












아래의 실시예들은 오브젝트를 검출하기 위한 방법 및 장치에 관한 것으로, 보다 상세하게는 잡음 또는 주변 레이더 신호에 의해 발생하는 허위 오브젝트를 제거함으로써 오브젝트를 검출하는 방법 및 장치에 관한 것이다.The following embodiments relate to a method and apparatus for detecting an object, and more particularly, to a method and apparatus for detecting an object by removing a false object generated by noise or a surrounding radar signal.
차량에 탑재되는 오브젝트 검출 장치는 레이더를 이용하여 차량 주변의 오브젝트를 검출한다. 차량용 레이더는 주파수 변조 연속파(Frequency Modulated Continuous Waveform: FMCW)를 사용한다. 오브젝트 검출 장치는 정해진 파형을 차량 주변으로 전파하고 오브젝트에 반사된 신호를 수신한다. 오브젝트 검출 장치는 수신 신호와 전송 신호를 다운-컨버젼(down conversion)시킴으로써 비트 신호를 생성하고, 정해진 샘플링 주기에 맞추어 샘플링하고, 샘플링된 신호는 FFT(Fast Fourier Transformation)를 통해 주파수 영역으로 변환된다. 주파수 영역으로 변환된 신호에 대해 CFAR(constant false alarm rate) 검출 방법을 이용하여 오브젝트에 대한 비트 주파수를 계산한다. 계산된 비트 주파수에 기초하여 오브젝트의 거리 및 상대 속도가 계산된다.An object detecting apparatus mounted on a vehicle detects an object around the vehicle using a radar. Automotive radars use Frequency Modulated Continuous Waveform (FMCW). The object detecting apparatus propagates a predetermined waveform around the vehicle and receives a signal reflected by the object. The object detecting apparatus generates a bit signal by down-converting a received signal and a transmitted signal, samples a predetermined sampling period, and converts the sampled signal into a frequency domain through fast fourier transformation (FFT). The bit frequency of the object is calculated using a constant false alarm rate (CFAR) detection method for the signal converted into the frequency domain. Based on the calculated bit frequency, the distance and relative velocity of the object is calculated.
일 실시예는 오브젝트를 검출하는 장치 및 방법을 제공할 수 있다.One embodiment may provide an apparatus and a method for detecting an object.
일 실시예는 잡음 및 간섭 신호에 의해 발생하는 허위 오브젝트를 제거하는 오브젝트 검출 장치 및 방법을 제공할 수 있다.One embodiment can provide an object detection apparatus and method for removing false objects caused by noise and interference signals.
일 측면에 따른, 오브젝트 검출 방법은 제1 순서로 미리 설정된 개수의 처프 신호(chirp signal)들을 포함하는 제1 처프 시퀀스를 결정하는 단계, 상기 제1 순서와는 다른 제2 순서로 상기 처프 신호들을 포함하는 제2 처프 시퀀스를 결정하는 단계, 상기 제1 처프 시퀀스 및 상기 제2 처프 시퀀스를 포함하는 전송 신호(transmission signal)를 전송하는 단계, 수신 신호를 수신하는 단계, 상기 전송 신호 및 상기 수신 신호에 기초하여 혼합 신호(mixing signal)를 생성하는 단계, 및 상기 혼합 신호에 기초하여 오브젝트를 검출하는 단계를 포함한다.According to an aspect, an object detecting method includes determining a first chirp sequence including a preset number of chirp signals in a first order, and performing the chirp signals in a second order different from the first order. Determining a second chirp sequence comprising, transmitting a transmission signal comprising the first chirp sequence and the second chirp sequence, receiving a received signal, the transmitted signal and the received signal Generating a mixing signal based on the step S, and detecting the object based on the mixed signal.
상기 제2 처프 시퀀스를 결정하는 단계는, 상기 제1 처프 시퀀스의 제1 시간 슬롯에 할당된 처프 신호와 다른 처프 신호를 상기 제2 처프 시퀀스의 제1 시간 슬롯에 할당하는 단계를 포함할 수 있다.The determining of the second chirp sequence may include assigning a chirp signal that is different from a chirp signal allocated to a first time slot of the first chirp sequence to a first time slot of the second chirp sequence. .
상기 미리 설정된 개수의 처프 신호들 각각의 최대 주파수는 서로 상이할 수 있다.The maximum frequencies of each of the preset number of chirp signals may be different from each other.
상기 미리 설정된 개수의 처프 신호들은 시간 축 및 주파수 축에서 톱니파 또는 삼각파의 형태로 나타날 수 있다.The predetermined number of chirp signals may appear in the form of sawtooth waves or triangle waves on the time axis and the frequency axis.
상기 제2 처프 시퀀스를 결정하는 단계는, 상기 제1 순서의 순환 순열(cyclic permutation)에 대응하지 않도록 상기 제2 순서를 결정하는 단계를 포함할 수 있다.The determining of the second chirp sequence may include determining the second order so as not to correspond to the cyclic permutation of the first order.
상기 오브젝트 검출 방법은 상기 제1 처프 시퀀스와 상기 제2 처프 시퀀스가 시간적으로 연속되도록 상기 전송 신호를 생성하는 단계를 더 포함할 수 있다.The object detecting method may further include generating the transmission signal such that the first chirp sequence and the second chirp sequence are continuous in time.
상기 혼합 신호에 기초하여 오브젝트를 검출하는 단계는, 상기 처프 신호들 각각에 대한 하나 이상의 비트 주파수들을 추출하는 단계, 상기 추출된 비트 주파수들 중 상기 오브젝트에 대한 비트 주파수를 결정하는 단계, 및 상기 결정된 비트 주파수에 기초하여 상기 오브젝트를 검출하는 단계를 포함할 수 있다.Detecting an object based on the mixed signal comprises: extracting one or more bit frequencies for each of the chirp signals, determining a bit frequency for the object among the extracted bit frequencies, and the determined Detecting the object based on a bit frequency.
상기 추출된 비트 주파수들 중 상기 오브젝트에 대한 비트 주파수를 결정하는 단계는, CFAR(constant false alarm rate) 검출 방법을 이용하여 상기 추출된 비트 주파수들 중 상기 오브젝트에 대한 비트 주파수를 결정하는 단계를 포함할 수 있다.Determining a bit frequency for the object of the extracted bit frequencies, comprising determining a bit frequency for the object of the extracted bit frequencies using a constant false alarm rate (CFAR) detection method can do.
상기 추출된 비트 주파수들 중 상기 오브젝트에 대한 비트 주파수를 결정하는 단계는, 두 개의 구간들에 대한 비트 주파수들에 기초하여 거리의 축 및 상대 속도의 축에 대한 적어도 네 개의 직선들을 계산하는 단계, 상기 적어도 네 개의 직선들에 의해 나타나는 하나 이상의 교점들을 계산하는 단계, 및 상기 하나 이상의 교점들에 기초하여 오브젝트에 대한 비트 주파수를 결정하는 단계를 포함할 수 있다.Determining a bit frequency for the object of the extracted bit frequencies, calculating at least four straight lines for the axis of distance and the axis of relative speed based on the bit frequencies for the two intervals, Calculating one or more intersections represented by the at least four straight lines, and determining a bit frequency for the object based on the one or more intersections.
상기 하나 이상의 교점들에 기초하여 오브젝트에 대한 비트 주파수를 결정하는 단계는, 하나 이상의 오브젝트 후보들 각각에 대응하는 교점 그룹을 결정하는 단계, 상기 교점 그룹 내의 교점들 간의 거리를 계산하는 단계, 및 상기 계산된 교점 그룹의 거리 및 미리 설정된 임계 값에 기초하여 상기 오브젝트에 대한 비트 주파수를 결정하는 단계를 포함할 수 있다.Determining a bit frequency for an object based on the one or more intersections includes determining a intersection group corresponding to each of the one or more object candidates, calculating a distance between the intersections in the intersection group, and calculating And determining a bit frequency for the object based on a distance of a predetermined intersection group and a preset threshold value.
상기 하나 이상의 교점들에 기초하여 오브젝트에 대한 비트 주파수를 결정하는 단계는, INR(interference-to-noise ratio) 값이 가장 작은 구간에 대해 추출된 비트 주파수들의 개수를 최대 오브젝트 개수로 결정하는 단계, 및 상기 최대 오브젝트 개수에 기초하여 최종 오브젝트를 결정하는 단계를 더 포함할 수 있다.The determining of the bit frequency for the object based on the one or more intersections may include determining the number of extracted bit frequencies for the interval having the smallest interference-to-noise ratio (INR) value as the maximum object number; And determining a final object based on the maximum number of objects.
다른 일 측면에 따른, 오브젝트 검출 장치는, 오브젝트를 검출하는 프로그램이 기록된 메모리, 및 상기 프로그램을 수행하는 프로세서를 포함하고, 상기 프로그램은, 제1 순서로 미리 설정된 개수의 처프 신호(chirp signal)들을 포함하는 제1 처프 시퀀스를 결정하는 단계, 상기 제1 순서와는 다른 제2 순서로 상기 처프 신호들을 포함하는 제2 처프 시퀀스를 결정하는 단계, 상기 제1 처프 시퀀스 및 상기 제2 처프 시퀀스를 포함하는 전송 신호(transmission signal)를 전송하는 단계, 수신 신호를 수신하는 단계, 상기 전송 신호 및 상기 수신 신호에 기초하여 혼합 신호(mixing signal)를 생성하는 단계, 및 상기 혼합 신호에 기초하여 오브젝트를 검출하는 단계를 수행한다.According to another aspect, an object detecting apparatus includes a memory in which a program for detecting an object is recorded, and a processor for executing the program, wherein the program includes a predetermined number of chirp signals in a first order. Determining a first chirp sequence including the first chirp sequence; determining a second chirp sequence including the chirp signals in a second order different from the first order; and determining the first chirp sequence and the second chirp sequence. Transmitting a transmission signal, including a transmission signal, receiving a reception signal, generating a mixing signal based on the transmission signal and the received signal, and generating an object based on the mixed signal. The detecting step is performed.
상기 오브젝트 검출 장치는, MIMO(multiple input multiple output) 안테나를 이용하여 상기 전송 신호를 전송하고, 상기 수신 신호를 수신하는 레이더를 더 포함할 수 있다.The object detecting apparatus may further include a radar that transmits the transmission signal by using a multiple input multiple output (MIMO) antenna and receives the reception signal.
상기 오브젝트 검출 장치는 차량에 포함되고, 상기 오브젝트 검출 장치는 상기 차량의 주위에 위치하는 오브젝트를 검출하기 위해 이용될 수 있다.The object detecting apparatus may be included in a vehicle, and the object detecting apparatus may be used to detect an object located around the vehicle.
또 다른 일 측면에 따른, 오브젝트 검출의 정확도 계산 방법은, 오브젝트 프로필에 기초하여 오브젝트의 비트 신호를 생성하는 단계, 간섭 프로필에 기초하여 간섭 비트 신호를 생성하는 단계, 백색 잡음을 생성하는 단계, 상기 비트 신호, 상기 간섭 비트 신호 및 상기 백색 잡음을 병합함으로써 병합 신호를 생성하는 단계, 상기 병합 신호를 샘플링하고, 샘플링된 병합 신호에 FFT(Fast Fourier Transformation)를 적용하는 단계, 상기 FFT의 결과에 CFAR(constant false alarm rate) 검출 방법을 적용함으로써 오브젝트를 검출하는 단계, 및 상기 검출된 오브젝트와 오브젝트 프로필에 기초하여 오브젝트 검출의 정확도를 계산하는 단계를 포함한다.According to yet another aspect, a method of calculating accuracy of object detection may include generating a bit signal of an object based on an object profile, generating an interference bit signal based on an interference profile, generating white noise, and Generating a merge signal by merging a bit signal, the interference bit signal, and the white noise, sampling the merge signal, and applying a fast fourier transform (FFT) to the sampled merged signal; CFAR to the result of the FFT (constant false alarm rate) detecting the object by applying a detection method, and calculating the accuracy of object detection based on the detected object and object profile.
상기 오브젝트의 비트 신호를 생성하는 단계는, 제1 순서로 미리 설정된 개수의 처프 신호(chirp signal)들을 포함하는 제1 처프 시퀀스를 결정하는 단계, 상기 제1 순서와는 다른 제2 순서로 상기 처프 신호들을 포함하는 제2 처프 시퀀스를 결정하는 단계, 상기 제1 처프 시퀀스 및 상기 제2 처프 시퀀스를 포함하는 전송 신호를 생성하는 단계, 미리 설정된 오브젝트의 거리에 기초하여 수신 신호를 생성하는 단계 및 상기 전송 신호 및 상기 수신 신호에 기초하여 상기 비트 신호로서 혼합 신호(mixing signal)를 생성하는 단계를 포함할 수 있다.The generating of the bit signal of the object may include determining a first chirp sequence including a predetermined number of chirp signals in a first order, and the chirp in a second order different from the first order. Determining a second chirp sequence comprising signals, generating a transmission signal comprising the first chirp sequence and the second chirp sequence, generating a received signal based on a distance of a preset object, and Generating a mixing signal as the bit signal based on the transmission signal and the received signal.
상기 제2 처프 시퀀스를 결정하는 단계는, 상기 제1 처프 시퀀스의 제1 시간 슬롯에 할당된 처프 신호와 다른 처프 신호를 상기 제2 처프 시퀀스의 제1 시간 슬롯에 할당하는 단계를 포함할 수 있다.The determining of the second chirp sequence may include assigning a chirp signal different from the chirp signal allocated to the first time slot of the first chirp sequence to the first time slot of the second chirp sequence. .
또 다른 일 측면에 따른, 오브젝트 검출의 정확도를 계산하는 장치는, 오브젝트 검출의 정확도를 계산하는 프로그램이 기록된 메모리, 및 상기 프로그램을 수행하는 프로세서를 포함하고, 상기 프로그램은, 오브젝트 프로필에 기초하여 오브젝트의 비트 신호를 생성하는 단계, 간섭 프로필에 기초하여 간섭 비트 신호를 생성하는 단계, 백색 잡음을 생성하는 단계, 상기 비트 신호, 상기 간섭 비트 신호 및 상기 백색 잡음을 병합함으로써 병합 신호를 생성하는 단계, 상기 병합 신호를 샘플링하고, 샘플링된 병합 신호에 FFT(Fast Fourier Transformation)를 적용하는 단계, 상기 FFT의 결과에 CFAR(constant false alarm rate) 검출 방법을 적용함으로써 오브젝트를 검출하는 단계, 및 상기 검출된 오브젝트와 오브젝트 프로필에 기초하여 오브젝트 검출의 정확도를 계산하는 단계를 수행한다.According to another aspect, an apparatus for calculating the accuracy of object detection includes a memory in which a program for calculating the accuracy of object detection is recorded, and a processor for executing the program, the program based on an object profile Generating a bit signal of the object, generating an interference bit signal based on the interference profile, generating white noise, generating a merge signal by merging the bit signal, the interference bit signal and the white noise Sampling the merge signal and applying fast fourier transformation (FFT) to the sampled merge signal; detecting an object by applying a constant false alarm rate (CFAR) detection method to the result of the FFT; and detecting To calculate the accuracy of object detection based on compiled objects and object profiles Perform the system.
레이더를 이용하는 오브젝트 검출 장치 및 방법이 제공될 수 있다.An object detecting apparatus and method using a radar may be provided.
잡음 및 간섭 신호에 의해 발생하는 허위 오브젝트를 제거하는 오브젝트 검출 장치 및 방법이 제공될 수 있다.An object detecting apparatus and method for removing false objects caused by noise and interference signals may be provided.
도 1은 일 예에 따른 오브젝트 검출 방법을 도시한다.
도 2는 일 실시예에 따른 오브젝트 검출 장치의 구성도이다.
도 3은 일 실시예에 따른 오브젝트 검출 방법의 흐름도이다.
도 4는 일 예에 따른 제1 처프 시퀀스 및 제2 처프 시퀀스를 도시한다.
도 5는 일 예에 따른 혼합 신호에 기초하여 오브젝트를 검출하는 방법의 흐름도이다.
도 6은 일 예에 따른 비트 주파수들에 기초하여 오브젝트를 검출하는 방법의 흐름도이다.
도 7은 일 예에 따른 멀티-타겟 문제의 해를 구하기 위해 처프 신호들에 기초하여 거리-상대 속도 평면들에 그려진 직선들을 도시한다.
도 8은 일 예에 따른 교점 그룹의 거리에 기초하여 오브젝트에 대한 비트 주파수를 결정하는 방법의 흐름도이다.
도 9는 일 예에 따른 멀티-타겟 문제의 해를 구하기 위해 처프 신호들에 기초하여 거리-상대 속도 평면들에 그려진 기울기가 다른 직선들을 도시한다.
도 10은 일 예에 따른 결정된 최대 오브젝트 개수에 기초하여 최종 오브젝트를 결정하는 방법을 도시한다.
도 11은 일 예에 따른 오브젝트 검출의 정확도를 계산하기 위한 방법을 도시한다.
도 12는 일 예에 따른 오브젝트 검출 방법들에 따른 오브젝트 검출 확률들을 도시한다.
도 13은 일 예에 따른 오브젝트 검출 방법들에 따른 검출된 허위 타겟들의 개수를 도시한다.1 illustrates an object detection method according to an example.
2 is a block diagram of an object detecting apparatus according to an exemplary embodiment.
3 is a flowchart of an object detecting method according to an exemplary embodiment.
4 illustrates a first chirp sequence and a second chirp sequence, according to an example.
5 is a flowchart of a method of detecting an object based on a mixed signal according to an example.
6 is a flowchart of a method of detecting an object based on bit frequencies according to an example.
7 shows straight lines drawn in distance-relative velocity planes based on chirp signals to solve a multi-target problem according to an example.
8 is a flowchart of a method of determining a bit frequency for an object based on a distance of an intersection group according to an example.
9 shows straight lines with different slopes drawn in the distance-relative velocity planes based on chirp signals to solve a multi-target problem according to an example.
10 illustrates a method of determining a final object based on the determined maximum number of objects according to an example.
11 illustrates a method for calculating the accuracy of object detection according to an example.
12 illustrates object detection probabilities according to object detection methods according to an example.
13 illustrates the number of detected false targets according to object detection methods according to an example.
이하에서, 첨부된 도면을 참조하여 실시예들을 상세하게 설명한다. 그러나, 특허출원의 범위가 이러한 실시예들에 의해 제한되거나 한정되는 것은 아니다. 각 도면에 제시된 동일한 참조 부호는 동일한 부재를 나타낸다.Hereinafter, exemplary embodiments will be described in detail with reference to the accompanying drawings. However, the scope of the patent application is not limited or limited by these embodiments. Like reference numerals in the drawings denote like elements.
아래 설명하는 실시예들에는 다양한 변경이 가해질 수 있다. 아래 설명하는 실시예들은 실시 형태에 대해 한정하려는 것이 아니며, 이들에 대한 모든 변경, 균등물 내지 대체물을 포함하는 것으로 이해되어야 한다.Various modifications may be made to the embodiments described below. The examples described below are not intended to be limited to the embodiments and should be understood to include all modifications, equivalents, and substitutes for them.
실시예에서 사용한 용어는 단지 특정한 실시예를 설명하기 위해 사용된 것으로, 실시예를 한정하려는 의도가 아니다. 단수의 표현은 문맥상 명백하게 다르게 뜻하지 않는 한, 복수의 표현을 포함한다. 본 명세서에서, "포함하다" 또는 "가지다" 등의 용어는 명세서 상에 기재된 특징, 숫자, 단계, 동작, 구성요소, 부품 또는 이들을 조합한 것이 존재함을 지정하려는 것이지, 하나 또는 그 이상의 다른 특징들이나 숫자, 단계, 동작, 구성요소, 부품 또는 이들을 조합한 것들의 존재 또는 부가 가능성을 미리 배제하지 않는 것으로 이해되어야 한다.The terminology used herein is for the purpose of describing particular example embodiments only and is not intended to be limiting of examples. Singular expressions include plural expressions unless the context clearly indicates otherwise. In this specification, terms such as "comprise" or "have" are intended to indicate that there is a feature, number, step, action, component, part, or combination thereof described on the specification, and one or more other features. It is to be understood that the present invention does not exclude the possibility of the presence or the addition of numbers, steps, operations, components, components, or a combination thereof.
다르게 정의되지 않는 한, 기술적이거나 과학적인 용어를 포함해서 여기서 사용되는 모든 용어들은 실시예가 속하는 기술 분야에서 통상의 지식을 가진 자에 의해 일반적으로 이해되는 것과 동일한 의미를 가지고 있다. 일반적으로 사용되는 사전에 정의되어 있는 것과 같은 용어들은 관련 기술의 문맥 상 가지는 의미와 일치하는 의미를 가지는 것으로 해석되어야 하며, 본 출원에서 명백하게 정의하지 않는 한, 이상적이거나 과도하게 형식적인 의미로 해석되지 않는다.Unless defined otherwise, all terms used herein, including technical or scientific terms, have the same meaning as commonly understood by one of ordinary skill in the art. Terms such as those defined in the commonly used dictionaries should be construed as having meanings consistent with the meanings in the context of the related art and shall not be construed in ideal or excessively formal meanings unless expressly defined in this application. Do not.
또한, 첨부 도면을 참조하여 설명함에 있어, 도면 부호에 관계없이 동일한 구성 요소는 동일한 참조부호를 부여하고 이에 대한 중복되는 설명은 생략하기로 한다. 실시예를 설명함에 있어서 관련된 공지 기술에 대한 구체적인 설명이 실시예의 요지를 불필요하게 흐릴 수 있다고 판단되는 경우 그 상세한 설명을 생략한다.In addition, in the description with reference to the accompanying drawings, the same components regardless of reference numerals will be given the same reference numerals and duplicate description thereof will be omitted. In the following description of the embodiment, when it is determined that the detailed description of the related known technology may unnecessarily obscure the gist of the embodiment, the detailed description thereof will be omitted.
도 1은 일 예에 따른 오브젝트 검출 방법을 도시한다.1 illustrates an object detection method according to an example.
차량(110)의 주변에 위치하는 오브젝트(120)(예를 들어, 사람 등)를 검출하기 위한 방법으로써 전송 신호(112)를 차량(110)의 주변으로 전파하고, 오브젝트(120)에 의해 반사된 반사 신호(114)를 검출하는 방법이 고려될 수 있다. 예를 들어, 차량(110)의 레이더(Radar)는 오브젝트(120)의 검출을 위한 전송 신호(112)를 차량(110)의 주변으로 전파하고, 오브젝트(120)에 의해 반사된 반사 신호(114)로부터 ToF(Time of Flight)를 계산함으로써 차량(110) 및 오브젝트(120) 간의 거리를 계산할 수 있고, 추가적으로 도플러 효과(Doppler effect)를 고려하여 오브젝트(120)의 상대 속도를 계산할 수 있다.As a method for detecting an object 120 (eg, a person, etc.) located in the vicinity of the
레이더가 수신하는 신호에는 반사 신호(114) 이외에 다른 차량(130)이 전송한 전송 신호(132) 및 잡음이 더 포함될 수 있다. 이러한 다른 차량(130)이 전송한 전송 신호(132) 및 잡음은 허위 타겟(또는, 허위 오브젝트)이 검출되도록 유발할 수 있다. 이에 따라, 전송 신호(112)에 다른 신호들과 구별되도록 특징을 포함하는 방법이 고려될 수 있다.The signal received by the radar may further include a transmission signal 132 and noise transmitted from another
오브젝트(120)로부터 반사된 반사 신호(114)와 다른 전송 신호(132)와 같은 잡음을 구분하기 위해 레이더는 변조된 전송 신호(modulated transmission signal)를 차량(110)의 주변으로 전파할 수 있다. 일 측면에 따르면, 변조된 전송 신호(132)는 주파수가 변조된 연속 파형(Frequency Modulated Continuous Waveform: FMCW)일 수 있다. 예를 들어, FMCW의 신호는 79 기가 헤르츠(GHz)를 기준으로 주파수가 변조된 신호일 수 있다. FMCW의 신호의 대역폭(bandwidth: BW)은 77 GHz 내지 81 GHz일 수 있으나, 이에 한정되지 않는다. 79 GHz 대역의 밀리미터파(millimeter wave)가 이용되는 경우 높은 분해능(resolution)이 제공될 수 있다.The radar may propagate a modulated transmission signal to the periphery of the
예를 들어, 레이더는 신호를 발신하는 전송 안테나들을 포함할 수 있고, 전송 안테나들은 서로 다른 지향각으로 배치되거나, 지향각이 조절되도록 배치 또는 구현될 수 있다. 레이더는 신호를 수신하는 수신 안테나를 포함할 수 있고, 수신 안테나들은 서로 다른 지향각으로 배치되거나, 지향각이 조절되도록 배치 또는 구현될 수 있다. 즉, 레이더는 MIMO(multiple input multiple output) 안테나를 포함할 수 있다.For example, the radar may include transmit antennas for transmitting a signal, and the transmit antennas may be arranged at different direction angles, or may be arranged or implemented to adjust the direction angles. The radar may include a receiving antenna for receiving a signal, and the receiving antennas may be arranged at different directivity angles, or may be arranged or implemented to adjust the directivity angles. That is, the radar may include a multiple input multiple output (MIMO) antenna.
예를 들어, 반사 신호(114)를 통해 오브젝트(120)가 검출된 경우, 차량(110)은 오브젝트(120)의 정보를 운전자에게 알려줄 수 있다. 다른 예로, 차량(110)은 ADAS(advanced driver assistance systems)을 통해 운전자를 지원할 수 있다. 또 다른 예로, 차량(110)이 자율 주행 차량인 경우, 차량(110)은 오브젝트(120)에 기초하여 차량의 운행 경로를 설정할 수 있다. 예를 들어, 오브젝트(120)의 정보는 오브젝트(120)의 위치, 속력 및 방향을 포함할 수 있다.For example, when the
아래에서 도 2 내지 도 11을 참조하여 오브젝트 검출 방법이 상세히 설명된다.The object detection method will be described in detail below with reference to FIGS. 2 to 11.
도 2는 일 실시예에 따른 오브젝트 검출 장치의 구성도이다.2 is a block diagram of an object detecting apparatus according to an exemplary embodiment.
오브젝트 검출 장치(200)는 통신부(210), 프로세서(220) 및 메모리(230)를 포함한다. 오브젝트 검출 장치(200)은 차량에 포함될 수 있다. 예를 들어, 오브젝트 검출 장치(200)는 차량의 ECU(Electronic Control Unit)일 수 있다. 다른 예로, 오브젝트 검출 장치(200)는 차량의 ECU와 연결될 수 있다.The
통신부(210)는 프로세서(220), 및 메모리(230)와 연결되어 데이터를 송수신한다. 통신부(210)는 외부의 다른 장치와 연결되어 데이터를 송수신할 수 있다. 통신부(210)는 도 1을 참조하여 전술된 레이더를 포함할 수 있다.The
통신부(210)는 오브젝트 검출 장치(200) 내의 회로망(circuitry)으로 구현될 수 있다. 예를 들어, 통신부(210)는 내부 버스(internal bus) 및 외부 버스(external bus)를 포함할 수 있다. 다른 예로, 통신부(210)는 오브젝트 검출 장치(200)와 외부의 장치를 연결하는 요소일 수 있다. 통신부(210)는 인터페이스(interface)일 수 있다. 통신부(210)는 외부의 장치로부터 데이터를 수신하여, 프로세서(220) 및 메모리(230)에 데이터를 전송할 수 있다.The
프로세서(220)는 통신부(210)가 수신한 데이터 및 메모리(230)에 저장된 데이터를 처리한다. "프로세서"는 목적하는 동작들(desired operations)을 실행시키기 위한 물리적인 구조를 갖는 회로를 가지는 하드웨어로 구현된 데이터 처리 장치일 수 있다. 예를 들어, 목적하는 동작들은 프로그램에 포함된 코드(code) 또는 인스트럭션들(instructions)을 포함할 수 있다. 예를 들어, 하드웨어로 구현된 데이터 처리 장치는 마이크로프로세서(microprocessor), 중앙 처리 장치(central processing unit), 프로세서 코어(processor core), 멀티-코어 프로세서(multi-core processor), 멀티프로세서(multiprocessor), ASIC(Application-Specific Integrated Circuit), FPGA(Field Programmable Gate Array)를 포함할 수 있다.The
프로세서(220)는 메모리(예를 들어, 메모리(230))에 저장된 컴퓨터로 읽을 수 있는 코드(예를 들어, 소프트웨어) 및 프로세서(220)에 의해 유발된 인스트럭션들을 실행한다.The
메모리(230)는 통신부(210)가 수신한 데이터 및 프로세서(220)가 처리한 데이터를 저장한다. 예를 들어, 메모리(230)는 프로그램을 저장할 수 있다. 저장되는 프로그램은 오브젝트를 검출할 수 있도록 코딩되어 프로세서(220)에 의해 실행 가능한 신텍스(syntax)들의 집합일 수 있다.The
일 측면에 따르면, 메모리(230)는 하나 이상의 휘발성 메모리, 비휘발성 메모리 및 RAM(Random Access Memory), 플래시 메모리, 하드 디스크 드라이브 및 광학 디스크 드라이브를 포함할 수 있다.According to one aspect, the
메모리(230)는 오브젝트 검출 장치(200)를 동작 시키는 명령어 세트(예를 들어, 소프트웨어)를 저장한다. 오브젝트 검출 장치(200)를 동작 시키는 명령어 세트는 프로세서(220)에 의해 실행된다.The
통신부(210), 프로세서(220), 및 메모리(230)에 대해, 아래에서 도 3 내지 도 11을 참조하여 상세히 설명된다.The
도 3은 일 실시예에 따른 오브젝트 검출 방법의 흐름도이다.3 is a flowchart of an object detecting method according to an exemplary embodiment.
아래의 단계들(310 내지 370)은 도 2를 참조하여 전술된 오브젝트 검출 장치(200)에 의해 수행된다.
단계(310)에서, 오브젝트 검출 장치(200)는 제1 순서로 미리 설정된 개수의 처프(chirp) 신호들을 포함하는 제1 처프 시퀀스(first chirp sequence)를 결정한다. 예를 들어, 미리 설정된 개수는 4일 수 있다. 4개의 처프 신호들(a1, a2, a3, a4)은 모두 동일한 센터 주파수(center prequency)를 가지고, 4개의 처프 신호들 각각의 최대 주파수는 서로 상이할 수 있다. 예를 들어, 제1 순서는 제1 처프 신호(a1), 제2 처프 신호(a2), 제3 처프 신호(a3) 및 제4 처프 신호(a4)의 순서일 수 있다.In
처프 시퀀스 4개의 시간 슬롯으로 나누어질 수 있고, 각각의 시간 슬롯은 앞에서부터 제1 시간 슬롯, 제2 시간 슬롯, 제3 시간 슬롯 및 제4 시간 슬롯으로 명명될 수 있다. 제1 순서는 제1 시간 슬롯에 제1 처프 신호(a1)가 할당되고, 제2 시간 슬롯에 제2 처프 신호(a2)가 할당되고, 제3 시간 슬롯에 제3 처프 신호(a3)가 할당되고, 제4 시간 슬롯에 제4 처프 신호(a4)가 할당된 순서일 수 있다. 제1 처프 시퀀스는 제1 처프 신호, 제2 처프 신호, 제3 처프 신호 및 제4 처프 신호가 연속적으로 연결된 신호일 수 있다.The chirp sequence may be divided into four time slots, and each time slot may be named first time slot, second time slot, third time slot, and fourth time slot from the front. In a first order, a first chirp signal a1 is allocated to a first time slot, a second chirp signal a2 is assigned to asecond time slot, and a third chirp signal a3 is assigned to a third time slot. ) May be allocated, and the fourth chirp signal a4 may be allocated to the fourth time slot. The first chirp sequence may be a signal in which a first chirp signal, a second chirp signal, a third chirp signal, and a fourth chirp signal are continuously connected.
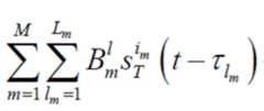
예를 들어, 처프 신호는 시간 축 및 주파수 축에서 톱니파 또는 삼각파의 형태로 나타날 수 있다. 톱니파 또는 삼각파의 형태의 처프 신호들을 포함하는 제i 처프 시퀀스는 아래의 [수학식 1]로 표현된다.For example, the chirp signal may appear in the form of sawtooth or triangle waves on the time axis and the frequency axis. An i-th chirp sequence including chirp signals in the form of a sawtooth wave or triangle wave is represented by
[수학식 1]에서,는 제i 처프 시퀀스이고, N은 처프 시퀀스에 포함되는 미리 설정된 처프 신호들의 개수이고,는 제i 처프 시퀀스의 제i 순서에 의해 각 시간 슬롯에 할당된 처프 신호의 기울기이다. 예를 들어, 제1 순서에 따르면, 제1 처프 신호, 제2 처프 신호, 제3 처프 신호 및 제4 처프 신호가 순서대로에 대응한다. T는 하나의 처프 신호의 지속 기간(time duration)이다. 아래에서 도 4를 참조하여 제1 처프 시퀀스에 대해 설명된다.In [Equation 1], Is the i th chirp sequence, N is the number of preset chirp signals included in the chirp sequence, Is the slope of the chirp signal assigned to each time slot by the i th order of the i th chirp sequence. For example, according to the first order, the first chirp signal, the second chirp signal, the third chirp signal, and the fourth chirp signal are in order. Corresponds to. T is the time duration of one chirp signal. The first chirp sequence is described below with reference to FIG. 4.
단계(320)에서, 오브젝트 검출 장치(200)는 제2 순서로 미리 설정된 개수의 처프 신호들을 포함하는 제2 처프 시퀀스(second chirp sequence)를 결정한다. 제2 순서는 제1 순서와 상이하다.In
일 측면에 따른 제1 처프 시퀀스의 제1 시간 슬롯에 할당된 처프 신호와 다른 처프 신호가 제2 처프 시퀀스의 제1 시간 슬롯에 할당될 수 있다. 제1 처프 시퀀스의 제1 시간 슬롯에 제1 처프 신호가 할당된 경우, 제2 처프 시퀀스의 제1 시간 슬롯에는 제1 처프 신호가 아닌, 제2 처프 신호, 제3 처프 신호 및 제4 처프 신호가 할당될 수 있다.A chirp signal different from the chirp signal allocated to the first time slot of the first chirp sequence according to an aspect may be allocated to the first time slot of the second chirp sequence. When the first chirp signal is assigned to the first time slot of the first chirp sequence, the second chirp signal, the third chirp signal, and the fourth chirp signal, not the first chirp signal, are assigned to the first time slot of the second chirp sequence. Can be assigned.
다른 일 측면에 따른, 제2 순서는 제1 순서의 순환 순열(cyclic permutation)에 대응하지 않도록 결정될 수 있다. 제1 순서가 제1 처프 신호(a1), 제2 처프 신호(a2), 제3 처프 신호(a3) 및 제4 처프 신호(a4)의 순서인 경우, 예를 들어, 제1 순서의 순환 순열은 제2 처프 신호(a2), 제3 처프 신호(a3), 제4 처프 신호(a4) 및 제1 처프 신호(a1)의 순서일 수 있다.According to another aspect, the second order may be determined not to correspond to the cyclic permutation of the first order. When the first order is the order of the first chirp signal a1 , the second chirp signal a2 , the third chirp signal a3 and the fourth chirp signal a4 , for example, The cyclic permutation of the order may be an order of the second chirp signal a2 , the third chirp signal a3 , the fourth chirp signal a4 , and the first chirp signal a1 .
예를 들어, 결정된 제2 순서는 제2 처프 신호(a2), 제4 처프 신호(a4), 제1 처프 신호(a1) 및 제3 처프 신호(a3)의 순서일 수 있다. 아래에서 도 4를 참조하여 제2 처프 시퀀스에 대해 설명된다.For example, the determined second order may be an order of the second chirp signal a2 , the fourth chirp signal a4 , the first chirp signal a1 , and the third chirp signal a3 . A second chirp sequence is described below with reference to FIG. 4.
단계(330)에서, 오브젝트 검출 장치(200)는 제1 처프 시퀀스 및 제2 처프 시퀀스가 시간적으로 연속되도록 전송 신호를 생성한다. 전송 신호는 제2 처프 시퀀스와 시간적으로 연결되는 제3 처프 시퀀스를 더 포함할 수 있다. 제3 처프 시퀀스는 제3 순서로 미리 설정된 개수의 처프 신호들을 포함한다. 제3 순서는 제2 순서와 상이하다.In
단계(340)에서, 오브젝트 검출 장치(200)는 전송 신호를 오브젝트 검출 장치(200)의 주변으로 전송(또는 전파)한다. 예를 들어, 오브젝트 검출 장치(200)는 레이더를 이용하여 전송 신호를 전송할 수 있다.In
단계(350)에서, 오브젝트 검출 장치(200)는 수신 신호를 수신한다. 수신 신호는 오브젝트에 의해 반사된 반사 신호, 잡음 및 다른 레이더에 의해 전송된 전송 신호가 포함될 수 있다. 수신 신호를 그대로 이용하여 오브젝트를 검출하는 경우, 진짜 오브젝트 이외에 허위 오브젝트(false object)(또는 허위 타겟)가 검출될 수 있다. 허위 오브젝트를 검출 및 제거하기 위해 아래의 단계들(360 및 370)이 수행된다.In
단계(360)에서, 오브젝트 검출 장치(200)는 전송 신호 및 수신 신호에 기초하여 혼합 신호(mixing signal)를 생성한다. 혼합 신호는 전송 신호와 수신 신호의 곱을 저역 통과(low pass filtering) 또는 다운-컨버젼(down conversion)한 신호일 수 있다. 수신 신호가 아래의 [수학식 2]로 표현되는 경우, 혼합 신호는 아래의 [수학식 3]으로 표현될 수 있다.In
[수학식 2]에서,는 수신 신호이고,는 반사 신호이고,는 간섭에 의한 신호이고,는 잡음 신호이다. 및는 감쇠 계수(attenuation coefficient)들이고,는 시간 지연(time delay)이고,은 간섭 신호들의 개수이고,는 기울기 순서 인덱스(slope sequence index)이고,는 타겟 오브젝트들의 개수이고,는 간섭들의 개수이다.In
[수학식 3]에서,는 혼합 신호이고,는 비트 신호(beat signal)이고,는 간섭 비트 신호(interference beat signal)이고,는 잡음 신호이다.In
일 측면에 따르면, 오브젝트 검출 장치(200)는 CFAR(constant false alarm rate) 검출 방법을 이용하여 허위 오브젝트를 제거하고, 하나 이상의 비트 주파수들을 추출하며, 추출된 비트 주파수들을 이용하여 오브젝트를 검출할 수 있다. CFAR을 이용하여 허위 오브젝트를 제거함으로써 오브젝트를 검출하는 방법에 대해, 아래에서 도 5 내지 도 10을 참조하여 상세히 설명된다.According to an aspect, the
도 4는 일 예에 따른 제1 처프 시퀀스 및 제2 처프 시퀀스를 도시한다.4 illustrates a first chirp sequence and a second chirp sequence, according to an example.
제1 처프 시퀀스(410)는 제1 순서로 배열된 제1 처프 신호(a1), 제2 처프 신호(a2), 제3 처프 신호(a3) 및 제4 처프 신호(a4)를 포함한다. 제1 시간 슬롯(411)에는 제1 처프 신호(a1)가 할당되고, 제2 시간 슬롯(412)에는 제2 처프 신호(a2)가 할당되고, 제3 시간 슬롯(413)에는 제3 처프 신호(a3)가 할당되고, 제4 시간 슬롯(414)에는 제4 처프 신호(a4)가 할당될 수 있다.The
제2 처프 시퀀스(420)는 제2 순서로 배열된 제2 처프 신호(a2), 제4 처프 신호(a4), 제1 처프 신호(a1) 및 제3 처프 신호(a3)를 포함한다. 제1 시간 슬롯(421)에는 제2 처프 신호(a2)가 할당되고, 제2 시간 슬롯(422)에는 제4 처프 신호(a4)가 할당되고, 제3 시간 슬롯(423)에는 제1 처프 신호(a1)가 할당되고, 제4 시간 슬롯(424)에는 제3 처프 신호(a3)가 할당될 수 있다.The
제1 처프 시퀀스(410) 및 제2 처프 시퀀스(420)가 연속되도록 전송 신호가 생성될 수 있다.The transmission signal may be generated such that the
도 5는 일 예에 따른 혼합 신호에 기초하여 오브젝트를 검출하는 방법의 흐름도이다.5 is a flowchart of a method of detecting an object based on a mixed signal according to an example.
도 3을 참조하여 전술된 단계(370)는 아래의 단계들(510 및 520)을 포함한다.Step 370 described above with reference to FIG. 3 includes
단계(510)에서, 오브젝트 검출 장치(200)는 허위 오브젝트가 아닌, 오브젝트에 대한 비트 주파수 획득하기 위해, 처프 신호들 각각에 대한 비트 주파수들을 추출한다. 예를 들어, 오브젝트 검출 장치(200)는 혼합 신호를 샘플링하고, 샘플링된 신호에 FFT(Fast Fourier Transformation)를 적용함으로써 처프 신호들 각각에 대한 비트 주파수들을 추출할 수 있다.In
단계(520)에서, 오브젝트 검출 장치(200)는 추출된 비트 주파수들 중 오브젝트에 대한 비트 주파수를 결정한다. 오브젝트에 대한 비트 주파수로 결정되지 않은 비트 주파수는 허위 오브젝트에 대한 비트 주파수일 수 있다. 예를 들어, 오브젝트 검출 장치(200)는 CFAR 검출 방법을 이용하여 추출된 비트 주파수들 중 오브젝트에 대한 비트 주파수를 결정할 수 있다.In
단계(530)에서, 오브젝트 검출 장치(200)는 결정된 비트 주파수에 기초하여 오브젝트를 검출한다. 예를 들어, 오브젝트 후보가 진짜 오브젝트로 검출된 경우 진짜 오브젝트의 거리 및 상대 속도가 함께 결정될 수 있다.In
도 6은 일 예에 따른 비트 주파수들에 기초하여 오브젝트를 검출하는 방법의 흐름도이다.6 is a flowchart of a method of detecting an object based on bit frequencies according to an example.
도 5를 참조하여 전술된 단계들(520)는 아래의 단계들(610 내지 630)을 포함한다.
단계(610)에서, 오브젝트 검출 장치(200)는 두 개의 구간들에 대한 비트 주파수들에 기초하여 거리의 축 및 상대 속도의 축에 대한 적어도 네 개의 직선들을 계산한다. 거리의 축 및 상대 속도의 축에 의해 R-v 평면이 형성되고, R-v 평면 상에 직선들이 나타날 수 있다.In
혼합 신호는 복수의 구간들을 포함할 수 있고, 각각의 구간은 하나의 처프 신호에 대응할 수 있다. 예를 들어, 하나의 처프 시퀀스가 두 개의 처프 신호들을 포함하는 경우, 혼합 신호는 두 개의 구간들을 포함한다. 하나의 구간은 업-램프 구간 및 다운-램프 구간을 포함할 수 있다. The mixed signal may include a plurality of sections, and each section may correspond to one chirp signal. For example, if one chirp sequence includes two chirp signals, the mixed signal includes two intervals. One section may include an up-ramp section and a down-ramp section.
오브젝트 검출 장치(200)는 복수의 구간들 중 두 개의 구간들을 선택한다. 두 개의 구간들은 복수의 구간들 중 각각의 처프 신호에 대해 추출된 비트 주파수들의 개수가 많은 구간들이 선택될 수 있다.는 k 번째의 처프 신호에 대해 추출된 비트 주파수들의 개수이고, k는 1 내지 N 사이이고, N은 하나의 처프 시퀀스에 포함되는 처프 신호들의 개수이다.가 큰 두 개의 구간들을 선택하는 이유는 오브젝트의 검출 확률을 높이기 위함이다.The
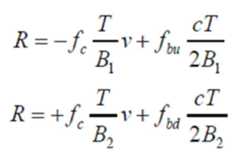
예를 들어, k가 k1 및 k2로 표현된 경우, R-v 평면에서 직선들은 아래의 [수학식 4]으로 표현된다.는 i 번째 비트 주파수이고,는 k 번째 처프 신호의 대역폭(bandwidth)이다.For example, when k is represented by k1 and k2 , straight lines in the Rv plane are represented by
단계(620)에서, 오브젝트 검출 장치(200)는 적어도 네 개의 직선들에 의해 나타내는 하나 이상의 교점(intersection)들을 계산한다. 오브젝트 후보들의 거리(R) 및 상대 속도(v) 프로파일(profile)들은 아래의 [수학식 5]으로 표현된다.In
단계(630)에서, 오브젝트 검출 장치(200)는 교점들에 기초하여 오브젝트에 대한 비트 주파수를 결정한다. 잡음 신호 및 간섭 신호가 없는 경우 서로 다른 직선들에 의해 발생하는 교점들은 동일한 위치에서 발생할 수 있다. 예를 들어, 제1 직선 및 제2 직선에 의해 발생하는 제1 교점, 제2 직선 및 제3 직선에 의해 발생하는 제2 교점, 및 제1 직선 및 제3 직선에 의해 발생하는 제3 교점은 동일한 위치에서 발생할 수 있다. 제1 직선, 제2 직선 및 제3 직선의 기울기는 모두 상이하다. 해당하는 교점에 대한 비트 주파수가 오브젝트에 대한 비트 주파수로 결정될 수 있다.In
도 7은 일 예에 따른 멀티-타겟 문제의 해를 구하기 위해 처프 신호들에 기초하여 거리-상대 속도 평면들에 그려진 직선들을 도시한다.7 shows straight lines drawn in distance-relative velocity planes based on chirp signals to solve a multi-target problem according to an example.
멀티-타겟(또는 오브젝트) 문제의 해를 구하기 위해, 기존의 방법은 CFAR 검출 방법을 이용하여 업-비트 주파수 및 다운-비트 주파수들을 획득한다. 획득된 업-비트 주파수 및 다운-비트 주파수에 기초하여 R-v 평면에서 아래의 [수학식 6]과 같은 직선들을 표현할 수 있다. [수학식 6]에서,는 업-비트 주파수이고,는 다운-비트 주파수이다. B1은 첫 번째 처프 신호의 대역폭이고, B2는 두 번째 처프 신호의 대역폭이다.In order to solve the multi-target (or object) problem, the existing method uses the CFAR detection method to obtain up- and down-bit frequencies. Based on the obtained up-bit frequency and down-bit frequency, straight lines such as
예를 들어, 도 7의 직선들(711, 712, 721, 722)이 가정되는 경우, 직선들(711, 712, 721, 722)에 의해 네 개의 교점들(731, 732, 733, 734)이 발생한다. 실제로는, 진짜 오브젝트들이 교점들(731, 734)에 대응하고, 허위 오브젝트가 교점들(732, 733)에 대응하더라도, [수학식 6]을 이용하는 방식으로는 허위 오브젝트가 교점들(732, 733)이 진짜 오브젝트로 검출된다.For example, if the
이러한 오류를 줄이기 위해, 직선들(711, 712, 721, 722)과는 기울기가 상이한 추가의 직선이 R-v 평면 상에 그려질 수 있다. 기울기가 상이한 추가의 직선을 R-v 평면 상에 그리기 위해, 기울기가 서로 상이한 처프 신호들이 전송 신호에 포함될 수 있다. 추가의 직선은 직선들(711, 712, 721, 722)과 기울기가 다르기 때문에, 진짜 오브젝트에 대응하는 교점을 통과하고, 허위 오브젝트에 대응하는 교점은 통과하지 않는다. 추가의 직선이 지나지 않는 교점은 허위 오브젝트에 대응하는 것으로 결정될 수 있다.To reduce this error, additional straight lines different in slope from the
도 8은 일 예에 따른 교점 그룹의 거리에 기초하여 오브젝트에 대한 비트 주파수를 결정하는 방법의 흐름도이다.8 is a flowchart of a method of determining a bit frequency for an object based on a distance of an intersection group according to an example.
이론적으로, 간섭 신호 및 잡음 신호가 없는 수신 신호(즉, 반사 신호)에 기초하여 결정된 R-v 평면 상의 직선들에 의해 발생하는 교점들은 동일한 오브젝트에 대해서는 누적된다. 그러나, 수신 신호에는 간섭 신호 및 잡음 신호가 포함되는 것이 일반적이므로 간섭 신호 및 잡음 신호에 의한 오차가 고려될 수 있다.Theoretically, the intersections caused by the straight lines on the R-v plane determined based on the received signal (i.e. the reflected signal) without the interference signal and the noise signal are accumulated for the same object. However, since the received signal generally includes an interference signal and a noise signal, errors due to the interference signal and the noise signal may be considered.
도 6을 참조하여 전술된 단계(630)는 아래의 단계들(810 내지 830)을 포함한다.Step 630 described above with reference to FIG. 6 includes
단계(810)에서, 오브젝트 검출 장치(200)는 오브젝트 후보들 각각에 대응하는 교점 그룹을 결정한다. 예를 들어, 비슷한 위치의 교점들을 하나의 오브젝트 후보에 대한 교점 그룹으로 클러스터링할 수 있다. 이론적으로는 하나의 오브젝트에 대해 교점들이 하나의 위치에 누적되어야 하나, 간섭 신호 및 잡음 신호를 고려하여 동일하지는 않지만 유사한 위치의 교점들을 교점 그룹으로 묶을 수 있다.In
단계(820)에서, 오브젝트 검출 장치(200)는 교점 그룹 내의 교점들 간의 거리를 계산한다. 오브젝트 검출 장치(200)는 거리의 평균을 계산할 수 있다.In
단계(830)에서, 오브젝트 검출 장치(200)는 계산된 교점 그룹의 거리 및 임계 값에 기초하여 오브젝트에 대한 비트 주파수를 결정한다.In
예를 들어, 계산된 교점 그룹의 거리(또는, 거리의 평균)이 임계 값 보다 큰 경우, 해당 교점 그룹은 허위 오브젝트에 대한 교점 그룹으로 결정될 수 있다. 허위 오브젝트에 대한 교점들은 오브젝트 검출 과정에서 배제될 수 있다.For example, when the calculated distance (or average of distances) of the intersection group is greater than the threshold value, the intersection group may be determined as the intersection group for the false object. The intersections for the false objects can be excluded in the object detection process.
계산된 교점 그룹의 거리가 임계 값 내인 경우, 해당 교점 그룹 내의 교점들은 진짜 오브젝트에 대한 교점들로 결정될 수 있고, 교점들에 기초하여 오브젝트에 대한 비트 주파수가 결정된다.If the distance of the computed intersection group is within the threshold, the intersections in that intersection group can be determined as the intersections for the real object, and the bit frequency for the object is determined based on the intersections.
단계들(810 내지 830)과 관점을 달리하는 실시예에 따르면, R-v 평면 상에 발생하는 교점들은 하나의 그룹으로 간주될 수 있다. 교점들은 오브젝트 후보들일 수 있고, 각각의 오브젝트 후보에 대해 다른 오브젝트 후보들과의 거리들이 계산될 수 있다. 계산된 거리들에 기초하여 거리들의 합 또는 거리들의 평균이 계산될 수 있다. 거리들의 합 또는 거리들의 평균이 임계 값 보다 큰 경우, 해당 오브젝트 후보(또는 교점)은 허위 오브젝트로 결정되고, 오브젝트 검출 과정에서 배제될 수 있다.According to an embodiment that differs from the steps 810-830, the intersections occurring on the R-v plane may be considered as a group. The intersections may be object candidates, and distances to other object candidates may be calculated for each object candidate. The sum of the distances or the average of the distances can be calculated based on the calculated distances. If the sum of the distances or the average of the distances is larger than the threshold value, the corresponding object candidate (or intersection point) is determined as a false object and may be excluded in the object detection process.
도 9는 일 예에 따른 멀티-타겟 문제의 해를 구하기 위해 처프 신호들에 기초하여 거리-상대 속도 평면들에 그려진 기울기가 다른 직선들을 도시한다.9 shows straight lines with different slopes drawn in the distance-relative velocity planes based on chirp signals to solve a multi-target problem according to an example.
기울기가 서로 상이한 처프 신호들을 이용하는 경우, 도 7에 도시된 직선들(711, 712, 721, 722) 이외에 추가 직선들(911, 912)을 계산할 수 있다. 교점(731) 및 교점(734)에 대응하는 오브젝트들이 진짜인 경우, 추가 직선들(911, 912)은 교점(731) 및 교점(734)을 통과한다. 그리고, 교점(732) 및 교점(732)에 대응하는 오브젝트들이 허위인 경우, 추가 직선들(911, 912)은 교점(732) 및 교점(732)을 통과하지 않는다.When the chirp signals having different slopes are used, additional
간섭 신호 및 잡음 신호에 의한 효과를 고려하기 위해, 교점들(732, 922)이 하나의 교점 그룹으로 형성될 수 있으나, 교점들(732, 922)이 허위 오브젝트에 대응하는 경우에는 교점들(732, 922) 간의 거리가 임계 값을 초과할 것이다.In order to take into account the effects of the interference signal and the noise signal, the
추가 직선들(911, 912)을 이용하여 도 7에 대한 실시예에서는 검출하지 못했던 교점 (732, 733)에 대응하는 허위 오브젝트들이 결정될 수 있다.Using additional
도 10은 일 예에 따른 결정된 최대 오브젝트 개수에 기초하여 최종 오브젝트를 결정하는 방법을 도시한다.10 illustrates a method of determining a final object based on the determined maximum number of objects according to an example.
도 6 및 8을 참조하여 전술된 단계(630)는 아래의 단계들(1010 및 1020)을 더 포함할 수 있다. 단계(830)가 수행된 후 단계(1010)가 수행될 수 있다.
단계(1010)에서, 오브젝트 검출 장치(200)는 하나의 처프 신호 시퀀스 내의 복수의 처프 신호들에 대응하는 구간들 중 INR(interference-to-noise ratio)가 가장 작은 구간의를 진짜 오브젝트들의 총 개수()로 설정한다.는 진짜 오브젝트들의 최대 개수일 수 있다. INR은 아래의 [수학식 7]로 정의된다.Pinrerference는 간섭의 신호 파워이고,PAWGN는 AWGN(additive white gaussian noise)의 신호 파워이다.In
단계(1020)에서, 오브젝트 검출 장치(200)는 최대 오브젝트 개수에 기초하여 최종 오브젝트를 결정한다. 예를 들어, 오브젝트 후보들의 개수가 최대 오브젝트 개수를 초과하는 경우, 각각의 오브젝트 후보에 대해 계산된 거리들의 합 또는 거리 평균이 작은 순서대로, 오브젝트 후보들 중 최대 오브젝트 개수를 선택한다.In
도 11은 일 예에 따른 오브젝트 검출의 정확도를 계산하기 위한 방법을 도시한다.11 illustrates a method for calculating the accuracy of object detection according to an example.
오브젝트 검출의 정확도를 계산하기 위한 방법은 아래의 단계들(1110 내지 1180)을 통해 수행될 수 있다. 오브젝트 검출 장치(200)는 단계들(1110 내지 1180)을 수행할 수 있다. 오브젝트 검출 장치(200)는 오브젝트 검출의 정확도 계산 장치로 명명될 수 있다.The method for calculating the accuracy of object detection may be performed through the following
단계(1110)에서, 오브젝트 검출의 정확도 계산 장치는 오브젝트 프로필을 생성한다. 오브젝트 프로필은 오브젝트의 범위 및 상대 속도를 포함할 수 있다. 오브젝트 프로필은 복수의 오브젝트들에 대한 것일 수 있다. 예를 들어, 오브젝트의 범위는 0 내지 150m로 설정되고, 상대 속도는 -100m/s 내지 50m/s로 설정될 수 있다.In
단계(1120)에서, 오브젝트 검출의 정확도 계산 장치는 오브젝트의 비트 신호를 생성한다. 예를 들어, 오브젝트의 비트 신호는 전송 신호 및 오브젝트 프로필에 기초하여 생성될 수 있다.In
일 측면에 따르면, 오브젝트 검출의 정확도 계산 장치는 제1 순서로 미리 설정된 개수의 처프 신호(chirp signal)들을 포함하는 제1 처프 시퀀스를 결정하고, 제1 순서와는 다른 제2 순서로 처프 신호들을 포함하는 제2 처프 시퀀스를 결정하며, 제1 처프 시퀀스 및 제2 처프 시퀀스를 포함하는 전송 신호를 생성하고, 미리 설정된 오브젝트의 거리에 기초하여 수신 신호를 생성하고, 전송 신호 및 수신 신호에 기초하여 비트 신호로서 혼합 신호를 생성한다.According to an aspect, an apparatus for calculating accuracy of object detection may determine a first chirp sequence including a preset number of chirp signals in a first order, and output the chirp signals in a second order different from the first order. Determine a second chirp sequence to include, generate a transmission signal comprising the first chirp sequence and the second chirp sequence, generate a received signal based on a distance of a preset object, and based on the transmitted signal and the received signal Generate a mixed signal as a bit signal.
단계(1130)에서, 오브젝트 검출의 정확도 계산 장치는 간섭 프로필을 생성한다. 예를 들어, 간섭 프로필은 다른 오브젝트 검출 장치에 의해 전송된 신호에 기초하여 생성될 수 있다.In
단계(1140)에서, 오브젝트 검출의 정확도 계산 장치는 간섭 프로필에 기초하여 간섭 비트 신호를 생성한다.In
단계(1150)에서, 오브젝트 검출의 정확도 계산 장치는 백색 잡음을 생성한다.In
오브젝트 검출의 정확도 계산 장치는 오브젝트의 비트 신호, 간섭 비트 신호 및 백색 잡음을 병합한다. 병합된 신호는 수신 신호를 다운-컨버젼시킴으로써 생성된 비트 신호에 대응한다.An apparatus for calculating the accuracy of object detection merges the bit signal, the interference bit signal and the white noise of the object. The merged signal corresponds to the bit signal generated by down-converting the received signal.
단계(1160)에서, 오브젝트 검출의 정확도 계산 장치는 병합 신호를 샘플링하고, 샘플링된 신호에 FFT(Fast Fourier Transformation)를 적용한다.In
단계(1170)에서, 오브젝트 검출의 정확도 계산 장치는 FFT의 결과에 CFAR 검출 방법을 적용한다. 예를 들어, 적용되는 CFAR 검출 방법은 OS(order statistics)-CFAR 및 CA(Cell-averaging)-CFAR의 하이브리드(hybrid) 방법일 수 있다.In
단계(1180)에서, 오브젝트 검출의 정확도 계산 장치는 오브젝트를 검출한다. 오브젝트 검출의 정확도 계산 장치는 오브젝트 프로필과 검출된 오브젝트를 비교함으로써 오브젝트 검출의 정확도를 계산할 수 있다.In
단계들(1110 내지 1180)에서 이용된 시뮬레이션 파라미터들은 아래의 [표 1]과 같다.The simulation parameters used in
검출 시뮬레이션을 위해 이용되는 하나의 처프 시퀀스는 서로 다른 기울기를 가지는 4 개의 처프 신호들을 포함한다. 각각의 처프 신호는 0.5ms 동안 지속되고, 4 개의 처프 신호들은 ±1200/msec, ±900/msec, ±600/msec, ±300/msec이다. 처프 시퀀스들의 패턴은 아래의 [표 2]가 이용되었다.One chirp sequence used for the detection simulation includes four chirp signals with different slopes. Each chirp signal lasts for 0.5 ms and the four chirp signals are ± 1200 / msec, ± 900 / msec, ± 600 / msec, and ± 300 / msec. As the pattern of the chirp sequences, the following [Table 2] was used.
제안된 오브젝트 검출 방법에 대한 검출 시뮬레이션의 결과 및 기존의 오브젝트 검출 방법에 대한 시뮬레이션의 결과의 비교가 도 12 및 도 13을 참조하여 도시된다. 제안된 오브젝트 검출 방법에 대한 검출 시뮬레이션 및 기존의 오브젝트 검출 방법에 대한 시뮬레이션은 각각 10,000 번 수행되었고, 수행된 결과의 평균이 도 12 및 도 13에 도시된다.A comparison of the results of the detection simulation for the proposed object detection method and the results of the simulation for the existing object detection method is shown with reference to FIGS. 12 and 13. The detection simulation for the proposed object detection method and the simulation for the existing object detection method were performed 10,000 times, respectively, and the average of the performed results is shown in FIGS. 12 and 13.
도 12는 일 예에 따른 오브젝트 검출 방법들에 따른 오브젝트 검출 확률들을 도시한다.12 illustrates object detection probabilities according to object detection methods according to an example.
검출 확률은 아래의 [수학식 8]로 정의된다.The detection probability is defined by Equation 8 below.
매칭 타겟(매칭 오브젝트)은 실제 타겟(오브젝트)의 범위 및 속도를 임계 값의 범위 내에서 검출한 것을 의미한다.The matching target (matching object) means detecting the range and speed of the actual target (object) within a range of threshold values.
INR 값이 -20dB 내지 0dB인 범위에서, 기존의 오브젝트 검출 방법에 비해 제안된 오브젝트 검출 방법이 더 성능이 좋음을 알 수 있다.In the range of -20dB to 0dB, the proposed object detection method is better than the conventional object detection method.
도 13은 일 예에 따른 오브젝트 검출 방법들에 따른 검출된 허위 타겟들의 개수를 도시한다.13 illustrates the number of detected false targets according to object detection methods according to an example.
도 13에서 검출된 허위 타겟의 개수들이란, 실제로 존재하지 않는 타겟(오브젝트)이나, 존재하는 것으로 검출된 타겟의 개수이다.The number of false targets detected in FIG. 13 is the number of targets (objects) that do not actually exist or the targets detected to exist.
제안된 오브젝트 검출 방법은 -30dB 내지 -10 dB의 범위에서 기존의 오브젝트 검출 방법에 비해 더 성능이 뛰어남을 알 수 있다. -10dB 내지 0 dB의 범위에서도 제안된 오브젝트 검출 방법이 기존의 오브젝트 검출 방법에 비해 더 성능이 좋음이 나타난다.It can be seen that the proposed object detection method outperforms the conventional object detection method in the range of -30dB to -10dB. Even in the range of -10 dB to 0 dB, the proposed object detection method shows better performance than the existing object detection method.
실시예에 따른 방법은 다양한 컴퓨터 수단을 통하여 수행될 수 있는 프로그램 명령 형태로 구현되어 컴퓨터 판독 가능 매체에 기록될 수 있다. 상기 컴퓨터 판독 가능 매체는 프로그램 명령, 데이터 파일, 데이터 구조 등을 단독으로 또는 조합하여 포함할 수 있다. 상기 매체에 기록되는 프로그램 명령은 실시예를 위하여 특별히 설계되고 구성된 것들이거나 컴퓨터 소프트웨어 당업자에게 공지되어 사용 가능한 것일 수도 있다. 컴퓨터 판독 가능 기록 매체의 예에는 하드 디스크, 플로피 디스크 및 자기 테이프와 같은 자기 매체(magnetic media), CD-ROM, DVD와 같은 광기록 매체(optical media), 플롭티컬 디스크(floptical disk)와 같은 자기-광 매체(magneto-optical media), 및 롬(ROM), 램(RAM), 플래시 메모리 등과 같은 프로그램 명령을 저장하고 수행하도록 특별히 구성된 하드웨어 장치가 포함된다. 프로그램 명령의 예에는 컴파일러에 의해 만들어지는 것과 같은 기계어 코드뿐만 아니라 인터프리터 등을 사용해서 컴퓨터에 의해서 실행될 수 있는 고급 언어 코드를 포함한다. 상기된 하드웨어 장치는 실시예의 동작을 수행하기 위해 하나 이상의 소프트웨어 모듈로서 작동하도록 구성될 수 있으며, 그 역도 마찬가지이다.The method according to the embodiment may be embodied in the form of program instructions that can be executed by various computer means and recorded in a computer readable medium. The computer readable medium may include program instructions, data files, data structures, etc. alone or in combination. The program instructions recorded on the media may be those specially designed and constructed for the purposes of the embodiments, or they may be of the kind well-known and available to those having skill in the computer software arts. Examples of computer-readable recording media include magnetic media such as hard disks, floppy disks, and magnetic tape, optical media such as CD-ROMs, DVDs, and magnetic disks, such as floppy disks. Magneto-optical media, and hardware devices specifically configured to store and execute program instructions, such as ROM, RAM, flash memory, and the like. Examples of program instructions include not only machine code generated by a compiler, but also high-level language code that can be executed by a computer using an interpreter or the like. The hardware device described above may be configured to operate as one or more software modules to perform the operations of the embodiments, and vice versa.
이상과 같이 실시예들이 비록 한정된 도면에 의해 설명되었으나, 해당 기술분야에서 통상의 지식을 가진 자라면 상기를 기초로 다양한 기술적 수정 및 변형을 적용할 수 있다. 예를 들어, 설명된 기술들이 설명된 방법과 다른 순서로 수행되거나, 및/또는 설명된 시스템, 구조, 장치, 회로 등의 구성요소들이 설명된 방법과 다른 형태로 결합 또는 조합되거나, 다른 구성요소 또는 균등물에 의하여 대치되거나 치환되더라도 적절한 결과가 달성될 수 있다.Although the embodiments have been described with reference to the accompanying drawings, those skilled in the art may apply various technical modifications and variations based on the above. For example, the described techniques may be performed in a different order than the described method, and / or components of the described systems, structures, devices, circuits, etc. may be combined or combined in a different form than the described method, or other components. Or even if replaced or substituted by equivalents, an appropriate result can be achieved.
그러므로, 다른 구현들, 다른 실시예들 및 특허청구범위와 균등한 것들도 후술하는 청구범위의 범위에 속한다.Therefore, other implementations, other embodiments, and equivalents to the claims are within the scope of the following claims.
200: 오브젝트 검출 장치
210: 통신부
220: 프로세서
230: 메모리200: object detection device
210: communication unit
220: processor
230: memory
| Application Number | Priority Date | Filing Date | Title |
|---|---|---|---|
| KR1020180077624AKR102146156B1 (en) | 2018-07-04 | 2018-07-04 | Method and apparatus for detecting object |
| Application Number | Priority Date | Filing Date | Title |
|---|---|---|---|
| KR1020180077624AKR102146156B1 (en) | 2018-07-04 | 2018-07-04 | Method and apparatus for detecting object |
| Publication Number | Publication Date |
|---|---|
| KR20200004583Atrue KR20200004583A (en) | 2020-01-14 |
| KR102146156B1 KR102146156B1 (en) | 2020-08-19 |
| Application Number | Title | Priority Date | Filing Date |
|---|---|---|---|
| KR1020180077624AActiveKR102146156B1 (en) | 2018-07-04 | 2018-07-04 | Method and apparatus for detecting object |
| Country | Link |
|---|---|
| KR (1) | KR102146156B1 (en) |
| Publication number | Priority date | Publication date | Assignee | Title |
|---|---|---|---|---|
| KR20220167990A (en)* | 2021-06-15 | 2022-12-22 | 현대모비스 주식회사 | Radar signal processing system and processing method |
| US11885874B2 (en)* | 2018-12-19 | 2024-01-30 | Semiconductor Components Industries, Llc | Acoustic distance measuring circuit and method for low frequency modulated (LFM) chirp signals |
| KR102643405B1 (en)* | 2023-08-31 | 2024-03-05 | 한화시스템(주) | System and method for detecting multi-target based on image processing in radar |
| Publication number | Priority date | Publication date | Assignee | Title |
|---|---|---|---|---|
| KR100702202B1 (en)* | 2005-02-23 | 2007-04-03 | 오소트론 주식회사 | Channel Estimation Method and Apparatus for Electromagnetic Multipath Characteristics Between Transceivers |
| KR101360572B1 (en)* | 2012-09-24 | 2014-02-11 | 재단법인대구경북과학기술원 | Method for multi target detecting fmcw radar and apparatus thereof |
| KR20170068950A (en)* | 2015-12-10 | 2017-06-20 | 김영욱 | Fmcw radar and method for aviding interference of fmcw radar |
| Publication number | Priority date | Publication date | Assignee | Title |
|---|---|---|---|---|
| KR100702202B1 (en)* | 2005-02-23 | 2007-04-03 | 오소트론 주식회사 | Channel Estimation Method and Apparatus for Electromagnetic Multipath Characteristics Between Transceivers |
| KR101360572B1 (en)* | 2012-09-24 | 2014-02-11 | 재단법인대구경북과학기술원 | Method for multi target detecting fmcw radar and apparatus thereof |
| KR20170068950A (en)* | 2015-12-10 | 2017-06-20 | 김영욱 | Fmcw radar and method for aviding interference of fmcw radar |
| Publication number | Priority date | Publication date | Assignee | Title |
|---|---|---|---|---|
| US11885874B2 (en)* | 2018-12-19 | 2024-01-30 | Semiconductor Components Industries, Llc | Acoustic distance measuring circuit and method for low frequency modulated (LFM) chirp signals |
| KR20220167990A (en)* | 2021-06-15 | 2022-12-22 | 현대모비스 주식회사 | Radar signal processing system and processing method |
| US12135390B2 (en) | 2021-06-15 | 2024-11-05 | Hyundai Mobis Co., Ltd. | System and method for processing radar signal |
| KR102643405B1 (en)* | 2023-08-31 | 2024-03-05 | 한화시스템(주) | System and method for detecting multi-target based on image processing in radar |
| Publication number | Publication date |
|---|---|
| KR102146156B1 (en) | 2020-08-19 |
| Publication | Publication Date | Title |
|---|---|---|
| US10969463B2 (en) | Radar sensing with interference suppression | |
| KR102241929B1 (en) | Rader sensing with phase correction | |
| US11885903B2 (en) | FMCW radar with interference signal suppression using artificial neural network | |
| CN111157981B (en) | MIMO FMCW radar system | |
| KR102204839B1 (en) | Apparatus and method of detecting target using radar | |
| KR102088426B1 (en) | Apparatus and method for detecting a target of dual polarization radar | |
| US20210215816A1 (en) | Radar systems and methods | |
| KR102397095B1 (en) | Method and apparatus for detecting object using radar of vehicle | |
| JP7173735B2 (en) | Radar device and signal processing method | |
| KR102401188B1 (en) | Method and apparatus for detecting object using radar of vehicle | |
| US20150234041A1 (en) | Radar apparatus | |
| KR20190067639A (en) | Apparatus and method for detecting target | |
| CN112639523B (en) | Radar detection method and related device | |
| KR101188285B1 (en) | Method and apparatus for detecting moving target | |
| KR102146156B1 (en) | Method and apparatus for detecting object | |
| KR20190016254A (en) | Method and apparatus for measurment of distance | |
| KR20220066796A (en) | Method and apparatus for radar signal processing | |
| KR20230102619A (en) | Method and apparatus for radar signal processing | |
| CN119768711A (en) | System and method for detecting objects in a scene | |
| KR101828246B1 (en) | Apparatus and method for detecting target on a vehicle FMCW radar | |
| KR101077837B1 (en) | Method and Apparatus for Detecting Range and Velocity of Target by Using Radar and Computer Readable Recording Medium for Recording Program Therefor | |
| KR20230111882A (en) | Device and method to process radar signal | |
| KR20200085903A (en) | Method and method of operating a radar system with improved range resolution by mutually delayed orthogonal codes | |
| KR101674254B1 (en) | Method and apparatus for processing radar signal | |
| KR20200055259A (en) | Apparatus and method for detecting target using radar |
| Date | Code | Title | Description |
|---|---|---|---|
| PA0109 | Patent application | Patent event code:PA01091R01D Comment text:Patent Application Patent event date:20180704 | |
| PA0201 | Request for examination | ||
| PG1501 | Laying open of application | ||
| E902 | Notification of reason for refusal | ||
| PE0902 | Notice of grounds for rejection | Comment text:Notification of reason for refusal Patent event date:20200115 Patent event code:PE09021S01D | |
| E701 | Decision to grant or registration of patent right | ||
| PE0701 | Decision of registration | Patent event code:PE07011S01D Comment text:Decision to Grant Registration Patent event date:20200722 | |
| GRNT | Written decision to grant | ||
| PR0701 | Registration of establishment | Comment text:Registration of Establishment Patent event date:20200812 Patent event code:PR07011E01D | |
| PR1002 | Payment of registration fee | Payment date:20200812 End annual number:3 Start annual number:1 | |
| PG1601 | Publication of registration | ||
| PR1001 | Payment of annual fee | Payment date:20230802 Start annual number:4 End annual number:4 | |
| PR1001 | Payment of annual fee | Payment date:20240610 Start annual number:5 End annual number:5 | |
| PR1001 | Payment of annual fee | Payment date:20250529 Start annual number:6 End annual number:6 |