






본 발명은 RFID 리더, 이를 이용하는 태그 위치 센싱 방법, 및 RFID 관리 서버에 관한 것으로, 보다 상세하게는 서로 다른 주파수의 태그위치 센싱 신호들을 이용하여 RFID 리더와 RFID 태그 사이의 거리를 산출할 수 있는 RFID 리더, 이를 이용하는 태그 위치 센싱 방법, 및 RFID 관리 서버에 관한 것이다.The present invention relates to an RFID reader, a tag position sensing method using the same, and an RFID management server, and more particularly, to an RFID capable of calculating a distance between an RFID reader and an RFID tag using tag position sensing signals of different frequencies. It relates to a reader, a tag location sensing method using the same, and an RFID management server.
RFID(Radio Frequency Identification)는 무선 주파수(RF, Radio Frequency)를 이용하여 대상을 식별(Identification)하는 데 활용되는 기술로서, RFID 태그에 정보를 저장하여 대상에 부착한 후, RFID 리더를 통하여 RFID 태그에 저장된 정보를 인식하는 방법으로 활용된다. RFID는 사용하는 주파수 대역에 따라 LF(Low Frequency)대역 (125kHz & 134kHz), HF(High Freqency)대역 (13.56MHz), UHF(Ultra High Frequency)대역 (860~960MHz), 초고주파대역 (2.45GHz) 등으로 분류되며 UHF 대역, 초고주파 대역의 RFID 시스템은 유통 물류 분야, 컨테이너 식별 및 추적, 톨게이트 시스템 등에 활용되고 있다.RFID (Radio Frequency Identification) is a technology used to identify an object using radio frequency (RF). After information is stored in an RFID tag and attached to the object, an RFID tag is used through an RFID reader. It is used as a way to recognize the information stored in. RFID is a low frequency (LF) band (125kHz & 134kHz), a high frequency (HF) band (13.56MHz), an ultra high frequency (UHF) band (860~960MHz), and an ultra high frequency band (2.45GHz) depending on the frequency band used. RFID systems in UHF band and ultra-high frequency band are used in distribution and logistics, container identification and tracking, and toll gate systems.
(특허문헌 0001) 한국 공개특허공보 제10-2006-0096527호(Patent Document 0001) Korean Laid-Open Patent Publication No. 10-2006-0096527
본 발명의 기술적 사상에 따른 RFID 리더, 이를 이용하는 태그 위치 센싱 방법, RFID 관리 서버가 이루고자 하는 기술적 과제는 서로 다른 주파수의 태그위치 센싱 신호들을 이용하여 RFID 리더와 RFID 태그 사이의 거리를 산출할 수 있는 RFID 리더, 이를 이용하는 태그 위치 센싱 방법, RFID 관리 서버를 제공하는 것이다.An RFID reader according to the technical idea of the present invention, a tag location sensing method using the same, and a technical problem to be achieved by an RFID management server are that the distance between the RFID reader and the RFID tag can be calculated using tag location sensing signals of different frequencies. To provide an RFID reader, a tag location sensing method using the same, and an RFID management server.
본 발명의 기술적 사상에 의한 일 양태에 따른 RFID 리더에 있어서, 제1주파수의 제1태그위치 센싱신호 및 제2주파수의 제2태그위치 센싱신호를 생성하는 태그위치 센싱신호 생성기와 상기 제1태그위치 센싱신호 및 상기 제2태그위치 센싱신호를 RFID 태그로 송신하고 상기 제1태그위치 센싱신호가 상기 RFID 태그에 의하여 변조되어 역산란된 제1변조신호 및 상기 제2태그위치 센싱신호가 상기 RFID 태그에 의하여 변조되어 역산란된 제2변조신호를 수신하는 신호 송수신기 및 상기 제1변조신호와 상기 제2변조신호의 위상 차이에 기초하여 상기 RFID 리더와 상기 RFID 태그 사이의 거리를 계산하는 태그위치 계산기를 포함할 수 있다.In an RFID reader according to an aspect of the inventive concept, a tag position sensing signal generator for generating a first tag position sensing signal of a first frequency and a second tag position sensing signal of a second frequency and the first tag The position sensing signal and the second tag position sensing signal are transmitted to an RFID tag, and the first tag position sensing signal is modulated by the RFID tag and the descattered first modulated signal and the second tag position sensing signal are applied to the RFID tag. A signal transceiver for receiving a second modulated signal modulated by a tag and descattered, and a tag position for calculating a distance between the RFID reader and the RFID tag based on a phase difference between the first modulated signal and the second modulated signal. May include a calculator.
예시적인 실시 예에 따르면, 상기 제1변조신호는 상기 제1태그위치 센싱신호에 기초하여 상기 RFID 태그에 포함된 정보에 따라 변조된 신호이고, 상기 제2변조신호는 상기 제2태그위치 센싱신호에 기초하여 상기 RFID 태그에 포함된 RFID 태그 정보에 따라 변조된 신호일 수 있다.According to an exemplary embodiment, the first modulated signal is a signal modulated according to information included in the RFID tag based on the first tag position sensing signal, and the second modulated signal is the second tag position sensing signal. It may be a signal modulated according to the RFID tag information included in the RFID tag based on.
예시적인 실시 예에 따르면, 상기 제1주파수와 상기 제2주파수는 서로 다른 주파수일 수 있다.According to an exemplary embodiment, the first frequency and the second frequency may be different frequencies.
예시적인 실시 예에 따르면, 상기 RFID 리더는, PLL(Phase Locked Loop)회로를 포함하고 상기 PLL(Phase Locked Loop)회로는 상기 제1주파수와 상기 제2주파수를 다르게 설정할 수 있다.According to an exemplary embodiment, the RFID reader may include a PLL (Phase Locked Loop) circuit, and the PLL (Phase Locked Loop) circuit may set the first frequency and the second frequency differently.
예시적인 실시 예에 따르면, 상기 RFID 리더는, 상기 제1주파수의 주파수 대역에 기초하여 상기 제1주파수와 상기 제2주파수의 차이에 상응하는 주파수 변경값을 설정하고, 상기 제1주파수와 상기 주파수 변경값에 기초하여 상기 제2주파수를 설정하는, 주파수 변경값 설정기를 더 포함할 수 있다.According to an exemplary embodiment, the RFID reader sets a frequency change value corresponding to a difference between the first frequency and the second frequency based on a frequency band of the first frequency, and the first frequency and the frequency It may further include a frequency change value setter for setting the second frequency based on the change value.
예시적인 실시 예에 따르면, 상기 RFID 리더는, 상기 제1변조신호 또는 상기 제2변조신호를 복조하여 상기 제1변조신호 또는 상기 제2변조신호에 포함된 상기 RFID 태그의 정보를 추출하는 태그정보 추출기를 더 포함할 수 있다.According to an exemplary embodiment, the RFID reader demodulates the first modulated signal or the second modulated signal to extract information of the RFID tag included in the first modulated signal or the second modulated signal. It may further include an extractor.
예시적인 실시 예에 따르면, 상기 RFID 리더는, 계산된 상기 거리에 기초하여 복수의 RFID 태그들 중에서 미리 설정된 범위 내의 상기 RFID 리더와의 거리를 가지는 RFID 태그를 선택하는 타겟 태그 선택기를 더 포함할 수 있다.According to an exemplary embodiment, the RFID reader may further include a target tag selector for selecting an RFID tag having a distance to the RFID reader within a preset range from among a plurality of RFID tags based on the calculated distance. have.
예시적인 실시 예에 따르면, 상기 태그정보 추출기는, 상기 타겟 태그 선택기에 의해 선택된 상기 RFID 태그에 포함된 RFID 태그 정보를 복조하여 추출할 수 있다.According to an exemplary embodiment, the tag information extractor may demodulate and extract RFID tag information included in the RFID tag selected by the target tag selector.
예시적인 실시 예에 따르면, 상기 제1주파수 및 상기 제2주파수 각각은 UHF 대역 또는 초고주파 대역에 포함되는 주파수일 수 있다.According to an exemplary embodiment, each of the first frequency and the second frequency may be a frequency included in a UHF band or an ultra-high frequency band.
예시적인 실시 예에 따르면, 상기 RFID 리더와 상기 RFID 태그 사이의 거리인 d는, 수식 (c는 빛의 속도,는 상기 제1주파수와 상기 제2주파수의 차이,는 상기 제1변조신호와 상기 제2변조신호의 위상 차이)에 의해 산출될 수 있다.According to an exemplary embodiment, d, which is the distance between the RFID reader and the RFID tag, is (c is the speed of light, Is the difference between the first frequency and the second frequency, May be calculated by a phase difference between the first modulated signal and the second modulated signal).
예시적인 실시 예에 따르면, RFID 리더가, 제1주파수의 제1태그위치 센싱신호와 제2주파수의 제2태그위치 센싱신호를 센싱 대상이 되는 RFID 태그로 송신하는 단계와 상기 RFID 리더가, 상기 제1태그위치 센싱신호가 상기 RFID 태그에 의하여 변조되어 역산란된 제1변조신호를 수신하는 단계와 상기 RFID 리더가, 상기 제2태그위치 센싱신호가 상기 RFID 태그에 의하여 변조되어 역산란된 제2변조신호를 수신하는 단계 및 상기 RFID 리더가, 상기 제1변조신호와 상기 제2변조신호의 위상 차이에 기초하여 상기 RFID 리더와 상기 RFID 태그 사이의 거리를 계산하는 단계를 포함할 수 있다.According to an exemplary embodiment, the step of transmitting, by an RFID reader, a first tag position sensing signal of a first frequency and a second tag position sensing signal of a second frequency to an RFID tag to be sensed, and the RFID reader, the Receiving a first modulated signal that is modulated by the RFID tag and scattered by the first tag position sensing signal, and the RFID reader performs a second tag position sensing signal modulated by the RFID tag and scattered. Receiving a two-modulated signal and calculating, by the RFID reader, a distance between the RFID reader and the RFID tag based on a phase difference between the first modulated signal and the second modulated signal.
예시적인 실시 예에 따르면, 상기 RFID 태그 위치 센싱 방법은, 상기 제1변조신호 또는 제2변조신호를 복조하여 상기 제1변조신호 또는 상기 제2변조신호에 포함된 상기 RFID 태그의 RFID 태그 정보를 추출하는 단계를 더 포함할 수 있다.According to an exemplary embodiment, the RFID tag position sensing method includes demodulating the first modulated signal or the second modulated signal to receive RFID tag information of the RFID tag included in the first modulated signal or the second modulated signal. It may further include the step of extracting.
예시적인 실시 예에 따르면, 상기 RFID 태그 위치 센싱 방법은, 계산된 상기 거리에 기초하여 복수의 RFID 태그들 중에서 미리 설정된 범위 내의 상기 RFID 리더와의 거리를 가지는 RFID 태그를 선택하여 선택된 상기 RFID 태그에 포함된 RFID 태그 정보를 복조하는 단계를 더 포함할 수 있다.According to an exemplary embodiment, the RFID tag location sensing method includes selecting an RFID tag having a distance to the RFID reader within a preset range from among a plurality of RFID tags based on the calculated distance, It may further include demodulating the included RFID tag information.
예시적인 실시 예에 따르면, 메모리와 프로세서를 포함하는 RFID 관리 서버에 있어서, 상기 프로세서는, 제1주파수의 제1태그위치 센싱신호에 기초하여 RFID 태그에 의하여 변조된 제1변조신호와 제2주파수의 제2태그위치 센싱신호에 기초하여 상기 RFID 태그에 의하여 변조된 제2변조신호를 RFID 리더로부터 수신하고, 수신된 상기 제1변조신호와 상기 제2변조신호의 위상 차이에 기초하여 상기 RFID 태그와 상기 RFID 리더의 거리를 계산하고, 복수의 RFID 태그들 중에서 미리 설정된 범위 내의 상기 RFID 리더와의 거리를 가지는 RFID 태그를 선택하여, 선택된 RFID 태그에 포함된 RFID 태그 정보를 복조하여 상기 RFID 태그의 정보를 추출할 수 있다.According to an exemplary embodiment, in an RFID management server including a memory and a processor, the processor comprises: a first modulated signal and a second frequency modulated by an RFID tag based on a first tag position sensing signal of a first frequency. A second modulated signal modulated by the RFID tag is received from an RFID reader based on the second tag position sensing signal of, and the RFID tag is based on a phase difference between the received first modulated signal and the second modulated signal. Calculate the distance between the RFID reader and the RFID reader, select an RFID tag having a distance to the RFID reader within a preset range from among a plurality of RFID tags, and demodulate RFID tag information included in the selected RFID tag, Information can be extracted.
본 발명의 기술적 사상에 의한 실시 예에 따른 장치와 방법은, RFID 리더와 RFID 태그 사이의 정확한 거리를 산출하여 특정한 위치에 있는 태그만을 인식할 수 있는 효과가 있다.According to an embodiment of the inventive concept, an apparatus and method according to an embodiment of the present invention have an effect of recognizing only a tag in a specific location by calculating an accurate distance between an RFID reader and an RFID tag.
특히, 본 발명의 기술적 사상에 의한 실시 예에 따른 장치와 방법은 RFID 리더에서 전송되는 센싱 신호의 반 파장 이상의 거리에 위치한 RFID 태그에 대해서도 정확한 거리를 산출할 수 있는 효과가 있다.In particular, the device and method according to an embodiment of the inventive concept has an effect of calculating an accurate distance even for an RFID tag located at a distance of half a wavelength or more of a sensing signal transmitted from an RFID reader.
또한, 본 발명의 기술적 사상에 의한 실시 예들에 따른 장치와 방법은, RFID 시스템을 이용하는 제조 공정의 효율적인 운영 환경을 제공할 수 있고 이에 따른 제조 비용을 절감할 수 있는 효과가 있다.In addition, the apparatus and method according to embodiments according to the technical idea of the present invention can provide an efficient operating environment for a manufacturing process using an RFID system, and thus have an effect of reducing manufacturing cost.
본 발명의 상세한 설명에서 인용되는 도면을 보다 충분히 이해하기 위하여 각 도면의 간단한 설명이 제공된다.
도 1은 본 발명의 기술적 사상에 의한 일 실시 예에 따른 RFID 시스템을 나타낸 도면이다.
도 2는 본 발명의 기술적 사상에 의한 일 실시 예에 따른 RFID 리더를 나타낸 블록도이다.
도 3은 본 발명의 기술적 사상에 의한 일 실시 예에 따른 RFID 태그 위치 센싱 방법을 나타낸 순서도이다.
도 4는 본 발명의 기술적 사상에 의한 일 실시 예에 따른 RFID 리더가 설정된 범위 내의 RFID 태그를 선택하는 과정을 설명하기 위한 도면이다.
도 5는 본 발명의 기술적 사상에 의한 다른 실시 예에 따른 RFID 태그 위치 센싱 방법을 나타낸 순서도이다.
도 6은 본 발명의 기술적 사상에 의한 일 실시 예에 따른 RFID 리더와 RFID 태그 사이의 거리 및 태그위치 센싱 신호들의 주파수의 변화에 따른 위상 차이를 나타낸 그래프이다.
도 7은 본 발명의 기술적 사상에 의한 일 실시 예에 따른 태그위치 센싱 신호들의 주파수 차이에 따른 위상 차이에 기초하여 거리를 계산한 표이다.Brief description of each drawing is provided in order to more fully understand the drawings cited in the detailed description of the present invention.
1 is a diagram illustrating an RFID system according to an embodiment of the inventive concept.
2 is a block diagram illustrating an RFID reader according to an embodiment of the inventive concept.
3 is a flowchart illustrating a method of sensing a location of an RFID tag according to an embodiment of the inventive concept.
4 is a diagram for describing a process of selecting an RFID tag within a set range by an RFID reader according to an embodiment of the inventive concept.
5 is a flowchart illustrating a method of sensing an RFID tag location according to another embodiment according to the inventive concept.
6 is a graph illustrating a phase difference according to a change in frequency of a distance between an RFID reader and an RFID tag and a frequency of tag position sensing signals according to an embodiment of the inventive concept.
7 is a table in which a distance is calculated based on a phase difference according to a frequency difference of tag position sensing signals according to an embodiment of the inventive concept.
본 발명의 기술적 사상에 따른 예시적인 실시예들은 당해 기술 분야에서 통상의 지식을 가진 자에게 본 발명의 기술적 사상을 더욱 완전하게 설명하기 위하여 제공되는 것으로, 아래의 실시예들은 여러 가지 다른 형태로 변형될 수 있으며, 본 발명의 기술적 사상의 범위가 아래의 실시예들로 한정되는 것은 아니다. 오히려, 이들 실시예들은 본 개시를 더욱 충실하고 완전하게 하며 당업자에게 본 발명의 기술적 사상을 완전하게 전달하기 위하여 제공되는 것이다.Exemplary embodiments according to the technical idea of the present invention are provided to more completely explain the technical idea of the present invention to those of ordinary skill in the art, and the following embodiments are modified in various other forms. It may be, and the scope of the technical idea of the present invention is not limited to the following embodiments. Rather, these embodiments are provided to make the present disclosure more faithful and complete, and to completely convey the technical idea of the present invention to those skilled in the art.
본 명세서에서 제1, 제2 등의 용어가 다양한 부재, 영역, 층들, 부위 및/또는 구성 요소들을 설명하기 위하여 사용되지만, 이들 부재, 부품, 영역, 층들, 부위 및/또는 구성 요소들은 이들 용어에 의해 한정되어서는 안 됨은 자명하다. 이들 용어는 특정 순서나 상하, 또는 우열을 의미하지 않으며, 하나의 부재, 영역, 부위, 또는 구성 요소를 다른 부재, 영역, 부위 또는 구성 요소와 구별하기 위하여만 사용된다. 따라서, 이하 상술할 제1 부재, 영역, 부위 또는 구성 요소는 본 발명의 기술적 사상의 가르침으로부터 벗어나지 않고서도 제2 부재, 영역, 부위 또는 구성 요소를 지칭할 수 있다. 예를 들면, 본 발명의 권리 범위로부터 이탈되지 않은 채 제1 구성 요소는 제2 구성 요소로 명명될 수 있고, 유사하게 제2 구성 요소도 제1 구성 요소로 명명될 수 있다.In the present specification, terms such as first and second are used to describe various members, regions, layers, regions and/or components, but these members, components, regions, layers, regions and/or components refer to these terms. It is obvious that it should not be limited by. These terms do not imply a specific order, top or bottom, or superiority, and are used only to distinguish one member, region, region, or component from another member, region, region, or component. Accordingly, the first member, region, region, or component to be described below may refer to the second member, region, region, or component without departing from the teachings of the inventive concept. For example, without departing from the scope of the present invention, a first component may be referred to as a second component, and similarly, a second component may be referred to as a first component.
달리 정의되지 않는 한, 여기에 사용되는 모든 용어들은 기술 용어와 과학 용어를 포함하여 본 발명의 개념이 속하는 기술 분야에서 통상의 지식을 가진 자가 공통적으로 이해하고 있는 바와 동일한 의미를 지닌다. 또한, 통상적으로 사용되는, 사전에 정의된 바와 같은 용어들은 관련되는 기술의 맥락에서 이들이 의미하는 바와 일관되는 의미를 갖는 것으로 해석되어야 하며, 여기에 명시적으로 정의하지 않는 한 과도하게 형식적인 의미로 해석되어서는 아니 될 것이다.Unless otherwise defined, all terms used herein, including technical terms and scientific terms, have the same meaning as commonly understood by one of ordinary skill in the art to which the concept of the present invention belongs. In addition, commonly used terms as defined in the dictionary should be construed as having a meaning consistent with what they mean in the context of the technology to which they are related, and in an excessively formal sense unless explicitly defined herein. It should not be interpreted.
여기에서 사용된 '및/또는' 용어는 언급된 부재들의 각각 및 하나 이상의 모든 조합을 포함한다.The term'and/or' as used herein includes each and every combination of one or more of the recited elements.
이하에서는 첨부한 도면들을 참조하여 본 발명의 기술적 사상에 의한 실시예들에 대해 상세히 설명한다.Hereinafter, exemplary embodiments according to the inventive concept will be described in detail with reference to the accompanying drawings.
도 1은 본 발명의 기술적 사상에 의한 일 실시 예에 따른 RFID 시스템을 나타낸 도면이다.1 is a diagram illustrating an RFID system according to an embodiment of the inventive concept.
도 1을 참조하면, RFID 시스템(10)은 RFID 리더(100)와 RFID 태그(200) 및 RFID 관리 서버(300)를 포함할 수 있다.Referring to FIG. 1, the
실시 예에 따라, RFID 시스템(10)은 RFID 태그(200)에 저장된 대상을 식별하기 위한 정보를 인식하여 활용하는 유통 물류 분야, 컨테이너 식별 및 추적, 톨게이트 시스템 등의 다양한 분야에 적용될 수 있으며, 이에 한정되지 않는다.Depending on the embodiment, the
RFID 리더(100)는 RFID 태그(200)로 RFID 태그(200)의 위치를 판단하기 위한 제1태그위치 센싱신호 및 제2태그위치 센싱신호를 송신할 수 있다. RFID 리더(100)는 RFID 태그(200)에 의해 제1태그위치 센싱신호 및 제2태그위치 센싱신호가 변조되어 생성된 제1변조신호 및 제2변조신호를 수신하고, 제1변조신호 및 제2변조신호의 위상 차이에 기초하여 RFID 리더(100)와 RFID 태그(200) 사이의 거리를 계산할 수 있다.The
실시 예에 따라, RFID 리더(100)는 별도의 단말 장치로 구현될 수 있고, 스마트폰, 태블릿 PC 등의 무선 통신 단말에 포함될 수도 있으며, 이에 한정되지 않는다.According to an embodiment, the
RFID 태그(200)는 RFID 태그(200)가 부착된 대상에 관한 정보, 즉 RFID 태그 정보를 저장할 수 있다. RFID 태그(200)는 RFID 리더(100)로부터 수신한 제1태그위치 센싱신호 및 제2태그위치 센싱신호 각각을 저장된 RFID 태그 정보에 기초하여 제1변조신호 및 제2변조신호를 생성할 수 있다. RFID 태그(200)는 생성한 제1변조신호 및 제2변조신호를 RFID 리더(100)로 송신할 수 있다.The
RFID 서버(300)는 RFID 리더(100)로부터 전달된 RFID 태그(200)의 RFID 태그 정보를 수집, 처리, 및 관리할 수 있다.The
실시 예에 따라, RFID 서버(300)는 RFID 리더(100)로부터 제1변조신호 및 제2변조신호를 수신하여 RFID 리더(100)와 RFID 태그(200) 사이의 거리를 계산할 수 있다. RFID 서버(300)는 거리 범위를 미리 설정하여 RFID 리더(100)로부터 수신한 RFID 리더(100)와 RFID 태그(200) 사이의 거리 값 중 미리 설정된 거리 범위에 해당하는 RFID 태그(200)를 선택할 수 있다.According to an embodiment, the
실시 예에 따라, RFID 서버(300)는 복수의 RFID 리더들(미도시)로부터 전송되는 RFID 태그 정보를 수집, 처리, 및 관리할 수 있다.According to an embodiment, the
실시 예에 따라, RFID 서버(300)는 메모리 및 프로세서를 포함하여 구현될 수 있으며, RFID 서버(300) 내의 데이터 처리는 상기 프로세서에 의해 수행될 수 있다.According to an embodiment, the
도 2는 본 발명의 기술적 사상에 의한 일 실시 예에 따른 RFID 리더를 나타낸 블럭도이다.2 is a block diagram showing an RFID reader according to an embodiment of the inventive concept.
도 1과 도 2를 참조하면, 본 발명의 기술적 사상에 의한 일 실시 예에 따른 RFID 리더(100)는 태그위치 센싱신호 생성기(110), 신호 송수신기(120), 태그위치 계산기(130), 주파수 변경값 설정기(140), 태그정보 추출기(150), 및 타겟 태그 선택기(160)를 포함할 수 있다.1 and 2, the
태그위치 센싱신호 생성기(110)는 RFID 태그(200)의 위치를 센싱하기 위한 태그위치 센싱신호들을 생성할 수 있다.The tag position
실시 예에 따라, 태그위치 센싱신호 생성기(110)는 RFID 태그(200)의 위치를 센싱하기 위해 서로 다른 주파수의 태그위치 센싱신호들을 생성할 수 있다.According to an embodiment, the tag position
신호 송수신기(120)는 태그위치 센싱신호 생성기(110)에 의해 생성된 태그위치 센싱신호들을 RFID 태그(200)로 송신하고, RFID 태그(200)에 의해서 변조되어 역산란된 변조신호들을 수신하여 RFID 리더(100) 내부의 구성(예컨대, 태그위치 계산기(130), 주파수 변경값 설정기(140), 태그정보 추출기(150) 등)로 전달할 수 있다.The signal transmitter/
실시 예에 따라, 신호 송수신기(120)는 RFID 통신을 위한 안테나를 포함할 수 있다.According to an embodiment, the
태그위치 계산기(130)는 RFID 태그(200)에 의해 변조되어 역산란된 변조신호들을 신호 송수신기(120)를 통하여 수신하고, 수신된 변조신호들의 위상 차이에 기초하여 RFID 리더(100)와 RFID 태그(200) 사이의 거리를 계산할 수 있다.The
실시 예에 따라, 태그위치 계산기(130)는 수신된 변조신호들의 DC성분을 제거하여 교류정합된 AC신호를 생성하고, 교류정합된 AC신호들의 위상 차이에 기초하여 RFID 리더(100)와 RFID 태그(200) 사이의 거리를 계산할 수 있다. 실시 예에 따라, 태그위치 계산기(130)는 수신된 각 변조신호의 동위상(I) 신호의 DC 성분과 직교위상(Q) 신호의 DC 성분을 제거할 수 있다. 이 경우, 태그위치 계산기(130)는 수신된 변조신호들의 DC성분을 제거하기 위한 필터(예컨대, 고역통과필터(High Pass Filter(HPF))를 포함할 수 있다. 실시 예에 따라, 태그위치 계산기(130)가 DC성분을 필터링하는 경우, 기준 주파수(예컨대, 1Hz)이하의 주파수 성분을 DC성분으로 필터링할 수 있다. 태그위치 계산기(130)는 교류정합된 AC신호를 이용하는 경우, 변조신호들의 위상 차이를 더욱 정확하게 추정할 수 있다.According to an embodiment, the
주파수 변경값 설정기(140)는 태그위치 센싱신호 생성기(110)에서 복수의 태그위치 센싱신호들을 생성할 때, 복수의 태그위치 센싱신호들 간의 주파수 변경값을 설정할 수 있다.When the tag position
실시 예에 따라, 주파수 변경값 설정기(140)는 RFID 리더(100)가 사용하는 RFID 통신의 주파수 대역(예컨대, HF(High Frequency) 대역, UHF(Ultra High Frequency) 또는 초고주파 대역 등)에 따라 주파수 변경 값을 서로 다르게 설정할 수 있다.According to an embodiment, the frequency
실시 예에 따라, 주파수 변경값 설정기(140)는 신호 송수신기(120)를 통하여 수신된 통신 신호를 전달 받고, 전달 받은 통신 신호에 기초하여 주파수 변경값을 설정할 수도 있다.According to an embodiment, the frequency
태그정보 추출기(150)는 신호 송수신기(120)로부터 전달된 변조신호들로부터 해당 변조신호를 변조한 RFID 태그(예컨대, 200)의 RFID 태그 정보를 복조하여 추출할 수 있다.The
타겟 태그 선택기(160)는 태그위치 계산기(130)에 의해 계산된 RFID 리더(100)와 RFID 태그(200) 간의 거리에 기초하여, 복수의 RFID 태그들(미도시) 중에서 미리 설정된 범위 내의 거리를 가지는 RFID 태그를 선택할 수 있다. 이 경우, RFID 리더(100)의 태그정보 추출기(150)는 타겟 태그 선택기(160)에 의해 선택된 RFID 태그에 대한 RFID 태그 정보만을 선택적으로 추출할 수 있다.The
실시 예에 따라, 태그위치 센싱신호 생성기(110), 태그위치 계산기(130), 주파수 변경값 설정기(140), 태그정보 추출기(150), 및 타겟 태그 선택기(160) 중 적어도 어느 하나는 RFID 리더(100) 내의 프로세서(미도시)의 일부 기능 또는 일부 모듈의 형태로 구현될 수 있다.Depending on the embodiment, at least one of the tag position
도 3은 본 발명의 기술적 사상에 의한 일 실시 예에 따른 RFID 태그 위치 센싱 방법을 나타낸 순서도이다.3 is a flowchart illustrating a method of sensing a location of an RFID tag according to an embodiment of the inventive concept.
도 1 내지 도 3을 참조하면, RFID 리더(100)의 태그위치 센싱신호 생성기(110)는 RFID 태그(200)를 센싱하기 위한 제1주파수의 제1태그위치 센싱신호와 제2주파수의 제2태그위치 센싱신호를 생성할 수 있다(S310).1 to 3, the tag position
태그위치 센싱신호 생성기(110)는 생성한 제1태그위치 센싱신호와 제2태그위치 센싱신호를 RFID 리더(100)의 신호 송수신기(120)를 통하여 외부로 송신할 수 있다. 신호 송수신기(120)는 태그위치 센싱신호 생성기(110)로부터 수신한 제1태그위치 센싱신호와 제2태그위치 센싱신호를 RFID 태그(200)로 송신할 수 있다(S311).The tag position
RFID 태그(200)는 제1태그위치 센싱신호를 RFID 태그(200)에 포함된 RFID 태그 정보에 따라 변조하여 제1변조신호를 생성하고, 제2태그위치 센싱신호를 RFID 태그(200)에 포함된 RFID 태그 정보에 따라 변조한 제2변조신호를 생성할 수 있다(S320). RFID 태그(200)는 생성된 제1변조신호와 제2변조신호를 RFID 리더(100)의 신호 송수신기(120)로 송신할 수 있다(S321).The
실시 예에 따라, 변조 방식은 ASK(Ampliyude Shift Keying), PSK(Phase Shift Keying), FSK(Frequency Shift Keying), BPSK(Binary Phase Shift Keying)등의 방식이 사용될 수 있으며, 이에 한정되지 않는다.Depending on the embodiment, the modulation scheme may be ASK (Ampliyude Shift Keying), PSK (Phase Shift Keying), FSK (Frequency Shift Keying), BPSK (Binary Phase Shift Keying), or the like, but is not limited thereto.
RFID 리더(100)의 신호 송수신기(120)는 RFID 태그(200)로부터 수신한 제1변조신호와 제2변조신호를 태그위치 계산기(130)로 전송하고 태그위치 계산기(130)는 수신한 제1변조신호와 제2변조신호의 위상 차이에 기초하여 RFID 리더(100)와 RFID 태그(200) 사이의 거리를 계산할 수 있다(S330).The
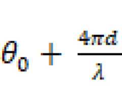
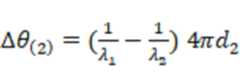
RFID 리더(100)와 RFID 태그(200) 사이의 거리인 d는, 식 (c는 빛의 속도,는 상기 제1주파수와 상기 제2주파수의 차이,는 상기 제1변조신호와 상기 제2변조신호의 위상 차이)에 의해 산출될 수 있다.D, which is the distance between the
제1주파수가이고 제2주파수가일 때, 떨어진 RFID 태그(200)로부터 수신된 신호의 위상 변화과 떨어진 RFID 태그(200)로부터 수신된 신호의 위상 변화는,The first frequency And the second frequency is when, Phase change of the signal received from the separated
(1)(One)
(2)(2)
로 나타낼 수 있다. 식 (3), (4)로부터 거리,를 계산하면,It can be expressed as Distance from equations (3) and (4) , If you calculate
(5)(5)
(6)(c는 빛의 속도,는이고,)(6) (c is the speed of light, Is ego, )
이 될 수 있다. RFID 리더(100)와 각각 d1, d2의 거리를 가지는 RFID 태그(200) 사이의 거리를 측정할 수 있다.Can be The distance between the
즉, RFID 리더(100)의 태그위치 계산기(130)는 서로 다른 주파수의 태그위치 센싱신호들이 RFID 태그(200)에 의해 변조되어 회신된 변조신호들의 위상 차이를 이용하여 RFID 리더(100)와 RFID 태그(200) 사이의 거리를 계산할 수 있다.That is, the
실시 예에 따라, 제1주파수와 제2주파수는 서로 다른 주파수일 수 있다. 실시 예에 따라, RFID 리더(100)는 PLL(Phase Locked Loop)회로를 포함할 수 있고 PLL(Phase Locked Loop)회로는 제1주파수와 제2주파수를 다르게 설정할 수 있다.Depending on the embodiment, the first frequency and the second frequency may be different frequencies. According to an embodiment, the
실시 예에 따라, RFID 리더(100)의 태그위치 센싱신호 생성기(110)는 제1주파수와 주파수 변경값 설정기(140)에 의해 설정된 주파수 변경값에 기초하여 제2주파수를 설정하여, 제1주파수의 제1태그위치 센싱신호와 제2주파수의 태그위치 센싱신호를 생성할 수 있다.According to an embodiment, the tag position
실시 예에 따라, 주파수 변경값은 제1주파수가 속한 주파수 대역에 기초하여 설정될 수 있다.According to an embodiment, the frequency change value may be set based on a frequency band to which the first frequency belongs.
실시 예에 따라, RFID 리더 시스템(10)이 사용하는 주파수 대역은 크게 HF(High Frequency) 대역, UHF(Ultra High Frequency) 및 초고주파 대역 등으로 분류할 수 있다. 실시 예에 따라, RFID 리더 시스템(10)에서 사용되는 태그위치 센싱신호의 제1주파수와 제2주파수 각각은 UHF 대역 또는 초고주파 대역에 포함될 수 있다.According to an embodiment, the frequency band used by the
실시 예에 따라, 제1주파수와 제2주파수의 주파수 변화폭은 주파수 대역 범위에서 변화 가능한 최대 값으로 설정될 수 있다. 각각의 주파수 대역은 적용 분야별, 나라별로 달라질 수 있다. RFID 리더(100)의 주파수 변경값 설정기(140)는 RFID 리더(100)가 적용되는 주파수 대역에 따라 제1주파수와 제2주파수의 차이, 즉 주파수 변경 값을 서로 다르게 설정할 수 있다. RFID 리더(100)가 적용되는 주파수 대역은 기술 기준의 함수이므로 기술 기준의 최대값 이하로 변경시킬 수 있다.According to an embodiment, the frequency change width of the first frequency and the second frequency may be set to a maximum value that can be changed in a frequency band range. Each frequency band may vary by application field and country. The frequency
예를 들어, RFID 리더(100)가 미국의 UHF 대역인 902MHz~928MHz의 주파수 대역에 적용되는 경우 최대 주파수 변화폭은 26MHz이며 이 경우 주파수 변경값 설정기(140)는 주파수 변경 값을 26MHz로 설정할 수 있다.For example, when the
또 다른 실시 예에 따라, 2.4GHz 대역의 주파수 변화폭이 2400MHz ~2484.5MHz 인 경우 최대 주파수 변화폭은 84.5MHz이므로 주파수 변경값 설정기(140)는 주파수 변경 값을 84.5MHz 로 설정할 수 있다.According to another embodiment, when the frequency change width of the 2.4 GHz band is 2400 MHz to 2484.5 MHz, the maximum frequency change width is 84.5 MHz, so the frequency
RFID 리더(100)는 S330 단계에서 계산된 RFID 리더(100)와 RFID 태그(200) 간의 거리에 기초하여 복수의 RFID 태그들(미도시) 중에서 미리 설정된 범위 내의 RFID 리더(100)와의 거리를 가지는 RFID 태그(200)를 선택할 수 있다(S340).The
S340 단계에서의 RFID 태그를 선택하는 상세한 과정에 대해서는 도 4를 참조하여 후술하도록 한다.A detailed process of selecting an RFID tag in step S340 will be described later with reference to FIG. 4.
RFID 리더(100)의 신호 송수신기(120)가 RFID 태그(200)로부터 수신한 제1변조신호는 제1태그위치 센싱신호에 기초하여 RFID 태그(200)에 포함된 정보에 따라 변조된 신호이며, 제2변조신호는 제2태그위치 센싱신호에 기초하여 RFID 태그(200)에 포함된 정보에 따라 변조된 신호이다. 태그정보 추출기(150)는 신호 송수신기(120)로부터 제1변조신호 및 제2변조신호를 수신하고 수신한 제1변조신호 및 제2변조신호를 복조하여 RFID 태그(200)에 포함된 RFID 태그 정보를 추출할 수 있다(S350).The first modulated signal received from the
도 4는 본 발명의 기술적 사상에 의한 일 실시 예에 따른 RFID 리더가 설정된 범위 내의 RFID 태그를 선택하는 과정을 설명하기 위한 도면이다.4 is a diagram for describing a process of selecting an RFID tag within a set range by an RFID reader according to an embodiment of the inventive concept.
도 4를 참조하면, 본 발명의 RFID 리더 시스템(10)은 복수개의 RFID 태그들(200-1, 200-2, 200-3, 200-4, 200-5)을 포함할 수 있다. 복수개의 RFID 태그들은 도 4에 도시한 RFID 태그들(200-1, 200-2, 200-3, 200-4, 200-5)로 한정되지 않으며 RFID 태그의 수는 다양한 변경이 가능하다.Referring to FIG. 4, the
RFID 리더(100)는 복수 개의 RFID 태그들(200-1, 200-2, 200-3, 200-4, 200-5) 각각의 거리를 산출할 수 있다.The
RFID 리더(100)의 태그위치 계산기(130)는 태그위치 계산기(130)에서 계산한 RFID 리더(100)와 RFID 태그들(200-1, 200-2, 200-3, 200-4, 200-5) 사이의 각각의 거리 값을 타겟 태그 선택기(160)로 송신할 수 있다.The
타겟 태그 선택기(160)는 선택할 거리 범위를 미리 설정하여 태그위치 계산기(130)로부터 수신한 RFID 리더(100)와 RFID 태그들(200-1, 200-2, 200-3, 200-4, 200-5) 사이의 각각의 거리 값 중 미리 설정된 거리 범위에 해당하는 RFID 태그(예컨대, 201, 202)를 선택할 수 있다.The
실시 예에 따라, 타겟 태그 선택기(160)가 미리 설정한 거리 범위가 d 이하이고, RFID 리더(100)와 RFID 태그(200-1), RFID 태그(200-2), RFID 태그(200-3)와의 거리를 각각 d1,d2, d3라고 가정한다. 각각의 거리 값이 d1,d2〈 d〈 d3인 경우, 타겟 태그 선택기(160)는 미리 설정한 거리 범위인 d보다 큰 d3의 값을 가지는 RFID 태그(200-3)를 제외하고 미리 설정한 거리 범위인 d보다 작은 범위에 포함되는 d1,d2에 해당하는 RFID 태그(200-1), RFID 태그(200-2)만을 선택할 수 있다.According to an embodiment, the distance range preset by the
실시 예에 따라, 설정 거리 범위는 타겟 태그 선택기(160)가 미리 설정한 거리의 상한 범위이거나 미리 설정한 거리의 하한 범위 일 수 있다. 또한 설정 거리 범위는 미리 설정한 거리의 상한 범위와 하한 범위를 동시에 가지는 특정 거리 영역일 수도 있다.According to an embodiment, the set distance range may be an upper limit range of a distance preset by the
실시 예에 따라, 미리 설정한 거리의 범위가 d 이상일 경우, 타겟 태그 선택기(160)는 RFID 리더(100)와 RFID 태그(200)의 거리가 d 이하인 RFID 태그(200-1), RFID 태그(200-2)를 제외하고 RFID 태그(200-3), RFID 태그(200-4), 및 RFID 태그(200-5)를 선택할 수 있다.According to an embodiment, when the preset distance range is greater than or equal to d, the
또 다른 실시 예에 따라, 미리 설정한 거리의 범위가 d - d1를 만족하는 범위일 경우, 타겟 태그 선택기(160)는 RFID 리더(100)와 RFID 태그(200)의 거리가 범위가 d - d1를 만족하는 범위에 포함되는 RFID 태그(200-2)만을 선택할 수 있다.According to another embodiment, when the range of the preset distance is a range that satisfies d-d1 , the
실시 예에 따라, 태그정보 추출기(150)는 타겟 태그 선택기(160)에 의해 선택된 RFID 태그(예컨대, 200-1,200-2)에 포함된 정보를 복조하여 RFID 태그(예컨대, 200-1, 200-2)의 정보를 추출할 수 있다.According to an embodiment, the
타겟 태그 선택기(160)는 미리 설정한 거리 범위에 기초하여 설정한 거리 범위에 해당하는 RFID 태그(200)에 해당하는 타겟 정보 또는 태그 정보를 태그정보 추출기(150)로 전송할 수 있다. 실시 예에 따라, 타겟 정보는 특정 RFID 태그(200)를 구별할 수 있는 정보일 수 있다. 태그정보 추출기(150)는 타겟 태그 선택기(160)로부터 태그 정보 또는 타겟 정보를 수신하고 수신한 타겟 정보 또는 태그 정보에 해당하는 RFID 태그(200)의 정보를 복조하여 RFID 태그(200)의 정보를 추출할 수 있다. 즉, 태그정보 추출기(150)는 선택된 RFID 태그에 대한 RFID 태그 정보만을 복조하여 추출할 수 있다.The
실시 예에 따라, 본 발명의 기술적 사상에 따른 RFID 리더(200)에 있어서, 미리 설정된 거리 값에 기초하여 필요한 RFID 태그(200)만을 선택할 수 있어 선택된 RFID 태그(200)에 포함된 정보만을 추출할 수 있다.According to an embodiment, in the
실시 예에 따라, RFID 리더 시스템(10)의 응용 분야에 활용되어 응용 분야의 운영 또는 유지 비용을 절감할 수 있고 효율적인 RFID 태그(200) 인식 환경을 제공할 수 있다.Depending on the embodiment, it is utilized in the application field of the
도 5는 본 발명의 기술적 사상에 의한 다른 실시 예에 따른 RFID 태그 위치 센싱 방법을 나타낸 순서도이다.5 is a flowchart illustrating a method of sensing an RFID tag location according to another embodiment according to the inventive concept.
도 5를 참조하면, RFID 관리 서버(300)는, 제1주파수의 제1태그위치 센싱신호에 기초하여 RFID 태그(200)에 포함된 정보에 따라 변조된 제1변조신호와 제2주파수의 제2태그위치 센싱신호에 기초하여 RFID 태그(200)에 포함된 정보에 따라 변조된 제2변조신호를 RFID 리더(100)로부터 수신하고, 수신된 제1변조신호와 제2변조신호의 위상 차이에 기초하여 RFID 태그(200)와 RFID 리더(100)의 거리를 계산하고, 복수의 RFID 태그들(200-1, 200-2, 200-3, 200-4, 200-5) 중 미리 설정된 범위 내의 상기 RFID 리더(100)와의 거리를 가지는 RFID 태그(200)를 선택하여 선택된 RFID 태그(200-1, 200-2)에 포함된 정보를 복조하여 RFID 태그(200-1, 200-2)의 정보를 추출하는, RFID 관리 서버(300)를 포함할 수 있다.Referring to FIG. 5, the
실시 예에 따라, RFID 리더(100)는 제1태그위치 센싱신호 및 제2태그위치 센싱신호를 생성하고(S510), 생성된 제1태그위치 센싱신호 및 제2태그위치 센싱신호를 RFID 태그(200)로 송신할 수 있다(S511).According to an embodiment, the
RFID 태그(200)는 제1태그위치 센싱신호에 기초하여 RFID 태그(200)에 포함된 정보에 따라 변조하여 제1변조신호를 생성하고, 제2태그위치 센싱신호에 기초하여 RFID 태그(200)에 포함된 정보에 따라 변조하여 제1변조신호를 생성할 수 있다(S520).The
RFID 태그(200)는 생성된 제1변조신호 및 제2변조신호를 RFID 리더(100)로 송신하고(S521), RFID 리더(100)는 RFID 태그(200)로부터 제1변조신호와 제2변조신호를 수신할 수 있다.The
RFID 리더(100)는 RFID 태그(200)로부터 수신한 제1변조신호와 제2변조신호를 RFID 관리 서버(300)로 송신할 수 있다(S522).The
RFID 리더(100)로부터 제1변조신호와 제2변조신호를 수신한 RFID 관리 서버(300)는 수신한 제1변조신호와 제2변조신호의 위상 차이에 기초하여 RFID 태그(200)와 RFID 리더(100)의 거리를 계산할 수 있다(S530).The
RFID 관리 서버(300)는 계산된 거리에 기초하여 복수의 RFID 태그들(200) 중에서 미리 설정된 범위에 해당하는 RFID 리더(100)와의 거리를 가지는 RFID 태그들(200)을 선택할 수 있다(S540). RFID 관리 서버(300)는 선택된 RFID 태그(200)에 포함된 정보를 복조하고 추출할 수 있다(S550).The
실시 예에 따라, RFID 관리 서버(300)는 RFID 리더(100)로부터 데이터를 수집, 처리, 및 관리할 수 있는 장치로서 메모리와 프로세서를 포함하여 구현될 수 있다. RFID 관리 서버(300)는 RFID 리더(100)로부터 RFID 태그(200)의 정보를 수신하여 정해진 RFID 시스템 운용 방식에 따라 가공하여 다양한 방식으로 이용할 수 있다.According to an embodiment, the
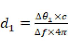
도 6은 본 발명의 기술적 사상에 의한 일 실시 예에 따른 RFID 리더와 RFID 태그 사이의 거리 및 태그위치 센싱 신호들의 주파수의 변화에 따른 위상 차이를 나타낸 그래프이다. 도 6은 RFID 리더(100)와 RFID 태그(200) 사이의 거리에 따라 의 주기적인 위상변화가 발생함을 확인하기 위하여 미국 UHF 대역(902~928 MHz)을 가정하였다.6 is a graph illustrating a phase difference according to a change in frequency of a distance between an RFID reader and an RFID tag and a frequency of tag position sensing signals according to an embodiment of the inventive concept. 6 is according to the distance between the
도 6을 참조하면, 도 6은 RFID 태그(200)가 RFID 리더(100)로부터 50cm 에서부터 1.5m까지 이동하는 경우 902MHz와 928MHz 두 주파수에서 I 채널의 크기 변화를 나타낸다. 주파수 차가 26MHz인 경우 50cm에서 1.5m로 거리가 늘어남에 따라 점선의 기울기가 커진다. 점선의 기울기가 커진다는 것은 주파수에 따라 거리에 따른 위상의 변화에 차이가 있음을 알 수 있다.Referring to FIG. 6, when the
본 발명의 기술적 사상에 대한 일 실시 예에 따른 RFID 리더(100)는 태그위치 센싱신호들의 주파수에 따라 동일 거리에서도 위상의 변화에 차이가 있는 것을 이용하여 RFID 리더(100)와 RFID 태그(200) 사이의 거리를 계산할 수 있다.The
도 7은 본 발명의 기술적 사상에 의한 일 실시 예에 따른 태그위치 센싱 신호들의 주파수 차이에 따른 위상 차이에 기초하여 거리를 계산한 표이다.7 is a table in which a distance is calculated based on a phase difference according to a frequency difference of tag position sensing signals according to an embodiment of the inventive concept.
도 7을 참조하면, 구체적으로 도 7은 제1주파수와 제2주파수의 차이가 5MHz, 10MHz, 15MHz인 경우 각각의 위상 차이에 기초하여 RFID 리더(100)와 RFID 태그(200) 사이의 거리를 측정한 모의 실험 결과와 거리 산출 식에 의한 거리 값을 비교한 표이다.Referring to FIG. 7, specifically, FIG. 7 shows the distance between the
RFID 태그(200)는 2.4GHz에서 입사된 제1태그위치 센싱신호 및 제2태그위치 센싱신호를 ASK 방식으로 역산란 할 수 있다. 도 7의 표에서 상위 3회의 실험 결과는 RFID 리더(100)와 RFID 태그(200) 사이의 거리를 10cm로 고정하였을 때 제1주파수의 차이가 5MHz, 10MHz, 15MHz인 경우에서 각각에서의 실험 결과이다. 또한 도 7의 표에서 하위 3회의 실험 결과는 RFID 리더(100)와 RFID 태그(200) 사이의 거리를 15cm로 고정하였을 때 제1주파수와 제2주파수의 차이가 5MHz, 10MHz, 15MHz인 경우에서 각각 에서의 실험 결과이다.The
RFID 리더(100)와 RFID 태그(200) 사이의 거리가 10cm 일 때 제1주파수와 제2주파수의 차이가 5MHz인 경우 산출 식에 의해서 위상 차이는 1.2。이며, 실험에서 위상 차이는 1.22。이고 측정된 거리는 10.14cm로 1.4%의 거리 오차가 발생하였다. 제1주파수와 제2주파수의 차이가 10MHz인 경우 산출 식에 의한 위상 차이는 2.4。이며, 실험에서 위상 차이는 2.57。이고 측정된 거리는 10.73cm로 7.3%의 거리 오차가 발생하였다. 이를 통해 RFID 리더(100)가 제1주파수와 제2주파수를 다르게 설정하였을 때, 제1태그위치 센싱신호와 제2태그위치 센싱신호를 기초하여 RFID 리더(100)와 RFID 태그(200) 사이의 거리를 측정할 수 있음을 확인하였다.When the distance between the
실시 예에 따라, 주파수 변경값 설정기(140)는 산출 식에 의한 RFID 리더(100)와 RFID 태그(200) 사이의 거리 값과 실제 RFID 리더(100)와 RFID 태그(200) 사이의 거리 값을 비교하여 오차 범위가 적을 때의 제1주파수와 제2주파수의 차이에 상응하는 주파수 변경값을 설정할 수 있다.According to an embodiment, the frequency
이상, 본 발명을 바람직한 실시 예를 들어 상세하게 설명하였으나, 본 발명은 상기 실시 예에 한정되지 않고, 본 발명의 기술적 사상 및 범위 내에서 당 분야에서 통상의 지식을 가진 자에 의하여 여러가지 변형 및 변경이 가능하다.Above, although the present invention has been described in detail with reference to a preferred embodiment, the present invention is not limited to the above embodiment, and various modifications and changes by those of ordinary skill in the art within the spirit and scope of the present invention This is possible.
100: RFID 리더
110: 태그위치 센싱신호 생성기
120: 신호 송수신기
130: 태그위치 계산기
140: 주파수 변경값 설정기
150: 태그정보 추출기
160: 타겟 태그 선택기
200, 200-1, 200-2, 200-3, 200-4, 200-5: RFID 태그100: RFID reader
110: tag position sensing signal generator
120: signal transceiver
130: tag position calculator
140: frequency change value setter
150: tag information extractor
160: target tag selector
200, 200-1, 200-2, 200-3, 200-4, 200-5: RFID tags
| Application Number | Priority Date | Filing Date | Title |
|---|---|---|---|
| KR1020190048741AKR102225318B1 (en) | 2019-04-25 | 2019-04-25 | Rfid reader, tag location sensing method, and rfid management server using the same |
| Application Number | Priority Date | Filing Date | Title |
|---|---|---|---|
| KR1020190048741AKR102225318B1 (en) | 2019-04-25 | 2019-04-25 | Rfid reader, tag location sensing method, and rfid management server using the same |
| Publication Number | Publication Date |
|---|---|
| KR20200125052Atrue KR20200125052A (en) | 2020-11-04 |
| KR102225318B1 KR102225318B1 (en) | 2021-03-09 |
| Application Number | Title | Priority Date | Filing Date |
|---|---|---|---|
| KR1020190048741AActiveKR102225318B1 (en) | 2019-04-25 | 2019-04-25 | Rfid reader, tag location sensing method, and rfid management server using the same |
| Country | Link |
|---|---|
| KR (1) | KR102225318B1 (en) |
| Publication number | Priority date | Publication date | Assignee | Title |
|---|---|---|---|---|
| KR20220149052A (en)* | 2021-04-30 | 2022-11-08 | (주)에스피에스 | Apparatus for reading location of rfid tag |
| Publication number | Priority date | Publication date | Assignee | Title |
|---|---|---|---|---|
| WO2006095463A1 (en)* | 2005-03-09 | 2006-09-14 | Omron Corporation | Distance measuring apparatus, distance measuring method, reflector and communication system |
| KR20170110353A (en)* | 2016-03-23 | 2017-10-11 | 한국전자통신연구원 | Passive rfid reader, server for estimating phase difference and method for the same |
| Publication number | Priority date | Publication date | Assignee | Title |
|---|---|---|---|---|
| WO2006095463A1 (en)* | 2005-03-09 | 2006-09-14 | Omron Corporation | Distance measuring apparatus, distance measuring method, reflector and communication system |
| KR20170110353A (en)* | 2016-03-23 | 2017-10-11 | 한국전자통신연구원 | Passive rfid reader, server for estimating phase difference and method for the same |
| Publication number | Priority date | Publication date | Assignee | Title |
|---|---|---|---|---|
| KR20220149052A (en)* | 2021-04-30 | 2022-11-08 | (주)에스피에스 | Apparatus for reading location of rfid tag |
| Publication number | Publication date |
|---|---|
| KR102225318B1 (en) | 2021-03-09 |
| Publication | Publication Date | Title |
|---|---|---|
| US7304579B2 (en) | RFID reader to select code modules | |
| US9361488B2 (en) | Single or dual complex subcarrier downconversion | |
| US8977194B2 (en) | Media exposure and verification utilizing inductive coupling | |
| US8836512B2 (en) | Self tuning RFID | |
| KR101407359B1 (en) | Rfid reader and rf transmission method thereof | |
| JP2009282642A (en) | Interrogating apparatus, rfid interrogator, rfid interrogating program, and rfid interrogating method | |
| US9898630B2 (en) | Interrogation device, system including interrogation device, and program | |
| KR102225318B1 (en) | Rfid reader, tag location sensing method, and rfid management server using the same | |
| JP2009086984A (en) | Non-contact communication medium reading device and non-contact communication medium reading method | |
| KR100968749B1 (en) | Preamble Detection Device for Miller Encoded Signal Including Subcarrier | |
| Qiwei | Research and design on radio frequency identification reader | |
| CN103902945A (en) | Method for increasing identification rate of RFID label by adopting frequency-hopping scanning | |
| JP4807029B2 (en) | RFID system and RFID tag | |
| KR100804498B1 (en) | Heterogeneous card using RFID | |
| KR101276799B1 (en) | Rfid reader and method for identifying rfid tag thereof and apparatus for analyzing reception power pattern | |
| KR100870101B1 (en) | Wireless communication device (RF shower system) for multi-reader-tag communication and its control method | |
| Khelladi et al. | Design and implementation of passive UHF RFID system | |
| Jang | Hardware design and deployment issues in uhf rfid systems | |
| KR20120100136A (en) | Rfid reader for chipless tag | |
| EP2041692A1 (en) | Transceiver device for responder signals | |
| Jeong | Implementation of the RFID Multi Protocol Test System | |
| ElMahgoub | How the Future Looks for UHF RFID! |
| Date | Code | Title | Description |
|---|---|---|---|
| PA0109 | Patent application | Patent event code:PA01091R01D Comment text:Patent Application Patent event date:20190425 | |
| PA0201 | Request for examination | ||
| PE0902 | Notice of grounds for rejection | Comment text:Notification of reason for refusal Patent event date:20200630 Patent event code:PE09021S01D | |
| PG1501 | Laying open of application | ||
| E701 | Decision to grant or registration of patent right | ||
| PE0701 | Decision of registration | Patent event code:PE07011S01D Comment text:Decision to Grant Registration Patent event date:20201224 | |
| GRNT | Written decision to grant | ||
| PR0701 | Registration of establishment | Comment text:Registration of Establishment Patent event date:20210303 Patent event code:PR07011E01D | |
| PR1002 | Payment of registration fee | Payment date:20210304 End annual number:3 Start annual number:1 | |
| PG1601 | Publication of registration | ||
| PR1001 | Payment of annual fee | Payment date:20241230 Start annual number:5 End annual number:5 |