








본 발명은 공기, 물 또는 유체 내에 존재하는 초미세먼지, 초미세플라스틱 등의 초미세입자 또는 미세입자를 포집하는 기술에 관한 것으로서, 더욱 상세하게는, 공기, 물 등의 매질 내에서 초미세입자 또는 미세입자를 음파를 이용하여 응집한 후 포집하여 제거할 수 있도록 하는 미세입자 응집 제거 장치 및 방법에 관한 것이다.The present invention relates to a technology for collecting ultra-fine particles or fine particles such as ultra-fine dust and ultra-fine plastics present in air, water or fluid, and more specifically, ultra-fine particles or fine particles in a medium such as air, water, etc. The present invention relates to an apparatus and method for removing agglomeration of fine particles, which allows the particles to be collected and removed after agglomeration using sound waves.
일반적으로, 미세먼지는 자연적 요인보다는 화석 연료의 연소. 도로, 철로 등의 먼지 등에 의한 인위적 요인에 의해 주로 발생한다. 최근에는 0.1 μm 이하의 입자상 물질을 초미세먼지로 분류하여 별도로 관리하고 있으며, 이러한 미세 먼지가 기관지의 염증반응, 천식, 만성기관지염, 기도폐쇄를 일으키거나, 폐 조직에서 박테리아의 불활성화 또는 제거작용을 방해하여 호흡기계 감염을 일으키기도 하며, 심근경색, 뇌졸중, 심 박동수 이상, 급사 등 심혈관계질환의 중요한 위험요인으로도 작용하기도 하는 위험성 때문이다.In general, fine dust is a natural factor rather than the combustion of fossil fuels. It is mainly caused by artificial factors such as dust from roads and railroad tracks. Recently, particulate matter less than 0.1 μm is classified as ultrafine dust and managed separately, and such fine dust causes inflammatory reactions of the bronchi, asthma, chronic bronchitis, airway obstruction, or inactivation or removal of bacteria from lung tissue. This is due to the risk that it may interfere with the disease and cause respiratory infections, and also act as an important risk factor for cardiovascular diseases such as myocardial infarction, stroke, heart rate abnormality, and sudden death.
미세플라스틱은 치약, 세정제, 스크럽 등에 첨가되기 위해 플라스틱 가공 중에 5mm 미만의 크기로 제조되거나, 사용하고 버려진 플라스틱 제품들의 파괴 분쇄 과정에서 미립화되어 생성되며, 인간이 도달할 수 있는 가장 깊은 심해에서, 생수나 수돗물, 생선의 아가미나 비늘, 심해 플랑크톤 등에서 전세계적으로 모두 검출되고 있는 것으로 조사되었다. 이러한 미세플라스틱은 유해한 화학물질을 흡착하는 것에 의해 독성 물질을 옮기는 매개체가 될 수 있고, 해양생물이 섭취할 경우 장폐색이나 섭식 장애 등을 일으킬 수 있고, 인체에 누적되는 경우, 호르몬 교란, 면역체계 교란 등이 발생할 수 있다.Microplastics are produced in a size of less than 5mm during plastic processing to be added to toothpaste, detergents, scrubs, etc., or are produced by being atomized in the process of destroying and crushing used and discarded plastic products, and in the deepest water that humans can reach, bottled water It has been found to be detected in tap water, fish gills and scales, and deep-sea plankton all over the world. These microplastics can be a medium for transporting toxic substances by adsorbing harmful chemicals, and when ingested by marine organisms, they can cause intestinal obstruction or eating disorders, and when accumulated in the human body, hormonal disturbances and immune system disturbances Etc. may occur.
이에 따라, 미세먼지, 초미세먼지 및 미세플라스틱에 대한 피해를 줄이기 위해 국가적인 차원에서 여러 가지 노력이 이루어지고 있으나, 실외에서 유입되는 초미세먼지나 미세플라스틱을 차단하기 위해 개인이 손쉽게 실시할 수 있는 방안은 아직 미흡한 실정이다.Accordingly, various efforts are being made at the national level to reduce damage to fine dust, ultrafine dust, and microplastics, but individuals can easily do so to block the ultrafine dust or microplastics entering from the outdoors. The existing plan is still insufficient.
따라서 고가의 필터나 환경에 유해한 수 처리제 또는 인체에 유해할 수 있는 초음파 등을 사용함이 없이, 음용수 또는 생활용수 등에 포함되는 인체에 무해하면서도 효율적으로 미세먼지, 초미세먼지, 미세플라스틱 또는 초미세플라스틱을 효율적으로 제거할 수 있도록 하는 장치 및 방법의 개발이 요구된다.Therefore, without the use of expensive filters, water treatment agents that are harmful to the environment, or ultrasonic waves that may be harmful to the human body, it is harmless to the human body contained in drinking water or household water, but efficiently fine dust, ultra fine dust, fine plastic or ultra fine plastic. There is a need to develop an apparatus and a method that can efficiently remove the stool.
상술한 종래기술의 문제점을 해결하기 위하여 본원 발명의 일 실시예는, 유체(매질) 내부에 저주파음파를 발생시켜 유체 내부에 포함되는 미세먼지, 초미세먼지, 미세플라스틱 또는 초미세플라스틱 등의 미세입자 또는 초미세입자를 응집한 후 포집하여 제거할 수 있도록 하는 미세입자 응집 제거 장치 및 방법을 제공하는 것을 해결하고자 하는 과제로 한다.In order to solve the above-described problems of the prior art, an embodiment of the present invention generates a low-frequency sound wave inside a fluid (medium) to generate fine dust, ultrafine dust, fine plastic, or ultrafine plastic. It is an object to be solved to provide an apparatus and method for removing agglomeration of fine particles that can be collected and removed after agglomerating particles or ultrafine particles.
상술한 본 발명의 과제를 달성하기 위한 본 발명의 일 실시예는, 미세입자가 포함되는 유체의 이동 경로를 형성하는 응집채널부; 및 상기 응집채널부의 내부로 상기 미세입자 응집을 위한 저주파음파를 방출하는 저주파음파발생부;를 포함하고,An embodiment of the present invention for achieving the object of the present invention described above, a cohesive channel portion for forming a movement path of the fluid containing fine particles; And a low-frequency sound wave generator for emitting low-frequency sound waves for agglomeration of the fine particles into the agglomeration channel part,
상기 응집채널부는, 하부에 응집체배출유로가 형성된 응집챔버 및 상기 응집챔버의 내부 영역을 Y형 유로로 형성하는 Y유로형성부를 가지는 하나 이상의 단위 응집채널들로 구성되는 것을 특징으로 하는 미세 입자 포집 제거 장치를 제공한다.The agglomeration channel part is composed of one or more unit agglomeration channels having an agglomeration chamber in which an agglomerate discharge passage is formed at a lower portion and a Y-channel forming part forming an inner region of the agglomeration chamber as a Y-type flow path. Provide the device.
상기 응집챔버는 상부의 일 측은 유체 유입구로 형성되고, 상기 유체 유입구의 타 측은 유체 배출구로 형성되며, 하부에 상기 응집체배출유로가 형성되고 상부는 상기 Y유로형성부가 덮인 호퍼 구조를 가지는 것을 특징으로 한다.The agglomeration chamber has a hopper structure in which one side of the upper portion is formed as a fluid inlet, the other side of the fluid inlet port is formed as a fluid outlet, the aggregate discharge passage is formed in the lower portion, and the upper portion has a hopper structure covered with the Y-channel forming part. do.
상기 Y유로형성부는, 상기 응집챔버들 각각의 내부에 Y형 유로의 형성을 위해 하단부가 상기 응집챔버의 내측에서 하 방향으로 돌출되는 주기적인 T형 단면 구조를 가지도록 구성되는 것을 특징으로 한다.The Y-channel forming unit is characterized in that the lower end portion has a periodic T-shaped cross-sectional structure protruding downward from the inner side of the coagulation chamber for the formation of a Y-shaped flow channel in each of the coagulation chambers.
상기 저주파음파발생부는, 상기 응집채널부에서 서로 대향하도록 하나 이상의 쌍으로 설치되는 엑추에이터들을 포함하여 구성되는 것을 특징으로 한다.The low-frequency sound wave generator is characterized in that it is configured to include actuators installed in one or more pairs to face each other in the cohesive channel portion.
상기 엑추에이터들은, 상기 응집챔버의 상기 Y유로형성부의 T형 단면의 하단부의 하부의 위치에서 서로 대향하도록 설치되는 것을 특징으로 한다.The actuators are installed to face each other at a lower position of the lower end of the T-shaped cross section of the Y-channel forming part of the coagulation chamber.
상기 미세입자 응집 제거 장치는, 상기 응집채널부로 유입되는 가스 또는 액체로 구성되는 유체를 측정하여 미세입자측정데이터를 생성하여 출력하는 미세입자측정부;를 더 포함하여 구성되는 것을 특징으로 한다.The apparatus for removing agglomeration of fine particles may further include a fine particle measuring unit configured to generate and output fine particle measurement data by measuring a fluid composed of a gas or liquid flowing into the agglomeration channel unit.
상기 미세입자 응집 제거 장치는, 상기 미세입자 측정데이터에 대응하여 미세입자 응집을 위한 주파수 및 음압을 가지는 저주파음원을 생성하여 상기 저주파음파발생부로 출력하는 제어부;를 더 포함하여 구성되는 것을 특징으로 한다.The apparatus for removing agglomeration of fine particles may further include a control unit for generating a low-frequency sound source having a frequency and a sound pressure for agglomeration of fine particles in response to the measurement data of the fine particles, and outputting it to the low-frequency sound wave generator. .
상기 제어부는, 미세입자 응집을 위한 미세입자 오염도별 주파수 및 음압 데이터를 저장하는 저장부;를 포함하여 구성되는 것을 특징으로 한다.The control unit is characterized in that it comprises a; storage unit for storing the frequency and sound pressure data according to the degree of contamination of fine particles for agglomeration of fine particles.
상기 주파수는, 20㎐ 내지 20㎑ 범위인 것을 특징으로 한다.The frequency is characterized in that the range of 20 Hz to 20 kHz.
상기 음압은, 0㏈ 내지 100㏈ 범위인 것을 특징으로 한다.The sound pressure is characterized in that it is in the range of 0 dB to 100 dB.
상기 미세입자 응집 제거 장치는, 상기 응집채널부 내부의 저주파음파의 주파수 및 음압을 검출한 후, 상기 제어부로 전송하는 측정센서부; 및 상기 응집채널부에서 배출되는 유체에 포함된 잔류미세입자를 측정하여 상기 제어부로 전송하는 잔류미세입자 측정부;를 더 포함하고, 상기 제어부는 응집채널부 내부의 저주파음파의 주파수 및 음압과 상기 잔류미세입자 측정 정보를 수신하여 저주파음원의 주파수 및 음압을 가변하여 출력하는 저주파음원 피드백 제어 조정을 수행하도록 구성되는 것을 특징으로 한다.The apparatus for removing agglomeration of fine particles includes: a measurement sensor unit that detects a frequency and a sound pressure of a low-frequency sound wave inside the agglomeration channel unit and transmits it to the control unit; And a residual fine particle measuring unit for measuring residual fine particles contained in the fluid discharged from the agglomerated channel unit and transmitting it to the control unit, wherein the control unit includes a frequency and sound pressure of a low-frequency sound wave inside the agglomerated channel unit and the It is characterized in that it is configured to perform a low-frequency sound source feedback control adjustment for receiving the residual fine particle measurement information and outputting by varying the frequency and sound pressure of the low-frequency sound source.
상기 미세입자 응집 제거 장치는, 상기 제어부에서 출력된 상기 저주파음원을 상기 저주파음파발생부로 입력되기 이전에 입력 받아 증폭하여 출력하는 음원증폭부;를 더 포함하여 구성되는 것을 특징으로 한다.The apparatus for removing aggregation of fine particles may further include a sound source amplifying unit that receives and amplifies the low-frequency sound source output from the control unit before being input to the low-frequency sound wave generator, and outputs the amplified sound source.
상기 미세입자 응집 제거 장치는, 상기 저주파음파발생부를 통해 상기 응집채널부 내부로 출력된 저주파음파에 의한 진동 충돌에 의해 응집된 미세입자 응집체를 포집하는 포집부;를 더 포함하여 구성되는 것을 특징으로 한다.The apparatus for removing agglomeration of fine particles may further include a collecting unit configured to collect fine particle aggregates agglomerated by vibrational collision caused by a low-frequency sound wave output into the agglomeration channel unit through the low-frequency sound wave generator. do.
상술한 본 발명의 과제를 달성하기 위한 본 발명의 다른 실시예는, 미세입자측정부를 이용하여 정화대상 유체 내부의 미세입자측정데이터를 생성하여 제어부로 출력하는 초기 미세입자 측정단계; 상기 제어부가 상기 미세입자측정데이터에 따라, 저장부에 저장된 미세입자 응집을 위한 저주파음원의 주파수 및 음압을 추출하여 저주파음원을 생성하여 출력하는 음원생성단계; 저주파음파발생부가 상기 저주파음원에 대응하는 저주파음파를 상기 응집채버의 내부로 출력하여 미세입자를 응집시키는 미세입자 응집단계; 및 포집부를 이용하여 응집된 미세 입자응집체를 제거하는 응집된 미세입자 포집단계;를 포함하여 구성되는 것을 특징으로 하는 유체 내 미세입자 포집 제거 방법을 제공한다.Another embodiment of the present invention for achieving the object of the present invention described above is an initial fine particle measuring step of generating fine particle measurement data inside a fluid to be purified using a fine particle measuring unit and outputting it to a control unit; A sound source generation step of generating and outputting a low frequency sound source by extracting a frequency and sound pressure of a low frequency sound source for aggregation of fine particles stored in a storage unit, by the control unit according to the fine particle measurement data; A fine particle aggregation step of aggregating the fine particles by outputting a low-frequency sound wave corresponding to the low-frequency sound source by a low-frequency sound wave generator to the inside of the agglutinating chamber; And an agglomerated fine particle collecting step of removing the agglomerated fine particle agglomerates using the collecting unit.
상기 음원생성단계는, 20㎐ 내지 20㎑ 범위의 주파수를 가지도록 상기 저주파음원을 생성하는 단계인 것을 특징으로 한다.The sound source generation step is characterized in that it is a step of generating the low-frequency sound source so as to have a frequency in the range of 20 Hz to 20 kHz.
상기 음원생성단계는, 0㏈ 내지 100㏈ 범위의 음압을 가지도록 상기 저주파음원을 생성하는 단계인 것을 특징으로 한다.The sound source generation step is characterized in that it is a step of generating the low-frequency sound source so as to have a sound pressure in the range of 0 dB to 100 dB.
상기 미세입자 응집단계는, 서로 대향하도록 상기 응집채널부의 응집챔버들에 설치되는 하나 이상의 엑추에이터 쌍들을 통해 상기 저주파음파를 출력하는 단계인 것을 특징으로 한다.The fine particle agglomeration step is characterized in that the step of outputting the low-frequency sound waves through one or more pairs of actuators installed in the agglomeration chambers of the agglomeration channel portion to face each other.
상기 미세입자 응집단계는, 상기 응집챔버의 Y유로형성부의 T형 단면의 하단부의 하부의 위치에서 서로 대향하며 상기 저주파음파를 출력하는 단계인 것을 특징으로 한다.The microparticle agglomeration step is characterized in that the step of outputting the low-frequency sound waves facing each other at a position under the lower end of the T-shaped section of the Y-channel forming part of the agglomeration chamber.
상기 유체 내 미세입자 포집 제거 방법은, 상기 음원생성단계 이후, 음원증폭부가 상기 제어부에서 출력되는 상기 저주파음원을 수신하여 증폭한 후, 상기 저주파음파발생부로 출력하는 음원증폭단계;를 더 포함하여 구성되는 것을 특징으로 한다.The method of collecting and removing fine particles in the fluid may further include a sound source amplifying step of receiving and amplifying the low-frequency sound source output from the control unit after the sound source generating step, and outputting it to the low-frequency sound wave generating unit. It is characterized by being.
상기 유체 내 미세입자 포집 제거 방법은, 저주파음원에 대한 피드백 제어를 위해 상기 응집챔버들 내부의 저주파음파의 주파수와 음압 또는 배출되는 유체 내부의 잔류 미세입자를 측정하여 생성된 피드백 제어 데이터를 상기 제어부로 출력하는 피드백 제어 데이터 측정단계; 상기 제어부가 상기 수신된 피드백 제어 데이터를 이용하여 미세입자 제거 목표의 달성 여부를 판단하는 미세입자 제거 효율 달성 판단 단계; 및 상기 미세입자 제거 효율 달성 판단 단계의 판단 결과 미세입자 제거 목표 효율이 달성되지 않은 경우, 응집효율을 높이도록 저주파음원의 주파수와 음압을 조절하여 저주파음원을 재생성하여 출력하는 저주파음원 피드백 조정 단계;를 더 포함하여 구성되는 것을 특징으로 한다.The method of collecting and removing fine particles in the fluid includes feedback control data generated by measuring the frequency and sound pressure of the low-frequency sound waves inside the coagulation chambers or the residual fine particles in the discharged fluid for feedback control of the low-frequency sound source. A step of measuring feedback control data outputted to the output; Determining, by the control unit, whether or not a target for removing fine particles has been achieved using the received feedback control data; And a low-frequency sound source feedback adjustment step of regenerating and outputting a low-frequency sound source by adjusting a frequency and a sound pressure of the low-frequency sound source to increase aggregation efficiency when the target efficiency of fine-particle removal is not achieved as a result of the determination in the determination of achieving the fine particle removal efficiency. It characterized in that it is configured to further include.
상기 미세입자 제거 효율 달성 판단 단계의 판단 결과 미세입자 제거 목표 효율이 달성된 경우, 미세입자 제거 작업이 종료되지 않은 경우 미세입자 응집단계로 복귀하여 처리과정을 반복 수행하고, 미세입자 제거 작업이 종료된 경우 저리과정을 종료하는 미세입자 제거 작업 종료 판단단계;를 더 포함하여 것을 특징으로 한다.When the target efficiency of fine particle removal is achieved as a result of the determination of the determination of achieving the fine particle removal efficiency, if the fine particle removal operation is not finished, the process returns to the fine particle agglomeration step and the processing is repeated, and the fine particle removal operation is terminated. If so, it characterized in that it further comprises a; fine particle removal operation end determination step of terminating the process.
상술한 본 발명의 일 실시예의 미세입자 응집 제거 장치 및 방법은, 고가의 필터, 환경에 유해한 수 처리제를 사용함이 없이, 공기 또는 유체 등의 매칠 내의 초미세먼지, 초미세플라스틱, 미세먼지 또는 미세플라스틱 등의 미세입자를 저비용으로 효과적으로 제거할 수 있도록 하는 효과를 제공한다.The apparatus and method for removing agglomeration of fine particles according to an embodiment of the present invention described above include ultrafine dust, ultrafine plastic, fine dust or fine particles in a matched layer such as air or fluid without using an expensive filter or a water treatment agent harmful to the environment. It provides an effect of effectively removing fine particles such as plastics at low cost.
또한, 상술한 본 발명의 일 실시예의 미세입자 응집 제거 장치 및 방법은 미세입자 제거를 위해 환경에 유해한 수 처리제 등의 유해물질을 사용하지 않도록 함으로써, 미세입자 제거 시 환경 및 인체에 악영향을 주지 않으면서 용이하게 미세입자를 제거할 수 있도록 하는 효과를 제공한다.In addition, the apparatus and method for removing agglomeration of fine particles according to an embodiment of the present invention described above do not use harmful substances such as water treatment agents that are harmful to the environment to remove fine particles, so that when removing fine particles, the environment and the human body are not adversely affected. It provides an effect to easily remove fine particles.
도 1은 본 발명의 일 실시예의 미세입자 응집을 위한 미세입자 응집 제거 장치(100)의 기능 블록도.
도 2는 도 1의 단위 응집채널부(161)의 상세 구성을 나타내는 도면.
도 3은 본 발명의 일 실시예의 미세입자 응집을 위한 저주파음원에 대응하여 출력된 저주파음파에 의해 미세 입자가 응집되는 메커니즘을 나타내는 도면.
도 4는 본 발명의 일 실시예의 서로 대향하는 엑추에이터(140a, 140b)를 갖는 다중 엑추에이터로 구성된 저주파음파발생부(140)의 개략적인 설치 상태도.
도 5는 본 발명의 일 실시예의 미세입자 응집을 위한 저주파음원을 서로 쌍을 이루는 엑추에이터 쌍들을 포함하는 다중 엑추에이터로 구성되는 저주파음파발생부를 통해 생성된 저주파음파의 중첩을 나타내는 도면.
도 6은 본 발명의 일 실시예의 미세입자 응집을 위한 서로 대향하는 엑추에이터 쌍으로 구성되는 엑추에이터부에서 출력된 진동에 의한 음파의 강도와 단일 엑추에이터에서 출력된 진동에 의한 음파의 강도 차이를 나타내는 그래프.
도 7은 본 발명의 일실시예에 따른 음파 발생부인 엑추에이터(140a, 140b)의 이격 간격(d)에 따른 음압 분포를 나타내는 도면.
도 8은 저주파음원을 재생하지 않은 경우와, 저주파음원을 주파수와 음압을 가변하여 출력한 경우들에서의 미세먼지 농도 측정 값을 나타내는 그래프.
도 9는 본 발명의 일 실시예의 유체 내 미세입자 포집 제거 방법의 처리과정을 나타내는 순서도.1 is a functional block diagram of a microparticle
2 is a view showing a detailed configuration of the unit
3 is a view showing a mechanism in which fine particles are agglomerated by a low-frequency sound wave output in response to a low-frequency sound source for fine particle aggregation according to an embodiment of the present invention.
Figure 4 is a schematic installation state diagram of a low-frequency
5 is a view showing the superposition of low-frequency sound waves generated through a low-frequency sound wave generator composed of multiple actuators including actuator pairs forming a pair of a low-frequency sound source for fine particle aggregation according to an embodiment of the present invention.
6 is a graph showing the difference in intensity of sound waves due to vibrations output from an actuator unit consisting of pairs of actuators facing each other for fine particle aggregation according to an embodiment of the present invention and the intensity of sound waves due to vibrations output from a single actuator.
7 is a view showing the sound pressure distribution according to the separation distance (d) of the actuators (140a, 140b), which are sound wave generators according to an embodiment of the present invention.
8 is a graph showing the measurement value of fine dust concentration in the case where the low-frequency sound source is not reproduced and the low-frequency sound source is output by varying the frequency and sound pressure.
9 is a flow chart showing a processing process of a method for collecting and removing fine particles in a fluid according to an embodiment of the present invention.
이하에서는 첨부한 도면을 참고하여 본 발명을 설명하기로 한다. 그러나 본 발명은 여러 가지 상이한 형태로 구현될 수 있으며, 따라서 여기에서 설명하는 실시예로 한정되는 것은 아니다. 그리고 도면에서 본 발명을 명확하게 설명하기 위해서 설명과 관계없는 부분은 생략하였으며, 명세서 전체를 통하여 유사한 부분에 대해서는 유사한 도면 부호를 붙였다.Hereinafter, the present invention will be described with reference to the accompanying drawings. However, the present invention may be implemented in various different forms, and therefore is not limited to the embodiments described herein. In the drawings, parts irrelevant to the description are omitted in order to clearly describe the present invention, and similar reference numerals are assigned to similar parts throughout the specification.
명세서 전체에서, 어떤 부분이 다른 부분과 "연결(접속, 접촉, 결합)"되어 있다고 할 때, 이는 "직접적으로 연결"되어 있는 경우뿐 아니라, 그 중간에 다른 부재를 사이에 두고 "간접적으로 연결"되어 있는 경우도 포함한다. 또한 어떤 부분이 어떤 구성요소를 "포함"한다고 할 때, 이는 특별히 반대되는 기재가 없는 한 다른 구성요소를 제외하는 것이 아니라 다른 구성요소를 더 구비할 수 있다는 것을 의미한다.Throughout the specification, when a part is said to be "connected (connected, contacted, bonded)" with another part, it is not only "directly connected", but also "indirectly connected" with another member in the middle. "Including the case. In addition, when a part "includes" a certain component, it means that other components may be further provided, rather than excluding other components unless specifically stated to the contrary.
본 명세서에서 사용한 용어는 단지 특정한 실시예를 설명하기 위해 사용된 것으로, 본 발명을 한정하려는 의도가 아니다. 단수의 표현은 문맥상 명백하게 다르게 뜻하지 않는 한, 복수의 표현을 포함한다. 본 명세서에서, "포함하다" 또는 "가지다" 등의 용어는 명세서상에 기재된 특징, 숫자, 단계, 동작, 구성요소, 부품 또는 이들을 조합한 것이 존재함을 지정하려는 것이지, 하나 또는 그 이상의 다른 특징들이나 숫자, 단계, 동작, 구성요소, 부품 또는 이들을 조합한 것들의 존재 또는 부가 가능성을 미리 배제하지 않는 것으로 이해되어야 한다.The terms used in the present specification are only used to describe specific embodiments, and are not intended to limit the present invention. Singular expressions include plural expressions unless the context clearly indicates otherwise. In this specification, terms such as "comprise" or "have" are intended to designate the presence of features, numbers, steps, actions, components, parts, or a combination thereof described in the specification, but one or more other features. It is to be understood that the presence or addition of elements or numbers, steps, actions, components, parts, or combinations thereof, does not preclude in advance.
이하 첨부된 도면을 참고하여 본 발명의 실시예를 상세히 설명하기로 한다.Hereinafter, embodiments of the present invention will be described in detail with reference to the accompanying drawings.
도 1은 본 발명의 일 실시예의 미세입자 응집을 위한 미세입자 응집 제거 장치(100)의 기능 블록도이고, 도 2는 도 1의 단위 응집채널부(161)의 상세 구성을 나타내는 도면이다..FIG. 1 is a functional block diagram of an
도 1 및 도 2와 같이, 상기 미세입자 응집 제거 장치(100)는, 정화 영역 내의 미세입자의 농도, 크기와 온도, 습도 등의 미세입자 측정 데이터를 생성하여 출력하는 미세입자측정부(110), 상기 미세입자측정부(110)에서 측정된 미세입자 측정 데이터를 기초로 하여, 미세입자 응집을 위한 저주파음원을 생성하여 출력하는 제어부(120), 상기 제어부(120)에서 출력되는 저주파음원을 증폭하여 출력하는 음원증폭부(130), 상기 미세입자 응집을 위한 저주파음원을 저주파음파로 출력하는 저주파음파발생부(140), 상기 저주파음파발생부(140)와 측정센서(151)들을 포함하는 측정센서부(150)가 장착되고 내부로 미세 입자를 포함하는 가스 또는 액체 등의 유체가 지나면서 출력된 저주파음파의 진동에 의해 미세입자가 응집되어 제거되는 단위 응집채널(161)들이 서로 연통하는 유로를 형성하며 배치되어 형성된 응집채널부(160), 상기 응집채널부(160)에서 배출되는 유체 내의 잔류미세입자를 측정하여 상기 제어부(120)로 출력하는 잔류미세입자측정부(170) 및 상기 응집채널부(160)에서 배출되는 응집된 미세입자 응집체(167)를 포집하는 포집부(200)를 포함하여 구성될 수 있다.As shown in Figs. 1 and 2, the microparticle
상기 미세입자측정부(110)는 미세입자를 응집하여 제거할 응집채널부(160)로 유입되는 가스 또는 액체 등의 유체(매질)에 포함되는 미세입자들의 개수, 크기, 농도, 체적, 온도 등을 측정한 후 미세입자측정데이터로 상기 제어부(120)로 출력하도록 구성된다.The fine
상기 제어부(120)는 상기 미세입자측정부(110)에서 출력된 개수, 크기, 농도, 체적, 온도 등을 포함하는 미세입자 측정 데이터를 수신한 후, 미세입자 응집을 위한 주파수 및 음압을 가지는 저주파음원을 생성하여 출력하도록 구성된다.After receiving the microparticle measurement data including the number, size, concentration, volume, temperature, etc. output from the
상기 제어부(120)는 상기 저주파음원의 생성을 위해, 미세입자의 개수, 크기, 농도, 체적, 온도 등의 미세입자 측정 데이터별로 저주파음원의 주파수 및 음압 정보 및 저주파음원 변환을 위한 함수들을 포함하는 프로그램 정보 등을 저장하는 저장부(121)를 포함하여 구성될 수 있다.In order to generate the low-frequency sound source, the control unit 120 includes frequency and sound pressure information of the low-frequency sound source and functions for converting the low-frequency sound source for each fine particle measurement data such as the number, size, concentration, volume, and temperature of the fine particles. It may be configured to include a storage unit 121 for storing program information and the like.
이때, 상기 저주파음원의 주파수는 가청주파수 내에서 인체에 무해하도록 20㎐ 내지 20㎑ 범위 이고, 음압은 0㏈ 내지 100㏈일 수 있다.At this time, the frequency of the low-frequency sound source may be in the range of 20㎐ to 20㎑ so as to be harmless to the human body within the audible frequency, and the sound pressure may be 0㏈ to 100㏈.
또한, 상기 제어부(120)는 상기 측정센서부(150)로부터 입력된 응집채널(161) 내부의 저주파음파 측정데이터 및 잔류미세입자 측정부(170)에서 전송된 잔류 미세입자 측정 데이터를 수신한 후, 미세입자 응집 효율을 높이기 위해 저주파음원의 주파수 및 음압을 가변하는 저주파음원 피드백 제어를 수행하도록 구성될 수 있다.In addition, the control unit 120 after receiving the measurement data of the low-frequency acoustic wave inside the
상기 음원증폭부(130)는 상기 저주파음원을 증폭하는 증폭소자들을 포함하여 구성되어, 필요한 경우, 상기 제어부(120)에서 출력되는 저주파음원을 증폭하여 출력한다.The sound
상기 저주파음파발생부(140)는 상기 제어부(120)에서 출력되는 상기 저주파음원을 재생하여 응집채널부(160)들을 구성하는 단위 응집채널(161)들의 내부로 저주파음파를 발생시켜 응집채널 내를 흐르는 유체를 저주파음파의 주파수에 대응하여 진동시킨다. 이를 위해, 상기 저주파음파발생부(140)는 상기 단위응집채널(161)들 별로 설치되는 하나 이상의 엑추에이터(140a, 140b)들을 포함하여 구성된다. 또한, 상기 엑추에이터(140a, 140b)들은 상기 저주파음원에 대응하여 출력된 저주파음파를 중첩시킴으로써, 상기 미세입자의 충돌력 및 충돌 빈도를 높여 응집 효율을 높이기 위해, 상기 단위 응집채널(161)에서 서로 대향하도록 쌍을 이루며 설치될 수 있다. 그리고 상기 단위 응집채널(161)의 면적 또는 체적에 따라 엑추에이터 쌍들의 수가 증가될 수 있다.The low-frequency
상기 측정센서부(150)는 상기 응집채널부(160) 내부에서 발생된 저주파음파의 주파수 및 음압과 상기 응집채널부(160)의 내부를 흐르는 유체의 진동속도를 측정하여 상기 제어부(120)로 출력하도록 구성된다. 따라서 상기 측정센서(151)들은 주파수 측정을 위한 음파 측정기, 음압 측정을 위한 db 측정기, 매질 진동 속도 측정을 위한 속도계 등을 포함하여 구성될 수 있다.The
상기 응집채널부(160)는 도 1 및 도 2와 같이, 도 2와 같이, 상부의 일 측은 유체 유입구(162a)로 형성되고, 타 측은 유체 배출구(162b)로 형성되며, 하부에 응집체배출유로(163)가 형성된 호퍼 구조의 응집챔버(162)와 상기 응집챔버(162)의 내부 영역이 Y형 유로를 형성하도록 주기적인 T형 단면 구조를 가지고 상기 응집챔버(162)의 상부를 덮도록 배치되는 Y유로형성부(165)를 포함하여 구성되는 하나 이상의 단위 응집채널(161)을 포함하여 구성된다.As shown in FIGS. 1 and 2, the
그리고 상기 저주파음파발생부(140)를 구성하는 엑추에이터(140a, 140b)들은 응집챔버(162)의 내부로 저주파음파를 출력하도록 응집챔버(162)의 외측에 서로 대향하도록 설치된다. 또한, 서로 대향하며 설치되는 상기 한 쌍의 엑추에이터(140a, 140b)들은 응집챔버(162) 내부로 출력되는 저주파음파가 상기 Y유로형성부(165)에 의해 간섭받지 않도록 상기 Y유로형성부(165)의 T형 단면의 하단에 위치되도록 설치되어 미세입자의 응집 효율을 향상시킴은 응집된 미세입자응집체(167)가 응집체배출유로(163)와 인접한 응집챔버(162)의 하부에서 형성되는 것에 의해 배출을 용이하게 한다.And the actuators (140a, 140b) constituting the low-frequency
상기 단위 응집채널(161)은 하나만 구성되어 상기 응집채널부(160)를 형성하거나, 도 1과 같이, 직렬 유로를 형성하도록 서로 연결되어 설치될 수도 있다.Only one
상기 잔류미세입자측정부(170)는 응집채널부(160)에서 배출되는 유체 내의 잔류미세입자를 측정하여 미세입자 응집을 위한 피드백 제어를 수행하기 위해, 상기 응집채널부(160)의 유체 배출로에 설치되는 잔류미세입자측정기(171)를 포함하여, 상기 응집채널부(160)에서 배출되는 유체 내에 포함되는 미세입자의 크기, 농도, 개수 등을 포함하는 잔류미세입자 측정 데이터를 생성하여 상기 제어부(120)로 출력하도록 구성된다.The residual fine particle measurement unit 170 measures the residual fine particles in the fluid discharged from the
상기 포집부(200)는 헤파 필터, 정전필터 등의 여과 필터에 의한 여과 또는 사이클로트론에 의한 분리 등의 여과를 수행하여 미세입자 응집체를 포집하는 정화장치들로 구성될 수 있다.The collecting
상술한 구성을 가지는 상기 미세입자 응집 제거 장치(100)는 공기, 음용수 또는 생활용수 등의 유체 내의 미세플라스틱 등의 미세입자를 포집하여 제거하도록 설치될 수 있다. 즉, 본원 발명의 일 실시예의 미세입자 응집 제거 장치(100)는 유체 또는 공기 중에 적용되어 유체 또는 공기 중의 미세입자를 모두 응집하여 포집할 수 있게 된다.The fine particle
도 3은 본 발명의 일 실시예의 미세입자 응집을 위한 저주파음원에 대응하여 출력된 저주파음파에 의해 미세 입자가 응집되는 매커니즘을 나타내는 도면으로서, 도 3의 (a)는 저주파 음파에 의한 매질의 진동에 의해 미세입자(p1, p2)들이 충돌에 의해 응집하는 것을 나타내며, 도 3의 (b)는 매질(유체)과 미세입자(p1, p2)들의 저주파음파 진동에 의한 진동의 파형을 나타낸다.3 is a diagram showing a mechanism by which fine particles are aggregated by a low-frequency sound wave output in response to a low-frequency sound source for fine particle aggregation according to an embodiment of the present invention, and FIG. 3(a) is a vibration of a medium by a low-frequency sound wave This indicates that the microparticles p1 and p2 aggregate by collision, and FIG. 3B shows a waveform of vibration due to low-frequency acoustic vibration of the medium (fluid) and microparticles p1 and p2.
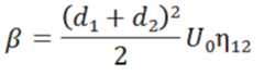
도 3에서 U0는 저주파음파의 진동 속도(the velocity amplitude of sound wave), el은 유효 응집거리(effective agglomeration length), y는 미세 입자의 진동 속도 함수, d는 미세입자의 크기, y`는 매질의 진동 속도 함수, φ(=ωt±α)는 미세 입자의 진동 속도와 매질 속도의 위상차, ω 저주파 음파의 각속도, α는 저주파음파의 초기 위상, τ(τ1, τ2)는 두 미세 입자들의 충돌까지의 시간인 미세입자들의 완화시간(particle relaxation time), η는 미세입자들의 상대적인 동반시간(the relative entrainment between the two particles), 첨자 1은 작은 미세입자 및 관련 변수들을, 첨자 2는 큰 미세입자 및 관련 변수들을 나타낸다.In Figure 3, U0 is the velocity amplitude of sound wave, el is the effective agglomeration length, y is a function of the vibration velocity of the fine particles, d is the size of the fine particles, and y` is The vibration velocity function of the medium, φ(=ωt±α) is the phase difference between the vibration velocity and the medium velocity of the fine particles, ω the angular velocity of the low-frequency sound wave, α is the initial phase of the low-frequency sound wave, and τ(τ1 , τ2 ) is the two fine particles. Particle relaxation time, which is the time until collision of particles, η is the relative entrainment between the two particles,
본 발명에 적용되는 미세입자 응집을 위한 파동간섭에 의한 매질 내 초미세입자의 응집거동은 Ortho-kinetic collision mechanism을 기반으로 매질 내 입자 간 이동속도 차이에 의한 충돌로 응집되는 현상이다.The aggregation behavior of ultrafine particles in a medium due to wave interference for aggregation of fine particles applied to the present invention is a phenomenon of agglomeration due to collision due to a difference in moving speed between particles in the medium based on an ortho-kinetic collision mechanism.
가청 주파수(Acoustic Wave, Hz) 및 임의의 SPL(Sound Pressure Level, dB) 조건으로 초미세입자의 응집 거동을 개발하여, 1㎛이하의 초미세입자가 수 Hz 및 수 dB 조건에서 짧은 시간 내에 10㎛이상으로 조대화 되는 응집 거동을 확인하였다.By developing the agglomeration behavior of ultrafine particles under an audible frequency (Acoustic Wave, Hz) and arbitrary SPL (Sound Pressure Level, dB) conditions, ultra-fine particles less than 1㎛ can exceed 10㎛ within a short time under several Hz and several dB conditions. The coarsening behavior was confirmed.
도 3을 참조하면, 본 발명의 일 따른 멀티 미세입자 포집 제거 시스템 (100)의 응집기술은 Orthokinetic Collision 거동을 응용한 것으로, 공기 등의 매질 내에서 미세입자가 음파에 의하여 충돌되고 반데르발스힘(van der Waals force)에 의한 표면 인력으로 응집화되는 거동이다.Referring to FIG. 3, the aggregation technology of the multi-fine particle collection and
이때, 음파에 의한 유체(매질) 내 미세입자 응집효율(β)은 미세입자크기(d), 저주파음파의 진동 속도(U0), 두 미세 입자들의 충돌까지의 시간인 미세입자들의 완화시간(τ), 미세입자들의 상대적인 동반시간(η)의 변수로 하여 제어가 가능하며, 하기 [수학식 1]을 응집효율(β)을 산출하는 식이고, [수학식 2]는 상대적인 동반 시간(η)을 산출하는 식이다.At this time, the microparticle aggregation efficiency (β) in the fluid (medium) by the sound wave is the microparticle size (d), the vibration speed of the low-frequency sound wave (U0 ), and the relaxation time of the microparticles ( τ), the relative companion time (η) of fine particles can be controlled, and the following [Equation 1] is an equation for calculating the aggregation efficiency (β), and [Equation 2] is the relative companion time (η ).
[수학식 1][Equation 1]
또한, 하기 수학식 2를 통해 미세입자간 속도 차를 계산할 수 있다.In addition, the difference in velocity between fine particles can be calculated through
[수학식 2][Equation 2]
도 3과 같이, 상기 저주파음파발생부(140)를 통해 저주파음원에 대응하는 저주파음파가 출력되면, 상기 단위 응집채널(161) 내의 미세 입자(p1, p2)들이 도 3의 (a)와 같이, 매질은 저주파음파의 주파수와 음압에 대응하여 진동하게 된다. 이As shown in FIG. 3, when a low-frequency sound wave corresponding to a low-frequency sound source is output through the low-frequency
이때, 상대적으로 크기가 작은 미세입자(p1)의 진동 진폭이 상대적으로 큰 미세입자(p2)의 진동 진폭보다 크게 되어, 상대적으로 크기가 작은 미세입자(p1)와 상대적으로 큰 미세입자(p2)들이 이동 거리의 차이가 생켜 서로 충돌하는 것에 의해 반데르발스힘에 의해 상대적으로 크기가 작은 미세입자(p1)와 상대적으로 큰 미세입자(p2)들이 서로 응집되어 미세입자 응집체(167)로 형성된 후 응집체배출유로(163)를 통해 배출되어 포집부(200)에 의해 제거된다. 그리고 상기 저주파음원의 주파수와 음압을 제어하는 것에 의해, [수학식 1]을 적용하여 응집효율(β)을 조절할 수 있게 되므로, 응집효율 향상을 위한 피드백 저주파음원 제어를 가능하게 한다.At this time, the vibration amplitude of the relatively small fine particles (p1) is larger than the vibration amplitude of the relatively large fine particles (p2), so that the relatively small fine particles (p1) and the relatively large fine particles (p2) Due to the difference in the moving distance between them and colliding with each other, the relatively small microparticles (p1) and the relatively large microparticles (p2) are agglomerated with each other and formed into a
도 4는 본 발명의 일 실시예의 미세입자 응집을 위한 저주파음원의 출력 진동에 의해 미세 입자가 응집되는 것을 보이는 도면이며, 도 5는 본 발명의 일 실시예의 미세입자 응집을 위한 저주파음원을 서로 쌍을 이루는 엑추에이터 쌍들을 포함하는 다중 엑추에이터로 구성되는 저주파음파발생부(140)를 통해 생성된 저주파음파의 중첩을 나타내는 도면이고, 도 6은 본 발명의 일 실시예의 미세입자 응집을 위한 서로 대향하는 엑추에이터 쌍으로 구성되는 엑추에이터부에서 출력된 저주파음파의 강도와 단일 에서 출력된 저주파음파의 강도 차이를 나타내는 그래프이다.4 is a view showing that fine particles are agglomerated by the output vibration of a low-frequency sound source for fine particle aggregation according to an embodiment of the present invention, and FIG. 5 is a pair of low-frequency sound sources for fine particle aggregation according to an embodiment of the present invention. It is a view showing the superposition of the low-frequency sound waves generated through the low-frequency sound
상기 저주파음파발생부(140)를 구성하는 엑추에이터(140a, 140b)들은 서로 대향하는 쌍으로 설치되는 것에 의해 미세 입자들의 응집 효율을 향상시킬 수 있게 된다.The
구체적으로, 도 4 내지 도 6과 같이, 엑추에이터(140a, 140b)들이 서로 대향하는 쌍으로 설치되어 저주파음파(w)가 서로 중첩되는 것에 의해 강도가 세지고, 이에 의해, 상대적으로 크기가 작은 미세입자(p1)와 상대적으로 큰 미세입자(p2)들의 진동 속도 및 충돌 시의 충격량이 커지게 되어 응집 효율이 높아진다.Specifically, as shown in FIGS. 4 to 6, the
도 7은 본 발명의 일 실시예에 따른 음파 발생부인 엑추에이터(140a, 140b)의 위치에 따른 음압 분포를 확인할 수 있는 실험데이터이고, 도 8은 저주파음원을 재생하지 않은 경우와, 저주파음원을 주파수와 음압을 가변하여 출력한 경우들에서의 미세먼지 농도 측정 값을 나타내는 그래프이다.7 is experimental data for confirming the sound pressure distribution according to the location of the actuators 140a and 140b, which are sound wave generators according to an embodiment of the present invention, and FIG. 8 is a case where a low frequency sound source is not reproduced and a low frequency sound source is frequency This is a graph showing the measurement value of fine dust concentration in cases where and sound pressure are variable and output.
도7의 (a)는 하나의 엑추에이터를 구비한 단일 소스 저주파음파발생부(140)의 설치 위치별(s1, s2, s3) 응집챔버(162) 내부의 음압 분포를 나타내는 도면이고, 도 7의 (b)는 다중 엑추에이터로서 두 개의 엑추에이터인 두 개의 저주파음파원(ms1, ms2) 의 이격 간격별(l) 음압 분포를 나타내는 도면이다.Figure 7 (a) is a view showing the sound pressure distribution inside the
그리고 도 8에 의해 음압이 높은 경우 미세먼지의 제거 효율이 높은 것을의 실확인하였다.In addition, according to FIG. 8, it was confirmed that the removal efficiency of fine dust is high when the sound pressure is high.
본 실험 데이터를 통해 저주파음파발생부(140)가 하나의 액추에이터를 가지는 것보다, 하나 이상의 액추에이터를 서로 마주보도록 위치시키고, 음압을 크게 하는 경우 입자의 충돌 및 응집에 더 유리한 파동조건을 가지는 것을 확인했다.Through this experimental data, it was confirmed that the low-frequency
도 9은 저주파음원을 재생하지 않은 경우와, 저주파음원을 주파수와 음압을 가변하여 출력한 경우들에서의 미세먼지 농도 측정 값을 나타내는 그래프이다.9 is a graph showing the measurement value of fine dust concentration in the case where the low-frequency sound source is not reproduced and the low-frequency sound source is output by varying the frequency and sound pressure.
도 9과 같이, 저주파음파의 주파수 및 음압에 따라 서로 다른 미세입자정화 효율을 가짐을 알 수 있다.As shown in FIG. 9, it can be seen that different fine particle purification efficiencies are obtained according to the frequency and sound pressure of the low-frequency sound wave.
도 9는 본 발명의 일 실시예의 미세입자 포집 제거 방법의 처리과정을 나타내는 순서도이다.9 is a flow chart showing a processing process of a method for collecting and removing fine particles according to an embodiment of the present invention.
도 9와 같이, 상기 미세입자 포집 제거 방법은, 먼저, 미세입자측정부(110)를 이용하여 정화 영역 또는 상기 응집채널부(160) 내부의 미세입자의 오염도를 측정하여 생성된 미세입자측정데이터를 상기 제어부(120)로 출력하는 초기 미세입자 측정단계(S10)를 수행한다. 이때, 상기 미세입자측정데이터는, 미세입자의 개수, 크기, 농도, 유체(매질)의 온도, 습도 또는 상기 응집채널부(160)가 설치된 정화 영역의 면적 또는 체적 데이터를 포함할 수 있다.As shown in FIG. 9, the method of collecting and removing fine particles includes, first, fine particle measurement data generated by measuring the degree of contamination of the fine particles in the purification area or the
상기 제어부(120)는 상기 미세입자 측정데이터에 따라, 저장부(121)에 저장된 미세입자 응집을 위한 저주파음원의 주파수 및 음압을 추출하는 주파수 및 음압 데이터 추출 단계(S20)를 수행한다. 이때 추출되는 주파수 및 음압은 미세먼지의 개수, 크기, 농도, 유체(매질)의 온도, 습도 또는 상기 응집채널부(160)가 설치된 정화 영역의 면적 또는 체적 분포에 따라 분류된 후 미세입자 DB로 구조화되어 음원변완부(120) 내부의 저장부(121)에 저장될 수 있다. 이때, 상기 저주파음원의 주파수는 20㎐ 내지 20㎑ 범위 이고, 음압은 0㏈ 내지 100㏈일 수 있으며, 상기 주파수와 음압은 상기 미세먼지의 크기, 농도, 실내 온도, 실내 습도, 정화 영역의 면적 또는 체적에 대응하도록 추출될 수 있다.The control unit 120 performs a frequency and sound pressure data extraction step (S20) of extracting a frequency and sound pressure of a low-frequency sound source for aggregation of fine particles stored in the storage unit 121 according to the fine particle measurement data. At this time, the extracted frequency and sound pressure are classified according to the number, size, concentration, temperature, humidity of the fluid (medium), or the area or volume distribution of the purification area in which the
다음으로, 상기 제어부(120)가 추출된 상기 주파수 및 음압 데이터를 갖는 저주파음원으로 생성하여 출력하는 음원생성단계(S30)를 수행한다.Next, the control unit 120 performs a sound source generation step (S30) of generating and outputting a low-frequency sound source having the extracted frequency and sound pressure data.
다음으로, 상기 저주파음원의 증폭이 필요한 경우 상기 음원생성단계(S30)가 수행된 후 출력되는 저주파음원을 수신하여 증폭한 후, 상기 저주파음파발생부(140)로 출력하는 음원증폭단계(S40)가 수행될 수 있다.Next, when amplification of the low-frequency sound source is required, the sound source amplification step (S40) of receiving and amplifying the low-frequency sound source output after the sound source generating step (S30) is performed, and outputting it to the low-frequency sound wave generator 140 (S40) Can be performed.
다음으로, 저주파음파발생부(140)가 상기 저주파음원을 수신하여 상기 응집챔버(162)들의 내부로 저주파음파를 출력하는 것에 의해, 정화영역 또는 응집채널부(160) 내를 흐르는 유체에 포함된 미세입자들을 진동시켜 서로 응집시키는 미세입자응집단계(S50)를 수행한다.Next, the low-frequency
이 후, 상기 포집부(200)는 상기 단위 응집채널(161) 내의 공기 또는 유체를 대류시키거나 유입 받은 후 응집되어 크기가 커진 미세입자 응집체(167)들을 포집부(200)를 통해 포집하여 제거하는 응집된 미세입자 포집단계(S60)를 수행한다.Thereafter, the
그리고 상술한 응집된 미세입자 포집단계(S60)의 수행 후에는 기 설정된 주기 또는 사용자의 제어 명령에 따라, 측정센서부(150)가 상기 저주파음원에 대응하여 출력되는 상기 저주파음파의 주파수와 음압을 검출한 후 상기 제어부(120)로 전송하고, 잔류미세입자 측정부(170)가 배출되는 유체 내에 포함되는 미세입자의 개수, 농도, 크기 등을 검출하여 상기 제어부(120)로 전송하는 피드백 제어 측정 단계(S70)가 수행될 수 있다.And after performing the above-described agglomerated fine particle collecting step (S60), the
상기 피드백 제어 측정 단계(S70)가 수행되면, 상기 제어부(120)는 상기 수신된 주파수와 음압을 상기 추출된 주파수와 음압과 비교하여 일치 여부를 판단하고, 미세입자 제거효율을 산출하여 미세입자 제거 효율이 목표치에 도달했는지를 판단하는 미세입자 제거 효율 달성 판단 단계(S80)를 수행한다.When the feedback control measurement step (S70) is performed, the controller 120 compares the received frequency and sound pressure with the extracted frequency and sound pressure to determine whether they match, and calculates the fine particle removal efficiency to remove fine particles. The fine particle removal efficiency determination step (S80) of determining whether the efficiency has reached the target value is performed.
상술한 미세입자 제거 효율 달성 판단 단계(S80)의 판단 결과, 미세입자 제거 효율이 목표치에 도달하지 않은 경우, 제어부(120)는 [수학식 1] 및 [수학식 2]을 적용하여 미세입자 응집 효율을 높이는 주파수를 가지는 주파수와 음압을 도출하여 저주파음원을 재생성하는 저주파음원 피드백 조정 단계 (S90)를 수행한다.As a result of the determination of the above-described fine particle removal efficiency determination step (S80), when the fine particle removal efficiency does not reach the target value, the control unit 120 applies [Equation 1] and [Equation 2] to aggregate the fine particles. A low-frequency sound source feedback adjustment step (S90) of regenerating a low-frequency sound source by deriving a frequency and sound pressure having a frequency that increases efficiency is performed.
그리고 상술한 미세입자 제거 효율 달성 판단 단계(S80)의 판단 결과, 미세입자 제거 효율이 목표 치에 도달한 경우에, 상기 제어부(120)가 미세입자 제거 작업의 종료 여부를 판단하는 미세입자 응집 정화 종료 판단 단계(S100)를 수행하여, 작업이 종료되지 않은 경우에는 미세입자 응집단계(S50)로 복귀하여 처리과정을 다시 수행하고, 작업이 종료된 경우에는 미세입자 응집 정화 작업을 종료한다.And as a result of the determination of the above-described fine particle removal efficiency determination step (S80), when the fine particle removal efficiency reaches a target value, the control unit 120 determines whether the fine particle removal operation is terminated or not. The end determination step (S100) is performed, and if the work is not finished, the process returns to the fine particle aggregation step (S50) to perform the processing again, and when the work is finished, the fine particle aggregation and purification work is terminated.
상기에서 설명한 본 발명의 기술적 사상은 바람직한 실시예에서 구체적으로 기술되었으나, 상기한 실시예는 그 설명을 위한 것이며 그 제한을 위한 것이 아님을 주의하여야 한다. 또한, 본 발명의 기술적 분야의 통상의 지식을 가진 자라면 본 발명의 기술적 사상의 범위 내에서 다양한 실시예가 가능함을 이해할 수 있을 것이다. 따라서 본 발명의 진정한 기술적 보호 범위는 첨부된 청구범위의 기술적 사상에 의해 정해져야 할 것이다.Although the technical idea of the present invention described above has been specifically described in the preferred embodiment, it should be noted that the above-described embodiment is for the purpose of explanation and not for the limitation thereof. In addition, those of ordinary skill in the technical field of the present invention will be able to understand that various embodiments are possible within the scope of the technical idea of the present invention. Therefore, the true technical protection scope of the present invention should be determined by the technical spirit of the appended claims.
100: 유체 내 미세입자 포집 장치
110: 미세입자측정부
120: 제어부
121: 저장부
130: 음원증폭부
140: 저주파음파발생부
140a, 140b: 엑추에이터
150: 측정센서부
151: 측정센서
160: 응집채널부
161: 단위 응집채널
162: 응집챔버
162a: 유체 유입구
162b: 유체 배출구
163: 응집체배출유로
165: Y형유로형성부
167: 미세입자 응집체
170: 잔류미세입자측정부
200: 포집부
x: 미세입자 진동 진폭
U0: 저주파음파의 진동 속도(the velocity amplitude of sound wave)
τ: 미세입자 완화시간-충돌하기까지의 시간(the relative
η: 두 미세입자들의 상대적인 동반 시간(the relative entrainment between the two particles100: device for collecting fine particles in fluid
110: fine particle measuring unit
120: control unit
121: storage unit
130: sound source amplification unit
140: low-frequency sound wave generator
140a, 140b: actuator
150: measurement sensor unit
151: measuring sensor
160: agglomeration channel portion
161: unit aggregation channel
162: flocculation chamber
162a: fluid inlet
162b: fluid outlet
163: aggregate discharge passage
165: Y-shaped flow path forming part
167: fine particle aggregate
170: residual fine particle measurement unit
200: collection unit
x: fine particle vibration amplitude
U0: the velocity amplitude of sound wave
τ: microparticle relaxation time-time to collision (the relative
η: the relative entrainment between the two particles
| Application Number | Priority Date | Filing Date | Title |
|---|---|---|---|
| KR1020190078495AKR102201714B1 (en) | 2019-07-01 | 2019-07-01 | Apparatus and the method for condensing and eliminating fine particle |
| PCT/KR2020/008030WO2020262894A1 (en) | 2019-06-28 | 2020-06-22 | Fine particle aggregation method and apparatus |
| US17/616,523US20220233992A1 (en) | 2019-06-28 | 2020-06-22 | Fine particle aggregation method and apparatus |
| CN202080041529.1ACN113905801A (en) | 2019-06-28 | 2020-06-22 | Method and device for agglomerating fine particles |
| Application Number | Priority Date | Filing Date | Title |
|---|---|---|---|
| KR1020190078495AKR102201714B1 (en) | 2019-07-01 | 2019-07-01 | Apparatus and the method for condensing and eliminating fine particle |
| Publication Number | Publication Date |
|---|---|
| KR20210002790Atrue KR20210002790A (en) | 2021-01-11 |
| KR102201714B1 KR102201714B1 (en) | 2021-01-12 |
| KR102201714B9 KR102201714B9 (en) | 2021-10-27 |
| Application Number | Title | Priority Date | Filing Date |
|---|---|---|---|
| KR1020190078495AActiveKR102201714B1 (en) | 2019-06-28 | 2019-07-01 | Apparatus and the method for condensing and eliminating fine particle |
| Country | Link |
|---|---|
| KR (1) | KR102201714B1 (en) |
| Publication number | Priority date | Publication date | Assignee | Title |
|---|---|---|---|---|
| CN114692475A (en)* | 2022-04-02 | 2022-07-01 | 中国科学院大气物理研究所 | Numerical simulation calculation method and system for acoustic wave influence particle collision |
| KR102496510B1 (en) | 2022-06-16 | 2023-02-06 | 광성에스앤피주식회사 | Practice device for golf shot |
| KR20230081815A (en)* | 2021-11-29 | 2023-06-08 | 한국생산기술연구원 | Apparatus and method for removing particles obstructing visibility using sound waves |
| KR20230081790A (en)* | 2021-11-29 | 2023-06-08 | 한국생산기술연구원 | Fine particle condensing capturing hybrid system using air medium vibration and Fine particle hybrid condensing capturing method for reducing fine particle |
| Publication number | Priority date | Publication date | Assignee | Title |
|---|---|---|---|---|
| KR20030057582A (en)* | 2001-12-28 | 2003-07-07 | 류정인 | Exhaust emission gas and soots capturing system in using ultrasonic wave |
| US20040168576A1 (en)* | 2002-04-26 | 2004-09-02 | Meegan George Douglas | Modulated acoustic agglomeration system and method |
| KR20150015742A (en)* | 2013-08-01 | 2015-02-11 | 한국건설기술연구원 | Device and method for micro-particles separation using multi-acoustic standing wave whith cross flow |
| KR20170048814A (en)* | 2015-10-27 | 2017-05-10 | 삼성중공업 주식회사 | Apparatus for reducing air pollutant |
| KR20170097390A (en) | 2016-02-18 | 2017-08-28 | 한국에너지기술연구원 | Harmful nano-aerosol removal apparatus using an ultrasonic generator |
| WO2017154804A1 (en)* | 2016-03-11 | 2017-09-14 | パナソニックIpマネジメント株式会社 | Ultrasonic dust collector |
| KR20180045269A (en)* | 2016-10-25 | 2018-05-04 | 한국기계연구원 | Fine Particles and Harmful Gas eliminating device and that method |
| KR20180086540A (en)* | 2015-11-25 | 2018-08-01 | 시아오미 아이엔씨. | Parameter detecting method and apparatus for air purifier, and terminal |
| Publication number | Priority date | Publication date | Assignee | Title |
|---|---|---|---|---|
| KR20030057582A (en)* | 2001-12-28 | 2003-07-07 | 류정인 | Exhaust emission gas and soots capturing system in using ultrasonic wave |
| US20040168576A1 (en)* | 2002-04-26 | 2004-09-02 | Meegan George Douglas | Modulated acoustic agglomeration system and method |
| KR20150015742A (en)* | 2013-08-01 | 2015-02-11 | 한국건설기술연구원 | Device and method for micro-particles separation using multi-acoustic standing wave whith cross flow |
| KR20170048814A (en)* | 2015-10-27 | 2017-05-10 | 삼성중공업 주식회사 | Apparatus for reducing air pollutant |
| KR20180086540A (en)* | 2015-11-25 | 2018-08-01 | 시아오미 아이엔씨. | Parameter detecting method and apparatus for air purifier, and terminal |
| KR20170097390A (en) | 2016-02-18 | 2017-08-28 | 한국에너지기술연구원 | Harmful nano-aerosol removal apparatus using an ultrasonic generator |
| WO2017154804A1 (en)* | 2016-03-11 | 2017-09-14 | パナソニックIpマネジメント株式会社 | Ultrasonic dust collector |
| KR20180045269A (en)* | 2016-10-25 | 2018-05-04 | 한국기계연구원 | Fine Particles and Harmful Gas eliminating device and that method |
| Publication number | Priority date | Publication date | Assignee | Title |
|---|---|---|---|---|
| KR20230081815A (en)* | 2021-11-29 | 2023-06-08 | 한국생산기술연구원 | Apparatus and method for removing particles obstructing visibility using sound waves |
| KR20230081790A (en)* | 2021-11-29 | 2023-06-08 | 한국생산기술연구원 | Fine particle condensing capturing hybrid system using air medium vibration and Fine particle hybrid condensing capturing method for reducing fine particle |
| CN114692475A (en)* | 2022-04-02 | 2022-07-01 | 中国科学院大气物理研究所 | Numerical simulation calculation method and system for acoustic wave influence particle collision |
| KR102496510B1 (en) | 2022-06-16 | 2023-02-06 | 광성에스앤피주식회사 | Practice device for golf shot |
| Publication number | Publication date |
|---|---|
| KR102201714B1 (en) | 2021-01-12 |
| KR102201714B9 (en) | 2021-10-27 |
| Publication | Publication Date | Title |
|---|---|---|
| KR102201714B1 (en) | Apparatus and the method for condensing and eliminating fine particle | |
| KR102264464B1 (en) | System for condensing and eliminating fine particle using multi frequency sound wave | |
| KR102264465B1 (en) | Method for condensing and eliminating fine particle using multi frequency sound wave | |
| CN104722106A (en) | Ultrasonic separation device for fine particles | |
| CN102215976B (en) | Method and filter for capturing airborne agents | |
| Grossner et al. | Transport analysis and model for the performance of an ultrasonically enhanced filtration process | |
| CN104128047B (en) | Acoustic agglomerator and cyclonic separation synergy fine particle remove device and method | |
| JP2000508964A (en) | Operation control system for gas cleaning equipment | |
| NL1032666C2 (en) | Device and method for separating particulate material from a gas stream. | |
| KR102201712B1 (en) | Method and apparatus for condensing fine particle | |
| CA2830441C (en) | Acoustic standing wave particle size or distribution detection | |
| EP3192580B1 (en) | Acoustic aided air filter and a method of air filtration thereof | |
| KR102616956B1 (en) | Fine particle condensing capturing hybrid system using air medium vibration and Fine particle hybrid condensing capturing method for reducing fine particle | |
| JP2024543833A (en) | Self-cleaning filter media | |
| CN101480578B (en) | Dedusting and desulfurizing fluid bed reactor with combined action of sound and magnetism | |
| Moldavsky et al. | Effect of sonic waves on gas filtration by granular beds | |
| KR102539558B1 (en) | SAMPLER OF AIRBORNE MICRO-ORGANISMS, AND REAL TIME DETECTION DEVICE AND REAL TIME REMOTE MONITORING IoT SYSTEM OF AIRBORNE MICRO-ORGANISMS HAVING THIS SAME | |
| KR102201708B1 (en) | Multi Aquatic Actuator System | |
| CN113905801A (en) | Method and device for agglomerating fine particles | |
| RU2725584C1 (en) | Device for ultrasonic coagulation of foreign particles in gas flows | |
| KR102376694B1 (en) | Heat recovery ventilator including acoustic wave module device | |
| JP2015210209A (en) | Collect device, detector, cleaner, collection method, detection method and cleaning method | |
| KR20230081815A (en) | Apparatus and method for removing particles obstructing visibility using sound waves | |
| KR20180095166A (en) | Domestic use Fog Filter system for getting rid of fine particle | |
| Wang et al. | Ultrasonic removal of coarse and fine droplets in air |
| Date | Code | Title | Description |
|---|---|---|---|
| PA0109 | Patent application | Patent event code:PA01091R01D Comment text:Patent Application Patent event date:20190701 | |
| PA0201 | Request for examination | ||
| PE0902 | Notice of grounds for rejection | Comment text:Notification of reason for refusal Patent event date:20200924 Patent event code:PE09021S01D | |
| E701 | Decision to grant or registration of patent right | ||
| PE0701 | Decision of registration | Patent event code:PE07011S01D Comment text:Decision to Grant Registration Patent event date:20201210 | |
| GRNT | Written decision to grant | ||
| PR0701 | Registration of establishment | Comment text:Registration of Establishment Patent event date:20210106 Patent event code:PR07011E01D | |
| PR1002 | Payment of registration fee | Payment date:20210107 End annual number:3 Start annual number:1 | |
| PG1501 | Laying open of application | ||
| PG1601 | Publication of registration | ||
| G170 | Re-publication after modification of scope of protection [patent] | ||
| PG1701 | Publication of correction | Patent event code:PG17011E01I Patent event date:20211021 Comment text:Request for Publication of Correction Publication date:20211027 | |
| PR1001 | Payment of annual fee | Payment date:20231220 Start annual number:4 End annual number:4 | |
| PR1001 | Payment of annual fee | Payment date:20241223 Start annual number:5 End annual number:5 |