









본 명세서는 헤테로고리 화합물, 이를 포함하는 유기 발광 소자 및 유기 발광 소자의 유기물층용 조성물에 관한 것이다.The present specification relates to a heterocyclic compound, an organic light emitting device including the same, and a composition for an organic material layer of the organic light emitting device.
전계 발광 소자는 자체 발광형 표시 소자의 일종으로서, 시야각이 넓고, 콘트라스트가 우수할 뿐만 아니라 응답속도가 빠르다는 장점을 가지고 있다.The electroluminescent device is a type of self-luminous display device, and has a wide viewing angle, excellent contrast, and fast response speed.
유기 발광 소자는 2개의 전극 사이에 유기 박막을 배치시킨 구조를 가지고 있다. 이와 같은 구조의 유기 발광 소자에 전압이 인가되면, 2개의 전극으로부터 주입된 전자와 정공이 유기 박막에서 결합하여 쌍을 이룬 후 소멸하면서 빛을 발하게 된다. 상기 유기 박막은 필요에 따라 단층 또는 다층으로 구성될 수 있다.The organic light emitting device has a structure in which an organic thin film is disposed between two electrodes. When a voltage is applied to the organic light emitting device having such a structure, electrons and holes injected from the two electrodes combine in the organic thin film to form a pair, and then disappear and emit light. The organic thin film may be composed of a single layer or multiple layers, if necessary.
유기 박막의 재료는 필요에 따라 발광 기능을 가질 수 있다. 예컨대, 유기 박막 재료로는 그 자체가 단독으로 발광층을 구성할 수 있는 화합물이 사용될 수도 있고, 또는 호스트-도펀트계 발광층의 호스트 또는 도펀트 역할을 할 수 있는 화합물이 사용될 수도 있다. 그 외에도, 유기 박막의 재료로서, 정공 주입, 정공 수송, 전자 차단, 정공 차단, 전자 수송, 전자 주입 등의 역할을 수행할 수 있는 화합물이 사용될 수도 있다.The material of the organic thin film may have a light emitting function if necessary. For example, as the organic thin film material, a compound capable of forming the light emitting layer by itself may be used, or a compound capable of serving as a host or dopant of the host-dopant light emitting layer may be used. In addition, as a material of the organic thin film, a compound capable of performing the roles of hole injection, hole transport, electron blocking, hole blocking, electron transport, electron injection, and the like may be used.
유기 발광 소자의 성능, 수명 또는 효율을 향상시키기 위하여, 유기 박막의 재료의 개발이 지속적으로 요구되고 있다.In order to improve the performance, lifespan, or efficiency of the organic light emitting device, the development of a material for the organic thin film is continuously required.
본 명세서는 헤테로고리 화합물, 이를 포함하는 유기 발광 소자 및 유기 발광 소자의 유기물층용 조성물을 제공하고자 한다.An object of the present specification is to provide a heterocyclic compound, an organic light emitting device including the same, and a composition for an organic material layer of the organic light emitting device.
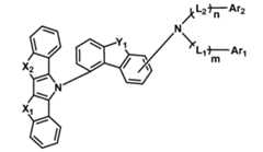
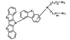
본 출원의 일 실시상태는, 하기 화학식 1로 표시되는 헤테로고리 화합물을 제공한다.An exemplary embodiment of the present application provides a heterocyclic compound represented by the following formula (1).
[화학식 1][Formula 1]
상기 화학식 1에서,In Formula 1,
L은 치환 또는 비치환된 탄소수 6 내지 60의 아릴렌기; 또는 치환 또는 비치환된 탄소수 2 내지 60의 헤테로아릴렌기이고,L is a substituted or unsubstituted C 6 to
L1 및 L2는 서로 같거나 상이하고, 각각 독립적으로, 직접결합; 치환 또는 비치환된 탄소수 6 내지 20의 아릴렌기; 또는 치환 또는 비치환된 탄소수 2 내지 20의 헤테로아릴렌기이고,L1 And L2 Are the same as or different from each other, each independently, a direct bond; a substituted or unsubstituted arylene group having 6 to 20 carbon atoms; Or a substituted or unsubstituted C2 to C20 heteroarylene group,
X1 및 X2는 서로 같거나 상이하고, 각각 독립적으로 O 또는 S이고,X1 and X2 are the same as or different from each other, and each independently O or S,
Rp 및 Rq는 서로 같거나 상이하고, 각각 독립적으로 수소; 중수소; 할로겐기; 시아노기; 치환 또는 비치환된 탄소수 1 내지 30의 알킬기; 치환 또는 비치환된 탄소수 6 내지 60의 아릴기; 또는 치환 또는 비치환된 탄소수 2 내지 60의 헤테로아릴기이고,Rp and Rq are the same as or different from each other, and each independently hydrogen; heavy hydrogen; halogen group; cyano group; a substituted or unsubstituted C 1 to C 30 alkyl group; a substituted or unsubstituted C 6 to
Ar1 및 Ar2는 서로 같거나 상이하고, 각각 독립적으로 치환 또는 비치환된 탄소수 6 내지 60의 아릴기; 또는 치환 또는 비치환된 탄소수 2 내지 60의 헤테로아릴기이고,Ar1 and Ar2 are the same as or different from each other, and each independently a substituted or unsubstituted C 6 to
a는 1 또는 2의 정수이며, 상기 a가 2인 경우 괄호 내의 치환기는 서로 동일하거나 상이하고,a is an integer of 1 or 2, and when a is 2, the substituents in parentheses are the same or different from each other,
b 및 c는 각각 0 내지 4의 정수이며, 상기 b 및 c는 각각 2 이상인 경우, 괄호 내의 치환기는 서로 동일하거나 상이하고,b and c are each an integer of 0 to 4, and when b and c are each 2 or more, the substituents in parentheses are the same as or different from each other,
m 및 n은 각각 0 내지 2의 정수이며, 상기 m 및 n은 각각 2인 경우, 괄호 내의 치환기는 서로 동일하거나 상이하다.m and n are each an integer of 0 to 2, and when m and n are each 2, the substituents in parentheses are the same as or different from each other.
또한, 본 출원의 일 실시상태는, 제1 전극; 제2 전극; 및 상기 제1 전극과 상기 제2 전극 사이에 구비된 1층 이상의 유기물층을 포함하는 유기 발광 소자로서, 상기 유기물층 중 1층 이상은 상기 화학식 1로 표시되는 헤테로고리 화합물을 포함하는 것인 유기 발광 소자를 제공한다.In addition, an exemplary embodiment of the present application, the first electrode; a second electrode; and at least one organic material layer provided between the first electrode and the second electrode, wherein at least one organic material layer includes the heterocyclic compound represented by Formula 1 above. provides
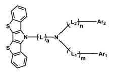
마지막으로, 본 출원의 일 실시상태는 상기 화학식 1로 표시되는 헤테로고리 화합물 및 하기 화학식 11로 표시되는 헤테로고리 화합물을 포함하는 유기 발광 소자의 유기물층용 조성물을 제공한다.Finally, an exemplary embodiment of the present application provides a composition for an organic material layer of an organic light emitting device comprising a heterocyclic compound represented by the formula (1) and a heterocyclic compound represented by the following formula (11).
[화학식 11][Formula 11]
상기 화학식 11에서,In the above formula (11),
L11 및 L12는 서로 같거나 상이하고, 각각 독립적으로 직접결합; 치환 또는 비치환된 탄소수 6 내지 60의 아릴렌기; 또는 치환 또는 비치환된 탄소수 2 내지 60의 헤테로아릴렌기이고,L11 and L12 are the same as or different from each other, and each independently a direct bond; a substituted or unsubstituted arylene group having 6 to 60 carbon atoms; Or a substituted or unsubstituted C 2 to
X11은 O; S; 또는 CRbRc이고, 상기 Rb및Rc는 서로 같거나 상이하고, 각각 독립적으로 치환 또는 비치환된 탄소수 1 내지 10의 알킬기이고,X11 is O; S; or CRb Rc , wherein Rb andRc is the same as or different from each other, and each independently represents a substituted or unsubstituted C 1 to
Y11 내지 Y15는 서로 같거나 상이하고, 각각 독립적으로 N 또는 CRd이고, 상기 Y11 내지 Y15 중 적어도 1 이상은 N이며,Y11 to Y15 are the same as or different from each other, and each independently represents N or CRd , and at least one ofY 11 to Y15 is N,
각각의 Rd는 서로 같거나 상이하며, 각각 독립적으로, 수소; 중수소; 할로겐기; 치환 또는 비치환된 탄소수 3 내지 60의 시클로알킬기; 치환 또는 비치환된 탄소수 6 내지 60의 아릴기; 및 치환 또는 비치환된 탄소수 2 내지 60의 헤테로아릴기로 이루어진 군으로부터 선택되거나, 서로 인접하는 2 이상의 기는 서로 결합하여 치환 또는 비치환된 탄소수 6 내지 60의 방향족 탄화수소 고리 또는 치환 또는 비치환된 탄소수 2 내지 60의 헤테로 고리를 형성하고,each Rd is the same as or different from each other, and each independently hydrogen; heavy hydrogen; halogen group; a substituted or unsubstituted C 3 to
Ar11은 수소; 치환 또는 비치환된 탄소수 6 내지 60의 아릴기; 또는 치환 또는 비치환된 탄소수 2 내지 60의 헤테로아릴기고,Ar11 is hydrogen; a substituted or unsubstituted C 6 to
p 및 q는 각각 0 또는 1이다.p and q are each 0 or 1.
본 명세서에 기재된 헤테로고리 화합물은 유기 발광 소자의 유기물층 재료로서 사용할 수 있다. 상기 화합물은 유기 발광 소자에서 정공주입재료, 정공 수송 재료, 발광 재료, 전자 수송 재료, 전자 주입 재료 등의 역할을 할 수 있다. 특히, 상기 헤테로고리 화합물이 유기 발광 소자의 전자 수송층 재료, 정공 보조층 재료 또는 전하 생성층 재료로서 사용될 수 있다.The heterocyclic compound described herein may be used as an organic material layer material of an organic light emitting device. The compound may serve as a hole injection material, a hole transport material, a light emitting material, an electron transport material, an electron injection material, and the like in the organic light emitting device. In particular, the heterocyclic compound may be used as an electron transport layer material, a hole auxiliary layer material, or a charge generation layer material of an organic light emitting device.
구체적으로, 상기 화학식 1로 표시되는 헤테로고리 화합물을 유기물층에 사용하는 경우 소자의 구동전압을 낮추고, 광효율을 향상시키며, 소자의 수명 특성을 향상시킬 수 있다.Specifically, when the heterocyclic compound represented by Formula 1 is used in the organic material layer, it is possible to lower the driving voltage of the device, improve the light efficiency, and improve the lifespan characteristics of the device.
도 1 내지 도 4는 각각 본 출원의 일 실시상태에 따른 유기 발광 소자의 적층 구조를 예시적으로 나타낸 도이다.
도 5 내지 7은 각각 본 출원의 화합물 68을 사용한 경우의 PL 결과, n-Host A를 사용한 경우의 PL 결과 및 상기 화합물 68 및 n-Host A를 동시에 사용한 경우의 PL결과를 나타낸 도이다.
도 8 내지 10은 각각 본 출원의 화합물 4를 사용한 경우의 PL 결과, n-Host B를 사용한 경우의 PL 결과 및 상기 화합물 4 및 n-Host B를 동시에 사용한 경우의 PL결과를 나타낸 도이다.1 to 4 are diagrams exemplarily showing a stacked structure of an organic light emitting device according to an exemplary embodiment of the present application.
5 to 7 are diagrams showing PL results when Compound 68 of the present application was used, PL results when n-Host A was used, and PL results when Compound 68 and n-Host A were used simultaneously.
8 to 10 are diagrams showing PL results when Compound 4 of the present application is used, PL results when n-Host B is used, and PL results when Compound 4 and n-Host B are simultaneously used.
이하, 본 명세서에 대하여 더욱 상세히 설명한다.Hereinafter, the present specification will be described in more detail.
본 명세서에 있어서, 어떤 부분이 어떤 구성 요소를 "포함"한다고 할 때, 이는 특별히 반대되는 기재가 없는 한 다른 구성 요소를 제외하는 것이 아니라 다른 구성 요소를 더 포함할 수 있는 것을 의미한다.In the present specification, when a part "includes" a certain component, this means that other components may be further included rather than excluding other components unless otherwise stated.
상기 "치환"이라는 용어는 화합물의 탄소 원자에 결합된 수소 원자가 다른 치환기로 바뀌는 것을 의미하며, 치환되는 위치는 수소 원자가 치환되는 위치, 즉 치환기가 치환 가능한 위치라면 한정하지 않으며, 2 이상 치환되는 경우, 2 이상의 치환기는 서로 동일하거나 상이할 수 있다.The term "substitution" means that a hydrogen atom bonded to a carbon atom of a compound is replaced with another substituent, and the position to be substituted is not limited as long as the position at which the hydrogen atom is substituted, that is, a position where the substituent is substitutable, is substituted. , two or more substituents may be the same as or different from each other.
본 명세서에 있어서, "치환 또는 비치환"이란 탄소수 1 내지 60의 직쇄 또는 분지쇄의 알킬기; 탄소수 2 내지 60의 직쇄 또는 분지쇄의 알케닐기; 탄소수 2 내지 60의 직쇄 또는 분지쇄의 알키닐기; 탄소수 3 내지 60의 단환 또는 다환의 시클로알킬기; 탄소수 2 내지 60의 단환 또는 다환의 헤테로시클로알킬기; 탄소수 6 내지 60의 단환 또는 다환의 아릴기; 탄소수 2 내지 60의 단환 또는 다환의 헤테로아릴기; 실릴기; 포스핀옥사이드기; 및 아민기로 이루어진 군으로부터 선택된 1 이상의 치환기로 치환 또는 비치환되거나, 상기 예시된 치환기 중에서 선택된 2 이상의 치환기가 연결된 치환기로 치환 또는 비치환된 것을 의미한다.In the present specification, "substituted or unsubstituted" refers to a linear or branched alkyl group having 1 to 60 carbon atoms; a linear or branched alkenyl group having 2 to 60 carbon atoms; a linear or branched alkynyl group having 2 to 60 carbon atoms; a monocyclic or polycyclic cycloalkyl group having 3 to 60 carbon atoms; a monocyclic or polycyclic heterocycloalkyl group having 2 to 60 carbon atoms; a monocyclic or polycyclic aryl group having 6 to 60 carbon atoms; a monocyclic or polycyclic heteroaryl group having 2 to 60 carbon atoms; silyl group; phosphine oxide group; And it means that it is unsubstituted or substituted with one or more substituents selected from the group consisting of an amine group, or substituted or unsubstituted with a substituent to which two or more substituents selected from the above-described substituents are connected.
보다 구체적으로,본 명세서에 있어서, "치환 또는 비치환"이란 탄소수 6 내지 60의 단환 또는 다환의 아릴기; 또는 탄소수 2 내지 60의 단환 또는 다환의 헤테로아릴기; 군으로부터 선택된 1 이상의 치환기로 치환 또는 비치환된 것을 의미할 수 있다.More specifically,In the present specification, "substituted or unsubstituted" means a monocyclic or polycyclic aryl group having 6 to 60 carbon atoms; or a monocyclic or polycyclic heteroaryl group having 2 to 60 carbon atoms; It may mean unsubstituted or substituted with one or more substituents selected from the group.
본 명세서에 있어서, 상기 할로겐은 불소, 염소, 브롬 또는 요오드일 수 있다.In the present specification, the halogen may be fluorine, chlorine, bromine or iodine.
본 명세서에 있어서, 상기 알킬기는 탄소수 1 내지 60의 직쇄 또는 분지쇄를 포함하며, 다른 치환기에 의하여 추가로 치환될 수 있다. 상기 알킬기의 탄소수는 1 내지 60, 구체적으로 1 내지 40, 더욱 구체적으로, 1 내지 20일 수 있다. 구체적인 예로는 메틸기, 에틸기, 프로필기, n-프로필기, 이소프로필기, 부틸기, n-부틸기, 이소부틸기, tert-부틸기, sec-부틸기, 1-메틸-부틸기, 1-에틸-부틸기, 펜틸기, n-펜틸기, 이소펜틸기, 네오펜틸기, tert-펜틸기, 헥실기, n-헥실기, 1-메틸펜틸기, 2-메틸펜틸기, 4-메틸-2-펜틸기, 3,3-디메틸부틸기, 2-에틸부틸기, 헵틸기, n-헵틸기, 1-메틸헥실기, 시클로펜틸메틸기, 시클로헥실메틸기, 옥틸기, n-옥틸기, tert-옥틸기, 1-메틸헵틸기, 2-에틸헥실기, 2-프로필펜틸기, n-노닐기, 2,2-디메틸헵틸기, 1-에틸-프로필기, 1,1-디메틸-프로필기, 이소헥실기, 2-메틸펜틸기, 4-메틸헥실기, 5-메틸헥실기 등이 있으나, 이에만 한정되는 것은 아니다.In the present specification, the alkyl group includes a straight or branched chain having 1 to 60 carbon atoms, and may be further substituted by other substituents. The number of carbon atoms in the alkyl group may be 1 to 60, specifically 1 to 40, more specifically, 1 to 20. Specific examples include methyl group, ethyl group, propyl group, n-propyl group, isopropyl group, butyl group, n-butyl group, isobutyl group, tert-butyl group, sec-butyl group, 1-methyl-butyl group, 1- Ethyl-butyl group, pentyl group, n-pentyl group, isopentyl group, neopentyl group, tert-pentyl group, hexyl group, n-hexyl group, 1-methylpentyl group, 2-methylpentyl group, 4-methyl- 2-pentyl group, 3,3-dimethylbutyl group, 2-ethylbutyl group, heptyl group, n-heptyl group, 1-methylhexyl group, cyclopentylmethyl group, cyclohexylmethyl group, octyl group, n-octyl group, tert -Octyl group, 1-methylheptyl group, 2-ethylhexyl group, 2-propylpentyl group, n-nonyl group, 2,2-dimethylheptyl group, 1-ethyl-propyl group, 1,1-dimethyl-propyl group , isohexyl group, 2-methylpentyl group, 4-methylhexyl group, 5-methylhexyl group, and the like, but is not limited thereto.
본 명세서에 있어서, 상기 알케닐기는 탄소수 2 내지 60의 직쇄 또는 분지쇄를 포함하며, 다른 치환기에 의하여 추가로 치환될 수 있다. 상기 알케닐기의 탄소수는 2 내지 60, 구체적으로 2 내지 40, 더욱 구체적으로, 2 내지 20일 수 있다. 구체적인 예로는 비닐기, 1-프로페닐기, 이소프로페닐기, 1-부테닐기, 2-부테닐기, 3-부테닐기, 1-펜테닐기, 2-펜테닐기, 3-펜테닐기, 3-메틸-1-부테닐기, 1,3-부타디에닐기, 알릴기, 1-페닐비닐-1-일기, 2-페닐비닐-1-일기, 2,2-디페닐비닐-1-일기, 2-페닐-2-(나프틸-1-일)비닐-1-일기, 2,2-비스(디페닐-1-일)비닐-1-일기 등이 있으나 이들에 한정되지 않는다.In the present specification, the alkenyl group includes a straight or branched chain having 2 to 60 carbon atoms, and may be further substituted by other substituents. The carbon number of the alkenyl group may be 2 to 60, specifically 2 to 40, more specifically, 2 to 20. Specific examples include a vinyl group, 1-propenyl group, isopropenyl group, 1-butenyl group, 2-butenyl group, 3-butenyl group, 1-pentenyl group, 2-pentenyl group, 3-pentenyl group, 3-methyl-1 -Butenyl group, 1,3-butadienyl group, allyl group, 1-phenylvinyl-1-yl group, 2-phenylvinyl-1-yl group, 2,2-diphenylvinyl-1-yl group, 2-phenyl-2 -(naphthyl-1-yl)vinyl-1-yl group, 2,2-bis(diphenyl-1-yl)vinyl-1-yl group, etc., but are not limited thereto.
본 명세서에 있어서, 상기 알키닐기는 탄소수 2 내지 60의 직쇄 또는 분지쇄를 포함하며, 다른 치환기에 의하여 추가로 치환될 수 있다. 상기 알키닐기의 탄소수는 2 내지 60, 구체적으로 2 내지 40, 더욱 구체적으로, 2 내지 20일 수 있다.In the present specification, the alkynyl group includes a straight or branched chain having 2 to 60 carbon atoms, and may be further substituted by other substituents. The carbon number of the alkynyl group may be 2 to 60, specifically 2 to 40, more specifically, 2 to 20.
본 명세서에 있어서, 알콕시기는 직쇄, 분지쇄 또는 고리쇄일 수 있다. 알콕시기의 탄소수는 특별히 한정되지 않으나, 탄소수 1 내지 20인 것이 바람직하다. 구체적으로, 메톡시, 에톡시, n-프로폭시, 이소프로폭시, n-부톡시, 이소부톡시, tert-부톡시, sec-부톡시, n-펜틸옥시, 네오펜틸옥시, 이소펜틸옥시, n-헥실옥시, 3,3-디메틸부틸옥시, 2-에틸부틸옥시, n-옥틸옥시, n-노닐옥시, n-데실옥시 등이 될 수 있으나, 이에 한정되는 것은 아니다.In the present specification, the alkoxy group may be a straight chain, branched chain or cyclic chain. Although carbon number of an alkoxy group is not specifically limited, It is preferable that it is C1-C20. Specifically, methoxy, ethoxy, n-propoxy, isopropoxy, n-butoxy, isobutoxy, tert-butoxy, sec-butoxy, n-pentyloxy, neopentyloxy, isopentyloxy, n -hexyloxy, 3,3-dimethylbutyloxy, 2-ethylbutyloxy, n-octyloxy, n-nonyloxy, n-decyloxy and the like may be used, but is not limited thereto.
본 명세서에 있어서, 상기 시클로알킬기는 탄소수 3 내지 60의 단환 또는 다환을 포함하며, 다른 치환기에 의하여 추가로 치환될 수 있다. 여기서, 다환이란 시클로알킬기가 다른 고리기와 직접 연결되거나 축합된 기를 의미한다. 여기서, 다른 고리기란 시클로알킬기일 수도 있으나, 다른 종류의 고리기, 예컨대 헤테로시클로알킬기, 아릴기, 헤테로아릴기 등일 수도 있다. 상기 시클로알킬기의 탄소수는 3 내지 60, 구체적으로 3 내지 40, 더욱 구체적으로 5 내지 20일 수 있다. 구체적으로, 시클로프로필기, 시클로부틸기, 시클로펜틸기, 3-메틸시클로펜틸기, 2,3-디메틸시클로펜틸기, 시클로헥실기, 3-메틸시클로헥실기, 4-메틸시클로헥실기, 2,3-디메틸시클로헥실기, 3,4,5-트리메틸시클로헥실기, 4-tert-부틸시클로헥실기, 시클로헵틸기, 시클로옥틸기 등이 있으나, 이에 한정되지 않는다.In the present specification, the cycloalkyl group includes a monocyclic or polycyclic ring having 3 to 60 carbon atoms, and may be further substituted by other substituents. Here, polycyclic refers to a group in which a cycloalkyl group is directly connected or condensed with another ring group. Here, the other ring group may be a cycloalkyl group, but may be a different type of ring group, for example, a heterocycloalkyl group, an aryl group, a heteroaryl group, or the like. The number of carbon atoms of the cycloalkyl group may be 3 to 60, specifically 3 to 40, more specifically 5 to 20. Specifically, cyclopropyl group, cyclobutyl group, cyclopentyl group, 3-methylcyclopentyl group, 2,3-dimethylcyclopentyl group, cyclohexyl group, 3-methylcyclohexyl group, 4-methylcyclohexyl group, 2 ,3-dimethylcyclohexyl group, 3,4,5-trimethylcyclohexyl group, 4-tert-butylcyclohexyl group, cycloheptyl group, cyclooctyl group, and the like, but is not limited thereto.
본 명세서에 있어서, 상기 헤테로시클로알킬기는 헤테로 원자로서 O, S, Se, N 또는 Si를 포함하고, 탄소수 2 내지 60의 단환 또는 다환을 포함하며, 다른 치환기에 의하여 추가로 치환될 수 있다. 여기서, 다환이란 헤테로시클로알킬기가 다른 고리기와 직접 연결되거나 축합된 기를 의미한다. 여기서, 다른 고리기란 헤테로시클로알킬기일 수도 있으나, 다른 종류의 고리기, 예컨대 시클로알킬기, 아릴기, 헤테로아릴기 등일 수도 있다. 상기 헤테로시클로알킬기의 탄소수는 2 내지 60, 구체적으로 2 내지 40, 더욱 구체적으로 3 내지 20일 수 있다.In the present specification, the heterocycloalkyl group includes O, S, Se, N or Si as a hetero atom, includes a monocyclic or polycyclic ring having 2 to 60 carbon atoms, and may be further substituted by other substituents. Here, polycyclic refers to a group in which a heterocycloalkyl group is directly connected or condensed with another ring group. Here, the other ring group may be a heterocycloalkyl group, but may be a different type of ring group, for example, a cycloalkyl group, an aryl group, a heteroaryl group, or the like. The heterocycloalkyl group may have 2 to 60 carbon atoms, specifically 2 to 40 carbon atoms, and more specifically 3 to 20 carbon atoms.
본 명세서에 있어서, 상기 아릴기는 탄소수 6 내지 60의 단환 또는 다환을 포함하며, 다른 치환기에 의하여 추가로 치환될 수 있다. 여기서, 다환이란 아릴기가 다른 고리기와 직접 연결되거나 축합된 기를 의미한다. 여기서, 다른 고리기란 아릴기일 수도 있으나, 다른 종류의 고리기, 예컨대 시클로알킬기, 헤테로시클로알킬기, 헤테로아릴기 등일 수도 있다. 상기 아릴기는 스피로기를 포함한다. 상기 아릴기의 탄소수는 6 내지 60, 구체적으로 6 내지 40, 더욱 구체적으로 6 내지 25일 수 있다. 상기 아릴기의 구체적인 예로는 페닐기, 비페닐기, 터페닐기, 나프틸기, 안트릴기, 크라이세닐기, 페난트레닐기, 페릴레닐기, 플루오란테닐기, 트리페닐레닐기, 페날레닐기, 파이레닐기, 테트라세닐기, 펜타세닐기, 플루오레닐기, 인데닐기, 아세나프틸레닐기, 벤조플루오레닐기, 스피로비플루오레닐기, 2,3-디히드로-1H-인데닐기, 이들의 축합고리기 등을 들 수 있으나, 이에만 한정되는 것은 아니다.In the present specification, the aryl group includes a monocyclic or polycyclic ring having 6 to 60 carbon atoms, and may be further substituted by other substituents. Here, polycyclic means a group in which an aryl group is directly connected or condensed with another ring group. Here, the other ring group may be an aryl group, but may be a different type of ring group, for example, a cycloalkyl group, a heterocycloalkyl group, a heteroaryl group, or the like. The aryl group includes a spiro group. The carbon number of the aryl group may be 6 to 60, specifically 6 to 40, more specifically 6 to 25. Specific examples of the aryl group include a phenyl group, a biphenyl group, a terphenyl group, a naphthyl group, an anthryl group, a chrysenyl group, a phenanthrenyl group, a perylenyl group, a fluoranthenyl group, a triphenylenyl group, a phenalenyl group, pyreth Nyl group, tetracenyl group, pentacenyl group, fluorenyl group, indenyl group, acenaphthylenyl group, benzofluorenyl group, spirobifluorenyl group, 2,3-dihydro-1H-indenyl group, condensed ring groups thereof and the like, but is not limited thereto.
본 명세서에 있어서, 포스핀옥사이드기는 -P(=O)R101R102로 표시되고, R101 및 R102는 서로 같거나 상이하며, 각각 독립적으로 수소; 중수소; 할로겐기; 알킬기; 알케닐기; 알콕시기; 시클로알킬기; 아릴기; 및 헤테로고리기 중 적어도 하나로 이루어진 치환기일 수 있다. 상기 포스핀옥사이드기는 구체적으로 디페닐포스핀옥사이드기, 디나프틸포스핀옥사이드 등이 있으나, 이에 한정되는 것은 아니다.In the present specification, the phosphine oxide group is represented by -P(=O)R101R102, R101 and R102 are the same as or different from each other, and each independently hydrogen; heavy hydrogen; halogen group; an alkyl group; alkenyl group; alkoxy group; cycloalkyl group; aryl group; And it may be a substituent consisting of at least one of a heterocyclic group. The phosphine oxide group specifically includes, but is not limited to, a diphenylphosphine oxide group, a dinaphthylphosphine oxide, and the like.
본 명세서에 있어서, 실릴기는 Si를 포함하고 상기 Si 원자가 라디칼로서 직접 연결되는 치환기이며, -SiR104R105R106로 표시되고, R104 내지 R106은 서로 같거나 상이하며, 각각 독립적으로 수소; 중수소; 할로겐기; 알킬기; 알케닐기; 알콕시기; 시클로알킬기; 아릴기; 및 헤테로고리기 중 적어도 하나로 이루어진 치환기일수 있다. 실릴기의 구체적인 예로는 트리메틸실릴기, 트리에틸실릴기, tert-부틸디메틸실릴기, 비닐디메틸실릴기, 프로필디메틸실릴기, 트리페닐실릴기, 디페닐실릴기, 페닐실릴기 등이 있으나, 이에 한정되는 것은 아니다.In the present specification, the silyl group is a substituent including Si and the Si atom is directly connected as a radical, and is represented by -SiR104R105R106, R104 to R106 are the same as or different from each other, and each independently hydrogen; heavy hydrogen; halogen group; an alkyl group; alkenyl group; alkoxy group; cycloalkyl group; aryl group; And it may be a substituent consisting of at least one of a heterocyclic group. Specific examples of the silyl group include a trimethylsilyl group, a triethylsilyl group, a tert-butyldimethylsilyl group, a vinyldimethylsilyl group, a propyldimethylsilyl group, a triphenylsilyl group, a diphenylsilyl group, a phenylsilyl group, and the like. It is not limited.
본 명세서에 있어서, 상기 플루오레닐기는 치환될 수 있으며, 인접한 치환기들이 서로 결합하여 고리를 형성할 수 있다.In the present specification, the fluorenyl group may be substituted, and adjacent substituents may combine with each other to form a ring.
본 명세서에 있어서, 상기 스피로기는 스피로 구조를 포함하는 기로서, 탄소수 15 내지 60일 수 있다. 예컨대, 상기 스피로기는 플루오레닐기에 2,3-디히드로-1H-인덴기 또는 시클로헥산기가 스피로 결합된 구조를 포함할 수 있다. 구체적으로, 하기 스피로기는 하기 구조식의 기 중 어느 하나를 포함할 수 있다.In the present specification, the spiro group is a group including a spiro structure, and may have 15 to 60 carbon atoms. For example, the spiro group may include a structure in which a 2,3-dihydro-1H-indene group or a cyclohexane group is spiro bonded to a fluorenyl group. Specifically, the following spiro group may include any one of the groups of the following structural formula.
본 명세서에 있어서, 상기 헤테로아릴기는 헤테로 원자로서 S, O, Se, N 또는 Si를 포함하고, 탄소수 2 내지 60인 단환 또는 다환을 포함하며, 다른 치환기에 의하여 추가로 치환될 수 있다. 여기서, 상기 다환이란 헤테로아릴기가 다른 고리기와 직접 연결되거나 축합된 기를 의미한다. 여기서, 다른 고리기란 헤테로아릴기일 수도 있으나, 다른 종류의 고리기, 예컨대 시클로알킬기, 헤테로시클로알킬기, 아릴기 등일 수도 있다. 상기 헤테로아릴기의 탄소수는 2 내지 60, 구체적으로 2 내지 40, 더욱 구체적으로 3 내지 25일 수 있다. 상기 헤테로아릴기의 구체적인 예로는 피리딜기, 피롤릴기, 피리미딜기, 피리다지닐기, 푸라닐기, 티오펜기, 이미다졸릴기, 피라졸릴기, 옥사졸릴기, 이속사졸릴기, 티아졸릴기, 이소티아졸릴기, 트리아졸릴기, 푸라자닐기, 옥사디아졸릴기, 티아디아졸릴기, 디티아졸릴기, 테트라졸릴기, 파이라닐기, 티오파이라닐기, 디아지닐기, 옥사지닐기, 티아지닐기, 디옥시닐기, 트리아지닐기, 테트라지닐기, 퀴놀릴기, 이소퀴놀릴기, 퀴나졸리닐기, 이소퀴나졸리닐기, 퀴노졸리릴기, 나프티리딜기, 아크리디닐기, 페난트리디닐기, 이미다조피리디닐기, 디아자나프탈레닐기, 트리아자인덴기, 인돌릴기, 인돌리지닐기, 벤조티아졸릴기, 벤즈옥사졸릴기, 벤즈이미다졸릴기, 벤조티오펜기, 벤조푸란기, 디벤조티오펜기, 디벤조푸란기, 카바졸릴기, 벤조카바졸릴기, 디벤조카바졸릴기, 페나지닐기, 디벤조실롤기, 스피로비(디벤조실롤), 디히드로페나지닐기, 페녹사지닐기, 페난트리딜기, 이미다조피리디닐기, 티에닐기, 인돌로[2,3-a]카바졸릴기, 인돌로[2,3-b]카바졸릴기, 인돌리닐기, 10,11-디히드로-디벤조[b,f]아제핀기, 9,10-디히드로아크리디닐기, 페난트라지닐기, 페노티아티아지닐기, 프탈라지닐기, 나프틸리디닐기, 페난트롤리닐기, 벤조[c][1,2,5]티아디아졸릴기, 5,10-디히드로디벤조[b,e][1,4]아자실리닐, 피라졸로[1,5-c]퀴나졸리닐기, 피리도[1,2-b]인다졸릴기, 피리도[1,2-a]이미다조[1,2-e]인돌리닐기, 5,11-디히드로인데노[1,2-b]카바졸릴기 등을 들 수 있으나, 이에만 한정되는 것은 아니다.In the present specification, the heteroaryl group includes S, O, Se, N or Si as a hetero atom, and includes a monocyclic or polycyclic ring having 2 to 60 carbon atoms, and may be further substituted by other substituents. Here, the polycyclic refers to a group in which a heteroaryl group is directly connected or condensed with another ring group. Here, the other ring group may be a heteroaryl group, but may be a different type of ring group, for example, a cycloalkyl group, a heterocycloalkyl group, an aryl group, or the like. The heteroaryl group may have 2 to 60 carbon atoms, specifically 2 to 40 carbon atoms, and more specifically 3 to 25 carbon atoms. Specific examples of the heteroaryl group include a pyridyl group, a pyrrolyl group, a pyrimidyl group, a pyridazinyl group, a furanyl group, a thiophene group, an imidazolyl group, a pyrazolyl group, an oxazolyl group, an isoxazolyl group, a thiazolyl group group, isothiazolyl group, triazolyl group, furazanyl group, oxadiazolyl group, thiadiazolyl group, dithiazolyl group, tetrazolyl group, pyranyl group, thiopyranyl group, diazinyl group, oxazinyl group , thiazinyl group, deoxynyl group, triazinyl group, tetrazinyl group, quinolyl group, isoquinolyl group, quinazolinyl group, isoquinazolinyl group, quinozolilyl group, naphthyridyl group, acridinyl group, phenanthridyl group Nyl group, imidazopyridinyl group, diazanaphthalenyl group, triazaindene group, indolyl group, indolizinyl group, benzothiazolyl group, benzoxazolyl group, benzimidazolyl group, benzothiophene group, benzofuran group , dibenzothiophene group, dibenzofuran group, carbazolyl group, benzocarbazolyl group, dibenzocarbazolyl group, phenazinyl group, dibenzosilol group, spirobi (dibenzosilol), dihydrophenazinyl group, Phenoxazinyl group, phenanthridyl group, imidazopyridinyl group, thienyl group, indolo[2,3-a]carbazolyl group, indolo[2,3-b]carbazolyl group, indolinyl group, 10, 11-dihydro-dibenzo[b,f]azepine group, 9,10-dihydroacridinyl group, phenanthrazinyl group, phenothiazinyl group, phthalazinyl group, naphthylidinyl group, phenanthrolinyl group, Benzo [c] [1,2,5] thiadiazolyl group, 5,10-dihydrodibenzo [b, e] [1,4] azasilinyl, pyrazolo [1,5-c] quinazolinyl group , pyrido [1,2-b] indazolyl group, pyrido [1,2-a] imidazo [1,2-e] indolinyl group, 5,11-dihydroindeno [1,2-b ] a carbazolyl group, and the like, but is not limited thereto.
본 명세서에 있어서, 상기 아민기는 모노알킬아민기; 모노아릴아민기; 모노헤테로아릴아민기; -NH2; 디알킬아민기; 디아릴아민기; 디헤테로아릴아민기; 알킬아릴아민기; 알킬헤테로아릴아민기; 및 아릴헤테로아릴아민기로 이루어진 군으로부터 선택될 수 있으며, 탄소수는 특별히 한정되지 않으나, 1 내지 30인 것이 바람직하다. 상기 아민기의 구체적인 예로는 메틸아민기, 디메틸아민기, 에틸아민기, 디에틸아민기, 페닐아민기, 나프틸아민기, 비페닐아민기, 디비페닐아민기, 안트라세닐아민기, 9-메틸-안트라세닐아민기, 디페닐아민기, 페닐나프틸아민기, 디톨릴아민기, 페닐톨릴아민기, 트리페닐아민기, 비페닐나프틸아민기, 페닐비페닐아민기, 비페닐플루오레닐아민기, 페닐트리페닐레닐아민기, 비페닐트리페닐레닐아민기 등이 있으나, 이들에만 한정되는 것은 아니다.In the present specification, the amine group is a monoalkylamine group; monoarylamine group; monoheteroarylamine group; -NH2 ; dialkylamine group; diarylamine group; diheteroarylamine group; an alkylarylamine group; an alkyl heteroarylamine group; And it may be selected from the group consisting of an aryl heteroarylamine group, the number of carbon atoms is not particularly limited, but is preferably 1 to 30. Specific examples of the amine group include a methylamine group, a dimethylamine group, an ethylamine group, a diethylamine group, a phenylamine group, a naphthylamine group, a biphenylamine group, a dibiphenylamine group, an anthracenylamine group, 9- Methyl-anthracenylamine group, diphenylamine group, phenylnaphthylamine group, ditolylamine group, phenyltolylamine group, triphenylamine group, biphenylnaphthylamine group, phenylbiphenylamine group, biphenylfluorene There is a nylamine group, a phenyltriphenylenylamine group, a biphenyltriphenylenylamine group, and the like, but is not limited thereto.
본 명세서에 있어서, 아릴렌기는 아릴기에 결합 위치가 두 개 있는 것, 즉 2가기를 의미한다. 이들은 각각 2가기인 것을 제외하고는 전술한 아릴기의 설명이 적용될 수 있다. 또한, 헤테로아릴렌기는 헤테로아릴기에 결합 위치가 두 개 있는 것, 즉 2가기를 의미한다. 이들은 각각 2가기인 것을 제외하고는 전술한 헤테로아릴기의 설명이 적용될 수 있다.In the present specification, the arylene group means that the aryl group has two bonding positions, that is, a divalent group. Except that each of these is a divalent group, the description of the aryl group described above may be applied. In addition, the heteroarylene group means that the heteroaryl group has two bonding positions, that is, a divalent group. Except that each of these is a divalent group, the description of the heteroaryl group described above may be applied.
본 명세서에 있어서, "인접한" 기는 해당 치환기가 치환된 원자와 직접 연결된 원자에 치환된 치환기, 해당 치환기와 입체구조적으로 가장 가깝게 위치한 치환기, 또는 해당 치환기가 치환된 원자에 치환된 다른 치환기를 의미할 수 있다. 예컨대, 벤젠고리에서 오쏘(ortho)위치로 치환된 2개의 치환기 및 지방족 고리에서 동일 탄소에 치환된 2개의 치환기는 서로 “인접한”기로 해석될 수 있다.As used herein, "adjacent" group means a substituent substituted on an atom directly connected to the atom in which the substituent is substituted, a substituent sterically closest to the substituent, or another substituent substituted on the atom in which the substituent is substituted. can For example, two substituents substituted at an ortho position in a benzene ring and two substituents substituted at the same carbon in an aliphatic ring may be interpreted as "adjacent" to each other.
본 출원의 일 실시상태는, 하기 화학식 1로 표시되는 헤테로고리 화합물을 제공한다.An exemplary embodiment of the present application provides a heterocyclic compound represented by the following formula (1).
[화학식 1][Formula 1]
상기 화학식 1에서,In Formula 1,
L은 치환 또는 비치환된 탄소수 6 내지 60의 아릴렌기; 또는 치환 또는 비치환된 탄소수 2 내지 60의 헤테로아릴렌기이고,L is a substituted or unsubstituted C 6 to
L1 및 L2는 서로 같거나 상이하고, 각각 독립적으로, 직접결합; 치환 또는 비치환된 탄소수 6 내지 20의 아릴렌기; 또는 치환 또는 비치환된 탄소수 2 내지 20의 헤테로아릴렌기이고,L1 And L2 Are the same as or different from each other, each independently, a direct bond; a substituted or unsubstituted arylene group having 6 to 20 carbon atoms; Or a substituted or unsubstituted C2 to C20 heteroarylene group,
X1 및 X2는 서로 같거나 상이하고, 각각 독립적으로 O 또는 S이고,X1 and X2 are the same as or different from each other, and each independently O or S,
Rp 및 Rq는 서로 같거나 상이하고, 각각 독립적으로 수소; 중수소; 할로겐기; 시아노기; 치환 또는 비치환된 탄소수 1 내지 30의 알킬기; 치환 또는 비치환된 탄소수 6 내지 60의 아릴기; 또는 치환 또는 비치환된 탄소수 2 내지 60의 헤테로아릴기이고,Rp and Rq are the same as or different from each other, and each independently hydrogen; heavy hydrogen; halogen group; cyano group; a substituted or unsubstituted C 1 to C 30 alkyl group; a substituted or unsubstituted C 6 to
Ar1 및 Ar2는 서로 같거나 상이하고, 각각 독립적으로 치환 또는 비치환된 탄소수 6 내지 60의 아릴기; 또는 치환 또는 비치환된 탄소수 2 내지 60의 헤테로아릴기이고,Ar1 and Ar2 are the same as or different from each other, and each independently a substituted or unsubstituted C 6 to
a는 1 또는 2의 정수이며, 상기 a가 2인 경우 괄호 내의 치환기는 서로 동일하거나 상이하고,a is an integer of 1 or 2, and when a is 2, the substituents in parentheses are the same or different from each other,
b 및 c는 각각 0 내지 4의 정수이며, 상기 b 및 c는 각각 2 이상인 경우, 괄호 내의 치환기는 서로 동일하거나 상이하고,b and c are each an integer of 0 to 4, and when b and c are each 2 or more, the substituents in parentheses are the same as or different from each other,
m 및 n은 각각 0 내지 2의 정수이며, 상기 m 및 n은 각각 2인 경우, 괄호 내의 치환기는 서로 동일하거나 상이하다.m and n are each an integer of 0 to 2, and when m and n are each 2, the substituents in parentheses are the same as or different from each other.
상기 화학식 1로 표시되는 헤테로고리 화합물은 피롤화합물의 2,3번 위치와 4,5번 위치에 각각 벤조티오펜 또는 벤조퓨란이 치환되어 있으며, 아민기 등을 특정치환기로 가지는 구조이다. 이로 인해 호모(HOMO, Highest Occupied Molecular Orbital) 에너지 레벨(level)을 비편재화(delocalizaion)시켜서 정공수송 능력을 증가시키고, 호모 에너지를 안정화시킬 수 있다. 이는 상기 화학식 1의 물질을 유기 발광 소자 내의 발광층 또는 정공보조층의 물질로 사용할 경우 적정 에너지 레벨과 밴드 갭을 형성하게 되어 발광영역 내의 엑시톤이 증가하게 된다. 발광영역 내의 엑시톤이 증가한다는 것은 소자의 구동전압과 효율을 증가시키는 효과를 갖는다는 것을 의미한다.The heterocyclic compound represented by Formula 1 has a structure in which benzothiophene or benzofuran is substituted at positions 2, 3 and 4,5, respectively, of the pyrrole compound, and has an amine group as a specific substituent. Accordingly, it is possible to delocalize the HOMO (Highest Occupied Molecular Orbital) energy level, thereby increasing the hole transport ability and stabilizing the HOMO energy. This is because when the material of Formula 1 is used as a material for the light emitting layer or hole auxiliary layer in the organic light emitting device, an appropriate energy level and a band gap are formed, thereby increasing excitons in the light emitting region. An increase in excitons in the light emitting region means that the driving voltage and efficiency of the device are increased.
본 출원의 일 실시상태에 있어서, 상기 화학식 1의 L은 치환 또는 비치환된 아릴렌기; 또는 치환 또는 비치환된 헤테로아릴렌기일 수 있다.In an exemplary embodiment of the present application, L in Formula 1 is a substituted or unsubstituted arylene group; Or it may be a substituted or unsubstituted heteroarylene group.
또 다른 일 실시상태에 있어서, 상기 L은 치환 또는 비치환된 탄소수 6 내지 60의 아릴렌기; 또는 치환 또는 비치환된 탄소수 2 내지 60의 헤테로아릴렌기 일 수 있다.In another exemplary embodiment, L is a substituted or unsubstituted arylene group having 6 to 60 carbon atoms; Or it may be a substituted or unsubstituted heteroarylene group having 2 to 60 carbon atoms.
또 다른 일 실시상태에 있어서, 상기 L은 치환 또는 비치환된 탄소수 6 내지 40의 아릴렌기; 또는 치환 또는 비치환된 탄소수 2 내지 40의 헤테로아릴렌기 일 수 있다.In another exemplary embodiment, L is a substituted or unsubstituted arylene group having 6 to 40 carbon atoms; Or it may be a substituted or unsubstituted heteroarylene group having 2 to 40 carbon atoms.
또 다른 일 실시상태에 있어서, 상기 L은 치환 또는 비치환된 탄소수 6 내지 20의 아릴렌기; 또는 치환 또는 비치환된 탄소수 2 내지 20의 헤테로아릴렌기 일 수 있다.In another exemplary embodiment, L is a substituted or unsubstituted arylene group having 6 to 20 carbon atoms; Or it may be a substituted or unsubstituted heteroarylene group having 2 to 20 carbon atoms.
또 다른 일 실시상태에 있어서, 상기 L은 치환 또는 비치환된 페닐렌기; 치환 또는 비치환된 비페닐렌기; 치환 또는 비치환된 나프틸렌기; 치환 또는 비치환된 플루오레닐렌기; 치환 또는 비치환된 카바졸닐렌기; 치환 또는 비치환된 디벤조퓨란닐렌기; 또는 치환 또는 비치환된 디벤조티오펜닐렌기일 수 있다.In another exemplary embodiment, L is a substituted or unsubstituted phenylene group; a substituted or unsubstituted biphenylene group; a substituted or unsubstituted naphthylene group; a substituted or unsubstituted fluorenylene group; a substituted or unsubstituted carbazolnylene group; A substituted or unsubstituted dibenzofurannylene group; Or it may be a substituted or unsubstituted dibenzothiophennylene group.
또 다른 일 실시상태에 있어서, 상기 L은 페닐렌기; 비페닐렌기; 나프틸렌기; 탄소수 1 내지 10의 알킬기로 치환된 플루오레닐렌기; 탄소수 6 내지 20의 아릴기로 치환된 카바졸닐렌기; 디벤조퓨란닐렌기; 또는 디벤조티오펜닐렌기일 수 있다.In another exemplary embodiment, L is a phenylene group; biphenylene group; naphthylene group; a fluorenylene group substituted with an alkyl group having 1 to 10 carbon atoms; a carbazolnylene group substituted with an aryl group having 6 to 20 carbon atoms; dibenzofurannylene group; Or it may be a dibenzothiophennylene group.
또 다른 일 실시상태에 있어서, 상기 L은 페닐렌기; 비페닐렌기; 나프틸렌기; 메틸기로 치환된 플루오레닐렌기; 페닐기로 치환된 카바졸닐렌기; 디벤조퓨란닐렌기; 또는 디벤조티오펜닐렌기일 수 있다.In another exemplary embodiment, L is a phenylene group; biphenylene group; naphthylene group; a fluorenylene group substituted with a methyl group; a carbazolnylene group substituted with a phenyl group; dibenzofurannylene group; Or it may be a dibenzothiophennylene group.
또 다른 일 실시상태에 있어서, 상기 L은 페닐렌기; 비페닐렌기; 나프틸렌기; 9,9-디메틸-9H-(9,9-dimethyl-9H-)플루오레닐렌기; 9-페닐-9H-(9-phenyl-9H-)카바졸닐렌기; 디벤조퓨란닐렌기; 또는 디벤조티오펜닐렌기일 수 있다.In another exemplary embodiment, L is a phenylene group; biphenylene group; naphthylene group; 9,9-dimethyl-9H-(9,9-dimethyl-9H-)fluorenylene group; 9-phenyl-9H-(9-phenyl-9H-)carbazolnylene group; dibenzofurannylene group; Or it may be a dibenzothiophennylene group.
또 다른 일 실시상태에 있어서, 상기 L은 페닐렌기이다.In another exemplary embodiment, L is a phenylene group.
또 다른 일 실시상태에 있어서, 상기 L은 비페닐렌기이다.In another exemplary embodiment, L is a biphenylene group.
또 다른 일 실시상태에 있어서, 상기 L은 나프틸렌기이다.In another exemplary embodiment, L is a naphthylene group.
또 다른 일 실시상태에 있어서, 상기 L은 9,9-디메틸-9H-(9,9-dimethyl-9H-)플루오레닐렌기이다.In another exemplary embodiment, L is a 9,9-dimethyl-9H-(9,9-dimethyl-9H-)fluorenylene group.
또 다른 일 실시상태에 있어서, 상기 L은 9-페닐-9H-(9-phenyl-9H-)카바졸닐렌기이다.In another exemplary embodiment, L is a 9-phenyl-9H-(9-phenyl-9H-)carbazolnylene group.
또 다른 일 실시상태에 있어서, 상기 L은 디벤조퓨란닐렌기이다.In another exemplary embodiment, L is a dibenzofurannylene group.
또 다른 일 실시상태에 있어서, 상기 L은 디벤조티오펜닐렌기이다.In another exemplary embodiment, L is a dibenzothiophennylene group.
본 출원의 일 실시상태에 있어서, 상기 화학식 1의 L1 및 L2는 서로 같거나 상이하고, 각각 독립적으로, 직접결합; 치환 또는 비치환된 탄소수 6 내지 20의 아릴렌기; 또는 치환 또는 비치환된 탄소수 2 내지 20의 헤테로아릴렌기일 수 있다.In an exemplary embodiment of the present application, L1 and L2 of Formula 1 are the same as or different from each other, and each independently, a direct bond; a substituted or unsubstituted arylene group having 6 to 20 carbon atoms; Or it may be a substituted or unsubstituted heteroarylene group having 2 to 20 carbon atoms.
본 출원의 일 실시상태에 있어서, 상기 화학식 1의 L1 및 L2는 서로 같거나 상이하고, 각각 독립적으로, 직접결합; 치환 또는 비치환된 탄소수 6 내지 20의 아릴렌기일 수 있다.In an exemplary embodiment of the present application, L1 and L2 of Formula 1 are the same as or different from each other, and each independently, a direct bond; It may be a substituted or unsubstituted arylene group having 6 to 20 carbon atoms.
또 다른 일 실시상태에 있어서, 상기 L1 및 L2는 서로 같거나 상이하고, 각각 독립적으로, 직접 결합; 또는 치환 또는 비치환된 페닐렌기일 수 있다.In another exemplary embodiment, L1 and L2 Are the same as or different from each other, and each independently, a direct bond; Or it may be a substituted or unsubstituted phenylene group.
본 출원의 일 실시상태에 있어서, 상기 화학식 1의 X1 및 X2는 서로 같거나 상이하고, 각각 독립적으로 O; 또는 S일 수 있다.In an exemplary embodiment of the present application, X1 and X2 of Formula 1 are the same as or different from each other, and each independently O; or S.
본 출원의 일 실시상태에 있어서, 상기 X1 및 X2는 모두 O이다.In an exemplary embodiment of the present application,both X 1 and X2 are O.
본 출원의 일 실시상태에 있어서, 상기 X1 및 X2는 모두 S이다.In the exemplary embodiment of the present application, X1 and X2 are both S.
본 출원의 일 실시상태에 있어서, 상기 화학식 1의 X1 및 X2는 서로 상이하고, 각각 독립적으로 O; 또는 S이다.In an exemplary embodiment of the present application, X1 and X2 of Formula 1 are different from each other, and each independently O; or S.
본 출원의 일 실시상태에 있어서, 상기 X1은 O이고, X2는 S이다.In an exemplary embodiment of the present application, X1 is O, and X2 is S.
본 출원의 일 실시상태에 있어서, 상기 X1은 S이고, X2는 O이다.In an exemplary embodiment of the present application, X1 is S, and X2 is O.
본 출원의 일 실시상태에 있어서, 상기 화학식 1의 Rp 및 Rq는 서로 같거나 상이하고, 각각 독립적으로 수소; 중수소; 할로겐기; 시아노기; 치환 또는 비치환된 탄소수 1 내지 30의 알킬기; 치환 또는 비치환된 탄소수 6 내지 60의 아릴기; 또는 치환 또는 비치환된 탄소수 2 내지 60의 헤테로아릴기일 수 있다.In an exemplary embodiment of the present application, Rp and Rq of Formula 1 are the same as or different from each other, and each independently hydrogen; heavy hydrogen; halogen group; cyano group; a substituted or unsubstituted C 1 to C 30 alkyl group; a substituted or unsubstituted C 6 to
본 출원의 일 실시상태에 있어서, 상기 Rp 및 Rq는 서로 같거나 상이하고, 각각 독립적으로 수소; 중수소; 할로겐기; 시아노기; 치환 또는 비치환된 탄소수 1 내지 30의 알킬기; 치환 또는 비치환된 탄소수 6 내지 40의 아릴기; 또는 치환 또는 비치환된 탄소수 2 내지 40의 헤테로아릴기일 수 있다.In an exemplary embodiment of the present application, the Rp and Rq are the same as or different from each other, and each independently hydrogen; heavy hydrogen; halogen group; cyano group; a substituted or unsubstituted C 1 to C 30 alkyl group; a substituted or unsubstituted C 6 to
본 출원의 일 실시상태에 있어서, 상기 Rp 및 Rq는 모두 수소이다.In an exemplary embodiment of the present application, Rp and Rq are both hydrogen.
본 출원의 일 실시상태에 있어서, 상기 화학식 1의 b 및 c는 각각 0 내지 4의 정수이며, 상기 b 및 c는 각각 2 이상인 경우, 괄호 내의 치환기는 서로 동일하거나 상이할 수 있다.In the exemplary embodiment of the present application, in Formula 1, b and c are each an integer of 0 to 4, and when b and c are each 2 or more, the substituents in parentheses may be the same or different from each other.
본 출원의 일 실시상태에 있어서, 상기 b는 4이다.In the exemplary embodiment of the present application, b is 4.
본 출원의 일 실시상태에 있어서, 상기 b는 3이다.In the exemplary embodiment of the present application, b is 3.
본 출원의 일 실시상태에 있어서, 상기 b는 2이다.In an exemplary embodiment of the present application, b is 2.
본 출원의 일 실시상태에 있어서, 상기 b는 1이다.In an exemplary embodiment of the present application, b is 1.
본 출원의 일 실시상태에 있어서, 상기 b는 0이다.In the exemplary embodiment of the present application, b is 0.
상기 b가 2 이상인 경우, 괄호 내의 치환기는 서로 동일하거나 상이하다.When b is 2 or more, the substituents in parentheses are the same as or different from each other.
본 출원의 일 실시상태에 있어서, 상기 c는 4이다.In an exemplary embodiment of the present application, c is 4.
본 출원의 일 실시상태에 있어서, 상기 c는 3이다.In an exemplary embodiment of the present application, c is 3.
본 출원의 일 실시상태에 있어서, 상기 c는 2이다.In an exemplary embodiment of the present application, c is 2.
본 출원의 일 실시상태에 있어서, 상기 c는 1이다.In an exemplary embodiment of the present application, c is 1.
본 출원의 일 실시상태에 있어서, 상기 c는 0이다.In an exemplary embodiment of the present application, c is 0.
상기 c가 2 이상인 경우, 괄호 내의 치환기는 서로 동일하거나 상이하다.When c is 2 or more, the substituents in parentheses are the same as or different from each other.
본 출원의 일 실시상태에 있어서, 상기 화학식 1은 하기 화학식 1-1 내지 1-3 중 어느 하나로 표시될 수 있다.In an exemplary embodiment of the present application, Chemical Formula 1 may be represented by any one of Chemical Formulas 1-1 to 1-3 below.
[화학식 1-1][Formula 1-1]
[화학식 1-2][Formula 1-2]
[화학식 1-3][Formula 1-3]
상기 화학식 1-1 내지 1-3에 있어서, 각 치환기의 정의는 상기 화학식 1과 동일하다.In Formulas 1-1 to 1-3, the definition of each substituent is the same as in Formula 1 above.
본 출원의 일 실시상태에 있어서, 상기 화학식 1은 하기 화학식 2 내지 6 중 어느 하나로 표시될 수 있다.In an exemplary embodiment of the present application, Chemical Formula 1 may be represented by any one of Chemical Formulas 2 to 6 below.
[화학식 2][Formula 2]
[화학식 3][Formula 3]
[화학식 4][Formula 4]
[화학식 5][Formula 5]
[화학식 6][Formula 6]
상기 화학식 2 내지 6에 있어서, 각 치환기의 정의는 상기 화학식 1과 동일하다.In Formulas 2 to 6, the definition of each substituent is the same as in Formula 1 above.
본 출원의 일 실시상태에 있어서, 상기 화학식 1은 하기 화학식 7 내지 10 중 어느 하나로 표시될 수 있다.In an exemplary embodiment of the present application, Chemical Formula 1 may be represented by any one of Chemical Formulas 7 to 10 below.
[화학식 7][Formula 7]
[화학식 8][Formula 8]
[화학식 9][Formula 9]
[화학식 10][Formula 10]
상기 화학식 7 내지 10에 있어서,In Formulas 7 to 10,
X1, X2, L1, L2, n, m, Ar1 및 Ar2의 정의는 상기 화학식 1과 동일하고,X1 , X2 , L1 , L2 , n, m, Ar1 , and Ar2 have the same definitions as in Formula 1 above,
Y1은 O; S; CR1R2 또는 NRa이고,Y1 is O; S; CR1 R2 or NRa ,
상기 R1 및 R2는 서로 같거나 상이하고, 각각 독립적으로, 탄소수 1 내지 10의 알킬기이고,The R1 and R2 are the same as or different from each other, and each independently is an alkyl group having 1 to 10 carbon atoms,
상기 Ra는 탄소수 6 내지 20의 아릴기이다.Wherein Ra is an aryl group having 6 to 20 carbon atoms.
본 출원의 일 실시상태에 있어서, 상기 화학식 7 내지 10의 Y1은 O; S; CR1R2 또는 NRa일 수 있다.In an exemplary embodiment of the present application, Y1 of Formulas 7 to 10 is O; S; CR1 R2 or NRa .
본 출원의 일 실시상태에 있어서, 상기 R1 및 R2는 서로 같거나 상이하고, 각각 독립적으로, 탄소수 1 내지 10의 알킬기일 수 있다.In an exemplary embodiment of the present application, R1 and R2 may be the same as or different from each other, and each independently may be an alkyl group having 1 to 10 carbon atoms.
본 출원의 일 실시상태에 있어서, 상기 R1 및 R2는 모두 메틸기이다.In an exemplary embodiment of the present application, R1 and R2 are both methyl groups.
본 출원의 일 실시상태에 있어서, 상기 Ra는 탄소수 6 내지 20의 아릴기일 수 있다.In an exemplary embodiment of the present application, Ra may be an aryl group having 6 to 20 carbon atoms.
본 출원의 일 실시상태에 있어서, 상기 Ra는 페닐기이다.In an exemplary embodiment of the present application, Ra is a phenyl group.
본 출원의 일 실시상태에 있어서, 상기 Y1은O이다.In an exemplary embodiment of the present application, Y1 isis O.
본 출원의 일 실시상태에 있어서, 상기 Y1은S이다.In an exemplary embodiment of the present application, Y1 isis S.
본 출원의 일 실시상태에 있어서, 상기 Y1은CR1R2이고, 상기 R1 및 R2는 모두 메틸기이다.In an exemplary embodiment of the present application, Y1 isCR1 R2 , and R1 and R2 are both methyl groups.
본 출원의 일 실시상태에 있어서, 상기 Y1은CRa이고, 상기 상기 Ra는 페닐기이다.In an exemplary embodiment of the present application, Y1 isCRa , wherein Ra is a phenyl group.
본 출원의 일 실시상태에 있어서, 상기 화학식 1의 Ar1 및 Ar2는 서로 같거나 상이하고, 각각 독립적으로, 치환 또는 비치환된 탄소수 6 내지 60의 아릴기; 또는 치환 또는 비치환된 탄소수 2 내지 60의 헤테로아릴기일 수 있다.In an exemplary embodiment of the present application, Ar1 and Ar2 of Formula 1 are the same as or different from each other, and each independently a substituted or unsubstituted C 6 to
본 출원의 일 실시상태에 있어서, 상기 Ar1 및 Ar2는 서로 같거나 상이하고, 각각 독립적으로, 치환 또는 비치환된 탄소수 6 내지 40의 아릴기; 또는 치환 또는 비치환된 탄소수 2 내지 40의 헤테로아릴기일 수 있다.In an exemplary embodiment of the present application, Ar1 and Ar2 are the same as or different from each other, and each independently a substituted or unsubstituted C 6 to
본 출원의 일 실시상태에 있어서, 상기 Ar1 및 Ar2는 서로 같거나 상이하고, 각각 독립적으로, 치환 또는 비치환된 페닐기; 치환 또는 비치환된 바이페닐기; 치환 또는 비치환된 터페닐기; 치환 또는 비치환된 나프틸기; 치환 또는 비치환된 스피로비플루오레닐기; 치환 또는 비치환된 플루오레닐기; 치환 또는 비치환된 카바졸기; 치환 또는 비치환된 디벤조퓨란기; 치환 또는 비치환된 디벤조티오펜기; 또는 치환 또는 비치환된 스피로[플루오렌-9,9-크산텐](spiro[fluorene-9,9'-xanthene])기일 수 있다.In an exemplary embodiment of the present application, Ar1 and Ar2 are the same as or different from each other, and each independently a substituted or unsubstituted phenyl group; a substituted or unsubstituted biphenyl group; a substituted or unsubstituted terphenyl group; a substituted or unsubstituted naphthyl group; a substituted or unsubstituted spirobifluorenyl group; a substituted or unsubstituted fluorenyl group; a substituted or unsubstituted carbazole group; A substituted or unsubstituted dibenzofuran group; a substituted or unsubstituted dibenzothiophene group; Or it may be a substituted or unsubstituted spiro [fluorene-9,9-xanthene] (spiro [fluorene-9,9'-xanthene]) group.
또 다른 일 실시상태에 있어서, 상기 Ar1 및 Ar2는 서로 같거나 상이하고, 각각 독립적으로, 할로겐기, 탄소수 1 내지 10의 알킬기, 탄소수 6 내지 10의 아릴기 및 시아노기(-CN)로 이루어진 군에서 선택된 1 이상으로 치환 또는 비치환된 페닐기; 탄소수 1 내지 10의 알킬기, 탄소수 6 내지 10의 아릴기 및 시아노기(-CN)로 이루어진 군에서 선택된 1 이상으로 치환 또는 비치환된 바이페닐기; 탄소수 1 내지 10의 알킬기, 탄소수 6 내지 10의 아릴기 및 시아노기(-CN)로 이루어진 군에서 선택된 1 이상으로 치환 또는 비치환된 터페닐기; 탄소수 1 내지 10의 알킬기, 탄소수 6 내지 10의 아릴기 및 시아노기(-CN)로 이루어진 군에서 선택된 1 이상으로 치환 또는 비치환된 나프틸기; 스피로비플루오레닐기; 탄소수 1 내지 10의 알킬기 및 틴소수 6 내지 10의 아릴기로 이루어진 군에서 선택된 1 이상으로 치환 또는 비치환된 플루오레닐기; 치환 또는 비치환된 카바졸기; 치환 또는 비치환된 디벤조퓨란기; 치환 또는 비치환된 디벤조티오펜기; 또는 치환 또는 비치환된 스피로[플루오렌-9,9-크산텐](spiro[fluorene-9,9'-xanthene])기일 수 있다.In another exemplary embodiment, Ar1 and Ar2 are the same as or different from each other, and each independently represent a halogen group, an alkyl group having 1 to 10 carbon atoms, an aryl group having 6 to 10 carbon atoms, and a cyano group (-CN). a phenyl group unsubstituted or substituted with one or more selected from the group consisting of; a biphenyl group unsubstituted or substituted with one or more selected from the group consisting of an alkyl group having 1 to 10 carbon atoms, an aryl group having 6 to 10 carbon atoms, and a cyano group (-CN); a terphenyl group unsubstituted or substituted with one or more selected from the group consisting of an alkyl group having 1 to 10 carbon atoms, an aryl group having 6 to 10 carbon atoms, and a cyano group (-CN); a naphthyl group unsubstituted or substituted with one or more selected from the group consisting of an alkyl group having 1 to 10 carbon atoms, an aryl group having 6 to 10 carbon atoms, and a cyano group (-CN); spirobifluorenyl group; a fluorenyl group unsubstituted or substituted with one or more selected from the group consisting of an alkyl group having 1 to 10 carbon atoms and an aryl group having 6 to 10 tin atoms; a substituted or unsubstituted carbazole group; A substituted or unsubstituted dibenzofuran group; a substituted or unsubstituted dibenzothiophene group; Or it may be a substituted or unsubstituted spiro [fluorene-9,9-xanthene] (spiro [fluorene-9,9'-xanthene]) group.
본 출원의 일 실시상태에 있어서, 상기 Ar1은 치환 또는 비치환된 탄소수 6 내지 40의 아릴기이고, 상기 Ar2는 치환 또는 비치환된 탄소수 2 내지 40의 헤테로아릴기일 수 있다.In the exemplary embodiment of the present application, Ar1 may be a substituted or unsubstituted aryl group having 6 to 40 carbon atoms, and Ar2 may be a substituted or unsubstituted heteroaryl group having 2 to 40 carbon atoms.
또 다른 본 출원의 일 실시상태에 있어서, 상기 Ar1은 치환 또는 비치환된 탄소수 2 내지 40의 헤테로아릴기이고, 상기 Ar2는 치환 또는 비치환된 탄소수 6 내지 40의 아릴기일 수 있다.In another exemplary embodiment of the present application, Ar1 may be a substituted or unsubstituted C 2 to
상기 화학식 1의 Ar1 및 Ar2중 하나는 아릴기이고, 다른 하나는 헤테로아릴기인 경우인 화합물을 유기 발광 소자의 유기물층에 사용할 경우, 상기 유기 발광 소자의 구동 및 효율이 더욱 우수하다.When a compound in which one of Ar1 and Ar2 of Formula 1 is an aryl group and the other is a heteroaryl group is used in the organic material layer of the organic light emitting device, the driving and efficiency of the organic light emitting device are more excellent.
본 출원의 일 실시상태에 있어서, 상기 Ar1 및 Ar2는 모두 치환 또는 비치환된 탄소수 6 내지 40의 아릴기일 수 있다.In the exemplary embodiment of the present application,both Ar 1 and Ar2 may be a substituted or unsubstituted aryl group having 6 to 40 carbon atoms.
상기 화학식 1의 Ar1 및 Ar2모두가 아릴기인 경우인 화합물을 유기 발광 소자의 유기물층에 사용할 경우, 상기 유기 발광 소자의 수명이 더욱 우수하다.When the compound in whichboth Ar 1 and Ar2 of Formula 1 are aryl groups is used in the organic material layer of the organic light emitting device, the lifespan of the organic light emitting device is more excellent.
본 출원의 일 실시상태에 있어서, 상기 Ar1 및 Ar2는 모두 치환 또는 비치환된 탄소수 2 내지 40의 헤테로아릴기일 수 있다.In the exemplary embodiment of the present application,both Ar 1 and Ar2 may be a substituted or unsubstituted heteroaryl group having 2 to 40 carbon atoms.
상기 화학식 1의 Ar1 및 Ar2모두가 헤테로아릴기인 경우인 화합물을 유기 발광 소자의 유기물층에 사용할 경우, 상기 유기 발광 소자의 구동 및 효율이 더욱 우수하다.When the compound in whichboth Ar 1 and Ar2 of Formula 1 are heteroaryl groups is used in the organic material layer of the organic light emitting device, the driving and efficiency of the organic light emitting device are more excellent.
본 출원의 일 실시상태에 있어서, 상기 화학식 1의 a는 1 또는 2의 정수이며, 상기 a가 2인 경우 괄호 내의 치환기는 서로 동일하거나 상이할 수 있다.In the exemplary embodiment of the present application, in Formula 1, a is an integer of 1 or 2, and when a is 2, the substituents in parentheses may be the same or different from each other.
본 출원의 일 실시상태에 있어서, 상기 a는 1이다.In an exemplary embodiment of the present application, a is 1.
본 출원의 일 실시상태에 있어서, 상기 a는 2이다. 상기 a가 2인 경우 괄호 내의 치환기는 서로 동일하거나 상이하다.In an exemplary embodiment of the present application, a is 2. When a is 2, the substituents in parentheses are the same as or different from each other.
본 출원의 일 실시상태에 있어서, 상기 화학식 1의 m 및 n은 각각 0 내지 2의 정수이며, 상기 m 및 n은 각각 2인 경우, 괄호 내의 치환기는 서로 동일하거나 상이할 수 있다.In the exemplary embodiment of the present application, in Formula 1, m and n are each an integer of 0 to 2, and when m and n are each 2, the substituents in parentheses may be the same or different from each other.
본 출원의 일 실시상태에 있어서, 상기 m은 0이다.In the exemplary embodiment of the present application, m is 0.
본 출원의 일 실시상태에 있어서, 상기 m은 1이다.In the exemplary embodiment of the present application, m is 1.
본 출원의 일 실시상태에 있어서, 상기 m은 2이다. 상기 m이 2인 경우 괄호 내의 치환기는 서로 동일하거나 상이하다.In an exemplary embodiment of the present application, m is 2. When m is 2, the substituents in parentheses are the same as or different from each other.
본 출원의 일 실시상태에 있어서, 상기 n은 0이다.In an exemplary embodiment of the present application, n is 0.
본 출원의 일 실시상태에 있어서, 상기 n은 1이다.In an exemplary embodiment of the present application, n is 1.
본 출원의 일 실시상태에 있어서, 상기 n은 2이다. 상기 n이 2인 경우 괄호 내의 치환기는 서로 동일하거나 상이하다.In the exemplary embodiment of the present application, n is 2. When n is 2, the substituents in parentheses are the same as or different from each other.
본 출원의 일 실시상태에 있어서, 상기 화학식 1은 하기 화합물 중 어느 하나로 표시되는 것인 헤테로고리 화합물을 제공한다.In an exemplary embodiment of the present application, Formula 1 provides a heterocyclic compound represented by any one of the following compounds.
또한, 상기 화학식 1의 구조에 다양한 치환기를 도입함으로써 도입된 치환기의 고유 특성을 갖는 헤테로고리 화합물을 합성할 수 있다. 예컨대, 유기 발광 소자 제조시 사용되는 정공 주입층 물질, 정공 수송층 물질, 발광층 물질, 전자 수송층 물질 및 전하 생성층 물질에 주로 사용되는 치환기를 상기 코어 구조에 도입함으로써 각 유기물층에서 요구하는 조건들을 충족시키는 물질을 합성할 수 있다.In addition, by introducing various substituents into the structure of Formula 1, a heterocyclic compound having intrinsic properties of the introduced substituents can be synthesized. For example, by introducing a substituent mainly used for a hole injection layer material, a hole transport layer material, a light emitting layer material, an electron transport layer material, and a charge generation layer material used in manufacturing an organic light emitting device into the core structure, the conditions required for each organic material layer are satisfied. substances can be synthesized.
또한, 상기 화학식 1의 구조에 다양한 치환기를 도입함으로써 에너지 밴드갭을 미세하게 조절이 가능하게 하며, 한편으로 유기물 사이에서의 계면에서의 특성을 향상되게 하며 물질의 용도를 다양하게 할 수 있다.In addition, by introducing various substituents into the structure of Formula 1, it is possible to finely control the energy band gap, while improving the properties at the interface between organic materials and diversifying the use of the material.
한편, 상기 헤테로고리 화합물은 유리 전이 온도(Tg)가 높아 열적 안정성이 우수하다. 이러한 열적 안정성의 증가는 소자에 구동 안정성을 제공하는 중요한 요인이 된다.On the other hand, the heterocyclic compound has a high glass transition temperature (Tg) and excellent thermal stability. This increase in thermal stability is an important factor in providing driving stability to the device.
본 출원의 일 실시상태에 따른 헤테로고리 화합물은 다단계 화학반응으로 제조할 수 있다. 일부 중간체 화합물이 먼저 제조되고, 그 중간체 화합물들로부터 화학식 1의 헤테로고리 화합물이 제조될 수 있다. 보다 구체적으로, 본 출원의 일 실시상태에 따른 헤테로고리 화합물은 후술하는 제조예를 기초로 제조될 수 있다.The heterocyclic compound according to an exemplary embodiment of the present application may be prepared by a multi-step chemical reaction. Some intermediate compounds are prepared first, and a heterocyclic compound of Formula 1 can be prepared from the intermediate compounds. More specifically, the heterocyclic compound according to an exemplary embodiment of the present application may be prepared based on Preparation Examples to be described later.
본 출원의 다른 실시상태는, 상기 화학식 1로 표시되는 헤테로고리 화합물을 포함하는 유기 발광 소자를 제공한다. 상기 "유기 발광 소자"는 "유기 발광 다이오드", "OLED(Organic Light Emitting Diodes)", "OLED 소자", "유기 전계 발광 소자" 등의 용어로 표현될 수 있다.Another exemplary embodiment of the present application provides an organic light emitting device including the heterocyclic compound represented by Formula 1 above. The "organic light emitting device" may be expressed in terms such as "organic light emitting diode", "OLED (Organic Light Emitting Diodes)", "OLED device", "organic electroluminescent device", and the like.
본 출원의 일 실시상태에 있어서, 제1 전극; 제2 전극; 및 상기 제1 전극과 상기 제2 전극 사이에 구비된 1층 이상의 유기물층을 포함하는 유기 발광 소자로서, 상기 유기물층 중 1 층 이상은 상기 화학식 1로 표시되는 헤테로고리 화합물을 포함하는 것인 유기 발광 소자를 제공한다.In an exemplary embodiment of the present application, the first electrode; a second electrode; and at least one organic material layer provided between the first electrode and the second electrode, wherein at least one of the organic material layers includes the heterocyclic compound represented by Formula 1 above. provides
본 출원의 일 실시상태에 있어서, 상기 제1 전극은 양극일 수 있고, 상기 제2 전극은 음극일 수 있다.In the exemplary embodiment of the present application, the first electrode may be an anode, and the second electrode may be a cathode.
본 출원 또 하나의 실시상태에 있어서, 상기 제1 전극은 음극일 수 있고, 상기 제2 전극은 양극일 수 있다.In another exemplary embodiment of the present application, the first electrode may be a negative electrode, and the second electrode may be an anode.
본 출원의 일 실시상태에 있어서, 상기 유기 발광 소자는 청색 유기 발광 소자일 수 있으며, 상기 화학식 1에 따른 헤테로고리 화합물은 상기 청색 유기 발광 소자의 재료로 사용될 수 있다.In the exemplary embodiment of the present application, the organic light emitting device may be a blue organic light emitting device, and the heterocyclic compound according to Formula 1 may be used as a material of the blue organic light emitting device.
본 출원 또 하나의 실시상태에 있어서, 상기 유기 발광 소자는 녹색 유기 발광 소자일 수 있으며, 상기 화학식 1에 따른 헤테로고리 화합물은 상기 녹색 유기 발광 소자의 재료로 사용될 수 있다.In another exemplary embodiment of the present application, the organic light emitting device may be a green organic light emitting device, and the heterocyclic compound according to Chemical Formula 1 may be used as a material of the green organic light emitting device.
본 출원 또 하나의 실시상태에 있어서, 상기 유기 발광 소자는 적색 유기 발광 소자일 수 있으며, 상기 화학식 1에 따른 헤테로고리 화합물은 상기 적색 유기 발광 소자의 재료로 사용될 수 있다.In another exemplary embodiment of the present application, the organic light emitting device may be a red organic light emitting device, and the heterocyclic compound according to Chemical Formula 1 may be used as a material of the red organic light emitting device.
상기 화학식 1로 표시되는 헤테로고리 화합물에 대한 구체적인 내용은 전술한 바와 동일하다.Specific details of the heterocyclic compound represented by Formula 1 are the same as described above.
본 출원 유기 발광 소자는 전술한 헤테로고리 화합물을 이용하여 한 층 이상의 유기물층을 형성하는 것을 제외하고는, 통상의 유기 발광 소자의 제조방법 및 재료에 의하여 제조될 수 있다.The organic light emitting device of the present application may be manufactured by a conventional method and material for manufacturing an organic light emitting device, except for forming one or more organic material layers using the above-described heterocyclic compound.
상기 헤테로고리 화합물은 유기 발광 소자의 제조시 진공 증착법 뿐만 아니라 용액 도포법에 의하여 유기물층으로 형성될 수 있다. 여기서, 용액 도포법이라 함은 스핀 코팅, 딥 코팅, 잉크젯 프린팅, 스크린 프린팅, 스프레이법, 롤 코팅 등을 의미하지만, 이들만으로 한정되는 것은 아니다.The heterocyclic compound may be formed as an organic material layer by a solution coating method as well as a vacuum deposition method when manufacturing an organic light emitting device. Here, the solution coating method refers to spin coating, dip coating, inkjet printing, screen printing, spraying, roll coating, and the like, but is not limited thereto.
본 출원 유기 발광 소자의 유기물층은 단층 구조로 이루어질 수도 있으나, 2층 이상의 유기물층이 적층된 다층 구조로 이루어질 수 있다. 예컨대, 본 발명의 유기 발광 소자는 유기물층으로서 정공 주입층, 정공 수송층, 정공 보조층, 발광층, 전자 수송층, 전자 주입층 등을 포함하는 구조를 가질 수 있다. 그러나, 유기 발광 소자의 구조는 이에 한정되지 않고 더 적은 수의 유기물층을 포함할 수 있다.The organic material layer of the organic light emitting device of the present application may have a single-layer structure, but may have a multi-layer structure in which two or more organic material layers are stacked. For example, the organic light emitting device of the present invention may have a structure including a hole injection layer, a hole transport layer, a hole auxiliary layer, a light emitting layer, an electron transport layer, an electron injection layer, etc. as an organic material layer. However, the structure of the organic light emitting device is not limited thereto and may include a smaller number of organic material layers.
본 출원 유기 발광 소자에서, 상기 유기물층은 전자 수송층을 포함하고, 상기 전자 수송층은 상기 헤테로고리 화합물을 포함할 수 있다. 상기 헤테로고리 화합물이 전자 수송층에 사용될 경우, 적정 에너지 레벨과 밴드 갭을 형성하게 되어 발광영역 내의 엑시톤이 증가하게 되어, 소자의 구동전압과 효율이 향상된다. 또한, 높은 T1 값을 가지게 되어서 우수한 정공 수송 능력 및 열적 안정성을 갖춘 장수명의 소자를 구현할 수 있다.In the organic light emitting device of the present application, the organic material layer may include an electron transport layer, and the electron transport layer may include the heterocyclic compound. When the heterocyclic compound is used in the electron transport layer, an appropriate energy level and a band gap are formed, so that excitons in the light emitting region are increased, thereby improving the driving voltage and efficiency of the device. In addition, since it has a high T1 value, it is possible to implement a device having a long lifespan with excellent hole transport ability and thermal stability.
본 출원 유기 발광 소자에서, 상기 유기물층은 정공 보조층을 포함하고, 상기 정공 보조층은 상기 헤테로고리 화합물을 포함할 수 있다. 상기 헤테로고리 화합물이 정공 보조층에 사용될 경우, 발광층에서 전자가 정공 수송층으로 넘어가는 것을 저지함으로써, 발광층과 정공 수송층 사이의 에너지 레벨과 발광 파장을 보다 효과적으료 조율할 수 있게 되어, 소자의 색순도가 개선된다.In the organic light emitting device of the present application, the organic material layer may include a hole auxiliary layer, and the hole auxiliary layer may include the heterocyclic compound. When the heterocyclic compound is used in the hole auxiliary layer, it is possible to more effectively tune the energy level and the emission wavelength between the light emitting layer and the hole transport layer by preventing electrons from passing from the light emitting layer to the hole transport layer, thereby increasing the color purity of the device. is improved
본 발명의 유기 발광 소자는 발광층, 정공 주입층, 정공 수송층, 전자 주입층, 전자 수송층, 정공 보조층 및 정공 저지층으로 이루어진 군에서 선택되는 1층 또는 2층 이상을 더 포함할 수 있다.The organic light emitting device of the present invention may further include one or more layers selected from the group consisting of a light emitting layer, a hole injection layer, a hole transport layer, an electron injection layer, an electron transport layer, a hole auxiliary layer, and a hole blocking layer.
도 1 내지 3에 본 출원의 일 실시상태에 따른 유기 발광 소자의 전극과 유기물층의 적층 순서를 예시하였다. 그러나, 이들 도면에 의하여 본 출원의 범위가 한정될 것을 의도한 것은 아니며, 당 기술분야에 알려져 있는 유기 발광 소자의 구조가 본 출원에도 적용될 수 있다.1 to 3 illustrate the stacking order of the electrode and the organic material layer of the organic light emitting device according to an exemplary embodiment of the present application. However, it is not intended that the scope of the present application be limited by these drawings, and the structure of an organic light emitting device known in the art may also be applied to the present application.
도 1에 따르면, 기판(100) 상에 양극(200), 유기물층(300) 및 음극(400)이 순차적으로 적층된 유기 발광 소자가 도시된다. 그러나, 이와 같은 구조에만 한정되는 것은 아니고, 도 2와 같이, 기판 상에 음극, 유기물층 및 양극이 순차적으로 적층된 유기 발광 소자가 구현될 수도 있다.Referring to FIG. 1 , an organic light emitting device in which an
도 3은 유기물층이 다층인 경우를 예시한 것이다. 도 3에 따른 유기 발광 소자는 정공 주입층(301), 정공 수송층(302), 발광층(303), 정공 저지층(304), 전자 수송층(305) 및 전자 주입층(306)을 포함한다. 그러나, 이와 같은 적층 구조에 의하여 본 출원의 범위가 한정되는 것은 아니며, 필요에 따라 발광층을 제외한 나머지 층은 생략될 수도 있고, 필요한 다른 기능층이 더 추가될 수 있다.3 illustrates a case in which the organic material layer is multi-layered. The organic light emitting diode according to FIG. 3 includes a
상기 화학식 1로 표시되는 헤테로고리 화합물을 포함하는 유기물층은 필요에 따라 다른 물질을 추가로 포함할 수 있다.The organic material layer including the heterocyclic compound represented by Formula 1 may further include other materials if necessary.
또한, 본 출원의 일 실시상태에 따른 유기 발광 소자는, 제1 전극; 상기 제1 전극 상에 구비되고 제1 발광층을 포함하는 제1 스택; 상기 제1 스택 상에 구비되는 전하 생성층; 상기 전하 생성층 상에 구비되고 제2 발광층을 포함하는 제2 스택; 및 상기 제2 스택 상에 구비되는 제2 전극을 포함한다.In addition, an organic light emitting device according to an exemplary embodiment of the present application includes a first electrode; a first stack provided on the first electrode and including a first light emitting layer; a charge generation layer provided on the first stack; a second stack provided on the charge generation layer and including a second light emitting layer; and a second electrode provided on the second stack.
이 때, 상기 전하 생성층은 상기 화학식 1로 표시되는 헤테로고리 화합물을 포함할 수 있다. 상기 헤테로고리 화합물이 전하 생성층에 사용될 경우, 유기 발광 소자의 구동, 효율 및 수명이 우수해질 수 있다.In this case, the charge generating layer may include a heterocyclic compound represented by Formula 1 above. When the heterocyclic compound is used in the charge generating layer, driving, efficiency, and lifespan of the organic light emitting diode may be improved.
또한, 상기 제1 스택 및 제2 스택은 각각 독립적으로 전술한 정공 주입층, 정공 수송층, 정공 저지층, 전자 수송층, 전자 주입층 등을 1종 이상 추가로 포함할 수 있다.In addition, the first stack and the second stack may each independently further include one or more of the aforementioned hole injection layer, hole transport layer, hole blocking layer, electron transport layer, electron injection layer, and the like.
본 출원의 일 실시상태에 따른 유기 발광 소자로서, 2-스택 텐덤 구조의 유기 발광 소자를 하기 도 4에 예시적으로 나타내었다.As an organic light emitting device according to an exemplary embodiment of the present application, an organic light emitting device having a two-stack tandem structure is exemplarily shown in FIG. 4 below.
이 때, 하기 도 4에 기재된 제1 전자 저지층, 제1 정공 저지층 및 제2 정공 저지층 등은 경우에 따라 생략될 수 있다.In this case, the first electron blocking layer, the first hole blocking layer, and the second hole blocking layer described in FIG. 4 may be omitted in some cases.
본 출원의 일 실시상태에 따른 유기 발광 소자에 있어서, 상기 화학식 1의 화합물 이외의 재료를 하기에 예시하지만, 이들은 예시를 위한 것일 뿐 본 출원의 범위를 한정하기 위한 것은 아니며, 당 기술분야에 공지된 재료들로 대체될 수 있다.In the organic light emitting device according to an exemplary embodiment of the present application, materials other than the compound of Formula 1 are exemplified below, but these are for illustration only and not for limiting the scope of the present application, and are known in the art. materials may be substituted.
양극 재료로는 비교적 일함수가 큰 재료들을 이용할 수 있으며, 투명 전도성 산화물, 금속 또는 전도성 고분자 등을 사용할 수 있다. 상기 양극 재료의 구체적인 예로는 바나듐, 크롬, 구리, 아연, 금과 같은 금속 또는 이들의 합금; 아연 산화물, 인듐 산화물, 인듐주석 산화물(ITO), 인듐아연 산화물(IZO)과 같은 금속 산화물; ZnO : Al 또는 SnO2 : Sb와 같은 금속과 산화물의 조합; 폴리(3-메틸티오펜), 폴리[3,4-(에틸렌-1,2-디옥시)티오펜](PEDOT), 폴리피롤 및 폴리아닐린과 같은 전도성 고분자 등이 있으나, 이들에만 한정되는 것은 아니다.Materials having a relatively large work function may be used as the anode material, and a transparent conductive oxide, metal, or conductive polymer may be used. Specific examples of the anode material include metals such as vanadium, chromium, copper, zinc, gold, or alloys thereof; metal oxides such as zinc oxide, indium oxide, indium tin oxide (ITO), and indium zinc oxide (IZO); ZnO: Al or SnO2 : Combination of metals and oxides such as Sb; conductive polymers such as poly(3-methylthiophene), poly[3,4-(ethylene-1,2-dioxy)thiophene](PEDOT), polypyrrole, and polyaniline, but are not limited thereto.
음극 재료로는 비교적 일함수가 낮은 재료들을 이용할 수 있으며, 금속, 금속 산화물 또는 전도성 고분자 등을 사용할 수 있다. 상기 음극 재료의 구체적인 예로는 마그네슘, 칼슘, 나트륨, 칼륨, 티타늄, 인듐, 이트륨, 리튬, 가돌리늄, 알루미늄, 은, 주석 및 납과 같은 금속 또는 이들의 합금; LiF/Al 또는 LiO2/Al과 같은 다층 구조 물질 등이 있으나, 이들에만 한정되는 것은 아니다.Materials having a relatively low work function may be used as the cathode material, and metal, metal oxide, conductive polymer, or the like may be used. Specific examples of the anode material include metals such as magnesium, calcium, sodium, potassium, titanium, indium, yttrium, lithium, gadolinium, aluminum, silver, tin and lead, or alloys thereof; and a multilayer structure material such as LiF/Al or LiO2 /Al, but is not limited thereto.
정공 주입 재료로는 공지된 정공 주입 재료를 이용할 수도 있는데, 예를 들면, 미국 특허 제4,356,429호에 개시된 구리프탈로시아닌 등의 프탈로시아닌 화합물 또는 문헌 [Advanced Material, 6, p.677 (1994)]에 기재되어 있는 스타버스트형 아민 유도체류, 예컨대 트리스(4-카바조일-9-일페닐)아민(TCTA), 4,4',4"-트리[페닐(m-톨릴)아미노]트리페닐아민(m-MTDATA), 1,3,5-트리스[4-(3-메틸페닐페닐아미노)페닐]벤젠(m-MTDAPB), 용해성이 있는 전도성 고분자인 폴리아닐린/도데실벤젠술폰산(Polyaniline/Dodecylbenzenesulfonic acid) 또는 폴리(3,4-에틸렌디옥시티오펜)/폴리(4-스티렌술포네이트)(Poly(3,4-ethylenedioxythiophene)/Poly(4-styrenesulfonate)), 폴리아닐린/캠퍼술폰산(Polyaniline/Camphor sulfonic acid) 또는 폴리아닐린/폴리(4-스티렌술포네이트)(Polyaniline/Poly(4-styrenesulfonate)) 등을 사용할 수 있다.As the hole injection material, a known hole injection material may be used, for example, a phthalocyanine compound such as copper phthalocyanine disclosed in U.S. Patent No. 4,356,429 or Advanced Material, 6, p.677 (1994). starburst-type amine derivatives such as tris(4-carbazolyl-9-ylphenyl)amine (TCTA), 4,4′,4″-tri[phenyl(m-tolyl)amino]triphenylamine (m- MTDATA), 1,3,5-tris[4-(3-methylphenylphenylamino)phenyl]benzene (m-MTDAPB), soluble conductive polymers polyaniline/dodecylbenzenesulfonic acid (Polyaniline/Dodecylbenzenesulfonic acid) or poly( 3,4-ethylenedioxythiophene)/poly(4-styrenesulfonate) (Poly(3,4-ethylenedioxythiophene)/Poly(4-styrenesulfonate)), polyaniline/Camphor sulfonic acid or polyaniline/ poly(4-styrenesulfonate) (Polyaniline/Poly(4-styrenesulfonate)) and the like can be used.
정공 수송 재료로는 피라졸린 유도체, 아릴아민계 유도체, 스틸벤 유도체, 트리페닐디아민 유도체 등이 사용될 수 있으며, 저분자 또는 고분자 재료가 사용될 수도 있다.As the hole transport material, a pyrazoline derivative, an arylamine derivative, a stilbene derivative, a triphenyldiamine derivative, etc. may be used, and a low molecular weight or high molecular material may be used.
전자 수송 재료로는 옥사디아졸 유도체, 안트라퀴노디메탄 및 이의 유도체, 벤조퀴논 및 이의 유도체, 나프토퀴논 및 이의 유도체, 안트라퀴논 및 이의 유도체, 테트라시아노안트라퀴노디메탄 및 이의 유도체, 플루오레논 유도체, 디페닐디시아노에틸렌 및 이의 유도체, 디페노퀴논 유도체, 8-히드록시퀴놀린 및 이의 유도체의 금속 착체 등이 사용될 수 있으며, 저분자 물질 뿐만 아니라 고분자 물질이 사용될 수도 있다.Examples of the electron transport material include oxadiazole derivatives, anthraquinodimethane and its derivatives, benzoquinone and its derivatives, naphthoquinone and its derivatives, anthraquinone and its derivatives, tetracyanoanthraquinodimethane and its derivatives, and fluorenone. Derivatives, diphenyldicyanoethylene and derivatives thereof, diphenoquinone derivatives, metal complexes of 8-hydroxyquinoline and derivatives thereof, etc. may be used, and polymer materials as well as low molecular weight materials may be used.
전자 주입 재료로는 예를 들어, LiF가 당업계 대표적으로 사용되나, 본 출원이 이에 한정되는 것은 아니다.As the electron injection material, for example, LiF is typically used in the art, but the present application is not limited thereto.
발광 재료로는 적색, 녹색 또는 청색 발광재료가 사용될 수 있으며, 필요한 경우, 2 이상의 발광 재료를 혼합하여 사용할 수 있다. 이 때, 2 이상의 발광 재료를 개별적인 공급원으로 증착하여 사용하거나, 예비혼합하여 하나의 공급원으로 증착하여 사용할 수 있다. 또한, 발광 재료로서 형광 재료를 사용할 수도 있으나, 인광 재료로서 사용할 수도 있다. 발광 재료로는 단독으로서 양극과 음극으로부터 각각 주입된 정공과 전자를 결합하여 발광시키는 재료가 사용될 수도 있으나, 호스트재료와 도펀트 재료가 함께 발광에 관여하는 재료들이 사용될 수도 있다.A red, green, or blue light emitting material may be used as the light emitting material, and if necessary, two or more light emitting materials may be mixed and used. In this case, two or more light emitting materials may be deposited and used as separate sources, or may be premixed and deposited as a single source. In addition, although a fluorescent material can be used as a light emitting material, it can also be used as a phosphorescent material. As the light emitting material, a material that emits light by combining holes and electrons respectively injected from the anode and the cathode may be used, but materials in which the host material and the dopant material together participate in light emission may be used.
발광 재료의 호스트를 혼합하여 사용하는 경우에는, 동일 계열의 호스트를 혼합하여 사용할 수도 있고, 다른 계열의 호스트를 혼합하여 사용할 수도 있다. 예를 들어, n 타입 호스트 재료 또는 p 타입 호스트 재료 중 어느 두 종류 이상의 재료를 선택하여 발광층의 호스트 재료로 사용할 수 있다.When mixing and using the host of the light emitting material, a host of the same series may be mixed and used, or a host of different series may be mixed and used. For example, any two or more types of n-type host material or p-type host material may be selected and used as the host material of the light emitting layer.
본 출원 유기 발광 소자에서, 상기 유기물층은 발광층을 포함하고, 상기 발광층은 상기 헤테로고리 화합물을 포함할 수 있다.In the organic light emitting device of the present application, the organic material layer may include a light emitting layer, and the light emitting layer may include the heterocyclic compound.
본 출원 유기 발광 소자에서, 상기 유기물층은 발광층을 포함하고, 상기 발광층은 상기 헤테로고리 화합물을 발광 재료의 호스트 물질로 포함할 수 있다.In the organic light emitting device of the present application, the organic material layer may include a light emitting layer, and the light emitting layer may include the heterocyclic compound as a host material of the light emitting material.
본 출원 유기 발광 소자에서, 상기 발광층은 2개 이상의 호스트 물질을 포함할 수 있으며, 상기 2개 이상의 호스트 물질 중 적어도 1개는 상기 헤테로고리 화합물을 발광 재료의 호스트 물질로 포함할 수 있다.In the organic light emitting device of the present application, the light emitting layer may include two or more host materials, and at least one of the two or more host materials may include the heterocyclic compound as a host material of the light emitting material.
본 출원 유기 발광 소자에서, 상기 발광층은 2개 이상의 호스트 물질을 예비 혼합(pre-mixed)하여 사용할 수 있으며, 상기 2개 이상의 호스트 물질 중 적어도 1개는 상기 헤테로고리 화합물을 발광 재료의 호스트 물질로 포함할 수 있다.In the organic light emitting device of the present application, the light emitting layer may be used by pre-mixing two or more host materials, and at least one of the two or more host materials uses the heterocyclic compound as a host material of the light emitting material. may include
상기 예비 혼합(pre-mixed)은 상기 발광층은 2개 이상의 호스트 물질을 유기물층에 증착하기 전에 먼저 재료를 섞어서 하나의 공원에 담아 혼합하는 것을 의미한다.The pre-mixed (pre-mixed) means that the light emitting layer is mixed with two or more host materials before depositing the organic material layer in a single park.
본 출원 유기 발광 소자에서, 상기 발광층은 2개 이상의 호스트 물질을 포함할 수 있으며, 상기 2개 이상의 호스트 물질은 각각 1개 이상의 p 타입 호스트 재료 및 n 타입 호스트 재료를 포함하고, 상기 호스트 물질 중 적어도 1개는 상기 헤테로고리 화합물을 발광 재료의 호스트 물질을 포함할 수 있다. 이 경우, 유기 발광 소자의 구동, 효율 및 수명이 우수해질 수 있다.In the organic light emitting device of the present application, the light emitting layer may include two or more host materials, each of the two or more host materials includes one or more p-type host materials and n-type host materials, and at least one of the host materials One may include the heterocyclic compound as a host material of the light emitting material. In this case, driving, efficiency, and lifespan of the organic light emitting diode may be improved.
본 출원 유기 발광 소자에서, 상기 발광층은 상기 헤테로고리 화합물 및 하기 화학식 11로 표시되는 헤테로고리 화합물을 포함할 수 있다.In the organic light emitting device of the present application, the light emitting layer may include the heterocyclic compound and the heterocyclic compound represented by Chemical Formula 11 below.
[화학식 11][Formula 11]
상기 화학식 11에서,In the above formula (11),
L11 및 L12는 서로 같거나 상이하고, 각각 독립적으로 직접결합; 치환 또는 비치환된 탄소수 6 내지 60의 아릴렌기; 또는 치환 또는 비치환된 탄소수 2 내지 60의 헤테로아릴렌기이고,L11 and L12 are the same as or different from each other, and each independently a direct bond; a substituted or unsubstituted arylene group having 6 to 60 carbon atoms; Or a substituted or unsubstituted C 2 to
X11은 O; S; 또는 CRbRc이고, 상기 Rb및Rc는 서로 같거나 상이하고, 각각 독립적으로 치환 또는 비치환된 탄소수 1 내지 10의 알킬기이고,X11 is O; S; or CRb Rc , wherein Rb andRc is the same as or different from each other, and each independently represents a substituted or unsubstituted C 1 to
Y11 내지 Y15는 서로 같거나 상이하고, 각각 독립적으로 N 또는 CRd이고, 상기 Y11 내지 Y15 중 적어도 1 이상은 N이며,Y11 to Y15 are the same as or different from each other, and each independently represents N or CRd , and at least one ofY 11 to Y15 is N,
각각의 Rd는 서로 같거나 상이하며, 각각 독립적으로, 수소; 중수소; 할로겐기; 치환 또는 비치환된 탄소수 3 내지 60의 시클로알킬기; 치환 또는 비치환된 탄소수 6 내지 60의 아릴기; 및 치환 또는 비치환된 탄소수 2 내지 60의 헤테로아릴기로 이루어진 군으로부터 선택되거나, 서로 인접하는 2 이상의 기는 서로 결합하여 치환 또는 비치환된 탄소수 6 내지 60의 방향족 탄화수소 고리 또는 치환 또는 비치환된 탄소수 2 내지 60의 헤테로 고리를 형성하고,each Rd is the same as or different from each other, and each independently hydrogen; heavy hydrogen; halogen group; a substituted or unsubstituted C 3 to
Ar11은 수소; 치환 또는 비치환된 탄소수 6 내지 60의 아릴기; 또는 치환 또는 비치환된 탄소수 2 내지 60의 헤테로아릴기고,Ar11 is hydrogen; a substituted or unsubstituted C 6 to
p 및 q는 각각 0 또는 1이다.p and q are each 0 or 1.
상기 화학식 11로 표시되는 헤테로고리 화합물을 상기 화학식 1로 표시되는 헤테로고리 화합물과 함께 발광층에 사용할 경우 들뜬 복합체(exciplex)를 형성하여 소자 성능을 향상시킬 수 있다.When the heterocyclic compound represented by Formula 11 is used together with the heterocyclic compound represented by Formula 1 in the light emitting layer, an exciplex may be formed to improve device performance.
본 출원의 일 실시상태에 있어서, 상기 화학식 11의 L11 및 L12는 서로 같거나 상이하고, 각각 독립적으로 직접결합; 치환 또는 비치환된 탄소수 6 내지 20의 아릴렌기; 또는 치환 또는 비치환된 탄소수 2 내지 20의 헤테로아릴렌기이다.In an exemplary embodiment of the present application, L11 and L12 of Formula 11 are the same as or different from each other, and each independently a direct bond; a substituted or unsubstituted arylene group having 6 to 20 carbon atoms; or a substituted or unsubstituted C 2 to
본 출원의 일 실시상태에 있어서, 상기 L11 및 L12는 서로 같거나 상이하고, 각각 독립적으로 직접결합; 치환 또는 비치환된 페닐렌기; 또는 치환 또는 비치환된 나프틸렌기 이다.In an exemplary embodiment of the present application, L11 and L12 are the same as or different from each other, and each independently a direct bond; a substituted or unsubstituted phenylene group; or a substituted or unsubstituted naphthylene group.
본 출원의 일 실시상태에 있어서, 상기 L11 및 L12는 서로 같거나 상이하고, 각각 독립적으로 직접결합; 페닐렌기; 또는 나프틸렌기이다.In an exemplary embodiment of the present application, L11 and L12 are the same as or different from each other, and each independently a direct bond; phenylene group; or a naphthylene group.
본 출원의 일 실시상태에 있어서, 상기 화학식 11의 X11은 O; S; 또는 CRbRc이고, 상기 Rb및Rc는 서로 같거나 상이하고, 각각 독립적으로 치환 또는 비치환된 탄소수 1 내지 10의 알킬기일 수 있다.In an exemplary embodiment of the present application, X11 of Formula 11 is O; S; or CRb Rc , wherein Rb andRc may be the same as or different from each other, and each independently may be a substituted or unsubstituted C 1 to
본 출원의 일 실시상태에 있어서, 상기 X11은 O; S; 또는 CRbRc이고, 상기 Rb및Rc는 모두 메틸기이다.In an exemplary embodiment of the present application, X11 is O; S; or CRb Rc , wherein Rb andRc are all methyl groups.
본 출원의 일 실시상태에 있어서, 상기 X11은 O이다.In an exemplary embodiment of the present application, X11 is O.
본 출원의 일 실시상태에 있어서, 상기 X11은 S이다.In an exemplary embodiment of the present application, X11 is S.
본 출원의 일 실시상태에 있어서, 상기 X11은 CRbRc이고, 상기 Rb및Rc는 모두 메틸기이다.In an exemplary embodiment of the present application, X11 is CRb Rc , and Rb andRc are all methyl groups.
본 출원의 일 실시상태에 있어서, 상기 Y11, Y13및Y15중에서 적어도 하나는N이고, 상기 Y12및Y14는CRd이다.In an exemplary embodiment of the present application, the Y11 , Y13 andAt least one of Y15 isN, wherein Y12 andY14 isis CRd .
본 출원의 일 실시상태에 있어서, 상기 Y11, Y13및Y15중에서 적어도 하나는N이고, N이 아닌 나머지 및 상기 Y12및Y14는CRd이다.In an exemplary embodiment of the present application, the Y11 , Y13 andAt least one of Y15 isN, the remainder other than N and Y12 andY14 isis CRd .
본 출원의 일 실시상태에 있어서, 상기 Y11, Y13및Y15중에서 적어도 하나는N이고 N이 아닌 나머지는 CH이며, 상기 Y12및Y14는CRd이다.In an exemplary embodiment of the present application, the Y11 , Y13 andAt least one of Y15 isN and the remainder other than N is CH, wherein Y12 andY14 isis CRd .
본 출원의 일 실시상태에 있어서, 상기 Rd는 수소; 중수소; 치환 또는 비치환된 탄소수 6 내지 20의 아릴기; 및 치환 또는 비치환된 탄소수 2 내지 20의 헤테로아릴기로 이루어진 군으로부터 선택되거나, 서로 인접하는 2 이상의 기는 서로 결합하여 치환 또는 비치환된 탄소수 6 내지 10의 방향족 탄화수소 고리 또는 치환 또는 비치환된 탄소수 2 내지 10의 헤테로 고리를 형성한다.In an exemplary embodiment of the present application, Rd Is hydrogen; heavy hydrogen; a substituted or unsubstituted aryl group having 6 to 20 carbon atoms; and a substituted or unsubstituted C2 to C20 heteroaryl group, or two or more groups adjacent to each other are bonded to each other to a substituted or unsubstituted C6 to C10 aromatic hydrocarbon ring or a substituted or unsubstituted C2 to form a heterocyclic ring of 10.
본 출원의 일 실시상태에 있어서, 상기 Rd는 수소; 중수소; 치환 또는 비치환된 탄소수 6 내지 20의 아릴기; 및 치환 또는 비치환된 탄소수 2 내지 20의 헤테로아릴기로 이루어진 군으로부터 선택되거나, 서로 인접하는 2 이상의 기는 서로 결합하여 치환 또는 비치환된 탄소수 6 내지 10의 방향족 탄화수소 고리 또는 치환 또는 비치환된 탄소수 2 내지 10의 헤테로 고리를 형성한다.In an exemplary embodiment of the present application, Rd Is hydrogen; heavy hydrogen; a substituted or unsubstituted aryl group having 6 to 20 carbon atoms; and a substituted or unsubstituted C2 to C20 heteroaryl group, or two or more groups adjacent to each other are bonded to each other to a substituted or unsubstituted C6 to C10 aromatic hydrocarbon ring or a substituted or unsubstituted C2 to form a heterocyclic ring of 10.
본 출원의 일 실시상태에 있어서, 상기 Rd는 수소; 중수소; 및 치환 또는 비치환된 탄소수 6 내지 20의 아릴기로 이루어진 군으로부터 선택되거나, 서로 인접하는 2 이상의 기는 서로 결합하여 치환 또는 비치환된 탄소수 6 내지 10의 방향족 탄화수소 고리를 형성한다.In an exemplary embodiment of the present application, Rd Is hydrogen; heavy hydrogen; And two or more groups selected from the group consisting of a substituted or unsubstituted aryl group having 6 to 20 carbon atoms or adjacent to each other are bonded to each other to form a substituted or unsubstituted aromatic hydrocarbon ring having 6 to 10 carbon atoms.
본 출원의 일 실시상태에 있어서, 상기 Rd는 수소; 중수소; 치환 또는 비치환된 페닐기; 및 치환 또는 비치환된 바이페닐기로 이루어진 군으로부터 선택되거나, 서로 인접하는 2 이상의 기는 서로 결합하여 치환 또는 비치환된 벤젠 고리를 형성한다.In an exemplary embodiment of the present application, Rd Is hydrogen; heavy hydrogen; a substituted or unsubstituted phenyl group; And two or more groups selected from the group consisting of a substituted or unsubstituted biphenyl group, or adjacent to each other are bonded to each other to form a substituted or unsubstituted benzene ring.
본 출원의 일 실시상태에 있어서, 상기 Rd는 수소; 중수소; 페닐기; 및 바이페닐기로 이루어진 군으로부터 선택되거나, 서로 인접하는 2 이상의 기는 서로 결합하여 벤젠 고리를 형성한다.In an exemplary embodiment of the present application, Rd Is hydrogen; heavy hydrogen; phenyl group; And two or more groups selected from the group consisting of or adjacent to each other are bonded to each other to form a benzene ring.
본 출원의 일 실시상태에 있어서, 상기 화학식 11의 Ar11은 수소; 치환 또는 비치환된 탄소수 6 내지 40의 아릴기; 또는 치환 또는 비치환된 탄소수 2 내지 40의 헤테로아릴기이다.In the exemplary embodiment of the present application, Ar11 of Formula 11 is hydrogen; a substituted or unsubstituted C 6 to
본 출원의 일 실시상태에 있어서, 상기 화학식 11의 Ar11은 수소; 치환 또는 비치환된 탄소수 6 내지 20의 아릴기; 또는 치환 또는 비치환된 탄소수 2 내지 20의 헤테로아릴기이다.In an exemplary embodiment of the present application, Ar11 of Formula 11 is hydrogen; a substituted or unsubstituted aryl group having 6 to 20 carbon atoms; Or a substituted or unsubstituted C 2 to
본 출원의 일 실시상태에 있어서, 상기 Ar11은 수소; 치환 또는 비치환된 페닐기; 치환 또는 비치환된 바이페닐기; 또는 치환 또는 비치환된 피리딘기이다.In an exemplary embodiment of the present application, Ar11 is hydrogen; a substituted or unsubstituted phenyl group; a substituted or unsubstituted biphenyl group; or a substituted or unsubstituted pyridine group.
본 출원의 일 실시상태에 있어서, 상기 Ar11은 수소; 페닐기; 바이페닐기; 또는 피리딘기이다.In an exemplary embodiment of the present application, Ar11 is hydrogen; phenyl group; biphenyl group; or a pyridine group.
본 출원의 일 실시상태에 있어서, 상기 화학식 11은 하기 화합물 중 어느 하나로 표시되는 것인 헤테로고리 화합물을 제공한다.In an exemplary embodiment of the present application, Chemical Formula 11 provides a heterocyclic compound represented by any one of the following compounds.
본 출원의 일 실시상태에 있어서, 상기 화학식 1로 표시되는 헤테로고리 화합물 및 상기 화학식 11로 표시되는 헤테로고리 화합물은 호스트 물질로 사용될 수 있다.In an exemplary embodiment of the present application, the heterocyclic compound represented by Formula 1 and the heterocyclic compound represented by Formula 11 may be used as a host material.
본 출원의 일 실시상태에 있어서, 본 출원의 일 실시상태에 있어서, 상기 화학식 1로 표시되는 헤테로고리 화합물 및 상기 화학식 11로 표시되는 헤테로고리 화합물을 포함하는 유기 발광 소자의 유기물층용 조성물을 제공한다.In an exemplary embodiment of the present application, in an exemplary embodiment of the present application, there is provided a composition for an organic material layer of an organic light emitting device comprising the heterocyclic compound represented by Formula 1 and the heterocyclic compound represented by Formula 11 .
상기 조성물 내 상기 화학식 1로 표시되는 헤테로고리 화합물 : 상기 화학식 11로 표시되는 헤테로고리 화합물의 중량비는 1 : 10 내지 10 : 1일 수 있고, 1 : 8 내지 8 : 1일 수 있고, 1 : 5 내지 5 : 1 일 수 있으며, 1 : 2 내지 2 : 1일 수 있으나, 이에만 한정되는 것은 아니다.The weight ratio of the heterocyclic compound represented by Formula 1 in the composition to the heterocyclic compound represented by Formula 11 may be 1: 10 to 10: 1, 1: 8 to 8: 1, and 1: 5 to 5: 1 may be, and may be 1: 2 to 2: 1, but is not limited thereto.
본 출원의 일 실시상태에 따른 유기 발광 소자는 사용되는 재료에 따라 전면 발광형, 후면 발광형 또는 양면 발광형일 수 있다.The organic light emitting device according to the exemplary embodiment of the present application may be a top emission type, a back emission type, or a double side emission type depending on a material used.
본 출원의 일 실시상태에 따른 헤테로고리 화합물은 유기 태양 전지, 유기 감광체, 유기 트랜지스터 등을 비롯한 유기 전자 소자에서도 유기 발광 소자에 적용되는 것과 유사한 원리로 작용할 수 있다.The heterocyclic compound according to an exemplary embodiment of the present application may act on a principle similar to that applied to an organic light emitting device in an organic electronic device including an organic solar cell, an organic photoreceptor, and an organic transistor.
이하에서, 실시예를 통하여 본 명세서를 더욱 상세하게 설명하지만, 이들은 본 출원을 예시하기 위한 것일 뿐, 본 출원 범위를 한정하기 위한 것은 아니다.Hereinafter, the present specification will be described in more detail through examples, but these are only for illustrating the present application and not for limiting the scope of the present application.
[제조예 1][Production Example 1]
<화합물 4의 제조><Preparation of compound 4>
1) 중간체 4-3의 제조1) Preparation of Intermediate 4-3
4-4 (40.0 g, 298 mmol)를 Et2O (400 mL)에 넣었다. n-BuLi (143 mL, 358 mmol)을 질소분위기 하에서 서서히 첨가한 뒤, 20분 동안 상온에서 교반하였다. 40 ℃에서 6 시간 동안 교반하고, 상온으로 식혀주었다. CuCl2 (40.1 g, 298 mmol)을 4번에 나누어 넣은 후, 40 ℃에서 6 시간 동안 교반하였다. 반을 용액을 상온으로 식힌 후, 여과하였다. 여과액을 HCl, H2O로 씻어준 뒤, MgSO4로 건조하였다. 감압 농축한 후, Toluene으로 재결정 정제하여 중간체 4-3 (25.4 g, 64%)를 얻었다.4-4 (40.0 g, 298 mmol) was placed in Et 2 O (400 mL). n-BuLi (143 mL, 358 mmol) was slowly added under a nitrogen atmosphere, followed by stirring at room temperature for 20 minutes. The mixture was stirred at 40 °C for 6 hours and cooled to room temperature. CuCl2 (40.1 g, 298 mmol) was added in 4 portions, followed by stirring at 40 °C for 6 hours. After cooling half of the solution to room temperature, it was filtered. The filtrate was washed with HCl, H2 O, and dried overMgSO 4 . After concentration under reduced pressure, it was purified by recrystallization with toluene to obtain Intermediate 4-3 (25.4 g, 64%).
2) 중간체 4-2의 제조2) Preparation of Intermediate 4-2
중간체 4-3 (20.0 g, 75.1 mmol)을 상온에서 AcOH에 녹인 후, 온도를 60 ℃로 올렸다. HNO3:AcOH (6.5/26 mL) 용액을 첨가한 후, 60 ℃에서 1 시간 동안 교반하였다. 상온으로 식혀 여과하고, H2O와 MeOH로 씻어주어 중간체 4-2 (22.5 g, 96%)를 얻었다.Intermediate 4-3 (20.0 g, 75.1 mmol) was dissolved in AcOH at room temperature, and then the temperature was raised to 60 °C. After the addition of HNO3 :AcOH (6.5/26 mL) solution, the mixture was stirred at 60° C. for 1 hour. It was cooled to room temperature, filtered, andwashed with H 2 O and MeOH to obtain Intermediate 4-2 (22.5 g, 96%).
3) 중간체 4-1의 제조3) Preparation of Intermediate 4-1
중간체 4-2 (22.5 g, 72.3 mmol), PPh3 (47.4 g, 181 mmol)를 1,2-DCB (230 mL)에 넣은 후, 200 ℃에서 14 시간 동안 교반하였다. 상온으로 식히고 실리카겔 필터한 후, Toluene, Hexane으로 씻어 중간체 4-1을 얻었다. (12.1 g, 60%)Intermediate 4-2 (22.5 g, 72.3 mmol) and PPh3 (47.4 g, 181 mmol) were added to 1,2-DCB (230 mL), followed by stirring at 200 °C for 14 hours. After cooling to room temperature and filtering with silica gel, it was washed with Toluene and Hexane to obtain Intermediate 4-1. (12.1 g, 60%)
4) 화합물 4의 제조4) Preparation of compound 4
중간체 4-1 (4.15 g, 14.9 mmol), N-([1,1'-biphenyl]-4-yl)-N-(4-bromophenyl)-[1,1'-biphenyl]-4-amine (7.08 g, 14.9 mmol), Pd2dba3 (0.68 g, 0.75 mmol), P(t-Bu)3 (0.75 mL, 1.49 mmol), t-BuONa (2.86 g, 29.8 mmol)을 xylene에 넣고 160 ℃에서 4시간 동안 교반하였다. 상온으로 식힌 후, 12시간 동안 방치하여 생성된 고체를 여과하였다. 실리카 겔 필터 후 감압농축하여 생성된 고체를 여과하여 화합물 4 (7.59 g, 75%)를 얻었다.Intermediate 4-1 (4.15 g, 14.9 mmol), N-([1,1'-biphenyl]-4-yl)-N-(4-bromophenyl)-[1,1'-biphenyl]-4-amine ( 7.08 g, 14.9 mmol), Pd2 dba3 (0.68 g, 0.75 mmol), P(t-Bu)3 (0.75 mL, 1.49 mmol), t-BuONa (2.86 g, 29.8 mmol) in xylene at 160 ℃ was stirred for 4 hours. After cooling to room temperature, it was left to stand for 12 hours, and the resulting solid was filtered. The resulting solid was filtered after silica gel filter and concentrated under reduced pressure to obtain compound 4 (7.59 g, 75%).
상기 제조예 1에서 상기 N-([1,1'-biphenyl]-4-yl)-N-(4-bromophenyl)-[1,1'-biphenyl]-4-amine 대신에 하기 표 1의 A를 사용한 것을 제외하고, 상기 화합물 4의 제조와 같은 방법으로 하기 화합물을 합성하였다.In Preparation Example 1, in place of the N-([1,1'-biphenyl]-4-yl)-N-(4-bromophenyl)-[1,1'-biphenyl]-4-amine A in Table 1 Except for using , the following compound was synthesized in the same manner as in the preparation of compound 4.
[제조예 2][Production Example 2]
<화합물 184의 제조><Preparation of compound 184>
1) 중간체 184-2의 제조1) Preparation of Intermediate 184-2
184-3 (20.0 g, 79.9 mmol)을 상온에서 AcOH에 녹인 후, 온도를 60 ℃로 올렸다. HNO3:AcOH (7.0/28 mL)용액을 첨가한 후, 60 ℃에서 3 시간 동안 교반하였다. 상온으로 식혀 여과하고, H2O와 MeOH로 씻어주어 중간체 184-2 (17.2 g, 73%)를 얻었다.184-3 (20.0 g, 79.9 mmol) was dissolved in AcOH at room temperature, and then the temperature was raised to 60 °C. After adding HNO3 :AcOH (7.0/28 mL) solution, the mixture was stirred at 60° C. for 3 hours. It was cooled to room temperature, filtered, andwashed with H 2 O and MeOH to obtain Intermediate 184-2 (17.2 g, 73%).
2) 중간체 184-1의 제조2) Preparation of Intermediate 184-1
중간체 184-2 (17.3 g, 58.6 mmol), PPh3 (38.4 g, 146 mmol)를 1,2-DCB (170 mL)에 넣은 후, 200 ℃에서 18 시간 동안 교반하였다. 상온으로 식히고 실리카겔 필터한 후, Toluene, Hexane으로 씻어 중간체 184-1을 얻었다. (8.49 g, 55%)Intermediate 184-2 (17.3 g, 58.6 mmol) and PPh3 (38.4 g, 146 mmol) were added to 1,2-DCB (170 mL), followed by stirring at 200 °C for 18 hours. After cooling to room temperature, filtering with silica gel, washing with Toluene and Hexane, Intermediate 184-1 was obtained. (8.49 g, 55%)
3) 화합물 184의 제조3) Preparation of compound 184
중간체 184-1 (5.00 g, 19.0 mmol), N-([1,1'-biphenyl]-4-yl)-N-(4-bromophenyl)-[1,1'-biphenyl]-4-amine (9.05 g, 19.0 mmol), Pd2dba3 (0.87 g, 0.95 mmol), P(t-Bu)3 (0.96 mL, 1.90 mmol), t-BuONa (3.65 g, 38.0 mmol)을 xylene에 넣고 160 ℃에서 8시간 동안 교반하였다. 상온으로 식힌 후, 12시간 동안 방치하여 생성된 고체를 여과하였다. 실리카 겔 필터 후 감압농축하여 생성된 고체를 여과하여 화합물 184 (8.39 g, 67%)를 얻었다.Intermediate 184-1 (5.00 g, 19.0 mmol), N-([1,1'-biphenyl]-4-yl)-N-(4-bromophenyl)-[1,1'-biphenyl]-4-amine ( 9.05 g, 19.0 mmol), Pd2 dba3 (0.87 g, 0.95 mmol), P(t-Bu)3 (0.96 mL, 1.90 mmol), t-BuONa (3.65 g, 38.0 mmol) in xylene at 160 °C was stirred for 8 hours. After cooling to room temperature, it was left to stand for 12 hours, and the resulting solid was filtered. The resulting solid was filtered after silica gel filter and concentrated under reduced pressure to obtain Compound 184 (8.39 g, 67%).
상기 제조예 2에서 상기 N-([1,1'-biphenyl]-4-yl)-N-(4-bromophenyl)-[1,1'-biphenyl]-4-amine 대신에 하기 표 2의 A를 사용한 것을 제외하고, 상기 화합물 184의 제조와 같은 방법으로 하기 화합물을 합성하였다.In Preparation Example 2, in place of the N-([1,1'-biphenyl]-4-yl)-N-(4-bromophenyl)-[1,1'-biphenyl]-4-amine A in Table 2 below Except for using , the following compound was synthesized in the same manner as in the preparation of compound 184.
[제조예 3][Production Example 3]
<화합물 246의 제조><Preparation of compound 246>
1) 중간체 246-2의 제조1) Preparation of Intermediate 246-2
246-3 (20.0 g, 85.4 mmol)을 상온에서 AcOH에 녹인 후, 온도를 60 ℃로 올렸다. HNO3:AcOH (7.5/30 mL)용액을 첨가한 후, 60 ℃에서 18 시간 동안 교반하였다. 상온으로 식혀 여과하고, H2O와 MeOH로 씻어주어 중간체 246-2 (15.2 g, 64%)를 얻었다.246-3 (20.0 g, 85.4 mmol) was dissolved in AcOH at room temperature, and then the temperature was raised to 60 °C. After adding HNO3 :AcOH (7.5/30 mL) solution, the mixture was stirred at 60° C. for 18 hours. It was cooled to room temperature, filtered, andwashed with H 2 O and MeOH to obtain Intermediate 246-2 (15.2 g, 64%).
2) 중간체 246-1의 제조2) Preparation of Intermediate 246-1
중간체 246-2 (15.2 g, 54.4 mmol), PPh3 (35.7 g, 136 mmol)를 1,2-DCB (150 mL)에 넣은 후, 200 ℃에서 18 시간 동안 교반하였다. 상온으로 식히고 실리카겔 필터한 후, Toluene, Hexane으로 씻어 중간체 246-1을 얻었다. (6.73 g, 50%)Intermediate 246-2 (15.2 g, 54.4 mmol) and PPh3 (35.7 g, 136 mmol) were added to 1,2-DCB (150 mL), followed by stirring at 200 °C for 18 hours. After cooling to room temperature, filtering with silica gel, washing with Toluene and Hexane, Intermediate 246-1 was obtained. (6.73 g, 50%)
3) 화합물 246의 제조3) Preparation of compound 246
중간체 246-1 (5.00 g, 20.2 mmol), N-([1,1'-biphenyl]-4-yl)-N-(4-bromophenyl)-[1,1'-biphenyl]-4-amine (9.63 g, 20.2 mmol), Pd2dba3 (0.92 g, 1.01 mmol), P(t-Bu)3 (1.02 mL, 1.90 mmol), t-BuONa (3.88 g, 40.4 mmol)을 xylene에 넣고 160 ℃에서 8시간 동안 교반하였다. 상온으로 식힌 후, 12시간 동안 방치하여 생성된 고체를 여과하였다. 실리카 겔 필터 후 감압농축하여 생성된 고체를 여과하여 화합물 246 (9.22 g, 71%)를 얻었다.Intermediate 246-1 (5.00 g, 20.2 mmol), N-([1,1'-biphenyl]-4-yl)-N-(4-bromophenyl)-[1,1'-biphenyl]-4-amine ( 9.63 g, 20.2 mmol), Pd2 dba3 (0.92 g, 1.01 mmol), P(t-Bu)3 (1.02 mL, 1.90 mmol), and t-BuONa (3.88 g, 40.4 mmol) in xylene at 160 °C was stirred for 8 hours. After cooling to room temperature, it was left to stand for 12 hours, and the resulting solid was filtered. The resulting solid was filtered after silica gel filter and concentrated under reduced pressure to obtain compound 246 (9.22 g, 71%).
상기 제조예 3에서 상기 N-([1,1'-biphenyl]-4-yl)-N-(4-bromophenyl)-[1,1'-biphenyl]-4-amine 대신에 하기 표 3의 A를 사용한 것을 제외하고, 상기 화합물 246의 제조와 같은 방법으로 하기 화합물을 합성하였다.In Preparation Example 3, in place of the N-([1,1'-biphenyl]-4-yl)-N-(4-bromophenyl)-[1,1'-biphenyl]-4-amine A in Table 3 Except for using , the following compound was synthesized in the same manner as in the preparation of compound 246.
상기 제조예들과 같은 방법으로 화합물을 제조하고, 그 합성확인결과를 하기 표 4 및 표 5에 나타내었다. 하기 표 4는1H NMR(CDCl3, 300Mz)의 측정값이고, 하기 표 5는 FD-질량분석계(FD-MS: Field desorption mass spectrometry)의 측정값이다.Compounds were prepared in the same manner as in Preparation Examples, and the synthesis confirmation results are shown in Tables 4 and 5 below. Table 4below is a measurement value of 1 H NMR (CDCl3 , 300Mz), and Table 5 below is a measurement value of an FD-mass spectrometer (FD-MS: Field desorption mass spectrometry).
[실험예][Experimental example]
<실험예 1><Experimental Example 1>
1) 유기 발광 소자의 제작1) Fabrication of an organic light emitting device
1,500의 두께로 인듐틴옥사이드(ITO, Indium Tinoxide)가 박막 코팅된 유리 기판을 증류수 초음파로 세척하였다. 증류수 세척이 끝나면 아세톤, 메탄올, 이소프로필 알코올 등의 용제로 초음파 세척을 하고 건조시킨 후 UV(Ultraviolet) 세정기에서 UV를 이용하여 5분간 UVO(Ultraviolet Ozone)처리하였다. 이후 기판을 플라즈마 세정기(PT)로 이송시킨 후, 진공상태에서 ITO 일함수 및 잔막 제거를 위해 플라즈마 처리를 하여, 유기증착용 열증착 장비로 이송하였다.1,500 A glass substrate coated with a thin film of indium tin oxide (ITO, indium tinoxide) was washed with distilled water ultrasonically. After washing with distilled water, ultrasonic washing was performed with a solvent such as acetone, methanol, isopropyl alcohol, etc. and dried, followed by UVO (Ultraviolet Ozone) treatment for 5 minutes using UV in a UV (Ultraviolet) washer. After transferring the substrate to a plasma cleaner (PT), plasma treatment was performed to remove the ITO work function and residual film in a vacuum state, and the substrate was transferred to a thermal deposition equipment for organic deposition.
상기 ITO 투명 전극(양극)위에 공통층인 정공 주입층 2-TNATA(4,4′,4″-Tris[2-naphthyl(phenyl)amino] triphenylamine) 및 정공 수송층 NPB(N,N′-Di(1-naphthyl)-N,N′-diphenyl-(1,1′-biphenyl)-4,4′-diamine)을 형성시켰다.The hole injection layer 2-TNATA (4,4′,4″-Tris[2-naphthyl(phenyl)amino]triphenylamine) as a common layer on the ITO transparent electrode (anode) and the hole transport layer NPB (N,N′-Di( 1-naphthyl)-N,N′-diphenyl-(1,1′-biphenyl)-4,4′-diamine) was formed.
그 위에 발광층을 다음과 같이 열 진공 증착시켰다. 발광층은 적색 호스트로 하기 표 6에 기재된 화합물, 적색 인광 도펀트로 (piq)2(Ir)(acac)을 사용하여 호스트에 (piq)2(Ir)(acac)를 3wt% 도핑하여 500Å 증착하였다. 이후 정공 저지층으로 BCP(2,9-dimethyl-4,7-diphenyl-1,10-phenanthroline)를 60Å 증착하였으며, 그 위에 전자 수송층으로 Alq3를 200Å 증착하였다. 마지막으로 전자 수송층 위에 리튬 플루오라이드(lithium fluoride: LiF)를 10Å 두께로 증착하여 전자 주입층을 형성한 후, 전자 주입층 위에 알루미늄(Al) 음극을 1,200Å의 두께로 증착하여 음극을 형성함으로써 유기 발광 소자를 제조하였다(비교예 1 내지 4 및 실시예 1 내지 20).A light emitting layer was deposited thereon by thermal vacuum deposition as follows.For the light emitting layer, 3 wt% of (piq) 2 (Ir)(acac) was doped intothe host using (piq) 2 (Ir)(acac) as a red phosphorescent dopant and the compounds shown in Table 6 below as a red host, and 500Å was deposited. Thereafter, 2,9-dimethyl-4,7-diphenyl-1,10-phenanthroline (BCP) was deposited at 60Å as a hole blocking layer, and Alq 3 was deposited at 200 Å as an electron transport layer thereon. Finally, lithium fluoride (LiF) is deposited on the electron transport layer to a thickness of 10 Å to form an electron injection layer, and then an aluminum (Al) cathode is deposited to a thickness of 1,200 Å on the electron injection layer to form a cathode. A light emitting device was manufactured (Comparative Examples 1 to 4 and Examples 1 to 20).
한편, OLED 소자 제작에 필요한 모든 유기 화합물은 재료 별로 각각 10-8~10-6torr 하에서 진공 승화 정제하여 OLED 제작에 사용하였다.On the other hand, all organic compounds required for manufacturing OLED devices were vacuum sublimated and purified under10 -8 to 10-6 torr for each material and used for OLED manufacturing.
2) 유기 발광 소자의 구동 전압 및 발광 효율2) Driving voltage and luminous efficiency of organic light emitting device
상기와 같이 제작된 유기 발광 소자에 대하여 맥사이어스사의 M7000으로 전계 발광(EL)특성을 측정하였으며, 그 측정 결과를 가지고 맥사이언스사에서 제조된 수명장비측정장비(M6000)를 통해 기준 휘도가 6,000 cd/m2 일 때, T90을 측정하였다. 상기 T90은 초기 휘도 대비 90%가 되는 시간인 수명(단위: h, 시간)을 의미한다.The electroluminescence (EL) characteristics of the organic light emitting device manufactured as described above were measured with M7000 of McScience, and the reference luminance was 6,000 cd through the life instrumentation measuring device (M6000) manufactured by McScience with the measurement result. At /m2 , T90 was measured. The T90 means a lifetime (unit: h, time) that is 90% of the initial luminance.
본 발명의 유기 발광 소자의 특성은 하기 표 6과 같았다.The characteristics of the organic light emitting device of the present invention are shown in Table 6 below.
상기 표 6에서 알 수 있듯, 상기 화학식 1에 해당하는 화합물을 유기 발광 소자의 발광층으로 사용한 실시예 1 내지 20의 경우, 그렇지 않은 경우인 비교예 1 내지 4에 비하여 수명, 효율, 및 구동전압의 특성에서 우수한 효과를 나타내었다. 즉, 기존 카바졸 호스트보다 적색 호스트로의 적합한 사용과 더 나은 수명 효율 및 구동전압 향상에 도움을 줄 수 있음을 확인하였다.As can be seen from Table 6, in the case of Examples 1 to 20, in which the compound corresponding to Chemical Formula 1 was used as the light emitting layer of the organic light emitting device, compared with Comparative Examples 1 to 4, the lifespan, efficiency, and driving voltage were lower than those of Comparative Examples 1 to 4, which is not the case. It showed an excellent effect in properties. That is, it was confirmed that it can be used as a red host better than the existing carbazole host, and can help improve life efficiency and driving voltage.
<실험예 2><Experimental Example 2>
1) 유기 발광 소자의 제작1) Fabrication of an organic light emitting device(Red N+P mixed host)(Red N+P mixed host)
1,500Å의 두께로 ITO가 박막 코팅된 유리 기판을 증류수 초음파로 세척하였다. 증류수 세척이 끝나면 아세톤, 메탄올, 이소프로필 알코올 등의 용제로 초음파 세척을 하고 건조시킨 후 UV 세정기에서 UV를 이용하여 5분간 UVO처리하였다. 이후 기판을 플라즈마 세정기(PT)로 이송시킨 후, 진공상태에서 ITO 일함수 및 잔막 제거를 위해 플라즈마 처리를 하여, 유기증착용 열증착 장비로 이송하였다.A glass substrate coated with a thin film of ITO to a thickness of 1,500 Å was washed with distilled water and ultrasonic waves. After washing with distilled water, ultrasonic cleaning was performed with a solvent such as acetone, methanol, isopropyl alcohol, etc., dried, and UVO-treated for 5 minutes using UV in a UV washer. After transferring the substrate to a plasma cleaner (PT), plasma treatment was performed to remove the ITO work function and residual film in a vacuum state, and the substrate was transferred to a thermal deposition equipment for organic deposition.
상기 ITO 투명 전극(양극)위에 공통층인 정공 주입층 2-TNATA(4,4′,4′′-Tris[2-naphthyl(phenyl)amino]triphenylamine) 100Å 및 정공 수송층 NPB(N,N′-Di(1-naphthyl)-N,N′-diphenyl-(1,1′-biphenyl)-4,4′-diamine) 1000Å 을 형성시켰다.A hole injection layer 2-TNATA (4,4′,4′′-Tris[2-naphthyl(phenyl)amino]triphenylamine) 100Å and a hole transport layer NPB (N,N′- Di(1-naphthyl)-N,N′-diphenyl-(1,1′-biphenyl)-4,4′-diamine) 1000Å was formed.
그 위에 발광층을 다음과 같이 열 진공 증착시켰다. 발광층은 적색 호스트로 하기 표 7에 기재한 바와 같이 화합물 두 종을 예비 혼합 후 하나의 공급원에서 400Å 증착하였고, 적색 인광 도펀트는 (piq)2(Ir)(acac)를 3wt % 도핑하여 증착하였다. 이후 정공 저지층으로 BCP를 60Å 증착하였으며, 그 위에 전자 수송층으로 Alq3를 200Å 증착하였다. 마지막으로 전자 수송층 위에 리튬 플루오라이드(lithium fluoride: LiF)를 10Å 두께로 증착하여 전자 주입층을 형성한 후, 전자 주입층 위에 알루미늄(Al) 음극을 1,200Å의 두께로 증착하여 음극을 형성함으로써 유기 발광 소자를 제조하였다(실시예 21 내지 65 및 비교예 5 내지 9).A light emitting layer was deposited thereon by thermal vacuum deposition as follows. The light emitting layer was deposited as a
한편, OLED 소자 제작에 필요한 모든 유기 화합물은 재료 별로 각각 10-8~10-6torr 하에서 진공 승화 정제하여 OLED 제작에 사용하였다.On the other hand, all organic compounds required for manufacturing OLED devices were vacuum sublimated and purified under10 -8 to 10-6 torr for each material and used for OLED manufacturing.
2) 유기 발광 소자의 구동 전압 및 발광 효율2) Driving voltage and luminous efficiency of organic light emitting device
상기와 같이 제작된 유기 발광 소자에 대하여 맥사이어스사의 M7000으로 전계 발광(EL)특성을 측정하였으며, 그 측정 결과를 가지고 맥사이언스사에서 제조된 수명장비측정장비(M6000)를 통해 기준 휘도가 6,000 cd/m2 일 때, T90을 측정하였다. 상기 T90은 초기 휘도 대비 90%가 되는 시간인 수명(단위: h, 시간)을 의미한다.The electroluminescence (EL) characteristics of the organic light emitting device manufactured as described above were measured with M7000 of McScience, and the reference luminance was 6,000 cd through the life instrumentation measuring device (M6000) manufactured by McScience with the measurement result. At /m2 , T90 was measured. The T90 means a lifetime (unit: h, time) that is 90% of the initial luminance.
본 발명의 유기 발광 소자의 특성은 하기 표 7과 같았다.The characteristics of the organic light emitting device of the present invention are shown in Table 7 below.
상기 표 7에서 알 수 있듯, 본 출원에 따른 화합물을 유기 발광 소자의 발광층으로 사용하는 경우, 그렇지 않은 경우에 비하여 수명, 효율, 및 구동전압의 특성에서 우수한 효과를 나타냄을 확인할 수 있었다.As can be seen from Table 7, when the compound according to the present application was used as the light emitting layer of the organic light emitting device, it was confirmed that it exhibited superior effects in the characteristics of lifespan, efficiency, and driving voltage compared to the case in which the compound according to the present application was not used.
즉, 본 출원에 따른 화합물을 유기 발광 소자의 발광층에 사용함으로써, 발광층과 정공 수송층 사이의 에너지 레벨 및 발광 파장을 보다 효과적으로 조율할 수 있는 것을 알 수 있었다.That is, it was found that by using the compound according to the present application in the emission layer of the organic light emitting device, the energy level and the emission wavelength between the emission layer and the hole transport layer can be more effectively tuned.
또한, 상기 표 7에서 알 수 있듯, 유기 발광 소자의 발광층이 n 타입 호스트 재료인 화합물 및 본 출원에 따른 화합물을 동시에 포함하는 경우 더 우수한 효율 및 수명 효과를 보임을 확인할 수 있었다.In addition, as can be seen from Table 7, it was confirmed that when the light emitting layer of the organic light emitting device includes the compound as the n-type host material and the compound according to the present application at the same time, better efficiency and lifespan effects are exhibited.
이 결과로부터 n 타입 호스트 재료인 화합물 및 p 타입 호스트 재료인 본 출원에 따른 화합물을 동시에 포함하는 경우 엑시플렉스(exciplex) 현상이 일어남을 예상할 수 있었다. 특히, n 타입 호스트 재료인 화합물 및 p 타입 호스트 재료를 동시에 사용한 경우에 발생하는 엑시플렉스(exciplex) 현상(이하, N+P 화합물의 엑시플렉스(exciplex) 현상이라고 함)은 두 분자간 전자 교환으로 도너(donor)인 p-host의 HOMO level 및 억셉터(acceptor)인 n-host의 LUMO level 크기의 에너지를 방출하는 것을 의미한다.From this result, it could be expected that an exciplex phenomenon would occur when the compound as the n-type host material and the compound according to the present application as the p-type host material were simultaneously included. In particular, an exciplex phenomenon (hereinafter referred to as an exciplex phenomenon of an N+P compound) that occurs when a compound that is an n-type host material and a p-type host material are used at the same time is an electron exchange between two molecules. It means emitting energy of the size of the HOMO level of the p-host, which is the (donor), and the LUMO level, of the n-host, the acceptor.
이러한 N+P 화합물의 엑시플렉스 (exciplex) 현상은 하기 도 5 내지 7에서 화합물 68과 n-Host A를 각각 사용한 경우보다, 상기 화합물 68 및 n-Host A를 동시에 사용한 경우의 광루미네선스(Photo Luminescence, PL) 결과가 장파장으로 이동하는 것을 통해 확인할 수 있었다.The exciplex phenomenon of the N + P compound is higher than the case of using the compound 68 and the n-Host A in FIGS. 5 to 7, respectively, the photoluminescence when the compound 68 and the n-Host A are used at the same time ( Photo Luminescence, PL) results were confirmed by shifting to a longer wavelength.
구체적으로, 하기 도 5 내지 7은 각각 화합물 68을 사용한 경우의 PL 결과, n-Host A를 사용한 경우의 PL 결과 및 상기 화합물 68 및 n-Host A를 동시에 사용한 경우의 PL결과를 의미한다.Specifically, the following FIGS. 5 to 7 show PL results when Compound 68 was used, PL results when n-Host A was used, and PL results when Compound 68 and n-Host A were used simultaneously.
마찬가지로, 하기 도 8 내지 10을 통해 화합물 4와 n-Host B를 각각 사용한 경우보다, 화합물 4 및 n-Host B를 동시에 사용한 경우가 상기 N+P 화합물의 엑시플렉스 (exciplex) 현상으로 인하여, 광루미네선스(Photo Luminescence, PL) 결과가 장파장으로 이동하는 것을 확인할 수 있었다.Similarly, the case of using compound 4 and n-Host B at the same time than the case of using compound 4 and n-Host B through FIGS. 8 to 10 below due to the exciplex phenomenon of the N + P compound, light It was confirmed that the luminescence (Photo Luminescence, PL) result shifted to a longer wavelength.
구체적으로, 하기 도 8 내지 10은 각각 화합물 4를 사용한 경우의 PL 결과, n-Host B를 사용한 경우의 PL 결과 및 상기 화합물 4 및 n-Host B를 동시에 사용한 경우의 PL결과를 의미한다.Specifically, the following FIGS. 8 to 10 show PL results when Compound 4 was used, PL results when n-Host B was used, and PL results when Compound 4 and n-Host B were used simultaneously.
즉, 하기 도 5 내지 10으로부터 정공 수송 능력이 좋은 donor(p-host)와 전자 수송 능력이 좋은 acceptor(n-host)가 발광층의 호스트로 사용될 경우 정공은 p-host로 주입되고, 전자는 n-host로 주입되기 때문에 구동 전압을 낮출 수 있고, 그로 인해 수명 향상에 도움을 줄 수 있음을 알 수 있었다.That is, from FIGS. 5 to 10, when a donor (p-host) having a good hole transport ability and an acceptor (n-host) having a good electron transport ability are used as hosts of the emission layer, holes are injected into the p-host, and the electrons are n Because it is injected into -host, it was found that the driving voltage can be lowered, thereby helping to improve the lifespan.
하기 도 5 내지 10에서 가로축은 파장을 의미하고, 세로축은 감도를 의미한다.5 to 10, the horizontal axis means wavelength, and the vertical axis means sensitivity.
<실험예 3><Experimental Example 3>
(1) 유기 발광 소자의 제작(1) Fabrication of an organic light emitting device
유기 발광 소자용 글래스(삼성-코닝사 제조)로부터 얻어진 투명전극 ITO 박막을 트리클로로에틸렌, 아세톤, 에탄올, 증류수를 순차적으로 사용하여 각 5분간 초음파 세척을 실시한 후, 이소프로판올에 넣어 보관한 후 사용하였다. 다음으로 진공 증착 장비의 기판 폴더에 ITO 기판을 설치하고, 진공 증착 장비 내의 셀에 하기 4,4',4"-트리스(N,N-(2-나프틸)-페닐아미노)트리페닐 아민 (4,4',4"-tris(N,N-(2-naphthyl)-phenylamino)triphenyl amine: 2-TNATA)을 넣었다.The transparent electrode ITO thin film obtained from glass for an organic light emitting device (manufactured by Samsung-Corning) was ultrasonically washed for 5 minutes each using trichloroethylene, acetone, ethanol, and distilled water sequentially, and then stored in isopropanol and used. Next, the ITO substrate is installed in the substrate folder of the vacuum deposition equipment, and the following 4,4',4"-tris(N,N-(2-naphthyl)-phenylamino)triphenylamine ( 4,4',4"-tris(N,N-(2-naphthyl)-phenylamino)triphenyl amine: 2-TNATA) was added.
이어서 챔버 내의 진공도가 10-6 torr에 도달할 때까지 배기시킨 후, 셀에 전류를 인가하여 2-TNATA를 증발시켜 ITO 기판 상에 600Å두께의 정공 주입층을 증착하였다. 진공 증착 장비 내의 다른 셀에 하기 N,N'-비스(α-나프틸)--N,N'-디페닐-4,4'-디아민(N,N'-bis(α-naphthyl)-N,N'-diphenyl-4,4'-diamine: NPB)을 넣고, 셀에 전류를 인가하여 증발시켜 상기 정공 주입층 위에 300Å두께의 정공 수송층을 증착하였다. 이후, 상기 정공 수송층 상부에 하기 표 8에 표시되어있는 화합물을 사용하여 50Å 두께의 정공 보조층을 형성하였다.Then, after evacuating the chamberuntil the vacuum degree reached 10 -6 torr, a current was applied to the cell to evaporate 2-TNATA, and a 600 Å-thick hole injection layer was deposited on the ITO substrate. The following N,N'-bis(α-naphthyl)--N,N'-diphenyl-4,4'-diamine (N,N'-bis(α-naphthyl)-N ,N'-diphenyl-4,4'-diamine: NPB) was added, and a current was applied to the cell to evaporate and deposit a hole transport layer with a thickness of 300 Å on the hole injection layer. Thereafter, a hole auxiliary layer having a thickness of 50 Å was formed on the hole transport layer using the compounds shown in Table 8 below.
그 위에 발광층으로서 다음과 같은 구조의 적색 발광 재료를 증착시켰다. 구체적으로, 진공 증착 장비 내의 한쪽 셀에 적색 호스트 재료인 CBP를 200Å의 두께로 진공 증착시키고, 적색 인광 도펀트는 (piq)2(Ir)(acac)를 3wt% 도핑하여 증착하였다.As a light emitting layer, a red light emitting material having the following structure was deposited thereon. Specifically, a red host material, CBP, was vacuum-deposited to a thickness of 200 Å in one cell in a vacuum deposition equipment, and a red phosphorescent dopant wasdeposited by doping 3 wt% of (piq) 2 (Ir)(acac).
이어서 그 위에 전자 수송층으로 Alq3를 200Å 두께로 증착하였다. 전자주입층으로 리튬 플루오라이드(lithium fluoride: LiF)를 10Å의 두께로 증착하였고 Al 음극을 1,000Å의 두께로 하여 유기 발광 소자를 제조하였다(비교예 10 내지 12 및 실시예 66 내지 85).Subsequently, Alq 3 was deposited to a thickness of 200 Å as an electron transport layer thereon. As an electron injection layer, lithium fluoride (LiF) was deposited to a thickness of 10 Å, and an Al cathode was formed to a thickness of 1,000 Å to prepare an organic light emitting device (Comparative Examples 10 to 12 and Examples 66 to 85).
한편, 유기 발광 소자 제조에 필요한 모든 유기 화합물은 재료 별로 각각 10-6~10-8 torr 하에서 진공 승화 정제하여 유기 발광 소자 제조에 사용하였다.Meanwhile, all organic compounds required for manufacturing the organic light emitting devicewere vacuum sublimated and purified under 10 −6 to 10−8 torr for each material, respectively, and used for manufacturing the organic light emitting device.
2) 유기 발광 소자의 구동 전압 및 발광 효율2) Driving voltage and luminous efficiency of organic light emitting device
상기와 같이 제조된 유기 발광 소자에 대하여 맥사이어스사의 M7000으로 전계 발광(EL)특성을 측정하였으며, 그 측정 결과를 가지고 맥사이언스사에서 제조된 수명장비측정장비(M6000)를 통해 기준 휘도가 6,000 cd/m2 일 때, T90을 측정하였다. 상기, T90은 초기 휘도 대비 90%가 되는 시간인 수명(단위: h, 시간)을 의미한다.The electroluminescence (EL) characteristics of the organic light-emitting device manufactured as described above were measured with M7000 of McScience, and the reference luminance of 6,000 cd was measured using the measurement result of the life equipment measuring device (M6000) manufactured by McScience. At /m2 , T90 was measured. Here, T90 denotes a lifetime (unit: h, time) that is 90% of the initial luminance.
측정된 본 발명의 유기 발광 소자의 특성은 하기 표 8과 같다.The measured characteristics of the organic light emitting device of the present invention are shown in Table 8 below.
상기 표 8로부터 정공보조층 형성시에 본 출원에 따른 화합물을 사용한 실시예 66 내지 85의 유기 발광 소자의 경우, 정공보조층 형성시에 본 출원에 따른 화합물을 사용하지 않은 비교예 10 내지 12의 유기 발광 소자보다 구동전압, 발광 효율 및 수명이 우수함을 확인할 수 있었다.From Table 8 above, in the case of the organic light emitting devices of Examples 66 to 85 using the compound according to the present application when forming the hole auxiliary layer, Comparative Examples 10 to 12 without using the compound according to the present application when forming the hole auxiliary layer It was confirmed that the driving voltage, luminous efficiency, and lifespan were superior to those of the organic light emitting diode.
이를 통해, 본 출원에 따른 화합물을 정공 보조층으로 사용할 경우 상기 정공 보조층이 전자 저지층과 같이 발광층에서 전자가 정공 수송층으로 넘어가지 못하게 하는 역할을 더 효과적으로 수행할 수 있고, 또한 발광층과 정공 수송층 사이의 에너지 레벨 및 발광 파장을 보다 효과적으로 조율하여 색순도가 개선되는 것을 알 수 있었다.Through this, when the compound according to the present application is used as a hole auxiliary layer, the hole auxiliary layer can more effectively perform a role of preventing electrons from passing from the light emitting layer to the hole transport layer like the electron blocking layer, and also the light emitting layer and the hole transport layer It was found that the color purity was improved by more effectively tuning the energy level and emission wavelength between the two.
100: 기판
200: 양극
300: 유기물층
301: 정공 주입층
302: 정공 수송층
303: 발광층
304: 정공 저지층
305: 전자 수송층
306: 전자 주입층
400: 음극100: substrate
200: positive electrode
300: organic layer
301: hole injection layer
302: hole transport layer
303: light emitting layer
304: hole blocking layer
305: electron transport layer
306: electron injection layer
400: cathode
| Application Number | Priority Date | Filing Date | Title |
|---|---|---|---|
| KR1020190176164AKR102399701B1 (en) | 2019-12-27 | 2019-12-27 | Heterocyclic compound, organic light emitting device comprising same and composition for organic layer of organic light emitting device |
| PCT/KR2020/018551WO2021132981A1 (en) | 2019-12-27 | 2020-12-17 | Heterocyclic compound, organic light-emitting device comprising same, and composition for organic material layer of organic light-emitting device |
| TW109145397ATWI853133B (en) | 2019-12-27 | 2020-12-22 | Heterocyclic compound, organic light emitting device comprising the same and composition for organic material layer of organic light emitting device |
| Application Number | Priority Date | Filing Date | Title |
|---|---|---|---|
| KR1020190176164AKR102399701B1 (en) | 2019-12-27 | 2019-12-27 | Heterocyclic compound, organic light emitting device comprising same and composition for organic layer of organic light emitting device |
| Publication Number | Publication Date |
|---|---|
| KR20210084734Atrue KR20210084734A (en) | 2021-07-08 |
| KR102399701B1 KR102399701B1 (en) | 2022-05-23 |
| Application Number | Title | Priority Date | Filing Date |
|---|---|---|---|
| KR1020190176164AActiveKR102399701B1 (en) | 2019-12-27 | 2019-12-27 | Heterocyclic compound, organic light emitting device comprising same and composition for organic layer of organic light emitting device |
| Country | Link |
|---|---|
| KR (1) | KR102399701B1 (en) |
| TW (1) | TWI853133B (en) |
| WO (1) | WO2021132981A1 (en) |
| Publication number | Priority date | Publication date | Assignee | Title |
|---|---|---|---|---|
| US4356429A (en) | 1980-07-17 | 1982-10-26 | Eastman Kodak Company | Organic electroluminescent cell |
| WO2009063780A1 (en)* | 2007-11-12 | 2009-05-22 | Mitsui Chemicals, Inc. | Organic transistor |
| JP2010043038A (en)* | 2008-08-18 | 2010-02-25 | Sumitomo Chemical Co Ltd | Ladder-type compound and organic semiconductor material |
| KR20150106505A (en)* | 2014-03-11 | 2015-09-22 | 삼성디스플레이 주식회사 | Condensed compound and organic light emitting diode comprising the same |
| KR20150144421A (en)* | 2014-06-16 | 2015-12-28 | 삼성디스플레이 주식회사 | Condensed compound and organic light emitting diode comprising the same |
| CN107915744A (en)* | 2017-08-21 | 2018-04-17 | 淮阴工学院 | It is a kind of using dithieno pyrroles as the organic hole transport material of core and its preparation and application |
| Publication number | Priority date | Publication date | Assignee | Title |
|---|---|---|---|---|
| CN110577548A (en)* | 2019-07-24 | 2019-12-17 | 南京理工大学 | Asymmetric fused heterocyclic small molecule electron acceptor materials based on dithienopyrrole and their applications |
| Publication number | Priority date | Publication date | Assignee | Title |
|---|---|---|---|---|
| US4356429A (en) | 1980-07-17 | 1982-10-26 | Eastman Kodak Company | Organic electroluminescent cell |
| WO2009063780A1 (en)* | 2007-11-12 | 2009-05-22 | Mitsui Chemicals, Inc. | Organic transistor |
| JP2010043038A (en)* | 2008-08-18 | 2010-02-25 | Sumitomo Chemical Co Ltd | Ladder-type compound and organic semiconductor material |
| KR20150106505A (en)* | 2014-03-11 | 2015-09-22 | 삼성디스플레이 주식회사 | Condensed compound and organic light emitting diode comprising the same |
| KR20150144421A (en)* | 2014-06-16 | 2015-12-28 | 삼성디스플레이 주식회사 | Condensed compound and organic light emitting diode comprising the same |
| CN107915744A (en)* | 2017-08-21 | 2018-04-17 | 淮阴工学院 | It is a kind of using dithieno pyrroles as the organic hole transport material of core and its preparation and application |
| Publication number | Publication date |
|---|---|
| WO2021132981A1 (en) | 2021-07-01 |
| KR102399701B1 (en) | 2022-05-23 |
| TW202132310A (en) | 2021-09-01 |
| TWI853133B (en) | 2024-08-21 |
| Publication | Publication Date | Title |
|---|---|---|
| JP7226817B2 (en) | Heterocyclic compound and organic light-emitting device using the same | |
| KR102267451B1 (en) | Heterocyclic compound and organic light emitting device comprising same | |
| KR102334762B1 (en) | Heterocyclic compound, organic light emitting device comprising same and composition for organic layer of organic light emitting device | |
| KR101693744B1 (en) | Hetero-cyclic compound and organic light emitting device using the same | |
| KR102589217B1 (en) | Hetero-cyclic compound and organic light emitting device using the same | |
| KR102414653B1 (en) | Heterocyclic compound and organic light emitting device comprising the same | |
| JP2023538282A (en) | Heterocyclic compounds and organic light-emitting devices containing them | |
| KR102319692B1 (en) | Heterocyclic compound, organic light emitting device comprising same and composition for organic layer of organic light emitting device | |
| KR102301533B1 (en) | Heterocyclic compound and organic light emitting device comprising same | |
| KR20230016901A (en) | Heterocyclic compound, organic light emitting device comprising the same, manufacturing method of the same and composition for organic layer of organic light emitting device | |
| KR102290366B1 (en) | Heterocyclic compound and organic light emitting device comprising same | |
| JP2023540892A (en) | Heterocyclic compounds and organic light-emitting devices containing them | |
| KR20210124914A (en) | Heterocyclic compound and organic light emitting device comprising same | |
| KR102291411B1 (en) | Heterocyclic compound and organic light emitting device comprising same | |
| KR102337571B1 (en) | Heterocyclic compound and organic light emitting device comprising the same | |
| JP7656943B2 (en) | Heterocyclic compound and organic light-emitting device including the same | |
| KR102374517B1 (en) | Heterocyclic compound and organic light emitting device comprising the same | |
| KR20220089629A (en) | Heterocyclic compound and organic light emitting device comprising same | |
| KR102286819B1 (en) | Heterocyclic compound and organic light emitting device comprising same | |
| KR102563303B1 (en) | Heterocyclic compound, organic light emitting device comprising the same, manufacturing method of the same and composition for organic layer of organic light emitting device | |
| KR102318675B1 (en) | Heterocyclic compound, organic light emitting device comprising same, composition for organic layer of organic light emitting device and manufacturing method of organic light emitting device | |
| KR102399701B1 (en) | Heterocyclic compound, organic light emitting device comprising same and composition for organic layer of organic light emitting device | |
| KR20220089255A (en) | Heterocyclic compound, organic light emitting device comprising the same | |
| KR102392679B1 (en) | Heterocyclic compound and organic light emitting device comprising the same | |
| KR102737390B1 (en) | Heterocyclic compound, organic light emitting device and composition for organic layer comprising the same |
| Date | Code | Title | Description |
|---|---|---|---|
| PA0109 | Patent application | Patent event code:PA01091R01D Comment text:Patent Application Patent event date:20191227 | |
| PA0201 | Request for examination | Patent event code:PA02012R01D Patent event date:20201030 Comment text:Request for Examination of Application Patent event code:PA02011R01I Patent event date:20191227 Comment text:Patent Application | |
| PG1501 | Laying open of application | ||
| E701 | Decision to grant or registration of patent right | ||
| PE0701 | Decision of registration | Patent event code:PE07011S01D Comment text:Decision to Grant Registration Patent event date:20220511 | |
| GRNT | Written decision to grant | ||
| PR0701 | Registration of establishment | Comment text:Registration of Establishment Patent event date:20220516 Patent event code:PR07011E01D | |
| PR1002 | Payment of registration fee | Payment date:20220517 End annual number:3 Start annual number:1 | |
| PG1601 | Publication of registration |