Movatterモバイル変換


[0]ホーム

URL:


KR20180063101A - A novel polysulfonamide compound and a resin composition containing the compound - Google Patents

A novel polysulfonamide compound and a resin composition containing the compound
Download PDF

Info

Publication number
KR20180063101A
KR20180063101AKR1020187009136AKR20187009136AKR20180063101AKR 20180063101 AKR20180063101 AKR 20180063101AKR 1020187009136 AKR1020187009136 AKR 1020187009136AKR 20187009136 AKR20187009136 AKR 20187009136AKR 20180063101 AKR20180063101 AKR 20180063101A
Authority
KR
South Korea
Prior art keywords
group
compound
resin composition
formula
polysulfoneamide
Prior art date
Legal status (The legal status is an assumption and is not a legal conclusion. Google has not performed a legal analysis and makes no representation as to the accuracy of the status listed.)
Withdrawn
Application number
KR1020187009136A
Other languages
Korean (ko)
Inventor
타카노리 고이즈미
마키 구마가이
Original Assignee
닛뽄 가야쿠 가부시키가이샤
Priority date (The priority date is an assumption and is not a legal conclusion. Google has not performed a legal analysis and makes no representation as to the accuracy of the date listed.)
Filing date
Publication date
Application filed by 닛뽄 가야쿠 가부시키가이샤filedCritical닛뽄 가야쿠 가부시키가이샤
Publication of KR20180063101ApublicationCriticalpatent/KR20180063101A/en
Withdrawnlegal-statusCriticalCurrent

Links

Classifications

Landscapes

Abstract

Translated fromKorean

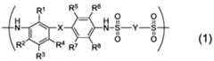
하기식 (1)

Figure pct00013

(식 (1) 중, R1∼R8은, 각각 독립적으로 수소 원자 또는 1가의 유기기를 나타낸다. X는, 결합하는 벤젠환과 공액하지 않는 2가의 연결기를 나타낸다. Y는, 2가의 방향족 잔기를 나타낸다.)
로 나타나는 반복 단위를 갖는 폴리술폰아미드 화합물 및 당해 폴리술폰아미드 화합물을 함유하는 수지 조성물이 개시된다.(1)
Figure pct00013

(In the formula (1), R1 to R8 each independently represent a hydrogen atom or a monovalent organic group, X represents a divalent linking group not conjugated with the benzene ring to be bonded, Y represents a divalent aromatic residue .
A polysulfoneamide compound having a repeating unit represented by the following formula (I) and a resin composition containing the polysulfoneamide compound are disclosed.

Description

Translated fromKorean
신규 폴리술폰아미드 화합물, 및 당해 화합물을 함유하는 수지 조성물A novel polysulfonamide compound and a resin composition containing the compound

본 발명은, 신규 폴리술폰아미드 화합물, 및 당해 화합물을 이용한 수지 조성물에 관한 것이다.The present invention relates to a novel polysulfonamide compound and a resin composition using the compound.

초기의 포토레지스트는, o-나프토퀴논디아지드술폰산을 트리하이드록시벤조페논 등의 수산기에 반응시킨 것을, 예를 들면 m-크레졸형 노볼락 수지와 혼합하거나, 혹은 직접 o-나프토퀴논디아지드술폰산을 노볼락 수지에 반응시키거나 한 것이었다. 그러나, 이러한 레지스트는, 베이스 수지가 노볼락 수지인 점에서, 고온이 되는 가공 프로세스에는 적합하지 않다. 그래서 최근, 고온시에 있어서 패턴 형상이 안정된 내열성의 포토레지스트의 개발이 행해지고 있다.The initial photoresist can be prepared by reacting o-naphthoquinonediazidesulfonic acid with a hydroxyl group such as trihydroxybenzophenone, for example, by mixing with an m-cresol novolak resin, or by directly mixing o-naphthoquinonediamine Or by reacting zidosulfonic acid with novolak resin. However, such a resist is not suitable for a processing process which becomes high temperature because the base resin is a novolak resin. Therefore, recently, development of a heat resistant photoresist having a stable pattern shape at high temperature has been carried out.

특허문헌 1, 2에는, 폴리이미드나 폴리벤조옥사졸을 이용한 고내열 포지티브형 레지스트 재료에 관하여 기재되어 있다. 그러나, 폴리이미드나 폴리벤조옥사졸의 용매에 대한 낮은 용해성 때문에, 그의 전구체인 폴리암산이나 폴리하이드록시아미드를 이용하여 패터닝이 행해진 후, 300℃ 이상의 열처리 온도에서 이 전구체가 폴리이미드나 폴리벤조옥사졸로 변환된다. 그러나, 웨이퍼의 박막화(100㎛ 이하)에 수반하여, 고온 처리에 의한 웨이퍼의 열 변형의 문제가 현재(顯在)화하고 있다. 따라서, 폴리이미드나 폴리벤조옥사졸로의 200℃ 이하에서의 저온 환화(cyclization)가 요구되고 있다.Patent Documents 1 and 2 describe a high heat-resistance positive type resist material using polyimide or polybenzoxazole. However, because of the low solubility of polyimide or polybenzoxazole in a solvent, patterning is performed using polyamic acid or polyhydroxyamide, which is a precursor thereof, and then, at a heat treatment temperature of 300 DEG C or higher, this precursor is reacted with polyimide or polybenzoxazine Sol. However, the problem of thermal deformation of the wafer due to the high temperature treatment has become evident along with the thinning of the wafer (100 탆 or less). Therefore, low temperature cyclization of polyimide or polybenzoxazole at 200 DEG C or less is required.

그래서, 비특허문헌 1에서는, 엔지니어링 플라스틱의 폴리에테르에테르술폰(PEES)을 이용한 네거티브형의 감광성 폴리머의 제안이 이루어져 있다. 이 네거티브형의 감광성 폴리머를 이용할 때, 노광부는 가교 반응에 의해 현상액의 유기 용제에 대하여 불용이 되고, 미(未)노광부는 현상액의 유기 용제에 대하여 양호하게 용해함으로써 패턴이 얻어진다. 그러나, 이러한 유기 용제에 의한 현상은, 현상 후의 폐액의 처리, 환경에 대한 부하 등을 고려한 경우, 바람직하지 않다고 생각하는 경향이 있다. 또한, 유기 용제 현상액은 고가인 점에서, 리소그래피 패터닝에 있어서 염가로 또한 범용적으로 이용되는 2.38% 테트라메틸암모늄하이드록사이드(TMAH) 수용액 등의 알칼리 수용액에 의한 현상이 선호된다.Thus, in Non-Patent Document 1, a negative type photosensitive polymer using polyether ether sulfone (PEES) of engineering plastic is proposed. When this negative type photosensitive polymer is used, the exposed portion is insoluble in the organic solvent of the developer by the crosslinking reaction, and the unexposed portion is satisfactorily dissolved in the organic solvent of the developer to obtain a pattern. However, the development by such an organic solvent tends to be undesirable in consideration of treatment of a waste solution after development, load on environment, and the like. Further, in view of the high cost of the organic solvent developer, development with an alkali aqueous solution such as 2.38% aqueous solution of tetramethylammonium hydroxide (TMAH), which is inexpensive and commonly used in lithography patterning, is preferred.

이와 같이 종래의 폴리이미드, 폴리벤조옥사졸을 이용한 내열성 포토레지스트에서는, 폐환 반응에 300℃ 이상의 고온을 필요로 하고 있었다. 또한, 폐환 반응을 필요로 하지 않는 PEES(폴리에테르에테르술폰)를 이용한 내열성 포토레지스트에서는, 고온의 처리는 필요로 하지는 않지만, PEES가 알칼리 가용성을 갖고 있지 않은 점에서 수계의 현상액에서의 현상이 곤란했다. 경화물 패턴의 형성에 고온의 환화 반응을 필요로 하지 않고, 수계의 현상액에서의 현상이 가능한 포토레지스트 재료를 제공하는 것이 요망되고 있다.Thus, in conventional heat-resistant photoresists using polyimide or polybenzoxazole, a high temperature of 300 DEG C or more is required for the ring-closing reaction. Further, in the heat-resistant photoresist using PEES (polyether ether sulfone) which does not require a ring-closing reaction, treatment at a high temperature is not required, but development in an aqueous developer is difficult because PEES has no alkali solubility did. It is desired to provide a photoresist material capable of developing in a developing solution of an aqueous system without requiring a high-temperature cyclization reaction to form a cured product pattern.

일본공개특허공보 평6-273932호Japanese Patent Application Laid-Open No. 6-273932일본공개특허공보 평1-46862호Japanese Unexamined Patent Publication No. 1-46862

일렉트로닉스 실장 학술강연대회 강연 논문집 22a(0), 191-193, 2008 Electronics Packaging Seminar Lecture 22a (0), 191-193, 2008

본 발명의 제1 목적은, 신규의 구조를 갖는 폴리술폰아미드 화합물 그 자체를 제공하는 것이다.A first object of the present invention is to provide a polysulfoneamide compound itself having a novel structure.

본 발명의 제2 목적은, 이 신규의 폴리술폰아미드 화합물을 포함하는 수지 조성물 및 이것을 이용하여 형성된 경화물을 제공하는 것이다.A second object of the present invention is to provide a resin composition containing the novel polysulfoneamide compound and a cured product formed using the resin composition.

본 발명의 제(諸) 태양은, 이하와 같다.The aspects of the present invention are as follows.

[1].[One].

하기식 (1)(1)

Figure pct00001
Figure pct00001

(식 (1) 중, R1∼R8은, 각각 독립적으로 수소 원자 또는 1가의 유기기를 나타낸다. X는, 결합하는 벤젠환과 공액하지 않는 2가의 연결기를 나타낸다. Y는, 2가의 방향족 잔기를 나타낸다.)(In the formula (1), R1 to R8 each independently represent a hydrogen atom or a monovalent organic group, X represents a divalent linking group not conjugated with the benzene ring to be bonded, Y represents a divalent aromatic residue .

로 나타나는 반복 단위를 갖는, 폴리술폰아미드 화합물.≪ / RTI > wherein R < 1 >

[2].[2].

Y가, 하기식 (2)Y is a group represented by the following formula (2)

Figure pct00002
Figure pct00002

(식 (2) 중, R9∼R16은, 각각 독립적으로 수소 원자 또는 1가의 유기기를 나타낸다. Y'는, 직접 결합, 산소 원자, 카보닐기, 메틸렌기, 황 원자 또는 술포닐기를 나타낸다.)(In the formula (2), R9 to R16 each independently represent a hydrogen atom or a monovalent organic group, and Y 'represents a direct bond, an oxygen atom, a carbonyl group, a methylene group, a sulfur atom or a sulfonyl group. )

로 나타나는 2가의 방향족 잔기인, 전항 [1]에 기재된 폴리술폰아미드 화합물.Is a divalent aromatic residue represented by the following formula (1).

[3].[3].

X가, 산소 원자, 황 원자, 술포닐기, 카보닐기, 메틸렌기 또는 직접 결합인, 전항 [1] 또는 [2]에 기재된 폴리술폰아미드 화합물.The polysulfoneamide compound according to the above [1] or [2], wherein X is an oxygen atom, a sulfur atom, a sulfonyl group, a carbonyl group, a methylene group or a direct bond.

[4].[4].

전항 [1]∼[3] 중 어느 한 항에 기재된 폴리술폰아미드 화합물 및 당해 폴리술폰아미드 화합물 이외의 성분을 함유하는, 수지 조성물.A resin composition comprising the polysulfoneamide compound according to any one of items [1] to [3] and a component other than the polysulfoneamide compound.

[5].[5].

유기 용제를 함유하는, 전항 [4]에 기재된 수지 조성물.The resin composition according to the above [4], which contains an organic solvent.

[6].[6].

가교제를 함유하는, 전항 [4] 또는 [5]에 기재된 수지 조성물.The resin composition according to the above [4] or [5], which contains a crosslinking agent.

[7].[7].

산 발생제를 함유하는, 전항 [4]∼[6] 중 어느 한 항에 기재된 수지 조성물.The resin composition according to any one of items [4] to [6], which contains an acid generator.

[8].[8].

전항 [4]∼[7] 중 어느 한 항에 기재된 수지 조성물의 경화물.A cured product of the resin composition according to any one of the above items [4] to [7].

본 발명에 의하면, 종래 기술에 없는 신규의 구조의 폴리술폰아미드 화합물이 제공된다.According to the present invention, there is provided a polysulfoneamide compound having a novel structure which is not present in the prior art.

또한, 본 발명에 의한 바람직한 폴리술폰아미드 화합물은, 폐환 반응을 필요로 하지 않기 때문에, 당해 화합물을 포함하는 수지 조성물을 이용함으로써, 우수한 해상도 및 경화막 물성을 갖는 패턴을 형성할 수 있다. 또한, 본 발명의 폴리술폰아미드 화합물은, 수계의 현상액에서의 현상이 가능하기 때문에, 환경 친화적이다.Further, the preferred polysulfoneamide compound according to the present invention does not require a cyclization reaction, and therefore, a pattern having excellent resolution and physical properties of the cured film can be formed by using the resin composition containing the compound. Further, the polysulfoneamide compound of the present invention is environmentally friendly because it can develop in a water-based developer.

(발명을 실시하기 위한 형태)(Mode for carrying out the invention)

이하에, 본 발명의 폴리술폰아미드 화합물 및 당해 화합물을 포함하는 수지 조성물의 실시 형태를 상세하게 설명한다. 또한, 본 발명은 이들 실시 형태에 한정되는 것은 아니다.Hereinafter, embodiments of the polysulfoneamide compound of the present invention and the resin composition containing the compound will be described in detail. The present invention is not limited to these embodiments.

본 발명의 폴리술폰아미드 화합물은, 하기식 (1)로 나타나는 반복 단위를 갖는다. 식 (1) 중, R1∼R8은, 각각 독립적으로 수소 원자 또는 1가의 유기기를 나타낸다. X는, 결합하는 벤젠환과 공액하지 않는 2가의 연결기를 나타낸다. Y는, 2가의 방향족 잔기를 나타낸다.The polysulfoneamide compound of the present invention has a repeating unit represented by the following formula (1). In the formula (1), R1 to R8 each independently represent a hydrogen atom or a monovalent organic group. X represents a divalent linking group which is not conjugated with the benzene ring to be bonded. Y represents a divalent aromatic residue.

Figure pct00003
Figure pct00003

식 (1)의 R1∼R8이 나타내는 1가의 유기기로서는, 특별히 한정되지 않지만, 예를 들면 지방족 탄화수소 잔기, 시아노기, 할로겐 원자, 카본산 아미드기, 아미노기, 알콕시기, 아릴옥시기, 알콕시카보닐기, 아릴카보닐기 및 아실기 등을 들 수 있다.The monovalent organic group represented by R1 to R8 in the formula (1) is not particularly limited, and examples thereof include aliphatic hydrocarbon residue, cyano group, halogen atom, carbonic acid amide group, amino group, alkoxy group, An alkoxycarbonyl group, an arylcarbonyl group, and an acyl group.

식 (1)의 R1∼R8이 나타내는 1가의 유기기인 지방족 탄화수소 잔기란, 탄소 원자와 수소 원자로 이루어지는 지방족 탄화수소로부터 수소 원자 1개를 제거한 잔기이다. 그 예로서, 포화 또는 불포화의, 직쇄, 분기쇄 또는 환상의 지방족 탄화수소 잔기를 들 수 있다. 당해 지방족 탄화수소 잔기의 탄소수는 특별히 한정되지 않고, 또한 당해 지방족 탄화수소기가 갖는 수소 원자는, 예를 들면, 시아노기, 할로겐 원자, 카본산 아미드기, 아미노기, 알콕시기, 아릴옥시기, 알콕시카보닐기, 아릴카보닐기 또는 아실기 등으로 치환되어 있어도 좋다.The aliphatic hydrocarbon residue, which is a monovalent organic group represented by R1 to R8 in the formula (1), is a residue obtained by removing one hydrogen atom from an aliphatic hydrocarbon comprising a carbon atom and a hydrogen atom. Examples thereof include saturated or unsaturated, straight-chain, branched-chain or cyclic aliphatic hydrocarbon residues. The number of carbon atoms of the aliphatic hydrocarbon residue is not particularly limited and the hydrogen atom contained in the aliphatic hydrocarbon group may be, for example, a cyano group, a halogen atom, a carbonic acid amide group, an amino group, an alkoxy group, an aryloxy group, an alkoxycarbonyl group, An arylcarbonyl group, an acyl group, or the like.

식 (1)의 R1∼R8이 나타내는 1가의 유기기인 할로겐 원자의 구체예로서는, 불소 원자, 염소 원자, 브롬 원자 및 요오드 원자를 들 수 있다.Specific examples of the halogen atom which is a monovalent organic group represented by R1 to R8 in the formula (1) include a fluorine atom, a chlorine atom, a bromine atom and an iodine atom.

식 (1)의 R1∼R8이 나타내는 1가의 유기기인 아미노기로서는, 특별히 한정되지 않지만, 비(非)치환의 아미노기, 모노 또는 디메틸아미노기, 모노 또는 디에틸아미노기, 모노 또는 디(n-프로필)아미노기 등의 알킬 치환 아미노기, 모노 또는 디페닐아미노기, 모노 또는 디나프틸아미노기 등의 방향족 치환 아미노기, 모노알킬모노페닐아미노기 등의 알킬기와 방향족 잔기가 1개씩 치환된 아미노기 또는 벤질아미노기, 또한 아세틸아미노기 및 페닐아세틸아미노기 등을 들 수 있다.Examples of the amino group which is a monovalent organic group represented by R1 to R8 in the formula (1) include, but not limited to, a non-substituted amino group, a mono or dimethylamino group, a mono or diethylamino group, Amino group or benzylamino group in which one or more aromatic moieties are substituted with an alkyl group such as a mono or di-naphthyl amino group, an aromatic substituted amino group such as a mono or dinaphthyl amino group, a monoalkyl monophenyl amino group, And a phenylacetylamino group.

식 (1)의 R1∼R8이 나타내는 1가의 유기기인 알콕시기로서는, 특별히 한정되지 않지만, 메톡시기, 에톡시기, n-프로폭시기, 이소프로폭시기, n-부톡시기, 이소부톡시기, sec-부톡시기 및 t-부톡시기 등을 들 수 있다.Examples of the alkoxy group as a monovalent organic group represented by R1 to R8 in the formula (1) include, but not limited to, methoxy group, ethoxy group, n-propoxy group, isopropoxy group, n- , sec-butoxy group, and t-butoxy group.

식 (1)의 R1∼R8이 나타내는 1가의 유기기인 아릴옥시기로서는, 특별히 한정되지 않지만, 페녹시기 및 나프톡시기 등을 들 수 있다.The aryloxy group represented by R1 to R8 in formula (1), which is a monovalent organic group, is not particularly limited, and examples thereof include a phenoxy group and a naphthoxy group.

식 (1)의 R1∼R8이 나타내는 1가의 유기기인 알콕시카보닐기로서는, 특별히 한정되지 않지만, 예를 들면 탄소수 1∼10의 알콕시카보닐기 등을 들 수 있다. 그의 구체예로서는 메톡시카보닐기, 에톡시카보닐기, n-프로폭시카보닐기, 이소프로폭시카보닐기, n-부톡시카보닐기, 이소부톡시카보닐기, sec-부톡시카보닐기, t-부톡시카보닐기, n-펜톡시카보닐기, n-헥실옥시카보닐기, n-헵틸옥시카보닐기, n-노닐옥시카보닐기 및 n-데실옥시카보닐기 등이다.The alkoxycarbonyl group represented by R1 to R8 in the formula (1) is not particularly limited, and examples thereof include an alkoxycarbonyl group having 1 to 10 carbon atoms. Specific examples thereof include methoxycarbonyl, ethoxycarbonyl, n-propoxycarbonyl, isopropoxycarbonyl, n-butoxycarbonyl, isobutoxycarbonyl, sec-butoxycarbonyl, N-pentyloxycarbonyl group, n-heptyloxycarbonyl group, n-nonyloxycarbonyl group, and n-decyloxycarbonyl group.

식 (1)의 R1∼R8이 나타내는 1가의 유기기인 아릴카보닐기로서는, 특별히 한정되지 않지만, 예를 들면 벤조페논, 나프토페논 등의 아릴기와 카보닐이 연결된 기를 나타낸다.The arylcarbonyl group represented by R1 to R8 in the formula (1), which is a monovalent organic group, is not particularly limited, and examples thereof include a group in which an aryl group such as benzophenone or naphthophenone is linked with a carbonyl group.

식 (1)의 R1∼R8이 나타내는 아실기로서는, 특별히 한정되지 않지만, 예를 들면 탄소수 1∼10의 알킬카보닐기, 아릴카보닐기 등을 들 수 있다. 바람직하게는 탄소수 1∼4의 알킬카보닐기이고, 구체적으로는 아세틸기, 프로피오닐기, 트리플루오로메틸카보닐기, 펜타플루오로에틸카보닐기, 벤조일기, 나프토일기 등을 들 수 있다.The acyl group represented by R1 to R8 in the formula (1) is not particularly limited, and examples thereof include an alkylcarbonyl group having 1 to 10 carbon atoms, an arylcarbonyl group and the like. Preferably an alkylcarbonyl group having 1 to 4 carbon atoms, and specific examples thereof include an acetyl group, a propionyl group, a trifluoromethylcarbonyl group, a pentafluoroethylcarbonyl group, a benzoyl group and a naphthoyl group.

식 (1)에 있어서의 R1∼R8로서는, 모두가 수소 원자인 것이 바람직하다.It is preferable that all of R1 to R8 in the formula (1) are hydrogen atoms.

식 (1)의 X가 나타내는 벤젠환과 공액하지 않는 2가의 연결기로서는, 특별히 한정되지 않지만, 예를 들면 산소 원자 등의 Ⅵ족의 원소나, 술포닐기 그리고 알킬렌기 등의 2가의 치환기를 들 수 있다. 직접 결합(식 (1) 중의 2개의 벤젠환이 어느 것도 연결기를 통하지 않고 결합되어 있는 경우를 가리킨다. 이하 동일)도, 이 2가의 연결기의 범주에 포함된다. 또한, 폴리술폰아미드 화합물이 그의 구조 중에 복수 갖는 2가의 연결기 X는, 각각이 동일해도 상이해도 좋다.The divalent linking group which is not conjugated with the benzene ring represented by X in the formula (1) is not particularly limited, and examples thereof include divalent substituents such as a group VI element such as an oxygen atom, a sulfonyl group and an alkylene group . A direct bond (the case where two of the benzene rings in formula (1) are bonded to each other without through a connecting group, the same shall apply hereinafter) are also included in the category of this bivalent connecting group. The divalent linking group X having a plurality of polysulfoneamide compounds in its structure may be the same or different.

식 (1)의 X가 나타내는 벤젠환과 공액하지 않는 2가의 연결기로서는, 산소 원자, 황 원자, 술포닐기, 카보닐기, 메틸렌기 또는 직접 결합인 것이 바람직하고, 산소 원자 또는 황 원자인 것이 보다 바람직하고, 산소 원자인 것이 더욱 바람직하다.The divalent linking group not conjugated with the benzene ring represented by X in the formula (1) is preferably an oxygen atom, a sulfur atom, a sulfonyl group, a carbonyl group, a methylene group or a direct bond, more preferably an oxygen atom or a sulfur atom , And more preferably an oxygen atom.

식 (1)의 Y가 나타내는 2가의 방향족 잔기란, 방향족이 갖는 방향환으로부터 수소 원자 2개를 제거한 잔기를 의미한다. 2가의 방향족 잔기가 될 수 있는 방향족에는, 벤젠 및 나프탈렌 등의 방향환 뿐만 아니라, 디페닐에테르, 디페닐메탄 및 비페닐 등, 복수의 방향환이 연결기를 통하거나 혹은 직접 결합한 방향족도 포함된다. 또한, 폴리술폰아미드 화합물이 그의 구조 중에 복수 갖는 2가의 방향족 잔기 Y는, 각각이 동일해도 상이해도 좋다.The divalent aromatic residue represented by Y in the formula (1) means a residue obtained by removing two hydrogen atoms from an aromatic ring having an aromatic group. The aromatic group which may be a bivalent aromatic residue includes not only an aromatic ring such as benzene and naphthalene but also an aromatic group in which a plurality of aromatic rings are bonded or directly bonded to each other, such as diphenyl ether, diphenylmethane and biphenyl. The bivalent aromatic residue Y having a plurality of polysulfoneamide compounds in its structure may be the same or different.

식 (1)의 Y로서는, 하기식 (2)로 나타나는 2가의 방향족 잔기인 것이 바람직하다. 식 (2) 중, R9∼R16은, 각각 독립적으로 수소 원자 또는 1가의 유기기를 나타낸다. Y'는, 직접 결합, 산소 원자, 카보닐기, 메틸렌기, 황 원자 또는 술포닐기를 나타낸다. 또한, 폴리술폰아미드 화합물이 그의 구조 중에 복수 갖는 Y'는, 각각이 동일해도 상이해도 좋다.The Y in formula (1) is preferably a divalent aromatic residue represented by the following formula (2). In the formula (2), R9 to R16 each independently represent a hydrogen atom or a monovalent organic group. Y 'represents a direct bond, an oxygen atom, a carbonyl group, a methylene group, a sulfur atom or a sulfonyl group. The plurality of the polysulfonamide compound Y 'having a plurality of the polysulfonamide compounds may be the same or different.

Figure pct00004
Figure pct00004

식 (2)의 R9∼R16이 나타내는 1가의 유기기로서는, 식 (1)의 R1∼R8이 나타내는 1가의 유기기와 동일한 것을 들 수 있다.The monovalent organic groups represented by R9 to R16 in the formula (2) include the same monovalent organic groups represented by R1 to R8 in the formula (1).

식 (2)에 있어서의 R9∼R16으로서는, 모두가 수소 원자인 것이 바람직하다.R9 to R16 in the formula (2) are preferably all hydrogen atoms.

식 (2)에 있어서의 Y'로서는, 산소 원자 또는 황 원자인 것이 바람직하고, 산소 원자인 것이 보다 바람직하다.The Y 'in the formula (2) is preferably an oxygen atom or a sulfur atom, more preferably an oxygen atom.

본 발명의 폴리술폰아미드 화합물이 갖는 식 (1)의 반복 단위의 수는, 복수인 한, 특별히 제한되는 것은 아니지만, 후술하는 바람직한 수 평균 분자량의 범위를 충족하는 바와 같은 수인 것이 바람직하다.The number of the repeating units of the formula (1) of the polysulfoneamide compound of the present invention is not particularly limited as far as the number is plural, but it is preferable that the number is the number satisfying the preferable number average molecular weight range described later.

본 발명의 폴리술폰아미드 화합물의 제조 방법에 특별히 제한은 없지만, 할로겐화제를 이용하여 디술폰산 유도체를 디할라이드 유도체로 변환한 후, 당해 디할라이드 유도체에 디아민류를 반응시키는 방법이 일반적이다.The method for producing the polysulfoneamide compound of the present invention is not particularly limited, but a method of converting a disulfonic acid derivative into a dihalide derivative using a halogenating agent and then reacting the dihalide derivative with a diamine is generally used.

디할라이드 유도체로서는 디클로라이드 유도체가 바람직하다. 디술폰산 유도체를 디클로라이드 유도체로 변환할 때에 이용할 수 있는 할로겐화제로서는, 통상의 산 클로라이드화 반응에 사용되는 염화 티오닐, 염화 포스포릴 및 옥시 염화 인 등을 들 수 있다.As the dihalide derivative, a dichloride derivative is preferable. Examples of the halogenating agent that can be used in converting a disulfonic acid derivative into a dichloride derivative include thionyl chloride, phosphorous chloride, phosphorus oxychloride, and the like, which are commonly used in the acid chloride-forming reaction.

또한, 디클로라이드 유도체는, 방향족 화합물에 클로로술폰산을 직접 반응시켜 합성할 수 있다.The dichloride derivative can be synthesized by directly reacting an aromatic compound with chlorosulfonic acid.

본 발명의 폴리술폰아미드 화합물을 제조할 때에 이용할 수 있는 디술폰산 유도체로서는, 예를 들면 하기 화합물 No.1 내지 6으로 나타나는 디술폰산류를 들 수 있지만, 이들에 한정되는 것은 아니다. 이들 디술폰산류는, 단독으로 또는 2종류 이상을 조합하여 이용할 수 있다.Examples of the disulfonic acid derivative that can be used in the production of the polysulfoneamide compound of the present invention include disulfonic acids represented by the following compounds Nos. 1 to 6, but the present invention is not limited thereto. These disulfonic acids may be used alone or in combination of two or more.

Figure pct00005
Figure pct00005

본 발명의 폴리술폰아미드 화합물을 제조할 때에 이용할 수 있는 디아민류로서는, 예를 들면 하기 화합물 No.7 내지 12로 나타나는 디아민류를 들 수 있지만, 이들에 한정되는 것은 아니다. 이들 디아민류는, 단독으로 또는 2종류 이상 조합하여 이용할 수 있다.Examples of the diamines that can be used in the production of the polysulfoneamide compound of the present invention include diamines represented by the following compounds Nos. 7 to 12, but are not limited thereto. These diamines may be used alone or in combination of two or more.

Figure pct00006
Figure pct00006

디할라이드 유도체와 디아민류의 반응은, 탈할로겐화제의 존재하, 유기 용매 중에서 행하는 것이 바람직하다. 탈할로겐화제로서는, 통상, 피리딘, 피콜린 및 트리에틸아민 등의 유기 염기를 이용할 수 있다. 또한, 유기 용매로서는, 술포란, N,N-디메틸아세트아미드, N-메틸-2-피롤리돈, N,N-디메틸포름아미드 등을 이용할 수 있다. 반응 용액의 농도로서는, 20∼50질량%가 바람직하고, 30∼40질량%가 보다 바람직하다. 반응은 우선, 디아민류를 유기 용매에 용해한다. 이 용액을 0℃ 이하까지 냉각한 후, 디할라이드 유도체를 첨가한다. 디할라이드 유도체를 첨가할 때의 온도는 -20∼0℃가 바람직하고, -15∼-5℃가 보다 바람직하다. 디할라이드 유도체와 디아민류의 반응 온도는 -20∼60℃가 바람직하고, -10∼30℃가 보다 바람직하다. 또한, 반응 시간은 30분간 내지 24시간이 바람직하고, 1시간 내지 8시간이 보다 바람직하다. 반응 종료 후, 얻어진 반응 용액을 물에 투입함으로써, 목적으로 하는 폴리술폰아미드 화합물을 석출시킬 수 있다.The reaction between the dihalide derivative and the diamine is preferably carried out in an organic solvent in the presence of a dehalogenating agent. As the dehalogenating agent, an organic base such as pyridine, picoline or triethylamine can be usually used. As the organic solvent, sulfolane, N, N-dimethylacetamide, N-methyl-2-pyrrolidone, N, N-dimethylformamide and the like can be used. The concentration of the reaction solution is preferably 20 to 50 mass%, more preferably 30 to 40 mass%. First, the diamines are dissolved in an organic solvent. After cooling the solution to 0 ° C or lower, a dihalide derivative is added. The temperature for adding the dihalide derivative is preferably -20 to 0 占 폚, more preferably -15 to -5 占 폚. The reaction temperature of the dihalide derivative and the diamine is preferably -20 to 60 占 폚, more preferably -10 to 30 占 폚. The reaction time is preferably 30 minutes to 24 hours, more preferably 1 hour to 8 hours. After the completion of the reaction, the desired reaction solution may be added to water to precipitate the desired polysulfonamide compound.

디클로라이드 유도체와 디아민류의 반응에 의해 얻어지는 본 발명의 폴리술폰아미드 화합물의 양 말단은, 아미노기 또는 술포닐기의 어느 것이라도 좋다.Both ends of the polysulfoneamide compound of the present invention obtained by the reaction of a dichloride derivative and a diamine may be either an amino group or a sulfonyl group.

양 말단이 아미노기인 폴리술폰아미드 화합물은, 디클로라이드 유도체와 디아민류를 반응시킬 때에, 디클로라이드 유도체에 대하여 과잉의 몰량의 디아민류를 이용함으로써 얻을 수 있다. 한편, 양 말단이 술포닐기인 폴리술폰아미드 화합물은, 디클로라이드 유도체와 디아민류를 반응시킬 때에, 디아민류에 대하여 과잉의 몰량의 디클로라이드 유도체를 이용함으로써 얻을 수 있다. 또한, 폴리술폰아미드 화합물의 말단 구조는1H-NMR에 의해 판별할 수 있다.A polysulfoneamide compound having both terminals at the amino group can be obtained by reacting a dichloride derivative with a diamine by using an excess molar amount of a diamine relative to the dichloride derivative. On the other hand, a polysulfoneamide compound wherein both terminals are a sulfonyl group can be obtained by reacting a dichloride derivative with a diamine by using an excess molar amount of a dichloride derivative with respect to the diamines. Further, the terminal structure of the polysulfoneamide compound can be determined by1 H-NMR.

본 발명의 폴리술폰아미드 화합물의 분자량은, 반응에 이용하는 디클로라이드 유도체와 디아민류의 몰비에 의해 제어할 수 있다. 구체적으로는, 디클로라이드 유도체와 디아민류의 몰량의 차가 클수록 얻어지는 폴리술폰아미드 화합물의 분자량은 작아지고, 몰량의 차가 작을수록 얻어지는 폴리술폰아미드 화합물의 분자량은 커진다.The molecular weight of the polysulfoneamide compound of the present invention can be controlled by the molar ratio of the dichloride derivative and the diamine used in the reaction. Specifically, the larger the difference in the molar amount of the dichloride derivative and the diamine is, the smaller the molecular weight of the obtained polysulfonamide compound becomes, and the smaller the difference in the molar amount is, the larger the molecular weight of the obtained polysulfoneamide compound becomes.

본 발명의 폴리술폰아미드 화합물의 수 평균 분자량은, 3,000∼100,000인 것이 바람직하고, 8,000∼50,000인 것이 보다 바람직하다. 여기에서 말하는 수 평균 분자량은, 겔 투과 크로마토그래피법에 의해 측정을 행하고, 표준 폴리스티렌 검량선으로부터 환산하여 얻은 값이다.The number average molecular weight of the polysulfoneamide compound of the present invention is preferably 3,000 to 100,000, more preferably 8,000 to 50,000. The number average molecular weight as referred to herein is a value obtained by carrying out measurement by gel permeation chromatography and converting from a standard polystyrene calibration curve.

본 발명의 수지 조성물은, 식 (1)로 나타나는 반복 단위를 갖는 본 발명의 폴리술폰아미드 화합물 및 당해 폴리술폰아미드 화합물 이외의 성분(이하, 당해 폴리술폰아미드 화합물 이외의 성분을 간단히 「그 외 성분」이라고 기재함)을 함유한다.The resin composition of the present invention comprises the polysulfoneamide compound of the present invention having a repeating unit represented by formula (1) and a component other than the polysulfoneamide compound (hereinafter, components other than the polysulfoneamide compound are simply referred to as &Quot;).

본 발명의 수지 조성물이 함유하는 그 외 성분으로서는, 예를 들면 유기 용제, 가교제, 산 발생제 및 커플링제 등의 밀착 증강제 등을 들 수 있다. 수지 조성물의 용도나 용법에 맞추어, 상기 이외의 각종 성분도 특별히 제한없이 이용할 수 있다. 핸들링이 용이한 점에서, 유기 용제를 함유하는 수지 조성물이 바람직하다.Examples of other components contained in the resin composition of the present invention include adhesion enhancers such as organic solvents, crosslinking agents, acid generators, and coupling agents. Various components other than those described above may also be used without particular limitation in accordance with the use and the method of use of the resin composition. From the viewpoint of easy handling, a resin composition containing an organic solvent is preferable.

본 발명의 수지 조성물이 함유할 수 있는 유기 용제로서는, 특별히 한정되지 않지만, 예를 들면 γ-부티로락톤, 락트산 에틸, 프로필렌글리콜모노메틸에테르아세테이트, 아세트산 벤질, n-부틸아세테이트, 에톡시에틸프로피오네이트, 3-메틸메톡시프로피오네이트, N-메틸-2-피롤리돈, N-에틸-2-피롤리돈, N,N-디메틸포름아미드, N,N-디메틸아세트아미드, 디메틸술폭사이드, 헥사메틸포스포릴아미드, 테트라메틸렌술폰, 사이클로헥산온, 사이클로펜탄온, 디에틸케톤, 디이소부틸케톤 및 메틸아밀케톤 등을 들 수 있다. 이들 유기 용제는 단독으로 또는 2종 이상 병용하여 이용할 수 있다.The organic solvent that can be contained in the resin composition of the present invention is not particularly limited and examples thereof include γ-butyrolactone, ethyl lactate, propylene glycol monomethyl ether acetate, benzyl acetate, n-butyl acetate, Pyrrolidone, N, N-dimethylformamide, N, N-dimethylacetamide, dimethylsulfoxide, dimethyl sulfoxide Side, hexamethylphosphorylamide, tetramethylene sulfone, cyclohexanone, cyclopentanone, diethyl ketone, diisobutyl ketone and methyl amyl ketone. These organic solvents may be used alone or in combination of two or more.

본 발명의 수지 조성물에 있어서의 유기 용제의 함유량에 특별히 제한은 없지만, 통상은, 수지 조성물 중의 용제의 함유량이 0질량% 초과 또한 95질량% 이하, 바람직하게는 20∼90질량%이다.The content of the organic solvent in the resin composition of the present invention is not particularly limited, but usually the content of the solvent in the resin composition is more than 0 mass% and not more than 95 mass%, preferably 20 to 90 mass%.

본 발명의 수지 조성물이 함유할 수 있는 가교제란, 그의 구조 중에 본 발명의 폴리술폰아미드 화합물과 가교 또는 중합할 수 있는 치환기를 2개 이상 갖는 화합물이다. 가교제는, 가열에 의해 가교 또는 중합할 수 있는 치환기를 갖는 가교제인 것이 바람직하다. 또한, 가교제로서는, 본 발명의 폴리술폰아미드 화합물과의 가교 또는 중합 반응에 관여하지 않았던 가교제의 치환기끼리가 중합 반응할 수 있는 화합물, 즉 자기 중합할 수 있는 화합물이 바람직하다. 또한, 가교제는, 저분자량의 화합물, 또는 수지류 등의 고분자량의 화합물의 어느 것이라도 상관없다.The crosslinking agent that can be contained in the resin composition of the present invention is a compound having two or more substituents capable of crosslinking or polymerizing with the polysulfoneamide compound of the present invention in its structure. The crosslinking agent is preferably a crosslinking agent having a substituent group capable of crosslinking or polymerizing by heating. The crosslinking agent is preferably a compound capable of undergoing a polymerization reaction with a substituent of a crosslinking agent not involved in crosslinking or polymerization reaction with the polysulfoneamide compound of the present invention, that is, a compound capable of self-polymerization. The crosslinking agent may be either a low molecular weight compound or a high molecular weight compound such as a resin.

가교제가 갖는 치환기는, 폴리술폰아미드 화합물과 가교 또는 중합할 수 있는 치환기이면 특별히 한정되지 않지만, 메틸올기, 알콕시메틸기, 에폭시기, 옥세탄기 또는 비닐에테르기인 것이 바람직하다.The substituent of the crosslinking agent is not particularly limited as long as it is a substituent capable of crosslinking or polymerizing with the polysulfoneamide compound, but is preferably a methylol group, an alkoxymethyl group, an epoxy group, an oxetane group or a vinyl ether group.

본 발명의 수지 조성물이 함유할 수 있는 가교제로서는, 상기의 치환기가 벤젠환에 결합하고 있는 화합물, N 위치가 메틸올기 및/또는 알콕시메틸기로 치환된 멜라민 수지 및 우레아 수지 등이 바람직하다.As the crosslinking agent that the resin composition of the present invention may contain, a compound in which the substituent is bonded to a benzene ring, a melamine resin in which the N position is substituted with a methylol group and / or an alkoxymethyl group, and a urea resin are preferable.

바람직한 가교제의 구체예로서는, 하기식 (3)∼(5)로 나타나는 화합물을 들 수 있다.Specific examples of preferable crosslinking agents include the compounds represented by the following formulas (3) to (5).

Figure pct00007
Figure pct00007

식 (3) 중, G는 1가∼4가의 유기기를 나타낸다. R17 및 R18은 각각 독립적으로 수소 원자 또는 1가의 유기기를 나타낸다. o는 1∼4의 정수를 나타내고, p 및 q는 각각 독립적으로 0∼4의 정수를 나타낸다.In the formula (3), G represents an organic group of 1 to 4 carbon atoms. R17 and R18 each independently represent a hydrogen atom or a monovalent organic group. o represents an integer of 1 to 4; p and q each independently represent an integer of 0 to 4;

식 (3)의 G, R17 및 R18이 나타내는 1가의 유기기로서는, 식 (1)의 R1∼R8이 나타내는 1가의 유기기와 동일한 것을 들 수 있다.The monovalent organic groups represented by G, R17 and R18 in the formula (3) include the same monovalent organic groups represented by R1 to R8 in the formula (1).

식 (3)의 G가 나타내는 2가∼4가의 유기기로서는, 예를 들면 산소 원자, 황 원자, 탄소 원자, 메틸기, 메틸렌기, 이소프로필리덴기, 헥사플루오로이소프로필리덴기, 벤잘기 등을 들 수 있다.Examples of the divalent to tetravalent organic groups represented by G in the formula (3) include oxygen, sulfur, carbon, methyl, methylene, isopropylidene, hexafluoroisopropylidene, .

Figure pct00008
Figure pct00008

식 (4) 중, J는, 각각 독립적으로 수소 원자 또는 탄소 원자수 1∼10의 알킬기, 알콕시기, 알콕시알킬기 혹은 알콕시알콕시알킬기를 나타내고, 이들 치환기 중의 수소 원자는, 불소 원자로 치환되어 있어도 좋다. R19∼R22는, 각각 독립적으로 수소 원자 또는 1가의 유기기를 나타낸다. r 및 s는 각각 독립적으로 1∼3의 정수를 나타내고, p 및 q는 각각 독립적으로 0∼4의 정수를 나타낸다.In formula (4), each J independently represents a hydrogen atom or an alkyl group, alkoxy group, alkoxyalkyl group or alkoxyalkoxyalkyl group having 1 to 10 carbon atoms, and the hydrogen atom in these substituents may be substituted with a fluorine atom. R19 to R22 each independently represent a hydrogen atom or a monovalent organic group. r and s each independently represent an integer of 1 to 3; p and q each independently represent an integer of 0 to 4;

식 (4)의 R19∼R22가 나타내는 1가의 유기기로서는, 식 (1)의 R1∼R8이 나타내는 1가의 유기기와 동일한 것을 들 수 있다.The monovalent organic groups represented by R19 to R22 in the formula (4) include the same monovalent organic groups represented by R1 to R8 in the formula (1).

Figure pct00009
Figure pct00009

식 (5) 중, R23 및 R24는 각각 독립적으로 수소 원자 또는 1가의 유기기를 나타내고, R24끼리 결합하여 환 구조를 형성해도 좋다.In the formula (5), R23 and R24 each independently represent a hydrogen atom or a monovalent organic group, and R24 may be bonded to each other to form a ring structure.

식 (5)의 R23 및 R24가 나타내는 1가의 유기기로서는, 식 (1)의 R1∼R8이 나타내는 1가의 유기기와 동일한 것을 들 수 있다.The monovalent organic groups represented by R23 and R24 in the formula (5) include the same monovalent organic groups represented by R1 to R8 in the formula (1).

식 (3)∼(5)로 나타나는 가교제로서, 예를 들면 하기 화합물 No.13 내지 22로 나타나는 화합물을 들 수 있지만, 이들에 한정되는 것은 아니다. 또한, 가교제로서, 하기 화합물 No.23 및 24로 나타나는 화합물도, 바람직하게 이용된다.Examples of the crosslinking agent represented by the formulas (3) to (5) include compounds represented by the following compounds Nos. 13 to 22, but are not limited thereto. As the crosslinking agent, compounds represented by the following compounds Nos. 23 and 24 are also preferably used.

이들 가교제는, 단독으로 또는 2종류 이상을 조합하여 사용할 수 있다.These crosslinking agents may be used alone or in combination of two or more.

Figure pct00010
Figure pct00010

본 발명의 수지 조성물에 있어서의 가교제의 함유량은, 현상 시간이나, 미노광부 잔막률의 허용 폭 및 경화막 물성의 점에서, 폴리술폰아미드 화합물 100질량부에 대하여 통상 0질량부 초과 또한 70질량부 이하, 바람직하게는 1∼50질량부이다.The content of the crosslinking agent in the resin composition of the present invention is usually from 0 part by mass to 70 parts by mass relative to 100 parts by mass of the polysulfoneamide compound from the viewpoints of development time, allowable width of the unexposed portion residual film ratio, Preferably 1 to 50 parts by mass.

본 발명의 수지 조성물이 함유할 수 있는 산 발생제에는, 빛 또는 열에 의해 산을 발생하는 화합물의 어느 것도 이용할 수 있다. 빛에 의해 산을 발생하는 화합물인 것이 바람직하다.As the acid generator which may be contained in the resin composition of the present invention, any of compounds capable of generating an acid by light or heat may be used. And is preferably a compound which generates an acid by light.

산 발생제의 구체예로서는, 특별히 한정되지 않지만, 디아릴술포늄염, 트리아릴술포늄염, 디알킬페나실술포늄염, 디아릴요오도늄염, 아릴디아조늄염, 방향족 테트라카본산 에스테르, 방향족 술폰산 에스테르, 니트로벤질에스테르, 옥심술폰산 에스테르(예를 들면 방향족 옥심술폰산 에스테르), 방향족 N-옥시이미드술포네이트, 방향족 술파미드, 할로알킬기 함유 탄화수소계 화합물, 할로알킬기 함유 헤테로 환상 화합물 및 나프토퀴노디아지드-4-술폰산 에스테르 등을 들 수 있다. 이들 산 발생제는, 필요에 따라서 2종류 이상 병용하거나, 다른 증감제와 조합하여 사용할 수 있다. 그 중에서도 방향족 옥심술폰산 에스테르 및 방향족 N-옥시이미드술포네이트 등을 이용하는 것은, 감광성 수지 조성물의 감도의 향상 효과를 기대할 수 있기 때문에 바람직하다.Specific examples of the acid generator include, but are not limited to, diarylsulfonium salts, triarylsulfonium salts, dialkylphenacylsulfonium salts, diaryliodonium salts, aryldiazonium salts, aromatic tetracarboxylic acid esters, aromatic sulfonic acid esters, Nitrobenzyl esters, oxime sulfonic acid esters (for example, aromatic oximesulfonic acid esters), aromatic N-oximidosulfonates, aromatic sulfamides, haloalkyl group-containing hydrocarbon compounds, haloalkyl group-containing heterocyclic compounds and naphthoquinodiazide- -Sulfonic acid ester and the like. These acid generators may be used in combination with two or more kinds, if necessary, or in combination with other sensitizers. Among them, aromatic oximesulfonic acid esters and aromatic N-oximidosulfonates are preferably used because they can be expected to improve the sensitivity of the photosensitive resin composition.

본 발명의 수지 조성물에 있어서의 산 발생제의 함유량은, 폴리술폰아미드 화합물 100질량부에 대하여 통상 10질량부 이하, 바람직하게는 1∼5질량부이다.The content of the acid generator in the resin composition of the present invention is generally 10 parts by mass or less, preferably 1 to 5 parts by mass based on 100 parts by mass of the polysulfoneamide compound.

본 발명의 수지 조성물이 함유할 수 있는 밀착 증강제란, 기판에 대한 조성물의 밀착성을 향상시킬 수 있는 화합물이다. 밀착 증강제로서는, 특별히 한정되지 않지만, 실란 커플링제 또는 티탄 커플링제 등의 커플링제를 들 수 있다. 바람직하게는 실란 커플링제이다.The adhesion enhancer that can be contained in the resin composition of the present invention is a compound capable of improving the adhesion of the composition to the substrate. The adhesion enhancer is not particularly limited, but a coupling agent such as a silane coupling agent or a titanium coupling agent can be mentioned. It is preferably a silane coupling agent.

상기 실란 커플링제로서는, 특별히 한정되지 않지만, 3-클로로프로필트리메톡시실란, 비닐트리클로로실란, 비닐트리에톡시실란, 비닐트리메톡시실란, 비닐·트리스(2-메톡시에톡시)실란, 3-메타크릴옥시프로필트리메톡시실란, 2-(3,4-에폭시사이클로헥실)에틸트리메톡시실란, 3-글리시독시프로필트리메톡시실란, 3-메르캅토프로필트리메톡시실란, 3-아미노프로필트리에톡시실란, N-2-(아미노에틸)-3-아미노프로필트리메톡시실란, 3-우레이도프로필트리에톡시실란 등을 들 수 있다. 이들 밀착 증강제는, 단독으로 또는 2종 이상을 조합하여 이용할 수 있다.Examples of the silane coupling agent include, but are not limited to, 3-chloropropyltrimethoxysilane, vinyltrichlorosilane, vinyltriethoxysilane, vinyltrimethoxysilane, vinyltris (2-methoxyethoxy) 3-methoxypropyltrimethoxysilane, 3-methacryloxypropyltrimethoxysilane, 2- (3,4-epoxycyclohexyl) ethyltrimethoxysilane, 3-glycidoxypropyltrimethoxysilane, 3- Aminopropyltriethoxysilane, N-2- (aminoethyl) -3-aminopropyltrimethoxysilane, 3-ureidopropyltriethoxysilane, and the like. These adhesion enhancers may be used alone or in combination of two or more.

밀착 증강제는, 주성분과는 미반응성의 것이기 때문에, 기재 계면에서 작용하는 성분 이외는 경화 후에 잔존 성분으로서 존재하게 될 수 있다. 따라서, 밀착 증강제는, 다량으로 사용하면 물성 저하 등의 악영향을 미칠 우려가 있다. 기재의 종류에 따라서는, 소량으로도 효과를 발휘하는 점에서, 악영향을 미치지 않는 범위 내에서의 사용이 적절하다. 그의 사용 비율은, 수지 조성물에 대하여 전형적으로는 0질량% 초과 또한 15질량% 이하가 바람직하고, 보다 바람직하게는 0질량% 초과 또한 5질량% 이하이다. 이 사용 비율의 바람직한 상한은, 기재의 종류에 따라 변동할 수 있다.Since the adhesion enhancer is one that is not reactive with the main component, the adhesion enhancer may be present as a remaining component after curing, other than the component acting on the substrate interface. Therefore, when the adhesion enhancer is used in a large amount, adverse effects such as lowering of physical properties may be adversely affected. Depending on the kind of the substrate, the effect is exhibited even in a small amount, and the use within a range not adversely affecting is appropriate. The use ratio thereof is typically more than 0 mass% and not more than 15 mass%, more preferably not less than 0 mass% and not more than 5 mass%, based on the resin composition. The preferable upper limit of the use ratio may vary depending on the kind of the substrate.

본 발명의 수지 조성물이 함유할 수 있는 그 외 성분으로서는, 추가로, 열가소성 수지, 착색제, 증점제, 소포제, 레벨링제 등의 각종 첨가제를 들 수 있다. 열가소성 수지로서는, 예를 들면 폴리에테르술폰, 폴리스티렌, 폴리카보네이트 등을 들 수 있다. 착색제로서는, 예를 들면 프탈로시아닌 블루, 프탈로시아닌 그린, 아이오딘·그린, 크리스탈 바이올렛, 산화 티탄, 카본 블랙, 나프탈렌 블랙 등을 들 수 있다. 증점제로서는, 예를 들면 오르벤, 벤톤, 몬모릴로나이트 등을 들 수 있다. 소포제로서는, 예를 들면 실리콘계, 불소계 및 고분자계 등의 소포제를 들 수 있다. 이들 첨가제의 사용량은, 본 발명의 수지 조성물 중, 예를 들면, 각각 바람직하게는 0질량% 이상 또한 30질량% 이하가 일단의 기준이지만, 사용 목적에 따라서 적절히 증감할 수 있다.As the other components that the resin composition of the present invention may contain, various additives such as a thermoplastic resin, a colorant, a thickener, a defoaming agent, and a leveling agent may be mentioned. Examples of the thermoplastic resin include polyether sulfone, polystyrene, polycarbonate, and the like. Examples of the colorant include phthalocyanine blue, phthalocyanine green, iodine green, crystal violet, titanium oxide, carbon black, and naphthalene black. As the thickening agent, there can be mentioned, for example, orthobenzene, benthone and montmorillonite. Examples of the antifoaming agent include antifoaming agents such as silicon-based, fluorine-based, and high-molecular-based antifoaming agents. The amount of these additives to be used is, for example, preferably not less than 0% by mass and not more than 30% by mass in each of the resin compositions of the present invention, but it can be suitably increased or decreased in accordance with the purpose of use.

또한, 본 발명의 수지 조성물이 함유할 수 있는 그 외 성분으로서는, 예를 들면 황산 바륨, 티탄산 바륨, 산화 규소, 무정형 실리카, 탈크, 클레이, 탄산 마그네슘, 탄산 칼슘, 산화 알루미늄, 수산화 알루미늄, 운모분(粉) 등의 무기 충전제를 들 수 있다. 무기 충전제의 배합 비율은, 본 발명의 수지 조성물 중에 바람직하게는 0질량% 이상 또한 60질량% 이하이다.Examples of other components that can be contained in the resin composition of the present invention include barium sulfate, barium titanate, silicon oxide, amorphous silica, talc, clay, magnesium carbonate, calcium carbonate, aluminum oxide, (Powder), and the like. The mixing ratio of the inorganic filler is preferably 0 mass% or more and 60 mass% or less in the resin composition of the present invention.

실시예Example

이하, 실시예에 의해 본 발명을 더욱 구체적으로 설명하지만, 본 발명은 이들 실시예에 한정되는 것은 아니다.Hereinafter, the present invention will be described more specifically by way of examples, but the present invention is not limited to these examples.

또한, 실시예에 있어서의 폴리술폰아미드 화합물의 수 평균 분자량은, 겔 투과 크로마토그래피(토소 HLC-8220 GPC 칼럼: TOSOH TSK-GEL Super AWM-H)의 측정 결과에 기초하여, 표준 폴리스티렌 환산에 의해 구한 값이다.The number average molecular weight of the polysulfonamide compound in the examples was measured by standard polystyrene conversion based on the measurement results of gel permeation chromatography (TOSOH HLC-8220 GPC column: TOSOH TSK-GEL Super AWM-H) Respectively.

하기의 양을 나타내는 「부」는, 특별히 언급하지 않는 한, 「질량부」를 의미한다.The term " part " representing the following amount means " part by mass " unless otherwise specified.

(실시예 1) 본 발명의 폴리술폰아미드 화합물의 합성(Example 1) Synthesis of the polysulfoneamide compound of the present invention

메카니컬 스터러, 온도계 및 질소 도입관을 구비한 0.5리터의 플라스크에, 3,4'-디아미노디페닐에테르 8.010부(40mmol), 2-피콜린 11.176부(120mmol) 및 N-메틸-2-피롤리돈 18.9부를 투입하고, 교반 용해시킨 후 -10℃까지 냉각했다. 얻어진 용액의 온도를 -10∼-5℃로 유지하면서, 4,4'-옥시비스벤젠술포닐클로라이드 14.688부(40mmol) 및 N-메틸-2-피롤리돈 16.0부를 첨가한 후, 용액의 온도를 0∼5℃로 유지하면서 1시간 교반을 계속했다. 얻어진 용액을 4리터의 물에 투입하고, 석출물을 회수하여 순수로 3회 세정한 후, 60℃의 항온조에서 건조시킴으로써 본 발명의 폴리술폰아미드 화합물(이하, 「폴리머 Ⅰ」이라고 기재함)을 얻었다. 폴리머 Ⅰ의 수 평균 분자량은 24,000, 분자량 분포는 2.13이었다.(40 mmol) of 3,4'-diaminodiphenyl ether, 11.176 parts (120 mmol) of 2-picoline and 120 mmol of N-methyl-2-pyrrolidone were placed in a 0.5 liter flask equipped with a mechanical stirrer, And 18.9 parts of pyrrolidone were added thereto, followed by stirring and dissolution, followed by cooling to -10 ° C. 14.688 parts (40 mmol) of 4,4'-oxybisbenzenesulfonyl chloride and 16.0 parts of N-methyl-2-pyrrolidone were added while maintaining the temperature of the obtained solution at -10 to -5 DEG C, Lt; RTI ID = 0.0 > 0 C < / RTI > The obtained solution was poured into 4 liters of water, the precipitate was collected, washed with pure water three times, and dried in a thermostatic chamber at 60 DEG C to obtain the polysulfoneamide compound (hereinafter referred to as " polymer I " . Polymer I had a number average molecular weight of 24,000 and a molecular weight distribution of 2.13.

얻어진 폴리머 Ⅰ은, TMAH 2.38% 수용액에 대한 양호한 용해성을 나타냈다.The obtained polymer I exhibited good solubility in an aqueous solution of 2.38% TMAH.

(비교예 1) 비교용의 폴리아미드 화합물의 합성(Comparative Example 1) Synthesis of comparative polyamide compound

메카니컬 스터러, 온도계 및 질소 도입관을 구비한 0.5리터의 플라스크에, 3,4'-디아미노디페닐에테르 4.013부(20mmol), 2-피콜린 5.588부(60mmol) 및 N-메틸-2-피롤리돈 22.14부를 투입하고, 교반 용해시킨 후 -10℃까지 냉각했다. 얻어진 용액의 온도를 -10∼-5℃로 유지하면서, 4,4'-옥시비스벤조일클로라이드 5.902부(20mmol) 및 N-메틸-2-피롤리돈 8부를 첨가한 후, 용액의 온도를 0∼5℃로 유지하면서 0.5시간 교반을 계속했다. 얻어진 용액을 4리터의 물에 투입하고, 석출물을 회수하여 순수로 3회 세정한 후, 60℃의 항온조에서 건조시킴으로써 비교용의 폴리아미드 화합물(이하, 「폴리머 Ⅱ」라고 기재함)을 얻었다. 폴리머 Ⅱ의 수 평균 분자량은 13,000, 분자량 분포는 4.82였다.(20 mmol) of 3,4'-diaminodiphenyl ether, 5.588 parts (60 mmol) of 2-picoline and 60 mmol of N-methyl-2-pyrrolidone were placed in a 0.5 liter flask equipped with a mechanical stirrer, 22.14 parts of pyrrolidone were added, dissolved by stirring and cooled to -10 占 폚. 5.902 parts (20 mmol) of 4,4'-oxybisbenzoyl chloride and 8 parts of N-methyl-2-pyrrolidone were added while maintaining the temperature of the obtained solution at -10 to -5 ° C, Stirring was continued for 0.5 hours while keeping the temperature at ~ 5 ° C. The resulting solution was poured into 4 liters of water, the precipitate was recovered, washed with pure water three times, and dried in a thermostatic chamber at 60 DEG C to obtain a comparative polyamide compound (hereinafter referred to as " polymer II "). Polymer II had a number average molecular weight of 13,000 and a molecular weight distribution of 4.82.

얻어진 폴리머 Ⅱ는, TMAH 2.38% 수용액에 대하여 불용이었다.The obtained polymer II was insoluble in a 2.38% aqueous solution of TMAH.

(실시예 2) 본 발명의 수지 조성물의 제작(Example 2) Production of resin composition of the present invention

실시예 1에서 얻어진 폴리머 Ⅰ 100부, 가교제로서 DML-PC-MF(혼슈카가쿠고교사 제조, 2,6-비스(하이드록시페닐)-p-크레졸) 20부, 가교제로서 DM-BIPC-F(아사히유키자이사 제조, 비스(2-하이드록시-3-하이드록시메틸-5-메틸페닐)메탄) 20부 및 광산 발생제로서 PAG-103(BASF사 제조, 2-[2-(프로필술포닐옥시이미노)티오펜-3-(2H)-일리덴]-2-(2-메틸페닐)아세토니트릴) 4부를 γ-부티로락톤 207부에 용해하여 본 발명의 수지 조성물을 얻었다.100 parts of the polymer I obtained in Example 1, 20 parts of DML-PC-MF (2,6-bis (hydroxyphenyl) -p-cresol manufactured by Honshu Kagaku Kogyo Co., Ltd.) as a cross-linking agent, 20 parts of DM-BIPC-F (2-hydroxy-3-hydroxymethyl-5-methylphenyl) methane as a photoacid generator and 20 parts of PAG-103 (manufactured by BASF, Oxyimino) thiophene-3- (2H) -ylidene] -2- (2-methylphenyl) acetonitrile) was dissolved in 207 parts of? -Butyrolactone to obtain a resin composition of the present invention.

(비교예 2) 비교용의 수지 조성물의 제작(Comparative Example 2) Production of comparative resin composition

비교예 1에서 얻어진 폴리머 Ⅱ 100부, 가교제로서 DML-PC-MF(혼슈카가쿠고교사 제조, 2,6-비스(하이드록시페닐)-p-크레졸) 20부, 가교제로서 DM-BIPC-F(아사히유키자이사 제조, 비스(2-하이드록시-3-하이드록시메틸-5-메틸페닐)메탄) 20부 및 광산 발생제로서 PAG-103(BASF사 제조, 2-[2-(프로필술포닐옥시이미노)티오펜-3-(2H)-일리덴]-2-(2-메틸페닐)아세토니트릴) 4부를 γ-부티로락톤 207부에 용해하여 비교용의 수지 조성물을 얻었다.100 parts of Polymer II obtained in Comparative Example 1, 20 parts of DML-PC-MF (2,6-bis (hydroxyphenyl) -p-cresol manufactured by Honshu Kagaku Kogyo K.K.) as a cross-linking agent, 20 parts of DM-BIPC-F (2-hydroxy-3-hydroxymethyl-5-methylphenyl) methane as a photoacid generator and 20 parts of PAG-103 (manufactured by BASF, Oxyimino) thiophene-3- (2H) -ylidene] -2- (2-methylphenyl) acetonitrile) was dissolved in 207 parts of? -Butyrolactone to obtain a comparative resin composition.

(실시예 3) 패터닝 평가(Example 3) Evaluation of patterning

실시예 2에서 얻어진 수지 조성물을 실리콘 웨이퍼 상에 스피너로 도포하고, 75℃의 핫 플레이트 상에서 15분간 건조하여, 두께 10㎛의 필름을 얻었다. 이 필름 상에 해상도 평가용의 포토마스크를 올려놓고, 250mJ/㎠의 자외선을 조사한 후 60℃의 핫 플레이트 상에서 3분간 및 100℃의 핫 플레이트 상에서 2분간 가열했다. 얻어진 실리콘 웨이퍼 상의 필름을 2.38% 테트라메틸암모늄하이드록사이드 수용액으로 현상하고, 추가로 증류수로 린스를 실시함으로써, 해상도 L&S로 6㎛, 애스팩트비가 1.58인 패턴이 얻어졌다. 얻어진 패턴에 현상시의 벗겨짐 등은 관찰되지 않고, 실리콘 웨이퍼에 대한 밀착성은 양호했다.The resin composition obtained in Example 2 was coated on a silicon wafer with a spinner and dried on a hot plate at 75 DEG C for 15 minutes to obtain a film having a thickness of 10 mu m. A photomask for resolution evaluation was placed on the film, irradiated with ultraviolet rays of 250 mJ / cm 2, and then heated on a hot plate of 60 ° C for 3 minutes and on a hot plate of 100 ° C for 2 minutes. The obtained film on the silicon wafer was developed with a 2.38% tetramethylammonium hydroxide aqueous solution and further rinsed with distilled water to obtain a pattern having a resolution of 6 μm and an aspect ratio of 1.58 at a resolution L & S. No peeling or the like at the time of development was observed on the obtained pattern, and adhesion to the silicon wafer was good.

(비교예 3) 패터닝 평가(Comparative Example 3) Evaluation of patterning

비교예 2에서 얻어진 수지 조성물을 실시예 3과 동일한 방법으로 평가를 행한 바, 2.38% 테트라메틸암모늄하이드록사이드 수용액으로 현상할 수 없어, 패턴을 얻을 수 없었다.When the resin composition obtained in Comparative Example 2 was evaluated in the same manner as in Example 3, it could not be developed with a 2.38% tetramethylammonium hydroxide aqueous solution, and a pattern could not be obtained.

경화막의 물성 평가Evaluation of Physical Properties of Cured Film

해상도 평가용의 포토마스크를 올려놓지 않았던 것 이외에는 상기한 패터닝 평가와 동일한 순서로, 캡톤 필름 상에 본 발명의 수지 조성물의 경화막을 제작했다. 얻어진 경화막을 캡톤 필름 상으로부터 박리하여, 200℃의 오븐에서 1시간 가열 처리했다. 텐실론 만능 시험기(에이·앤드·디사 제조 RTG-1210)를 이용하여 기계 물성을 평가한 결과, 파단점 신장도 8.8%, 파단 강도 100㎫로 기계 물성이 우수한 것을 알 수 있었다.A cured film of the resin composition of the present invention was produced on a capton film in the same manner as in the above patterning evaluation except that a photomask for evaluation of resolution was not placed. The obtained cured film was peeled off from the capton film and heat-treated in an oven at 200 캜 for 1 hour. Mechanical properties were evaluated using a Tensilon universal testing machine (RTG-1210, manufactured by A & D Dasai). As a result, it was found that the mechanical properties were excellent with a breaking point elongation of 8.8% and a breaking strength of 100 MPa.

또한, 동적 점탄성 측정 장치(DMA)(티·에이·인스트루먼트사 제조 RSA-G2)를 이용하여 평가한 유리 전이 온도(Tg)는 248℃이고, 내열성이 우수한 것을 알 수 있었다.It was also found that the glass transition temperature (Tg) evaluated by using a dynamic viscoelasticity measuring device (DMA) (RSA-G2 manufactured by T.A. Instrument) was 248 캜 and excellent heat resistance.

Claims (8)

Translated fromKorean
하기식 (1)
Figure pct00011

(식 (1) 중, R1∼R8은, 각각 독립적으로 수소 원자 또는 1가의 유기기를 나타내고;
X는, 결합하는 벤젠환과 공액하지 않는 2가의 연결기를 나타내고;
Y는, 2가의 방향족 잔기를 나타냄)
로 나타나는 반복 단위를 갖는, 폴리술폰아미드 화합물.(1)
Figure pct00011

(In the formula (1), R1 to R8 each independently represent a hydrogen atom or a monovalent organic group;
X represents a divalent linking group which is not conjugated with the bonding benzene ring;
Y represents a divalent aromatic residue)
≪ / RTI > wherein R < 1 >제1항에 있어서,
Y가, 하기식 (2)
Figure pct00012

(식 (2) 중, R9∼R16은, 각각 독립적으로 수소 원자 또는 1가의 유기기를 나타내고;
Y'는, 직접 결합, 산소 원자, 카보닐기, 메틸렌기, 황 원자 또는 술포닐기를 나타냄)
로 나타나는 2가의 방향족 잔기인, 폴리술폰아미드 화합물.
The method according to claim 1,
Y is a group represented by the following formula (2)
Figure pct00012

(In the formula (2), R9 to R16 each independently represent a hydrogen atom or a monovalent organic group;
Y 'represents a direct bond, an oxygen atom, a carbonyl group, a methylene group, a sulfur atom or a sulfonyl group)
≪ / RTI > is a divalent aromatic moiety represented by the formula < RTI ID = 0.0 >
제1항 또는 제2항에 있어서,
X가, 산소 원자, 황 원자, 술포닐기, 카보닐기, 메틸렌기 또는 직접 결합인, 폴리술폰아미드 화합물.
3. The method according to claim 1 or 2,
X is an oxygen atom, a sulfur atom, a sulfonyl group, a carbonyl group, a methylene group or a direct bond.
제1항 내지 제3항 중 어느 한 항에 기재된 폴리술폰아미드 화합물 및 당해 폴리술폰아미드 화합물 이외의 성분을 함유하는, 수지 조성물.A resin composition comprising the polysulfoneamide compound according to any one of claims 1 to 3 and a component other than the polysulfoneamide compound.제4항에 있어서,
유기 용제를 함유하는, 수지 조성물.
5. The method of claim 4,
A resin composition comprising an organic solvent.
제4항 또는 제5항에 있어서,
가교제를 함유하는, 수지 조성물.
The method according to claim 4 or 5,
And a crosslinking agent.
제4항 내지 제6항 중 어느 한 항에 있어서,
산 발생제를 함유하는, 수지 조성물.
7. The method according to any one of claims 4 to 6,
And an acid generator.
제4항 내지 제7항 중 어느 한 항에 기재된 수지 조성물의 경화물.A cured product of the resin composition according to any one of claims 4 to 7.
KR1020187009136A2015-10-082016-10-06 A novel polysulfonamide compound and a resin composition containing the compoundWithdrawnKR20180063101A (en)

Applications Claiming Priority (3)

Application NumberPriority DateFiling DateTitle
JP20151998302015-10-08
JPJP-P-2015-1998302015-10-08
PCT/JP2016/079836WO2017061561A1 (en)2015-10-082016-10-06Novel polysulfone amide compound, and resin composition containing same

Publications (1)

Publication NumberPublication Date
KR20180063101Atrue KR20180063101A (en)2018-06-11

Family

ID=58487872

Family Applications (1)

Application NumberTitlePriority DateFiling Date
KR1020187009136AWithdrawnKR20180063101A (en)2015-10-082016-10-06 A novel polysulfonamide compound and a resin composition containing the compound

Country Status (7)

CountryLink
US (1)US10782612B2 (en)
EP (1)EP3360915A4 (en)
JP (1)JP6860491B2 (en)
KR (1)KR20180063101A (en)
CN (1)CN108137809A (en)
TW (1)TWI773653B (en)
WO (1)WO2017061561A1 (en)

Families Citing this family (8)

* Cited by examiner, † Cited by third party
Publication numberPriority datePublication dateAssigneeTitle
US10509316B2 (en)*2016-05-122019-12-17Daniel J NawrockiPolysulfonamide redistribution compositions and methods of their use
TWI802540B (en)*2017-05-122023-05-21丹尼爾 J 納羅奇Polysulfonamide redistribution compositions and methods of their use
WO2021232249A1 (en)*2020-05-192021-11-25崔国英Polysulphonamide polymer, positive-type photosensitive composition containing polysulphonamide polymer, and application thereof
CN115581120A (en)*2020-05-192023-01-06崔国英Polysulfonamide polymers, negative-working photosensitive compositions containing polysulfonamide polymers and uses thereof
CN112920408B (en)*2021-02-262022-08-02广东工业大学 A kind of polysulfonamide polymer and preparation method thereof
CN113817169A (en)*2021-11-012021-12-21白银图微新材料科技有限公司High-temperature-resistant block polysulfate and preparation method thereof
WO2023120292A1 (en)*2021-12-212023-06-29国立大学法人東京工業大学Light sulfonamide synthesis reaction
TW202348684A (en)*2022-03-312023-12-16日商太陽控股股份有限公司Negative type photosensitive resin composition, dry film, cured product, and electronic component

Citations (2)

* Cited by examiner, † Cited by third party
Publication numberPriority datePublication dateAssigneeTitle
JPS6446862A (en)1987-08-181989-02-21Fujitsu LtdBus controller
JPH06273932A (en)1993-03-231994-09-30Toray Ind IncPositive photosensitive polyimimido precursor composition

Family Cites Families (16)

* Cited by examiner, † Cited by third party
Publication numberPriority datePublication dateAssigneeTitle
US3591559A (en)*1969-08-011971-07-06Du PontAll aromatic polysulfonamides and method of preparation
US3708456A (en)*1970-09-181973-01-02Monsanto CoPolycondensate reinforcement process using an interfacial-forming technique
JPS50132095A (en)1974-04-061975-10-18
DE2931297A1 (en)1979-08-011981-02-19Siemens Ag HEAT-RESISTANT POSITIVE RESISTS AND METHOD FOR PRODUCING HEAT-RESISTANT RELIEF STRUCTURES
US4262083A (en)*1979-09-181981-04-14Rca CorporationPositive resist for electron beam and x-ray lithography and method of using same
US4623391A (en)1983-10-021986-11-18The Standard Register CompanyColor developers for pressure-sensitive or heat-sensitive recording papers
US4824916A (en)*1985-03-151989-04-25The Dow Chemical CompanyWater-insoluble, crosslinked, sulfonated aromatic polyamide
US6140517A (en)*1996-09-032000-10-31Eastman Chemical CompanyAnthraquinone polysulfonamide colorants
JP2000331713A (en)*1999-05-212000-11-30Hitachi Chem Co LtdManufacture of polymer solid electrolyte, polymer solid electrolyte, and electrochemical device using the same
JP2004157235A (en)*2002-11-052004-06-03Japan Atom Energy Res Inst Pattern forming method of resin composition having sulfonamide structure by quantum beam
US7550249B2 (en)*2006-03-102009-06-23Az Electronic Materials Usa Corp.Base soluble polymers for photoresist compositions
US7604919B2 (en)*2006-09-112009-10-20Dongjin Semichem Co., Ltd.Monomer, polymer and composition for photoresist
JP5051133B2 (en)*2006-09-282012-10-17Jsr株式会社 Resist underlayer film forming method, resist underlayer film composition used therefor, and pattern forming method
WO2008144660A2 (en)*2007-05-182008-11-27Polyfuel, Inc.Chemically cross linked ionomer membrane
US9522998B2 (en)*2012-04-102016-12-20Daikin Industries, Ltd.Resin mold material composition for imprinting
US10509316B2 (en)*2016-05-122019-12-17Daniel J NawrockiPolysulfonamide redistribution compositions and methods of their use

Patent Citations (2)

* Cited by examiner, † Cited by third party
Publication numberPriority datePublication dateAssigneeTitle
JPS6446862A (en)1987-08-181989-02-21Fujitsu LtdBus controller
JPH06273932A (en)1993-03-231994-09-30Toray Ind IncPositive photosensitive polyimimido precursor composition

Non-Patent Citations (1)

* Cited by examiner, † Cited by third party
Title
일렉트로닉스 실장 학술강연대회 강연 논문집 22a(0), 191-193, 2008

Also Published As

Publication numberPublication date
US10782612B2 (en)2020-09-22
EP3360915A4 (en)2019-05-15
JP6860491B2 (en)2021-04-14
JPWO2017061561A1 (en)2018-08-02
US20180273685A1 (en)2018-09-27
CN108137809A (en)2018-06-08
EP3360915A1 (en)2018-08-15
WO2017061561A1 (en)2017-04-13
TWI773653B (en)2022-08-11
TW201728629A (en)2017-08-16

Similar Documents

PublicationPublication DateTitle
JP6860491B2 (en) A novel polysulfone amide compound and a resin composition containing the compound.
JP5206977B2 (en) Novel polyimide silicone, photosensitive resin composition containing the same, and pattern forming method
TWI746496B (en) Photosensitive resin composition for black column spacer, black column spacer, display device, and method for forming black column spacer
KR20180107756A (en)Polymer of polyimide precursor, positive type photosensitive resin composition, negative type photosensitive resin composition, patterning process, method for forming cured film, interlayer insulating film, surface protective film, and electronic parts
US11307495B2 (en)Thermal acid generator and resist composition using same
KR20100102656A (en)Method for producing polyhydroxyimide and positive photosensitive resin composition containing polyhydroxyimide obtained by the production method
CN103718109A (en)Photosensitive resin composition, material for forming relief pattern, photosensitive film, polyimide film, cured relief pattern and method for producing same, and semiconductor device
TW202248755A (en)Negative photosensitive resin composition, cured product, laminate, method for producing cured product, and semiconductor device
US20070166643A1 (en)Photosensitive resin composition and manufacturing method of semiconductor device using the same
JP5054158B2 (en) Positive photosensitive composition
JP5895749B2 (en) Resin composition, method for producing patterned resin film, polymer, and semiconductor device
JP2007240975A (en) Photosensitive resin composition and method for manufacturing semiconductor device using the same
US11981775B2 (en)Branched copolymer, and photosensitive resin composition, photosensitive resin film and optical device using the same
JPWO2009099083A1 (en) Acrylamide polymer, acrylamide compound, chemically amplified photosensitive resin composition and pattern forming method
KR102679410B1 (en) Photosensitive resin compositions, dry films, cured products, printed wiring boards, and photobase generators
JP7403268B2 (en) Photosensitive resin compositions, dry films, cured products, and electronic components
KR102849899B1 (en) Photosensitive resin composition for microlenses
US12018126B2 (en)Polyimide copolymer, method for preparing the polyimide copolymer, photosensitive resin composition, photosensitive resin film, and optical device using the polyimide copolymer
JP7383921B2 (en) Polymer-containing compositions, polymers and methods for producing polymers
JP2007121873A (en) Photosensitive resin composition and method for manufacturing semiconductor device using the same
JP5142918B2 (en) Photosensitive resin composition
JP4530949B2 (en) Photosensitive resin composition and method for manufacturing semiconductor device using the same
JPWO2020158537A1 (en) A method for producing a compound, an acid generator, a composition, a cured product, a cured product, and a method for producing a pattern coating film.
CN119439625A (en) Negative photosensitive resin composition, pattern forming method, cured film forming method, interlayer insulating film, surface protective film and electronic component
JP2021060458A (en)Photosensitive resin composition, dry film, cured object, and electronic component

Legal Events

DateCodeTitleDescription
PA0105International application

Patent event date:20180330

Patent event code:PA01051R01D

Comment text:International Patent Application

PG1501Laying open of application
PC1203Withdrawal of no request for examination

[8]ページ先頭

©2009-2025 Movatter.jp