








본 발명은 전력계통에 이용되는 축소형 고장기록장치에 관한 것이다.The present invention relates to a reduced-type fault recording device used in a power system.
일반적으로, 전력품질이란 전기를 구성하는 전압 크기, 주파수, 파형 등과 같은 요소들이 얼마나 안정되어 있는지 또는 허용기준 안에 들어오는지를 나타내는 척도이다.In general, power quality is a measure of how stable or within the allowable standard of elements such as voltage magnitude, frequency, and waveform constituting electricity.
전력계통에서 전력 전력품질이 저하되면, 전기 설비의 이용률이 저하되고, 출력 감소, 전력 계통의 온도 상승, 손실이 증가, 수명 감소, 오 동작, 고장 등의 문제가 발생한다. 이러한 문제 발생이 야기되는 전력품질에 대해서, 산업통상자원부는 주파수(Hz), 전압 크기(V), 고조파 왜형률(%), 전압 불평형률(%)의 허용(기준) 범위 등의 전력품질에 대하여 언급하였고, IEEE 1159, IEC 61000-4-30, EN50160, IEC 60050-615 등에 관련 규격을 정하여 두고 있다.When the power quality in the power system deteriorates, the utilization rate of electrical equipment is lowered, and problems such as a decrease in output, an increase in the temperature of the power system, an increase in loss, a decrease in lifespan, a malfunction, and a failure occur. Regarding the power quality that causes these problems, the Ministry of Trade, Industry and Energy is concerned about power quality such as frequency (Hz), voltage magnitude (V), harmonic distortion factor (%), and allowable (standard) range of voltage unbalance factor (%). related standards, IEEE 1159, IEC 61000-4-30, EN50160, IEC 60050-615, etc. are established.
한편, 일반적으로 축소형 고장기록장치는 전력계통의 고장을 검출하고 기록하기 위한 장치이며, 장치를 소형으로 구축하여 다양한 환경에 활용될 수 있도록 하고 있다. 이런한 축소형 고장기록장치의 예로서, 한국등록특허 제10-1452980호(명칭: 전력계통 축소형 고장기록장치 및 이를 포함한 고장기록시스템)가 개시되어 있다.On the other hand, in general, a miniature fault recorder is a device for detecting and recording a fault in a power system, and the device is built in a small size so that it can be utilized in various environments. As an example of such a reduced-type failure recording device, Korean Patent Registration No. 10-1452980 (title: power system reduction-type failure recording apparatus and failure recording system including the same) is disclosed.
상기 980호 특허의 축소형 고장기록장치는 측정 대상인 큰 전압 신호를 계측하기 위해서, 일정한 변압 비율을 가지는 PT(Power Transformer)를 탑재하고 있다. 그런데 일반적으로 사용되는 PT는 일정한 크기의 부피를 가지고 있어, 축소형 고장기록장치를 소형화하는데에 걸림돌이 된다.The reduced fault recorder of the 980 patent is equipped with a PT (Power Transformer) having a constant transformation ratio in order to measure a large voltage signal to be measured. However, the generally used PT has a certain size of volume, which is an obstacle to miniaturization of the miniaturized fault recorder.
본 발명이 해결하고자 하는 과제는 소형화를 가능하게 한 축소형 고장기록장치를 제공하는 것이다.The problem to be solved by the present invention is to provide a miniaturized fault recording device capable of miniaturization.
또한, 본 발명이 해결하고자 하는 과제는 전력품질 관련 요소인 전압 크기(V), 고조파 왜형률(%), 전압 불평형률(%) 등에 대하여 전력품질을 측정하고 고장시 기록하는 축소형 고장기록장치를 제공하는 것이다.In addition, the problem to be solved by the present invention is a reduced-type fault recording device that measures and records power quality with respect to voltage magnitude (V), harmonic distortion ratio (%), voltage unbalance ratio (%), etc., which are factors related to power quality is to provide
상기된 바와 같은 기술적 과제로 한정되지 않으며, 이하의 실시 예들로부터 또 다른 기술적 과제들이 유추될 수 있다.It is not limited to the technical problems as described above, and other technical problems may be inferred from the following embodiments.
상기 과제를 해결하기 위한 실시 예에 따른 본 발명은 전원을 공급하는 전원부, 전압 및 전류 소스를 입력받아 디지털 신호로 변환하여 CPU부로 전송하는 아날로그 인터페이스부, 전력설비의 동작 접점을 입력받아 상태 정보를 CPU 모듈에 전송하는 디지털 인터페이스부, 데이터 및 신호를 통신하는 데이터 통신부, 및 상기 아날로그 인터페이스 모듈 및 디지털 인터페이스 모듈로부터 전압 또는 전류의 순시값 또는 실효값을 취득하고 연산처리하여 전압변동, 고조파, 전압불평형, 전압동요 중 적어도 하나의 전력품질을 측정함으로써 고장 여부를 판단하는 상기 CPU 모듈을 포함하는 축소형 고장기록장치를 제공한다.The present invention according to an embodiment for solving the above problems is a power supply unit that supplies power, an analog interface unit that receives voltage and current sources and converts them into digital signals and transmits them to the CPU unit, receives the operating contacts of power facilities and receives status information A digital interface unit that transmits data and signals to the CPU module, a data communication unit that communicates data and signals, and an instantaneous or rms value of voltage or current from the analog interface module and the digital interface module is obtained and processed for voltage fluctuations, harmonics, and voltage unbalance , It provides a reduced-type fault recording device including the CPU module for determining whether a failure by measuring the power quality of at least one of the voltage fluctuations.
상기 CPU부는 수신되는 전압의 실효값에 대하여 전압 크기의 허용 기준 초과 여부 및 허용기준 초과 유지시간을 측정하여 단시간 전압변동에 따른 고장 또는 장시간 전압변동에 따른 고장을 판별하는 전압변동 감시부, 수신되는 전압 또는 전류의 순시값을 이산푸리에 변환하여 고조파 성분을 추출하고, 추출한 고조파 성분을 이용하여 산출한 THD((Total Harmonic Distortion, 전 고조파 왜율, 단위 %)가 설정된 기준 THD를 초과하는 경우에 고장이라고 판별하는 고조파 감시부, 그리고 수신되는 3상 전압의 순시값을 변환한 3상 전압의 페이저값을 이용하여 영상분 전압과 정상분 전압을 산출하고, 산출한 영상분 전압과 정상분 전압을 이용하여 불평형률을 산출한 후 산출한 불평형률이 기준 불평형률을 초과하는 경우에 고장이라고 판별하는 전압불평형 감시부를 포함할 수 있다.The CPU unit measures whether the voltage magnitude exceeds the permissible standard and the holding time exceeding the permissible standard with respect to the effective value of the received voltage to determine a failure due to short-time voltage fluctuation or a failure due to long-time voltage fluctuation. It is called a failure when the THD (Total Harmonic Distortion, unit %) calculated using the extracted harmonic component is extracted by discrete Fourier transform of the instantaneous value of voltage or current exceeds the set standard THD. Using the harmonic monitoring unit to discriminate, and the phasor value of the three-phase voltage converted from the instantaneous value of the received three-phase voltage, the zero-phase voltage and the steady-state voltage are calculated, and the After calculating the unbalance ratio, when the calculated unbalance ratio exceeds the reference unbalance ratio, it may include a voltage imbalance monitoring unit that determines a failure.
상기 CPU부는 수신되는 전압의 실효값을 단위 감시시간 동안 감시하여 실효값이 설정된 기준 실효값을 초과한 초과 횟수를 파악하고, 파악한 초과 횟수가 설정 도달횟수를 초과하는 경우에 고장이라고 판별하는 전압동요 감시부를 더 포함할 수 있다.The CPU unit monitors the rms value of the received voltage for a unit monitoring time, determines the number of times the rms value exceeds the set reference rms value, and determines that it is a failure when the number of excess exceeds the set number of arrivals. It may further include a monitoring unit.
상기 전압변동 감시부는 수신되는 전압의 실효값의 크기를 정격전압의 1.1pu인 제1 기준값, 0.9pu인 제2 기준값 및 0.1pu인 제3 기준값 중 적어도 하나와 비교하여, 제1 기준값 이상인 제1 범위, 제2 기준값 이하이고 제3 기준값보다 큰 제2 범위 및 제3 기준값 이하인 제3 범위 중 하나의 범위에 속하는 경우에, 허용기준 초과 유지시간을 측정할 수 있다.The voltage fluctuation monitoring unit compares the magnitude of the effective value of the received voltage with at least one of a first reference value that is 1.1pu of the rated voltage, a second reference value that is 0.9pu, and a third reference value that is 0.1pu, and the first reference value is greater than or equal to the first reference value. When it falls within one of the range, the second range that is equal to or less than the second reference value and is greater than the third reference value, and the third range that is less than or equal to the third reference value, the holding time exceeding the allowable standard may be measured.
상기 고조파 감시부는 수신되는 전압 또는 전류의 순시값을 이산푸리에 변환을 수행하여 1차에서 63차까지의 고조파 성분을 추출하고, 1차에서 63차까지의 고조파 성분을 하기 수학식 4를 이용하여 THD를 산출할 수 있다.The harmonic monitoring unit performs discrete Fourier transform on the instantaneous value of the received voltage or current to extract harmonic components from the 1st to the 63rd, and the harmonic components from the 1st to the 63rd are THD using Equation 4 below can be calculated.
상기 아날로그 인터페이스부는 계측하려는 전압 소스를 계측 가능한 범위로 크기를 변화시키는 기능을 수행하며, 복수의 저항 및 2개의 인덕터로 구성된 분압식 PT, 계측하려는 전류 소스를 계측 가능한 범위로 크기를 변화시키는 기능을 수행하는 CT, 아날로그 입력소스가 증폭기를 통해 증폭이 된 신호를 입력받아 디지털 신호로 변환을 하는 A/D 컨버터, 그리고 상기 분압식 PT와 상기 CT를 통해서 들어온 신호의 크기를 증폭하여 상기 A/D 컨버터로 전달하는 기능을 수행하는 상기 증폭기를 포함할 수 있다.The analog interface unit performs a function of changing the size of the voltage source to be measured within a measurable range, and a voltage dividing type PT composed of a plurality of resistors and two inductors and a function of changing the size of the current source to be measured within a measurable range. CT, an A/D converter in which an analog input source receives a signal amplified through an amplifier and converts it into a digital signal, and the A/D It may include the amplifier performing a function of transmitting to the converter.
상기 분압식 PT는 제1 입력단에 와 제2 입력단에 복수의 저항이 직렬 연결되고, 상기 복수의 저항 중 하나의 출력 저항의 양단에 각각 제1 및 제2 출력단이 커플링되며, 상기 출력저항의 각 일단과 상기 제1 및 제2 출력단의 일단 사이에 각각 인덕터를 추가하여 상기 제1 및 제2 입력단 입력단과 상기 제1 및 제2 출력단을 서로 절연한다.In the voltage dividing type PT, a plurality of resistors are connected in series to a first input terminal and a second input terminal, and a first and a second output terminal are respectively coupled to both ends of one of the plurality of resistors, respectively, of the output resistance An inductor is added between each end and one end of the first and second output terminals to insulate the first and second input terminals and the first and second output terminals from each other.
발명의 실시 예에 따르면, 본 발명은 알정한 크기의 부피를 가지는 PT(Power Transformer)를 사용하지 않고 소형 전자부품으로 구성된 분압식 PT를 사용하여, 축소형 고장기록장치의 전체적인 부피를 초형화할 수 있게 한다.According to an embodiment of the present invention, the overall volume of the miniaturized fault recording device can be made super-sized by using a partial pressure type PT composed of small electronic components without using a PT (Power Transformer) having a predetermined volume. let there be
발명의 실시 예에 따르면, 본 발명은 하나의 장치로 전력품질 관련 요소인 전압 크기(V), 고조파 왜형률(%), 전압 불평형률(%) 등에 대하여 전력품질을 측정하고 고장시 기록할 수 있게 한다.According to an embodiment of the present invention, it is possible to measure power quality with respect to voltage magnitude (V), harmonic distortion ratio (%), voltage unbalance ratio (%), etc. which are factors related to power quality with one device and record it in case of failure. let there be
도 1은 본 발명의 실시 예에 따른 축소형 고장기록장치의 사용환경을 보인 도면이다.
도 2는 본 발명의 실시 예에 따른 축소형 고장기록장치의 블록 구성도이다.
도 3은 본 발명의 실시 예에 따른 축소형 고장기록장치에서 아날로그 인터페이스부의 블록 구성도이다.
도 4는 본 발명의 실시 예에 따른 분압식 PT의 구성도이다.
도 5는 본 발명의 실시 예에 따른 축소형 고장기록장치에서 CPU부의 블록 구성도이다.
도 6은 본 발명의 실시 예에 따른 축소형 고장기록장치에서 전압변동을 감시하는 동작에 대한 순서도이다.
도 7은 본 발명의 실시 예에 따른 축소형 고장기록장치에서 고조파 분석을 감시하는 동작에 대한 순서도이다.
도 8은 본 발명의 실시 예에 따른 축소형 고장기록장치에서 전압불평형을 감시하는 동작에 대한 순서도이다.
도 9는 본 발명의 실시 예에 따른 축소형 고장기록장치에서 전압동요를 감시하는 동작에 대한 순서도이다.1 is a view showing a usage environment of a reduced-type fault recording device according to an embodiment of the present invention.
2 is a block diagram of a reduced fault recording apparatus according to an embodiment of the present invention.
3 is a block diagram of an analog interface unit in the reduced fault recording apparatus according to an embodiment of the present invention.
4 is a block diagram of a partial pressure type PT according to an embodiment of the present invention.
5 is a block diagram of the CPU unit in the reduced fault recording apparatus according to an embodiment of the present invention.
6 is a flowchart of an operation of monitoring voltage fluctuations in a reduced fault recording device according to an embodiment of the present invention.
7 is a flowchart of an operation of monitoring harmonic analysis in the reduced fault recording device according to an embodiment of the present invention.
8 is a flowchart of an operation of monitoring voltage imbalance in a reduced fault recording device according to an embodiment of the present invention.
9 is a flowchart of an operation of monitoring voltage fluctuations in a reduced fault recording device according to an embodiment of the present invention.
아래에서, 본 발명이 속하는 기술 분야에서 통상의 지식을 가진 자들(이하, 통상의 기술자들)이 본 발명을 용이하게 실시할 수 있도록, 첨부되는 도면들을 참조하여 몇몇 실시 예가 명확하고 상세하게 설명될 것이다. 또한, 명세서에서 사용되는 "부" 이라는 용어는 하드웨어 구성요소 또는 회로를 의미할 수 있다.Below, some embodiments will be described clearly and in detail with reference to the accompanying drawings so that those of ordinary skill in the art to which the present invention pertains (hereinafter, those skilled in the art) can easily practice the present invention. will be. Also, the term “unit” used in the specification may mean a hardware component or a circuit.
이하에서는 첨부한 도면을 참조로 하여 본 발명의 실시 예에 따른 축소형 고장기록장치를 설명한다.Hereinafter, a reduced-type failure recording apparatus according to an embodiment of the present invention will be described with reference to the accompanying drawings.
도 1은 본 발명의 실시 예에 따른 축소형 고장기록장치의 사용환경을 보인 도면이다. 도 1을 참고하면, 본 발명의 실시 예에 따른 축소형 고장 기록 장치(1000)는 전력계통선로에 복수개가 설치되며, LAN망 등의 통신망(2000)을 통하여 상호간 연결되고, 호스트 서버(3000)와 연결된다.1 is a view showing a usage environment of a reduced-type fault recording device according to an embodiment of the present invention. Referring to FIG. 1 , a plurality of reduced
복수의 축소형 고장기록장치(1000) 각각은 일정 영역 내에 설치된 전력계통선로의 전력품질을 측정하고 전력품질 측정 결과에 따라 고장 여부를 판단 및 기록한다.Each of the plurality of reduced
이러한 축소형 고장기록장치(1000)는 발전기, GIS, 변전소 및 배전반을 포함하는 전력 계통에 설치될 수 있으며, 전력 계통에 설치된 계기용 변압기(PT) 및 계기용 변류기(CT)로부터 인가되는 전압 및 전류를 입력받고, 부하를 차단하기 위한 차단기로부터 인가되는 전력 설비의 동작으로 나타내는 신호를 입력받아 전력계통 선로의 고장 여부 및 전력 계통 운용 함수를 검출 및 기록한다.Such a reduced
임의의 전력계통선로에서 사고가 발생하면, 사고가 발생한 전력계통선로에 설치된 축소형 고장기록장치(1000)는 고장 기록 데이터를 저장하며, 미리 설정된 외부 단말기로 고장 기록 데이터를 전송한다. 이때, 축소형 고장기록장치(1000)는 고장 기록 데이터를 미리 등록된 외부 단말기에 적합한 데이터 포맷으로 변환한 후, 변환된 고장 기록 데이터를 전송할 수 있다.When an accident occurs in any power system line, the reduced
호스트 서버(3000)는 복수개의 축소형 고장기록장치(1000)를 모니터링하는 기능을 수행한다. 즉, 호스트 서버(3000)는 복수개의 축소형 고장기록장치(1000)의 정상 작동 여부를 모니터링하며, 복수개의 축소형 고장 기록장치(1000)에서 전송하는 고장 기록 데이터를 포함한 다양한 데이터를 수신 및 저장하는 기능을 수행한다.The
도 2는 본 발명의 실시 예에 따른 축소형 고장기록장치의 블록 구성도이다. 도 2를 참고하면, 본 발명의 실시예에 따른 축소형 고장기록장치(1000)는 전원부(100), 아날로그 인터페이스부(200), 디지털 인터페이스부(300), 데이터 통신부(400), CPU부(500), 데이터 저장(600) 및 제어부(700)을 포함한다.2 is a block diagram of a reduced fault recording apparatus according to an embodiment of the present invention. Referring to FIG. 2 , the reduced
전원부(100)는 축소형 고장 기록 장치에 장치에 전원을 공급하는 기능을 수행한다.The
아날로그 인터페이스부(200)는 전압 및 전류 소스를 입력받아 디지털 신호로 변환하여 CPU부(500)로 전송한다. 그리고 아날로그 인터페이스 모듈(200)은 외부에서 인입되는 AC 정격전압과 정격전류를 각각 소스에 대해 분압식 PT(Potential Transformer)와 CT(Current Transformer)를 거쳐 노이즈 필터링을 하고 아날로그/디지털 변환을 통해 디지털 데이터로 변환한 후, 변환된 디지털 데이터를 CPU부(500)로 전송한다. 아날로그 인터페이스부(200)는 분압식 PT와 CT를 통해 들어온 2차 전압, 전류 값을 증폭기를 통하여 신호 증폭시킨 후, A/D 컨버터를 이용하여 디지털 데이터로 변환시킨다.The
디지털 인터페이스부(300)는 전력설비의 동작 접점을 입력받아 그 상태를 CPU부(500)에 전송하는 기능을 수행한다. 디지털 인터페이스부(300)는 외부 기기의 다양한 접점형태를 수용하기 위하여, 드라이(Dry) 접점과 웨트(Wet) 접점을 수용하도록 구성된다.The
데이터 통신부(400)는 각 구성간의 데이터 및 신호를 통신하는 기능을 수행하며, 축소형 고장기록장치(1000)에서 고장 기록 데이터를 호스트 서버(3000)로 전송하거나 또는 호스트 서버(3000)로부터의 제어 신호를 수신하는 기능을 수행한다.The
CPU부(500)는 아날로그 인터페이스부(200) 및 디지털 인터페이스부(300)로부터 신호 데이터를 취득하고 연산처리하는 기능을 수행한다. CPU부(500)는 취득한 신호 데이터를 기초로 전력계통선로의 전력품질을 측정하고 측정결과에 따라 고장 발생여부를 판단하며, 고장 기록 데이터를 생성하여 기록한다. CPU부(500)는 고장 위치를 파악하는 기능 또는/및 고장 기록 데이터를 외부 단말기나 호스트 서버(3000)에 적합한 데이터 포맷으로 변환하는 기능을 추가적으로 수행할 수 있다.The
데이터 저장부(600)는 전력품질 측정에 따른 사고 발생여부에 대한 데이터, 고장 기록 데이터를 전송할 외부 단말기의 IP 어드레스 등에 대한 데이터를 저장하는 기능을 수행한다. 제어부(700)는 전원부(100), 아날로그 인터페이스부(200), 디지털 인터페이스부(300), 데이터 통신부(400), CPU부(500) 및 데이터 저장부(600)의 동작을 제어하는 기능을 수행한다.The
도 3은 본 발명의 실시 예에 따른 축소형 고장기록장치에서 아날로그 인터페이스부의 블록 구성도이다. 도 3을 참고하면, 아날로그 인터페이스부(200)는 A/D 컨버터(210), 증폭기(220), 비교기(230), 분압식 PT(240) 및 CT(250)를 포함한다.3 is a block diagram of an analog interface unit in the reduced fault recording apparatus according to an embodiment of the present invention. Referring to FIG. 3 , the
A/D 컨버터(210)는 아날로그 입력소스가 증폭기를 통해 증폭이 된 신호를 입력받아 디지털 신호로 변환을 한다. 증폭기(220)는 분압식 PT(240)와 CT(250)를 통해서 들어온 신호의 크기를 증폭하여 A/D 컨버터(210)로 전달하는 기능을 수행한다. 비교기(230)는 CT(250)의 경우 전류 값의 범위에 따라서 스위칭을 해서 A/D 컨버터(210)로 보내야 하기 때문에, 기준 전압과의 비교를 통해서 자동으로 스위칭 하는 기능을 수행한다.The A/
분압식 PT(240)는 계측하려는 전압 소스를 계측 가능한 범위로 크기를 변화시키는 기능을 수행하며, 전자소자로 구성되어 장치(100)의 전체적인 소형화를 가능하게 한다. CT(250)는 계측하려는 전류 소스를 계측 가능한 범위로 크기를 변화시키는 기능을 수행한다. 본 실시예의 경우, 외부의 클램프(Clamp) 타입을 사용하여, 기존 보호 장치반에 영향을 주지 않고 계측하는 방식을 사용한다.The voltage
여기서, 도 4를 참조로 하여 본 발명의 실시 예에 따른 분압식 PT(240)를 보다 상세히 설명한다. 도 4는 본 발명의 실시 예에 따른 분압식 PT의 구성도이다.Here, the partial
도 4를 참고하면, 본 발명의 실시 예에 따른 분압식 PT(240)는 제1 입력단(IN A)과 제2 입력단(IN B)에 직렬 연결된 복수의 저항으로 구성되며, 하나의 출력 저항의 양단에 각각 출력단(OUT A, OUT B)이 커플링된다. 따라서 출력단(OUT A, OUT B)를 통해 측정되는 전압은 출력 저항에 걸리는 분압전압으로, 입력되는 전압에 비해 낮은 전압값을 가진다.Referring to FIG. 4 , the voltage
도 4의 (a)에서는 분압식 PT(240)를 구성하는 저항의 개수가 7개로 하였고, 출력 저항이 R6인 것을 일 예로 하였다. 하지만, 분압식 PT(240)를 구성하는 저항의 개수 및 각 저항의 저항값은 계측 가능한 전압 범위에 따라 가변될 수 있으며, 출력 저항 또한 제작자에 의해 적절히 결정된다. 또한 도 4에서는 출력 저항이 하나의 저항(R6)인 것으로 도시하였으나, 2개의 저항 또는 그 이상 개수의 저항으로 구성될 수 있다.In FIG. 4A , the number of resistors constituting the voltage
한편, 분압식 PT(240)를 구성함에 있어서, 저항만을 이용하는 경우에는 입력단(IN A, IN B)에 입력되는 신호에 외란(노이즈)가 섞여 들어오는 경우에 외란이 그대로 출력단(OUT A, OUT B)에 전달되어, 출력단의 출력을 입력으로 하는 측정장치 즉, CPU부(500)에 충격을 가할 수 있다.On the other hand, in configuring the voltage
이러한 문제를 하결하기 위하여, 본 발명은 도 4의 (a)와 같이 출력저항(R6)의 일단과 출력단의 일단(OUT A, OUT B) 사이에 각각 인덕터(L1, L2)를 추가하여, 입력단(IN A, IN B)과 출력단(OUT A, OUT B)을 서로 절연하게 한다.In order to solve this problem, the present invention adds inductors L1 and L2 between one end of the output resistor R6 and one end of the output terminal OUT A and OUT B, respectively, as shown in FIG. Insulate (IN A, IN B) and output terminals (OUT A, OUT B) from each other.
이때, 본 발명은 2개의 인덕터(L1, L2)를 사용함에 있어서, 부품의 크기를 소형화하기 위하여 각 인덕터(L1, L2)를 도 4의 (b)와 (c)에 도시된 바와 같이 구성한다.At this time, in the present invention, when two inductors L1 and L2 are used, each inductor L1 and L2 is configured as shown in FIG. 4 (b) and (c) in order to reduce the size of the component. .
도 4의 (b)와 (c)를 참고하면, 인덕터(L1, L2) 각각은 PCB 기판(10), PCB 기판(10)의 상부에 동박으로 배선된 복수의 제1 동박패턴(11), PCB 기판(10)의 하부에 동박으로 배선된 복수의 제2 동박패턴(12) 및 제1 동박패턴(11), 제2 동박패턴(12)과 기판(10)을 관통하여 하나의 제1 동박패턴(11)과 하나의 제2 동박패턴(12)을 전기적으로 연결시키는 복수의 비아홀(13)을 포함하여 구성된다.4 (b) and (c), each of the inductors (L1, L2) is a
여기서 제1 및 제2 동박패턴(11, 12)은 일정한 두께와 일정한 길이와 폭를 가지며, 비아홀(13)은 내부에 도전층(미도시)이 형성되어 제1 및 제2 동박패턴(11, 12)을 전기적으로 연결시킨다. 제1 및 제2 동박패턴(11, 12)은 저항 성분도 함께 가진다.Here, the first and second
제1 및 제2 인덕터(L1, L2)에서 제1 및 제2 동박패턴(11, 12)이 PCB 기판(10)에 배선된 배선 패턴의 길이가 ℓ이고, 배선 패턴의 폭이 W이고, 기판(10)의 두께가 h라고 하면, 제1 및 제2 인덕터(L1, L2)의 인덕턴스(La)는 다음의 수학식 1로 표시할 수 있다.In the first and second inductors L1 and L2, the length of the wiring pattern in which the first and second
(수학식 1)(Equation 1)
그리고 비아홀(13)에서의 인덕턴스(Lb)는 다음의 수학식 2로 표시할 수 있다.In addition, the inductance Lb in the via
(수학식 2)(Equation 2)
상기 수학식 2에서는 r은 비아홀(13)의 반경이고, h는 비아홀(13)의 길이이다.In Equation 2, r is the radius of the via
이하에서는 도 5를 참고하여 CPU부(500)를 보다 상세히 설명한다. 도 5는 본 발명의 실시 예에 따른 축소형 고장기록장치에서 CPU부의 블록 구성도이다.Hereinafter, the
도 5의 (a)를 참고하면, CPU부(500)는 고장 판단부(510), 고장 위치 계산부(520), 데이터 변환부(530) 및 고장 기록부(540)를 포함한다.Referring to FIG. 5A , the
고장 판단부(510)는 분압식 PT(240), CT(250)와 같은 측정모듈에서 측정된 전압 및 전류 실효치 데이터 또는 순시값을 이용하여 전압변동 감시, 고조파 감시, 전압 불평형 감시, 전압동요 감시 중 적어도 하나의 전력품질을 측정하고, 전력품질에 따른 고장 여부를 판단한다.The
고장 위치 계산부(520)는 사고가 발생한 전력 계통 선로에서 고장 위치를 연산하는 기능을 수행한다. 여기서, 고장 위치 계산부(520)는 단방향 고장점 표정부(미도시) 및 양방향 고장점 표정부(미도시)를 포함한다. 단방향 고장점 표정부는 축소형 고장기록장치가 송전선로 한쪽에만 설치된 경우, 사고 발생시 고장점 위치를 검출한다. 이때 사용하는 알고리즘은 자기단의 송전선로 정수를 기반으로 한 고장 임피던스 측정 방식이다. 송전선로의 한 쪽에만 장치가 설치되어 감시하는 경우, 미리 설정된 선로정수와 고장 전압페이저/전류페이저/임피던스값을 계측 및 연산하여 고장유형(즉, 단락사고 또는 지락사고)과 고장거리를 산출하는 기능을 수행한다.The fault
양방향 고장점 표정부는 송전선로의 양 단에 장치가 설치되어 감시하는 경우 단방향에서와 같이 선로정수와 고장 전압페이저/전류페이저/임피던스 값을 선로 양단 모두에서 취득하고, 양단의 시각을 동기화한 후, 고장 시 양단에서 측정한 고장데이터의 분배율을 거리로 환산하여 거리를 산출하는 기능을 수행한다. 양방향 고장점 표정부는 사고 발생시 송전단과 수전단의 전원 임피던스와 선로임피던스를 알고 있거나 그 값이 정확하지 않아도 동기화된 고장 파일에서 분석한 양단의 정상분 임피던스의 분배율에 따라서 정확한 고장거리 산출이 가능하다.The bidirectional fault point expression unit acquires the line constant and fault voltage phasor/current phasor/impedance values from both ends of the line as in unidirectional when devices are installed and monitored at both ends of the transmission line, and after synchronizing the time of both ends, In the event of a failure, it performs the function of calculating the distance by converting the distribution ratio of the failure data measured at both ends to the distance. The bidirectional fault point expression unit enables accurate calculation of the fault distance according to the distribution ratio of the positive impedance of both ends analyzed from the synchronized fault file even if the power impedance and line impedance of the transmitting and receiving ends are known or their values are not accurate when an accident occurs.
데이터 변환부(530)는 고장 기록 데이터를 미리 등록된 외부 단말기에 적합한 데이터 포맷으로 변환하는 기능을 수행한다. 본 실시예의 경우, 고장 파일 기록시 COMTRADE 파일로 변환되며, 변환된 데이터 포맷으로 호스트 서버로 전송한다.The
한편, 양단에서 고장이 발생한 경우, 호스트 서버에서는 이 두 개의 COMTRADE 파일을 활용하여 고장거리를 산출하게 된다. 호스트 서버에서는 양방향 COMTRADE 파일 또는 고장 기록 데이터를 활용하여 고장거리를 산출할 수 있다. 고장 거리를 산출하기 위해서는 양단의 선로정보가 미리 입력이 되어야 하며, 입력 파라미터로는 전체 선로 길이, 정상분 선로 임피던스, 영상분 선로 임피던스가 필요하다. 이러한 기본 파라미터는 임피던스 기반의 고장점 표정 알고리즘의 상수가 되며, 고장 기록 장치에서 송전선로 단락 또는 지락사고시 저장한 고장 전압과 고장 전류와의 연산을 통해서 고장거리가 산출된다. 그리고, 양단의 서로 다른 파일을 비교해야 하므로, 시각동기가 되어야 정확한 고장거리를 추정할 수 있다.On the other hand, if a failure occurs at both ends, the host server calculates the failure distance by using these two COMTRADE files. The host server can calculate the fault distance by using the bidirectional COMTRADE file or fault record data. In order to calculate the fault distance, line information from both ends must be input in advance, and the total line length, normal line impedance, and zero segment line impedance are required as input parameters. These basic parameters become constants of the impedance-based fault point expression algorithm, and the fault distance is calculated by calculating the fault voltage and fault current stored in the case of a power line short-circuit or ground fault in the fault recorder. And, since it is necessary to compare different files at both ends, it is necessary to synchronize the time to accurately estimate the failure distance.
상기 고장 위치 계산부(520)와 데이터 변환부(530)는 제작자에 의해 본 발명의 실시 예에 따른 고장기록장치(100)의 구성에서 생략이 가능하다.The fault
고장 기록부(540)는 전력 계통 선로에서 고장이 발생한 경우, 고장 기록 데이터를 저장한다. 사고가 감지되어 데이터 기록을 수행하는 도중 다시 사고가 발생되면 재사고 발생 시점부터 설정된 포스트 트리거(Post Trigger) 시간 동안 연장하여 기록한다. 본 실시예의 경우, 최대 기록의 값의 범위는 10초까지이며, 10초의 범위 안에서의 재트리거 횟수는 제한을 두지 않는다. 이러한 시간은 운영자에 의해서 임의 설정이 가능하다.The failure recording unit 540 stores failure recording data when a failure occurs in the power system line. If an accident is detected and an accident occurs again while data recording is being performed, the record is extended for the set post trigger time from the time of the recurrence of the accident. In the present embodiment, the range of the maximum recording value is up to 10 seconds, and the number of retriggers within the range of 10 seconds is not limited. This time can be arbitrarily set by the operator.
도 5의 (b)를 참고하면, 본 발명의 실시 예에 따른 고장 판단부(510)는 전압변동 감시부(511), 고조파 감시부(512), 전압불평형 감시부(513) 및 전압동요 감시부(514)를 포함한다.Referring to FIG. 5B , the
전압변동 감시부(511)는 수신되는 전압의 실효 값 크기를 측정하여 전압의 허용 기준 초과 여부 및 허용기준 초과 유지시간을 측정하여 단시간 전압 변동에 따른 고장인지 또는 장시간 전압변동에 따른 고장인지를 판별한다.The voltage
전압변동 감시부(511)의 구체적인 동작을 도 6을 참조로 하여 설명한다. 도 6은 본 발명의 실시 예에 따른 축소형 고장기록장치에서 전압변동을 감시하는 동작에 대한 순서도이다.A detailed operation of the voltage
도 6을 참고하면, 전압변동 감시부(511)는 아날로그 인터페이스부(200)를 통해 실시간으로 수신되는 전압의 실효값과 수신된 전압의 실효값(단위, pu)이 계산된 시간을 수신한다(S601).Referring to FIG. 6 , the voltage
그러면 전압변동 감시부(511)는 수신한 전압의 실효값이 설정된 3개의 기준값 즉, 제1 기준값, 제2 기준값 및 제3 기준값을 초과하였는지를 비교하고(S602), 기준 값 초과 시점의 전압의 실효값이 어느 정도의 크기 범위에 속하는지를 파악한다(S603). 여기서, 제1 기준값은 1.1pu이고, 제2 기준값은 0.9pu이고, 제3 기준값은 0.1pu이다. Then, the voltage
구체적으로, 전압변동 감시부(511)는 수신한 실효값이 제1 기준값인 1.1pu이상인지를 파악하고, 실효값이 1.1pu보다 작으면 실효값이 제3 기준값인 0.1pu보다 크고 제2 기준값인 0.9pu보다 작은지를 파악한다. 또한 전압변동 감시부(511)는 실효값이 제3 기준값인 0.1pu이하인지를 파악한다. 즉, 전압변동 감시부(511)는 실효값이 제1 기준값 이상인 제1 범위, 제2 기준값보다 작고 제3 기준값보다 큰 제2 범위 및 제3 기준값 이하인 제3 범위 중 어느 크기 범위에 속하는지를 파악한다.Specifically, the voltage
그리고, 전압변동 감시부(511)는 이후에 수신되는 실효치에 대해 S601 내지 S603 과정을 반복하여 수신되는 실효치가 계속해서 제1, 제2, 제3 범위 내에서 유지하면 유지시간을 카운트한다(S604).Then, the voltage
유지시간을 카운트하는 중에, 전압변동 감시부(511)는 전압 실효값이 정상상태로 복귀하였는지를 판단하고(S605), 전압의 실효값이 정상상태로 복귀한 경우에는 유지시간 카운트를 중지하고 카운트한 유지시간과 고장 초기 검출 시점의 전압의 실효값의 크기를 이용하여 고장 유형을 판별한다(S606).While counting the holding time, the voltage
이때 고장유형의 판별은 도 5의 (b)와 같이 수신된 고장 초기 검출 시점의 전압이 제1 내지 제3 범위 중 하나에 속하고 유지시간이 1분 이하이면 단시간 전압변동이라고 판단하고, 수신된 고장 초기 검출 시점의 전압이 제1 내지 제3 범위 중 하나에 속하고 유지시간이 1분을 초과하면 장시간 전압변동이라고 판단한다.At this time, the determination of the failure type is determined as a short-time voltage fluctuation if the voltage at the time of initial detection of the received failure falls within one of the first to third ranges and the holding time is 1 minute or less, as shown in FIG. If the voltage at the time of initial detection of the failure falls within one of the first to third ranges and the holding time exceeds 1 minute, it is determined that the voltage fluctuates for a long time.
단시간 전압변동인 경우에, 전압변동 감지부(511)는 전압의 유지시간이 0.5cycle(약 0.08초)보다 크고 30cycle(약 0.5초)이하이면 'Instantaneous'라고 판단하고, 30cycle(약 0.5초)보다 크고 3초이하이면 'Momentary'라고 판단하며, 3초보다 크고 1분 이하이면 'Temporary/라고 판단한다.In the case of short-time voltage fluctuations, the voltage
그리고 전압변동 감지부(511)는 고장 초기 검출 시점의 전압의 크기가 제1 범위에 속하면 'Swell'이라고 판단하고, 제2 범위에 속하면 ' Sag'라고 판단하며, 제3 범위에 속하면 'Interruption'이라고 판단한다.And the voltage
S606 과정에서 전압변동 감지부(511)는 고장 초기 검출 시점의 전압의 크기가 제1 범위에 속하고, 유지시간이 0.5cycle(약 0.08초)보다 크고 30cycle(약 0.5초)이하이면, 전압변동 감지부(511)는 고장의 유형이 'Swell(Ins)'라고 판단한다.In the process S606, the voltage
장시간 전압변동인 경우에, 전압변동 감지부(511)는 고장 초기 검출 시점의 전압의 크기가 0.0pu~0.1pu이면 'Interruption sustained'라고 판단하고, 0.1pu~0.9pu이면 'Under-Voltages'라고 판단하며, 1.1pu~1.2pu이면 'Over-Voltages'라고 판단한다.In the case of long-time voltage fluctuations, the voltage
전압변동 감시부(511)는 고장 유형을 판별하면 이에 대한 정보 즉, 고장 유형에 대한 정보를 저장한 후(S607), S601 과정 내지 S607 과정을 반복한다.When the voltage
다음으로 도 7을 참조로 하여 고조파 감시부(512)의 동작을 설명한다. 도 7은 본 발명의 실시 예에 따른 축소형 고장기록장치에서 고조파 분석을 감시하는 동작에 대한 순서도이다.Next, the operation of the
도 7을 참고하면, 고조파 감시부(512)는 전압 또는 전류의 1사이클 순시값(도 7의 (b) 참조)을 수신한다(S701). 그리고 고조파 감시부(512)는 수신한 전압 또는 전류의 1사이클 순시값을 다음의 수학식 3과 같이 DTF(Discrete Fourier Transform, 이산푸리에 변환)을 수행하여 1차에서 63차까지의 고조파 성분(DC)을 추출(분해)한다(S702).Referring to FIG. 7 , the
(수학식 3)(Equation 3)
그리고, 고조파 감시부(512)는 1차 내지 63차 고조파 성분을 다음의 수학식 4를 이용하여 THD(Total Harmonic Distortion, 전 고조파 왜율, 단위 %)을 산출하고(S703), 산출한 THD 와 기 설정된 기준 THD 를 비교한다(S704).Then, the
(수학식 4)(Equation 4)
고조파 감시부(512)는 S605 과정의 비교를 통해서, 산출한 THD가 기준 THD를 초과하였는지를 판단하고(S705), 산출한 THD가 기준 THD를 초과하였다고 판단하면 고조파의 품질이 기준치를 초과하는 고장이라고 판단하고 고장 데이터(예; 전압, 전류 파형)를 저장한 후(S706), 계속해서 S601 과정 내지 S605 과정을 수행한다.The
물론, 고조파 감시부(512)는 산출한 THD가 기준 THD를 초과하지 않았다고 판단하면 별도의 조치를 취하지 않는 정상처리 동작을 수행하고(S707), 계속해서 S701 과정 내지 S706 과정을 수행한다.Of course, when it is determined that the calculated THD does not exceed the reference THD, the
이하에서는 도 8을 참조로 하여 전압불평형 감시부(513)의 동작을 설명한다. 도 8은 본 발명의 실시 예에 따른 축소형 고장기록장치에서 전압불평형을 감시하는 동작에 대한 순서도이다. 도 8을 참고하면, 본 발명의 고장기록장치(100)는 3상 전압(U상 전압, V상 전압, W상 전압)을 설정한다(S801). 그리고, 전압불평형 감시부(513)는 3상 전압의 순시값을 수신하고(S802, 도 8의 (b) 참조), 수신한 순시 값을 페이저(복소수) 형식으로 변환한다(S803).Hereinafter, the operation of the voltage
전압불평형 감시부(513)는 변환된 3상 전압의 페이저값에 대하여 다음의 수학식 5를 이용하여 영상분 전압(Vo)을 산출하고, 다음의 수학식 6을 이용하여 정상분 전압(V1)을 산출하며, 다음의 수학식 7을 이용하여 역상분 전압(V2)을 산출한다(S804).The voltage imbalance monitoring unit 513 calculates a zero-part voltage (V o ) using the following Equation (5) with respect to the phasor value of the converted three-phase voltage, and uses the following Equation (6) to calculate the positive-sequence voltage (V)1 ) is calculated, and the reverse-phase voltage (V2 ) is calculated using Equation 7 below ( S804 ).
(수학식 5)(Equation 5)
(수학식 6)(Equation 6)
(수학식 7)(Equation 7)
상기 수학식 5 내지 7에서, VA는 U상의 전압이고,VB는 V상의 전압이며, VC는 W상의 전압니다.In Equations 5 to 7, VA is the voltage of the U phase,VB is the voltage on phase V, and VC is the voltage on phase W.
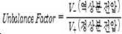
그런 다음, 전압불평형 감시부(513)는 수학식 6과 수학식 7을 이용하여 산출한 정상분 전압(V1)과 역상분 전압(V2)를 다음의 수학식 8을 적용하여 불평형률(Unbalance Factor)을 산출한다(S805).Then, the voltage
(수학식 8)(Equation 8)
그리고, 전압불평형 감시부(513)는 산출한 불평형률을 기 설정된 기준 불평형률과 비교하고(S806), 산출한 불평형률이 기준 불평형률을 초과하는지를 판단한다(S807).Then, the voltage
전압불평형 감시부(513)는 상기 S807 과정을 통해 산출한 불평형률이 기준 불평형률을 초과하였다고 판단하면 고장이라고 판단하고 고장 데이터(예; 전압, 전류 파형 데이터)를 저장한 후(S808), S801 과정 내지 S806 과정을 반복해서 수행한다.If the voltage
반면에 전압불평형 감시부(513)는 상기 S807 과정을 통해 산출한 불평형률이 기준 불평형률을 초과하지 않았다고 판단하면 별도의 조치를 취하지 않는 정상처리 동작을 수행하고(S809), S801 과정 내지 S807과정을 반복해서 수행한다.On the other hand, if the voltage
이하에서는 도 9를 참조로 하여 본 발명의 실시 예에 따른 전압동요 감시부(514)의 동작을 설명한다. 도 9는 본 발명의 실시 예에 따른 축소형 고장기록장치에서 전압동요를 감시하는 동작에 대한 순서도이다.Hereinafter, an operation of the voltage
도 9를 참고하면, 우선 사용자가 설정기간과 횟수를 지정하면, 본 발명의 장치(100)는 사용자가 지정한 설정시간과 횟수를 등록한다(S901). 여기서 설정시간은 전압동요 감시부(514)가 수행하는 단위 감시시간이고, 횟수는 단위 감시시간 동안에 측정된 실효 값 전압이 사전에 입력된 기준 실효 값을 초과한 횟수이다.Referring to FIG. 9 , first, when the user designates a set period and number of times, the
전압동요 감시부(514)는 전압 1사이클의 단위 실효값을 수신한다(S902).The voltage
전압동요 감시부(514)는 수신한 단위 실효값 전압을 검출하고, 검출한 전압이 설정된 기준값(기준전압) 이상인지를 파악한다. 전압동요 감시부(514)는 이러한 단위 실효값 전압이 기준값(기준전압) 이상인지(도달하였는지)를 감시하는 동작을 설정된 단위 감시시간 동안에 수신되는 복수의 단위 실효값 에 대해 수행하고, 그에 따라 단위 실효값이 기준값에 도달한 횟수를 파악한다(S903).The voltage
그런 다음 전압동요 감시부(514)는 파악한 도달 횟수와 기 설정된 설정 도달횟수를 비교하고(S904), 파악한 도달횟수가 설정 도달횟수를 초과하는지를 판단한다(S905).Then, the voltage
전압동요 감시부(514)는 상기 S805 과정을 통해 파악한 도달횟수가 설정 도달횟수를 초과하였다고 판단하면 고장이라고 판단하고 고장 데이터(예; 전압, 전류 파형 데이터)를 저장한 후(S906), S901 과정 내지 S905 과정을 반복해서 수행한다.When the voltage
반면에 전압동요 감시부(514)는 상기 S905 과정을 통해 파악한 도달횟수가 설정 도달횟수을 초과하지 않았다고 판단하면 별도의 조치를 취하지 않는 정상처리 동작을 수행하고(S907), S901 과정 내지 S905 과정을 반복해서 수행한다.On the other hand, if the voltage
상기 설명들은 본 발명을 구현하기 위한 예시적인 구성들 및 동작들을 제공하도록 의도된다. 본 발명의 기술 사상은 위에서 설명된 실시 예들뿐만 아니라, 위 실시 예들을 단순하게 변경하거나 수정하여 얻어질 수 있는 구현들도 포함할 것이다. 또한, 본 발명의 기술 사상은 위에서 설명된 실시 예들을 앞으로 용이하게 변경하거나 수정하여 달성될 수 있는 구현들도 포함할 것이다.The above descriptions are intended to provide exemplary configurations and acts for implementing the present invention. The technical spirit of the present invention will include not only the embodiments described above, but also implementations that can be obtained by simply changing or modifying the above embodiments. In addition, the technical spirit of the present invention will include implementations that can be achieved by easily changing or modifying the embodiments described above in the future.
1000: 축소형 고장기록장치 2000: 통신망
3000: 호스트 서버100: 전원부
200: 아날로그 인터페이스부300: 디지털 인터페이스부
400: 데이터 통신부500: CPU부
600: 데이터 저장부700: 제어부
210: A/D 컨버터220: 증폭기
230: 비교기240: 분압식 PT
250: CT510: 고장 판단부
520: 고장 위치 계산부530: 데이터 변환부
540: 고장 기록부511: 전압변동 감시부
512: 고조파 감시부513: 전압불평형 감시부
514: 전압동요 감시부1000: reduced fault recorder 2000: communication network
3000: host server 100: power unit
200: analog interface unit 300: digital interface unit
400: data communication unit 500: CPU unit
600: data storage unit 700: control unit
210: A/D converter 220: amplifier
230: comparator 240: partial pressure PT
250: CT 510: failure determination unit
520: fault location calculation unit 530: data conversion unit
540: fault log 511: voltage fluctuation monitoring unit
512: harmonic monitoring unit 513: voltage unbalance monitoring unit
514: voltage fluctuation monitoring unit
| Application Number | Priority Date | Filing Date | Title |
|---|---|---|---|
| KR1020200042879AKR102361606B1 (en) | 2020-04-08 | 2020-04-08 | Compact type fault recorder |
| Application Number | Priority Date | Filing Date | Title |
|---|---|---|---|
| KR1020200042879AKR102361606B1 (en) | 2020-04-08 | 2020-04-08 | Compact type fault recorder |
| Publication Number | Publication Date |
|---|---|
| KR20210125314Atrue KR20210125314A (en) | 2021-10-18 |
| KR102361606B1 KR102361606B1 (en) | 2022-02-11 |
| Application Number | Title | Priority Date | Filing Date |
|---|---|---|---|
| KR1020200042879AActiveKR102361606B1 (en) | 2020-04-08 | 2020-04-08 | Compact type fault recorder |
| Country | Link |
|---|---|
| KR (1) | KR102361606B1 (en) |
| Publication number | Priority date | Publication date | Assignee | Title |
|---|---|---|---|---|
| CN114034956A (en)* | 2021-11-10 | 2022-02-11 | 国网甘肃省电力公司陇南供电公司 | Fault monitoring and early warning method for dry-type air-core reactor |
| CN117250557A (en)* | 2023-11-14 | 2023-12-19 | 武汉格蓝若智能技术股份有限公司 | Small-current grounding line selection starting method and device based on ferromagnetic resonance identification |
| Publication number | Priority date | Publication date | Assignee | Title |
|---|---|---|---|---|
| KR200243495Y1 (en)* | 2001-05-30 | 2001-10-29 | 최대섭 | circuit for transforming AC voltage into AC or DC voltage by using voltage division by capacitors |
| KR101035702B1 (en)* | 2010-06-29 | 2011-05-19 | 한국전력공사 | Apparatus and method for measuring power quality |
| KR101452980B1 (en) | 2014-08-06 | 2014-10-22 | 주식회사프로컴시스템 | Compact type fault recorder in power system and fault recorder system having the same |
| KR101722156B1 (en)* | 2016-11-23 | 2017-04-03 | 주식회사프로컴시스템 | Power system failure recorder device for detecting of negative phase sequence and open phase sequence |
| Publication number | Priority date | Publication date | Assignee | Title |
|---|---|---|---|---|
| KR200243495Y1 (en)* | 2001-05-30 | 2001-10-29 | 최대섭 | circuit for transforming AC voltage into AC or DC voltage by using voltage division by capacitors |
| KR101035702B1 (en)* | 2010-06-29 | 2011-05-19 | 한국전력공사 | Apparatus and method for measuring power quality |
| KR101452980B1 (en) | 2014-08-06 | 2014-10-22 | 주식회사프로컴시스템 | Compact type fault recorder in power system and fault recorder system having the same |
| KR101722156B1 (en)* | 2016-11-23 | 2017-04-03 | 주식회사프로컴시스템 | Power system failure recorder device for detecting of negative phase sequence and open phase sequence |
| Publication number | Priority date | Publication date | Assignee | Title |
|---|---|---|---|---|
| CN114034956A (en)* | 2021-11-10 | 2022-02-11 | 国网甘肃省电力公司陇南供电公司 | Fault monitoring and early warning method for dry-type air-core reactor |
| CN117250557A (en)* | 2023-11-14 | 2023-12-19 | 武汉格蓝若智能技术股份有限公司 | Small-current grounding line selection starting method and device based on ferromagnetic resonance identification |
| Publication number | Publication date |
|---|---|
| KR102361606B1 (en) | 2022-02-11 |
| Publication | Publication Date | Title |
|---|---|---|
| US8009394B2 (en) | Leak current breaker and method | |
| KR102418288B1 (en) | Fault recording device for monitoring power quality | |
| US20090287430A1 (en) | System and Method for Detecting Leak Current | |
| US20090265041A1 (en) | Power Distribution and Monitoring System | |
| KR102361606B1 (en) | Compact type fault recorder | |
| CN107367677A (en) | For the method and device that the arc fault in ungrounded electric power system is identified | |
| RU2351048C1 (en) | Method of functional diagnostics for induction motors | |
| KR102419753B1 (en) | Facility health monitoring method by measuring the electric circuit constant inside the power facility in operation | |
| WO2019084947A1 (en) | Direct-current switch cabinet, and monitoring system thereof and monitoring method therefor | |
| CN112904241A (en) | Ring network fault finding method, device and system | |
| CN105486984A (en) | Dynamic voltage source control-based direct-current grounding searching method and apparatus | |
| JP6782442B2 (en) | Measuring equipment, measuring system and computer system | |
| US11187727B2 (en) | Capacitance-coupled voltage transformer monitoring | |
| JP2013174613A (en) | Leak current detection device and method | |
| JP2010197400A (en) | Apparatus and method for detection of leakage current | |
| RU2716888C1 (en) | METHOD OF DETERMINING THE LOCATION AND MAGNITUDE OF UNCONTROLLED POWER CONSUMPTION IN AN ELECTRICAL NETWORK OF 0,4 kV | |
| FI130855B1 (en) | Substation monitoring system | |
| CN218956710U (en) | Intelligent detection electric arc power distribution cabinet | |
| Johansen | The ultimate grid sensor measuring three phase currents from the outside of a three phase cable and utilizing advanced power system analysis | |
| CN119780694B (en) | Method for measuring closing angle of main circuit breaker of motor train unit train | |
| Ostojic et al. | Benefits and Opportunities of the Wireless Technology Utilization for High Voltage Circuit Breaker and Power Transformer Test Instruments | |
| KR101117870B1 (en) | Apparatus and method for detecting leak current | |
| US20230019005A1 (en) | Protection of an electrical apparatus | |
| RU2358272C1 (en) | Device and technique for leakage current disconnection | |
| US11585863B2 (en) | Capacitive pickup fault detection |
| Date | Code | Title | Description |
|---|---|---|---|
| PA0109 | Patent application | Patent event code:PA01091R01D Comment text:Patent Application Patent event date:20200408 | |
| PA0201 | Request for examination | ||
| PE0902 | Notice of grounds for rejection | Comment text:Notification of reason for refusal Patent event date:20210408 Patent event code:PE09021S01D | |
| PG1501 | Laying open of application | ||
| E701 | Decision to grant or registration of patent right | ||
| PE0701 | Decision of registration | Patent event code:PE07011S01D Comment text:Decision to Grant Registration Patent event date:20211124 | |
| GRNT | Written decision to grant | ||
| PR0701 | Registration of establishment | Comment text:Registration of Establishment Patent event date:20220207 Patent event code:PR07011E01D | |
| PR1002 | Payment of registration fee | Payment date:20220208 End annual number:3 Start annual number:1 | |
| PG1601 | Publication of registration | ||
| PR1001 | Payment of annual fee | Payment date:20250107 Start annual number:4 End annual number:4 |