





본 발명은 한 화면에 전자 문서를 구성하는 페이지들을 두 페이지씩 최적의 비율로 표시할 수 있는 전자 장치 및 그 동작 방법에 대한 것이다.The present invention relates to an electronic device capable of displaying pages constituting an electronic document on one screen in an optimal ratio of two pages, and an operating method thereof.
최근, 컴퓨터나 스마트폰 또는 태블릿 PC 등이 널리 보급됨에 따라, 이러한 전자 장치를 이용하여 전자 문서를 열람, 작성, 편집할 수 있도록 하는 다양한 종류의 전자 문서 관련 프로그램들이 출시되고 있다.Recently, as computers, smart phones, tablet PCs, etc. have been widely spread, various types of electronic document-related programs have been released that enable users to view, create, and edit electronic documents using these electronic devices.
기존의 전자 문서 관련 프로그램에서는 다수의 페이지로 구성된 전자 문서를 표시할 때, 하나의 화면 상에 하나의 페이지만을 표시하는 경우가 많았다.Existing electronic document-related programs often display only one page on one screen when displaying an electronic document composed of multiple pages.
이와 관련해서, 보통 종이책은 펼쳐졌을 때, 사용자에게 두 개의 페이지씩 보여진다는 점에서, 종이책을 즐겨보는 사용자의 입장에서는 전자 문서를 볼 때에도 하나의 화면 상에 종이책과 같이, 두 개의 페이지씩 보여지는 것을 선호하는 경우가 있을 수 있다.In this regard, since a normal paper book is shown to the user two pages at a time when it is opened, from the point of view of a user who enjoys paper books, even when viewing an electronic document, like a paper book, two pages are displayed on one screen. There may be cases where you prefer to be shown page by page.
또한, 하나의 화면 상에 두 개의 페이지씩 보여지는 경우, 사용자가 다양한 정보를 한 눈에 파악할 수 있다는 점에서, 전자 문서를 읽는 사용자의 편의도 도모할 수 있을 것이다.In addition, when two pages are displayed on one screen, the user's convenience in reading the electronic document can be promoted in that the user can grasp various information at a glance.
따라서, 종이책을 펼쳤을 때와 같이, 한 화면에 전자 문서를 구성하는 페이지들을 두 페이지씩 표시할 수 있는 기술에 대한 연구가 필요하다.Therefore, there is a need for research into a technology capable of displaying two pages of pages constituting an electronic document on one screen, just like when an open paper book is opened.
다만, 전자 문서의 경우, 전자 문서를 구성하는 페이지들의 크기가 모두 동일한 경우가 있을 수도 있지만, 전자 문서를 구성하는 페이지들의 크기가 다른 경우도 있을 수 있다는 점에서, 서로 다른 크기의 페이지들로 구성된 전자 문서를 하나의 화면에 두 개의 페이지씩 표시하기 위해서는 각 페이지의 크기를 고려하여 가장 적절한 비율로 페이지의 크기를 조정함으로써, 두 개의 페이지가 표시될 각 표시 영역 내에 페이지의 전체 영역이 포함되어 표시될 수 있도록 처리해야 한다.However, in the case of an electronic document, pages constituting an electronic document may all have the same size, but pages constituting an electronic document may have different sizes. In order to display an electronic document two pages on one screen, the size of each page is considered and the page size is adjusted to the most appropriate ratio so that the entire area of the page is included within each display area where the two pages will be displayed. It has to be dealt with so that it can be.
따라서, 한 화면에 전자 문서를 구성하는 페이지들을 두 페이지씩 표시할 때, 각 페이지의 크기를 고려하여, 페이지가 표시 영역 내에서 가장 적절한 비율로 표시될 수 있도록 조정하는 기술도 함께 도입될 필요가 있다.Therefore, when two pages of pages constituting an electronic document are displayed on one screen, it is necessary to introduce a technology that considers the size of each page and adjusts the page to be displayed in the most appropriate ratio within the display area. there is.
본 발명은 한 화면에 전자 문서를 구성하는 페이지들을 두 페이지씩 최적의 비율로 표시할 수 있는 전자 장치 및 그 동작 방법을 제시함으로써, 상기 전자 문서에 대한 향상된 페이지 표시가 가능하도록 지원하고자 한다.SUMMARY OF THE INVENTION The present invention provides an electronic device capable of displaying pages constituting an electronic document in an optimal ratio of two pages on one screen and an operating method therefor, thereby providing improved page display of the electronic document.
본 발명의 일실시예에 따른, 한 화면에 전자 문서를 구성하는 페이지들을 두 페이지씩 최적의 비율로 표시할 수 있는 전자 장치는 사용자로부터, k(k는 3이상의 자연수)개의 페이지들로 사전 구성되어 있는 전자 문서를 하나의 화면 상에 두 개의 페이지씩 표시할 것을 지시하는 문서 표시 명령이 인가되면, 상기 k개의 페이지들을 하나의 화면 상에 두 개의 페이지씩 표시하기 위한 문서 표시 이벤트를 발생시키는 문서 표시 이벤트 발생부, 상기 문서 표시 이벤트가 발생되면, 상기 전자 장치의 화면 상에서 문서가 표시되는 표시 영역에 대해, 상기 표시 영역의 중심점을 통과하는 세로축을 기준으로 좌측 영역과 우측 영역으로 분할하는 영역 분할부 및 상기 표시 영역이 상기 좌측 영역과 상기 우측 영역으로 분할되면, 상기 좌측 영역에 상기 k개의 페이지들 중 n(n은 자연수)번째 페이지를 표시하고, 상기 우측 영역에 n+1번째 페이지를 표시하되, 상기 n번째 페이지의 가로 길이 및 세로 길이를 확인한 후, 상기 n번째 페이지의 세로 길이를 상기 n번째 페이지의 가로 길이로 나눈 제1 비율과 상기 좌측 영역의 세로 길이를 상기 좌측 영역의 가로 길이로 나눈 제1 기준 비율을 비교하여, 상기 제1 비율이 상기 제1 기준 비율 이상인 것으로 확인되면, 상기 n번째 페이지의 세로 길이가 상기 좌측 영역의 세로 길이와 동일해지도록 하는 스케일 조정 비율에 따라 상기 n번째 페이지의 크기를 조정해서 상기 좌측 영역에 표시하고, 상기 제1 비율이 상기 제1 기준 비율 미만인 것으로 확인되면, 상기 n번째 페이지의 가로 길이가 상기 좌측 영역의 가로 길이와 동일해지도록 하는 스케일 조정 비율에 따라 상기 n번째 페이지의 크기를 조정해서 상기 좌측 영역에 표시하며, 상기 n+1번째 페이지의 가로 길이 및 세로 길이를 확인한 후, 상기 n+1번째 페이지의 세로 길이를 상기 n+1번째 페이지의 가로 길이로 나눈 제2 비율과 상기 우측 영역의 세로 길이를 상기 우측 영역의 가로 길이로 나눈 제2 기준 비율을 비교하여, 상기 제2 비율이 상기 제2 기준 비율 이상인 것으로 확인되면, 상기 n+1번째 페이지의 세로 길이가 상기 우측 영역의 세로 길이와 동일해지도록 하는 스케일 조정 비율에 따라 상기 n+1번째 페이지의 크기를 조정해서 상기 우측 영역에 표시하고, 상기 제2 비율이 상기 제2 기준 비율 미만인 것으로 확인되면, 상기 n+1번째 페이지의 가로 길이가 상기 우측 영역의 가로 길이와 동일해지도록 하는 스케일 조정 비율에 따라 상기 n+1번째 페이지의 크기를 조정해서 상기 우측 영역에 표시하는 페이지 표시부를 포함한다.According to an embodiment of the present invention, an electronic device capable of displaying pages constituting an electronic document in an optimal ratio of two pages on one screen is preconfigured with k (k is a natural number equal to or greater than 3) pages from a user. A document generating a document display event for displaying the k pages in two pages on one screen when a document display command instructing to display two pages on one screen is applied. Display event generator, when the document display event occurs, divides the display area in which the document is displayed on the screen of the electronic device into a left area and a right area based on a vertical axis passing through the center point of the display area If the installment plan and the display area are divided into the left area and the right area, the n (n is a natural number) th page among the k pages is displayed on the left area, and the n+1 th page is displayed on the right area. However, after checking the horizontal length and vertical length of the n-th page, a first ratio obtained by dividing the vertical length of the n-th page by the horizontal length of the n-th page and the vertical length of the left area are the horizontal length of the left area When it is determined that the first reference ratio is greater than or equal to the first reference ratio by comparing the first reference ratio divided by , the scale adjustment ratio such that the vertical length of the n-th page becomes equal to the vertical length of the left area A scale that adjusts the size of the n-th page and displays it in the left area, and when it is determined that the first ratio is less than the first reference ratio, the horizontal length of the n-th page becomes the same as the horizontal length of the left area The nth page is resized according to the adjustment ratio and displayed in the left area, and after checking the horizontal length and vertical length of the n+1th page, the vertical length of the n+1th page is determined as the n+1th page. The second ratio divided by the horizontal length of the first page is compared with the second reference ratio divided by the vertical length of the right area by the horizontal length of the right area, and when it is determined that the second ratio is equal to or greater than the second reference ratio, the The size of the n+1 th page is adjusted and displayed in the right area according to a scaling ratio such that the vertical length of the n+1 th page is equal to the vertical length of the right area, and the second ratio is the same as the vertical length of the right area. If it is determined that the ratio is less than 2, the size of the n+1 th page is adjusted according to a scaling ratio such that the horizontal length of the n+1 th page becomes the same as the horizontal length of the right area and displayed in the right area. It includes a page display unit that
또한, 본 발명의 일실시예에 따른, 한 화면에 전자 문서를 구성하는 페이지들을 두 페이지씩 최적의 비율로 표시할 수 있는 전자 장치의 동작 방법은 사용자로부터, k(k는 3이상의 자연수)개의 페이지들로 사전 구성되어 있는 전자 문서를 하나의 화면 상에 두 개의 페이지씩 표시할 것을 지시하는 문서 표시 명령이 인가되면, 상기 k개의 페이지들을 하나의 화면 상에 두 개의 페이지씩 표시하기 위한 문서 표시 이벤트를 발생시키는 단계, 상기 문서 표시 이벤트가 발생되면, 상기 전자 장치의 화면 상에서 문서가 표시되는 표시 영역에 대해, 상기 표시 영역의 중심점을 통과하는 세로축을 기준으로 좌측 영역과 우측 영역으로 분할하는 단계 및 상기 표시 영역이 상기 좌측 영역과 상기 우측 영역으로 분할되면, 상기 좌측 영역에 상기 k개의 페이지들 중 n(n은 자연수)번째 페이지를 표시하고, 상기 우측 영역에 n+1번째 페이지를 표시하되, 상기 n번째 페이지의 가로 길이 및 세로 길이를 확인한 후, 상기 n번째 페이지의 세로 길이를 상기 n번째 페이지의 가로 길이로 나눈 제1 비율과 상기 좌측 영역의 세로 길이를 상기 좌측 영역의 가로 길이로 나눈 제1 기준 비율을 비교하여, 상기 제1 비율이 상기 제1 기준 비율 이상인 것으로 확인되면, 상기 n번째 페이지의 세로 길이가 상기 좌측 영역의 세로 길이와 동일해지도록 하는 스케일 조정 비율에 따라 상기 n번째 페이지의 크기를 조정해서 상기 좌측 영역에 표시하고, 상기 제1 비율이 상기 제1 기준 비율 미만인 것으로 확인되면, 상기 n번째 페이지의 가로 길이가 상기 좌측 영역의 가로 길이와 동일해지도록 하는 스케일 조정 비율에 따라 상기 n번째 페이지의 크기를 조정해서 상기 좌측 영역에 표시하며, 상기 n+1번째 페이지의 가로 길이 및 세로 길이를 확인한 후, 상기 n+1번째 페이지의 세로 길이를 상기 n+1번째 페이지의 가로 길이로 나눈 제2 비율과 상기 우측 영역의 세로 길이를 상기 우측 영역의 가로 길이로 나눈 제2 기준 비율을 비교하여, 상기 제2 비율이 상기 제2 기준 비율 이상인 것으로 확인되면, 상기 n+1번째 페이지의 세로 길이가 상기 우측 영역의 세로 길이와 동일해지도록 하는 스케일 조정 비율에 따라 상기 n+1번째 페이지의 크기를 조정해서 상기 우측 영역에 표시하고, 상기 제2 비율이 상기 제2 기준 비율 미만인 것으로 확인되면, 상기 n+1번째 페이지의 가로 길이가 상기 우측 영역의 가로 길이와 동일해지도록 하는 스케일 조정 비율에 따라 상기 n+1번째 페이지의 크기를 조정해서 상기 우측 영역에 표시하는 단계를 포함한다.In addition, according to an embodiment of the present invention, an operating method of an electronic device capable of displaying pages constituting an electronic document in an optimal ratio of two pages on one screen is provided by a user, k (k is a natural number of 3 or more) number of pages. When a document display command instructing to display an electronic document pre-composed of pages in two pages on one screen is applied, document display for displaying the k pages in two pages on one screen. Generating an event; Dividing a display area in which a document is displayed on the screen of the electronic device into a left area and a right area based on a vertical axis passing through a center point of the display area, when the document display event occurs. and when the display area is divided into the left area and the right area, displaying an n (n is a natural number) th page among the k pages in the left area and displaying an n+1 th page in the right area; , After checking the horizontal length and vertical length of the n-th page, a first ratio obtained by dividing the vertical length of the n-th page by the horizontal length of the n-th page and the vertical length of the left area by the horizontal length of the left area When it is determined that the first reference ratio is greater than or equal to the first reference ratio by comparing the divided first reference ratios, the n-th page is scaled according to a scaling ratio such that the vertical length of the n-th page becomes equal to the vertical length of the left area. Adjusting the scale so that the size of the n-th page is adjusted and displayed in the left area, and when it is determined that the first ratio is less than the first reference ratio, the horizontal length of the n-th page becomes the same as the horizontal length of the left area The nth page is resized according to the ratio and displayed in the left area, and after checking the horizontal length and vertical length of the n+1th page, the vertical length of the n+1th page is determined as the n+1th page. A second ratio divided by the horizontal length of the page is compared with a second reference ratio obtained by dividing the vertical length of the right area by the horizontal length of the right area, and when it is determined that the second ratio is equal to or greater than the second reference ratio, the n The n+1 th page is resized and displayed in the right area according to a scale adjustment ratio that makes the vertical length of the +1 th page equal to the vertical length of the right area, and the second ratio is the second If it is confirmed that the n + 1 th page is smaller than the reference ratio, the size of the n + 1 th page is adjusted according to a scaling ratio such that the horizontal length of the n + 1 th page becomes the same as the horizontal length of the right area and displayed in the right area Include steps.
본 발명은 한 화면에 전자 문서를 구성하는 페이지들을 두 페이지씩 최적의 비율로 표시할 수 있는 전자 장치 및 그 동작 방법을 제시함으로써, 상기 전자 문서에 대한 향상된 페이지 표시가 가능하도록 지원할 수 있다.The present invention provides an electronic device capable of displaying pages constituting an electronic document in an optimal ratio of two pages on one screen, and an operating method thereof, so that improved page display of the electronic document can be supported.
도 1은 본 발명의 일실시예에 따른 한 화면에 전자 문서를 구성하는 페이지들을 두 페이지씩 최적의 비율로 표시할 수 있는 전자 장치의 구조를 도시한 도면이다.
도 2 내지 도 5는 본 발명의 일실시예에 따른 한 화면에 전자 문서를 구성하는 페이지들을 두 페이지씩 최적의 비율로 표시할 수 있는 전자 장치의 동작을 설명하기 위한 도면이다.
도 6은 본 발명의 일실시예에 따른 한 화면에 전자 문서를 구성하는 페이지들을 두 페이지씩 최적의 비율로 표시할 수 있는 전자 장치의 동작 방법을 도시한 순서도이다.FIG. 1 is a diagram showing the structure of an electronic device capable of displaying pages constituting an electronic document in an optimal ratio of two pages on one screen according to an embodiment of the present invention.
2 to 5 are diagrams for explaining the operation of an electronic device capable of displaying pages constituting an electronic document in an optimal ratio of two pages on one screen according to an embodiment of the present invention.
6 is a flowchart illustrating an operating method of an electronic device capable of displaying pages constituting an electronic document in an optimal ratio of two pages on one screen according to an embodiment of the present invention.
이하에서는 본 발명에 따른 실시예들을 첨부된 도면을 참조하여 상세하게 설명하기로 한다. 이러한 설명은 본 발명을 특정한 실시 형태에 대해 한정하려는 것이 아니며, 본 발명의 사상 및 기술 범위에 포함되는 모든 변경, 균등물 내지 대체물을 포함하는 것으로 이해되어야 한다. 각 도면을 설명하면서 유사한 참조부호를 유사한 구성요소에 대해 사용하였으며, 다르게 정의되지 않는 한, 기술적이거나 과학적인 용어를 포함해서 본 명세서 상에서 사용되는 모든 용어들은 본 발명이 속하는 기술분야에서 통상의 지식을 가진 사람에 의해 일반적으로 이해되는 것과 동일한 의미를 가지고 있다.Hereinafter, embodiments according to the present invention will be described in detail with reference to the accompanying drawings. This description is not intended to limit the present invention to specific embodiments, but should be understood to include all modifications, equivalents, and substitutes included in the spirit and scope of the present invention. While describing each drawing, similar reference numerals have been used for similar components, and unless otherwise defined, all terms used in this specification, including technical or scientific terms, are common knowledge in the art to which the present invention belongs. has the same meaning as commonly understood by the person who has it.
본 문서에서, 어떤 부분이 어떤 구성요소를 "포함"한다고 할 때, 이는 특별히 반대되는 기재가 없는 한 다른 구성요소를 제외하는 것이 아니라 다른 구성요소를 더 포함할 수 있다는 것을 의미한다. 또한, 본 발명의 다양한 실시예들에 있어서, 각 구성요소들, 기능 블록들 또는 수단들은 하나 또는 그 이상의 하부 구성요소로 구성될 수 있고, 각 구성요소들이 수행하는 전기, 전자, 기계적 기능들은 전자회로, 집적회로, ASIC(Application Specific Integrated Circuit) 등 공지된 다양한 소자들 또는 기계적 요소들로 구현될 수 있으며, 각각 별개로 구현되거나 2 이상이 하나로 통합되어 구현될 수도 있다.In this document, when a certain component is said to "include", it means that it may further include other components without excluding other components unless otherwise stated. In addition, in various embodiments of the present invention, each component, functional block, or means may be composed of one or more sub-components, and the electrical, electronic, and mechanical functions performed by each component are electronic It may be implemented with various known elements or mechanical elements such as circuits, integrated circuits, ASICs (Application Specific Integrated Circuits), and may be implemented separately or two or more may be integrated into one.
한편, 첨부된 블록도의 블록들이나 흐름도의 단계들은 범용 컴퓨터, 특수용 컴퓨터, 휴대용 노트북 컴퓨터, 네트워크 컴퓨터 등 데이터 프로세싱이 가능한 장비의 프로세서나 메모리에 탑재되어 지정된 기능들을 수행하는 컴퓨터 프로그램 명령들(instructions)을 의미하는 것으로 해석될 수 있다. 이들 컴퓨터 프로그램 명령들은 컴퓨터 장치에 구비된 메모리 또는 컴퓨터에서 판독 가능한 메모리에 저장될 수 있기 때문에, 블록도의 블록들 또는 흐름도의 단계들에서 설명된 기능들은 이를 수행하는 명령 수단을 내포하는 제조물로 생산될 수도 있다. 아울러, 각 블록 또는 각 단계는 특정된 논리적 기능(들)을 실행하기 위한 하나 이상의 실행 가능한 명령들을 포함하는 모듈, 세그먼트 또는 코드의 일부를 나타낼 수 있다. 또, 몇 가지 대체 가능한 실시예들에서는 블록들 또는 단계들에서 언급된 기능들이 정해진 순서와 달리 실행되는 것도 가능함을 주목해야 한다. 예컨대, 잇달아 도시되어 있는 두 개의 블록들 또는 단계들은 실질적으로 동시에 수행되거나, 역순으로 수행될 수 있으며, 경우에 따라 일부 블록들 또는 단계들이 생략된 채로 수행될 수도 있다.On the other hand, the blocks of the accompanying block diagram or the steps of the flowchart are computer program instructions that perform designated functions by being loaded into a processor or memory of a device capable of data processing, such as a general-purpose computer, a special purpose computer, a portable notebook computer, and a network computer. can be interpreted as meaning Since these computer program instructions may be stored in a memory included in a computer device or in a computer readable memory, the functions described in blocks of a block diagram or steps of a flowchart are produced as a product containing instruction means for performing them. It could be. Further, each block or each step may represent a module, segment or portion of code that includes one or more executable instructions for executing specified logical function(s). Also, it should be noted that in some alternative embodiments, functions mentioned in blocks or steps may be executed out of a predetermined order. For example, two blocks or steps shown in succession may be performed substantially simultaneously or in reverse order, and in some cases, some blocks or steps may be omitted.
도 1은 본 발명의 일실시예에 따른 한 화면에 전자 문서를 구성하는 페이지들을 두 페이지씩 최적의 비율로 표시할 수 있는 전자 장치의 구조를 도시한 도면이다.FIG. 1 is a diagram showing the structure of an electronic device capable of displaying pages constituting an electronic document in an optimal ratio of two pages on one screen according to an embodiment of the present invention.
도 1을 참조하면, 본 발명의 일실시예에 따른 전자 장치(110)는 문서 표시 이벤트 발생부(111), 영역 분할부(112) 및 페이지 표시부(113)를 포함한다.Referring to FIG. 1 , an
문서 표시 이벤트 발생부(111)는 사용자로부터, k(k는 3이상의 자연수)개의 페이지들로 사전 구성되어 있는 전자 문서를 하나의 화면 상에 두 개의 페이지씩 표시할 것을 지시하는 문서 표시 명령이 인가되면, 상기 k개의 페이지들을 하나의 화면 상에 두 개의 페이지씩 표시하기 위한 문서 표시 이벤트를 발생시킨다.The document display
여기서, 상기 k개의 페이지들의 페이지 크기는 서로 다른 크기로 구성되어 있을 수 있다. 예컨대, 1번째 페이지는 A4 형식의 편집용지 크기를 갖는 페이지 크기로 구성되어 있을 수 있고, 2번째 페이지는 B4 형식의 편집용지 크기를 갖는 페이지 크기로 구성되어 있을 수 있다.Here, the page size of the k pages may be composed of different sizes. For example, the first page may be composed of a page size having an A4 format editing paper size, and the second page may be composed of a page size having a B4 format editing paper size.
영역 분할부(112)는 상기 문서 표시 이벤트가 발생되면, 전자 장치(110)의 화면 상에서 문서가 표시되는 표시 영역에 대해, 상기 표시 영역의 중심점을 통과하는 세로축을 기준으로 좌측 영역과 우측 영역으로 분할한다.When the document display event occurs, the
페이지 표시부(113)는 상기 표시 영역이 상기 좌측 영역과 상기 우측 영역으로 분할되면, 상기 좌측 영역에 상기 k개의 페이지들 중 n(n은 자연수)번째 페이지를 표시하고, 상기 우측 영역에 n+1번째 페이지를 표시하되, 상기 n번째 페이지의 가로 길이 및 세로 길이를 확인한 후, 상기 n번째 페이지의 세로 길이를 상기 n번째 페이지의 가로 길이로 나눈 제1 비율과 상기 좌측 영역의 세로 길이를 상기 좌측 영역의 가로 길이로 나눈 제1 기준 비율을 비교하여, 상기 제1 비율이 상기 제1 기준 비율 이상인 것으로 확인되면, 상기 n번째 페이지의 세로 길이가 상기 좌측 영역의 세로 길이와 동일해지도록 하는 스케일 조정 비율에 따라 상기 n번째 페이지의 크기를 조정해서 상기 좌측 영역에 표시하고, 상기 제1 비율이 상기 제1 기준 비율 미만인 것으로 확인되면, 상기 n번째 페이지의 가로 길이가 상기 좌측 영역의 가로 길이와 동일해지도록 하는 스케일 조정 비율에 따라 상기 n번째 페이지의 크기를 조정해서 상기 좌측 영역에 표시하며, 상기 n+1번째 페이지의 가로 길이 및 세로 길이를 확인한 후, 상기 n+1번째 페이지의 세로 길이를 상기 n+1번째 페이지의 가로 길이로 나눈 제2 비율과 상기 우측 영역의 세로 길이를 상기 우측 영역의 가로 길이로 나눈 제2 기준 비율을 비교하여, 상기 제2 비율이 상기 제2 기준 비율 이상인 것으로 확인되면, 상기 n+1번째 페이지의 세로 길이가 상기 우측 영역의 세로 길이와 동일해지도록 하는 스케일 조정 비율에 따라 상기 n+1번째 페이지의 크기를 조정해서 상기 우측 영역에 표시하고, 상기 제2 비율이 상기 제2 기준 비율 미만인 것으로 확인되면, 상기 n+1번째 페이지의 가로 길이가 상기 우측 영역의 가로 길이와 동일해지도록 하는 스케일 조정 비율에 따라 상기 n+1번째 페이지의 크기를 조정해서 상기 우측 영역에 표시한다.When the display area is divided into the left area and the right area, the
이때, 본 발명의 일실시예에 따르면, 페이지 표시부(113)는 제1 크기 조정부(114) 및 제2 크기 조정부(115)를 포함할 수 있다.At this time, according to one embodiment of the present invention, the
제1 크기 조정부(114)는 상기 제1 비율이 상기 제1 기준 비율 이상인 것으로 확인되면, 상기 좌측 영역의 세로 길이를 상기 n번째 페이지의 세로 길이로 나눈 값을 상기 n번째 페이지에 대한 제1 스케일 조정 비율로 연산하여, 상기 제1 스케일 조정 비율에 따라 상기 n번째 페이지의 크기를 조정하고, 상기 제1 비율이 상기 제1 기준 비율 미만인 것으로 확인되면, 상기 좌측 영역의 가로 길이를 상기 n번째 페이지의 가로 길이로 나눈 값을 상기 n번째 페이지에 대한 상기 제1 스케일 조정 비율로 연산하여, 상기 제1 스케일 조정 비율에 따라 상기 n번째 페이지의 크기를 조정한다.When the
제2 크기 조정부(115)는 상기 제2 비율이 상기 제2 기준 비율 이상인 것으로 확인되면, 상기 우측 영역의 세로 길이를 상기 n+1번째 페이지의 세로 길이로 나눈 값을 상기 n+1번째 페이지에 대한 제2 스케일 조정 비율로 연산하여, 상기 제2 스케일 조정 비율에 따라 상기 n+1번째 페이지의 크기를 조정하고, 상기 제2 비율이 상기 제2 기준 비율 미만인 것으로 확인되면, 상기 우측 영역의 가로 길이를 상기 n+1번째 페이지의 가로 길이로 나눈 값을 상기 n+1번째 페이지에 대한 상기 제2 스케일 조정 비율로 연산하여, 상기 제2 스케일 조정 비율에 따라 상기 n+1번째 페이지의 크기를 조정한다.When it is determined that the second ratio is equal to or greater than the second reference ratio, the
이하에서는, 도 2 내지 도 3을 참조하여, 문서 표시 이벤트 발생부(111), 영역 분할부(112) 및 페이지 표시부(113)의 동작을 예를 들어, 상세히 설명하기로 한다.Hereinafter, with reference to FIGS. 2 and 3 , operations of the document display
먼저, 'k=10'이라고 하고, 상기 전자 문서가 10개의 페이지들인 '페이지 1, 페이지 2, 페이지 3, ..., 페이지 10'으로 사전 구성되어 있다고 가정하자.First, it is assumed that 'k=10' and that the electronic document is pre-configured with 10 pages, 'Page 1, Page 2, Page 3, ..., Page 10'.
이때, 사용자로부터, 상기 10개의 페이지들인 '페이지 1, 페이지 2, 페이지 3, ..., 페이지 10'으로 사전 구성되어 있는 상기 전자 문서를 하나의 화면 상에 두 개의 페이지씩 표시할 것을 지시하는 문서 표시 명령이 전자 장치(110)에 인가되면, 문서 표시 이벤트 발생부(111)는 '페이지 1, 페이지 2, 페이지 3, ..., 페이지 10'을 하나의 화면 상에 두 개의 페이지씩 표시하기 위한 문서 표시 이벤트를 발생시킬 수 있다.At this time, the user instructs to display the electronic document pre-configured with the 10 pages, 'page 1, page 2, page 3, ..., page 10', two pages at a time on one screen. When a document display command is applied to the
이렇게, 문서 표시 이벤트 발생부(111)에 의해 상기 문서 표시 이벤트가 발생되면, 영역 분할부(112)는 도 2의 도면부호 200에 도시된 그림과 같이, 전자 장치(110)의 화면 상에서 문서가 표시되는 표시 영역(210)에 대해, 표시 영역(210)의 중심점(215)을 통과하는 세로축(220)을 기준으로 좌측 영역(230)과 우측 영역(240)으로 분할할 수 있다.In this way, when the document display event is generated by the document display
이렇게, 영역 분할부(112)에 의해 표시 영역(210)이 좌측 영역(230)과 우측 영역(240)으로 분할되면, 페이지 표시부(113)는 좌측 영역(230)에 '페이지 1, 페이지 2, 페이지 3, ..., 페이지 10' 중 n번째 페이지를 표시하고, 우측 영역(240)에 n+1번째 페이지를 표시하되, 상기 n번째 페이지와 상기 n+1번째 페이지를 각각 좌측 영역(230)과 우측 영역(240)에 매칭되도록 그 크기를 조정할 수 있다.In this way, when the
관련해서, 'n=5'라고 가정하는 경우, 페이지 표시부(113)는 좌측 영역(230)에 '페이지 1, 페이지 2, 페이지 3, ..., 페이지 10' 중 5번째 페이지인 '페이지 5(205)'를 표시하고, 우측 영역(240)에 6번째 페이지인 '페이지 6(206)'을 표시하되, 상기 5번째 페이지인 '페이지 5(205)'와 상기 6번째 페이지인 '페이지 6(206)'을 각각 좌측 영역(230)과 우측 영역(240)에 매칭되도록 그 크기를 조정할 수 있다.In this regard, assuming that 'n = 5', the
우선, 페이지 표시부(113)는 도면부호 250에 도시된 그림과 같이, 상기 5번째 페이지인 '페이지 5(205)'의 가로 길이(225) 및 세로 길이(235)를 확인할 수 있다.First of all, the
그 이후, 페이지 표시부(113)는 상기 5번째 페이지인 '페이지 5(205)'의 세로 길이(235)를 상기 5번째 페이지인 '페이지 5(205)'의 가로 길이(225)로 나눈 제1 비율과, 좌측 영역(230)의 세로 길이(232)를 좌측 영역(230)의 가로 길이(231)로 나눈 제1 기준 비율을 비교할 수 있다.Thereafter, the
이때, 본 실시예에서는 상기 제1 비율이 상기 제1 기준 비율보다 크기 때문에, 제1 크기 조정부(114)는 좌측 영역(230)의 세로 길이(232)를 상기 5번째 페이지인 '페이지 5(205)'의 세로 길이(235)로 나눈 값인 'S1'을 상기 5번째 페이지인 '페이지 5(205)'에 대한 제1 스케일 조정 비율로 연산하여, 도면부호 255로 표시한 바와 같이, 상기 제1 스케일 조정 비율인 'S1'에 따라 상기 5번째 페이지인 '페이지 5(205)'의 크기를 조정할 수 있다. 즉, 제1 크기 조정부(114)는 상기 제1 스케일 조정 비율인 'S1'에 따라 상기 5번째 페이지인 '페이지 5(205)'의 가로, 세로 길이를 동시에 조정함으로써, 상기 5번째 페이지인 '페이지 5(205)'의 크기를 축소할 수 있다.In this case, since the first ratio is greater than the first reference ratio in this embodiment, the
이로 인해, 페이지 표시부(113)는 도 3에 도시된 그림과 같이, 상기 제1 스케일 조정 비율인 'S1'에 따라 크기가 조정된 '페이지 5(205)'를 좌측 영역(230)에 표시할 수 있다.As a result, the
그리고, 페이지 표시부(113)는 도면부호 260에 도시된 그림과 같이, 상기 6번째 페이지인 '페이지 6(206)'의 가로 길이(226) 및 세로 길이(236)도 확인할 수 있다.Also, the
그 이후, 페이지 표시부(113)는 상기 6번째 페이지인 '페이지 6(206)'의 세로 길이(236)를 상기 6번째 페이지인 '페이지 6(206)'의 가로 길이(226)로 나눈 제2 비율과, 우측 영역(240)의 세로 길이(242)를 우측 영역(240)의 가로 길이(241)로 나눈 제2 기준 비율을 비교할 수 있다.After that, the
이때, 본 실시예에서는 상기 제2 비율이 상기 제2 기준 비율보다 작기 때문에, 제2 크기 조정부(115)는 우측 영역(240)의 가로 길이(241)를 상기 6번째 페이지인 '페이지 6(206)'의 가로 길이(226)로 나눈 값인 'S2'를 상기 6번째 페이지인 '페이지 6(206)'에 대한 제2 스케일 조정 비율로 연산하여, 도면부호 266으로 표시한 바와 같이, 상기 제2 스케일 조정 비율인 'S2'에 따라 상기 6번째 페이지인 '페이지 6(206)'의 크기를 조정할 수 있다. 즉, 제2 크기 조정부(115)는 상기 제2 스케일 조정 비율인 'S2'에 따라 상기 6번째 페이지인 '페이지 6(206)'의 가로, 세로 길이를 동시에 조정함으로써, 상기 6번째 페이지인 '페이지 6(206)'의 크기를 축소할 수 있다.At this time, in this embodiment, since the second ratio is smaller than the second reference ratio, the second
이로 인해, 페이지 표시부(113)는 도 3에 도시된 그림과 같이, 상기 제2 스케일 조정 비율인 'S2'에 따라 크기가 조정된 '페이지 6(206)'을 우측 영역(240)에 표시할 수 있다.As a result, the
본 발명의 일실시예에 따르면, 전자 장치(110)는 페이지 전환부(116) 및 페이지 역전환부(117)를 더 포함할 수 있다.According to an embodiment of the present invention, the
페이지 전환부(116)는 페이지 표시부(113)를 통해 상기 좌측 영역에 상기 n번째 페이지가 표시되고, 상기 우측 영역에 상기 n+1번째 페이지가 표시되고 있는 상황에서, 상기 사용자로부터 상기 전자 문서에 대한 다음 페이지로의 페이지 전환 명령이 인가되면, n의 크기를 확인해서, n이 k-2 미만인 것으로 확인되는 경우, 상기 좌측 영역에 n+2번째 페이지를, 상기 우측 영역에 n+3번째 페이지를 표시하고, n이 k-2인 것으로 확인되는 경우, 상기 좌측 영역에 상기 n+2번째 페이지만을 표시한다.In a situation where the nth page is displayed in the left area and the n+1th page is displayed in the right area through the
예컨대, 도 3과 도 4를 참조하여, 페이지 전환부(116)의 동작을 예를 들어, 상세히 설명하기로 한다.For example, with reference to FIGS. 3 and 4 , the operation of the
먼저, 도 3에 도시된 그림과 같이, 페이지 표시부(113)를 통해 좌측 영역(230)에 상기 5번째 페이지인 '페이지 5(205)'가 표시되고, 우측 영역(240)에 상기 6번째 페이지인 '페이지 6(206)'이 표시되고 있는 상황이라고 가정하자.First, as shown in FIG. 3 , the fifth page 'page 5 205' is displayed on the
이때, 상기 사용자로부터 상기 전자 문서에 대한 다음 페이지로의 페이지 전환 명령이 전자 장치(110)에 인가되면, 페이지 전환부(116)는 n의 크기를 5로 확인한 후, n이 8 미만인 것으로 확인함으로써, 도 4에 도시된 그림과 같이, 좌측 영역(230)에 7번째 페이지인 '페이지 7(407)'을, 우측 영역(240)에 8번째 페이지인 '페이지 8(408)'을 표시할 수 있다.At this time, when a page switching command from the user to the next page of the electronic document is applied to the
만약, 페이지 표시부(113)를 통해 좌측 영역(230)에 8번째 페이지인 '페이지 8'이 표시되고, 우측 영역(240)에 9번째 페이지인 '페이지 9'가 표시되고 있는 상황이었다고 한다면, 페이지 전환부(116)는 n이 k-2에 해당되는 8인 것으로 확인함으로써, 좌측 영역(230)에 10번째 페이지인 '페이지 10'만을 표시할 수 있다.If 'Page 8', the eighth page, is displayed on the
페이지 역전환부(117)는 페이지 표시부(113)를 통해 상기 좌측 영역에 상기 n번째 페이지가 표시되고, 상기 우측 영역에 상기 n+1번째 페이지가 표시되고 있는 상황에서, 상기 사용자로부터 상기 전자 문서에 대한 이전 페이지로의 페이지 역전환 명령이 인가되면, n의 크기를 확인해서, n이 2를 초과하는 것으로 확인되는 경우, 상기 좌측 영역에 n-2번째 페이지를, 상기 우측 영역에 n-1번째 페이지를 표시하고, n이 2인 것으로 확인되는 경우, 상기 우측 영역에 상기 n-1번째 페이지만을 표시한다.In a situation where the nth page is displayed in the left area and the n+1th page is displayed in the right area through the
예컨대, 도 3에 도시된 그림과 같이, 페이지 표시부(113)를 통해 좌측 영역(230)에 상기 5번째 페이지인 '페이지 5(205)'가 표시되고, 우측 영역(240)에 상기 6번째 페이지인 '페이지 6(206)'이 표시되고 있는 상황이라고 가정하자.For example, as shown in FIG. 3 , the fifth page 'page 5 205' is displayed on the
이때, 상기 사용자로부터 상기 전자 문서에 대한 이전 페이지로의 페이지 역전환 명령이 전자 장치(110)에 인가되면, 페이지 역전환부(117)는 n의 크기를 5로 확인한 후, n이 2를 초과하는 것으로 확인함으로써, 좌측 영역(230)에 3번째 페이지인 '페이지 3'을, 우측 영역(240)에 4번째 페이지인 '페이지 4'를 표시할 수 있다.At this time, when a page reversal command from the user to the previous page of the electronic document is applied to the
만약, 페이지 표시부(113)를 통해 좌측 영역(230)에 2번째 페이지인 '페이지 2'가 표시되고, 우측 영역(240)에 3번째 페이지인 '페이지 3'이 표시되고 있는 상황이었다고 한다면, 페이지 역전환부(117)는 n이 2인 것으로 확인함으로써, 우측 영역(240)에 1번째 페이지인 '페이지 1'만을 표시할 수 있다.If it is assumed that the second page 'Page 2' is displayed on the
본 발명의 일실시예에 따르면, 페이지 전환부(116)와 페이지 역전환부(117)는 소정의 페이지를 다음 페이지 또는 이전 페이지로 전환할 때, 사전 설정된 페이지 전환 애니메이션 효과를 적용할 수 있다. 예컨대, 페이지 전환부(116)와 페이지 역전환부(117)는 페이지가 전환될 때, 종이책이 넘어가는 듯한 페이지 전환 애니메이션 효과를 적용하여 화면 상에 표시할 수 있다.According to one embodiment of the present invention, the
본 발명의 일실시예에 따르면, 페이지 전환부(116)는 상기 사용자로부터 인가되는 페이지 전환 명령에 따라 페이지 전환을 수행하기 위해서, n의 크기를 확인한 결과, n이 k-2를 초과하는 것으로 확인되는 경우, 상기 전자 문서에 대한 다음 페이지가 존재하지 않음을 알리는 제1 안내 메시지를 생성한 후 상기 제1 안내 메시지를 화면 상에 표시할 수 있다.According to one embodiment of the present invention, in order to perform page switching according to the page switching command applied from the user, the
예컨대, 'n=9'라고 하고, 'k=10'이라고 하는 경우, 페이지 전환부(116)는 n의 크기가 8을 초과하는 것으로 확인함으로써, 상기 전자 문서에 대한 다음 페이지가 존재하지 않음을 알리는 제1 안내 메시지를 생성한 후 상기 제1 안내 메시지를 화면 상에 표시할 수 있다.For example, if 'n = 9' and 'k = 10', the
또한, 본 발명의 일실시예에 따르면, 페이지 역전환부(117)는 상기 사용자로부터 인가되는 페이지 역전환 명령에 따라 페이지 역전환을 수행하기 위해서, n의 크기를 확인한 결과, n이 2 미만인 것으로 확인되는 경우, 상기 전자 문서에 대한 이전 페이지가 존재하지 않음을 알리는 제2 안내 메시지를 생성한 후 상기 제2 안내 메시지를 화면 상에 표시할 수 있다.In addition, according to one embodiment of the present invention, the
예컨대, 'n=1'이라고 하고, 'k=10'이라고 하는 경우, 페이지 역전환부(117)는 n의 크기가 2 미만인 것으로 확인함으로써, 상기 전자 문서에 대한 이전 페이지가 존재하지 않음을 알리는 제2 안내 메시지를 생성한 후 상기 제2 안내 메시지를 화면 상에 표시할 수 있다.For example, when 'n=1' and 'k=10', the
이때, 본 발명에 따른 전자 장치(110)는 페이지에 대한 전환, 역전환이 발생함에 따라, 상기 좌측 영역과 상기 우측 영역에 페이지가 전환되어 표시되는 경우에도 앞서 설명한 페이지 표시부(113)의 동작에 따라, 상기 좌측 영역과 상기 우측 영역 각각에 표시되는 페이지의 크기가, 상기 좌측 영역과 상기 우측 영역 각각의 크기에 매칭되도록 조정할 수 있다.At this time, the
본 발명의 일실시예에 따르면, 전자 장치(110)는 단어 추출부(118), 등장 빈도수 확인부(119), 페이지 특징 벡터 생성부(120), 벡터 유사도 연산부(121), 선택부(122), 겹침 표시부(123) 및 제거 표시부(124)를 더 포함할 수 있다.According to an embodiment of the present invention, the
단어 추출부(118)는 페이지 표시부(113)를 통해 상기 좌측 영역에 상기 n번째 페이지가 표시되고, 상기 우측 영역에 상기 n+1번째 페이지가 표시되고 있는 상황에서, 상기 사용자로부터 상기 n번째 페이지에 대한 유사 페이지 검색 명령이 인가되면, 상기 전자 문서로부터 상기 전자 문서에서의 등장 빈도수가 큰 순서대로 t(t는 2이상의 자연수)개의 단어들을 추출한다.In a situation where the nth page is displayed in the left area and the n+1th page is displayed in the right area through the
등장 빈도수 확인부(119)는 상기 k개의 페이지들 각각에서, 상기 t개 단어들 각각이 등장하는 등장 빈도수를 확인한다.The appearance frequency
페이지 특징 벡터 생성부(120)는 상기 k개의 페이지들 각각에 대해, 각 페이지에서 상기 t개 단어들 각각이 등장하는 등장 빈도수를 성분으로 갖는 t차원의 벡터를 구성함으로써, 상기 k페이지들 각각에 대응되는 t차원의 페이지 특징 벡터를 생성한다.For each of the k pages, the page
벡터 유사도 연산부(121)는 상기 n번째 페이지의 페이지 특징 벡터와, 상기 k개의 페이지들 중 상기 n번째 페이지를 제외한 나머지 페이지들의 페이지 특징 벡터 간의 벡터 유사도를 연산한다.The vector
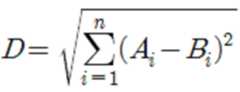
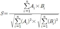
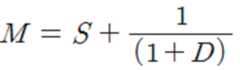
여기서, 상기 n번째 페이지의 페이지 특징 벡터와, 나머지 페이지들의 페이지 특징 벡터 간의 벡터 유사도는 하기의 수학식 1에 따라 연산될 수 있다.Here, the vector similarity between the page feature vector of the n-th page and the page feature vectors of the remaining pages may be calculated according to Equation 1 below.
여기서, M은 두 벡터 사이의 벡터 유사도로, S는 두 벡터 사이의 코사인 유사도, D는 두 벡터 사이의 유클리드 거리(Euclidean Distance)를 의미하고, 상기 두 벡터 사이의 코사인 유사도 S와 상기 두 벡터 사이의 유클리드 거리 D는 하기의 수학식 2와 하기의 수학식 3에 따라 연산될 수 있다.Here, M is the vector similarity between two vectors, S is the cosine similarity between the two vectors, D is the Euclidean distance between the two vectors, and the cosine similarity between the two vectors S and the two vectors The Euclidean distance D of can be calculated according to Equation 2 below and Equation 3 below.
여기서, S는 벡터 A와 B 사이의 코사인 유사도로 -1에서 1사이의 값을 가지며, 그 값이 클수록 유사한 벡터임을 의미하고, Ai는 벡터 A의 i번째 성분, Bi는 벡터 B의 i번째 성분을 의미한다.Here, S is the cosine similarity between vectors A and B. It has a value between -1 and 1, and the larger the value, the more similar the vector, Ai is the i-th component of vector A, and Bi is the i of vector B. means the second component.
상기 수학식 3에서 D는 유클리드 거리, Ai와 Bi는 두 벡터에 포함되어 있는 i번째 성분들을 의미한다. 보통, 두 벡터 간의 유클리드 거리가 작을수록 두 벡터는 유사한 벡터라고 볼 수 있고, 두 벡터 간의 유클리드 거리가 클수록 두 벡터는 비유사한 벡터라고 볼 수 있다.In Equation 3 above, D is the Euclidean distance, and Ai and Bi denote i-th components included in the two vectors. In general, the smaller the Euclidean distance between two vectors, the more similar the two vectors are, and the larger the Euclidean distance between the two vectors, the more dissimilar vectors they are.
선택부(122)는 상기 나머지 페이지들 중, 상기 n번째 페이지의 페이지 특징 벡터와의 벡터 유사도가 최대인 페이지 특징 벡터를 갖는 제1 페이지를 선택한다.The
겹침 표시부(123)는 상기 제1 페이지가 선택되면, 상기 제1 페이지를, 상기 우측 영역에 표시되고 있는 상기 n+1번째 페이지의 상위 레이어에 겹쳐서 표시한다.When the first page is selected, the overlapping
제거 표시부(124)는 상기 제1 페이지가, 상기 우측 영역에 표시되고 있는 상기 n+1번째 페이지의 상위 레이어에 겹쳐서 표시된 이후, 상기 사용자로부터 상기 제1 페이지에 대한 페이지 제거 명령이 인가되면, 상기 우측 영역에서 상기 n+1번째 페이지의 상위 레이어에 겹쳐서 표시되고 있는 상기 제1 페이지를 제거함으로써, 상기 우측 영역에 상기 n+1번째 페이지만이 표시되도록 처리한다.The
이하에서는, 도 3과 도 5를 참조하여, 단어 추출부(118), 등장 빈도수 확인부(119), 페이지 특징 벡터 생성부(120), 벡터 유사도 연산부(121), 선택부(122), 겹침 표시부(123) 및 제거 표시부(124)의 동작을 예를 들어, 상세히 설명하기로 한다.Hereinafter, with reference to FIGS. 3 and 5, a
먼저, 도 3에 도시된 그림과 같이, 페이지 표시부(113)를 통해 좌측 영역(230)에 상기 5번째 페이지인 '페이지 5(205)'가 표시되고, 우측 영역(240)에 상기 6번째 페이지인 '페이지 6(206)'이 표시되고 있는 상황이라고 가정하자.First, as shown in FIG. 3 , the fifth page 'page 5 205' is displayed on the
이때, 상기 사용자로부터 상기 5번째 페이지인 '페이지 5(205)'에 대한 유사 페이지 검색 명령이 전자 장치(110)에 인가되면, 단어 추출부(118)는 상기 전자 문서로부터 상기 전자 문서에서의 등장 빈도수가 큰 순서대로 t개의 단어들을 추출할 수 있다.At this time, when a similar page search command for 'page 5 (205)', which is the fifth page, is applied to the
만약, 't=5'라고 하고, 단어 추출부(118)에 의해 상기 전자 문서로부터 상기 전자 문서에서의 등장 빈도수가 큰 순서대로 5개의 단어들인 '지재권, 특허, 저작권, 등록, 거절'이 추출되었다고 가정하는 경우, 등장 빈도수 확인부(119)는 상기 10개의 페이지들인 '페이지 1, 페이지 2, 페이지 3, 페이지 4, 페이지 5(206), ..., 페이지 9(509), 페이지 10' 각각에서, 상기 5개 단어들인 '지재권, 특허, 저작권, 등록, 거절' 각각이 등장하는 등장 빈도수를 확인할 수 있다.If 't=5', five words 'intellectual property right, patent, copyright, registration, rejection' are extracted from the electronic document by the
이때, 등장 빈도수 확인부(119)에 의해 '페이지 1, 페이지 2, 페이지 3, 페이지 4, 페이지 5(205), ..., 페이지 9(509), 페이지 10' 각각에서 '지재권, 특허, 저작권, 등록, 거절' 각각이 등장하는 등장 빈도수가 '0(회), 0(회), 1(회), 0(회), 0(회)', '1(회), 0(회), 0(회), 0(회), 0(회)', '0(회), 0(회), 1(회), 1(회), 0(회)', '1(회), 0(회), 1(회), 0(회), 0(회)', '0(회), 6(회), 0(회), 4(회), 5(회)', ..., '0(회), 5(회), 0(회), 4(회), 4(회)', '0(회), 0(회), 0(회), 0(회), 0(회)'로 확인되었다고 가정하자.At this time, 'intellectual property rights, patents, The frequency of each occurrence of copyright, registration, and rejection is '0 (times), 0 (times), 1 (times), 0 (times), 0 (times)', '1 (times), 0 (times)' , 0(times), 0(times), 0(times)', '0(times), 0(times), 1(times), 1(times), 0(times)', '1(times), 0(times), 1(times), 0(times), 0(times)', '0(times), 6(times), 0(times), 4(times), 5(times)', .. ., '0 (times), 5 (times), 0 (times), 4 (times), 4 (times)', '0 (times), 0 (times), 0 (times), 0 (times), Assume that it is confirmed as '0 (times)'.
이때, 페이지 특징 벡터 생성부(120)는 '페이지 1, 페이지 2, 페이지 3, 페이지 4, 페이지 5(205), ..., 페이지 9(509), 페이지 10' 각각에 대해, 각 페이지에서 '지재권, 특허, 저작권, 등록, 거절' 각각이 등장하는 등장 빈도수를 성분으로 갖는 5차원의 벡터를 구성함으로써, '페이지 1, 페이지 2, 페이지 3, 페이지 4, 페이지 5(205), ..., 페이지 9(509), 페이지 10' 각각에 대응되는 5차원의 페이지 특징 벡터를 생성할 수 있다.At this time, the page feature
이와 관련해서, '페이지 1'에 대해서는 '지재권, 특허, 저작권, 등록, 거절' 각각이 등장하는 등장 빈도수가 '0(회), 0(회), 1(회), 0(회), 0(회)'이므로, 페이지 특징 벡터 생성부(120)는 '페이지 1'에 대한 5차원의 페이지 특징 벡터로 '[0 0 1 0 0]'을 생성할 수 있다. 이러한 방식으로, 페이지 특징 벡터 생성부(120)는 '페이지 1, 페이지 2, 페이지 3, 페이지 4, 페이지 5(205), ..., 페이지 9(509), 페이지 10' 각각에 대응되는 5차원의 페이지 특징 벡터로 '[0 0 1 0 0], [1 0 0 0 0], [0 0 1 1 0], [1 0 1 0 0], [0 6 0 4 5], ..., [0 5 0 4 4], [0 0 0 0 0]'을 생성할 수 있다.In this regard, for 'Page 1', the frequency of appearance of each of 'intellectual property, patent, copyright, registration, rejection' is '0 (time), 0 (time), 1 (time), 0 (time), 0 (time)', the page feature
이렇게, '페이지 1, 페이지 2, 페이지 3, 페이지 4, 페이지 5(205), ..., 페이지 9(509), 페이지 10' 각각에 대응되는 페이지 특징 벡터가 생성되면, 벡터 유사도 연산부(121)는 '페이지 5(205)'의 페이지 특징 벡터인 '[0 6 0 4 5]'와, '페이지 1, 페이지 2, 페이지 3, 페이지 4, 페이지 5(205), ..., 페이지 9(509), 페이지 10' 중 '페이지 5(205)'를 제외한 나머지 페이지들인 '페이지 1, 페이지 2, 페이지 3, 페이지 4, ..., 페이지 9(509), 페이지 10'의 페이지 특징 벡터인 '[0 0 1 0 0], [1 0 0 0 0], [0 0 1 1 0], [1 0 1 0 0], ..., [0 5 0 4 4], [0 0 0 0 0]' 간의 벡터 유사도를 상기 수학식 1 내지 상기 수학식 3에 따라 'M1, M2, M3, M4, ..., M8, M9'와 같이 연산할 수 있다.In this way, when page feature vectors corresponding to 'page 1, page 2, page 3, page 4, page 5 (205), ..., page 9 (509), and page 10' are generated, the vector similarity calculator 121 ) is the page feature vector '[0 6 0 4 5]' of 'page 5 (205)' and 'page 1, page 2, page 3, page 4, page 5 (205), ..., page 9 Page feature vector of 'Page 1, Page 2, Page 3, Page 4, ..., Page 9 (509), Page 10' which is the remaining pages except 'Page 5 (205)' of '(509), Page 10' in '[0 0 1 0 0], [1 0 0 0 0], [0 0 1 1 0], [1 0 1 0 0], ..., [0 5 0 4 4], [0 0 0 0 0]' can be calculated as 'M1 , M2 , M3 , M4 , ..., M8 , M9 ' according to Equations 1 to 3 above.
만약, 상기 나머지 페이지들 각각에 대해서 연산된 벡터 유사도 중 벡터 유사도 'M8'이 최대로 연산되었다고 가정하는 경우, 선택부(122)는 상기 나머지 페이지들인 '페이지 1, 페이지 2, 페이지 3, 페이지 4, ..., 페이지 9(509), 페이지 10' 중, '페이지 5(205)'의 페이지 특징 벡터와의 벡터 유사도가 최대인 페이지 특징 벡터를 갖는 제1 페이지로 '페이지 9(509)'를 선택할 수 있다.If it is assumed that among the vector similarities calculated for each of the remaining pages, the vector similarity 'M8 ' is maximally calculated, the
이렇게, 선택부(122)에 의해 상기 제1 페이지가 선택되면, 겹침 표시부(123)는 도 5에 도시된 그림과 같이, 상기 제1 페이지인 '페이지 9(509)'를, 우측 영역(240)에 표시되고 있는 상기 6번째 페이지인 '페이지 6(206)'의 상위 레이어에 겹쳐서 표시할 수 있다.In this way, when the first page is selected by the
이렇게, 도 5에 도시된 그림과 같이, 겹침 표시부(123)에 의해 '페이지 9(509)'가, 우측 영역(240)에 표시되고 있는 '페이지 6(206)'의 상위 레이어에 겹쳐서 표시된 이후, 상기 사용자로부터 '페이지 9(509)'에 대한 페이지 제거 명령이 전자 장치(110)에 인가되면, 제거 표시부(124)는 우측 영역(240)에서 '페이지 6(206)'의 상위 레이어에 겹쳐서 표시되고 있는 '페이지 9(509)'를 제거함으로써, 우측 영역(240)에 '페이지 6(206)'만이 다시 표시되도록 처리할 수 있다.In this way, as shown in FIG. 5 , after 'Page 9 (509)' is displayed by overlapping the upper layer of 'Page 6 (206)' displayed in the
도 6은 본 발명의 일실시예에 따른 한 화면에 전자 문서를 구성하는 페이지들을 두 페이지씩 최적의 비율로 표시할 수 있는 전자 장치의 동작 방법을 도시한 순서도이다.6 is a flowchart illustrating an operating method of an electronic device capable of displaying pages constituting an electronic document in an optimal ratio of two pages on one screen according to an embodiment of the present invention.
단계(S610)에서는 사용자로부터, k(k는 3이상의 자연수)개의 페이지들로 사전 구성되어 있는 전자 문서를 하나의 화면 상에 두 개의 페이지씩 표시할 것을 지시하는 문서 표시 명령이 인가되면, 상기 k개의 페이지들을 하나의 화면 상에 두 개의 페이지씩 표시하기 위한 문서 표시 이벤트를 발생시킨다.In step S610, when a document display command instructing to display an electronic document pre-composed of k (k is a natural number of 3 or more) pages on one screen is applied from the user, the k Generates a document display event to display two pages on one screen.
단계(S620)에서는 상기 문서 표시 이벤트가 발생되면, 상기 전자 장치의 화면 상에서 문서가 표시되는 표시 영역에 대해, 상기 표시 영역의 중심점을 통과하는 세로축을 기준으로 좌측 영역과 우측 영역으로 분할한다.In step S620, when the document display event occurs, the display area in which the document is displayed on the screen of the electronic device is divided into a left area and a right area based on a vertical axis passing through the central point of the display area.
단계(S630)에서는 상기 표시 영역이 상기 좌측 영역과 상기 우측 영역으로 분할되면, 상기 좌측 영역에 상기 k개의 페이지들 중 n(n은 자연수)번째 페이지를 표시하고, 상기 우측 영역에 n+1번째 페이지를 표시하되, 상기 n번째 페이지의 가로 길이 및 세로 길이를 확인한 후, 상기 n번째 페이지의 세로 길이를 상기 n번째 페이지의 가로 길이로 나눈 제1 비율과 상기 좌측 영역의 세로 길이를 상기 좌측 영역의 가로 길이로 나눈 제1 기준 비율을 비교하여, 상기 제1 비율이 상기 제1 기준 비율 이상인 것으로 확인되면, 상기 n번째 페이지의 세로 길이가 상기 좌측 영역의 세로 길이와 동일해지도록 하는 스케일 조정 비율에 따라 상기 n번째 페이지의 크기를 조정해서 상기 좌측 영역에 표시하고, 상기 제1 비율이 상기 제1 기준 비율 미만인 것으로 확인되면, 상기 n번째 페이지의 가로 길이가 상기 좌측 영역의 가로 길이와 동일해지도록 하는 스케일 조정 비율에 따라 상기 n번째 페이지의 크기를 조정해서 상기 좌측 영역에 표시하며, 상기 n+1번째 페이지의 가로 길이 및 세로 길이를 확인한 후, 상기 n+1번째 페이지의 세로 길이를 상기 n+1번째 페이지의 가로 길이로 나눈 제2 비율과 상기 우측 영역의 세로 길이를 상기 우측 영역의 가로 길이로 나눈 제2 기준 비율을 비교하여, 상기 제2 비율이 상기 제2 기준 비율 이상인 것으로 확인되면, 상기 n+1번째 페이지의 세로 길이가 상기 우측 영역의 세로 길이와 동일해지도록 하는 스케일 조정 비율에 따라 상기 n+1번째 페이지의 크기를 조정해서 상기 우측 영역에 표시하고, 상기 제2 비율이 상기 제2 기준 비율 미만인 것으로 확인되면, 상기 n+1번째 페이지의 가로 길이가 상기 우측 영역의 가로 길이와 동일해지도록 하는 스케일 조정 비율에 따라 상기 n+1번째 페이지의 크기를 조정해서 상기 우측 영역에 표시한다.In step S630, when the display area is divided into the left area and the right area, the n (n is a natural number) th page among the k pages is displayed on the left area, and the n+1 th page is displayed on the right area. Pages are displayed, after confirming the horizontal length and vertical length of the n-th page, a first ratio obtained by dividing the vertical length of the n-th page by the horizontal length of the n-th page and the vertical length of the left area are the left area By comparing the first reference ratio divided by the horizontal length of , and when it is determined that the first ratio is equal to or greater than the first reference ratio, the scaling ratio such that the vertical length of the n-th page becomes equal to the vertical length of the left area. The size of the n-th page is adjusted and displayed in the left area according to, and when it is determined that the first ratio is less than the first reference ratio, the horizontal length of the n-th page is equal to the horizontal length of the left area. The size of the n-th page is adjusted according to the scaling ratio to be adjusted and displayed in the left area, and after checking the horizontal length and vertical length of the n+1-th page, the vertical length of the n+1-th page is determined as above. The second ratio divided by the horizontal length of the n+1th page is compared with the second reference ratio divided by the vertical length of the right area by the horizontal length of the right area, and it is determined that the second ratio is equal to or greater than the second reference ratio. , the size of the n+1 th page is adjusted according to a scaling ratio that makes the vertical length of the n+1 th page equal to the vertical length of the right area and displayed on the right area, and the second ratio If it is determined that the size of the n+1 th page is less than the second reference ratio, the size of the n+1 th page is adjusted according to a scaling ratio such that the horizontal length of the n+1 th page becomes the same as the horizontal length of the right area, thereby increasing the size of the right area. mark in the area.
이때, 본 발명의 일실시예에 따르면, 단계(S630)에서는 상기 제1 비율이 상기 제1 기준 비율 이상인 것으로 확인되면, 상기 좌측 영역의 세로 길이를 상기 n번째 페이지의 세로 길이로 나눈 값을 상기 n번째 페이지에 대한 제1 스케일 조정 비율로 연산하여, 상기 제1 스케일 조정 비율에 따라 상기 n번째 페이지의 크기를 조정하고, 상기 제1 비율이 상기 제1 기준 비율 미만인 것으로 확인되면, 상기 좌측 영역의 가로 길이를 상기 n번째 페이지의 가로 길이로 나눈 값을 상기 n번째 페이지에 대한 상기 제1 스케일 조정 비율로 연산하여, 상기 제1 스케일 조정 비율에 따라 상기 n번째 페이지의 크기를 조정하는 단계 및 상기 제2 비율이 상기 제2 기준 비율 이상인 것으로 확인되면, 상기 우측 영역의 세로 길이를 상기 n+1번째 페이지의 세로 길이로 나눈 값을 상기 n+1번째 페이지에 대한 제2 스케일 조정 비율로 연산하여, 상기 제2 스케일 조정 비율에 따라 상기 n+1번째 페이지의 크기를 조정하고, 상기 제2 비율이 상기 제2 기준 비율 미만인 것으로 확인되면, 상기 우측 영역의 가로 길이를 상기 n+1번째 페이지의 가로 길이로 나눈 값을 상기 n+1번째 페이지에 대한 상기 제2 스케일 조정 비율로 연산하여, 상기 제2 스케일 조정 비율에 따라 상기 n+1번째 페이지의 크기를 조정하는 단계를 포함할 수 있다.At this time, according to one embodiment of the present invention, in step S630, if it is determined that the first ratio is greater than or equal to the first reference ratio, the value obtained by dividing the vertical length of the left area by the vertical length of the n-th page is calculated as The size of the n-th page is adjusted according to the first scaling ratio by calculating the first scaling ratio for the n-th page, and when it is determined that the first ratio is less than the first reference ratio, the left area calculating a value obtained by dividing the horizontal length of by the horizontal length of the n-th page as the first scaling ratio for the n-th page, and adjusting the size of the n-th page according to the first scaling ratio; and If it is determined that the second ratio is greater than or equal to the second reference ratio, a value obtained by dividing the vertical length of the right area by the vertical length of the n+1 th page is calculated as the second scaling ratio for the n+1 th page. Then, the size of the n+1 th page is adjusted according to the second scaling ratio, and if it is determined that the second ratio is less than the second reference ratio, the horizontal length of the right area is set to the n+1 th page Calculating a value divided by the horizontal length of as the second scale adjustment ratio for the n+1 th page, and adjusting the size of the n+1 th page according to the second scale adjustment ratio. .
또한, 본 발명의 일실시예에 따르면, 상기 전자 장치의 동작 방법은 상기 좌측 영역에 상기 n번째 페이지가 표시되고, 상기 우측 영역에 상기 n+1번째 페이지가 표시되고 있는 상황에서, 상기 사용자로부터 상기 전자 문서에 대한 다음 페이지로의 페이지 전환 명령이 인가되면, n의 크기를 확인해서, n이 k-2 미만인 것으로 확인되는 경우, 상기 좌측 영역에 n+2번째 페이지를, 상기 우측 영역에 n+3번째 페이지를 표시하고, n이 k-2인 것으로 확인되는 경우, 상기 좌측 영역에 상기 n+2번째 페이지만을 표시하는 단계 및 상기 좌측 영역에 상기 n번째 페이지가 표시되고, 상기 우측 영역에 상기 n+1번째 페이지가 표시되고 있는 상황에서, 상기 사용자로부터 상기 전자 문서에 대한 이전 페이지로의 페이지 역전환 명령이 인가되면, n의 크기를 확인해서, n이 2를 초과하는 것으로 확인되는 경우, 상기 좌측 영역에 n-2번째 페이지를, 상기 우측 영역에 n-1번째 페이지를 표시하고, n이 2인 것으로 확인되는 경우, 상기 우측 영역에 상기 n-1번째 페이지만을 표시하는 단계를 더 포함할 수 있다.In addition, according to an embodiment of the present invention, the operating method of the electronic device is provided in a situation where the nth page is displayed in the left area and the n+1th page is displayed in the right area, from the user When a page switching command to the next page of the electronic document is applied, the size of n is checked, and if it is confirmed that n is less than k-2, the n+2th page is placed in the left area and n is placed in the right area. Displaying the +3 th page and displaying only the n+2 th page in the left area when it is confirmed that n is k-2; and displaying the n th page in the left area and in the right area. In a situation where the n+1th page is being displayed, if a page reverse command to the previous page for the electronic document is applied from the user, the size of n is checked and it is confirmed that n exceeds 2 , displaying the n-2 th page in the left area and the n-1 th page in the right area, and displaying only the n-1 th page in the right area when it is confirmed that n is 2 can include
이때, 본 발명의 일실시예에 따르면, 상기 n+2번째 페이지만을 표시하는 단계는 n의 크기를 확인한 결과, n이 k-2를 초과하는 것으로 확인되는 경우, 상기 전자 문서에 대한 다음 페이지가 존재하지 않음을 알리는 제1 안내 메시지를 생성한 후 상기 제1 안내 메시지를 화면 상에 표시할 수 있다.At this time, according to an embodiment of the present invention, in the step of displaying only the n+2 th page, when it is confirmed that n exceeds k-2 as a result of checking the size of n, the next page for the electronic document is displayed. After generating the first guide message notifying that it does not exist, the first guide message may be displayed on the screen.
이때, 상기 n-1번째 페이지만을 표시하는 단계는 n의 크기를 확인한 결과, n이 2 미만인 것으로 확인되는 경우, 상기 전자 문서에 대한 이전 페이지가 존재하지 않음을 알리는 제2 안내 메시지를 생성한 후 상기 제2 안내 메시지를 화면 상에 표시할 수 있다.At this time, in the step of displaying only the n-1th page, when it is confirmed that n is less than 2 as a result of checking the size of n, after generating a second guide message notifying that the previous page for the electronic document does not exist, The second guidance message may be displayed on the screen.
또한, 본 발명의 일실시예에 따르면, 상기 전자 장치의 동작 방법은 상기 좌측 영역에 상기 n번째 페이지가 표시되고, 상기 우측 영역에 상기 n+1번째 페이지가 표시되고 있는 상황에서, 상기 사용자로부터 상기 n번째 페이지에 대한 유사 페이지 검색 명령이 인가되면, 상기 전자 문서로부터 상기 전자 문서에서의 등장 빈도수가 큰 순서대로 t(t는 2이상의 자연수)개의 단어들을 추출하는 단계, 상기 k개의 페이지들 각각에서, 상기 t개 단어들 각각이 등장하는 등장 빈도수를 확인하는 단계, 상기 k개의 페이지들 각각에 대해, 각 페이지에서 상기 t개 단어들 각각이 등장하는 등장 빈도수를 성분으로 갖는 t차원의 벡터를 구성함으로써, 상기 k페이지들 각각에 대응되는 t차원의 페이지 특징 벡터를 생성하는 단계, 상기 n번째 페이지의 페이지 특징 벡터와, 상기 k개의 페이지들 중 상기 n번째 페이지를 제외한 나머지 페이지들의 페이지 특징 벡터 간의 벡터 유사도를 연산하는 단계, 상기 나머지 페이지들 중, 상기 n번째 페이지의 페이지 특징 벡터와의 벡터 유사도가 최대인 페이지 특징 벡터를 갖는 제1 페이지를 선택하는 단계, 상기 제1 페이지가 선택되면, 상기 제1 페이지를, 상기 우측 영역에 표시되고 있는 상기 n+1번째 페이지의 상위 레이어에 겹쳐서 표시하는 단계 및 상기 제1 페이지가, 상기 우측 영역에 표시되고 있는 상기 n+1번째 페이지의 상위 레이어에 겹쳐서 표시된 이후, 상기 사용자로부터 상기 제1 페이지에 대한 페이지 제거 명령이 인가되면, 상기 우측 영역에서 상기 n+1번째 페이지의 상위 레이어에 겹쳐서 표시되고 있는 상기 제1 페이지를 제거함으로써, 상기 우측 영역에 상기 n+1번째 페이지만이 표시되도록 처리하는 단계를 더 포함할 수 있다.In addition, according to an embodiment of the present invention, the operating method of the electronic device is provided in a situation where the nth page is displayed in the left area and the n+1th page is displayed in the right area, from the user When a similar page search command for the n-th page is applied, extracting t (t is a natural number equal to or greater than 2) words from the electronic document in order of increasing frequency of appearance in the electronic document, each of the k pages In, checking the frequency of occurrence of each of the t words, for each of the k pages, a t-dimensional vector having as a component the frequency of occurrence of each of the t words in each page generating a t-dimensional page feature vector corresponding to each of the k pages by constructing a page feature vector of the n-th page and page feature vectors of pages other than the n-th page among the k pages calculating a vector similarity between pages, selecting a first page having a page feature vector having a maximum vector similarity with the page feature vector of the n-th page, among the remaining pages, when the first page is selected; overlapping and displaying the first page on an upper layer of the n+1 th page displayed in the right area, and displaying the first page in an upper layer of the n+1 th page displayed in the right area If a page removal command for the first page is applied from the user after being overlapped with , by removing the first page overlapping the upper layer of the n+1 th page in the right area, the right area The method may further include processing so that only the n+1th page is displayed.
이상, 도 6을 참조하여 본 발명의 일실시예에 따른 전자 장치의 동작 방법에 대해 설명하였다. 여기서, 본 발명의 일실시예에 따른 전자 장치의 동작 방법은 도 1 내지 도 5를 이용하여 설명한 전자 장치(110)의 동작에 대한 구성과 대응될 수 있으므로, 이에 대한 보다 상세한 설명은 생략하기로 한다.In the above, the operating method of the electronic device according to an embodiment of the present invention has been described with reference to FIG. 6 . Here, since the operating method of the electronic device according to an embodiment of the present invention may correspond to the configuration of the operation of the
본 발명의 일실시예에 따른 한 화면에 전자 문서를 구성하는 페이지들을 두 페이지씩 최적의 비율로 표시할 수 있는 전자 장치의 동작 방법은 컴퓨터와의 결합을 통해 실행시키기 위한 저장매체에 저장된 컴퓨터 프로그램으로 구현될 수 있다.According to an embodiment of the present invention, an operating method of an electronic device capable of displaying pages constituting an electronic document in an optimal ratio of two pages on one screen is a computer program stored in a storage medium for execution through combination with a computer. can be implemented as
또한, 본 발명의 일실시예에 따른 한 화면에 전자 문서를 구성하는 페이지들을 두 페이지씩 최적의 비율로 표시할 수 있는 전자 장치의 동작 방법은 컴퓨터와의 결합을 통해 실행시키기 위한 컴퓨터 프로그램 명령 형태로 구현되어 컴퓨터 판독 가능 매체에 기록될 수 있다. 상기 컴퓨터 판독 가능 매체는 프로그램 명령, 데이터 파일, 데이터 구조 등을 단독으로 또는 조합하여 포함할 수 있다. 상기 매체에 기록되는 프로그램 명령은 본 발명을 위하여 특별히 설계되고 구성된 것들이거나 컴퓨터 소프트웨어 당업자에게 공지되어 사용 가능한 것일 수도 있다. 컴퓨터 판독 가능 기록 매체의 예에는 하드 디스크, 플로피 디스크 및 자기 테이프와 같은 자기 매체(magnetic media), CD-ROM, DVD와 같은 광기록 매체(optical media), 플롭티컬 디스크(floptical disk)와 같은 자기-광 매체(magneto-optical media), 및 롬(ROM), 램(RAM), 플래시 메모리 등과 같은 프로그램 명령을 저장하고 수행하도록 특별히 구성된 하드웨어 장치가 포함된다. 프로그램 명령의 예에는 컴파일러에 의해 만들어지는 것과 같은 기계어 코드뿐만 아니라 인터프리터 등을 사용해서 컴퓨터에 의해서 실행될 수 있는 고급 언어 코드를 포함한다.In addition, the operating method of an electronic device capable of displaying pages constituting an electronic document in an optimal ratio of two pages on one screen according to an embodiment of the present invention is in the form of computer program instructions for execution through combination with a computer. It can be implemented as and recorded on a computer readable medium. The computer readable medium may include program instructions, data files, data structures, etc. alone or in combination. Program instructions recorded on the medium may be those specially designed and configured for the present invention or those known and usable to those skilled in computer software. Examples of computer-readable recording media include magnetic media such as hard disks, floppy disks and magnetic tapes, optical media such as CD-ROMs and DVDs, and magnetic media such as floptical disks. - includes hardware devices specially configured to store and execute program instructions, such as magneto-optical media, and ROM, RAM, flash memory, and the like. Examples of program instructions include high-level language codes that can be executed by a computer using an interpreter, as well as machine language codes such as those produced by a compiler.
이상과 같이 본 발명에서는 구체적인 구성 요소 등과 같은 특정 사항들과 한정된 실시예 및 도면에 의해 설명되었으나 이는 본 발명의 보다 전반적인 이해를 돕기 위해서 제공된 것일 뿐, 본 발명은 상기의 실시예에 한정되는 것은 아니며, 본 발명이 속하는 분야에서 통상적인 지식을 가진 자라면 이러한 기재로부터 다양한 수정 및 변형이 가능하다.As described above, the present invention has been described by specific details such as specific components and limited embodiments and drawings, but these are provided to help a more general understanding of the present invention, and the present invention is not limited to the above embodiments. , Those skilled in the art in the field to which the present invention belongs can make various modifications and variations from these descriptions.
따라서, 본 발명의 사상은 설명된 실시예에 국한되어 정해져서는 아니되며, 후술하는 특허청구범위뿐 아니라 이 특허청구범위와 균등하거나 등가적 변형이 있는 모든 것들은 본 발명 사상의 범주에 속한다고 할 것이다.Therefore, the spirit of the present invention should not be limited to the described embodiments, and it will be said that not only the claims to be described later, but also all modifications equivalent or equivalent to these claims belong to the scope of the present invention. .
110: 한 화면에 전자 문서를 구성하는 페이지들을 두 페이지씩 최적의 비율로 표시할 수 있는 전자 장치
111: 문서 표시 이벤트 발생부112: 영역 분할부
113: 페이지 표시부114: 제1 크기 조정부
115: 제2 크기 조정부116: 페이지 전환부
117: 페이지 역전환부118: 단어 추출부
119: 등장 빈도수 확인부120: 페이지 특징 벡터 생성부
121: 벡터 유사도 연산부122: 선택부
123: 겹침 표시부124: 제거 표시부110: Electronic device capable of displaying pages constituting an electronic document on one screen in an optimal ratio of two pages
111: document display event generation unit 112: region division unit
113: page display unit 114: first size adjustment unit
115: second size adjusting unit 116: page switching unit
117: page inversion unit 118: word extraction unit
119: appearance frequency check unit 120: page feature vector generation unit
121: vector similarity calculation unit 122: selection unit
123: overlap display unit 124: removal display unit
| Application Number | Priority Date | Filing Date | Title |
|---|---|---|---|
| KR1020210148920AKR102620258B1 (en) | 2021-11-02 | 2021-11-02 | Electronic apparatus that can display the pages constituting an electronic document by two pages in an optimal ratio on one screen, and operating method thereof |
| Application Number | Priority Date | Filing Date | Title |
|---|---|---|---|
| KR1020210148920AKR102620258B1 (en) | 2021-11-02 | 2021-11-02 | Electronic apparatus that can display the pages constituting an electronic document by two pages in an optimal ratio on one screen, and operating method thereof |
| Publication Number | Publication Date |
|---|---|
| KR20230063649Atrue KR20230063649A (en) | 2023-05-09 |
| KR102620258B1 KR102620258B1 (en) | 2024-01-02 |
| Application Number | Title | Priority Date | Filing Date |
|---|---|---|---|
| KR1020210148920AActiveKR102620258B1 (en) | 2021-11-02 | 2021-11-02 | Electronic apparatus that can display the pages constituting an electronic document by two pages in an optimal ratio on one screen, and operating method thereof |
| Country | Link |
|---|---|
| KR (1) | KR102620258B1 (en) |
| Publication number | Priority date | Publication date | Assignee | Title |
|---|---|---|---|---|
| KR20020072536A (en)* | 1999-10-28 | 2002-09-16 | 샤프 가부시키가이샤 | Electronic book display, electronic book displaying method, and computer-readable recorded medium on which electronic book displaying program is recorded |
| JP2005202766A (en)* | 2004-01-16 | 2005-07-28 | National Institute Of Information & Communication Technology | Simultaneous presentation system for similar contents |
| KR101489666B1 (en)* | 2014-07-18 | 2015-02-04 | 주식회사 한글과컴퓨터 | Electronic document editing device and method for inserting image based on rotation information |
| JP2017174201A (en)* | 2016-03-24 | 2017-09-28 | 大日本印刷株式会社 | Electronic book display device and program |
| KR20180077349A (en)* | 2016-12-28 | 2018-07-09 | 주식회사 파수닷컴 | Method for providing electronic book using page information and apparatus for the same |
| Publication number | Priority date | Publication date | Assignee | Title |
|---|---|---|---|---|
| KR20020072536A (en)* | 1999-10-28 | 2002-09-16 | 샤프 가부시키가이샤 | Electronic book display, electronic book displaying method, and computer-readable recorded medium on which electronic book displaying program is recorded |
| JP2005202766A (en)* | 2004-01-16 | 2005-07-28 | National Institute Of Information & Communication Technology | Simultaneous presentation system for similar contents |
| KR101489666B1 (en)* | 2014-07-18 | 2015-02-04 | 주식회사 한글과컴퓨터 | Electronic document editing device and method for inserting image based on rotation information |
| JP2017174201A (en)* | 2016-03-24 | 2017-09-28 | 大日本印刷株式会社 | Electronic book display device and program |
| KR20180077349A (en)* | 2016-12-28 | 2018-07-09 | 주식회사 파수닷컴 | Method for providing electronic book using page information and apparatus for the same |
| Publication number | Publication date |
|---|---|
| KR102620258B1 (en) | 2024-01-02 |
| Publication | Publication Date | Title |
|---|---|---|
| KR102306149B1 (en) | System and method for automated conversion of interactive sites and applications to support mobile and other display environments | |
| JP5686673B2 (en) | Image processing apparatus, image processing method, and program | |
| US7844115B2 (en) | Information processing apparatus, method, and program product | |
| KR102227523B1 (en) | method of relocating comic content | |
| US20040255251A1 (en) | Assembling verbal narration for digital display images | |
| JP2008234664A (en) | Electronic content description conversion method | |
| US9727547B2 (en) | Media interface tools and animations | |
| CN106484256A (en) | Sectional drawing joining method and device | |
| JP5567097B2 (en) | Electronic device, handwritten document display method, and display program | |
| JP7161824B2 (en) | How to navigate the display content panel | |
| JP5899743B2 (en) | Image display device and image display program | |
| KR102554030B1 (en) | Electronic apparatus capable of displaying the page that constitutes an electronic document two pages at the same time on one screen and operating method thereof | |
| KR102119730B1 (en) | Electronic device for extracting template applicable to electronic document from image and operating method thereof | |
| KR102107449B1 (en) | Electronic device for displaying content of merged cell in spreadsheet document and operating method thereof | |
| KR20230063649A (en) | Electronic apparatus that can display the pages constituting an electronic document by two pages in an optimal ratio on one screen, and operating method thereof | |
| JP6274132B2 (en) | Music score display apparatus and music score display method | |
| JP2022033624A (en) | Information processing device and information processing program | |
| KR102300498B1 (en) | Electronic device that adjusts scroll unit movement distance according to the amount of content displayed in the screen display area when scrolling occurs and operating method thereof | |
| KR20230087131A (en) | Electronic terminal apparatus which is able to identify personal information included in the image object, which is to be inserted into an electronic document, and the operating method thereof | |
| KR102566908B1 (en) | Electronic terminal device for generating object guide frame on the page of a presentation document, and the opreating method thereof | |
| KR102466718B1 (en) | Electronic terminal device which enables inserting recorded video into the slide constituting a presentation document and the operating method thereof | |
| JP6424920B2 (en) | INFORMATION PROCESSING APPARATUS, INFORMATION SEARCH METHOD, AND PROGRAM | |
| JPH0764979A (en) | Document information processing device | |
| KR102566934B1 (en) | Electronic apparatus that performs parallel processing-based document format conversion and operating method thereof | |
| KR102636708B1 (en) | Electronic terminal apparatus which is able to produce a sign language presentation video for a presentation document, and the operating method thereof |
| Date | Code | Title | Description |
|---|---|---|---|
| PA0109 | Patent application | Patent event code:PA01091R01D Comment text:Patent Application Patent event date:20211102 | |
| PA0201 | Request for examination | ||
| PG1501 | Laying open of application | ||
| E902 | Notification of reason for refusal | ||
| PE0902 | Notice of grounds for rejection | Comment text:Notification of reason for refusal Patent event date:20230612 Patent event code:PE09021S01D | |
| E701 | Decision to grant or registration of patent right | ||
| PE0701 | Decision of registration | Patent event code:PE07011S01D Comment text:Decision to Grant Registration Patent event date:20231221 | |
| GRNT | Written decision to grant | ||
| PR0701 | Registration of establishment | Comment text:Registration of Establishment Patent event date:20231227 Patent event code:PR07011E01D | |
| PR1002 | Payment of registration fee | Payment date:20231227 End annual number:3 Start annual number:1 | |
| PG1601 | Publication of registration |