





본 발명은 심장 재활 시스템에 관한 것으로, 구체적으로 개별 환자의 심박수 특성을 가진 전달함수를 얻어 심박수 제어기를 설계하여 환자 개개인에 대한 맞춤형 자동화 심장재활 트레드밀 제작이 가능하도록 한 신호압축법을 이용한 인체 심박수 모델링을 위한 장치 및 방법에 관한 것이다.The present invention relates to a cardiac rehabilitation system, and more particularly, to a cardiac rehabilitation system, in which a transfer function having an individual heart rate characteristic is obtained and a heart rate controller is designed so that a customized automated cardiac rehabilitation treadmill for individual patients can be manufactured. And more particularly,
심장재활 운동은 심장질환 유병률을 크게 감소시키고 경증 및 중증 환자의 치료에 효과적이기 때문에 우리나라를 포함한 선진국의 심장질환 의료센터에서 적극적으로 활용되고 있다.Cardiac rehabilitation exercise is widely used in heart disease medical centers in developed countries including Korea because it significantly reduces the prevalence of heart disease and is effective in treating mild and severe patients.
트레드밀을 이용한 심장재활 운동은 의사가 환자의 심박수를 센서를 이용해 지속적으로 모니터링하며 트레드밀의 속도를 조절하는 방법인데, 1회 운동에 필요한 시간이 짧게는 20분에서 길게는 1시간 정도 소요되므로 심장질환 유병률이 지속적으로 증가하는 추세의 현시점에서는 전문인력의 부족이 심각한 실정이다.The cardiac rehabilitation exercise using a treadmill is a method in which the doctor continuously monitors the patient's heart rate using a sensor and adjusts the speed of the treadmill. The time required for one exercise is 20 minutes to 1 hour, At present, the prevalence of prevalence is on the rise.
트레드밀을 이용한 심장재활 운동의 자동화는 기술적으로 충분히 가능하며 실제 국내의 트레드밀 기업 중에는 이미 상용화에 성공한 사례가 있다.Automated cardiac rehabilitation using treadmill is technically feasible and there are cases in which domestic treadmill companies have already commercialized.
그러나 이 제품은 일반인을 대상으로 개발된 트레드밀이고, 환자를 대상으로 한 자동화 의료기기의 개발을 위해서는 더욱 안정적이며 고수준인 제어 이론의 적용을 필요로 한다.However, this product is a treadmill developed for the general public and requires more stable and high-level control theory for the development of automated medical devices for patients.
많은 경우에, 고급 제어 이론은 입력(트레드밀 속도)에 대한 출력(심박수)의 관계식(전달함수)를 필요로 하며 이를 모델링이라고 한다.In many cases, the advanced control theory requires a relational (transfer function) of the output (heart rate) to the input (treadmill velocity), which is called modeling.
트레드밀 속도에 대한 인체 심박수의 모델링 방법은 심장재활에 대한 연구가 활발했던 선진국에서 몇 차례 제안되었다.The human heart rate modeling method for treadmill speed has been proposed several times in developed countries where research on cardiac rehabilitation has been active.
인체의 심박수 모델은 연령, 컨디션, 체중, 건강상태, 심장질환 중증도 등 여러 가지 요소에 의해 크게 영향을 받으므로 개개인마다 모두 다른데 비해, 기존의 인체 심박수 모델링에 대한 연구는 이러한 개인차를 반영하지 못한다.Although the human heart rate model is highly influenced by various factors such as age, condition, weight, health condition, heart disease severity, and so on, individual human heart rate models are different, and conventional human heart rate modeling studies do not reflect such individual differences.
따라서, 인체의 심박수 모델 구축을 위한 새로운 기술의 개발이 요구되고 있다.Therefore, it is required to develop a new technique for constructing a human heart rate model.
본 발명은 이와 같은 종래 기술의 트레드밀을 이용한 심장재활 시스템의 문제를 해결하기 위한 것으로, 개별 환자의 심박수 특성을 가진 전달함수를 얻어 심박수 제어기를 설계하여 환자 개개인에 대한 맞춤형 자동화 심장재활 트레드밀 제작이 가능하도록 한 신호압축법을 이용한 인체 심박수 모델링을 위한 장치 및 방법을 제공하는데 그 목적이 있다.The present invention solves the problem of the cardiac rehabilitation system using the conventional treadmill, and it is possible to design a heart rate controller by obtaining a transfer function having the heart rate characteristic of each individual patient, and to produce a customized automated cardiac rehabilitation treadmill for each individual patient And to provide a device and a method for human body heart rate modeling using a signal compression method.
본 발명은 등가 임펄스 신호를 환자에게 적용하는 시간을 단축하여 환자의 상태가 매일 바뀐다 하더라도 심장재활 운동 전에 간단히 이 알고리즘을 적용함으로써 그날 그 환자의 컨디션에 적합한 제어기를 트레드밀 시스템에 적용할 수 있도록 한 신호압축법을 이용한 인체 심박수 모델링을 위한 장치 및 방법을 제공하는데 그 목적이 있다.The present invention reduces the time for applying the equivalent impulse signal to the patient so that the algorithm can be applied simply before the cardiac rehabilitation exercise even if the patient's condition changes every day so that a signal suitable for the patient's condition can be applied to the treadmill system And an object of the present invention is to provide an apparatus and a method for human body heart rate modeling using a compression method.
본 발명의 목적들은 이상에서 언급한 목적들로 제한되지 않으며, 언급되지 않은 또 다른 목적들은 아래의 기재로부터 당업자에게 명확하게 이해될 수 있을 것이다.The objects of the present invention are not limited to the above-mentioned objects, and other objects not mentioned can be clearly understood by those skilled in the art from the following description.
이와 같은 목적을 달성하기 위한 본 발명에 따른 신호압축법을 이용한 인체 심박수 모델링을 위한 장치는 필터를 통과한 등가 임펄스 신호를 출력하는 임펄스 신호 출력부;필터의 시간지연 및 주파수 대역 특성을 조절하고, 심장질환 환자가 트레드밀에서 뒤로 달리는 경우가 없도록 전체 그래프를 오프셋하는 오프셋 조정부;등가 임펄스 신호 궤적에 따라 심장질환 환자가 운동하도록 트레드밀 속도를 제어하는 트레드밀 속도 제어부;환자의 심박수 패턴을 센서를 통해 획득하는 심박수 패턴 검출부;출력 궤적에 역필터를 곱하여 환자의 심박수 특성을 가진 전달함수를 산출하는 전달함수 산출부;산출된 전달함수를 이용하여 심박수 제어기 설계 및 환자 개개인에 대한 맞춤형 자동화 심장재활 트레드밀 제작하기 위한 심박수 제어 알고리즘을 산출하는 심박수 제어 알고리즘 산출부;를 포함하는 것을 특징으로 한다.In order to achieve the above object, an apparatus for modeling a human body heart using a signal compression method according to the present invention includes a filter An offset adjusting unit for adjusting the time delay and frequency characteristics of the filter and offsetting the entire graph so that the heart disease patient does not run behind in the treadmill; A treadmill speed control unit for controlling a treadmill speed to allow a patient with heart disease to exercise, a heart rate pattern detecting unit for obtaining a heart rate pattern of a patient through a sensor, a transfer function for calculating a transfer function having a heart rate characteristic by multiplying an output trajectory by an inverse filter, And a heart rate control algorithm calculator for calculating a heart rate controller using the calculated transfer function and a heart rate control algorithm for producing a customized automated cardiac rehabilitation treadmill for each individual patient.
다른 목적을 달성하기 위한 본 발명에 따른 신호압축법을 이용한 인체 심박수 모델링을 위한 방법은 필터를 통과한 등가 임펄스 신호를 출력하는 임펄스 신호 출력 단계;필터의 시간지연 및 주파수 대역 특성을 조절하고, 심장질환 환자가 트레드밀에서 뒤로 달리는 경우가 없도록 전체 그래프를 오프셋하는 오프셋 조정 단계;등가 임펄스 신호 궤적에 따라 심장질환 환자가 운동하도록 트레드밀 속도를 제어하는 트레드밀 속도 제어 단계;환자의 심박수 패턴을 센서를 통해 획득하는 심박수 패턴 검출 단계;출력 궤적에 역필터를 곱하여 환자의 심박수 특성을 가진 전달함수를 산출하는 전달함수 산출 단계;산출된 전달함수를 이용하여 심박수 제어기 설계 및 환자 개개인에 대한 맞춤형 자동화 심장재활 트레드밀 제작하기 위한 심박수 제어 알고리즘을 산출하는 심박수 제어 알고리즘 산출 단계;를 포함하는 것을 특징으로 한다.A method for modeling a human body heart using a signal compression method according to the present invention for achieving another object comprises the steps of: An offset adjusting step of adjusting the time delay and frequency characteristics of the filter and offsetting the entire graph so that the heart disease patient does not run back on the treadmill; an impulse signal output step of outputting an equivalent impulse signal locus A treadmill speed control step for controlling a treadmill speed so that a patient with a heart disease is exercised according to a heart rate pattern of a patient, a heart rate pattern detection step for obtaining a heart rate pattern of the patient through a sensor, a transfer function having a heart rate characteristic of the patient, A heart rate control algorithm for calculating a heart rate control algorithm using the calculated transfer function and a heart rate control algorithm for producing a customized automated cardiac rehabilitation treadmill for each individual patient.
이와 같은 본 발명에 따른 신호압축법을 이용한 인체 심박수 모델링을 위한 장치 및 방법은 다음과 같은 효과를 갖는다.The apparatus and method for human body heart rate modeling using the signal compression method according to the present invention have the following effects.
첫째, 개별 환자의 심박수 특성을 가진 전달함수를 얻을 수 있어 효율적인 심장 재활 시스템 구축이 가능하다.First, it is possible to construct an efficient cardiac rehabilitation system by obtaining transfer function with individual heart rate characteristics.
둘째, 개별 환자의 심박수 특성을 가진 전달함수를 얻어 심박수 제어기를 설계하여 환자 개개인에 대한 맞춤형 자동화 심장재활 트레드밀 제작이 가능하다.Second, it is possible to design a heart rate controller with transfer function with individual heart rate characteristics, and to manufacture customized automated cardiac rehabilitation treadmill for individual patients.
셋째, 등가 임펄스 신호를 환자에게 적용하는 시간이 10분 이내로 소요되므로 환자의 상태가 매일 바뀐다 하더라도 심장재활 운동 전에 간단히 이 알고리즘을 적용함으로써 그날 그 환자의 컨디션에 적합한 제어기를 트레드밀 시스템에 적용할 수 있다.Third, since the time required to apply the equivalent impulse signal to the patient is within 10 minutes, even if the patient's condition changes every day, the algorithm can be applied simply before the cardiac rehabilitation exercise so that a controller suitable for the condition of the patient can be applied to the treadmill system .
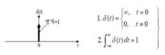
도 1은 시간 영역대에서 나타낸 임펄스 함수
도 2는 본 발명에 따른 신호압축법을 이용한 인체 심박수 모델링을 위한 장치의 구성도
도 3은 신호압축법 블록 다이어그램
도 4는 본 발명에 따른 신호압축법을 이용한 인체 심박수 모델링을 위한 방법을 나타낸 플로우 차트
도 5a는 일반적인 등가 임펄스 신호의 형태를 나타낸 그래프
도 5b는 심장질환 환자에게 적용 가능한 등가 임펄스 신호 그래프Figure 1 shows the impulse function < RTI ID = 0.0 >
2 is a block diagram of an apparatus for modeling human body heart rate using the signal compression method according to the present invention
3 is a block diagram of a signal compression method block diagram
4 is a flowchart illustrating a method for modeling human body heart rate using the signal compression method according to the present invention.
5A is a graph showing the shape of a general equivalent impulse signal
FIG. 5B shows an equivalent impulse signal graph applicable to a patient with heart disease
이하, 본 발명에 따른 신호압축법을 이용한 인체 심박수 모델링을 위한 장치 및 방법의 바람직한 실시 예에 관하여 상세히 설명하면 다음과 같다.Hereinafter, preferred embodiments of an apparatus and method for modeling human body heart rate using the signal compression method according to the present invention will be described in detail.
본 발명에 따른 신호압축법을 이용한 인체 심박수 모델링을 위한 장치 및 방법의 특징 및 이점들은 이하에서의 각 실시 예에 대한 상세한 설명을 통해 명백해질 것이다.The features and advantages of the apparatus and method for human body heart rate modeling using the signal compression method according to the present invention will be apparent from the following detailed description of each embodiment.
도 1은 시간 영역대에서 나타낸 임펄스 함수이다.Figure 1 is an impulse function in time domain.
그리고 도 2는 본 발명에 따른 신호압축법을 이용한 인체 심박수 모델링을 위한 장치의 구성도이고, 도 3은 신호압축법 블록 다이어그램이다.FIG. 2 is a block diagram of an apparatus for modeling human body heart rate using a signal compression method according to the present invention, and FIG. 3 is a block diagram of a signal compression method.
본 발명에 따른 신호압축법을 이용한 인체 심박수 모델링을 위한 장치는 도 2에서와 같이, 필터를 통과한 등가 임펄스 신호를 출력하는 임펄스 신호 출력부(20)와, 필터의 시간지연 및 주파수 대역 특성을 조절하고, 심장질환 환자가 트레드밀에서 뒤로 달리는 경우가 없도록 전체 그래프를 오프셋하는 오프셋 조정부(21)와, 등가 임펄스 신호 궤적에 따라 심장질환 환자가 운동하도록 트레드밀 속도를 제어하는 트레드밀 속도 제어부(22)와, 환자의 심박수 패턴을 센서를 통해 획득하는 심박수 패턴 검출부(23)와, 출력 궤적에 역필터를 곱하여 환자의 심박수 특성을 가진 전달함수를 산출하는 전달함수 산출부(24)와, 산출된 전달함수를 이용하여 심박수 제어기 설계 및 환자 개개인에 대한 맞춤형 자동화 심장재활 트레드밀 제작하기 위한 심박수 제어 알고리즘을 산출하는 심박수 제어 알고리즘 산출부(25)를 포함한다.As shown in FIG. 2, an apparatus for modeling a human body heart using a signal compression method according to the present invention includes a filter An
신호압축법은 등가 임펄스 신호를 통해 목표 시스템의 전달함수를 모델링 할 수 있는 이론이다.The signal compression method is a theory that can model the transfer function of the target system through the equivalent impulse signal.
임펄스 신호는 시간영역 대에서 0에 가까운 시간동안 무한대의 크기를 갖는 신호로, 신호의 면적은 1 되며 주파수 영역으로 변환(라플라스 변환)할 경우 크기는 1이고 위상은 0인 신호가 된다.The impulse signal is a signal having an infinite size for a time close to 0 in the time domain, and the signal has an area of 1, and a signal having a magnitude of 1 and a phase of 0 is transformed into a frequency domain (Laplace transform).
따라서 수학식 1에서와 같이 심박수의 전달함수에 임펄스 신호를 입력하면 심박수 출력를 바로 얻을 수 있게 된다.Therefore, as shown in
그러나 목표 시스템에 이상적인 임펄스 신호를 가하는 것은 현실적으로 불가능하며, 설령 비슷한 신호를 만들어낼 수 있다고 하더라도 환자의 심장에 짧은 시간이지만 무한대에 가까운 크기의 입력을 가하는 것은 매우 위험하다.However, it is impossible to impose an ideal impulse signal on the target system, and even if it can produce similar signals, it is very dangerous to apply infinitely small input to the patient's heart for a short time.
신호압축법은 임펄스 신호에 필터 역할을 하는 함수를 곱하여 등가 임펄스 신호를 만들어내고, 시스템에 적용하고 난 후 다시 필터의 역함수를 곱하여 목표 시스템의 전달함수를 얻을 수 있는 방법이다.In the signal compression method, an impulse signal is multiplied by a filter function to produce an equivalent impulse signal, which is then applied to the system and then multiplied by the inverse of the filter to obtain the transfer function of the target system.
신호압축법의 개략적인 블록 다이어그램은 도 3에서와 같다.A schematic block diagram of the signal compression method is shown in FIG.
그리고 도 4는 본 발명에 따른 신호압축법을 이용한 인체 심박수 모델링을 위한 방법을 나타낸 플로우 차트이다.And FIG. 4 is a flowchart illustrating a method for modeling human body heart rate using the signal compression method according to the present invention.
그리고 도 5a는 일반적인 등가 임펄스 신호의 형태를 나타낸 그래프이고, 도 5b는 심장질환 환자에게 적용 가능한 등가 임펄스 신호 그래프이다.5A is a graph showing the shape of a general equivalent impulse signal, and FIG. 5B is a graph of an equivalent impulse signal applicable to a patient with heart disease.
본 발명에 따른 신호압축법을 이용한 인체 심박수 모델링을 위한 방법은 도 4에서와 같이, 필터를 통과한 등가 임펄스 신호를 출력하는 임펄스 신호 출력 단계와, 필터의 시간지연 및 주파수 대역 특성을 조절하고, 심장질환 환자가 트레드밀에서 뒤로 달리는 경우가 없도록 전체 그래프를 오프셋하는 오프셋 조정 단계와, 등가 임펄스 신호 궤적에 따라 심장질환 환자가 운동하도록 트레드밀 속도를 제어하는 트레드밀 속도 제어 단계와, 환자의 심박수 패턴을 센서를 통해 획득하는 심박수 패턴 검출 단계와,출력 궤적에 역필터를 곱하여 환자의 심박수 특성을 가진 전달함수를 산출하는 전달함수 산출 단계와, 산출된 전달함수를 이용하여 심박수 제어기 설계 및 환자 개개인에 대한 맞춤형 자동화 심장재활 트레드밀 제작하기 위한 심박수 제어 알고리즘을 산출하는 심박수 제어 알고리즘 산출 단계를 포함한다.The method for human body heart rate modeling using the signal compression method according to the present invention, as shown in FIG. 4, An offset adjusting step of adjusting the time delay and frequency band characteristics of the filter and offsetting the entire graph so that the heart disease patient does not run behind in the treadmill; A treadmill speed control step of controlling a treadmill speed so that a patient with a heart disease moves according to a signal trajectory, a heart rate pattern detection step of acquiring a patient's heart rate pattern through a sensor, a step of detecting a heart rate by multiplying an output trajectory by an inverse filter, A transfer function calculation step of calculating a transfer function and a heart rate control algorithm calculation step of calculating a heart rate controller using the calculated transfer function and a heart rate control algorithm for producing a customized cardiac rehabilitation treadmill for individual patients.
신호압축법은 필터를 설계하여 등가 임펄스 신호를 만들어내는 과정이 중요한데, 등가 임펄스 신호는 원래의 임펄스 신호와 달리 제한된 크기와 지연된 시간대역 특성을 가진다.The signal- The equivalent impulse signal has a limited size and a delayed time band characteristic unlike the original impulse signal.
필터를 통과한 일반적인 등가 임펄스 신호는 도 5a에서와 같다.filter A general equivalent impulse signal having passed through the filter is shown in FIG.
이와 같은 등가 임펄스 신호는 원래의 임펄스 신호에 비해서 안전하지만 여전히 심장질환 환자에게 적용하기에는 위험하다.Such an equivalent impulse signal is safer than the original impulse signal but is still dangerous to apply to heart patients.
따라서, 필터의 시간지연 및 주파수 대역 특성을 조절하고, 심장질환 환자가 트레드밀에서 뒤로 달리는 경우가 없도록 전체 그래프를 오프셋하면 도 5b에서와 같은 등가 임펄스 신호를 얻을 수 있다.Thus, by adjusting the time delay and frequency band characteristics of the filter and offsetting the entire graph so that a patient with a cardiac condition does not run back from the treadmill, an equivalent impulse signal as shown in FIG. 5B can be obtained.
도 5b의 등가 임펄스 신호는 최대 5km/s 정도의 속도와 느린 속도 변화율을 가지므로 실제 트레드밀 시스템에 충분히 적용할 수 있고 환자에게도 위험하지 않다.The equivalent impulse signal of FIG. 5B has a speed of about 5 km / s and a slow rate change rate, so that it can be applied to an actual treadmill system and is not dangerous to the patient.
또한, 심장질환 중증도가 심하여 빨리 걷기가 힘든 환자의 경우, 더 안전한 등가 임펄스 신호를 만들어 낼 수도 있다.In addition, patients with severe cardiac disease severity and difficult to walk quickly may produce safer equivalent impulse signals.
등가 임펄스 신호 궤적에 따라 심장질환 환자가 운동하도록 트레드밀 속도를 제어하고, 환자의 심박수 패턴을 센서를 통해 얻은 뒤, 출력 궤적에 역필터를 곱하면 앞서 설명한 대로 그 환자의 심박수 특성을 가진 전달함수를 얻을 수 있다. When the patient's heart rate pattern is obtained through the sensor and the output trajectory is multiplied by the inverse filter, the transfer function with the patient's heart rate characteristic Can be obtained.
이를 토대로 심박수 제어기를 설계하면 환자 개개인에 대한 맞춤형 자동화 심장재활 트레드밀을 제작 가능하다.Based on this, it is possible to design a customized cardiac rehabilitation treadmill for individual patients by designing a heart rate controller.
또한, 등가 임펄스 신호를 환자에게 적용하는 시간은 도 5b에 나타난 것처럼 10분 이내로 소요되므로 환자의 상태가 매일 바뀐다 하더라도 심장재활 운동 전에 간단히 이 알고리즘을 적용함으로써 그날 그 환자의 컨디션에 적합한 제어기를 트레드밀 시스템에 적용할 수 있다.Also, since the time required for applying the equivalent impulse signal to the patient is within 10 minutes as shown in FIG. 5B, even if the patient's condition changes every day, the algorithm is simply applied before the cardiac rehabilitation exercise so that a controller suitable for the patient's condition .
이상에서의 설명에서와 같이 본 발명의 본질적인 특성에서 벗어나지 않는 범위에서 변형된 형태로 본 발명이 구현되어 있음을 이해할 수 있을 것이다.As described above, it will be understood that the present invention is implemented in a modified form without departing from the essential characteristics of the present invention.
그러므로 명시된 실시 예들은 한정적인 관점이 아니라 설명적인 관점에서 고려되어야 하고, 본 발명의 범위는 전술한 설명이 아니라 특허청구 범위에 나타나 있으며, 그와 동등한 범위 내에 있는 모든 차이점은 본 발명에 포함된 것으로 해석되어야 할 것이다.It is therefore to be understood that the specified embodiments are to be considered in an illustrative rather than a restrictive sense and that the scope of the invention is indicated by the appended claims rather than by the foregoing description and that all such differences falling within the scope of equivalents thereof are intended to be embraced therein It should be interpreted.
20. 임펄스 신호 출력부 21. 오프셋 조정부
22. 드레드밀 속도 제어부 23. 심박수 패턴 검출부
24. 전달함수 산출부 25. 심박수 제어 알고리즘 산출부20. Impulse
22. Dread
24. Transfer
| Application Number | Priority Date | Filing Date | Title |
|---|---|---|---|
| KR1020170101017AKR20190016727A (en) | 2017-08-09 | 2017-08-09 | System and Method for Heart Rate Modeling using Signal Compression Method |
| Application Number | Priority Date | Filing Date | Title |
|---|---|---|---|
| KR1020170101017AKR20190016727A (en) | 2017-08-09 | 2017-08-09 | System and Method for Heart Rate Modeling using Signal Compression Method |
| Publication Number | Publication Date |
|---|---|
| KR20190016727Atrue KR20190016727A (en) | 2019-02-19 |
| Application Number | Title | Priority Date | Filing Date |
|---|---|---|---|
| KR1020170101017AWithdrawnKR20190016727A (en) | 2017-08-09 | 2017-08-09 | System and Method for Heart Rate Modeling using Signal Compression Method |
| Country | Link |
|---|---|
| KR (1) | KR20190016727A (en) |
| Publication number | Priority date | Publication date | Assignee | Title |
|---|---|---|---|---|
| US11756666B2 (en) | 2019-10-03 | 2023-09-12 | Rom Technologies, Inc. | Systems and methods to enable communication detection between devices and performance of a preventative action |
| US11830601B2 (en) | 2019-10-03 | 2023-11-28 | Rom Technologies, Inc. | System and method for facilitating cardiac rehabilitation among eligible users |
| US11887717B2 (en) | 2019-10-03 | 2024-01-30 | Rom Technologies, Inc. | System and method for using AI, machine learning and telemedicine to perform pulmonary rehabilitation via an electromechanical machine |
| US11915815B2 (en) | 2019-10-03 | 2024-02-27 | Rom Technologies, Inc. | System and method for using artificial intelligence and machine learning and generic risk factors to improve cardiovascular health such that the need for additional cardiac interventions is mitigated |
| US11915816B2 (en) | 2019-10-03 | 2024-02-27 | Rom Technologies, Inc. | Systems and methods of using artificial intelligence and machine learning in a telemedical environment to predict user disease states |
| US11923065B2 (en) | 2019-10-03 | 2024-03-05 | Rom Technologies, Inc. | Systems and methods for using artificial intelligence and machine learning to detect abnormal heart rhythms of a user performing a treatment plan with an electromechanical machine |
| US11955221B2 (en) | 2019-10-03 | 2024-04-09 | Rom Technologies, Inc. | System and method for using AI/ML to generate treatment plans to stimulate preferred angiogenesis |
| US11955222B2 (en) | 2019-10-03 | 2024-04-09 | Rom Technologies, Inc. | System and method for determining, based on advanced metrics of actual performance of an electromechanical machine, medical procedure eligibility in order to ascertain survivability rates and measures of quality-of-life criteria |
| US11955223B2 (en) | 2019-10-03 | 2024-04-09 | Rom Technologies, Inc. | System and method for using artificial intelligence and machine learning to provide an enhanced user interface presenting data pertaining to cardiac health, bariatric health, pulmonary health, and/or cardio-oncologic health for the purpose of performing preventative actions |
| US11955220B2 (en) | 2019-10-03 | 2024-04-09 | Rom Technologies, Inc. | System and method for using AI/ML and telemedicine for invasive surgical treatment to determine a cardiac treatment plan that uses an electromechanical machine |
| US11961603B2 (en) | 2019-10-03 | 2024-04-16 | Rom Technologies, Inc. | System and method for using AI ML and telemedicine to perform bariatric rehabilitation via an electromechanical machine |
| US12020800B2 (en) | 2019-10-03 | 2024-06-25 | Rom Technologies, Inc. | System and method for using AI/ML and telemedicine to integrate rehabilitation for a plurality of comorbid conditions |
| US12020799B2 (en) | 2019-10-03 | 2024-06-25 | Rom Technologies, Inc. | Rowing machines, systems including rowing machines, and methods for using rowing machines to perform treatment plans for rehabilitation |
| US12062425B2 (en) | 2019-10-03 | 2024-08-13 | Rom Technologies, Inc. | System and method for implementing a cardiac rehabilitation protocol by using artificial intelligence and standardized measurements |
| US12087426B2 (en) | 2019-10-03 | 2024-09-10 | Rom Technologies, Inc. | Systems and methods for using AI ML to predict, based on data analytics or big data, an optimal number or range of rehabilitation sessions for a user |
| US12176089B2 (en) | 2019-10-03 | 2024-12-24 | Rom Technologies, Inc. | System and method for using AI ML and telemedicine for cardio-oncologic rehabilitation via an electromechanical machine |
| US12176091B2 (en) | 2019-10-03 | 2024-12-24 | Rom Technologies, Inc. | Systems and methods for using elliptical machine to perform cardiovascular rehabilitation |
| US12186623B2 (en) | 2019-03-11 | 2025-01-07 | Rom Technologies, Inc. | Monitoring joint extension and flexion using a sensor device securable to an upper and lower limb |
| US12224052B2 (en) | 2019-10-03 | 2025-02-11 | Rom Technologies, Inc. | System and method for using AI, machine learning and telemedicine for long-term care via an electromechanical machine |
| US12230382B2 (en) | 2019-10-03 | 2025-02-18 | Rom Technologies, Inc. | Systems and methods for using artificial intelligence and machine learning to predict a probability of an undesired medical event occurring during a treatment plan |
| US12230381B2 (en) | 2019-10-03 | 2025-02-18 | Rom Technologies, Inc. | System and method for an enhanced healthcare professional user interface displaying measurement information for a plurality of users |
| US12285654B2 (en) | 2019-05-10 | 2025-04-29 | Rom Technologies, Inc. | Method and system for using artificial intelligence to interact with a user of an exercise device during an exercise session |
| US12324961B2 (en) | 2019-05-10 | 2025-06-10 | Rom Technologies, Inc. | Method and system for using artificial intelligence to present a user interface representing a user's progress in various domains |
| US12347543B2 (en) | 2019-10-03 | 2025-07-01 | Rom Technologies, Inc. | Systems and methods for using artificial intelligence to implement a cardio protocol via a relay-based system |
| US12367960B2 (en) | 2020-09-15 | 2025-07-22 | Rom Technologies, Inc. | System and method for using AI ML and telemedicine to perform bariatric rehabilitation via an electromechanical machine |
| US12380984B2 (en) | 2019-10-03 | 2025-08-05 | Rom Technologies, Inc. | Systems and methods for using artificial intelligence and machine learning to generate treatment plans having dynamically tailored cardiac protocols for users to manage a state of an electromechanical machine |
| US12390689B2 (en) | 2019-10-21 | 2025-08-19 | Rom Technologies, Inc. | Persuasive motivation for orthopedic treatment |
| US12420143B1 (en) | 2019-10-03 | 2025-09-23 | Rom Technologies, Inc. | System and method for enabling residentially-based cardiac rehabilitation by using an electromechanical machine and educational content to mitigate risk factors and optimize user behavior |
| Publication number | Priority date | Publication date | Assignee | Title |
|---|---|---|---|---|
| KR20130027712A (en) | 2011-09-08 | 2013-03-18 | 주식회사 누가의료기 | Treadmill speed control method using anova of rr interval of ecg |
| KR20170037035A (en) | 2015-09-25 | 2017-04-04 | 주식회사 나노바이오라이프 | System And Method For Smart Recumbent Rehabilitation Exercise |
| KR20170086922A (en) | 2016-01-19 | 2017-07-27 | 부산대학교 산학협력단 | The IT convergence aerobic exercise treadmill system for a cardiac rehabilitaton |
| Publication number | Priority date | Publication date | Assignee | Title |
|---|---|---|---|---|
| KR20130027712A (en) | 2011-09-08 | 2013-03-18 | 주식회사 누가의료기 | Treadmill speed control method using anova of rr interval of ecg |
| KR20170037035A (en) | 2015-09-25 | 2017-04-04 | 주식회사 나노바이오라이프 | System And Method For Smart Recumbent Rehabilitation Exercise |
| KR20170086922A (en) | 2016-01-19 | 2017-07-27 | 부산대학교 산학협력단 | The IT convergence aerobic exercise treadmill system for a cardiac rehabilitaton |
| Publication number | Priority date | Publication date | Assignee | Title |
|---|---|---|---|---|
| US12186623B2 (en) | 2019-03-11 | 2025-01-07 | Rom Technologies, Inc. | Monitoring joint extension and flexion using a sensor device securable to an upper and lower limb |
| US12324961B2 (en) | 2019-05-10 | 2025-06-10 | Rom Technologies, Inc. | Method and system for using artificial intelligence to present a user interface representing a user's progress in various domains |
| US12285654B2 (en) | 2019-05-10 | 2025-04-29 | Rom Technologies, Inc. | Method and system for using artificial intelligence to interact with a user of an exercise device during an exercise session |
| US12087426B2 (en) | 2019-10-03 | 2024-09-10 | Rom Technologies, Inc. | Systems and methods for using AI ML to predict, based on data analytics or big data, an optimal number or range of rehabilitation sessions for a user |
| US12176091B2 (en) | 2019-10-03 | 2024-12-24 | Rom Technologies, Inc. | Systems and methods for using elliptical machine to perform cardiovascular rehabilitation |
| US11923065B2 (en) | 2019-10-03 | 2024-03-05 | Rom Technologies, Inc. | Systems and methods for using artificial intelligence and machine learning to detect abnormal heart rhythms of a user performing a treatment plan with an electromechanical machine |
| US11955221B2 (en) | 2019-10-03 | 2024-04-09 | Rom Technologies, Inc. | System and method for using AI/ML to generate treatment plans to stimulate preferred angiogenesis |
| US11955222B2 (en) | 2019-10-03 | 2024-04-09 | Rom Technologies, Inc. | System and method for determining, based on advanced metrics of actual performance of an electromechanical machine, medical procedure eligibility in order to ascertain survivability rates and measures of quality-of-life criteria |
| US11955223B2 (en) | 2019-10-03 | 2024-04-09 | Rom Technologies, Inc. | System and method for using artificial intelligence and machine learning to provide an enhanced user interface presenting data pertaining to cardiac health, bariatric health, pulmonary health, and/or cardio-oncologic health for the purpose of performing preventative actions |
| US11955220B2 (en) | 2019-10-03 | 2024-04-09 | Rom Technologies, Inc. | System and method for using AI/ML and telemedicine for invasive surgical treatment to determine a cardiac treatment plan that uses an electromechanical machine |
| US11961603B2 (en) | 2019-10-03 | 2024-04-16 | Rom Technologies, Inc. | System and method for using AI ML and telemedicine to perform bariatric rehabilitation via an electromechanical machine |
| US12020800B2 (en) | 2019-10-03 | 2024-06-25 | Rom Technologies, Inc. | System and method for using AI/ML and telemedicine to integrate rehabilitation for a plurality of comorbid conditions |
| US12020799B2 (en) | 2019-10-03 | 2024-06-25 | Rom Technologies, Inc. | Rowing machines, systems including rowing machines, and methods for using rowing machines to perform treatment plans for rehabilitation |
| US12062425B2 (en) | 2019-10-03 | 2024-08-13 | Rom Technologies, Inc. | System and method for implementing a cardiac rehabilitation protocol by using artificial intelligence and standardized measurements |
| US11756666B2 (en) | 2019-10-03 | 2023-09-12 | Rom Technologies, Inc. | Systems and methods to enable communication detection between devices and performance of a preventative action |
| US12176089B2 (en) | 2019-10-03 | 2024-12-24 | Rom Technologies, Inc. | System and method for using AI ML and telemedicine for cardio-oncologic rehabilitation via an electromechanical machine |
| US11915816B2 (en) | 2019-10-03 | 2024-02-27 | Rom Technologies, Inc. | Systems and methods of using artificial intelligence and machine learning in a telemedical environment to predict user disease states |
| US11915815B2 (en) | 2019-10-03 | 2024-02-27 | Rom Technologies, Inc. | System and method for using artificial intelligence and machine learning and generic risk factors to improve cardiovascular health such that the need for additional cardiac interventions is mitigated |
| US12224052B2 (en) | 2019-10-03 | 2025-02-11 | Rom Technologies, Inc. | System and method for using AI, machine learning and telemedicine for long-term care via an electromechanical machine |
| US12230383B2 (en) | 2019-10-03 | 2025-02-18 | Rom Technologies, Inc. | United states systems and methods for using elliptical machine to perform cardiovascular rehabilitation |
| US12230382B2 (en) | 2019-10-03 | 2025-02-18 | Rom Technologies, Inc. | Systems and methods for using artificial intelligence and machine learning to predict a probability of an undesired medical event occurring during a treatment plan |
| US12230381B2 (en) | 2019-10-03 | 2025-02-18 | Rom Technologies, Inc. | System and method for an enhanced healthcare professional user interface displaying measurement information for a plurality of users |
| US11887717B2 (en) | 2019-10-03 | 2024-01-30 | Rom Technologies, Inc. | System and method for using AI, machine learning and telemedicine to perform pulmonary rehabilitation via an electromechanical machine |
| US11830601B2 (en) | 2019-10-03 | 2023-11-28 | Rom Technologies, Inc. | System and method for facilitating cardiac rehabilitation among eligible users |
| US12347543B2 (en) | 2019-10-03 | 2025-07-01 | Rom Technologies, Inc. | Systems and methods for using artificial intelligence to implement a cardio protocol via a relay-based system |
| US12424308B2 (en) | 2019-10-03 | 2025-09-23 | Rom Technologies, Inc. | System and method for determining, based on advanced metrics of actual performance of an electromechanical machine, medical procedure eligibility in order to ascertain survivability rates and measures of quality-of-life criteria |
| US12380984B2 (en) | 2019-10-03 | 2025-08-05 | Rom Technologies, Inc. | Systems and methods for using artificial intelligence and machine learning to generate treatment plans having dynamically tailored cardiac protocols for users to manage a state of an electromechanical machine |
| US12420143B1 (en) | 2019-10-03 | 2025-09-23 | Rom Technologies, Inc. | System and method for enabling residentially-based cardiac rehabilitation by using an electromechanical machine and educational content to mitigate risk factors and optimize user behavior |
| US12390689B2 (en) | 2019-10-21 | 2025-08-19 | Rom Technologies, Inc. | Persuasive motivation for orthopedic treatment |
| US12367960B2 (en) | 2020-09-15 | 2025-07-22 | Rom Technologies, Inc. | System and method for using AI ML and telemedicine to perform bariatric rehabilitation via an electromechanical machine |
| Publication | Publication Date | Title |
|---|---|---|
| KR20190016727A (en) | System and Method for Heart Rate Modeling using Signal Compression Method | |
| Elliott et al. | The cochlea as a smart structure | |
| US20190059822A1 (en) | Heart rate detection method and apparatus, and electronic terminal thereof | |
| EP4404141A3 (en) | Systems and methods for planning a treatment of cardiovascular disease of a patient | |
| JP2013516258A (en) | Method for determining artificial limb movements from EEG signals | |
| Neuhoff et al. | Strength and physical fitness predict the perception of looming sounds | |
| JP2014510545A (en) | Method for determining the characteristics of a subject's circadian rhythm | |
| US20150220832A1 (en) | Systems and methods for identification of spike-processing circuits | |
| EP3459590A1 (en) | Neuromimetic stimulating apparatus and method | |
| Thakur et al. | FPGA implementation of the CAR model of the cochlea | |
| KR102536856B1 (en) | Apparatus for gait assistance and operating method thereof | |
| Ludvig et al. | Estimation of joint impedance using short data segments | |
| JP6652252B2 (en) | Myoelectric signal processing method, apparatus and program | |
| KR20220137856A (en) | Signal processing method, signal filtering apparatus and signal processing unit | |
| Oh et al. | Digital filter design of frequency weighting function to measure and assess human vibration | |
| CN108325201A (en) | A kind of cadence detection method and equipment based on Multi-source Information Fusion | |
| WO2016104496A1 (en) | Drowsiness estimation device and drowsiness estimation program | |
| KR102104465B1 (en) | A method and apparatus for preventing drowsiness using neural network | |
| CN106682406A (en) | Sleep state monitoring method based on GM-GP algorithm | |
| Ricci et al. | A novel analytical approach to assess dyskinesia in patients with Parkinson disease | |
| Al-Fahoum et al. | Prediction of sagittal lower limb joints moments under dynamic condition: Feasibility of using EMG and ARMA model identification techniques | |
| Mazumder et al. | Posturography stability score generation for stroke patient using Kinect: Fuzzy based approach | |
| Menegaldo | Exploring possibilities for real-time muscle dynamics state estimation from EMG signals | |
| Choklati et al. | Cyclic analysis of phonocardiogram signals | |
| Yan et al. | Research on an anti-motion interference algorithm of blood oxygen saturation based on AC and DC analysis |
| Date | Code | Title | Description |
|---|---|---|---|
| PA0109 | Patent application | Patent event code:PA01091R01D Comment text:Patent Application Patent event date:20170809 | |
| PG1501 | Laying open of application | ||
| PC1203 | Withdrawal of no request for examination |