
본 발명은 적어도 2 종의 기화 가능한 유기 화합물을 포함하는 균질 조성물의 제조 방법, 전자 디바이스의 제조를 위한 이러한 균질 조성물의 용도 및 적어도 하나의 층에 균질 조성물을 포함하는 전자 디바이스에 관한 것이다.The present invention relates to a process for producing a homogeneous composition comprising at least two vaporizable organic compounds, to the use of such a homogeneous composition for the manufacture of an electronic device and to an electronic device comprising the homogeneous composition in at least one layer.
본 출원의 문맥에서 전자 디바이스는 유기 반도체 재료를 기능적 재료로서 함유하는, 유기 전자 디바이스로 불리는 것을 의미하는 것으로 이해된다. 보다 구체적으로, 이들 디바이스는 유기 전계발광 (EL) 디바이스, 특히 유기 발광 다이오드 (OLED) 를 의미하는 것으로 이해된다.In the context of the present application an electronic device is understood to mean what is called an organic electronic device, containing an organic semiconductor material as a functional material. More specifically, these devices are understood to mean organic electroluminescent (EL) devices, in particular organic light emitting diodes (OLEDs).
유기 전계발광 디바이스의 일반 구조 및 동작 모드는 당업자에게 알려져 있고, 예를 들어 US 4539507, US 5151629, EP 0676461 및 WO 98/27136 에 기재되어 있다. 일반적으로, 유기 전계발광 디바이스는 유기 화합물을 포함하는 하나 이상의 층에 의해 분리된 이격된 전극을 함유하며, 이는 소위 유기 발광 구조를 형성하고 전극을 가로지르는 전위차의 적용에 응답하여 전자기 방사선, 전형적으로 빛을 방출한다.General structures and modes of operation of organic electroluminescent devices are known to those skilled in the art and are described, for example, in US 4539507, US 5151629, EP 0676461 and WO 98/27136. In general, organic electroluminescent devices contain spaced apart electrodes separated by one or more layers comprising organic compounds, which form so-called organic light emitting structures and, in response to the application of a potential difference across the electrodes, typically Emits light.
본 출원 내에서, 기능성 재료로서 하나 이상의 유기 화합물을 포함하는 유기 전자 디바이스의 임의의 층은 또한 "유기층" 또는 "(다)기능성 유기층"으로 지칭될 것이며, 이 용어는 상호교환적으로 사용된다. 용어 "다기능성"은 유기층이 상이한 기능성의 하나 이상의 유기 재료를 포함함을 나타낸다.Within this application, any layer of an organic electronic device comprising at least one organic compound as a functional material will also be referred to as an "organic layer" or "(poly) functional organic layer", which terms are used interchangeably. The term "multifunctional" denotes that the organic layer comprises one or more organic materials of different functionality.
최근, 바람직한 전자 디바이스는 박막 증착 기술을 사용하여 구성되어 왔다. 예를 들어, 애노드를 디바이스 지지체로서 사용하여, 유기 발광 구조체는 다수의 유기 박막의 조합으로서 증착되었으며, 여기서 각각의 유기층은 전자 디바이스 내에서 상이한 기능성을 가지며 캐소드의 증착이 뒤따른다.Recently, preferred electronic devices have been constructed using thin film deposition techniques. For example, using an anode as a device support, organic light emitting structures have been deposited as a combination of a plurality of organic thin films, where each organic layer has a different functionality within the electronic device followed by deposition of a cathode.
전자 디바이스의 성능, 특히 수명, 효율 및 동작 전압을 증가시키기 위해, 다수의 유기 화합물로 구성된 유기층, 예를 들어 상이한 호스트 (또는 매트릭스) 재료가 혼합되어 있는 유기층 ((예를 들어, 호스트 + 코-호스트 또는 정공 수송 재료 (HTM) + 전자 수송 재료 (ETM)), 또는 도펀트가 분산된 하나 이상의 호스트 재료로 구성된 유기층을 사용하는 것이 표준 지식이다.In order to increase the performance, in particular the lifetime, the efficiency and the operating voltage of the electronic device, an organic layer composed of a plurality of organic compounds, for example an organic layer in which different host (or matrix) materials are mixed (eg host + co- It is standard knowledge to use an organic layer consisting of a host or hole transport material (HTM) + electron transport material (ETM)), or one or more host materials in which dopants are dispersed.
원칙적으로, 이 다기능 유기층 증착 개념을 구현할 수 있는 두 가지 가능성이 있다. 첫번째 개념에 따르면, 증착될 상이한 유기 재료는 독립적으로 제어되는 증발원 ("증발 보트"라고도 함) 으로 제공된다. 그후, 각각의 유기 재료는 각각의 증발원으로부터 증발되고, 예를 들어 Steinbacher 등에 의한 "Simplified, yellow, organic light emitting diode by co-evaporation of premixed dye molecules",Organic Electronics (2011),12, 911-915에 기술된 바와 같이 박막 증착, 즉 다기능성 유기층을 형성하기 위해 애노드 또는 캐소드와 같은 기판 상에 응축된다. 그러나, 이러한 "공증발" 또는 "공증착" 공정은 적어도 2 가지 단점을 갖는다: i) 각각의 유기 재료의 원하는 증착 속도를 정확하게 제어하는 것은 어렵고 시간이 걸리며, ii) 공증발은 재료 활용 측면에서 상대적으로 낭비이다.In principle, there are two possibilities to implement this multifunctional organic layer deposition concept. According to the first concept, different organic materials to be deposited are provided as independently controlled evaporation sources (also called "evaporation boats"). Each organic material is then evaporated from its respective evaporation source, for example "Simplified, yellow, organic light emitting diode by co-evaporation of premixed dye molecules" by Steinbacher et al.,Organic Electronics (2011),12 , 911-915 Thin film deposition, as described, is condensed on a substrate, such as an anode or a cathode, to form a multifunctional organic layer. However, this "co-evaporation" or "co-deposition" process has at least two disadvantages: i) It is difficult and time-consuming to precisely control the desired deposition rate of each organic material, and ii) co-evaporation in terms of material utilization It is relatively wasteful.
두번째 개념에 따르면, 증착될 상이한 유기 재료가 먼저 혼합된다 (소위 "예비 혼합 (premixed)" 또는 "예비 혼합 (premixing)"). 생성된 혼합물을 포함하는 단일 증발원이 제공된다. 단일 증발원은 그후 유기 화합물을 기판 상에 증발 및 증착시켜 다기능 유기층을 형성하기에 충분한 시간 및 온도 동안 가열된다. "예비 혼합-증발"로 알려진 이 공정은 유리하게는 다수의 독립적인 증발원의 정밀한 제어를 필요로 하지 않으며, 재료 이용 측면에서 낭비가 아니며, 단순하고 빠른 증발 증착 및 디바이스 제조를 가능하게 한다. 또한, 상이한 유기 재료가 층 전체에 실질적으로 균일하게 분포되도록 기판, 예를 들어 애노드 또는 캐소드 상에 얇은 유기층을 도포 또는 코팅할 수 있다.According to a second concept, different organic materials to be deposited are first mixed (so-called "premixed" or "premixing"). There is provided a single evaporation source comprising the resulting mixture. The single evaporation source is then heated for a time and temperature sufficient to evaporate and deposit the organic compound onto the substrate to form a multifunctional organic layer. This process, known as "preliminary mixing-evaporation", advantageously does not require precise control of multiple independent evaporation sources, is not a waste in terms of material use, and enables simple and fast evaporation deposition and device fabrication. It is also possible to apply or coat a thin organic layer on a substrate, for example an anode or a cathode, so that different organic materials are distributed substantially uniformly throughout the layer.
유기 발광 디바이스에 유용하고 단일 증발원으로부터의 예비혼합 증발에 적합한 둘 이상의 호스트 재료의 조합은 WO 2011/136755 A1에 기재되어 있다.Combinations of two or more host materials useful in organic light emitting devices and suitable for premixed evaporation from a single evaporation source are described in WO 2011/136755 A1.
EP 1 274 136 A2, EP 1 337 132 A1 및 EP 1 454 736 A2에는, 유기 호스트 및 도펀트 재료의 분말을 혼합 또는 블렌딩하여 혼합물을 고체 압축 펠릿으로 응집시키기 전에 혼합물을 제공하고, 이러한 펠릿을 OLED의 일부를 형성하는 구조체 상에 유기층을 만들기 위한 열적 물리 기상 증착 (PVD) 원에서 사용하는 것이 보고되어 있다.
EP 1 156 536 A2는 유기 전계발광 디바이스의 제조 방법에 관한 것으로서, 호스트 재료와 발광 도펀트 재료를 원하는 비율로 예비 혼합한 다음 혼합물을 용융시키는 것을 기술한다. 그후, 예비 도핑된 재료는 도핑된 방출층의 증발 증착에 사용된다.
WO 2004/070787 A2는 단일 증발원으로부터의 증발에 의한 다기능성 박막 제조 방법을 보고하고 있다. 이 방법은 고온 및 고압 공정을 사용하여 매트릭스 재료 및 도펀트와 같은 상이한 유기 재료를 용융 및 예비혼합하고, 유기 재료를 기판의 표면 상에 증착시키는 단계를 포함한다. 재료 혼합물을 교반 막대로 교반하여 예비혼합을 수행한다.WO 2004/070787 A2 reports a method for producing multifunctional thin films by evaporation from a single evaporation source. The method includes melting and premixing different organic materials, such as matrix materials and dopants using high temperature and high pressure processes, and depositing organic materials on the surface of the substrate. The premix is carried out by stirring the material mixture with a stir bar.
그러나, 용융물을 예비혼합하기 위해 교반 막대 또는 교반기를 사용하는 것은 몇 가지 단점이 있다. 먼저, 혼합물 또는 용융물의 국부적인 교반만이 발생하여 사용된 유기 재료의 철저한 혼합을 방지할 수 있다. 결과적으로, 혼합 성능 또는 혼합 품질이 낮아질 수 있다. 둘째, 용융물의 점도에 따라, 교반 막대 또는 교반기가 높은 회전력을 요구할 수 있다. 냉각시, 혼합물의 점도가 증가하고 교반기가 결국 차단될 것이다. 존 용융 원리에 기초하여 교반하지 않고 고화가 시작될 때 나머지 용융물은 혼합 방지 (즉, 분리) 될 수 있다. 또한, 교반 막대 또는 교반기의 혼합물 또는 용융물로의 삽입으로 인해, 예비혼합 재료를 오염시킬 위험이 높다. 또한, 교반 막대 또는 교반기를 적용하면 예비혼합 및 증발을 위한 불활성 시스템을 갖는 것이 더욱 어렵다.However, using a stir bar or stirrer to premix the melt has several disadvantages. Firstly, only local agitation of the mixture or melt can take place to prevent thorough mixing of the organic materials used. As a result, the mixing performance or the mixing quality can be lowered. Second, depending on the viscosity of the melt, a stir bar or stirrer may require high rotational force. Upon cooling, the viscosity of the mixture will increase and the stirrer will eventually shut off. Based on the zone melting principle, the remaining melt can be prevented from mixing (ie separated) when solidification is started without stirring. In addition, due to the insertion of the stir bar or stirrer into the mixture or melt, there is a high risk of contaminating the premixed material. In addition, the application of a stir bar or stirrer makes it more difficult to have an inert system for premixing and evaporation.
적절한 수명 및 효율을 갖는 전자 디바이스를 제조하기 위해서는, 유기 재료가 균일하고 일관되게 증발 및 증착되고, 생성된 증착된 유기층에서 초기 혼합물의 재료의 비율을 유지하는 것이 중요하다. 이를 달성하기 위해, 균일하고 균질한 혼합 조성물이 증발 증착에 사용되어야 한다.In order to manufacture electronic devices with adequate lifetimes and efficiencies, it is important for organic materials to be evaporated and deposited uniformly and consistently, and to maintain the proportion of the material of the initial mixture in the resulting deposited organic layers. To achieve this, a homogeneous and homogeneous mixed composition must be used for evaporation deposition.
보다 균일하게 혼합된 균질 조성물, 특히 진공 증착될 수 있는 조성물을, 특히 적절한 수명 및 효율을 갖는 전자 디바이스의 제조를 위한 예비 혼합 증발에 의해 보다 균일하게 혼합된 균질 조성물을 제조할 수 있는 방법에 대한 산업상 필요성이 여전히 요구되고 있으며, 이 방법은 최신 기술의 단점을 극복한다.For a method for producing a more homogeneously mixed homogeneous composition, in particular a composition that can be vacuum deposited, to produce a more homogeneously mixed homogeneous composition, especially by premixed evaporation for the production of electronic devices with suitable lifetimes and efficiencies. Industrial needs are still required and this method overcomes the shortcomings of the latest technology.
따라서, 본 발명의 목적은 균질 조성물, 특히 진공 증착될 수 있는 조성물을 제조하는 방법을 제공하는데, 이는 최신 기술의 단점을 극복한다. 특히, 본 발명의 목적은 고순도 및 개선된 균질성을 가지며 수명 및 효율이 개선된 전자 디바이스의 제조에서 예비 혼합-증발에 사용될 수 있는 조성물을 제공하는 것이다.It is therefore an object of the present invention to provide a method for producing a homogeneous composition, in particular a composition which can be vacuum deposited, which overcomes the disadvantages of the state of the art. In particular, it is an object of the present invention to provide a composition which can be used for premix-evaporation in the manufacture of electronic devices with high purity and improved homogeneity and with improved lifetime and efficiency.
이 목적은 균질 조성물, 특히 진공 증착될 수 있는 조성물을 제조하는 방법에 의해 해결되며, 이는 적어도 2 종의 기화 가능한 유기 화합물을 포함하며, 상기 방법은:This object is solved by a method for preparing a homogeneous composition, in particular a composition which can be vacuum deposited, which comprises at least two vaporizable organic compounds, which method comprises:
a. 상기 적어도 2 종의 기화 가능한 유기 화합물을 함유하는 회전 가능한 용기를 제공하는 단계;a. Providing a rotatable container containing said at least two vaporizable organic compounds;
b. 용기를 가열하여 용융물을 형성하고 동시에 연속적인 방식으로 용기를 회전시켜 상기 용융물을 균질화하는 단계를 포함한다.b. Heating the vessel to form a melt and simultaneously rotating the vessel in a continuous manner to homogenize the melt.
본 발명자들은 놀랍게도 본 발명에 따른 방법에 의해 고순도 및 개선된 균질성을 갖는 조성물이 수득될 수 있음을 발견하였다. 또한, 본 발명에 따른 방법은 특히 전자 디바이스를 제조하기 위해 단일 증발원을 사용하여 진공 증착될 수 있는 균질 조성물을 제조하는데 특히 적용가능하다는 것을 발견하였다. 본 발명자들은 본 발명의 예비 혼합된 균질 조성물을 사용하여 하나 이상의 유기층이 증발 증착에 의해 증착된 전자 디바이스가 종래 기술의 혼합물을 사용하는 것에 비해 효율 및 수명과 관련하여 개선된 특성을 나타낸다는 것을 추가로 보여줄 수 있다.The inventors have surprisingly found that compositions with high purity and improved homogeneity can be obtained by the process according to the invention. It has also been found that the method according to the invention is particularly applicable to producing homogeneous compositions which can be vacuum deposited using a single evaporation source, in particular for manufacturing electronic devices. The inventors have further added that electronic devices in which one or more organic layers have been deposited by evaporation deposition using the premixed homogeneous composition of the present invention exhibit improved properties in terms of efficiency and lifetime compared to using mixtures of the prior art. Can be shown as
유리하게는, 본 발명에 따른 방법은 조성물의 국부적인 교반 및 혼합이 방지되므로 조성물의 철저한 혼합을 가능하게 하여, 높은 균질성을 갖는 조성물이 수득될 수 있다. 또한, 용융물에 교반기 또는 교반 막대의 삽입이 필요하지 않기 때문에, 유기 화합물의 예비 혼합이 비활성 시스템에서 수행되어 예비 혼합 동안 조성물의 원하지 않는 오염이 방지되게 한다.Advantageously, the process according to the invention prevents local agitation and mixing of the composition, thus enabling thorough mixing of the composition, so that a composition with high homogeneity can be obtained. In addition, since the melt does not require the insertion of an agitator or stir bar, premixing of the organic compounds is carried out in an inert system to prevent unwanted contamination of the composition during the premixing.
본원에 사용된 "조성물"은 혼합되지만 화학적으로 결합되지 않는 2 종 이상의 상이한 (유기) 물질로 구성된 재료 시스템 또는 혼합물이며, 즉 이들의 아이덴티티가 보유되는 2 종 이상의 물질의 물리적 조합을 나타낸다. 이에 따라서, 이하의 "조성물" 및 "혼합물"이라는 용어는 상호교환적으로 사용될 것이다.As used herein, a "composition" is a material system or mixture composed of two or more different (organic) materials that are mixed but not chemically bound, ie, represent a physical combination of two or more materials whose identities are retained. Accordingly, the terms "composition" and "mixture" below will be used interchangeably.
본원에 사용된 "균질 조성물"은 2 종의 상이한 (유기) 물질이 분자 수준에서 균일하게 분포되어 하나의 상을 구성하는 타입의 조성물 또는 혼합물이다. 이에 따라서, 균질 조성물 또는 혼합물은 주어진 샘플에 걸쳐 동일한 비율의 성분을 가지며, 조성물 또는 혼합물의 모든 부분은 동일한 특성을 갖는다.As used herein, a "homogeneous composition" is a type of composition or mixture in which two different (organic) materials are uniformly distributed at the molecular level and constitute one phase. Accordingly, the homogeneous composition or mixture has the same proportions of components over a given sample and all parts of the composition or mixture have the same properties.
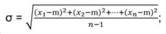
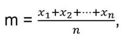
본 발명의 프레임워크 내에서, 균질 조성물은 바람직하게는 적어도 2 종의 상이한 기화 가능한 유기 화합물을 포함하는 조성물이며, 여기서 예비 혼합 후 화합물의 비율의 표준 편차 σ는 이들 화합물의 초기 비율에 비해 (즉, 초기 혼합물에서의 이들 화합물의 비율에 비해) 1.0% 미만이다. 예를 들어, 표준 편차 σ는 0.9%, 0.8%, 0.7%, 0.6% 또는 0.5%보다 작고, 보다 바람직하게는 0.4%보다 작고, 더욱 바람직하게는 0.3%보다 작으며, 가장 바람직하게는 0.2%보다 작다.Within the framework of the invention, the homogeneous composition is preferably a composition comprising at least two different vaporizable organic compounds, wherein the standard deviation σ of the proportion of the compound after premixing is compared to the initial proportion of these compounds (ie , Relative to the proportion of these compounds in the initial mixture). For example, the standard deviation σ is less than 0.9%, 0.8%, 0.7%, 0.6% or 0.5%, more preferably less than 0.4%, more preferably less than 0.3% and most preferably 0.2% Is less than
본 발명에 따른 방법은 진공 증착될 수 있는 균질 조성물, 특히 전자 디바이스, 바람직하게는 유기 전계발광 (EL) 디바이스의 제조에 특히 적합하며, 이는 하나 이상의 층이 승화 공정에 의해 코팅되는 것을 특징으로 한다. 이 경우, 단일 증발원으로부터의 증발 증착에 의해 균질 조성물이 기판 상에 도포된다.The process according to the invention is particularly suitable for the production of homogeneous compositions which can be vacuum deposited, in particular electronic devices, preferably organic electroluminescent (EL) devices, characterized in that one or more layers are coated by a sublimation process. . In this case, the homogeneous composition is applied onto the substrate by evaporation deposition from a single evaporation source.
바람직하게는, 적어도 2 종의 상이한 기화 가능한 유기 화합물은 호스트 또는 매트릭스 재료, 방출 재료, 전자 주입 재료, 전자 수송 재료, 전자 차단 재료, 광대역 갭 재료, 정공 주입 재료, 정공 수송 재료, 정공 차단 재료, 여기자 차단 재료, n-도펀트 또는 p-도펀트, 및 이들의 임의의 조합으로 이루어지는 군에서 서로 독립적으로 선택된다. 본 출원에서, 이들 재료는 기능성 유기 화합물 또는 재료를 의미하는 것으로 이해된다.Preferably, at least two different vaporizable organic compounds comprise a host or matrix material, an emission material, an electron injection material, an electron transport material, an electron blocking material, a broadband gap material, a hole injection material, a hole transport material, a hole blocking material, And are independently selected from the group consisting of an exciton blocking material, an n-dopant or a p-dopant, and any combination thereof. In this application, these materials are understood to mean functional organic compounds or materials.
이에 따라서, 본원에 사용된 "적어도 2 종의 상이한 기화 가능한 유기 화합물"이라는 표현은 균질 조성물의 일부이어야 하는 기화 가능한 유기 화합물 또는 재료가 각각 상이한 기능성을 갖는 유기 화합물, 예를 들어 호스트 재료 및 광대역 갭 재료, 및/또는 동일한 기능성을 갖는 유기 화합물, 예를 들어 호스트 재료만, 매트릭스 재료만 또는 전자 주입 재료만으로부터 선택될 수 있다는 것을 의미하는 것으로 이해된다.Accordingly, the expression “at least two different vaporizable organic compounds” as used herein refers to organic compounds, for example host materials and broadband gaps, in which the vaporizable organic compounds or materials that must be part of a homogeneous composition each have different functionality. It is understood that it can be selected from materials, and / or organic compounds having the same functionality, for example only host materials, only matrix materials or electron injection materials.
본원에 사용된 바와 같이, 용어 "기화 가능한 유기 화합물"은 진공에서 증발될 수 있고 결과적으로 박막 또는 층, 특히 유기층을 전자 디바이스에, 바람직하게는 유기 전계발광 디바이스에 증착시키기 위해 진공 증착 공정에 사용될 수 있는 임의의 기능성 유기 화합물 또는 재료를 의미하는 것으로 이해된다.As used herein, the term “vaporizable organic compound” can be evaporated in vacuo and consequently used in a vacuum deposition process to deposit thin films or layers, especially organic layers, in electronic devices, preferably in organic electroluminescent devices. It is understood to mean any functional organic compound or material that can be.
본 발명의 바람직한 실시형태에서, 균질 조성물을 제조하기 위한 적어도 2 종의 기화 가능한 유기 화합물은 호스트 재료이다.In a preferred embodiment of the present invention, at least two vaporizable organic compounds for preparing the homogeneous composition are host materials.
이 경우, 예비 혼합된 균질 조성물은 바람직하게는 하나 이상의 방출 화합물과 조합된 전자 디바이스의 방출층에서, 바람직하게는 인광 유기 전계발광 디바이스의 인광 방출층에서 사용되며, 이는 하나 이상의 인광 방출 화합물을 추가로 포함하는 것을 특징으로 한다. 이 경우, 적어도 2 종의 기화 가능한 호스트 재료를 포함하는 균질 조성물은 인광 방출체의 매트릭스 재료로서 작용하고 발광 자체에 참여하지 않거나 또는 실질적으로 참여하지 않는다. 문헌에서, 용어 "매트릭스 재료"는 특히 호스트 재료가 인광 방출 화합물과 조합하여 사용될 때 "호스트 재료" 대신에 매우 자주 사용된다.In this case, the premixed homogeneous composition is preferably used in the emitting layer of the electronic device in combination with one or more emitting compounds, preferably in the phosphorescent emitting layer of the phosphorescent organic electroluminescent device, which adds one or more phosphorescent emitting compounds. It characterized by including as. In this case, the homogeneous composition comprising at least two vaporizable host materials acts as a matrix material of the phosphorescent emitter and does not participate or substantially participate in the luminescence itself. In the literature, the term "matrix material" is used very often instead of "host material", especially when the host material is used in combination with a phosphorescent emitting compound.
복수의 호스트 또는 매트릭스 재료 ("혼합 매트릭스 시스템") 를 포함하는 시스템은 바람직하게는 2 종 또는 3 종의 상이한 호스트 또는 매트릭스 재료, 보다 바람직하게는 2 종의 상이한 호스트 또는 매트릭스 재료를 포함한다. 바람직하게는, 이 경우에, 두 재료 중 하나는 정공 수송 특성을 갖는 (호스트 또는 매트릭스) 재료, 즉 정공 수송에 크게 기여하는 재료이고, 다른 하나는 전자 수송 특성을 갖는 (호스트 또는 매트릭스) 재료, 즉 전자 수송에 크게 기여하는 재료이다. 혼합 매트릭스 시스템에 대한 보다 상세한 정보의 한 출처는 출원 WO 2010/108579 이다.The system comprising a plurality of host or matrix materials (“mixed matrix system”) preferably comprises two or three different host or matrix materials, more preferably two different host or matrix materials. Preferably, in this case, one of the two materials is a (host or matrix) material with hole transport properties, i.e. a material that contributes greatly to hole transport, and the other is a (host or matrix) material with electron transport properties, That is, it is a material which greatly contributes to electron transport. One source of more detailed information on mixed matrix systems is the application WO 2010/108579.
발광층을 제조하기 위해 예비 혼합되어 사용될 수 있는, 바람직하게는 형광 방출 화합물에 유용한 호스트 재료는 다양한 물질 부류의 재료를 포함한다. 바람직한 호스트 재료는 올리고아릴렌의 계열 (예를 들어 EP 676461 에 따른 2,2',7,7'-테트라페닐스피로비플루오렌 또는 디나프틸안트라센), 특히 융합 방향족 기를 함유하는 올리고아릴렌의 계열, 올리고아릴렌비닐렌 (예를 들어 EP 676461 에 따른 DPVBi 또는 스피로-DPVBi), 폴리포달 (polypodal) 금속 착물 (예를 들어 WO 2004/081017 에 따름), 정공-전도 화합물 (예를 들어 WO 2004/058911 에 따름), 전자-전도 화합물, 특히 케톤, 포스핀 옥시드, 술폭시드, 등 (예를 들어 WO 2005/084081 및 WO 2005/084082 에 따름), 아트로프이성질체 (예를 들어 WO 2006/048268 에 따름), 보론산 유도체 (예를 들어 WO 2006/117052 에 따름) 또는 벤즈안트라센 (예를 들어 WO 2008/145239 에 따름) 으로부터 선택된다. 특히 바람직한 매트릭스 재료는 나프탈렌, 안트라센, 벤즈안트라센 및/또는 피렌 또는 이들 화합물의 아트로프이성질체를 포함하는 올리고아릴렌의 부류, 올리고아릴렌비닐렌, 케톤, 포스핀 옥시드 및 술폭시드로부터 선택된다. 매우 특히 바람직한 매트릭스 재료는 안트라센, 벤즈안트라센, 벤조페난트렌 및/또는 피렌 또는 이들 화합물의 아트로프이성질체를 포함하는 올리고아릴렌의 부류로부터 선택된다. 본 발명의 문맥상 올리고아릴렌은 적어도 3 개의 아릴 또는 아릴렌 기가 서로 결합되는 화합물을 의미하는 것으로 이해될 것이다. WO 2006/097208, WO 2006/131192, WO 2007/065550, WO 2007/110129, WO 2007/065678, WO 2008/145239, WO 2009/100925, WO 2011/054442 및 EP 1553154에 개시된 안트라센 유도체, 및EP 1749809, EP 1905754 및 US 2012/0187826에 개시된 피렌 화합물이 추가로 바람직하다.Host materials, which are preferably useful for fluorescent emitting compounds, which can be used in premixing to prepare the light emitting layer, include materials of various material classes. Preferred host materials are of the family of oligoarylenes (for example 2,2 ', 7,7'-tetraphenylspirobifluorene or dinaphthylanthracene according to EP 676461), in particular of oligoarylenes containing fused aromatic groups Family, oligoarylenevinylenes (for example DPVBi or Spiro-DPVBi according to EP 676461), polypodal metal complexes (for example according to WO 2004/081017), hole-conducting compounds (for example WO 2004/058911), electron-conducting compounds, in particular ketones, phosphine oxides, sulfoxides, and the like (eg according to WO 2005/084081 and WO 2005/084082), atropisomers (eg WO 2006 / 048268), boronic acid derivatives (for example according to WO 2006/117052) or benzanthracene (for example according to WO 2008/145239). Particularly preferred matrix materials are selected from the class of oligoarylenes including olphthalarylenes, naphthalenes, anthracenes, benzanthracenes and / or pyrenes or atropisomers of these compounds, oligoarylenevinylenes, ketones, phosphine oxides and sulfoxides. Very particularly preferred matrix materials are selected from the class of oligoarylenes comprising anthracene, benzanthracene, benzophenanthrene and / or pyrene or atropisomers of these compounds. In the context of the present invention oligoarylene will be understood to mean compounds in which at least three aryl or arylene groups are bonded to one another. Anthracene derivatives disclosed in WO 2006/097208, WO 2006/131192, WO 2007/065550, WO 2007/110129, WO 2007/065678, WO 2008/145239, WO 2009/100925, WO 2011/054442 and EP 1553154, and EP 1749809 Preference is further given to the pyrene compounds disclosed in EP 1905754 and US 2012/0187826.
호스트 재료와 예비 혼합될 수 있는 바람직한 형광 방출 화합물은 아릴아민 부류로부터 선택된다. 아릴아민 또는 방향족 아민은 본 발명의 문맥상 질소에 직접 결합된 3 개의 치환된 또는 비치환된 방향족 또는 헤테로방향족 고리계를 함유하는 화합물을 의미하는 것으로 이해된다. 바람직하게는, 이러한 방향족 또는 헤테로방향족 고리계들 중 적어도 하나는, 보다 바람직하게는 적어도 14 개의 방향족 고리 원자를 갖는, 융합 고리계이다. 이들의 바람직한 예는 방향족 안트라센아민, 방향족 안트라센디아민, 방향족 피렌아민, 방향족 피렌디아민, 방향족 크리센아민 또는 방향족 크리센디아민이다. 방향족 안트라센아민은 디아릴아미노 기가, 바람직하게는 9 위치에서, 안트라센 기에 직접 결합되는 화합물을 의미하는 것으로 이해된다. 방향족 안트라센디아민은 2 개의 디아릴아미노 기가, 바람직하게는 9,10 위치에서, 안트라센 기에 직접 결합되는 화합물을 의미하는 것으로 이해된다. 방향족 피렌아민, 피렌디아민, 크리센아민 및 크리센디아민은 유사하게 정의되는데, 여기서 피렌기에서의 디아릴아미노 기는 바람직하게는 1 위치 또는 1,6 위치에서 결합된다. 추가의 바람직한 방출 화합물은 인데노플루오렌아민 또는 -디아민 (예를 들어 WO 2006/108497 또는 WO 2006/122630 에 따름), 벤조인데노플루오렌아민 또는 -디아민 (예를 들어 WO 2008/006449 에 따름), 및 디벤조인데노플루오렌아민 또는 -디아민 (예를 들어 WO 2007/140847 에 따름), 및 WO 2010/012328 에 개시된 융합 아릴 기를 갖는 인데노플루오렌 유도체이다. 마찬가지로 바람직한 것은 WO 2012/048780 및 WO 2013/185871 에 개시된 피렌아릴아민이다. 마찬가지로 바람직한 것은 WO 2014/037077에 개시된 벤조인데노플루오렌아민, WO 2014/106522에 개시된 벤조플루오렌아민 및 WO 2014/111269에 개시된 연장된 벤조인데노플루오렌이다.Preferred fluorescent emitting compounds which can be premixed with the host material are selected from the arylamine class. Arylamines or aromatic amines are understood in the context of the present invention to mean compounds containing three substituted or unsubstituted aromatic or heteroaromatic ring systems bonded directly to nitrogen. Preferably, at least one of these aromatic or heteroaromatic ring systems is a fused ring system, more preferably having at least 14 aromatic ring atoms. Preferred examples thereof are aromatic anthraceneamine, aromatic anthracenediamine, aromatic pyrenamine, aromatic pyrendiamine, aromatic chryseneamine or aromatic chrysenediamine. Aromatic anthraceneamines are understood to mean compounds in which the diarylamino group is bonded directly to the anthracene group, preferably at the 9 position. Aromatic anthracenediamine is understood to mean a compound in which two diarylamino groups are bonded directly to an anthracene group, preferably at the 9,10 position. Aromatic pyrenamines, pyrendiamines, chryseneamines and chrysenediamines are similarly defined, wherein the diarylamino groups in the pyrene group are preferably bonded in the 1 or 1,6 position. Further preferred release compounds are indenofluoreneamine or -diamine (for example according to WO 2006/108497 or WO 2006/122630), benzoindenofluoreneamine or -diamine (for example according to WO 2008/006449 ), And indenofluorene derivatives having dibenzoindenofluoreneamine or -diamine (for example according to WO 2007/140847), and fused aryl groups disclosed in WO 2010/012328. Likewise preferred are the pyrenarylamines disclosed in WO 2012/048780 and WO 2013/185871. Likewise preferred are benzoindenofluoreneamines disclosed in WO 2014/037077, benzofluoreneamines disclosed in WO 2014/106522 and extended benzoindenofluorenes disclosed in WO 2014/111269.
용어 "인광 방출 화합물"은 전형적으로 빛의 방출이 스핀-금지된 전이, 예를 들어 여기된 3중 상태 또는 고차 스핀 양자수를 갖는 상태, 예를 들어 5중 상태로부터의 전이를 통해 영향을 받는 화합물을 포함한다.The term "phosphorescent emitting compound" is typically influenced by the emission of light through a spin-inhibited transition, for example from a excited triplet state or a state with higher order spin quantum numbers, for example a five state. Compound.
적합한 인광 방출 화합물 (= 3중 방출체) 은 특히 적합하게 여기되는 경우, 바람직하게는 가시 영역에서, 빛을 방출하고, 또한 20 초과, 바람직하게는 38 초과, 내지 84 미만, 더욱 바람직하게는 56 초과 내지 80 미만의 원자 번호의 적어도 하나의 원자를 함유하는 화합물이다. 바람직한 것은, 인광 방출 화합물로서, 구리, 몰리브덴, 텅스텐, 레늄, 루테늄, 오스뮴, 로듐, 이리듐, 팔라듐, 백금, 은, 금 또는 유러퓸을 함유하는 화합물, 특히 이리듐, 백금 또는 구리를 함유하는 화합물을 사용하는 것이다. 본 발명의 문맥상, 모든 발광 이리듐, 백금 또는 구리 착물은 인광 방출 화합물인 것으로 고려된다.Suitable phosphorescent emitting compounds (= triple emitters), when particularly suitably excited, emit light, preferably in the visible region, and also more than 20, preferably more than 38, and less than 84, more preferably 56 Compounds containing at least one atom of greater than to less than 80 atomic numbers. Preference is given to phosphorescent emitting compounds which include compounds containing copper, molybdenum, tungsten, rhenium, ruthenium, osmium, rhodium, iridium, palladium, platinum, silver, gold or europium, in particular iridium, platinum or copper To use. In the context of the present invention, all luminescent iridium, platinum or copper complexes are considered to be phosphorescent emitting compounds.
매트릭스 재료와 예비 혼합될 수 있는, 상술된 방출 화합물의 예는 출원 WO 00/70655, WO 01/41512, WO 02/02714, WO 02/15645, EP 1191613, EP 1191612, EP 1191614, WO 05/033244, WO 05/019373 및 US 2005/0258742 에서 찾을 수 있다. 일반적으로, 유기 전계발광 디바이스의 분야의 당업자에게 공지되고 종래 기술에 따른 인광 OLED 에 사용되는 모든 인광 착물이 적합하다. 또한, 당업자는 본 발명의 기술을 실행하지 않으면서 유기 전계발광 디바이스에서 화학식 (I) 의 화합물과 조합하여 추가의 인광 착물을 사용할 수 있다. 추가 예는 다음 표에 나열되어 있다.Examples of the above-mentioned emitting compounds, which can be premixed with the matrix material, are described in the applications WO 00/70655, WO 01/41512, WO 02/02714, WO 02/15645, EP 1191613, EP 1191612, EP 1191614, WO 05/033244. , WO 05/019373 and US 2005/0258742. In general, all phosphorescent complexes known to those skilled in the art of organic electroluminescent devices and used in phosphorescent OLEDs according to the prior art are suitable. One skilled in the art can also use additional phosphor complexes in combination with compounds of formula (I) in organic electroluminescent devices without practicing the techniques of the present invention. Further examples are listed in the following table.
인광 유기 전계발광 디바이스의 방출층을 제조하기 위해 예비 혼합 및 사용될 수 있는, 인광 방출 화합물에 대한 바람직한 호스트 또는 매트릭스 재료는, 예를 들어 방향족 케톤, 방향족 포스핀 옥사이드 또는 방향족 술폭사이드 또는 술폰 (예를 들어 WO 2004/013080, WO 2004/093207, WO 2006/005627 또는 WO 2010/006680 에 따름), 트리아릴아민, 카르바졸 유도체 (예를 들어, CBP (N,N-비스카르바졸릴비페닐) 또는 WO 2005/039246, US 2005/0069729, JP 2004/288381, EP 1205527 또는 WO 2008/086851 에 기재된 카르바졸 유도체), 인돌로카르바졸 유도체 (예를 들어 WO 2007/063754 또는 WO 2008/056746 에 따름), 인데노카르바졸 유도체 (예를 들어 WO 2010/136109, WO 2011/000455 또는 WO 2013/041176 에 따름), 아자카르바졸 유도체 (예를 들어 EP 1617710, EP 1617711, EP 1731584, JP 2005/347160 에 따름), 양극성 매트릭스 재료 (예를 들어 WO 2007/137725 에 따름), 실란 (예를 들어 WO 2005/111172 에 따름), 아자보롤 또는 보론산 에스테르 (예를 들어 WO 2006/117052 에 따름), 트리아진 유도체 (예를 들어 WO 2010/015306, WO 2007/063754 또는 WO 2008/056746 에 따름), 아연 착물 (예를 들어 EP 652273 또는 WO 2009/062578 에 따름), 디아자실롤 또는 테트라아자실롤 유도체 (예를 들어 WO 2010/054729 에 따름), 디아자포스폴 유도체 (예를 들어 WO 2010/054730 에 따름), 가교 카르바졸 유도체 (예를 들어 US 2009/0136779, WO 2010/050778, WO 2011/042107, WO 2011/088877 또는 WO 2012/143080 에 따름), 트리페닐렌 유도체 (예를 들어 WO 2012/048781 에 따름), 또는 락탐 (예를 들어 WO 2011/116865 또는 WO 2011/137951 에 따름) 이다.Preferred host or matrix materials for phosphorescent emitting compounds, which can be premixed and used to prepare the emitting layers of phosphorescent organic electroluminescent devices, are for example aromatic ketones, aromatic phosphine oxides or aromatic sulfoxides or sulfones (eg For example according to WO 2004/013080, WO 2004/093207, WO 2006/005627 or WO 2010/006680), triarylamines, carbazole derivatives (for example CBP (N, N-biscarbazolylbiphenyl) or Carbazole derivatives described in WO 2005/039246, US 2005/0069729, JP 2004/288381, EP 1205527 or WO 2008/086851), indolocarbazole derivatives (for example according to WO 2007/063754 or WO 2008/056746) Indenocarbazole derivatives (for example according to WO 2010/136109, WO 2011/000455 or WO 2013/041176), azacarbazole derivatives (for example EP 1617710, EP 1617711, EP 1731584, JP 2005/347160). ), Bipolar matrix material (eg According to WO 2007/137725), silanes (for example according to WO 2005/111172), azaborole or boronic acid esters (for example according to WO 2006/117052), triazine derivatives (for example WO 2010 / 015306, according to WO 2007/063754 or WO 2008/056746), zinc complexes (for example according to EP 652273 or WO 2009/062578), diazasilol or tetraazaylol derivatives (for example according to WO 2010/054729) ), Diazaphosphol derivatives (eg according to WO 2010/054730), crosslinked carbazole derivatives (eg US 2009/0136779, WO 2010/050778, WO 2011/042107, WO 2011/088877 or WO 2012/143080) ), Triphenylene derivatives (for example according to WO 2012/048781), or lactams (for example according to WO 2011/116865 or WO 2011/137951).
다른 바람직한 실시형태에서, 균질 조성물을 제조하는데 사용되는 적어도 2 종의 기화 가능한 유기 화합물은 전자 수송 재료이다.In another preferred embodiment, at least two vaporizable organic compounds used to prepare the homogeneous composition are electron transport materials.
이 경우, 균질 조성물은 전자 디바이스, 바람직하게는 유기 전계발광 디바이스의 전자 수송층, 정공 차단층 또는 전자 주입층에 바람직하게 사용된다.In this case, the homogeneous composition is preferably used for the electron transport layer, the hole blocking layer or the electron injection layer of the electronic device, preferably the organic electroluminescent device.
본 출원에 따른 전자 수송층은 애노드와 방출층 사이에서 전자 수송 기능을 갖는 층이다.The electron transport layer according to the present application is a layer having an electron transport function between the anode and the emission layer.
상기 정의된 바와 같이 유기 전계발광 디바이스의 전자 수송층에 예비 혼합되어 사용될 수 있는 전자 수송 재료는 전자 수송층에서 전자 수송 재료로서 종래 기술에서 사용된 임의의 재료일 수 있다. 특히 적합한 것은 알루미늄 착물, 예를 들어 Alq3, 지르코늄 착물, 예를 들어 Zrq4, 리튬 착물, 예를 들어 Liq, 벤즈이미다졸 유도체, 트리아진 유도체, 피리미딘 유도체, 피리딘 유도체, 피라진 유도체, 퀴녹살린 유도체, 퀴놀린 유도체, 옥사디아졸 유도체, 방향족 케톤, 락탐, 보란, 디아자포스폴 유도체 및 포스핀 옥시드 유도체이다. 추가의 적합한 재료는 JP 2000/053957, WO 2003/060956, WO 2004/028217, WO 2004/080975 및 WO 2010/072300 에 기재된 바와 같은 상기 언급된 화합물의 유도체이다.The electron transport material that can be used in pre-mixing with the electron transport layer of the organic electroluminescent device as defined above can be any material used in the prior art as the electron transport material in the electron transport layer. Particularly suitable are aluminum complexes such as Alq3 , zirconium complexes such as Zrq4 , lithium complexes such as Liq, benzimidazole derivatives, triazine derivatives, pyrimidine derivatives, pyridine derivatives, pyrazine derivatives, quinoxaline Derivatives, quinoline derivatives, oxadiazole derivatives, aromatic ketones, lactams, boranes, diazaphosphol derivatives and phosphine oxide derivatives. Further suitable materials are derivatives of the abovementioned compounds as described in JP 2000/053957, WO 2003/060956, WO 2004/028217, WO 2004/080975 and WO 2010/072300.
다른 바람직한 실시형태에서, 균질 조성물을 제조하는데 사용되는 적어도 2 종의 기화 가능한 유기 화합물은 정공 수송 재료이다.In another preferred embodiment, the at least two vaporizable organic compounds used to prepare the homogeneous composition are hole transport materials.
이 경우, 균질 조성물은 전자 디바이스, 바람직하게는 유기 전계발광 디바이스의 정공 수송층, 정공 차단층 또는 정공 주입층에 바람직하게 사용된다.In this case, the homogeneous composition is preferably used for the hole transport layer, the hole blocking layer or the hole injection layer of the electronic device, preferably the organic electroluminescent device.
본 출원에 따른 정공 수송층은 애노드와 방출층 사이에서 정공 수송 기능을 갖는 층이다.The hole transport layer according to the present application is a layer having a hole transport function between the anode and the emissive layer.
정공 주입층 및 전자 차단층은 본 출원의 문맥에서 정공 수송층의 특정한 실시형태인 것으로 이해된다. 정공 주입층은, 애노드와 방출층 사이의 복수의 정공 수송층의 경우에, 애노드에 직접 인접하거나 또는 오로지 애노드의 단일 코팅에 의해서만 그로부터 분리되는 정공 수송층이다. 전자 차단층은, 애노드와 방출층 사이의 복수의 정공 수송층의 경우에, 애노드 측의 방출층에 직접 인접하는 정공 수송층이다.The hole injection layer and the electron blocking layer are understood to be specific embodiments of the hole transport layer in the context of the present application. The hole injection layer is, in the case of a plurality of hole transport layers between the anode and the emissive layer, a hole transport layer directly adjacent to the anode or separated only therefrom by a single coating of the anode. The electron blocking layer is a hole transport layer directly adjacent to the emission layer on the anode side in the case of a plurality of hole transport layers between the anode and the emission layer.
상기 정의된 바와 같은 전계발광 디바이스의 정공 수송층, 전자 차단층 또는 정공 주입층에 예비 혼합되어 사용될 수 있는 정공 수송 재료의 바람직한 예는 인데노플루오렌아민 및 유도체 (예를 들어 WO 06/122630 또는 WO 06/100896에 따름), EP 1661888에 개시된 아민 유도체, 헥사아자트리페닐렌 유도체 (예를 들어 WO 01/049806에 따름), 축합 방향족을 갖는 아민 유도체 (예를 들어 미국 특허 5,061,569에 따름), WO 95/09147에 개시된 아민 유도체, 모노벤조인데노-플루오렌아민 (예를 들어 WO 08/006449에 따름) 또는 디벤조인데노플루오렌아민 (예를 들어 WO 07/140847에 따름) 이다. 적합한 정공 수송 및 정공 주입 재료는 또한 JP 2001/226331, EP 676461, EP 650955, WO 01/049806, 미국 특허 4,780,536, WO 98/30071, EP 891121, EP 1661888, JP 2006/253445, EP 650955, WO 06/073054 및 미국 특허 5,061,569에 개시된 바와 같은, 상기에 도시된 화합물의 유도체이다.Preferred examples of hole transport materials which can be used premixed with the hole transport layer, electron blocking layer or hole injection layer of the electroluminescent device as defined above are indenofluoreneamines and derivatives (for example WO 06/122630 or WO 06/100896), amine derivatives disclosed in EP 1661888, hexaazatriphenylene derivatives (for example according to WO 01/049806), amine derivatives with condensed aromatics (for example according to US Pat. No. 5,061,569), WO Amine derivatives disclosed in 95/09147, monobenzoindeno-fluoreneamines (for example according to WO 08/006449) or dibenzoindenofluoreneamines (for example according to WO 07/140847). Suitable hole transport and hole injection materials are also described in JP 2001/226331, EP 676461, EP 650955, WO 01/049806, US Patent 4,780,536, WO 98/30071, EP 891121, EP 1661888, JP 2006/253445, EP 650955, WO 06 / 073054 and U.S. Patent 5,061,569, derivatives of the compounds shown above.
다른 바람직한 실시형태에서, 적어도 2 종의 기화 가능한 유기 화합물 중 하나는 호스트 재료, 바람직하게는 전자 수송 특성을 갖는 호스트 재료 또는 정공 수송 특성을 갖는 호스트 재료, 가장 바람직하게는 전자 수송 특성을 갖는 호스트 재료이고, 그리고 다른 하나는 광대역 갭 재료이다. 전자 수송 특성을 갖는 하나 이상의 호스트 재료 및 정공 수송 특성을 갖는 하나 이상의 호스트 재료의 균질 혼합물을 제조하는 것이 또한 본 발명의 프레임워크 내에서 생각할 수 있다.In another preferred embodiment, one of the at least two vaporizable organic compounds is a host material, preferably a host material having electron transport properties or a host material having hole transport properties, most preferably a host material having electron transport properties And the other is a broadband gap material. It is also conceivable within the framework of the present invention to prepare a homogeneous mixture of at least one host material having electron transport properties and at least one host material having hole transport properties.
본 명세서에 사용된 바와 같이, 광대역 갭 재료는 US 7,294,849에 개시된 바와 같이 적어도 3.5 eV의 밴드 갭을 갖는 것을 특징으로 하는 재료를 의미하는 것으로 이해될 것이다. "밴드 갭"이라는 용어는 화합물의 최고 점유 분자 오비탈 (HOMO) 및 최저 비점유 분자 오비탈 (LUMO) 의 에너지 레벨 사이의 거리를 나타낸다. 이러한 시스템은 전계발광 디바이스에 있어서 특히 유리한 성능 데이터를 나타낸다.As used herein, wide band gap material will be understood to mean a material characterized by having a band gap of at least 3.5 eV as disclosed in US 7,294,849. The term "band gap" refers to the distance between the energy levels of the highest occupied molecular orbital (HOMO) and the lowest unoccupied molecular orbital (LUMO) of a compound. Such a system exhibits particularly advantageous performance data for electroluminescent devices.
또 다른 바람직한 실시형태에서, 균질 조성물을 제조하는데 사용되는 적어도 2 종의 기화 가능한 유기 화합물 중 하나는 전자 수송 재료이고 다른 하나는 n-도펀트이거나, 또는 적어도 2 종의 기화 가능한 유기 화합물 중 하나는 정공 수송 재료이고 다른 하나는 p-도펀트이다.In another preferred embodiment, one of the at least two vaporizable organic compounds used to prepare the homogeneous composition is an electron transport material and the other is an n-dopant, or one of the at least two vaporizable organic compounds is a hole The transport material and the other is p-dopant.
본 발명에 따라 사용된 p-도펀트는 바람직하게는 혼합물에서 하나 이상의 다른 화합물을 환원시킬 수 있는 유기 전자 공여체 화합물이다. n-도펀트의 바람직한 예는 WO 2005/086251 A2에 따른 W(hpp)4 및 추가 전자 부유 금속 착물, P=N-화합물 (예를 들어, WO 2012/175535 A1, WO 2012/175219 A1), 나프틸렌카르보디이미드 (예를 들어 WO 2012/168358 A1), 플루오렌 (예를 들어 WO 2012/031735 A1), 라디칼 및 바이라디칼 (예를 들어 EP 1837926 A1, WO 2007/107306 A1), 피리딘 (예를 들어 EP 2452946 A1, EP 2463927 A1), N-헤테로시클릭 화합물 (예를 들어 WO 2009/000237 A1) 및 아크리딘 및 페나진 (예를 들어 US 2007/145355 A1) 이다.The p-dopant used according to the invention is preferably an organic electron donor compound capable of reducing one or more other compounds in the mixture. Preferred examples of n-dopants are W (hpp)4 and further electron-floating metal complexes, P = N-compounds (eg WO 2012/175535 A1, WO 2012/175219 A1), naph according to WO 2005/086251 A2. Styrenecarbodiimide (eg WO 2012/168358 A1), fluorene (eg WO 2012/031735 A1), radicals and biradicals (eg EP 1837926 A1, WO 2007/107306 A1), pyridine (eg EP 2452946 A1, EP 2463927 A1), N-heterocyclic compounds (eg WO 2009/000237 A1) and acridine and phenazine (eg US 2007/145355 A1).
본 발명에 따라 사용된 p-도펀트는 바람직하게는 혼합물에서 하나 이상의 다른 화합물을 산화시킬 수 있는 유기 전자 수용체 화합물이다. p-도펀트의 바람직한 예는 F4-TCNQ, F6-TNAP, NDP-2 (회사 Novaled), NDP-9 (회사 Novaled), 퀴논 (예를 들어 EP 1538684 A1, WO 2006/081780 A1, WO 2009/003455 A1, WO 2010/097433 A1), 방사성 재료 (예를 들어 EP 1988587 A1, US 2010/102709 A1, EP 2180029 A1, WO 2011/131185 A1, WO 2011134458 A1, US 2012/223296 A1), S-함유 전이 금속 착물 (예를 들어 WO 2007/134873 A1, WO 2008/061517 A2, WO 2008/061518 A2, DE 102008051737 A1, WO 2009/089821 A1, US 2010/096600 A1), 비스이미다졸 (예를 들어 WO 2008/138580 A1), 프탈로시아닌 (예를 들어 WO 2008/058525 A2), 보라-테트라아자펜탄 (예를 들어 WO 2007/115540 A1) 풀러렌 (예를 들어 DE 102010046040 A1) 및 주족 할로겐화물 (예를 들어 WO 2008/128519 A2) 이다.The p-dopant used according to the invention is preferably an organic electron acceptor compound capable of oxidizing one or more other compounds in the mixture. Preferred examples of p-dopants are F4 -TCNQ, F6 -TNAP, NDP-2 (Novaled), NDP-9 (Novaled), quinones (e.g. EP 1538684 A1, WO 2006/081780 A1, WO 2009). / 003455 A1, WO 2010/097433 A1), radioactive material (for example EP 1988587 A1, US 2010/102709 A1, EP 2180029 A1, WO 2011/131185 A1, WO 2011134458 A1, US 2012/223296 A1), S- Containing transition metal complexes (eg WO 2007/134873 A1, WO 2008/061517 A2, WO 2008/061518 A2, DE 102008051737 A1, WO 2009/089821 A1, US 2010/096600 A1), bisimidazoles (eg WO 2008/138580 A1), phthalocyanines (eg WO 2008/058525 A2), bora-tetraazaptantans (eg WO 2007/115540 A1) fullerenes (eg DE 102010046040 A1) and main group halides (eg WO 2008/128519 A2).
원칙적으로, 상기 기재된 바와 같은 모든 상이한 종류의 기능성 기화 가능한 유기 화합물은 균질 조성물을 형성하기 위해 본 발명에 따른 방법을 사용하여 예비 혼합될 수 있다.In principle, all different kinds of functional vaporizable organic compounds as described above can be premixed using the process according to the invention to form a homogeneous composition.
예비 혼합될 유기 재료의 비율은 특별히 제한되지 않는다. 이것은, 본 발명의 방법을 사용하여 예비 혼합될 유기 재료의 초기 비율은 2 종의 유기 재료가 예비 혼합되는 경우 99.9:0.1 내지 0.1:99.9의 범위일 수 있다.The proportion of the organic material to be premixed is not particularly limited. This may be in the range of 99.9: 0.1 to 0.1: 99.9 when the two kinds of organic materials are premixed using the method of the present invention.
예비 혼합될 기화 가능한 유기 화합물은 바람직하게는 회전 가능한 용기에 고체 형태, 예를 들어 분말, 펠릿, 입자, 과립, 구, 칩, 샤드 또는 바늘 등이 이에 제한되지 않고 제공된다. 이는, 원하는 양의 각 고체 재료가 먼저 회전 가능한 용기에, 바람직하게는 단일 증발원 내에 제공되어, 고체 초기 혼합물이 형성됨을 의미한다.The vaporizable organic compound to be premixed is preferably provided in a rotatable container in a solid form, such as, but not limited to, powder, pellets, particles, granules, spheres, chips, shards or needles and the like. This means that the desired amount of each solid material is first provided in a rotatable vessel, preferably in a single evaporation source, to form a solid initial mixture.
이어서, 본 발명의 방법에 따른 상이한 기화 가능한 유기 화합물을 예비 혼합하기 위해, 열을 가하여 상기 초기 혼합물을 용융시키고, 용융물을 함유하는 용기를 연속적으로 회전시켜 사용된 화합물을 균일하게 분포시켜 용융물을 균질화시킨다. 본 발명의 방법에 따르면, 예비 혼합될 화합물이 아직 용융되지 않은 경우, 즉 용융물이 아직 형성되지 않은 경우 가열하는 동안 회전이 이미 수행되는 것이 바람직하다.Then, in order to premix different vaporizable organic compounds according to the process of the invention, the initial mixture is applied by heating, and the vessel containing the melt is continuously rotated to uniformly distribute the used compounds to homogenize the melt. Let's do it. According to the process of the invention, it is preferred that the rotation is already carried out during heating if the compound to be premixed has not yet melted, ie if the melt has not yet formed.
조성물의 균질성 (즉, 용융물에서 상이한 재료의 분포) 을 증가시키기 위해, 적어도 2 종의 기화 가능한 유기 화합물을 포함하는 용융물을 함유하는 용기의 가열 및 회전은 바람직하게는 용융물이 형성된 후 적어도 1시간 동안, 바람직하게는 1 시간 내지 5 시간 동안, 더욱 바람직하게는 2 시간 내지 3 시간 동안 유지된다.In order to increase the homogeneity of the composition (ie the distribution of different materials in the melt), the heating and rotation of the vessel containing the melt comprising at least two vaporizable organic compounds is preferably carried out for at least 1 hour after the melt is formed. , Preferably for 1 to 5 hours, more preferably for 2 to 3 hours.
본 발명에 따른 방법의 다른 바람직한 실시형태에서, 가열 및 회전은 감압하에서 바람직하게는 10-3 ~ 10-8 bar 범위, 더 바람직하게는 10-5 ~ 10-7 bar 범위에서 수행된다.In another preferred embodiment of the process according to the invention, heating and rotation are carried out under reduced pressure, preferably in the range of 10−3 to 10−8 bar, more preferably in the range of 10−5 to 10−7 bar.
적어도 2 종의 기화 가능한 유기 화합물의 가열 및 용융 동안 진공을 적용하는 것은, 예비 혼합될 상이한 유기 화합물의 융점 사이의 온도 갭이 낮아져서, 상이한 물리적 특성을 갖는, 특히 다른 용융점을 갖는 유기 화합물이 또한 균질 조성물을 제조하는데 사용될 수 있다는 이점을 갖는다. 따라서, 본 발명에 따른 방법은 특히 그 융점과 관련하여 유사한 물리적 특성을 갖는 유기 화합물을 혼합하는 것으로 제한되지 않는다. 또한, 진공의 적용은 용융을 가속화시켜서 전체 예비 혼합 공정이 가속화된다.Applying vacuum during heating and melting of at least two vaporizable organic compounds results in a lower temperature gap between the melting points of the different organic compounds to be premixed, so that organic compounds having different physical properties, in particular with different melting points, are also homogeneous It has the advantage that it can be used to prepare the composition. Thus, the process according to the invention is not limited to mixing organic compounds with similar physical properties, especially with regard to their melting point. In addition, the application of a vacuum accelerates the melting, thereby accelerating the entire premixing process.
가열 및 회전 동안 적용되는 온도는 몇 가지 요인, 즉 예비 혼합될 유기 화합물의 융점, 적용되는 진공 레벨 및 성분의 혼합 비율에 의존한다. 그러나 당업자는 예비 혼합될 기화 가능한 유기 화합물을 용융시키기 위해 가열 단계 동안 어느 온도 레벨이 설정되어야 하는지를 알고 있다. 바람직하게는, 온도는 10-5-10-7 bar의 진공 레벨하에서 100-500℃ 로 설정된다.The temperature applied during heating and rotation depends on several factors: the melting point of the organic compound to be premixed, the vacuum level applied and the mixing ratio of the components. However, one skilled in the art knows which temperature level should be set during the heating step to melt the vaporizable organic compound to be premixed. Preferably, the temperature is set at 100-500 ° C. under a vacuum level of 10−5 −10−7 bar.
가열 및 혼합 동안 용기의 회전 속도는 특별히 제한되지 않는다. 그러나, 용융물의 적절한 혼합 및 균질화를 보장하기 위해, 용기의 회전 속도는 바람직하게는 2 내지 10 rpm, 보다 바람직하게는 4 내지 8 rpm으로 설정된다. 가열 및 혼합 동안 용기의 회전 속도가 이 범위 내에 있으면, 균질성에 대한 최상의 혼합 성능 및 혼합 품질이 합리적인 타임프레임 내에서 달성된다.The rotational speed of the vessel during heating and mixing is not particularly limited. However, in order to ensure proper mixing and homogenization of the melt, the rotational speed of the vessel is preferably set to 2 to 10 rpm, more preferably 4 to 8 rpm. If the rotational speed of the vessel during heating and mixing is within this range, the best mixing performance and mixing quality for homogeneity is achieved within a reasonable timeframe.
본 발명에 따른 방법의 또 다른 바람직한 실시형태에서, 적어도 2 종의 기화 가능한 유기 화합물의 혼합물을 함유하는 용기는 실질적으로 수평으로 배치된 회전축을 중심으로 회전한다.In another preferred embodiment of the method according to the invention, the container containing the mixture of at least two vaporizable organic compounds rotates about an axis of rotation arranged substantially horizontally.
수직축 회전의 경우, 용융물에서 더 높은 밀도를 갖는 재료가 감소하고 더 낮은 밀도를 갖는 재료가 상승함에 따라, 중력은 혼합물의 균일성을 방해할 수 있다. 이 중력 효과는 수평 회전의 경우 훨씬 덜 뚜렷하므로 혼합 균일성에 큰 영향을 미치지 않으므로 보다 철저한 혼합이 달성된다.In the case of vertical rotation, gravity can interfere with the uniformity of the mixture as the material with the higher density decreases in the melt and the material with the lower density rises. This gravitational effect is much less pronounced for horizontal rotation and therefore does not have a significant effect on the uniformity of the mixture, resulting in more thorough mixing.
본원에 사용된 "실질적으로 수평으로 배치된"은 회전 용기의 회전축이 엄격하게 수평으로 배치될 필요가 없음을 의미하고, 즉 수평 정렬로부터 벗어난 회전축의 편각 (α) (α = 0°) 이 제로가 아닐 수 있다는 것을 의미한다. 바람직하게는 α = ≤ ±45°, 더욱 바람직하게는 ≤ ±30°, 더욱 더 바람직하게는 ≤ ±20°. 특히 바람직하게는 α = ≤ 10°, 가장 바람직하게는 α = 0°이다. α = 0°에서의 편차는 혼합 디바이스의 성능을 방해하지 않는다.As used herein, "substantially horizontally arranged" means that the axis of rotation of the rotating container does not need to be strictly horizontally positioned, i.e. the deflection angle α (α = 0 °) of the axis of rotation away from the horizontal alignment is zero. It may not be. Preferably α = ≦ ± 45 °, more preferably ≦ ± 30 °, even more preferably ≦ ± 20 °. Especially preferably, α = ≦ 10 °, most preferably α = 0 °. The deviation at α = 0 ° does not interfere with the performance of the mixing device.
냉각시, 존 용융 원리에 기초하여 회전 또는 교반하지 않고 고화가 시작될 때 혼합물의 점도가 증가하고 잔류 용융물이 디믹스될 것이다. 전술한 바와 같이, 종래의 교반기는 결국 점도의 증가로 인해 차단될 것이다. 대조적으로, 본 발명의 방법에 따른 회전 가능한 용기를 사용함으로써, 혼합물의 냉각시에도 회전 및 혼합이 수행될 수 있다. 따라서, 본 발명의 방법에 따르면 임의의 디믹싱 공정을 방지하기 위해 냉각 기간 동안 회전이 여전히 수행되는 것이 바람직하다.Upon cooling, the viscosity of the mixture will increase and the residual melt will demix when solidification begins without rotation or stirring based on the zone melting principle. As mentioned above, conventional stirrers will eventually be blocked due to an increase in viscosity. In contrast, by using a rotatable container according to the method of the present invention, rotation and mixing can be performed even upon cooling of the mixture. Thus, according to the method of the present invention, it is preferred that the rotation is still performed during the cooling period to prevent any demixing process.
따라서, 본 발명에 따른 방법의 바람직한 실시형태에서, 상기 방법은 다음의 단계를 더 포함한다Thus, in a preferred embodiment of the method according to the invention, the method further comprises the following steps
c. 회전하에서 균질화된 용융물을 냉각시키는 단계.c. Cooling the homogenized melt under rotation.
바람직하게는, 예비 혼합된 균질화된 용융물을 실온으로 냉각시켜 균질 조성물을 혼합 챔버로부터 수집할 수 있다. 냉각 속도 및 냉각 시간은 특별히 제한되지 않는다. 냉각 시간은 동작 온도에 따라 달라질 수 있다.Preferably, the premixed homogenized melt can be cooled to room temperature to collect the homogeneous composition from the mixing chamber. The cooling rate and the cooling time are not particularly limited. The cooling time may vary depending on the operating temperature.
이하에서, 본 발명의 방법에 따라 균질 조성물을 제조할 수 있는 예시적인 회전 가능한 혼합 디바이스가 도 1을 참조하여 설명되지만, 본 발명의 범위를 제한하는 것으로 간주되지는 않는다. 유사한 디바이스가 WO2015/022043에 보고되어 있으며, 상이한 실시형태의 이점을 포함하는 다음 설명의 세부 사항이 이 출처로부터 검토될 수 있다.In the following, an exemplary rotatable mixing device capable of producing a homogeneous composition according to the method of the invention is described with reference to FIG. 1, but is not to be considered as limiting the scope of the invention. Similar devices are reported in WO2015 / 022043, and details of the following description including the advantages of different embodiments can be reviewed from this source.
도 1은 본 발명의 방법에 따라 적어도 2 종의 기화 가능한 유기 화합물을 예비 혼합하는데 사용되는 회전 가능한 혼합 디바이스의 개략도이다.1 is a schematic diagram of a rotatable mixing device used to premix at least two vaporizable organic compounds in accordance with the method of the present invention.
혼합 디바이스는 가열 오븐 (1), 혼합 유닛 (2), 회전 커플링 (3) 및 고진공 펌프 (4) 를 포함한다.The mixing device comprises a
오븐 (1) 은 임의의 최신 기술의 가열 메카니즘으로 가열될 수 있다. 바람직하게는 간접 가열 메커니즘, 예를 들어 고온 가스 또는 공기가 사용된다. 온도는 임의의 적절한 타입에 의해 제어될 수 있고, 예를 들어 열전대일 수 있고, 제어기 (도시되지 않음) 에 의해 제어될 수 있다. 오븐의 열풍은 균일하게 분산되어 용융 및 예비 혼합될 재료와 관련하여 임의의 열점을 피한다. 예를 들어, 히터 앞의 스테인리스 팬은 오븐 (1) 내에서 열을 균일하게 분배하기 위해 사용될 수 있으며, 이는 심지어 회전하에서도 보장된다. 오븐은 용융 거동을 모니터링하고 가열 온도 (도시되지 않음) 를 제어하기 위한 윈도우를 포함할 수 있다.The
유닛 (2), (3) 및 (4) 사이의 연결부는 일반적으로 밀폐되어 있다. 전체 설정은 바람직하게는 수평이지만 (도 1에서, α = 0°), 이 각도로부터의 편차가 전술한 바와 같이 혼합 디바이스의 성능을 방해하지는 않는다. 혼합 유닛 (2) 에는 원하는 양의 적어도 2 종의 상이한 기화 가능한 유기 재료가 충전된다. 용융 공정 후, 생성된 예비 혼합물은 혼합 유닛 (2) 으로부터 분리될 수 있다. 혼합 유닛 (2) 의 재료는 특별히 제한되지 않는다. 그러나, 용융 거동을 모니터링하고 가열 온도를 제어하기 위해 투명 챔버가 바람직하기 때문에, 유리 제품이 가장 적합한 재료이다.The connection between the
회전 커플링 (3) 은 혼합 유닛 (2) 의 회전부와 고진공 펌프 (4) 의 정적부 사이에 높은 진공 밀봉을 유지하면서 혼합 유닛 (2) 의 회전을 구동하는 고진공 구동원이다. 시계 방향 또는 반시계 방향의 회전 방향은 혼합 공정의 효율성에 영향을 미치지 않는다. 구동원은 임의의 적절한 크기, 형상, 구성 및/또는 타입일 수 있다. 예를 들어, 구동원은 자성유체 시일과 결합된 시판되는 회전 모터일 수 있다.The
혼합 유닛 (2) 에 진공을 가하기 위해 임의의 적절한 타입의 진공 펌프 (4) 가 사용될 수 있다. 콜드 트랩 (미도시) 은 고진공 연결 상태에서 진공 펌프 (4) 근처에 위치할 수 있다.Any suitable type of
다른 적합한 회전 가능한 혼합 디바이스가 또한 WO2015/022043에 개시되어 있다.Other suitable rotatable mixing devices are also disclosed in WO2015 / 022043.
회전 가능한 혼합 디바이스는 진공 증착 디바이스 또는 증발 시스템이거나 그 일부인 것이 본 발명에 의해 구상된다. 이 경우, 혼합 유닛 (2) 은 증발원 또는 보트를 나타내고 균질화된 용융물은 예비 혼합 후 냉각되지 않는다.It is envisioned by the invention that the rotatable mixing device is or is part of a vacuum deposition device or an evaporation system. In this case, the mixing
상기 언급된 바와 같이, 본 발명에 따른 방법은 고 순도 및 균질성을 갖는 적어도 2 종의 기화 가능한 유기 화합물을 포함하는 조성물을 제조할 수 있으며, 여기서 균질성은 초기 혼합물에서 화합물의 비율과 비교하여 예비 혼합 후 조성물에 포함된 화합물의 비율의 표준 편차에 의해 정의된다.As mentioned above, the process according to the invention can produce a composition comprising at least two vaporizable organic compounds having high purity and homogeneity, wherein the homogeneity is premixed compared to the proportion of the compound in the initial mixture. It is then defined by the standard deviation of the proportion of compounds included in the composition.
따라서, 본 발명의 주제는 또한 본 발명에 따른 방법에 의해 얻어질 수 있거나 얻어지는 적어도 2 종의 기화 가능한 유기 화합물을 포함하는 균질 조성물이다. 특히, 생성된 균질 조성물은 예비 혼합 후 화합물의 비율의 표준 편차 (σ) 가 화합물의 초기 비율과 비교하여 (즉, 초기 혼합물에서 이들 화합물의 비율과 비교하여) 1.0% 미만인 것을 특징으로 한다. 예를 들어, 표준 편차 (σ) 는 0.9%, 0.8%, 0.7%, 0.6% 또는 0.5%보다 작고, 보다 바람직하게는 0.4%보다 작고, 더욱 바람직하게는 0.3%보다 작으며, 가장 바람직하게는 0.2%보다 작다.Accordingly, the subject of the invention is also a homogeneous composition comprising at least two vaporizable organic compounds obtainable or obtained by the process according to the invention. In particular, the resulting homogeneous composition is characterized in that the standard deviation (σ) of the proportion of the compound after premixing is less than 1.0% compared to the initial proportion of the compound (ie, compared to the proportion of these compounds in the initial mixture). For example, the standard deviation (σ) is less than 0.9%, 0.8%, 0.7%, 0.6% or 0.5%, more preferably less than 0.4%, more preferably less than 0.3%, most preferably Less than 0.2%.
전술한 바와 같이, 진공 증착 방법에 사용하기 위한 조성물은 조성물의 균일하고 일관된 증발 및 증착을 보장하고 생성된 유기층 증착에서 초기 혼합물에서 유기 재료의 비율을 유지하기 위해 균질한 것이, 특히 조성물이 단일 증발원으로부터 증발되어 전자 디바이스에 (다)기능성 유기층을 증착시키는 경우에 바람직하다. 본 발명자들이 알 수 있는 바와 같이 (아래 실험 부분 참조), 전자 디바이스, 바람직하게는 유기 발광 다이오드 (OLED) 와 같은 유기 전계발광 (EL) 디바이스의 제조 공정에서 본 발명에 따른 균질 조성물을 사용하여, 수명 및 효율성 측면에서 디바이스 성능이 향상되었다.As mentioned above, the compositions for use in the vacuum deposition method are homogeneous to ensure uniform and consistent evaporation and deposition of the composition and to maintain the proportion of organic material in the initial mixture in the resulting organic layer deposition, especially where the composition is a single source of evaporation. It is preferable when vaporizing from to deposit a (poly) functional organic layer on an electronic device. As will be appreciated by the inventors (see experimental section below), using the homogeneous composition according to the invention in the manufacturing process of an electronic device, preferably an organic electroluminescent (EL) device, such as an organic light emitting diode (OLED), Device performance is improved in terms of lifetime and efficiency.
따라서, 본 발명의 목적은 단일 증발원으로부터 조성물을 증발시킴으로써, 전자 디바이스, 바람직하게는 유기 전계발광 (EL) 디바이스의 제조를 위해, 본 발명에 따른 균질 조성물 또는 본 발명의 방법에 따라 제조된 균질 조성물을 사용함으로써 추가로 달성된다.It is therefore an object of the present invention to evaporate the composition from a single evaporation source, thereby producing a homogeneous composition according to the invention or a homogeneous composition prepared according to the method for the production of an electronic device, preferably an organic electroluminescent (EL) device. It is further achieved by using.
특히, 예비 혼합을 위해 선택된 기화 가능한 유기 화합물, 즉 이들의 기능성에 따라, 본 발명의 균질 조성물은 단일 증발원을 사용하여 상기 균질 조성물의 증발 증착에 의해, 전자 디바이스, 특히 유기 전계발광 디바이스의 (다)기능성 유기층을 제조하는데 사용될 수 있다In particular, depending on the vaporizable organic compounds chosen for the premixing, ie their functionality, the homogeneous compositions of the invention are produced by the evaporation deposition of the homogeneous composition using a single Can be used to prepare functional organic layers
캐소드, 애노드 및 방출층 이외에, 유기 전계발광 디바이스는 또한 추가 기능 층을 포함할 수 있다. 이는, 예를 들어, 각각의 경우 하나 이상의 정공 주입층 (HIL), 정공 수송층 (HTL), 정공 차단층 (HBL), 전자 수송층 (ETL), 전자 주입층 (EIL), 전자 차단층, 엑시톤 차단층 (EBL), 중간층, 전하 생성 층 (IDMC 2003, Taiwan; Session 21 OLED (5), T. Matsumoto, T. Nakada, J. Endo, K. Mori, N. Kawamura, A. Yokoi, J. Kido,Multiphoton Organic EL Device Having Charge Generation Layer) 및/또는 유기 또는 무기 p/n 접합부로부터 선택된다.In addition to the cathode, anode and emissive layer, the organic electroluminescent device may also comprise additional functional layers. This is, for example, in each case one or more hole injection layers (HIL), hole transport layers (HTL), hole blocking layers (HBL), electron transport layers (ETL), electron injection layers (EIL), electron blocking layers, exciton blocking Layer (EBL), interlayer, charge generating layer (IDMC 2003, Taiwan; Session 21 OLED (5), T. Matsumoto, T. Nakada, J. Endo, K. Mori, N. Kawamura, A. Yokoi, J. Kido ,Multiphoton Organic EL Device Having Charge Generation Layer ) and / or organic or inorganic p / n junctions.
따라서, 본 발명은 또한 단일 증발원으로부터 본 발명에 따른 균질 조성물 또는 본 발명의 방법에 따라 제조된 균질 조성물을 증발시켜 얻을 수 있는 층에 관한 것이다. 바람직하게는, 이렇게 얻어진 층은 유기 전계발광 디바이스의 유기 발광 구조 내의 기능성 유기층이다.The invention therefore also relates to a layer obtainable by evaporating a homogeneous composition according to the invention or a homogeneous composition prepared according to the process of the invention from a single evaporation source. Preferably, the layer thus obtained is a functional organic layer in the organic light emitting structure of the organic electroluminescent device.
하나 이상의 층이 본 발명의 균질 조성물을 사용하여 증발 증착에 의해 적용될 수 있는 유기 전계발광 디바이스의 층의 순서는 바람직하게는 다음과 같다: 애노드/정공 주입층/정공 수송층/임의의 추가 정공 수송층/임의의 전자 차단층/방출층/임의의 정공 차단층/전자 수송층/전자 주입층/캐소드. 추가의 층이 유기 전계발광 디바이스에 존재할 수 있다.The order of the layers of the organic electroluminescent device in which one or more layers can be applied by evaporation deposition using the homogeneous composition of the invention is preferably as follows: anode / hole injection layer / hole transport layer / optional additional hole transport layer / Optional electron blocking layer / emitting layer / optional hole blocking layer / electron transporting layer / electron injection layer / cathode. Additional layers may be present in the organic electroluminescent device.
따라서, 본 발명은 또한 본 발명의 균질 조성물, 또는 본 발명의 방법에 따라 제조된 균질 조성물의 증발 증착에 의해 수득 가능한 적어도 하나의 층을 단일 증발원을 사용하여 포함하는 전자 디바이스, 바람직하게는 유기 전계발광 (EL) 디바이스에 관한 것이며, 여기서 층은 바람직하게는 전자 수송층 (ETL), 정공 차단층 (HBL), 정공 수송층 (HTL), 전자 차단층 (EBL), 정공 주입층 (HIL) 전자 주입층 (EIL) 및 방출층 (EML) 로 이루어진 군으로부터 선택된다.Accordingly, the present invention also provides an electronic device, preferably an organic electric field, comprising at least one layer obtainable by evaporation deposition of a homogeneous composition of the invention, or a homogeneous composition prepared according to the method of the invention, using a single evaporation source. A light emitting (EL) device, wherein the layer is preferably an electron transport layer (ETL), a hole blocking layer (HBL), a hole transport layer (HTL), an electron blocking layer (EBL), a hole injection layer (HIL) electron injection layer (EIL) and emissive layer (EML).
보다 바람직하게는, 적어도 하나의 층은 EML, EIL 또는 ETL로부터 선택되고, 가장 바람직하게는 EML이다.More preferably, at least one layer is selected from EML, EIL or ETL, most preferably EML.
본 발명의 균질 조성물 또는 본 발명의 방법에 따라 제조된 균질 조성물의 증발 증착에 의해 수득 가능한 적어도 하나의 층을 단일 증발원을 사용하여 포함하는 전자 디바이스는 바람직하게는 유기 발광 다이오드 (OLED), 고분자 발광 다이오드 (PLED), 유기 발광 트랜지스터 (OLET), 유기 발광 전기화학 셀 (OLEC), 유기 필드 켄치 디바이스 (OFQD), 유기 발광 전기화학 트랜지스터 (OLEET), 유기 전계 효과 트랜지스터 (OFET), 박막 트랜지스터 (TFT), 유기 태양 전지 (OSC), 유기 레이저 다이오드 (O-레이저), 유기 집적 회로 (OIC), 무선 주파수 식별 (RFID) 태그, 광검출기, 센서, 논리 회로, 메모리 엘리먼트, 커패시터, 전하 주입층, 쇼트키 다이오드, 평탄화 층, 정전기 방지 필름, 전도성 기판 또는 패턴, 광전도체, 전자사진 엘리먼트, 유기 태양 집중체, 유기 스핀트로닉 디바이스 및 유기 플라즈몬 방출 디바이스 (OPED), 보다 바람직하게는 OLET, OLED, OLEC, OFQD 및 O-레이저, 가장 바람직하게는 OLED로부터 선택된다.Electronic devices comprising at least one layer obtainable by evaporation deposition of a homogeneous composition of the invention or a homogeneous composition prepared according to the method of the invention using a single evaporation source are preferably organic light emitting diodes (OLEDs), polymer light emitting Diodes (PLEDs), organic light emitting transistors (OLET), organic light emitting electrochemical cells (OLEC), organic field quench devices (OFQD), organic light emitting electrochemical transistors (OLEET), organic field effect transistors (OFETs), thin film transistors (TFTs) ), Organic solar cells (OSC), organic laser diodes (O-lasers), organic integrated circuits (OIC), radio frequency identification (RFID) tags, photodetectors, sensors, logic circuits, memory elements, capacitors, charge injection layers, Schottky diodes, planarization layers, antistatic films, conductive substrates or patterns, photoconductors, electrophotographic elements, organic solar concentrators, organic spintronic divas And organic plasmon-emitting device to scan (OPED), more preferably OLET, OLED, OLEC, OFQD and O- laser, most preferably selected from the OLED.
전술한 바와 같이, 본 발명에 따른 전자 디바이스는 하나 이상의 층이 승화 및 응축 공정을 사용하는 진공 증착 공정에 의해 코팅되는 것을 특징으로 한다. 이 경우, 예비 혼합된 재료 조성물은 단일 증발원을 사용하여 10-5 mbar 미만, 바람직하게는 10-6 mbar 미만의 초기 압력에서 진공 승화 시스템에서의 증착에 의해 공급된다. 이 경우, 그러나, 초기 압력이 심지어 더 적은, 예를 들어 10-7 mbar 미만인 것이 또한 가능하다.As mentioned above, the electronic device according to the invention is characterized in that one or more layers are coated by a vacuum deposition process using a sublimation and condensation process. In this case, the premixed material composition is fed by deposition in a vacuum sublimation system at an initial pressure of less than 10−5 mbar, preferably less than 10−6 mbar using a single evaporation source. In this case, however, it is also possible that the initial pressure is even less, for example less than 10−7 mbar.
마찬가지로, 하나 이상의 층이 OVPD (유기 기상 증착) 방법에 의해 또는 캐리어 가스 승화의 도움으로 코팅되는 것을 특징으로 하는 전자 디바이스가 바람직하다. 이러한 경우, 예비 혼합된 재료 조성물은 단일 공급원에 제공되고 10-5 mbar 내지 1 bar 의 압력이 가해진다.Likewise preferred is an electronic device characterized in that one or more layers are coated by the OVPD (organic vapor deposition) method or with the aid of carrier gas sublimation. In this case, the premixed material composition is provided to a single source and a pressure of 10−5 mbar to 1 bar is applied.
따라서, 본 발명은 또한 전자 디바이스, 바람직하게는 OLET, OLED, OLEC, OFQD 또는 O-레이저, 가장 바람직하게는 OLED를 제조하는 방법에 관한 것으로,The invention therefore also relates to a process for manufacturing an electronic device, preferably an OLET, OLED, OLEC, OFQD or O-laser, most preferably an OLED,
a. 기판을 제공하는 단계,a. Providing a substrate,
b. 적어도 2 종의 기화 가능한 유기 화합물을 포함하는 본 발명의 방법에 따라 균질 조성물을 제조하는 단계; 및b. Preparing a homogeneous composition according to the method of the present invention comprising at least two vaporizable organic compounds; And
c. 단일 증발원으로부터 균질 조성물을 증발시켜 상기 기판 상에 층을 형성하는 단계를 포함한다.c. Evaporating the homogeneous composition from a single evaporation source to form a layer on the substrate.
기판은 바람직하게는 애노드 또는 캐소드이며, 이의 재료는 당업자에게 공지되어 있다. 이 방법으로 둘 이상의 층을 적용하는 경우, 단계 b. 및 c. 는 각각의 추가 층에 대해 선택적으로 반복할 수 있다. 따라서, 이 경우에 기판은 또한 이미 증착된 층일 수 있다.The substrate is preferably an anode or a cathode, the materials of which are known to those skilled in the art. If more than one layer is applied in this way, step b. And c. May optionally be repeated for each additional layer. Thus, in this case the substrate may also be an already deposited layer.
단계 c에서의 균질 조성물의 증발을 위해, 당업자에게 공지되어 있고 문헌에 기재된 임의의 진공 증착 공정이 사용될 수 있다. 단일 증발원은 유기 화합물을 기판 표면 상에 증발 증착시켜 (다)기능성 층을 형성하기에 충분한 시간 동안 및 진공 하에서 충분한 온도로 가열된다. 당업자는 당해 분야의 통상의 지식 범위 내에서 증발에 적합한 조건 및 파라미터를 결정하고 설정할 수 있을 것이다.For evaporation of the homogeneous composition in step c, any vacuum deposition process known to the person skilled in the art and described in the literature can be used. The single evaporation source is heated to a sufficient temperature under vacuum and for a time sufficient to evaporate the organic compound onto the substrate surface to form a (poly) functional layer. Those skilled in the art will be able to determine and set conditions and parameters suitable for evaporation within the ordinary knowledge of the art.
본 발명은 본 발명의 범위를 제한하는 것으로 간주되지 않는 실시예의 도움으로 하기에 보다 상세하게 설명된다.The invention is described in more detail below with the aid of examples which are not to be considered as limiting the scope of the invention.
작업예Work example
재료material
TMM-001 (WO 04/093207, WO 05/054403)TMM-001 (WO 04/093207, WO 05/054403)
TMM-002 (WO 08/086851)TMM-002 (WO 08/086851)
TMM-293 및 TMM-310은 모두 Merck KGaA에서 구입할 수 있다.Both the TMM-293 and TMM-310 are available from Merck KGaA.
예비 혼합된 OLED 재료 조성물의 제조Preparation of Premixed OLED Material Compositions
본 발명에 따른 균질 혼합물은 도 1을 참조하여 전술한 회전 혼합 디바이스를 사용하여 제조된다.Homogeneous mixtures according to the invention are prepared using the rotary mixing device described above with reference to FIG. 1.
예비 혼합된 조성물을 제조하기 위해, 본 발명에 따른 균질 조성물의 일부이어야 하는 각각의 재료는 정밀 저울을 사용하여 가중되고 혼합 챔버에 직접 투입된다. 각 혼합물의 총 중량은 100g이다. 혼합 챔버는 회전 혼합 디바이스에 장착된다. 혼합 챔버를 4 rpm의 회전 속도로 회전시키고 진공 레벨 10-5 bar 하에서 250℃까지 가열한다. 용융 후, 이들 조건 하에서 회전 및 혼합은 2 시간 동안 유지된다. 혼합이 완료되면, 혼합물을 회전하에 실온으로 냉각시킨다. 얻어진 고형화된 균질 혼합물을 스크래치 아웃하여 수집한다.In order to prepare the premixed composition, each material which should be part of the homogeneous composition according to the invention is weighted using a precision balance and fed directly into the mixing chamber. The total weight of each mixture is 100 g. The mixing chamber is mounted to the rotary mixing device. The mixing chamber is rotated at a rotational speed of 4 rpm and heated to 250 ° C. under vacuum level 10−5 bar. After melting, rotation and mixing are maintained for 2 hours under these conditions. When mixing is complete, the mixture is cooled to room temperature under rotation. The solidified homogeneous mixture obtained is collected by scratching out.
실시예 1:Example 1:
혼합물 A1, A2 및 A3의 제조Preparation of the mixtures A1, A2 and A3
기화 가능한 유기 화합물 TMM-001 (용융점 384 ℃) 및 TMM-002 (용융점 305 ℃) 를 각각 1/3, 1/1 및 3/1 비로 초기에 혼합함으로써, 혼합물 A1, A2 및 A3을 상술한 바와 같이 본 발명의 절차에 따라 제조한다. 각 혼합물의 총 중량은 100g이다.The mixtures A1, A2 and A3 were described above by initially mixing the vaporizable organic compounds TMM-001 (melting point 384 ° C.) and TMM-002 (melting point 305 ° C.) at a ratio of 1/3, 1/1 and 3/1 respectively. As prepared according to the procedure of the invention. The total weight of each mixture is 100 g.
실시예 2Example 2
혼합물 B1, B2 및 B3의 제조Preparation of the mixtures B1, B2 and B3
기화 가능한 유기 화합물 TMM-293 (용융점 343℃) 및 TMM-310 (용융점 292℃) 를 각각 1/3, 1/1 및 3/1 비로 초기에 혼합함으로써, 혼합물 B1, B2 및 B3을 상술한 바와 같이 본 발명의 절차에 따라 제조한다. 각 혼합물의 총 중량은 100g이다.The mixtures B1, B2 and B3 were described above by initially mixing the vaporizable organic compounds TMM-293 (melting point 343 ° C.) and TMM-310 (melting point 292 ° C.) at a ratio of 1/3, 1/1 and 3/1 respectively. As prepared according to the procedure of the invention. The total weight of each mixture is 100 g.
비교예 1Comparative Example 1
비교 혼합물 C1, C2 및 C3의 제조Preparation of Comparative Mixtures C1, C2 and C3
기화 가능한 유기 화합물 TMM-001 및 TMM-002를 각각 1/3, 1/1 및 3/1 비로 초기에 혼합함으로써, 비교 혼합물 C1, C2 및 C3을 WO 2004/070787에 기재된 절차에 따라 제조한다. 각 혼합물의 총 중량은 100g이다.Comparative mixtures C1, C2 and C3 are prepared according to the procedure described in WO 2004/070787 by initially mixing the vaporizable organic compounds TMM-001 and TMM-002 in
비교예 2Comparative Example 2
비교 혼합물 D1, D2 및 D3의 제조Preparation of Comparative Mixtures D1, D2 and D3
기화 가능한 유기 화합물 TMM-293 및 TMM-310을 각각 1/3, 1/1 및 3/1 비로 초기에 혼합함으로써, 비교 혼합물 D1, D2 및 D3을 WO 2004/070787에 기재된 절차에 따라 제조한다. 각 혼합물의 총 중량은 100g이다.Comparative mixtures D1, D2 and D3 are prepared according to the procedure described in WO 2004/070787 by initially mixing the vaporizable organic compounds TMM-293 and TMM-310 in
실시예 3Example 3
혼합물의 특성Characteristics of the mixture
예비 혼합후 상기 혼합물 각각으로부터 10 개의 샘플을 수집하고고성능 액체 크로마토 그래피 (HPLC) 로 분석한다. 분석된 각 샘플의 중량은 10mg이다. 각각의 샘플에 대해 HPLC에 의해 결정된 화합물의 비는 초기 혼합물에서 화합물의 비와 비교된다. 각 혼합물의 균질성은 표준 편차 (SD) σ에 의해 결정된다.After premixing 10 samples were collected from each of the mixtures Analyze by high performance liquid chromatography (HPLC). The weight of each sample analyzed is 10 mg. The ratio of compounds determined by HPLC for each sample is compared to the ratio of compounds in the initial mixture. The homogeneity of each mixture is determined by the standard deviation (SD) σ.
표준 편차 (SD) σ는 다음 공식을 사용하여 계산된다.The standard deviation (SD) σ is calculated using the following formula.
식에서At the ceremony
x = 데이터 값x = data value
n은 샘플 수이다.n is the number of samples.
분석 결과 및 σ는 표 1 내지 6에 나타낸 바와 같다.The analysis results and σ are as shown in Tables 1 to 6.
표 1. 혼합물-A1 및 비교 혼합물-C1에 대한 분석 데이터Table 1. Analytical Data for Mixture-A1 and Comparative Mixture-C1
본 발명과 관련된 회전 혼합 디바이스를 사용하여 본 발명의 절차에 따라 제조되는 혼합물-A1은 비교 혼합물-C1 (SD = 1.22) 보다 균질하다 (SD = 0.18).Mixture-A1 prepared according to the procedure of the present invention using the rotary mixing device associated with the present invention is more homogeneous than comparative mixture-C1 (SD = 1.22).
표 2. 혼합물-A2 및 비교 혼합물-C2에 대한 분석 데이터Table 2. Analytical Data for Mixture-A2 and Comparative Mixture-C2
본 발명과 관련된 회전 혼합 디바이스를 사용하여 본 발명의 절차에 따라 제조되는 혼합물-A2는 비교 혼합물-C2 (SD = 2.02) 보다 균질하다 (SD = 0.18).Mixture-A2 prepared according to the procedure of the present invention using the rotary mixing device associated with the present invention is more homogeneous than comparative mixture-C2 (SD = 0.02).
표 3. 혼합물-A3 및 비교 혼합물-C2에 대한 분석 데이터Table 3. Analytical Data for Mixture-A3 and Comparative Mixture-C2
본 발명과 관련된 회전 혼합 디바이스를 사용하여 본 발명의 절차에 따라 제조되는 혼합물-A3은 비교 혼합물-C3 (SD = 1.60) 보다 균질하다 (SD = 0.10).Mixture-A3 prepared according to the procedure of the present invention using the rotary mixing device associated with the present invention is more homogeneous than Comparative Mixture-C3 (SD = 1.60) (SD = 0.10).
표 4. 혼합물-B1 및 비교 혼합물-D1에 대한 분석 데이터Table 4. Analytical Data for Mixture-B1 and Comparative Mixture-D1
본 발명과 관련된 회전 혼합 디바이스를 사용하여 본 발명의 절차에 따라 제조되는 혼합물-B1은 비교 혼합물-D1 (SD = 1.21) 보다 균질하다 (SD = 0.07).Mixture-B1 prepared according to the procedure of the present invention using the rotary mixing device associated with the present invention is more homogeneous than the comparative mixture-D1 (SD = 1.21) (SD = 0.07).
표 5. 혼합물-B2 및 비교 혼합물-D2에 대한 분석 데이터Table 5. Analytical Data for Mixture-B2 and Comparative Mixture-D2
본 발명과 관련된 회전 혼합 디바이스를 사용하여 본 발명의 절차에 따라 제조되는 혼합물-B2는 비교 혼합물-D2 (SD = 2.21) 보다 균질하다 (SD = 0.62).Mixture-B2 prepared according to the procedure of the present invention using the rotary mixing device associated with the present invention is more homogeneous than comparative mixture-D2 (SD = 2.21) (SD = 0.62).
표 6. 혼합물-B3 및 비교 혼합물-D3에 대한 분석 데이터Table 6. Analytical Data for Mixture-B3 and Comparative Mixture-D3
본 발명과 관련된 회전 혼합 디바이스를 사용하여 본 발명의 절차에 따라 제조되는 혼합물-B3은 비교 혼합물-D3 (SD = 1.47) 보다 균질하다 (SD = 0.12).Mixture-B3 prepared according to the procedure of the present invention using the rotary mixing device associated with the present invention is more homogeneous than comparative mixture-D3 (SD = 1.47).
따라서, 전술한 회전 가능한 혼합 디바이스를 사용하여 본 발명의 절차에 따라 제조된 모든 혼합물은 혼합 비율 및 예비 혼합된 기화 가능한 유기 화합물이 상이한 용융점을 갖는지 여부에 관계없이, 종래 기술에 따라 제조된 혼합물과 비교하여 보다 균질하다.Thus, all mixtures prepared according to the procedure of the present invention using the above-mentioned rotatable mixing device, regardless of the mixing ratio and whether the premixed vaporizable organic compound has a different melting point, More homogeneous in comparison.
실시예 4Example 4
디바이스 예:Device example:
OLED 디바이스는 다음 공정에 따라 제조된다:OLED devices are manufactured according to the following process:
사용되는 기판은 구조화된 ITO (인듐 주석 산화물) 에 의해 50 nm 의 두께로 코팅된 유리판이다. OLED 는 기본적으로 하기의 층 구조를 갖는다: 기판 / 정공 주입층 (HIL) / 정공 수송층 (HTL) / 방출층 (EML) / 전자 수송층 (ETL) / 전자 주입층 (EIL) 및 마지막으로 캐소드. 캐소드는 100 nm 의 두께를 갖는 알루미늄 층에 의해 형성된다.The substrate used is a glass plate coated to a thickness of 50 nm with structured ITO (indium tin oxide). The OLED basically has the following layer structure: substrate / hole injection layer (HIL) / hole transport layer (HTL) / emission layer (EML) / electron transport layer (ETL) / electron injection layer (EIL) and finally the cathode. The cathode is formed by an aluminum layer having a thickness of 100 nm.
모든 재료는 진공 챔버에서 열 증착으로 증발된다. 방출층은 항상 본 발명에 따른 예비 혼합된 호스트 재료 및 방출 도펀트 (방출체) 로 이루어진다. 유사하게, 기타 층은 또한 2 종 이상의 재료의 혼합물로 이루어질 수 있다.All materials are evaporated by thermal deposition in a vacuum chamber. The emissive layer always consists of a premixed host material and emissive dopant (emitter) according to the invention. Similarly, the other layer may also consist of a mixture of two or more materials.
OLED 는 표준 방법에 의해 특성화된다.OLEDs are characterized by standard methods.
본 발명의 재료 및 비교 재료를 함유하는 각종 OLED 에 대한 데이터를 표 13 에 요약한다.Data for various OLEDs containing the inventive materials and comparative materials are summarized in Table 13.
표 7. OLED용 디바이스 데이터Table 7. Device Data for OLED
방출층에서 본 발명에 따른 방법으로 얻은 균질 혼합물 (A1, A2, A3, B1, B2, B3) 을 포함하는 OLED는 종래 기술에 따라 예비 혼합된 혼합물 (C1, C2, C3, D1, D2, D3) 을 포함하는 OLED 와 비교하여 더 높은 효율 [Cd/A] 및 개선된 수명 [h] 모두를 나타낸다.OLEDs comprising homogeneous mixtures (A1, A2, A3, B1, B2, B3) obtained by the process according to the invention in the emitting layer are premixed mixtures (C1, C2, C3, D1, D2, D3) according to the prior art. ), Both higher efficiency [Cd / A] and improved lifetime [h] as compared to OLEDs.
| Application Number | Priority Date | Filing Date | Title |
|---|---|---|---|
| KR1020247021153AKR20240110060A (en) | 2017-06-26 | 2018-06-25 | Homogeneous mixtures |
| Application Number | Priority Date | Filing Date | Title |
|---|---|---|---|
| EP17177925.9 | 2017-06-26 | ||
| EP17177925 | 2017-06-26 | ||
| PCT/EP2018/066938WO2019002198A1 (en) | 2017-06-26 | 2018-06-25 | Homogeneous mixtures |
| Application Number | Title | Priority Date | Filing Date |
|---|---|---|---|
| KR1020247021153ADivisionKR20240110060A (en) | 2017-06-26 | 2018-06-25 | Homogeneous mixtures |
| Publication Number | Publication Date |
|---|---|
| KR20200022010Atrue KR20200022010A (en) | 2020-03-02 |
| Application Number | Title | Priority Date | Filing Date |
|---|---|---|---|
| KR1020207002349ACeasedKR20200022010A (en) | 2017-06-26 | 2018-06-25 | Homogeneous mixture |
| KR1020247021153APendingKR20240110060A (en) | 2017-06-26 | 2018-06-25 | Homogeneous mixtures |
| Application Number | Title | Priority Date | Filing Date |
|---|---|---|---|
| KR1020247021153APendingKR20240110060A (en) | 2017-06-26 | 2018-06-25 | Homogeneous mixtures |
| Country | Link |
|---|---|
| EP (1) | EP3645766A1 (en) |
| KR (2) | KR20200022010A (en) |
| CN (1) | CN110770363A (en) |
| WO (1) | WO2019002198A1 (en) |
| Publication number | Priority date | Publication date | Assignee | Title |
|---|---|---|---|---|
| WO2025084621A1 (en)* | 2023-10-20 | 2025-04-24 | 솔루스첨단소재 주식회사 | Method for manufacturing homogeneous phase organic composite, homogeneous phase organic composite manufactured thereby, and organic electroluminescent device comprising same homogeneous phase organic composite |
| Publication number | Priority date | Publication date | Assignee | Title |
|---|---|---|---|---|
| KR20180075589A (en) | 2015-10-26 | 2018-07-04 | 오티아이 루미오닉스 인크. | A method of patterning a coating on a surface and a device comprising a patterned coating |
| JP7056964B2 (en) | 2016-12-02 | 2022-04-19 | オーティーアイ ルミオニクス インコーポレーテッド | Devices with conductive coatings placed over the radiating region and methods for them |
| US11751415B2 (en) | 2018-02-02 | 2023-09-05 | Oti Lumionics Inc. | Materials for forming a nucleation-inhibiting coating and devices incorporating same |
| KR20240134065A (en) | 2018-11-23 | 2024-09-05 | 오티아이 루미오닉스 인크. | Optoelectronic device including a light transmissive region |
| CN113614202A (en)* | 2019-03-25 | 2021-11-05 | 日铁化学材料株式会社 | Melt mixture for organic electroluminescent element, and organic electroluminescent element |
| KR102831863B1 (en) | 2019-04-18 | 2025-07-10 | 오티아이 루미오닉스 인크. | Material for forming a nucleation-inhibiting coating and device comprising the same |
| CN114072705A (en) | 2019-05-08 | 2022-02-18 | Oti照明公司 | Material for forming nucleation inhibiting coatings and apparatus incorporating the same |
| CN114342068A (en) | 2019-08-09 | 2022-04-12 | Oti照明公司 | Optoelectronic device containing auxiliary electrodes and partitions |
| KR20220131245A (en) | 2019-12-24 | 2022-09-27 | 오티아이 루미오닉스 인크. | Light emitting device including capping layer and manufacturing method thereof |
| CN114287069B (en)* | 2020-06-01 | 2025-09-16 | 株式会社Lg化学 | Composition, deposition source, organic electroluminescent device comprising the same, and method of manufacturing the same |
| US12113279B2 (en) | 2020-09-22 | 2024-10-08 | Oti Lumionics Inc. | Device incorporating an IR signal transmissive region |
| KR20240026944A (en)* | 2021-06-25 | 2024-02-29 | 이데미쓰 고산 가부시키가이샤 | Manufacturing method of mixed powder, mixture, and organic electroluminescent device |
| US20240407244A1 (en)* | 2021-10-14 | 2024-12-05 | Idemitsu Kosan Co.,Ltd. | Mixed powder for an organic electroluminescence device and method for producing the same, method for fabricating organic electroluminescence device by using the mixed powder, method for selecting compounds in the mixed powder, and composition for vacuum deposition |
| WO2023100891A1 (en)* | 2021-11-30 | 2023-06-08 | 出光興産株式会社 | Solid molten mixture, solid composition, mixed powder, method for choosing organic compound, method for producing solid molten mixture, and method for producing organic electroluminescent element |
| Publication number | Priority date | Publication date | Assignee | Title |
|---|---|---|---|---|
| US4539507A (en) | 1983-03-25 | 1985-09-03 | Eastman Kodak Company | Organic electroluminescent devices having improved power conversion efficiencies |
| US4780536A (en) | 1986-09-05 | 1988-10-25 | The Ohio State University Research Foundation | Hexaazatriphenylene hexanitrile and its derivatives and their preparations |
| US5061569A (en) | 1990-07-26 | 1991-10-29 | Eastman Kodak Company | Electroluminescent device with organic electroluminescent medium |
| US5151629A (en) | 1991-08-01 | 1992-09-29 | Eastman Kodak Company | Blue emitting internal junction organic electroluminescent device (I) |
| JP3295088B2 (en) | 1993-09-29 | 2002-06-24 | 出光興産株式会社 | Organic electroluminescence device |
| EP0650955B1 (en) | 1993-11-01 | 1998-08-19 | Hodogaya Chemical Co., Ltd. | Amine compound and electro-luminescence device comprising same |
| JPH07133483A (en) | 1993-11-09 | 1995-05-23 | Shinko Electric Ind Co Ltd | Organic luminescent material for el element and el element |
| DE59510315D1 (en) | 1994-04-07 | 2002-09-19 | Covion Organic Semiconductors | Spiro compounds and their use as electroluminescent materials |
| JPH09295949A (en)* | 1996-04-30 | 1997-11-18 | Mitsui Petrochem Ind Ltd | Purification apparatus, compound purification method and mixing method using the apparatus |
| DE19652261A1 (en) | 1996-12-16 | 1998-06-18 | Hoechst Ag | Aryl-substituted poly (p-arylenevinylenes), process for their preparation and their use in electroluminescent devices |
| EP0891121B8 (en) | 1996-12-28 | 2013-01-02 | Futaba Corporation | Organic electroluminescent elements |
| JP3302945B2 (en) | 1998-06-23 | 2002-07-15 | ネースディスプレイ・カンパニー・リミテッド | Novel organometallic luminescent material and organic electroluminescent device containing the same |
| EP1449238B1 (en) | 1999-05-13 | 2006-11-02 | The Trustees Of Princeton University | Very high efficiency organic light emitting devices based on electrophosphorescence |
| ATE484852T1 (en) | 1999-12-01 | 2010-10-15 | Univ Princeton | COMPLEXES OF THE FORM L2MX AS PHOSPHORESCENT DOPANTS IN ORGANIC LED'S |
| KR100377321B1 (en) | 1999-12-31 | 2003-03-26 | 주식회사 엘지화학 | Electronic device comprising organic compound having p-type semiconducting characteristics |
| JP4220644B2 (en) | 2000-02-14 | 2009-02-04 | 三井化学株式会社 | Amine compound and organic electroluminescent device containing the compound |
| TW532048B (en) | 2000-03-27 | 2003-05-11 | Idemitsu Kosan Co | Organic electroluminescence element |
| TW593622B (en)* | 2000-05-19 | 2004-06-21 | Eastman Kodak Co | Method of using predoped materials for making an organic light-emitting device |
| US20020121638A1 (en) | 2000-06-30 | 2002-09-05 | Vladimir Grushin | Electroluminescent iridium compounds with fluorinated phenylpyridines, phenylpyrimidines, and phenylquinolines and devices made with such compounds |
| CN101924190B (en) | 2000-08-11 | 2012-07-04 | 普林斯顿大学理事会 | Organometallic compounds and emission-shifting organic electrophosphorescence |
| JP4154140B2 (en) | 2000-09-26 | 2008-09-24 | キヤノン株式会社 | Metal coordination compounds |
| JP4154139B2 (en) | 2000-09-26 | 2008-09-24 | キヤノン株式会社 | Light emitting element |
| JP4154138B2 (en) | 2000-09-26 | 2008-09-24 | キヤノン株式会社 | Light emitting element, display device and metal coordination compound |
| US7294849B2 (en) | 2001-03-14 | 2007-11-13 | The Trustees Of Princeton University | Materials and devices for blue phosphorescence based organic light emitting diodes |
| US6797314B2 (en) | 2001-07-03 | 2004-09-28 | Eastman Kodak Company | Method of handling organic material in making an organic light-emitting device |
| KR100691543B1 (en) | 2002-01-18 | 2007-03-09 | 주식회사 엘지화학 | New material for electron transport and organic light emitting device using the same |
| US6649436B2 (en) | 2002-02-11 | 2003-11-18 | Eastman Kodak Company | Using organic materials in making an organic light-emitting device |
| ITRM20020411A1 (en) | 2002-08-01 | 2004-02-02 | Univ Roma La Sapienza | SPIROBIFLUORENE DERIVATIVES, THEIR PREPARATION AND USE. |
| EP1553154B2 (en) | 2002-08-23 | 2022-08-03 | Idemitsu Kosan Co., Ltd. | Organic electroluminescence device and anthracene derivative |
| CN100449818C (en) | 2002-09-20 | 2009-01-07 | 出光兴产株式会社 | organic electroluminescent element |
| EP1578885A2 (en) | 2002-12-23 | 2005-09-28 | Covion Organic Semiconductors GmbH | Organic electroluminescent element |
| US20060134317A1 (en)* | 2003-02-03 | 2006-06-22 | Yang Yang | Method for making multifunctional organic thin films |
| US7238383B2 (en) | 2003-03-07 | 2007-07-03 | Eastman Kodak Company | Making and using compacted pellets for OLED displays |
| DE10310887A1 (en) | 2003-03-11 | 2004-09-30 | Covion Organic Semiconductors Gmbh | Matallkomplexe |
| US7851071B2 (en) | 2003-03-13 | 2010-12-14 | Idemitsu Kosan Co., Ltd. | Nitrogen-containing heterocycle derivative and organic electroluminescent element using the same |
| JP4411851B2 (en) | 2003-03-19 | 2010-02-10 | コニカミノルタホールディングス株式会社 | Organic electroluminescence device |
| WO2004093207A2 (en) | 2003-04-15 | 2004-10-28 | Covion Organic Semiconductors Gmbh | Mixtures of matrix materials and organic semiconductors capable of emission, use of the same and electronic components containing said mixtures |
| JP4635869B2 (en) | 2003-04-23 | 2011-02-23 | コニカミノルタホールディングス株式会社 | Organic electroluminescence element, lighting device, display device |
| DE10338550A1 (en) | 2003-08-19 | 2005-03-31 | Basf Ag | Transition metal complexes with carbene ligands as emitters for organic light-emitting diodes (OLEDs) |
| US20050056968A1 (en)* | 2003-09-16 | 2005-03-17 | Eastman Kodak Company | Forming homogeneous mixtures of organic materials for physical vapor deposition using wet mixing |
| US20050056960A1 (en)* | 2003-09-16 | 2005-03-17 | Eastman Kodak Company | Forming homogeneous mixtures of organic materials for physical vapor deposition using melting |
| DE10345572A1 (en) | 2003-09-29 | 2005-05-19 | Covion Organic Semiconductors Gmbh | metal complexes |
| US7795801B2 (en) | 2003-09-30 | 2010-09-14 | Konica Minolta Holdings, Inc. | Organic electroluminescent element, illuminator, display and compound |
| DE10357044A1 (en) | 2003-12-04 | 2005-07-14 | Novaled Gmbh | Process for doping organic semiconductors with quinonediimine derivatives |
| DE102004008304A1 (en) | 2004-02-20 | 2005-09-08 | Covion Organic Semiconductors Gmbh | Organic electronic devices |
| DE102004010954A1 (en) | 2004-03-03 | 2005-10-06 | Novaled Gmbh | Use of a metal complex as an n-dopant for an organic semiconductive matrix material, organic semiconductor material and electronic component |
| US7790890B2 (en) | 2004-03-31 | 2010-09-07 | Konica Minolta Holdings, Inc. | Organic electroluminescence element material, organic electroluminescence element, display device and illumination device |
| KR100787425B1 (en) | 2004-11-29 | 2007-12-26 | 삼성에스디아이 주식회사 | Phenylcarbazole compound and organic electroluminescent device using same |
| DE102004023277A1 (en) | 2004-05-11 | 2005-12-01 | Covion Organic Semiconductors Gmbh | New material mixtures for electroluminescence |
| US7598388B2 (en) | 2004-05-18 | 2009-10-06 | The University Of Southern California | Carbene containing metal complexes as OLEDs |
| EP1749809A4 (en) | 2004-05-27 | 2008-07-02 | Idemitsu Kosan Co | ASYMMETRIC PYRENE DERIVATIVE AND ORGANIC ELECTROLUMINESCENT DEVICE USING THE SAME |
| JP4862248B2 (en) | 2004-06-04 | 2012-01-25 | コニカミノルタホールディングス株式会社 | Organic electroluminescence element, lighting device and display device |
| ITRM20040352A1 (en) | 2004-07-15 | 2004-10-15 | Univ Roma La Sapienza | OLIGOMERIC DERIVATIVES OF SPIROBIFLUORENE, THEIR PREPARATION AND THEIR USE. |
| US7288286B2 (en)* | 2004-09-21 | 2007-10-30 | Eastman Kodak Company | Delivering organic powder to a vaporization zone |
| EP1655359A1 (en) | 2004-11-06 | 2006-05-10 | Covion Organic Semiconductors GmbH | Organic electroluminescent device |
| CN102643203A (en) | 2005-01-05 | 2012-08-22 | 出光兴产株式会社 | Aromatic amine derivative and organic electroluminescent element using same |
| WO2006081780A1 (en) | 2005-02-04 | 2006-08-10 | Novaled Ag | Dopants for organic semiconductors |
| JP2006253445A (en) | 2005-03-11 | 2006-09-21 | Toyo Ink Mfg Co Ltd | Organic electroluminescence device |
| KR20070112800A (en) | 2005-03-16 | 2007-11-27 | 메르크 파텐트 게엠베하 | New Materials for Organic Electroluminescent Devices |
| US20090066225A1 (en) | 2005-03-18 | 2009-03-12 | Idemitsu Kosan Co., Ltd. | Aromatic amine derivative and organic electroluminescence device utilizing the same |
| WO2006108497A1 (en) | 2005-04-14 | 2006-10-19 | Merck Patent Gmbh | Compounds for organic electronic devices |
| CN101171320B (en) | 2005-05-03 | 2013-04-10 | 默克专利有限公司 | Organic electroluminescent device |
| DE102005023437A1 (en) | 2005-05-20 | 2006-11-30 | Merck Patent Gmbh | Connections for organic electronic devices |
| DE102005026651A1 (en) | 2005-06-09 | 2006-12-14 | Merck Patent Gmbh | New materials for organic electroluminescent devices |
| JP2007015961A (en) | 2005-07-06 | 2007-01-25 | Idemitsu Kosan Co Ltd | Pyrene derivatives and organic electroluminescence devices using them |
| WO2007063754A1 (en) | 2005-12-01 | 2007-06-07 | Nippon Steel Chemical Co., Ltd. | Compound for organic electroluminescent element and organic electroluminescent element |
| EP1957604B1 (en) | 2005-12-08 | 2015-09-23 | Merck Patent GmbH | Novel materials for organic electroluminescent devices |
| DE102005058557A1 (en) | 2005-12-08 | 2007-06-14 | Merck Patent Gmbh | Organic electroluminescent device |
| US7919010B2 (en) | 2005-12-22 | 2011-04-05 | Novaled Ag | Doped organic semiconductor material |
| EP1837926B1 (en) | 2006-03-21 | 2008-05-07 | Novaled AG | Heterocyclic radicals or diradicals and their dimers, oligomers, polymers, di-spiro and polycyclic derivatives as well as their use in organic semiconductor materials and electronic devices. |
| EP1837927A1 (en) | 2006-03-22 | 2007-09-26 | Novaled AG | Use of heterocyclic radicals for doping of organic semiconductors |
| DE102006013802A1 (en) | 2006-03-24 | 2007-09-27 | Merck Patent Gmbh | New anthracene compounds useful in organic electronic devices, preferably organic electroluminescent device e.g. integrated organic electroluminescent devices and organic field-effect-transistors |
| WO2007115540A1 (en) | 2006-03-30 | 2007-10-18 | Novaled Ag | Use of bora-tetraazapentalenes |
| EP1860709B1 (en) | 2006-05-24 | 2012-08-08 | Novaled AG | Use of square planar transition metal complexes as dopants |
| DE102006025777A1 (en) | 2006-05-31 | 2007-12-06 | Merck Patent Gmbh | New materials for organic electroluminescent devices |
| DE102006025846A1 (en) | 2006-06-02 | 2007-12-06 | Merck Patent Gmbh | New materials for organic electroluminescent devices |
| DE102006031990A1 (en) | 2006-07-11 | 2008-01-17 | Merck Patent Gmbh | New materials for organic electroluminescent devices |
| EP2080762B1 (en) | 2006-11-09 | 2016-09-14 | Nippon Steel & Sumikin Chemical Co., Ltd. | Compound for organic electroluminescent device and organic electroluminescent device |
| DE102006053320B4 (en) | 2006-11-13 | 2012-01-19 | Novaled Ag | Use of a coordination compound for doping organic semiconductors |
| DE102006054524B4 (en) | 2006-11-20 | 2022-12-22 | Novaled Gmbh | Use of dithiolene transition metal complexes and selenium-analogous compounds as dopants |
| DE102006054523B4 (en) | 2006-11-20 | 2009-07-23 | Novaled Ag | Dithiolene transition metal complexes and selenium-analogous compounds, their use as dopant, organic semiconductive material containing the complexes, and electronic or optoelectronic device containing a complex |
| DE102007002714A1 (en) | 2007-01-18 | 2008-07-31 | Merck Patent Gmbh | New materials for organic electroluminescent devices |
| DE102007018456B4 (en) | 2007-04-19 | 2022-02-24 | Novaled Gmbh | Use of main group element halides and/or pseudohalides, organic semiconducting matrix material, electronic and optoelectronic components |
| EP3457451B1 (en) | 2007-04-30 | 2019-07-17 | Novaled GmbH | The use of oxocarbon, pseudooxocarbon and radialene compounds |
| EP1990847B1 (en) | 2007-05-10 | 2018-06-20 | Novaled GmbH | Use of quinoid bisimidazoles and their derivatives as dopant for doping an organic semi-conductor matrix material |
| DE102007024850A1 (en) | 2007-05-29 | 2008-12-04 | Merck Patent Gmbh | New materials for organic electroluminescent devices |
| EP2009014B1 (en) | 2007-06-22 | 2018-10-24 | Novaled GmbH | Application of a precursor of an n-dopant for doping an organic semi-conducting material, precursor and electronic or optoelectronic component |
| DE102007031220B4 (en) | 2007-07-04 | 2022-04-28 | Novaled Gmbh | Quinoid compounds and their use in semiconducting matrix materials, electronic and optoelectronic components |
| DE102008051737B4 (en) | 2007-10-24 | 2022-10-06 | Novaled Gmbh | Square-planar transition metal complexes, organic semiconducting materials, and electronic or optoelectronic devices comprising them and use thereof |
| DE102007053771A1 (en) | 2007-11-12 | 2009-05-14 | Merck Patent Gmbh | Organic electroluminescent devices |
| US7862908B2 (en) | 2007-11-26 | 2011-01-04 | National Tsing Hua University | Conjugated compounds containing hydroindoloacridine structural elements, and their use |
| DE112009000621A5 (en) | 2008-01-15 | 2010-12-16 | Novaled Ag | Dithiolene transition metal complexes and electronic or optoelectronic devices |
| DE102008008953B4 (en) | 2008-02-13 | 2019-05-09 | Merck Patent Gmbh | New materials for organic electroluminescent devices |
| US8057712B2 (en) | 2008-04-29 | 2011-11-15 | Novaled Ag | Radialene compounds and their use |
| DE102008033943A1 (en) | 2008-07-18 | 2010-01-21 | Merck Patent Gmbh | New materials for organic electroluminescent devices |
| DE102008035413A1 (en) | 2008-07-29 | 2010-02-04 | Merck Patent Gmbh | Connections for organic electronic devices |
| DE102008036982A1 (en) | 2008-08-08 | 2010-02-11 | Merck Patent Gmbh | Organic electroluminescent device |
| US20110175031A1 (en)* | 2008-09-24 | 2011-07-21 | Idemitsu Kosan Co., Ltd. | Composite organic electroluminescent material |
| US8119037B2 (en) | 2008-10-16 | 2012-02-21 | Novaled Ag | Square planar transition metal complexes and organic semiconductive materials using them as well as electronic or optoelectric components |
| ES2370120T3 (en) | 2008-10-23 | 2011-12-12 | Novaled Ag | RADIALENE COMPOUND AND ITS USE. |
| KR101506919B1 (en) | 2008-10-31 | 2015-03-30 | 롬엔드하스전자재료코리아유한회사 | Novel compounds for organic electronic material and organic electronic device using the same |
| DE102008056688A1 (en) | 2008-11-11 | 2010-05-12 | Merck Patent Gmbh | Materials for organic electroluminescent devices |
| US8865321B2 (en) | 2008-11-11 | 2014-10-21 | Merck Patent Gmbh | Organic electroluminescent devices |
| DE102008064200A1 (en) | 2008-12-22 | 2010-07-01 | Merck Patent Gmbh | Organic electroluminescent device |
| KR101705213B1 (en) | 2009-02-26 | 2017-02-09 | 노발레드 게엠베하 | Quinone compounds as dopants in organic electronics |
| DE102009014513A1 (en) | 2009-03-23 | 2010-09-30 | Merck Patent Gmbh | Organic electroluminescent device |
| DE102009023155A1 (en) | 2009-05-29 | 2010-12-02 | Merck Patent Gmbh | Materials for organic electroluminescent devices |
| DE102009031021A1 (en) | 2009-06-30 | 2011-01-05 | Merck Patent Gmbh | Materials for organic electroluminescent devices |
| DE102009048791A1 (en) | 2009-10-08 | 2011-04-14 | Merck Patent Gmbh | Materials for organic electroluminescent devices |
| DE102009053191A1 (en) | 2009-11-06 | 2011-05-12 | Merck Patent Gmbh | Materials for electronic devices |
| KR20120113655A (en) | 2009-12-21 | 2012-10-15 | 이데미쓰 고산 가부시키가이샤 | Organic electroluminescent element using pyrene derivative |
| DE102010005697A1 (en) | 2010-01-25 | 2011-07-28 | Merck Patent GmbH, 64293 | Connections for electronic devices |
| DE102010012738A1 (en) | 2010-03-25 | 2011-09-29 | Merck Patent Gmbh | Materials for organic electroluminescent devices |
| WO2011131185A1 (en) | 2010-04-21 | 2011-10-27 | Novaled Ag | Mixture for producing a doped semiconductor layer |
| JP5810152B2 (en) | 2010-04-27 | 2015-11-11 | ノヴァレッド・アクチエンゲゼルシャフト | Organic semiconductor materials and electronic components |
| JP5646733B2 (en) | 2010-04-28 | 2014-12-24 | ユニバーサル ディスプレイ コーポレイション | Premixed material deposition |
| DE102010019306B4 (en) | 2010-05-04 | 2021-05-20 | Merck Patent Gmbh | Organic electroluminescent devices |
| WO2012031735A1 (en) | 2010-09-10 | 2012-03-15 | Novaled Ag | Compounds for organic photovoltaic devices |
| DE102010046040B4 (en) | 2010-09-22 | 2021-11-11 | Novaled Gmbh | Process for the production of fullerene derivatives |
| DE102010048607A1 (en) | 2010-10-15 | 2012-04-19 | Merck Patent Gmbh | Connections for electronic devices |
| DE102010048608A1 (en) | 2010-10-15 | 2012-04-19 | Merck Patent Gmbh | Materials for organic electroluminescent devices |
| EP2452946B1 (en) | 2010-11-16 | 2014-05-07 | Novaled AG | Pyridylphosphinoxides for organic electronic device and organic electronic device |
| EP2463927B1 (en) | 2010-12-08 | 2013-08-21 | Novaled AG | Material for organic electronic device and organic electronic device |
| TWI526418B (en) | 2011-03-01 | 2016-03-21 | 諾瓦發光二極體股份公司 | Organic semiconductor materials and organic compositions |
| CN103492383B (en) | 2011-04-18 | 2017-05-10 | 默克专利有限公司 | Materials for organic electroluminescent devices |
| EP2718978B1 (en) | 2011-06-09 | 2018-05-16 | Novaled GmbH | Organic electronic device |
| WO2012175535A1 (en) | 2011-06-22 | 2012-12-27 | Novaled Ag | Organic electronic component |
| JP6461599B2 (en) | 2011-06-22 | 2019-01-30 | ノヴァレッド ゲーエムベーハー | Electronic equipment |
| EP2758372B1 (en) | 2011-09-21 | 2017-05-17 | Merck Patent GmbH | Carbazole derivatives for organic electroluminescent devices |
| WO2013185871A1 (en) | 2012-06-12 | 2013-12-19 | Merck Patent Gmbh | Compounds for electronic devices |
| CN104684886B (en) | 2012-09-04 | 2017-07-18 | 默克专利有限公司 | Compounds for Electronic Devices |
| US20150329772A1 (en) | 2013-01-03 | 2015-11-19 | Merck Patent Gmbh | Materials for Electronic Devices |
| JP6509855B2 (en) | 2013-08-13 | 2019-05-08 | メルク パテント ゲーエムベーハー | Vacuum purification method |
| EP3057947B1 (en) | 2013-10-14 | 2018-10-17 | Merck Patent GmbH | Materials for electronic devices |
| Publication number | Priority date | Publication date | Assignee | Title |
|---|---|---|---|---|
| WO2025084621A1 (en)* | 2023-10-20 | 2025-04-24 | 솔루스첨단소재 주식회사 | Method for manufacturing homogeneous phase organic composite, homogeneous phase organic composite manufactured thereby, and organic electroluminescent device comprising same homogeneous phase organic composite |
| Publication number | Publication date |
|---|---|
| CN110770363A (en) | 2020-02-07 |
| EP3645766A1 (en) | 2020-05-06 |
| WO2019002198A1 (en) | 2019-01-03 |
| KR20240110060A (en) | 2024-07-12 |
| Publication | Publication Date | Title |
|---|---|---|
| KR20200022010A (en) | Homogeneous mixture | |
| KR101162932B1 (en) | Organic electroluminescent device | |
| TWI510596B (en) | Organic electroluminescent device | |
| KR102184852B1 (en) | Materials for electronic devices | |
| KR102361072B1 (en) | Organic electroluminescent device with thermally activated delayed fluorescence material | |
| JP6567499B2 (en) | Organic electroluminescent device | |
| TW201936621A (en) | Metal complexes | |
| JP5710479B2 (en) | Organic electroluminescence device | |
| KR102051790B1 (en) | Organic electroluminescence device | |
| TW202043218A (en) | Composition for organic electronic devices | |
| TWI649401B (en) | Organic electroluminescent device | |
| TW201920224A (en) | Metal complexes | |
| KR20150067331A (en) | Electronic device | |
| TW201506125A (en) | Organic electroluminescent device | |
| JP2017530969A (en) | Organic molecules for use as emitters | |
| DE102016110004B3 (en) | Organic molecules, in particular for use in organic optoelectronic devices | |
| CN118103376A (en) | Materials for organic electroluminescent devices | |
| KR20190126097A (en) | Organic electroluminescent devices | |
| TW201925161A (en) | Materials for organic electroluminescent devices | |
| TW201932578A (en) | Composition for organic electronic devices | |
| DE102016108327B3 (en) | Organic molecules, in particular for use in organic optoelectronic devices | |
| DE102016123105B4 (en) | Organic molecules, in particular for use in organic optoelectronic devices | |
| JP2016530269A (en) | Metal complex | |
| DE102016122812B4 (en) | Organic molecules, in particular for use in organic optoelectronic devices | |
| TW202208594A (en) | Materials for electronic devices |
| Date | Code | Title | Description |
|---|---|---|---|
| PA0105 | International application | St.27 status event code:A-0-1-A10-A15-nap-PA0105 | |
| PG1501 | Laying open of application | St.27 status event code:A-1-1-Q10-Q12-nap-PG1501 | |
| A201 | Request for examination | ||
| AMND | Amendment | ||
| P11-X000 | Amendment of application requested | St.27 status event code:A-2-2-P10-P11-nap-X000 | |
| P13-X000 | Application amended | St.27 status event code:A-2-2-P10-P13-nap-X000 | |
| PA0201 | Request for examination | St.27 status event code:A-1-2-D10-D11-exm-PA0201 | |
| R18-X000 | Changes to party contact information recorded | St.27 status event code:A-3-3-R10-R18-oth-X000 | |
| P22-X000 | Classification modified | St.27 status event code:A-2-2-P10-P22-nap-X000 | |
| P22-X000 | Classification modified | St.27 status event code:A-2-2-P10-P22-nap-X000 | |
| P22-X000 | Classification modified | St.27 status event code:A-2-2-P10-P22-nap-X000 | |
| E902 | Notification of reason for refusal | ||
| PE0902 | Notice of grounds for rejection | St.27 status event code:A-1-2-D10-D21-exm-PE0902 | |
| T11-X000 | Administrative time limit extension requested | St.27 status event code:U-3-3-T10-T11-oth-X000 | |
| AMND | Amendment | ||
| E13-X000 | Pre-grant limitation requested | St.27 status event code:A-2-3-E10-E13-lim-X000 | |
| P11-X000 | Amendment of application requested | St.27 status event code:A-2-2-P10-P11-nap-X000 | |
| P13-X000 | Application amended | St.27 status event code:A-2-2-P10-P13-nap-X000 | |
| E601 | Decision to refuse application | ||
| PE0601 | Decision on rejection of patent | St.27 status event code:N-2-6-B10-B15-exm-PE0601 | |
| AMND | Amendment | ||
| E13-X000 | Pre-grant limitation requested | St.27 status event code:A-2-3-E10-E13-lim-X000 | |
| P11-X000 | Amendment of application requested | St.27 status event code:A-2-2-P10-P11-nap-X000 | |
| P13-X000 | Application amended | St.27 status event code:A-2-2-P10-P13-nap-X000 | |
| PX0901 | Re-examination | St.27 status event code:A-2-3-E10-E12-rex-PX0901 | |
| PX0601 | Decision of rejection after re-examination | St.27 status event code:N-2-6-B10-B17-rex-PX0601 | |
| X601 | Decision of rejection after re-examination | ||
| PA0104 | Divisional application for international application | St.27 status event code:A-0-1-A10-A18-div-PA0104 St.27 status event code:A-0-1-A10-A16-div-PA0104 | |
| PC1202 | Submission of document of withdrawal before decision of registration | St.27 status event code:N-1-6-B10-B11-nap-PC1202 |