







본 명세서에서 개시되는 실시예들은 피사체 굴곡 표시 장치 및 방법에 관한 것으로, 더욱 상세하게는, 복수의 카메라에 의해 촬영된 피사체의 이미지를 기초로 스테레오 비전(stereo-vision)을 이용하여 피사체와 카메라 간의 거리를 계산하고, 계산된 거리 정보에 기초하여 이미지 상의 피사체의 굴곡 정도를 표시할 수 있는 피사체 굴곡 표시 장치 및 방법에 관한 것이다.Embodiments disclosed herein relate to an apparatus and method for displaying object curvature, and more particularly, to provide an interface between a subject and a camera using stereo-vision based on images of a subject photographed by a plurality of cameras. An apparatus and method for displaying object curvature capable of calculating a distance and displaying a degree of curvature of a subject on an image based on the calculated distance information.
스테레오 비전(stereo vision)이란, 스테레오 카메라를 이용하여 획득한 2차원 정보만 있는 2장의 이미지를 가지고 양안 시차의 원리를 이용하여 3차원 거리정보를 계산해 내는 방법이다. 이때, 3차원 거리정보는, 깊이(depth)를 포함할 수 있다. 한편, 스테레오 카메라는 동일한 2대의 카메라를 수평한 높이로 위치시키고, 각각의 렌즈에서 촬영한 이미지를 이용해 깊이 지도(depth map)를 획득하는데 사용된다.Stereo vision is a method of calculating 3D distance information using the principle of binocular parallax with two images having only 2D information acquired using a stereo camera. In this case, the 3D distance information may include depth. On the other hand, the stereo camera is used to position the same two cameras at a horizontal height and obtain a depth map using images captured by respective lenses.
이처럼, 스테레오 비전 방식을 이용하여 2차원 정보만을 포함하는 피사체의 이미지를 가지고, 깊이(depth)를 포함하는 3차원 거리정보를 계산함에 따라, 피사체의 굴곡 정도를 측정할 수 있다.As such, the degree of curvature of the subject can be measured by calculating 3D distance information including depth with an image of the subject including only 2D information using the stereo vision method.
하지만, 상술된 바와 같이 스테레오 비전 방식을 이용하는 경우, 카메라 렌즈의 특성에 따라 특정 거리의 범위 내에서만 측정이 가능하고, 초근접 예를 들어, 20cm 이내에서는 피사체의 굴곡 측정이 불가능하다는 문제점이 있다. 또한, 거리 측정의 정확도가 저하된다는 문제점이 있다.However, in the case of using the stereo vision method as described above, there is a problem in that measurement is possible only within a specific distance range according to the characteristics of the camera lens, and measurement of the curvature of the subject is impossible within a very close range, for example, 20 cm. In addition, there is a problem that accuracy of distance measurement is lowered.
한편, 전술한 배경기술은 발명자가 본 발명의 도출을 위해 보유하고 있었거나, 본 발명의 도출 과정에서 습득한 기술 정보로서, 반드시 본 발명의 출원 전에 일반 공중에게 공개된 공지기술이라 할 수는 없다.On the other hand, the above-mentioned background art is technical information that the inventor possessed for derivation of the present invention or acquired in the process of derivation of the present invention, and cannot necessarily be said to be known art disclosed to the general public prior to filing the present invention. .
본 명세서에서 개시되는 실시예들은, 복수의 카메라에 의해 촬영된 피사체의 이미지를 기초로 스테레오 비전(stereo-vision)을 이용하여 피사체와 카메라 간의 거리를 계산하고, 계산된 거리 정보에 기초하여 이미지 상의 피사체의 굴곡 정도를 표시할 수 있는 피사체 굴곡 표시 장치 및 방법을 제공하는데 그 목적이 있다.Embodiments disclosed herein calculate a distance between a subject and a camera using stereo-vision based on an image of a subject photographed by a plurality of cameras, and calculate a distance between the subject and the image based on the calculated distance information. An object of the present invention is to provide a subject curvature display device and method capable of displaying the degree of curvature of the subject.
본 발명의 다른 목적 및 장점들은 하기의 설명에 의해서 이해될 수 있으며, 일 실시예에 의해 보다 분명하게 알게 될 것이다. 또한, 본 발명의 목적 및 장점들은 특허청구범위에 나타낸 수단 및 그 조합에 의해 실현될 수 있음을 쉽게 알 수 있을 것이다.Other objects and advantages of the present invention may be understood from the following description, and will be more clearly understood by an embodiment. It will also be readily apparent that the objects and advantages of the present invention may be realized by means of the instrumentalities and combinations thereof set forth in the claims.
상술한 기술적 과제를 달성하기 위한 기술적 수단으로서, 피사체 굴곡 표시 장치는, 중첩되는 촬영영역을 형성하는 경우의 수가 복수 개가 되도록 구성된 짝수 대의 카메라를 사용해 피사체를 촬영하여 각각의 이미지를 생성하는 촬영부; 및 상기 생성된 각각의 이미지에서 피사체의 에지를 검출하고, 상기 피사체의 에지가 검출된 이미지를 기준으로 중첩된 촬영영역을 갖는 모든 경우의 수에 따른 카메라를 조합하여 스테레오 비전 방식을 이용해 양안 시차값 및 상기 이미지를 촬영한 카메라로부터 상기 피사체까지의 거리값을 산출하며, 상기 산출된 거리값을 기초로 미리 설정된 기준 이미지를 시각화하는 제어부;를 포함한다.As a technical means for achieving the above-described technical problem, an object curvature display device includes: a photographing unit configured to photograph a subject using an even number of cameras configured to form a plurality of overlapping photographing regions and generate respective images; And detecting the edge of the subject in each of the generated images, and combining cameras according to the number of all cases having overlapping shooting areas based on the image in which the edge of the subject is detected, and using a stereo vision method to obtain a binocular disparity value and a control unit that calculates a distance value from a camera that has taken the image to the subject, and visualizes a preset reference image based on the calculated distance value.
다른 실시예에 따르면, 피사체 굴곡 표시 방법은, 중첩되는 촬영영역을 형성하는 경우의 수가 복수 개가 되도록 구성된 짝수 대의 카메라를 사용해 피사체를 촬영하여 각각의 이미지를 생성하는 단계; 상기 생성된 각각의 이미지에서 피사체의 에지를 검출하는 단계; 상기 피사체의 에지가 검출된 이미지를 기준으로 중첩된 촬영영역을 갖는 모든 경우의 수에 따른 카메라를 조합하여 스테레오 비전 방식을 이용해 양안 시차값 및 상기 이미지를 촬영한 카메라로부터 상기 피사체까지의 거리값을 산출하는 단계; 및 상기 산출된 거리값을 기초로 미리 설정된 기준 이미지를 시각화하는 단계;를 포함한다.According to another embodiment, a method for displaying object curvature includes generating images by photographing a subject using an even number of cameras configured to form a plurality of overlapping capturing areas; detecting an edge of a subject in each of the generated images; Based on the image in which the edge of the subject is detected, cameras according to the number of all cases having overlapping shooting areas are combined, and binocular parallax values and distance values from the camera capturing the image to the subject are obtained using a stereo vision method calculating; and visualizing a preset reference image based on the calculated distance value.
또 다른 실시예에 따르면, 기록매체는, 피사체 굴곡 표시 방법을 수행하는 프로그램이 기록된 컴퓨터 판독 가능한 기록 매체이다. 피사체 굴곡 표시 방법은, 중첩되는 촬영영역을 형성하는 경우의 수가 복수 개가 되도록 구성된 짝수 대의 카메라를 사용해 피사체를 촬영하여 각각의 이미지를 생성하는 단계; 상기 생성된 각각의 이미지에서 피사체의 에지를 검출하는 단계; 상기 피사체의 에지가 검출된 이미지를 기준으로 중첩된 촬영영역을 갖는 모든 경우의 수에 따른 카메라를 조합하여 스테레오 비전 방식을 이용해 양안 시차값 및 상기 이미지를 촬영한 카메라로부터 상기 피사체까지의 거리값을 산출하는 단계; 및 상기 산출된 거리값을 기초로 미리 설정된 기준 이미지를 시각화하는 단계;를 포함한다.According to another embodiment, the recording medium is a computer readable recording medium in which a program for performing a subject curvature display method is recorded. A method of displaying object curvature includes generating respective images by photographing a subject using an even number of cameras configured to form a plurality of overlapping photographing areas; detecting an edge of a subject in each of the generated images; Based on the image in which the edge of the subject is detected, cameras according to the number of all cases having overlapping shooting areas are combined, and binocular parallax values and distance values from the camera capturing the image to the subject are obtained using a stereo vision method calculating; and visualizing a preset reference image based on the calculated distance value.
또 다른 실시예에 따르면, 컴퓨터 프로그램은, 피사체 굴곡 표시 장치에 의해 수행되며, 피사체 굴곡 표시 방법을 수행하기 위해 기록 매체에 저장된 컴퓨터 프로그램이다. 피사체 굴곡 표시 방법은, 중첩되는 촬영영역을 형성하는 경우의 수가 복수 개가 되도록 구성된 짝수 대의 카메라를 사용해 피사체를 촬영하여 각각의 이미지를 생성하는 단계; 상기 생성된 각각의 이미지에서 피사체의 에지를 검출하는 단계; 상기 피사체의 에지가 검출된 이미지를 기준으로 중첩된 촬영영역을 갖는 모든 경우의 수에 따른 카메라를 조합하여 스테레오 비전 방식을 이용해 양안 시차값 및 상기 이미지를 촬영한 카메라로부터 상기 피사체까지의 거리값을 산출하는 단계; 및 상기 산출된 거리값을 기초로 미리 설정된 기준 이미지를 시각화하는 단계;를 포함한다.According to another embodiment, the computer program is a computer program that is executed by the object curvature display device and stored in a recording medium to perform the object curvature display method. A method of displaying object curvature includes generating respective images by photographing a subject using an even number of cameras configured to form a plurality of overlapping photographing areas; detecting an edge of a subject in each of the generated images; Based on the image in which the edge of the subject is detected, cameras according to the number of all cases having overlapping shooting areas are combined, and binocular parallax values and distance values from the camera capturing the image to the subject are obtained using a stereo vision method calculating; and visualizing a preset reference image based on the calculated distance value.
전술한 과제 해결 수단 중 어느 하나에 의하면, 피사체를 촬영하는 촬영부를 광각을 갖는 다수 개의 광학 카메라로 배열하여 구성함에 따라 20cm 이내의 근접 거리 내에서도 피사체를 촬영할 수 있는 효과가 있다.According to any one of the above-described problem solving means, as the photographing unit for photographing the subject is configured by arranging a plurality of wide-angle optical cameras, there is an effect of photographing the subject even within a close distance of 20 cm or less.
또한, 전술한 과제 해결 수단 중 어느 하나에 의하면, 카메라와 피사체 간의 거리를 측정함에 있어서, 멀티 비전 방식을 적용함에 따라 거리 측정의 정확도를 향상시킬 수 있는 효과가 있다.In addition, according to any one of the above-described problem solving means, in measuring the distance between the camera and the subject, there is an effect of improving the accuracy of the distance measurement by applying the multi-vision method.
개시되는 실시예들에서 얻을 수 있는 효과는 이상에서 언급한 효과들로 제한되지 않으며, 언급하지 않은 또 다른 효과들은 아래의 기재로부터 개시되는 실시예들이 속하는 기술분야에서 통상의 지식을 가진 자에게 명확하게 이해될 수 있을 것이다.Effects obtainable from the disclosed embodiments are not limited to those mentioned above, and other effects not mentioned are clear to those skilled in the art from the description below to which the disclosed embodiments belong. will be understandable.
이하, 첨부되는 도면들은 본 명세서에 개시되는 바람직한 실시예를 예시하는 것이며, 발명을 실시하기 위한 구체적인 내용들과 함께 본 명세서에 개시되는 기술사상을 더욱 이해시키는 역할을 하는 것이므로, 본 명세서에 개시되는 내용은 그러한 도면에 기재된 사항에만 한정되어 해석되어서는 아니 된다.
도 1은 일 실시예에 따른 피사체 굴곡 표시 장치의 기능 블록도이다.
도 2내지 도 6은 일 실시예에 따른 피사체 굴곡 표시 장치를 설명하기 위한 예시도이다.
도 7은 일 실시예에 따른 피사체 굴곡 표시 방법의 순서도이다.
도 8은 일 실시예에 따른 피사체 굴곡 표시 방법을 설명하기 위한 예시도이다.Hereinafter, the accompanying drawings illustrate preferred embodiments disclosed in this specification, and serve to further understand the technical idea disclosed in this specification together with specific details for carrying out the invention. The contents should not be construed as limited only to the matters described in such drawings.
1 is a functional block diagram of a subject curvature display device according to an exemplary embodiment.
2 to 6 are exemplary diagrams for explaining a subject curvature display device according to an exemplary embodiment.
7 is a flowchart of a method of displaying a subject curvature according to an exemplary embodiment.
8 is an exemplary diagram for explaining a method of displaying a curvature of a subject according to an exemplary embodiment.
아래에서는 첨부한 도면을 참조하여 다양한 실시예들을 상세히 설명한다. 아래에서 설명되는 실시예들은 여러 가지 상이한 형태로 변형되어 실시될 수도 있다. 실시예들의 특징을 보다 명확히 설명하기 위하여, 이하의 실시예들이 속하는 기술분야에서 통상의 지식을 가진 자에게 널리 알려져 있는 사항들에 관해서 자세한 설명은 생략하였다. 그리고, 도면에서 실시예들의 설명과 관계없는 부분은 생략하였으며, 명세서 전체를 통하여 유사한 부분에 대해서는 유사한 도면 부호를 붙였다.Hereinafter, various embodiments will be described in detail with reference to the accompanying drawings. Embodiments described below may be modified and implemented in various different forms. In order to more clearly describe the characteristics of the embodiments, detailed descriptions of matters widely known to those skilled in the art to which the following embodiments belong are omitted. And, in the drawings, parts irrelevant to the description of the embodiments are omitted, and similar reference numerals are attached to similar parts throughout the specification.
명세서 전체에서, 어떤 구성이 다른 구성과 "연결"되어 있다고 할 때, 이는 '직접적으로 연결'되어 있는 경우뿐 아니라, '그 중간에 다른 구성을 사이에 두고 연결'되어 있는 경우도 포함한다. 또한, 어떤 구성이 어떤 구성을 "포함"한다고 할 때, 이는 특별히 반대되는 기재가 없는 한, 그 외 다른 구성을 제외하는 것이 아니라 다른 구성들을 더 포함할 수도 있음을 의미한다.Throughout the specification, when a component is said to be “connected” to another component, this includes not only the case of being “directly connected” but also the case of being “connected with another component intervening therebetween”. In addition, when a certain component "includes" a certain component, this means that other components may be further included without excluding other components unless otherwise specified.
이하 첨부된 도면을 참고하여 실시예들을 상세히 설명하기로 한다.Hereinafter, embodiments will be described in detail with reference to the accompanying drawings.
다만, 이를 설명하기에 앞서, 아래에서 사용되는 용어들의 의미를 먼저 정의한다.However, prior to explaining this, the meanings of the terms used below are first defined.
스테레오 비전(stereo vision)은, 수평한 높이로 위치시킨 2대의 스테레오 카메라를 이용하여 획득한 2차원 정보만 있는 2장의 이미지를 가지고, 양안 시차의 원리를 이용하여 3차원 거리정보를 계산해 내는 방법이다. 이때, 3차원 거리정보는, 깊이(depth)를 포함할 수 있다.Stereo vision is a method of calculating 3D distance information using the principle of binocular parallax with two images containing only 2D information acquired using two stereo cameras positioned at a horizontal height. . In this case, the 3D distance information may include depth.
상술한 용어들 이외에 설명이 필요한 용어는 아래에서 각각 따로 설명하기로 한다.In addition to the above-mentioned terms, terms that require explanation will be separately explained below.
도 1은 일 실시예에 따른 피사체 굴곡 표시 장치의 기능 블록도, 도 2내지 도 6은 일 실시예에 따른 피사체 굴곡 표시 장치를 설명하기 위한 예시도이다.1 is a functional block diagram of a subject curvature display device according to an exemplary embodiment, and FIGS. 2 to 6 are exemplary diagrams for explaining a subject curvature display device according to an exemplary embodiment.
도 2를 참조하면, 본 실시예에 따른 피사체 굴곡 표시 장치는 촬영부(110), 통신부(120), 저장부(130) 및 제어부(140)를 포함한다.Referring to FIG. 2 , the subject curvature display device according to the present embodiment includes a photographing
촬영부(110)는 피사체를 촬영하여 이미지를 생성한다. 도 2 내지 도 3을 참조하면, 촬영부(110)는 복수 개의 카메라 및 포트를 포함할 수 있다. 이때, 카메라는 광각을 갖는 광학 카메라일 수 있으며, 멀티 비전(multi-vision) 배열로 구성될 수 있다. 일 실시예에 따른 광학 카메라는 110도의 화각을 가질 수 있다. 하지만, 광학 카메라가 갖는 화각의 각도는 상술된 수치에 한정되는 것은 아니다. 한편, 도 3의 (a) 및 (b)에 도시된 바와 같이, 카메라는 이미지 센서, 렌즈 홀더 및 렌즈를 포함할 수 있다. 이때, 카메라는 이미지 센서의 수직 및 수평축을 일치시키기 위해 각 카메라의 이미지 센서를 동일 인쇄회로기판에 실장한 후, 렌즈 홀더와 렌즈를 조립하여 완성할 수 있다. 일 실시예에 따르면, 4개의 이미지 센서가 동일한 간격으로 배치되는 것으로 설명하지만 이에 한하지 않는다. 또한, 포트는 다른 컴퓨팅 장치와 USB 방식으로 연결되어, 카메라에 의해 촬영된 이미지를 전송할 수도 있다. 한편, 상술된 이미지 센서들은 2개의 이미지 센서가 1개의 포트 허브를 사용하도록 구성됨에 따라, 2개의 USB 케이블을 사용하여 연결될 수 있다.The photographing
보다 자세하게, 일 실시예에 따른 촬영부(110)는, 중첩되는 촬영영역을 형성하는 경우의 수가 복수 개가 되도록 구성된 짝수 대의 카메라를 사용해 피사체를 촬영하여 각각의 이미지를 생성할 수 있다. 도 4를 참조하면, 촬영부(110)가 4개의 카메라로 구성된 경우의 중첩된 촬영영역(410 내지 440)을 확인할 수 있다. 즉, 일 실시예에 따른 촬영부(110)는 4개의 카메라가 도 2에 도시된 바와 같이 배치된 경우, 도 4에 도시된 바와 같은 중첩된 촬영영역을 가질 수 있다. 이때, 빨간색의 점선을 갖는 제 1 바운드 영역(410)은 제 1 카메라에 의해 촬영되는 촬영 범위, 파란색의 점선을 갖는 제 2 바운드 영역(420)은 제 2 카메라에 의해 촬영되는 촬영 범위, 초록색의 점선을 갖는 제 3 바운드 영역(430)은 제 3 카메라에 의해 촬영되는 촬영 범위 그리고, 보라색의 점선을 갖는 제 4 바운드 영역(440)은 제 4 카메라에 의해 촬영되는 촬영 범위를 의미할 수 있다. 한편, 각 바운드 영역이 갖는 한 변의 길이는 카메라에 의해 촬영된 이미지의 거리()를 나타내며, 이때의 거리 정보는 2차원 정보만을 포함할 수 있다. 또한, 각 바운드 영역에 의해 촬영영역이 중첩됨에 따라 형성된 공통의 한 변의 길이는, 중첩되는 촬영영역을 갖는 두 개의 카메라에 의해 촬영된 이미지의 중첩영역의 거리()를 의미할 수 있다. 한편, 도 4를 참조하면, 중첩된 촬영영역은 제 1 바운드 영역과 제 2 바운드 영역, 제 1 바운드 영역과 제 3 바운드 영역, 제 1 바운드 영역과 제 4 바운드 영역, 제 2 바운드 영역과 제 4 바운드 영역, 제 2 바운드 영역과 제 3 바운드 영역 그리고, 제 3 바운드 영역과 제 4 바운드 영역에 의해 형성됨에 따라, 촬영영역이 중첩되는 경우의 수는 총 6개가 될 수 있다. 또한, 도 5에 도시된 바와 같이, 2개의 카메라(X, Y)에 의해 중첩되는 촬영영역이 존재하는 경우, 아래의 수학식 1에 의해 카메라에 의해 촬영된 이미지의 거리() 및 중첩되는 촬영영역을 갖는 두 개의 카메라에 의해 촬영된 이미지의 중첩영역의 거리()가 계산될 수 있다.In more detail, the photographing
[수학식 1][Equation 1]
여기서,는 카메라의 렌즈 사이의 거리,는 카메라 렌즈의 화각,는 카메라 렌즈와 피사체와의 촬영거리,는 두 개의 카메라에 의해 촬영된 이미지의 중첩영역의 거리,는 카메라에 의해 촬영된 이미지의 거리일 수 있다.here, is the distance between the lenses of the camera, is the angle of view of the camera lens, is the shooting distance between the camera lens and the subject, is the distance of the overlapping area of the images taken by the two cameras, may be the distance of the image captured by the camera.
이에 따라, 중첩영역을 갖는 2개의 카메라를 이용하여 획득한 2차원 정보만 있는 2장의 이미지를 가지고, 양안 시차의 원리를 이용하여 3차원 거리정보를 계산할 수 있다. 다시 말해, 중첩영역을 갖는 2대의 카메라가 존재하면, 스테레오 비전을 적용하여 3차원 거리정보를 계산할 수 있다. 한편, 일 실시예에 따르면 촬영부(110)의 카메라가 4개인 것으로 설명하지만 이에 한하지 않으며, 중첩되는 촬영영역을 형성하는 경우의 수가 복수 개가 되면 관계없다. 다시 말해, 촬영부(110)에 포함되는 카메라의 수를 복수 개이되 그 수를 짝수로 설정하는 이유는, 2대의 카메라로 구성하는 경우에는 1개의 중첩되는 촬영영역만을 가짐에 따라 종래의 문제점인 거리 측정의 정확도가 저하된다는 문제점이 있다. 이에 따라, 촬영부(110)에 포함되는 카메라의 수를 짝수로 설정하되 4개 이상이 되도록 설정하여, 중첩되는 촬영영역을 갖는 모든 경우의 수에 따라 카메라를 조합하여 스테레오 비전 방식을 이용해 거리를 산출하고, 산출된 거리의 평균값을 최종적인 이미지를 촬영한 카메라로부터 피사체까지의 거리값으로 적용하여 깊이(depth) 정보를 계산함으로써, 거리 측정의 정확도를 보다 향상시켜 피사체의 굴곡을 보다 확실하게 표현할 수 있다. 한편, 이미지를 촬영한 카메라로부터 피사체까지의 거리값을 산출하고, 산출된 거리값에 기초하여 이미지에 포함된 피사체의 굴곡을 표시하는 보다 구체적인 설명은 하기의 제어부(140)를 통해 보다 상세히 설명하기로 한다.Accordingly, 3D distance information can be calculated using the principle of binocular parallax with two images having only 2D information acquired using two cameras having overlapping areas. In other words, if there are two cameras having an overlapping area, 3D distance information can be calculated by applying stereo vision. On the other hand, according to an embodiment, it is described that the number of cameras of the photographing
통신부(120)는 다른 디바이스(장치) 및/또는 네트워크와 유무선 통신을 수행할 수 있다. 이를 위해, 통신부(120)는 다양한 유무선 통신 방법 중 적어도 하나를 지원하는 통신 모듈을 포함할 수 있다. 예컨대, 통신 모듈은 칩셋(chipset)의 형태로 구현될 수 있다.The
한편, 통신부(120)가 지원하는 무선 통신은, 예를 들어 Wi-Fi(Wireless Fidelity), Wi-Fi Direct, 블루투스(Bluetooth), 저전력블루투스(BLE; Bluetooth Low Energy), UWB(Ultra Wide Band), NFC(Near Field Communication), LTE, LTE-Advanced 등의 무선 이동통신 등일 수 있다. 또한, 통신부(120)가 지원하는 유선 통신은, 예를 들어 USB 또는 HDMI(High Definition Multimedia Interface) 등일 수 있다.Meanwhile, wireless communication supported by the
저장부(130)는 파일, 어플리케이션 및 프로그램 등과 같은 다양한 종류의 데이터를 설치 및 저장할 수 있으며, RAM, HDD 및 SSD 등과 같이 다양한 종류의 메모리 중 적어도 하나를 포함하도록 구성될 수 있다. 후술하는 제어부(140)는 저장부(130)에 저장된 데이터에 접근하여 이를 이용하거나, 또는 새로운 데이터를 저장부(130)에 저장할 수도 있다. 또한, 제어부(140)는 저장부(130)에 설치된 프로그램을 실행할 수도 있다. 한편, 저장부(130)에는 촬영부(110)에 의해 촬영된 피사체의 이미지를 저장할 수도 있으며, 일 실시예에 따른 피사체 굴곡 표시 방법을 수행하기 위한 프로그램이 설치될 수 있다. 또한, 저장부(130)는 피사체를 촬영한 이미지 내의 다양한 정보들, 예컨대, 이미지에서 특징점의 좌표 정보 등을 저장할 수 있다. 이때, 상술한 특징점의 좌표 정보는 피사체의 에지의 좌표 정보일 수 있다. 한편, 저장부(130)는 후술하는 양안 시차값 및 카메라로부터 피사체까지의 거리값을 산출하기 위해 필요한 다양한 정보들 예컨대, 이미지에 포함된 피사체 관련 좌표 정보 및 초점거리 카메라 센서 사이의 거리 등 카메라 관련 정보 등을 저장할 수 있다.The
제어부(140)는 CPU, GPU 등과 같은 적어도 하나의 프로세서를 포함하는 구성으로, 피사체 굴곡 표시 장치(100)의 전체적인 동작을 제어할 수 있다. 즉, 제어부(140)는 프레임 피사체 굴곡 표시를 위한 동작을 수행하도록 피사체 굴곡 표시 장치(100)에 포함된 다른 구성들을 제어할 수 있다. 또한, 제어부(140)는 저장부(130)에 저장된 프로그램을 실행하거나, 저장부(130)에 저장된 파일을 읽어오거나 또는 새로운 파일을 저장부(130)에 저장할 수도 있다.The
제어부(140)는 촬영부(110)에 포함된 각각의 카메라가 생성한 이미지에서 피사체의 에지를 검출한다. 즉, 제어부(140)는 이미지 프로세싱을 통해 이미지에 포함된 피사체의 에지를 검출할 수 있다. 보다 자세하게, 제어부(140)는 각각의 카메라가 생성한 이미지의 픽셀에 있어서의 변화값에 기초하여 피사체 영역의 윤곽을 감지하여 이미지에 포함된 피사체의 에지를 검출할 수 있다.The
제어부(140)는 피사체의 에지가 검출된 이미지를 기준으로 중첩된 촬영영역을 갖는 모든 경우의 수에 따른 카메라를 조합하여 스테레오 비전 방식을 이용해 양안 시차값을 산출한다. 또한, 제어부(140)는 산출된 양안 시차값을 기초로 이미지를 촬영한 카메라로부터 피사체까지의 거리값을 산출한다. 보다 자세하게, 제어부(140)는 산출된 양안 시차값을 기초로 이미지를 촬영한 카메라로부터 피사체까지의 거리값을 산출하되, 산출된 거리값을 상기 조합 가능한 경우의 수로 나눈 평균값을 상기 카메라로부터 상기 피사체까지의 거리값으로 산출할 수 있다. 예를 들어, 도 6의 (a)와 같이 4대의 카메라(610 내지 640)가 촬영부(110)에 포함되어 구성된 경우, 두 개의 카메라를 조합하여 스테레오 비전 방식을 이용해 양안 시차값 및 이미지를 촬영한 카메라로부터 피사체까지의 거리값을 산출할 수 있다. 여기서, 양안 시차값 및 이미지를 촬영한 카메라로부터 피사체까지의 거리값은, 상술된 바에 따르면 중첩된 촬영영역을 갖는 경우의 수가 총 6가지이므로, 각각의 경우에 따라 스테레오 비전 방식을 적용해 양안 시차값 및 이미지를 촬영한 카메라로부터 피사체까지의 거리값을 산출할 수 있다. 한편, 산출된 거리값은, 모든 경우의 수에 따라 산출된 거리값을 더하여 조합 가능한 수로 나눈 평균값을 카메라로부터 피사체까지의 거리값으로 산출할 수 있다. 이에 따르면, 거리 측정의 정확도를 보다 향상시킬 수 있다. 이때, 도 6의 (a)와 같이 두 카메라 간의 거리(b12, b13, b24, b34)는 모두 동일한 것으로 설명하지만 이에 한하지 않으며, 그 거리가 동일하지 않아도 관계없다. 한편, 두 개의 카메라를 조합하여 스테레오 비전 방식을 이용해 양안 시차값 및 이미지를 촬영한 카메라로부터 피사체까지의 거리값은 아래의 수학식 2에 의해 계산될 수 있다.The
[수학식 2][Equation 2]
여기서,는 특징점의 3차원 좌표,는 카메라와 특징점과의 거리,는 카메라 i로 촬영된 이미지에서 특징점의 (x,y)좌표,는 카메라 j로 촬영된 이미지에서 특징점의 (x,y)좌표,는 두 개의 카메라 렌즈 사이의 중심으로부터 특징점까지의 (x,y) 좌표 거리,는 초점 거리(이미지 센서와 카메라 렌즈 사이의 거리),는 두 개의 카메라의 이미지 센서 사이의 거리 그리고,는 이미지에서 특징점이 검출되었을 때 각각의 두 좌표 사이의 거리를 의미할 수 있다. 즉,는 양안 시차값을 의미할 수 있다. 한편, 상술된 특징점은 피사체의 에지를 의미할 수 있다. 따라서, 일 실시예에 따르면, 특징점의 좌표는 피사체의 에지의 좌표를 의미할 수 있다.here, is the 3-dimensional coordinate of the feature point, is the distance between the camera and the feature point, is a feature point in an image captured by camera i (x,y) coordinates of is a feature point in the image captured by camera j (x,y) coordinates of is a feature point from the center between the two camera lenses (x,y) coordinate distance to, is the focal length (the distance between the image sensor and the camera lens), is the distance between the image sensors of the two cameras, and may mean a distance between two respective coordinates when a feature point is detected in an image. in other words, may mean a binocular parallax value. Meanwhile, the above-described feature point may mean an edge of a subject. Accordingly, according to an embodiment, the coordinates of the feature point may mean the coordinates of the edge of the subject.
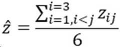
한편, 제어부(140)는 상술된 바와 같이 촬영부(110)가 4개의 카메라로 멀티 비전 배열로 구성됨에 따라, 6가지로 조합 가능한 경우의 수가 발생되어 각각의 조합 가능 경우에 대해, 스테레오 비전 방식을 활용해 거리값을 계산할 수 있다. 이때, 제어부(140)는 6개의 거리값의 평균값을 아래의 수학식 3에 따라 계산할 수 있으며, 수학식 3에 따라 계산된 값을 카메라의 렌즈로부터 특징점 즉, 피사체의 에지까지의 거리값으로 사용할 수 있다.On the other hand, as described above, as the photographing
[수학식 3][Equation 3]
여기서, i 및 j는 스테레오 비전 방식을 적용할 각각의 카메라이고,는 평균된 거리값이다.Here, i and j are respective cameras to which the stereo vision method is applied, is the averaged distance value.
제어부(140)는 산출된 거리값을 기초로 미리 설정된 기준 이미지를 시각화할 수 있다. 보다 구체적으로, 제어부(140)는 생성된 다수의 이미지 중 어느 하나의 이미지를 기준 이미지로 설정하고, 설정된 기준 이미지의 에지 픽셀마다 산출된 거리값에 기초하여 거리 정보를 갖는 거리정보행렬을 구성한다. 이때, 거리정보는 깊이(depth) 정보를 의미할 수 있다. 한편, 거리정보행렬은 아래의 수학식 4와 같이 구성될 수 있다.The
[수학식 4][Equation 4]
한편, 제어부(140)는 기준 이미지의 에지 픽셀의 색상을 거리정보행렬의 최소값과 최대값을 기준으로 256 단위의 색상값을 가지도록 표준화할 수 있다. 이때, 기준 이미지의 에지 픽셀의 색상은 아래의 수학식 5에 따라 산출할 수 있다.Meanwhile, the
[수학식 5][Equation 5]
,,
여기서, 기준 이미지의 에지 픽셀이 갖는 최소값은 0일 수 있으며, 최대값은 255일 수 있다.Here, the minimum value of the edge pixel of the reference image may be 0 and the maximum value may be 255.
제어부(140)는 표준화된 색상값을 기준 이미지의 에지 픽셀에 적용하여 표시함으로써 시각화함으로써, 이미지 내의 피사체가 깊이(depth) 정보를 갖는 깊이 지도(depth map)를 형성할 수 있다. 이에 따르면, 이미지의 피사체는 굴곡을 갖도록 표시될 수 있다. 이처럼, 상술된 바에 따라 시각화된 기준 이미지는, 깊이 지도(depth map)를 형성함에 따라 피사체의 굴곡 정도를 확인할 수 있다. 한편, 이미지의 각 에지 픽셀마다 거리정보를 가지고 있으므로, 피사체의 굴곡에 대한 수치적 계산이 가능할 수 있다.The
한편, 피사체 굴곡 표시 장치(100)는, 입출력부(미도시)를 더 포함할 수 있다.Meanwhile, the subject
입출력부는 사용자로부터 입력을 수신하기 위한 입력부와 작업의 수행결과 또는 피사체 굴곡 표시 장치(100)의 상태 등의 정보를 표시하기 위한 출력부를 포함할 수 있다. 예를 들어, 입출력부(110)는 사용자 입력을 수신하는 조작 패널(operation panel) 및 화면을 표시하는 디스플레이 패널(display panel) 등을 포함할 수 있다.The input/output unit may include an input unit for receiving an input from a user and an output unit for displaying information such as a result of performing a task or a state of the subject
구체적으로 입력부는 키보드, 물리 버튼, 터치 스크린, 카메라 또는 마이크 등과 같이 다양한 형태의 입력을 수신할 수 있는 장치들을 포함할 수 있다. 또한, 출력부는 디스플레이 패널 또는 스피커 등을 포함할 수 있다. 다만, 이에 한정되지 않고 입출력부(110)는 다양한 입출력을 지원하는 구성을 포함할 수 있다.Specifically, the input unit may include devices capable of receiving various types of inputs, such as a keyboard, a physical button, a touch screen, a camera, or a microphone. Also, the output unit may include a display panel or a speaker. However, the input/
도 7은 일 실시예에 따른 피사체 굴곡 표시 방법의 순서도, 도 8은 일 실시예에 따른 피사체 굴곡 표시 방법을 설명하기 위한 예시도이다.7 is a flowchart of a method for displaying object curvature according to an exemplary embodiment, and FIG. 8 is an exemplary view illustrating a method for displaying object curvature according to an exemplary embodiment.
도 7에 도시된 실시예에 따른 피사체 굴곡 표시 방법은 도 1 내지 도 6에 도시된 피사체 굴곡 표시 장치(100)에서 시계열적으로 처리되는 단계들을 포함한다. 따라서, 이하에서 생략된 내용이라고 하더라도, 도 1 내지 도 6에 도시된 피사체 굴곡 표시 장치(100)에 관하여 이상에서 기술한 내용은 도 7에 도시된 실시예에 따른 피사체 굴곡 표시 방법에도 적용될 수 있다.The object curvature display method according to the embodiment shown in FIG. 7 includes steps processed time-sequentially in the object
도 7에 도시된 바와 같이, 본 실시예에 따른 피사체 굴곡 표시 장치(100)는 중첩되는 촬영영역을 형성하는 경우의 수가 복수 개가 되도록 구성된 짝수 대의 카메라를 사용해 피사체를 촬영하여 각각의 이미지를 생성한다(S710). 일 실시예에 따르면, 피사체 굴곡 표시 장치(100)는 4개의 카메라로 구성됨에 따라 도 8에 도시된 바와 같이 모두 4개의 이미지(810)를 생성할 수 있다.As shown in FIG. 7 , the subject
피사체 굴곡 표시 장치(100)는 S710 단계에서 생성된 각각의 이미지에서 피사체의 에지를 검출한다(S720). 피사체 굴곡 표시 장치(100)는 이미지 프로세싱을 통해 이미지에 포함된 피사체의 에지를 검출할 수 있다. 보다 자세하게, 도 8에 도시된 바와 같이, 피사체 굴곡 표시 장치(100)는 각각의 카메라가 생성한 이미지의 픽셀에 있어서의 변화값에 기초하여 피사체 영역의 윤곽을 감지하여 이미지에 포함된 피사체의 에지(820)를 검출할 수 있다.The subject
피사체 굴곡 표시 장치(100)는 S720 단계에서 피사체의 에지가 검출된 이미지를 기준으로 중첩된 촬영영역을 갖는 모든 경우의 수에 따른 카메라를 조합하여 스테레오 비전 방식을 이용해 양안 시차값 및 상기 이미지를 촬영한 카메라로부터 상기 피사체까지의 거리값을 산출한다(S730). 피사체 굴곡 표시 장치(100)는 피사체의 에지가 검출된 이미지를 기준으로 중첩된 촬영영역을 갖는 모든 경우의 수에 따른 카메라를 조합하여 스테레오 비전 방식을 이용해 양안 시차값을 산출하고, 산출된 양안 시차값을 기초로 이미지를 촬영한 카메라로부터 피사체까지의 거리값을 산출한다. 보다 자세하게, 피사체 굴곡 표시 장치(100)는 산출된 양안 시차값을 기초로 이미지를 촬영한 카메라로부터 피사체까지의 거리값을 산출하되, 산출된 거리값을 상기 조합 가능한 경우의 수로 나눈 평균값을 상기 카메라로부터 상기 피사체까지의 거리값으로 산출할 수 있다.The subject
피사체 굴곡 표시 장치(100)는 S730 단계에서 산출된 거리값을 기초로 미리 설정된 기준 이미지를 시각화한다(S740). 피사체 굴곡 표시 장치(100)는 생성된 다수의 이미지 중 어느 하나의 이미지를 기준 이미지로 설정하고, 설정된 기준 이미지의 에지 픽셀마다 산출된 거리값에 기초하여 거리 정보를 갖는 거리정보행렬을 구성한다. 이때, 거리정보는 깊이(depth) 정보를 의미할 수 있다. 한편, 피사체 굴곡 표시 장치(100)는 기준 이미지의 에지 픽셀의 색상을 거리정보행렬의 최소값과 최대값을 기준으로 256 단위의 색상값을 가지도록 표준화하고, 표준화된 색상값을 기준 이미지의 에지 픽셀에 적용하여 표시함으로써, 도 8에 도시된 바와 같이 이미지 내의 피사체가 깊이(depth) 정보를 갖는 깊이 지도(depth map)(830)를 형성할 수 있다. 이에 따르면, 이미지의 피사체는 굴곡을 갖도록 표시될 수 있다.The object
이상의 실시예들에서 사용되는 '~부'라는 용어는 소프트웨어 또는 FPGA(field programmable gate array) 또는 ASIC 와 같은 하드웨어 구성요소를 의미하며, '~부'는 어떤 역할들을 수행한다. 그렇지만 '~부'는 소프트웨어 또는 하드웨어에 한정되는 의미는 아니다. '~부'는 어드레싱할 수 있는 저장 매체에 있도록 구성될 수도 있고 하나 또는 그 이상의 프로세서들을 재생시키도록 구성될 수도 있다. 따라서, 일 예로서 '~부'는 소프트웨어 구성요소들, 객체지향 소프트웨어 구성요소들, 클래스 구성요소들 및 태스크 구성요소들과 같은 구성요소들과, 프로세스들, 함수들, 속성들, 프로시저들, 서브루틴들, 프로그램특허 코드의 세그먼트들, 드라이버들, 펌웨어, 마이크로코드, 회로, 데이터, 데이터베이스, 데이터 구조들, 테이블들, 어레이들 및 변수들을 포함한다.The term '~unit' used in the above embodiments means software or a hardware component such as a field programmable gate array (FPGA) or ASIC, and '~unit' performs certain roles. However, '~ part' is not limited to software or hardware. '~bu' may be configured to be in an addressable storage medium and may be configured to reproduce one or more processors. Therefore, as an example, '~unit' refers to components such as software components, object-oriented software components, class components, and task components, processes, functions, properties, and procedures. , subroutines, segments of program patent code, drivers, firmware, microcode, circuitry, data, databases, data structures, tables, arrays and variables.
구성요소들과 '~부'들 안에서 제공되는 기능은 더 작은 수의 구성요소들 및 '~부'들로 결합되거나 추가적인 구성요소들과 '~부'들로부터 분리될 수 있다.Functions provided within components and '~units' may be combined into smaller numbers of components and '~units' or separated from additional components and '~units'.
뿐만 아니라, 구성요소들 및 '~부'들은 디바이스 또는 보안 멀티미디어카드 내의 하나 또는 그 이상의 CPU 들을 재생시키도록 구현될 수도 있다.In addition, components and '~units' may be implemented to play one or more CPUs in a device or a secure multimedia card.
한편, 본 명세서를 통해 설명된 일실시예에 따른 피사체 굴곡 표시 방법은 컴퓨터에 의해 실행 가능한 명령어 및 데이터를 저장하는, 컴퓨터로 판독 가능한 매체의 형태로도 구현될 수 있다. 이때, 명령어 및 데이터는 프로그램 코드의 형태로 저장될 수 있으며, 프로세서에 의해 실행되었을 때, 소정의 프로그램 모듈을 생성하여 소정의 동작을 수행할 수 있다. 또한, 컴퓨터로 판독 가능한 매체는 컴퓨터에 의해 액세스될 수 있는 임의의 가용 매체일 수 있고, 휘발성 및 비휘발성 매체, 분리형 및 비분리형 매체를 모두 포함한다. 또한, 컴퓨터로 판독 가능한 매체는 컴퓨터 기록 매체일 수 있는데, 컴퓨터 기록 매체는 컴퓨터 판독 가능 명령어, 데이터 구조, 프로그램 모듈 또는 기타 데이터와 같은 정보의 저장을 위한 임의의 방법 또는 기술로 구현된 휘발성 및 비휘발성, 분리형 및 비분리형 매체를 모두 포함할 수 있다. 예를 들어, 컴퓨터 기록 매체는 HDD 및 SSD 등과 같은 마그네틱 저장 매체, CD, DVD 및 블루레이 디스크 등과 같은 광학적 기록 매체, 또는 네트워크를 통해 접근 가능한 서버에 포함되는 메모리일 수 있다.Meanwhile, the subject curvature display method according to an embodiment described in this specification may be implemented in the form of a computer-readable medium storing instructions and data executable by a computer. In this case, instructions and data may be stored in the form of program codes, and when executed by a processor, a predetermined program module may be generated to perform a predetermined operation. Also, computer-readable media can be any available media that can be accessed by a computer and includes both volatile and nonvolatile media, removable and non-removable media. Also, a computer-readable medium may be a computer recording medium, which is a volatile and non-volatile memory implemented in any method or technology for storage of information such as computer-readable instructions, data structures, program modules, or other data. It can include both volatile, removable and non-removable media. For example, the computer recording medium may be a magnetic storage medium such as HDD and SSD, an optical recording medium such as CD, DVD, and Blu-ray disc, or a memory included in a server accessible through a network.
또한, 본 명세서를 통해 설명된 일실시예에 따른 피사체 굴곡 표시 방법은 컴퓨터에 의해 실행 가능한 명령어를 포함하는 컴퓨터 프로그램(또는 컴퓨터 프로그램 제품)으로 구현될 수도 있다. 컴퓨터 프로그램은 프로세서에 의해 처리되는 프로그래밍 가능한 기계 명령어를 포함하고, 고레벨 프로그래밍 언어(High-level Programming Language), 객체 지향 프로그래밍 언어(Object-oriented Programming Language), 어셈블리 언어 또는 기계 언어 등으로 구현될 수 있다. 또한 컴퓨터 프로그램은 유형의 컴퓨터 판독가능 기록매체(예를 들어, 메모리, 하드디스크, 자기/광학 매체 또는 SSD(Solid-State Drive) 등)에 기록될 수 있다.In addition, the subject curvature display method according to an embodiment described through this specification may be implemented as a computer program (or computer program product) including instructions executable by a computer. A computer program includes programmable machine instructions processed by a processor and may be implemented in a high-level programming language, object-oriented programming language, assembly language, or machine language. . Also, the computer program may be recorded on a tangible computer-readable recording medium (eg, a memory, a hard disk, a magnetic/optical medium, or a solid-state drive (SSD)).
따라서, 본 명세서를 통해 설명된 일실시예에 따른 피사체 굴곡 표시 방법은 상술한 바와 같은 컴퓨터 프로그램이 컴퓨팅 장치에 의해 실행됨으로써 구현될 수 있다. 컴퓨팅 장치는 프로세서와, 메모리와, 저장 장치와, 메모리 및 고속 확장포트에 접속하고 있는 고속 인터페이스와, 저속 버스와 저장 장치에 접속하고 있는 저속 인터페이스 중 적어도 일부를 포함할 수 있다. 이러한 성분들 각각은 다양한 버스를 이용하여 서로 접속되어 있으며, 공통 마더보드에 탑재되거나 다른 적절한 방식으로 장착될 수 있다.Accordingly, the subject curvature display method according to an embodiment described in this specification may be implemented by executing the computer program as described above by a computing device. A computing device may include at least some of a processor, a memory, a storage device, a high-speed interface connected to the memory and a high-speed expansion port, and a low-speed interface connected to a low-speed bus and a storage device. Each of these components are connected to each other using various buses and may be mounted on a common motherboard or mounted in any other suitable manner.
여기서 프로세서는 컴퓨팅 장치 내에서 명령어를 처리할 수 있는데, 이런 명령어로는, 예컨대 고속 인터페이스에 접속된 디스플레이처럼 외부 입력, 출력 장치상에 GUI(Graphic User Interface)를 제공하기 위한 그래픽 정보를 표시하기 위해 메모리나 저장 장치에 저장된 명령어를 들 수 있다. 다른 실시예로서, 다수의 프로세서 및(또는) 다수의 버스가 적절히 다수의 메모리 및 메모리 형태와 함께 이용될 수 있다. 또한 프로세서는 독립적인 다수의 아날로그 및(또는) 디지털 프로세서를 포함하는 칩들이 이루는 칩셋으로 구현될 수 있다.Here, the processor may process commands within the computing device, for example, to display graphic information for providing a GUI (Graphic User Interface) on an external input/output device, such as a display connected to a high-speed interface. Examples include instructions stored in memory or storage devices. As another example, multiple processors and/or multiple buses may be used along with multiple memories and memory types as appropriate. Also, the processor may be implemented as a chipset comprising chips including a plurality of independent analog and/or digital processors.
또한, 메모리는 컴퓨팅 장치 내에서 정보를 저장한다. 일례로, 메모리는 휘발성 메모리 유닛 또는 그들의 집합으로 구성될 수 있다. 다른 예로, 메모리는 비휘발성 메모리 유닛 또는 그들의 집합으로 구성될 수 있다. 또한 메모리는 예컨대, 자기 혹은 광 디스크와 같이 다른 형태의 컴퓨터 판독 가능한 매체일 수도 있다.Memory also stores information within the computing device. In one example, the memory may consist of a volatile memory unit or a collection thereof. As another example, the memory may be composed of a non-volatile memory unit or a collection thereof. Memory may also be another form of computer readable medium, such as, for example, a magnetic or optical disk.
그리고, 저장장치는 컴퓨팅 장치에게 대용량의 저장공간을 제공할 수 있다. 저장 장치는 컴퓨터 판독 가능한 매체이거나 이런 매체를 포함하는 구성일 수 있으며, 예를 들어 SAN(Storage Area Network) 내의 장치들이나 다른 구성도 포함할 수 있고, 플로피 디스크 장치, 하드 디스크 장치, 광 디스크 장치, 혹은 테이프 장치, 플래시 메모리, 그와 유사한 다른 반도체 메모리 장치 혹은 장치 어레이일 수 있다.And, the storage device may provide a large amount of storage space to the computing device. A storage device may be a computer-readable medium or a component that includes such a medium, and may include, for example, devices in a storage area network (SAN) or other components, such as a floppy disk device, a hard disk device, an optical disk device, or a tape device, flash memory, or other semiconductor memory device or device array of the like.
상술한 실시예들은 예시를 위한 것이며, 상술한 실시예들이 속하는 기술분야의 통상의 지식을 가진 자는 상술한 실시예들이 갖는 기술적 사상이나 필수적인 특징을 변경하지 않고서 다른 구체적인 형태로 쉽게 변형이 가능하다는 것을 이해할 수 있을 것이다. 그러므로, 이상에서 기술한 실시예들은 모든 면에서 예시적인 것이며 한정적이 아닌 것으로 이해해야만 한다. 예를 들어, 단일형으로 설명되어 있는 각 구성 요소는 분산되어 실시될 수도 있으며, 마찬가지로 분산된 것으로 설명되어 있는 구성 요소들도 결합된 형태로 실시될 수 있다.The above-described embodiments are for illustrative purposes, and those skilled in the art to which the above-described embodiments belong can easily transform into other specific forms without changing the technical idea or essential features of the above-described embodiments. You will understand. Therefore, it should be understood that the embodiments described above are illustrative in all respects and not restrictive. For example, each component described as a single type may be implemented in a distributed manner, and similarly, components described as distributed may be implemented in a combined form.
본 명세서를 통해 보호받고자 하는 범위는 상기 상세한 설명보다는 후술하는 특허청구범위에 의하여 나타내어지며, 특허청구범위의 의미 및 범위 그리고 그 균등 개념으로부터 도출되는 모든 변경 또는 변형된 형태가 본 발명의 범위에 포함되는 것으로 해석되어야 한다.The scope to be protected through this specification is indicated by the claims to be described later rather than the detailed description above, and all changes or modifications derived from the meaning and scope of the claims and equivalent concepts thereof are included in the scope of the present invention. should be interpreted as being
100 : 피사체 굴곡 표시 장치
110 : 촬영부
120 : 통신부
130 : 저장부
140 : 제어부
210 : 카메라
220, 360 : 포트
310 : 이미지 센서
320 : 렌즈 홀더
330 : 렌즈
340 : 인쇄회로기판
350 : 포트 허브
410 : 제 1 바운드 영역
420 : 제 2 바운드 영역
430 : 제 3 바운드 영역
440 : 제 4 바운드 영역100: subject curvature display device
110: shooting unit
120: communication department
130: storage unit
140: control unit
210: camera
220, 360: port
310: image sensor
320: lens holder
330: lens
340: printed circuit board
350: port hub
410: first bound area
420: second bound area
430: third bound area
440: 4th bound area
| Application Number | Priority Date | Filing Date | Title |
|---|---|---|---|
| KR1020210189909AKR102618853B1 (en) | 2021-12-28 | 2021-12-28 | Apparatus and method for displaying curvature of subject |
| Application Number | Priority Date | Filing Date | Title |
|---|---|---|---|
| KR1020210189909AKR102618853B1 (en) | 2021-12-28 | 2021-12-28 | Apparatus and method for displaying curvature of subject |
| Publication Number | Publication Date |
|---|---|
| KR20230100213Atrue KR20230100213A (en) | 2023-07-05 |
| KR102618853B1 KR102618853B1 (en) | 2023-12-29 |
| Application Number | Title | Priority Date | Filing Date |
|---|---|---|---|
| KR1020210189909AActiveKR102618853B1 (en) | 2021-12-28 | 2021-12-28 | Apparatus and method for displaying curvature of subject |
| Country | Link |
|---|---|
| KR (1) | KR102618853B1 (en) |
| Publication number | Priority date | Publication date | Assignee | Title |
|---|---|---|---|---|
| JPH08278126A (en)* | 1995-04-10 | 1996-10-22 | Fujitsu Ltd | Distance measuring device |
| KR20130002090A (en)* | 2011-06-28 | 2013-01-07 | 서울대학교산학협력단 | Image processing system and method using multi view image |
| KR101593316B1 (en)* | 2014-08-18 | 2016-02-11 | 경희대학교 산학협력단 | Method and apparatus for recontructing 3-dimension model using stereo camera |
| KR101954192B1 (en) | 2012-11-15 | 2019-03-05 | 엘지전자 주식회사 | Array camera, Moblie terminal, and method for operating the same |
| Publication number | Priority date | Publication date | Assignee | Title |
|---|---|---|---|---|
| JPH08278126A (en)* | 1995-04-10 | 1996-10-22 | Fujitsu Ltd | Distance measuring device |
| KR20130002090A (en)* | 2011-06-28 | 2013-01-07 | 서울대학교산학협력단 | Image processing system and method using multi view image |
| KR101954192B1 (en) | 2012-11-15 | 2019-03-05 | 엘지전자 주식회사 | Array camera, Moblie terminal, and method for operating the same |
| KR101593316B1 (en)* | 2014-08-18 | 2016-02-11 | 경희대학교 산학협력단 | Method and apparatus for recontructing 3-dimension model using stereo camera |
| Publication number | Publication date |
|---|---|
| KR102618853B1 (en) | 2023-12-29 |
| Publication | Publication Date | Title |
|---|---|---|
| US9514574B2 (en) | System and method for determining the extent of a plane in an augmented reality environment | |
| US9736451B1 (en) | Efficient dense stereo computation | |
| US10116867B2 (en) | Method and apparatus for displaying a light field based image on a user's device, and corresponding computer program product | |
| US10726580B2 (en) | Method and device for calibration | |
| US8937646B1 (en) | Stereo imaging using disparate imaging devices | |
| JP6657214B2 (en) | Accuracy measurement of image-based depth detection system | |
| US20130250040A1 (en) | Capturing and Displaying Stereoscopic Panoramic Images | |
| CN105980928B (en) | RGB-D imaging system and method using ultrasonic depth sensing | |
| KR101903619B1 (en) | Structured stereo | |
| US10540784B2 (en) | Calibrating texture cameras using features extracted from depth images | |
| US9615081B2 (en) | Method and multi-camera portable device for producing stereo images | |
| JP2017520050A (en) | Local adaptive histogram flattening | |
| TWI716874B (en) | Image processing apparatus, image processing method, and image processing program | |
| CN109644280B (en) | Method for generating hierarchical depth data of scene | |
| JP2007129709A (en) | Method for calibrating an imaging device, method for calibrating an imaging system including an array of imaging devices and imaging system | |
| KR102423295B1 (en) | An apparatus for composing objects using depth map and a method thereof | |
| WO2021259287A1 (en) | Depth map generation method, and device and storage medium | |
| US20210035317A1 (en) | Efficient sub-pixel disparity estimation for all sub-aperture images from densely sampled light field cameras | |
| KR102618853B1 (en) | Apparatus and method for displaying curvature of subject | |
| US12086941B2 (en) | Surface partition with plane and line constraints | |
| JP2013200840A (en) | Video processing device, video processing method, video processing program, and video display device | |
| JP6831792B2 (en) | Imaging device and imaging system | |
| CN113132715B (en) | Image processing method, device, electronic device and storage medium thereof | |
| CN118505775A (en) | Method, device, terminal equipment and storage medium for generating depth image based on simulation environment | |
| KR20230063234A (en) | Method and electronic apparatus for calibration of camera |
| Date | Code | Title | Description |
|---|---|---|---|
| PA0109 | Patent application | St.27 status event code:A-0-1-A10-A12-nap-PA0109 | |
| PA0201 | Request for examination | St.27 status event code:A-1-2-D10-D11-exm-PA0201 | |
| D13-X000 | Search requested | St.27 status event code:A-1-2-D10-D13-srh-X000 | |
| D14-X000 | Search report completed | St.27 status event code:A-1-2-D10-D14-srh-X000 | |
| PE0902 | Notice of grounds for rejection | St.27 status event code:A-1-2-D10-D21-exm-PE0902 | |
| E13-X000 | Pre-grant limitation requested | St.27 status event code:A-2-3-E10-E13-lim-X000 | |
| P11-X000 | Amendment of application requested | St.27 status event code:A-2-2-P10-P11-nap-X000 | |
| P13-X000 | Application amended | St.27 status event code:A-2-2-P10-P13-nap-X000 | |
| PG1501 | Laying open of application | St.27 status event code:A-1-1-Q10-Q12-nap-PG1501 | |
| E701 | Decision to grant or registration of patent right | ||
| PE0701 | Decision of registration | St.27 status event code:A-1-2-D10-D22-exm-PE0701 | |
| PR0701 | Registration of establishment | St.27 status event code:A-2-4-F10-F11-exm-PR0701 | |
| PR1002 | Payment of registration fee | St.27 status event code:A-2-2-U10-U11-oth-PR1002 Fee payment year number:1 | |
| PG1601 | Publication of registration | St.27 status event code:A-4-4-Q10-Q13-nap-PG1601 | |
| R18-X000 | Changes to party contact information recorded | St.27 status event code:A-5-5-R10-R18-oth-X000 |