





본 발명은 사업장재해 통합관제 시스템 및 그 방법에 관한 것이다.The present invention relates to a workplace accident integrated control system and method.
ICT(Information and Communication Technology) 기술의 발전에 따라 매번 인력을 투입하여 관리하던 공장에 감지기를 설치해 재해 사고 발생 시 실시간으로 알람을 받고 그에 대처할 수 있도록 하는 관제 시스템은 엄청난 발전을 이루었다.With the development of ICT (Information and Communication Technology) technology, the control system that installs detectors in factories that have been managed by putting in manpower every time to receive alarms in real time and respond to them in the event of a disaster has made tremendous progress.
그러나, 종래의 관제 시스템은 화재 혹은 지진처럼 한가지 재해 사고에만 집중하므로, 각 시스템을 위해 다수의 관리자가 필요하며, 공장 단위의 감시로 건물 내에 정확한 재해 사고 위치를 파악하는 데에 오랜 시간이 소요된다는 문제점이 있다.However, since the conventional control system focuses on only one disaster such as fire or earthquake, multiple managers are required for each system, and it takes a long time to determine the exact location of the disaster in the building through factory-level monitoring. There is a problem.
또한, 연속 공정의 특성을 갖는 공장의 경우 한 설비의 짧은 장애가 연속되는 모든 공정에서 시간을 지연시키므로, 재해 사고가 일어나기 전 재해를 미리 방지하거나, 재해가 일어난 후 빠른 대처로 공정 지연을 줄이는 방법에 대한 필요성이 증가하고 있다.In addition, in the case of a factory with continuous process characteristics, a short failure of one facility delays time in all continuous processes, so there is a way to prevent disasters before disasters occur or to reduce process delays by responding quickly after disasters occur. need is increasing.
상기와 같은 기술적 배경을 바탕으로 안출된 것으로, 본 발명의 일 실시예는 공장을 3D 도면으로 구현하고, 공장에 설치된 감지기들과 설비의 계통 정보를 이용하여 공장 상황을 실시간으로 모니터링하고, 사고 방지를 위해 감지기로부터 이벤트 발생 알람이 울린 뒤 빠르게 대처할 수 있는 사업장재해 통합관제 시스템 및 그 방법을 제공하고자 한다.Based on the technical background as described above, an embodiment of the present invention implements a factory as a 3D drawing, monitors the factory situation in real time using system information of sensors and facilities installed in the factory, and prevents accidents. For this purpose, it is intended to provide a workplace accident integrated control system and method that can respond quickly after an event occurrence alarm is sounded from a detector.
또한, 본 발명의 일 실시예는 사용자가 3D 감지기 및 설비 객체를 직접 수정할 수 있는 환경을 제공함으로써, 효율적으로 공장 관리를 할 수 있는 사업장재해 통합관제 시스템 및 그 방법을 제공하고자 한다.In addition, an embodiment of the present invention is to provide an integrated workplace accident control system and method capable of efficiently managing a factory by providing an environment in which a user can directly modify 3D sensors and facility objects.
본 발명의 일 실시예에 따른 사업장재해 통합관제 시스템은 사업장에 설치된 시스템부, 및 상기 시스템부와 연결되어 사업장 재해를 통합 관제하는 시스템서버를 포함할 수 있다.An integrated workplace accident control system according to an embodiment of the present invention may include a system unit installed in a workplace, and a system server connected to the system unit for integrated control of workplace disasters.
시스템부는 상기 사업장의 화재, 및 가스를 감지하는 개별방재시스템부, 상기 사업장의 누수를 감지하는 누수모니터링시스템부, 및 상기 사업장의 설비를 관리하는 설비관리시스템부를 포함할 수 있다.The system unit may include an individual disaster prevention system unit for detecting fire and gas at the workplace, a water leakage monitoring system unit for detecting water leakage at the workplace, and a facility management system unit for managing facilities of the workplace.
시스템서버는 상기 시스템부로부터 전달되는 정보를 연계하는 시스템연계부, 상기 시스템연계부로부터 연계된 정보를 분석하는 정보분석모듈, 및 분석된 상기 정보를 사용자에게 전달하는 웹서비스부를 포함할 수 있다.The system server may include a system connection unit that links information transmitted from the system unit, an information analysis module that analyzes information linked from the system connection unit, and a web service unit that delivers the analyzed information to a user.
정보분석모듈은 머신 러닝을 이용해 알람 표시 여부를 결정하는 복합사고 판정모듈, 감지기의 알람을 발생시킨 원인설비를 예측하는 원인설비군 예측제시모듈, 및 상기 알람이 발생된 위치까지의 최단 진입 거리를 계산하는 출동경로 계산엔진을 포함할 수 있다.The information analysis module uses machine learning to determine whether an alarm is displayed or not, a complex accident determination module, a causal facility group prediction and presentation module that predicts the causal facility that caused the alarm of the detector, and the shortest entry distance to the location where the alarm occurred It may include a dispatch route calculation engine that calculates.
본 발명의 일 실시예에 따른 사업장재해 통합관제 방법은 감지기에서 이상을 감지하고 알람을 발생하는 단계, 상기 알람의 진/가성을 판단하는 단계, 진성으로 판단되는 경우, 알람을 발생시킨 원인설비를 추적하는 단계, 사내 메시지로 관계자에게 알람 발생 메시지를 전송하고, 시스템서버의 메인화면에 알람을 표시하는 단계, 상기 알람을 터치하여 알람 정보, 및 상기 원인설비의 상세 정보를 확인하는 단계, 및 상기 알람 발생의 원인을 해결하는 단계를 포함할 수 있다.An integrated workplace accident control method according to an embodiment of the present invention includes the steps of detecting an abnormality in a detector and generating an alarm, determining the true/false nature of the alarm, and when it is determined to be true, the cause facility that generated the alarm Tracking, sending an alarm occurrence message to a person concerned as an in-house message, displaying an alarm on the main screen of the system server, checking alarm information and detailed information of the cause equipment by touching the alarm, and It may include a step of resolving the cause of the alarm occurrence.
알람을 발생시킨 원인설비를 추적하는 단계는 급격한 변화가 일어난 설비를 파악하는 단계, 상기 설비의 계통 정보를 이용해 알람을 발생시킨 원인설비를 예측하는 단계, 및 원인설비까지의 최단 출동 경로를 계산하는 단계를 포함할 수 있다.The step of tracking the causal facility that generated the alarm is the step of identifying the facility where a sudden change occurred, the step of predicting the facility that caused the alarm using the system information of the facility, and the step of calculating the shortest dispatch route to the causal facility. steps may be included.
알람 발생의 원인을 해결하는 단계는 상기 알람을 클릭하여, 알람이 일어난 원인설비의 상세정보를 객체 관리 화면의 도면 위에 나타내는 단계, 상기 관계자의 후속조치를 CCTV로 확인하는 단계, 및 상기 후속조치 종료 후 메세지로 결과를 공유하는 단계를 포함할 수 있다.The step of resolving the cause of the alarm is the step of displaying the detailed information of the equipment causing the alarm on the drawing of the object management screen by clicking the alarm, the step of confirming the follow-up action of the person concerned through CCTV, and the end of the follow-up action. It may include a step of sharing the result in a post-message.
알람이 일어난 원인설비의 상세정보를 객체 관리 화면의 도면 위에 나타내는 단계는 상기 객체 관리 화면에서 알람 발생 위치의 도면을 조회하는 단계, 상기 도면에 표시된 감지기 및 설비의 목록을 확인하는 단계, 및 상기 감지기 및 설비의 배치를 수정하는 단계를 포함할 수 있다.The step of displaying the detailed information of the equipment causing the alarm on the drawing of the object management screen includes the step of inquiring the drawing of the location where the alarm occurred on the object management screen, the step of checking the list of detectors and equipment displayed on the drawing, and and modifying the arrangement of facilities.
전술한 본 발명의 과제 해결 수단 중 어느 하나에 의하면, 본 발명의 일 실시예에 따른 사업장재해 통합관제 시스템 및 방법은 모니터링을 하는 중에 알람이 울리면 시스템이 알람이 진성인지 판단하고, 진성으로 판단될 시 감지기를 울린 설비를 계통정보를 통해 파악한 뒤 최단 진입로 및 대피로를 계산하므로, 사고 발생 시 신속하게 대처할 수 있는 효과가 있다.According to any one of the above-described problem solving means of the present invention, in the workplace accident integrated control system and method according to an embodiment of the present invention, when an alarm sounds during monitoring, the system determines whether the alarm is true, and determines whether the alarm is true. Since the facility that triggered the detector is identified through system information and the shortest access and evacuation routes are calculated, it is effective to respond quickly in the event of an accident.
또한, 본 발명의 일 실시예에 따른 사업장재해 통합관제 시스템 및 방법은 웹서비스부가 구비되어 실시간으로 현재상황, 알람 정보, 문제해결 방법 등을 제공하므로, 제대로 된 후속 조치가 이루어지고 있는지 사용자가 확인할 수 있는 효과가 있다.In addition, the workplace accident integrated control system and method according to an embodiment of the present invention is provided with a web service unit to provide real-time current conditions, alarm information, and problem solving methods, so that users can check whether proper follow-up measures are being taken. There are possible effects.
또한, 본 발명의 일 실시예에 따른 사업장재해 통합관제 시스템 및 방법은 사용자에게 최단 대피 경로를 제시하기 때문에, 사고 발생 시 대피로를 확보할 수 있으므로, 인명피해를 줄일 수 있는 효과가 있다.In addition, since the workplace disaster integrated control system and method according to an embodiment of the present invention presents the shortest evacuation route to the user, it is possible to secure an evacuation route in the event of an accident, thereby reducing human casualties.
또한, 본 발명의 일 실시예에 따른 사업장재해 통합관제 시스템 및 그 방법은 시스템 관리자뿐만 아니라 시스템에 등록된 계정을 가진 사람들은 모두 실시간으로 장소에 구애받지 않고 모니터링 서버에 접속하여 공장 내 감지기 및 설비의 상태 정보를 파악할 수 있는 효과가 있다.In addition, in the workplace accident integrated control system and method according to an embodiment of the present invention, not only system administrators but also people with accounts registered in the system access the monitoring server in real time regardless of location to detect detectors and facilities in the factory. There is an effect of grasping the status information of
또한, 본 발명의 일 실시예에 따른 사업장재해 통합관제 시스템 및 그 방법은 모니터링을 하는 중에 알람이 울리면 시스템이 알람이 진성인지 판단하고, 진성으로 판단될 시 감지기를 울린 설비를 계통정보를 통해 파악한 뒤 최단 진입로를 계산하면, MMS를 받고 출동한 인원들을 CCTV 및 설비 정보를 통해 제대로 된 후속 조치가 이루어지고 있는지 관리자가 확인할 수 있는 효과가 있다.In addition, in the workplace accident integrated control system and method according to an embodiment of the present invention, when an alarm sounds during monitoring, the system determines whether the alarm is true, and when it is determined that the alarm is true, the facility that triggered the detector is identified through system information By calculating the shortest access road, the manager can check whether proper follow-up measures are being taken through CCTV and facility information for the personnel dispatched after receiving the MMS.
또한, 본 발명의 일 실시예에 따른 사업장재해 통합관제 시스템 및 그 방법은 3D 도면에 수정이 필요할 시 직접 객체를 도면에 추가 혹은 제거할 수 있어, 공장 설비를 부분적으로 교체할 때마다 매번 도면을 새로 구축할 필요가 없으므로, 시간을 절약할 수 있는 효과가 있다.In addition, the workplace accident integrated control system and method according to an embodiment of the present invention can add or remove objects directly to the 3D drawing when modification is required, so that the drawing can be updated every time factory equipment is partially replaced. Since there is no need to build a new one, this has the effect of saving time.
도 1 은 본 발명의 일 실시예에 따른 사업장재해 통합관제 시스템을 설명하기 위한 블록도이다.
도 2는 도 1의 정보분석모듈을 설명하기 위한 블록도이다.
도 3은 도 1의 웹서비스부를 설명하기 위한 블록도이다.
도 4는 본 발명의 일 실시예에 따른 설비의 계통보기 화면의 일 예를 설명하기 위한 예시도이다.
도 5는 본 발명의 일 실시예에 따른 통합관제 방법을 설명하기 위한 흐름도이다.
도 6은 본 발명의 일 실시예에 따른 도면 관리 방법을 설명하기 위한 흐름도이다.1 is a block diagram for explaining a workplace accident integrated control system according to an embodiment of the present invention.
Figure 2 is a block diagram for explaining the information analysis module of Figure 1;
FIG. 3 is a block diagram for explaining the web service unit of FIG. 1 .
4 is an exemplary view for explaining an example of a system view screen of a facility according to an embodiment of the present invention.
5 is a flowchart illustrating an integrated control method according to an embodiment of the present invention.
6 is a flowchart illustrating a drawing management method according to an embodiment of the present invention.
본 명세서에서 사용되는 기술적 용어는 단지 특정한 실시 예를 설명하기 위해 사용된 것으로, 본 발명을 한정하려는 의도가 아님을 유의해야 한다. 또한, 본 명세서에서 사용되는 기술적 용어는 본 명세서에서 특별히 다른 의미로 정의되지 않는 한, 본 발명이 속하는 기술 분야에서 통상의 지식을 가진 자에 의해 일반적으로 이해되는 의미로 해석되어야 하며, 과도하게 포괄적인 의미로 해석되거나, 과도하게 축소된 의미로 해석되지 않아야 한다. 또한, 본 명세서에서 사용되는 기술적인 용어가 본 발명의 사상을 정확하게 표현하지 못하는 잘못된 기술적 용어일 때에는, 당업자가 올바르게 이해할 수 있는 기술적 용어로 대체되어 이해되어야 할 것이다. 또한, 본 발명에서 사용되는 일반적인 용어는 사전에 정의되어 있는 바에 따라, 또는 전후 문맥상에 따라 해석되어야 하며, 과도하게 축소된 의미로 해석되지 않아야 한다.It should be noted that the technical terms used in this specification are only used to describe specific embodiments and are not intended to limit the present invention. In addition, technical terms used in this specification should be interpreted in terms commonly understood by those of ordinary skill in the art to which the present invention belongs, unless specifically defined otherwise in this specification, and are overly inclusive. It should not be interpreted in a positive sense or in an excessively reduced sense. In addition, when the technical terms used in this specification are incorrect technical terms that do not accurately express the spirit of the present invention, they should be replaced with technical terms that those skilled in the art can correctly understand. In addition, general terms used in the present invention should be interpreted as defined in advance or according to context, and should not be interpreted in an excessively reduced sense.
또한, 본 명세서에서 사용되는 단수의 표현은 문맥상 명백하게 다르게 뜻하지 않는 한, 복수의 표현을 포함한다. 본 출원에서, "구성된다" 또는 "가지다" 등의 용어는 명세서 상에 기재된 여러 구성 요소들, 또는 여러 단계들을 반드시 모두 포함하는 것으로 해석되지 않아야 하며, 그 중 일부 구성 요소들 또는 일부 단계들은 포함되지 않을 수도 있고, 또는 추가적인 구성 요소 또는 단계들을 더 포함할 수 있는 것으로 해석되어야 한다.Also, singular expressions used in this specification include plural expressions unless the context clearly indicates otherwise. In this application, terms such as "consisting of" or "having" should not be construed as necessarily including all of the various components or steps described in the specification, and some of the components or steps are included. It should be construed that it may not be, or may further include additional components or steps.
도 1 은 본 발명의 일 실시예에 따른 사업장재해 통합관제 시스템을 설명하기 위한 블록도이다.1 is a block diagram for explaining a workplace accident integrated control system according to an embodiment of the present invention.
도 1을 참고하면, 본 발명의 일 실시예에 따른 사업장재해 통합관제 시스템은 시스템부(100), 및 시스템서버(200)를 포함할 수 있다.Referring to FIG. 1 , a workplace accident integrated control system according to an embodiment of the present invention may include a
시스템부(100)는 사업장에 설치될 수 있다. 시스템부(100)는 개별방재시스템부(110), 누수모니터링시스템부(120), 및 설비관리시스템부(130)를 포함할 수 있다.The
개별방재시스템부(110)는 사업장의 화재, 및 가스누출을 감지할 수 있다. 이를 위해, 개별방재시스템부(110)는 복수 개의 감지부와 복수 개의 모니터링부를 포함할 수 있다. 예를 들어, 감지부는 설비 부착형 화재감지부, 자동 화재감지부, 공기 흡입형 화재감지부를 포함할 수 있다. 모니터링부는 가스 모니터링부, 산소농도 모니터링부, 및 질소농도 모니터링부를 포함할 수 있다.The individual disaster
누수모니터링시스템부(120)는 사업장의 누수를 감지할 수 있다. 이를 위해, 누수모니터링시스템부(120)는 복수 개의 감지부를 포함할 수 있다. 예를 들어, 누수모니터링시스템부(120)는 화학물질 누수감지부, 바닥형 누수감지부, 및 설비형 누수감지부를 포함할 수 있다. 화학물질 누수 감지부는 화학물질이 누수되는 것을 감지하여, 폭발 등의 사고를 예방할 수 있다. 바닥형 누수감지부는 사업장의 바닥에 설치될 수 있으며, 설비형 누수감지부는 각각의 설비마다 설치되어 누수로부터 발생되는 감전, 폭발 등의 위험을 예측하고, 방지할 수 있는 효과가 있다.The water leakage
설비관리시스템부(130)는 사업장의 설비를 관리할 수 있다. 설비관리시스템부(130)는 설비제원, 설비상태, 설비물질정보, 설비연결정보를 저장하고, 관리할 수 있다.The facility
본 발명의 일 실시예는 설비관리시스템부(130)가 구비되어, 설비를 유지 및 보수하기 때문에, 설비에서 발생될 수 있는 사고를 미연에 방지할 수 있는 효과가 있다.In one embodiment of the present invention, since the facility
시스템서버(200)는 시스템부(100)와 연결되어 사업장 재해를 통합 관제할 수 있다. 시스템서버(200)는 시스템연계부(210), 정보분석모듈(220), 및 웹서비스부(230)를 포함할 수 있다.The
시스템연계부(210)는 시스템부(100)로부터 전달되는 정보를 시스템서버(200)에 연계할 수 있다.The
정보분석모듈(220)은 시스템연계부(210)로부터 연계된 정보를 분석할 수 있다. 예를 들어, 정보분석모듈(220)은 시스템부(100)에서 알람이 발생된 경우, 발생된 알람인 진성인지 가성인지를 판단할 수 있다. 정보분석모듈(220)은 알람이 진성인 경우, 알람이 발생된 설비를 추적하고, 알람이 발생된 원인을 분석할 수 있다. 정보분석모듈(220)은 알람이 발생된 설비의 위치를 파악하고 출입구까지의 최단경로를 구축할 수 있다. 이에 따라, 알람이 발생된 설비 인근에 위치한 사용자에게 대피하기 위한 최단 대피 경로를 제시할 수 있다. 정보분석모듈(220)은 알람 발생 원인에 따른 문제해결 방법을 제시할 수 있다. 정보분석모듈(220)은 문제해결을 위한 인원이 필요한 경우, 설비관리자의 현재 위치를 판단하고, 알람이 발생된 설비까지의 최단 출동 경로를 제시할 수 있다.The
웹서비스부(230)는 정보분석모듈(220)에서 분석된 정보를 사용자에게 전달할 수 있다. 웹서비스부(230) 시스템서버(200)와 연동하고 있는 사용자의 단말기, 또는 PC로 분석된 정보를 전달할 수 있다. 예를 들어, 웹서비스부(230)는 정보분석모듈(220)로부터 전달받은 알람 발생 원인과 대피하기 위한 최단경로 정보를 알람이 발생된 설비 인근에 위치한 사용자의 단말기 또는 PC로 전송할 수 있다. 또한, 웹서비스부(230)는 문제해결 방법, 및 최단 출동 경로를 설비관리자의 단말기 또는 PC로 전송할 수 있다.The
상술한 바와 같은 본 발명의 일 실시예는 시스템 관리자뿐만 아니라 시스템에 등록된 계정을 가진 사람들은 모두 실시간으로 장소에 구애받지 않고 시스템서버에 접속하여 공장 내 감지기 및 설비의 상태 정보를 파악할 수 있는 효과가 있다.As described above, according to an embodiment of the present invention, not only system administrators but also people with accounts registered in the system can connect to the system server in real time regardless of location and grasp status information of sensors and facilities in the factory. there is
또한, 본 발명의 일 실시예는 모니터링을 하는 중에 알람이 울리면 시스템이 알람이 진성인지 판단하고, 진성으로 판단될 시 감지기를 울린 설비를 계통정보를 통해 파악한 뒤 최단 진입로 및 대피로를 계산하므로, 사고 발생 시 신속하게 대처할 수 있는 효과가 있다.In addition, in one embodiment of the present invention, if an alarm sounds during monitoring, the system determines whether the alarm is true, and when it is determined that the alarm is true, the facility that triggered the detector is identified through system information and the shortest access road and escape route are calculated. It has the effect of being able to respond quickly in the event of an accident.
또한, 본 발명의 일 실시예는 웹서비스부가 구비되어 실시간으로 현재상황, 알람 정보, 문제해결 방법 등을 제공하므로, 제대로 된 후속 조치가 이루어지고 있는지 사용자가 확인할 수 있는 효과가 있다.In addition, in one embodiment of the present invention, since a web service unit is provided to provide current conditions, alarm information, and problem solving methods in real time, the user can confirm whether proper follow-up measures are being taken.
도 2는 도 1의 정보분석모듈을 설명하기 위한 블록도이다.Figure 2 is a block diagram for explaining the information analysis module of Figure 1;
도 2를 참고하면, 본 발명의 일 실시예에 따른 정보분석모듈(220)은 복합사고 판정모듈(221), 원인설비군 예측제시모듈(222), 및 출동경로 계산엔진(223)을 포함할 수 있다.Referring to FIG. 2 , the
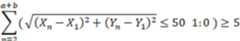
복합사고 판정모듈(221)은 머신 러닝을 이용해 알람 표시 여부를 결정할 수 있다. 복합사고 판정모듈(221)은 주변 알람 발생 데이터와의 연관 관계를 파악하여 알람의 진/가성을 판단할 수 있다. 예를 들어, 화재 감지기, 및 가스 감지기의 알람이 동시에 발생되는 경우, 복합사고 판정모듈(221)은 발생된 알람을 진성으로 판단할 수 있다. 또한, 화재 감지기에서 알람이 발생되고, 주변에서 화기 작업이 진행 중인 경우, 복합사고 판정모듈(221)은 발생된 알람을 가성으로 판단할 수 있다. 예를 들어, 누수 감지기의 경우, 예민한 감지기에서 가성 알람이 자주 발생될 수 있다. 이에 따라, 진성 알람이 발생되는 평균시간간격을 계산해 연속되는 알람의 평균시간간격이 오차범위 내에 해당될 경우, 복합사고 판정모듈(221)은 발생된 알람을 진성으로 판단할 수 있다. 또한, 연속되는 알람의 평균시간간격이 오차범위를 벗어날 경우, 복합사고 판정모듈(221)은 발생된 알람을 가성으로 판단할 수 있다.The complex
예를 들면, 복합사고 판정모듈(221)은 수학식 1을 사용하여, 알람 발생 감지기 개수 조건을 생성할 수 있다.For example, the complex
[수학식 1][Equation 1]
여기에서 a는 화재 알람 개수 일수 있으며, b는 가스 알람 개수일 수 있다. 화재 알람 개수가 2개 이상이고, 가스 알람 개수가 3개 이상일 경우, 복합사고 판정모듈(221)은 높은 가중치를 부여할 수 있다. 높은 가중치가 부여될수록 화재발생 알람은 진성 알람일 수 있다.Here, a may be the number of fire alarms and b may be the number of gas alarms. When the number of fire alarms is two or more and the number of gas alarms is three or more, the complex
복합사고 판정모듈(221)은 수학식 2를 사용하여, 시간 조건을 생성할 수 있다.The complex
[수학식 2][Equation 2]
여기서, T는 알람 발생 시간일 수 있으며, 20은 5개의 알람이 발생된 시간의 합일 수 있다. 예를 들면, 복합하고 판정모듈(221)은 5개의 알람이 울린 시간의 합을 계산하여, 가중치를 부여할 수 있다. 즉, 20분 이내에 5개 이상의 알람이 발생되는 경우, 복합사고 판정모듈은 높은 가중치를 부여할 수 있다. 높은 가중치가 부여될수록 발생 알람은 진성 알람일 수 있다.Here, T may be an alarm generation time, and 20 may be the sum of five alarm generation times. For example, the complex and
또한, β는 주변환경 가중치일 수 있다. 예를 들면, 주변환경 가중치(β)는 날씨, 감지기 주변의 상황, 환경 등에 따른 점수로 1 내지 10 사이로 설정할 수 있다.Also, β may be an environment weight. For example, the environment weight β may be set between 1 and 10 as a score according to the weather, the situation around the sensor, the environment, and the like.
예를 들면, 표 1과 같이, 감지기 주변에 환경변화가 없는 경우, 주변환경 가중치()는 1로 설정될 수 있으며, 감지기 주변에서 화기작업이 진행 중인 경우, 주변환경 가중치(β)는 7로 설정될 수 있다. 감지기 주변의 습도가 70% 이상인 경우 및 누수 감지기 주변에서 물청소를 하는 경우 주변환경 가중치(β)는 3으로 설정될 수 있으며, 감지기 주변에서 장비 유지보수 작업을 하는 경우 주변환경 가중치(β)는 5로 설정될 수 있다. 예를 들어, 20분이내에 5개의 알람이 발생되었는데, 주변환경 가중치(β)가 1인 경우, 발생 알람은 진성 알람일 수 있다. 예를 들어, 20분이내에 5개의 알람이 발생되었는데, 주변환경 가중치(β)가 10인 경우, 발생 알람은 가성 알람일 수 있다.For example, as shown in Table 1, when there is no environmental change around the sensor, the surrounding environment weight ( ) may be set to 1, and when hot work is in progress around the sensor, the surrounding environment weight (β) may be set to 7. When the humidity around the detector is over 70% and when cleaning with water around the leak detector, the environmental weight (β) can be set to 3, and when equipment maintenance work is performed around the detector, the environmental weight (β) is Can be set to 5. For example, when 5 alarms are generated within 20 minutes and the environment weight (β) is 1, the generated alarms may be true alarms. For example, if 5 alarms are generated within 20 minutes and the surrounding environment weight (β) is 10, the generated alarms may be false alarms.
복합사고 판정모듈(221)은 수학식 3을 사용하여, 거리 조건을 생성할 수 있다.The complex
[수학식 3][Equation 3]
여기서, X, Y는 감지기의 위치일 수 있다. 예를 들어, 20분 이내에 발생된 5개 이상의 알람들이 50미터 이내의 범위 안에 존재하는 경우, 복합사고 판정모듈(221)은 높은 가중치를 부여할 수 있다. 높은 가중치가 부여될수록 화재발생 알람은 진성 알람일 수 있다.Here, X and Y may be the position of the detector. For example, when five or more alarms generated within 20 minutes exist within a range of 50 meters or less, the complex
상술한 바와 같이, 시스템에서 위의 3가지 조건을 지속적으로 판단하여 복합사고 발생을 결정할 수 있다. 이에 따라, 모니터링 체계가 더욱 강화될 수 있다. 시스템에서 위의 3가지 조건은 적용 사업장의 규모, 감지기의 수 등에 따라 조정될 수 있다.As described above, the system can determine the occurrence of a complex accident by continuously determining the above three conditions. Accordingly, the monitoring system can be further strengthened. The above three conditions in the system can be adjusted according to the size of the applied business, the number of detectors, etc.
원인설비군 예측제시모듈(222)은 알람이 발생된 설비를 예측할 수 있다. 예를 들어, 원인설비군 예측제시모듈(222)은 알람 발생 시 주변 설비들의 상태 데이터를 실시간으로 저장하고, 분석할 수 있다. 원인설비군 예측제시모듈(222)은 순간적으로 전압, 온도, 및 압력 등의 변화가 발생한 설비를 추적하고, 상기 설비의 계통 데이터를 분석하여 알람 발생의 원인이 된 설비를 예측할 수 있다. 즉, 원인설비군 예측제시모듈(222)은, 감지기와 가까운 설비에서 알람이 발생되었다고 단정지을 수 없으므로, 등록된 계통 정보로 연관된 설비들 상태를 분석하여 알람 발생의 원인이 된 설비를 예측할 수 있다.The causal facility group prediction and
출동경로 계산엔진(223)은 알람이 울린 시스템까지의 최단 진입 거리를 계산할 수 있다. 예를 들어, 출동경로 계산엔진(223)은 알람 발생의 원인이 된 설비의 위치를 저장하고, 출입구로부터 상기 설비까지의 최단 출동 경로를 계산할 수 있다. 또한, 문제해결을 위해 필요한 출동인원의 현위치를 저장하고, 출동인원의 현위치로부터 상기 알람 발생 설비까지의 최단 출동 경로를 계산할 수 있다.The dispatch
정보분석모듈(220)은 대피경로 계산엔진을 더 포함할 수 있다. 예를 들어, 대피경로 계산엔진은 알람 발생 설비의 주변에 있는 사용자들의 위치를 저장하고, 사용자들의 위치로부터 출입구 또는 대피소까지의 최단 대피 경로 및 이동시간을 계산할 수 있다. 이 경우, 대피경로 계산엔진은 이동시 혼잡을 막기위하여, 각 장소에 있는 사용자들이 가장 효율적으로 대피할 수 있는 동선을 파악하여, 최단 대피 경로를 계산할 수 있다.The
정보분석모듈(220)은 분석된 정보를 웹서비스부로 전송할 수 있다. 예를 들어, 복합사고 판정모듈(221)은 발생된 알람이 진성일 경우, 알람 발생 정보를 웹서비스부로 전송할 수 있다. 원인설비군 예측제시모듈(222)은 알람이 발생된 설비를 예측하고, 설비의 위치 및 알람 발생 원인 등의 정보를 웹서비스부로 전송할 수 있다. 출동경로 계산엔진(223)은 알람이 울린 시스템까지의 최단 진입 거리를 웹서비스부로 전송할 수 있다. 대피경로 계산엔진은 알람 발생 설비의 주변에 있는 사용자들의 위치 및 최단 대피 경로를 웹서비스부로 전송할 수 있다.The
이에 따라, 본 발명의 일 실시예는 주변 알람 발생 데이터와의 연관 관계를 파악하여 알람의 진/가성을 판단하고, 최단 출동 경로를 제시하기 때문에, 사고 발생 시 신속하게 대처할 수 있는 효과가 있다.Accordingly, since an embodiment of the present invention determines the true/false of an alarm by grasping a relationship with surrounding alarm generation data and presents the shortest dispatch route, there is an effect of quickly coping with an accident.
또한, 본 발명의 일 실시예는 대피경로 계산엔진이 사용자에게 최단 대피 경로를 제시하기 때문에, 사고 발생 시 대피로를 확보할 수 있으므로, 인명피해를 줄일 수 있는 효과가 있다.In addition, in one embodiment of the present invention, since the evacuation route calculation engine presents the shortest evacuation route to the user, it is possible to secure an evacuation route in the event of an accident, thereby reducing human casualties.
도 3은 도 1의 웹서비스부를 설명하기 위한 블록도이다.FIG. 3 is a block diagram for explaining the web service unit of FIG. 1 .
도 3을 참고하면, 본 발명의 일 실시예에 따른 웹서비스부(230)는 모니터링 브라우저(231), 및 GIS 2D/3D엔진(232)을 포함할 수 있다.Referring to FIG. 3 , the
모니터링 브라우저(231)는 메인화면(231a), 모니터링화면(231b), 가스 대시보드화면(231c), 가스감지기 관리화면(231d), 통합이벤트 관리화면(231e), 객체 관리화면(231f), 및 지진계 화면(231g)을 포함할 수 있다.The
메인화면(231a)은 현재 사업장의 상황을 요약하여 나타낼 수 있다. 메인화면(231a)은 모니터링 브라우저(231)에 가장 먼저 표시되는 화면일 수 있다. 메인화면(231a)은 미리 등록된 사업장에서 발생한 알람 정보, 및 날씨 정보를 나타낼 수 있다.The
메인화면(231a)은 SMS전송부를 포함할 수 있다. SMS 전송부는 사용자의 연락처를 검색할 수 있는 팝업부, 메시지를 작성할 수 있는 텍스트 작성부, 및 팝업부에서 검색된 연락처로 작성된 메시지를 송신할 수 있는 송신부를 포함할 수 있다.The
본 발명의 일 실시예는 SMS전송부가 구비되기 때문에, 관리자, 및 관계자 들에게 실시간으로 사업장의 감지기, 설비, 알람 정보를 전달하고 공유할 수 있다.Since an SMS transmission unit is provided in an embodiment of the present invention, it is possible to deliver and share information on sensors, facilities, and alarms of a business site in real time to managers and related parties.
메인화면(231a)은 최근 발생 이벤트부를 포함할 수 있다. 최근 발생 이벤트부는 최근 발생된 복수 개의 알람을 순서대로 표시할 수 있다. 예를 들어, 복수 개의 알람은 최대 7일 수 있다. 7개의 알람이 최근 발생된 순서로 나열될 수 있다. 복수 개의 알람 목록에서 특정 알람을 선택하는 경우, 선택된 특정 알람의 모니터링화면(231b)으로 이동할 수 있다. 모니터링화면(231b)은 선택된 특정 알람이 발생된 해당층의 3D 도면을 표시할 수 있다. 예를 들어, 웹서비스부(230)에 표시되는 복수의 메뉴 중에서 모니터링화면(231b)을 선택하고 해당층을 선택하는 경우, 동일한 화면이 표시될 수 있다.The
모니터링화면(231b)은 초기데이터 조회, 화면 설정, 감지기 및 설비 조회, 설비 계통정보 조회, 및 출동진입로 등의 터치 또는 클릭 버튼을 포함할 수 있다.The
초기데이터 조회는 현재 내부 상황이 실시간으로 조회될 수 있다. 예를 들어, 초기데이터 조회는 알람 존재 시, 조회된 첫 번째 알람의 감지기 위치를 도면 위에 빨간색 'A' 아이콘으로 표시하고, 해당 위치의 상세정보를 나타내는 창을 포함할 수 있다. 해당 위치의 상세정보 창에는 해당 위치에 설치된 감지기 및 설비의 명칭, 코드, 가동상태, 위치정보, 및 출동진입로 아이콘이 포함될 수 있다. 출동진입로 아이콘 선택 시, 3D 도면에는 해당 시설물로 접근 가능한 최단 출동 경로를 계산해 도면 위에 표시할 수 있다.In the initial data search, the current internal situation can be searched in real time. For example, the search for initial data may include a window displaying a red 'A' icon on the drawing and displaying detailed information of the position of the sensor of the first searched alarm when an alarm exists. The detailed information window of the corresponding location may include the name, code, operating state, location information, and an access road icon of sensors and facilities installed at the corresponding location. When the dispatch road icon is selected, the shortest dispatch route accessible to the facility can be calculated and displayed on the 3D drawing.
화면 설정은 시설물 표시, VIEW 설정, 및 그래픽 설정을 포함할 수 있다. 사용자는 화면 설정을 통해 한 화면에서 사용자에게 보이는 정보를 변경할 수 있다.Screen settings may include facility display, VIEW settings, and graphic settings. The user can change the information displayed to the user on one screen through screen settings.
감지기 및 설비 조회는 시스템부에 구비된 감지기와 설비들의 정보를 조회할 때 사용될 수 있다. 예를 들어, 감지기 및 설비 조회는 현재 화면의 위치를 클릭하거나, 화면 일측의 감지기 및 설비 창에 감지기 코드를 입력함으로써 조회할 수 있다. 예를 들어, 계통이 존재하는 설비의 경우, 계통 조회 버튼이 활성화되며, 계통 조회 선택 시 해당 설비의 계통정보가 팝업으로 날 수 있다. 계통 조회는 3D 계통보기, 블록형 계통보기, 및 차트형 계통보기가 포함할 수 있다.Detector and facility inquiry can be used when searching for information on sensors and facilities provided in the system unit. For example, sensor and facility inquiry can be inquired by clicking a location on the current screen or by inputting a sensor code in the sensor and facility window on one side of the screen. For example, in the case of a facility with a system, a system search button is activated, and when a system search is selected, the system information of the facility may appear in a pop-up window. Lineage inquiry may include a 3D lineage view, a block type lineage view, and a chart type lineage view.
상술한 바와 같이, 설비 계통 정보는 알람을 울린 원인 설비군을 예측할 때 사용될 수 있고, 출동 진입로 버튼은 최단 출동 경로를 확인할 때 사용될 수 있다.As described above, the equipment system information can be used to predict the equipment group that caused the alarm, and the dispatch ramp button can be used to check the shortest dispatch route.
가스 대시보드화면(231c)은 알람/FDC 목록을 조회하기 위해 사용될 수 있다. 가스 대시보드화면(231c)은 적어도 하나 이상의 차트를 활성화할 수 있다. 예를 들어, 가스 대시보드화면(231c)은 3개의 차트를 활성화할 수 있으며, 수신 설정 선택 시 수신 설정 팝업을 통해 실시간으로 수신할 알람 등급 및 위치를 수정할 수 있다. 또한, 알람 목록에서 감지기 코드 선택 시, 가스 감지기 상세정보 팝업이 호출되고, 일/시/분/초 기준으로 차트, 및 이력 정보를 조회할 수 있다. 여기서, 차트는 가스 감지기 이벤트 관리 화면의 차트와 동일할 수 있다.The
가스감지기 이벤트 관리화면(231d)은 가스 감지기 정보, 알람 이력, 장애 이력 조회 및 가스 등급 관리를 포함할 수 있다. 가스 감지기 정보는 시스템부에 설치된 가스감지기 각각의 정보를 표시할 수 있다. 알람 이력은 선택된 위치 조건과 기간 동안 울렸던 알람을 표 형식으로 표시할 수 있다. 장애 이력 조회는 선택된 위치 조건과 기간 동안 감지기가 일으켰던 장애 문제를 목록으로 표시할 수 있다. 가스 등급 관리는 가스 코드 별 가스 명과 단위, 등급별 수치를 표시하고, 설정할 수 있다.The gas detector
통합이벤트 관리화면(231e)은 시스템부로부터 전송된 모든 알람 상황을 표시할 수 있다. 통합이벤트 관리화면(231e)은 세부이벤트 내역을 포함할 수 있다. 세부 이벤트내역 선택 시, 이벤트 내역 탭과 사업장에 설치된 감지기 정보를 나열하는 감지기 정보 탭이 나타날 수 있다.The integrated
객체 관리화면(231f)은 구역별 설치되어있는 객체들에 대한 정보를 표시할 수 있다. 예를 들어, 객체들은 감지기 및 설비 일 수 있다.The
지진계 화면(231g)은 지진 감지 모니터링 맵, 지진 알람 이력, 및 실시간 지진 계측 현황 탭을 포함할 수 있다. 지진 감지 모니터링 맵은 각 사업장의 위치를 나타낼 수 있다. 예를 들어, 어느 하나의 사업장 선택 시, 해당 사업장의 실시간 지진 계측현황 상세정보와 MMI (Modified Mercalli Intensity), gal 수치를 차트로 표시할 수 있다. 지진 알람 이력은 사업장의 지진 알람 이력 상세정보와 MMI, gal 수치를 표시할 수 있다. 또한, 지진 감지 모니터링 맵 아래에는 지진 위험 단계를 각기 다른 색으로 표시하고 있으며 각 단계를 나타내는 이미지 위로 마우스 커서를 올리면 지진의 영향 범위와 행동 요령을 표시할 수 있다.The
GIS(Geographic Information System) 2D/3D엔진(232)은 공간 및 지리정보 데이터를 저장하고, 설계하는 정보시스템일 수 있다. GIS 2D/3D엔진(232)은 사업장의 구조를 2D 및 3D로 시각화하고, 공간을 효율적으로 분석할 수 있다.The GIS (Geographic Information System) 2D/
이에 따라, 본 발명의 일 실시예는 웹서비스부가 구비되기 때문에, 시스템에 대한 정보를 용이하게 확인할 수 있다. 또한, 시스템 관리자뿐만 아니라 시스템에 등록된 계정을 가진 사람들은 모두 실시간으로 장소에 구애받지 않고 모니터링 서버에 접속하여 공장 내 감지기 및 설비의 상태 정보를 파악할 수 있는 효과가 있다.Accordingly, in one embodiment of the present invention, since the web service unit is provided, information about the system can be easily checked. In addition, not only system administrators but also people who have accounts registered in the system can connect to the monitoring server in real time regardless of location to grasp status information of sensors and facilities in the factory.
도 4는 본 발명의 일 실시예에 따른 설비의 계통보기 화면의 일 예를 설명하기 위한 예시도이다.4 is an exemplary view for explaining an example of a system view screen of a facility according to an embodiment of the present invention.
도 4를 참고하면, 본 발명의 일 실시예는 계통이 존재하는 설비의 경우, 계통 조회 버튼이 활성화되며, 계통 조회 버튼 선택 시 해당 설비의 계통정보가 팝업으로 날 수 있다. 계통 조회는 3D 계통보기, 블록형 계통보기, 차트형 계통보기가 포함될 수 있다. 이러한, 설비 계통 정보 화면은 설비의 계통정보가 필요하거나, 알람을 울린 원인 설비군을 예측할 때 사용될 수 있다. 예를 들어, 알람이 발생되는 경우, 원인설비군 예측제시모듈은 주변 설비들의 상태 데이터를 실시간으로 저장하고, 분석할 수 있다. 이 경우, 원인설비군 예측제시모듈은 등록된 계통 정보로 연관된 설비들 상태를 분석하여 알람 발생의 원인이 된 설비를 예측할 수 있다.Referring to FIG. 4 , in an embodiment of the present invention, in the case of a facility with a system, a system search button is activated, and when the system search button is selected, system information of the corresponding facility may pop up. Lineage inquiry may include 3D lineage view, block type lineage view, and chart type lineage view. Such a facility system information screen may be used when facility system information is required or when a facility group causing an alarm is predicted. For example, when an alarm is generated, the causative facility group prediction and presentation module may store and analyze state data of peripheral facilities in real time. In this case, the causative facility group prediction and presentation module may predict the facility that caused the alarm by analyzing the state of facilities related to the registered system information.
이에 따라, 본 발명의 일 실시예는 용이하게 설비 계통 정보를 확인할 수 있으므로, 알람 발생 설비 예측의 정확도를 높일 수 있고, 사고 발생 시 신속하게 대응할 수 있는 효과가 있다.Accordingly, in one embodiment of the present invention, since facility system information can be easily checked, the accuracy of alarm-generating facility prediction can be improved, and there is an effect of quickly responding to an accident.
도 5는 본 발명의 일 실시예에 따른 통합관제 방법을 설명하기 위한 흐름도이다.5 is a flowchart illustrating an integrated control method according to an embodiment of the present invention.
도 5를 참고하면, 본 발명의 일 실시예에 따른 통합관제 방법은 감지기에서 이상을 감지하고 알람을 발생하는 단계, 및 상기 알람의 진/가성을 판단하는 단계를 포함할 수 있다. 정보 분석 모듈의 복합 사고 판정 모듈은 주변 알람 발생 데이터와의 연관 관계를 확인하여 알람의 진/가성을 판단할 수 있다.Referring to FIG. 5 , the integrated control method according to an embodiment of the present invention may include detecting an abnormality in a sensor and generating an alarm, and determining the authenticity/falseness of the alarm. The complex accident determination module of the information analysis module may determine the authenticity/falseness of the alarm by checking the correlation with surrounding alarm generation data.
다음, 알람이 진성으로 판단되는 경우, 상기 알람을 발생시킨 원인설비를 추적하는 단계를 포함할 수 있다. 예를 들어, 알람이 발생될 경우, 예측제시모듈은 순간적으로 전압, 온도, 및 압력 등의 급격한 변화가 발생한 설비를 파악할 수 있다. 그 후, 설비의 계통 데이터를 분석하여 알람 발생의 원인이 된 설비를 예측하고, 원인설비까지의 최단 출동 경로를 계산할 수 있다. 또한, 알람 발생 원인에 따라 알람 등급을 설정할 수 있다. 예를 들어, 알람 등급이 위험 수준인 경우, 시간에 따른 피해 규모를 예측할 수 있다. 또한, 예측된 피해 규모에 위치하고 있는 사용자들의 수를 파악하여, 최단 대피 경로를 계산할 수 있다.Next, when it is determined that the alarm is genuine, a step of tracking the cause facility that generated the alarm may be included. For example, when an alarm is generated, the prediction presentation module can instantaneously identify a facility in which rapid changes in voltage, temperature, and pressure have occurred. After that, it is possible to predict the facility that caused the alarm by analyzing the system data of the facility, and to calculate the shortest dispatch route to the causative facility. In addition, the alarm level can be set according to the cause of the alarm. For example, if the alarm level is a critical level, the scale of damage over time can be predicted. In addition, the shortest evacuation path may be calculated by recognizing the number of users located in the predicted damage scale.
다음, 시스템서버의 메인화면에 알람을 표시하고, 사내 메시지로 사용자에게 알람 발생 메시지를 전송하고, 상기 알람을 터치하여 알람 정보, 및 상기 원인설비의 상세 정보를 확인할 수 있다. 예를 들어, 알람이 발생된 위치로 관계자 또는 구조대의 출동이 필요한 경우, 관계자 또는 구조대에게 최단 출동 경로를 전송할 수 있다. 또한, 알람 발생 위치에 근접해 있는 사용자들에게 대피 안내 메시지 및 최단 대피 경로를 전송할 수 있다. 예를 들어, 알람 등급이 위험 수준인 경우, 피해가 발생되는 예상 영역을 설정하고, 예상 영역에 위치한 사람들의 대피유무를 확인한 후, 예상 영역을 폐쇄할 수 있다.Next, an alarm is displayed on the main screen of the system server, an alarm generation message is transmitted to the user as an in-house message, and alarm information and detailed information of the cause facility can be checked by touching the alarm. For example, when a person concerned or a rescue team needs to be dispatched to a location where an alarm is generated, the shortest dispatch route may be transmitted to the person concerned or the rescue team. In addition, an evacuation guidance message and the shortest evacuation route may be transmitted to users close to the alarm occurrence location. For example, when the alarm level is a danger level, an expected area in which damage occurs may be set, and after confirming whether or not people located in the expected area evacuate, the expected area may be closed.
다음, 알람 발생의 원인을 해결하는 단계를 포함할 수 있다. 예를 들어, 알람 등급이 경미한 수준인 경우, 관계자가 원인설비를 정비함으로써 알람 발생 원인을 해결 하 수 있다. 예를 들어, 알람 등급 보통인 경우, 알람이 발생된 부근에 위치한 사람들을 신속하게 대피키시고, 화제진압 장치를 가동함으로써 초기 진압을 시행할 수 있다. 예를 들어, 알람 등급이 위험 수준인 경우, 알람이 발생된 부근에 위치한 사람들을 신속하게 대피키시고, 피해가 발생되는 예상 영역을 폐쇄할 수 있다.Next, a step of resolving the cause of the alarm generation may be included. For example, if the alarm level is at a minor level, the cause of the alarm can be resolved by maintenance of the causative facility by the person concerned. For example, when the alarm level is normal, people located in the vicinity of the alarm are quickly evacuated and the fire suppression device is operated to perform initial suppression. For example, when the alarm level is a danger level, people located in the vicinity of the alarm may be quickly evacuated and an area expected to cause damage may be closed.
마지막으로 후속조치를 하는 단계를 포함할 수 있다. 후속조치를 하는 단계는 메인화면을 알람을 클릭하여, 알람이 일어난 원인설비의 상세정보를 객체 관리 화면의 도면 위에 나타내는 단계를 포함할 수 있다. 이 경우, 상기 객체 관리 화면에서 알람 발생 위치의 도면을 조회하고, 도면에 표시된 감지기 및 설비의 목록을 확인하고, 감지기 및 설비의 배치를 수정함으로써, 후속 조치를 할 수 있다. 또한, 상기 후속조치 종료 후 메세지로 결과를 공유하는 단계를 포함할 수 있다.Finally, follow-up steps may be included. The step of taking the follow-up action may include clicking the alarm on the main screen to display detailed information of the equipment causing the alarm on the drawing of the object management screen. In this case, follow-up measures can be taken by inquiring a drawing of an alarm occurrence location on the object management screen, checking a list of sensors and facilities displayed in the drawing, and modifying the layout of the sensors and facilities. In addition, a step of sharing a result through a message after the completion of the follow-up action may be included.
이에 따라, 본 발명의 일 실시예에 따른 사업장재해 통합관제 방법은 모니터링을 하는 중에 알람이 울리면 시스템이 알람이 진성인지 판단하고, 진성으로 판단될 시 감지기를 울린 설비를 계통정보를 통해 파악한 뒤 최단 진입로 및 대피로를 계산하므로, 사고 발생 시 신속하게 대처할 수 있는 효과가 있다.Accordingly, in the workplace accident integrated control method according to an embodiment of the present invention, when an alarm sounds during monitoring, the system determines whether the alarm is true, and when it is determined that the alarm is true, it identifies the facility that triggered the detector through system information, and then the shortest Since the entry and evacuation routes are calculated, it has the effect of being able to respond quickly in the event of an accident.
또한, 본 발명의 일 실시예에 따른 사업장재해 통합관제 시스템 및 그 방법은 실시간으로 현재상황, 알람 정보, 문제해결 방법 등을 제공하므로, 제대로 된 후속 조치가 이루어지고 있는지 사용자가 확인할 수 있는 효과가 있다.In addition, the workplace accident integrated control system and method according to an embodiment of the present invention provides the current situation, alarm information, problem solving method, etc. in real time, so that the user can check whether proper follow-up measures are being taken. there is.
또한, 본 발명의 일 실시예에 따른 사업장재해 통합관제 시스템은 사용자에게 최단 대피 경로를 제시하기 때문에, 사고 발생 시 대피로를 확보할 수 있으므로, 인명피해를 줄일 수 있는 효과가 있다.In addition, since the workplace disaster integrated control system according to an embodiment of the present invention presents the shortest evacuation route to the user, it is possible to secure an evacuation route in the event of an accident, thereby reducing human casualties.
도 6은 본 발명의 일 실시예에 따른 도면 관리 방법을 설명하기 위한 흐름도이다.6 is a flowchart illustrating a drawing management method according to an embodiment of the present invention.
도 6을 참고하면, 본 발명의 일 실시예에 따른 도면 관리 방법은 통합 방재 시스템 서버에 접속해 로그인하는 단계, 화면 일측의 메뉴들 중에 객체 관리 화면을 선택하고 위치 조건 및 수정할 시스템을 선택하는 단계, 및 목록에서 원하는 감지기 또는 설비를 선택해 원하는 위치에 배치 후 세부적인 수치를 수정하는 단계를 포함할 수 있다.Referring to FIG. 6, the drawing management method according to an embodiment of the present invention includes the steps of accessing and logging in to the integrated disaster prevention system server, selecting an object management screen from menus on one side of the screen, and selecting location conditions and a system to be modified. , and selecting a desired sensor or facility from the list, placing it in a desired location, and then modifying detailed values.
예를 들어, 메인화면은 객체관리 화면을 포함할 수 있다. 객체관리 화면은 위치정보 및 해당 위치의 도면을 조회하고, 도면에 도시된 감지기 및 설비의 3D 객체 목록을 표시할 수 있다. 3D 객체 목록은 객체 배치, 감지기/설비 조회, 및 그리기를 포함할 수 있다. 객체 배치는 도면에 추가하고 싶은 객체를 선택하고, 위치, 각도, 스케일 수치, 이름, 및 코드를 지정할 수 있다. 감지기/설비 조회는 조회된 감지기 또는 설비의 위치, 각도, 스케일, 수치, 이름, 및 코드를 수정할 수 있다. 그리기는 미리 완성된 그림을 업로드할 수 있다. 그리기는 도면 위에 도형, 구역을 나누기위한 벽, 및 라벨을 도시할 수 있다.For example, the main screen may include an object management screen. The object management screen can search for location information and a drawing of the corresponding location, and display a list of 3D objects of sensors and facilities shown in the drawing. The 3D object list may include object placement, sensor/equipment inquiry, and drawing. Object Arrangement allows you to select the objects you want to add to the drawing and specify the location, angle, scale value, name, and code. Detector/facility query can modify the position, angle, scale, value, name, and code of the queried sensor or facility. Drawing can upload a pre-finished picture. Drawing can show shapes, walls to divide areas, and labels on a drawing.
이에 따라, 본 발명의 일 실시예에 따른 사업장재해 통합관제 시스템 및 그 방법은 3D 도면에 수정이 필요할 시 직접 객체를 도면에 추가 혹은 제거할 수 있어, 공장 설비를 부분적으로 교체할 때마다 매번 도면을 새로 구축할 필요가 없으므로, 시간을 절약할 수 있는 효과가 있다.Accordingly, the workplace accident integrated control system and method according to an embodiment of the present invention can directly add or remove objects to the 3D drawing when modification is required, so that the drawing can be changed every time factory equipment is partially replaced. Since there is no need to build a new one, it has the effect of saving time.
이상에서 본 발명의 실시예에 대하여 설명하였으나, 본 발명의 사상은 본 명세서에 제시되는 실시 예에 제한되지 아니하며, 본 발명의 사상을 이해하는 당업자는 동일한 사상의 범위 내에서, 구성요소의 부가, 변경, 삭제, 추가 등에 의해서 다른 실시 예를 용이하게 제안할 수 있을 것이나, 이 또한 본 발명의 사상범위 내에 든다고 할 것이다.Although the embodiments of the present invention have been described above, the spirit of the present invention is not limited to the embodiments presented herein, and those skilled in the art who understand the spirit of the present invention within the scope of the same spirit, the addition of components, Other embodiments may be easily suggested by changes, deletions, additions, etc., but these will also be said to fall within the scope of the present invention.
100: 시스템부
110: 개별방재시스템부 120: 누수모니터링시스템부
130: 설비관리시스템부
200: 시스템서버
210: 시스템연계부 220: 정보분석모듈
221: 복합사고판정모듈 222: 원인설비 예측제시모듈
223: 출동경로계산엔진 230: 웹서비스부
231: 모니터링 브라우저 232: GIS 2D/3D엔진100: system unit
110: individual disaster prevention system unit 120: water leakage monitoring system unit
130: facility management system unit
200: system server
210: system linkage unit 220: information analysis module
221: complex accident determination module 222: cause equipment prediction presentation module
223: dispatch route calculation engine 230: web service department
231: monitoring browser 232: GIS 2D/3D engine
| Application Number | Priority Date | Filing Date | Title |
|---|---|---|---|
| KR1020210096858AKR102640451B1 (en) | 2021-07-23 | 2021-07-23 | Integrated workplace accident control system and method thereof |
| Application Number | Priority Date | Filing Date | Title |
|---|---|---|---|
| KR1020210096858AKR102640451B1 (en) | 2021-07-23 | 2021-07-23 | Integrated workplace accident control system and method thereof |
| Publication Number | Publication Date |
|---|---|
| KR20230015571Atrue KR20230015571A (en) | 2023-01-31 |
| KR102640451B1 KR102640451B1 (en) | 2024-02-27 |
| Application Number | Title | Priority Date | Filing Date |
|---|---|---|---|
| KR1020210096858AActiveKR102640451B1 (en) | 2021-07-23 | 2021-07-23 | Integrated workplace accident control system and method thereof |
| Country | Link |
|---|---|
| KR (1) | KR102640451B1 (en) |
| Publication number | Priority date | Publication date | Assignee | Title |
|---|---|---|---|---|
| CN118646166A (en)* | 2024-08-16 | 2024-09-13 | 国网山东省电力公司菏泽供电公司 | A remote centralized monitoring and control system for substation fire protection system |
| Publication number | Priority date | Publication date | Assignee | Title |
|---|---|---|---|---|
| KR20100042483A (en)* | 2008-10-16 | 2010-04-26 | 세메스 주식회사 | Control system of semiconductor manufacturing equipment and method of driving the same |
| KR20130075246A (en)* | 2011-12-27 | 2013-07-05 | 한국수자원공사 | Intelligent warning management system |
| KR20160085033A (en)* | 2015-01-07 | 2016-07-15 | 주식회사 올젠케어 | Learning type emergency detection system with multi-sensor and that method |
| KR20180059356A (en)* | 2016-11-25 | 2018-06-04 | (재)한국재난안전기술원 | Integrated control system for urgent response against disaster situations including chemical hazard, and disaster response method using thereof |
| KR20200049420A (en)* | 2018-10-30 | 2020-05-08 | 주식회사 온품 | Apparatus and method for providing safety status information on building |
| Publication number | Priority date | Publication date | Assignee | Title |
|---|---|---|---|---|
| KR20100042483A (en)* | 2008-10-16 | 2010-04-26 | 세메스 주식회사 | Control system of semiconductor manufacturing equipment and method of driving the same |
| KR20130075246A (en)* | 2011-12-27 | 2013-07-05 | 한국수자원공사 | Intelligent warning management system |
| KR20160085033A (en)* | 2015-01-07 | 2016-07-15 | 주식회사 올젠케어 | Learning type emergency detection system with multi-sensor and that method |
| KR20180059356A (en)* | 2016-11-25 | 2018-06-04 | (재)한국재난안전기술원 | Integrated control system for urgent response against disaster situations including chemical hazard, and disaster response method using thereof |
| KR20200049420A (en)* | 2018-10-30 | 2020-05-08 | 주식회사 온품 | Apparatus and method for providing safety status information on building |
| Publication number | Priority date | Publication date | Assignee | Title |
|---|---|---|---|---|
| CN118646166A (en)* | 2024-08-16 | 2024-09-13 | 国网山东省电力公司菏泽供电公司 | A remote centralized monitoring and control system for substation fire protection system |
| Publication number | Publication date |
|---|---|
| KR102640451B1 (en) | 2024-02-27 |
| Publication | Publication Date | Title |
|---|---|---|
| US11893876B2 (en) | System and method for monitoring a building | |
| CN105303755B (en) | System and method for automatic configuration of devices in a building information model | |
| US20220342523A1 (en) | System and method for device address assignment in an alarm system using interactive address assignment for faster commissioning | |
| US10365260B2 (en) | Image based surveillance system | |
| KR102440097B1 (en) | Disaster prediction and disaster prevention system for power facilities and method of operation thereof | |
| US20120047083A1 (en) | Fire Situation Awareness And Evacuation Support | |
| US20060255929A1 (en) | Threat scanning machine management system | |
| US12254753B2 (en) | Determination and notification of a location of a building safety system event | |
| JP7343966B2 (en) | Fire alarm equipment and disaster prevention equipment | |
| CN111178828A (en) | Method and system for building fire safety early warning | |
| KR101775489B1 (en) | Monitoring system of power supply apparatus for fire fighting equipment | |
| KR20220071880A (en) | Digital twin disaster management system customized for underground public areas | |
| KR102640451B1 (en) | Integrated workplace accident control system and method thereof | |
| KR20240075314A (en) | Firefighting facility failure prediction system using firefighting facility inspection information and method of using the same | |
| US20240278054A1 (en) | Fire Service and Equipment Inspection Test and Maintenance System and Method | |
| JP6215380B2 (en) | Maintenance management system | |
| KR102059579B1 (en) | Disaster response information management system according to the report of disaster occurrence | |
| KR102543102B1 (en) | Method, server and system for providing safety accident prevention service based on digital twin technology | |
| KR102606849B1 (en) | Digital SOP-based integrated control device and method | |
| US11972681B2 (en) | Systems and methods for wayfinding in hazardous environments | |
| US20240203233A1 (en) | Alarm system detector geofencing | |
| US12131623B2 (en) | Systems, methods, and processes of providing first responders with live contextual information of building destinations for enhanced public safety operations | |
| EP4539005A1 (en) | Predicting fire spread in a facility | |
| CN118102222A (en) | System, method and process for creating a route through a facility based on communication between a portable device and an event detection device having built-in communication means | |
| KR20230165157A (en) | Method for supporting patrol in transportation platform set up multiple CCTV cameras and system thereof |
| Date | Code | Title | Description |
|---|---|---|---|
| PA0109 | Patent application | Patent event code:PA01091R01D Comment text:Patent Application Patent event date:20210723 | |
| PA0201 | Request for examination | ||
| PG1501 | Laying open of application | ||
| E902 | Notification of reason for refusal | ||
| PE0902 | Notice of grounds for rejection | Comment text:Notification of reason for refusal Patent event date:20230522 Patent event code:PE09021S01D | |
| AMND | Amendment | ||
| E601 | Decision to refuse application | ||
| PE0601 | Decision on rejection of patent | Patent event date:20231020 Comment text:Decision to Refuse Application Patent event code:PE06012S01D Patent event date:20230522 Comment text:Notification of reason for refusal Patent event code:PE06011S01I | |
| X091 | Application refused [patent] | ||
| AMND | Amendment | ||
| PX0901 | Re-examination | Patent event code:PX09011S01I Patent event date:20231020 Comment text:Decision to Refuse Application Patent event code:PX09012R01I Patent event date:20230705 Comment text:Amendment to Specification, etc. | |
| E90F | Notification of reason for final refusal | ||
| PE0902 | Notice of grounds for rejection | Comment text:Final Notice of Reason for Refusal Patent event date:20231211 Patent event code:PE09021S02D | |
| AMND | Amendment | ||
| PX0701 | Decision of registration after re-examination | Patent event date:20240216 Comment text:Decision to Grant Registration Patent event code:PX07013S01D Patent event date:20240104 Comment text:Amendment to Specification, etc. Patent event code:PX07012R01I Patent event date:20231113 Comment text:Amendment to Specification, etc. Patent event code:PX07012R01I Patent event date:20231020 Comment text:Decision to Refuse Application Patent event code:PX07011S01I Patent event date:20230705 Comment text:Amendment to Specification, etc. Patent event code:PX07012R01I | |
| X701 | Decision to grant (after re-examination) | ||
| GRNT | Written decision to grant | ||
| PR0701 | Registration of establishment | Comment text:Registration of Establishment Patent event date:20240221 Patent event code:PR07011E01D | |
| PR1002 | Payment of registration fee | Payment date:20240221 End annual number:3 Start annual number:1 | |
| PG1601 | Publication of registration |