (즉, 시클로헥산), C7 시클로알킬 (즉, 시클로헵탄), C8 시클로알킬 (즉, 시클로옥탄), C9 시클로알킬 (즉, 시클로노난), 또는 C10 시클로알킬 (즉, 시클로데칸)일 수 있다.In some embodiments, Linker C in Formula 6 can include at least one cycloalkyl group. In some embodiments, a cycloalkyl group is C3 cycloalkyl (i.e., cyclopropane), C4 cycloalkyl (i.e., cyclobutene), C5 cycloalkyl (i.e., cyclopentane), C6 cycloalkyl (i.e., cyclohexane), C7 cycloalkyl It may be alkyl (i.e. cycloheptane), C8 cycloalkyl (i.e. cyclooctane), C9 cycloalkyl (i.e. cyclononane), or C10 cycloalkyl (i.e. cyclodecane).

일부 실시양태에서, 화학식 6에서의 링커C는 적어도 1종의 헤테로원자를 포함할 수 있다. 일부 실시양태에서, 링커C는 1개 이상의 산소 (O) 헤테로원자, 1개 이상의 질소 (N) 헤테로원자, 1개 이상의 황 (S) 헤테로원자 및/또는 1개 이상의 인 (P) 헤테로원자를 포함할 수 있다.In some embodiments, Linker C in Formula 6 may include at least one heteroatom. In some embodiments, Linker C has one or more oxygen (O) heteroatoms, one or more nitrogen (N) heteroatoms, one or more sulfur (S) heteroatoms, and/or one or more phosphorus (P) heteroatoms. It can be included.

일부 실시양태에서, 화학식 6에서의 링커C는 적어도 1종의 지방족 헤테로사이클을 포함할 수 있다. 일부 실시양태에서, 링커C는 테트라히드로푸란 (THF), 테트라히드로피란 (THP), 모르폴린, 피페리딘, 피페라진, 피롤리딘 및/또는 아제티딘 중 적어도 1종을 포함할 수 있다.In some embodiments, Linker C in Formula 6 can include at least one aliphatic heterocycle. In some embodiments, Linker C may comprise at least one of tetrahydrofuran (THF), tetrahydropyran (THP), morpholine, piperidine, piperazine, pyrrolidine, and/or azetidine.

일부 실시양태에서, 화학식 6에서의 링커C는 적어도 1종의 헤테로아릴 기를 포함할 수 있다. 일부 실시양태에서, 링커C는 이미다졸, 피라졸, 피리딘, 피리미딘, 트리아졸, 및/또는 1,2,3-트리아졸 중 1종 이상을 포함할 수 있다.In some embodiments, Linker C in Formula 6 can include at least one heteroaryl group. In some embodiments, Linker C may include one or more of imidazole, pyrazole, pyridine, pyrimidine, triazole, and/or 1,2,3-triazole.

일부 실시양태에서, 화학식 6에서의 링커C는 적어도 1종의 치환된 헤테로아릴 기를 포함할 수 있다. 일부 실시양태에서, 치환된 헤테로아릴 기는 하기 치환기 중 1종 이상을 포함할 수 있다: 알킬, 시클로알킬, 히드록시, 알콕시드, 카르복실, 아민, 아미드, 할라이드, 술포닐 및 술폰아미드.In some embodiments, Linker C in Formula 6 can include at least one substituted heteroaryl group. In some embodiments, substituted heteroaryl groups can include one or more of the following substituents: alkyl, cycloalkyl, hydroxy, alkoxide, carboxyl, amine, amide, halide, sulfonyl, and sulfonamide.

일부 실시양태에서, 화학식 6에서의 링커C는 적어도 1종의 아미노산을 포함할 수 있다. 다양한 아미노산이 관련 기술분야의 통상의 기술자에게 공지되어 있다. 링커C는 1종 이상의 특이적 아미노산을 포함하는 것으로 제한되지 않는다. 예를 들어, 링커C는 1개 이상의 아르기닌 (Arg) 아미노산, 1개 이상의 히스티딘 (His) 아미노산, 1개 이상의 리신 (Lys) 아미노산, 1개 이상의 아스파르트산 (Asp) 아미노산, 1개 이상의 글루탐산 (Glu) 아미노산, 1개 이상의 세린 (Ser) 아미노산, 1개 이상의 트레오닌 (Thr) 아미노산, 1개 이상의 아스파라긴 (Asn) 아미노산, 1개 이상의 글루타민 (Gln) 아미노산, 1개 이상의 시스테인 (Cys) 아미노산, 1개 이상의 셀레노시스테인 (Sec) 아미노산, 1개 이상의 글리신 (Gly) 아미노산, 1개 이상의 프롤린 (Pro) 아미노산, 1개 이상의 알라닌 (Ala) 아미노산, 1개 이상의 발린 (Val) 아미노산, 1개 이상의 이소류신 (Ile) 아미노산, 1개 이상의 류신 (Leu) 아미노산, 1개 이상의 메티오닌 (Met) 아미노산, 1개 이상의 페닐알라닌 (Phe) 아미노산, 1개 이상의 티로신 (Tyr) 아미노산, 및/또는 1개 이상의 트립토판 (Trp) 아미노산을 포함할 수 있다.In some embodiments, Linker C in Formula 6 may include at least one amino acid. A variety of amino acids are known to those skilled in the art. Linker C is not limited to containing one or more specific amino acids. For example, linker C contains one or more arginine (Arg) amino acids, one or more histidine (His) amino acids, one or more lysine (Lys) amino acids, one or more aspartic acid (Asp) amino acids, and one or more glutamic acids (Glu). ) amino acids, 1 or more serine (Ser) amino acids, 1 or more threonine (Thr) amino acids, 1 or more asparagine (Asn) amino acids, 1 or more glutamine (Gln) amino acids, 1 or more cysteine (Cys) amino acids, 1 One or more selenocysteine (Sec) amino acids, one or more glycine (Gly) amino acids, one or more proline (Pro) amino acids, one or more alanine (Ala) amino acids, one or more valine (Val) amino acids, one or more isoleucine ( Ile) amino acid, one or more leucine (Leu) amino acids, one or more methionine (Met) amino acids, one or more phenylalanine (Phe) amino acids, one or more tyrosine (Tyr) amino acids, and/or one or more tryptophan (Trp) May contain amino acids.

일부 실시양태에서, 화학식 6에서의 링커C는 적어도 1종의 뉴클레오티드를 포함할 수 있다. 다양한 뉴클레오티드가 관련 기술분야의 통상의 기술자에게 공지되어 있다. 링커C는 1종 이상의 특이적 뉴클레오티드를 포함하는 것으로 제한되지 않는다. 예를 들어, 링커C는 구아닌 핵염기를 포함하는 1종 이상의 뉴클레오티드, 아데닌 핵염기를 포함하는 1종 이상의 뉴클레오티드, 시토신 핵염기를 포함하는 1종 이상의 뉴클레오티드, 티민 핵염기를 포함하는 1종 이상의 뉴클레오티드, 및/또는 우라실 핵염기를 포함하는 1종 이상의 뉴클레오티드를 포함할 수 있다. 일부 실시양태에서, 링커C는 적어도 1종의 무염기성 뉴클레오티드를 포함할 수 있다. 관련 기술분야에 공지된 바와 같이, 무염기성 뉴클레오티드는 푸린 염기도 피리미딘 염기도 갖지 않는 위치인 무염기성 부위를 갖는 뉴클레오티드이다. 예를 들어, 링커C는 1종 이상의 무염기성 DNA 및/또는 1종 이상의 무염기성 RNA를 포함할 수 있다. 일부 실시양태에서, 링커C는 적어도 1종의 역전된 무염기성 뉴클레오티드를 포함할 수 있다. 예를 들어, 링커C는 1종 이상의 역전된 무염기성 DNA 및/또는 1종 이상의 역전된 무염기성 RNA를 포함할 수 있다.In some embodiments, Linker C in Formula 6 may comprise at least one nucleotide. A variety of nucleotides are known to those skilled in the art. Linker C is not limited to containing one or more specific nucleotides. For example, linker C is one or more nucleotides containing a guanine nucleobase, one or more nucleotides containing an adenine nucleobase, one or more nucleotides containing a cytosine nucleobase, and one or more nucleotides containing a thymine nucleobase. , and/or may include one or more nucleotides containing a uracil nucleobase. In some embodiments, Linker C may include at least one abasic nucleotide. As is known in the art, an abasic nucleotide is a nucleotide that has an abasic site, which is a position that has neither a purine base nor a pyrimidine base. For example, Linker C may include one or more types of abasic DNA and/or one or more types of abasic RNA. In some embodiments, Linker C may include at least one inverted basic nucleotide. For example, Linker C may comprise one or more inverted abasic DNA and/or one or more inverted abasic RNA.

일부 실시양태에서, 화학식 6에서의 링커C는 적어도 1종의 사카라이드를 포함할 수 있다. 일부 실시양태에서, 링커C는 적어도 1종의 글루코스 단당류 단위, 적어도 1종의 프룩토스 단당류 단위, 적어도 1종의 만노스 단당류 단위, 적어도 1종의 갈락토스 단당류 단위, 적어도 1종의 리보스 단당류 단위, 및/또는 적어도 1종의 글루코사민 단당류 단위를 포함할 수 있다.In some embodiments, Linker C in Formula 6 may comprise at least one saccharide. In some embodiments, Linker C comprises at least one glucose monosaccharide unit, at least one fructose monosaccharide unit, at least one mannose monosaccharide unit, at least one galactose monosaccharide unit, at least one ribose monosaccharide unit, and /or may comprise at least one glucosamine monosaccharide unit.

일부 실시양태에서, 화학식 6에서의 링커C는 하기 중 1종 이상을 포함할 수 있다:In some embodiments, Linker C in Formula 6 may include one or more of the following:

Figure pct00048
Figure pct00048

여기서:here:

j는 1 내지 12의 정수이고,j is an integer from 1 to 12,

k는 0 내지 12의 정수이다.k is an integer from 0 to 12.

일부 실시양태에서, 관능기는 하기 화학식을 가질 수 있다:In some embodiments, the functional group can have the formula:

Figure pct00049
Figure pct00049

여기서 링커C는 티오에테르 결합을 통해 숙신이미드 고리 탄소 중 하나에 부착된 한 말단 및 올리고뉴클레오티드의 3' 또는 5' 말단에 부착된 다른 말단을 갖는 스페이서이다.Here Linker C is a spacer with one end attached to one of the succinimide ring carbons via a thioether bond and the other end attached to the 3' or 5' end of the oligonucleotide.

일부 실시양태에서, 링커B는 화학식 7의 숙신이미드 질소에 부착된다.In some embodiments, Linker B is attached to the succinimide nitrogen of Formula 7.

일부 실시양태에서, 화학식 7에서의 링커C는 적어도 1종의 PEG를 포함할 수 있다. PEG는 임의의 수의 반복 O-CH2-CH2 단위를 가질 수 있다. 예를 들어, PEG는 PEG1, PEG2, PEG3, PEG4, PEG5, PEG6, PEG7, PEG8, PEG9, PEG10, PEG11, PEG12, PEG13, PEG14, PEG15, PEG16, PEG17, PEG18, PEG19, PEG20, PEG21, PEG22, PEG23, PEG24, PEG25, PEG26, PEG27, PEG28, PEG29, PEG30, PEG31, PEG32, PEG33, PEG34, PEG35, PEG36, PEG37, PEG38, PEG39, PEG40, PEG41, PEG42, PEG43, PEG44, PEG45, PEG46, PEG47, PEG48, PEG49, PEG50, PEG51, PEG52, PEG53, PEG54, PEG55, PEG56, PEG57, PEG58, PEG59, PEG60, PEG61, PEG62, PEG63, PEG64, PEG65, PEG66, PEG67, PEG68, PEG69, PEG70, PEG71, PEG72, PEG73, PEG74, PEG75, PEG76, PEG77, PEG78, PEG79, PEG80, PEG81, PEG82, PEG83, PEG84, PEG85, PEG86, PEG87, PEG88, PEG89, PEG90, PEG91, PEG92, PEG93, PEG94, PEG95, PEG96, PEG97, PEG98, PEG99, PEG100, 또는 그 초과일 수 있다.In some embodiments, Linker C in Formula 7 may include at least one PEG. PEG may have any number of repeating O-CH2 -CH2 units. For example, PEG is PEG1, PEG2, PEG3, PEG4, PEG5, PEG6, PEG7, PEG8, PEG9, PEG10, PEG11, PEG12, PEG13, PEG14, PEG15, PEG16, PEG17, PEG18, PEG19, PEG20, PEG21, PEG22, PEG23, PEG24, PEG25, PEG26, PEG27, PEG28, PEG29, PEG30, PEG31, PEG32, PEG33, PEG34, PEG35, PEG36, PEG37, PEG38, PEG39, PEG40, PEG41, PEG42, PEG43, PEG44, PEG45, PEG46, 7, PEG48, PEG49, PEG50, PEG51, PEG52, PEG53, PEG54, PEG55, PEG56, PEG57, PEG58, PEG59, PEG60, PEG61, PEG62, PEG63, PEG64, PEG65, PEG66, PEG67, PEG68, PEG69, PEG70, PEG71, 2, PEG73, PEG74, PEG75, PEG76, PEG77, PEG78, PEG79, PEG80, PEG81, PEG82, PEG83, PEG84, PEG85, PEG86, PEG87, PEG88, PEG89, PEG90, PEG91, PEG92, PEG93, PEG94, PEG95, PEG96, 7, It may be PEG98, PEG99, PEG100, or higher.

일부 실시양태에서, 화학식 7에서의 링커C는 적어도 1종의 알킬 기를 포함할 수 있다. 일부 실시양태에서, 알킬 기는 2개의 탄소, 3개의 탄소, 4개의 탄소, 5개의 탄소, 6개의 탄소, 7개의 탄소, 8개의 탄소, 9개의 탄소, 10개의 탄소, 11개의 탄소, 12개의 탄소, 13개의 탄소, 14개의 탄소, 15개의 탄소, 16개의 탄소, 17개의 탄소, 18개의 탄소, 19개의 탄소, 또는 20개의 탄소를 가질 수 있다.In some embodiments, Linker C in Formula 7 can include at least one alkyl group. In some embodiments, the alkyl group has 2 carbons, 3 carbons, 4 carbons, 5 carbons, 6 carbons, 7 carbons, 8 carbons, 9 carbons, 10 carbons, 11 carbons, 12 carbons. , may have 13 carbons, 14 carbons, 15 carbons, 16 carbons, 17 carbons, 18 carbons, 19 carbons, or 20 carbons.

일부 실시양태에서, 화학식 7에서의 링커C는 적어도 1종의 시클로알킬 기를 포함할 수 있다. 일부 실시양태에서, 시클로알킬 기는 C3 시클로알킬 (즉, 시클로프로판), C4 시클로알킬 (즉, 시클로부텐), C5 시클로알킬 (즉, 시클로펜탄), C6 시클로알킬 (즉, 시클로헥산), C7 시클로알킬 (즉, 시클로헵탄), C8 시클로알킬 (즉, 시클로옥탄), C9 시클로알킬 (즉, 시클로노난), 또는 C10 시클로알킬 (즉, 시클로데칸)일 수 있다.In some embodiments, Linker C in Formula 7 can include at least one cycloalkyl group. In some embodiments, a cycloalkyl group is C3 cycloalkyl (i.e., cyclopropane), C4 cycloalkyl (i.e., cyclobutene), C5 cycloalkyl (i.e., cyclopentane), C6 cycloalkyl (i.e., cyclohexane), C7 cycloalkyl It may be alkyl (i.e. cycloheptane), C8 cycloalkyl (i.e. cyclooctane), C9 cycloalkyl (i.e. cyclononane), or C10 cycloalkyl (i.e. cyclodecane).

일부 실시양태에서, 화학식 7에서의 링커C는 하기 중 1종 이상을 포함할 수 있다:In some embodiments, Linker C in Formula 7 may include one or more of the following:

Figure pct00050
Figure pct00050

여기서:here:

j는 1 내지 12의 정수이고,j is an integer from 1 to 12,

k는 0 내지 12의 정수이다.k is an integer from 0 to 12.

GalNAc 표적화 리간드를 포함하는 다가 리간드 클러스터Multivalent ligand cluster containing GalNAc targeting ligand

일부 실시양태에서, 본 개시내용의 다가 리간드 클러스터는 화학식 8의 일반 구조를 가질 수 있다:In some embodiments, multivalent ligand clusters of the present disclosure can have the general structure of Formula 8:

Figure pct00051
Figure pct00051

여기서:here:

m은 1 내지 10의 정수이고,m is an integer from 1 to 10,

각각의 n은 1 내지 10의 독립적으로 선택된 정수이고,Each n is an independently selected integer from 1 to 10,

각각의 링커A는 TL에 부착된 한 말단 및 알킬카르복스아미드의 질소에 부착된 다른 말단을 갖는, 독립적으로 선택된 스페이서이고,Each Linker A is an independently selected spacer with one end attached to TL and the other end attached to the nitrogen of an alkylcarboxamide,

링커B는 제약 작용제 또는 1종 이상의 제약 작용제에 연결될 수 있는 관능기에 부착된 한 말단 및 디아민 질소에 부착된 다른 말단을 갖는 스페이서이고,Linker B is a spacer having one end attached to a pharmaceutical agent or a functional group capable of being linked to one or more pharmaceutical agents and the other end attached to a diamine nitrogen,

W는 1종 이상의 제약 작용제, 또는 1종 이상의 제약 작용제에 연결될 수 있는 관능기이다.W is one or more pharmaceutical agents, or a functional group that can be linked to one or more pharmaceutical agents.

일부 실시양태에서, 본 개시내용의 다가 리간드 클러스터는 화학식 9의 일반 구조를 가질 수 있다:In some embodiments, multivalent ligand clusters of the present disclosure can have the general structure of Formula 9:

Figure pct00052
Figure pct00052

여기서:here:

m은 1 내지 10의 정수이고,m is an integer from 1 to 10,

각각의 n은 1 내지 10의 독립적으로 선택된 정수이고,Each n is an independently selected integer from 1 to 10,

각각의 링커A는 독립적으로 선택된 스페이서이고,Each linker A is an independently selected spacer,

링커B는 스페이서이고,Linker B is a spacer,

링커C는 스페이서이거나 부재하고,Linker C is a spacer or absent,

X는 메틸 기, 산소, 황 또는 아미노 기이고,X is a methyl group, oxygen, sulfur or amino group,

Y는 산소, 황 또는 아미노 기이다.Y is oxygen, sulfur or amino group.

일부 실시양태에서, 본 개시내용의 다가 리간드 클러스터는 화학식 10의 일반 구조를 가질 수 있다:In some embodiments, multivalent ligand clusters of the present disclosure can have the general structure of Formula 10:

Figure pct00053
Figure pct00053

여기서:here:

m은 1 내지 10의 정수이고,m is an integer from 1 to 10,

각각의 n은 1 내지 10의 독립적으로 선택된 정수이고,Each n is an independently selected integer from 1 to 10,

각각의 링커A는 독립적으로 선택된 스페이서이고,Each linker A is an independently selected spacer,

링커B는 스페이서이고,Linker B is a spacer,

링커C는 스페이서이다.Linker C is a spacer.

일부 실시양태에서, 본 개시내용의 다가 리간드 클러스터는 화학식 11의 일반 구조를 가질 수 있다:In some embodiments, multivalent ligand clusters of the present disclosure can have the general structure of Formula 11:

Figure pct00054
Figure pct00054

여기서:here:

m은 1 내지 10의 정수이고,m is an integer from 1 to 10,

각각의 n은 1 내지 10의 독립적으로 선택된 정수이고,Each n is an independently selected integer from 1 to 10,

각각의 링커A는 독립적으로 선택된 스페이서이고,Each linker A is an independently selected spacer,

링커B는 스페이서이고,Linker B is a spacer,

링커C는 스페이서이다.Linker C is a spacer.

하기는 GalNAc 또는 보호된 GalNAc 표적화 리간드, 화학식 1로부터의 다양한 "m", 화학식 1로부터의 다양한 "n", 및 1종 이상의 제약 작용제에 연결될 수 있는 다양한 관능기를 포함하는 다가 리간드 클러스터에 대한 예시적인 화학식이다:Below are examples of multivalent ligand clusters comprising GalNAc or protected GalNAc targeting ligands, various "m" from Formula 1, various "n" from Formula 1, and various functional groups that can be linked to one or more pharmaceutical agents. The chemical formula is:

Figure pct00055
Figure pct00055

Figure pct00056
Figure pct00056

Figure pct00057
Figure pct00057

Figure pct00058
Figure pct00058

Figure pct00059
Figure pct00059

Figure pct00060
Figure pct00060

Figure pct00061
Figure pct00061

Figure pct00062
Figure pct00062

Figure pct00063
Figure pct00063

Figure pct00064
Figure pct00064

Figure pct00065
Figure pct00065

제1 실시예 제조 방법First Example Manufacturing Method

화학식 1을 갖는 화합물의 실시예의 한 제조 방법은 하기 반응식 1에 도시된다. 출발 물질 및 중간체는 상업적 공급원으로부터 구입하거나, 공지된 절차로부터 제조하거나, 또는 달리 예시할 수 있다. 반응식의 단계를 수행하는 순서는 달라질 수 있다.One method for preparing an example of a compound having Formula 1 is shown in Scheme 1 below. Starting materials and intermediates can be purchased from commercial sources, prepared from known procedures, or otherwise exemplified. The order in which the steps in the reaction scheme are performed may vary.

반응식 1Scheme 1

반응식 1은 단일-보호된 디아민 (화합물 I)으로 출발한다. 단일-보호된 디아민은 제1 질소 및 제2 질소를 포함하며, 여기서 제1 질소는 1급 아민이고, 제2 질소는 반응식 1에서 보호기 (PG)를 포함하는 2급 아민이다.Scheme 1 starts with a mono-protected diamine (Compound I). A single-protected diamine includes a first nitrogen and a second nitrogen, where the first nitrogen is a primary amine and the second nitrogen is a secondary amine that includes a protecting group (PG) in Scheme 1.

다양한 보호기가 관련 기술분야의 통상의 기술자에게 공지되어 있고, 사용될 수 있다. 일부 실시양태에서, 보호기는 벤질 기일 수 있다. 일부 실시양태에서, 보호기는 트리페닐메틸 기일 수 있다.A variety of protecting groups are known to those skilled in the art and may be used. In some embodiments, the protecting group can be a benzyl group. In some embodiments, the protecting group can be a triphenylmethyl group.

반응식 1에서 "m"은 임의의 정수일 수 있다. 일부 실시양태에서, 반응식 1에서의 m은 1 내지 10의 정수일 수 있다.In Scheme 1, “m” may be any integer. In some embodiments, m in Scheme 1 can be an integer from 1 to 10.

화합물 I로 출발하여, 트리에스테르 화합물 II는 한 단계로 합성할 수 있다. 일부 실시양태에서, 화합물 II는 화합물 I 및 1종 이상의 적절한 기질을 사용하여 SN2 치환 반응을 통해 합성할 수 있다. 일부 실시양태에서, 화합물 II는 화합물 I 및 1종 이상의 적절한 기질을 사용하여 환원성 아미노화 반응을 통해 합성할 수 있다. 일부 실시양태에서, 화합물 II는 화합물 I 및 1종 이상의 적절한 기질을 사용하여 마이클 첨가 반응을 통해 합성할 수 있다.Starting with compound I, triester compound II can be synthesized in one step. In some embodiments, Compound II can be synthesized via a SN 2 substitution reaction using Compound I and one or more suitable substrates. In some embodiments, Compound II can be synthesized via a reductive amination reaction using Compound I and one or more suitable substrates. In some embodiments, Compound II can be synthesized via a Michael addition reaction using Compound I and one or more suitable substrates.

반응식 1에 예시된 바와 같이, 화합물 II는 화합물 I에 커플링된 다양한 보호된 카르복실산으로부터 생성한다. 화합물 II에서, 제1 질소는 제1 보호된 카르복실산 및 제2 보호된 카르복실산을 포함하는 3급 아민이고, 제2 질소는 보호기 및 제3 보호된 카르복실산을 포함하는 3급 아민이다.As illustrated in Scheme 1, compound II is generated from various protected carboxylic acids coupled to compound I. In compound II, the first nitrogen is a tertiary amine comprising a first protected carboxylic acid and a second protected carboxylic acid, and the second nitrogen is a tertiary amine comprising a protecting group and a third protected carboxylic acid. am.

반응식 1에서 각각의 "n"은 독립적으로 선택된 정수이다. 일부 실시양태에서, 반응식 1에서의 각각의 n은 0 내지 10의 독립적으로 선택된 정수이다.In Scheme 1, each “n” is an independently selected integer. In some embodiments, each n in Scheme 1 is an independently selected integer from 0 to 10.

화합물 III는 화합물 II의 제2 질소를 탈보호시켜, 화합물 III의 제2 질소가 제3 보호된 카르복실산을 포함하는 2급 아민이 되도록 함으로써 제조한다. 보호기가 벤질 기인 실시양태에서, 화합물 III는 화합물 II를 사용하여 수소화 반응을 수행함으로써 제조할 수 있다. 보호기가 트리페닐메틸 기인 실시양태에서, 화합물 III는 제2 화합물을 적어도 1종의 산과 반응시킴으로써 제조할 수 있다. 산의 예는 염산 (HCl) 및 트리플루오로아세트산 (TFA)을 포함하나, 이에 제한되지는 않는다.Compound III is prepared by deprotecting the secondary nitrogen of Compound II such that the secondary nitrogen of Compound III becomes a secondary amine containing a third protected carboxylic acid. In embodiments where the protecting group is a benzyl group, compound III can be prepared by performing a hydrogenation reaction using compound II. In embodiments where the protecting group is a triphenylmethyl group, compound III can be prepared by reacting the second compound with at least one acid. Examples of acids include, but are not limited to, hydrochloric acid (HCl) and trifluoroacetic acid (TFA).

화합물 IV는 히드록시 기를 포함하는 모이어티를 화합물 III의 제2 질소에 부착시켜, 화합물 IV의 제2 질소가 제3 보호된 카르복실산 및 히드록시 기를 포함하는 모이어티를 포함하는 3급 아민 또는 아미드가 되도록 함으로써 제조한다. 히드록시 기를 포함하는 모이어티는 상기 본원에 기재된 임의의 링커B를 사용하여 제2 질소에 부착할 수 있다.Compound IV attaches a moiety comprising a hydroxy group to the second nitrogen of Compound III such that the second nitrogen of Compound IV is a tertiary amine comprising a third protected carboxylic acid and a moiety comprising a hydroxy group. It is prepared by turning it into an amide. The moiety comprising a hydroxy group can be attached to the second nitrogen using any of the linkers B described herein above.

일부 실시양태에서, 트리에스테르 화합물 IV를 제조하는 것은 화합물 III 및 1종 이상의 적절한 기질을 사용하여 SN2 반응을 수행하는 것을 포함한다. 일부 실시양태에서, 화합물 IV를 제조하는 것은 화합물 III 및 1종 이상의 적절한 기질을 사용하여 환원성 아미노화 반응을 수행하는 것을 포함한다. 일부 실시양태에서, 화합물 IV를 제조하는 것은 화합물 III 및 1종 이상의 적절한 기질을 사용하여 마이클 첨가 반응을 수행하는 것을 포함한다. 일부 실시양태에서, 화합물 IV를 제조하는 것은 화합물 III 및 1종 이상의 적절한 기질을 사용하여 아미드 커플링 반응을 수행하는 것을 포함한다. 일부 실시양태에서, 화합물 IV를 제조하는 것은 화합물 III 및 1종 이상의 적절한 기질을 사용하여 친핵성 첨가 반응을 수행하는 것을 포함한다. 기질의 예는 이소시아네이트 및 이소티오시아네이트를 포함하나, 이에 제한되지는 않는다.In some embodiments, preparing triester compound IV includes carrying out a SN 2 reaction using compound III and one or more suitable substrates. In some embodiments, preparing Compound IV includes performing a reductive amination reaction using Compound III and one or more suitable substrates. In some embodiments, preparing Compound IV includes performing a Michael addition reaction using Compound III and one or more suitable substrates. In some embodiments, preparing Compound IV includes performing an amide coupling reaction using Compound III and one or more appropriate substrates. In some embodiments, preparing Compound IV includes performing a nucleophilic addition reaction using Compound III and one or more suitable substrates. Examples of substrates include, but are not limited to, isocyanates and isothiocyanates.

트리산 화합물 V는 화합물 IV의 보호된 카르복실산을 카르복실산으로 전환시킴으로써 제조한다. 일부 실시양태에서, 화합물 V는 화합물 IV를 1종 이상의 산과 반응시킴으로써 제조할 수 있다 (예를 들어, 반응식 1에서 R이 산 감수성 기, 예컨대 tert-부틸 기인 경우). 일부 실시양태에서, 1종 이상의 산은 염산 (HCl), 브로민화수소산 (HBr), 트리플루오로아세트산 (TFA) 및 포름산을 포함할 수 있다. 일부 실시양태에서, 화합물 V를 제조하는 것은 화합물 IV를 사용하여 수소화 반응을 수행하는 것을 포함할 수 있다 (예를 들어, 반응식 1에서 R이 벤질 기인 경우). 일부 실시양태에서, 화합물 V를 제조하는 것은 화합물 IV를 사용하여 가수분해 반응을 수행하는 것을 포함할 수 있다.Triic acid compound V is prepared by converting the protected carboxylic acid of compound IV to a carboxylic acid. In some embodiments, Compound V can be prepared by reacting Compound IV with one or more acids (e.g., when R in Scheme 1 is an acid sensitive group, such as a tert-butyl group). In some embodiments, one or more acids may include hydrochloric acid (HCl), hydrobromic acid (HBr), trifluoroacetic acid (TFA), and formic acid. In some embodiments, preparing Compound V may include performing a hydrogenation reaction using Compound IV (e.g., when R in Scheme 1 is a benzyl group). In some embodiments, preparing Compound V may include performing a hydrolysis reaction using Compound IV.

화합물 VI는 화합물 V를 사용하여 아미드 커플링 반응을 수행함으로써 제조될 수 있다. 화합물 VI에서, 제1 질소는 제1 아미드 및 제2 아미드를 포함하는 3급 아민이고, 제2 질소는 히드록시 기 및 제3 아미드를 포함하는 모이어티를 포함하는 3급 아민이다. 제1 아미드, 제2 아미드 및 제3 아미드 각각은 독립적으로 선택된 표적화 리간드에 커플링시킬 수 있다. 반응식 1에서의 링커A는 본원에 기재된 임의의 링커A일 수 있다. 반응식 1에서의 TL은 본원에 기재된 임의의 TL일 수 있다.Compound VI can be prepared by performing an amide coupling reaction using compound V. In compound VI, the first nitrogen is a tertiary amine comprising a first amide and a second amide, and the second nitrogen is a tertiary amine comprising a moiety comprising a hydroxy group and a tertiary amide. Each of the first amide, second amide and third amide can independently couple to a selected targeting ligand. Linker A in Scheme 1 may be any Linker A described herein. TL in Scheme 1 may be any TL described herein.

화합물 VII는 화합물 VI의 히드록시 기 (링커B에 부착됨)를 포스피틸화 반응을 사용하여 포스포르아미다이트 기로 전환시킴으로써 제조한다. 반응식 1에 예시된 바와 같이, 일부 실시양태에서 히드록시 기를 포스포르아미다이트 기로 전환시키는 것은 아미드 커플링 반응을 수행하여 화합물 VI를 제조한 후에 수행할 수 있다.Compound VII is prepared by converting the hydroxy group of Compound VI (attached to Linker B) to a phosphoramidite group using a phosphitylation reaction. As illustrated in Scheme 1, in some embodiments conversion of a hydroxy group to a phosphoramidite group can be performed after performing an amide coupling reaction to prepare Compound VI.

제2 실시예 제조 방법Second Example Manufacturing Method

화학식 1을 갖는 화합물의 실시예의 또 다른 제조 방법은 하기 반응식 2에 도시된다. 반응식 2는 화학식 1의 화합물이 1종 이상의 상이한 표적화 리간드를 갖도록 한다. 반응식 2는 표적화 리간드의 단계적 도입을 허용한다. 출발 물질 및 중간체는 상업적 공급원으로부터 구입하거나, 공지된 절차로부터 제조하거나, 또는 달리 예시할 수 있다. 반응식의 단계를 수행하는 순서는 달라질 수 있다.Another method for preparing an example of a compound having Formula 1 is shown in Scheme 2 below. Scheme 2 allows compounds of Formula 1 to have one or more different targeting ligands. Scheme 2 allows stepwise introduction of targeting ligands. Starting materials and intermediates can be purchased from commercial sources, prepared from known procedures, or otherwise exemplified. The order in which the steps in the reaction scheme are performed may vary.

반응식 2Scheme 2

반응식 2는 이중-보호된 디아민 (화합물 I)으로 출발한다. 이중-보호된 디아민은 제1 질소 및 제2 질소를 포함하며, 여기서 제1 질소는 제1 보호기를 포함하는 2급 아민 (PG1)이고, 제2 질소는 제2 보호기를 포함하는 1급 또는 2급 아민 (PG2)이다.Scheme 2 starts with a double-protected diamine (Compound I). A double-protected diamine comprises a first nitrogen and a second nitrogen, where the first nitrogen is a secondary amine (PG1 ) comprising a first protecting group and the second nitrogen is a primary or secondary amine comprising a second protecting group. It is a secondary amine (PG2 ).

제1 보호기 및 제2 보호기는 상이할 수 있고, 이에 의해 상이한 링커A 및 표적화 리간드가 디아민 스캐폴드에 부착되도록 한다. 다양한 보호기가 관련 기술분야의 통상의 기술자에게 공지되어 있고, 사용될 수 있다. 일부 실시양태에서, 제1 보호기는 벤질 기일 수 있고, 제2 보호기는 tert-부틸옥시카르보닐 (Boc) 기일 수 있다.The first and second protecting groups can be different, thereby allowing different Linker A and targeting ligands to attach to the diamine scaffold. A variety of protecting groups are known to those skilled in the art and may be used. In some embodiments, the first protecting group can be a benzyl group and the second protecting group can be a tert-butyloxycarbonyl (Boc) group.

반응식 2에서 "m"은 임의의 정수일 수 있다. 일부 실시양태에서, 반응식 2에서의 m은 1 내지 10의 정수일 수 있다.In Scheme 2, “m” may be any integer. In some embodiments, m in Scheme 2 can be an integer from 1 to 10.

화합물 II는 제1 보호된 카르복실산을 화합물 I의 제1 질소에 커플링시켜 화합물 II의 제1 질소가 3급 아민이 되도록 함으로써 제조할 수 있다. 관련 기술분야의 통상의 기술자는, 화합물 I에서의 보호기를 구별함으로써, 보호기가 전략적으로 제거되고 대체될 수 있음을 인지할 것이다. 예를 들어, 제1 보호기가 벤질 기이고 제2 보호기가 Boc 기인 실시양태에서, 화합물 I의 벤질 기를 갖는 아민 (Boc 기를 갖는 아민은 아님)은 1종 이상의 적절한 시약과 SN2 치환 반응, 환원성 아미노화 반응, 또는 마이클 첨가 반응을 거쳐 화합물 II를 형성할 수 있다.Compound II can be prepared by coupling a first protected carboxylic acid to the first nitrogen of Compound I such that the first nitrogen of Compound II is a tertiary amine. Those skilled in the art will recognize that by distinguishing the protecting groups in Compound I, protecting groups can be strategically removed and replaced. For example, in embodiments where the first protecting group is a benzyl group and the second protecting group is a Boc group, the benzyl group-bearing amine (but not the Boc group-bearing amine) of Compound I can be subjected to aSN 2 substitution reaction with one or more suitable reagents, reducing Compound II can be formed through an amination reaction or a Michael addition reaction.

화합물 III는 화합물 II로부터 제1 보호기를 제거함으로써 제조할 수 있다. 화합물 III에서, 제1 질소는 제1 보호된 카르복실산을 갖는 2급 아민이고, 제2 질소는 제2 보호기를 갖는 1급 또는 2급 아민이다. 일부 실시양태에서, 화합물 III를 제조하는 것은 수소화 반응을 수행하는 것을 포함할 수 있다 (예를 들어, 제1 보호기가 벤질 기인 경우).Compound III can be prepared by removing the first protecting group from compound II. In compound III, the first nitrogen is a secondary amine with a first protected carboxylic acid and the second nitrogen is a primary or secondary amine with a second protecting group. In some embodiments, preparing Compound III may include performing a hydrogenation reaction (e.g., when the first protecting group is a benzyl group).

화합물 IV는 제2 보호된 카르복실산을 화합물 III의 제1 질소에 커플링시켜 3급 아민인 화합물 IV의 제1 질소를 제조함으로써 제조할 수 있다. 일부 실시양태에서, 화합물 IV를 제조하는 것은 화합물 III 및 1종 이상의 다른 적절한 시약을 사용하여 SN2 치환 반응을 수행하는 것을 포함할 수 있다. 일부 실시양태에서, 화합물 IV를 제조하는 것은 화합물 III 및 1종 이상의 다른 적절한 시약을 사용하여 환원성 아미노화 반응을 수행하는 것을 포함할 수 있다. 일부 실시양태에서, 화합물 IV를 제조하는 것은 화합물 III 및 1종 이상의 다른 적절한 시약을 사용하여 마이클 첨가 반응을 수행하는 것을 포함할 수 있다. 일부 실시양태에서, 화합물 IV를 제조하는 것은 화합물 III 및 1종 이상의 다른 적절한 시약을 사용하여 아미드 커플링 반응을 수행하는 것을 포함할 수 있다. 일부 실시양태에서, 화합물 IV를 제조하는 것은 화합물 III 및 1종 이상의 다른 적절한 시약을 사용하여 친핵성 첨가 반응을 수행하는 것을 포함할 수 있다.Compound IV can be prepared by coupling a second protected carboxylic acid to the first nitrogen of compound III to prepare the first nitrogen of compound IV, which is a tertiary amine. In some embodiments, preparing Compound IV may include performing a SN 2 substitution reaction using Compound III and one or more other suitable reagents. In some embodiments, preparing Compound IV may include performing a reductive amination reaction using Compound III and one or more other suitable reagents. In some embodiments, preparing Compound IV may include performing a Michael addition reaction using Compound III and one or more other suitable reagents. In some embodiments, preparing Compound IV may include performing an amide coupling reaction using Compound III and one or more other suitable reagents. In some embodiments, preparing Compound IV may include performing a nucleophilic addition reaction using Compound III and one or more other suitable reagents.

화합물 V는 화합물 IV로부터 제2 보호기를 제거하여, 화합물 V의 제1 질소가 제1 보호된 카르복실산 및 제2 보호된 카르복실산을 포함하는 3급 아민이고, 화합물 V의 제2 질소가 1급 아민이 되도록 함으로써 제조할 수 있다. 일부 실시양태에서 (예를 들어, 제2 보호기가 Boc 기인 경우에), 화합물 V는 화합물 IV를 적어도 1종의 산과 반응시킴으로써 제조할 수 있다. 산의 예는 염산 (HCl) 및 트리플루오로아세트산 (TFA)을 포함하나, 이에 제한되지는 않는다. 화합물 VI는 제3 보호된 카르복실산을 화합물 V의 제2 질소에 커플링시켜 2급 아민인 화합물 VI의 제2 질소를 제조함으로써 제조할 수 있다. 일부 실시양태에서, 화합물 VI는 화합물 V 및 1종 이상의 다른 적절한 시약을 사용하여 SN2 치환 반응을 수행함으로써 생산할 수 있다. 일부 실시양태에서, 화합물 VI는 화합물 V 및 1종 이상의 다른 적절한 시약을 사용하여 환원성 아미노화 반응을 수행함으로써 생산할 수 있다. 일부 실시양태에서, 화합물 VI는 화합물 V 및 1종 이상의 다른 적절한 시약을 사용하여 마이클 첨가 반응을 수행함으로써 제조할 수 있다.Compound V is obtained by removing the second protecting group from Compound IV such that the first nitrogen of Compound V is a tertiary amine comprising a first protected carboxylic acid and a second protected carboxylic acid, and the second nitrogen of Compound V is a tertiary amine comprising a first protected carboxylic acid and a second protected carboxylic acid. It can be prepared by making it a primary amine. In some embodiments (e.g., when the second protecting group is a Boc group), compound V can be prepared by reacting compound IV with at least one acid. Examples of acids include, but are not limited to, hydrochloric acid (HCl) and trifluoroacetic acid (TFA). Compound VI can be prepared by coupling a third protected carboxylic acid to the second nitrogen of Compound V to prepare the second nitrogen of Compound VI, which is a secondary amine. In some embodiments, Compound VI can be produced by carrying out a SN 2 substitution reaction using Compound V and one or more other suitable reagents. In some embodiments, Compound VI can be produced by performing a reductive amination reaction using Compound V and one or more other suitable reagents. In some embodiments, Compound VI can be prepared by performing a Michael addition reaction using Compound V and one or more other suitable reagents.

화합물 VII는 히드록시 기를 포함하는 모이어티를 화합물 VI의 제2 질소에 부착시켜 화합물 VII의 제2 질소가 3급 아민 또는 아미드 또는 우레아가 되도록 함으로써 제조할 수 있다. 히드록시 기를 포함하는 모이어티는 상기 본원에 기재된 임의의 링커B를 사용하여 제2 질소에 부착할 수 있다. 일부 실시양태에서, 화합물 VII는 화합물 VI 및 1종 이상의 다른 적절한 시약을 사용하여 SN2 치환 반응을 수행함으로써 제조할 수 있다. 일부 실시양태에서, 화합물 VII는 화합물 VI 및 1종 이상의 다른 적절한 시약을 사용하여 환원성 아미노화 반응을 수행함으로써 제조할 수 있다. 일부 실시양태에서, 화합물 VII는 화합물 VI 및 1종 이상의 다른 적절한 시약을 사용하여 마이클 첨가 반응을 수행함으로써 제조할 수 있다. 일부 실시양태에서, 화합물 VII는 화합물 VI 및 1종 이상의 다른 적절한 시약을 사용하여 아미드 커플링 반응을 수행함으로써 제조할 수 있다. 일부 실시양태에서, 화합물 VII는 화합물 VI 및 1종 이상의 다른 적절한 시약을 사용하여 친핵성 첨가 반응을 수행함으로써 제조할 수 있다.Compound VII can be prepared by attaching a moiety containing a hydroxy group to the second nitrogen of compound VI such that the second nitrogen of compound VII is a tertiary amine or amide or urea. The moiety comprising a hydroxy group can be attached to the second nitrogen using any of the linkers B described herein above. In some embodiments, Compound VII can be prepared by carrying out a SN 2 substitution reaction using Compound VI and one or more other suitable reagents. In some embodiments, Compound VII can be prepared by performing a reductive amination reaction using Compound VI and one or more other suitable reagents. In some embodiments, Compound VII can be prepared by performing a Michael addition reaction using Compound VI and one or more other suitable reagents. In some embodiments, Compound VII can be prepared by performing an amide coupling reaction using Compound VI and one or more other suitable reagents. In some embodiments, Compound VII can be prepared by performing a nucleophilic addition reaction using Compound VI and one or more other suitable reagents.

반응식 2의 예에서, Ra, Rb 및 Rc는 표적화 리간드가 선택적으로 부착될 수 있도록 충분히 상이할 수 있으며, 예를 들어 한 시나리오에서 Ra, Rb 및 Rc는 각각 메틸, 벤질 및 tert-부틸 기일 수 있다. 하기는 표적화 리간드의 이러한 선택적 부착을 기재한다.In the example of Scheme 2, Ra , Rb and Rc may be different enough to allow the targeting ligand to attach selectively, for example, in one scenario Ra , Rb and Rc are methyl, benzyl and It may be a tert-butyl group. The following describes this selective attachment of targeting ligands.

화합물 VIII는 화합물 VII의 제3 보호된 카르복실산을 제1 카르복실산으로 전환시킴으로써 제조한다. 일부 실시양태에서, 화합물 VIII는 화합물 VII를 1종 이상의 산과 반응시킴으로써 제조할 수 있다 (예를 들어, 반응식 2에서의 Rc가 산 감수성 기, 예를 들어 tert-부틸 기인 경우).Compound VIII is prepared by converting the third protected carboxylic acid of Compound VII to the first carboxylic acid. In some embodiments, Compound VIII can be prepared by reacting Compound VII with one or more acids (e.g., when Rc in Scheme 2 is an acid sensitive group, such as a tert-butyl group).

화합물 IX는 화합물 VIII를 사용하여 아미드 커플링 반응을 수행함으로써 제조할 수 있다. 화합물 IX에서, 제1 질소는 제1 보호된 카르복실산 및 제2 보호된 카르복실산을 포함하고, 화합물 IX의 제2 질소는 그에 커플링된 제1 표적화 리간드를 갖는 제1 아미드 및 히드록시 기를 포함하는 모이어티를 포함한다.Compound IX can be prepared by performing an amide coupling reaction using compound VIII. In compound IX, the first nitrogen comprises a first protected carboxylic acid and a second protected carboxylic acid, and the second nitrogen in compound IX comprises a first amide and a hydroxyl group with a first targeting ligand coupled thereto. Includes a moiety containing a group.

화합물 X는 화합물 IX의 제2 보호된 카르복실산을 제2 카르복실산으로 전환시킴으로써 제조한다. 일부 실시양태에서, 화합물 X를 제조하는 것은 화합물 IX를 사용하여 수소화 반응을 수행하는 것을 포함할 수 있다 (예를 들어, 반응식 2에서의 Rb가 벤질 기인 경우).Compound X is prepared by converting the second protected carboxylic acid of Compound IX to a second carboxylic acid. In some embodiments, preparingCompound

화합물 XI는 화합물 X를 사용하여 아미드 커플링 반응을 수행함으로써 제조할 수 있다. 화합물 XI에서, 제1 질소는 제1 보호된 카르복실산 및 그에 커플링된 제2 표적화 리간드를 갖는 제2 아미드를 포함하고, 화합물 XI의 제2 질소는 그에 커플링된 제1 표적화 리간드를 갖는 제1 아미드 및 히드록시 기를 포함하는 모이어티를 포함한다.Compound XI can be prepared by performing an amide coupling reaction using compound X. In Compound XI, the first nitrogen comprises a first protected carboxylic acid and a second amide with a second targeting ligand coupled thereto, and the second nitrogen in Compound and a moiety comprising a first amide and a hydroxy group.

화합물 XII는 화합물 XI의 제1 보호된 카르복실산을 제3 카르복실산으로 전환시킴으로써 제조한다. 일부 실시양태에서, 화합물 XII를 제조하는 것은 화합물 XI를 사용하여 가수분해 반응을 수행하는 것을 포함할 수 있다 (예를 들어, 반응식 2에서의 Ra가 메틸 기인 경우).Compound XII is prepared by converting the first protected carboxylic acid of Compound XI to a third carboxylic acid. In some embodiments, preparing Compound XII may include performing a hydrolysis reaction using Compound XI (e.g., when Ra in Scheme 2 is a methyl group).

화합물 XIII는 화합물 XII를 사용하여 아미드 커플링 반응을 수행함으로써 제조할 수 있다. 화합물 XIII에서, 제1 질소는 그에 커플링된 제2 표적화 리간드를 갖는 제2 아미드 및 그에 커플링된 제3 표적화 리간드를 갖는 제3 아미드를 포함하고, 화합물 XI의 제2 질소는 그에 커플링된 제1 표적화 리간드를 갖는 제1 아미드 및 히드록시 기를 포함하는 모이어티를 포함한다.Compound XIII can be prepared by performing an amide coupling reaction using compound XII. In compound and a moiety comprising a first amide and hydroxy group with a first targeting ligand.

제1 아미드는 본원에 기재된 임의의 독립적으로 선택된 링커A를 사용하여 제1 표적화 리간드에 커플링시킬 수 있다. 제2 아미드는 본원에 기재된 임의의 독립적으로 선택된 링커A를 사용하여 제2 표적화 리간드에 커플링시킬 수 있다. 제3 아미드는 본원에 기재된 임의의 독립적으로 선택된 링커A를 사용하여 제3 표적화 리간드에 커플링시킬 수 있다.The first amide can be coupled to the first targeting ligand using any independently selected Linker A described herein. The second amide can be coupled to the second targeting ligand using any independently selected Linker A described herein. The third amide can be coupled to the third targeting ligand using any independently selected Linker A described herein.

제1 표적화 리간드, 제2 표적화 리간드 및 제3 표적화 리간드 중 1종 이상은 본원에 기재된 표적화 리간드 중 1종 이상이 되도록 독립적으로 선택될 수 있다.One or more of the first, second, and third targeting ligands may be independently selected to be one or more of the targeting ligands described herein.

히드록시 기는 본원에 기재된 임의의 링커B를 사용하여 제2 질소에 커플링될 수 있다.The hydroxy group can be coupled to the second nitrogen using any of the linkers B described herein.

일부 실시양태에서, 히드록시 기는 포스피틸화 반응을 사용하여 포스포르아미다이트 기로 전환될 수 있다. 일부 실시양태에서, 히드록시 기는 포스포르아미다이트 기로 전환되어 화합물 XIV를 제조할 수 있다.In some embodiments, a hydroxy group can be converted to a phosphoramidite group using a phosphitylation reaction. In some embodiments, a hydroxy group can be converted to a phosphoramidite group to prepare Compound XIV.

반응식 2에서 각각의 "nx", "ny" 또는 "nz"는 독립적으로 선택된 정수이다. 일부 실시양태에서, 반응식 2에서의 각각의 "nx", "ny" 또는 "nz"는 독립적으로 선택된 0 내지 10의 정수이다.In Scheme 2, each “nx ”, “ny ” or “nz ” is an independently selected integer. In some embodiments, each “nx ”, “ny ” or “nz ” in Scheme 2 is an independently selected integer from 0 to 10.

특정 제조 및 사용 요소Specific manufacturing and use factors

본 발명의 다가 리간드 클러스터의 실시양태는 올리고뉴클레오티드 작용제를 세포, 조직 및 기관에 전달하기 위해 제조되고 사용될 수 있다. 전달될 수 있는 작용제의 비제한적 예는 치료제, 예컨대 siRNA를 포함한다. 본 발명의 다가 리간드 클러스터를 사용하는 전달 방법은 본 발명의 표적 리간드 클러스터에 접합된 siRNA 및 다른 작용제를 시험관내 및 생체내 세포에 전달하기 위해 사용될 수 있다. 본 발명의 다가 리간드 클러스터는 작용제, 예컨대 비제한적으로 핵산을 포함하는 작용제를 세포에 전달하기 위한 전달 비히클로서 사용될 수 있다. 본원에 사용된 용어 "다가 리간드 클러스터/제약 작용제 복합체"는 본원에 기재된 바와 같은 제약 작용제에 연결된 본원에 기재된 바와 같은 다가 리간드 클러스터를 의미한다. 본 발명의 일부 실시양태에서, 제약 작용제는 siRNA이다.Embodiments of multivalent ligand clusters of the invention can be prepared and used to deliver oligonucleotide agents to cells, tissues, and organs. Non-limiting examples of agents that can be delivered include therapeutic agents such as siRNA. Delivery methods using the multivalent ligand clusters of the invention can be used to deliver siRNAs and other agents conjugated to targeting ligand clusters of the invention to cells in vitro and in vivo. The multivalent ligand clusters of the invention can be used as a delivery vehicle to deliver agents, including but not limited to nucleic acids, to cells. As used herein, the term “multivalent ligand cluster/pharmaceutical agent complex” means a multivalent ligand cluster as described herein linked to a pharmaceutical agent as described herein. In some embodiments of the invention, the pharmaceutical agent is siRNA.

본 개시내용의 또 다른 측면에서, dsRNA 작용제는 안티센스 가닥의 위치 2, 7, 12, 14 및 16에 2'-플루오로 변형된 뉴클레오티드 (안티센스 가닥의 5' 말단으로부터 제1 쌍형성된 뉴클레오티드로부터 카운팅함), 및/또는 센스 가닥의 위치 9, 11 및 13에 2'-플루오린-변형된 뉴클레오티드 (센스 가닥의 3' 말단으로부터 제1 쌍형성된 뉴클레오티드로부터 카운팅함)를 포함한다. 일부 실시양태에서, dsRNA 작용제의 다른 위치는 2' 플루오린-변형된 뉴클레오티드를 함유하지 않는다. 일부 실시양태에서, dsRNA 작용제의 안티센스 가닥 및/또는 센스 가닥의 모든 뉴클레오티드는 변형된 뉴클레오티드이다. 일부 실시양태에서, dsRNA 작용제는 안티센스 가닥의 위치 2, 7, 12, 14 및 16에 2'-플루오로 변형된 뉴클레오티드 및/또는 센스 가닥의 위치 9, 11 및 13에 2' 플루오린-변형된 뉴클레오티드를 가지며, 다른 위치는 2'-O-메틸 뉴클레오티드, 2'-데옥시 뉴클레오티드, 2'3'-세코 뉴클레오티드 모방체, 잠금 뉴클레오티드, 비잠금 핵산 뉴클레오티드 (UNA), 글리콜 핵산 뉴클레오티드 (GNA), 2'-F-아라비노 뉴클레오티드, 2'-메톡시에틸 뉴클레오티드, 무염기성 뉴클레오티드, 리비톨, 역전된 뉴클레오티드, 역전된 무염기성 뉴클레오티드, 역전된 2'-Ome 뉴클레오티드, 역전된 2'-데옥시 뉴클레오티드, 2'-아미노-변형된 뉴클레오티드, 2'-알킬-변형된 뉴클레오티드, 모르폴리노 뉴클레오티드, 및 3'-OMe 뉴클레오티드, 5'-포스포로티오에이트 기 포함 뉴클레오티드, 또는 콜레스테릴 유도체 또는 도데칸산 비스데실아미드 기에 연결된 말단 뉴클레오티드, 2'-아미노-변형된 뉴클레오티드, 포스포르아미데이트, 또는 비-천연 염기 함유 뉴클레오티드로부터 선택된 변형된 뉴클레오티드를 함유한다. 일부 실시양태에서, dsRNA 작용제는 가이드 가닥의 5' 말단에 E-비닐포스포네이트 뉴클레오티드를 포함한다. 특정 실시양태에서, dsRNA 작용제는 적어도 1종의 포스포로티오에이트 뉴클레오시드간 연결을 포함한다. 특정 실시양태에서, 센스 가닥은 적어도 1종의 포스포로티오에이트 뉴클레오시드간 연결을 포함한다. 일부 실시양태에서, 안티센스 가닥은 적어도 1종의 포스포로티오에이트 뉴클레오시드간 연결을 포함한다. 일부 실시양태에서, 센스 가닥은 1, 2, 3, 4, 5, 또는 6개의 포스포로티오에이트 뉴클레오시드간 연결을 포함한다. 일부 실시양태에서, 안티센스 가닥은 1, 2, 3, 4, 5, 또는 6개의 포스포로티오에이트 뉴클레오시드간 연결을 포함한다. 특정 실시양태에서, 센스 가닥은 안티센스 가닥에 대해 상보적이거나 실질적으로 상보적이고, 상보성 영역은 16 내지 23개 뉴클레오티드 길이이다. 일부 실시양태에서, 상보성 영역은 19-21개 뉴클레오티드 길이이다. 특정 실시양태에서, 상보성 영역은 14, 15, 16, 17, 18, 19, 20, 21, 22, 23, 24, 25, 26, 27, 28, 29, 또는 30개 뉴클레오티드 길이이다. 일부 실시양태에서, 각각의 가닥은 30개 이하의 뉴클레오티드 길이이다. 일부 실시양태에서, 각각의 가닥은 25개 이하의 뉴클레오티드 길이이다. 일부 실시양태에서, 각각의 가닥은 23개 이하의 뉴클레오티드 길이이다. 특정 실시양태에서, dsRNA 작용제는 적어도 1종의 변형된 뉴클레오티드를 포함하고, 1종 이상의 표적화 기 또는 연결 기를 추가로 포함한다. 일부 실시양태에서, 1종 이상의 표적화 기 또는 연결 기는 센스 가닥에 접합된다. 일부 실시양태에서, 표적화 기는 N-아세틸-갈락토사민 (GalNAc)을 포함한다. 일부 실시양태에서, 표적화 기는 상기 기재된 GalNAc의 구조를 함유한다.In another aspect of the disclosure, the dsRNA agent comprises 2'-fluoro modified nucleotides at positions 2, 7, 12, 14, and 16 of the antisense strand (counting from the first paired nucleotide from the 5' end of the antisense strand) ), and/or 2'-fluorine-modified nucleotides at positions 9, 11 and 13 of the sense strand (counting from the first paired nucleotide from the 3' end of the sense strand). In some embodiments, other positions of the dsRNA agent do not contain 2' fluorine-modified nucleotides. In some embodiments, all nucleotides in the antisense strand and/or sense strand of the dsRNA agent are modified nucleotides. In some embodiments, the dsRNA agent contains a 2'-fluorine-modified nucleotide at positions 2, 7, 12, 14, and 16 of the antisense strand and/or a 2'-fluorine-modified nucleotide at positions 9, 11, and 13 of the sense strand. nucleotides, and other positions include 2'-O-methyl nucleotide, 2'-deoxy nucleotide, 2'3'-seco nucleotide mimetic, locked nucleotide, unlocked nucleic acid nucleotide (UNA), glycol nucleic acid nucleotide (GNA), 2'-F-arabino nucleotide, 2'-methoxyethyl nucleotide, abasic nucleotide, ribitol, inverted nucleotide, inverted abasic nucleotide, inverted 2'-Ome nucleotide, inverted 2'-deoxy nucleotide , 2'-amino-modified nucleotides, 2'-alkyl-modified nucleotides, morpholino nucleotides, and 3'-OMe nucleotides, nucleotides containing a 5'-phosphorothioate group, or cholesteryl derivatives or dodecanoic acid. It contains a modified nucleotide selected from a terminal nucleotide linked to a bisdecylamide group, a 2'-amino-modified nucleotide, a phosphoramidate, or a non-natural base containing nucleotide. In some embodiments, the dsRNA agent comprises an E-vinylphosphonate nucleotide at the 5' end of the guide strand. In certain embodiments, the dsRNA agent comprises at least one phosphorothioate internucleoside linkage. In certain embodiments, the sense strand includes at least one phosphorothioate internucleoside linkage. In some embodiments, the antisense strand comprises at least one phosphorothioate internucleoside linkage. In some embodiments, the sense strand comprises 1, 2, 3, 4, 5, or 6 phosphorothioate internucleoside linkages. In some embodiments, the antisense strand comprises 1, 2, 3, 4, 5, or 6 phosphorothioate internucleoside linkages. In certain embodiments, the sense strand is complementary or substantially complementary to the antisense strand, and the region of complementarity is 16 to 23 nucleotides in length. In some embodiments, the region of complementarity is 19-21 nucleotides in length. In certain embodiments, the region of complementarity is 14, 15, 16, 17, 18, 19, 20, 21, 22, 23, 24, 25, 26, 27, 28, 29, or 30 nucleotides in length. In some embodiments, each strand is no more than 30 nucleotides in length. In some embodiments, each strand is no more than 25 nucleotides in length. In some embodiments, each strand is no more than 23 nucleotides in length. In certain embodiments, the dsRNA agent comprises at least one modified nucleotide and further comprises one or more targeting or linking groups. In some embodiments, one or more targeting groups or linking groups are conjugated to the sense strand. In some embodiments, the targeting group comprises N-acetyl-galactosamine (GalNAc). In some embodiments, the targeting group contains the structure of GalNAc described above.

본 발명의 일부 측면에서, 다가 리간드 클러스터는 제약 작용제를 대상체 내의 세포에 전달하기 위해 사용될 수 있다. 대상체에게 다가 리간드 클러스터/제약 작용제 복합체를 투여하는 수단은 관련 기술분야에 공지된 방법을 포함할 수 있다. 비제한적 예로서, 다가 리간드 클러스터/제약 작용제 복합체는 직접 주사에 의해 또는 주입 펌프의 사용에 의해 생체내에서 국부로 전달될 수 있다. 본 발명의 일부 측면에서, 다가 리간드 클러스터/제약 작용제 복합체는 제약 조성물 내에 있고, 제약 작용제로 지칭될 수 있다. 일부 실시양태에서, 본 발명의 제약 작용제는 대상체에서 질환 상태의 증상을 예방하거나, 그의 발생을 조정하거나, 치료하거나 또는 완화시키는 데 효과적인 양으로 대상체에게 투여된다.In some aspects of the invention, multivalent ligand clusters can be used to deliver pharmaceutical agents to cells within a subject. Means for administering the multivalent ligand cluster/pharmaceutical agent complex to a subject may include methods known in the art. As a non-limiting example, the multivalent ligand cluster/pharmaceutical agent complex can be delivered locally in vivo by direct injection or by the use of an infusion pump. In some aspects of the invention, a multivalent ligand cluster/pharmaceutical agent complex is within a pharmaceutical composition and may be referred to as a pharmaceutical agent. In some embodiments, a pharmaceutical agent of the invention is administered to a subject in an amount effective to prevent, modulate the development of, treat, or alleviate symptoms of a disease state in the subject.

세포 및 대상체cells and objects

본원에 사용된 대상체는 개, 고양이, 말, 염소, 소, 양, 설치류 및 영장류, 예를 들어 원숭이를 포함하나 이에 제한되지는 않는 인간 또는 척추동물 포유동물을 의미할 것이다. 따라서, 본 발명은 인간 및 비-인간 대상체에서 질환 또는 상태를 치료하는 데 사용될 수 있다. 예를 들어, 본 발명의 방법 및 조성물은 수의학적 적용 뿐만 아니라 인간 예방 및 치료 요법에 사용될 수 있다. 본 발명의 일부 실시양태에서, 척추동물 대상체는 포유동물이다.As used herein, subject shall mean a human or vertebrate mammal, including but not limited to dogs, cats, horses, goats, cattle, sheep, rodents and primates, such as monkeys. Accordingly, the present invention can be used to treat diseases or conditions in human and non-human subjects. For example, the methods and compositions of the present invention can be used in veterinary applications as well as human prophylactic and therapeutic regimens. In some embodiments of the invention, the vertebrate subject is a mammal.

본 발명의 특정 실시양태에서, 본 발명의 다가 리간드 클러스터/제약 작용제 복합체는 세포로 전달되어 그와 접촉된다. 본 발명의 일부 실시양태에서, 접촉된 세포는 배양물 중에 있고, 다른 실시양태에서, 접촉된 세포는 대상체 중에 있다. 본 발명의 다가 리간드 클러스터/제약 작용제 복합체와 접촉될 수 있는 세포의 유형은 간 세포, 근육 세포, 심장 세포, 순환 세포, 뉴런 세포, 신경교 세포, 지방 세포, 피부 세포, 조혈 세포, 상피 세포, 정자, 난모세포, 근육 세포, 지방세포, 신장 세포, 간세포, 또는 췌장 세포를 포함하나, 이에 제한되지는 않는다. 일부 실시양태에서, 본 발명의 다가 리간드 클러스터/제약 작용제 복합체와 접촉된 세포는 간 세포이다.In certain embodiments of the invention, the multivalent ligand cluster/pharmaceutical agent complex of the invention is delivered to and contacted with a cell. In some embodiments of the invention, the contacted cells are in culture, and in other embodiments, the contacted cells are in a subject. The types of cells that can be contacted with the multivalent ligand cluster/pharmaceutical agent complex of the invention include liver cells, muscle cells, cardiac cells, circulating cells, neuronal cells, glial cells, adipocytes, skin cells, hematopoietic cells, epithelial cells, and spermatozoa. , oocytes, muscle cells, adipocytes, kidney cells, hepatocytes, or pancreatic cells. In some embodiments, the cells contacted with the multivalent ligand cluster/pharmaceutical agent complex of the invention are liver cells.

투여량dosage

본 개시내용의 다가 리간드 클러스터/제약 작용제 복합체를 사용하여 전달될 수 있는 의약 및 제약 조성물의 투여량 수준은 상용 실험에 의해 관련 기술분야의 통상의 기술자에 의해 결정될 수 있다. 적어도 일부 실시양태에서, 단위 용량은 약 0.01 mg/kg 내지 약 100 mg/kg 체중의 siRNA를 함유할 수 있다. 대안적으로, 용량은 10 mg/kg 내지 25 mg/kg 체중, 또는 1 mg/kg 내지 10 mg/kg 체중, 또는 0.05 mg/kg 내지 5 mg/kg 체중, 또는 0.1 mg/kg 내지 5 mg/kg 체중, 또는 0.1 mg/kg 내지 1 mg/kg 체중, 또는 0.1 mg/kg 내지 0.5 mg/kg 체중, 또는 0.5 mg/kg 내지 1 mg/kg 체중, 또는 1 mg/kg 내지 3 mg/kg 체중일 수 있다.Dosage levels of medicaments and pharmaceutical compositions that can be delivered using the multivalent ligand cluster/pharmaceutical agent complexes of the present disclosure can be determined by those skilled in the art by routine experimentation. In at least some embodiments, a unit dose may contain from about 0.01 mg/kg to about 100 mg/kg of body weight siRNA. Alternatively, the dose is 10 mg/kg to 25 mg/kg body weight, or 1 mg/kg to 10 mg/kg body weight, or 0.05 mg/kg to 5 mg/kg body weight, or 0.1 mg/kg to 5 mg/kg. kg body weight, or 0.1 mg/kg to 1 mg/kg body weight, or 0.1 mg/kg to 0.5 mg/kg body weight, or 0.5 mg/kg to 1 mg/kg body weight, or 1 mg/kg to 3 mg/kg body weight. It can be.

제약 조성물은 멸균 주사가능한 수성 현탁액 또는 용액, 또는 동결건조 형태일 수 있다. 본 개시내용의 제약 조성물 및 의약은 제약상 유효 용량으로 대상체에게 투여될 수 있다.Pharmaceutical compositions may be in sterile injectable aqueous suspension or solution, or in lyophilized form. Pharmaceutical compositions and medicaments of the present disclosure can be administered to subjects in pharmaceutically effective doses.

투여 방법Method of administration

본 발명의 다가 리간드 클러스터/제약 작용제 복합체에 대한 다양한 투여 경로가 이용가능하다. 선택된 특정한 전달 방식은 치료될 특정한 상태 및 치료 효능에 요구되는 투여량에 따라 달라질 것이다. 일반적으로, 본 발명의 방법은 임상적으로 허용되지 않는 부작용을 야기하지 않으면서 효과적인 수준의 치료를 일으키는 임의의 방식을 의미하는, 의학적으로 허용되는 임의의 투여 방식을 사용하여 실시될 수 있다. 본 발명의 일부 실시양태에서, 본 발명의 다가 리간드 클러스터/제약 작용제 복합체는 경구, 경장, 점막, 경피 및/또는 비경구 경로를 통해 투여될 수 있다. 용어 "비경구"는 피하, 정맥내, 근육내, 복강내 및 수조내 주사, 또는 주입 기술을 포함한다. 다른 경로는 비강 (예를 들어, 위-비강 튜브를 통해), 피부, 질, 직장 및 설하를 포함하나, 이에 제한되지는 않는다. 본 발명의 전달 경로는 척수강내, 뇌실내 또는 두개내를 포함할 수 있다. 본 발명의 일부 실시양태에서, 본 발명의 다가 리간드 클러스터/제약 작용제 복합체는 서방성 매트릭스 내에 위치될 수 있으며, 대상체에서의 매트릭스의 배치에 의해 투여될 수 있다.A variety of routes of administration are available for the multivalent ligand cluster/pharmaceutical agent complexes of the invention. The particular mode of delivery chosen will depend on the particular condition being treated and the dosage required for therapeutic efficacy. In general, the methods of the present invention can be practiced using any medically acceptable mode of administration, meaning any mode that produces an effective level of treatment without causing clinically unacceptable side effects. In some embodiments of the invention, the multivalent ligand cluster/pharmaceutical agent complexes of the invention may be administered via oral, enteral, mucosal, transdermal and/or parenteral routes. The term “parenteral” includes subcutaneous, intravenous, intramuscular, intraperitoneal and intracisternal injection, or infusion techniques. Other routes include, but are not limited to, the nasal cavity (e.g., via the gastro-nasal tube), cutaneous, vaginal, rectal, and sublingual. The route of delivery of the invention may include intrathecally, intracerebroventricularly, or intracranially. In some embodiments of the invention, the multivalent ligand cluster/pharmaceutical agent complex of the invention can be placed in a sustained release matrix and administered by placement of the matrix in a subject.

본 발명의 다가 리간드 클러스터/제약 작용제 복합체는 제약상 허용되는 농도의 염, 완충제, 보존제, 상용성 담체, 아주반트, 및 임의로 다른 치료 성분을 일상적으로 함유할 수 있는 제약상 허용되는 용액으로 투여될 수 있는 제제로 투여될 수 있다. 본 발명의 방법에 따라, 다가 리간드 클러스터/제약 작용제 복합체는 제약 조성물로 투여될 수 있다. 일반적으로, 제약 조성물은 본 발명의 다가 리간드 클러스터/제약 작용제 복합체 및 제약상 허용되는 담체를 포함한다. 제약상 허용되는 담체는 통상의 기술자에게 널리 공지되어 있고, 상용 방법을 사용하여 선택 및 이용될 수 있다. 본원에서 사용되는 바와 같이, 제약상 허용되는 담체는 활성 성분의 생물학적 활성의 유효성 (예를 들어, 전달되는 핵산, 예를 들어 siRNA가 그에 대해 지시되는 질환 또는 상태를 예방 및/또는 치료하는 능력)을 방해하지 않는 비-독성 물질을 의미한다.The multivalent ligand cluster/pharmaceutical agent complex of the invention may be administered as a pharmaceutically acceptable solution, which may routinely contain pharmaceutically acceptable concentrations of salts, buffers, preservatives, compatible carriers, adjuvants, and optionally other therapeutic ingredients. It can be administered as a preparation that can be administered. According to the methods of the invention, the multivalent ligand cluster/pharmaceutical agent complex can be administered as a pharmaceutical composition. Generally, pharmaceutical compositions comprise the multivalent ligand cluster/pharmaceutical agent complex of the invention and a pharmaceutically acceptable carrier. Pharmaceutically acceptable carriers are well known to those skilled in the art and can be selected and used using commercial methods. As used herein, a pharmaceutically acceptable carrier refers to the effectiveness of the biological activity of the active ingredient (e.g., the ability to prevent and/or treat the disease or condition for which the delivered nucleic acid, e.g., siRNA, is directed). means a non-toxic substance that does not interfere with

제약상 허용되는 담체는 희석제, 충전제, 염, 완충제, 안정화제, 가용화제, 및 관련 기술분야에 널리 공지된 다른 물질을 포함할 수 있다. 예시적인 제약상 허용되는 담체는 미국 특허 번호 5,211,657에 기재되어 있고, 다른 것들은 관련 기술분야의 통상의 기술자에게 공지되어 있다. 이러한 제제는 통상적으로 염, 완충제, 보존제, 상용성 담체, 및 임의로 다른 치료제를 함유할 수 있다. 의약에 사용되는 경우에, 염은 제약상 허용되어야 하지만, 비-제약상 허용되는 염이 그의 제약상 허용되는 염을 제조하는 데 편리하게 사용될 수 있고, 본 발명의 범주로부터 배제되지 않는다. 이러한 약리학상 및 제약상 허용되는 염은 하기 산: 염산, 브로민화수소산, 황산, 질산, 인산, 말레산, 아세트산, 살리실산, 시트르산, 포름산, 말론산, 숙신산 등으로부터 제조된 것을 포함하나, 이에 제한되지는 않는다. 또한, 제약상 허용되는 염은 알칼리 금속 또는 알칼리 토금속 염, 예컨대 나트륨, 칼륨 또는 칼슘 염으로서 제조될 수 있다.Pharmaceutically acceptable carriers may include diluents, fillers, salts, buffers, stabilizers, solubilizers, and other substances well known in the art. Exemplary pharmaceutically acceptable carriers are described in U.S. Pat. No. 5,211,657, and others are known to those skilled in the art. These preparations typically may contain salts, buffers, preservatives, compatible carriers, and optionally other therapeutic agents. When used in medicine, the salts must be pharmaceutically acceptable, but non-pharmaceutically acceptable salts may conveniently be used to prepare pharmaceutically acceptable salts thereof and are not excluded from the scope of the present invention. Such pharmacologically and pharmaceutically acceptable salts include, but are not limited to, those prepared from the following acids: hydrochloric acid, hydrobromic acid, sulfuric acid, nitric acid, phosphoric acid, maleic acid, acetic acid, salicylic acid, citric acid, formic acid, malonic acid, succinic acid, etc. It doesn't work. Pharmaceutically acceptable salts can also be prepared as alkali metal or alkaline earth metal salts, such as sodium, potassium or calcium salts.

본 발명의 일부 실시양태에서, 본 발명의 다가 리간드 클러스터/제약 작용제 복합체는 조직에 직접 투여될 수 있다. 직접 조직 투여는 직접 주사, 또는 관련 기술분야에 공지된 다른 수단에 의해 달성될 수 있다. 본 발명의 다가 리간드 클러스터/제약 작용제 복합체는 1회 투여될 수 있거나, 또는 대안적으로 복수회의 투여로 투여될 수 있다. 다수회 투여되는 경우에, 본 발명의 다가 리간드 클러스터/제약 작용제 복합체는 상이한 경로를 통해 투여될 수 있다. 예를 들어, 첫 번째 (또는 처음 수회) 투여는 이환된 조직 또는 기관으로 직접 이루어질 수 있는 반면, 나중 투여는 전신일 수 있다.In some embodiments of the invention, the multivalent ligand cluster/pharmaceutical agent complexes of the invention may be administered directly to tissues. Direct tissue administration can be accomplished by direct injection, or other means known in the art. The multivalent ligand cluster/pharmaceutical agent complex of the invention may be administered in a single administration, or alternatively, may be administered in multiple administrations. When administered multiple times, the multivalent ligand cluster/pharmaceutical agent complex of the invention may be administered via different routes. For example, the first (or first several) administrations may be directly to the affected tissue or organ, whereas later administrations may be systemic.

본 발명의 다가 리간드 클러스터/제약 작용제 복합체는, 전신 투여되는 것이 바람직한 경우에, 주사 (예를 들어, 볼루스 주사 또는 연속 주입)에 의한 비경구 투여를 위해 제제화될 수 있다. 주사용 제제는 보존제가 첨가되거나 첨가되지 않은 단위 투여 형태 (예를 들어, 앰플 또는 다중-용량 용기)로 제공될 수 있다. 제약 조성물은 유성 또는 수성 비히클 중의 현탁액, 용액 또는 에멀젼과 같은 형태를 취할 수 있고, 제제화제, 예컨대 현탁화제, 안정화제 및/또는 분산제를 함유할 수 있다.The multivalent ligand cluster/pharmaceutical agent complexes of the invention may be formulated for parenteral administration by injection (e.g., bolus injection or continuous infusion), when it is desirable to administer systemically. Formulations for injection may be presented in unit dosage form (e.g., ampoules or multi-dose containers) with or without added preservatives. Pharmaceutical compositions may take the form of suspensions, solutions or emulsions in oily or aqueous vehicles and may contain formulation agents such as suspending agents, stabilizing agents and/or dispersing agents.

비경구 투여를 위한 제제는 멸균 수성 또는 비-수성 용액, 현탁액 및 에멀젼을 포함한다. 비-수성 용매의 예는 프로필렌 글리콜, 폴리에틸렌 글리콜, 식물성 오일, 예컨대 올리브 오일, 및 주사가능한 유기 에스테르, 예컨대 에틸 올레에이트이다. 수성 담체는 염수 및 완충 매질을 비롯한 물, 알콜성/수성 용액, 에멀젼 또는 현탁액을 포함한다. 비경구 비히클은 염화나트륨 용액, 링거 덱스트로스, 덱스트로스 및 염화나트륨, 락테이트화 링거, 또는 고정 오일을 포함한다. 정맥내 비히클은 유체 및 영양소 보충제, 전해질 보충제 (예컨대 링거 덱스트로스를 기재로 하는 것들) 등을 포함한다. 보존제 및 다른 첨가제, 예컨대 예를 들어 항미생물제, 항산화제, 킬레이트화제 및 불활성 기체 등이 또한 존재할 수 있다. 보다 낮은 용량은 다른 형태의 투여, 예컨대 정맥내 투여로부터 생성될 것이다. 대상체에서의 반응이 적용된 초기 용량에서 불충분한 경우에, 보다 높은 용량 (또는 상이한 보다 국재화된 전달 경로에 의해 효과적으로 보다 높은 용량)이 환자 내성이 허용하는 정도로 사용될 수 있다. 1일당 다중 용량은 필요에 따라 본 발명의 1종 이상의 다가 리간드 클러스터/제약 작용제 복합체의 적절한 전신 또는 국부 수준을 달성하여 제약 작용제의 목적하는 수준, 예를 들어 siRNA의 목적하는 수준을 생성하는 데 사용될 수 있다.Formulations for parenteral administration include sterile aqueous or non-aqueous solutions, suspensions and emulsions. Examples of non-aqueous solvents are propylene glycol, polyethylene glycol, vegetable oils such as olive oil, and injectable organic esters such as ethyl oleate. Aqueous carriers include water, alcoholic/aqueous solutions, emulsions or suspensions, including saline and buffered media. Parenteral vehicles include sodium chloride solution, Ringer's dextrose, dextrose and sodium chloride, lactated Ringer's, or fixed oils. Intravenous vehicles include fluid and nutrient replenishers, electrolyte replenishers (such as those based on Ringer's dextrose), and the like. Preservatives and other additives such as antimicrobial agents, antioxidants, chelating agents and inert gases may also be present. Lower doses will result from other forms of administration, such as intravenous administration. If the response in the subject is insufficient at the initial dose applied, higher doses (or effectively higher doses by a different, more localized route of delivery) may be used to the extent patient tolerance allows. Multiple doses per day may be used, as needed, to achieve appropriate systemic or local levels of one or more multivalent ligand cluster/pharmaceutical agent complexes of the invention to produce desired levels of pharmaceutical agent, e.g., desired levels of siRNA. You can.

비-생분해성 및 생분해성 중합체 매트릭스 둘 다는 본 발명의 1종 이상의 다가 리간드 클러스터/제약 작용제 복합체를 세포 및/또는 대상체에게 전달하는 데에 사용될 수 있다. 일부 실시양태에서, 매트릭스는 생분해성일 수 있다. 매트릭스 중합체는 천연 또는 합성 중합체일 수 있다. 중합체는 방출이 요구되는 기간, 일반적으로 대략 수시간 내지 1년 또는 그 초과에 기초하여 선택될 수 있다. 전형적으로, 수시간 내지 3 내지 12개월 범위의 기간에 걸친 방출이 사용될 수 있다. 중합체는 임의로 물에서 그의 중량의 약 90% 이하를 흡수할 수 있는 히드로겔의 형태이고, 추가로 임의로 다가 이온 또는 다른 중합체와 가교된다.Both non-biodegradable and biodegradable polymer matrices can be used to deliver one or more multivalent ligand cluster/pharmaceutical agent complexes of the invention to cells and/or subjects. In some embodiments, the matrix may be biodegradable. The matrix polymer may be a natural or synthetic polymer. The polymer may be selected based on the time period for which release is desired, typically on the order of hours to a year or more. Typically, release over a period ranging from a few hours to 3 to 12 months may be used. The polymer is optionally in the form of a hydrogel capable of absorbing up to about 90% of its weight in water, and is further optionally crosslinked with multivalent ions or other polymers.

본 발명의 특정 실시양태에서, 본 발명의 다가 리간드 클러스터/제약 작용제 복합체는 생체침식성 이식물을 사용하여 확산에 의해, 또는 중합체성 매트릭스의 분해에 의해 전달될 수 있다. 이러한 용도를 위한 예시적인 합성 중합체는 관련 기술분야에 널리 공지되어 있다. 생분해성 중합체 및 비-생분해성 중합체는 관련 기술분야에 공지된 방법을 사용하여 본 발명의 1종 이상의 다가 리간드 클러스터/제약 작용제 복합체의 전달에 사용될 수 있다. 이러한 방법은 또한 치료를 위해 본 발명의 1종 이상의 다가 리간드 클러스터/제약 작용제 복합체를 전달하는 데 사용될 수 있다. 추가의 적합한 전달 시스템은 시간-방출, 지연 방출 또는 지속-방출 전달 시스템을 포함할 수 있다. 이러한 시스템은 본 발명의 다가 리간드 클러스터/제약 작용제 복합체의 반복 투여를 피할 수 있어, 대상체 및 건강 관리 제공자에 대한 편의성을 증가시킨다. 많은 유형의 방출 전달 시스템이 이용가능하고 관련 기술분야의 통상의 기술자에게 공지되어 있다. [예를 들어, 미국 특허 번호 5,075,109; 4,452,775; 4,675,189; 5,736,152; 3,854,480; 5,133,974; 및 5,407,686 (이들 각각의 교시내용은 본원에 참조로 포함됨) 참조.] 또한, 펌프-기반 하드웨어 전달 시스템이 사용될 수 있으며, 이들 중 일부는 이식에 적합화된다.In certain embodiments of the invention, the multivalent ligand cluster/pharmaceutical agent complexes of the invention can be delivered by diffusion using bioerodible implants, or by degradation of the polymeric matrix. Exemplary synthetic polymers for this use are well known in the art. Biodegradable and non-biodegradable polymers can be used for delivery of one or more multivalent ligand cluster/pharmaceutical agent complexes of the invention using methods known in the art. These methods can also be used to deliver one or more multivalent ligand cluster/pharmaceutical agent complexes of the invention for treatment. Additional suitable delivery systems may include time-release, delayed-release or sustained-release delivery systems. Such a system can avoid repeated administration of the multivalent ligand cluster/pharmaceutical agent complex of the invention, increasing convenience for subjects and health care providers. Many types of emission delivery systems are available and known to those skilled in the art. [For example, U.S. Patent No. 5,075,109; 4,452,775; 4,675,189; 5,736,152; 3,854,480; 5,133,974; and 5,407,686, the teachings of each of which are incorporated herein by reference.] Additionally, pump-based hardware delivery systems can be used, some of which are suitable for implantation.

장기 지속 방출 이식물의 사용은 대상체의 예방적 치료, 및 본 발명의 다가 리간드 클러스터를 사용하여 전달된 siRNA로 예방 및/또는 치료될 재발성 질환 또는 상태가 발생할 위험이 있는 대상체에 특히 적합할 수 있다. 본원에 사용된 장기간 방출은 이식물이 적어도 30일, 60일, 90일 또는 그 초과 동안 치료 수준의 활성 성분을 전달하도록 구축되고 배열되는 것을 의미한다. 장기 지속 방출 이식물은 관련 기술분야의 통상의 기술자에게 널리 공지되어 있고, 상기 기재된 방출 시스템 중 일부를 포함한다.The use of long-term sustained release implants may be particularly suitable for prophylactic treatment of subjects, and for subjects at risk of developing a recurrent disease or condition to be prevented and/or treated with siRNA delivered using the multivalent ligand clusters of the invention. . As used herein, prolonged release means that the implant is constructed and arranged to deliver therapeutic levels of active ingredient for at least 30 days, 60 days, 90 days or more. Long-term sustained release implants are well known to those skilled in the art and include some of the release systems described above.

본 발명의 1종 이상의 다가 리간드 클러스터/제약 작용제 복합체의 치료 제제는 목적하는 정도의 순도를 갖는 다가 리간드 클러스터/제약 작용제 복합체를 임의적인 제약상 허용되는 담체, 부형제 또는 안정화제 [Remington's Pharmaceutical Sciences 21st edition, (2006)]와 혼합하여 동결건조 제제 또는 수용액의 형태로 저장을 위해 제조될 수 있다. 허용되는 담체, 부형제 또는 안정화제는 사용되는 투여량 및 농도에서 수용자에게 비독성이고, 완충제, 예컨대 포스페이트, 시트레이트 및 다른 유기 산; 항산화제 예컨대 아스코르브산 및 메티오닌; 보존제 (예컨대 옥타데실디메틸벤질 암모늄 클로라이드; 헥사메토늄 클로라이드; 벤즈알코늄 클로라이드, 벤제토늄 클로라이드; 페놀, 부틸 또는 벤질 알콜; 알킬 파라벤 예컨대 메틸 또는 프로필 파라벤; 카테콜; 레조르시놀; 시클로헥산올; 3-펜탄올; 및 m-크레졸); 저분자량 (약 10개 미만의 잔기) 폴리펩티드; 단백질, 예컨대 혈청 알부민, 젤라틴 또는 이뮤노글로불린; 친수성 중합체 예컨대 폴리비닐피롤리돈; 아미노산 예컨대 글리신, 글루타민, 아스파라긴, 히스티딘, 아르기닌 또는 리신; 모노사카라이드, 디사카라이드 및 다른 탄수화물 예컨대 글루코스, 만노스 또는 덱스트린; 킬레이트화제 예컨대 EDTA; 당 예컨대 수크로스, 만니톨, 트레할로스 또는 소르비톨; 염-형성 반대-이온 예컨대 나트륨; 금속 착물 (예를 들어, Zn-단백질 착물); 및/또는 비-이온성 계면활성제, 예컨대 트윈(TWEEN)®, 플루로닉스(PLURONICS)® 또는 폴리에틸렌 글리콜 (PEG)을 포함하나, 이에 제한되지는 않는다.Therapeutic formulations of one or more multivalent ligand cluster/pharmaceutical agent complexes of the present invention can be prepared by combining the multivalent ligand cluster/pharmaceutical agent complex of the desired degree of purity with an optional pharmaceutically acceptable carrier, excipient or stabilizer [Remington's Pharmaceutical Sciences 21st. edition, (2006)] and can be prepared for storage in the form of a lyophilized preparation or an aqueous solution. Acceptable carriers, excipients or stabilizers are nontoxic to recipients at the dosages and concentrations employed and include buffers such as phosphate, citrate and other organic acids; Antioxidants such as ascorbic acid and methionine; Preservatives (such as octadecyldimethylbenzyl ammonium chloride; hexamethonium chloride; benzalkonium chloride, benzethonium chloride; phenol, butyl or benzyl alcohol; alkyl parabens such as methyl or propyl paraben; catechol; resorcinol; cyclohexanol; 3-pentanol; and m-cresol); low molecular weight (less than about 10 residues) polypeptides; Proteins such as serum albumin, gelatin or immunoglobulin; Hydrophilic polymers such as polyvinylpyrrolidone; Amino acids such as glycine, glutamine, asparagine, histidine, arginine or lysine; monosaccharides, disaccharides and other carbohydrates such as glucose, mannose or dextrins; Chelating agents such as EDTA; Sugars such as sucrose, mannitol, trehalose or sorbitol; salt-forming counter-ions such as sodium; metal complexes (eg, Zn-protein complexes); and/or non-ionic surfactants such as TWEEN®, PLURONICS® or polyethylene glycol (PEG).

본 개시내용의 다가 리간드 클러스터/제약 작용제 복합체는 제약 조성물로서 제제화될 수 있다. 제약 조성물은 단독으로 또는 다른 작용제와 조합되어 의약으로서 사용될 수 있다. 본 개시내용의 다가 리간드 클러스터/제약 작용제 복합체는 또한 다른 치료 화합물과 조합되어, 개별적으로 또는 동시에 (예를 들어, 조합된 단위 용량으로서) 투여될 수 있다. 적어도 일부 실시양태에서, 본 개시내용은 생리학상/제약상 허용되는 부형제, 예컨대 안정화제, 보존제, 희석제, 완충제 등 중에 본 개시내용에 따른 1종 이상의 다가 리간드 클러스터/제약 작용제 복합체를 포함하는 제약 조성물을 포함한다.The multivalent ligand cluster/pharmaceutical agent complexes of the present disclosure can be formulated as pharmaceutical compositions. Pharmaceutical compositions can be used as medicines alone or in combination with other agents. The multivalent ligand cluster/pharmaceutical agent complexes of the present disclosure can also be combined with other therapeutic compounds and administered separately or simultaneously (e.g., as combined unit doses). In at least some embodiments, the present disclosure provides pharmaceutical compositions comprising one or more multivalent ligand cluster/pharmaceutical agent complexes according to the present disclosure in physiologically/pharmaceutically acceptable excipients such as stabilizers, preservatives, diluents, buffers, etc. Includes.

본 발명의 제약 조성물은 단독으로, 서로 조합되어, 및/또는 질환 또는 상태를 갖는 대상체에게 투여되는 다른 약물 요법 또는 다른 치료 요법과 조합되어 투여될 수 있다. 본 발명의 실시양태에서 사용되는 제약 조성물은 바람직하게는 멸균성이고, 제약 작용제, 예를 들어 siRNA가 지시되는 질환 또는 상태를 예방 또는 치료하기 위한 유효량의 다가 리간드 클러스터/제약 작용제 복합체를 함유한다.The pharmaceutical compositions of the present invention can be administered alone, in combination with each other, and/or in combination with other drug therapies or other treatment regimens administered to a subject with a disease or condition. Pharmaceutical compositions used in embodiments of the invention are preferably sterile and contain an effective amount of a multivalent ligand cluster/pharmaceutical agent complex to prevent or treat the disease or condition for which the pharmaceutical agent, e.g., siRNA, is directed.

대상체에게 투여되는 경우에 질환 또는 상태를 치료하기에 충분한 본 발명의 제약 조성물의 용량 또는 용량들은 상이한 파라미터에 따라, 특히 사용된 투여 방식 및 대상체의 상태에 따라 선택될 수 있다. 다른 인자는 원하는 치료 기간을 포함할 수 있다. 대상체에서의 반응이 적용된 초기 용량에서 불충분한 경우에, 보다 높은 용량 (또는 상이한 보다 국재화된 전달 경로에 의해 효과적으로 보다 높은 용량)이 환자 내성이 허용하는 정도로 사용될 수 있다. 본 발명의 일부 실시양태에서, 임상 시험에서와 같은 상용 수단을 사용하여 결정된 투여가 사용된다.The dose or doses of the pharmaceutical composition of the invention sufficient to treat the disease or condition when administered to a subject may be selected according to different parameters, especially depending on the mode of administration used and the condition of the subject. Other factors may include the desired treatment duration. If the response in the subject is insufficient at the initial dose applied, higher doses (or effectively higher doses by a different, more localized route of delivery) may be used to the extent patient tolerance allows. In some embodiments of the invention, dosing determined using commercial means, such as in clinical trials, is used.

실시예Example

실시예 1. GalNAc 표적화 리간드를 포함하는 다가 리간드 클러스터Example 1. Multivalent Ligand Cluster Containing GalNAc Targeting Ligand

본 발명의 일부 실시양태에서, 다가 리간드 클러스터는 GalNAc 표적화 리간드를 포함할 수 있다. 하기는 아세틸 기 보호된 GalNAc 표적화 리간드, 코어 C2 및 C3 디아민, 분지화 아세틸 및 프로파노일 아미드, PEG2 및 PEG3 링커A, 본원에 기재된 바와 같은 다양한 링커B, 및 본원에 기재된 바와 같은 1종 이상의 제약 작용제에 연결될 수 있는 다양한 관능기를 포함하는 다가 리간드 클러스터의 실시예 화합물이다. 하기 GalNAc 리간드 상의 아세틸 보호기는 접합이 완결된 후에 용이하게 제거되어 GalNAc 표적화 리간드를 생성할 수 있다.In some embodiments of the invention, the multivalent ligand cluster may comprise a GalNAc targeting ligand. The following is an acetyl group protected GalNAc targeting ligand, core C2 and C3 diamines, branched acetyl and propanoyl amides, PEG2 and PEG3 linker A, various linker B as described herein, and one or more pharmaceuticals as described herein. This is an example compound of a multivalent ligand cluster containing various functional groups that can be linked to an agonist. The acetyl protecting group on the following GalNAc ligand can be easily removed after conjugation is complete to generate a GalNAc targeting ligand.

Figure pct00069
Figure pct00069

Figure pct00070
Figure pct00070

Figure pct00071
Figure pct00071

Figure pct00072
Figure pct00072

Figure pct00073
Figure pct00073

Figure pct00074
Figure pct00074

Figure pct00075
Figure pct00075

Figure pct00076
Figure pct00076

Figure pct00077
Figure pct00077

Figure pct00078
Figure pct00078

Figure pct00079
Figure pct00079

Figure pct00080
Figure pct00080

Figure pct00081
Figure pct00081

Figure pct00082
Figure pct00082

Figure pct00083
Figure pct00083

Figure pct00084
Figure pct00084

Figure pct00085
Figure pct00085

Figure pct00086
Figure pct00086

Figure pct00087
Figure pct00087

Figure pct00088
Figure pct00088

Figure pct00089
Figure pct00089

Figure pct00090
Figure pct00090

Figure pct00091
Figure pct00091

Figure pct00092
Figure pct00092

Figure pct00093
Figure pct00093

Figure pct00094
Figure pct00094

실시예 2. 중간체 화합물의 제조Example 2. Preparation of intermediate compounds

하기 반응식 3에서, 상업적으로 입수가능한 갈락토사민 펜타아세테이트 (화합물 I)를 디클로로메탄 (DCM) 중 트리메틸실릴 트리플루오로메탄술포네이트 (TMSOTf)로 처리함으로써 중간체-A를 합성하였다. 이어서 Cbz 보호된 2-(2-아미노에톡시)에탄-1-올로 글리코실화하여 화합물 II를 수득하였다. Cbz 보호기를 수소화에 의해 제거하여 중간체-A를 트리플루오로아세테이트 (TFA) 또는 HCl 염으로서 수득하였다. Cbz 보호된 2-(2-(2-아미노에톡시)에톡시)에탄-1-올을 출발 물질로서 사용한 것을 제외하고는 동일한 반응식에 기초하여 중간체 B를 합성하였다. 반응식 3은 링커A의 변형, 뿐만 아니라 표적화 리간드의 변형에 대한 접근을 허용한다.In Scheme 3 below, Intermediate-A was synthesized by treating commercially available galactosamine pentaacetate (Compound I) with trimethylsilyl trifluoromethanesulfonate (TMSOTf) in dichloromethane (DCM). Subsequent glycosylation with Cbz protected 2-(2-aminoethoxy)ethane-1-ol afforded compound II. The Cbz protecting group was removed by hydrogenation to give Intermediate-A as trifluoroacetate (TFA) or HCl salt. Intermediate B was synthesized based on the same scheme except that Cbz protected 2-(2-(2-aminoethoxy)ethoxy)ethan-1-ol was used as starting material. Scheme 3 allows access to modifications of linker A as well as modifications of the targeting ligand.

Figure pct00095
Figure pct00095

Figure pct00096
Figure pct00096

반응식 3Scheme 3

DCE (100 mL) 중 화합물 I (20.0 g, 51.4 mmol)의 용액에 TMSOTf (17.1 g, 77.2 mmol)를 첨가하였다. 생성된 반응 용액을 60℃에서 2시간 동안 교반한 다음, 25℃에서 1시간 동안 교반하였다. 4 Å 분말 분자체 (10 g) 상에서 건조시킨 DCE (100 mL) 중 Cbz 보호된 2-(2-아미노에톡시)에탄-1-올 (13.5 g, 56.5 mmol)을 상기 언급된 반응 용액에 N2 분위기 하에 0℃에서 적가하였다. 생성된 반응 혼합물을 N2 분위기 하에 25℃에서 16시간 동안 교반하였다. 반응 혼합물을 여과하고, 포화 NaHCO3 (200 mL), 물 (200 mL) 및 포화 염수 (200 mL)로 세척하였다. 유기 층을 무수 Na2SO4 상에서 건조시키고, 여과하고, 감압 하에 농축시켜 조 생성물을 수득하였으며, 이를 2-Me-THF/헵탄 (5/3, v/v, 1.80 L)으로 2시간 동안 연화처리하고, 여과하고, 건조시켜 화합물 II (15.0 g, 50.3% 수율)를 백색 고체로서 수득하였다.To a solution of Compound I (20.0 g, 51.4 mmol) in DCE (100 mL) was added TMSOTf (17.1 g, 77.2 mmol). The resulting reaction solution was stirred at 60°C for 2 hours and then at 25°C for 1 hour. Cbz-protected 2-(2-aminoethoxy)ethan-1-ol (13.5 g, 56.5 mmol) in DCE (100 mL) dried over 4 Å powder molecular sieves (10 g) was added to the above-mentioned reaction solution with N It was added dropwise at 0°C under2 atmosphere. The resulting reaction mixture was stirred at 25°C for 16 hours under N2 atmosphere. The reaction mixture was filtered and washed with saturated NaHCO3 (200 mL), water (200 mL), and saturated brine (200 mL). The organic layer was dried over anhydrous Na2 SO4 , filtered and concentrated under reduced pressure to give the crude product, which was triturated with 2-Me-THF/heptane (5/3, v/v, 1.80 L) for 2 h. Processing, filtering, and drying gave Compound II (15.0 g, 50.3% yield) as a white solid.

건조 및 아르곤 퍼징된 수소화 병에 10% Pd/C (1.50 g)에 이어서 THF (10 mL)에 이어서 THF (300 mL) 및 TFA (3.00 g, 26.4 mmol) 중 화합물 II (15.0 g, 26.4 mmol)의 용액을 조심스럽게 첨가하였다. 생성된 혼합물을 탈기하고, H2로 3회 퍼징하고, H2 (45 psi) 분위기 하에 25℃에서 3시간 동안 교반하였다. TLC (DCM: MeOH = 10:1)는 화합물 II가 완전히 소모되었음을 나타냈다. 반응 혼합물을 여과하고, 감압 하에 농축시켰다. 잔류물을 무수 DCM (500 mL) 중에 용해시키고, 농축시켰다. 이 과정을 3회 반복하여 중간체-A (14.0 g, 96.5% 수율)를 발포성 백색 고체로서 수득하였다.1H NMR (400 MHz DMSO-d6): δ ppm 7.90 (d, J = 9.29 Hz, 1 H), 7.78 (br s, 3 H), 5.23 (d, J = 3.26 Hz, 1 H), 4.98 (dd, J = 11.29, 3.26 Hz, 1 H), 4.56 (d, J = 8.53 Hz, 1 H), 3.98 - 4.07 (m, 3 H), 3.79 - 3.93 (m, 2 H), 3.55 - 3.66 (m, 5 H), 2.98 (br d, J = 4.77 Hz, 2 H), 2.11 (s, 3 H), 2.00 (s, 3 H), 1.90 (s, 3 H), 1.76 (s, 3 H).Compound II (15.0 g, 26.4 mmol) in 10% Pd/C (1.50 g) followed by THF (10 mL) followed by THF (300 mL) and TFA (3.00 g, 26.4 mmol) in a dried and argon purged hydrogenation bottle. The solution was carefully added. The resulting mixture was degassed, purged three times with H2 and stirred at 25° C. for 3 hours under an H2 (45 psi) atmosphere. TLC (DCM: MeOH = 10:1) showed that Compound II was completely consumed. The reaction mixture was filtered and concentrated under reduced pressure. The residue was dissolved in dry DCM (500 mL) and concentrated. This process was repeated three times to obtain Intermediate-A (14.0 g, 96.5% yield) as a foamy white solid.1 H NMR (400 MHz DMSO-d6 ): δ ppm 7.90 (d, J = 9.29 Hz, 1 H), 7.78 (br s, 3 H), 5.23 (d, J = 3.26 Hz, 1 H), 4.98 (dd, J = 11.29, 3.26 Hz, 1 H), 4.56 (d, J = 8.53 Hz, 1 H), 3.98 - 4.07 (m, 3 H), 3.79 - 3.93 (m, 2 H), 3.55 - 3.66 (m, 5 H), 2.98 (br d, J = 4.77 Hz, 2 H), 2.11 (s, 3 H), 2.00 (s, 3 H), 1.90 (s, 3 H), 1.76 (s, 3) H).

중간체-B를 중간체-A의 합성과 유사한 절차를 사용하여 합성하였다.1H NMR (400 MHz DMSO-d6): δ ppm 7.90 (br d, J = 9.03 Hz, 4 H), 5.21 (d, J = 3.51 Hz, 1 H), 4.97 (dd, J = 11.1 Hz, 1 H), 4.54 (d, J = 8.53 Hz, 1 H), 3.98 - 4.06 (m, 3 H), 3.88 (dt, J = 10.9 Hz, 1 H), 3.76 - 3.83 (m, 1 H), 3.49 - 3.61 (m, 9 H), 2.97 (br s, 2 H), 2.10 (s, 3 H), 1.99 (s, 3 H), 1.88 (s, 3 H), 1.78 (s, 3 H). 질량 계산치 C20H34N2O11: 478.22; 실측치: 479.3 (M+H+).Intermediate-B was synthesized using a procedure similar to the synthesis of Intermediate-A.1 H NMR (400 MHz DMSO-d6 ): δ ppm 7.90 (br d, J = 9.03 Hz, 4 H), 5.21 (d, J = 3.51 Hz, 1 H), 4.97 (dd, J = 11.1 Hz, 1 H), 4.54 (d, J = 8.53 Hz, 1 H), 3.98 - 4.06 (m, 3 H), 3.88 (dt, J = 10.9 Hz, 1 H), 3.76 - 3.83 (m, 1 H), 3.49 - 3.61 (m, 9 H), 2.97 (br s, 2 H), 2.10 (s, 3 H), 1.99 (s, 3 H), 1.88 (s, 3 H), 1.78 (s, 3 H) . Calculated mass C20 H34 N2 O11 : 478.22; Actual value: 479.3 (M+H+ ).

실시예 3. 화합물 1의 제조Example 3. Preparation of Compound 1

하기 반응식 4를 사용하여 상기 실시예 1에서 확인된 화합물 1을 제조하였다. 상업적으로 입수가능한 2,2',2",2"'-(프로판-1,3-디일비스(아잔트리일))테트라아세트산 (반응식 4에서의 화합물 I)을 이무수물 화합물 II로 전환시켰다. 6-아미노헥산-1-올의 처리에 이은 가수분해 시, 화합물 II를 삼산 화합물 III로 전환시켰다. 화합물 III와 중간체-A 사이의 아미드 커플링으로 화합물 IV를 수득하였다. 화합물 IV를 2-시아노에틸 N,N-디이소프로필클로로포스포르아미다이트 및 촉매량의 1H-테트라졸로 처리하여 포스포르아미다이트 화합물 1을 수득하였다.Compound 1 identified in Example 1 was prepared using Scheme 4 below. Commercially available 2,2',2",2"'-(propane-1,3-diylbis(azantriyl))tetraacetic acid (Compound I in Scheme 4) was converted to the dianhydride Compound II. Upon treatment with 6-aminohexan-1-ol followed by hydrolysis, compound II was converted to triacid compound III. Amide coupling between compound III and intermediate-A afforded compound IV. Compound IV was treated with 2-cyanoethyl N,N-diisopropylchlorophosphoramidite and a catalytic amount of 1H-tetrazole to give phosphoramidite compound 1.

Figure pct00097
Figure pct00097

반응식 4Scheme 4

Ac2O (8.83 g, 86.5 mmol) 및 피리딘 (193 mg, 2.45 mmol)의 교반 용액에 사산 화합물 I (5.0 g, 16.3 mmol)을 첨가하였다. N2로 3회 퍼징한 후, 반응 혼합물을 N2 분위기 하에 65℃에서 12시간 동안 교반하였다. 냉각시킨 후, 반응 혼합물을 여과하여 불용성 고체를 제거하였다. 여과물을 진공 하에 농축시켰다. 톨루엔을 잔류물에 첨가하고, 휘발성 물질을 증발시켰다. 이 과정을 3회 반복하여 화합물 II (2.20 g, 49.8% 수율)를 황색 오일로서 수득하였다.1H NMR (400 MHz DMSO-d6): δ ppm 3.65 (s, 8 H), 2.46 (br t, J = 7.19 Hz, 4 H), 1.55 - 1.65 (m, 2 H).To a stirred solution of Ac2 O (8.83 g, 86.5 mmol) and pyridine (193 mg, 2.45 mmol) was added tetrahydrate I (5.0 g, 16.3 mmol). After purging with N2 three times, the reaction mixture was stirred at 65° C. for 12 hours under N2 atmosphere. After cooling, the reaction mixture was filtered to remove insoluble solids. The filtrate was concentrated under vacuum. Toluene was added to the residue and volatiles were evaporated. This process was repeated three times to obtain compound II (2.20 g, 49.8% yield) as a yellow oil.1 H NMR (400 MHz DMSO-d6 ): δ ppm 3.65 (s, 8 H), 2.46 (br t, J = 7.19 Hz, 4 H), 1.55 - 1.65 (m, 2 H).

DMF (18 mL) 중 화합물 II (1.80 g, 6.66 mmol) 및 이미다졸 (3.63 g, 53.2 mmol)의 혼합물에 6-아미노헥산-1-올 (624 mg, 5.33 mmol) 및 피리딘 (263 mg, 3.33 mmol)을 순차적으로 첨가하였다. 혼합물을 N2 분위기 하에 50℃에서 5시간 동안 교반하였다. 반응 혼합물을 감압 하에 농축시켰다. 잔류물을 역상 정제용 HPLC에 의해 정제하였다. 화합물 III를 수득하였다 (1.90 g, 8.4 중량% DMF 및 63.2 중량% 이미다졸 함유).1H NMR (400 MHz DMSO-d6): δ ppm 4.00 (br t, J = 6.50 Hz, 1 H), 3.44 - 3.56 (m, 6 H), 3.34 - 3.39 (m, 3 H), 3.20 - 3.27 (m, 2 H), 3.02 - 3.12 (m, 2 H), 2.80 - 2.86 (m, 1 H), 2.79 - 2.87 (m, 1 H), 2.64 - 2.70 (m, 2 H), 1.49 - 1.69 (m, 3 H), 1.33 - 1.73 (m, 4 H), 1.18 - 1.46 (m, 3 H).6-aminohexan-1-ol (624 mg, 5.33 mmol) and pyridine (263 mg, 3.33 mmol) in a mixture of compound II (1.80 g, 6.66 mmol) and imidazole (3.63 g, 53.2 mmol) in DMF (18 mL) mmol) were added sequentially. The mixture was stirred at 50° C. for 5 hours under N2 atmosphere. The reaction mixture was concentrated under reduced pressure. The residue was purified by reverse phase preparative HPLC. Compound III was obtained (1.90 g, containing 8.4% DMF and 63.2% imidazole by weight).1 H NMR (400 MHz DMSO-d6 ): δ ppm 4.00 (br t, J = 6.50 Hz, 1 H), 3.44 - 3.56 (m, 6 H), 3.34 - 3.39 (m, 3 H), 3.20 - 3.27 (m, 2 H), 3.02 - 3.12 (m, 2 H), 2.80 - 2.86 (m, 1 H), 2.79 - 2.87 (m, 1 H), 2.64 - 2.70 (m, 2 H), 1.49 - 1.69 (m, 3 H), 1.33 - 1.73 (m, 4 H), 1.18 - 1.46 (m, 3 H).

DMF (10 mL) 중 화합물 III (950 mg, 순도 28.3% 0.66 mmol) 및 중간체-A (1.01 g, 2.32 mmol)의 용액에 DIEA (385 mg, 2.99 mmol), HOBt (358 mg, 2.65 mmol) 및 EDC (508 mg, 2.65 mmol)를 순차적으로 첨가하였다. 생성된 반응 혼합물을 N2 분위기 하에 25℃에서 3시간 동안 교반하였다. LC-MS는 목적 생성물을 나타냈다. 반응 혼합물을 역상 정제용 HPLC에 의해 정제하였다. 목적 생성물을 함유하는 분획을 합하고, 농축시켜 화합물 IV (200 mg, 18.2% 수율)를 백색 고체로서 수득하였다.1H NMR (400 MHz DMSO-d6): δ ppm 8.03 - 8.11 (m, 3 H), 7.84 (d, J = 9.26 Hz, 3 H), 5.21 (d, J = 3.38 Hz, 3 H), 4.97 (dd, J = 11.19, 3.31 Hz, 3 H), 4.54 (d, J = 8.50 Hz, 3 H), 4.34 (br t, J = 4.88 Hz, 1 H), 4.03 (s, 9 H), 3.82 - 3.92 (m, 3 H), 3.73 - 3.81 (m, 3 H), 3.44 - 3.60 (m, 10 H), 3.38 - 3.43 (m, 8 H), 3.19 - 3.27 (m, 6 H), 3.01 - 3.07 (m, 8 H), 2.39 - 2.48 (m, 6 H), 2.10 (s, 9 H), 2.00 (s, 9 H), 1.89 (s, 9 H), 1.78 (s, 9 H), 1.55 (br s, 2 H), 1.33 - 1.44 (m, 4 H), 1.23 (br s, 4 H). LCMS: [M+2H+]/2, 828.0.DIEA (385 mg, 2.99 mmol), HOBt (358 mg, 2.65 mmol) and EDC (508 mg, 2.65 mmol) was added sequentially. The resulting reaction mixture was stirred at 25°C for 3 hours under N2 atmosphere. LC-MS showed the desired product. The reaction mixture was purified by reverse phase preparative HPLC. Fractions containing the desired product were combined and concentrated to give compound IV (200 mg, 18.2% yield) as a white solid.1 H NMR (400 MHz DMSO-d6 ): δ ppm 8.03 - 8.11 (m, 3 H), 7.84 (d, J = 9.26 Hz, 3 H), 5.21 (d, J = 3.38 Hz, 3 H), 4.97 (dd, J = 11.19, 3.31 Hz, 3 H), 4.54 (d, J = 8.50 Hz, 3 H), 4.34 (br t, J = 4.88 Hz, 1 H), 4.03 (s, 9 H), 3.82 - 3.92 (m, 3 H), 3.73 - 3.81 (m, 3 H), 3.44 - 3.60 (m, 10 H), 3.38 - 3.43 (m, 8 H), 3.19 - 3.27 (m, 6 H), 3.01 - 3.07 (m, 8 H), 2.39 - 2.48 (m, 6 H), 2.10 (s, 9 H), 2.00 (s, 9 H), 1.89 (s, 9 H), 1.78 (s, 9 H) ), 1.55 (br s, 2 H), 1.33 - 1.44 (m, 4 H), 1.23 (br s, 4 H). LCMS: [M+2H+ ]/2, 828.0.

무수 DCM (2.0 mL) 중 화합물 IV (200 mg, 120 umol)의 용액에 디이소프로필암모늄 테트라졸리드 (22.9 mg, 132 umol)를 첨가하고, 이어서 3-비스(디이소프로필아미노)포스파닐옥시프로판니트릴 (145 mg, 483 umol)을 N2 하에 25℃에서 적가하였다. 반응 혼합물을 25℃에서 2시간 동안 교반하였다. LC-MS는 화합물 IV가 완전히 소모되었음을 나타냈다. 반응물을 -20℃에서 염수 및 포화 NaHCO3 용액 (1:1, 5 mL)의 혼합물의 첨가에 의해 켄칭하고, 생성된 혼합물을 0℃에서 1분 동안 교반하였다. 층을 분리하였다. 수성 상을 추가의 DCM (5 mL)으로 추출하였다. 합한 유기부를 염수 / 포화 수성 NaHCO3 용액 (1:1, 5 mL)으로 세척하고, Na2SO4 상에서 건조시키고, 여과하고, ~ 1 mL의 부피로 농축시켰다. 이 용액을 교반하면서 MTBE (20 mL)에 적가하였다. 이로써 백색 고체가 형성되었고, 이를 원심분리에 의해 단리하였다. 이 과정을 1회 더 반복하였다. 이어서, 고체를 무수 CH3CN 중에 용해시키고, 휘발성 물질을 제거하였다. 이 과정을 3회 반복하여 화합물 1 (103 mg, 45.9% 수율)을 무색 오일로서 수득하였다.1H NMR (CDCl3): δ ppm 7.74 - 7.88 (m, 3 H), 6.70 - 7.02 (m, 3 H), 5.37 (br s, 3 H), 5.14 - 5.27 (m, 3 H), 4.77 (br d, J = 7.78 Hz, 3 H), 4.13 - 4.27 (m, 6 H), 3.95 (br s, 10 H), 3.71 - 3.82 (m, 4 H), 3.47 - 3.70 (m, 20 H), 3.42 (br s, 3 H), 3.13 - 3.29 (m, 10 H), 2.63 - 2.68 (m, 6 H), 2.15 - 2.23 (m, 9 H), 2.07 (s, 9 H), 2.02 (s, 9 H), 1.89 (s, 9 H), 1.53 - 1.77 (m, 6 H), 1.37 -1.18 (m, 16 H).31P NMR (CDCl3): δ ppm 147.14.To a solution of Compound IV (200 mg, 120 umol) in anhydrous DCM (2.0 mL) was added diisopropylammonium tetrazolide (22.9 mg, 132 umol) followed by 3-bis(diisopropylamino)phosphanyloxy. Propannitrile (145 mg, 483 umol) was added dropwise at 25°C under N2 . The reaction mixture was stirred at 25°C for 2 hours. LC-MS showed that Compound IV was completely consumed. The reaction was quenched by addition of a mixture of brine and saturated NaHCO3 solution (1:1, 5 mL) at -20°C, and the resulting mixture was stirred at 0°C for 1 min. The layers were separated. The aqueous phase was extracted with additional DCM (5 mL). The combined organic portion was washed with brine/saturated aqueous NaHCO3 solution (1:1, 5 mL), dried over Na2 SO4 , filtered, and concentrated to a volume of ~1 mL. This solution was added dropwise to MTBE (20 mL) with stirring. This formed a white solid, which was isolated by centrifugation. This process was repeated one more time. The solid was then dissolved in anhydrous CH3 CN and volatiles were removed. This process was repeated three times to obtain compound 1 (103 mg, 45.9% yield) as a colorless oil.1 H NMR (CDCl3 ): δ ppm 7.74 - 7.88 (m, 3 H), 6.70 - 7.02 (m, 3 H), 5.37 (br s, 3 H), 5.14 - 5.27 (m, 3 H), 4.77 (br d, J = 7.78 Hz, 3 H), 4.13 - 4.27 (m, 6 H), 3.95 (br s, 10 H), 3.71 - 3.82 (m, 4 H), 3.47 - 3.70 (m, 20 H) ), 3.42 (br s, 3 H), 3.13 - 3.29 (m, 10 H), 2.63 - 2.68 (m, 6 H), 2.15 - 2.23 (m, 9 H), 2.07 (s, 9 H), 2.02 (s, 9 H), 1.89 (s, 9 H), 1.53 - 1.77 (m, 6 H), 1.37 -1.18 (m, 16 H).31 P NMR (CDCl3 ): δ ppm 147.14.

실시예 4 화합물 2의 제조Example 4 Preparation of Compound 2

중간체 B를 중간체 A 대신에 사용한 것을 제외하고는 상기 반응식 4에 기초한 동일한 절차를 사용하여 화합물 2 (실시예 1)를 합성하였다:1H NMR (CDCl3): δ ppm 8.01 - 8.09 (m, 1 H), 7.59 - 7.61 (m, 2 H), 7.21 - 7.23 (m, 1 H), 6.66 - 6.85 (m, 3 H), 5.35 (br s, 3 H), 5.06 - 5.25 (m, 3 H), 4.72 - 4.84 (m, 3 H), 4.05 - 4.25 (m, 10 H), 3.76 - 4.00 (m, 12 H), 3.46 - 3.62 (m, 32 H), 3.20 (br s, 10 H), 2.61 - 2.68 (m, 6 H), 2.16 - 2.18 (m, 9 H), 2.05 (s, 9 H), 1.96 - 2.02 (m, 18 H), 1.61 - 1.66 (m, 4 H), 1.52 (br s, 2 H), 1.36 (br s, 4 H), 1.17 - 1.19 (m, 12 H).31P NMR (CDCl3): δ ppm 147.07.Compound 2 (Example 1) was synthesized using the same procedure based on Scheme 4 above except that Intermediate B was used instead of Intermediate A:1 H NMR (CDCl3 ): δ ppm 8.01 - 8.09 (m, 1 H), 7.59 - 7.61 (m, 2 H), 7.21 - 7.23 (m, 1 H), 6.66 - 6.85 (m, 3 H), 5.35 (br s, 3 H), 5.06 - 5.25 (m, 3 H) ), 4.72 - 4.84 (m, 3 H), 4.05 - 4.25 (m, 10 H), 3.76 - 4.00 (m, 12 H), 3.46 - 3.62 (m, 32 H), 3.20 (br s, 10 H) , 2.61 - 2.68 (m, 6 H), 2.16 - 2.18 (m, 9 H), 2.05 (s, 9 H), 1.96 - 2.02 (m, 18 H), 1.61 - 1.66 (m, 4 H), 1.52 (br s, 2 H), 1.36 (br s, 4 H), 1.17 - 1.19 (m, 12 H).31 P NMR (CDCl3 ): δ ppm 147.07.

실시예 5 화합물 3의 제조Example 5 Preparation of Compound 3

하기 반응식 5는 상기 실시예 1에서 확인된 화합물 3을 제조하는 데 사용될 수 있다.Scheme 5 below can be used to prepare compound 3 identified in Example 1 above.

Figure pct00098
Figure pct00098

반응식 5Scheme 5

tert-부틸 (3-아미노프로필)카르바메이트로부터 출발하여, 이를 벤질 보호된 2-브로모에탄올로 알킬화시켜 (SN2 치환) 화합물 I를 수득할 수 있다. 이어서, Boc 기를 산성 조건 하에 제거하여 화합물 II를 수득할 수 있고, 이를 tert-부틸 2-브로모아세테이트로 알킬화시켜 트리에스테르 화합물 III를 수득할 수 있다. 이어서, tert-부틸 보호기는 포름산의 처리 시 제거되어 트리산 화합물 IV를 생성할 수 있다. 중간체-A와의 아미드 커플링은 화합물 V를 수득한다. 이어서, 벤질 보호기를 수소화에 의해 제거하여 화합물 VI를 수득할 수 있다. 포스포르아미다이트 화합물 3은 화합물 VI를 2-시아노에틸 N,N-디이소프로필클로로포스포르아미다이트 및 촉매량의 1H-테트라졸로 처리함으로써 합성할 수 있다.Starting from tert-butyl (3-aminopropyl)carbamate, compound I can be obtained by alkylation (SN 2 substitution) with benzyl protected 2-bromoethanol. The Boc group can then be removed under acidic conditions to give compound II, which can be alkylated with tert-butyl 2-bromoacetate to give the triester compound III. The tert-butyl protecting group can then be removed upon treatment with formic acid to yield triacid compound IV. Amide coupling with intermediate-A affords compound V. The benzyl protecting group can then be removed by hydrogenation to yield compound VI. Phosphoramidite compound 3 can be synthesized by treating compound VI with 2-cyanoethyl N,N-diisopropylchlorophosphoramidite and a catalytic amount of 1H-tetrazole.

실시예 6. 화합물 4의 제조Example 6. Preparation of Compound 4

하기 반응식 6을 사용하여 상기 실시예 1에서 확인된 화합물 4를 제조하였다.Compound 4 identified in Example 1 was prepared using Scheme 6 below.

Figure pct00099
Figure pct00099

반응식 6Scheme 6

벤질 보호된 프로판-1,3-디아민으로부터 출발하여, 이를 tert-부틸 2-브로모아세테이트로 알킬화시켜 트리에스테르 화합물 I를 수득하였다. 벤질 보호기를 수소화에 의해 제거하여 2급 아민 화합물 II를 수득하였다. 6-히드록시헥산산과의 아미드 커플링으로 화합물 III를 수득하였다. 이어서, tert-부틸 보호기를 디옥산 중 HCl의 처리 시 제거하여 트리산 화합물 IV를 생성하였다. 삼산 화합물 IV와 중간체-A 사이의 아미드 커플링을 수행하여 화합물 V를 수득하였다. 포스포르아미다이트 화합물 4를 2-시아노에틸 N,N-디이소프로필클로로포스포르아미다이트 및 촉매량의 1H-테트라졸을 사용한 화합물 V의 포스피틸화에 의해 합성하였다.Starting from benzyl protected propane-1,3-diamine, this was alkylated with tert-butyl 2-bromoacetate to give the triester compound I. The benzyl protecting group was removed by hydrogenation to give secondary amine compound II. Amide coupling with 6-hydroxyhexanoic acid gave compound III. The tert-butyl protecting group was then removed upon treatment with HCl in dioxane to yield triacid compound IV. Amide coupling between triacid compound IV and intermediate-A was performed to obtain compound V. Phosphoramidite compound 4 was synthesized by phosphitylation of compound V using 2-cyanoethyl N,N-diisopropylchlorophosphoramidite and a catalytic amount of 1H-tetrazole.

DMF (100 mL) 중 N1-벤질프로판-1,3-디아민 (5.00 g, 30.4 mmol)의 용액에 tert-부틸 2-브로모아세테이트 (23.7 g, 121 mmol)를 첨가하고, 이어서 DIEA (23.61 g, 182 mmol)를 적가하였다. 생성된 반응 혼합물을 25-30℃에서 16시간 동안 교반하였다. LCMS는 N1-벤질프로판-1,3-디아민이 완전히 소모되었음을 나타냈다. 반응 혼합물을 H2O (500 mL)로 희석하고, EtOAc (500 mL x 2)로 추출하였다. 합한 유기부를 포화 염수 (1 L)로 세척하고, 무수 Na2SO4 상에서 건조시키고, 여과하고, 감압 하에 농축시켜 조 생성물을 수득하였으며, 이를 실리카 겔 칼럼 크로마토그래피 (구배: 석유 에테르:에틸 아세테이트, 20:1에서 5:1)에 의해 정제하였다. 화합물 I (12.1 g, 78.4% 수율)을 무색 오일로서 수득하였다.1H NMR (400 MHz, CDCl3): δ ppm 7.26 - 7.40 (m, 5 H), 3.79 (s, 2 H), 3.43 (s, 4 H), 3.21 (s, 2 H), 2.72 (dt, J = 16.9, 7.34 Hz, 4 H), 1.70 (quin, J = 7.2 Hz, 2 H), 1.44 - 1.50 (m, 27 H).To a solution of N1 -benzylpropane-1,3-diamine (5.00 g, 30.4 mmol) in DMF (100 mL) was added tert-butyl 2-bromoacetate (23.7 g, 121 mmol), followed by DIEA (23.61 g, 182 mmol) was added dropwise. The resulting reaction mixture was stirred at 25-30°C for 16 hours. LCMS showed complete consumption of N1 -benzylpropane-1,3-diamine. The reaction mixture was diluted with H2 O (500 mL) and extracted with EtOAc (500 mL x 2). The combined organics were washed with saturated brine (1 L), dried over anhydrous Na2 SO4 , filtered, and concentrated under reduced pressure to give the crude product, which was purified by silica gel column chromatography (gradient: petroleum ether:ethyl acetate, 20:1 to 5:1). Compound I (12.1 g, 78.4% yield) was obtained as a colorless oil.1 H NMR (400 MHz, CDCl3 ): δ ppm 7.26 - 7.40 (m, 5 H), 3.79 (s, 2 H), 3.43 (s, 4 H), 3.21 (s, 2 H), 2.72 (dt) , J = 16.9, 7.34 Hz, 4 H), 1.70 (quin, J = 7.2 Hz, 2 H), 1.44 - 1.50 (m, 27 H).

건조된 수소화 병을 아르곤으로 3회 퍼징하였다. Pd/C (200 mg, 10%)를 첨가하고, 이어서 MeOH (5 mL)에 이어서 MeOH (5 mL) 중 화합물 I (1.00 g, 1.97 mmol)의 용액을 첨가하였다. 반응 혼합물을 진공 하에 탈기하고, H2로 재충전하였다. 이 과정을 3회 반복하였다. 혼합물을 H2 (15 psi) 분위기 하에 25℃에서 12시간 동안 교반하였다. LCMS는 화합물 I가 완전히 소모되었음을 나타냈다. 반응 혼합물을 감압 하에 N2 분위기 하에 여과하였다. 여과물을 감압 하에 농축시켜 화합물 II (655 mg, 79.7% 수율)를 황색 오일로서 수득하였으며, 이를 후속 단계에 추가 정제 없이 사용하였다.1H NMR (400 MHz, CDCl3): δ ppm 3.44 (s, 4 H), 3.31 (s, 2 H), 2.78 (t, J = 7.1 Hz, 2 H), 2.68 (t, J = 6.9 Hz, 2 H), 1.88 (br s, 1 H), 1.69 (quin, J = 7.03 Hz, 2 H), 1.44 - 1.50 (s, 27 H).The dried hydrogenation bottle was purged three times with argon. Pd/C (200 mg, 10%) was added, followed by MeOH (5 mL) followed by a solution of Compound I (1.00 g, 1.97 mmol) in MeOH (5 mL). The reaction mixture was degassed under vacuum and recharged with H2 . This process was repeated three times. The mixture was stirred at 25° C. for 12 hours under H2 (15 psi) atmosphere. LCMS showed that Compound I was completely consumed. The reaction mixture was filtered under N2 atmosphere under reduced pressure. The filtrate was concentrated under reduced pressure to give compound II (655 mg, 79.7% yield) as a yellow oil, which was used in the next step without further purification.1 H NMR (400 MHz, CDCl3 ): δ ppm 3.44 (s, 4 H), 3.31 (s, 2 H), 2.78 (t, J = 7.1 Hz, 2 H), 2.68 (t, J = 6.9 Hz) , 2 H), 1.88 (br s, 1 H), 1.69 (quin, J = 7.03 Hz, 2 H), 1.44 - 1.50 (s, 27 H).

DMF (6 mL) 중 화합물 II (655 mg, 1.57 mmol), 6-히드록시헥산산 (249 mg, 1.89 mmol), DIEA (1.02 g, 7.86 mmol), EDCI (904 mg, 4.72 mmol) 및 HOBt (637 mg, 4.72 mmol)의 혼합물을 탈기하고, N2로 3회 퍼징한 다음, N2 분위기 하에 25℃에서 3시간 동안 교반하였다. LCMS는 목적 생성물을 나타냈다. 반응 혼합물을 H2O (10 mL)로 희석하고, EtOAc 20 mL (10 mL x 2)로 추출하였다. 유기부를 합하고, 포화 염수 (20 mL)로 세척하고, 무수 Na2SO4 상에서 건조시키고, 여과하고, 농축시켜 조 생성물을 수득하였으며, 이를 실리카 겔 칼럼 크로마토그래피 (구배: 석유 에테르:에틸 아세테이트, 5:1에서 1:1)에 의해 정제하여 화합물 III (650 mg, 77.8% 수율)을 황색 오일로서 수득하였다.1H NMR (400 MHz, CDCl3): δ ppm 3.90 - 3.95 (s, 2 H), 3.63 (t, J = 6.40 Hz, 2 H), 3.38 - 3.45 (m, 6 H), 2.72 (t, J = 6.65 Hz, 2 H), 2.40 (t, J = 7.28 Hz, 2 H), 1.55 - 1.75 (m, 8 H), 1.44 (s, 27 H). 질량 계산치 C27H50N2O8: 530.36; 실측치: 531.3 (M+H+).Compound II (655 mg, 1.57 mmol), 6-hydroxyhexanoic acid (249 mg, 1.89 mmol), DIEA (1.02 g, 7.86 mmol), EDCI (904 mg, 4.72 mmol) and HOBt ( The mixture (637 mg, 4.72 mmol) was degassed, purged three times with N2 , and then stirred at 25° C. for 3 hours under N2 atmosphere. LCMS showed the desired product. The reaction mixture was diluted with H2 O (10 mL) and extracted with 20 mL of EtOAc (10 mL x 2). The organics were combined, washed with saturated brine (20 mL), dried over anhydrous Na2 SO4 , filtered, and concentrated to give the crude product, which was purified by silica gel column chromatography (gradient: petroleum ether:ethyl acetate, 5 :1 to 1:1) to give compound III (650 mg, 77.8% yield) as a yellow oil.1 H NMR (400 MHz, CDCl3 ): δ ppm 3.90 - 3.95 (s, 2 H), 3.63 (t, J = 6.40 Hz, 2 H), 3.38 - 3.45 (m, 6 H), 2.72 (t, J = 6.65 Hz, 2 H), 2.40 (t, J = 7.28 Hz, 2 H), 1.55 - 1.75 (m, 8 H), 1.44 (s, 27 H). Calculated mass C27 H50 N2 O8 : 530.36; Actual value: 531.3 (M+H+ ).

HCl/디옥산 (2M, 55 mL) 중 화합물 III (5.5 g, 10.3 mmol)의 혼합물을 25℃에서 3시간 동안 교반하였다. LCMS는 화합물 III의 완전한 소모를 나타냈다. 반응 혼합물을 여과하고, EtOAc (50 mL)로 세척하고, 감압 하에 건조시켜 조 생성물을 수득하였다. 이를 CH3CN (50 mL) 중에 용해시키고, 휘발성 물질을 진공 하에 제거하였다. 이 과정을 3회 반복하여 화합물 IV (2.05 g, 54.5% 수율)를 백색 고체로서 수득하였다.1H NMR (400 MHz, D2O): δ ppm 4.21 (s, 1 H), 4.07 (d, J = 4.5 Hz, 4 H), 3.99 (s, 1 H), 3.45 - 3.52 (m, 3 H), 3.42 (t, J = 6.5 Hz, 1 H), 3.32 - 3.38 (m, 1 H), 3.24 - 3.31 (m, 1 H), 2.37 (t, J = 7.4 Hz, 1 H), 2.24 (t, J = 7.4 Hz, 1 H), 1.99 (dt, J = 15.5, 7.53 Hz, 1 H), 1.85 - 1.94 (m, 1 H), 1.85 - 1.94 (m, 1 H), 1.39 - 1.56 (m, 4 H), 1.19 - 1.31 (m, 2 H).A mixture of Compound III (5.5 g, 10.3 mmol) in HCl/dioxane (2M, 55 mL) was stirred at 25°C for 3 hours. LCMS showed complete consumption of Compound III. The reaction mixture was filtered, washed with EtOAc (50 mL) and dried under reduced pressure to give the crude product. This was dissolved in CH3 CN (50 mL) and volatiles were removed under vacuum. This process was repeated three times to obtain compound IV (2.05 g, 54.5% yield) as a white solid.1 H NMR (400 MHz, D2 O): δ ppm 4.21 (s, 1 H), 4.07 (d, J = 4.5 Hz, 4 H), 3.99 (s, 1 H), 3.45 - 3.52 (m, 3 H), 3.42 (t, J = 6.5 Hz, 1 H), 3.32 - 3.38 (m, 1 H), 3.24 - 3.31 (m, 1 H), 2.37 (t, J = 7.4 Hz, 1 H), 2.24 (t, J = 7.4 Hz, 1 H), 1.99 (dt, J = 15.5, 7.53 Hz, 1 H), 1.85 - 1.94 (m, 1 H), 1.85 - 1.94 (m, 1 H), 1.39 - 1.56 (m, 4 H), 1.19 - 1.31 (m, 2 H).

DMF (2.6 mL) 중 화합물 IV (150 mg, 0.413 mmol), 중간체-B (693 mg, 1.45 mmol), DIEA (267 mg, 2.07 mmol), EDCI (277 mg, 1.45 mmol), 및 HOBt (195 mg, 1.45 mmol)의 혼합물을 N2 분위기 하에 25℃에서 3시간 동안 교반하였다. LCMS는 목적 생성물을 나타냈다. 반응 혼합물을 역상 정제용 HPLC에 의해 정제하여 화합물 V를 동결건조 후에 백색 고체 (186 mg, 0.106 mmol, 25.7% 수율)로서 수득하였다.1H NMR (400 MHz, CDCl3): ppm δ 7.91 - 8.13 (m, 1 H), 7.70 (br s, 1 H), 7.02 (br s, 1 H), 6.54 - 6.84 (m, 3 H), 5.27 (br d, J = 3.0 Hz, 2 H), 5.26 - 5.30 (m, 1 H), 4.99 - 5.15 (m, 3 H), 4.66 - 4.76 (m, 3 H), 3.98 - 4.17 (m, 10 H), 3.83 - 3.95 (m, 8 H), 3.63 - 3.76 (m, 4 H), 3.46 - 3.60 (m, 30 H), 3.40 (br s, 6 H), 3.12 - 3.18 (m, 4 H), 2.56 (br d, J = 7.2 Hz, 2 H), 2.22 - 2.39 (m, 2 H), 2.09 (s, 9 H), 1.98 (s, 9 H), 1.87 - 1.95 (m, 18 H), 1.69 (br d, J = 6.25 Hz, 2 H), 1.50 (br s, 2 H), 1.37 (br d, J = 7.0 Hz, 2 H).Compound IV (150 mg, 0.413 mmol), Intermediate-B (693 mg, 1.45 mmol), DIEA (267 mg, 2.07 mmol), EDCI (277 mg, 1.45 mmol), and HOBt (195 mg) in DMF (2.6 mL) , 1.45 mmol) was stirred at 25°C for 3 hours under N2 atmosphere. LCMS showed the desired product. The reaction mixture was purified by reverse-phase preparative HPLC to obtain compound V as a white solid (186 mg, 0.106 mmol, 25.7% yield) after lyophilization.1 H NMR (400 MHz, CDCl3 ): ppm δ 7.91 - 8.13 (m, 1 H), 7.70 (br s, 1 H), 7.02 (br s, 1 H), 6.54 - 6.84 (m, 3 H) , 5.27 (br d, J = 3.0 Hz, 2 H), 5.26 - 5.30 (m, 1 H), 4.99 - 5.15 (m, 3 H), 4.66 - 4.76 (m, 3 H), 3.98 - 4.17 (m , 10 H), 3.83 - 3.95 (m, 8 H), 3.63 - 3.76 (m, 4 H), 3.46 - 3.60 (m, 30 H), 3.40 (br s, 6 H), 3.12 - 3.18 (m, 4 H), 2.56 (br d, J = 7.2 Hz, 2 H), 2.22 - 2.39 (m, 2 H), 2.09 (s, 9 H), 1.98 (s, 9 H), 1.87 - 1.95 (m, 18 H), 1.69 (br d, J = 6.25 Hz, 2 H), 1.50 (br s, 2 H), 1.37 (br d, J = 7.0 Hz, 2 H).

무수 DCM (3.6 mL) 중 화합물 V (180 mg, 0.103 mmol)의 용액에 디이소프로필암모늄 테트라졸리드 (19.44 mg, 0.114 mmol)를 첨가하고, 이어서 3-비스(디이소프로필아미노)포스파닐옥시프로판니트릴 (124 mg, 0.412 mmol)을 주위 온도에서 N2 하에 적가하였다. 반응 혼합물을 20 ~ 25℃에서 2시간 동안 교반하였다. LCMS는 화합물 V가 완전히 소모되었음을 나타냈다. -20℃로 냉각시킨 후, 반응 혼합물을 0℃에서 염수/포화 수성 NaHCO3 (1:1, 5 mL)의 교반 용액에 첨가하였다. 1분 동안 교반한 후, DCM (5 mL)을 첨가하였다. 층을 분리하였다. 유기부를 염수/포화 수성 NaHCO3 용액 (1:1.5 mL)으로 세척하고, Na2SO4 상에서 건조시키고, 여과하고, ~ 1 mL의 부피로 농축시켰다. 잔류물 용액을 교반하면서 20 mL MTBE에 적가하였다. 이로써 백색 고체가 침전되었다. 혼합물을 원심분리하고, 고체를 수집하였다. 이 과정을 1회 더 반복하였다. 수집된 고체를 무수 CH3CN에 용해시켰다. 휘발성 물질을 제거하였다. 이 과정을 2회 더 반복하여 화합물 4 (106 mg, 52.8% 수율)를 백색 고체로서 수득하였다.1H NMR (400 MHz, CDCl3): ppm δ 7.94 - 8.18 (m, 1 H), 7.69 (br s, 1 H), 6.66 - 7.10 (m, 3 H), 5.35 (d, J = 3.5 Hz, 3 H), 5.07 - 5.25 (m, 3 H), 4.76 - 4.86 (m, 3 H), 4.01 - 4.31 (m, 10 H), 3.91 - 4.01 (m, 8 H), 3.74 - 3.86 (m, 4 H), 3.52 - 3.71 (m, 30 H), 3.42 - 3.50 (m, 6 H), 3.15 - 3.25 (m, 4 H), 2.52 - 2.70 (m, 4 H), 2.22 - 2.45 (m, 2 H), 2.15 - 2.22 (s, 9 H), 2.06 (s, 9 H), 1.95 - 2.03 (m, 18 H), 1.77 (br s, 2 H), 1.58 - 1.66 (m, 4 H), 1.40 (m, 2 H), 1.08 - 1.24 (m, 12 H).31P NMR (CDCl3): ppm δ 147.12.To a solution of Compound V (180 mg, 0.103 mmol) in anhydrous DCM (3.6 mL) was added diisopropylammonium tetrazolide (19.44 mg, 0.114 mmol) followed by 3-bis(diisopropylamino)phosphanyloxy. Propannitrile (124 mg, 0.412 mmol) was added dropwise under N2 at ambient temperature. The reaction mixture was stirred at 20-25°C for 2 hours. LCMS showed that Compound V was completely consumed. After cooling to -20°C, the reaction mixture was added to a stirred solution of brine/saturated aqueous NaHCO3 (1:1, 5 mL) at 0°C. After stirring for 1 minute, DCM (5 mL) was added. The layers were separated. The organic portion was washed with brine/saturated aqueous NaHCO3 solution (1:1.5 mL), dried over Na2 SO4 , filtered, and concentrated to a volume of ˜1 mL. The residue solution was added dropwise to 20 mL MTBE with stirring. This caused a white solid to precipitate. The mixture was centrifuged and the solid collected. This process was repeated one more time. The collected solid was dissolved in anhydrous CH3 CN. Volatile substances were removed. This process was repeated two more times to obtain compound 4 (106 mg, 52.8% yield) as a white solid.1 H NMR (400 MHz, CDCl3 ): ppm δ 7.94 - 8.18 (m, 1 H), 7.69 (br s, 1 H), 6.66 - 7.10 (m, 3 H), 5.35 (d, J = 3.5 Hz) , 3 H), 5.07 - 5.25 (m, 3 H), 4.76 - 4.86 (m, 3 H), 4.01 - 4.31 (m, 10 H), 3.91 - 4.01 (m, 8 H), 3.74 - 3.86 (m) , 4 H), 3.52 - 3.71 (m, 30 H), 3.42 - 3.50 (m, 6 H), 3.15 - 3.25 (m, 4 H), 2.52 - 2.70 (m, 4 H), 2.22 - 2.45 (m) , 2 H), 2.15 - 2.22 (s, 9 H), 2.06 (s, 9 H), 1.95 - 2.03 (m, 18 H), 1.77 (br s, 2 H), 1.58 - 1.66 (m, 4 H) ), 1.40 (m, 2 H), 1.08 - 1.24 (m, 12 H).31 P NMR (CDCl3 ): ppm δ 147.12.

실시예 7. 화합물 5의 제조Example 7. Preparation of Compound 5

중간체 A를 중간체 B 대신에 사용한 것을 제외하고는, 반응식 6에 기초한 동일한 절차를 사용하여 화합물 5를 합성하였다.1H NMR (400 MHz, CDCl3): ppm δ 7.71 - 8.06 (m, 2 H), 7.36 - 7.49 (m, 0.5 H), 6.59 - 7.14 (m, 3 H), 6.34 - 6.43 (m, 0.5 H), 5.36 (br d, J=3.01 Hz, 3 H), 5.10 - 5.31 (m, 3 H), 4.57 - 4.85 (m, 3 H), 3.85 - 4.22 (m, 18 H), 3.29 - 3.81 (m, 30 H), 3.13 - 3.26 (m, 4 H), 2.61 - 2.68 (m, 4 H), 2.26 - 2.42 (m, 2 H), 2.13 - 2.19 (m, 9 H), 2.05 (s, 9 H), 1.97 - 2.01 (m, 9 H), 1.94 - 1.96 (m, 9 H), 1.63 (br s, 4 H), 1.35 - 1.46 (m, 2 H), 1.16 - 1.19 (m, 12 H).31P NMR (CDCl3): ppm δ 147.15.Compound 5 was synthesized using the same procedure based on Scheme 6, except that Intermediate A was used instead of Intermediate B.1 H NMR (400 MHz, CDCl3 ): ppm δ 7.71 - 8.06 (m, 2 H), 7.36 - 7.49 (m, 0.5 H), 6.59 - 7.14 (m, 3 H), 6.34 - 6.43 (m, 0.5) H), 5.36 (br d, J=3.01 Hz, 3 H), 5.10 - 5.31 (m, 3 H), 4.57 - 4.85 (m, 3 H), 3.85 - 4.22 (m, 18 H), 3.29 - 3.81 (m, 30 H), 3.13 - 3.26 (m, 4 H), 2.61 - 2.68 (m, 4 H), 2.26 - 2.42 (m, 2 H), 2.13 - 2.19 (m, 9 H), 2.05 (s) , 9 H), 1.97 - 2.01 (m, 9 H), 1.94 - 1.96 (m, 9 H), 1.63 (br s, 4 H), 1.35 - 1.46 (m, 2 H), 1.16 - 1.19 (m, 12H).31 P NMR (CDCl3 ): ppm δ 147.15.

실시예 8. 화합물 6의 제조Example 8. Preparation of Compound 6

하기 반응식 7은 상기 실시예 1에서 확인된 화합물 6을 제조하는 데 사용될 수 있다.Scheme 7 below can be used to prepare compound 6 identified in Example 1 above.

Figure pct00100
Figure pct00100

반응식 7Scheme 7

벤질 보호된 프로판-1,3-디아민 (화합물 I)으로부터 출발하여, tert-부틸아크릴레이트와의 마이클 첨가 반응을 수행하여 트리에스테르 화합물 II를 수득할 수 있다. 화합물 II가 합성되면, 반응식 6에서의 화합물 4의 합성을 위한 동일한 절차를 화합물 6을 합성하기 위한 나머지 단계에 대해 따를 수 있다.Starting from benzyl protected propane-1,3-diamine (compound I), the triester compound II can be obtained by performing a Michael addition reaction with tert-butylacrylate. Once Compound II is synthesized, the same procedure for the synthesis of Compound 4 in Scheme 6 can be followed for the remaining steps to synthesize Compound 6.

실시예 9. 화합물 7의 제조Example 9. Preparation of Compound 7

하기 반응식 8은 상기 실시예 1에서 확인된 화합물 7을 제조하는 데 사용될 수 있다.Scheme 8 below can be used to prepare compound 7 identified in Example 1 above.

Figure pct00101
Figure pct00101

반응식 8Scheme 8

2급 아민 화합물 I (반응식 6에서의 화합물 II)로부터 출발하여, Cbz 보호를 사용하여 화합물 II를 수득할 수 있다. 화합물 II의 tert-부틸 기를 산으로 처리하여 제거하여 삼산 화합물 III를 수득할 수 있다. 화합물 III와 중간체-A의 아미드 커플링은 화합물 IV를 수득할 수 있다. 화합물 IV의 Cbz 보호기를 수소화에 의해 제거하여 2급 아민 화합물 V를 수득할 수 있고, 이를 글루타르산 무수물과 반응시켜 카르복실산 화합물 VI를 수득할 수 있다. 화합물 VI의 카르복실산을 표준 절차에 의해 테트라플루오로페닐 에스테르로 전환시켜 화합물 7을 수득할 수 있다.Starting from secondary amine compound I (compound II in Scheme 6), Cbz protection can be used to obtain compound II. The tert-butyl group of compound II can be removed by treatment with acid to give triacid compound III. Amide coupling of compound III with intermediate-A can yield compound IV. The Cbz protecting group of compound IV can be removed by hydrogenation to obtain secondary amine compound V, which can be reacted with glutaric anhydride to give carboxylic acid compound VI. The carboxylic acid of compound VI can be converted to the tetrafluorophenyl ester by standard procedures to give compound 7.

실시예 10. 화합물 8의 제조Example 10. Preparation of Compound 8

하기 반응식 9는 상기 실시예 1에서 확인된 화합물 8을 제조하는 데 사용될 수 있다.Scheme 9 below can be used to prepare compound 8 identified in Example 1 above.

Figure pct00102
Figure pct00102

반응식 9Scheme 9

화합물 I (반응식 8에서의 화합물 V)을 NHS 접합된 말레이미드 화합물 2,5-디옥소피롤리딘-1-일 3-(2,5-디옥소-2,5-디히드로-1H-피롤-1-일)프로파노에이트와 반응시켜 화합물 8을 수득할 수 있다.Compound I (compound V in Scheme 8) was coupled to the NHS conjugated maleimide compound 2,5-dioxopyrrolidin-1-yl 3-(2,5-dioxo-2,5-dihydro-1H-pyrrole- Compound 8 can be obtained by reacting with 1-yl)propanoate.

실시예 11. 화합물 74의 제조Example 11. Preparation of Compound 74

하기 반응식 10은 상기 실시예 1에서 확인된 화합물 74를 제조하는 데 사용될 수 있다.Scheme 10 below can be used to prepare compound 74 identified in Example 1 above.

Figure pct00103
Figure pct00103

반응식 10Scheme 10

화합물 I로부터 출발함 (반응식 6의 실시예 6과 동일함, 화합물 II).Starting from Compound I (same as Example 6 in Scheme 6, Compound II).

DCM (2.75 L) 중 화합물 I (275 g, 660 mmol, 1.00 당량)의 용액에 TEA (133 g, 1.32 mol, 2.00 당량)에 이어서 Cbz-Cl (169 g, 990 mmol, 1.50 당량)을 반응 혼합물에 적가하였다. 혼합물을 25℃에서 2시간 동안 교반하였다. LCMS는 화합물 I가 완전히 소모되었음을 나타내고, 목적 질량을 갖는 1개의 주요 피크가 검출되었다. 반응 혼합물을 NaHCO3 (800 mL)로 희석하고, 추출하였다. 합한 유기 층을 염수 500 mL (500 mL * 1)로 세척하고, Na2SO4 상에서 건조시키고, 여과하고, 감압 하에 농축시켜 조 생성물을 수득하였으며, 이를 칼럼 크로마토그래피 (SiO2, PE/EA=100/1에서 5/1)에 의해 정제하여 화합물 II (290 g, 527 mmol, 75.7% 수율)를 무색 오일로서 수득하였다.To a solution of Compound I (275 g, 660 mmol, 1.00 eq) in DCM (2.75 L) was added TEA (133 g, 1.32 mol, 2.00 eq) followed by Cbz-Cl (169 g, 990 mmol, 1.50 eq) into the reaction mixture. It was added dropwise to . The mixture was stirred at 25°C for 2 hours. LCMS showed that Compound I was completely consumed and one major peak with the target mass was detected. The reaction mixture was diluted with NaHCO3 (800 mL) and extracted. The combined organic layers were washed with 500 mL (500 mL * 1) of brine, dried over Na2 SO4 , filtered, and concentrated under reduced pressure to give the crude product, which was purified by column chromatography (SiO2 , PE/EA= Purification by 100/1 to 5/1) gave compound II (290 g, 527 mmol, 75.7% yield) as a colorless oil.

1H NMR: 400 MHz, DMSO-d6 δ ppm 7.23 - 7.40 (m, 5 H), 5.00 - 5.12 (m, 2 H), 3.86 - 3.95 (m, 2 H), 3.23 - 3.39 (m, 6 H), 2.55 - 2.67 (m, 2 H), 1.56 - 1.64 (m, 2 H), 1.31 - 1.46 (m, 27 H).1 H NMR: 400 MHz, DMSO-d6 δ ppm 7.23 - 7.40 (m, 5 H), 5.00 - 5.12 (m, 2 H), 3.86 - 3.95 (m, 2 H), 3.23 - 3.39 (m, 6) H), 2.55 - 2.67 (m, 2 H), 1.56 - 1.64 (m, 2 H), 1.31 - 1.46 (m, 27 H).

HCOOH (2.9 L) 중 화합물 II (145 g, 263 mmol, 1.00 당량)의 용액에. 혼합물을 공기 분위기 하에 60℃에서 12시간 동안 교반하였다. LCMS는 화합물 III가 완전히 소모되었음을 나타내고, 목적 질량을 갖는 1개의 주요 피크가 검출되었다. 반응물을 톨루엔 및 아세토니트릴 (ACN, 각각 1500 mL)로 희석하고, 혼합물을 진공 하에 농축시켜 포름산을 공비 제거하였다. 잔류물을 1:1 ACN : 톨루엔 (~750 mL)으로 희석하고, 농축시켰다. 잔류물을 ACN (1000 mL)으로 희석하고, 농축시켰다. 이 과정을 1회 더 반복하여 조 생성물을 고체로서 수득하였다. 조 생성물을 ACN (700 mL)으로 60℃에서 2시간 동안 연화처리하고, 여과하고, 건조시켜 화합물 III (210 g, 정량적 수율)을 백색 고체로서 수득하였다.To a solution of Compound II (145 g, 263 mmol, 1.00 eq) in HCOOH (2.9 L). The mixture was stirred at 60° C. for 12 hours under air atmosphere. LCMS showed complete consumption of Compound III and one major peak with the target mass was detected. The reaction was diluted with toluene and acetonitrile (ACN, 1500 mL each), and the mixture was concentrated in vacuo to azeotropically remove the formic acid. The residue was diluted 1:1 ACN:toluene (~750 mL) and concentrated. The residue was diluted with ACN (1000 mL) and concentrated. This process was repeated one more time to obtain the crude product as a solid. The crude product was triturated with ACN (700 mL) at 60° C. for 2 hours, filtered, and dried to give compound III (210 g, quantitative yield) as a white solid.

1H NMR: 400 MHz, DMSO-d6 δ ppm 7.26 - 7.40 (m, 5 H), 5.02 - 5.10 (m, 2 H), 3.89 - 4.00 (m, 2 H), 3.36 - 3.45 (m, 4 H), 3.24 - 3.34 (m, 2 H), 2.59 - 2.72 (m, 2 H), 1.40 (s, 2 H).1 H NMR: 400 MHz, DMSO-d6 δ ppm 7.26 - 7.40 (m, 5 H), 5.02 - 5.10 (m, 2 H), 3.89 - 4.00 (m, 2 H), 3.36 - 3.45 (m, 4) H), 3.24 - 3.34 (m, 2 H), 2.59 - 2.72 (m, 2 H), 1.40 (s, 2 H).

DMF (1.00 L) 중 화합물 III (100 g, 261 mmol, 1.00 당량), 중간체 A (502 g, 915. mmol, 3.50 당량, TFA)의 용액에 TBTU (327 g, 1.02 mol, 3.90 당량), TEA (212 g, 2.09 mol, 291 mL, 8.00 당량)를 첨가하였다. 혼합물을 25℃에서 1시간 동안 교반하였다. LCMS는 화합물 III가 완전히 소모되었음을 나타내고, 목적 질량을 갖는 1개의 주요 피크가 검출되었다. 반응 혼합물을 H2O (4000 mL)에 첨가하였다. 생성된 혼합물을 MTBE (2000 mL *2)로 추출하여 불순물을 제거하였다. 나머지 수성부를 DCM (3000 mL * 2)으로 추출하였다. 합한 DCM 추출물을 10% 시트르산 (2000 mL * 2), 포화 NaHCO3 (2000 mL * 2), 염수 2000 mL로 세척하고, Na2SO4 상에서 건조시키고, 여과하고, 감압 하에 농축시켜 화합물 IV (260 g, 159 mmol, 60.9% 수율)를 백색 고체로서 수득하였다.TBTU (327 g, 1.02 mol, 3.90 eq), TEA to a solution of Compound III (100 g, 261 mmol, 1.00 eq), Intermediate A (502 g, 915. mmol, 3.50 eq, TFA) in DMF (1.00 L) (212 g, 2.09 mol, 291 mL, 8.00 eq) was added. The mixture was stirred at 25°C for 1 hour. LCMS showed complete consumption of Compound III and one major peak with the target mass was detected. The reaction mixture was added to H2 O (4000 mL). The resulting mixture was extracted with MTBE (2000 mL *2) to remove impurities. The remaining aqueous portion was extracted with DCM (3000 mL * 2). The combined DCM extracts were washed with 10% citric acid (2000 mL * 2), saturated NaHCO3 (2000 mL * 2), 2000 mL of brine, dried over Na2 SO4 , filtered and concentrated under reduced pressure to give compound IV (260 g, 159 mmol, 60.9% yield) was obtained as a white solid.

1H NMR: 400 MHz, DMSO-d6 δ ppm 7.99 - 8.08 (m, 2 H), 7.93 (br d, J=5.50 Hz, 1 H), 7.79 - 7.86 (m, 3 H), 7.26 - 7.39 (m, 5 H), 5.22 (d, J=3.13 Hz, 3 H), 4.95 - 5.08 (m, 5 H), 4.54 (br d, J=8.38 Hz, 3 H), 4.03 (s, 9 H), 3.81 - 3.93 (m, 5 H), 3.76 (br d, J=4.88 Hz, 3 H), 3.44 - 3.62 (m, 10 H), 3.34 - 3.43 (m, 6 H), 3.24 (br d, J=6.13 Hz, 7 H), 3.02 - 3.09 (m, 4 H), 2.40 - 2.47 (m, 2 H), 2.10 (s, 9 H), 1.99 (s, 9 H), 1.89 (s, 9 H), 1.77 (s, 9 H), 1.57 - 1.68 (m, 2 H).1 H NMR: 400 MHz, DMSO-d6 δ ppm 7.99 - 8.08 (m, 2 H), 7.93 (br d, J=5.50 Hz, 1 H), 7.79 - 7.86 (m, 3 H), 7.26 - 7.39 (m, 5 H), 5.22 (d, J=3.13 Hz, 3 H), 4.95 - 5.08 (m, 5 H), 4.54 (br d, J=8.38 Hz, 3 H), 4.03 (s, 9 H) ), 3.81 - 3.93 (m, 5 H), 3.76 (br d, J=4.88 Hz, 3 H), 3.44 - 3.62 (m, 10 H), 3.34 - 3.43 (m, 6 H), 3.24 (br d , J=6.13 Hz, 7 H), 3.02 - 3.09 (m, 4 H), 2.40 - 2.47 (m, 2 H), 2.10 (s, 9 H), 1.99 (s, 9 H), 1.89 (s, 9 H), 1.77 (s, 9 H), 1.57 - 1.68 (m, 2 H).

2.00 L 수소화 병을 Ar로 3회 퍼징하고, 건조 Pd/C (9 g)를 조심스럽게 첨가하였다. 이어서, MeOH (50 mL)를 첨가하여 Pd/C를 완전히 습윤시킨 다음, 이어서 Ar 분위기 하에 MeOH (850 mL) 중 화합물 IV (90 g, 55.1 mmol, 1.00 당량) 및 TFA (6.29 g, 55.1 mmol, 1.00 당량)의 용액을 천천히 첨가하였다. 생성된 혼합물을 탈기하고, H2로 3회 퍼징한 다음, 혼합물을 H2 분위기 하에 25℃에서 10시간 동안 교반하였다. LCMS는 화합물 IV가 완전히 소모되었음을 나타내고, 1개의 주요 피크는 목적 질량을 가졌다. 반응 혼합물을 감압 하에 N2 분위기 하에 조심스럽게 여과하였다. 여과물을 감압 하에 농축시켜 화합물 V (160 g, 90.2% 수율)를 수득하였다.The 2.00 L hydrogenation bottle was purged three times with Ar and dry Pd/C (9 g) was carefully added. Then, MeOH (50 mL) was added to thoroughly wet the Pd/C, followed by compound IV (90 g, 55.1 mmol, 1.00 eq) and TFA (6.29 g, 55.1 mmol, 1.00 equivalent) of the solution was added slowly. The resulting mixture was degassed and purged three times with H2 and then the mixture was stirred at 25° C. for 10 hours under H2 atmosphere. LCMS showed that Compound IV was completely consumed and one major peak had the target mass. The reaction mixture was carefully filtered under N2 atmosphere under reduced pressure. The filtrate was concentrated under reduced pressure to obtain compound V (160 g, 90.2% yield).

1H NMR: 400 MHz, DMSO-d6 δ ppm 9.12 (br s, 2 H), 8.50 (br t, J=5.19 Hz, 1 H), 8.10 (br t, J=5.50 Hz, 2 H), 7.85 - 7.91 (m, 3 H), 5.22 (d, J=3.25 Hz, 3 H), 4.95 - 5.01 (m, 3 H), 4.52 - 4.58 (m, 3 H), 4.03 (s, 9 H), 3.84 - 3.93 (m, 3 H), 3.75 - 3.83 (m, 3 H), 3.39 - 3.61 (m, 17H), 3.23 - 3.32 (m, 7H), 3.15 - 3.18 (m, 3 H), 2.97 - 3.05 (m, 2 H), 2.54 - 2.61 (m, 2 H), 2.10 (s, 9 H), 2.00 (s, 9 H), 1.89 (s, 9 H), 1.77 - 1.80 (m, 9 H), 1.70 - 1.76 (m, 2 H).1 H NMR: 400 MHz, DMSO-d6 δ ppm 9.12 (br s, 2 H), 8.50 (br t, J=5.19 Hz, 1 H), 8.10 (br t, J=5.50 Hz, 2 H), 7.85 - 7.91 (m, 3 H), 5.22 (d, J=3.25 Hz, 3 H), 4.95 - 5.01 (m, 3 H), 4.52 - 4.58 (m, 3 H), 4.03 (s, 9 H) , 3.84 - 3.93 (m, 3 H), 3.75 - 3.83 (m, 3 H), 3.39 - 3.61 (m, 17H), 3.23 - 3.32 (m, 7H), 3.15 - 3.18 (m, 3 H), 2.97 - 3.05 (m, 2 H), 2.54 - 2.61 (m, 2 H), 2.10 (s, 9 H), 2.00 (s, 9 H), 1.89 (s, 9 H), 1.77 - 1.80 (m, 9) H), 1.70 - 1.76 (m, 2 H).

DCM (50 mL) 중 화합물 V (5.0 g, 3.10 mmol, 1.0 당량, TFA 염)의 용액에 25℃에서 글루타르산 무수물 화합물 5A, 531 mg, 4.65 mmol, 1.5 당량)를 첨가한 다음, TEA (1.26 g, 12.4 mmol, 1.73 mL, 4.0 당량)를 혼합물에 적가하였다. 혼합물을 25℃에서 1.0시간 동안 교반하였다. LC-MS는 화합물 V가 완전히 소모되었음을 나타내고, 주요 피크는 목적 생성물 질량을 가졌다. 생성된 반응 혼합물을 이소프로필 에테르로 2회 (50 mL * 2) 진공 건조시키면서 연화처리하여 화합물 VI (조 물질, 5.5 g)을 갈색 고체로서 수득하였다.To a solution of Compound V (5.0 g, 3.10 mmol, 1.0 equiv, TFA salt) in DCM (50 mL) was added glutaric anhydride compound 5A, 531 mg, 4.65 mmol, 1.5 equiv) at 25°C, then TEA ( 1.26 g, 12.4 mmol, 1.73 mL, 4.0 equivalent) was added dropwise to the mixture. The mixture was stirred at 25°C for 1.0 h. LC-MS showed that Compound V was completely consumed and the main peak had the desired product mass. The resulting reaction mixture was triturated with isopropyl ether twice (50 mL * 2) and vacuum dried to obtain Compound VI (crude, 5.5 g) as a brown solid.

DMF (26 mL) 중 화합물 VI (2.6 g, 1.61 mmol, 1.0 당량)의 용액에 int-D (보호된 (R)-3-아미노프로판-1,2-디올) (952 mg, 2.42 mmol, 1.5 당량), TBTU (1.04 g, 3.23 mmol, 2.0 당량) 및 DIEA (625.53 mg, 4.84 mmol, 843.03 uL, 3.0 당량)를 첨가하였다. 혼합물을 25℃에서 1.0시간 동안 교반하였다. LC-MS는 화합물 int-D (보호된 (R)-3-아미노프로판-1,2-디올)가 완전히 소모되었음을 나타냈다. 생성된 반응 혼합물을 이소프로필 에테르 (260 mL)로 연화처리하여 조 생성물을 수득하였다. 이를 칼럼 크로마토그래피 (SiO2, DCM/MeOH = 100/1에서 10/1, 0.1% Et3N)에 의해 정제하여 화합물 74 (900 mg, 28.0% 수율)를 백색 고체로서 수득하였다.int-D (protected (R)-3-aminopropane-1,2-diol) (952 mg, 2.42 mmol, 1.5 eq) in a solution of Compound VI (2.6 g, 1.61 mmol, 1.0 eq) in DMF (26 mL) eq.), TBTU (1.04 g, 3.23 mmol, 2.0 eq.) and DIEA (625.53 mg, 4.84 mmol, 843.03 uL, 3.0 eq.) were added. The mixture was stirred at 25°C for 1.0 h. LC-MS showed that compound int-D (protected (R)-3-aminopropane-1,2-diol) was completely consumed. The resulting reaction mixture was triturated with isopropyl ether (260 mL) to give the crude product. This was purified by column chromatography (SiO2 , DCM/MeOH = 100/1 to 10/1, 0.1% Et3 N) to obtain compound 74 (900 mg, 28.0% yield) as a white solid.

화합물 741H NMR: (400 MHz, DMSO-d6) δ ppm 8.06 (br d, J=6.00 Hz, 2 H), 7.83 (br d, J=8.50 Hz, 3 H), 7.66 (dt, J=10.22, 5.21 Hz, 1 H), 7.39 (br d, J=7.75 Hz, 2 H), 7.20 - 7.30 (m, 8 H), 6.87 (br d, J=8.63 Hz, 4 H), 5.21 (br d, J=3.00 Hz, 3 H), 4.98 (br dd, J=11.07, 2.81 Hz, 4 H), 4.49 - 4.59 (m, 3 H), 4.02 (br s, 9 H), 3.83 - 3.91 (m, 5 H), 3.75 - 3.80 (m, 3 H), 3.73 (s, 6 H), 3.54 - 3.59 (m, 5 H), 3.48 (br d, J=7.25 Hz, 8 H), 3.24 (br d, J=5.63 Hz, 9 H), 3.07 (br d, J=13.13 Hz, 4 H), 2.87 - 2.97 (m, 7 H), 2.43 (br d, J=7.38 Hz, 2 H), 2.30 (br d, J=6.38 Hz, 1 H), 2.16 (br d, J=7.50 Hz, 1 H), 2.09 (s, 9 H), 1.99 (s, 9 H), 1.89 (s, 9 H), 1.77 (s, 9 H), 1.65 (br dd, J=12.76, 6.25 Hz, 3 H), 1.50 - 1.57 (m, 1 H).Compound 741 H NMR: (400 MHz, DMSO-d6 ) δ ppm 8.06 (br d, J=6.00 Hz, 2 H), 7.83 (br d, J=8.50 Hz, 3 H), 7.66 (dt, J =10.22, 5.21 Hz, 1 H), 7.39 (br d, J=7.75 Hz, 2 H), 7.20 - 7.30 (m, 8 H), 6.87 (br d, J=8.63 Hz, 4 H), 5.21 ( br d, J=3.00 Hz, 3 H), 4.98 (br dd, J=11.07, 2.81 Hz, 4 H), 4.49 - 4.59 (m, 3 H), 4.02 (br s, 9 H), 3.83 - 3.91 (m, 5 H), 3.75 - 3.80 (m, 3 H), 3.73 (s, 6 H), 3.54 - 3.59 (m, 5 H), 3.48 (br d, J=7.25 Hz, 8 H), 3.24 (br d, J=5.63 Hz, 9 H), 3.07 (br d, J=13.13 Hz, 4 H), 2.87 - 2.97 (m, 7 H), 2.43 (br d, J=7.38 Hz, 2 H) , 2.30 (br d, J=6.38 Hz, 1 H), 2.16 (br d, J=7.50 Hz, 1 H), 2.09 (s, 9 H), 1.99 (s, 9 H), 1.89 (s, 9 H), 1.77 (s, 9 H), 1.65 (br dd, J=12.76, 6.25 Hz, 3 H), 1.50 - 1.57 (m, 1 H).

화합물 73을 화합물 74에 기재된 절차에 따라 제조할 수 있으며, 단 보호된 (R)-3-아미노프로판-1,2-디올 대신에 보호된 (S)-3-아미노프로판-1,2-디올을 사용하였다.Compound 73 can be prepared following the procedure described for Compound 74, except that protected (S)-3-aminopropane-1,2-diol is used instead of protected (R)-3-aminopropane-1,2-diol. was used.

실시예 12. 화합물 75의 제조Example 12. Preparation of Compound 75

하기 반응식 11은 상기 실시예 1에서 확인된 화합물 75를 제조하는 데 사용될 수 있다.Scheme 11 below can be used to prepare compound 75 identified in Example 1 above.

Figure pct00104
Figure pct00104

반응식 11Scheme 11

화합물 II를 반응식 11에 기초하여 합성하였다. 화합물 I (반응식 10에서의 화합물 VI)로부터 출발하여, 피페리딘-4-올과의 커플링으로 화합물 II를 수득하였다. 포스포르아미다이트 화합물 75는 화합물 II를 2-시아노에틸 N,N 디이소프로필클로로포스포르아미다이트 및 촉매량의 1H-테트라졸로 처리함으로써 합성하였다.Compound II was synthesized based on Scheme 11. Starting from compound I (compound VI in Scheme 10), coupling with piperidin-4-ol gave compound II. Phosphoramidite compound 75 was synthesized by treating compound II with 2-cyanoethyl N,N diisopropylchlorophosphoramidite and a catalytic amount of 1H-tetrazole.

화합물 751H NMR (400 MHz DMSO-d6 중): δ ppm 8.05 (br d, J = 6.50 Hz, 2 H), 7.81 (br d, J=9.01 Hz, 3 H), 5.22 (d, J=3.25 Hz, 3 H), 4.98 (dd, J=11.26, 3.25 Hz, 3 H), 4.55 (br d, J=8.50 Hz, 3 H), 4.03 (s, 9 H), 3.64 - 3.97 (m, 12 H), 3.55 - 3.63 (m, 6 H), 3.50 (br s, 5 H), 3.40 (br d, J=6.13 Hz, 6 H), 3.17 - 3.30 (m, 9 H), 3.07 (br d, J=14.26 Hz, 4 H), 2.76 (t, J=5.82 Hz, 2 H), 2.18 - 2.47 (m, 6 H), 2.10 (s, 9 H), 1.99 (s, 9 H), 1.89 (s, 9 H), 1.78 (s, 9 H), 1.52 - 1.74 (m, 6 H), 1.12 - 1.19 (m, 12 H). 31P NMR (DMSO-d6): ppm δ 145.25.Compound 751 H NMR (in 400 MHz DMSO-d6): δ ppm 8.05 (br d, J = 6.50 Hz, 2 H), 7.81 (br d, J = 9.01 Hz, 3 H), 5.22 (d, J = 3.25 Hz, 3 H), 4.98 (dd, J=11.26, 3.25 Hz, 3 H), 4.55 (br d, J=8.50 Hz, 3 H), 4.03 (s, 9 H), 3.64 - 3.97 (m, 12 H), 3.55 - 3.63 (m, 6 H), 3.50 (br s, 5 H), 3.40 (br d, J=6.13 Hz, 6 H), 3.17 - 3.30 (m, 9 H), 3.07 (br d, J=14.26 Hz, 4 H), 2.76 (t, J=5.82 Hz, 2 H), 2.18 - 2.47 (m, 6 H), 2.10 (s, 9 H), 1.99 (s, 9 H), 1.89 (s, 9 H), 1.78 (s, 9 H), 1.52 - 1.74 (m, 6 H), 1.12 - 1.19 (m, 12 H). 31P NMR (DMSO-d6): ppm δ 145.25.

실시예 13. 1종 이상의 제약 작용제에 연결될 수 있는 관능기에 부착된 링커BExample 13. Linker B attached to a functional group capable of being linked to one or more pharmaceutical agents

본 개시내용의 다양한 링커B는 1종 이상의 제약 작용제에 연결될 수 있는 다양한 관능기 (W)에 부착될 수 있는 것으로 인지될 것이다. 특히, 링커B는 디올 모이어티를 포함할 수 있으며, 여기서 알콜 중 하나는 DMT 에테르로서 보호되는 한편, 다른 알콜은 고체 상 합성 고체 지지체 물질에 직접 또는 간접적으로 연결될 수 있다. DMT 기의 제거 시, 유리 알콜이 생성되며, 이는 포스포르아미다이트와 반응시킴으로써 포스피틸화되어 올리고뉴클레오티드 쇄 성장을 개시할 수 있다. 따라서, 본 개시내용의 표적 리간드 클러스터는 올리고뉴클레오티드의 3'-말단에 부착될 수 있다. 올리고뉴클레오티드의 3'-말단에 부착될 수 있는 본 개시내용의 링커B의 비제한적 목록은 하기 나타낸 구조 및 그의 입체이성질체를 포함한다:It will be appreciated that the various linkers B of the present disclosure may be attached to various functional groups (W) that may be linked to one or more pharmaceutical agents. In particular, Linker B may comprise a diol moiety, where one of the alcohols may be protected as a DMT ether while the other alcohol may be linked directly or indirectly to a solid phase synthesis solid support material. Upon removal of the DMT group, a free alcohol is generated, which can be phosphitylated by reaction with phosphoramidite to initiate oligonucleotide chain growth. Accordingly, the targeting ligand cluster of the present disclosure can be attached to the 3'-end of an oligonucleotide. A non-limiting list of Linker Bs of the present disclosure that can be attached to the 3'-end of an oligonucleotide includes the structures shown below and their stereoisomers:

Figure pct00105
Figure pct00105

여기서:here:

j는 0 내지 12의 정수이고,j is an integer from 0 to 12,

k는 0 내지 12의 정수이다.k is an integer from 0 to 12.

본 개시내용의 모든 표적 리간드 클러스터는 또한 dsRNA 내의 센스 가닥의 5'-말단, 또는 dsRNA 내의 안티센스 가닥의 5'-말단을 포함하나 이에 제한되지는 않는 올리고뉴클레오티드의 5'-말단에 부착될 수 있다:All targeting ligand clusters of the present disclosure can also be attached to the 5'-end of an oligonucleotide, including but not limited to the 5'-end of the sense strand in a dsRNA, or the 5'-end of the antisense strand in a dsRNA. :

실시예 14. 리간드 클러스터 접합된 siRNA의 제조Example 14. Preparation of Ligand Cluster Conjugated siRNA

siRNA의 센스 및 안티센스 가닥 서열을 포스포르아미다이트 화학에 기초한 널리 확립된 고체 상 합성 방법을 사용하여 올리고뉴클레오티드 합성기 상에서 합성하였다. 올리고뉴클레오티드 쇄 전파는 4-단계 사이클: 각각의 뉴클레오티드의 부가를 위한 축합, 캡핑, 산화 및 탈보호 단계를 통해 달성된다. 제어된 세공 유리 (CPG, 1000 Å)로 제조된 고체 지지체 상에서 합성을 수행하였다. 단량체 포스포르아미다이트는 상업적 공급원으로부터 구입하였다. 리간드 클러스터 부착된 포스포르아미다이트를 본원의 실시예 3-12의 절차에 따라 합성하였다. 5-에틸티오-1H-테트라졸을 활성화제로서 사용하였다. THF/Py/H2O 중 I2 및 피리딘/MeCN 중 페닐아세틸 디술피드 (PADS)를 각각 산화 및 황화 반응에 사용하였다. 최종 고체상 합성 단계 후, 고체 지지체 결합 올리고머를 절단하고, 물 중 40 중량% 메틸아민 및 28% 수산화암모늄 용액의 1:1 부피 용액으로 처리함으로써 보호기를 제거하였다. 조 단일 가닥 생성물을 동결건조에 의해 단리하고, 이온 쌍형성 역상 HPLC (IP-RP-HPLC)에 의해 정제하였다. IP-RP-HPLC로부터의 정제된 단일 가닥 올리고뉴클레오티드 생성물을 1.0 M NaOAc에 용해시키고 빙냉 EtOH를 첨가하여 침전시킴으로써 나트륨 염으로 전환시켰다. 물에서 등몰 상보성 센스 가닥 및 안티센스 가닥 올리고뉴클레오티드의 어닐링을 수행하여 이중 가닥 siRNA 생성물을 형성하고, 이를 동결건조시켜 솜털모양 백색 고체를 수득하였다.Sense and antisense strand sequences of siRNA were synthesized on an oligonucleotide synthesizer using a well-established solid-phase synthesis method based on phosphoramidite chemistry. Oligonucleotide chain propagation is achieved through a four-step cycle: condensation for addition of each nucleotide, capping, oxidation and deprotection steps. The synthesis was performed on a solid support made of controlled pore glass (CPG, 1000 Å). Monomeric phosphoramidite was purchased from commercial sources. Ligand cluster-attached phosphoramidite was synthesized according to the procedure in Examples 3-12 herein. 5-Ethylthio-1H-tetrazole was used as an activator. I2 in THF/Py/H2 O and phenylacetyl disulfide (PADS) in pyridine/MeCN were used for the oxidation and sulfidation reactions, respectively. After the final solid phase synthesis step, the solid support bound oligomer was cleaved and the protecting groups were removed by treatment with a 1:1 volume solution of 40 wt% methylamine and 28% ammonium hydroxide solution in water. The crude single-stranded product was isolated by lyophilization and purified by ion pairing reverse phase HPLC (IP-RP-HPLC). The purified single-stranded oligonucleotide product from IP-RP-HPLC was converted to the sodium salt by dissolving in 1.0 M NaOAc and precipitating by adding ice-cold EtOH. Annealing of equimolar complementary sense and antisense strand oligonucleotides in water was performed to form a double-stranded siRNA product, which was lyophilized to give a fluffy white solid.

실시예 15. GalNAc 리간드 클러스터 접합된 siRNA의 생체내 평가Example 15. In vivo evaluation of GalNAc ligand cluster conjugated siRNA

전달 효능을 평가하기 위해, GalNAc 리간드 클러스터를 문헌으로부터 공지된 활성 FXII siRNA의 센스 가닥의 5' 말단 또는 3' 말단에 접합시켰다. 문헌 [Liu et al. "An investigational RNAi therapeutic targeting Factor XII (ALN-F12) for the treatment of hereditary angioedema". RNA. 2019 Feb;25(2):255-263. doi: 10.1261/rna.068916.118]을 참조한다. 이러한 FXII siRNA의 서열 및 변형 정보가 표 1에서 요약된다. FXII siRNA에 접합된 GalNAc 리간드 클러스터의 6개의 예가 또한 표 1에서 제시된다. FXII siRNA의 5'-말단 또는 3' 말단 센스 가닥에 대한 GalNAc 클러스터의 접합을 실시예 14에 개략된 고체 상 합성의 일부로서 수행하였다. 그의 구조 도면은 하기 표 1에 제시된다. 이들 6종의 화합물 및 양성 대조군 화합물의 질량은 표 2에 요약된다.To assess delivery efficacy, the GalNAc ligand cluster was conjugated to the 5' or 3' end of the sense strand of an active FXII siRNA known from the literature. Liu et al. “An investigational RNAi therapeutic targeting Factor XII (ALN-F12) for the treatment of hereditary angioedema”. RNA. 2019 Feb;25(2):255-263. doi: 10.1261/rna.068916.118]. The sequence and modification information of these FXII siRNAs are summarized in Table 1. Six examples of GalNAc ligand clusters conjugated to FXII siRNA are also presented in Table 1. Conjugation of the GalNAc cluster to the 5'-end or 3'-end sense strand of FXII siRNA was performed as part of the solid phase synthesis outlined in Example 14. Its structural diagram is presented in Table 1 below. The masses of these six compounds and the positive control compound are summarized in Table 2.

이들 화합물을 마우스 FXII를 녹다운시키는 효능에 대해 시험하였다. FXII는 간세포에서 주로 생산되는 분비된 단백질이다. siRNA 처리 후 혈장에서의 FXII 발현의 감소는 간세포에서의 FXII mRNA의 감소와 강하게 상관된다. 이들 GalNAc 리간드 클러스터는 공지된 활성을 갖는 동일한 FXII siRNA에 접합되기 때문에, 각각의 접합체에 대한 혈장에서의 FXII 발현의 감소 정도를 측정함으로써 전달 효능을 평가하고 비교할 수 있다.These compounds were tested for their efficacy in knocking down mouse FXII. FXII is a secreted protein produced primarily in hepatocytes. The decrease in FXII expression in plasma after siRNA treatment strongly correlates with the decrease in FXII mRNA in hepatocytes. Because these GalNAc ligand clusters are conjugated to the same FXII siRNA with known activity, delivery efficacy can be assessed and compared by measuring the degree of reduction in FXII expression in plasma for each conjugate.

마우스에게 0.5 또는 1 mg/kg의 siRNA 화합물 (하기 표 1 참조) 또는 PBS의 단일 피하 주사를 제공하였다. 문헌 화합물 (센스 가닥의 3'-말단에 접합된 GalNAc 리간드 클러스터)이 양성 대조군으로서 본 연구에 포함되었다. 혈장 샘플을 투여전, 및 투여후 제7일, 제14일 및/또는 제28일에 수집하였다. 마우스 FXII 단백질의 농도를 문헌 절차에 따라 ELISA 검정에 의해 측정하였다. 문헌 [Liu et al. "An investigational RNAi therapeutic targeting Factor XII (ALN-F12) for the treatment of hereditary angioedema". RNA. 2019 Feb;25(2):255-263. doi: 10.1261/rna.068916.118]을 참조한다. 녹다운 활성을 PBS 처리군에 대해 정규화된 마우스 혈장에서의 FXII 단백질의 퍼센트 감소에 대해 계산하였고, 표 3에 요약된다. GalNAc 리간드 GLS-1 및 GLS-2와 접합된 FXII siRNA는 투여후 제7일, 제14일 및/또는 제28일에 둘 다의 투여량에서 마우스 혈장에서 마우스 FXII 단백질 발현을 녹다운시키는 유의한 활성을 나타냈다. 이 활성은 양성 대조군과 유리하게 비교된다. 데이터는 센스 가닥의 5'-말단에 부착된 디아민 스캐폴드를 기재로 하는 GalNAc 리간드 클러스터가 생체 내에서 siRNA를 간세포 내로 전달하는 데 고도로 효과적이라는 것을 확증한다.Mice were given a single subcutaneous injection of 0.5 or 1 mg/kg of siRNA compound (see Table 1 below) or PBS. A literature compound (GalNAc ligand cluster conjugated to the 3'-end of the sense strand) was included in this study as a positive control. Plasma samples were collected pre-dose and on days 7, 14, and/or 28 post-dose. The concentration of mouse FXII protein was measured by ELISA assay according to literature procedures. Liu et al. “An investigational RNAi therapeutic targeting Factor XII (ALN-F12) for the treatment of hereditary angioedema”. RNA. 2019 Feb;25(2):255-263. doi: 10.1261/rna.068916.118]. Knockdown activity was calculated for percent reduction of FXII protein in mouse plasma normalized to the PBS treatment group and is summarized in Table 3. FXII siRNA conjugated with GalNAc ligands GLS-1 and GLS-2 had significant activity in knocking down mouse FXII protein expression in mouse plasma at both doses on days 7, 14, and/or 28 post administration. indicated. This activity compares favorably with the positive control. The data confirm that GalNAc ligand clusters based on diamine scaffolds attached to the 5'-end of the sense strand are highly effective for delivering siRNA into hepatocytes in vivo.

표 1. FXII siRNA 화합물. 대문자: 2'-데옥시-2'-플루오로 (2'-F) 리보뉴클레오티드; 소문자: 2'-O-메틸 (2'-OMe) 리보뉴클레오티드; (*)는 PS 연결을 나타낸다. L96은 문헌으로부터의 3가 GalNAc 리간드 클러스터이다 (문헌 [Jayaprakash, et al., (2014) J. Am. Chem. Soc., 136, 16958-16961]에서와 같은 GalNAc3).Table 1. FXII siRNA compounds. Capital letters: 2'-deoxy-2'-fluoro (2'-F) ribonucleotide; Lowercase: 2'-O-methyl (2'-OMe) ribonucleotide; (*) indicates PS connection. L96 is a trivalent GalNAc ligand cluster from the literature (GalNAc3 as in Jayaprakash, et al., (2014) J. Am. Chem. Soc., 136, 16958-16961).

Figure pct00106
Figure pct00106

표 2. FXII siRNA 화합물의 질량Table 2. Mass of FXII siRNA compounds.

Figure pct00107
Figure pct00107

Figure pct00108
Figure pct00108

Figure pct00109
Figure pct00109

표 3. PBS 처리군에 대해 정규화된 마우스 혈장에서의 FXII 단백질의 퍼센트 감소.Table 3. Percentage reduction of FXII protein in mouse plasma normalized to PBS treatment group.

Figure pct00110
Figure pct00110

실시예 16. GalNAc 리간드 클러스터 접합된 siRNA의 생체내 평가Example 16. In vivo evaluation of GalNAc ligand cluster conjugated siRNA

마우스에게 1 mg/kg의 siRNA 화합물 또는 PBS의 단일 피하 주사를 제공하였다. 투여 후 제14일에 혈장 샘플을 수집하였다. 마우스 FXII 단백질의 농도를 문헌 절차에 따라 ELISA 검정에 의해 측정하였다. 문헌 [Liu et al. "An investigational RNAi therapeutic targeting Factor XII (ALN-F12) for the treatment of hereditary angioedema". RNA. 2019 Feb;25(2):255-263. doi: 10.1261/rna.068916.118]을 참조한다. 녹다운 활성을 PBS 처리군에 대해 정규화된 마우스 혈장에서의 FXII 단백질의 퍼센트 감소에 대해 계산하였고, 표 4에 요약된다. GalNAc 리간드 GLS-5 및 GLS-15와 접합된 FXII siRNA는 마우스 혈장에서 마우스 FXII 단백질 발현을 녹다운시키는 유의한 활성을 나타냈다. 데이터는 센스 가닥의 5'-말단에 부착된 디아민 스캐폴드를 기재로 하는 GalNAc 리간드 클러스터가 생체 내에서 siRNA를 간세포 내로 전달하는 데 고도로 효과적이라는 것을 확증한다.Mice were given a single subcutaneous injection of 1 mg/kg of siRNA compound or PBS. Plasma samples were collected on day 14 post-dose. The concentration of mouse FXII protein was measured by ELISA assay according to literature procedures. Liu et al. “An investigational RNAi therapeutic targeting Factor XII (ALN-F12) for the treatment of hereditary angioedema”. RNA. 2019 Feb;25(2):255-263. doi: 10.1261/rna.068916.118]. Knockdown activity was calculated for percent reduction of FXII protein in mouse plasma normalized to the PBS treatment group and is summarized in Table 4. FXII siRNA conjugated with GalNAc ligands GLS-5 and GLS-15 showed significant activity in knocking down mouse FXII protein expression in mouse plasma. The data confirm that GalNAc ligand clusters based on diamine scaffolds attached to the 5'-end of the sense strand are highly effective for delivering siRNA into hepatocytes in vivo.

여기서 또한 링커B가, 제약 작용제의 표적화된 전달로서 사용될 때, 6-원 고리 단편, 특히 4-히드록시피페리디닐 기를 함유하는 경우, 예컨대 화합물 AD00448, AD00449의 경우, 이는 보다 우수한 생체내 안정성 및 활성을 나타내는 것으로 밝혀졌다.Here also, when Linker B is used as targeted delivery of pharmaceutical agents, it contains a 6-membered ring fragment, especially a 4-hydroxypiperidinyl group, such as in the case of compounds AD00448, AD00449, which leads to better in vivo stability and It was found to be active.

표 4. PBS 처리군에 대해 정규화된 마우스 혈장에서의 FXII 단백질의 퍼센트 감소.Table 4. Percentage reduction of FXII protein in mouse plasma normalized to PBS treatment group.

Figure pct00111
Figure pct00111

실시예 17. GalNAc 리간드 클러스터 접합된 siRNA AD00831의 생체내 평가Example 17. In vivo evaluation of GalNAc ligand cluster conjugated siRNA AD00831

마우스에게 2 mg/kg의 siRNA 화합물 또는 PBS의 단일 피하 주사를 제공하였다. 투여 후 제7일 및 제14일에 혈장 샘플을 수집하였다. 마우스 FXII 단백질의 농도를 문헌 절차에 따라 ELISA 검정에 의해 측정하였다. 문헌 [Liu et al. "An investigational RNAi therapeutic targeting Factor XII (ALN-F12) for the treatment of hereditary angioedema". RNA. 2019 Feb;25(2):255-263. doi: 10.1261/rna.068916.118]을 참조한다. 녹다운 활성을 PBS 처리군에 대해 정규화된 마우스 혈장에서의 FXII 단백질의 퍼센트 감소에 대해 계산하였다. 투여 후 제7일 및 제14일에 녹다운의 퍼센트는 87% 및 88%였다. 데이터는 센스 가닥의 3'-말단에 부착된 디아민 스캐폴드를 기재로 하는 GalNAc 리간드 클러스터가 생체 내에서 siRNA를 간세포 내로 전달하는 데 고도로 효과적이라는 것을 확증한다.Mice were given a single subcutaneous injection of 2 mg/kg of siRNA compound or PBS. Plasma samples were collected on days 7 and 14 post-dose. The concentration of mouse FXII protein was measured by ELISA assay according to literature procedures. Liu et al. “An investigational RNAi therapeutic targeting Factor XII (ALN-F12) for the treatment of hereditary angioedema”. RNA. 2019 Feb;25(2):255-263. doi: 10.1261/rna.068916.118]. Knockdown activity was calculated for the percent reduction of FXII protein in mouse plasma normalized to the PBS treatment group. The percent knockdown on days 7 and 14 post-dose was 87% and 88%. The data confirm that GalNAc ligand clusters based on diamine scaffolds attached to the 3'-end of the sense strand are highly effective for delivering siRNA into hepatocytes in vivo.

실시예 18. ANGPTL3 siRNA 듀플렉스의 생체내 시험Example 18. In vivo testing of ANGPTL3 siRNA duplex

siRNA 투여 14일 전에, 암컷 C57BL/6J 마우스를 인간 ANGPTL3 및 루시페라제 유전자를 코딩하는 아데노-연관 바이러스 8 (AAV8) 벡터의 용액의 정맥내 투여에 의해 감염시켰다. 제0일에, 마우스에게 AD00112-2 (표 5)의 단일 용량 또는 PBS의 1, 3 또는 10 mg/kg를 피하 투여하였다. 혈액 샘플을 siRNA의 투여 전 제0일 및 종결시 제7일에 수집하였다. 혈청 샘플을 단리하고, 혈청 샘플의 루시페라제 활성을 제조업체의 권장 프로토콜에 따라 측정하였다. 인간 ANGPTL3 수준의 발현은 루시페라제의 발현 수준과 상관관계가 있기 때문에, 루시페라제 활성의 측정은 ANGTPL3 발현을 측정하기 위한 대용물이다. 각각의 마우스에 대한 siRNA의 처리 전 (제0일) 및 처리 후 (제7일)로부터의 샘플에서 루시페라제 활성을 비교함으로써 루시페라제 활성의 잔류 퍼센트를 계산하고, 동일한 기간 동안 대조군 처리된 마우스로부터의 샘플에서 루시페라제 활성의 변화에 의해 정규화하였다. 결과는 표 6에 요약된다. AD00112-2는 ANGPTL3의 발현을 억제하는 용량 의존적 활성을 입증하였고, 이는 다시 디아민 스캐폴드를 기재로 하는 GalNAc 리간드 클러스터가 생체 내에서 siRNA를 간세포 내로 전달하는 데 고도로 효과적이라는 것을 확증한다.Fourteen days prior to siRNA administration, female C57BL/6J mice were infected by intravenous administration of a solution of adeno-associated virus 8 (AAV8) vector encoding human ANGPTL3 and luciferase genes. On day 0, mice were administered subcutaneously a single dose of AD00112-2 (Table 5) or 1, 3, or 10 mg/kg in PBS. Blood samples were collected on day 0 prior to administration of siRNA and on day 7 upon termination. Serum samples were isolated, and their luciferase activity was measured according to the manufacturer's recommended protocol. Because expression of human ANGPTL3 levels correlates with the expression level of luciferase, measurement of luciferase activity is a surrogate for measuring ANGTPL3 expression. The residual percent of luciferase activity was calculated by comparing the luciferase activity in samples from before (day 0) and after (day 7) treatment of siRNA for each mouse, and control treated for the same period of time. Normalized by change in luciferase activity in samples from mice. The results are summarized in Table 6. AD00112-2 demonstrated dose-dependent activity to inhibit the expression of ANGPTL3, again confirming that diamine scaffold-based GalNAc ligand clusters are highly effective in delivering siRNA into hepatocytes in vivo.

표 5. ANGPTL3 siRNA 화합물. 대문자: 2'-데옥시-2'-플루오로 (2'-F) 리보뉴클레오티드; 소문자: 2'-O-메틸 (2'-OMe) 리보뉴클레오티드; (*)는 PS 연결을 나타낸다.Table 5. ANGPTL3 siRNA compounds. Capital letters: 2'-deoxy-2'-fluoro (2'-F) ribonucleotide; Lowercase: 2'-O-methyl (2'-OMe) ribonucleotide; (*) indicates PS connection.

Figure pct00112
Figure pct00112

표 6은 생체내 연구의 실험 결과 (루시페라제 활성의 퍼센트 감소)를 제공한다. AD00112-2의 듀플렉스 서열 및 변형은 표 5에 제시된다.Table 6 provides experimental results (percent reduction in luciferase activity) of the in vivo study. The duplex sequence and modifications of AD00112-2 are shown in Table 5.

Figure pct00113
Figure pct00113

등가물equivalent

본 발명의 여러 실시양태가 본원에 기재되고 예시되었지만, 관련 기술분야의 통상의 기술자는 본원에 기재된 기능을 수행하고/거나 결과 및/또는 하나 이상의 이점을 수득하기 위한 다양한 다른 수단 및/또는 구조를 용이하게 구상할 것이고, 각각의 이러한 변경 및/또는 변형은 본 발명의 범주 내에 있는 것으로 간주된다. 보다 일반적으로, 관련 기술분야의 통상의 기술자는 본원에 기재된 모든 파라미터, 치수, 물질 및 구성이 예시적인 것으로 의도되고, 실제 파라미터, 치수, 물질 및/또는 구성은 본 발명의 교시가 사용되는 구체적 적용 또는 적용들에 따라 달라질 것임을 용이하게 인지할 것이다. 관련 기술분야의 통상의 기술자는 상용 실험만을 사용하여 본원에 기재된 본 발명의 구체적 실시양태에 대한 많은 등가물을 인식하거나 또는 확인할 수 있을 것이다. 따라서, 상기 실시양태는 단지 예로서 제시되고, 첨부된 청구범위 및 그에 대한 등가물의 범주 내에서, 본 발명은 구체적으로 기재되고 청구된 것과 달리 실시될 수 있는 것으로 이해되어야 한다. 본 발명은 본원에 기재된 각각의 개별 특색, 시스템, 물품, 물질 및/또는 방법에 관한 것이다. 또한, 2개 이상의 이러한 특색, 시스템, 물품, 물질 및/또는 방법의 임의의 조합은, 이러한 특색, 시스템, 물품, 물질 및/또는 방법이 상호 모순되지 않는 경우에, 본 발명의 범주 내에 포함된다.Although several embodiments of the invention have been described and illustrated herein, those skilled in the art will recognize various other means and/or structures for performing the functions and/or obtaining the results and/or one or more advantages described herein. As will be readily contemplated, each such change and/or modification is considered to be within the scope of the present invention. More generally, those skilled in the art will understand that all parameters, dimensions, materials and/or configurations set forth herein are intended to be exemplary and that actual parameters, dimensions, materials and/or configurations are not intended to reflect the specific application in which the teachings of the present invention are used. Alternatively, it will be readily appreciated that it will vary depending on the applications. Those skilled in the art will recognize, or be able to ascertain using no more than routine experimentation, many equivalents to the specific embodiments of the invention described herein. Accordingly, it is to be understood that the above embodiments are presented by way of example only and that, within the scope of the appended claims and equivalents thereto, the invention may be practiced otherwise than as specifically described and claimed. The present invention relates to each individual feature, system, article, material and/or method described herein. Additionally, any combination of two or more such features, systems, articles, materials and/or methods is included within the scope of the present invention provided that such features, systems, articles, materials and/or methods are not mutually contradictory. .

본원에 정의되고 사용된 모든 정의는 사전적 정의, 참조로 포함된 문헌에서의 정의, 및/또는 정의된 용어의 통상의 의미보다 우선하는 것으로 이해되어야 한다.All definitions defined and used herein are to be understood to supersede dictionary definitions, definitions in documents incorporated by reference, and/or the ordinary meaning of the defined term.

명세서 및 청구범위에서 본원에 사용된 단수형은, 달리 명백하게 나타내지 않는 한, "적어도 하나"를 의미하는 것으로 이해되어야 한다.As used herein in the specification and claims, the singular forms “a,” “an,” and “an” should be understood to mean “at least one,” unless clearly indicated otherwise.

본 명세서 및 청구범위에서 본원에 사용된 어구 "및/또는"은 이와 같이 결합된 요소 중 "어느 하나 또는 둘 다", 즉 일부 경우에는 결합하여 존재하고 다른 경우에는 분리되어 존재하는 요소를 의미하는 것으로 이해되어야 한다. 달리 명백하게 나타내지 않는 한, 구체적으로 확인된 요소와 관련되든 관련되지 않든, "및/또는" 절에 의해 구체적으로 확인된 요소 이외의 다른 요소가 임의로 존재할 수 있다.As used herein in the specification and claims, the phrase "and/or" refers to "either or both" of the elements so combined, i.e., elements that exist in combination in some instances and separately in other instances. It should be understood as Unless explicitly indicated otherwise, elements other than those specifically identified by the “and/or” clause may optionally be present, whether or not related to the specifically identified element.

본 출원에서 인용되거나 언급된 모든 참고문헌, 특허 및 특허 출원, 및 간행물은 그 전문이 본원에 참조로 포함된다.All references, patents and patent applications, and publications cited or referred to in this application are hereby incorporated by reference in their entirety.

서열목록 전자파일 첨부Sequence list electronic file attached

Claims (188)

Translated fromKorean
하기 화학식을 갖는, 1종 이상의 제약 작용제의 표적화된 전달을 위한 화합물.
Figure pct00114

여기서:
각각의 TL은 독립적으로 선택된 표적화 리간드이고,
m은 1 내지 10의 정수이고,
각각의 n은 1 내지 10의 독립적으로 선택된 정수이고,
각각의 링커A는 독립적으로 선택된 스페이서이고,
링커B는 스페이서이고,
W는 1종 이상의 제약 작용제 또는 1종 이상의 제약 작용제에 연결될 수 있는 관능기이다.A compound for targeted delivery of one or more pharmaceutical agents, having the formula:
Figure pct00114

here:
Each TL is an independently selected targeting ligand,
m is an integer from 1 to 10,
Each n is an independently selected integer from 1 to 10,
Each linker A is an independently selected spacer,
Linker B is a spacer,
W is one or more pharmaceutical agents or a functional group that can be linked to one or more pharmaceutical agents.제1항에 있어서, m이 1인 화합물.The compound of claim 1, wherein m is 1.제1항에 있어서, m이 2인 화합물.The compound according to claim 1, wherein m is 2.제1항 내지 제3항 중 어느 한 항에 있어서, 독립적으로 선택된 TL 중 적어도 1종이 1종 이상의 세포내이입을 용이하게 할 수 있는 세포 수용체, 세포 채널, 및 세포 수송체에 결합할 수 있는 것인 화합물.The method of any one of claims 1 to 3, wherein at least one of the independently selected TLs is capable of binding to one or more cell receptors, cell channels, and cell transporters capable of facilitating endocytosis. Phosphorus compounds.제4항에 있어서, 독립적으로 선택된 TL 중 적어도 1종이 적어도 1종의 소분자 리간드를 포함하는 것인 화합물.5. The compound of claim 4, wherein at least one of the independently selected TLs comprises at least one small molecule ligand.제5항에 있어서, 적어도 1종의 소분자가 N-아세틸갈락토사민, 갈락토스, 갈락토사민, N-포르밀-갈락토사민, N-프로피오닐갈락토사민, N-부타노일갈락토사민 및 N-이소-부타노일갈락토사민, 마크로사이클, 폴레이트 분자, 지방산, 담즙산 및 콜레스테롤 중 적어도 1종을 포함하는 것인 화합물.6. The method of claim 5, wherein the at least one small molecule is N-acetylgalactosamine, galactose, galactosamine, N-formyl-galactosamine, N-propionylgalactosamine, N-butanoylgalactosamine and A compound comprising at least one of N-iso-butanoylgalactosamine, macrocycle, folate molecule, fatty acid, bile acid, and cholesterol.제4항에 있어서, 독립적으로 선택된 TL 중 적어도 1종이 적어도 1종의 펩티드를 포함하는 것인 화합물.5. The compound of claim 4, wherein at least one of the independently selected TLs comprises at least one peptide.제7항에 있어서, 독립적으로 선택된 TL 중 적어도 1종이 적어도 1종의 시클릭 펩티드를 포함하는 것인 화합물.8. The compound of claim 7, wherein at least one of the independently selected TLs comprises at least one cyclic peptide.제4항에 있어서, 독립적으로 선택된 TL 중 적어도 1종이 적어도 1종의 압타머를 포함하는 것인 화합물.5. The compound of claim 4, wherein at least one of the independently selected TLs comprises at least one aptamer.제4항 내지 제9항 중 어느 한 항에 있어서, 독립적으로 선택된 TL 중 적어도 1종이 적어도 1종의 아시알로당단백질 수용체 (ASGPR)에 결합할 수 있는 것인 화합물.10. The compound according to any one of claims 4 to 9, wherein at least one of the independently selected TLs is capable of binding to at least one asialoglycoprotein receptor (ASGPR).제4항 내지 제9항 중 어느 한 항에 있어서, 독립적으로 선택된 TL 중 적어도 1종이 적어도 1종의 트랜스페린 수용체에 결합할 수 있는 것인 화합물.10. The compound according to any one of claims 4 to 9, wherein at least one of the independently selected TLs is capable of binding to at least one type of transferrin receptor.제4항 내지 제9항 중 어느 한 항에 있어서, 독립적으로 선택된 TL 중 적어도 1종이 적어도 1종의 인테그린 수용체에 결합할 수 있는 것인 화합물.The compound according to any one of claims 4 to 9, wherein at least one of the independently selected TLs is capable of binding to at least one integrin receptor.제4항 내지 제9항 중 어느 한 항에 있어서, 독립적으로 선택된 TL 중 적어도 1종이 적어도 1종의 폴레이트 수용체에 결합할 수 있는 것인 화합물.10. The compound according to any one of claims 4 to 9, wherein at least one of the independently selected TLs is capable of binding to at least one type of folate receptor.제4항 내지 제9항 중 어느 한 항에 있어서, 독립적으로 선택된 TL 중 적어도 1종이 적어도 1종의 G-단백질-커플링된 수용체 (GPCR)에 결합할 수 있는 것인 화합물.10. The compound according to any one of claims 4 to 9, wherein at least one of the independently selected TLs is capable of binding to at least one G-protein-coupled receptor (GPCR).제1항 내지 제14항 중 어느 한 항에 있어서, 독립적으로 선택된 링커A 중 적어도 1종이 폴리에틸렌 글리콜, 알킬 기, 시클로알킬 기, 알케닐 기, 시클로알케닐 기, 알키닐 기, 아릴 기, 아르알킬 기, 아르알케닐 기 및 아르알키닐 기 중 적어도 1종을 포함하는 것인 화합물.15. The method of any one of claims 1 to 14, wherein at least one of the independently selected linkers A is polyethylene glycol, an alkyl group, a cycloalkyl group, an alkenyl group, a cycloalkenyl group, an alkynyl group, an aryl group, an ar A compound comprising at least one of an alkyl group, an aralkenyl group, and an aralkynyl group.제1항 내지 제15항 중 어느 한 항에 있어서, 독립적으로 선택된 링커A 중 적어도 1종이 적어도 1종의 헤테로원자를 포함하는 것인 화합물.16. The compound according to any one of claims 1 to 15, wherein at least one of the independently selected linkers A comprises at least one heteroatom.제16항에 있어서, 적어도 1종의 헤테로원자가 산소, 질소, 황 또는 인 중 적어도 1종을 포함하는 것인 화합물.17. The compound of claim 16, wherein at least one heteroatom contains at least one of oxygen, nitrogen, sulfur, or phosphorus.제1항 내지 제17항 중 어느 한 항에 있어서, 독립적으로 선택된 링커A 중 적어도 1종이 적어도 1종의 지방족 헤테로사이클을 포함하는 것인 화합물.18. The compound of any one of claims 1 to 17, wherein at least one of the independently selected linkers A comprises at least one aliphatic heterocycle.제18항에 있어서, 적어도 1종의 지방족 헤테로사이클이 테트라히드로푸란, 테트라히드로피란, 모르폴린, 피페리딘, 피페라진, 피롤리딘 및 아제티딘 중 적어도 1종을 포함하는 것인 화합물.19. The compound of claim 18, wherein the at least one aliphatic heterocycle comprises at least one of tetrahydrofuran, tetrahydropyran, morpholine, piperidine, piperazine, pyrrolidine, and azetidine.제1항 내지 제19항 중 어느 한 항에 있어서, 독립적으로 선택된 링커A 중 적어도 1종이 적어도 1종의 헤테로아릴 기를 포함하는 것인 화합물.20. The compound of any one of claims 1 to 19, wherein at least one of the independently selected linkers A comprises at least one heteroaryl group.제20항에 있어서, 적어도 1종의 헤테로아릴 기가 이미다졸, 피라졸, 피리딘, 피리미딘, 트리아졸 및 1,2,3-트리아졸 중 적어도 1종을 포함하는 것인 화합물.21. The compound of claim 20, wherein the at least one heteroaryl group comprises at least one of imidazole, pyrazole, pyridine, pyrimidine, triazole, and 1,2,3-triazole.제1항 내지 제21항 중 어느 한 항에 있어서, 독립적으로 선택된 링커A 중 적어도 1종이 적어도 1종의 아미노산을 포함하는 것인 화합물.22. The compound according to any one of claims 1 to 21, wherein at least one of the independently selected linkers A comprises at least one amino acid.제1항 내지 제22항 중 어느 한 항에 있어서, 독립적으로 선택된 링커A 중 적어도 1종이 적어도 1종의 뉴클레오티드를 포함하는 것인 화합물.23. The compound according to any one of claims 1 to 22, wherein at least one of the independently selected linkers A comprises at least one nucleotide.제1항 내지 제23항 중 어느 한 항에 있어서, 독립적으로 선택된 링커A 중 적어도 1종이 적어도 1종의 사카라이드를 포함하는 것인 화합물.24. The compound according to any one of claims 1 to 23, wherein at least one of the independently selected linkers A comprises at least one saccharide.제24항에 있어서, 적어도 1종의 사카라이드가 글루코스, 프룩토스, 만노스, 갈락토스, 리보스 및 글루코사민 중 적어도 1종을 포함하는 것인 화합물.25. The compound of claim 24, wherein the at least one saccharide comprises at least one of glucose, fructose, mannose, galactose, ribose, and glucosamine.제1항 내지 제25항 중 어느 한 항에 있어서, 독립적으로 선택된 링커A 중 적어도 1종이 하기 중 1종 이상을 포함하는 것인 화합물.
Figure pct00115

여기서:
p는 0 내지 12의 정수이고,
pp는 0 내지 12의 정수이고,
q는 1 내지 12의 정수이고,
qq는 1 내지 12의 정수이다.
26. The compound according to any one of claims 1 to 25, wherein at least one of the independently selected linkers A comprises one or more of the following.
Figure pct00115

here:
p is an integer from 0 to 12,
pp is an integer from 0 to 12,
q is an integer from 1 to 12,
qq is an integer from 1 to 12.
제1항 내지 제26항 중 어느 한 항에 있어서, 링커B가 폴리에틸렌 글리콜, 알킬 기, 시클로알킬 기, 알케닐 기, 시클로알케닐 기, 알키닐 기, 아릴 기, 아르알킬 기, 아르알케닐 기 및 아르알키닐 기 중 적어도 1종을 포함하는 것인 화합물.27. The method of any one of claims 1 to 26, wherein Linker B is polyethylene glycol, an alkyl group, a cycloalkyl group, an alkenyl group, a cycloalkenyl group, an alkynyl group, an aryl group, an aralkyl group, an aralkenyl group. A compound comprising at least one of a group and an aralkynyl group.제1항 내지 제27항 중 어느 한 항에 있어서, 링커B가 적어도 1종의 헤테로원자를 포함하는 것인 화합물.28. The compound according to any one of claims 1 to 27, wherein linker B contains at least one heteroatom.제28항에 있어서, 적어도 1종의 헤테로원자가 산소, 질소, 황 및 인 중 적어도 1종을 포함하는 것인 화합물.29. The compound of claim 28, wherein the at least one heteroatom comprises at least one of oxygen, nitrogen, sulfur, and phosphorus.제1항 내지 제29항 중 어느 한 항에 있어서, 링커B가 적어도 1종의 지방족 헤테로사이클을 포함하는 것인 화합물.30. The compound according to any one of claims 1 to 29, wherein linker B comprises at least one aliphatic heterocycle.제30항에 있어서, 적어도 1종의 지방족 헤테로사이클이 테트라히드로푸란, 테트라히드로피란, 모르폴린, 피페리딘, 피페라진, 피롤리딘 및 아제티딘 중 적어도 1종을 포함하는 것인 화합물.31. The compound of claim 30, wherein the at least one aliphatic heterocycle comprises at least one of tetrahydrofuran, tetrahydropyran, morpholine, piperidine, piperazine, pyrrolidine, and azetidine.제1항 내지 제31항 중 어느 한 항에 있어서, 링커B가 적어도 1종의 헤테로아릴 기를 포함하는 것인 화합물.32. The compound according to any one of claims 1 to 31, wherein linker B comprises at least one heteroaryl group.제32항에 있어서, 적어도 1종의 헤테로아릴 기가 이미다졸, 피라졸, 피리딘, 피리미딘, 트리아졸 및 1,2,3-트리아졸 중 적어도 1종을 포함하는 것인 화합물.33. The compound of claim 32, wherein the at least one heteroaryl group comprises at least one of imidazole, pyrazole, pyridine, pyrimidine, triazole, and 1,2,3-triazole.제1항 내지 제33항 중 어느 한 항에 있어서, 링커B가 적어도 1종의 아미노산을 포함하는 것인 화합물.34. The compound according to any one of claims 1 to 33, wherein linker B contains at least one amino acid.제1항 내지 제34항 중 어느 한 항에 있어서, 링커B가 적어도 1종의 뉴클레오티드를 포함하는 것인 화합물.35. The compound according to any one of claims 1 to 34, wherein linker B comprises at least one nucleotide.제35항에 있어서, 적어도 1종의 뉴클레오티드가 무염기성 뉴클레오티드 및 역전된 무염기성 뉴클레오티드 중 적어도 1종을 포함하는 것인 화합물.36. The compound of claim 35, wherein the at least one nucleotide comprises at least one of an abasic nucleotide and an inverted abasic nucleotide.제36항에 있어서, 무염기성 뉴클레오티드가 무염기성 데옥시리보핵산인 화합물.37. The compound of claim 36, wherein the abasic nucleotide is an abasic deoxyribonucleic acid.제36항에 있어서, 역전된 무염기성 뉴클레오티드가 역전된 무염기성 데옥시리보핵산인 화합물.37. The compound of claim 36, wherein the inverted abasic nucleotide is an inverted abasic deoxyribonucleic acid.제36항에 있어서, 무염기성 뉴클레오티드가 무염기성 리보핵산인 화합물.37. The compound of claim 36, wherein the abasic nucleotide is an abasic ribonucleic acid.제36항에 있어서, 역전된 무염기성 뉴클레오티드가 역전된 무염기성 리보핵산인 화합물.37. The compound of claim 36, wherein the inverted abasic nucleotide is an inverted abasic ribonucleic acid.제1항 내지 제40항 중 어느 한 항에 있어서, 링커B가 적어도 1종의 사카라이드를 포함하는 것인 화합물.41. The compound according to any one of claims 1 to 40, wherein linker B comprises at least one saccharide.제41항에 있어서, 적어도 1종의 사카라이드가 글루코스, 프룩토스, 만노스, 갈락토스, 리보스 및 글루코사민 중 적어도 1종을 포함하는 것인 화합물.42. The compound of claim 41, wherein the at least one saccharide comprises at least one of glucose, fructose, mannose, galactose, ribose, and glucosamine.제1항 내지 제42항 중 어느 한 항에 있어서, 링커B가 하기 중 적어도 1종을 포함하는 것인 화합물.
Figure pct00116

Figure pct00117

여기서:
j는 1 내지 12의 정수이고,
k는 0 내지 12의 정수이다.
The compound according to any one of claims 1 to 42, wherein linker B contains at least one of the following.
Figure pct00116

Figure pct00117

here:
j is an integer from 1 to 12,
k is an integer from 0 to 12.
제1항 내지 제26항 중 어느 한 항에 있어서, 링커B-W가 하기인 화합물.
Figure pct00118

여기서:
j는 0 내지 12의 정수이고,
k는 0 내지 12의 정수이다.
27. The compound according to any one of claims 1 to 26, wherein the linker BW is:
Figure pct00118

here:
j is an integer from 0 to 12,
k is an integer from 0 to 12.
제1항 내지 제43항 중 어느 한 항에 있어서, W가 히드록시 기인 화합물.44. The compound according to any one of claims 1 to 43, wherein W is a hydroxy group.제1항 내지 제43항 중 어느 한 항에 있어서, W가 보호된 히드록시 기인 화합물.44. The compound according to any one of claims 1 to 43, wherein W is a protected hydroxy group.제46항에 있어서, 보호된 히드록시 기가 4,4'-디메톡시트리틸 (DMT), 모노메톡시트리틸 (MMT), 9-(p-메톡시페닐)크산텐-9-일 (Mox) 및 9-페닐크산텐-9-일 (Px) 중 적어도 1종을 사용하여 보호된 것인 화합물.47. The method of claim 46, wherein the protected hydroxy group is 4,4'-dimethoxytrityl (DMT), monomethoxytrityl (MMT), 9-(p-methoxyphenyl)xanthen-9-yl (Mox ) and 9-phenylxanthen-9-yl (Px).제1항 내지 제43항 중 어느 한 항에 있어서, W가 하기 화학식을 갖는 포스포르아미다이트 기인 화합물.
Figure pct00119

여기서:
Ra는 C1 내지 C6 알킬, C3 내지 C6 시클로알킬, 이소프로필 기이거나, 또는 Ra는 질소 원자를 통해 Rb와 연결되어 사이클을 형성하고,
Rb는 C1 내지 C6 알킬, C3 내지 C6 시클로알킬, 이소프로필 기이거나, 또는 Rb는 질소 원자를 통해 Ra와 연결되어 사이클을 형성하고,
Rc는 포스파이트 보호기, 포스페이트 보호기, 또는 2-시아노에틸 기이다.
44. The compound according to any one of claims 1 to 43, wherein W is a phosphoramidite group having the formula:
Figure pct00119

here:
Ra is C1 to C6 alkyl, C3 to C6 cycloalkyl, isopropyl group, or Ra is connected to Rb through a nitrogen atom to form a cycle,
Rb is C1 to C6 alkyl, C3 to C6 cycloalkyl, isopropyl group, or Rb is connected to Ra through a nitrogen atom to form a cycle,
Rc is a phosphite protecting group, a phosphate protecting group, or a 2-cyanoethyl group.
제48항에 있어서, 포스파이트 보호기가 메틸, 알릴, 2-시아노에틸, 4-시아노-2-부테닐, 2-시아노-1,1-디메틸에틸, 2-(트리메틸실릴)에틸, 2-(S-아세틸티오)에틸, 2-(S-피발로일티오)에틸, 2-(4-니트로페닐)에틸, 2,2,2-트리클로로에틸, 2,2,2-트리클로로-1,1-디메틸에틸, 1,1,1,3,3,3-헥사플루오로-2-프로필, 플루오레닐-9-메틸, 2-클로로페닐, 4-클로로페닐 및 2,4-디클로로페닐 중 적어도 1종을 포함하는 것인 화합물.The method of claim 48, wherein the phosphite protecting group is methyl, allyl, 2-cyanoethyl, 4-cyano-2-butenyl, 2-cyano-1,1-dimethylethyl, 2-(trimethylsilyl)ethyl, 2-(S-acetylthio)ethyl, 2-(S-pivaloylthio)ethyl, 2-(4-nitrophenyl)ethyl, 2,2,2-trichloroethyl, 2,2,2-trichloro -1,1-dimethylethyl, 1,1,1,3,3,3-hexafluoro-2-propyl, fluorenyl-9-methyl, 2-chlorophenyl, 4-chlorophenyl and 2,4- A compound containing at least one type of dichlorophenyl.제48항에 있어서, 포스페이트 보호기가 메틸, 알릴, 2-시아노에틸, 4-시아노-2-부테닐, 2-시아노-1,1-디메틸에틸, 2-(트리메틸실릴)에틸, 2-(S-아세틸티오)에틸, 2-(S-피발로일티오)에틸, 2-(4-니트로페닐)에틸, 2,2,2-트리클로로에틸, 2,2,2-트리클로로-1,1-디메틸에틸, 1,1,1,3,3,3-헥사플루오로-2-프로필, 플루오레닐-9-메틸, 2-클로로페닐, 4-클로로페닐 및 2,4-디클로로페닐 중 적어도 1종을 포함하는 것인 화합물.49. The method of claim 48, wherein the phosphate protecting group is methyl, allyl, 2-cyanoethyl, 4-cyano-2-butenyl, 2-cyano-1,1-dimethylethyl, 2-(trimethylsilyl)ethyl, 2 -(S-acetylthio)ethyl, 2-(S-pivaloylthio)ethyl, 2-(4-nitrophenyl)ethyl, 2,2,2-trichloroethyl, 2,2,2-trichloro- 1,1-dimethylethyl, 1,1,1,3,3,3-hexafluoro-2-propyl, fluorenyl-9-methyl, 2-chlorophenyl, 4-chlorophenyl and 2,4-dichloro A compound containing at least one type of phenyl.제1항 내지 제43항 중 어느 한 항에 있어서, W가 카르복실 기인 화합물.44. The compound according to any one of claims 1 to 43, wherein W is a carboxyl group.제51항에 있어서, W가 하기 화학식을 갖는 활성화된 카르복실 기인 화합물.
Figure pct00120

여기서 X는 이탈기이다.
52. The compound of claim 51, wherein W is an activated carboxyl group having the formula:
Figure pct00120

Here, X is a leaving group.
제52항에 있어서, 이탈기가 카르복실레이트, 술포네이트, 클로라이드, 포스페이트, 이미다졸, 히드록시벤조트리아졸 (HOBt), N-히드록시숙신이미드 (NHS), 테트라플루오로페놀, 펜타플루오로페놀 및 파라-니트로페놀로 이루어진 군으로부터 선택된 것인 화합물.53. The method of claim 52, wherein the leaving group is carboxylate, sulfonate, chloride, phosphate, imidazole, hydroxybenzotriazole (HOBt), N-hydroxysuccinimide (NHS), tetrafluorophenol, pentafluoro A compound selected from the group consisting of phenol and para-nitrophenol.제1항 내지 제43항 중 어느 한 항에 있어서, W가 마이클 수용자인 화합물.44. The compound of any one of claims 1 to 43, wherein W is a Michael acceptor.제54항에 있어서, 마이클 수용자가 하기 화학식을 갖는 것인 화합물.
Figure pct00121

여기서:
E는 전자 끄는 기이고;
Rd는 수소 또는 올레핀 상의 C1-C6 알킬 치환기이다.
55. The compound of claim 54, wherein the Michael acceptor has the formula:
Figure pct00121

here:
E is an electron withdrawing group;
Rd is hydrogen or a C1-C6 alkyl substituent on the olefin.
제55항에 있어서, 전자 끄는 기가 카르복스아미드 또는 에스테르인 화합물.56. The compound of claim 55, wherein the electron withdrawing group is a carboxamide or an ester.제55항 또는 제56항에 있어서, E 및 탄소-탄소 이중 결합이 말레이미드의 일부인 화합물.57. The compound of claim 55 or 56, wherein E and the carbon-carbon double bond are part of a maleimide.제1항 내지 제43항 중 어느 한 항에 있어서, W가 올리고뉴클레오티드인 화합물.44. The compound of any one of claims 1 to 43, wherein W is an oligonucleotide.제58항에 있어서, 올리고뉴클레오티드가 단일-가닥 올리고뉴클레오티드인 화합물.59. The compound of claim 58, wherein the oligonucleotide is a single-stranded oligonucleotide.제58항에 있어서, 올리고뉴클레오티드가 이중-가닥 올리고뉴클레오티드인 화합물.59. The compound of claim 58, wherein the oligonucleotide is a double-stranded oligonucleotide.제58항에 있어서, 올리고뉴클레오티드가 적어도 3개의 독립적으로 선택된 뉴클레오티드를 포함하는 것인 화합물.59. The compound of claim 58, wherein the oligonucleotide comprises at least three independently selected nucleotides.제61항에 있어서, 올리고뉴클레오티드가 16 내지 23개의 독립적으로 선택된 뉴클레오티드를 포함하는 것인 화합물.62. The compound of claim 61, wherein the oligonucleotide comprises 16 to 23 independently selected nucleotides.제61항에 있어서, 올리고뉴클레오티드가 약 100개의 독립적으로 선택된 뉴클레오티드를 포함하는 것인 화합물.62. The compound of claim 61, wherein the oligonucleotide comprises about 100 independently selected nucleotides.제61항에 있어서, 올리고뉴클레오티드가 최대 14,000개의 독립적으로 선택된 뉴클레오티드를 포함하는 것인 화합물.62. The compound of claim 61, wherein the oligonucleotide comprises up to 14,000 independently selected nucleotides.제1항 내지 제43항 중 어느 한 항에 있어서, W가 하기인 화합물.
Figure pct00122

여기서:
링커C는 부재하거나 또는 올리고뉴클레오티드의 3' 또는 5' 말단에 부착된 스페이서이고,
X는 메틸 기, 산소, 황 또는 아미노 기이고,
Y는 산소, 황 또는 아미노 기이다.
44. The compound according to any one of claims 1 to 43, wherein W is:
Figure pct00122

here:
Linker C is a spacer that is absent or attached to the 3' or 5' end of the oligonucleotide,
X is a methyl group, oxygen, sulfur or amino group,
Y is oxygen, sulfur or amino group.
제65항에 있어서, 링커C가 적어도 1종의 헤테로시클릭 화합물을 포함하는 것인 화합물.66. The compound of claim 65, wherein Linker C comprises at least one heterocyclic compound.제66항에 있어서, 헤테로시클릭 화합물이 무염기성 뉴클레오티드 또는 역전된 무염기성 뉴클레오티드인 화합물.67. The compound of claim 66, wherein the heterocyclic compound is an abasic nucleotide or an inverted abasic nucleotide.제1항 내지 제43항 중 어느 한 항에 있어서, W가 하기인 화합물.
Figure pct00123

여기서 링커C는 올리고뉴클레오티드의 3' 또는 5' 말단에 부착된 스페이서이다.
44. The compound according to any one of claims 1 to 43, wherein W is:
Figure pct00123

Here, Linker C is a spacer attached to the 3' or 5' end of the oligonucleotide.
제68항에 있어서, 링커C가 폴리에틸렌 글리콜 (PEG), 알킬 기 및 시클로알킬 기 중 적어도 1종을 포함하는 것인 화합물.69. The compound of claim 68, wherein Linker C comprises at least one of polyethylene glycol (PEG), an alkyl group, and a cycloalkyl group.제68항 또는 제69항에 있어서, 링커C가 적어도 1종의 헤테로원자를 포함하는 것인 화합물.70. The compound according to claim 68 or 69, wherein linker C contains at least one heteroatom.제70항에 있어서, 적어도 1종의 헤테로원자가 산소, 질소, 황 및 인 중 적어도 1종을 포함하는 것인 화합물.71. The compound of claim 70, wherein the at least one heteroatom comprises at least one of oxygen, nitrogen, sulfur, and phosphorus.제68항 내지 제71항 중 어느 한 항에 있어서, 링커C가 적어도 1종의 지방족 헤테로사이클을 포함하는 것인 화합물.72. The compound according to any one of claims 68 to 71, wherein linker C comprises at least one aliphatic heterocycle.제72항에 있어서, 적어도 1종의 지방족 헤테로사이클이 테트라히드로푸란, 테트라히드로피란, 모르폴린, 피페리딘, 피페라진, 피롤리딘 및 아제티딘 중 적어도 1종을 포함하는 것인 화합물.73. The compound of claim 72, wherein the at least one aliphatic heterocycle comprises at least one of tetrahydrofuran, tetrahydropyran, morpholine, piperidine, piperazine, pyrrolidine, and azetidine.제68항 내지 제73항 중 어느 한 항에 있어서, 링커C가 적어도 1종의 헤테로아릴 기를 포함하는 것인 화합물.74. The compound of any one of claims 68-73, wherein linker C comprises at least one heteroaryl group.제74항에 있어서, 적어도 1종의 헤테로아릴 기가 이미다졸, 피라졸, 피리딘, 피리미딘, 트리아졸 및 1,2,3-트리아졸 중 적어도 1종을 포함하는 것인 화합물.75. The compound of claim 74, wherein the at least one heteroaryl group comprises at least one of imidazole, pyrazole, pyridine, pyrimidine, triazole, and 1,2,3-triazole.제68항 내지 제75항 중 어느 한 항에 있어서, 링커C가 적어도 1종의 아미노산을 포함하는 것인 화합물.76. The compound according to any one of claims 68 to 75, wherein linker C contains at least one amino acid.제68항 내지 제76항 중 어느 한 항에 있어서, 링커C가 적어도 1종의 뉴클레오티드를 포함하는 것인 화합물.77. The compound according to any one of claims 68 to 76, wherein linker C comprises at least one nucleotide.제77항에 있어서, 적어도 1종의 뉴클레오티드가 무염기성 뉴클레오티드 및 역전된 무염기성 뉴클레오티드 중 적어도 1종을 포함하는 것인 화합물.78. The compound of claim 77, wherein the at least one nucleotide comprises at least one of an abasic nucleotide and an inverted abasic nucleotide.제78항에 있어서, 무염기성 뉴클레오티드가 무염기성 데옥시리보핵산 (DNA)인 화합물.79. The compound of claim 78, wherein the abasic nucleotide is an abasic deoxyribonucleic acid (DNA).제78항에 있어서, 역전된 무염기성 뉴클레오티드가 역전된 무염기성 데옥시리보핵산 (DNA)인 화합물.79. The compound of claim 78, wherein the inverted abasic nucleotide is inverted abasic deoxyribonucleic acid (DNA).제78항에 있어서, 무염기성 뉴클레오티드가 무염기성 리보핵산 (RNA)인 화합물.79. The compound of claim 78, wherein the abasic nucleotide is an abasic ribonucleic acid (RNA).제78항에 있어서, 역전된 무염기성 뉴클레오티드가 역전된 무염기성 리보핵산 (RNA)인 화합물.79. The compound of claim 78, wherein the inverted abasic nucleotide is an inverted abasic ribonucleic acid (RNA).제68항 내지 제82항 중 어느 한 항에 있어서, 링커C가 적어도 1종의 사카라이드를 포함하는 것인 화합물.83. The compound according to any one of claims 68 to 82, wherein linker C comprises at least one saccharide.제83항에 있어서, 적어도 1종의 사카라이드가 글루코스, 프룩토스, 만노스, 갈락토스, 리보스 및 글루코사민 중 적어도 1종을 포함하는 것인 화합물.84. The compound of claim 83, wherein the at least one saccharide comprises at least one of glucose, fructose, mannose, galactose, ribose, and glucosamine.제68항 내지 제84항 중 어느 한 항에 있어서, 링커C가 하기 중 1종 이상을 포함하는 것인 화합물.
Figure pct00124

여기서:
j는 1 내지 12의 정수이고,
k는 0 내지 12의 정수이다.
The compound according to any one of claims 68 to 84, wherein linker C comprises one or more of the following.
Figure pct00124

here:
j is an integer from 1 to 12,
k is an integer from 0 to 12.
제1항 내지 제43항 중 어느 한 항에 있어서, W가 하기인 화합물.
Figure pct00125

여기서 링커C는 올리고뉴클레오티드의 3' 또는 5' 말단에 부착된 스페이서이다.
44. The compound according to any one of claims 1 to 43, wherein W is:
Figure pct00125

Here, Linker C is a spacer attached to the 3' or 5' end of the oligonucleotide.
제86항에 있어서, 링커C가 폴리에틸렌 글리콜 (PEG), 알킬 기 및 시클로알킬 기 중 적어도 1종을 포함하는 것인 화합물.87. The compound of claim 86, wherein Linker C comprises at least one of polyethylene glycol (PEG), an alkyl group, and a cycloalkyl group.제86항 또는 제87항에 있어서, 링커C가 하기 중 1종 이상을 포함하는 것인 화합물.
Figure pct00126

여기서:
j는 1 내지 12의 정수이고,
k는 0 내지 12의 정수이다.
The compound according to claim 86 or 87, wherein linker C comprises one or more of the following.
Figure pct00126

here:
j is an integer from 1 to 12,
k is an integer from 0 to 12.
제1항 내지 제88항 중 어느 한 항에 있어서, 하기로 이루어진 군으로부터 선택된 화합물.
Figure pct00127

Figure pct00128

Figure pct00129

Figure pct00130

Figure pct00131

Figure pct00132

Figure pct00133

Figure pct00134

Figure pct00135

Figure pct00136

Figure pct00137

Figure pct00138

Figure pct00139

Figure pct00140

Figure pct00141

Figure pct00142

Figure pct00143

Figure pct00144

Figure pct00145

Figure pct00146

Figure pct00147

Figure pct00148

Figure pct00149

Figure pct00150

Figure pct00151

Figure pct00152
89. The compound according to any one of claims 1 to 88, selected from the group consisting of:
Figure pct00127

Figure pct00128

Figure pct00129

Figure pct00130

Figure pct00131

Figure pct00132

Figure pct00133

Figure pct00134

Figure pct00135

Figure pct00136

Figure pct00137

Figure pct00138

Figure pct00139

Figure pct00140

Figure pct00141

Figure pct00142

Figure pct00143

Figure pct00144

Figure pct00145

Figure pct00146

Figure pct00147

Figure pct00148

Figure pct00149

Figure pct00150

Figure pct00151

Figure pct00152
제89항에 있어서, 화합물 1-75 중 하나의 입체이성질체인 화합물.90. The compound of claim 89, which is a stereoisomer of one of compounds 1-75.제1항 내지 제90항 중 어느 한 항에 있어서, W가 1종 이상의 제약 작용제인 화합물.91. The compound according to any one of claims 1 to 90, wherein W is one or more pharmaceutical agents.제91항에 있어서, 1종 이상의 제약 작용제가 소형 간섭 RNA (siRNA), 단일 가닥 siRNA, 이중 가닥 siRNA, 소형 활성화 RNA, RNAi, 마이크로RNA (miRNA), 안티센스 올리고뉴클레오티드, 짧은 가이드 RNA (gRNA), 단일 가이드 RNA (sgRNA), 메신저 RNA (mRNA), 리보자임, 플라스미드, 면역-자극 핵산, 안타고미르 및 압타머 중 적어도 1종을 포함하는 것인 화합물.92. The method of claim 91, wherein the one or more pharmaceutical agents are selected from the group consisting of small interfering RNA (siRNA), single-stranded siRNA, double-stranded siRNA, small activating RNA, RNAi, microRNA (miRNA), antisense oligonucleotide, short guide RNA (gRNA), A compound comprising at least one of a single guide RNA (sgRNA), messenger RNA (mRNA), ribozyme, plasmid, immune-stimulating nucleic acid, antagomir, and aptamer.제92항에 있어서, 이중 가닥 siRNA가 적어도 1종의 변형된 리보뉴클레오티드를 포함하는 것인 화합물.93. The compound of claim 92, wherein the double-stranded siRNA comprises at least one modified ribonucleotide.제92항에 있어서, 이중 가닥 siRNA의 실질적으로 모든 리보뉴클레오티드가 변형된 것인 화합물.93. The compound of claim 92, wherein substantially all ribonucleotides of the double-stranded siRNA are modified.제92항에 있어서, 이중 가닥 siRNA의 모든 리보뉴클레오티드가 변형된 것인 화합물.93. The compound of claim 92, wherein all ribonucleotides of the double-stranded siRNA are modified.제92항 내지 제95항 중 어느 한 항에 있어서, 변형된 리보뉴클레오티드가 2'-O-메틸 뉴클레오티드, 2'-플루오로 뉴클레오티드, 2'-데옥시 뉴클레오티드, 2'3'-세코 뉴클레오티드 모방체, 잠금 뉴클레오티드, 2'-F-아라비노 뉴클레오티드, 2'-메톡시에틸 뉴클레오티드, 무염기성 뉴클레오티드, 리비톨, 역전된 뉴클레오티드, 역전된 무염기성 뉴클레오티드, 역전된 2'-OMe 뉴클레오티드, 역전된 2'데옥시 뉴클레오티드, 2'-아미노-변형된 뉴클레오티드, 2'-알킬-변형된 뉴클레오티드, 모르폴리노 뉴클레오티드, 및 3'-OMe 뉴클레오티드, 5'-포스포로티오에이트 기 포함 뉴클레오티드, 또는 5'-(E)-비닐 포스포네이트 뉴클레오티드 (안티센스 가닥 단독), 또는 콜레스테릴 유도체 또는 도데칸산 비스데실아미드 기에 연결된 말단 뉴클레오티드, 2'-아미노-변형된 뉴클레오티드, 2'-알킬-변형된 뉴클레오티드, 포스포르아미데이트, 또는 비-천연 염기 포함 뉴클레오티드를 포함하는 것인 화합물.95. The method of any one of claims 92 to 95, wherein the modified ribonucleotide is a 2'-O-methyl nucleotide, a 2'-fluoro nucleotide, a 2'-deoxy nucleotide, a 2'3'-seco nucleotide mimetic. , locking nucleotide, 2'-F-arabino nucleotide, 2'-methoxyethyl nucleotide, abasic nucleotide, ribitol, inverted nucleotide, inverted abasic nucleotide, inverted 2'-OMe nucleotide, inverted 2' Deoxy nucleotides, 2'-amino-modified nucleotides, 2'-alkyl-modified nucleotides, morpholino nucleotides, and 3'-OMe nucleotides, nucleotides containing a 5'-phosphorothioate group, or 5'-( E) -vinyl phosphonate nucleotides (antisense strand alone), or terminal nucleotides linked to cholesteryl derivatives or dodecanoic acid bisdecylamide groups, 2'-amino-modified nucleotides, 2'-alkyl-modified nucleotides, phospho A compound comprising amidate, or a nucleotide containing a non-natural base.제92항 내지 제96항 중 어느 한 항에 있어서, 이중 가닥 siRNA의 적어도 1개의 가닥이 적어도 1개의 포스포로티오에이트 연결을 포함하는 것인 화합물.97. The compound of any one of claims 92-96, wherein at least one strand of the double-stranded siRNA comprises at least one phosphorothioate linkage.제92항 내지 제97항 중 어느 한 항에 있어서, 이중 가닥 siRNA의 적어도 1개의 가닥이 최대 6개의 포스포로티오에이트 연결을 포함하는 것인 화합물.98. The compound of any one of claims 92-97, wherein at least one strand of the double-stranded siRNA comprises up to 6 phosphorothioate linkages.제92항 내지 제98항 중 어느 한 항에 있어서, 이중 가닥 siRNA가 적어도 1종의 잠금 핵산을 포함하는 것인 화합물.99. The compound of any one of claims 92-98, wherein the double-stranded siRNA comprises at least one locked nucleic acid.제92항 내지 제99항 중 어느 한 항에 있어서, 이중 가닥 siRNA가 적어도 1종의 비잠금 핵산을 포함하는 것인 화합물.100. The compound of any one of claims 92-99, wherein the double-stranded siRNA comprises at least one unlocked nucleic acid.제92항 내지 제100항 중 어느 한 항에 있어서, 이중 가닥 siRNA가 적어도 1종의 글리세롤 핵산을 포함하는 것인 화합물.101. The compound of any one of claims 92-100, wherein the double-stranded siRNA comprises at least one glycerol nucleic acid.제1항 내지 제101항 중 어느 한 항의 화합물을 포함하는 제약 조성물.A pharmaceutical composition comprising the compound of any one of claims 1 to 101.제102항에 있어서, W가 1종 이상의 제약 작용제인 제약 조성물.103. The pharmaceutical composition of claim 102, wherein W is one or more pharmaceutical agents.제103항에 있어서, 1종 이상의 치료제를 추가로 포함하는 제약 조성물.104. The pharmaceutical composition of claim 103, further comprising one or more therapeutic agents.제103항 또는 제104항에 있어서, 제약상 허용되는 담체를 추가로 포함하는 제약 조성물.105. The pharmaceutical composition of claim 103 or 104, further comprising a pharmaceutically acceptable carrier.1종 이상의 제약 작용제의 표적화된 전달을 위한 조성물로서, 제1항 내지 제90항 중 어느 한 항의 화합물을 포함하고, 여기서 W가 1종 이상의 제약 작용제인 조성물.A composition for targeted delivery of one or more pharmaceutical agents, comprising the compound of any one of claims 1 to 90, wherein W is one or more pharmaceutical agents.제106항에 있어서, 1종 이상의 제약 작용제가 소형 간섭 RNA (siRNA), 단일 가닥 siRNA, 이중 가닥 siRNA, 소형 활성화 RNA, 마이크로RNA (miRNA), 안티센스 올리고뉴클레오티드, 짧은 가이드 RNA (gRNA), 단일 가이드 RNA (sgRNA), 메신저 RNA (mRNA), 리보자임, 플라스미드, 면역 자극 핵산, 안타고미르 및 압타머 중 적어도 1종을 포함하는 것인 조성물.107. The method of claim 106, wherein the one or more pharmaceutical agents are small interfering RNAs (siRNAs), single-stranded siRNAs, double-stranded siRNAs, small activating RNAs, microRNAs (miRNAs), antisense oligonucleotides, short guide RNAs (gRNAs), single guides. A composition comprising at least one of RNA (sgRNA), messenger RNA (mRNA), ribozyme, plasmid, immunostimulatory nucleic acid, antagomir, and aptamer.제107항에 있어서, 이중 가닥 siRNA가 siRNA의 한쪽 또는 양쪽 가닥에 적어도 1종의 변형된 리보뉴클레오티드를 포함하는 것인 조성물.108. The composition of claim 107, wherein the double-stranded siRNA comprises at least one modified ribonucleotide on one or both strands of the siRNA.제108항에 있어서, 이중 가닥 siRNA의 실질적으로 모든 리보뉴클레오티드가 변형된 것인 조성물.109. The composition of claim 108, wherein substantially all ribonucleotides of the double-stranded siRNA are modified.제108항에 있어서, 이중 가닥 siRNA의 모든 리보뉴클레오티드가 변형된 것인 조성물.109. The composition of claim 108, wherein all ribonucleotides of the double-stranded siRNA are modified.제108항 내지 제110항 중 어느 한 항에 있어서, 변형된 리보뉴클레오티드가 2'-O-메틸 뉴클레오티드, 2'-플루오로 뉴클레오티드, 2'-데옥시 뉴클레오티드, 2'3'-세코 뉴클레오티드 모방체, 잠금 뉴클레오티드, 2'-F-아라비노 뉴클레오티드, 2'-메톡시에틸 뉴클레오티드, 무염기성 뉴클레오티드, 리비톨, 역전된 뉴클레오티드, 역전된 무염기성 뉴클레오티드, 역전된 2'-OMe 뉴클레오티드, 역전된 2'데옥시 뉴클레오티드, 2'-아미노-변형된 뉴클레오티드, 2'-알킬-변형된 뉴클레오티드, 모르폴리노 뉴클레오티드, 및 3'-OMe 뉴클레오티드, 5'-포스포로티오에이트 기 포함 뉴클레오티드, 또는 5'-(E)-비닐 포스포네이트 뉴클레오티드 (안티센스 가닥 단독), 또는 콜레스테릴 유도체 또는 도데칸산 비스데실아미드 기에 연결된 말단 뉴클레오티드, 2'-아미노-변형된 뉴클레오티드, 2'-알킬-변형된 뉴클레오티드, 포스포르아미데이트, 또는 비-천연 염기 포함 뉴클레오티드를 포함하는 것인 조성물.111. The method of any one of claims 108 to 110, wherein the modified ribonucleotide is a 2'-O-methyl nucleotide, a 2'-fluoro nucleotide, a 2'-deoxy nucleotide, a 2'3'-seco nucleotide mimetic. , locking nucleotide, 2'-F-arabino nucleotide, 2'-methoxyethyl nucleotide, abasic nucleotide, ribitol, inverted nucleotide, inverted abasic nucleotide, inverted 2'-OMe nucleotide, inverted 2' Deoxy nucleotides, 2'-amino-modified nucleotides, 2'-alkyl-modified nucleotides, morpholino nucleotides, and 3'-OMe nucleotides, nucleotides containing a 5'-phosphorothioate group, or 5'-( E) -vinyl phosphonate nucleotides (antisense strand alone), or terminal nucleotides linked to cholesteryl derivatives or dodecanoic acid bisdecylamide groups, 2'-amino-modified nucleotides, 2'-alkyl-modified nucleotides, phospho A composition comprising amidate, or a nucleotide containing a non-natural base.제107항 내지 제111항 중 어느 한 항에 있어서, 이중 가닥 siRNA의 적어도 1개의 가닥이 적어도 1개의 포스포로티오에이트 연결을 포함하는 것인 조성물.112. The composition of any one of claims 107-111, wherein at least one strand of the double-stranded siRNA comprises at least one phosphorothioate linkage.제112항에 있어서, 이중 가닥 siRNA의 적어도 1개의 가닥이 최대 6개의 포스포로티오에이트 연결을 포함하는 것인 조성물.113. The composition of claim 112, wherein at least one strand of the double-stranded siRNA comprises up to 6 phosphorothioate linkages.제107항 내지 제113항 중 어느 한 항에 있어서, 이중 가닥 siRNA가 적어도 1종의 잠금 핵산을 포함하는 것인 조성물.114. The composition of any one of claims 107-113, wherein the double-stranded siRNA comprises at least one locked nucleic acid.제107항 내지 제114항 중 어느 한 항에 있어서, 이중 가닥 siRNA가 적어도 1종의 비잠금 핵산을 포함하는 것인 조성물.115. The composition of any one of claims 107-114, wherein the double-stranded siRNA comprises at least one unlocked nucleic acid.제107항 내지 제115항 중 어느 한 항에 있어서, 이중 가닥 siRNA가 적어도 1종의 글리세롤 핵산을 포함하는 것인 화합물.116. The compound of any one of claims 107-115, wherein the double-stranded siRNA comprises at least one glycerol nucleic acid.제106항 내지 제116항 중 어느 한 항의 조성물을 포함하는 제약 조성물.A pharmaceutical composition comprising the composition of any one of claims 106 to 116.제117항에 있어서, 1종 이상의 치료제를 추가로 포함하는 제약 조성물.118. The pharmaceutical composition of claim 117, further comprising one or more therapeutic agents.제117항 또는 제118항에 있어서, 제약상 허용되는 담체를 추가로 포함하는 제약 조성물.119. The pharmaceutical composition of claim 117 or 118, further comprising a pharmaceutically acceptable carrier.1종 이상의 제약 작용제의 표적화된 전달을 위한 화합물을 제조하는 방법으로서:
디아민을 포함하는 제1 화합물을 수용하는 단계로서, 디아민은 제1 질소 및 제2 질소를 포함하고, 제1 질소는 1급 아민이고, 제2 질소는 보호기를 포함하는 2급 아민인 단계;
복수의 보호된 카르복실산을 제1 화합물에 커플링시킴으로써 제2 화합물을 제조하는 단계로서, 제2 화합물에서의 제1 질소는 제1 보호된 카르복실산 및 제2 보호된 카르복실산을 포함하는 3급 아민이고, 제2 화합물에서의 제2 질소는 보호기 및 제3 보호된 카르복실산을 포함하는 3급 아민인 단계;
제2 화합물의 제2 질소를 탈보호하여 제2 질소가 제3 보호된 카르복실산을 포함하는 2급 아민이 되도록 함으로써 제3 화합물을 제조하는 단계;
히드록시 기를 포함하는 모이어티를 제3 화합물의 제2 질소에 부착시켜 제2 질소가 제3 보호된 카르복실산 및 히드록시 기를 포함하는 모이어티를 포함하는 3급 아민 또는 아미드가 되도록 함으로써 제4 화합물을 제조하는 단계;
제4 화합물의 보호된 카르복실산을 카르복실산으로 전환시킴으로써 제5 화합물을 제조하는 단계; 및
제5 화합물을 사용하여 아미드 커플링 반응을 수행함으로써 제6 화합물을 제조하는 단계로서, 제6 화합물에서의 제1 질소는 제1 아미드 및 제2 아미드를 포함하는 3급 아민이고, 제6 화합물에서의 제2 질소는 히드록시 기를 포함하는 모이어티 및 제3 아미드를 포함하는 3급 아민이고, 여기서 제1 아미드, 제2 아미드, 및 제3 아미드 각각은 독립적으로 선택된 표적화 리간드에 커플링된 것인 단계
를 포함하는 방법.
As a method of preparing a compound for targeted delivery of one or more pharmaceutical agents:
Receiving a first compound comprising a diamine, the diamine comprising a first nitrogen and a second nitrogen, the first nitrogen being a primary amine and the second nitrogen being a secondary amine comprising a protecting group;
preparing a second compound by coupling a plurality of protected carboxylic acids to the first compound, wherein the first nitrogen in the second compound comprises the first protected carboxylic acid and the second protected carboxylic acid. is a tertiary amine, and the second nitrogen in the second compound is a tertiary amine comprising a protecting group and a third protected carboxylic acid;
preparing a third compound by deprotecting the second nitrogen of the second compound such that the second nitrogen becomes a secondary amine comprising a third protected carboxylic acid;
A fourth compound is formed by attaching a moiety containing a hydroxy group to the second nitrogen of a third compound such that the second nitrogen is a tertiary amine or amide containing a third protected carboxylic acid and a moiety containing a hydroxy group. Preparing a compound;
preparing a fifth compound by converting the protected carboxylic acid of the fourth compound to a carboxylic acid; and
Preparing a sixth compound by performing an amide coupling reaction using the fifth compound, wherein the first nitrogen in the sixth compound is a tertiary amine comprising a first amide and a second amide, and in the sixth compound The second nitrogen of is a tertiary amine comprising a moiety comprising a hydroxy group and a third amide, wherein each of the first amide, second amide, and third amide is coupled to an independently selected targeting ligand. step
How to include .
제120항에 있어서, 보호기가 벤질 기 및 트리페닐메틸 기로 이루어진 군으로부터 선택된 것인 방법.121. The method of claim 120, wherein the protecting group is selected from the group consisting of benzyl group and triphenylmethyl group.제120항 또는 제121항에 있어서, 제2 화합물을 제조하는 단계가 제1 화합물을 사용하여 SN2 치환 반응을 수행하는 것을 포함하는 것인 방법.122. The method of claim 120 or 121, wherein preparing the second compound comprises performing a SN 2 substitution reaction using the first compound.제120항 또는 제121항에 있어서, 제2 화합물을 제조하는 단계가 제1 화합물을 사용하여 환원성 아미노화 반응을 수행하는 것을 포함하는 것인 방법.122. The method of claim 120 or 121, wherein preparing the second compound comprises performing a reductive amination reaction using the first compound.제120항 또는 제121항에 있어서, 제2 화합물을 제조하는 단계가 제1 화합물을 사용하여 마이클 첨가 반응을 수행하는 것을 포함하는 것인 방법.122. The method of claim 120 or 121, wherein preparing the second compound comprises performing a Michael addition reaction using the first compound.제120항 내지 제124항 중 어느 한 항에 있어서,
보호기가 벤질 기이고;
제3 화합물을 제조하는 단계가 제2 화합물을 사용하여 수소화 반응을 수행하는 것을 포함하는 것인
방법.
The method of any one of claims 120 to 124,
The protecting group is a benzyl group;
wherein the step of preparing the third compound includes performing a hydrogenation reaction using the second compound.
method.
제120항 내지 제124항 중 어느 한 항에 있어서,
보호기가 트리페닐메틸 기이고;
제3 화합물을 제조하는 단계가 제2 성분을 적어도 1종의 산과 반응시키는 것을 포함하는 것인
방법.
The method of any one of claims 120 to 124,
The protecting group is a triphenylmethyl group;
wherein the step of preparing the third compound includes reacting the second component with at least one acid.
method.
제120항 내지 제126항 중 어느 한 항에 있어서, 제4 화합물을 제조하는 단계가 제3 화합물을 사용하여 SN2 치환 반응을 수행하는 것을 포함하는 것인 방법.127. The method of any one of claims 120-126, wherein preparing the fourth compound comprises performing a SN 2 substitution reaction using the third compound.제120항 내지 제126항 중 어느 한 항에 있어서, 제4 화합물을 제조하는 단계가 제3 화합물을 사용하여 환원성 아미노화 반응을 수행하는 것을 포함하는 것인 방법.127. The method of any one of claims 120-126, wherein preparing the fourth compound comprises performing a reductive amination reaction using the third compound.제120항 내지 제126항 중 어느 한 항에 있어서, 제4 화합물을 제조하는 단계가 제3 화합물을 사용하여 마이클 첨가 반응을 수행하는 것을 포함하는 것인 방법.127. The method of any one of claims 120-126, wherein preparing the fourth compound comprises performing a Michael addition reaction using the third compound.제120항 내지 제126항 중 어느 한 항에 있어서, 제4 화합물을 제조하는 단계가 제3 화합물을 사용하여 아미드 커플링 반응을 수행하는 것을 포함하는 것인 방법.127. The method of any one of claims 120-126, wherein preparing the fourth compound comprises performing an amide coupling reaction using the third compound.제120항 내지 제126항 중 어느 한 항에 있어서, 제4 화합물을 제조하는 단계가 제3 화합물을 사용하여 친핵성 첨가 반응을 수행하는 것을 포함하는 것인 방법.127. The method of any one of claims 120-126, wherein preparing the fourth compound comprises performing a nucleophilic addition reaction using the third compound.제120항 내지 제131항 중 어느 한 항에 있어서, 히드록시 기를 포함하는 모이어티가 제24항 내지 제40항 중 어느 한 항의 링커B를 사용하여 제2 질소에 부착되는 것인 방법.132. The method of any one of claims 120-131, wherein the moiety comprising a hydroxy group is attached to the second nitrogen using the linker B of any of claims 24-40.제120항 내지 제132항 중 어느 한 항에 있어서, 제5 화합물을 제조하는 단계가 제4 화합물을 적어도 1종의 산과 반응시키는 것을 포함하는 것인 방법.133. The method of any one of claims 120-132, wherein preparing the fifth compound comprises reacting the fourth compound with at least one acid.제133항에 있어서, 적어도 1종의 산이 염산, 브로민화수소산, 트리플루오로아세트산 및 포름산 중 적어도 1종을 포함하는 것인 방법.134. The method of claim 133, wherein the at least one acid comprises at least one of hydrochloric acid, hydrobromide acid, trifluoroacetic acid, and formic acid.제120항 내지 제134항 중 어느 한 항에 있어서, 제5 화합물을 제조하는 단계가 제4 화합물을 사용하여 수소화 반응을 수행하는 것을 포함하는 것인 방법.135. The method of any one of claims 120-134, wherein preparing the fifth compound comprises performing a hydrogenation reaction using the fourth compound.제120항 내지 제134항 중 어느 한 항에 있어서, 제5 화합물을 제조하는 단계가 제4 화합물을 사용하여 가수분해 반응을 수행하는 것을 포함하는 것인 방법.135. The method of any one of claims 120-134, wherein preparing the fifth compound comprises performing a hydrolysis reaction using the fourth compound.제120항 내지 제136항 중 어느 한 항에 있어서, 제1 아미드, 제2 아미드 및 제3 아미드를 각각 제12항 내지 제23항 중 어느 한 항의 독립적으로 선택된 링커A를 사용하여 독립적으로 선택된 표적화 리간드에 커플링시키는 것인 방법.137. The method of any one of claims 120 to 136, wherein the first amide, the second amide and the third amide are each independently selected using the independently selected linker A of any one of claims 12 to 23. A method of coupling to a ligand.제120항 내지 제137항 중 어느 한 항에 있어서, 독립적으로 선택된 표적화 리간드가 제4항 내지 제11항 중 어느 한 항의 표적화 리간드가 되도록 독립적으로 선택된 것인 방법.138. The method of any one of claims 120-137, wherein the independently selected targeting ligand is independently selected to be the targeting ligand of any one of claims 4-11.제120항 내지 제138항 중 어느 한 항에 있어서, 포스피틸화 반응을 사용하여 히드록시 기를 포스포르아미다이트 기로 전환시키는 것을 추가로 포함하는 방법.139. The method of any one of claims 120-138, further comprising converting the hydroxy group to a phosphoramidite group using a phosphitylation reaction.제139항에 있어서, 히드록시 기를 포스포르아미다이트 기로 전환시키는 것이 아미드 커플링 반응을 수행하여 제6 화합물을 제조한 후에 수행되는 것인 방법.139. The method of claim 139, wherein converting the hydroxy group to a phosphoramidite group is performed after performing an amide coupling reaction to prepare the sixth compound.1종 이상의 제약 작용제의 표적화된 전달을 위한 화합물을 제조하는 방법으로서:
디아민을 포함하는 제1 화합물을 수용하는 단계로서, 디아민은 제1 질소 및 제2 질소를 포함하고, 제1 질소는 제1 보호기를 포함하는 2급 아민이고, 제2 질소는 제2 보호기를 포함하는 아민인 단계;
제1 보호된 카르복실산을 제1 화합물의 제1 질소에 커플링시켜 제1 질소가 3급 아민이 되도록 함으로써 제2 화합물을 제조하는 단계;
제2 화합물에서의 제1 질소로부터 제1 보호기를 제거하여 제1 질소 및 제2 질소를 포함하는 제3 화합물을 제조하는 단계로서, 제1 질소는 제1 보호된 카르복실산을 포함하는 2급 아민이고, 제2 질소는 제2 보호기를 포함하는 아민인 단계;
제2 보호된 카르복실산을 제3 화합물의 제1 질소에 커플링시켜 제1 질소가 3급 아민이 되도록 함으로써 제4 화합물을 제조하는 단계;
제4 화합물로부터 제2 보호기를 제거하여 제1 질소 및 제2 질소를 포함하는 제5 화합물을 제조하는 단계로서, 제1 질소는 제1 보호된 카르복실산 및 제2 보호된 카르복실산을 포함하는 3급 아민이고, 제2 질소는 1급 아민인 단계;
제3 보호된 카르복실산을 제5 화합물의 제2 질소에 커플링시켜 제2 질소가 2급 아민이 되도록 함으로써 제6 화합물을 제조하는 단계;
히드록시 기를 포함하는 모이어티를 제6 화합물의 제2 질소에 부착시켜 제2 질소가 3급 아민이 되도록 함으로써 제7 화합물을 제조하는 단계;
제7 화합물의 제3 보호된 카르복실산을 제1 카르복실산으로 전환시킴으로써 제8 화합물을 제조하는 단계;
제8 화합물을 사용하여 아미드 커플링 반응을 수행함으로써 제9 화합물을 제조하는 단계로서, 제9 화합물의 제1 질소는 제1 보호된 카르복실산 및 제2 보호된 카르복실산을 포함하고, 제9 화합물의 제2 질소는 그에 커플링된 제1 표적화 리간드를 갖는 제1 아미드 및 히드록시 기를 포함하는 모이어티를 포함하는 것인 단계;
제9 화합물의 제2 보호된 카르복실산을 제2 카르복실산으로 전환시킴으로써 제10 화합물을 제조하는 단계;
제10 화합물을 사용하여 아미드 커플링 반응을 수행함으로써 제11 화합물을 제조하는 단계로서, 제11 화합물의 제1 질소는 제1 보호된 카르복실산 및 그에 커플링된 제2 표적화 리간드를 갖는 제2 아미드를 포함하고, 제11 화합물의 제2 질소는 그에 커플링된 제1 표적화 리간드를 갖는 제1 아미드 및 히드록시 기를 포함하는 모이어티를 포함하는 것인 단계;
제11 화합물의 제1 보호된 카르복실산을 제3 카르복실산으로 전환시킴으로써 제12 화합물을 제조하는 단계; 및
제12 화합물을 사용하여 아미드 커플링 반응을 수행함으로써 제13 화합물을 제조하는 단계로서, 제13 화합물의 제1 질소는 그에 커플링된 제2 표적화 리간드를 갖는 제2 아미드 및 그에 커플링된 제3 표적화 리간드를 갖는 제3 아미드를 포함하고, 제13 화합물의 제2 질소는 그에 커플링된 제1 표적화 리간드를 갖는 제1 아미드 및 히드록시 기를 포함하는 모이어티를 포함하는 것인 단계
를 포함하는 방법.
As a method of preparing a compound for targeted delivery of one or more pharmaceutical agents:
Receiving a first compound comprising a diamine, wherein the diamine comprises a first nitrogen and a second nitrogen, the first nitrogen being a secondary amine comprising a first protecting group, and the second nitrogen comprising a second protecting group. An amine step;
preparing a second compound by coupling the first protected carboxylic acid to the first nitrogen of the first compound such that the first nitrogen is a tertiary amine;
removing the first protecting group from the first nitrogen in the second compound to prepare a third compound comprising the first nitrogen and the second nitrogen, wherein the first nitrogen is a secondary compound comprising the first protected carboxylic acid. is an amine, and the second nitrogen is an amine comprising a second protecting group;
preparing a fourth compound by coupling the second protected carboxylic acid to the first nitrogen of the third compound such that the first nitrogen is a tertiary amine;
removing the second protecting group from the fourth compound to produce a fifth compound comprising a first nitrogen and a second nitrogen, wherein the first nitrogen comprises a first protected carboxylic acid and a second protected carboxylic acid. is a tertiary amine, and the second nitrogen is a primary amine;
preparing a sixth compound by coupling the third protected carboxylic acid to the second nitrogen of the fifth compound such that the second nitrogen is a secondary amine;
preparing a seventh compound by attaching a moiety comprising a hydroxy group to the second nitrogen of the sixth compound such that the second nitrogen is a tertiary amine;
preparing an eighth compound by converting the third protected carboxylic acid of the seventh compound to a first carboxylic acid;
Preparing a ninth compound by performing an amide coupling reaction using the eighth compound, wherein the first nitrogen of the ninth compound includes a first protected carboxylic acid and a second protected carboxylic acid, wherein the second nitrogen of compound 9 comprises a moiety comprising a first amide and hydroxy group with a first targeting ligand coupled thereto;
preparing a tenth compound by converting the second protected carboxylic acid of the ninth compound to a second carboxylic acid;
Preparing an eleventh compound by performing an amide coupling reaction using the tenth compound, wherein the first nitrogen of the eleventh compound is a second nitrogen having a first protected carboxylic acid and a second targeting ligand coupled thereto. comprising an amide, wherein the second nitrogen of the eleventh compound comprises a moiety comprising a hydroxy group and a first amide having a first targeting ligand coupled thereto;
preparing a twelfth compound by converting the first protected carboxylic acid of the eleventh compound to a third carboxylic acid; and
preparing a thirteenth compound by performing an amide coupling reaction using the twelfth compound, wherein the first nitrogen of the thirteenth compound is a second amide having a second targeting ligand coupled thereto and a third amide coupled thereto. comprising a third amide having a targeting ligand, wherein the second nitrogen of the thirteenth compound comprises a moiety comprising a hydroxy group and a first amide having a first targeting ligand coupled thereto.
How to include .
제141항에 있어서,
제1 보호기가 벤질 기이고;
제2 보호기가 tert-부틸옥시카르보닐 (Boc) 기인
방법.
According to clause 141,
the first protecting group is a benzyl group;
The second protecting group is a tert-butyloxycarbonyl (Boc) group
method.
제141항 또는 제142항에 있어서, 제2 화합물을 제조하는 단계가 제1 화합물을 사용하여 SN2 치환 반응을 수행하는 것을 포함하는 것인 방법.143. The method of claim 141 or 142, wherein preparing the second compound comprises performing a SN 2 substitution reaction using the first compound.제141항 또는 제142항에 있어서, 제2 화합물을 제조하는 단계가 제1 화합물을 사용하여 환원성 아미노화 반응을 수행하는 것을 포함하는 것인 방법.143. The method of claim 141 or 142, wherein preparing the second compound comprises performing a reductive amination reaction using the first compound.제141항 또는 제142항에 있어서, 제2 화합물을 제조하는 단계가 제1 화합물을 사용하여 마이클 첨가 반응을 수행하는 것을 포함하는 것인 방법.143. The method of claim 141 or 142, wherein preparing the second compound comprises performing a Michael addition reaction using the first compound.제141항 내지 제145항 중 어느 한 항에 있어서, 제3 화합물을 제조하는 단계가 제2 화합물을 사용하여 수소화 반응을 수행하는 것을 포함하는 것인 방법.146. The method of any one of claims 141-145, wherein preparing the third compound comprises performing a hydrogenation reaction using the second compound.제141항 내지 제146항 중 어느 한 항에 있어서, 제4 화합물을 제조하는 단계가 제3 화합물을 사용하여 SN2 치환 반응을 수행하는 것을 포함하는 것인 방법.147. The method of any one of claims 141-146, wherein preparing the fourth compound comprises performing a SN 2 substitution reaction using the third compound.제141항 내지 제146항 중 어느 한 항에 있어서, 제4 화합물을 제조하는 단계가 제3 화합물을 사용하여 환원성 아미노화 반응을 수행하는 것을 포함하는 것인 방법.147. The method of any one of claims 141-146, wherein preparing the fourth compound comprises performing a reductive amination reaction using the third compound.제141항 내지 제146항 중 어느 한 항에 있어서, 제4 화합물을 제조하는 단계가 제3 화합물을 사용하여 마이클 첨가 반응을 수행하는 것을 포함하는 것인 방법.147. The method of any one of claims 141-146, wherein preparing the fourth compound comprises performing a Michael addition reaction using the third compound.제141항 내지 제146항 중 어느 한 항에 있어서, 제4 화합물을 제조하는 단계가 제3 화합물을 사용하여 아미드 커플링 반응을 수행하는 것을 포함하는 것인 방법.147. The method of any one of claims 141-146, wherein preparing the fourth compound comprises performing an amide coupling reaction using the third compound.제141항 내지 제146항 중 어느 한 항에 있어서, 제4 화합물을 제조하는 단계가 제3 화합물을 사용하여 친핵성 첨가 반응을 수행하는 것을 포함하는 것인 방법.147. The method of any one of claims 141-146, wherein preparing the fourth compound comprises performing a nucleophilic addition reaction using the third compound.제141항 내지 제151항 중 어느 한 항에 있어서, 제5 화합물을 제조하는 단계가 제4 화합물을 적어도 1종의 산과 반응시키는 것을 포함하는 것인 방법.152. The method of any one of claims 141-151, wherein preparing the fifth compound comprises reacting the fourth compound with at least one acid.제152항에 있어서, 적어도 1종의 산이 염산 및 트리플루오로아세트산 중 적어도 1종을 포함하는 것인 방법.153. The method of claim 152, wherein the at least one acid comprises at least one of hydrochloric acid and trifluoroacetic acid.제141항 내지 제153항 중 어느 한 항에 있어서, 제6 화합물을 제조하는 단계가 제5 화합물을 사용하여 SN2 치환 반응을 수행하는 것을 포함하는 것인 방법.154. The method of any one of claims 141-153, wherein preparing the sixth compound comprises performing a SN 2 substitution reaction using the fifth compound.제141항 내지 제153항 중 어느 한 항에 있어서, 제6 화합물을 제조하는 단계가 제5 화합물을 사용하여 환원성 아미노화 반응을 수행하는 것을 포함하는 것인 방법.154. The method of any one of claims 141-153, wherein preparing the sixth compound comprises performing a reductive amination reaction using the fifth compound.제141항 내지 제153항 중 어느 한 항에 있어서, 제6 화합물을 제조하는 단계가 제5 화합물을 사용하여 마이클 첨가 반응을 수행하는 것을 포함하는 것인 방법.154. The method of any one of claims 141-153, wherein preparing the sixth compound comprises performing a Michael addition reaction using the fifth compound.제141항 내지 제156항 중 어느 한 항에 있어서, 제7 화합물을 제조하는 단계가 제6 화합물을 사용하여 SN2 치환 반응을 수행하는 것을 포함하는 것인 방법.157. The method of any one of claims 141-156, wherein preparing the seventh compound comprises performing a SN 2 substitution reaction using the sixth compound.제141항 내지 제156항 중 어느 한 항에 있어서, 제7 화합물을 제조하는 단계가 제6 화합물을 사용하여 환원성 아미노화 반응을 수행하는 것을 포함하는 것인 방법.157. The method of any one of claims 141-156, wherein preparing the seventh compound comprises performing a reductive amination reaction using the sixth compound.제141항 내지 제156항 중 어느 한 항에 있어서, 제7 화합물을 제조하는 단계가 제6 화합물을 사용하여 마이클 첨가 반응을 수행하는 것을 포함하는 것인 방법.157. The method of any one of claims 141-156, wherein preparing the seventh compound comprises performing a Michael addition reaction using the sixth compound.제141항 내지 제156항 중 어느 한 항에 있어서, 제7 화합물을 제조하는 단계가 제6 화합물을 사용하여 아미드 커플링 반응을 수행하는 것을 포함하는 것인 방법.157. The method of any one of claims 141-156, wherein preparing the seventh compound comprises performing an amide coupling reaction using the sixth compound.제141항 내지 제156항 중 어느 한 항에 있어서, 제7 화합물을 제조하는 단계가 제6 화합물을 사용하여 친핵성 첨가 반응을 수행하는 것을 포함하는 것인 방법.157. The method of any one of claims 141-156, wherein preparing the seventh compound comprises performing a nucleophilic addition reaction using the sixth compound.제141항 내지 제161항 중 어느 한 항에 있어서, 제1 아미드를 제12항 내지 제23항 중 어느 한 항의 독립적으로 선택된 링커A를 사용하여 제1 표적화 리간드에 커플링시키는 것인 방법.162. The method of any one of claims 141-161, wherein the first amide is coupled to the first targeting ligand using the independently selected linker A of any of claims 12-23.제141항 내지 제162항 중 어느 한 항에 있어서, 제2 아미드를 제12항 내지 제23항 중 어느 한 항의 독립적으로 선택된 링커A를 사용하여 제2 표적화 리간드에 커플링시키는 것인 방법.163. The method of any one of claims 141-162, wherein the second amide is coupled to the second targeting ligand using the independently selected linker A of any of claims 12-23.제141항 내지 제163항 중 어느 한 항에 있어서, 제3 아미드를 제12항 내지 제23항 중 어느 한 항의 독립적으로 선택된 링커A를 사용하여 제3 표적화 리간드에 커플링시키는 것인 방법.164. The method of any one of claims 141-163, wherein the third amide is coupled to the third targeting ligand using the independently selected linker A of any of claims 12-23.제141항 내지 제164항 중 어느 한 항에 있어서, 제1 표적화 리간드, 제2 표적화 리간드 및 제3 표적화 리간드가 제4항 내지 제11항 중 어느 한 항의 표적화 리간드 중 1종 이상이 되도록 독립적으로 선택된 것인 방법.165. The method of any one of claims 141 to 164, wherein the first targeting ligand, the second targeting ligand and the third targeting ligand are independently one or more of the targeting ligands of any one of claims 4 to 11. How to be chosen.제141항 내지 제165항 중 어느 한 항에 있어서, 히드록시 기를 제24항 내지 제40항 중 어느 한 항의 링커B를 사용하여 제2 질소에 커플링시키는 것인 방법.166. The method of any one of claims 141-165, wherein the hydroxy group is coupled to the second nitrogen using the linker B of any of claims 24-40.제141항 내지 제166항 중 어느 한 항에 있어서, 포스피틸화 반응을 사용하여 히드록시 기를 포스포르아미다이트 기로 전환시키는 것을 추가로 포함하는 방법.167. The method of any one of claims 141-166, further comprising converting the hydroxy group to a phosphoramidite group using a phosphitylation reaction.제167항에 있어서, 히드록시 기를 포스포르아미다이트 기로 전환시키는 것이 제13 화합물을 제조한 후에 수행되는 것인 방법.168. The method of claim 167, wherein converting the hydroxy group to a phosphoramidite group is performed after preparing the thirteenth compound.대상체에게
(a) 제1항 내지 제90항 중 어느 한 항의 화합물, 여기서 W가 1종 이상의 제약 작용제임, 또는
(b) 제106항 내지 제116항 중 어느 한 항의 조성물
을 투여하는 것을 포함하는, 대상체에게 제약 작용제를 전달하는 방법.
to the object
(a) the compound of any one of claims 1 to 90, wherein W is one or more pharmaceutical agents, or
(b) the composition of any one of claims 106 to 116
A method of delivering a pharmaceutical agent to a subject, comprising administering.
제169항에 있어서, 대상체가 척추동물인 방법.169. The method of claim 169, wherein the subject is a vertebrate.제169항에 있어서, 대상체가 포유동물인 방법.169. The method of claim 169, wherein the subject is a mammal.제169항에 있어서, 포유동물이 인간인 방법.169. The method of claim 169, wherein the mammal is a human.제169항 내지 제172항 중 어느 한 항에 있어서, 화합물이 제약상 허용되는 담체 중에 투여되는 것인 방법.173. The method of any one of claims 169-172, wherein the compound is administered in a pharmaceutically acceptable carrier.대상체에게 제102항 내지 제105항 및 제116항 내지 제119항 중 어느 한 항의 제약 조성물을 투여하는 것을 포함하는, 대상체에게 제약 작용제를 전달하는 방법.A method of delivering a pharmaceutical agent to a subject comprising administering to the subject the pharmaceutical composition of any one of claims 102-105 and 116-119.제174항에 있어서, 대상체가 척추동물인 방법.175. The method of claim 174, wherein the subject is a vertebrate.제174항에 있어서, 대상체가 포유동물이고, 임의로 포유동물이 인간인 방법.175. The method of claim 174, wherein the subject is a mammal, and optionally the mammal is a human.제174항에 있어서, 1종 이상의 제약 작용제가 소형 간섭 RNA (siRNA), 단일 가닥 siRNA, 이중 가닥 siRNA, 소형 활성화 RNA, 마이크로RNA (miRNA), 안티센스 올리고뉴클레오티드, 짧은 가이드 RNA (gRNA), 단일 가이드 RNA (sgRNA), 메신저 RNA (mRNA), 리보자임, 플라스미드, 면역 자극 핵산, 안타고미르 및 압타머 중 적어도 1종을 포함하는 것인 방법.The method of claim 174, wherein the one or more pharmaceutical agents are small interfering RNAs (siRNAs), single-stranded siRNAs, double-stranded siRNAs, small activating RNAs, microRNAs (miRNAs), antisense oligonucleotides, short guide RNAs (gRNAs), single guides. A method comprising at least one of RNA (sgRNA), messenger RNA (mRNA), ribozyme, plasmid, immunostimulatory nucleic acid, antagomir, and aptamer.제177항에 있어서, 이중 가닥 siRNA가 siRNA의 한쪽 또는 양쪽 가닥에 적어도 1종의 변형된 리보뉴클레오티드를 포함하는 것인 방법.178. The method of claim 177, wherein the double-stranded siRNA comprises at least one modified ribonucleotide on one or both strands of the siRNA.제178항에 있어서, 이중 가닥 siRNA의 실질적으로 모든 리보뉴클레오티드가 변형된 것인 방법.179. The method of claim 178, wherein substantially all ribonucleotides of the double-stranded siRNA are modified.제178항에 있어서, 이중 가닥 siRNA의 모든 리보뉴클레오티드가 변형된 것인 방법.179. The method of claim 178, wherein all ribonucleotides of the double-stranded siRNA are modified.제178항 내지 제180항 중 어느 한 항에 있어서, 변형된 리보뉴클레오티드가 2'-O-메틸 뉴클레오티드, 2'-플루오로 뉴클레오티드, 2'-데옥시 뉴클레오티드, 2'3'-세코 뉴클레오티드 모방체, 잠금 뉴클레오티드, 2'-F-아라비노 뉴클레오티드, 2'-메톡시에틸 뉴클레오티드, 무염기성 뉴클레오티드, 리비톨, 역전된 뉴클레오티드, 역전된 무염기성 뉴클레오티드, 역전된 2'-OMe 뉴클레오티드, 역전된 2'데옥시 뉴클레오티드, 2'-아미노-변형된 뉴클레오티드, 2'-알킬-변형된 뉴클레오티드, 모르폴리노 뉴클레오티드, 및 3'-OMe 뉴클레오티드, 5'-포스포로티오에이트 기 포함 뉴클레오티드, 또는 5'-(E)-비닐 포스포네이트 뉴클레오티드 (안티센스 가닥 단독), 또는 콜레스테릴 유도체 또는 도데칸산 비스데실아미드 기에 연결된 말단 뉴클레오티드, 2'-아미노-변형된 뉴클레오티드, 2'-알킬-변형된 뉴클레오티드, 포스포르아미데이트, 또는 비-천연 염기 포함 뉴클레오티드를 포함하는 것인 방법.181. The method of any one of claims 178 to 180, wherein the modified ribonucleotide is a 2'-O-methyl nucleotide, a 2'-fluoro nucleotide, a 2'-deoxy nucleotide, a 2'3'-seco nucleotide mimetic. , locking nucleotide, 2'-F-arabino nucleotide, 2'-methoxyethyl nucleotide, abasic nucleotide, ribitol, inverted nucleotide, inverted abasic nucleotide, inverted 2'-OMe nucleotide, inverted 2' Deoxy nucleotides, 2'-amino-modified nucleotides, 2'-alkyl-modified nucleotides, morpholino nucleotides, and 3'-OMe nucleotides, nucleotides containing a 5'-phosphorothioate group, or 5'-( E) -vinyl phosphonate nucleotides (antisense strand alone), or terminal nucleotides linked to cholesteryl derivatives or dodecanoic acid bisdecylamide groups, 2'-amino-modified nucleotides, 2'-alkyl-modified nucleotides, phospho A method comprising amidate, or a nucleotide containing a non-natural base.제177항 내지 제181항 중 어느 한 항에 있어서, 이중 가닥 siRNA의 적어도 1개의 가닥이 적어도 1개의 포스포로티오에이트 연결을 포함하는 것인 방법.182. The method of any one of claims 177-181, wherein at least one strand of the double-stranded siRNA comprises at least one phosphorothioate linkage.제182항에 있어서, 이중 가닥 siRNA의 적어도 1개의 가닥이 최대 6개의 포스포로티오에이트 연결을 포함하는 것인 방법.183. The method of claim 182, wherein at least one strand of the double-stranded siRNA comprises up to 6 phosphorothioate linkages.제177항 내지 제183항 중 어느 한 항에 있어서, 이중 가닥 siRNA가 적어도 1종의 잠금 핵산을 포함하는 것인 방법.184. The method of any one of claims 177-183, wherein the double-stranded siRNA comprises at least one locked nucleic acid.제177항 내지 제184항 중 어느 한 항에 있어서, 이중 가닥 siRNA가 적어도 1종의 비잠금 핵산을 포함하는 것인 방법.185. The method of any one of claims 177-184, wherein the double-stranded siRNA comprises at least one unlocked nucleic acid.제177항 내지 제185항 중 어느 한 항에 있어서, 이중 가닥 siRNA가 적어도 1종의 글리세롤 핵산을 포함하는 것인 방법.186. The method of any one of claims 177-185, wherein the double-stranded siRNA comprises at least one glycerol nucleic acid.제174항 내지 제186항 중 어느 한 항에 있어서, 제약 조성물이 1종 이상의 치료제를 추가로 포함하는 것인 방법.187. The method of any one of claims 174-186, wherein the pharmaceutical composition further comprises one or more therapeutic agents.제1항에 있어서, n이 1 또는 2인 화합물.The compound according to claim 1, wherein n is 1 or 2.
KR1020247012856A2021-09-232022-09-22 Multivalent Ligand Clusters with Diamine Scaffolds for Targeted Delivery of TherapeuticsPendingKR20240082358A (en)

Applications Claiming Priority (3)

Application NumberPriority DateFiling DateTitle
CN20211197332021-09-23
CNPCT/CN2021/1197332021-09-23
PCT/CN2022/120422WO2023045995A1 (en)2021-09-232022-09-22Multivalent Ligand Clusters with Diamine Scaffold for Targeted Delivery of Therapeutic Agents

Publications (1)

Publication NumberPublication Date
KR20240082358Atrue KR20240082358A (en)2024-06-10

Family

ID=85720085

Family Applications (1)

Application NumberTitlePriority DateFiling Date
KR1020247012856APendingKR20240082358A (en)2021-09-232022-09-22 Multivalent Ligand Clusters with Diamine Scaffolds for Targeted Delivery of Therapeutics

Country Status (10)

CountryLink
EP (1)EP4380624A1 (en)
JP (1)JP2024535374A (en)
KR (1)KR20240082358A (en)
CN (1)CN116916963A (en)
AU (1)AU2022349576A1 (en)
CA (1)CA3228838A1 (en)
IL (1)IL310844A (en)
MX (1)MX2024003477A (en)
TW (1)TW202327658A (en)
WO (1)WO2023045995A1 (en)

Families Citing this family (4)

* Cited by examiner, † Cited by third party
Publication numberPriority datePublication dateAssigneeTitle
WO2025109631A1 (en)*2023-11-232025-05-30Micro Crispr Pvt. Ltd.Synthetic delivery systems and conjugates thereof
WO2025113470A1 (en)*2023-11-272025-06-05Shanghai Argo Biopharmaceutical Co., Ltd.Compositions and methods for inhibiting expression of transthyretin (ttr)
WO2025146138A1 (en)*2024-01-042025-07-10Shanghai Rona Therapeutics Co., Ltd.Ligands for extrahepatic delivery
WO2025168022A1 (en)*2024-02-072025-08-14Shanghai Argo Biopharmaceutical Co., Ltd.Compositions and methods for inhibiting expression of huntingtin (htt)

Family Cites Families (6)

* Cited by examiner, † Cited by third party
Publication numberPriority datePublication dateAssigneeTitle
WO2011038356A2 (en)*2009-09-252011-03-31Johns Hopkins UniversityNovel liver-targeting agents and their synthesis
TWI553017B (en)*2012-12-282016-10-11行政院原子能委員會核能研究所A novel gall bladder imaging agent and its preparation method
BR112015027321A8 (en)*2013-05-012018-01-02Isis Pharmaceuticals Inc COMPOUNDS AND COMPOSITIONS FOR MODULING APOLIPOPROTEIN(A) EXPRESSION AND THEIR USES
US20170304459A1 (en)*2014-10-102017-10-26Alnylam Pharmaceuticals, Inc.Methods and compositions for inhalation delivery of conjugated oligonucleotide
MA45478A (en)*2016-04-112019-02-20Arbutus Biopharma Corp TARGETED NUCLEIC ACID CONJUGATE COMPOSITIONS
WO2020191183A1 (en)*2019-03-212020-09-24Mitotherapeutix LlcMultivalent ligand clusters for targeted delivery of therapeutic agents

Also Published As

Publication numberPublication date
MX2024003477A (en)2024-04-05
TW202327658A (en)2023-07-16
JP2024535374A (en)2024-09-30
WO2023045995A1 (en)2023-03-30
CN116916963A (en)2023-10-20
EP4380624A1 (en)2024-06-12
IL310844A (en)2024-04-01
CA3228838A1 (en)2023-03-30
AU2022349576A1 (en)2024-02-15

Similar Documents

PublicationPublication DateTitle
US20240175018A1 (en)Oligonucleotide compositions and methods of use thereof
US11603532B2 (en)Oligonucleotide compositions and methods of use thereof
KR101849798B1 (en)Single-stranded nucleic acid m olecule for controlling gene expression
CN111164091B (en) Oligonucleotide compositions and methods of use thereof
KR101849801B1 (en)Single-stranded nucleic acid molecule having nitrogen-containing alicyclic skeleton
AU2024278244A1 (en)Defined multi-conjugate oligonucleotides
CN104781271B (en) Polynucleotides with bioreversible groups
US12378555B2 (en)Compound and application thereof
KR20240082358A (en) Multivalent Ligand Clusters with Diamine Scaffolds for Targeted Delivery of Therapeutics
KR20240023631A (en) Novel therapeutic delivery moieties and uses thereof
AU2017312116A1 (en)Polynucleotide constructs
EP3603648B1 (en)Complex of nucleic acid medicine and multibranched lipid
WO2015188197A2 (en)Polynucleotide constructs having bioreversible and non-bioreversible groups
AU2020282453A1 (en)Nucleic acid, pharmaceutical composition and conjugate, preparation method and use
KR20220011689A (en) Nucleic acids, pharmaceutical compositions, conjugates, methods of preparation, and uses
AU2016365828A1 (en)Polynucleotide constructs having an auxiliary moiety non-bioreversibly linked to an internucleoside phosphate or phosphorothioate
KR20220030204A (en) Targeted delivery of therapeutic molecules
CN119768186A (en)Lipid conjugates for delivery of therapeutic agents to CNS tissues
CN119730859A (en)RNAi agents for inhibiting superoxide dismutase 1 (SOD 1) expression, compositions and methods of use thereof
RU2816898C2 (en)Nucleic acid, pharmaceutical composition and conjugate, method of production and use

Legal Events

DateCodeTitleDescription
PA0105International application

St.27 status event code:A-0-1-A10-A15-nap-PA0105

PG1501Laying open of application

St.27 status event code:A-1-1-Q10-Q12-nap-PG1501

E13-X000Pre-grant limitation requested

St.27 status event code:A-2-3-E10-E13-lim-X000

P11-X000Amendment of application requested

St.27 status event code:A-2-2-P10-P11-nap-X000

P13-X000Application amended

St.27 status event code:A-2-2-P10-P13-nap-X000


[8]ページ先頭

©2009-2025 Movatter.jp