

















본 발명은 원자층 증착 시스템에 관한 것으로, 보다 상세하게는 <공정시간 소요(공정시간 지체)의 주요 원인으로 작용하는 공정가스(소스가스 A, 소스가스 B, 퍼지가스 P)의 공급속도를 좀더 빠르게 조절하는 조치>, <공정가스(소스가스 A, 소스가스 B, 퍼지가스 P)의 공급속도 증가에 의해 해당 공정가스가 불필요하게 섞이는(혼합되는) 것을 방지하기 위하여, 공정가스의 펌핑속도를 공정가스의 공급속도보다 빠르게 조절하는 조치> 등을 유연하게 취하고, 이를 통해, 제품 생산주체 측에서, 공정가스의 혼합(예를 들어, 소스가스 A 및 소스가스 B의 혼합)에 의해, 예측하지 못한 화학기상증착 공정이 진행되는 것을 피하면서도(즉, 원자층 증착공정을 정상적으로 진행시키면서도), 공정가스의 공급속도 증가에 맞추어, 원자층 증착공정 단위사이클의 시간 소요 문제를 원활하게 해결할 수 있도록 유도함으로써, 결국, 별다른 어려움 없이, 공정시간 지연에 따른 제품 생산량 저하 피해, 제품 양산 수율 저하 피해 등을 효과적으로 회피할 수 있도록 가이드 할 수 있는 원자층 증착 시스템에 관한 것이다.The present invention relates to an atomic layer deposition system, and more particularly, the supply rate of the process gas (source gas A, source gas B, purge gas P) that acts as a major cause of the process time required (process time delay) In order to prevent unnecessary mixing (mixing) of the process gas by increasing the supply speed of the process gas (source gas A, source gas B, purge gas P), It is possible to flexibly take measures to adjust faster than the supply speed of the process gas, etc., so that on the product producer side, the process gas mixture (for example, the mixture of the source gas A and the source gas B) is not predicted. While avoiding undesired chemical vapor deposition processes (i.e., proceeding with the atomic layer deposition process normally), the unit cycle time of the atomic layer deposition process can be adjusted according to the increase in the process gas supply rate. By induction to smoothly solve the problem, in the end, without difficulty, to a product production decreased damage, atomic layer deposition system to guide to effectively avoid the mass production yield decreases damage such as in accordance with the processing time delay.
최근, 반도체 관련 기술이 급격한 발전을 이루면서, 다양한 유형의 원자층 증착 시스템들이 폭 넓게 개발/보급되고 있다.Recently, with the rapid development of semiconductor technology, various types of atomic layer deposition systems have been widely developed / distributed.
예를 들어, 대한민국공개특허 제10-2006-13282호(명칭: 공정 가스 배기 방법 및 이를 이용한 원자층 적층 방법 및 원자층 적층 장치)(2006.2.9.자 공개), 대한민국공개특허 제10-2017-21210호(명칭: 대체적 ALD 반응기들 내에서 에지 균일도 조정을 위한 조성 매칭된 커튼 가스 혼합물들)(2017.2.27.자 공개), 대한민국등록특허 제10-795487호(명칭: 층류유동제어장치 및 이를 구비한 화학기상증착반응기)(2008.1.16.자 공고), 대한민국등록특허 제10-1536257호(명칭: 수평 흐름 증착 장치 및 이를 이용한 증착 방법)(2015.7.13.자 공고), 미국등록특허 제5711811호(명칭: 박막 성장용 장치 및 방법)(1998.1.27.자 등록) 등에는 이러한 종래의 기술에 따른 원자층 증착 시스템들의 일례가 좀더 상세하게 개시되어 있다.For example, Korean Patent Publication No. 10-2006-13282 (name: process gas exhaust method and atomic layer stacking method and atomic layer stacking apparatus using the same) (published on Feb. 2006), Korea Patent Publication No. 10-2017 -21210 (Name: Composition Matched Curtain Gas Mixtures for Edge Uniformity Adjustment in Alternative ALD Reactors) (published Feb. 7, 2017), Korean Patent No. 10-795487 (Name: Laminar Flow Control System and Chemical Vapor Deposition Reactor with the same) (published Jan. 6, 2008), Korean Patent No. 10-1536257 (name: horizontal flow deposition apparatus and deposition method using the same) (published July 7, 2015), US registered patent 5711811 (name: Apparatus and Method for Thin Film Growth) (registered on Feb. 7, 1998) discloses in more detail one example of such conventional atomic layer deposition systems.
한편, 이러한 종래의 체제 하에서, 도 1에 도시된 바와 같이, 원자층 증착 시스템(1)은 원자층 증착 대상 기판(W), 가스 공급 포트(7), 가스 펌핑 포트(3) 등을 구비하는 공정챔버(C), 공정가스, 예를 들어, 소스가스 A(G1), 소스가스 B(G2), 퍼지가스(G3) 등을 보관하는 가스 보관용기(5), 가스공급 개폐밸브(6)를 구비한 상태에서, 상기 가스 보관용기(5)와 가스 공급 포트(7)를 연결하면서, 가스공급 개폐밸브(6)의 개폐상태에 따라, 가스 보관용기(5)에 보관되어 있던 소스가스 A(G1), 소스가스 B(G2), 퍼지가스(G3) 등을 공정챔버(C) 측으로 공급하는 가스 공급 가이드 라인(9), 상기 가스 펌핑 포트(3)와 연결된 상태에서, 상기 가스 공급 가이드 라인(9)을 통해 공급된 상기 공정챔버(C) 내부의 공정가스, 즉, 소스가스 A(G1), 소스가스 B(G2), 퍼지가스(G3) 등을 외부로 펌핑하는 진공펌프(4), 가스공급 개폐밸브(6) 및 진공펌프(4)와 전기적으로 유선 또는 무선 연결되면서, 상기 가스공급 개폐밸브(6), 진공펌프(4) 등을 제어하는 공정 컨트롤러(8) 등이 체계적으로 조합된 구성을 취하게 된다.On the other hand, under such a conventional system, as shown in FIG. 1, the atomic
이 상황 하에서, 공정 컨트롤러(8) 측에서는 가스공급 개폐밸브(6)의 개폐상태, 진공펌프(4)의 펌핑상태 등을 제어하면서, 예를 들어, <소스가스 A(G1)를 공정챔버(C)의 내부로 공급하여, 해당 소스가스 A(G1)를 기판(W)의 표면에 흡착시키는 스텝>, <퍼지가스 P(G3)를 공정챔버(C)의 내부로 공급하여, 소스가스 A(G1)의 불필요한 반응 잔여물, 불필요한 물리적 결합물질 등을 제거하는 스텝>, <소스가스 B(G2)를 공정챔버(C)의 내부로 공급하여, 해당 소스가스 B(G2)를 기판(W)의 표면에 흡착시키는 스텝>, <퍼지가스 P(G3)를 공정챔버(C)의 내부로 공급하여, 소스가스 B(G2)의 불필요한 반응 잔여물, 불필요한 물리적 결합물질 등을 제거하는 스텝> 등으로 이루어진 원자층 증착공정 단위사이클을 복수 회(예컨대, 10 단위사이클~1000 단위사이클) 반복 진행시킴으로써, 원자층 증착대상 기판(W) 상에 원하는 두께의 원자층 증착막을 형성시키게 된다.Under this situation, the
이러한 종래의 체제 하에서, 상술한 바와 같이, 공정 컨트롤러(8) 측에서는 일정 시간(예컨대, 10초~20초)이 불가피하게 소요되는 원자층 증착공정 단위사이클(소스가스 A 공급→퍼지가스 P 공급→소스가스 B 공급→퍼지가스 P 공급)을 복수 회(예컨대, 10 단위사이클~1000 단위사이클) 반복 진행시켜, 기판(W) 상에 원자층 증착막을 형성시키게 되는 바, 이 경우, 제품 생산주체 측에서는 별다른 조치가 취해지지 않는 한, 전체적인 공정시간이 길어지고, 그 여파로, 전체적인 제품 생산량이 대폭 저하되는 피해, 전체적인 제품 양산 수율이 대폭 저하되는 피해 등을 고스란히 감수할 수밖에 없게 된다.Under such a conventional system, as described above, in the
물론, 이러한 제품 생산량 저하 피해, 제품 양산 수율 저하 피해 등은 기판(W)의 사이즈가 대면적화 될수록 더욱 심각해질 수밖에 없게 된다.Of course, the damage of the product yield decrease, the yield loss of the product mass production, etc. will become more serious as the size of the substrate (W) becomes larger.
이러한 문제점을 해결하기 위한 일 방안으로, 공정시간 소요(공정시간 지체)의 주요 원인으로 작용하는 <공정가스(소스가스 A, 소스가스 B, 퍼지가스 P)의 공급속도>를 좀더 빠르게 조절하는 방안이 모색될 수 있다.One way to solve this problem is to adjust the speed of supply of process gas (source gas A, source gas B, purge gas P) faster, which is the main cause of process time lag (process time delay). This can be sought.
그러나, 도 2에 도시된 바와 같이, 별다른 조치 없이, 공정가스, 즉, 소스가스 A(G1), 소스가스 B(G2) 등의 공급속도(V2)를 빠르게 조절할 경우, 진공펌프(4)에 의한 공정가스 펌핑속도(V1)가 소스가스 A(G1), 소스가스 B(G2), 퍼지가스 P 등의 공급속도(V2)를 감당할 수 없게 됨으로써, 결국, 소스가스 A(G1), 소스가스 B(G2) 측에서는 공정챔버(C) 내에 정체되어, 서로 섞이는(서로 혼합되는) 심각한 문제점을 일으키게 된다.However, as illustrated in FIG. 2, when the supply gas V2 of the process gas, that is, the source gas A (G1), the source gas B (G2), or the like is rapidly adjusted without any action, the
물론, 소스가스 A(G1), 소스가스 B(G2) 등이 공정챔버(C) 내에 정체되어, 서로 섞이게 되는 경우, 기판(W) 측에서는 원자층 증착공정(ALD 공정)이 아니라, 화학적기상증착 공정(CVD 공정)을 엉뚱하게 겪을 수밖에 없게 되며, 결국, 제품 생산주체 측에서는 기판(W) 상에 자신이 원하는 원자층을 전혀 형성시킬 수 없게 된다.Of course, when the source gas A (G1), the source gas B (G2), etc. are stagnated in the process chamber (C) and mixed with each other, the chemical vapor deposition, not the atomic layer deposition process (ALD process) on the substrate (W) side, Inevitably undergoing the process (CVD process), the product producer can not form the desired atomic layer on the substrate (W) at all.
한편, 상술한 배경 하에서, 대한민국공개특허 제10-2016-105497호(명칭: 공간적인 원자 층 증착 또는 펄스형 화학 기상 증착을 사용하는 필름 증착)(2016.9.6.자 공개)에서는 <각각의 소스가스 공급 노즐을 개별적으로 설치하고, 이를 병렬로 나열한 후, 연속적으로 소스가스 및 퍼지가스를 공급하면서, 병렬 노즐 하부에 기판을 위치시킨 후, 병렬 노즐을 이동시키거나, 기판을 이동시켜, 각 공정스탭이 순차적으로 진행되도록 하는 기술>을 제안하였다.On the other hand, under the above-mentioned background, Korean Patent Publication No. 10-2016-105497 (name: film deposition using spatial atomic layer deposition or pulsed chemical vapor deposition) (published on June 9, 2016) <each source The gas supply nozzles are individually installed, arranged in parallel, and the substrate is placed under the parallel nozzle while supplying source gas and purge gas continuously, and then the parallel nozzles are moved or the substrate is moved to process each process. Technology> to allow the staff to proceed sequentially.
그러나, 상기 대한민국공개특허 제10-2016-105497호에서 제안한 기술은 예를 들어, <공정챔버 내부에서, 노즐 또는 기판을 공정사이클 수만큼 왕복이동 및 회전시켜야 하기 때문에, 이로 인한 파티클 발생을 불가피하게 허용할 수밖에 없게 되며, 결국, 최종 생성되는 박막의 품질/특성이 심각하게 저하되는 문제점>, <노즐/기판을 회전/이동시켜야 하기 때문에, 전체적인 공정속도가 기구물들의 기계적/물리적 조건에 맞추어 제한될 수밖에 없게되는 문제점>, <노즐 또는 기판을 회전시켜야 하기 때문에, 디스플레이용 사각 기판에는 적용시킬 수 없게 되는 문제점>, <노즐을 이동시키기 위한 복잡한 시스템이 추가되어야 하는 문제점>, <양쪽 끝 부분에서 한가지 소스가스만 공급되기 때문에, 기판 전체에 걸친 균일한 박막형성이 어려워지게 되는 문제점> 등과 같은 심각한 문제점을 두루 가지고 있기 때문에, 이러한 대한민국공개특허 제10-2016-105497호를 별다른 조치 없이, 현실 공정에 곧 바로 적용하기에는 많은 무리가 따를 수밖에 없게 된다.However, the technique proposed in Korean Patent Laid-Open Publication No. 10-2016-105497, for example, since the nozzle or the substrate must be reciprocated and rotated by the number of process cycles in the process chamber, particle generation due to this inevitably occurs. The problem is that the quality / characteristics of the resulting thin film are seriously degraded, and that the nozzle / substrate must be rotated / moved, so that the overall process speed may be limited to the mechanical / physical conditions of the instruments. Problems that can only be made>, <Problems that can not be applied to the square panel for display because the nozzle or the substrate must be rotated>, <Problem to add a complicated system for moving the nozzle>, <One at both ends Since only the source gas is supplied, it becomes difficult to form a uniform thin film over the entire substrate> Due to the same serious problems, a lot of people are forced to immediately apply the Republic of Korea Patent Publication No. 10-2016-105497 to the actual process without any action.
요컨대, 종래의 체제 하에서, 원자층 증착공정 단위사이클의 시간 소요 문제가 순조롭게 해결되지 아니하는 한, 제품 생산주체 측에서는 그에 기인한 각종 피해(예컨대, 제품 생산량 저하 피해, 제품 양산 수율 저하 피해 등)를 고스란히 감수할 수밖에 없게 되는 것이다.In short, under the conventional system, unless the time-consuming problem of the unit cycle of the atomic layer deposition process is solved smoothly, the product producer may incur various damages (e.g., lower product yield, lower yield of product, etc.). You will have no choice but to accept it.
따라서, 본 발명의 목적은 <공정시간 소요(공정시간 지체)의 주요 원인으로 작용하는 공정가스(소스가스 A, 소스가스 B, 퍼지가스 P)의 공급속도를 좀더 빠르게 조절하는 조치>, <공정가스(소스가스 A, 소스가스 B, 퍼지가스 P)의 공급속도 증가에 의해 해당 공정가스가 불필요하게 섞이는(혼합되는) 것을 방지하기 위하여, 공정가스의 펌핑속도를 공정가스의 공급속도보다 빠르게 조절하는 조치> 등을 유연하게 취하고, 이를 통해, 제품 생산주체 측에서, 공정가스의 혼합(예를 들어, 소스가스 A 및 소스가스 B의 혼합)에 의해, 예측하지 못한 화학기상증착 공정이 진행되는 것을 피하면서도(즉, 원자층 증착공정을 정상적으로 진행시키면서도), 공정가스의 공급속도 증가에 맞추어, 원자층 증착공정 단위사이클의 시간 소요 문제를 원활하게 해결할 수 있도록 유도함으로써, 결국, 별다른 어려움 없이, 공정시간 지연에 따른 제품 생산량 저하 피해, 제품 양산 수율 저하 피해 등을 효과적으로 회피할 수 있도록 가이드 하는데 있다.Therefore, the object of the present invention is <action to adjust the supply speed of the process gas (source gas A, source gas B, purge gas P) acting as a major cause of the process time required (process time delay)>, <process In order to prevent the process gas from being unnecessarily mixed (mixed) by increasing the supply speed of the gas (source gas A, source gas B, purge gas P), the pumping speed of the process gas is adjusted faster than that of the process gas. And the like, whereby an unexpected chemical vapor deposition process is performed by mixing process gas (eg, mixing of source gas A and source gas B) on the product producer side. While avoiding (i.e., proceeding with the atomic layer deposition process normally), it is possible to smoothly solve the time-consuming problem of the atomic layer deposition process unit cycle in accordance with the increase in the process gas supply speed. Also allows to guide, to the end, effectively avoid without difficulty, the product yield decreases damage according to the process time delay, such as by mass production yield decreases damage.
본 발명의 다른 목적들은 다음의 상세한 설명과 첨부된 도면으로부터 보다 명확해질 것이다.Other objects of the present invention will become more apparent from the following detailed description and the accompanying drawings.
상기와 같은 목적을 달성하기 위하여 본 발명에서는 원자층 증착 대상 기판 및 가스 공급 포트, 그리고, 가스 펌핑 포트를 구비하는 공정챔버와; 공정가스를 보관하는 가스 보관용기와; 가스공급 개폐밸브를 구비한 상태에서, 상기 가스 보관용기와 상기 가스 공급 포트를 연결하는 가스 공급 가이드 라인과; 상기 가스 펌핑 포트와 연결된 상태에서, 상기 가스 공급 가이드 라인을 통해 공급된 상기 공정챔버 내부의 공정가스를 외부로 펌핑하는 진공펌프와; 상기 가스공급 개폐밸브 및 진공펌프와 전기적으로 연결되면서, 상기 가스공급 개폐밸브 및 진공펌프를 제어하여, 상기 공정가스의 공급속도 및 펌핑속도를 제어하는 공정 컨트롤러를 포함하며, 상기 공정 컨트롤러 측에서는 상기 공정가스의 펌핑속도가 상기 공정가스의 공급속도보다 빨라지도록 상기 가스공급 개폐밸브 및 진공펌프를 제어하는 것을 특징으로 하는 원자층 증착 시스템을 개시한다.In order to achieve the above object, the present invention includes a process chamber having an atomic layer deposition target substrate, a gas supply port, and a gas pumping port; A gas storage container for storing a process gas; A gas supply guide line connecting the gas storage container and the gas supply port with a gas supply opening / closing valve; A vacuum pump that pumps the process gas inside the process chamber supplied through the gas supply guide line to the outside while being connected to the gas pumping port; And a process controller electrically connected to the gas supply on / off valve and the vacuum pump to control the gas supply on / off valve and the vacuum pump to control the supply speed and the pumping speed of the process gas. Disclosed is an atomic layer deposition system characterized by controlling the gas supply opening / closing valve and the vacuum pump so that the pumping speed of the gas is faster than the supplying speed of the process gas.
또한, 본 발명의 다른 측면에서는 원자층 증착 대상 기판 및 가스 공급 포트, 그리고, 가스 펌핑 포트를 각기 구비하는 독립된 공정챔버가 복층으로 적층된 공정챔버 플랫폼과; 공정가스를 보관하는 가스 보관용기와; 가스공급 개폐밸브를 구비한 상태에서, 상기 가스 보관용기와 각 공정챔버 측 가스 공급 포트를 연결하는 가스 공급 가이드 라인과; 각 공정챔버 측 가스 펌핑 포트와 연결된 상태에서, 상기 가스 공급 가이드 라인을 통해 공급된 각 공정챔버 내부의 공정가스를 외부로 펌핑하는 진공펌프와; 상기 가스공급 개폐밸브 및 진공펌프와 전기적으로 연결되면서, 상기 가스공급 개폐밸브 및 진공펌프를 제어하여, 상기 공정가스의 공급속도 및 펌핑속도를 제어하는 공정 컨트롤러를 포함하며, 상기 공정 컨트롤러 측에서는 상기 공정가스의 펌핑속도가 상기 공정가스의 공급속도보다 빨라지도록 상기 가스공급 개폐밸브 및 진공펌프를 제어하는 것을 특징으로 하는 원자층 증착 시스템을 개시한다.In another aspect of the present invention, there is provided a process chamber platform comprising: an independent process chamber each having an atomic layer deposition target substrate, a gas supply port, and a gas pumping port; A gas storage container for storing a process gas; A gas supply guide line which connects the gas storage container and each process chamber side gas supply port with a gas supply on / off valve; A vacuum pump for pumping the process gas inside each process chamber supplied through the gas supply guide line to the outside while being connected to each process chamber side gas pumping port; And a process controller electrically connected to the gas supply on / off valve and the vacuum pump to control the gas supply on / off valve and the vacuum pump to control the supply speed and the pumping speed of the process gas. Disclosed is an atomic layer deposition system characterized by controlling the gas supply opening / closing valve and the vacuum pump so that the pumping speed of the gas is faster than the supplying speed of the process gas.
나아가, 본 발명의 또 다른 측면에서는 단일 챔버공간 내에 다수의 원자층 증착 대상 기판을 복층으로 적층시킨 상태로, 각 원자층 증착대상 기판에 상응하는 각각의 가스 공급 포트 및 가스 펌핑 포트를 구비하는 공정챔버와; 공정가스를 보관하는 가스 보관용기와; 가스공급 개폐밸브를 구비한 상태에서, 상기 가스 보관용기와 각 가스 공급 포트를 연결하는 가스 공급 가이드 라인과; 각 가스 펌핑 포트와 연결된 상태에서, 상기 가스 공급 가이드 라인을 통해 공급된 상기 공정챔버 내부의 공정가스를 외부로 펌핑하는 진공펌프와; 상기 가스공급 개폐밸브 및 진공펌프와 전기적으로 연결되면서, 상기 가스공급 개폐밸브 및 진공펌프를 제어하여, 상기 공정가스의 공급속도 및 펌핑속도를 제어하는 공정 컨트롤러를 포함하며, 상기 공정 컨트롤러 측에서는 상기 공정가스의 펌핑속도가 상기 공정가스의 공급속도보다 빨라지도록 상기 가스공급 개폐밸브 및 진공펌프를 제어하는 것을 특징으로 하는 원자층 증착 시스템을 개시한다.Furthermore, in another aspect of the present invention, a process of providing a gas supply port and a gas pumping port corresponding to each atomic layer deposition target substrate in a state in which a plurality of atomic layer deposition target substrates are stacked in multiple layers in a single chamber space. A chamber; A gas storage container for storing a process gas; A gas supply guide line connecting the gas storage container and each gas supply port with a gas supply on / off valve; A vacuum pump for pumping the process gas inside the process chamber supplied through the gas supply guide line to the outside in a state connected to each gas pumping port; And a process controller electrically connected to the gas supply on / off valve and the vacuum pump to control the gas supply on / off valve and the vacuum pump to control the supply speed and the pumping speed of the process gas. Disclosed is an atomic layer deposition system characterized by controlling the gas supply opening / closing valve and the vacuum pump so that the pumping speed of the gas is faster than the supplying speed of the process gas.
본 발명에서는 <공정시간 소요(공정시간 지체)의 주요 원인으로 작용하는 공정가스(소스가스 A, 소스가스 B, 퍼지가스 P)의 공급속도를 좀더 빠르게 조절하는 조치>, <공정가스(소스가스 A, 소스가스 B, 퍼지가스 P)의 공급속도 증가에 의해 해당 공정가스가 불필요하게 섞이는(혼합되는) 것을 방지하기 위하여, 공정가스의 펌핑속도를 공정가스의 공급속도보다 빠르게 조절하는 조치> 등을 유연하게 취하기 때문에, 본 발명의 구현환경 하에서, 제품 생산주체 측에서는, 공정가스의 혼합(예를 들어, 소스가스 A 및 소스가스 B의 혼합)에 의해, 예측하지 못한 화학기상증착 공정이 진행되는 것을 피하면서도(즉, 원자층 증착공정을 정상적으로 진행시키면서도), 공정가스의 공급속도 증가에 맞추어, 원자층 증착공정 단위사이클의 시간 소요 문제를 원활하게 해결할 수 있게 되며, 결국, 별다른 어려움 없이, 공정시간 지연에 따른 제품 생산량 저하 피해, 제품 양산 수율 저하 피해 등을 효과적으로 회피할 수 있게 된다.In the present invention, <measures to more quickly adjust the feed rate of the process gas (source gas A, source gas B, purge gas P) acting as the main cause of the process time required (process time delay)>, <process gas (source gas In order to prevent unnecessary mixing (mixing) of the process gas due to an increase in the supply speed of A, source gas B, and purge gas P), the pumping speed of the process gas is adjusted faster than the process gas supply speed>, etc. In the implementation environment of the present invention, the unexpectedly chemical vapor deposition process is performed by mixing process gas (for example, mixing of source gas A and source gas B) on the product producer side. While avoiding (i.e., proceeding with the atomic layer deposition process normally), it is possible to smooth the time-consuming problem of the unit cycle of the atomic layer deposition process in accordance with the increase in the supply speed of the process gas. Able to be, it is possible to end, effectively avoid without difficulty, the product yield decreases damage of the process delay time, mass production yield decreases damage and the like.
도 1은 종래의 기술에 따른 원자층 증착 시스템을 개념적으로 도시한 예시도.
도 2는 종래의 기술에 따른 공정가스의 공급흐름 패턴을 개념적으로 도시한 예시도.
도 3은 본 발명의 일 실시에 따른 원자층 층착 시스템을 개념적으로 도시한 예시도.
도 4는 본 발명의 일 실시에 따른 공정가스의 공급/펌핑 흐름패턴을 개념적으로 도시한 예시도.
도 5는 본 발명의 다른 실시에 따른 원자층 증착 시스템을 개념적으로 도시한 예시도.
도 6은 본 발명의 다른 실시에 따른 공정가스의 공급/펌핑 흐름패턴을 개념적으로 도시한 예시도.
도 7은 본 발명의 또 다른 실시에 따른 원자층 증착 시스템을 개념적으로 도시한 예시도.
도 8은 본 발명의 또 다른 실시에 따른 공정가스의 공급/펌핑 흐름패턴을 개념적으로 도시한 예시도.
도 9 내지 도 14는 본 발명의 각 실시에 따른 가스 공급 포트 및 가스 펌핑 포트의 배치 패턴을 개념적으로 도시한 예시도.
도 도 15 내지 도 18은 본 발명의 각 실시에 따른 공정챔버의 내부 폭 변화패턴을 개념적으로 도시한 예시도.1 conceptually illustrates an atomic layer deposition system according to the prior art;
Figure 2 is an exemplary diagram conceptually showing a supply flow pattern of the process gas according to the prior art.
3 conceptually illustrates an atomic layer deposition system in accordance with one embodiment of the present invention.
4 is an exemplary view conceptually illustrating a supply / pumping flow pattern of a process gas according to an exemplary embodiment of the present invention.
5 conceptually illustrates an atomic layer deposition system in accordance with another embodiment of the present invention.
6 is an exemplary view conceptually showing a supply / pumping flow pattern of a process gas according to another embodiment of the present invention.
7 is an exemplary diagram conceptually illustrating an atomic layer deposition system according to another embodiment of the present invention.
8 is an exemplary view conceptually showing a supply / pumping flow pattern of a process gas according to another embodiment of the present invention.
9 to 14 are conceptual views conceptually showing an arrangement pattern of a gas supply port and a gas pumping port according to each embodiment of the present invention.
15 to 18 are conceptual views conceptually showing the internal width change pattern of the process chamber according to each embodiment of the present invention.
이하, 첨부된 도면을 참조하여, 본 발명에 따른 원자층 증착 시스템을 좀더 상세히 설명하면 다음과 같다.Hereinafter, with reference to the accompanying drawings, the atomic layer deposition system according to the present invention will be described in more detail.
도 3에 도시된 바와 같이, 본 발명의 일 실시에 따른 원자층 증착 시스템(100)은 원자층 증착 대상 기판(W), 가스 공급 포트(107), 가스 펌핑 포트(103) 등을 구비하는 공정챔버(C), 공정가스, 예를 들어, 소스가스 A(G1), 소스가스 B(G2), 퍼지가스(G3) 등을 보관하는 가스 보관용기(105), 가스공급 개폐밸브(106)를 구비한 상태에서, 상기 가스 보관용기(105)와 가스 공급 포트(107)를 연결하면서, 가스공급 개폐밸브(106)의 개폐상태에 따라, 가스 보관용기(105)에 보관되어 있던 소스가스 A(G1), 소스가스 B(G2), 퍼지가스(G3) 등을 공정챔버(C) 측으로 공급하는 가스 공급 가이드 라인(109), 상기 가스 펌핑 포트(103)와 연결된 상태에서, 상기 가스 공급 가이드 라인(109)을 통해 공급된 상기 공정챔버(C) 내부의 공정가스, 즉, 소스가스 A(G1), 소스가스 B(G2), 퍼지가스(G3) 등을 외부로 펌핑하는 진공펌프(104), 가스공급 개폐밸브(106) 및 진공펌프(104)와 전기적으로 유선 또는 무선 연결되면서, 상기 가스공급 개폐밸브(106), 진공펌프(104) 등을 제어하는 공정 컨트롤러(108) 등이 체계적으로 조합된 구성을 취하게 된다.As shown in FIG. 3, an atomic
이 상황 하에서도, 공정 컨트롤러(108) 측에서는 가스공급 개폐밸브(106)의 개폐상태, 진공펌프(104)의 펌핑상태 등을 제어하면서, 예를 들어, <소스가스 A(G1)를 공정챔버(C)의 내부로 공급하여, 해당 소스가스 A(G1)를 기판(W)의 표면에 흡착시키는 스텝>, <퍼지가스 P(G3)를 공정챔버(C)의 내부로 공급하여, 소스가스 A(G1)의 불필요한 반응 잔여물, 불필요한 물리적 결합물질 등을 제거하는 스텝>, <소스가스 B(G2)를 공정챔버(C)의 내부로 공급하여, 해당 소스가스 B(G2)를 기판(W)의 표면에 흡착시키는 스텝>, <퍼지가스 P(G3)를 공정챔버(C)의 내부로 공급하여, 소스가스 B(G2)의 불필요한 반응 잔여물, 불필요한 물리적 결합물질 등을 제거하는 스텝> 등으로 이루어진 원자층 증착공정 단위사이클을 복수 회(예컨대, 10 단위사이클~1000 단위사이클) 반복 진행시킴으로써, 원자층 증착대상 기판(W) 상에 원하는 두께의 원자층 증착막을 형성시키게 된다.Even in this situation, the
물론, 이러한 본 발명의 체제 하에서도, 원자층 증착공정 단위사이클(소스가스 A 공급→퍼지가스 P 공급→소스가스 B 공급→퍼지가스 P 공급)을 복수 회(예컨대, 10 단위사이클~1000 단위사이클) 반복 진행시켜, 기판(W) 상에 원자층 증착막을 형성시키기 때문에, 별다른 조치가 취해지지 않는 한, 제품 생산주체 측에서는 전체적인 공정시간이 길어지고, 그 여파로, 전체적인 제품 생산량이 대폭 저하되는 피해, 전체적인 제품 양산 수율이 대폭 저하되는 피해 등을 고스란히 감수할 수밖에 없게 된다.Of course, even under such a system of the present invention, an atomic layer deposition process unit cycle (source gas A supply → purge gas P supply → source gas B supply → purge gas P supply) is performed a plurality of times (for example, 10 unit cycles to 1000 unit cycles). ) Repeatedly proceeds to form an atomic layer deposition film on the substrate W, so unless the action is taken, the overall process time is long on the product producer side, the damage is greatly reduced overall product yield As a result, the company is forced to bear the damage that the overall product yield is drastically reduced.
이러한 민감한 상황 하에서, 본 발명에서는 도 4에 도시된 바와 같이, <공정시간 소요(공정시간 지체)의 주요 원인으로 작용하는 공정가스(소스가스 A, 소스가스 B, 퍼지가스 P)의 공급속도(V2)를 좀더 빠르게 조절하는 조치(예를 들어, 공정가스의 공급속도(V2)를 수십 msec 이하로 빠르게 조절하는 조치)>를 취함과 아울러, <공정가스(소스가스 A, 소스가스 B, 퍼지가스 P)의 공급속도(V2) 증가에 의해 해당 공정가스가 불필요하게 섞이는(혼합되는) 것을 방지하기 위하여, 공정가스의 펌핑속도(V1)를 공정가스의 공급속도(V2)보다 빠르게 조절하는 조치> 등을 독특하게 취하게 된다.Under such a sensitive situation, in the present invention, as shown in FIG. 4, the supply rate of process gas (source gas A, source gas B, purge gas P) serving as a main cause of process time required (process time delay) ( Take measures to adjust V2) more quickly (e.g., to quickly adjust the feed rate of process gas (V2) to several tens of msec or less), as well as <process gases (source gas A, source gas B, purge) Measures to adjust the pumping speed (V1) of the process gas faster than the feed rate (V2) of the process gas in order to prevent unnecessary mixing (mixing) of the process gas due to the increase in the supply rate (V2) of the gas P) > To be unique.
이러한 본 발명의 조치 하에서, 공정 컨트롤러(108) 측에서는 가스공급 개폐밸브(106)의 개폐상태를 제어하여, 공정가스(소스가스 A, 소스가스 B, 퍼지가스 P)의 공급속도(V2)를 수십 msec 이하로 빠르게 조절하는 절차를 진행함과 아울러, 진공펌프(104)의 펌핑상태를 제어하여, 공정가스의 펌핑속도(V1)를 공정가스의 공급속도(V2)보다 빠르게 조절하는 절차를 진행하게 된다.Under such measures of the present invention, the
이때, 공정 컨트롤러(108) 측에서는 공정가스의 펌핑속도(V1)가 상기 공정가스의 공급속도(V2)보다 10배~100000배 빨라지도록 상기 가스공급 개폐밸브(106) 및 진공펌프(104)를 제어하게 된다. 이 경우, 상기 10배~100000배의 속도차이 배율은 예를 들어, <공정가스 공급 시작지점의 압력>, <공정챔버(C) 내부의 초기 압력>, <공정가스의 공급량>, <공정가스의 종류>, <공정챔버(C) 내부의 공정가스가 진공펌프(104) 쪽으로 빠져나가기 직전 위치에서의 압력> 등에 따라 융통성 있게 선택될 수 있게 된다.At this time, the
또한, 상기 조치에 더하여, 본 발명에서는 공정챔버(C)의 내부로 공급되는 공정가스가 층류(laminar flow) 또는 크누센 플로우(knudsen flow)로 원자층 증착 대상 기판(W)의 표면을 통과할 수 있도록 공정챔버(C)의 내부 폭(H)을 1mm~10mm로 좁게 설정하는 조치를 강구하게 된다.In addition to the above measures, in the present invention, the process gas supplied into the process chamber C may pass through the surface of the atomic layer deposition target substrate W in a laminar flow or knudsen flow. In order to make the inner width (H) of the process chamber (C) as narrow as possible to 1mm ~ 10mm to take measures.
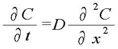
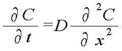
물론, 상술한 조치를 통해, 공정가스의 펌핑속도(V1)가 상기 공정가스의 공급속도(V2)보다 10배~100000배 빨라지도록 상기 가스공급 개폐밸브(106) 및 진공펌프(104)가 제어되면, 3차원 직교좌표계를 기준으로, 공정챔버(C)의 X축 및 Y축 공간(참고로, 공정챔버(C)의 Z축 공간은 공정챔버(C) 측 내부 폭(H)을 정의하는 내부 벽에 의해 막혀있음)은 진공펌프(104)의 펌핑 동작시간에 따라 대폭 확장될 수 있게 되며(참고로, 진공계 하에서, 진공펌프(104)의 펌핑속도(V1)가 증가하게 되면, 그에 비례하여 공정챔버(C) 측에서는 자가 공간이 확장된 것과 동일한 효과를 얻게 된다), 결국, 공정챔버(C)의 내부로 공급된 공정가스, 즉, 소스가스 A(G1), 소스가스 B(G2), 퍼지가스 P(G3) 측에서는, 픽(Fick)의 제2 확산법칙(즉, 시간에 따른 입자의 농도변화는 거리에 따른 입자의 농도변화의 2차 도함수로 나타난다는 법칙,)에 맞추어, 시간에 따른 농도의 변화를 전혀 겪지 않으면서(즉, 시간이 지나도, 서로 섞이거나 혼합되지 않으면서), 가스 펌핑 포트(103) 쪽을 향해 빠른 흐름을 보일 수 있게 된다(도 4 참조).Of course, through the above-described measures, the gas supply on-off
이 경우, 공정챔버(C)의 내부로 공급된 공정가스 측에서는, 소스가스 A(G1), 소스가스 B(G2) 등이 퍼지가스 P(G3)에 의해 완전히 분리되는 안정적인 모습을 취하면서(즉, 안정적인 비 혼합 상태를 이루면서), 일련의 횡 방향 층류(laminar flow)를 이루어, 가스 펌핑 포트(103) 쪽으로 신속하게 흐르게 된다(도 4 참조).In this case, on the side of the process gas supplied into the process chamber C, the source gas A (G1), the source gas B (G2), and the like are completely separated by the purge gas P (G3) (i.e., In a stable, non-mixing state, in a series of lateral laminar flows, which flow rapidly toward the gas pumping port 103 (see FIG. 4).
요컨대, 상술한 본 발명의 일 실시에서는 <공정시간 소요(공정시간 지체)의 주요 원인으로 작용하는 공정가스(소스가스 A, 소스가스 B, 퍼지가스 P)의 공급속도(V2)를 좀더 빠르게 조절하는 조치(예를 들어, 공정가스의 공급속도(V2)를 수십 msec 이하로 빠르게 조절하는 조치)>를 독특하게 취하기 때문에, 본 발명의 구현환경 하에서, 제품 생산주체 측에서는, 공정가스의 공급속도(V2) 증가에 맞추어, 원자층 증착공정 단위사이클의 시간 소요 문제를 원활하게 해결할 수 있게 되며, 결국, 별다른 어려움 없이, 공정시간 지연에 따른 제품 생산량 저하 피해, 제품 양산 수율 저하 피해 등을 효과적으로 회피할 수 있게 된다.In short, according to one embodiment of the present invention described above, the supply speed V2 of the process gas (source gas A, source gas B, purge gas P) serving as a main cause of the process time required (process time delay) is adjusted more quickly. (E.g., a step of quickly adjusting the feed rate V2 of the process gas to several tens of msec or less)>, under the implementation environment of the present invention, the supply rate of the process gas (V2) In line with the increase, it is possible to smoothly solve the time-consuming problem of the unit cycle of the atomic layer deposition process, and in the end, it is possible to effectively avoid the loss of product yield and the yield loss of the product due to the delay of the process without any difficulty. Will be.
또한, 본 발명의 일 실시에서는 <공정가스(소스가스 A, 소스가스 B, 퍼지가스 P)의 공급속도(V2) 증가에 의해 해당 공정가스가 불필요하게 섞이는(혼합되는) 것을 방지하기 위하여, 공정가스의 펌핑속도(V1)를 공정가스의 공급속도(V2)보다 빠르게 조절하는 조치>를 독특하게 취하기 때문에, 본 발명의 구현환경 하에서, 제품 생산주체 측에서는, 공정가스의 공급속도(V)가 대폭 증가하는 민감한 국면 하에서도, <공정가스의 혼합(예를 들어, 소스가스 A 및 소스가스 B의 혼합)에 의해, 예측하지 못한 화학기상증착 공정이 진행되는 문제점>을 손쉽게 회피할 수 있게 된다(즉, 본 발명의 일 실시 하에서, 제품 생산주체 측에서는 공정가스의 공급속도(V)가 대폭 증가하는 민감한 국면 하에서도, 원자층 증착공정을 정상적으로 진행시킬 수 있게 된다).In addition, in one embodiment of the present invention, in order to prevent the process gas from being unnecessarily mixed (mixed) by increasing the supply speed V2 of the process gas (source gas A, source gas B, purge gas P). Since the pumping speed V1 of the gas is controlled to be faster than the supply speed V2 of the process gas, the process speed of supply of the process gas is greatly increased on the product producer side under the implementation environment of the present invention. Even under a sensitive situation, it is possible to easily avoid the problem that the process gas mixture (for example, the mixing of the source gas A and the source gas B) causes an unexpected chemical vapor deposition process to proceed. In one embodiment of the present invention, the atomic layer deposition process can be normally performed even under a sensitive situation in which the supply gas V of the process gas is greatly increased on the product producer side.
물론, 이러한 본 발명의 일 실시에서는 노즐/기판의 회전/왕복이동 등을 전혀 시행하지 않기 때문에, 본 발명의 구현환경 하에서, 제품 생산주체 측에서는, 예를 들어, <파티클 발생에 따른 박막의 품질/특성 저하 문제점>, <노즐/기판의 회전/왕복이동에 따른 공정속도의 기계적/물리적 한계 문제점>, <디스플레이용 사각 기판에는 시스템을 적용하지 못하는 문제점>, <노즐/기판의 회전/이동을 위한 복잡한 시스템을 추가하여야 하는 문제점>, <균일한 박막형성이 어려워지는 문제점> 등까지도 손쉽게 회피할 수 있게 된다.Of course, since one embodiment of the present invention does not perform rotation / reciprocation of the nozzle / substrate at all, under the implementation environment of the present invention, on the product production side, for example, <quality of thin film due to particle generation / Problem of deterioration of properties>, <Problem of mechanical / physical limitation of process speed due to rotation / reciprocation of nozzle / substrate>, <Problem of not applying system to square board for display>, <Problem for rotating / moving nozzle / substrate Problems that require the addition of complex systems>, and <Difficult to form uniform thin films> can be easily avoided.
한편, 도 5에 도시된 바와 같이, 본 발명의 다른 실시에서는 공정챔버의 구조를 <원자층 증착 대상 기판(W) 및 가스 공급 포트(107), 그리고, 가스 펌핑 포트(103)를 각기 구비하는 독립된 공정챔버(C1,C2,‥‥)가 복층으로 적층된 공정챔버 플랫폼(P)>(즉, 상황에 따라, 각 공정챔버(C1,C2,‥‥)를 동일조건 또는 개별적인 조건으로 동작시킬 수 있는 구성)로 변경하는 변화된 조치를 강구하게 된다.On the other hand, as shown in Figure 5, in another embodiment of the present invention has a structure of the process chamber <atomic layer deposition target substrate (W) and the
물론, 이러한 본 발명의 다른 실시에서도, 제품 생산주체 측에서는 도 6에 도시된 바와 같이, <공정시간 소요(공정시간 지체)의 주요 원인으로 작용하는 공정가스(소스가스 A, 소스가스 B, 퍼지가스 P)의 공급속도(V2)를 좀더 빠르게 조절하는 조치(예를 들어, 공정가스의 공급속도(V2)를 수십 msec 이하로 빠르게 조절하는 조치)>를 취함과 아울러, <공정가스(소스가스 A, 소스가스 B, 퍼지가스 P)의 공급속도(V2) 증가에 의해 해당 공정가스가 불필요하게 섞이는(혼합되는) 것을 방지하기 위하여, 공정가스의 펌핑속도(V1)를 공정가스의 공급속도(V2)보다 빠르게 조절하는 조치> 등을 독특하게 취하게 된다.Of course, in another embodiment of the present invention, as shown in Figure 6, the product production subject, the process gas (source gas A, source gas B, purge gas that acts as a major cause of <process time required (process time delay)) In addition to taking measures to adjust the feed rate (V2) of P) faster (e.g., to adjust the feed rate (V2) of the process gas faster than several tens of msec or less)> and the process gas (source gas A). In order to prevent the process gas from being unnecessarily mixed (mixed) by increasing the supply speed V2 of the source gas B and the purge gas P, the pumping speed V1 of the process gas is supplied to the process gas V2. It is unique to take measures to control faster than).
이러한 본 발명의 조치 하에서도, 공정 컨트롤러(108) 측에서는 가스공급 개폐밸브(106)의 개폐상태를 제어하여, 공정가스(소스가스 A, 소스가스 B, 퍼지가스 P)의 공급속도(V2)를 수십 msec 이하로 빠르게 조절하는 절차를 진행함과 아울러, 진공펌프(104)의 펌핑상태를 제어하여, 공정가스의 펌핑속도(V1)를 공정가스의 공급속도(V2)보다 빠르게 조절하는 절차를 진행하게 된다.Even under such measures of the present invention, the
이때에도, 공정 컨트롤러(108) 측에서는 공정가스의 펌핑속도(V1)가 상기 공정가스의 공급속도(V2)보다 10배~100000배 빨라지도록 상기 가스공급 개폐밸브(106) 및 진공펌프(104)를 제어하게 된다. 이 경우에도, 상기 10배~100000배의 속도차이 배율은 예를 들어, <공정가스 공급 시작지점의 압력>, <공정챔버(C1,C2,‥‥) 내부의 초기 압력>, <공정가스의 공급량>, <공정가스의 종류>, <공정챔버(C1,C2,‥‥) 내부의 공정가스가 진공펌프(104) 쪽으로 빠져나가기 직전 위치에서의 압력> 등에 따라 융통성 있게 선택될 수 있게 된다.In this case, the gas supply opening /
또한, 상기 조치에 더하여, 본 발명에서는 공정챔버(C1,C2,‥‥)의 내부로 공급되는 공정가스가 층류(laminar flow) 또는 크누센 플로우(knudsen flow)로 원자층 증착 대상 기판(W)의 표면을 통과할 수 있도록 공정챔버(C1,C2,‥‥)의 내부 폭(H)을 1mm~10mm로 좁게 설정하는 조치를 강구하게 된다.Further, in addition to the above measures, in the present invention, the process gas supplied into the process chambers C1, C2, ... is atomic layer deposition target substrate W in a laminar flow or knudsen flow. In order to pass through the surface of the process chamber (C1, C2, ...), the internal width (H) of the process chamber (1) to 10mm narrower to take measures to take.
물론, 상술한 조치를 통해, 공정가스의 펌핑속도(V1)가 상기 공정가스의 공급속도(V2)보다 10배~100000배 빨라지도록 상기 가스공급 개폐밸브(106) 및 진공펌프(104)가 제어되면, 3차원 직교좌표계를 기준으로, 공정챔버(C1,C2,‥‥)의 X축 및 Y축 공간(참고로, 공정챔버(C1,C2,‥‥)의 Z축 공간은 공정챔버(C1,C2,‥‥) 측 내부 폭(H)을 정의하는 내부 벽에 의해 막혀있음)은 진공펌프(104)의 펌핑 동작시간에 따라 대폭 확장될 수 있게 되며(참고로, 진공계 하에서, 진공펌프(104)의 펌핑속도(V1)가 증가하게 되면, 그에 비례하여 공정챔버(C1,C2,‥‥) 측에서는 자가 공간이 확장된 것과 동일한 효과를 얻게 된다), 결국, 공정챔버(C1,C2,‥‥)의 내부로 공급된 공정가스, 즉, 소스가스 A(G1), 소스가스 B(G2), 퍼지가스 P(G3) 측에서는, 픽(Fick)의 제2 확산법칙(즉, 시간에 따른 입자의 농도변화는 거리에 따른 입자의 농도변화의 2차 도함수로 나타난다는 법칙,)에 맞추어, 시간에 따른 농도의 변화를 전혀 겪지 않으면서(즉, 시간이 지나도, 서로 섞이거나 혼합되지 않으면서), 가스 펌핑 포트(103) 쪽을 향해 빠른 흐름을 보일 수 있게 된다(도 6 참조).Of course, through the above-described measures, the gas supply on-off
이 경우에도, 공정챔버(C1,C2,‥‥)의 내부로 공급된 공정가스 측에서는, 소스가스 A(G1), 소스가스 B(G2) 등이 퍼지가스 P(G3)에 의해 완전히 분리되는 안정적인 모습을 취하면서(즉, 안정적인 비 혼합 상태를 이루면서), 일련의 횡 방향 층류(laminar flow)를 이루어, 가스 펌핑 포트(103) 쪽으로 신속하게 흐르게 된다.Also in this case, on the process gas side supplied into the process chambers C1, C2, ..., the source gas A (G1), the source gas B (G2), and the like are completely separated by the purge gas P (G3). While taking shape (ie, achieving a stable, non-mixing state), a series of lateral laminar flows occur, which flows rapidly toward the
요컨대, 상술한 본 발명의 다른 실시에서도 <공정시간 소요(공정시간 지체)의 주요 원인으로 작용하는 공정가스(소스가스 A, 소스가스 B, 퍼지가스 P)의 공급속도(V2)를 좀더 빠르게 조절하는 조치(예를 들어, 공정가스의 공급속도(V2)를 수십 msec 이하로 빠르게 조절하는 조치)>를 독특하게 취하기 때문에, 본 발명의 다른 구현환경 하에서도, 제품 생산주체 측에서는, 공정가스의 공급속도(V2) 증가에 맞추어, 원자층 증착공정 단위사이클의 시간 소요 문제를 원활하게 해결할 수 있게 되며, 결국, 별다른 어려움 없이, 공정시간 지연에 따른 제품 생산량 저하 피해, 제품 양산 수율 저하 피해 등을 효과적으로 회피할 수 있게 된다.In short, in another embodiment of the present invention described above, the supply speed V2 of the process gas (source gas A, source gas B, purge gas P) serving as a main cause of the process time required (process time delay) is adjusted more quickly. (E.g., a step of rapidly adjusting the feed rate V2 of the process gas to several tens of msec or less)>, the feed rate of the process gas is supplied on the product producer side even under another implementation environment of the present invention. (V2) With the increase, it is possible to smoothly solve the time-consuming problem of the unit cycle of the atomic layer deposition process, and thus, effectively avoid the damage of the product yield and the yield of the product mass production by the delay of the process time without any difficulty. You can do it.
또한, 본 발명의 다른 실시에서도, <공정가스(소스가스 A, 소스가스 B, 퍼지가스 P)의 공급속도(V2) 증가에 의해 해당 공정가스가 불필요하게 섞이는(혼합되는) 것을 방지하기 위하여, 공정가스의 펌핑속도(V1)를 공정가스의 공급속도(V2)보다 빠르게 조절하는 조치>를 독특하게 취하기 때문에, 본 발명의 다른 구현환경 하에서도, 제품 생산주체 측에서는, 공정가스의 공급속도(V)가 대폭 증가하는 민감한 국면 하에서도, <공정가스의 혼합(예를 들어, 소스가스 A 및 소스가스 B의 혼합)에 의해, 예측하지 못한 화학기상증착 공정이 진행되는 문제점>을 손쉽게 회피할 수 있게 된다(즉, 본 발명의 다른 실시 하에서도, 제품 생산주체 측에서는 공정가스의 공급속도(V)가 대폭 증가하는 민감한 국면 하에서도, 원자층 증착공정을 정상적으로 진행시킬 수 있게 된다).In addition, in another embodiment of the present invention, in order to prevent the process gas from being unnecessarily mixed (mixed) by increasing the supply speed V2 of the process gas (source gas A, source gas B, purge gas P), Since the action of controlling the pumping speed V1 of the process gas faster than the supply speed V2 of the process gas is unique, the process gas supply rate V on the production side of the product is subject to the implementation environment of the present invention. Even in a sensitive situation where the number is increasing significantly, it is possible to easily avoid the problem of an unexpected chemical vapor deposition process due to the mixing of process gases (for example, the mixing of source gas A and source gas B). (I.e., under another embodiment of the present invention, the atomic layer deposition process can normally proceed even under a sensitive situation in which the supply gas V of the process gas is greatly increased on the product producer side).
물론, 이러한 본 발명의 다른 실시에서도, 노즐/기판의 회전/왕복이동 등을 전혀 시행하지 않기 때문에, 본 발명의 다른 구현환경 하에서도, 제품 생산주체 측에서는, 예를 들어, <파티클 발생에 따른 박막의 품질/특성 저하 문제점>, <노즐/기판의 회전/왕복이동에 따른 공정속도의 기계적/물리적 한계 문제점>, <디스플레이용 사각 기판에는 시스템을 적용하지 못하는 문제점>, <노즐/기판의 회전/이동을 위한 복잡한 시스템을 추가하여야 하는 문제점>, <균일한 박막형성이 어려워지는 문제점> 등까지도 손쉽게 회피할 수 있게 된다.Of course, even in this other embodiment of the present invention, since no rotation / reciprocating movement of the nozzle / substrate is performed at all, even in another implementation environment of the present invention, on the product producer side, for example, <thin film according to particle generation Problem of deterioration of quality / characteristics>, <Problem of mechanical / physical limitation of process speed due to rotation / reciprocating movement of nozzle / substrate>, <Problem of not applying system to square panel for display>, <Rotation / The problem of adding a complex system for movement>, and <a problem of difficulty in forming a uniform thin film> can be easily avoided.
한편, 도 7에 도시된 바와 같이, 본 발명의 또 다른 실시에서는 공정챔버의 구조를 <단일 챔버공간(S) 내에 다수의 원자층 증착 대상 기판(W1,W2,W3‥‥)을 각 기판 격리영역에 맞추어 복층으로 적층시킨 상태로, 각 원자층 증착대상 기판(W1,W2,W3‥‥)에 상응하는 각각의 가스 공급 포트(107) 및 가스 펌핑 포트(103)를 구비하는 공정챔버(C)>(즉, 상황에 따라, 다수의 기판(W1,W2,W3‥‥)을 대상으로 하여 공정을 진행시킬 수 있는 구성)로 변경하는 변화된 조치를 강구하게 된다.Meanwhile, as shown in FIG. 7, in another embodiment of the present invention, the structure of the process chamber is << a plurality of atomic layer deposition target substrates W1, W2, W3 ... in a single chamber space S. Process chamber C having
물론, 도 8에 도시된 바와 같이, 이러한 본 발명의 또 다른 실시에서도, 제품 생산주체 측에서는 <공정시간 소요(공정시간 지체)의 주요 원인으로 작용하는 공정가스(소스가스 A, 소스가스 B, 퍼지가스 P)의 공급속도(V2)를 좀더 빠르게 조절하는 조치(예를 들어, 공정가스의 공급속도(V2)를 수십 msec 이하로 빠르게 조절하는 조치)>를 취함과 아울러, <공정가스(소스가스 A, 소스가스 B, 퍼지가스 P)의 공급속도(V2) 증가에 의해 해당 공정가스가 불필요하게 섞이는(혼합되는) 것을 방지하기 위하여, 공정가스의 펌핑속도(V1)를 공정가스의 공급속도(V2)보다 빠르게 조절하는 조치> 등을 독특하게 취하게 된다.Of course, as shown in Figure 8, even in this embodiment of the present invention, the product production subject side process gas (source gas A, source gas B, purge acting as a major cause of <process time required (process time delay) In addition to taking measures to adjust the supply speed V2 of the gas P more quickly (e.g., to quickly adjust the supply speed V2 of the process gas to several tens of msec or less), and the process gas (source gas). In order to prevent the process gas from being unnecessarily mixed (mixed) by increasing the supply speed V2 of the A, source gas B, and purge gas P, the pumping speed V1 of the process gas is changed to the process speed of the process gas ( V2), and the measures to control more quickly> will be unique.
이러한 본 발명의 또 다른 조치 하에서도, 공정 컨트롤러(108) 측에서는 가스공급 개폐밸브(106)의 개폐상태를 제어하여, 공정가스(소스가스 A, 소스가스 B, 퍼지가스 P)의 공급속도(V2)를 수십 msec 이하로 빠르게 조절하는 절차를 진행함과 아울러, 진공펌프(104)의 펌핑상태를 제어하여, 공정가스의 펌핑속도(V1)를 공정가스의 공급속도(V2)보다 빠르게 조절하는 절차를 진행하게 된다.Even under such another measure of the present invention, the
이때, 공정 컨트롤러(108) 측에서는 공정가스의 펌핑속도(V1)가 상기 공정가스의 공급속도(V2)보다 10배~100000배 빨라지도록 상기 가스공급 개폐밸브(106) 및 진공펌프(104)를 제어하게 된다. 이 경우, 상기 10배~100000배의 속도차이 배율은 예를 들어, <공정가스 공급 시작지점의 압력>, <공정챔버(C) 측 단일 챔버공간(S)의 초기 압력>, <공정가스의 공급량>, <공정가스의 종류>, <공정챔버(C) 측 단일 챔버공간(S) 내부의 공정가스가 진공펌프(104) 쪽으로 빠져나가기 직전 위치에서의 압력> 등에 따라 융통성 있게 선택될 수 있게 된다.At this time, the
또한, 상기 조치에 더하여, 본 발명에서는 공정챔버(C)의 내부로 공급되는 공정가스가 층류(laminar flow) 또는 크누센 플로우(knudsen flow)로 원자층 증착 대상 기판(W1,W2,W3‥‥)의 표면을 통과할 수 있도록 기판(W1,W2,W3‥‥)을 격리하고 있는 공정챔버(C)의 각 내부 폭(H)을 1mm~10mm로 좁게 설정하는 조치를 강구하게 된다.In addition to the above measures, in the present invention, the process gas supplied into the process chamber C is subjected to atomic layer deposition target substrates W1, W2, W3 ... with laminar flow or knudsen flow. In order to pass through the surface of the substrate, measures are taken to narrow the inner width H of each of the process chambers C, which isolate the substrates W1, W2, W3, ..., from 1 mm to 10 mm.
물론, 상술한 조치를 통해, 공정가스의 펌핑속도(V1)가 상기 공정가스의 공급속도(V2)보다 10배~100000배 빨라지도록 상기 가스공급 개폐밸브(106) 및 진공펌프(104)가 제어되면, 3차원 직교좌표계를 기준으로, 공정챔버(C) 측 각 기판 격리영역의 X축 및 Y축 공간(참고로, 공정챔버(C) 측 각 기판 격리영역의 Z축 공간은 내부 폭(H)을 정의하는 내부 벽에 의해 막혀있음)은 진공펌프(104)의 펌핑 동작시간에 따라 대폭 확장될 수 있게 되며(참고로, 진공계 하에서, 진공펌프(104)의 펌핑속도(V1)가 증가하게 되면, 그에 비례하여 공정챔버(C)의 각 기판 격리영역 측에서는 자가 공간이 확장된 것과 동일한 효과를 얻게 된다), 결국, 공정챔버(C) 측 각 기판 격리영역의 내부로 공급된 공정가스, 즉, 소스가스 A(G1), 소스가스 B(G2), 퍼지가스 P(G3) 측에서는, 픽(Fick)의 제2 확산법칙(즉, 시간에 따른 입자의 농도변화는 거리에 따른 입자의 농도변화의 2차 도함수로 나타난다는 법칙,)에 맞추어, 시간에 따른 농도의 변화를 전혀 겪지 않으면서(즉, 시간이 지나도, 서로 섞이거나 혼합되지 않으면서), 가스 펌핑 포트(103) 쪽을 향해 빠른 흐름을 보일 수 있게 된다(도 4 참조).Of course, through the above-described measures, the gas supply on-off
이 경우, 공정챔버(C) 측 각 기판 격리영역의 내부로 공급된 공정가스 측에서는, 소스가스 A(G1), 소스가스 B(G2) 등이 퍼지가스 P(G3)에 의해 완전히 분리되는 안정적인 모습을 취하면서(즉, 안정적인 비 혼합 상태를 이루면서), 일련의 횡 방향 층류(laminar flow)를 이루어, 가스 펌핑 포트(103) 쪽으로 신속하게 흐르게 된다.In this case, a stable state in which source gas A (G1), source gas B (G2), and the like are completely separated by the purge gas P (G3) on the process gas side supplied to each substrate isolation region on the process chamber C side. (I.e., achieving a stable non-mixing state), a series of laminar flows is made, which flows rapidly toward the
요컨대, 상술한 본 발명의 또 다른 실시에서도, <공정시간 소요(공정시간 지체)의 주요 원인으로 작용하는 공정가스(소스가스 A, 소스가스 B, 퍼지가스 P)의 공급속도(V2)를 좀더 빠르게 조절하는 조치(예를 들어, 공정가스의 공급속도(V2)를 수십 msec 이하로 빠르게 조절하는 조치)>를 독특하게 취하기 때문에, 본 발명의 또 다른 구현환경 하에서도, 제품 생산주체 측에서는, 공정가스의 공급속도(V2) 증가에 맞추어, 원자층 증착공정 단위사이클의 시간 소요 문제를 원활하게 해결할 수 있게 되며, 결국, 별다른 어려움 없이, 공정시간 지연에 따른 제품 생산량 저하 피해, 제품 양산 수율 저하 피해 등을 효과적으로 회피할 수 있게 된다.In other words, in another embodiment of the present invention described above, the supply rate V2 of the process gas (source gas A, source gas B, purge gas P) serving as the main cause of the process time required (process time delay) is further determined. Because it takes a uniquely fast action (for example, a fast adjustment of the process gas supply rate V2 to several tens of msec or less)>, even under another implementation environment of the present invention, on the product producer side, the process gas As the supply speed (V2) increases, the time-consuming problem of the unit cycle of the atomic layer deposition process can be solved smoothly. Consequently, there is no difficulty, and the product yield decreases due to the delay in the process time, and the product yield decreases. Can be effectively avoided.
또한, 본 발명의 또 다른 실시에서도, <공정가스(소스가스 A, 소스가스 B, 퍼지가스 P)의 공급속도(V2) 증가에 의해 해당 공정가스가 불필요하게 섞이는(혼합되는) 것을 방지하기 위하여, 공정가스의 펌핑속도(V1)를 공정가스의 공급속도(V2)보다 빠르게 조절하는 조치>를 독특하게 취하기 때문에, 본 발명의 또 다른 구현환경 하에서도, 제품 생산주체 측에서는, 공정가스의 공급속도(V)가 대폭 증가하는 민감한 국면 하에서도, <공정가스의 혼합(예를 들어, 소스가스 A 및 소스가스 B의 혼합)에 의해, 예측하지 못한 화학기상증착 공정이 진행되는 문제점>을 손쉽게 회피할 수 있게 된다(즉, 본 발명의 또 다른 실시 하에서도, 제품 생산주체 측에서는 공정가스의 공급속도(V)가 대폭 증가하는 민감한 국면 하에서도, 원자층 증착공정을 정상적으로 진행시킬 수 있게 된다).Further, in another embodiment of the present invention, in order to prevent the process gas from being unnecessarily mixed (mixed) by increasing the supply speed V2 of the process gas (source gas A, source gas B, purge gas P). Since the action of controlling the pumping speed V1 of the process gas faster than the supply speed V2 of the process gas is uniquely taken, under the embodiment of the present invention, the supply rate of the process gas may be Even under a sensitive situation in which V) increases significantly, it is easy to avoid the problem of undesired chemical vapor deposition due to the mixing of process gases (eg, mixing of source gas A and source gas B). (I.e., under another embodiment of the present invention, the atomic layer deposition process can proceed normally even in a sensitive situation in which the supply gas V of the process gas increases significantly on the product producer side. Be).
물론, 이러한 본 발명의 또 다른 실시에서도, 노즐/기판의 회전/왕복이동 등을 전혀 시행하지 않기 때문에, 본 발명의 또 다른 구현환경 하에서도, 제품 생산주체 측에서는, 예를 들어, <파티클 발생에 따른 박막의 품질/특성 저하 문제점>, <노즐/기판의 회전/왕복이동에 따른 공정속도의 기계적/물리적 한계 문제점>, <디스플레이용 사각 기판에는 시스템을 적용하지 못하는 문제점>, <노즐/기판의 회전/이동을 위한 복잡한 시스템을 추가하여야 하는 문제점>, <균일한 박막형성이 어려워지는 문제점> 등까지도 손쉽게 회피할 수 있게 된다.Of course, even in this embodiment of the present invention, since rotation / reciprocating of the nozzle / substrate is not performed at all, even in another implementation environment of the present invention, the product producer may, for example, Problem of deterioration of quality / characteristics of thin film>, <Problem of mechanical / physical limitation of process speed due to rotation / reciprocating movement of nozzle / substrate>, <Problem of not applying system to rectangular panel for display>, The problem of adding a complicated system for rotation / movement>, and the problem of difficulty in forming a uniform thin film> can be easily avoided.
이러한 본 발명은 상황에 따라, 다양한 변형을 이룰 수 있다.This invention can be variously modified depending on the situation.
예를 들어, 도 9 내지 도 14에 도시된 바와 같이, 본 발명에서는 가스 공급 포트(107) 및 가스 펌핑 포트(103)를 서로 마주보는 위치에 대칭적으로 배치되거나, 서로 마주 보지 않도록 비대칭적으로 배치시키는 변화된 조치를 유연하게 취할 수도 있게 된다.For example, as shown in FIGS. 9 to 14, in the present invention, the
다른 예로, 본 발명에서는 상황에 따라, <공정가스의 공급방향과 펌핑방향을 바꾸는 변화된 조치>, <가스 공급 포트(107) 및 가스 펌핑 포트(103)를 다수개 설치하는 변화된 조치>, <공정챔버(C)와 기판(W)의 모양을 사각형을 포함하는 다각형으로 변경하는 변화된 조치>, <기판(W)을 공정챔버(C)의 상부면 또는 상/하부면 전부에 배치하는 변화된 조치>, <기판(W)의 주변에 기판(W)을 가열하기 위한 히터를 추가 설치하는 변화된 조치>, <기판(W)의 상부면 또는 하부면에 전극을 추가 설치하는 조치>, <공정가스가 공정챔버(C) 내부의 플라즈마 형성영역을 통과하도록 하는 변화된 조치>, <공정가스가 공정챔버(C)의 외부의 플라즈마 형성영역을 통과한 후, 공정챔버(C) 내부로 공급되도록 하는 변화된 조치> 등을 유연하게 취할 수도 있게 된다.As another example, in the present invention, according to the situation, <a changed action of changing the supply direction and the pumping direction of the process gas>, <a changed action of installing a plurality of the
또 다른 예로, 본 발명에서는 도 15 내지 도 18에 도시된 바와 같이(참고로, 구조적 특징을 강조하기 위하여 도면을 과장되게 표현 함), <가스 공급 포트(107)가 배치된 쪽이 가스 펌핑 포트(103)가 배치된 쪽보다 더 좁아지도록 공정챔버(C)의 내부 폭을 설계하는 변화된 조치>, <가스 펌핑 포트(103)가 배치된 쪽이 가스 공급 포트(107)가 배치된 쪽보다 더 좁아지도록 공정챔버(C)의 내부 폭을 설계하는 변화된 조치>, <공정챔버(c)의 가운데 쪽이 가스 공급 포트(107) 및 가스 펌핑 포트(103)가 배치된 쪽보다 더 좁거나 넓어지도록 공정챔버(C)의 내부 폭을 설계하는 변화된 조치> 등을 유연하게 취할 수도 있게 된다.As another example, in the present invention, as shown in Figs. 15 to 18 (for reference, the drawings are exaggerated to emphasize the structural features), the gas pumping port is disposed on the side where the
물론, 이러한 각 변화된 조치 하에서도, 본 발명에서는 <공정시간 소요(공정시간 지체)의 주요 원인으로 작용하는 공정가스(소스가스 A, 소스가스 B, 퍼지가스 P)의 공급속도를 좀더 빠르게 조절하는 조치>, <공정가스(소스가스 A, 소스가스 B, 퍼지가스 P)의 공급속도 증가에 의해 해당 공정가스가 불필요하게 섞이는(혼합되는) 것을 방지하기 위하여, 공정가스의 펌핑속도를 공정가스의 공급속도보다 빠르게 조절하는 조치> 등을 유연하게 취하기 때문에, 본 발명의 각 구현환경 하에서, 제품 생산주체 측에서는, 공정가스의 혼합(예를 들어, 소스가스 A 및 소스가스 B의 혼합)에 의해, 예측하지 못한 화학기상증착 공정이 진행되는 것을 피하면서도(즉, 원자층 증착공정을 정상적으로 진행시키면서도), 공정가스의 공급속도 증가에 맞추어, 원자층 증착공정 단위사이클의 시간 소요 문제를 원활하게 해결할 수 있게 되며, 결국, 별다른 어려움 없이, 공정시간 지연에 따른 제품 생산량 저하 피해, 제품 양산 수율 저하 피해 등을 효과적으로 회피할 수 있게 된다.Of course, even under each of these changed measures, the present invention controls the supply speed of the process gas (source gas A, source gas B, purge gas P) that acts as a major cause of the process time delay (process time delay). Measures> In order to prevent the process gas from being unnecessarily mixed (mixed) by increasing the supply speed of process gas (source gas A, source gas B, purge gas P), In order to flexibly take measures to adjust faster than the supply speed, etc., under each implementation environment of the present invention, on the product producer side, by mixing process gases (for example, mixing of source gas A and source gas B), While avoiding unexpected chemical vapor deposition processes (i.e., proceeding with the atomic layer deposition process normally), the atomic layer deposition process may It is possible to smoothly solve the time-consuming problem of the cycle, and, in the end, it is possible to effectively avoid the damage of product yield degradation and the yield loss of the product due to the delay of the process without any difficulty.
이러한 본 발명은 특정 분야에 국한되지 아니하며, 다양한 종류의 박막 제조공정에서, 전반적으로 유용한 효과를 발휘한다.The present invention is not limited to a specific field, and in various kinds of thin film manufacturing processes, it has an overall useful effect.
그리고, 앞에서, 본 발명의 특정한 실시 예가 설명되고 도시되었지만 본 발명이 당업자에 의해 다양하게 변형되어 실시될 가능성이 있는 것은 자명한 일이다.And, in the foregoing, specific embodiments of the present invention have been described and illustrated, but it is obvious that the present invention may be variously modified and implemented by those skilled in the art.
이와 같은 변형된 실시 예들은 본 발명의 기술적 사상이나 관점으로부터 개별적으로 이해되어서는 안되며 이와 같은 변형된 실시 예들은 본 발명의 첨부된 특허청구의 범위 안에 속한다 해야 할 것이다.Such modified embodiments should not be individually understood from the technical spirit or viewpoint of the present invention, and such modified embodiments should fall within the scope of the appended claims of the present invention.
W: 원자층 증착 대상 기판
C: 공정챔버
1,100: 원자층 증착 시스템
2,102: 가스 펌핑 라인
3,103: 가스 펌핑 포트
4,104: 진공펌프
5,105: 가스 보관용기
6,106: 가스공급 개폐밸브
7,107: 가스 공급 포트
8,108: 공정 컨트롤러
9,109: 가스 공급 라인W: Substrate for Atomic Layer Deposition
C: process chamber
1,100: atomic layer deposition system
2,102: gas pumping line
3,103: gas pumping port
4,104: vacuum pump
5,105: Gas Storage Container
6,106: gas supply valve
7,107: gas supply port
8,108: process controller
9,109: gas supply line
| Application Number | Priority Date | Filing Date | Title |
|---|---|---|---|
| KR1020180016116AKR20190096540A (en) | 2018-02-09 | 2018-02-09 | Atomic layer deposition system |
| Application Number | Priority Date | Filing Date | Title |
|---|---|---|---|
| KR1020180016116AKR20190096540A (en) | 2018-02-09 | 2018-02-09 | Atomic layer deposition system |
| Publication Number | Publication Date |
|---|---|
| KR20190096540Atrue KR20190096540A (en) | 2019-08-20 |
| Application Number | Title | Priority Date | Filing Date |
|---|---|---|---|
| KR1020180016116ACeasedKR20190096540A (en) | 2018-02-09 | 2018-02-09 | Atomic layer deposition system |
| Country | Link |
|---|---|
| KR (1) | KR20190096540A (en) |
| Publication number | Priority date | Publication date | Assignee | Title |
|---|---|---|---|---|
| US5711811A (en) | 1994-11-28 | 1998-01-27 | Mikrokemia Oy | Method and equipment for growing thin films |
| KR20060013282A (en) | 2004-08-06 | 2006-02-09 | 삼성전자주식회사 | Process gas exhaust method, atomic layer stacking method and atomic layer stacking device using same |
| KR100795487B1 (en) | 2006-09-27 | 2008-01-16 | 주식회사 실트론 | Laminar flow control device and chemical vapor deposition reactor |
| KR101536257B1 (en) | 2009-07-22 | 2015-07-13 | 한국에이에스엠지니텍 주식회사 | Horizontal flow deposition apparatus and deposition method using same |
| KR20160105497A (en) | 2014-01-05 | 2016-09-06 | 어플라이드 머티어리얼스, 인코포레이티드 | Film deposition using spatial atomic layer deposition or pulsed chemical vapor deposition |
| KR20170021210A (en) | 2015-08-17 | 2017-02-27 | 램 리써치 코포레이션 | Composition-matched curtain gas mixtures for edge uniformity modulation in large-volume ald reactors |
| Publication number | Priority date | Publication date | Assignee | Title |
|---|---|---|---|---|
| US5711811A (en) | 1994-11-28 | 1998-01-27 | Mikrokemia Oy | Method and equipment for growing thin films |
| KR20060013282A (en) | 2004-08-06 | 2006-02-09 | 삼성전자주식회사 | Process gas exhaust method, atomic layer stacking method and atomic layer stacking device using same |
| KR100795487B1 (en) | 2006-09-27 | 2008-01-16 | 주식회사 실트론 | Laminar flow control device and chemical vapor deposition reactor |
| KR101536257B1 (en) | 2009-07-22 | 2015-07-13 | 한국에이에스엠지니텍 주식회사 | Horizontal flow deposition apparatus and deposition method using same |
| KR20160105497A (en) | 2014-01-05 | 2016-09-06 | 어플라이드 머티어리얼스, 인코포레이티드 | Film deposition using spatial atomic layer deposition or pulsed chemical vapor deposition |
| KR20170021210A (en) | 2015-08-17 | 2017-02-27 | 램 리써치 코포레이션 | Composition-matched curtain gas mixtures for edge uniformity modulation in large-volume ald reactors |
| Publication | Publication Date | Title |
|---|---|---|
| US11821083B2 (en) | Gas separation control in spatial atomic layer deposition | |
| US11377732B2 (en) | Reactant vaporizer and related systems and methods | |
| CN101842873B (en) | Combined Steam-Based Treatment | |
| US11725278B2 (en) | Systems and methods for a plasma enhanced deposition of material on a semiconductor substrate | |
| US20050116064A1 (en) | Reactors having gas distributors and methods for depositing materials onto micro-device workpieces | |
| US20130143415A1 (en) | Multi-Component Film Deposition | |
| KR20210048408A (en) | Semiconductor deposition reactor manifolds | |
| US20170159179A1 (en) | Nozzle Head, Apparatus and Method for Subjecting Surface of Substrate to Successive Surface Reactions | |
| JP2011171566A (en) | Ald film forming device, and method of manufacturing semiconductor device | |
| US10472719B2 (en) | Nozzle and substrate processing apparatus using same | |
| JP2021019201A (en) | Showerhead device for semiconductor processing system | |
| KR20240118902A (en) | Uniform deposition | |
| JP2015173226A (en) | Vacuum deposition apparatus and deposition method using this apparatus | |
| KR102070864B1 (en) | Gas supply control method for substrate processing apparatus | |
| JP4854794B2 (en) | Thin film forming equipment | |
| KR20190096540A (en) | Atomic layer deposition system | |
| US20170207078A1 (en) | Atomic layer deposition apparatus and semiconductor process | |
| KR101573687B1 (en) | The apparatus for depositing the atomic layer | |
| KR20150081590A (en) | The method for depositing a atomic layer on the large substrate |
| Date | Code | Title | Description |
|---|---|---|---|
| A201 | Request for examination | ||
| PA0109 | Patent application | Patent event code:PA01091R01D Comment text:Patent Application Patent event date:20180209 | |
| PA0201 | Request for examination | ||
| PG1501 | Laying open of application | ||
| E902 | Notification of reason for refusal | ||
| PE0902 | Notice of grounds for rejection | Comment text:Notification of reason for refusal Patent event date:20190906 Patent event code:PE09021S01D | |
| AMND | Amendment | ||
| E601 | Decision to refuse application | ||
| PE0601 | Decision on rejection of patent | Patent event date:20200421 Comment text:Decision to Refuse Application Patent event code:PE06012S01D Patent event date:20190906 Comment text:Notification of reason for refusal Patent event code:PE06011S01I | |
| X091 | Application refused [patent] | ||
| AMND | Amendment | ||
| PX0901 | Re-examination | Patent event code:PX09011S01I Patent event date:20200421 Comment text:Decision to Refuse Application Patent event code:PX09012R01I Patent event date:20191206 Comment text:Amendment to Specification, etc. | |
| E902 | Notification of reason for refusal | ||
| PE0902 | Notice of grounds for rejection | Comment text:Notification of reason for refusal Patent event date:20200618 Patent event code:PE09021S01D | |
| PX0601 | Decision of rejection after re-examination | Comment text:Decision to Refuse Application Patent event code:PX06014S01D Patent event date:20201026 Comment text:Notification of reason for refusal Patent event code:PX06013S01I Patent event date:20200618 Comment text:Amendment to Specification, etc. Patent event code:PX06012R01I Patent event date:20200520 Comment text:Decision to Refuse Application Patent event code:PX06011S01I Patent event date:20200421 Comment text:Amendment to Specification, etc. Patent event code:PX06012R01I Patent event date:20191206 Comment text:Notification of reason for refusal Patent event code:PX06013S01I Patent event date:20190906 | |
| X601 | Decision of rejection after re-examination |