













본 발명은 무선통신 노드에 할당되는 자원을 조절하는 방법, 이를 이용하는 무선통신 디바이스 및 네트워크 제어 장치에 관한 것으로, 더욱 상세하게는 무선 자원을 공유하는 엑스홀 링크 및 액세스 링크를 제공하는 무선 노드를 포함하는 네트워크에서 노드별 처리량을 최대화하는 무선통신 노드의 자원 조절 방법, 이를 이용하는 무선통신 디바이스 및 네트워크 제어 장치에 관한 것이다.The present invention relates to a method for adjusting a resource allocated to a wireless communication node, a wireless communication device using the same, and a network control apparatus, and more particularly, to a wireless node providing an xhole link and an access link sharing a wireless resource. The present invention relates to a resource control method of a wireless communication node for maximizing the throughput of each node in a network, a wireless communication device and a network control apparatus using the same.
기존의 이동통신 네트워크에서 프론트홀, 미드홀, 백홀 상에서 트래픽을 전송하기 위해서는 각각 전용의 전송 네트워크를 필요로 하였다. 이렇듯 별도의 전용 네트워크를 사용함으로 인해 투자 부담이 매우 높고, 운용 및 관리에 어려움이 많았다. 그에 따라, 최근 하나의 네트워크를 프론트홀(fronthaul) 네트워크, 미드홀(midhaul) 네트워크, 그리고 백홀(backhaul) 네트워크로 이용할 수 있는 엑스홀(Xhaul) 네트워크가 그 대안으로 제시되고 있다. 더욱이 최근 유선 대비 유연하고 손쉬운 무선의 특성을 이용한 무선 엑스홀 네트워크 기술도 제안되고 있다.In the existing mobile communication network, a dedicated transmission network was required to transmit traffic on the front hole, the mid hole, and the back hole. As a result of using a separate dedicated network, the investment burden was very high and operation and management were difficult. Accordingly, the Xhaul network, which can use one network as a fronthaul network, a midhaul network, and a backhaul network, has recently been proposed as an alternative. In addition, wireless XHole network technology using a flexible and easy wireless feature compared to a wired line has recently been proposed.
무선 엑스홀 기술이 적용되는 네트워크는 다수의 무선 노드를 이용한 무선 멀티홉 네트워크일 수 있으며, 전체 무선 자원을 제1 링크 및 제2 링크의 두 가지 링크용 자원으로 나누어 사용한다. 이때, 네트워크는 제1 링크 ? 제2 링크 간의 간섭을 피하기 위해 주어진 전체 무선 자원을 제1 링크용 무선 자원과 제2 링크용 무선 자원으로 구분하여 사용한다.The network to which the wireless XHOLE technology is applied may be a wireless multi-hop network using a plurality of wireless nodes, and the whole radio resource is divided into two resources for the first link and the second link. At this time, the network is the first link? In order to avoid interference between the second links, the given total radio resources are divided into radio resources for the first link and radio resources for the second link.
이러한 종래의 무선 자원 분할 방법을 따르면, 네트워크 내의 모든 노드들이 일관적으로 공통된 자원 분할을 사용한다. 하지만, 네트워크 내의 모든 노드가 동일한 자원 분할을 사용하는 이러한 전역적(global)인 공통 자원 분할 방식은 네트워크 내의 모든 노드의 노드 처리량을 최대화하지는 못한다. 이는, 채널 환경 및 기타의 원인으로 임의의 한 노드를 기준으로 노드 처리량을 최대화하는 자원 분할은 네트워크 내의 각 노드마다 서로 다를 수 있기 때문이다.According to this conventional radio resource partitioning method, all nodes in a network consistently use common resource partitioning. However, this global common resource partitioning scheme, in which all nodes in the network use the same resource partitioning, does not maximize node throughput of all nodes in the network. This is because the resource partitioning that maximizes node throughput based on any one node due to channel environment and other causes may be different for each node in the network.
따라서, 주어진 전체 무선 자원을 제 1 링크 및 제 2 링크의 두 가지 링크용 자원으로 나누어 사용하는 무선 노드들로 구성된 무선 네트워크에서, 종래의 전역적 공통 자원 분할 방식을 사용할 경우 네트워크 내 각 노드들의 노드 처리량을 최대화하지 못하는 성능 상의 한계를 가지게 된다.Therefore, in a wireless network composed of wireless nodes that use a given total radio resource by dividing the resource for two links of the first link and the second link, the node of each node in the network when using the conventional global common resource partitioning scheme. There is a performance limitation that does not maximize throughput.
상기와 같은 문제점을 해결하기 위한 본 발명의 목적은, 전체 무선 자원이 제1 링크용 자원과 제2 링크용 자원으로 분할 사용되는 무선 네트워크에서 각 노드의 데이터 처리량을 최대화하는 무선자원 조절 방법을 제공하는 데 있다.An object of the present invention for solving the above problems is to provide a radio resource control method for maximizing the data throughput of each node in a wireless network in which all radio resources are divided into a resource for a first link and a resource for a second link. There is.
상기와 같은 문제점을 해결하기 위한 본 발명의 다른 목적은, 상기 무선자원 할당 방법을 이용하는 네트워크 제어 장치를 제공하는 데 있다.Another object of the present invention for solving the above problems is to provide a network control apparatus using the radio resource allocation method.
상기와 같은 문제점을 해결하기 위한 본 발명의 또 다른 목적은 무선통신 디바이스를 제공하는 데 있다.Another object of the present invention for solving the above problems is to provide a wireless communication device.
상기 목적을 달성하기 위한 본 발명의 일 실시예에 따른 무선자원 조절 방법은, 무선통신 네트워크에서 동일한 무선 자원을 공유하는 제1 링크 및 제2 링크를 제공하는 무선통신 노드에 할당되는 자원을 조절하는 방법으로서, 상기 제1 링크를 포함하는 제1 경로 및 상기 제2 링크를 포함하는 제2 경로와 연관되는 무선 통신 노드가 제1 경로 제약 상태에 있는지 또는 상기 제2 경로 제약 상태에 있는지 판단하는 단계; 및 상기 무선 통신 노드의 상태에 따라 제약 상태에 있는 경로에 대해 무선 자원을 추가 할당하는 단계를 포함할 수 있다.According to an aspect of the present invention, there is provided a method for adjusting a radio resource, wherein a resource allocated to a radio communication node providing a first link and a second link sharing the same radio resource in a radio communication network is adjusted. A method comprising: determining whether a wireless communication node associated with a first path comprising the first link and a second path comprising the second link is in a first path constraint state or in a second path constraint state ; And allocating a radio resource to a path in a restricted state according to the state of the wireless communication node.
제1 링크 및 제2 링크는 엑스홀 링크 및 엑세스 링크일 수 있다.The first link and the second link may be an exhole link and an access link.
상기 다른 목적을 달성하기 위한 본 발명의 일 실시예에 따른 네트워크 제어 장치는 프로세서 및 프로세서를 통해 실행되는 적어도 하나의 명령 및 명령 수행의 결과를 저장하는 메모리를 포함할 수 있다. 상기 적어도 하나의 명령은, 상기 제1 링크를 포함하는 제1 경로 및 상기 제2 링크를 포함하는 제2 경로와 연관되는 무선 통신 노드가 제1 경로 제약 상태에 있는지 또는 상기 제2 경로 제약 상태에 있는지 판단하도록 하는 명령 및 상기 무선 통신 노드의 상태에 따라 제약 상태에 있는 경로에 대해 무선 자원을 추가 할당하도록 하는 명령을 포함할 수 있다.Network control apparatus according to an embodiment of the present invention for achieving the above another object may include a processor and a memory for storing at least one instruction executed by the processor and the result of the instruction execution. The at least one command is for a wireless communication node associated with a first path comprising the first link and a second path comprising the second link to the first path constrained state or to the second path constrained state. And a command for additionally allocating a radio resource to a path in a restricted state according to the state of the wireless communication node.
네트워크 제어 장치는 또한 네트워크 내 적어도 하나의 무선통신 디바이스의 통신을 수행하기 위한 통신 모듈을 더 포함할 수 있다. 본 발명에 따른 무선통신 디바이스는 적어도 하나의 IXA 노드일 수 있다.The network control apparatus may further include a communication module for performing communication of at least one wireless communication device in the network. The wireless communication device according to the present invention may be at least one IXA node.
상기와 같은 본 발명의 실시예들에 따르면, 전체 무선 자원을 제 1 링크용 자원과 제 2 링크용 자원으로 분할하여 사용하는 무선 멀티홉 네트워크에서 각 노드 별 노드 처리량을 최대화할 수 있다.According to the embodiments of the present invention as described above, node throughput for each node can be maximized in a wireless multi-hop network in which all radio resources are divided into a resource for a first link and a resource for a second link.
본 발명의 이러한 이점은, 종래의 기술과 동일한 무선 자원 및 동일한 네트워크 자원을 사용하면서도 각 노드의 데이터 처리량 최대화를 통해 네트워크 효율을 최대화할 수 있다.This advantage of the present invention can maximize network efficiency through maximizing data throughput of each node while using the same radio resources and the same network resources as the prior art.
도 1은 인밴드 셀프-백홀 네트워크에서 액세스 링크용 자원량에 대한 노드 처리량의 변화를 나타낸 그래프이다.
도 2는 모바일 엑스홀 네트워크에서의 2-홉 모델링 구조를 도시한다.
도 3은 본 발명의 일 실시예에 따른 모바일 엑스홀 네트워크 구조를 도시한다.
도 4는 다수의 IXA 노드의 액세스 링크용 자원량의 변화에 따른 노드 처리량 변화를 나타낸 그래프이다.
도 5는 무선 엑스홀 네트워크에서 발생하는 크로스홀 간섭을 나타낸 도면이다.
도 6은 본 발명의 일 실시예에 따른 탠덤 네트워크의 구조를 나타낸다.
도 7a는 탠덤 네트워크에서 노드에 대한 개략적 자원 분할 방법의 개념을 나타낸 도면이다.
도 7b는 탠덤 네트워크에서 노드에 대한 상세 자원 분할 방법을 나타낸 도면이다.
도 8은 본 발명의 일 실시예에 따른 무선통신 네트워크에서의 자원 조정 방법의 동작 순서도이다.
도 9는 본 발명의 일 실시예에 따른 섹터 처리량의 개념을 나타낸 도면이다.
도 10은 본 발명의 일 실시예에 따른 자원조절의 개념 및 자원조절 비율의 산출 방법을 나타낸 도면이다.
도 11은 본 발명의 일 실시예에 따른 자원 조절 과정에서 각 노드의 변화하는 자원 분할 비율을 순차적으로 나타낸 도면이다.
도 12는 본 발명의 일 실시예에 따른 자원 조절의 최종 결과를 자원 조절 이전과 비교하여 나타낸 도면이다.
도 13은 본 발명의 일 실시예에 따른 네트워크 제어 장치의 블록 구성도이다.1 is a graph illustrating a change in node throughput with respect to a resource amount for an access link in an in-band self-backhaul network.
2 illustrates a two-hop modeling structure in a mobile xhaul network.
3 illustrates a mobile XHole network structure according to an embodiment of the present invention.
4 is a graph showing a change in node throughput according to a change in resource amount for access links of a plurality of IXA nodes.
5 is a diagram illustrating crosshole interference occurring in a wireless xhole network.
6 shows a structure of a tandem network according to an embodiment of the present invention.
7A is a diagram illustrating a concept of a schematic resource partitioning method for nodes in a tandem network.
7B is a diagram illustrating a detailed resource partitioning method for nodes in a tandem network.
8 is a flowchart illustrating a method of adjusting a resource in a wireless communication network according to an embodiment of the present invention.
9 illustrates a concept of sector throughput according to an embodiment of the present invention.
10 is a diagram illustrating a concept of resource regulation and a method of calculating a resource regulation ratio according to an embodiment of the present invention.
FIG. 11 is a diagram sequentially illustrating a changing resource partition ratio of each node in a resource adjustment process according to an embodiment of the present invention.
12 is a view showing the final result of the resource adjustment according to an embodiment of the present invention compared with the resource adjustment before.
13 is a block diagram of a network control device according to an embodiment of the present invention.
본 발명은 다양한 변경을 가할 수 있고 여러 가지 실시예를 가질 수 있는 바, 특정 실시예들을 도면에 예시하고 상세한 설명에 상세하게 설명하고자 한다. 그러나, 이는 본 발명을 특정한 실시 형태에 대해 한정하려는 것이 아니며, 본 발명의 사상 및 기술 범위에 포함되는 모든 변경, 균등물 내지 대체물을 포함하는 것으로 이해되어야 한다. 각 도면을 설명하면서 유사한 참조부호를 유사한 구성요소에 대해 사용하였다.As the invention allows for various changes and numerous embodiments, particular embodiments will be illustrated in the drawings and described in detail in the written description. However, this is not intended to limit the present invention to specific embodiments, it should be understood to include all modifications, equivalents, and substitutes included in the spirit and scope of the present invention. In describing the drawings, similar reference numerals are used for similar elements.
제1, 제2, A, B 등의 용어는 다양한 구성요소들을 설명하는 데 사용될 수 있지만, 상기 구성요소들은 상기 용어들에 의해 한정되어서는 안 된다. 상기 용어들은 하나의 구성요소를 다른 구성요소로부터 구별하는 목적으로만 사용된다. 예를 들어, 본 발명의 권리 범위를 벗어나지 않으면서 제1 구성요소는 제2 구성요소로 명명될 수 있고, 유사하게 제2 구성요소도 제1 구성요소로 명명될 수 있다. "및/또는"이라는 용어는 복수의 관련된 기재된 항목들의 조합 또는 복수의 관련된 기재된 항목들 중의 어느 항목을 포함한다.Terms such as first, second, A, and B may be used to describe various components, but the components should not be limited by the terms. The terms are used only for the purpose of distinguishing one component from another. For example, without departing from the scope of the present invention, the first component may be referred to as the second component, and similarly, the second component may also be referred to as the first component. The term “and / or” includes any combination of a plurality of related items or any of a plurality of related items.
어떤 구성요소가 다른 구성요소에 "연결되어" 있다거나 "접속되어" 있다고 언급된 때에는, 그 다른 구성요소에 직접적으로 연결되어 있거나 또는 접속되어 있을 수도 있지만, 중간에 다른 구성요소가 존재할 수도 있다고 이해되어야 할 것이다. 반면에, 어떤 구성요소가 다른 구성요소에 "직접 연결되어" 있다거나 "직접 접속되어" 있다고 언급된 때에는, 중간에 다른 구성요소가 존재하지 않는 것으로 이해되어야 할 것이다.When a component is referred to as being "connected" or "connected" to another component, it may be directly connected to or connected to that other component, but it may be understood that other components may be present in between. Should be. On the other hand, when a component is said to be "directly connected" or "directly connected" to another component, it should be understood that there is no other component in between.
본 출원에서 사용한 용어는 단지 특정한 실시예를 설명하기 위해 사용된 것으로, 본 발명을 한정하려는 의도가 아니다. 단수의 표현은 문맥상 명백하게 다르게 뜻하지 않는 한, 복수의 표현을 포함한다. 본 출원에서, "포함하다" 또는 "가지다" 등의 용어는 명세서상에 기재된 특징, 숫자, 단계, 동작, 구성요소, 부품 또는 이들을 조합한 것이 존재함을 지정하려는 것이지, 하나 또는 그 이상의 다른 특징들이나 숫자, 단계, 동작, 구성요소, 부품 또는 이들을 조합한 것들의 존재 또는 부가 가능성을 미리 배제하지 않는 것으로 이해되어야 한다.The terminology used herein is for the purpose of describing particular example embodiments only and is not intended to be limiting of the present invention. Singular expressions include plural expressions unless the context clearly indicates otherwise. In this application, the terms "comprise" or "have" are intended to indicate that there is a feature, number, step, operation, component, part, or combination thereof described in the specification, and one or more other features. It is to be understood that the present invention does not exclude the possibility of the presence or the addition of numbers, steps, operations, components, components, or a combination thereof.
다르게 정의되지 않는 한, 기술적이거나 과학적인 용어를 포함해서 여기서 사용되는 모든 용어들은 본 발명이 속하는 기술 분야에서 통상의 지식을 가진 자에 의해 일반적으로 이해되는 것과 동일한 의미를 가지고 있다. 일반적으로 사용되는 사전에 정의되어 있는 것과 같은 용어들은 관련 기술의 문맥 상 가지는 의미와 일치하는 의미를 가지는 것으로 해석되어야 하며, 본 출원에서 명백하게 정의하지 않는 한, 이상적이거나 과도하게 형식적인 의미로 해석되지 않는다.Unless defined otherwise, all terms used herein, including technical or scientific terms, have the same meaning as commonly understood by one of ordinary skill in the art. Terms such as those defined in the commonly used dictionaries should be construed as having meanings consistent with the meanings in the context of the related art and shall not be construed in ideal or excessively formal meanings unless expressly defined in this application. Do not.
본 명세서에서 엑스홀(Xhaul)은 프론트홀, 미드홀, 그리고 백홀을 통칭하는 데 사용될 수 있다. 엑스홀 네트워크(Xhaul network)는 프론트홀(fronthaul) 네트워크, 미드홀(midhaul) 네트워크 그리고 백홀(backhaul) 네트워크를 모두 지원하는 하나의 통합된 네트워크를 의미할 수 있다. 또한, 본 명세서에서 언급하는 엑스홀은 별다른 언급이 없어도 무선 자원을 이용하여 데이터를 전송하는 무선 엑스홀을 의미할 수 있다.In the present specification, Xhaul may be used to collectively refer to a front hole, a mid hole, and a back hole. The Xhaul network may refer to a single integrated network supporting all of the fronthaul network, the midhaul network, and the backhaul network. In addition, the X-hole referred to herein may refer to a wireless X-hole to transmit data using radio resources even if not mentioned otherwise.
본 명세서에서 프론트홀은, C-RAN(Centralized RAN) 구조에서 집중화된 BBU(Baseband Unit)와 분산화된 RRH(Remote Radio Head) 사이의 인터페이스인 CPRI(Common Public Radio Interface)와 같은 Baseband Digital IQ Stream 형태의 데이터 전송을 제공하는 네트워크 구간을 말한다. 미드홀은, 하나의 기지국 기능을 두 개의 기능 개체로 기능 분할(function split) 함에 있어 통신 프로토콜 스택 상에서 CPRI 대비 상위이면서 PDCP(Packet Data Convergence Protocol) 이하에서 기능 분할을 할 때 분할된 두 기능 개체 사이의 데이터 전송을 제공하는 네트워크 구간을 말한다. 마지막으로 백홀은, 기지국과 핵심 네트워크(core network) 사이의 데이터 전송을 제공하는 네트워크 또는 기지국과 기지국 사이의 데이터 전송을 제공하는 네트워크 구간을 지칭한다.In the present specification, the front hole is a baseband digital IQ stream type such as a common public radio interface (CPRI), which is an interface between a centralized baseband unit (BBU) and a distributed remote radio head (RRH) in a centralized RAN (C-RAN) structure. Network section that provides data transmission. The mid-hole is a function split between two functional entities that is higher than CPRI on the communication protocol stack and divides the functions below PDCP (Packet Data Convergence Protocol) in function splitting a single base station function into two functional entities. Network section that provides data transmission. Finally, the backhaul refers to a network providing data transmission between a base station and a core network or a network section providing data transmission between a base station and a base station.
본 명세서에 언급되는 제 1 링크 및 제 2 링크는 주어진 전체 무선 자원을 나누어 사용하는 링크로서 그 용도가 다른 무선 링크를 말한다. 예를 들어, 제 1 링크는 엑스홀 링크(Xhaul link, 이하 명세서에서는 XL로 표기)를, 제 2 링크는 액세스 링크(Access link, 이하 명세서에서는 AL로 표기)에 해당하나, 본 발명의 적용 범위는 모바일 엑스홀 네트워크에 제한되지 않는다.The first link and the second link mentioned in the present specification refer to a radio link having different uses as a link that divides and uses a given total radio resource. For example, a first link corresponds to an Xhaul link (hereinafter referred to as XL) and a second link corresponds to an access link (hereinafter referred to as AL), but the scope of the present invention Is not limited to the mobile XHole network.
본 발명은 주어진 전체 무선 자원을 제 1 링크 및 제 2 링크의 두 가지 링크용 자원으로 나누어 사용하는 무선 노드들로 구성된 무선 멀티홉 네트워크에 적용 가능하다.The present invention is applicable to a wireless multi-hop network consisting of wireless nodes that use a given total radio resource by dividing it into two link resources, a first link and a second link.
주어진 전체 무선 자원을 제 1 링크 및 제 2 링크의 두 가지 링크용 자원으로 나누어 사용하는 무선 노드들로 구성된 무선 네트워크의 대표적인 예가 인밴드 셀프-백홀(inband self-backhaul)이다. 여기서, 인밴드 셀프-백홀(inband self-backhaul)이란, 하나의 노드가 주어진 전체 무선 자원을 사용하여 백홀 링크(Backhaul link; BL)와 액세스 링크(Access link; AL)를 동시에 제공하되, BL과 AL이 주어진 전체 무선 자원을 배타적(orthogonal)으로 나누어 가지는 것을 의미한다.An in-band self-backhaul is a representative example of a wireless network composed of wireless nodes that use a given total radio resource by dividing it into two link resources, a first link and a second link. Here, inband self-backhaul means that a single node provides a backhaul link (BL) and an access link (AL) at the same time by using a given radio resource. This means that the AL divides a given total radio resource exclusively.
한편, 본 명세서에서 기지국(base station, BS)은 진보된 기지국(advanced base station, ABS), 고신뢰성 기지국(high reliability base station, HR-BS), 노드B(node B), 고도화 노드B(evolved node B, eNodeB), gNB(next generation node B) 접근점(access point, AP), 무선 접근국(radio access station, RAS), 송수신 기지국(base transceiver station, BTS), MMR(mobile multihop relay)-BS, 기지국 역할을 수행하는 중계기(relay station, RS), 기지국 역할을 수행하는 중계 노드(relay node, RN), 기지국 역할을 수행하는 진보된 중계기(advanced relay station, ARS), 기지국 역할을 수행하는 고신뢰성 중계기(high reliability relay station, HR-RS), 소형 기지국[펨토 기지국(femotoBS), 홈 노드B(home node B, HNB), 홈 eNodeB(HeNB), 피코 기지국(pico BS), 메트로 기지국(metro BS), 마이크로 기지국(micro BS) 등] 등을 지칭할 수도 있고, ABS, 노드B, eNodeB, AP, RAS, BTS, MMR-BS, RS, RN, ARS, HR-RS, 소형 기지국 등의 전부 또는 일부의 기능을 포함할 수도 있다.Meanwhile, in the present specification, a base station (BS) is an advanced base station (ABS), a high reliability base station (HR) BS, a node B (node B), an advanced node B (evolved). node B, eNodeB), next generation node B (gNB) access point (AP), radio access station (RAS), base transceiver station (BTS), mobile multihop relay (MMR)- BS, relay station (RS) serving as base station, relay node (RN) serving as base station, advanced relay station (ARS) serving as base station, serving as base station High reliability relay station (HR-RS), small base station (femto base station (femotoBS), home node B (home node B, HNB), home eNodeB (HeNB), pico base station (pico BS), metro base station ( metro BS), micro BS, etc.], and may include ABS, Node B, eNodeB, AP, RAS, BTS, MMR-BS, RS, RN, ARS, It may also include all or part of the functions of the HR-RS, the small base station, and the like.
또한, 기지국은 셀의 형태에 따라 매크로(Macro) 셀, 원격무선(remote radio head, RRH) 셀, 피코(Pico) 셀, 마이크로(Micro) 셀, 펨토(Femto) 셀 등의 기지국을 지칭할 수 있다.Also, the base station may refer to a base station such as a macro cell, a remote radio head (RRH) cell, a pico cell, a micro cell, a femto cell, or the like according to a cell type. have.
기지국과 단말 간의 통신은 다양한 RAT(radio access technology)(예를 들어, 4G 통신 기술, 5G 통신 기술, WiBro(wireless broadband) 기술, WLAN(wireless local area network) 기술, WPAN(wireless personal area network) 기술 등)에 기초하여 수행될 수 있다.The communication between the base station and the terminal is a variety of radio access technology (RAT) (for example, 4G communication technology, 5G communication technology, wireless broadband (WiBro) technology, wireless local area network (WLAN) technology, wireless personal area network (WPAN) technology) And the like).
이하, 본 발명에 따른 바람직한 실시예를 첨부된 도면을 참조하여 상세하게 설명한다.Hereinafter, exemplary embodiments of the present invention will be described in detail with reference to the accompanying drawings.
도 1은 인밴드 셀프-백홀 네트워크에서 액세스 링크용 자원량에 대한 노드 처리량의 변화를 나타낸 그래프이다.1 is a graph illustrating a change in node throughput with respect to a resource amount for an access link in an in-band self-backhaul network.
도 1은 인밴드 셀프-백홀 네트워크에서 노드 처리량을 최대화하는 자원 분할을 설명하기 위한 그래프이다. 도 1의 그래프에서 가로 축은 시스템 자원량()으로 정규화된(normalized) 액세스 링크용 자원량()을 나타낸다. 세로 축은 노드 처리량(node throughput, bps(bits per second))을 나타내는데, 노드 처리량은 노드를 기준으로 총 백홀 처리량 및 액세스 처리량 중 더 적은 값, 즉 최소값에 해당하는 값이다.1 is a graph illustrating resource partitioning to maximize node throughput in an in-band self-backhaul network. In the graph of FIG. 1, the horizontal axis represents the system resource amount ( The amount of resources for an access link (normalized to ). The vertical axis represents node throughput (bits per second), which is the lesser value of the total backhaul throughput and access throughput, that is, the minimum value.
도 1을 참조하면, 인밴드 셀프-백홀 네트워크에서 노드 처리량 그래프는 액세스 링크의 자원 비율이 높아짐에 따라 노드 처리량이 선형적으로 증가하다 정점에 다다른 이후 선형적으로 감소하는 삼각형의 형태를 나타낸다. 그래프의 정점(P)을 중심으로 좌측에 위치하는 영역(11)은 총 BL 처리량 ≥ 총 AL 처리량인 구간으로, AL 처리량이 전체 노드 처리량을 제약하는 액세스-제한된(Access-limited) 영역이다. 액세스-제한된 영역(11)에서의 그래프 기울기는 AL 자원의 증가량에 대한 노드 처리량의 증가량을 나타내므로 AL 링크의 주파수 효율(spectral efficiency,로 표기)을 나타낼 수 있다.Referring to FIG. 1, a node throughput graph in an in-band self-backhaul network shows a triangular shape in which the node throughput increases linearly as the resource ratio of the access link increases, and then linearly decreases after reaching the peak. The region 11 located on the left side of the graph P is an interval in which total BL throughput ≥ total AL throughput, which is an access-limited region in which the AL throughput restricts the total node throughput. The graph slope in the access-restricted region 11 represents the increase in node throughput with respect to the increase in AL resources, so the spectral efficiency of the AL link, Can be expressed as
한편, 그래프의 정점(P)을 중심으로 우측에 위치하는 영역(12)은 총 AL 처리량 ≥ 총 BL 처리량인 구간으로, 총 BL 처리량이 전체 노드 처리량을 제약하는 백홀-제한된(Backhaul-limited) 영역이다. 백홀-제한된 영역(12)에서는 BL용 자원이 더 필요함에도 AL용 자원비가 늘어남에 따라 전체 노드 처리량이 감소하게 된다. 백홀-제한된 영역(12)에서의 그래프 기울기는 AL 자원의 증가량에 대한 노드 처리량의 감소량을 나타낸다. 다시 말해, 백홀-제한된 영역(12)에서의 그래프 기울기는 BL 자원의 감소량에 따른 노드 처리량의 감소량을 내므로, 결국 BL 링크의 주파수 효율() (-1.0)을 나타낸다.On the other hand, the region 12 located on the right side of the graph peak P is a section in which total AL throughput ≥ total BL throughput, and a backhaul-limited region in which the total BL throughput constrains total node throughput. to be. In the backhaul-limited region 12, although more resources for BL are needed, the total node throughput decreases as the resource cost for AL increases. The graph slope in the backhaul-limited region 12 represents the decrease in node throughput with respect to the increase in AL resource. In other words, the graph slope in the backhaul-limited region 12 yields a decrease in node throughput according to the decrease in BL resources, thus reducing the frequency efficiency of the BL link. ) (-1.0).
정리하면, 최대 노드 처리량을 가지는 자원 분할비()는이며, [bps]이다.In summary, the resource splitting ratio with the maximum node throughput ( ) Is, [bps].
도 1의 그래프에서 주목해야 할 점은 노드 처리량이 최대가 되는 정점(P)은 BL 주파수 효율과 AL 주파수 효율에 의해 결정된다는 점이다. 즉, 만약에 AL 또는 BL의 무선 채널 환경이 다르거나 또는 기타의 이유로 처리량이 달라질 경우 최대 노드 처리량을 가지는 자원 분할비가 노드마다 달라질 수 있다.It should be noted in the graph of FIG. 1 that the peak P, which maximizes node throughput, is determined by the BL frequency efficiency and the AL frequency efficiency. That is, if the AL or BL radio channel environment is different or for some other reason, the resource splitting ratio having the maximum node throughput may vary from node to node.
도 2는 모바일 엑스홀 네트워크에서의 2-홉 모델링 구조를 도시한다.2 illustrates a two-hop modeling structure in a mobile xhaul network.
도 2를 참조하면, 본 발명의 일 실시예에 따른 모바일 엑스홀 네트워크는 다수의 IXA 노드(100, 100-1, 100-2, 100-3,? )를 포함하여 구성될 수 있다. 여기서, 모바일 엑스홀 네트워크(Mobile Xhaul Network, MXN)는 무선 엑스홀 네트워크의 한 예로 언급된다.Referring to FIG. 2, a mobile XHole network according to an embodiment of the present invention may include a plurality of
IXA를 지원하는 MXN, 또는 축약되어 표현된 "IXA 네트워크"는 본 발명에 따른 네트워크의 하나의 예를 의미한다. 또한, IXA 노드는 이러한 IXA 네트워크를 구성하는 노드 또는 IXA 네트워크에 포함되는 노드를 의미할 수 있다. 각 노드는 무선 XL 및 AL을 동시에 제공할 수도 있고, XL만 제공할 수도 있다. XL 및 AL을 동시에 제공하는 것을 IXA(Integration of Xhaul and Access)라고 정의하고 IXA 기능을 가진 노드를 IXA 노드라고 한다. XL만을 제공하는 노드를 XDU(Xhaul Distributed Unit) 노드라고 정의할 수 있다. 따라서, IXA 노드 중에서 XL만을 제공하는 노드가 XDU가 될 수도 있다. 본 명세서는 IXA 노드는 XDU를 포함하되, XL 노드만을 제공한다는 의미로 사용될 때만 XDU라고 특정할 수 있다.MXN supporting IXA, or abbreviated "IXA network" means one example of a network according to the present invention. In addition, the IXA node may mean a node constituting such an IXA network or a node included in the IXA network. Each node may provide wireless XL and AL at the same time, or only XL. Providing both XL and AL at the same time is defined as IXA (Integration of Xhaul and Access), and nodes with IXA capabilities are called IXA nodes. A node providing only XL may be defined as an XDU (Xhaul Distributed Unit) node. Therefore, XDU may be a node providing only XL among IXA nodes. In this specification, an IXA node may include an XDU, but may be designated as an XDU only when used to mean that only an XL node is provided.
IXA를 지원하는 MXN(MXN with IXA)은 일련의 XL 들로 이루어진 MXN 내의 경로(path)를 이용하여 IXA 노드에 대해 종단간(end-to-end) 엑스홀 경로(Xhaul path) 서비스를 제공한다. 따라서, 도 2와 같이 IXA 노드(200)를 기준으로 하여 MXN 내의 멀티홉(multi-hop) XL 들로 이루어진 좌측의 MXN 내의 엑스홀 경로(Xhaul path)를 도 2우측에 도시된 바와 같이 하나의 엑스홀 경로로 모델링이 가능하다. 따라서, IXA를 지원하는 MXN내의 임의의 노드에서 단말(User Equipment, UE) 방향의 다운링크(downlink) 방향만을 고려할 때, 임의의 노드에 대해 도 2의 우측에 도시된 바와 같이 하나의 엑스홀 경로 및 하나의 액세스 경로 사이를 IXA 노드(100)가 연결하는 2-hop 모델링이 가능하다.MXN with IXA (IXA) provides end-to-end Xhaul path services for IXA nodes using a path within an MXN of a series of XLs. . Accordingly, as shown in FIG. 2, the Xhaul path in the left MXN is composed of multi-hop XLs in the MXN based on the
여기서, 도 2에 도시된 실시예와 같이 사용자 단말(300)로의 다운링크 경로만 생각할 경우, 모델링된 IXA의 엑스홀 경로 처리량(Xhaul path throughput)은 그 경로를 구성하는 XL들 중에서 가장 작은 링크 처리량(link throughput)과 같다. 또한, 노드 처리량(node throughput)은 엑스홀 경로 처리량과 AL 처리량(AL throughput) 중 작은 값과 같다.Here, when considering only the downlink path to the
도 3은 본 발명의 일 실시예에 따른 모바일 엑스홀 네트워크 구조를 도시한다.3 illustrates a mobile XHole network structure according to an embodiment of the present invention.
도 3에서 도시하는 네트워크는 본 발명의 일 실시예에 따른 IXA를 지원하는 MXN(Mobile Xhaul Network) 구조의 일 실시예이다. 도 3을 참조하면, 본 발명에 따른 모바일 엑스홀 네트워크는 코어 네트워크와 연결되며, 적어도 하나의 IXA 노드(100), XCU(200), 적어도 하나의 IXA 노드(100)와 연결되는 적어도 하나의 사용자 단말(300)을 포함하여 구성될 수 있다.The network shown in FIG. 3 is an embodiment of a Mobile Xhaul Network (MXN) structure supporting IXA according to an embodiment of the present invention. Referring to FIG. 3, the mobile XHole network according to the present invention is connected to the core network, and at least one user connected to the at least one
모바일 엑스홀 네트워크를 구성하는 각 IXA 노드(100)는 주어진 무선 자원을 공유하여 XL과 AL을 지원한다. 즉, 본 발명에 따른 IXA 노드는 인밴드 셀프-엑스홀 노드일 수 있다. 여기서, IXA 노드는 무선통신 디바이스, 예를 들어, 기지국일 수 있다.Each
또한, 사용자 단말(terminal)은 이동 단말(mobile terminal, MT), 이동국(mobile station, MS), 진보된 이동국(advanced mobile station, AMS), 고신뢰성 이동국(high reliability mobile station, HR-MS), 가입자국(subscriber station, SS), 휴대 가입자국(portable subscriber station, PSS), 접근 단말(access terminal, AT), 사용자 장비(user equipment, UE) 등을 지칭할 수도 있고, MT, MS, AMS, HR-MS, SS, PSS, AT, UE 등의 전부 또는 일부의 기능을 포함할 수도 있다.In addition, the user terminal may be a mobile terminal (MT), a mobile station (MS), an advanced mobile station (AMS), a high reliability mobile station (HR-MS), It may also refer to a subscriber station (SS), a portable subscriber station (PSS), an access terminal (AT), a user equipment (UE), or the like, and may include MT, MS, AMS, It may also include all or part of the functionality of the HR-MS, SS, PSS, AT, UE and the like.
도 3을 참조하면, IXA 노드와 IXA 노드 사이는 XL(Xhaul link)를 통해 연결되고, IXA 노드(100)와 사용자 단말(300) 사이는 AL(Access link)을 통해 연결된다. 여기서, 엑스홀 경로(Xhaul path)는 IXA 네트워크 내 하나의 IXA 노드에서 다른 IXA 노드로 데이터가 흘러가는 하나 또는 그 이상의 엑스홀 링크의 집합으로 정의될 수 있다.Referring to FIG. 3, an IXA node and an IXA node are connected through an XL (Xhaul link), and an
예를 들어, 도 3에 도시된 바와 같이 IXA 네트워크가 백홀 네트워크로 사용될 경우, 다운링크 데이터는 코어(Core)로부터 출발하여, 코어가 연결된 노드부터 사용자 단말이 연결된 노드까지 엑스홀 경로를 통해 전송되고, 이후 사용자 단말이 연결된 노드부터 사용자 단말까지는 AL을 통해 전송된다.For example, as shown in FIG. 3, when the IXA network is used as a backhaul network, downlink data is transmitted from the core to the node to which the user terminal is connected through the X-hole path. After that, the node from the node to which the user terminal is connected is transmitted through the AL.
한편, 도 3에 도시된 XCU(Xhaul Centralized Unit)(200)는 본 발명의 일 실시예에 따른 IXA 네트워크 내 모든 IXA 노드에 적용되는 자원분할을 담당한다. 본 발명의 일 실시예에 따르면, XCU(200)는 IXA 네트워크 전체에 걸친 무선 자원 관리(radio resource management), 경로 설정/관리, 각종 통계량 측정, 장애진단 복구 등을 수행할 수 있다.Meanwhile, Xhaul Centralized Unit (XCU) 200 illustrated in FIG. 3 is responsible for resource division applied to all IXA nodes in an IXA network according to an embodiment of the present invention. According to an embodiment of the present invention, the
본 발명에서는 앞서 살펴본 인밴드 셀프-백홀에서의 자원분할 비에 따른 노드 처리량의 변화에 대한 연구 결과를 바탕으로, 네트워크 내 각 IXA 노드(100)가 최대 노드 처리량을 가질 때를 고려한다. 일반적으로 각 IXA 노드는 지리적으로 서로 다른 위치에 위치하고 있을 것이다. 서로 다른 노드의 설치 위치, 서로 다른 노드 간 간격, 노드 인근에 위치하는 건물의 유무, 건물의 개수, 건물의 높이 등, 노드 간의 차이를 감안할 때 각 노드에 대한 채널 환경은 명백히 서로 다를 수 밖에 없다.The present invention considers when each
도 4는 다수의 IXA 노드의 액세스 링크용 자원량의 변화에 따른 노드 처리량 변화를 나타낸 그래프이다.4 is a graph showing a change in node throughput according to a change in resource amount for access links of a plurality of IXA nodes.
도 4에 도시된 그래프는 각 노드를 기준으로 자원 분할비에 따른 노드 처리량을 나타내고 있으며, 총 3개의 노드에 대한 노드 처리량(41, 42, 43)을 나타낸다. 여기서, 자원 분할비는 전체 자원에 대한 AL용 자원의 비율, 즉 시스템 자원량으로 정규화된 액세스 링크용 자원량이다. 또한, 세로 축에 표시된 노드 처리량은 노드를 기준으로 총 엑스홀 처리량 및 액세스 처리량 중 더 적은 값, 즉 최소값에 해당하는 값이다.The graph shown in FIG. 4 shows the node throughput according to the resource partition ratio on the basis of each node, and shows the
도 4를 참조하면, 각 노드 처리량에 대한 그래프의 정점에서의 자원분할비는 서로 다르게 나타난다. 이는, 각 노드 별로 주파수 효율이 서로 다르기 때문이며, 그에 따라 각 노드의 처리량 정점에서의 AL용 자원량이 서로 다르게 나타난다.Referring to FIG. 4, the resource allocation ratio at the vertex of the graph for each node throughput is different. This is because the frequency efficiency is different for each node, and accordingly, the resource amount for AL at the throughput peak of each node is different.
주어진 전체 자원에서 AL용 자원의 양을 결정하는 것은, 결국 전체 자원을 AL용 및 XL용으로 얼마큼씩 나누어 사용할 것인가를 결정하는 자원 분할에 대한 결정을 의미할 수 있다.Determining the amount of resources for an AL in a given total resource may mean a decision on resource partitioning that ultimately determines how much of the total resource will be used for AL and XL.
주어진 전체 무선 자원을 제 1 링크 및 제 2 링크의 두 가지 링크용 자원으로 나누어 사용하는 무선 노드들로 구성된 무선 네트워크에서의 종래의 자원 분할 방법에 따르면, 네트워크 내의 모든 노드들이 동일한 자원 분할을 가지는 전역적인(global) 자원 분할을 사용한다. 이는 서로 다른 링크가 동일한 주파수-시간 자원을 사용할 때 생기는 서로 간의 간섭을 회피하기 위한 것이다.According to the conventional method of resource partitioning in a wireless network composed of wireless nodes that use a given total radio resource by dividing the resource for two links, a first link and a second link, all nodes in the network have the same resource partitioning. Use global resource partitioning. This is to avoid the interference between each other when different links use the same frequency-time resource.
하지만, 전체 네트워크의 공통적으로 적용되는 전역적인 자원분할을 어떤 방법으로 결정하든, 해당 방법이 모든 IXA 노드들의 노드 처리량을 최대화하는 자원분할이라고 할 수는 없다. 도 4에 도시된 예를 통해 확인할 수 있는 바와 같이 각각의 IXA 노드들의 노드 처리량을 최대화하는 자원 분할 비율은 노드마다 서로 다르기 때문이다.However, no matter which method determines the globally applied resource partitioning of the entire network, it is not a resource partitioning method that maximizes the node throughput of all IXA nodes. As can be seen through the example illustrated in FIG. 4, the resource partitioning ratio for maximizing node throughput of each IXA node is different for each node.
도 5는 무선 엑스홀 네트워크에서 발생하는 크로스홀 간섭을 나타낸 도면이다.5 is a diagram illustrating crosshole interference occurring in a wireless xhole network.
도 5는 무선 엑스홀 네트워크에서 전역적으로 적용되는 공통 자원분할 비율이 아닌, IXA 노드별로 자원분할 비율이 서로 다르게 설정되는 경우의 예를 도시한다. 좀더 구체적으로, 도 5의 예는 네트워크 내 각 IXA 노드가 FDM (frequency division multiplexing) 방식으로 XL 자원과 AL 자원을 분할할 때, 제1 노드(100-1)에서의 자원분할 비율과 제2 노드(100-2)에서의 자원분할 비율이 서로 달라서 발생하는 간섭 상황을 나타낸 것이다. 이처럼, XL와 AL 사이에서 발생하는 간섭을 크로스홀 간섭(Cross-haul interference)이라고 정의한다.FIG. 5 illustrates an example in which resource division ratios are set differently for each IXA node, not a common resource division ratio that is globally applied in the wireless XHole network. More specifically, in the example of FIG. 5, when each IXA node in the network divides an XL resource and an AL resource in a frequency division multiplexing (FDM) manner, a resource partition ratio and a second node at the first node 100-1 are used. The interference situation caused by different resource allocation ratios in (100-2) is shown. As such, the interference occurring between the XL and the AL is defined as cross-haul interference.
크로스홀 간섭은 XL과 AL의 통합 관점에서 볼 때 심각한 문제일 수 있다. 여기서, 액스홀 링크 및 액세스 링크의 통합(integration)은 엑스홀 링크 및 액세스 링크가 동일한 무선 자원을 공유하여 두 개의 링크를 하나의 네트워크 노드에서 같이 제공하는 것을 의미할 수 있다. 또한, AL 대비 XL는 링크의 거리가 훨씬 길 수 있다. 이는 XL은 AL을 구성하는 단말과 달리 전력의 제약이라는 면에서 비교적 자유롭기 때문이다. 따라서, AL로부터 XL로의 간섭보다 XL로부터 AL로의 간섭이 상대적으로 더 심각하며, 이는 극단적으로는 AL 서비스가 불가한 지역이 발생할 수도 있음을 의미한다. 따라서, 예를 들어, XL이 빔포밍(beam forming)을 이용하는 링크일 경우, XL의 빔 형성 방향과 같은 방향에 있는 주파수-시간 자원을 이용해 XL과 AL을 동시에 제공하는 것이 불가능할 수 있다.Cross-hole interference can be a serious problem from the point of view of the integration of XL and AL. In this case, the integration of the access hole link and the access link may mean that the xhole link and the access link share the same radio resource to provide two links together in one network node. Also, XL can be much longer in link distance than AL. This is because the XL is relatively free in terms of power constraint, unlike the terminal constituting the AL. Therefore, the interference from XL to AL is relatively more serious than the interference from AL to XL, which means that an area where the AL service is extremely impossible may occur. Thus, for example, when XL is a link using beamforming, it may not be possible to simultaneously provide XL and AL using frequency-time resources in the same direction as the XL's beamforming direction.
하지만, 엑스홀 링크가 빔포밍을 이용할 때 빔포밍이 제공하는 지향성을 고려하면, 임의의 인접한 두 노드 간에 형성되는 XL에서 XL 자원은 AL 자원과 직교적이어야 하지만, 다른 XL를 가지는 노드의 다른 AL 자원과 반드시 직교적일 필요는 없다. 예를 들어, 노드 A, B, C가 일직선상에 위치하고 있을 경우 A와 B 사이의 AL 자원과 B로부터 C 방향의 XL가 사용하는 XL 자원은 서로 직교적일 필요는 없다. 왜냐하면, B와 C 사이의 XL은 빔형성을 통해 지향성을 가질 수 있고, B로부터 C 방향으로의 전송방향과 반대 방향에 위치하는 A와 B 사이의 AL 수신 단말에게로의 간섭을 무시할 수 있기 때문이다.However, considering the directivity provided by beamforming when the XHole link uses beamforming, the XL resource in the XL formed between any two adjacent nodes must be orthogonal to the AL resource, but the other AL of the nodes with different XLs. It does not have to be orthogonal to the resource. For example, if nodes A, B, and C are located in line, the AL resource between A and B and the XL resource used by XL from B to C need not be orthogonal to each other. This is because the XL between B and C may have directivity through beamforming, and the interference to the AL receiving terminal between A and B located in the opposite direction to the transmission direction from B to C may be ignored. .
크로스홀 간섭으로 인한 문제를 고려하면, 네트워크 내에서 전역적으로 공통인 자원분할을 설정하여 크로스홀 간섭 문제를 회피하는 것이 적절하다고 볼 수 있다. 하지만, 이와 같은 전역적 공통 자원분할은 앞서 살펴본 바와 같이 네트워크 내 모든 노드의 노드 처리량을 최대화 시킬 수 없는 문제점이 있다.Considering the problems caused by crosshole interference, it is appropriate to avoid the problem of crosshole interference by setting globally common resource allocation in the network. However, as described above, the global common resource allocation has a problem in that the node throughput of all nodes in the network cannot be maximized.
본 발명에서는 공간적으로 AL 자원과 XL 자원의 크로스홀 간섭을 무시할 수 도 있다는 점을 이용하여, 각 노드마다 노드 처리량을 최대화하도록 노드별로 XL 자원과 AL 자원의 자원 분할을 다르게 설정한다. 본 발명은 실시예로서, 주어진 전체 무선 자원을 XL 및 AL의 두 가지 링크용 자원으로 나누어 사용하는 무선 노드들로 구성된 모바일 엑스홀 네트워크에서, 각 노드 별 노드 처리량 (node throughput)을 최대화하는 방법 및 장치를 제공한다.According to the present invention, cross-hole interference of AL and XL resources can be ignored spatially, and resource division of XL and AL resources is set differently for each node so as to maximize node throughput for each node. According to an embodiment of the present invention, there is provided a method for maximizing node throughput of each node in a mobile XHole network composed of wireless nodes using a given total radio resource divided into two link resources, XL and AL. Provide the device.
본 발명의 일 실시예에 따르면, 주어진 전체 무선자원을 이용하여 XL과 AL을 동시에 지원할 수 있는 IXA 노드는 하나의 동일한 무선전송 기술을 사용하는 단일한 구조로 구현될 수도 있고, AL만을 담당하는 장치와 XL만을 담당하는 장치를 연결하여 IXA 노드를 구성하도록 구현될 수도 있다.According to an embodiment of the present invention, an IXA node capable of simultaneously supporting an XL and an AL using a given total radio resource may be implemented in a single structure using one same radio transmission technology, and is an apparatus that is responsible only for an AL. It may be implemented to configure the IXA node by connecting the device responsible for and XL only.
도 6은 본 발명의 일 실시예에 따른 탠덤 네트워크의 구조를 나타낸다.6 shows a structure of a tandem network according to an embodiment of the present invention.
도 6에서는 본 발명이 적용될 수 있는 네트워크의 일 예로서, 탠덤 네트워크를 도시하고 있다. 도 6에 도시된 네트워크는 모두개의 IXA 노드를 포함하며 노드 간 직렬로 연결된 탠덤 네트워크(tandem network)의 형태를 가진다. 각 IXA 노드(X0,X1,X2,...,XNx-1) 사이는 무선 XL로 연결되어 있고, 코어(core)에 가장 가까운 노드인의 경우 코어와 유선 링크로 연결되어 있다. 본 발명에서는 도 6에 도시된 본 발명의 일 실시예에 따른 네트워크 구조를 기반으로 하여, 코어로부터 단말까지의 다운링크(downlink) 트래픽을 고려해 각 노드의 노드 처리량을 최대화하는 자원분할 방법을 제시한다.6 shows a tandem network as an example of a network to which the present invention can be applied. The network shown in Figure 6 It includes two IXA nodes and is in the form of a tandem network connected serially between nodes. Each IXA node (X0 ,X1 ,X2 , ...,XNx-1 ) is connected by a wireless XL and is the node closest to the core. Is connected to the core via a wired link. The present invention proposes a resource partitioning method for maximizing node throughput of each node in consideration of downlink traffic from a core to a terminal, based on a network structure according to an embodiment of the present invention shown in FIG. 6. .
도 7a는 탠덤 네트워크에서 노드에 대한 개략적 자원 분할 방법의 개념을 나타낸 도면이다.7A is a diagram illustrating a concept of a schematic resource partitioning method for nodes in a tandem network.
도 7a 및 7b는 전체 노드의 개수=4를 포함하는 탠덤 네트워크에 위치하는 각 노드에서의 자원 분할 형태(710, 720, 730, 740)를 나타내고 있다. 도 7a및 7b에서 도시하는 실시예에서 각 노드는 TDM(Time Division Multiplexing) 방식을 사용해 전체 자원을 XL용 자원 및 AL용 자원으로 분할한다.7A and 7B show the total number of nodes
도 7a 및 7b의 수직 축, 즉 시간 축은 하나의 TTI(Transmit Time Interval)로 정규화(normalized)된 시간을 나타낸다. 수평축, 즉 주파수 축은 시스템 가용 주파수 대역을 나타낸다. 시간 축은 자원 종류에 따라 구분되는데, XL용 자원(시간 축상으로 바깥 쪽의 그레이 톤 영역)과 AL용 자원(시간 축상으로 가운데 해칭 영역)이 그것이다.The vertical axis, or time axis, of FIGS. 7A and 7B represents the time normalized with one TTI (Transmit Time Interval). The horizontal axis, or frequency axis, represents the system's available frequency band. The time axis is divided according to the resource type, that is, the resource for XL (gray outward area on the time axis) and the resource for AL (center hatching area on the time axis).
도 7a는 도 7b의 도면을 보다 간단히 나타낸 것으로 전체 자원 분할비를 보다 알기 쉽게 표현하고 있다. 자원 분할비율 α는 수직축 상의 전체 길이 대비 AL용 자원의 비율과 같다. 즉, 자원 분할비율 α는 전체 자원에서의 AL용 자원의 비율을 나타낸다.FIG. 7A shows the diagram of FIG. 7B more simply and expresses the total resource partition ratio more easily. The resource splitting ratio α is equal to the ratio of the resource for AL to the total length on the vertical axis. In other words, the resource splitting ratio α represents the ratio of the AL resource for all the resources.
도 7b는 탠덤 네트워크에서 노드에 대한 상세 자원 분할 방법이 일 실시예를 나타낸 도면이다. 도 7b는 하나의 노드를 구성하는 세 가지 종류의 섹터 별 자원 구조를 나타낸다. 임의의 노드는=6 개의 섹터로 구분되어 있다. 자원 구조 또는 송수신 기능 관점에서, 섹터는 크게 3 종류로 구분될 수 있다. 첫 번째 종류는, 0번 섹터()로서 XL 송신 자원과 AL 송신 자원만을 가진다. 두 번째 종류는, 3번 섹터()로서 XL 수신 자원과 AL 송신 자원만을 가진다. 마지막 종류로서, 1, 2, 4, 5번 섹터()는 AL 송신 자원만을 가진다.7B is a diagram illustrating an embodiment of a detailed resource partitioning method for a node in a tandem network. 7B illustrates three types of sector-specific resource structures that constitute one node. Any node It is divided into six sectors. In terms of resource structure or transmission / reception function, sectors can be classified into three types. The first kind is sector 0 ( ) Has only an XL transmission resource and an AL transmission resource. The second kind is sector 3 ( ) Has only an XL receive resource and an AL transmit resource. As the last kind,
도 8은 본 발명의 일 실시예에 따른 무선통신 네트워크에서의 자원 조정 방법의 동작 순서도이다.8 is a flowchart illustrating a method of adjusting a resource in a wireless communication network according to an embodiment of the present invention.
도 8의 실시예에서는개의 노드가 직렬로 연결된 탠덤(tandem) 네트워크에서의 국소적 자원 조정 방법을 나타낸다.In the embodiment of Figure 8 It shows a local resource coordination method in a tandem network in which two nodes are connected in series.
도 8에서 언급되는 측정 및 계산 단계(S820)은 실시예에 따라 IXA 노드 또는 XCU에서 실행될 수 있다. 또한, 자원 조절 대상 노드가 접속 제한 영역에서 동작하는지 또는 Xhaul 제한 영역에서 동작하는지의 판단은 XCU가 담당할 수 있다(S830 및 S831). 이러한 판단의 결과에 따라 도 8의 자원 분할 절차에 따른 후속 절차인 액세스 자원 증대 또는 엑스홀 자원 증대와 관련한 최종적인 자원 조절비의 계산 및 그에 따른 자원 조절을 위한 노드별 제어(S840 내지 S851) 역시 XCU가 담당할 수 있다.The measuring and calculating step S820 referred to in FIG. 8 may be executed at the IXA node or the XCU, according to an embodiment. In addition, the XCU may be responsible for determining whether the resource control target node operates in the access restriction region or the Xhaul restriction region (S830 and S831). According to the result of this determination, the node-specific control (S840 to S851) for calculating the final resource adjustment ratio related to the access resource increase or the X-hole resource increase and subsequent resource adjustment, which is a subsequent procedure according to the resource partitioning procedure of FIG. 8, is also performed. The XCU can be in charge.
본 발명의 일 실시예에 따르면, 코어로부터 가장 멀리 떨어진 노드인부터 코어에 가까운 노드인방향으로 순차적으로 각 노드에서 자원 분할을 실시한다. 순차적으로 자원 조절을 실시하는 대상 노드를 자원 조절 대상 노드라고 정의한다. 자원 조절 대상 노드를 코어로부터 가장 멀리 떨어진 노드부터 코어쪽 방향으로 정하여 자원 분할을 하는 이유는, 현재 자원 조절 대상 노드에 대한 자원 조절의 영향이 이전 자원 조절 대상 노드에게 영향을 미치지 않게 하는 것이 손쉽기 때문이다. 다시 말해, 가장 멀리 떨어진 노드부터 노드 처리량을 최대화하여 이후에 코어에 가까운 자원 조절 대상 노드에 대한 자원 분할이 이전 노드에 대한 국소적 자원 분할 결과에 영향을 미치지 않게 하는 것이 그 반대의 경우에 비해 손쉽기 때문이다.According to one embodiment of the invention, the node farthest from the core Node close to core Resource partitioning is performed at each node sequentially in the direction. A target node which performs resource control sequentially is defined as a resource control target node. The reason for resource partitioning is to set the resource control target node toward the core from the node farthest away from the core, so that it is easy for the resource control influence on the current resource control target node to not affect the previous resource control target node. Because. In other words, maximizing node throughput from the farthest node so that resource splitting for subsequent resource throttling nodes does not affect local resource splitting results for the previous node, as opposed to vice versa. Because it is easy.
도 8을 참조하면 본 발명에 따른 자원 분할 방법은 우선, 자원 조절의 대상이 되는 노드를 초기값으로 설정한다(S810). 여기서, 자원 조절 대상이 되는 최초 노드는 해당 경로상에서 코어에서 가장 먼 곳에 위치하는 노드로 설정된다.Referring to FIG. 8, in the resource partitioning method according to the present invention, first, a node that is subject to resource control Is set to an initial value (S810). Here, the first node to be resource controlled is the node located farthest from the core on the path. Is set to.
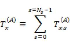
자원 조절 대상 노드가 결정되면, 해당 노드에서 엑스홀 경로 처리량 (Xhaul path throughput) 및 전체 액세스 처리량(total access throughput), 그리고 엑스홀 경로 자원효율 및 액세스 자원효율을 측정 및 계산한다(S820).Once the node for resource control is determined, Xhaul path throughput at the node And total access throughput , And xhole path resource efficiency And access resource efficiency Measure and calculate (S820).
엑스홀 경로 처리량은 코어와 노드사이에 데이터가 전달(transport)되는 경로 중에서 XL로만 구성되는 경로에서 가장 작은 XL의 링크 처리량(link throughput)으로 정의될 수 있다. 즉, IXA 노드 의 섹터와 코어를 연결하는 XL들의 집합을 섹터의 액스홀 경로로 정의하면이고, XL의 링크 처리량 중에서 IXA 노드의 섹터 에게 할당된 링크 처리량(link throughput)이일 때, IXA 노드의 섹터에 대한 엑스홀 경로 처리량은 아래 수학식 1과 같이 정의될 수 있다.Xhole Path Throughput Core and node It may be defined as the link throughput of the smallest XL in a path consisting of only XLs among the paths in which data is transmitted. That is, IXA node Sector Sector set of XLs connecting the core with Access hole path If you define as , XL Link Throughput in IXA node Sector The link throughput assigned to IXA node when Sector Xhole Path Throughput for May be defined as in
이를 바탕으로 노드의 엑스홀 경로 처리량는 아래 수학식 2와 같이 정의될 수 있다.Based on this Xhole Path Throughput May be defined as in
전체 액세스 처리량(total access throughput)는 노드에 접속한 단말들에 서비스되는 액세스 링크들의 처리량(throughput)의 총 합으로 정의한다. 즉, IXA 노드의 섹터에 연결된 총개의 단말들 중에서 인덱스가인 단말가 사용하는 AL에서의 링크 처리량(link throughput)이일 때, IXA 노드 의 섹터의 전체 액세스 처리량(total AL throughput)는 아래 수학식 3과 같이 정의된다.Total access throughput Is a node It is defined as the total sum of the throughputs of the access links serviced to the terminals accessing the MS. That is, IXA node Sector Gun connected to Index among the Terminal AL used by Link throughput in the IXA node when Sector Total AL throughput Is defined as in Equation 3 below.
섹터의 액세스 처리량을 바탕으로 한 노드의 전체 액세스 처리량은 아래 수학식 4와 같이 정의될 수 있다.Node based on sector's access throughput The total access throughput of may be defined as Equation 4 below.
한편, IXA 노드의 섹터의 섹터 처리량(sector throughput) 은 해당 섹터의 엑스홀 경로 처리량 및 전체 액세스 처리량에 따라 결정되며, 이는 도 9를 통해 상세히 확인할 수 있다.Meanwhile, IXA node Sector Sector throughput Is determined according to the X-hole path throughput and the total access throughput of the sector, which can be confirmed in detail with reference to FIG. 9.
도 9는 본 발명의 일 실시예에 따른 섹터 처리량의 개념을 도시한다.9 illustrates the concept of sector throughput according to one embodiment of the invention.
도 9에 도시된 바와 같이 IXA 노드의 섹터의 섹터 처리량(sector throughput)은 해당 섹터의 엑스홀 경로 처리량 및 섹터의 전체 액세스 처리량 중 적은 값으로 결정된다. 즉, IXA 노드의 섹터의 섹터 처리량(sector throughput)은 아래 수학식 5와 같이 정의될 수 있다.IXA node as shown in FIG. Sector Sector throughput Is determined by the lesser of the xhole path throughput of the sector and the total access throughput of the sector. That is, IXA node Sector Sector throughput May be defined as in Equation 5 below.
또한, IXA 노드의 노드 처리량(Node throughput)은 아래 수학식 6과 같이 나타낼 수 있다.Also, IXA node Node throughput of May be expressed as in Equation 6 below.
해당 노드는 엑스홀 경로 처리량 및 전체 액세스 처리량을 기초로 해당 노드의 자원분할 비율를 산출할 수 있다.The node's resource allocation ratio based on the xhole path throughput and the total access throughput. Can be calculated.
한편, 노드에서의 노드 엑스홀 경로 자원 효율는 아래 수학식 7에 따라 계산될 수 있다.Meanwhile, node Node Xhole Path Resource Efficiency May be calculated according to
수학식 7에서는 노드와 노드를 연결하는 XL에 사용되는 무선 자원의 양이다. 즉, 노드 를 기준으로 할 때 엑스홀 데이터가 유입되는 (inflow) XL에 사용되는 자원의 양이다.In equation (7) Is a node And node The amount of radio resources used by the XL to connect. That is, nodes Based on this, the amount of resources used for XL to inflow Xhole data.
또한, 액세스 자원 효율 은 아래 수학식 8에 따라 계산될 수 있다.In addition, access resource efficiency May be calculated according to Equation 8 below.
수학식 8에서는 하나의 IXA 노드가 가진 전체 섹터의 개수,는 섹터 와 AL가 연결된 전체 단말의 개수,는 섹터와 AL가 연결된 전체 단말들 중 인덱스가인 단말의 AL가 가지는 AL 주파수 효율이다.In equation (8) Is the total number of sectors in one IXA node, Sector The total number of terminals connected to and AL, Sector Index of all terminals connected with AL This is the AL frequency efficiency of the AL of the UE.
다시 도 8의 동작 순서도로 돌아가, 엑스홀 경로 처리량 및 액세스 처리량, 그리고 엑스홀 경로 자원효율 및 액세스 자원효율을 측정 및 계산한 해당 노드는, 산출된 및의 차이를 최소 자원 조절 마진 ε 과 비교한다(S830).Returning to the operational flow diagram of FIG. 8 again, Xhole path throughput And access throughput The node that measures and calculates the X-hole path resource efficiency and access resource efficiency is calculated. And Compare the difference with the minimum resource control margin ε (S830).
판단 결과, 및의 차이의 절대값이 ε보다 클 경우 자원 조절 대상 노드의 자원분할비를 조절한다. 구체적으로, 액스홀 경로 처리량이 액세스 처리량보다 큰지 판단하고(S831), 액스홀 경로 처리량이 액세스 처리량보다 큰 경우, 즉, 및의 차이가 양의 값이라면 해당 노드는 액세스 자원이 더 필요한 접속 제한(access-limited) 영역에서 동작하는 것으로 판단한다. 접속 제한 영역에서 동작하는 노드는 자원 조절 비율을 결정하고(S840), 액세스 자원을 증가시킨다(S841).As a result of judgment, And If the absolute value of the difference is greater than ε, adjust the resource split ratio of the resource control target node. Specifically, it is determined whether the access hole path throughput is greater than the access throughput (S831), and if the access hole path throughput is greater than the access throughput, that is, And If the difference is a positive value, the node determines that the node operates in an access-limited area that requires more access resources. The node operating in the access restriction area determines the resource adjustment ratio (S840), and increases the access resource (S841).
반대로, 엑스홀 경로 처리량이 액세스 처리량 이하인 경우, 즉, 및의 차이가 음의 값이면 해당 노드가 Xhaul 자원이 더 필요한 Xhaul 제한(Xhaul-limited) 영역에서 동작하고 있다고 판단하게 된다. 엑스홀 제한 영역에서 동작하는 것으로 판단된 노드는 자원 조절 비율을 결정하고(S850), Xhaul 자원을 증가시킨다(S851). 정리하면, 액스홀 경로 처리량 및 액세스 처리량의 관계에 따라 각 노드는 아래 수학식 9에 나타낸 바와 같이 균형 상태, 액세스 제한 영역에서, 또는 엑스홀 제한 영역에서 동작 중인 것으로 판단될 수 있다.Conversely, if the xhole path throughput is less than or equal to the access throughput, i.e. And If the difference is negative, the node is determined to be operating in an Xhaul-limited area that requires more Xhaul resources. The node determined to operate in the X-hole limited area determines the resource adjustment ratio (S850), and increases the Xhaul resource (S851). In summary, depending on the relationship between the access hole path throughput and the access throughput, each node may be determined to be operating in a balanced state, an access restriction region, or an Xhole restriction region, as shown in Equation 9 below.
한편, 상술한 자원 조절 단계(841 내지 S851)에서 해당 노드는 계산된 자원조절 비율에 따라 액세스 자원 또는 엑스홀 자원을 증가시키게 된다. 도 9를 참조하여 자원조절 비율의 구체적인 산출 방법에 대해 살펴본다.Meanwhile, in the above-described resource adjustment steps 841 to S851, the node increases the access resource or the Xhole resource according to the calculated resource adjustment ratio. Referring to Figure 9 looks at the specific calculation method of the resource adjustment ratio.
도 10은 본 발명의 일 실시예에 따른 자원조절의 개념 및 자원조절 비율의 산출 방법을 도시한다.10 illustrates a concept of resource control and a method of calculating a resource control ratio according to an embodiment of the present invention.
도 10의 그래프에서 가로 축은 자원분할비를, 세로 축은 노드 처리량 Tx를 나타낸다. 임의의 노드의 현재 자원분할비가이고 필요 조절 비율을 라고 할 때,는 도 9에 도시된 바와 같이 노드 처리량이 최대화되기 위해 조절되어야 하는 자원 분할 비율의 조절치를 의미한다. 다시 말해, 조절 비율 는 노드 처리량을 최대로 하는 자원분할 비율과 현재 자원분할 비율의 차이라고 할 수 있다. 조절 비율을 산출하는 방식은 아래 수학식 10과 같이 나타낼 수 있다.In the graph of FIG. 10, the horizontal axis represents the resource allocation ratio and the vertical axis represents the node throughput Tx . Any node The current resource split ratio of And need control ratio When I say 9 represents an adjustment value of the resource partition ratio that should be adjusted in order to maximize node throughput. In other words, the adjustment ratio Is the difference between the resource splitting ratio that maximizes node throughput and the current resource splitting ratio. The method of calculating the adjustment ratio may be expressed by
여기서,는 필요 조절 비율,는 현재 자원분할 비율,는 엑스홀 자원 효율,는 액세스 자원 효율을 나타낸다.here, Need adjustable ratio, Is the current resource split ratio, Xhole resource efficiency, Denotes access resource efficiency.
본 발명의 일 실시예에 따르면, 대상 노드가일 때, 엑스홀 제한 영역일 경우 최종적인 자원조절비는, 액세스 제한 영역일 경우 최종적인 자원조절비는로 설정될 수 있다.According to one embodiment of the invention, the target node is , The final resource control fee in the XHOLE limited area Is In case of limited access, the final resource control fee is It can be set to.
다시 말해, Xhaul 제한 영역일 경우의 최종적인 자원 조절비가 자원 조절 대상 노드인를 포함하여 코어쪽 방향의 노드들의 필요 조절비 중 최소값인 것이 바람직하다. 이는, 자원 조절 대상 노드인가만큼의 엑스홀 자원 증대가 필요하다 할지라도,부터까지의 엑스홀 경로 상의 모든 노드가 자원 조절 후에 액세스 제한 영역으로 진입하지 않는 한도 내에서 조절될 필요가 있기 때문이다.In other words, the final resource control ratio in the Xhaul restricted area Is a resource throttling node Control ratio of nodes in the core direction, including It is preferable that it is minimum value. This means that the node end Although it is necessary to increase the amount of XHole resources, from This is because all nodes on the XHole path up to need to be adjusted as long as they do not enter the access restricted area after resource adjustment.
마찬가지 이유로, 대상 노드가 액세스 제한 영역에서 동작하는 경우, 최종적인 자원 조절비가 자원 조절 대상 노드인를 포함하여 코어와 반대 방향의 노드들의 필요 조절비의 최대 값(즉, 이 때이므로 가장가 작은 값)인 것이 바람직하다. 이는, 자원 조절 대상 노드인가만큼의 액세스 자원 증대가 필요하다 할지라도,부터까지의 Xhaul 경로 상의 모든 노드가 자원 조절 후에 Xhaul 제한 영역으로 진입하지 않는 한도 내에서 조절될 필요가 있기 때문이다.For the same reason, when the target node operates in an access restricted area, the final resource control cost Is a resource throttling node Control ratio of nodes in opposite direction of the core, including The maximum value of, i.e. Because most Is a small value). This means that the node end Although it is necessary to increase the amount of access resources, from This is because all nodes on the Xhaul path up to need to be adjusted as long as they do not enter the Xhaul restricted area after resource adjustment.
한편, 단계 840 및 단계 850에서 최종적인 자원조절비가 결정되면 자원 조절 대상 노드 부터 노드 X1까지 자원 조절을 수행한다(S860, S870). 이때, 자원의 조절은 XL 자원 중 송신용 자원 및 수신용 자원 각각을씩 조절하되, 크로스홀 간섭을 피하기 위해 Xhaul 링크를 공유하는 한쪽 노드에서의 Xhaul 링크 송신용 자원과 다른 쪽 노드에서의 Xhaul 링크 수신용 자원의 량은 동일하게 조절할 수 있다.Meanwhile, the final resource control costs in steps 840 and 850 Resource target node is determined Resource control is performed from node X to node X1 (S860 and S870). At this time, the adjustment of resources to each of the resource for transmission and the resource for reception of XL resources In order to avoid crosshole interference, the amount of resources for Xhaul link transmission at one node sharing the Xhaul link and the resource for receiving Xhaul link at the other node may be equally adjusted.
도 11은 본 발명의 일 실시예에 따른 자원 조절 과정에서 각 노드의 변화하는 자원 분할 비율을 순차적으로 나타낸 도면이다.FIG. 11 is a diagram sequentially illustrating a changing resource partition ratio of each node in a resource adjustment process according to an embodiment of the present invention.
도 11은, 앞서 도 8에 도시된 자원 조절 실시예에서 초기 자원 조절 대상 노드가이고 해당 노드가 엑스홀 제한 영역에서 동작하고 있다고 판단하였을 경우, 국소적 자원 분할이 진행됨에 따라 노드별 자원 구조의 변화 모습을 순차적으로 나타내고 있다.FIG. 11 is a diagram illustrating an initial resource control target node in the resource control embodiment shown in FIG. 8. If it is determined that the node operates in the XHole limited region, the resource structure of each node is sequentially shown as the local resource partitioning proceeds.
도 11의 단계 1(S1101)에서는 자원 조절 대상 노드가일 때이고 최종적인 자원조절비일 때 각 노드에서의 국소적 자원 조절 전후의 모습을 나타낸다. 도 11의 시간 축에서 바깥 쪽으로 할당된 자원 영역(그레이 톤 영역)이 엑스홀 영역이고, 가운데 배치된 자원 영역이 액세스 영역(해칭 영역)이다. Xhaul 제한 영역이므로 Xhaul 자원(그레이 톤 영역)의 양을만큼 증대함에 있어, Xhaul 송신 자원과 수신 자원 각각을만큼씩 증대하였음을 알 수 있다.In step 1 (S1101) of FIG. 11, the resource control target node And final resource control costs Is the state before and after local resource control at each node. The resource area (gray tone area) allocated outward on the time axis of FIG. 11 is an XHOLE area, and the resource area disposed in the middle is an access area (hatching area). Because it is an Xhaul Restricted Zone, you can change the amount of Xhaul resources (gray tone zone) In order to increase the number of Xhaul resources, It can be seen that increased by.
단계 2(S1102)는 자원 조절 대상 노드가일 때이고, 최종적인 자원조절비가일 때이다. 단계 1과 마찬가지로 Xhaul 자원의 양을만큼 증대함에 있어, Xhaul 송신 자원과 수신 자원 각각을만큼씩 증대하였음을 알 수 있다. 하지만, 단계 1과 달리 자원 조절 대상 노드에서의 위쪽 Xhaul 자원인 Xhaul 송신 자원의 량이만큼 줄어들지 않은 것을 알 수 있다. 이것은, 전술한 바와 같이 크로스홀 간섭을 피하기 위해의 Xhaul 송신 자원과의 Xhaul 수신 자원을 동일하게 유지하기 위함이다.Step 2 (S1102) is that the resource control target node Is the final resource control cost When As in
단계 3(S1103)은 자원 조절 대상 노드가일 때이고, 최종적인 자원조절비가일 때이다. 단계 2와 마찬가지로, 크로스홀 간섭을 피하기 위해,에서의 Xhaul 송신 자원은만큼 줄어들지 않은 것을 알 수 있다.Step 3 (S1103) is that the resource conditioning target node Is the final resource control cost When Like
도 12는 본 발명의 일 실시예에 따른 자원 조절의 최종 결과를 자원 조절 이전과 비교하여 나타낸 도면이다.12 is a view showing the final result of the resource adjustment according to an embodiment of the present invention compared with the resource adjustment before.
도 12의 좌측 그림은 자원 조절 이전의 각 노드에서의 자원 분할 모습을 나타내고, 도 12의 우측 그림은 자원 조절이 완료된 후 각 노드에서의 자원 분할 모습을 나타낸다. 도 11의 경우와 마찬가지로, 도 12의 시간 축에서 바깥 쪽으로 할당된 자원 영역(그레이 톤 영역)이 엑스홀 영역이고, 가운데 배치된 자원 영역이 액세스 영역(해칭 영역)이다.The left figure of FIG. 12 shows resource division at each node before resource adjustment, and the right figure of FIG. 12 shows resource division at each node after resource adjustment is completed. As in the case of FIG. 11, the resource region (gray tone region) allocated outward on the time axis of FIG. 12 is an XHOLE region, and the resource region disposed in the middle is an access region (hatching region).
도 12의 우측에 도시된 자원 분할 모습은, 노드부터 노드까지 자원 조절 노드를 차례로 설정하고 설정된 자원 조절 노드에 대해 순차적으로 자원 증대 작업을 거친 후의 모습이다. 도 12에 도시된 국소적 자원 분할 전/후의 자원을 비교해 보면, 코어에 가까운 노드일수록 좀 더 많은 Xhaul 자원(도 12의 그레이 톤 영역)이 할당되는 구조이다. 이것은 코어 네트워크에 근접한 노드일수록 해당 링크를 공유하는 단말의 개수가 많으므로 좀 더 많은 자원을 할당하여 Xhaul 제한 영역에서 동작하는 것을 막아주고자 하는 의도에 따른 것이다.The resource division shown on the right side of FIG. 12 is a node. From nodes After the resource control nodes are set in turn, the resource control nodes are sequentially increased. Comparing the resources before and after the local resource division shown in FIG. 12, more Xhaul resources (the gray tone region of FIG. 12) are allocated to nodes closer to the core. This is because the node closer to the core network has a larger number of terminals sharing the link, so that more resources are allocated to prevent the node from operating in the Xhaul restricted area.
도 13은 본 발명의 일 실시예에 따른 네트워크 제어 장치의 블록 구성도이다.13 is a block diagram of a network control device according to an embodiment of the present invention.
본 발명의 일 실시예에 따른 네트워크 제어 장치(200)는 프로세서(250) 및 프로세서를 통해 실행되는 적어도 하나의 명령 및 명령 수행의 결과를 저장하는 메모리(260)를 포함할 수 있다.The
네트워크 제어 장치(200)는 또한 네트워크 내 적어도 하나의 무선통신 디바이스와의 통신을 수행하기 위한 통신 모듈(170)을 더 포함할 수 있다. 본 발명에 따른 무선통신 디바이스는 적어도 하나의 IXA 노드일 수 있다.The
상기 적어도 하나의 명령은, 상기 제1 링크를 포함하는 제1 경로 및 상기 제2 링크를 포함하는 제2 경로와 연관되는 무선 통신 노드가 제1 경로 제약 상태에 있는지 또는 상기 제2 경로 제약 상태에 있는지 판단하도록 하는 명령 및 상기 무선 통신 노드의 상태에 따라 제약 상태에 있는 경로에 대해 무선 자원을 추가 할당하도록 하는 명령을 포함할 수 있다.The at least one command is for a wireless communication node associated with a first path comprising the first link and a second path comprising the second link to the first path constrained state or to the second path constrained state. And a command for additionally allocating a radio resource to a path in a restricted state according to the state of the wireless communication node.
본 발명의 실시예에 따른 방법의 동작은 컴퓨터로 읽을 수 있는 기록매체에 컴퓨터가 읽을 수 있는 프로그램 또는 코드로서 구현하는 것이 가능하다. 컴퓨터가 읽을 수 있는 기록매체는 컴퓨터 시스템에 의해 읽혀질 수 있는 데이터가 저장되는 모든 종류의 기록장치를 포함한다. 또한 컴퓨터가 읽을 수 있는 기록매체는 네트워크로 연결된 컴퓨터 시스템에 분산되어 분산 방식으로 컴퓨터로 읽을 수 있는 프로그램 또는 코드가 저장되고 실행될 수 있다.The operation of the method according to an embodiment of the present invention can be embodied as a computer readable program or code on a computer readable recording medium. Computer-readable recording media include all kinds of recording devices that store data that can be read by a computer system. The computer readable recording medium can also be distributed over network coupled computer systems so that the computer readable program or code is stored and executed in a distributed fashion.
또한, 컴퓨터가 읽을 수 있는 기록매체는 롬(rom), 램(ram), 플래시 메모리(flash memory) 등과 같이 프로그램 명령을 저장하고 수행하도록 특별히 구성된 하드웨어 장치를 포함할 수 있다. 프로그램 명령은 컴파일러(compiler)에 의해 만들어지는 것과 같은 기계어 코드뿐만 아니라 인터프리터(interpreter) 등을 사용해서 컴퓨터에 의해 실행될 수 있는 고급 언어 코드를 포함할 수 있다.In addition, the computer-readable recording medium may include a hardware device specifically configured to store and execute program instructions, such as a ROM, a RAM, a flash memory, and the like. Program instructions may include high-level language code that can be executed by a computer using an interpreter, as well as machine code such as produced by a compiler.
본 발명의 일부 측면들은 장치의 문맥에서 설명되었으나, 그것은 상응하는 방법에 따른 설명 또한 나타낼 수 있고, 여기서 블록 또는 장치는 방법 단계 또는 방법 단계의 특징에 상응한다. 유사하게, 방법의 문맥에서 설명된 측면들은 또한 상응하는 블록 또는 아이템 또는 상응하는 장치의 특징으로 나타낼 수 있다. 방법 단계들의 몇몇 또는 전부는 예를 들어, 마이크로프로세서, 프로그램 가능한 컴퓨터 또는 전자 회로와 같은 하드웨어 장치에 의해(또는 이용하여) 수행될 수 있다. 몇몇의 실시예에서, 가장 중요한 방법 단계들의 하나 이상은 이와 같은 장치에 의해 수행될 수 있다.While some aspects of the invention have been described in the context of a device, it may also represent a description according to a corresponding method, wherein the block or device corresponds to a method step or a feature of the method step. Similarly, aspects described in the context of a method may also be indicated by the features of the corresponding block or item or corresponding device. Some or all of the method steps may be performed by (or using) a hardware device such as, for example, a microprocessor, a programmable computer, or an electronic circuit. In some embodiments, one or more of the most important method steps may be performed by such an apparatus.
이상 본 발명의 바람직한 실시예를 참조하여 설명하였지만, 해당 기술 분야의 숙련된 당업자는 하기의 특허 청구의 범위에 기재된 본 발명의 사상 및 영역으로부터 벗어나지 않는 범위 내에서 본 발명을 다양하게 수정 및 변경시킬 수 있음을 이해할 수 있을 것이다.Although it has been described above with reference to the preferred embodiment of the present invention, those skilled in the art will be able to variously modify and change the present invention without departing from the spirit and scope of the invention described in the claims below. It will be appreciated.
100: IXA 노드 200: XCU
300: 단말
250: 프로세서
260: 메모리 270: 통신 모듈100: IXA node 200: XCU
300: terminal
250: processor
260: memory 270: communication module
| Application Number | Priority Date | Filing Date | Title |
|---|---|---|---|
| KR1020180046364AKR20190122496A (en) | 2018-04-20 | 2018-04-20 | Radio resource controlling method, wireless communicaiton device and network control apparatus using the method |
| Application Number | Priority Date | Filing Date | Title |
|---|---|---|---|
| KR1020180046364AKR20190122496A (en) | 2018-04-20 | 2018-04-20 | Radio resource controlling method, wireless communicaiton device and network control apparatus using the method |
| Publication Number | Publication Date |
|---|---|
| KR20190122496Atrue KR20190122496A (en) | 2019-10-30 |
| Application Number | Title | Priority Date | Filing Date |
|---|---|---|---|
| KR1020180046364AWithdrawnKR20190122496A (en) | 2018-04-20 | 2018-04-20 | Radio resource controlling method, wireless communicaiton device and network control apparatus using the method |
| Country | Link |
|---|---|
| KR (1) | KR20190122496A (en) |
| Publication | Publication Date | Title |
|---|---|---|
| Wang et al. | Backhauling 5G small cells: A radio resource management perspective | |
| US9350515B2 (en) | Enhanced relay node with additional backhaul alternative and selection | |
| US9220048B2 (en) | Moving cellular communication system operative in an emergency mode | |
| US10560955B2 (en) | Apparatus and methods for moving relay interference mitigation in mobile e.g. cellular communication networks | |
| US9094868B2 (en) | User equipment link quality estimation based on positioning | |
| EP2907357B1 (en) | Backhaul assisted by user equipment | |
| JP5496428B2 (en) | Interference suppression method in mixed macro cell and femto cell networks | |
| KR100950357B1 (en) | System and method for allocating channels in a wireless network | |
| US9332455B2 (en) | Scheduling a user equipment transmission mode to assist uplink interference characterization | |
| Li et al. | On the optimal mobile association in heterogeneous wireless relay networks | |
| CN110536477A (en) | Connection method, device, the network equipment and storage medium | |
| CN101945398B (en) | Wireless network planning method and device | |
| JP2008228292A (en) | Traffic engineering in wireless mesh networks | |
| JP5801922B2 (en) | Method for constructing virtual user plane cell, computer system, apparatus for radio communication system, control plane base station, and radio communication system | |
| CN102783209A (en) | Method, device and node for determining quality of service of individual segments of a link | |
| Tall et al. | Self-optimizing load balancing with backhaul-constrained radio access networks | |
| BenMimoune et al. | Dynamic joint resource allocation and relay selection for 5G multi-hop relay systems | |
| KR101047039B1 (en) | Power Control and User Allocation Method in Wireless Mesh Network | |
| KR102191368B1 (en) | System for radio access network virtualization based on wireless fronthaul in CCC network and control method | |
| CN101331713B (en) | Incoming node network access control method and wireless node with call access control | |
| US8830952B2 (en) | System and method for balancing network load in a non-transparent multi-hop relay network | |
| KR20190122496A (en) | Radio resource controlling method, wireless communicaiton device and network control apparatus using the method | |
| Attar et al. | Applications of fiber-connected distributed antenna systems in broadband wireless access | |
| CN117255334A (en) | Multistage cooperative scheduling method and system for emergency satellite communication | |
| Ranjan et al. | Two stage downlink scheduling for balancing QoS in multihop IAB networks |
| Date | Code | Title | Description |
|---|---|---|---|
| PA0109 | Patent application | Patent event code:PA01091R01D Comment text:Patent Application Patent event date:20180420 | |
| PG1501 | Laying open of application | ||
| PC1203 | Withdrawal of no request for examination |