




















본 발명의 일 측면은, 레이저광 조사 장치에 관한 것이다.One aspect of the present invention relates to a laser light irradiation apparatus.
특허 문헌 1에는, 레이저광을 대상물에 조사하는 레이저광 조사 장치가 기재되어 있다. 이 레이저광 조사 장치에서는, 레이저 광원에서 발생시킨 레이저광은, 공간 광 변조기(變調器)에 의해 변조된 후, 대물 렌즈에 의해서 대상물에 집광된다.
그런데, 레이저광이 공간 광 변조기를 거쳐 대물 렌즈에 입사할 때에, 레이저광의 빔 사이즈가 대물 렌즈의 동면(瞳面)의 사이즈(동경(瞳徑))보다도 큰 경우가 있다. 그 경우에는, 레이저광의 일부가 대물 렌즈의 동면에 입사하는 한편으로, 레이저광의 잔부가 대물 렌즈의 홀더와 같은 별도의 부재에 입사한다. 대물 렌즈의 동면에 입사하는 레이저광의 일부는, 대상물에 조사되는 유효 광이며, 별도의 부재에 입사하는 레이저광의 잔부는, 대상물에 조사되지 않는 비유효 광이다. 비유효 광이 별도의 부재에 입사하면, 그 별도의 부재에서 열이 발생한다. 이것에 의해, 레이저광의 집광점의 위치가 변화하는 등, 레이저광의 대상물로의 조사 상태가 변화할 우려가 있다.However, when the laser beam is incident on the objective lens through the spatial light modulator, the beam size of the laser beam may be larger than the size (pupil diameter) of the pupil plane of the objective lens. In this case, a part of the laser beam is incident on the coplanar surface of the objective lens while the rest of the laser beam is incident on a separate member such as a holder of the objective lens. A part of the laser light incident on the pupil plane of the objective lens is effective light to be irradiated to the object and the remaining portion of the laser light incident on the other member is ineffective light not irradiated to the object. When the ineffective light is incident on a separate member, heat is generated in the separate member. Thereby, there is a possibility that the irradiation state of the laser light to the object changes, for example, the position of the light-converging point of the laser light changes.
본 발명의 일 측면은, 그러한 사정을 감안하여 이루어진 것이며, 레이저광의 대상물로의 조사 상태의 변화를 억제할 수 있는 레이저광 조사 장치를 제공하는 것을 목적으로 한다.An aspect of the present invention has been made in view of such circumstances, and it is an object of the present invention to provide a laser light irradiation apparatus capable of suppressing a change in an irradiation state of laser light to an object.
본 발명자들은, 상기 과제를 해결하기 위해서 예의(銳意) 검토를 거듭한 결과, 다음과 같은 지견(知見)을 얻었다. 즉, 상기 과제를 해결하기 위해서는, 대물 렌즈의 전단측에서 비유효 광을 차단하면 되며, 그것을 위해서는, 예를 들면, 공간 광 변조기에 회절 격자 패턴을 포함하는 위상 패턴을 표시하여 비유효 광을 회절에 의해 분기시키고, 분기된 회절광을 슬릿에 의해 차단하면 된다. 본 발명의 일측면은, 그러한 지견에 근거하여 한층 더 연구를 거듭한 결과로 이루어진 것이다.The inventors of the present invention have conducted intensive studies to solve the above problems, and as a result, obtained the following knowledge. That is, in order to solve the above problem, it is necessary to block the ineffective light at the front end side of the objective lens. To do so, for example, a phase pattern including a diffraction grating pattern is displayed on the spatial light modulator, And the branched diffracted light is blocked by the slit. An aspect of the present invention is a result of further research based on such knowledge.
즉, 본 발명의 일 측면에 관한 레이저광 조사 장치는, 레이저광을 제1 방향을 따라서 대상물에 조사하는 레이저광 조사 장치로서, 레이저광을 출력하는 레이저 광원과, 레이저 광원으로부터 출력된 레이저광을 위상(位相) 패턴에 따라 변조(變調)하여 출사하는 공간 광 변조기(變調器)와, 공간 광 변조기로부터 출사된 레이저광을 대상물을 향해서 집광(集光)하는 대물 렌즈와, 레이저광의 광로에서의 공간 광 변조기와, 대물 렌즈와의 사이에 배치되고, 레이저광을 집속(集束)하는 집속 렌즈와, 레이저광의 광로에서의 집속 렌즈의 후측의 초점 위치에 배치되고, 레이저광의 일부를 차단하는 슬릿 부재를 구비하며, 위상 패턴은, 대물 렌즈의 동면(瞳面)에 입사하는 레이저광의 일부를 변조하는 제1 패턴과, 레이저광의 잔부를 변조하는 제2 패턴을 포함하고, 제2 패턴은, 제1 방향에 교차하는 제2 방향을 따라서 레이저광의 잔부를 복수의 회절광으로 분기시키기 위한 회절 격자 패턴을 포함하며, 슬릿 부재는, 슬릿에 의해서 회절광을 차단한다.That is, a laser light irradiating apparatus according to one aspect of the present invention is a laser light irradiating apparatus for irradiating an object to a laser light in a first direction, comprising: a laser light source for outputting laser light; A spatial light modulator for modulating and outputting light according to a phase (phase) pattern, an objective lens for focusing the laser light emitted from the spatial light modulator toward an object, A focusing lens disposed between the spatial light modulator and the objective lens and focusing the laser light; and a slit member disposed at a focus position on the rear side of the focusing lens in the optical path of the laser beam, And the phase pattern includes a first pattern for modulating a part of the laser light incident on the pupil plane of the objective lens and a second pattern for modulating the remaining portion of the laser light , And the second pattern includes a diffraction grating pattern for dividing the remaining portion of the laser beam into a plurality of diffracted lights along a second direction crossing the first direction, and the slit member blocks the diffracted light by the slit.
이 레이저광 조사 장치에서는, 레이저 광원으로부터 출력된 레이저광이, 공간 광 변조기의 위상 패턴에 의해 변조된 후에, 대물 렌즈에 의해 대상물을 향해서 집광된다. 공간 광 변조기의 위상 패턴은, 대물 렌즈의 동면에 입사하는 레이저광의 일부(유효 광)를 변조하는 제1 패턴과, 레이저광의 잔부(비유효 광)를 변조하는 제2 패턴을 포함한다. 제2 패턴은, 제1 방향에 교차하는 제2 방향을 따라서 광을 회절하기 위한 회절 격자 패턴을 포함한다. 따라서, 레이저광 중 비유효 광은, 레이저광의 스캔 방향에 교차하는 제2 방향에 대해서, 복수의 회절광으로 분기된다. 그리고, 회절광은, 집속 렌즈의 후측 초점 위치에서, 슬릿 부재의 슬릿에 의해 차단된다. 그 결과, 유효 광이 슬릿을 통과하여 대상물에 조사되는 한편으로, 비유효 광의 회절광이 슬릿에 의해 차단되어, 대물 렌즈에 도달하지 않는다. 따라서, 이 레이저광 조사 장치에 의하면, 레이저광의 대상물로의 조사 상태의 변화를 억제하는 것이 가능하다.In this laser light irradiation apparatus, after the laser light output from the laser light source is modulated by the phase pattern of the spatial light modulator, the laser light is condensed toward the object by the objective lens. The phase pattern of the spatial light modulator includes a first pattern for modulating a part of the laser light (effective light) incident on the coplanar surface of the objective lens and a second pattern for modulating the remainder of the laser light (ineffective light). The second pattern includes a diffraction grating pattern for diffracting light along a second direction crossing the first direction. Therefore, the non-effective light in the laser light is split into a plurality of diffracted lights in the second direction crossing the scanning direction of the laser light. Then, the diffracted light is blocked by the slit of the slit member at the rear focal position of the focusing lens. As a result, while the effective light passes through the slit and is irradiated on the object, the diffracted light of the ineffective light is blocked by the slit and does not reach the objective lens. Therefore, according to this laser light irradiation apparatus, it is possible to suppress the change of the irradiation state of the laser light to the object.
본 발명의 일 측면에 관한 레이저광 조사 장치에서는, 슬릿 부재는, 제2 방향보다도 제1 방향으로 상대적으로 길게 되도록 형성된 슬릿에 의해서, 회절광을 차단해도 괜찮다.In the laser light irradiation apparatus according to one aspect of the present invention, the slit member may shield the diffracted light by a slit formed to be relatively longer in the first direction than in the second direction.
여기서, 레이저광 조사 장치에 있어서는, 레이저광을 복수로 분기시켜 대상물에 조사하는 요구가 있다. 그래서, 본 발명의 일 측면에 관한 레이저광 조사 장치에서는, 제1 패턴은, 제1 방향을 따라서 레이저광의 일부를 복수의 다른 회절광으로 분기시키기 위한 다른 회절 격자 패턴을 포함해도 괜찮다. 이 경우, 레이저광 중 유효 광을, 대상물에 대한 레이저광의 조사 방향(스캔 방향)인 제1 방향에 대해 복수의 다른 회절광으로 분기하여, 대상물에 조사할 수 있다.Here, in the laser beam irradiating apparatus, there is a demand to irradiate the object with a plurality of laser beams. Thus, in the laser light irradiation apparatus according to one aspect of the present invention, the first pattern may include another diffraction grating pattern for dividing a part of the laser light into a plurality of different diffraction lights along the first direction. In this case, the effective light in the laser light can be split into a plurality of different diffracted lights in the first direction which is the irradiation direction (scanning direction) of the laser light for the object, and the object can be irradiated.
또, 이하에서는, 제1 패턴에 포함되는 「다른 회절 격자 패턴」을 「제1 회절 격자 패턴」이라고 칭하고(혹은 병기하고), 그 제1 회절 격자 패턴에 의해 분기 된 「다른 회절광」을 「제1 회절광」이라고 칭하는(혹은 병기하는) 경우가 있다. 또, 제2 패턴에 포함되는 「회절 격자 패턴」을 「제2 회절 격자 패턴」이라고 칭하고(혹은 병기하고), 그 제2 회절 격자 패턴에 의해 분기된 「회절광」을 「제2 회절광」이라고 칭하는(혹은 병기하는) 경우가 있다.In the following description, the "other diffraction grating pattern" included in the first pattern is referred to as (or stipulated) as the "first diffraction grating pattern" and the "other diffraction light" branched by the first diffraction grating pattern is referred to as " Quot; first diffracted light " (sometimes referred to as first diffracted light). The "diffraction grating pattern" included in the second pattern is referred to as (or is referred to as "the second diffraction grating pattern") and the "diffraction light" branched by the second diffraction grating pattern is referred to as " (Or staging).
본 발명의 일 측면에 관한 레이저광 조사 장치에서는, 제1 방향에 대한 슬릿의 사이즈는, 초점 위치에서의 제1 회절광(다른 회절광)의 빔 사이즈와, 초점 위치에서의 제1 회절광(다른 회절광)의 분기 간격과의 합계값보다도 크고, 제2 방향에 대한 슬릿의 사이즈는, 초점 위치에서의 제2 회절광(회절광)의 빔 사이즈보다도 커도 좋다. 이 경우, 복수의 제1 회절광을 슬릿에서 차단하지 않고 확실히 대상물에 조사할 수 있다.In the laser light irradiation apparatus according to one aspect of the present invention, the size of the slit in the first direction is determined by the beam size of the first diffracted light (other diffracted light) at the focal position and the beam size of the first diffracted light And diffraction light of the second diffracted light), and the size of the slit with respect to the second direction may be larger than the beam size of the second diffracted light (diffracted light) at the focal position. In this case, a plurality of first diffracted lights can be reliably irradiated onto the object without being blocked by the slit.
본 발명의 일 측면에 관한 레이저광 조사 장치에서는, 분기 간격은, 제1 방향에서의 ±1차의 제1 회절광(다른 회절광)의 간격이라도 좋다. 이 경우, 적어도, 제1 회절광 중 0차 광과 ±1차 광을 대상물에 조사할 수 있다.In the laser light irradiation apparatus according to one aspect of the present invention, the branching interval may be the interval of the ± first-order diffracted light (other diffracted light) in the first direction. In this case, at least the zero-order light and the ± first-order light among the first diffracted light can be irradiated to the object.
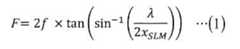
본 발명의 일 측면에 관한 레이저광 조사 장치에서는, 제2 방향에 대한 슬릿의 사이즈는, 집속 렌즈의 초점 거리를 f, 레이저광의 파장을 λ, 공간 광 변조기의 화소 사이즈를 xSLM으로 하면, 하기 식 (1)에서 나타내어지는 1차 광의 최대 회절 거리(F)보다도 작아도 좋다. 이 경우, 제2 회절광을 슬릿에 의해 확실히 차단할 수 있다.In the laser light irradiation apparatus according to one aspect of the present invention, if the focal length of the converging lens is f, the wavelength of the laser light is?, And the pixel size of the spatial light modulator is xSLM , May be smaller than the maximum diffraction distance F of the primary light expressed by the equation (1). In this case, the second diffracted light can be reliably blocked by the slit.
[수식 1][Equation 1]
본 발명의 일 측면에 관한 레이저광 조사 장치에서는, 슬릿의 제1 방향에 대한 사이즈는, 초점 위치에서의 ±3차의 제1 회절광(다른 회절광)의 간격보다도 작아도 좋다. 이 경우, 제1 회절광 중 ±3차 이상의 고차(高次) 광을 슬릿에 의해 차단할 수 있다.In the laser beam irradiating apparatus according to one aspect of the present invention, the size of the slit in the first direction may be smaller than the interval of the first diffracted light (other diffracted light) in the ± third order at the focal position. In this case, the higher order (higher order) light of the third order or higher in the first diffracted light can be blocked by the slit.
본 발명의 일 측면에 관한 레이저광 조사 장치에서는, 제1 회절 격자 패턴(다른 회절 격자 패턴)은, 제2 방향을 따른 복수의 홈 패턴으로 이루어지며, 제2 회절 격자 패턴(회절 격자 패턴)은, 제1 방향을 따른 복수의 홈 패턴으로 이루어져도 괜찮다. 이와 같이, 제1 회절 격자 패턴과 제2 회절 격자 패턴에서 홈 패턴의 방향을 교차하도록 설정함으로써, 제1 회절광의 분기 방향과 제2 회절광의 분기 방향을 다르게 할 수 있다.In the laser light irradiation apparatus according to one aspect of the present invention, the first diffraction grating pattern (another diffraction grating pattern) is composed of a plurality of groove patterns along the second direction, and the second diffraction grating pattern , Or a plurality of groove patterns along the first direction. By thus setting the directions of the groove patterns in the first diffraction grating pattern and the second diffraction grating pattern so as to intersect with each other, the branching direction of the first diffraction light and the branching direction of the second diffraction light can be made different.
본 발명의 일 측면에 관한 레이저광 조사 장치에서는, 공간 광 변조기는, 위상 패턴을 표시하는 액정층을 포함하며, 액정층은, 레이저광이 입사하는 영역 중 원 형상의 유효 영역과 유효 영역의 외측의 원환 형상의 비유효 영역을 포함하며, 제1 패턴은, 유효 영역에 표시되어 레이저광의 일부를 변조하고, 제2 패턴은, 비유효 영역에 표시되어 레이저광의 잔부를 변조해도 괜찮다. 이 경우, 대물 렌즈에 입사하는 빔 프로파일에 따라서, 대상물에 조사되는 빔 형상을 원하는 대로 설정할 수 있어, 미세한 가공 제어(조사 제어)가 가능해진다.In the laser light irradiation apparatus according to one aspect of the present invention, the spatial light modulator includes a liquid crystal layer that displays a phase pattern, and the liquid crystal layer has a circular effective region and an outer side of the effective region And the first pattern may be displayed in the effective area to modulate a part of the laser light and the second pattern may be displayed in the ineffective area to modulate the remaining part of the laser light. In this case, the beam shape irradiated to the object can be set as desired in accordance with the beam profile incident on the objective lens, and fine processing control (irradiation control) becomes possible.
여기서, 본 발명의 일 측면에 관한 레이저광 조사 장치는, 레이저광을 제1 방향을 따라서 대상물에 조사하는 레이저광 조사 장치로서, 레이저광을 출력하는 레이저 광원과, 레이저 광원으로부터 출력된 레이저광을 위상 패턴에 따라 변조하여 출사하는 공간 광 변조기와, 공간 광 변조기로부터 출사된 레이저광을 대상물을 향해서 집광하는 대물 렌즈와, 레이저광의 광로에서의 공간 광 변조기와 대물 렌즈와의 사이에 배치되고, 레이저광을 집속하는 집속 렌즈와, 레이저광의 광로에서의 집속 렌즈의 후측의 초점 위치에 배치되고, 레이저광의 일부를 차단하는 슬릿 부재를 구비하며, 공간 광 변조기는, 위상 패턴을 표시하는 액정층을 포함하고, 액정층은, 대물 렌즈의 동면에 입사하는 레이저광의 일부가 입사하는 유효 영역과, 레이저광의 잔부가 입사하는 비유효 영역을 포함하며, 슬릿 부재는, 비유효 영역에서 변조된 광을 슬릿에 의해 차단한다.Here, a laser light irradiating apparatus according to one aspect of the present invention is a laser light irradiating apparatus for irradiating an object to a laser light in a first direction, comprising: a laser light source for outputting laser light; An objective lens for condensing the laser beam emitted from the spatial light modulator toward the object and a spatial light modulator disposed between the spatial light modulator and the objective lens in the optical path of the laser beam, And a slit member disposed at a focal position on the rear side of the focusing lens in the optical path of the laser beam for blocking a part of the laser beam, wherein the spatial light modulator includes a liquid crystal layer for displaying a phase pattern And the liquid crystal layer has an effective area in which a part of the laser beam incident on the coplanar surface of the objective lens is incident, And the slit member blocks the light modulated in the ineffective area by the slit.
이 레이저광 조사 장치에서는, 레이저 광원으로부터 출력된 레이저광이, 공간 광 변조기의 위상 패턴에 의해 변조된 후에, 대물 렌즈에 의해 대상물을 향해서 집광된다. 공간 광 변조기의 액정층은, 대물 렌즈의 동면에 입사하는 레이저광의 일부(유효 광)가 입사하는 유효 영역과, 레이저광의 잔부(비유효 광)가 입사하는 비유효 영역을 포함한다. 그리고, 비유효 영역에서 변조된 광은, 집속 렌즈의 후측 초점 위치에서, 슬릿 부재의 슬릿에 의해 차단된다. 그 결과, 유효 광이 슬릿을 통과하여 대상물에 조사되는 한편으로, 비유효 광이 슬릿에 의해 차단되어, 대물 렌즈(별도의 부재)에 도달하지 않는다. 따라서, 이 레이저광 조사 장치에 의하면, 레이저광의 대상물로의 조사 상태의 변화를 억제하는 것이 가능하다.In this laser light irradiation apparatus, after the laser light output from the laser light source is modulated by the phase pattern of the spatial light modulator, the laser light is condensed toward the object by the objective lens. The liquid crystal layer of the spatial light modulator includes a valid region in which a part (effective light) of laser light incident on the coplanar surface of the objective lens is incident and a non-effective region in which the remainder of the laser light (ineffective light) enters. The light modulated in the ineffective area is blocked by the slit of the slit member at the back focal position of the focusing lens. As a result, the effective light is irradiated to the object through the slit, while the ineffective light is blocked by the slit, and does not reach the objective lens (another member). Therefore, according to this laser light irradiation apparatus, it is possible to suppress the change of the irradiation state of the laser light to the object.
본 발명의 일 측면에 의하면, 레이저광의 대상물로의 조사 상태의 변화를 억제할 수 있는 레이저광 조사 장치를 제공할 수 있다.According to an aspect of the present invention, it is possible to provide a laser light irradiating device capable of suppressing a change in an irradiation state of laser light to an object.
도 1은 개질 영역의 형성에 이용되는 레이저 가공 장치의 개략 구성도이다
도 2는 개질 영역의 형성의 대상이 되는 가공 대상물의 평면도이다.
도 3은 도 2의 가공 대상물의 III-III선을 따른 단면도이다.
도 4는 레이저 가공 후의 가공 대상물의 평면도이다.
도 5는 도 4의 가공 대상물의 V-V선을 따른 단면도이다.
도 6은 도 4의 가공 대상물의 VI-VI선을 따른 단면도이다.
도 7은 실시 형태에 관한 레이저 가공 장치의 사시도이다.
도 8은 도 7의 레이저 가공 장치의 지지대에 장착되는 가공 대상물의 사시도이다.
도 9는 도 7의 XY평면을 따른 레이저 출력부의 단면도이다.
도 10은 도 7의 레이저 가공 장치에서의 레이저 출력부 및 레이저 집광부의 일부의 사시도이다.
도 11은 도 7의 XY평면을 따른 레이저 집광부의 단면도이다.
도 12는 도 11의 XII-XII선을 따른 레이저 집광부의 단면도이다.
도 13은 도 12의 XIII-XIII선을 따른 레이저 집광부의 단면도이다.
도 14는 도 7의 레이저 가공 장치에서의 반사형 공간 광 변조기의 부분 단면도이다.
도 15는 도 11의 레이저 집광부에서의 반사형 공간 광 변조기, 4f 렌즈 유닛 및 집광 렌즈 유닛의 광학적 배치 관계를 나타내는 도면이다.
도 16은 제1 실시 형태에 관한 레이저 가공 장치의 요부를 나타내는 개략 구성도이다.
도 17은 도 16에 나타내어진 반사형 공간 광 변조기로부터 가공 대상물에 이르는 레이저광의 광로 및 그 광로 상의 각 광학 요소를 모식적으로 나타내는 도면이다.
도 18은 반사형 공간 광 변조기에 표시되는 위상 패턴의 일 예를 나타내는 도면이다.
도 19는 반사형 공간 광 변조기 상의 레이저광의 강도 분포를 나타내는 화상이다.
도 20은 슬릿 부재 및 회절광의 빔 스폿을 나타내는 도면이다.
도 21은 최대 회절 거리를 설명하기 위한 도면이다.1 is a schematic structural view of a laser processing apparatus used for forming a modified region
Fig. 2 is a plan view of the object to be processed, which is the object of forming the modified region.
Fig. 3 is a cross-sectional view taken along the line III-III of Fig. 2; Fig.
4 is a plan view of the object to be processed after laser processing.
5 is a cross-sectional view taken along the line V-V of Fig.
6 is a cross-sectional view taken along line VI-VI of Fig.
7 is a perspective view of the laser machining apparatus according to the embodiment.
Fig. 8 is a perspective view of an object to be processed mounted on a support of the laser machining apparatus of Fig. 7; Fig.
9 is a cross-sectional view of the laser output portion along the XY plane of FIG.
Fig. 10 is a perspective view of a laser output part and a part of a laser condensing part in the laser processing apparatus of Fig. 7; Fig.
11 is a sectional view of the laser light collecting portion along the XY plane in Fig.
12 is a cross-sectional view of the laser light collecting part taken along the line XII-XII in FIG.
13 is a cross-sectional view of the laser light collecting part taken along line XIII-XIII in Fig.
14 is a partial cross-sectional view of a reflective spatial light modulator in the laser processing apparatus of FIG.
Fig. 15 is a diagram showing the optical arrangement relationship of the reflection type spatial light modulator, the 4f lens unit, and the condenser lens unit in the laser condensing unit of Fig. 11;
16 is a schematic configuration diagram showing a main part of the laser machining apparatus according to the first embodiment.
17 is a diagram schematically showing an optical path of a laser beam from a reflection type spatial light modulator shown in Fig. 16 to an object to be processed and each optical element on the optical path.
18 is a diagram showing an example of a phase pattern displayed on a reflective spatial light modulator.
19 is an image showing the intensity distribution of the laser light on the reflection type spatial light modulator.
20 is a view showing a slit member and a beam spot of diffracted light.
21 is a view for explaining the maximum diffraction distance.
이하, 본 발명의 일 측면의 일 실시 형태에 대해서, 도면을 참조하여 상세하게 설명한다. 또, 각 도면에서, 서로 동일한 요소 또는 서로 상당하는 요소에는 동일한 부호를 부여하고, 중복하는 설명을 생략하는 경우가 있다.BEST MODE FOR CARRYING OUT THE INVENTION Hereinafter, one embodiment of one aspect of the present invention will be described in detail with reference to the drawings. In the drawings, the same or similar elements are denoted by the same reference numerals, and redundant descriptions may be omitted.
실시 형태에 관한 레이저 가공 장치에서는, 가공 대상물에 레이저광을 집광(集光)하는 것에 의해, 절단 예정 라인을 따라서 가공 대상물에 개질(改質) 영역을 형성한다. 그러면, 먼저, 개질 영역의 형성에 대해서, 도 1~도 6을 참조하여 설명한다.In the laser processing apparatus according to the embodiment, a modified region is formed in the object along the line along which the object is intended to be cut by condensing laser light on the object. First, the formation of the modified region will be described with reference to FIGS. 1 to 6. FIG.
도 1에 나타내어지는 바와 같이, 레이저 가공 장치(100)는, 레이저광(L)을 펄스 발진(發振)하는 레이저 광원(101)과, 레이저광(L)의 광축(광로(光路))의 방향을 90°바꾸도록 배치된 다이클로익 미러(103)와, 레이저광(L)을 집광하기 위한 집광용 렌즈(105)를 구비하고 있다. 또, 레이저 가공 장치(100)는, 집광용 렌즈(105)에서 집광된 레이저광(L)이 조사되는 대상물인 가공 대상물(1)을 지지하기 위한 지지대(107)와, 지지대(107)를 이동시키기 위한 이동 기구인 스테이지(111)와, 레이저광(L)의 출력이나 펄스 폭, 펄스 파형(波形) 등을 조절하기 위해서 레이저 광원(101)을 제어하는 레이저 광원 제어부(102)와, 스테이지(111)의 이동을 제어하는 스테이지 제어부(115)를 구비하고 있다.1, the
레이저 가공 장치(100)에서는, 레이저 광원(101)으로부터 출사된 레이저광(L)은, 다이클로익 미러(103)에 의해서 그 광축의 방향이 90°바뀌어지고, 지지대(107) 상에 재치(載置)된 가공 대상물(1)의 내부에 집광용 렌즈(105)에 의해서 집광된다. 이것과 함께, 스테이지(111)가 이동시켜지고, 가공 대상물(1)이 레이저광(L)에 대해서 절단 예정 라인(5)을 따라서 상대 이동시켜진다. 이것에 의해, 절단 예정 라인(5)을 따른 개질 영역이 가공 대상물(1)에 형성된다. 또, 여기에서는, 레이저광(L)을 상대적으로 이동시키기 위해서 스테이지(111)를 이동시켰지만, 집광용 렌즈(105)를 이동시켜도 괜찮고, 혹은 이들 양쪽 모두를 이동시켜도 괜찮다.In the
가공 대상물(1)로서는, 반도체 재료로 형성된 반도체 기판이나 압전(壓電) 재료로 형성된 압전 기판 등을 포함하는 판 모양의 부재(예를 들면, 기판, 웨이퍼등)가 이용된다. 도 2에 나타내어지는 바와 같이, 가공 대상물(1)에는, 가공 대상물(1)을 절단하기 위한 절단 예정 라인(5)이 설정되어 있다. 절단 예정 라인(5)은, 직선 모양으로 연장된 가상선이다. 가공 대상물(1)의 내부에 개질 영역을 형성하는 경우, 도 3에 나타내어지는 바와 같이, 가공 대상물(1)의 내부에 집광점(집광 위치)(P)을 맞춘 상태에서, 레이저광(L)을 절단 예정 라인(5)을 따라서(즉, 도 2의 화살표 A방향으로) 상대적으로 이동시킨다. 이것에 의해, 도 4, 도 5 및 도 6에 나타내어지는 바와 같이, 개질 영역(7)이 절단 예정 라인(5)을 따라서 가공 대상물(1)에 형성되고, 절단 예정 라인(5)을 따라서 형성된 개질 영역(7)이 절단 기점 영역(8)이 된다. 절단 예정 라인(5)은, 조사 예정 라인에 대응한다.As the
집광점(P)은, 레이저광(L)이 집광하는 개소이다. 절단 예정 라인(5)은, 직선 모양에 한정하지 않고 곡선 모양이라도 좋고, 이들이 조합된 3차원 모양이라도 좋고, 좌표 지정된 것이라도 괜찮다. 절단 예정 라인(5)은, 가상선에 한정하지 않고 가공 대상물(1)의 표면(3)에 실제로 그은 선이라도 좋다. 개질 영역(7)은, 연속적으로 형성되는 경우도 있고, 단속적으로 형성되는 경우도 있다. 개질 영역(7)은 열 모양이라도 점 모양이라도 좋고, 요점은, 개질 영역(7)은 적어도 가공 대상물(1)의 내부, 표면(3) 또는 이면에 형성되어 있으면 좋다. 개질 영역(7)을 기점(起点)으로 균열이 형성되는 경우가 있으며, 균열 및 개질 영역(7)은, 가공 대상물(1)의 외표면(표면(3), 이면, 혹은 외주면)에 노출하고 있어도 괜찮다. 개질 영역(7)을 형성할 때의 레이저광 입사면은, 가공 대상물(1)의 표면(3)에 한정되는 것이 아니고, 가공 대상물(1)의 이면이라도 좋다.The light-converging point P is a position where the laser light L converges. The line along which the object is intended to be cut 5 is not limited to a straight line, but may be a curved line, a three-dimensional line in which these lines are combined, or a coordinate line. The line along which the object is intended to be cut 5 is not limited to the imaginary line but may actually be a line drawn on the
덧붙여서, 가공 대상물(1)의 내부에 개질 영역(7)을 형성하는 경우에는, 레이저광(L)은, 가공 대상물(1)을 투과함과 아울러, 가공 대상물(1)의 내부에 위치하는 집광점(P) 근방에서 특히 흡수된다. 이것에 의해, 가공 대상물(1)에 개질 영역(7)이 형성된다(즉, 내부 흡수형 레이저 가공). 이 경우, 가공 대상물(1)의 표면(3)에서는 레이저광(L)이 거의 흡수되지 않으므로, 가공 대상물(1)의 표면(3)이 용융하지는 않는다. 한편, 가공 대상물(1)의 표면(3) 또는 이면에 개질 영역(7)을 형성하는 경우에는, 레이저광(L)은, 표면(3) 또는 이면에 위치하는 집광점(P) 근방에서 특히 흡수되고, 표면(3) 또는 이면으로부터 용융되고 제거되어, 구멍이나 홈 등의 제거부가 형성된다(표면 흡수형 레이저 가공).In addition, when the modified
개질 영역(7)은, 밀도, 굴절률, 기계적 강도나 그 외의 물리적 특성이 주위와는 다른 상태로 된 영역을 말한다. 개질 영역(7)으로서는, 예를 들면, 용융 처리 영역(일단 용융 후 재고체화한 영역, 용융 상태 중의 영역 및 용융으로부터 재고체화하는 상태 중의 영역 중 적어도 어느 하나를 의미함), 크랙 영역, 절연 파괴 영역, 굴절률 변화 영역 등이 있으며, 이들이 혼재한 영역도 있다. 게다가, 개질 영역(7)으로서는, 가공 대상물(1)의 재료에서 개질 영역(7)의 밀도가 비개질 영역의 밀도와 비교하여 변화한 영역이나, 격자 결함이 형성된 영역이 있다. 가공 대상물(1)의 재료가 단결정 실리콘인 경우, 개질 영역(7)은, 고전위 밀도 영역이라고도 할 수 있다.The modified
용융 처리 영역, 굴절률 변화 영역, 개질 영역(7)의 밀도가 비개질 영역의 밀도와 비교하여 변화한 영역 및 격자 결함이 형성된 영역은, 또한, 그들 영역의 내부나 개질 영역(7)과 비개질 영역과의 계면(界面)에 균열(갈라짐, 마이크로 크랙)을 내포하고 있는 경우가 있다. 내포되는 균열은, 개질 영역(7)의 전면(全面)에 걸치는 경우나 일부분만이나 복수 부분에 형성되는 경우가 있다. 가공 대상물(1)은, 결정 구조를 가지는 결정 재료로 이루어지는 기판을 포함한다. 예를 들면 가공 대상물(1)은, 질화 갈륨(GaN), 실리콘(Si), 실리콘카바이드(SiC), LiTaO3및 사파이어(Al2O3) 중 적어도 어느 하나로 형성된 기판을 포함한다. 환언하면, 가공 대상물(1)은, 예를 들면, 질화 갈륨 기판, 실리콘 기판, SiC 기판, LiTaO3 기판, 또는 사파이어 기판을 포함한다. 결정 재료는, 이방성 결정 및 등방성 결정 중 어느 하나라도 괜찮다. 또, 가공 대상물(1)은, 비결정 구조(비정질 구조)를 가지는 비결정 재료로 이루어지는 기판을 포함하고 있어도 좋고, 예를 들면 유리 기판을 포함하고 있어도 괜찮다.The regions in which the density of the molten processed region, the refractive index change region, the modified
실시 형태에서는, 절단 예정 라인(5)을 따라서 개질 스폿(가공 흔적)을 복수 형성하는 것에 의해, 개질 영역(7)을 형성할 수 있다. 이 경우, 복수의 개질 스폿이 모이는 것에 의해서 개질 영역(7)이 된다. 개질 스폿은, 펄스 레이저광의 1펄스의 쇼트(즉 1펄스의 레이저 조사:레이저 쇼트)로 형성되는 개질 부분이다. 개질 스폿으로서는, 크랙 스폿, 용융 처리 스폿 혹은 굴절률 변화 스폿, 또는 이들의 적어도 1개가 혼재하는 것 등을 들 수 있다. 개질 스폿에 대해서는, 요구되는 절단 정밀도, 요구되는 절단면의 평탄성, 가공 대상물(1)의 두께, 종류, 결정 방위 등을 고려하여, 그 크기나 발생되는 균열의 길이를 적절히 제어할 수 있다. 또, 실시 형태에서는, 절단 예정 라인(5)을 따라서, 개질 스폿을 개질 영역(7)으로서 형성할 수 있다.In the embodiment, the modified
[실시 형태에 관한 레이저 가공 장치][Laser machining apparatus according to the embodiment]
다음으로, 실시 형태에 관한 레이저 가공 장치에 대해 설명한다. 이하의 설명에서는, 수평면내에서 서로 직교하는 방향을 X축 방향 및 Y축 방향으로 하고, 연직 방향을 Z축 방향으로 한다.Next, the laser processing apparatus according to the embodiment will be described. In the following description, the directions orthogonal to each other in the horizontal plane are the X axis direction and the Y axis direction, and the vertical direction is the Z axis direction.
[레이저 가공 장치의 전체 구성][Overall Configuration of Laser Processing Apparatus]
도 7에 나타내어지는 바와 같이, 레이저 가공 장치(200)는, 장치 프레임(210)과, 제1 이동 기구(이동 기구)(220)와, 지지대(230)와, 제2 이동 기구(240)를 구비하고 있다. 게다가, 레이저 가공 장치(200)는, 레이저 출력부(300)와, 레이저 집광부(400)와, 제어부(500)를 구비하고 있다.7, the
제1 이동 기구(220)는, 장치 프레임(210)에 장착되어 있다. 제1 이동 기구(220)는, 제1 레일 유닛(221)과, 제2 레일 유닛(222)과, 가동 베이스(223)를 가지고 있다. 제1 레일 유닛(221)은, 장치 프레임(210)에 장착되어 있다. 제1 레일 유닛(221)에는, Y축 방향을 따라서 연장되는 한 쌍의 레일(221a, 221b)이 마련되어 있다. 제2 레일 유닛(222)은, Y축 방향을 따라서 이동 가능하게 되도록, 제1 레일 유닛(221)의 한 쌍의 레일(221a, 221b)에 장착되어 있다. 제2 레일 유닛(222)에는, X축 방향을 따라서 연장되는 한 쌍의 레일(222a, 222b)이 마련되어 있다. 가동 베이스(223)는, X축 방향을 따라서 이동 가능하게 되도록, 제2 레일 유닛(222)의 한 쌍의 레일(222a, 222b)에 장착되어 있다. 가동 베이스(223)는, Z축 방향에 평행한 축선을 중심선으로 하여 회전할 수 있다.The
지지대(230)는, 가동 베이스(223)에 장착되어 있다. 지지대(230)는, 가공 대상물(1)을 지지한다. 가공 대상물(1)은, 예를 들면, 실리콘 등의 반도체 재료로 이루어지는 기판의 표면측에 복수의 기능 소자(포토 다이오드 등의 수광 소자, 레이저 다이오드 등의 발광 소자, 또는 회로로서 형성된 회로 소자 등)가 매트릭스 모양으로 형성된 것이다. 가공 대상물(1)이 지지대(230)에 지지될 때에는, 도 8에 나타내어지는 바와 같이, 고리 모양의 프레임(11)에 펼쳐진 필름(12) 상에, 예를 들면 가공 대상물(1)의 표면(1a)(복수의 기능 소자측의 면)이 붙여진다. 지지대(230)는, 클램프에 의해서 프레임(11)을 유지함과 아울러 진공 척(chuck) 테이블에 의해서 필름(12)을 흡착함으로써, 가공 대상물(1)을 지지한다. 지지대(230) 상에서, 가공 대상물(1)에는, 서로 평행한 복수의 절단 예정 라인(5a), 및 서로 평행한 복수의 절단 예정 라인(5b)이, 서로 이웃하는 기능 소자의 사이를 통과하도록 격자 모양으로 설정된다.The
도 7에 나타내어지는 바와 같이, 지지대(230)는, 제1 이동 기구(220)에서 제2 레일 유닛(222)이 동작함으로써, Y축 방향을 따라서 이동시켜진다. 또, 지지대(230)는, 제1 이동 기구(220)에서 가동 베이스(223)가 동작함으로써, X축 방향을 따라서 이동시켜진다. 게다가, 지지대(230)는, 제1 이동 기구(220)에서 가동 베이스(223)가 동작함으로써, Z축 방향에 평행한 축선을 중심선으로 하여 회전시켜진다. 이와 같이, 지지대(230)는, X축 방향 및 Y축 방향을 따라서 이동 가능하게 되고 또한 Z축 방향에 평행한 축선을 중심선으로 하여 회전 가능하게 되도록, 장치 프레임(210)에 장착되어 있다.As shown in Fig. 7, the support table 230 is moved along the Y-axis direction by the
레이저 출력부(300)는, 장치 프레임(210)에 장착되어 있다. 레이저 집광부(400)는, 제2 이동 기구(240)를 매개로 하여 장치 프레임(210)에 장착되어 있다. 레이저 집광부(400)는, 제2 이동 기구(240)가 동작함으로써, Z축 방향을 따라서 이동시켜진다. 이와 같이, 레이저 집광부(400)는, 레이저 출력부(300)에 대해서 Z축 방향을 따라서 이동 가능하게 되도록, 장치 프레임(210)에 장착되어 있다.The
제어부(500)는, CPU(Central Processing Unit), ROM(Read Only Memory) 및 RAM(Random Access Memory) 등에 의해서 구성되어 있다. 제어부(500)는, 레이저 가공 장치(200)의 각 부의 동작을 제어한다.The
일 예로서, 레이저 가공 장치(200)에서는, 다음과 같이, 각 절단 예정 라인(5a, 5b)(도 8 참조)을 따라서 가공 대상물(1)의 내부에 개질 영역이 형성된다.As an example, in the
먼저, 가공 대상물(1)의 이면(1b)(도 8 참조)이 레이저광 입사면이 되도록, 가공 대상물(1)이 지지대(230)에 지지되고, 가공 대상물(1)의 각 절단 예정 라인(5a)이 X축 방향에 평행한 방향으로 맞추어진다. 이어서, 가공 대상물(1)의 내부에서 가공 대상물(1)의 레이저광 입사면으로부터 소정 거리만큼 이간한 위치에 레이저광(L)의 집광점이 위치하도록, 제2 이동 기구(240)에 의해서 레이저 집광부(400)가 이동시켜진다. 이어서, 가공 대상물(1)의 레이저광 입사면과 레이저광(L)의 집광점과의 거리가 일정하게 유지되면서, 각 절단 예정 라인(5a)을 따라서 레이저광(L)의 집광점이 상대적으로 이동시켜진다. 이것에 의해, 각 절단 예정 라인(5a)을 따라서 가공 대상물(1)의 내부에 개질 영역이 형성된다.First, the
각 절단 예정 라인(5a)을 따른 개질 영역의 형성이 종료되면, 제1 이동 기구(220)에 의해서 지지대(230)가 회전시켜지고, 가공 대상물(1)의 각 절단 예정 라인(5b)이 X축 방향에 평행한 방향으로 맞추어진다. 이어서, 가공 대상물(1)의 내부에서 가공 대상물(1)의 레이저광 입사면으로부터 소정 거리만큼 이간한 위치에 레이저광(L)의 집광점이 위치하도록, 제2 이동 기구(240)에 의해서 레이저 집광부(400)가 이동시켜진다. 이어서, 가공 대상물(1)의 레이저광 입사면과 레이저광(L)의 집광점과의 거리가 일정하게 유지되면서, 각 절단 예정 라인(5b)을 따라서 레이저광(L)의 집광점이 상대적으로 이동시켜진다. 이것에 의해, 각 절단 예정 라인(5b)을 따라서 가공 대상물(1)의 내부에 개질 영역이 형성된다.The support table 230 is rotated by the first moving
이와 같이, 레이저 가공 장치(200)에서는, X축 방향에 평행한 방향이 가공 방향(레이저광(L)의 스캔 방향)으로 되어 있다. 또, 각 절단 예정 라인(5a)을 따른 레이저광(L)의 집광점의 상대적인 이동, 및 각 절단 예정 라인(5b)을 따른 레이저광(L)의 집광점의 상대적인 이동은, 제1 이동 기구(220)에 의해서 지지대(230)가 X축 방향을 따라서 이동시켜짐으로써, 실시된다. 또, 각 절단 예정 라인(5a) 사이에서의 레이저광(L)의 집광점의 상대적인 이동, 및 각 절단 예정 라인(5b) 사이에서의 레이저광(L)의 집광점의 상대적인 이동은, 제1 이동 기구(220)에 의해서 지지대(230)가 Y축 방향을 따라서 이동시켜짐으로써, 실시된다.Thus, in the
도 9에 나타내어지는 바와 같이, 레이저 출력부(300)는, 장착 베이스(301)와, 커버(302)와, 복수의 미러(303, 304)를 가지고 있다. 게다가, 레이저 출력부(300)는, 레이저 발진기(레이저 광원)(310)와, 셔터(320)와, λ/2 파장판 유닛(330)과, 편광판 유닛(340)과, 빔 익스팬더(350)와, 미러 유닛(360)을 가지고 있다.9, the
장착 베이스(301)는, 복수의 미러(303, 304), 레이저 발진기(310), 셔터(320), λ/2 파장판 유닛(330), 편광판 유닛(340), 빔 익스팬더(350) 및 미러 유닛(360)을 지지하고 있다. 복수의 미러(303, 304), 레이저 발진기(310), 셔터(320), λ/2 파장판 유닛(330), 편광판 유닛(340), 빔 익스팬더(350) 및 미러 유닛(360)은, 장착 베이스(301)의 주면(主面)(301a)에 장착되어 있다. 장착 베이스(301)는, 판 모양의 부재이며, 장치 프레임(210)(도 7 참조)에 대해서 착탈 가능하다. 레이저 출력부(300)는, 장착 베이스(301)를 매개로 하여 장치 프레임(210)에 장착되어 있다. 즉, 레이저 출력부(300)는, 장치 프레임(210)에 대해서 착탈 가능하다.The mounting
커버(302)는, 장착 베이스(301)의 주면(301a) 상에서, 복수의 미러(303, 304), 레이저 발진기(310), 셔터(320), λ/2 파장판 유닛(330), 편광판 유닛(340), 빔 익스팬더(350) 및 미러 유닛(360)을 덮고 있다. 커버(302)는, 장착 베이스(301)에 대해서 착탈 가능하다.The
레이저 발진기(310)는, 직선 편광의 레이저광(L)을 X축 방향을 따라서 펄스 발진한다. 레이저 발진기(310)로부터 출사되는 레이저광(L)의 파장은, 500~550nm, 1000~1150nm 또는 1300~1400nm 중 어느 하나의 파장대에 포함된다. 500~550nm의 파장대의 레이저광(L)은, 예를 들면 사파이어로 이루어지는 기판에 대한 내부 흡수형 레이저 가공에 적절하다. 1000~1150nm 및 1300~1400nm의 각 파장대의 레이저광(L)은, 예를 들면 실리콘으로 이루어지는 기판에 대한 내부 흡수형 레이저 가공에 적합하다. 레이저 발진기(310)로부터 출사되는 레이저광(L)의 편광 방향은, 예를 들면, Y축 방향에 평행한 방향이다. 레이저 발진기(310)로부터 출사된 레이저광(L)은, 미러(303)에 의해서 반사되어, Y축 방향을 따라서 셔터(320)에 입사한다.The
레이저 발진기(310)에서는, 다음과 같이, 레이저광(L)의 출력의 ON/OFF가 전환된다. 레이저 발진기(310)가 고체 레이저로 구성되어 있는 경우, 공진기 내에 마련된 Q스위치(AOM(음향 광학 변조기), EOM(전기 광학 변조기) 등)의 ON/OFF가 전환됨으로써, 레이저광(L)의 출력의 ON/OFF가 고속으로 전환된다. 레이저 발진기(310)가 파이버 레이저로 구성되어 있는 경우, 시드(seed) 레이저, 앰프(여기용(勵起用)) 레이저를 구성하는 반도체 레이저의 출력의 ON/OFF가 전환됨으로써, 레이저광(L)의 출력의 ON/OFF가 고속으로 전환된다. 레이저 발진기(310)가 외부 변조 소자를 이용하고 있는 경우, 공진기 밖에 마련된 외부 변조 소자(AOM, EOM 등)의 ON/OFF가 전환됨으로써, 레이저광(L)의 출력의 ON/OFF가 고속으로 전환된다.In the
셔터(320)는, 기계식의 기구에 의해서 레이저광(L)의 광로를 개폐한다. 레이저 출력부(300)로부터의 레이저광(L)의 출력의 ON/OFF의 전환은, 상술한 바와 같이, 레이저 발진기(310)에서의 레이저광(L)의 출력의 ON/OFF의 전환에 의해서 실시되지만, 셔터(320)가 마련되어 있음으로써, 예를 들면 레이저 출력부(300)로부터 레이저광(L)이 갑자기 출사되는 것이 방지된다. 셔터(320)를 통과한 레이저광(L)은, 미러(304)에 의해서 반사되고, X축 방향을 따라서 λ/2 파장판 유닛(330) 및 편광판 유닛(340)에 순차적으로 입사한다.The
λ/2 파장판 유닛(330) 및 편광판 유닛(340)은, 레이저광(L)의 출력(광 강도)을 조정하는 출력 조정부로서 기능한다. 또, λ/2 파장판 유닛(330) 및 편광판 유닛(340)은, 레이저광(L)의 편광 방향을 조정하는 편광 방향 조정부로서 기능한다. λ/2 파장판 유닛(330) 및 편광판 유닛(340)을 순차적으로 통과한 레이저광(L)은, X축 방향을 따라서 빔 익스팬더(350)에 입사한다.The? / 2
빔 익스팬더(350)는, 레이저광(L)의 지름을 조정하면서, 레이저광(L)을 평행화한다. 빔 익스팬더(350)를 통과한 레이저광(L)은, X축 방향을 따라서 미러 유닛(360)에 입사한다.The
미러 유닛(360)은, 지지 베이스(361)와, 복수의 미러(362, 363)를 가지고 있다. 지지 베이스(361)는, 복수의 미러(362, 363)를 지지하고 있다. 지지 베이스(361)는, X축 방향 및 Y축 방향을 따라서 위치 조정 가능하게 되도록, 장착 베이스(301)에 장착되어 있다. 미러(제1 미러)(362)는, 빔 익스팬더(350)를 통과한 레이저광(L)을 Y축 방향으로 반사한다. 미러(362)는, 그 반사면이 예를 들면 Z축에 평행한 축선 둘레로 각도 조정 가능하게 되도록, 지지 베이스(361)에 장착되어 있다.The
미러(제2 미러)(363)는, 미러(362)에 의해서 반사된 레이저광(L)을 Z축 방향으로 반사한다. 미러(363)는, 그 반사면이 예를 들면 X축에 평행한 축선 둘레로 각도 조정 가능하게 되고 또한 Y축 방향을 따라서 위치 조정 가능하게 되도록, 지지 베이스(361)에 장착되어 있다. 미러(363)에 의해서 반사된 레이저광(L)은, 지지 베이스(361)에 형성된 개구(361a)를 통과하고, Z축 방향을 따라서 레이저 집광부(400)(도 7 참조)에 입사한다. 즉, 레이저 출력부(300)에 의한 레이저광(L)의 출사 방향은, 레이저 집광부(400)의 이동 방향에 일치하고 있다. 상술한 바와 같이, 각 미러(362, 363)는, 반사면의 각도를 조정하기 위한 기구를 가지고 있다.The mirror (second mirror) 363 reflects the laser light L reflected by the
미러 유닛(360)에서는, 장착 베이스(301)에 대한 지지 베이스(361)의 위치 조정, 지지 베이스(361)에 대한 미러(363)의 위치 조정, 및 각 미러(362, 363)의 반사면의 각도 조정이 실시됨으로써, 레이저 출력부(300)로부터 출사되는 레이저광(L)의 광축의 위치 및 각도가 레이저 집광부(400)에 대해서 맞춰진다. 즉, 복수의 미러(362, 363)는, 레이저 출력부(300)로부터 출사되는 레이저광(L)의 광축을 조정하기 위한 구성이다.The position of the
도 10에 나타내어지는 바와 같이, 레이저 집광부(400)는, 케이스(401)를 가지고 있다. 케이스(401)는, Y축 방향을 길이 방향으로 하는 직방체 모양의 형상을 나타내고 있다. 케이스(401)의 일방의 측면(401e)에는, 제2 이동 기구(240)가 장착되어 있다(도 11 및 도 13 참조). 케이스(401)에는, 미러 유닛(360)의 개구(361a)와 Z축 방향에서 대향하도록, 원통 모양의 광 입사부(401a)가 마련되어 있다. 광 입사부(401a)는, 레이저 출력부(300)로부터 출사된 레이저광(L)을 케이스(401) 내에 입사시킨다. 미러 유닛(360)과 광 입사부(401a)는, 제2 이동 기구(240)에 의해서 레이저 집광부(400)가 Z축 방향을 따라서 이동시켜졌을 때에 서로 접촉하지 않는 거리만큼, 서로 이간하고 있다.As shown in Fig. 10, the laser
도 11 및 도 12에 나타내어지는 바와 같이, 레이저 집광부(400)는, 미러(402)와, 다이클로익 미러(403)를 가지고 있다. 게다가, 레이저 집광부(400)는, 반사형 공간 광 변조기(410)와, 4f 렌즈 유닛(420)과, 집광 렌즈 유닛(대물 렌즈)(430)과, 구동 기구(440)와, 한 쌍의 측거(測距) 센서(450)를 가지고 있다.As shown in Figs. 11 and 12, the
미러(402)는, 광 입사부(401a)와 Z축 방향에서 대향하도록, 케이스(401)의 저면(401b)에 장착되어 있다. 미러(402)는, 광 입사부(401a)를 거쳐 케이스(401) 내에 입사한 레이저광(L)을 XY평면에 평행한 방향으로 반사한다. 미러(402)에는, 레이저 출력부(300)의 빔 익스팬더(350)에 의해서 평행화된 레이저광(L)이 Z축 방향을 따라서 입사한다. 즉, 미러(402)에는, 레이저광(L)이 평행 광으로서 Z축 방향을 따라서 입사한다. 그 때문에, 제2 이동 기구(240)에 의해서 레이저 집광부(400)가 Z축 방향을 따라서 이동시켜져도, Z축 방향을 따라서 미러(402)에 입사하는 레이저광(L)의 상태는 일정하게 유지된다. 미러(402)에 의해서 반사된 레이저광(L)은, 반사형 공간 광 변조기(410)에 입사한다.The
반사형 공간 광 변조기(410)는, 반사면(410a)이 케이스(401) 내에 면한 상태에서, Y축 방향에서의 케이스(401)의 단부(401c)에 장착되어 있다. 반사형 공간 광 변조기(410)는, 예를 들면 반사형 액정(LCOS:Liquid Crystal on Silicon)의 공간 광 변조기(SLM:Spatial Light Modulator)이며, 레이저광(L)을 변조하면서, 레이저광(L)을 Y축 방향으로 반사한다. 반사형 공간 광 변조기(410)에 의해서 변조됨과 아울러 반사된 레이저광(L)은, Y축 방향을 따라서 4f 렌즈 유닛(420)에 입사한다. 여기서, XY평면에 평행한 평면 내에서, 반사형 공간 광 변조기(410)에 입사하는 레이저광(L)의 광축과, 반사형 공간 광 변조기(410)로부터 출사되는 레이저광(L)의 광축이 이루는 각도(α)는, 예각(예를 들면, 10~60°)으로 되어 있다. 즉, 레이저광(L)은, 반사형 공간 광 변조기(410)에서 XY평면을 따라서 예각으로 반사된다. 이것은, 레이저광(L)의 입사각 및 반사각을 억제하여 회절 효율의 저하를 억제하고, 반사형 공간 광 변조기(410)의 성능을 충분히 발휘시키기 때문이다. 또, 반사형 공간 광 변조기(410)에서는, 예를 들면, 액정이 이용된 광 변조층의 두께가 수μm~수십μm 정도로 매우 얇기 때문에, 반사면(410a)은, 광 변조층의 광 입출사면과 실질적으로 동일하다고 파악할 수 있다.The reflective spatial
4f 렌즈 유닛(420)은, 홀더(421)와, 반사형 공간 광 변조기(410)측의 렌즈(422)와, 집광 렌즈 유닛(430)측의 렌즈(423)와, 슬릿 부재(424)를 가지고 있다. 홀더(421)는, 한 쌍의 렌즈(422, 423) 및 슬릿 부재(424)를 유지하고 있다. 홀더(421)는, 레이저광(L)의 광축을 따른 방향에서의 한 쌍의 렌즈(422, 423) 및 슬릿 부재(424)의 서로의 위치 관계를 일정하게 유지하고 있다. 한 쌍의 렌즈(422, 423)는, 반사형 공간 광 변조기(410)의 반사면(410a)과 집광 렌즈 유닛(430)의 입사동면(동면)(430a)이 결상 관계에 있는 양측 텔레센트릭 광학계를 구성하고 있다.The
이것에 의해, 반사형 공간 광 변조기(410)의 반사면(410a)에서의 레이저광(L)의 상(像)(반사형 공간 광 변조기(410)에서 변조된 레이저광(L)의 상(像))이, 집광 렌즈 유닛(430)의 입사동면(430a)에 전상(輾像)(결상)된다. 슬릿 부재(424)에는, 슬릿(424a)이 형성되어 있다. 슬릿(424a)은, 렌즈(422)와 렌즈(423)와의 사이 로서, 렌즈(422)의 초점면 부근에 위치하고 있다. 반사형 공간 광 변조기(410)에 의해서 변조됨과 아울러 반사된 레이저광(L) 중 불필요한 부분은, 슬릿 부재(424)에 의해서 차단된다. 4f 렌즈 유닛(420)을 통과한 레이저광(L)은, Y축 방향을 따라서 다이클로익 미러(403)에 입사한다.As a result, an image of the laser light L at the reflecting
다이클로익 미러(403)는, 레이저광(L)의 대부분(예를 들면, 95~99.5%)를 Z축 방향으로 반사하고, 레이저광(L)의 일부(예를 들면, 0.5~5%)를 Y축 방향을 따라서 투과시킨다. 레이저광(L)의 대부분은, 다이클로익 미러(403)에서 ZX평면을 따라서 직각으로 반사된다. 다이클로익 미러(403)에 의해서 반사된 레이저광(L)은, Z축 방향을 따라서 집광 렌즈 유닛(430)에 입사한다.The
집광 렌즈 유닛(430)은, Y축 방향에서의 케이스(401)의 단부(401d)(단부(401c)의 반대측의 단부)에, 구동 기구(440)를 매개로 하여 장착되어 있다. 집광 렌즈 유닛(430)은, 홀더(431)와, 복수의 렌즈(432)를 가지고 있다. 홀더(431)는, 복수의 렌즈(432)를 유지하고 있다. 복수의 렌즈(432)는, 지지대(230)에 지지된 가공 대상물(1)(도 7 참조)에 대해서 레이저광(L)을 집광한다. 구동 기구(440)는, 압전 소자의 구동력에 의해서, 집광 렌즈 유닛(430)을 Z축 방향을 따라서 이동시킨다.The
한 쌍의 측거 센서(450)는, X축 방향에서 집광 렌즈 유닛(430)의 양측에 위치하도록, 케이스(401)의 단부(401d)에 장착되어 있다. 각 측거 센서(450)는, 지지대(230)에 지지된 가공 대상물(1)(도 7 참조)의 레이저광 입사면에 대해서 측거용의 광(예를 들면, 레이저광)을 출사하고, 당해 레이저광 입사면에 의해서 반사된 측거용의 광을 검출함으로써, 가공 대상물(1)의 레이저광 입사면의 변위 데이터를 취득한다. 또, 측거 센서(450)에는, 삼각 측거 방식, 레이저 공초점(共焦点) 방식, 백색 공초점 방식, 분광 간섭 방식, 비점수차(非点收差) 방식 등의 센서를 이용할 수 있다.A pair of the
레이저 가공 장치(200)에서는, 상술한 바와 같이, X축 방향에 평행한 방향이 가공 방향(레이저광(L)의 스캔 방향)으로 되어 있다. 그 때문에, 각 절단 예정 라인(5a, 5b)을 따라서 레이저광(L)의 집광점이 상대적으로 이동시켜질 때에, 한 쌍의 측거 센서(450) 중 집광 렌즈 유닛(430)에 대해서 상대적으로 선행하는 측거 센서(450)가, 각 절단 예정 라인(5a, 5b)을 따른 가공 대상물(1)의 레이저광 입사면의 변위 데이터를 취득한다. 그리고, 가공 대상물(1)의 레이저광 입사면과 레이저광(L)의 집광점과의 거리가 일정하게 유지되도록, 구동 기구(440)가, 측거 센서(450)에 의해서 취득된 변위 데이터에 근거하여 집광 렌즈 유닛(430)을 Z축 방향을 따라서 이동시킨다.In the
레이저 집광부(400)는, 빔 스플리터(461)와, 한 쌍의 렌즈(462, 463)와, 프로파일 취득용 카메라(강도 분포 취득부)(464)를 가지고 있다. 빔 스플리터(461)는, 다이클로익 미러(403)를 투과한 레이저광(L)을 반사 성분과 투과 성분으로 나눈다. 빔 스플리터(461)에 의해서 반사된 레이저광(L)은, Z축 방향을 따라서 한 쌍의 렌즈(462, 463) 및 프로파일 취득용 카메라(464)에 순차적으로 입사한다. 한 쌍의 렌즈(462, 463)는, 집광 렌즈 유닛(430)의 입사동면(430a)과 프로파일 취득용 카메라(464)의 촬상면이 결상 관계에 있는 양측 텔레센트릭(telecentric) 광학계를 구성하고 있다. 이것에 의해, 집광 렌즈 유닛(430)의 입사동면(430a)에서의 레이저광(L)의 상이, 프로파일 취득용 카메라(464)의 촬상면에 전상(輾像)(결상)된다. 상술한 바와 같이, 집광 렌즈 유닛(430)의 입사동면(430a)에서의 레이저광(L)의 상은, 반사형 공간 광 변조기(410)에서 변조된 레이저광(L)의 상이다. 따라서, 레이저 가공 장치(200)에서는, 프로파일 취득용 카메라(464)에 의한 촬상 결과를 감시함으로써, 반사형 공간 광 변조기(410)의 동작 상태를 파악할 수 있다.The
게다가, 레이저 집광부(400)는, 빔 스플리터(471)와, 렌즈(472)와, 레이저광(L)의 광축 위치 모니터용의 카메라(473)를 가지고 있다. 빔 스플리터(471)는, 빔 스플리터(461)를 투과한 레이저광(L)을 반사 성분과 투과 성분으로 나눈다. 빔 스플리터(471)에 의해서 반사된 레이저광(L)은, Z축 방향을 따라서 렌즈(472) 및 카메라(473)에 순차적으로 입사한다. 렌즈(472)는, 입사한 레이저광(L)을 카메라(473)의 촬상면 상에 집광한다. 레이저 가공 장치(200)에서는, 카메라(464) 및 카메라(473)의 각각에 의한 촬상 결과를 감시하면서, 미러 유닛(360)에서, 장착 베이스(301)에 대한 지지 베이스(361)의 위치 조정, 지지 베이스(361)에 대한 미러(363)의 위치 조정, 및 각 미러(362, 363)의 반사면의 각도 조정을 실시함으로써(도 9 및 도 10 참조), 집광 렌즈 유닛(430)에 입사하는 레이저광(L)의 광축의 어긋남(집광 렌즈 유닛(430)에 대한 레이저광의 강도 분포의 위치 어긋남 및 집광 렌즈 유닛(430)에 대한 레이저광(L)의 광축의 각도 어긋남)을 보정할 수 있다.In addition, the
복수의 빔 스플리터(461, 471)는, 케이스(401)의 단부(401d)로부터 Y축 방향을 따라서 연장되는 통체(404) 내에 배치되어 있다. 한 쌍의 렌즈(462, 463)는, Z축 방향을 따라서 통체(404) 상에 세워 마련된 통체(405) 내에 배치되어 있고, 프로파일 취득용 카메라(464)는, 통체(405)의 단부에 배치되어 있다. 렌즈(472)는, Z축 방향을 따라서 통체(404) 상에 세워 마련된 통체(406) 내에 배치되어 있으며, 카메라(473)는, 통체(406)의 단부에 배치되어 있다. 통체(405)와 통체(406)는, Y축 방향에서 서로 병설되어 있다. 또, 빔 스플리터(471)를 투과한 레이저광(L)은, 통체(404)의 단부에 마련된 댐퍼 등에 흡수되도록 해도 괜찮고, 혹은, 적절한 용도로 이용되도록 해도 괜찮다.A plurality of
도 12 및 도 13에 나타내어지는 바와 같이, 레이저 집광부(400)는, 가시 광원(481)과, 복수의 렌즈(482)와, 레티클(reticle)(483)과, 미러(484)와, 하프 미러(485)와, 빔 스플리터(486)와, 렌즈(487)와, 관찰 카메라(488)를 가지고 있다. 가시 광원(481)은, Z축 방향을 따라서 가시광(V)을 출사한다. 복수의 렌즈(482)는, 가시 광원(481)으로부터 출사된 가시광(V)을 평행화한다. 레티클(483)은, 가시광(V)에 눈금선을 부여한다. 미러(484)는, 복수의 렌즈(482)에 의해서 평행화된 가시광(V)을 X축 방향으로 반사한다. 하프 미러(485)는, 미러(484)에 의해서 반사된 가시광(V)을 반사 성분과 투과 성분으로 나눈다. 하프 미러(485)에 의해서 반사된 가시광(V)은, Z축 방향을 따라서 빔 스플리터(486) 및 다이클로익 미러(403)를 순차적으로 투과하고, 집광 렌즈 유닛(430)을 거쳐, 지지대(230)에 지지된 가공 대상물(1)(도 7 참조)에 조사된다.12 and 13, the
가공 대상물(1)에 조사된 가시광(V)은, 가공 대상물(1)의 레이저광 입사면에 의해서 반사되고, 집광 렌즈 유닛(430)을 거쳐 다이클로익 미러(403)에 입사하여, Z축 방향을 따라서 다이클로익 미러(403)를 투과한다. 빔 스플리터(486)는, 다이클로익 미러(403)를 투과한 가시광(V)을 반사 성분과 투과 성분으로 나눈다. 빔 스플리터(486)를 투과한 가시광(V)은, 하프 미러(485)를 투과하여, Z축 방향을 따라서 렌즈(487) 및 관찰 카메라(488)에 순차적으로 입사한다. 렌즈(487)는, 입사한 가시광(V)을 관찰 카메라(488)의 촬상면 상에 집광한다. 레이저 가공 장치(200)에서는, 관찰 카메라(488)에 의한 촬상 결과를 관찰함으로써, 가공 대상물(1)의 상태를 파악할 수 있다.The visible light V irradiated on the
미러(484), 하프 미러(485) 및 빔 스플리터(486)는, 케이스(401)의 단부(401d) 상에 장착된 홀더(407) 내에 배치되어 있다. 복수의 렌즈(482) 및 레티클(483)은, Z축 방향을 따라서 홀더(407) 상에 세워 마련된 통체(408) 내에 배치되어 있고, 가시 광원(481)은, 통체(408)의 단부에 배치되어 있다. 렌즈(487)는, Z축 방향을 따라서 홀더(407) 상에 세워 마련된 통체(409) 내에 배치되어 있고, 관찰 카메라(488)는, 통체(409)의 단부에 배치되어 있다. 통체(408)와 통체(409)는, X축 방향에서 서로 병설되어 있다. 또, X축 방향을 따라서 하프 미러(485)를 투과한 가시광(V), 및 빔 스플리터(486)에 의해서 X축 방향으로 반사된 가시광(V)은, 각각, 홀더(407)의 벽부에 마련된 댐퍼 등에 흡수되도록 해도 괜찮고 또는 적절한 용도로 이용되도록 해도 괜찮다.The
레이저 가공 장치(200)에서는, 레이저 출력부(300)의 교환이 상정(想定)되어 있다. 이것은, 가공 대상물(1)의 사양, 가공 조건 등에 따라서, 가공에 적절한 레이저광(L)의 파장이 다르기 때문이다. 그 때문에, 출사하는 레이저광(L)의 파장이 서로 다른 복수의 레이저 출력부(300)가 준비된다. 여기에서는, 출사하는 레이저광(L)의 파장이 500~550nm의 파장대에 포함되는 레이저 출력부(300), 출사하는 레이저광(L)의 파장이 1000~1150nm의 파장대에 포함되는 레이저 출력부(300), 및 출사하는 레이저광(L)의 파장이 1300~1400nm의 파장대에 포함되는 레이저 출력부(300)가 준비된다.In the
한편, 레이저 가공 장치(200)에서는, 레이저 집광부(400)의 교환이 상정되어 있지 않다. 이것은, 레이저 집광부(400)가 멀티 파장에 대응하고 있기(서로 연속하지 않는 복수의 파장대에 대응하고 있기) 때문이다. 구체적으로는, 미러(402), 반사형 공간 광 변조기(410), 4f 렌즈 유닛(420)의 한 쌍의 렌즈(422, 423), 다이클로익 미러(403), 및 집광 렌즈 유닛(430)의 렌즈(432) 등이 멀티 파장에 대응하고 있다.On the other hand, in the
여기에서는, 레이저 집광부(400)는, 500~550nm, 1000~1150nm 및 1300~1400nm의 파장대에 대응하고 있다. 이것은, 레이저 집광부(400)의 각 구성에 소정의 유전체 다층막을 코팅하는 것 등, 소망의 광학 성능이 만족되도록 레이저 집광부(400)의 각 구성이 설계됨으로써 실현된다. 또, 레이저 출력부(300)에서, λ/2 파장판 유닛(330)은 λ/2 파장판을 가지고 있고, 편광판 유닛(340)은 편광판을 가지고 있다. λ/2 파장판 및 편광판은, 파장 의존성이 높은 광학 소자이다. 그 때문에, λ/2 파장판 유닛(330) 및 편광판 유닛(340)은, 파장대마다 다른 구성으로서 레이저 출력부(300)에 마련되어 있다.Here, the
[레이저 가공 장치에서의 레이저광의 광로 및 편광 방향][Optical path and polarization direction of laser beam in laser processing apparatus]
레이저 가공 장치(200)에서는, 지지대(230)에 지지된 가공 대상물(1)에 대해서 집광되는 레이저광(L)의 편광 방향은, 도 11에 나타내어지는 바와 같이, X축 방향에 평행한 방향이며, 가공 방향(레이저광(L)의 스캔 방향)과 일치하고 있다. 여기서, 반사형 공간 광 변조기(410)에서는, 레이저광(L)이 P편광으로서 반사된다. 이것은, 반사형 공간 광 변조기(410)의 광 변조층에 액정이 이용되어 있는 경우에서, 반사형 공간 광 변조기(410)에 대해서 입출사하는 레이저광(L)의 광축을 포함하는 평면에 평행한 면내에서 액정 분자가 경사지도록, 당해 액정이 배향되어 있을 때에는, 편파면(偏波面)의 회전이 억제된 상태에서 레이저광(L)에 위상 변조(phase modulation)가 실시되기 때문이다(예를 들면, 일본특허 제3878758호 공보 참조).In the
한편, 다이클로익 미러(403)에서는, 레이저광(L)이 S편광으로서 반사된다. 이것은, 레이저광(L)을 P편광으로서 반사시키는 것보다도, 레이저광(L)을 S편광으로서 반사시키는 쪽이, 다이클로익 미러(403)를 멀티 파장에 대응시키기 위한 유전체 다층막의 코팅수가 감소하는 등, 다이클로익 미러(403)의 설계가 용이해지기 때문이다.On the other hand, in the
따라서, 레이저 집광부(400)에서는, 미러(402)로부터 반사형 공간 광 변조기(410) 및 4f 렌즈 유닛(420)을 거쳐 다이클로익 미러(403)에 이르는 광로가, XY평면을 따르도록 설정되어 있고, 다이클로익 미러(403)로부터 집광 렌즈 유닛(430)에 이르는 광로가, Z축 방향을 따르도록 설정되어 있다.Therefore, in the
도 9에 나타내어지는 바와 같이, 레이저 출력부(300)에서는, 레이저광(L)의 광로가 X축 방향 또는 Y축 방향을 따르도록 설정되어 있다. 구체적으로는, 레이저 발진기(310)로부터 미러(303)에 이르는 광로 그리고 미러(304)로부터 λ/2 파장판 유닛(330), 편광판 유닛(340) 및 빔 익스팬더(350)를 거쳐 미러 유닛(360)에 이르는 광로가, X축 방향을 따르도록 설정되어 있으며, 미러(303)으로부터 셔터(320)를 거쳐 미러(304)에 이르는 광로 및 미러 유닛(360)에서 미러(362)로부터 미러(363)에 이르는 광로가, Y축 방향을 따르도록 설정되어 있다.9, in the
여기서, Z축 방향을 따라서 레이저 출력부(300)로부터 레이저 집광부(400)로 진행한 레이저광(L)은, 도 11에 나타내어지는 바와 같이, 미러(402)에 의해서 XY평면에 평행한 방향으로 반사되고, 반사형 공간 광 변조기(410)에 입사한다. 이 때, XY평면에 평행한 평면 내에서, 반사형 공간 광 변조기(410)에 입사하는 레이저광(L)의 광축과, 반사형 공간 광 변조기(410)로부터 출사되는 레이저광(L)의 광축은, 예각인 각도(α)를 이루고 있다. 한편, 상술한 바와 같이, 레이저 출력부(300)에서는, 레이저광(L)의 광로가 X축 방향 또는 Y축 방향을 따르도록 설정되어 있다.11, laser light L that has traveled from the
따라서, 레이저 출력부(300)에서, λ/2 파장판 유닛(330) 및 편광판 유닛(340)을, 레이저광(L)의 출력을 조정하는 출력 조정부로서 뿐만 아니라, 레이저광(L)의 편광 방향을 조정하는 편광 방향 조정부로서도 기능시킬 필요가 있다.Therefore, in the
[반사형 공간 광 변조기][Reflective spatial light modulator]
도 14에 나타내어지는 바와 같이, 반사형 공간 광 변조기(410)는, 실리콘 기판(213), 구동 회로층(914), 복수의 화소 전극(214), 유전체 다층막 미러 등의 반사막(215), 배향막(999a), 액정층(표시부)(216), 배향막(999b), 투명 도전막(217), 및 유리 기판 등의 투명 기판(218)이 이 순서로 적층됨으로써 구성되어 있다.14, the reflective spatial
투명 기판(218)은, 표면(218a)을 가지고 있고, 이 표면(218a)은, 반사형 공간 광 변조기(410)의 반사면(410a)을 구성하고 있다. 투명 기판(218)은, 예를 들면 유리 등의 광 투과성 재료로 이루어지며, 반사형 공간 광 변조기(410)의 표면(218a)으로부터 입사한 소정 파장의 레이저광(L)을, 반사형 공간 광 변조기(410)의 내부로 투과시킨다. 투명 도전막(217)은, 투명 기판(218)의 이면 상에 형성되어 있고, 레이저광(L)을 투과하는 도전성 재료(예를 들면 ITO)로 이루어진다.The
복수의 화소 전극(214)은, 투명 도전막(217)을 따라서 실리콘 기판(213) 상에 매트릭스 모양으로 배열되어 있다. 각 화소 전극(214)은, 예를 들면 알루미늄 등의 금속 재료로 이루어지고, 이들 표면(214a)은, 평탄하게 또한 매끄럽게 가공되어 있다. 복수의 화소 전극(214)은, 구동 회로층(914)에 마련된 액티브·매트릭스 회로에 의해서 구동된다.The plurality of
액티브·매트릭스 회로는, 복수의 화소 전극(214)과 실리콘 기판(213)과의 사이에 마련되어 있고, 반사형 공간 광 변조기(410)로부터 출력하려고 하는 광상(光像)에 따라 각 화소 전극(214)으로의 인가 전압을 제어한다. 이러한 액티브·매트릭스 회로는, 예를 들면 도시하지 않은 X축 방향으로 늘어선 각 화소열의 인가 전압을 제어하는 제1 드라이버 회로와, Y축 방향으로 늘어선 각 화소열의 인가 전압을 제어하는 제2 드라이버 회로를 가지고 있으며, 제어부(500)에서의 후술의 공간 광 변조기 제어부(502)(도 16 참조)에 의해서 쌍방의 드라이버 회로에서 지정된 화소의 화소 전극(214)에 소정 전압이 인가되도록 구성되어 있다.The active matrix circuit is provided between the plurality of
배향막(999a, 999b)은, 액정층(216)의 양단면(兩端面)에 배치되어 있고, 액정 분자군을 일정 방향으로 배열시킨다. 배향막(999a, 999b)은, 예를 들면 폴리이미드 등의 고분자 재료로 이루어지고, 액정층(216)과의 접촉면에 러빙(rubbing) 처리 등이 실시되어 있다.The
액정층(216)은, 복수의 화소 전극(214)과 투명 도전막(217)과의 사이에 배치되어 있고, 각 화소 전극(214)과 투명 도전막(217)에 의해 형성되는 전계에 따라 레이저광(L)을 변조한다. 즉, 구동 회로층(914)의 액티브·매트릭스 회로에 의해서 각 화소 전극(214)에 전압이 인가되면, 투명 도전막(217)과 각 화소 전극(214)과의 사이에 전계가 형성되고, 액정층(216)에 형성된 전계의 크기에 따라 액정 분자(216a)의 배열 방향이 변화한다. 그리고, 레이저광(L)이 투명 기판(218) 및 투명 도전막(217)을 투과하여 액정층(216)에 입사하면, 이 레이저광(L)은, 액정층(216)을 통과하는 동안에 액정 분자(216a)에 의해서 변조되고, 반사막(215)에서 반사한 후, 다시 액정층(216)에 의해 변조되어, 출사한다.The
이 때, 후술의 공간 광 변조기 제어부(502)(도 16 참조)에 의해서 각 화소 전극(214)에 인가되는 전압이 제어되고, 그 전압에 따라서, 액정층(216)에서 투명 도전막(217)과 각 화소 전극(214) 사이에 끼워진 부분의 굴절률이 변화한다(각 화소에 대응한 위치의 액정층(216)의 굴절률이 변화한다). 이 굴절률의 변화에 의해, 인가한 전압에 따라서, 레이저광(L)의 위상을 액정층(216)의 화소마다 변화시킬 수 있다. 즉, 홀로그램 패턴에 따른 위상 변조(phase modulation)를 화소마다 액정층(216)에 의해서 부여할 수 있다.At this time, the voltage applied to each
환언하면, 변조를 부여하는 홀로그램 패턴으로서의 변조 패턴을, 반사형 공간 광 변조기(410)의 액정층(216)에 표시시킬 수 있다. 변조 패턴에 입사하고 투과하는 레이저광(L)은, 그 파면이 조정되어, 그 레이저광(L)을 구성하는 각 광선에서 진행 방향에 직교하는 소정 방향의 성분의 위상에 어긋남이 생긴다. 따라서, 반사형 공간 광 변조기(410)에 표시시키는 변조 패턴을 적절히 설정하는 것에 의해, 레이저광(L)이 변조(예를 들면, 레이저광(L)의 강도, 진폭, 위상, 편광 등이 변조) 가능해진다.In other words, a modulation pattern as a hologram pattern for giving modulation can be displayed on the
[4f 렌즈 유닛][4f lens unit]
상술한 바와 같이, 4f 렌즈 유닛(420)의 한 쌍의 렌즈(422, 423)는, 반사형 공간 광 변조기(410)의 반사면(410a)과 집광 렌즈 유닛(430)의 입사동면(430a)이 결상 관계에 있는 양측 텔레센트릭 광학계를 구성하고 있다. 구체적으로는, 도 15에 나타내어지는 바와 같이, 반사형 공간 광 변조기(410)측의 렌즈(422)의 중심과 반사형 공간 광 변조기(410)의 반사면(410a)과의 사이의 광로의 거리가 렌즈(422)의 제1 초점 거리(f1)가 되고, 집광 렌즈 유닛(430)측의 렌즈(423)의 중심과 집광 렌즈 유닛(430)의 입사동면(430a)과의 사이의 광로의 거리가 렌즈(423)의 제2 초점 거리(f2)가 되며, 렌즈(422)의 중심과 렌즈(423)의 중심과의 사이의 광로의 거리가 제1 초점 거리(f1)와 제2 초점 거리(f2)와의 합(즉, f1+f2)으로 되어 있다. 반사형 공간 광 변조기(410)로부터 집광 렌즈 유닛(430)에 이르는 광로 중 한 쌍의 렌즈(422, 423) 사이의 광로는, 일직선이다.As described above, the pair of
레이저 가공 장치(200)에서는, 반사형 공간 광 변조기(410)의 반사면(410a)에서의 레이저광(L)의 유효 지름을 크게 하는 관점으로부터, 양측 텔레센트릭 광학계의 배율(M)이, 0.5<M<1(축소계)을 만족하고 있다. 반사형 공간 광 변조기(410)의 반사면(410a)에서의 레이저광(L)의 유효 지름이 클수록, 고정밀 위상 패턴으로 레이저광(L)이 변조된다. 반사형 공간 광 변조기(410)로부터 집광 렌즈 유닛(430)에 이르는 레이저광(L)의 광로가 길어지는 것을 억제한다고 하는 관점에서는, 0.6≤M≤0.95로 할 수 있다. 여기서, (양측 텔레센트릭 광학계의 배율(M))=(집광 렌즈 유닛(430)의 입사동면(430a)에서의 상의 크기)/(반사형 공간 광 변조기(410)의 반사면(410a)에서의 물체의 크기)이다. 레이저 가공 장치(200)의 경우, 양측 텔레센트릭 광학계의 배율(M), 렌즈(422)의 제1 초점 거리(f1) 및 렌즈(423)의 제2 초점 거리(f2)가, M=f2/f1를 만족하고 있다.The magnification M of the both-side telecentric optical system is set so that the effective diameter of the laser light L at the
또, 반사형 공간 광 변조기(410)의 반사면(410a)에서의 레이저광(L)의 유효 지름을 작게 하는 관점으로부터, 양측 텔레센트릭 광학계의 배율(M)이, 1<M<2(확대계)를 만족하고 있어도 괜찮다. 반사형 공간 광 변조기(410)의 반사면(410a)에서의 레이저광(L)의 유효 지름이 작을수록, 빔 익스팬더(350)(도 9 참조)의 배율이 작아져, XY평면에 평행한 평면 내에서, 반사형 공간 광 변조기(410)에 입사하는 레이저광(L)의 광축과, 반사형 공간 광 변조기(410)로부터 출사되는 레이저광(L)의 광축이 이루는 각도(α)(도 11 참조)가 작아진다. 반사형 공간 광 변조기(410)로부터 집광 렌즈 유닛(430)에 이르는 레이저광(L)의 광로가 길어지는 것을 억제한다고 하는 관점에서는, 1.05≤M≤1.7로 할 수 있다.From the viewpoint of reducing the effective diameter of the laser light L at the reflecting
다음으로, 제1 실시 형태에 관한 레이저 가공 장치(200)의 요부에 대해 상세하게 설명한다.Next, the essential parts of the
도 16은, 제1 실시 형태에 관한 레이저 가공 장치(200)의 요부를 나타내는 개략 구성도이다. 도 17은, 도 16에 나타내어진 반사형 공간 광 변조기로부터 가공 대상물에 이르는 레이저광의 광로 및 그 광로 상의 각 광학 요소를 모식적으로 나타내는 도면이다. 도 17에서는, 다이클로익 미러(403)가 생략되어 있다. 레이저광(L)은, 예를 들면, Y축 방향을 따라서 진행한 후에, 위치(Pd)에서 다이클로익 미러(403)에 의해 Z축 방향으로 반사되고. Z축 방향으로 진행히야 집광 렌즈 유닛(430)에 입사한다.Fig. 16 is a schematic configuration diagram showing a main part of a
도 16, 17에 나타내어지는 바와 가이, 레이저 출력부(300)(레이저 발진기(310))로부터 출력된 레이저광(L)은, 반사형 공간 광 변조기(410)에 입사한다. 반사형 공간 광 변조기(410)는, 입사된 레이저광(L)을, 액정층(216)에 표시된 위상 패턴에 따라 변조하여 출사한다. 반사형 공간 광 변조기(410)로부터 출사한 레이저광(L)은, 4f 렌즈 유닛(420)의 릴레이 렌즈인 렌즈(집속 렌즈)(422)에서 집속된 후, 4f 렌즈 유닛(420)의 릴레이 렌즈인 렌즈(423)에서 콜리메이트되어, 다이클로익 미러(403)에 입사한다. 다이클로익 미러(403)에 입사한 레이저광(L)은, 반사광과 투과광으로 분기된다. 다이클로익 미러(403)에서 반사한 레이저광(L)은, 집광 렌즈 유닛(430)에 입사한다.16 and 17, the laser light L output from the laser output unit 300 (laser oscillator 310) is incident on the reflection type spatial
즉, 레이저 가공 장치(200)는, 레이저광(L)의 광로에서의 반사형 공간 광 변조기(410)와 집광 렌즈 유닛(430)과의 사이에 배치된 렌즈(422)를 구비하고 있다. 집광 렌즈 유닛(430)에 입사한 레이저광(L)은, 집광 렌즈 유닛(430)에 의해 가공 대상물(1)을 향하여 집광된다. 한편, 다이클로익 미러(403)를 투과한 레이저광(L)은, 릴레이 렌즈인 상기 렌즈(463)에서 집속되고, 프로파일 취득용 카메라(464)의 촬상면(464a)에 입사한다.That is, the
한 쌍의 렌즈(422, 423)는, 반사형 공간 광 변조기(410)의 반사면(410a)에서의 레이저광(L)의 파면(波面)을, 집광 렌즈 유닛(430)의 입사동면(430a)과, 다이클로익 미러(403)의 하류측(후단)의 공역면(491)에 릴레이한다. 렌즈(463)는, 한 쌍의 렌즈(422, 423)에 의해서 공역면(491)에 릴레이된 레이저광(L)의 파면(액정층(216)에서의 실상)을, 프로파일 취득용 카메라(464)의 촬상면(464a)에 릴레이(결상)한다. 이것에 의해, 액정층(216)과, 집광 렌즈 유닛(430)의 입사동면(430a)과, 공역면(491)과, 프로파일 취득용 카메라(464)의 촬상면(464a)은, 서로 공역의 관계를 구성한다.The pair of
프로파일 취득용 카메라(464)는, 다이클로익 미러(403)에서 분기된 레이저광(L)의 강도 분포를 취득하는 촬상 장치이다. 구체적으로는, 프로파일 취득용 카메라(464)는, 반사형 공간 광 변조기(410)로부터 출사되어 집광 렌즈 유닛(430)에 입사하기 전의 레이저광(L)에 대한 빔 단면의 강도 분포에 관한 화상(강도 분포 화상)을 정지 화상으로서 촬상한다. 촬상한 강도 분포 화상을 제어부(500)로 출력한다. 프로파일 취득용 카메라(464)로서는, 예를 들면, CMOS(Complementar Metal Oxide Semiconductor) 이미지 센서가 이용된다.The
제어부(500)는, 상기 레이저 광원 제어부(102)와, 공간 광 변조기 제어부(제어부)(502), 카메라 제어부(504) 및 기억부(510)를 가지고 있다. 레이저 광원 제어부(102)는, 레이저 발진기(310)의 동작을 제어한다. 또, 레이저 광원 제어부(102)는, 1개의 절단 예정 라인(5)을 따르는 레이저 가공마다, 가공 조건(조사 조건)에 근거하여, 레이저 발진기(310)에서 발생시키는 레이저광(L)의 출력을 결정하여 설정한다. 가공 조건은, 예를 들면 터치 패널 등의 입력부에 의해 오퍼레이터로부터 입력된다. 가공 조건으로서는, 예를 들면, 가공 대상물(1)에서의 개질 영역(7)을 형성하는 깊이 위치, 레이저 출력 등이다.The
공간 광 변조기 제어부(502)는, 반사형 공간 광 변조기(410)의 액정층(216)에 표시하는 위상 패턴을 제어한다. 도 18은, 반사형 공간 광 변조기(410)에 표시되는 위상 패턴의 일례를 나타내는 도면이다. 도 18의 (a)는, 위상 패턴의 전체를 나타내고, 도 18의 (b)는, 도 18의 (a)의 영역(RA)의 확대도이다. 도 18에 나타내어지는 바와 같이, 반사형 공간 광 변조기(410)에 표시되는 위상 패턴(P0)은, 제1 패턴(P1)과 제2 패턴(P2)을 포함한다. 제1 패턴(P1)은, 레이저광(L) 중 집광 렌즈 유닛(430)의 입사동면(430a)에 입사하는 일부를 변조한다. 제2 패턴(P2)은, 레이저광(L) 중 잔부, 즉, 입사동면(430a)에 입사하지 않는(예를 들면 입사동면(430a)의 둘레 가장자리부에 입사하는) 부분을 변조한다. 이 점에 대해서, 보다 구체적으로 설명한다.The spatial light
도 19는, 반사형 공간 광 변조기 상의 레이저광의 강도 분포를 나타내는 화상이다. 도 19에 나타내어지는 바와 같이, 액정층(216)은, 레이저광(L)이 입사하는 영역(HA)을 포함한다. 영역(HA)은, 원형의 유효 영역(AC)과, 유효 영역(AC)의 외측의 원환 형상의 비유효 영역(AB)을 포함한다. 유효 영역(AC)에 입사하는 레이저광(L)의 일부는, 집광 렌즈 유닛(430)의 입사동면(430a)에 입사하여 가공 대상물(1)에 조사되는 유효 광이다. 즉, 유효 영역(AC)은, 유효 광(레이저광(L)의 일부)을 변조하기 위한 영역이다. 유효 영역(AC)은, 예를 들면, 레이저광(L)이 가우시안 빔(Gaussian beam)의 경우, 레이저광(L)의 강도가 피크의 13.5(1/e^2)%가 되는 가우시안 빔 반경(w)을 이용하면, 가우시안 빔 반경(w)을 반경 w로 한 원형 영역이다.19 is an image showing the intensity distribution of the laser light on the reflection type spatial light modulator. As shown in Fig. 19, the
비유효 영역(AB)에 입사하는 레이저광(L)의 잔부는, 집광 렌즈 유닛(430)의 입사동면(430a)에 입사하지 않고 가공 대상물(1)에 조사되지 않는 비유효 광이다. 즉, 비유효 영역(AB)은, 비유효 광(레이저광(L)의 잔부)을 변조하기 위한 영역이다. 비유효 영역(AB)은, 예를 들면, 가우시안 빔 반경(w)을 내측 반경으로 하고, 가우시안 빔 반경(w)의 1.22배(=1.22w)를 외측 반경으로 하는 원환 영역이다. 가우시안 빔 반경(w)의 1.22배의 위치는, 레이저광(L)의 강도가 피크의 약 5%가 되는 위치이다.The remainder of the laser light L incident on the ineffective area AB is ineffective light that is not incident on the
또, 액정층(216)은, 영역(HA)의 외측의 영역(AA)을 포함한다. 영역(AA)은, 실질적으로 레이저광(L)이 입사하지 않는 영역이다. 일예로서, 영역(AA)은, 레이저광(L)이 가우시안 빔인 경우에는, 레이저광의 강도가 피크의 5%보다도 작게 되는 영역이다.The
도 18에 나타내어지는 제1 패턴(P1)은, 액정층(216)의 유효 영역(AC)에 표시된다. 따라서, 제1 패턴(P1)은, 레이저광(L) 중 유효 광을 변조한다. 제2 패턴(P2)은, 액정층(216)의 비유효 영역(AB) 및 영역(AA)에 표시된다. 따라서, 제2 패턴(P2)은, 레이저광(L) 중 비유효 광을 변조한다.The first pattern P1 shown in Fig. 18 is displayed in the effective area AC of the
제1 패턴(P1)은, 제1 방향(여기에서는 X축 방향:레이저광(L)의 스캔 방향:레이저광(L)의 집광점의 가공 대상물(1)에 대한 상대적인 이동 방향)을 따라서 레이저광(L)의 일부(유효 광)를 복수의 제1 회절광(다른 회절광)(DL1)으로 분기시키기 위한 제1 회절 격자 패턴(다른 회절 격자 패턴)(G1)을 포함한다(도 17, 20 참조). 여기에서는, 제1 패턴(P1)은, 회절 격자 패턴이지만, 수차 보정 패턴 등의 다른 위상 패턴을 포함해도 괜찮다(즉, 회절 격자 패턴에 다른 위상 패턴이 중첩되어 구성되어도 괜찮다). 제1 회절 격자 패턴(G1)은, 제1 방향 및 광축 방향에 교차(직교)하는 제2 방향(여기에서는 Z축 방향)을 따른 직선 모양의 복수의 홈 패턴이 제1 방향으로 배열되어 구성되어 있다. 따라서, 렌즈(422)의 후측의 초점 위치에서는, 제1 방향을 따라서 분기된 복수의 제1 회절광(DL1)의 빔 스폿(SP1)이 형성된다(도 20 참조).The first pattern P1 is a laser beam that moves along the first direction (the X-axis direction in this case: the scanning direction of the laser light L: the moving direction of the light-converging point of the laser light L relative to the object 1) (Another diffraction grating pattern) G1 for dividing a part (effective light) of the light L into a plurality of first diffracted light (another diffracted light) DL1 (Fig. 17, 20). Here, the first pattern P1 may be a diffraction grating pattern, but may include another phase pattern such as an aberration correction pattern (that is, it may be constructed by superimposing different phase patterns on the diffraction grating pattern). The first diffraction grating pattern G1 is constituted by arranging a plurality of linear grooves in a first direction along a second direction (Z-axis direction in this case) intersecting (orthogonal to) the first direction and the optical axis direction have. Therefore, at the focal position on the rear side of the
제2 패턴(P2)은, 제2 방향을 따라서 레이저광(L)의 잔부(비유효 광)를 복수의 제2 회절광(회절광)(DL2)으로 분기시키기 위한 제2 회절 격자 패턴(회절 격자 패턴)(G2)을 포함한다(도 20 참조). 여기에서는, 제2 패턴(P2)은, 회절 격자 패턴이지만, 수차 보정 패턴 등의 다른 위상 패턴을 포함해도 괜찮다(즉, 회절 격자 패턴에 다른 위상 패턴이 중첩되어 구성되어도 괜찮다). 제2 회절 격자 패턴(G2)은, 제1 방향을 따른 직선 모양의 복수의 홈 패턴이 제2 방향으로 배열되어 구성되어 있다. 따라서, 렌즈(422)의 후측의 초점 위치에서는, 제2 방향을 따라서 분기된 복수의 제2 회절광(DL2)의 빔 스폿(SP2)이 형성된다(도 20 참조).The second pattern P2 includes a second diffraction grating pattern for diffracting the remaining portion (ineffective light) of the laser light L into a second diffraction light (diffraction light) DL2 along the second direction Grid pattern) G2 (see Fig. 20). Here, although the second pattern P2 is a diffraction grating pattern, it may include another phase pattern such as an aberration correction pattern (that is, it may be constructed by superimposing different phase patterns on the diffraction grating pattern). The second diffraction grating pattern G2 is constituted by arranging a plurality of straight groove patterns along the first direction in the second direction. Therefore, at the focal position on the rear side of the
여기서, 도 16, 17에 나타내어지는 바와 같이, 레이저광(L)의 광로에서의 렌즈(422)의 후측의 초점 위치에는, 슬릿 부재(424)가 배치되어 있다. 슬릿 부재(424)는, 레이저광(L)의 위상 변조에서의 일정값 이상의 공간 주파수 성분(광각 회절광)을 차광함과 아울러, 레이저광(L)의 위상 변조에서의 일정값 미만의 공간 주파수 성분을 통과시킨다. 예를 들면 슬릿 부재(424)에서는, 일정값 이상의 공간 주파수 성분을 차광하도록, 개구의 크기가 설정되어 있다. 예를 들면, 반사형 공간 광 변조기(410)(액정층(216))에 회절 격자 패턴을 포함하는 위상 패턴이 표시되어 있을 때에는, 슬릿 부재(424)는, 당해 회절 격자 패턴에 따라 회절된 레이저광(L)의 회절광의 적어도 일부를 차단한다.Here, as shown in Figs. 16 and 17, a
특히, 슬릿 부재(424)에는, 도 20에 나타내어지는 바와 같이, 제2 방향보다도 제1 방향으로 상대적으로 긴 직사각 형상의 슬릿(424a)이 마련되어 있다. 슬릿 부재(424)는, 슬릿(424a)에 의해서, 저차(低次)의 제1 회절광(DL1)을 통과시킴과 아울러, 고차의 제1 회절광(DL1) 및 제2 회절광(DL2)을 차단한다. 그 때문에, 여기에서는, 다음과 같이 슬릿(424a)의 사이즈가 규정되어 있다.Particularly, as shown in Fig. 20, the
즉, 제1 방향에 대한 슬릿(424a)의 사이즈는, 렌즈(422)의 후측의 초점 위치에서의 제1 회절광(DL1)의 빔 사이즈(스폿(SP1)의 직경)(S1)와, 렌즈(422)의 후측의 초점 위치에서의 제1 회절광(DL1)의 분기 간격(S2)과의 합계값보다도 크다. 분기 간격(S2)은, 여기에서는, 렌즈(422)의 후측의 초점 위치에서의 제1 방향에 대한 ±1차의 제1 회절광(DL1)의 중심끼리의 간격이다. 또, 여기에서는, 제1 방향에 대한 슬릿(424a)의 사이즈는, 렌즈(422)의 후측의 초점 위치에서의 ±2차의 제1 회절광(DL1)의 간격(S3)보다도 작다.That is, the size of the
한편, 제2 방향에 대한 슬릿(424a)의 사이즈는, 렌즈(422)의 후측의 초점 위치에서의 제1 회절광(DL1)의 빔 사이즈보다도 크다. 또, 제2 방향에 대한 슬릿(424a)의 사이즈는, 렌즈(422)의 초점 거리를 f, 레이저광(L)의 파장을 λ, 반사형 공간 광 변조기(410)의 화소 사이즈를 xSLM으로 하면, 하기 식 (1)에서 나타내어지는 1차 광의 최대 회절 거리(F) 보다도 작다. 따라서, 여기에서는, 제1 회절광(DL1) 중 0차 광 및 ±1차 광은 슬릿(424a)을 통과하고, 제1 회절광(DL1) 중 ±3차 이상의 고차 광 및 제2 회절광(DL2)은 슬릿(424a)을 통과하지 않고 차단된다.On the other hand, the size of the
[수식 2][Equation 2]
여기서, 상기의 최대 회절 거리(F)에 대해 설명한다. 도 21에 나타내어지는 바와 같이, 회절 격자(G)에서의 회절각을 θ, 회절 차수를 m(m=0,±1,±2,±3,···)으로 하고, 회절 격자(G)에서의 격자 간격(1주기의 간격)을 L로 하면, 각 값의 관계가 하기 식 (2)로 나타내어진다. m차 회절광은, 격자 간격이 L 일 때 θ에서 회절하는 광 성분을 가리킨다.Here, the maximum diffraction distance F will be described. 21, the diffraction grating G is set such that the diffraction angle at the diffraction grating G is θ, the diffraction order is m (m = 0, ± 1, ± 2, ± 3, (Interval of one cycle) is L, the relationship of each value is expressed by the following formula (2). The m-th order diffracted light indicates a light component diffracted at? when the lattice spacing is L. [
[수식 3][Equation 3]
초점 거리가 f인 집속 렌즈(CL)에 θ인 회절각의 광이 입사하고, 초점 거리(F) 부근에서 집광했을 때의 상(像) 높이를 h로 하면, h와 θ에는 하기 식 (3)의 관계가 있다.When the light of the diffraction angle? Is incident on the focusing lens CL having the focal distance f and the height of the image when the light is condensed in the vicinity of the focal length F is h, h and? ).
[수식 4][Equation 4]
공간 광 변조기에서의 최대 회절각(분기 간격)은, 격자 간격 L=2xSLM일 때이기 때문에, m차 광의 최대 회절 거리 Fm=2×h(h는 절대값)는, 상기 식 (2), (3)으로부터, 하기 식 (4)와 같이 나타내어진다. 따라서, m=1인 1차 광의 최대 회절 거리 F가 상기 식 (1)과 같이 나타내어진다.The maximum diffraction angle (branch interval) in the spatial light modulator is, because when the lattice spacing L = 2xSLM, m order light of the maximum diffraction distance Fm = 2 × h (h is an absolute value), the formula (2) (3), the following equation (4) is obtained. Therefore, the maximum diffraction distance F of the first order light with m = 1 is expressed by the above equation (1).
[수식 5][Equation 5]
또, 슬릿 부재(424)는, 렌즈(422)의 후측의 초점 위치의 근방에 배치되어 있어도 괜찮다. 초점 위치의 근방은, 대략 초점 위치, 초점 위치의 부근, 혹은 초점 위치의 주변으로서, 슬릿 부재(424)가 레이저광(L)에서의 일정값 이상의 공간 주파수 성분을 차광할 수 있는 범위(일정 차수 이상의 회절광을 차단할 수 있는 범위)이다.Further, the
또, 렌즈(422)의 후측의 초점 위치에서의 제1 회절광(DL1)의 빔 사이즈(S1)는, 위상 패턴(P0)에 따라 변화할 수 있다. 즉, 위상 패턴(P0)(예를 들면 제1 패턴(P1))은, 상술한 바와 같이, 회절 격자 패턴 이외의 패턴을 포함하는 경우에, 빔 사이즈(S1)가 변화하는 경우가 있다. 예를 들면, 위상 패턴(P0)은, 레이저광(L)이 가공 대상물(1)에 집광되었을 때에 생기는 수차(收差)를 보정하기 위한 수차 보정 패턴을 포함하는 경우가 있다. 이 경우에는, 위상 패턴(P0)가 수차 보정 패턴을 포함하지 않는 경우에 비해, 렌즈(422)의 후측의 초점 위치에서의 레이저광(L)의 퍼짐이 커진다. 이 때문에, 빔 사이즈(S1)가 커진다. 따라서, 슬릿(424a)의 사이즈는, 위상 패턴(P0)에 따른 빔 사이즈(S1)에 근거하여 규정하면 좋다.The beam size S1 of the first diffracted light DL1 at the focal position on the rear side of the
계속하여 도 16을 참조한다. 카메라 제어부(504)는, 프로파일 취득용 카메라(464)의 동작을 제어한다. 또, 카메라 제어부(504)는, 강도 분포 화상을 프로파일 취득용 카메라(464)로부터 취득하여 인식한다. 이것에 의해, 카메라 제어부(504)는, 레이저광(L)의 강도를 취득할 수 있다. 기억부(510)는, 예를 들면, 반사형 공간 광 변조기(410)에 표시하기 위한 위상 패턴을 기억하고 있다. 또, 기억부(510)는, 카메라 제어부(504)가 취득한 레이저광(L)의 강도를 기억해도 괜찮다. 게다가, 제어부(500)에는, 모니터(600)가 접속되어 있다. 모니터(600)는, 공간 광 변조기 제어부(502)에 의해 반사형 공간 광 변조기(410)(액정층(216))에 표시시키는 위상 패턴 및 프로파일 취득용 카메라(464)에서 취득한 강도 분포 화상 등을 표시할 수 있다.Continue referring to Fig. The
이상 설명한 바와 같이, 레이저 가공 장치(200)에서는, 레이저 출력부(300)(레이저 발진기(310))로부터 출력된 레이저광(L)이, 반사형 공간 광 변조기(410)의 위상 패턴(P0)에 의해 변조된 후에, 집광 렌즈 유닛(430)에 의해 가공 대상물(1)을 향해서 집광된다. 레이저광(L)은, 제1 방향을 따라서 가공 대상물(1)에 조사된다. 제1 방향은, 여기에서는, 레이저광(L)과 가공 대상물(1)을 상대적으로 이동시키는 방향이다. 반사형 공간 광 변조기(410)의 위상 패턴(P0)은, 집광 렌즈 유닛(430)의 입사동면(430a)에 입사하는 레이저광(L)의 일부(유효 광)를 변조하는 제1 패턴(P1)과, 레이저광(L)의 잔부(비유효 광)를 변조하는 제2 패턴(P2)을 포함한다. 제1 패턴(P1)은, 제1 방향을 따라서 광을 회절하기 위한 제1 회절 격자 패턴(G1)을 포함한다. 따라서, 레이저광(L) 중 유효 광은, 가공 대상물(1)에 대한 레이저광(L)의 조사 방향(스캔 방향)인 제1 방향에 대해서, 복수의 제1 회절광(DL1)으로 분기된다.As described above, in the
한편, 제2 패턴(P2)은, 제1 방향에 교차하는 제2 방향을 따라서 광을 회절하기 위한 제2 회절 격자 패턴(G2)을 포함한다. 따라서, 레이저광(L) 중 비유효 광은, 레이저광(L)의 스캔 방향에 교차하는 제2 방향에 대해서, 복수의 제2 회절광(DL2)으로 분기된다. 그리고, 제2 회절광(DL2)은, 렌즈(422)의 후측의 초점 위치에서, 슬릿 부재(424)의 슬릿(424a)에 의해 차단된다.On the other hand, the second pattern P2 includes a second diffraction grating pattern G2 for diffracting light along a second direction crossing the first direction. Therefore, the ineffective light in the laser light L is split into a plurality of second diffracted lights DL2 in a second direction crossing the scanning direction of the laser light L. The second diffracted light DL2 is blocked by the
그 결과, 유효 광의 회절광인 복수의 제1 회절광(DL1)이 슬릿(424a)을 통과하여 가공 대상물(1)에 조사되는 한편으로, 비유효 광의 회절광인 제2 회절광(DL2)이 슬릿(424a)에 의해 차단되어, 집광 렌즈 유닛(430)에 도달하지 않는다. 따라서, 레이저 가공 장치(200)에 의하면, 레이저광(L)의 가공 대상물(1)로의 조사 상태의 변화를 억제하면서, 레이저광(L)을 복수로 분기시켜 가공 대상물(1)에 조사하는 것이 가능하다. 즉, 가공 정밀도의 열화를 억제하면서, 절단 예정 라인(5a, 5b)을 따라서 다점(多点)(일예에서는 3점)에서의 레이저 가공(개질 영역의 형성)을 행하는 것이 가능하다.As a result, a plurality of first diffracted lights DL1, which are diffracted lights of effective light, pass through the
또, 레이저 가공 장치(200)에서는, 제1 회절 격자 패턴(G1)은, 제2 방향을 따른 복수의 홈 패턴으로 이루어지며, 제2 회절 격자 패턴(G2)은, 제1 방향을 따른 복수의 홈 패턴으로 이루어진다. 이와 같이, 제1 회절 격자 패턴(G1)과 제2 회절 격자 패턴(G2)에서 홈 패턴의 방향을 교차(직교)하도록 설정함으로써, 제1 회절광(DL1)의 분기 방향과 제2 회절광(DL2)의 분기 방향을 다르게 할 수 있다.In the
또, 레이저 가공 장치(200)에서는, 제1 방향에 대한 슬릿(424a)의 사이즈는, 렌즈(422)의 초점 위치에서의 제1 회절광(DL1)의 빔 사이즈(S1)와, 초점 위치에서의 제1 회절광(DL1)의 분기 간격(S2)과의 합계값보다도 크고, 제2 방향에 대한 슬릿(424a)의 사이즈는, 초점 위치에서의 제1 회절광(DL1)의 빔 사이즈(S1)보다도 크다. 이 때문에, 복수의 제1 회절광(DL1)을 슬릿(424a)에서 차단하지 않고 확실히 가공 대상물(1)에 조사할 수 있다.In the
또, 레이저 가공 장치(200)에서는, 분기 간격(S2)은, 제1 방향에서의 ±1차의 제1 회절광의 간격이라도 좋다. 이 경우, 적어도, 제1 회절광 중 0차 광과 ±1차 광을 대상물에 조사할 수 있다.In the
또, 레이저 가공 장치(200)에서는, 제2 방향에 대한 슬릿(424a)의 사이즈는, 렌즈(422)의 초점 거리를 f, 레이저광(L)의 파장을 λ, 반사형 공간 광 변조기(410)의 화소 사이즈를 xSLM으로 하면, 상기 식 1로 나타내어지는 최대 회절 거리(F)보다도 작다. 이 때문에, 제2 회절광(DL2)을 슬릿(424a)에 의해 확실히 차단할 수 있다.In the
게다가, 레이저 가공 장치(200)에서는, 슬릿(424a)의 제1 방향에 대한 사이즈는, 렌즈(422)의 초점 위치에서의 ±3차의 제1 회절광(DL1)의 간격(S3)보다도 작다. 이 때문에, 제1 회절광 중 ±3차 이상의 고차 광을 슬릿(424a)에 의해 차단할 수 있다.In addition, in the
이상은, 본 발명의 일 측면의 일 실시 형태이다. 본 발명의 일 측면은, 상기 실시 형태에 한정되지 않고, 각 청구항의 요지를 변경하지 않는 범위에서 변형하거나, 또는 다른 것에 적용해도 괜찮다.The above is one embodiment of one aspect of the present invention. One aspect of the present invention is not limited to the above-described embodiment, but may be modified within the scope of the claims, or may be applied to another.
예를 들면, 상기 실시 형태는, 가공 대상물(1)의 내부에 개질 영역(7)을 형성하는 것에 한정되지 않고, 어블레이션(ablation) 등, 다른 레이저 가공을 실시하는 것이라도 좋다. 상기 실시 형태는, 가공 대상물(1)의 내부에 레이저광(L)을 집광시키는 레이저 가공에 이용되는 레이저 가공 장치에 한정되지 않고, 가공 대상물(1)의 표면(1a, 3) 또는 이면(1b)에 레이저광(L)을 집광시키는 레이저 가공에 이용되는 레이저 가공 장치라도 좋다. 본 발명의 일 측면이 적용되는 장치는 레이저 가공 장치에 한정되지 않고, 레이저광(L)을 대상물에 조사하는 것이면, 여러가지 레이저광 조사 장치에 적용할 수 있다. 상기 실시 형태에서는, 절단 예정 라인(5)을 조사 예정 라인으로 했지만, 조사 예정 라인은 절단 예정 라인(5)에 한정되지 않고, 조사되는 레이저광(L)을 따르게 할 수 있는 라인이면 좋다.For example, the above embodiment is not limited to the formation of the modified
또, 상기 실시 형태에서, 반사형 공간 광 변조기(410)의 반사면(410a)과 집광 렌즈 유닛(430)의 입사동면(430a)이 결상 관계에 있는 양측 텔레센트릭 광학계를 구성하는 결상 광학계는, 한 쌍의 렌즈(422, 423)에 한정되지 않고, 반사형 공간 광 변조기(410)측의 제1 렌즈계(예를 들면, 접합 렌즈, 3개 이상의 렌즈 등) 및 집광 렌즈 유닛(430)측의 제2 렌즈계(예를 들면, 접합 렌즈, 3개 이상의 렌즈 등)를 포함하는 것 등이라도 좋다.In the above embodiment, the image-forming optical system constituting the both-side telecentric optical system in which the
또, 상기 실시 형태에서, 프로파일 취득용 카메라(464)는, 그 촬상면(464a)이 반사형 공간 광 변조기(410)의 액정층(216)의 반사면과 공역인 면에 위치하면 좋고, 공역면(491)의 위치에 프로파일 취득용 카메라(464)를 배치해도 괜찮다. 이 경우, 레이저 가공 장치(200)(도 16 참조)에서는, 렌즈(463)는 불필요하게 된다. 상기 실시 형태에서, 렌즈(422), 렌즈(423) 및 렌즈(463)의 릴레이 배율은 임의 배율이라도 좋다. 상기 실시 형태는, 반사형 공간 광 변조기(410)를 구비했지만, 공간 광 변조기는 반사형의 것에 한정되지 않고, 투과형의 공간 광 변조기를 구비하고 있어도 괜찮다.In the above embodiment, the
또, 집광 렌즈 유닛(430) 및 한 쌍의 측거 센서(450)는, Y축 방향에서의 케이스(401)의 단부(401d)에 장착되어 있었지만, Y축 방향에서의 케이스(401)의 중심 위치보다도 단부(401d)측으로 치우쳐 장착되어 있으면 좋다. 반사형 공간 광 변조기(410)는, Y축 방향에서의 케이스(401)의 단부(401c)에 장착되어 있었지만, Y축 방향에서의 케이스(401)의 중심 위치보다도 단부(401c)측으로 치우쳐 장착되어 있으면 좋다. 또, 측거 센서(450)는, X축 방향에서 집광 렌즈 유닛(430)의 한쪽에만 배치되어 있어도 괜찮다.The
게다가, 슬릿(424a)의 형상 및 사이즈는, 상기의 일 예에 한정되지 않는다. 예를 들면, 슬릿(424a)은, 제2 방향보다도 제1 방향으로 상대적으로 긴 형상이면 좋고, 예를 들면 타원 형상 등이라도 좋다. 슬릿(424a)은, 반드시 고차의 제1 회절광(DL1)을 차단하지 않아도 좋다. 예를 들면, 제1 방향에 대한 슬릿(424a)의 사이즈를, ±2차의 제1 회절광(DL1)의 간격보다도 크게 해도 괜찮다.In addition, the shape and size of the
또, 상기 실시 형태에서는, 제1 패턴(P1)이 제1 회절 격자 패턴(다른 회절 격자 패턴)을 포함하는 경우에 대해 예시했다. 그렇지만, 제1 패턴(P1)은, 회절 격자 패턴을 포함하지 않아도 좋다. 예를 들면, 제1 패턴(P1)은, 수차 방정(方正)을 위한 패턴이라도 좋다. 한편, 제1 패턴(P1) 및/또는 제2 패턴(P2)은, 레이저광(L)을 평면(예를 들면 X-Y면) 내에서 분기시킬 뿐만 아니라, 당해 평면에 교차하는 방향(예를 들면 Z방향:깊이 방향)으로 분기하기 위한 패턴을 포함하고 있어도 괜찮다.In the above-described embodiment, the case where the first pattern P1 includes the first diffraction grating pattern (another diffraction grating pattern) is exemplified. However, the first pattern P1 may not include the diffraction grating pattern. For example, the first pattern P1 may be a pattern for aberration correcting. On the other hand, the first pattern P1 and / or the second pattern P2 not only divides the laser light L in a plane (for example, an X-Y plane) but also extends in a direction (For example, Z direction: depth direction).
여기서, 레이저광(L)의 가공 대상물(1)로의 조사 상태의 변화를 억제하는 관점으로부터는, 액정층(216)이, 집광 렌즈 유닛(대물 렌즈)(430)의 동면에 입사하는 레이저광(L)의 일부(유효 광)가 입사하는 유효 영역(AC)과, 레이저광(L)의 잔부(비유효 광)가 입사하는 비유효 영역을 포함하며, 슬릿 부재(424)가, 비유효 영역(AB)에서 변조된 광을 슬릿(424a)에 의해 차단하면 좋다. 특히, 유효 영역(AC)의 형상은, 상술한 원 형상에 한정하지 않고, 예를 들면 원환 형상이라도 좋다. 게다가, 비유효 영역(AB)의 형상은, 상술한 원환 형상에 한정하지 않고, 유효 영역(AC)에 대해서 상보적인 형상으로 할 수 있다.Here, from the viewpoint of suppressing the change of the irradiation state of the laser light L to the
즉, 일예로서, 유효 영역(AC)가 원환 형상인 경우에는, 비유효 영역(AB)은, 원환의 내측의 원형 부분과, 원환의 외측의 부분을 포함하는 형상이라도 좋다. 즉, 액정층(216)에서, 적어도 일방향을 따라서 유효 영역(AC)과 비유효 영역(AB)이 혼재하고 있는 경우가 있다. 그러한 경우라도, 상술한 바와 같이, 비유효 영역(AB)에서 변조된 광만을 슬릿(424a)에 의해 차단하면 좋다.That is, as an example, when the effective area AC is a toric shape, the ineffective area AB may be a shape including a circular part on the inner side of the torus and a part on the outer side of the torus. That is, in the
[산업상의 이용 가능성][Industrial Availability]
레이저광의 대상물로의 조사 상태의 변화를 억제할 수 있는 레이저광 조사 장치를 제공할 수 있다.It is possible to provide a laser light irradiation apparatus capable of suppressing a change in the irradiation state of laser light to an object.
1 - 가공 대상물(대상물)
100, 200 - 레이저 가공 장치(레이저광 조사 장치)
310 - 레이저 발진기(레이저 광원)
410 - 반사형 공간 광 변조기(공간 광 변조기)
422 - 렌즈(집속 렌즈)
424 - 슬릿 부재
424a - 슬릿
430 - 집광 렌즈 유닛(대물 렌즈)
430a - 입사동면(동면)
L - 레이저광
DL1 - 제1 회절광
DL2 - 제2 회절광
P0 - 위상 패턴
P1 - 제1 패턴
P2 - 제2 패턴
G1 - 제1 회절 격자 패턴
G2 - 제2 회절 격자 패턴1 - object to be processed (object)
100, 200 - Laser processing apparatus (laser light irradiation apparatus)
310 - Laser Oscillator (Laser Light Source)
410 - reflective spatial light modulator (spatial light modulator)
422 - Lens (focusing lens)
424 - slit member
424a - slit
430 - condensing lens unit (objective lens)
430a - entering hibernation (hibernation)
L - laser light
DL1 - 1st diffracted light
DL2 - second diffracted light
P0 - phase pattern
P1 - 1st pattern
P2 - second pattern
G1 - 1st diffraction grating pattern
G2 - second diffraction grating pattern
| Application Number | Priority Date | Filing Date | Title |
|---|---|---|---|
| JP2016205294AJP6732627B2 (en) | 2016-10-19 | 2016-10-19 | Laser light irradiation device |
| JPJP-P-2016-205294 | 2016-10-19 | ||
| PCT/JP2017/036362WO2018074253A1 (en) | 2016-10-19 | 2017-10-05 | Laser light irradiating device |
| Publication Number | Publication Date |
|---|---|
| KR20190071730Atrue KR20190071730A (en) | 2019-06-24 |
| KR102382862B1 KR102382862B1 (en) | 2022-04-05 |
| Application Number | Title | Priority Date | Filing Date |
|---|---|---|---|
| KR1020197012339AActiveKR102382862B1 (en) | 2016-10-19 | 2017-10-05 | laser light irradiation device |
| Country | Link |
|---|---|
| US (1) | US11465235B2 (en) |
| JP (1) | JP6732627B2 (en) |
| KR (1) | KR102382862B1 (en) |
| CN (1) | CN109890554B (en) |
| DE (1) | DE112017005333T5 (en) |
| TW (1) | TWI739924B (en) |
| WO (1) | WO2018074253A1 (en) |
| Publication number | Priority date | Publication date | Assignee | Title |
|---|---|---|---|---|
| US11219951B2 (en)* | 2019-07-03 | 2022-01-11 | Directed Metal 3D, S.L. | Multi-mode laser device for metal manufacturing applications |
| CN110672304B (en)* | 2019-08-16 | 2020-11-03 | 中国科学院西安光学精密机械研究所 | Laser communication terminal relay optical path performance testing system, method and calibration method |
| JP7549958B2 (en) | 2019-11-27 | 2024-09-12 | 浜松ホトニクス株式会社 | Laser processing device and laser processing method |
| JP7488684B2 (en)* | 2020-04-08 | 2024-05-22 | 浜松ホトニクス株式会社 | Laser processing device and laser processing method |
| JP6934083B1 (en)* | 2020-04-08 | 2021-09-08 | 浜松ホトニクス株式会社 | Laser processing equipment and laser processing method |
| JP7462219B2 (en)* | 2020-05-08 | 2024-04-05 | パナソニックIpマネジメント株式会社 | Laser Processing Equipment |
| CN112965080B (en)* | 2021-02-04 | 2024-02-20 | 苏州奥瑞图光电科技有限公司 | Flash slit-free stripe camera laser array imaging method, system and device |
| TWI874811B (en)* | 2021-09-15 | 2025-03-01 | 南韓商Eo科技股份有限公司 | Apparatus of forming groove |
| JP7683516B2 (en)* | 2022-03-17 | 2025-05-27 | コニカミノルタ株式会社 | DROPLET EJECTION HEAD SUBSTRATE PROCESSING APPARATUS AND DROPLET EJECTION HEAD SUBSTRATE PROCESSING METHOD |
| CN116423048B (en)* | 2023-06-09 | 2023-08-15 | 中国船舶集团有限公司第七〇七研究所 | Photoelectric focus control laser welding device |
| Publication number | Priority date | Publication date | Assignee | Title |
|---|---|---|---|---|
| KR20030030908A (en)* | 2001-10-10 | 2003-04-18 | 가부시키가이샤 히타치세이사쿠쇼 | Laser annealing apparatus, tft device and annealing method of the same |
| JP2011051011A (en) | 2009-08-03 | 2011-03-17 | Hamamatsu Photonics Kk | Laser beam machining method and method for manufacturing semiconductor device |
| JP2013521131A (en)* | 2010-03-05 | 2013-06-10 | マイクロニック マイデータ アーベー | Laser processing method and apparatus |
| JP2014501937A (en)* | 2010-10-28 | 2014-01-23 | ナショナル ユニヴァーシティー オブ シンガポール | Lithographic method and apparatus |
| Publication number | Priority date | Publication date | Assignee | Title |
|---|---|---|---|---|
| JP3878758B2 (en) | 1998-12-04 | 2007-02-07 | 浜松ホトニクス株式会社 | Spatial light modulator |
| US8378255B2 (en) | 2007-11-19 | 2013-02-19 | Miyachi Corporation | Laser beam irradiation apparatus |
| WO2009117451A1 (en) | 2008-03-21 | 2009-09-24 | Imra America, Inc. | Laser-based material processing methods and systems |
| JP2009283691A (en) | 2008-05-22 | 2009-12-03 | Japan Steel Works Ltd:The | Method for irradiating laser light and laser light irradiation device |
| US8198564B2 (en) | 2008-09-09 | 2012-06-12 | Electro Scientific Industries, Inc. | Adaptive optic beamshaping in laser processing systems |
| JP5451238B2 (en)* | 2009-08-03 | 2014-03-26 | 浜松ホトニクス株式会社 | Laser processing method |
| EP2336810A1 (en) | 2009-12-18 | 2011-06-22 | Boegli-Gravures S.A. | Method and device for generating colour patterns using a diffraction grating |
| TWI572960B (en)* | 2012-03-19 | 2017-03-01 | 群康科技(深圳)有限公司 | Liquid crystal display device and method for manufacturing conductive substrate |
| JP5947172B2 (en)* | 2012-09-19 | 2016-07-06 | 浜松ホトニクス株式会社 | Wavelength conversion type spatial light modulator |
| CN104118220A (en)* | 2014-03-28 | 2014-10-29 | 上海飞涅尔激光科技有限公司 | Two-dimensional code laser marking method and device based on liquid crystal spatial light modulator |
| DE102014224182A1 (en)* | 2014-11-26 | 2016-06-02 | Robert Bosch Gmbh | Apparatus and method for laser material processing |
| JP6644563B2 (en)* | 2016-01-28 | 2020-02-12 | 浜松ホトニクス株式会社 | Laser light irradiation device |
| Publication number | Priority date | Publication date | Assignee | Title |
|---|---|---|---|---|
| KR20030030908A (en)* | 2001-10-10 | 2003-04-18 | 가부시키가이샤 히타치세이사쿠쇼 | Laser annealing apparatus, tft device and annealing method of the same |
| JP2011051011A (en) | 2009-08-03 | 2011-03-17 | Hamamatsu Photonics Kk | Laser beam machining method and method for manufacturing semiconductor device |
| JP2013521131A (en)* | 2010-03-05 | 2013-06-10 | マイクロニック マイデータ アーベー | Laser processing method and apparatus |
| JP2014501937A (en)* | 2010-10-28 | 2014-01-23 | ナショナル ユニヴァーシティー オブ シンガポール | Lithographic method and apparatus |
| Publication number | Publication date |
|---|---|
| JP2018065174A (en) | 2018-04-26 |
| TWI739924B (en) | 2021-09-21 |
| WO2018074253A1 (en) | 2018-04-26 |
| KR102382862B1 (en) | 2022-04-05 |
| CN109890554B (en) | 2021-06-29 |
| DE112017005333T5 (en) | 2019-07-11 |
| CN109890554A (en) | 2019-06-14 |
| TW201819083A (en) | 2018-06-01 |
| US20200061740A1 (en) | 2020-02-27 |
| JP6732627B2 (en) | 2020-07-29 |
| US11465235B2 (en) | 2022-10-11 |
| Publication | Publication Date | Title |
|---|---|---|
| KR20190071730A (en) | Laser light irradiation device | |
| US11612956B2 (en) | Laser light radiation device and laser light radiation method | |
| JP7105639B2 (en) | Laser processing equipment | |
| JP7034621B2 (en) | Laser processing equipment | |
| JP6867762B2 (en) | Divergence angle adjustment device and divergence angle adjustment method | |
| JP6896702B2 (en) | Laser light irradiation device and laser light irradiation method | |
| US11484968B2 (en) | Laser light irradiation device and laser light irradiation method | |
| CN108602156B (en) | Laser irradiation device | |
| KR102359881B1 (en) | laser processing equipment | |
| CN109843497B (en) | Laser processing apparatus and operation confirmation method | |
| CN108602159B (en) | Laser processing device and laser output device | |
| JPWO2019093209A1 (en) | Laser processing method and laser processing equipment | |
| JP6661394B2 (en) | Laser processing equipment | |
| JP6661393B2 (en) | Laser processing equipment | |
| JP6949472B2 (en) | Objective lens drive device |
| Date | Code | Title | Description |
|---|---|---|---|
| PA0105 | International application | Patent event date:20190429 Patent event code:PA01051R01D Comment text:International Patent Application | |
| PG1501 | Laying open of application | ||
| A201 | Request for examination | ||
| PA0201 | Request for examination | Patent event code:PA02012R01D Patent event date:20201005 Comment text:Request for Examination of Application | |
| E902 | Notification of reason for refusal | ||
| PE0902 | Notice of grounds for rejection | Comment text:Notification of reason for refusal Patent event date:20210924 Patent event code:PE09021S01D | |
| E701 | Decision to grant or registration of patent right | ||
| PE0701 | Decision of registration | Patent event code:PE07011S01D Comment text:Decision to Grant Registration Patent event date:20220209 | |
| GRNT | Written decision to grant | ||
| PR0701 | Registration of establishment | Comment text:Registration of Establishment Patent event date:20220331 Patent event code:PR07011E01D | |
| PR1002 | Payment of registration fee | Payment date:20220401 End annual number:3 Start annual number:1 | |
| PG1601 | Publication of registration | ||
| PR1001 | Payment of annual fee | Payment date:20250218 Start annual number:4 End annual number:4 |