










본 발명은 차량간 거리를 감지할 수 있는 장치 및 방법에 관한 것이다.The present invention relates to an apparatus and a method for detecting a distance between vehicles.
GPS(Global Positioning System) 시스템은 특정 단말기의 위치를 다수개의 위성에서 제공해준 정보를 이용하여 검출한다. 이러한 GPS 시스템은 다양한 측위 시스템에 널리 이용되고 있다. 그런데 GPS 시스템은 위성에서 GPS 수신기에 제공하는 신호가 다양한 환경적 영향에 의하여 GPS 수신 장치에 정확하게 전달되지 못하기 때문에 큰 오차를 가지게 된다. 예컨대 종래 GPS 수신기에 의해 획득된 위치 좌표는 SA(Selectable availability) 등 여러 오차원인에 의해 최대 100m까지 오차가 발생할 수 있다.A GPS (Global Positioning System) system detects the position of a specific terminal using information provided from a plurality of satellites. Such a GPS system is widely used in various positioning systems. However, the GPS system has a large error because signals supplied to the GPS receiver from the satellite can not be accurately transmitted to the GPS receiver due to various environmental influences. For example, the position coordinates obtained by the conventional GPS receiver may cause an error up to 100 m due to various errors such as Selectable availability (SA).
이러한 오차를 극복하기 위한 여러 가지 보정 방식에는 DGPS(Differential GPS) 및 RTK(Real time kinematic) 방식 등이 있다. DGPS 방식은 DGPS 수신기가 기준국으로부터 무선 통신망을 통하여 DGPS 보정 정보를 수신하고, 수신된 정보를 기반으로 GPS 수신기가 수신한 정보의 오차를 보정함으로써 오차 보정을 지원한다. 이와 달리, RTK 방식은 기준국의 보정값을 무선으로 이동국에 송신하여 의사거리를 보정한 후 위치를 계산하는 것이다. 이러한 RTK GPS 측량은 정밀GPS(DGPS)를 이용한 위치해석방법으로서 현장에서 즉시 관측결과를 사용할 수 있어, 실시간으로 획득한 좌표값을 통해 현장에서 기준점의 위치를 확인하고 수치지형도를 수정할 수 있다Various correction methods to overcome this error include DGPS (Differential GPS) and RTK (Real time kinematic) method. In the DGPS scheme, the DGPS receiver receives the DGPS correction information from the reference station through the wireless communication network, and corrects the error of the information received by the GPS receiver based on the received information, thereby supporting error correction. On the contrary, the RTK scheme is to calculate the position after correcting the pseudorange by transmitting the correction value of the reference station to the mobile station by radio. This RTK GPS surveying is a location analysis method using precision GPS (DGPS), and it is possible to instantly use the observation results in the field, so that the position of the reference point can be confirmed in the field through the coordinates obtained in real time and the digital topographical map can be modified
이러한 DGPS 및 RTK 방식은 고가의 장비가 필요하며, 기준국에 대한 정확한 위치 측정이 기반되어야 하는 문제점이 있다. 또한, DGPS 및 RTK 방식은 기준국으로부터 허용거리를 벗어나면 사용할 수 없는 문제점이 있다.Such DGPS and RTK methods require expensive equipment and have a problem in that accurate position measurement for the reference station must be based. Also, there is a problem that the DGPS and RTK methods can not be used if they are outside the allowable distance from the reference station.
한편, 차량에는 전술한 바와 같이 동작하여 획득된 위치 좌표를 이용하여 거리를 산출하는 거리감지기술이 개발되어 상용화되고 있다.On the other hand, a distance sensing technology for calculating the distance using the position coordinates obtained by operating the vehicle as described above has been developed and commercialized.
하지만, 이러한 거리감지기술에 의해 감지되는 거리는 전술한 오차 문제점에 의해 정확도가 떨어지는 문제점이 있다. 또한, 차량마다 고가인 DGPS 및 RTK 방식을 적용하기란 현실적으로 불가능하다. 설령, DGPS 및 RTK 방식을 적용하더라도 차량의 특성 상 기준국으로부터 허용거리를 벗어나는 상황이 빈번하게 발생될 수 있다는 점에서 DGPS 및 RTK 방식을 사용할 수 없는 문제점이 있다.However, there is a problem that the distance sensed by the distance sensing technology is less accurate due to the above-mentioned error problem. In addition, it is practically impossible to apply the DGPS and RTK schemes, which are expensive for each vehicle. Even if the DGPS and RTK systems are applied, the DGPS and RTK systems can not be used because the situation that the vehicle is out of the allowable distance frequently occurs due to the characteristics of the vehicle.
이러한 배경에서, 본 발명의 목적은, 일 측면에서, 기준국과 상관없이 감지되는 거리의 정확도를 향상시킬 수 있는 거리감지장치 및 거리감지방법을 제공하는 것이다.In view of the foregoing, it is an object of the present invention to provide, in one aspect, a distance sensing device and a distance sensing method capable of improving the accuracy of a distance sensed regardless of a reference station.
제1 측면에서, 본 발명은 자차량에 설치된 GPS(Global Positioning System)수신기로부터 자차량과 인공위성의 의사거리(Pseudo Range)정보인 제1의사거리정보를 수신하고, 타차량으로부터 의사거리보정치(Pseudo Range Correction, PRC)정보 및 타차량의 위치정보를 수신하는 수신부와; 제1의사거리정보에 의사거리보정치정보를 적용하여 보상된 제1의사거리정보를 생성하는 보상부와; 보상된 제1의사거리정보에 기초하여 자차량의 위치정보를 생성하는 생성부; 및 타차량의 위치정보와 자차량의 위치정보를 이용하여 타차량과 자차량의 거리를 산출하는 산출부를 포함하는 거리감지장치를 제공한다.According to an aspect of the present invention, there is provided a pseudo distance correction method, comprising: receiving first pseudo range information, which is pseudo range information of a vehicle and a satellite, from a Global Positioning System (GPS) Range correction (PRC) information and position information of another vehicle; A compensation unit for generating first pseudo range information compensated by applying pseudo range correction value information to first pseudo range information; A generating unit that generates position information of the subject vehicle based on the compensated first pseudo range information; And a calculating unit calculating a distance between the other vehicle and the subject vehicle using the position information of the other vehicle and the position information of the subject vehicle.
제2 측면에서, 본 발명은 자차량에 설치된 복수의 GPS수신기로부터 각각 자차량과 인공위성의 의사거리정보인 제1의사거리정보를 수신하고, 타차량으로부터 타차량과 인공위성의 의사거리정보인 제2의사거리정보를 수신하는 수신부와; 복수개의 제1의사거리정보를 이용하여 의사거리보정치정보를 생성하고, 제1의사거리정보에 의사거리보정치정보를 적용하여 보상된 제1의사거리정보를 생성하고, 제2의사거리정보에 의사거리보정치정보를 적용하여 보상된 제2의사거리정보를 생성하는 보상부와; 보상된 제1의사거리정보를 기초하여 자차량의 위치정보를 생성하고, 보상된 제2의사거리정보를 기초하여 타차량의 위치정보를 생성하는 생성부; 및 타차량의 위치정보와 자차량의 위치정보를 이용하여 타차량과 자차량의 거리를 산출하는 산출부를 포함하는 거리감지장치를 제공한다.According to a second aspect of the present invention, there is provided a GPS receiver for receiving first pseudorange information, which is pseudo range information of a vehicle and a satellite, from a plurality of GPS receivers installed in a first vehicle, A receiver for receiving pseudo range information; Generating pseudo distance correction value information by using the plurality of first pseudo distance information, generating compensated first pseudo distance information by applying the pseudo distance correction value information to the first pseudo distance information, A compensation unit for generating second pseudo range information compensated by applying correction value information; A generating unit that generates position information of the vehicle based on the compensated first pseudo range information and generates position information of the other vehicle based on the compensated second pseudo range information; And a calculating unit calculating a distance between the other vehicle and the subject vehicle using the position information of the other vehicle and the position information of the subject vehicle.
제3 측면에서, 본 발명은 자차량에 설치된 복수의 GPS수신기로부터 각각 자차량과 인공위성의 의사거리정보인 제1의사거리정보를 수신하고, 타차량으로부터 타차량의 위치정보를 수신하는 수신부와; 복수개의 제1의사거리정보를 이용하여 의사거리보정치정보를 생성하고, 제1의사거리정보에 의사거리보정치정보를 적용하여 보상된 제1의사거리정보를 생성하는 보상부와; 보상된 제1의사거리정보에 기초하여 자차량의 위치정보를 생성하는 생성부; 및 타차량의 위치정보와 자차량의 위치정보를 이용하여 타차량과 자차량의 거리를 산출하는 산출부를 포함하는 거리감지장치를 제공한다.According to a third aspect of the present invention, there is provided a GPS receiver comprising: a receiver for receiving first pseudorange information, which is pseudorange information of a vehicle and a satellite, from a plurality of GPS receivers installed in the vehicle, and receiving position information of the other vehicle from the other vehicle; A compensator configured to generate pseudo range correction value information using a plurality of first pseudo range information and generate compensated first pseudo range information by applying pseudo range correction value information to the first pseudo range information; A generating unit that generates position information of the subject vehicle based on the compensated first pseudo range information; And a calculating unit calculating a distance between the other vehicle and the subject vehicle using the position information of the other vehicle and the position information of the subject vehicle.
제 4측면에서, 본 발명은 자차량에 설치된 GPS수신기로부터 자차량과 인공위성의 의사거리정보인 제1의사거리정보를 수신하고, 타차량으로부터 의사거리보정치정보 및 타차량의 위치정보를 수신하는 수신단계와; 제1의사거리정보에 의사거리보정치정보를 적용하여 보상된 제1의사거리정보를 생성하는 보상단계와; 보상된 제1의사거리정보에 기초하여 자차량의 위치정보를 생성하는 생성단계; 및 타차량의 위치정보와 자차량의 위치정보를 이용하여 타차량과 자차량의 거리를 산출하는 산출단계를 포함하는 거리감지방법을 제공한다.In a fourth aspect, the present invention provides a GPS receiver for receiving first pseudorange information that is pseudo distance information between a vehicle and a satellite from a GPS receiver installed in a vehicle, receiving pseudorange correction value information from the other vehicle, ; A compensating step of compensating the first pseudo range information by applying pseudo range correction information to the first pseudo range information; A generating step of generating position information of the subject vehicle based on the compensated first pseudo range information; And a calculating step of calculating a distance between the other vehicle and the subject vehicle using the position information of the other vehicle and the position information of the subject vehicle.
이상에서 설명한 바와 같이 본 발명에 의하면, 기준국과 상관없이 감지되는 거리의 정확도를 향상시킬 수 있는 거리감지장치 및 거리감지방법을 제공할 수 있다.As described above, according to the present invention, it is possible to provide a distance sensing device and a distance sensing method that can improve the accuracy of a distance sensed regardless of a reference station.
도 1은 본 발명의 일 실시 예에 따른 거리감지장치의 구성을 도시한 도면이다.
도 2는 본 발명의 일 실시 예에 따른 거리감지장치의 동작을 설명하기 위한 일 예를 도시한 도면이다.
도 3은 본 발명의 일 실시 예에 따른 수신부에 정보를 송신하는 타차량의 동작을 설명하기 위한 일 예를 도시한 도면이다.
도 4는 본 발명의 일 실시 예에 따른 거리감지장치의 동작을 설명하기 위한 다른 일 예를 도시한 도면이다.
도 5는 본 발명의 일 실시 예에 따른 보상부의 동작을 설명하기 위한 일 예를 도시한 도면이다.
도 6은 본 발명의 일 실시 예에 따른 거리감지장치의 동작을 설명하기 위한 또 다른 일 예를 도시한 도면이다.
도 7은 본 발명의 다른 일 실시 예에 따른 거리감지장치의 구성을 도시한 도면이다.
도 8은 본 발명의 다른 일 실시 예에 따른 거리감지장치의 동작을 설명하기 위한 일 예를 도시한 도면이다.
도 9는 본 발명의 또 다른 일 실시 예에 따른 거리감지장치의 구성을 도시한 도면이다.
도 10은 본 발명의 또 다른 일 실시 예에 따른 거리감지장치의 동작을 설명하기 위한 일 예를 도시한 도면이다.
도 11은 본 발명의 일 실시 예에 따른 거리감지방법의 흐름도를 도시한 도면이다.1 is a diagram illustrating a configuration of a distance sensing apparatus according to an embodiment of the present invention.
2 is a diagram illustrating an operation of the distance sensing apparatus according to an embodiment of the present invention.
3 is a diagram illustrating an example of operation of another vehicle for transmitting information to a receiving unit according to an embodiment of the present invention.
4 is a view illustrating another example of the operation of the distance sensing apparatus according to an embodiment of the present invention.
5 is a diagram illustrating an operation of the compensator according to an embodiment of the present invention.
6 is a diagram illustrating another example of the operation of the distance sensing apparatus according to an embodiment of the present invention.
7 is a diagram illustrating a configuration of a distance sensing apparatus according to another embodiment of the present invention.
FIG. 8 is a diagram illustrating an operation of the distance sensing apparatus according to another embodiment of the present invention. Referring to FIG.
9 is a diagram illustrating a configuration of a distance sensing apparatus according to another embodiment of the present invention.
FIG. 10 is a diagram illustrating an operation of the distance sensing apparatus according to another embodiment of the present invention. Referring to FIG.
11 is a flowchart illustrating a distance sensing method according to an embodiment of the present invention.
이하, 본 발명의 일부 실시예들을 예시적인 도면을 참조하여 상세하게 설명한다. 각 도면의 구성요소들에 참조부호를 부가함에 있어서, 동일한 구성요소들에 대해서는 비록 다른 도면상에 표시되더라도 가능한 한 동일한 부호를 가질 수 있다. 또한, 본 발명을 설명함에 있어, 관련된 공지 구성 또는 기능에 대한 구체적인 설명이 본 발명의 요지를 흐릴 수 있다고 판단되는 경우에는 그 상세한 설명은 생략할 수 있다.Hereinafter, some embodiments of the present invention will be described in detail with reference to exemplary drawings. In the drawings, like reference numerals are used to denote like elements throughout the drawings, even if they are shown on different drawings. In the following description of the present invention, a detailed description of known functions and configurations incorporated herein will be omitted when it may make the subject matter of the present invention rather unclear.
또한, 본 발명의 구성 요소를 설명하는 데 있어서, 제 1, 제 2, A, B, (a), (b) 등의 용어를 사용할 수 있다. 이러한 용어는 그 구성 요소를 다른 구성 요소와 구별하기 위한 것일 뿐, 그 용어에 의해 해당 구성 요소의 본질, 차례, 순서 또는 개수 등이 한정되지 않는다. 어떤 구성 요소가 다른 구성요소에 "연결", "결합" 또는 "접속"된다고 기재된 경우, 그 구성 요소는 그 다른 구성요소에 직접적으로 연결되거나 또는 접속될 수 있지만, 각 구성 요소 사이에 다른 구성 요소가 "개재"되거나, 각 구성 요소가 다른 구성 요소를 통해 "연결", "결합" 또는 "접속"될 수도 있다고 이해되어야 할 것이다.In describing the components of the present invention, terms such as first, second, A, B, (a), and (b) may be used. These terms are intended to distinguish the components from other components, and the terms do not limit the nature, order, order, or number of the components. When a component is described as being "connected", "coupled", or "connected" to another component, the component may be directly connected or connected to the other component, Quot; intervening "or that each component may be" connected, "" coupled, "or " connected" through other components.
도 1은 본 발명의 일 실시 예에 따른 거리감지장치의 구성을 도시한 도면이고, 도 2는 본 발명의 일 실시 예에 따른 거리감지장치의 동작을 설명하기 위한 일 예를 도시한 도면이다.FIG. 1 is a diagram illustrating a configuration of a distance sensing apparatus according to an embodiment of the present invention. FIG. 2 is a diagram illustrating an operation of a distance sensing apparatus according to an exemplary embodiment of the present invention.
도 1 및 도 2 을 참조하면, 본 발명의 일 실시 예에 따른 거리감지장치(100, S100의 동작을 수행함)는 자차량에 설치된 GPS(Global Positioning System)수신기(10)로부터 자차량과 인공위성의 의사거리(Pseudo Range)정보인 제1의사거리정보를 수신하고(S110a), 타차량(60)으로부터 의사거리보정치(Pseudo Range Correction, PRC)정보 및 상기 타차량(60)의 위치정보를 수신하는(S110b, S110c) 수신부(110, S110의 동작을 수행함)와; 제1의사거리정보에 의사거리보정치정보를 적용하여 보상된 제1의사거리정보를 생성하는 보상부(120, S120의 동작을 수행함)와; 보상된 제1의사거리정보에 기초하여 자차량의 위치정보를 생성하는 생성부(130, S130의 동작을 수행함); 및 타차량(60)의 위치정보와 자차량의 위치정보를 이용하여 타차량(60)과 자차량의 거리를 산출하는 산출부(140, S140의 동작을 수행함)를 포함할 수 있다.Referring to FIGS. 1 and 2, a distance sensing device 100 (which performs the operation of S100) according to an embodiment of the present invention receives GPS signals from a GPS (Global Positioning System) The first pseudo range information which is the pseudo range information is received in step S110a and the pseudo range correction information and the position information of the
간단히 설명하면, GPS수신기는 지구의 일 궤도에 위치하여 지구를 감시하는 인공위성으로부터 인공위성정보를 수신하고, 상기 인공위성정보를 미리 알고 있는 궤도력(Ephemeris)정보, 도플러(Doppler)정보 및 신호대비잡음비(Signal to noise ratio, SNR)정보 등에 적용하여 GPS수신기의 좌표 및 인공위성의 좌표를 감지할 수 있다. 이에, 상기 인공위성과의 의사거리는 GPS수신기의 좌표 및 인공위성의 좌표를 이용함으로써 감지될 수 있다.Briefly, the GPS receiver receives satellite information from an artificial satellite that is located in one orbit of the earth and monitors the earth, and outputs Ephemeris information, Doppler information, and Signal to Noise Ratio (Signal) to noise ratio (SNR) information, and the coordinates of the GPS receiver and the coordinates of the satellite can be detected. Thus, the pseudorange with the satellite can be detected by using the coordinates of the GPS receiver and the coordinates of the satellite.
이후, 감지된 인공위성과의 의사거리는 GPS수신기의 위치를 산출하는데 사용될 수 있다.The pseudorange with the sensed satellite can then be used to calculate the position of the GPS receiver.
한편, 하나의 GPS수신기를 이용하여 감지하는 의사거리정보는 정확도가 떨어지는 문제점이 있다. 이러한 문제점은 의사거리보정치정보를 상기 의사거리정보에 적용하여 해결될 수 있다. 이러한 의사거리보정치정보는 외부시설로부터 수신하거나, 복수의 의사거리정보를 이용하여 산출할 수 있다.On the other hand, the pseudo range information detected by using one GPS receiver has a problem that the accuracy is low. This problem can be solved by applying the pseudo range correction value information to the pseudo range information. Such pseudo range correction value information can be received from an external facility or can be calculated using a plurality of pseudo range information.
이에, 본 발명의 일 실시 예에 따르면, 타차량(60)은 설치된 복수의 GPS수신기로부터 수신된 복수의 의사거리를 이용함으로써 의사거리보정치정보를 산출할 수 있다. 이에 대해, 도 3을 이용하여 간단하게 설명한다.Thus, according to an embodiment of the present invention, the
도 3은 본 발명의 일 실시 예에 따른 수신부에 정보를 송신하는 타차량의 동작을 설명하기 위한 일 예를 도시한 도면이다.3 is a diagram illustrating an example of operation of another vehicle for transmitting information to a receiving unit according to an embodiment of the present invention.
도 3을 참조하면, 타차량(60, S60의 동작을 수행함)은 복수의 GPS수신기로부터 제2의사거리정보를 수신할 수 있다(S61). 자세히 설명하면, 상기 복수의 GPS수신기 중 하나인 GPS수신기A(61a)로부터 제2의사거리정보A를 수신하고(S61a), 다른 하나인 GPS수신기B(61b)로부터 제2의사거리정보B를 수신할 수 있다(S61b).Referring to FIG. 3, the other vehicles (performing operations of S60 and S60) may receive second pseudorange information from a plurality of GPS receivers (S61). More specifically, the second pseudo range information A is received from the GPS receiver A 61a, which is one of the plurality of GPS receivers (S61a), and the second pseudo distance information B is received from the other
이후, 타차량(60, S60의 동작을 수행함)은 제2의사거리정보A와 제2의사거리정보B를 연산하여, 제2의사거리정보A와 제2의사거리정보B 간의 차이인 의사거리보정치정보를 산출할 수 있다(S62).Thereafter, the other vehicles (performing the operations of S60 and S60) calculate the second pseudo range information A and the second pseudo range information B, and calculate the pseudo range correction value P, which is the difference between the second pseudo range information A and the second pseudo range information B Information can be calculated (S62).
여기서, 제2의사거리정보A와 제2의사거리정보B 간의 차이인 의사거리보정치정보를 산출함에 있어서, 미리 알고 있는 GPS수신기A(61a)와 GPS수신기B(61b) 간 거리를 더 반영할 수 있다. 이로써, 의사거리보정치정보가 더 정확하게 산출될 수 있다.Here, when calculating the pseudo range correction value information which is the difference between the second pseudo range information A and the second pseudo range information B, it is possible to further reflect the distance between the
또한, 타차량(60)은 제2의사거리정보A 및 제2의사거리정보B 중 적어도 하나를 이용하여 타차량(60)의 위치를 산출할 수 있다. 더 나아가, 타차량(60)은 더 정확한 타차량(60)의 위치를 산출하기 위해 제2의사거리정보A 및 제2의사거리정보B 중 적어도 하나에 의사거리보정치정보를 적용한 후 타차량(60)의 위치를 산출할 수 있다.Further, the
즉, 타차량(60)은 의사거리보정치정보 및 타차량(60)의 위치정보를 포함할 수 있다.That is, the
이에, 본 발명의 일 실시 예에 따른 수신부(110, S110의 동작을 수행함)는 자차량에 설치된 GPS수신기(10)로부터 자차량과 인공위성의 의사거리정보인 제1의사거리정보를 수신하고(S110a), 타차량(60)으로부터 의사거리보정치정보 및 타차량(60)의 위치정보를 수신할 수 있다(S110b, S110c).Accordingly, the receiving
본 발명의 일 실시 예에 따른 보상부(120)는 제1의사거리정보에 의사거리보정치정보를 적용하여 보상된 제1의사거리정보를 생성할 수 있다(S120).The compensating
일 예를 들어, 보상된 제1의사거리정보는 제1의사거리정보에서 의사거리보정치정보를 제거함으로써 생성될 수 있으나, 이에 한정되는 것은 아니다.For example, the compensated first pseudo range information may be generated by removing the pseudo range correction information from the first pseudo range information, but is not limited thereto.
본 발명의 일 실시 예에 따른 생성부(130)는 보상된 제1의사거리정보에 기초하여 자차량의 위치정보를 생성할 수 있다(S130). 이는, GPS수신기가 의사거리정보에 기초하여 위치정보를 생성하는 기술을 적용하여 생성될 수 있으므로 자세한 설명은 생략한다.The generating
이후, 본 발명의 일 실시 예에 따른 산출부(140)는 타차량(60)의 위치정보와 자차량의 위치정보를 이용하여 타차량(60)과 자차량의 거리를 산출할 수 있다(S140).The calculating
도 1 및 도 2를 이용하여 설명한 본 발명의 일 실시 예에 따른 거리감지장치(100, S100의 동작을 수행함)는 보다 정확한 의사거리정보를 생성할 수 있고, 보다 정확한 의사거리정보를 이용함으로써 정확한 차량의 위치를 감지하여 정확한 차량간 거리를 산출할 수 있다.1 and 2, it is possible to generate more accurate pseudo distance information, and more accurate pseudo range information can be obtained by using the more accurate pseudo distance information. The accurate vehicle distance can be calculated by sensing the position of the vehicle.
한편, 본 발명의 일 실시 예에 따른 수신부는 타차량으로부터 타차량과 인공위성의 의사거리정보인 제2의사거리정보를 더 수신할 수 있다. 이에, 보상부는 보상된 제1의사거리정보와 수신된 제2의사거리정보에 이중차분법(Double differencing method)을 더 적용하여 2차보상된 제1의사거리정보를 생성할 수 있다. 이로써, 산출부는 2차보상된 제1의사거리정보에 기초한 자차량의 위치정보를 이용하여 보다 정확한 자차량의 위치정보를 산출할 수 있다.Meanwhile, the receiving unit according to an embodiment of the present invention may further receive second pseudo range information, which is pseudo range information of the other vehicle and the satellite, from the other vehicle. The compensator may further generate a first compensated first pseudorange by applying a double differencing method to the compensated first pseudo range information and the received second pseudo range information. Thus, the calculating unit can calculate the position information of the child vehicle more accurately by using the position information of the child vehicle based on the second-compensated first pseudo range information.
이에 대해 도 4를 이용하여 자세히 설명한다.This will be described in detail with reference to FIG.
도 4는 본 발명의 일 실시 예에 따른 거리감지장치의 동작을 설명하기 위한 다른 일 예를 도시한 도면이다.4 is a view illustrating another example of the operation of the distance sensing apparatus according to an embodiment of the present invention.
도 4를 참조하면, 본 발명의 일 실시 예에 따른 수신부(S110의 동작을 수행함)가 타차량(60)으로부터 제2의사거리정보를 더 수신할 수 있다(S110d). 이에 보상부(S120의 동작을 수행함)가 보상된 제1의사거리정보와 수신된 제2의사거리정보에 이중차분법을 적용하여 2차보상된 제1의사거리정보를 생성할 수 있다(S120b).Referring to FIG. 4, the receiving unit (performing the operation of S110) according to an embodiment of the present invention may further receive the second pseudo distance information from another vehicle 60 (S110d). Accordingly, the compensating unit (performing the operation of S120) can generate the first compensated first pseudorange information by applying the double difference method to the compensated first pseudo range information and the received second pseudo range information (S120b) .
이중차분법을 적용하여 2차보상된 제1의사거리정보를 생성하는 방법에 대해 도 5를 이용하여 자세하게 설명한다.A method of generating the second compensated first pseudorange information by applying the double difference method will be described in detail with reference to FIG.
도 5는 본 발명의 일 실시 예에 따른 보상부의 동작을 설명하기 위한 일 예를 도시한 도면이다.5 is a diagram illustrating an operation of the compensator according to an embodiment of the present invention.
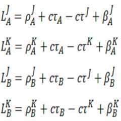
도 5를 참조하면, 지구로부터 일정궤도에 위치하는 제1인공위성(J)는 지구에 위치하는 제1GPS수신기(A) 및 제2GPS수신기(B) 각각으로부터 및의 실제의사거리를 가질 수 있고, 제2인공위성(K)는 지구에 위치하는 제1GPS수신기(A) 및 제2GPS수신기(B) 각각으로부터 및의 실제의사거리를 가질 수 있다.Referring to FIG. 5, the first satellite J located on a predetermined orbit from the earth is a first satellite (A) and a second satellite (B) And And the second satellite K can have an actual range of distance from each of the first GPS receiver A and the second GPS receiver B And Can have an actual range of.
하지만, 제1GPS수신기(A) 및 제2GPS수신기(B)가 제1인공위성(J) 및 제2인공위성(K)로부터 정보를 수신하여 의사거리를 산출함에 있어서, 외부요인(지구의 대기층 등)에 의한 오차(시계오차 및 대기권오차)를 포함할 수 있다.However, when the first GPS receiver A and the second GPS receiver B receive information from the first satellite J and the second satellite K to calculate the pseudorange, Error (clock error and atmospheric error).
이에, 제1GPS수신기(A)가 제1인공위성(J)로부터 정보를 수신하여 산출하는 의사거리(), 제1GPS수신기(A)가 제2인공위성(K)로부터 정보를 수신하여 산출하는 각각의 의사거리(), 제2GPS수신기(B)가 제1인공위성(J)로부터 정보를 수신하여 산출하는 의사거리() 및 제2GPS수신기(B)가 제2인공위성(K)로부터 정보를 수신하여 산출하는 각각의 의사거리()는 다음 수학식 1과 같을 수 있다.Therefore, the first GPS receiver A receives the pseudo range (J) by receiving the information from the first satellite J ), The first GPS receiver (A) receives and calculates information from the second satellite (K) ), The second GPS receiver B receives and calculates information from the first satellite J, ) And the second GPS receiver (B) receives and calculates information from the second satellite (K) ) Can be expressed by the following equation (1).
여기서,는 빛의 속도,는 시계오차 및는 대기층오차를 의미한다.here, The speed of light, The clock error and Means the atmospheric layer error.
수학식 1의 의사거리에 다음 수학식 2와 같은 이중차분을 적용함으로써 시계오차를 제거할 수 있다.The clock error can be eliminated by applying the double difference as shown in the following Equation 2 to the pseudo distance of Equation (1).
여기서,는 단일차분을 의미하고,는 이중차분을 의미한다.here, Quot; means a single difference, Means double differential.
이중차분법에 대한 더 자세한 설명은 본 발명의 요지를 벗어나므로 생략한다.A more detailed description of the double difference method is omitted because it is beyond the scope of the present invention.
도 5 및 이에 대한 대한 설명한 바와 같이, 본 발명의 일 실시 예에 따른 보상부는 의사거리보정치정보를 적용하여 보상된 제1의사거리정보와 타차량으로부터 수신된 제2의사거리정보에 이중차분법을 적용하여 2차보상된 제1의사거리정보를 생성할 수 있다.5 and FIG. 5, a compensator according to an embodiment of the present invention performs a double difference method on first pseudo distance information compensated by applying pseudorange correction value information and second pseudo distance information received from another vehicle To generate second-compensated first pseudorange information.
이에, 본 발명의 일 실시 예에 따른 생성부가 2차보상된 제1의사거리정보에 기초함으로써, 더 정확한 자차량의 위치정보를 생성할 수 있다. 더 나아가, 산출부가 더 정확한 자차량의 위치정보를 이용함으로써 더 정확한 타차량과 자차량의 거리를 산출할 수 있다.Accordingly, the generating unit according to the embodiment of the present invention can generate the position information of the child vehicle more precisely, based on the first compensated first pseudo range information. Furthermore, by using the location information of the more accurate vehicle, the calculating unit can calculate the distance between the vehicle and the vehicle more precisely.
한편, 본 발명의 일 실시 예에 따른 수신부는 라이넥스(Receiver independent exchange format, RINEX)를 적용한 제1의사거리정보 및 제2의사거리를 수신할 수 있다.Meanwhile, the receiver according to an embodiment of the present invention may receive the first pseudorange information and the second pseudorange using a receiver independent exchange format (RINEX).
간단히 설명하면, GPS수신기의 기종이 다르면 기록형식 및 기록내용 등이 다르기 때문에 기선해석에 어려움이 발생할 수 있다. 이에, 라이넥스는 이러한 이유로 기록형식 및 기록내용 등을 통일하도록 한 것으로서, 1996년부터 GPS을 이용한 측량분야에서 공동포맷으로 사용하고 있다.Briefly, if the model of the GPS receiver is different, the record format and the content of the record are different, so that difficulties may arise in the baseline analysis. For this reason, Lynex has been used as a common format in the field of survey using GPS since 1996, in order to unify the record format and the record contents.
또한, 본 발명의 일 실시 예에 따른 수신부는 자차량에 포함된 내비게이션으로부터 내비게이션정보를 더 수신하고, 생성부는 내비게이션정보를 더 기초하여 자차량의 위치정보를 생성할 수 있다.Further, the receiving unit according to an embodiment of the present invention further receives navigation information from navigation included in the child vehicle, and the generating unit can generate position information of the child vehicle based on the navigation information.
내비게이션정보에는 주변환경에 대한 정보를 포함할 수 있다. 이에, 생성부는 내비게이션정보를 통한 주변환경에 대한 정보를 반영하여 자차량의 위치정보를 생성할 수 있다.The navigation information may include information about the surrounding environment. Accordingly, the generator may generate the position information of the vehicle by reflecting the information about the surrounding environment through the navigation information.
이에 대해 도 6을 이용하여 자세히 설명한다.This will be described in detail with reference to FIG.
도 6은 본 발명의 일 실시 예에 따른 거리감지장치의 동작을 설명하기 위한 또 다른 일 예를 도시한 도면이다.6 is a diagram illustrating another example of the operation of the distance sensing apparatus according to an embodiment of the present invention.
도 6을 참조하면, 본 발명의 일 실시 예에 따른 수신부(S110의 동작을 수행함)는 자차량에 포함된 내비게이션(20)으로부터 내비게이션정보를 더 수신하고(S110d), 생성부는 내비게이션정보를 더 기초하여 자차량의 위치정보를 생성할 수 있다(S130).6, the receiving unit (performing the operation of S110) according to the embodiment of the present invention further receives the navigation information from the
일 예를 들어, 제1의사거리정보에 기초하여 생성된 자차량의 위치정보가 차량이 존재할 수 없는 위치인 경우, 생성부는 차량이 존재할 수 있는 위치로 보정할 수 있다.For example, when the position information of the subject vehicle generated based on the first pseudo distance information is a position at which the vehicle can not exist, the generating unit may correct the position where the vehicle may exist.
도 4 및 도 6를 설명함에 있어 도 2와 차이점이 있는 부분에 한정하여 간단하게 설명하였다. 이에, 전체적인 이해를 위해 도 2에 대한 설명을 참조하여 이해되어야 할 것이다.4 and FIG. 6, the description is limited only to the portions different from FIG. Therefore, it should be understood with reference to the description of FIG. 2 for the entire understanding.
이하 도 7 및 도 8에서는 도 1 내지 도 6을 이용하여 설명한 본 발명의 일 실시 예에 따른 거리감지장치와 일부 유사한 본 발명의 다른 일 실시 예에 따른 거리감지장치에 대해서 간략하게 설명한다.7 and 8, a distance sensing apparatus according to another embodiment of the present invention, which is similar to the distance sensing apparatus according to the embodiment of the present invention described with reference to Figs. 1 to 6, will be briefly described.
도 7은 본 발명의 다른 일 실시 예에 따른 거리감지장치의 구성을 도시한 도면이고, 도 8은 본 발명의 다른 일 실시 예에 따른 거리감지장치의 동작을 설명하기 위한 일 예를 도시한 도면이다.FIG. 7 is a diagram illustrating a configuration of a distance sensing apparatus according to another embodiment of the present invention, and FIG. 8 is a view illustrating an example of an operation of the distance sensing apparatus according to another embodiment of the present invention. to be.
도 7 및 도 8을 참조하면, 본 발명의 다른 일 실시 예에 따른 거리감지장치(700, S700의 동작을 수행함)는 자차량에 설치된 복수의 GPS(Global Positioning System)수신기인 GPS수신기A(10a) 및 GPS수신기B(10b)로부터 각각 자차량과 인공위성의 의사거리(Pseudo Range)정보인 제1의사거리정보를 수신하고(S710a, S710b), 타차량(60)으로부터 타차량(60)과 인공위성의 의사거리정보인 제2의사거리정보를 수신하는(S710c) 수신부(710, S710의 동작을 수행함)와; 복수개의 제1의사거리정보인 제1의사거리정보A 및 제1의사거리정보B를 이용하여 의사거리보정치(Pseudo Range Correction, PRC)정보를 생성하고(S720a), 제1의사거리정보(제1의사거리정보A 또는 제1의사거리정보B 일 수 있음)에 의사거리보정치정보를 적용하여 보상된 제1의사거리정보를 생성하고(S720b), 제2의사거리정보에 의사거리보정치정보를 적용하여 보상된 제2의사거리정보를 생성하는(S720c) 보상부(720, S720의 동작을 수행함)와; 보상된 제1의사거리정보를 기초하여 자차량의 위치정보를 생성하고(S730a), 보상된 제2의사거리정보를 기초하여 타차량(60)의 위치정보를 생성하는(S730b) 생성부(730, S730의 동작을 수행함); 및 타차량(60)의 위치정보와 자차량의 위치정보를 이용하여 타차량(60)과 자차량의 거리를 산출하는 산출부(740, S740의 동작을 수행함)를 포함할 수 있다.7 and 8, the distance sensing device 700 (which performs the operation of the S 700) according to another embodiment of the present invention includes a plurality of GPS (Global Positioning System) receivers (S710a, S710b), which is pseudo range information of the vehicle and the satellite, from the
간단히 설명하면, GPS수신기는 지구의 일 궤도에 위치하여 지구를 감시하는 인공위성으로부터 인공위성정보를 수신하고, 상기 인공위성정보를 미리 알고 있는 궤도력(Ephemeris)정보, 도플러(Doppler)정보 및 신호대비잡음비(Signal to noise ratio, SNR)정보 등에 적용하여 GPS수신기의 좌표 및 인공위성의 좌표를 감지할 수 있다. 이에, GPS수신기의 좌표 및 인공위성의 좌표를 이용함으로써 상기 인공위성과의 의사거리는 감지될 수 있다.Briefly, the GPS receiver receives satellite information from an artificial satellite that is located in one orbit of the earth and monitors the earth, and outputs Ephemeris information, Doppler information, and Signal to Noise Ratio (Signal) to noise ratio (SNR) information, and the coordinates of the GPS receiver and the coordinates of the satellite can be detected. By using the coordinates of the GPS receiver and the coordinates of the satellite, the pseudorange with the satellite can be sensed.
이후, 감지된 인공위성과의 의사거리는 GPS수신기의 위치를 산출하는데 사용될 수 있다.The pseudorange with the sensed satellite can then be used to calculate the position of the GPS receiver.
이에, 본 발명의 다른 일 실시 예에 따른 수신부(710, S710의 동작을 수행함)는 자차량에 설치된 복수의 GPS(Global Positioning System)수신기인 GPS수신기A(10a) 및 GPS수신기B(10b)로부터 각각 자차량과 인공위성의 의사거리(Pseudo Range)정보인 제1의사거리정보를 수신하고(S710a, S710b), 타차량(60)으로부터 타차량(60)과 인공위성의 의사거리정보인 제2의사거리정보를 수신할 수 있다(S710c).The
한편, 하나의 GPS수신기를 이용하여 감지하는 의사거리정보는 정확도가 떨어지는 문제점이 있다. 이러한 문제점은 의사거리보정치정보를 상기 의사거리정보에 적용하여 해결될 수 있다. 이러한 의사거리보정치정보는 외부시설로부터 수신하거나, 복수의 의사거리정보를 이용하여 산출할 수 있다.On the other hand, the pseudo range information detected by using one GPS receiver has a problem that the accuracy is low. This problem can be solved by applying the pseudo range correction value information to the pseudo range information. Such pseudo range correction value information can be received from an external facility or can be calculated using a plurality of pseudo range information.
이에, 본 발명의 다른 일 실시 예에 따른 보상부(720, S720의 동작을 수행함)가 자차량에 설치된 복수의 GPS수신기인 GPS수신기A 및 GPS수신기B 각각으로부터 수신된 제1의사거리정보A와 제1의사거리정보B를 이용하여 의사거리보정치정보를 산출할 수 있다(S720a).Accordingly, the first pseudo range information A and the second pseudo range information A received from the GPS receiver A and the GPS receiver B, which are a plurality of GPS receivers installed in the vehicle, according to another embodiment of the present invention, The pseudo distance correction value information may be calculated using the first pseudo distance information B (S720a).
일 예를 들어, 보상부(720)는 제1의사거리정보A와 제1의사거리정보B를 연산하여 제1의사거리정보A와 제1의사거리정보B 간의 차이인 의사거리보정치정보를 산출할 수 있다.For example, the compensating
여기서, 제1의사거리정보A와 제1의사거리정보B 간의 차이인 의사거리보정치정보를 산출함에 있어서, 미리 알고 있는 GPS수신기A(10a)와 GPS수신기B(10b) 간 거리를 더 반영할 수 있다. 이로써, 의사거리보정치정보가 더 정확하게 산출될 수 있다.Here, in calculating the pseudo range correction value information which is the difference between the first pseudo range information A and the first pseudo range information B, it is possible to further reflect the distance between the
또한, 보상부(720, S720의 동작을 수행함)는 수신된 제1의사거리정보에 산출된 의사거리보정치정보를 적용하여 보상된 제1의사거리정보를 생성하고(S720b), 수신된 제2의사거리정보에 산출된 의사거리보정치정보를 적용하여 보상된 제2의사거리정보를 생성할 수 있다(S720c).In addition, the compensator 720 (performing the operation of S720) generates the compensated first pseudorange information by applying the calculated pseudo distance correction value information to the received first pseudo distance information (S720b) The compensated second pseudo distance information may be generated by applying the pseudo distance correction value information calculated in the distance information (S720c).
일 예를 들어, 보상된 제1의사거리정보는 제1의사거리정보에서 의사거리보정치정보를 제거함으로써 생성되고, 보상된 제2의사거리정보는 제2의사거리정보에서 의사거리보정치정보를 제거함으로써 생성될 수 있으나, 이에 한정되는 것은 아니다.For example, the compensated first pseudo range information is generated by removing pseudo range correction information in the first pseudo range information, and the compensated second pseudo range information is generated by removing pseudo range correction information in the second pseudo range information But is not limited thereto.
본 발명의 다른 일 실시 예에 따른 생성부(730, S730의 동작을 수행함)는 보상된 제1의사거리정보를 기초하여 자차량의 위치정보를 생성하고(S730a), 보상된 제2의사거리정보를 기초하여 타차량(60)의 위치정보를 생성할 수 있다(S730b). 이는, GPS수신기가 의사거리정보에 기초하여 위치정보를 생성하는 기술을 적용하여 생성될 수 있으므로 자세한 설명은 생략한다.The generator 730 (performing the operation of S730) according to another embodiment of the present invention generates the position information of the subject vehicle based on the compensated first pseudo range information (S730a), and the compensated second pseudo range information The position information of the
이후, 본 발명의 다른 일 실시 예에 따른 산출부(740)는 타차량(60)의 위치정보와 자차량의 위치정보를 이용하여 타차량(60)과 자차량의 거리를 산출할 수 있다(S740).The calculating
도 7 및 도 8을 이용하여 설명한 본 발명의 다른 일 실시 예에 따른 거리감지장치(700, S700의 동작을 수행함)는 보다 정확한 의사거리정보를 생성할 수 있고, 보다 정확한 의사거리정보를 이용함으로써 정확한 차량의 위치를 감지하여 정확한 차량간 거리를 산출할 수 있다.The distance sensing apparatus 700 (which performs the operation of S700) according to another embodiment of the present invention described with reference to FIGS. 7 and 8 can generate more accurate pseudo range information, and by using more accurate pseudo range information Accurate vehicle position can be detected and accurate vehicle-to-vehicle distance can be calculated.
한편, 본 발명의 다른 일 실시 예에 따른 보상부는 보상된 제1의사거리정보와 보상된 제2의사거리정보에 이중차분법(Double differencing method)을 더 적용하여 2차보상된 제1의사거리정보 및 2차보상된 제2의사거리정보를 생성할 수 있다. 이로써, 산출부는 2차보상된 제1의사거리정보에 기초한 자차량의 위치정보를 이용하여 보다 정확한 자차량의 위치정보를 산출할 수 있고, 2차보상된 제2의사거리정보에 기초한 타차량의 위치정보를 이용하여 보다 정확한 타차량의 위치정보를 산출할 수 있다. 이에, 산출부로부터 산출되는 타차량과 자차량의 거리는 보다 정확해질 수 있다.Meanwhile, the compensator according to another embodiment of the present invention may further apply a double differencing method to the compensated first pseudorange information and the compensated second pseudorange information to generate a second compensated first pseudorange information And second compensated second pseudorange information. Thus, the calculating unit can calculate the position information of the child vehicle more accurately by using the position information of the child vehicle based on the first compensated first pseudo range information, and calculate the position information of the other vehicle based on the second compensated second pseudo range information The position information of the other vehicle can be calculated more accurately using the position information. Thus, the distance between the vehicle and the other vehicle calculated from the calculating unit can be more accurate.
즉, 본 발명의 다른 일 실시 예에 따른 보상부는 의사거리보정치정보를 적용하여 보상된 제1의사거리정보와 보상된 제2의사거리정보에 이중차분법을 적용하여 2차보상된 제1의사거리정보 및 2차보상된 제2의사거리정보를 생성할 수 있다. 이에 대한 자세한 설명은 생략하나, 도 4, 도 5에 대한 설명을 참조하여 이해되어야 할 것이다.That is, according to another embodiment of the present invention, the compensation unit applies the double difference method to the compensated first pseudo range information and the compensated second pseudo range information by applying the pseudo range correction value information, Information and second compensated second pseudo range information. A detailed description thereof will be omitted, but it should be understood with reference to the description of FIG. 4 and FIG.
또한, 본 발명의 다른 일 실시 예에 따른 수신부는 자차량에 포함된 내비게이션으로부터 내비게이션정보를 더 수신하고, 생성부는 내비게이션정보를 더 기초하여 자차량의 위치정보를 생성할 수 있다.According to another embodiment of the present invention, the receiving unit further receives navigation information from navigation included in the own vehicle, and the generating unit may generate positional information of the vehicle based on the navigation information.
내비게이션정보에는 주변환경에 대한 정보를 포함할 수 있다. 이에, 생성부는 내비게이션정보를 통한 주변환경에 대한 정보를 반영하여 자차량의 위치정보 또는 타차량의 위치정보를 생성할 수 있다.The navigation information may include information about the surrounding environment. The generating unit may generate position information of the vehicle or position information of the other vehicle by reflecting information on the surrounding environment through the navigation information.
일 예를 들어, 제1의사거리정보에 기초하여 생성된 자차량의 위치정보가 차량이 존재할 수 없는 위치인 경우, 생성부는 상기 자차량의 위치정보를 차량이 존재할 수 있는 위치로 보정할 수 있다. 이와 유사하게, 제2의사거리정보에 기초하여 생성된 타차량의 위치정보가 차량이 존재할 수 없는 위치인 경우, 생성부는 상기 타차량의 위치정보를 차량이 존재할 수 있는 위치로 보정할 수 있다.For example, if the position information of the child vehicle generated based on the first pseudo range information is a position at which the vehicle can not exist, the generation unit may correct the position information of the child vehicle to a position where the vehicle may exist . Similarly, when the position information of the other vehicle generated based on the second pseudo range information is a position at which the vehicle can not exist, the generating unit may correct the position information of the other vehicle to a position where the vehicle may exist.
이에 대한 자세한 설명은 도 6에 대한 설명을 참조하여 이해되어야 할 것이다.A detailed description thereof will be understood with reference to the description of FIG.
이 외에도 본 발명의 다른 일 실시 예에 따른 거리감지장치는 도 1 내지 도 6에 기초하여 설명한 본 발명의 일 실시 예에 따른 거리감지장치가 수행하는 각 동작의 일부를 수행할 수도 있다.In addition, the distance sensing apparatus according to another embodiment of the present invention may perform a part of each operation performed by the distance sensing apparatus according to an embodiment of the present invention described with reference to Figs. 1 to 6.
이하 도 9 및 도 10에서는 도 1 내지 도 6을 이용하여 설명한 본 발명의 일 실시 예에 따른 거리감지장치와 일부 유사한 본 발명의 또 다른 일 실시 예에 따른 거리감지장치에 대해서 간략하게 설명한다.9 and 10, a distance sensing device according to another embodiment of the present invention, which is similar to the distance sensing device according to the embodiment of the present invention described with reference to Figs. 1 to 6, will be briefly described.
도 9는 본 발명의 또 다른 일 실시 예에 따른 거리감지장치의 구성을 도시한 도면이고, 도 10은 본 발명의 또 다른 일 실시 예에 따른 거리감지장치의 동작을 설명하기 위한 일 예를 도시한 도면이다.FIG. 9 is a diagram illustrating a configuration of a distance sensing apparatus according to another embodiment of the present invention. FIG. 10 is a diagram illustrating an operation of the distance sensing apparatus according to another embodiment of the present invention. Fig.
도 9 및 도 10을 참조하면, 본 발명의 또 다른 일 실시 예에 따른 거리감지장치(900, S900의 동작을 수행함)는 자차량에 설치된 복수의 GPS(Global Positioning System)수신기인 GPS수신기A(10a) 및 GPS수신기B(10b)로부터 각각 자차량과 인공위성의 의사거리(Pseudo Range)정보인 제1의사거리정보를 수신하고(S910a, S910b), 타차량(60)으로부터 타차량(60)의 위치정보를 수신하는(S910c) 수신부(910, S910의 동작을 수행함)와; 복수개의 상기 제1의사거리정보인 제1의사거리정보A 및 제1의사거리정보B를 이용하여 의사거리보정치(Pseudo Range Correction, PRC)정보를 생성하고(S920a), 제1의사거리정보(제1의사거리정보A 또는 제1의사거리정보B 일 수 있음)에 의사거리보정치정보를 적용하여 보상된 제1의사거리정보를 생성하는(S920b) 보상부(920, S920의 동작을 수행함)와; 보상된 제1의사거리정보에 기초하여 자차량의 위치정보를 생성하는 생성부(930, S930의 동작을 수행함); 및 타차량(60)의 위치정보와 자차량의 위치정보를 이용하여 타차량(60)과 자차량의 거리를 산출하는 산출부(940, S940의 동작을 수행함)를 포함할 수 있다.9 and 10, the distance sensing device 900 (which performs the operation of S900) according to another embodiment of the present invention includes a plurality of GPS (Global Positioning System) receivers (Pseudo range information) of the vehicle and the satellite from the
간단히 설명하면, GPS수신기는 지구의 일 궤도에 위치하여 지구를 감시하는 인공위성으로부터 인공위성정보를 수신하고, 상기 인공위성정보를 미리 알고 있는 궤도력(Ephemeris)정보, 도플러(Doppler)정보 및 신호대비잡음비(Signal to noise ratio, SNR)정보 등에 적용하여 GPS수신기의 좌표 및 인공위성의 좌표를 감지할 수 있다. 이에, GPS수신기의 좌표 및 인공위성의 좌표를 이용함으로써 상기 인공위성과의 의사거리는 감지될 수 있다.Briefly, the GPS receiver receives satellite information from an artificial satellite that is located in one orbit of the earth and monitors the earth, and outputs Ephemeris information, Doppler information, and Signal to Noise Ratio (Signal) to noise ratio (SNR) information, and the coordinates of the GPS receiver and the coordinates of the satellite can be detected. By using the coordinates of the GPS receiver and the coordinates of the satellite, the pseudorange with the satellite can be sensed.
이후, 감지된 인공위성과의 의사거리는 GPS수신기의 위치를 산출하는데 사용될 수 있다.The pseudorange with the sensed satellite can then be used to calculate the position of the GPS receiver.
이에, 본 발명의 또 다른 일 실시 예에 따른 수신부(910, S910의 동작을 수행함)는 자차량에 설치된 복수의 GPS(Global Positioning System)수신기인 GPS수신기A(10a) 및 GPS수신기B(10b)로부터 각각 자차량과 인공위성의 의사거리(Pseudo Range)정보인 제1의사거리정보를 수신하고(S910a, S910b), 타차량(60)으로부터 타차량(60)의 위치정보를 수신할 수 있다(S910c).The
한편, 하나의 GPS수신기를 이용하여 감지하는 의사거리정보는 정확도가 떨어지는 문제점이 있다. 이러한 문제점은 의사거리보정치정보를 상기 의사거리정보에 적용하여 해결될 수 있다. 이러한 의사거리보정치정보는 외부시설로부터 수신하거나, 복수의 의사거리정보를 이용하여 산출할 수 있다.On the other hand, the pseudo range information detected by using one GPS receiver has a problem that the accuracy is low. This problem can be solved by applying the pseudo range correction value information to the pseudo range information. Such pseudo range correction value information can be received from an external facility or can be calculated using a plurality of pseudo range information.
이에, 본 발명의 또 다른 일 실시 예에 따른 보상부(920, S920의 동작을 수행함)가 자차량에 설치된 복수의 GPS수신기인 GPS수신기A 및 GPS수신기B 각각으로부터 수신된 제1의사거리정보A와 제1의사거리정보B를 이용하여 의사거리보정치정보를 산출할 수 있다(S920a).The first pseudo range information A (n) received from each of the GPS receiver A and the GPS receiver B, which is a plurality of GPS receivers installed in the vehicle, according to another embodiment of the present invention, And the first pseudo distance information B (S920a).
일 예를 들어, 보상부(920)는 제1의사거리정보A와 제1의사거리정보B를 연산하여 제1의사거리정보A와 제1의사거리정보B 간의 차이인 의사거리보정치정보를 산출할 수 있다.For example, the
여기서, 제1의사거리정보A와 제1의사거리정보B 간의 차이인 의사거리보정치정보를 산출함에 있어서, 미리 알고 있는 GPS수신기A(10a)와 GPS수신기B(10b) 간 거리를 더 반영할 수 있다. 이로써, 의사거리보정치정보가 더 정확하게 산출될 수 있다.Here, in calculating the pseudo range correction value information which is the difference between the first pseudo range information A and the first pseudo range information B, it is possible to further reflect the distance between the
또한, 보상부(920, S920의동작을 수행함)는 수신된 제1의사거리정보에 산출된 의사거리보정치정보를 적용하여 보상된 제1의사거리정보를 생성할 수 있다(S920b).In addition, the
일 예를 들어, 보상된 제1의사거리정보는 제1의사거리정보에서 의사거리보정치정보를 제거함으로써 생성될 수 있다.For example, the compensated first pseudorange information may be generated by removing pseudorange correction information from the first pseudorange information.
본 발명의 또 다른 일 실시 예에 따른 생성부(930)는 보상된 제1의사거리정보를 기초하여 자차량의 위치정보를 생성할 수 있다(S930). 이는, GPS수신기가 의사거리정보에 기초하여 위치정보를 생성하는 기술을 적용하여 생성될 수 있으므로 자세한 설명은 생략한다.The
이후, 본 발명의 또 다른 일 실시 예에 따른 산출부(940)는 타차량(60)의 위치정보와 자차량의 위치정보를 이용하여 타차량(60)과 자차량의 거리를 산출할 수 있다(S940).The calculating
도 9 및 도 10을 이용하여 설명한 본 발명의 또 다른 일 실시 예에 따른 거리감지장치(900, S900의 동작을 수행함)는 보다 정확한 의사거리정보를 생성할 수 있고, 보다 정확한 의사거리정보를 이용함으로써 정확한 차량의 위치를 감지하여 정확한 차량간 거리를 산출할 수 있다.The distance sensing device 900 (which performs the operation of S900) according to another embodiment of the present invention described with reference to FIGS. 9 and 10 can generate more accurate pseudo range information and can use more accurate pseudo range information The accurate vehicle position can be detected and the accurate inter-vehicle distance can be calculated.
한편, 본 발명의 또 다른 일 실시 예에 따른 수신부는 타차량으로부터 타차량과 인공위성의 의사거리정보인 제2의사거리정보를 더 수신할 수 있다. 이에, 보상부는 보상된 제1의사거리정보와 수신된 제2의사거리정보에 이중차분법(Double differencing method)을 더 적용하여 2차보상된 제1의사거리정보를 생성할 수 있다. 이로써, 산출부는 2차보상된 제1의사거리정보에 기초한 자차량의 위치정보를 이용하여 보다 정확한 자차량의 위치정보를 산출할 수 있다.Meanwhile, the receiving unit according to another embodiment of the present invention may further receive second pseudo distance information, which is pseudo distance information of the other vehicle and the satellite, from the other vehicle. The compensator may further generate a first compensated first pseudorange by applying a double differencing method to the compensated first pseudo range information and the received second pseudo range information. Thus, the calculating unit can calculate the position information of the child vehicle more accurately by using the position information of the child vehicle based on the second-compensated first pseudo range information.
즉, 본 발명의 또 다른 일 실시 예에 따른 보상부는 의사거리보정치정보를 적용하여 보상된 제1의사거리정보와 수신된 제2의사거리정보에 이중차분법을 적용하여 2차보상된 제1의사거리정보를 생성할 수 있다. 이에 대한 자세한 설명은 생략하나, 도 4, 도 5에 대한 설명을 참조하여 이해되어야 할 것이다.That is, according to another embodiment of the present invention, the compensator applies a double difference method to the compensated first pseudo range information and the received second pseudo range information using the pseudo range correction value information, Distance information can be generated. A detailed description thereof will be omitted, but it should be understood with reference to the description of FIG. 4 and FIG.
또한, 본 발명의 또 다른 일 실시 예에 따른 수신부는 자차량에 포함된 내비게이션으로부터 내비게이션정보를 더 수신하고, 생성부는 내비게이션정보를 더 기초하여 자차량의 위치정보를 생성할 수 있다.Further, the receiving unit according to another embodiment of the present invention further receives navigation information from the navigation included in the child vehicle, and the generating unit can generate the position information of the child vehicle based on the navigation information.
내비게이션정보에는 주변환경에 대한 정보를 포함할 수 있다. 이에, 생성부는 내비게이션정보를 통한 주변환경에 대한 정보를 반영하여 자차량의 위치정보 또는 타차량의 위치정보를 생성할 수 있다.The navigation information may include information about the surrounding environment. The generating unit may generate position information of the vehicle or position information of the other vehicle by reflecting information on the surrounding environment through the navigation information.
일 예를 들어, 제1의사거리정보에 기초하여 생성된 자차량의 위치정보가 차량이 존재할 수 없는 위치인 경우, 생성부는 상기 자차량의 위치정보를 차량이 존재할 수 있는 위치로 보정할 수 있다.For example, if the position information of the child vehicle generated based on the first pseudo range information is a position at which the vehicle can not exist, the generation unit may correct the position information of the child vehicle to a position where the vehicle may exist .
이에 대한 자세한 설명은 도 6에 대한 설명을 참조하여 이해되어야 할 것이다.A detailed description thereof will be understood with reference to the description of FIG.
이 외에도 본 발명의 또 다른 일 실시 예에 따른 거리감지장치는 도 1 내지 도 6에 기초하여 설명한 본 발명의 일 실시 예에 따른 거리감지장치가 수행하는 각 동작의 일부를 수행할 수도 있다.In addition, the distance sensing apparatus according to another embodiment of the present invention may perform a part of each operation performed by the distance sensing apparatus according to an embodiment of the present invention described with reference to Figs. 1 to 6.
이하에서는 도 1 내지 도 6을 이용하여 설명한 거리감지장치가 수행하는 동작인 거리감지방법에 대해서 간략하게 설명한다.Hereinafter, a distance sensing method, which is an operation performed by the distance sensing apparatus described with reference to Figs. 1 to 6, will be briefly described.
도 11은 본 발명의 일 실시 예에 따른 거리감지방법의 흐름도를 도시한 도면이다.11 is a flowchart illustrating a distance sensing method according to an embodiment of the present invention.
도 11을 참조하면, 본 발명의 일 실시 예에 따른 거리감지방법은 자차량에 설치된 GPS(Global Positioning System)수신기로부터 자차량과 인공위성의 의사거리(Pseudo Range)정보인 제1의사거리정보를 수신하고, 타차량으로부터 의사거리보정치(Pseudo Range Correction, PRC)정보 및 상기 타차량의 위치정보를 수신하는 수신단계(S1100)와; 제1의사거리정보에 의사거리보정치정보를 적용하여 보상된 제1의사거리정보를 생성하는 보상단계(S1110)와; 보상된 제1의사거리정보에 기초하여 자차량의 위치정보를 생성하는 생성단계(S1120); 및 타차량의 위치정보와 자차량의 위치정보를 이용하여 타차량과 자차량의 거리를 산출하는 산출단계(S1130)를 포함할 수 있다.Referring to FIG. 11, a distance sensing method according to an embodiment of the present invention receives first pseudo distance information, which is pseudo range information of a vehicle and a satellite, from a Global Positioning System (GPS) A receiving step (S1100) of receiving pseudo range correction (PRC) information from the other vehicle and position information of the other vehicle; A compensation step (S1110) of generating compensated first pseudorange information by applying pseudorange correction value information to the first pseudorange information; A generating step (S1120) of generating position information of the subject vehicle based on the compensated first pseudo range information; And a calculating step S1130 of calculating the distance between the other vehicle and the subject vehicle using the position information of the other vehicle and the position information of the subject vehicle.
간단히 설명하면, GPS수신기는 지구의 일 궤도에 위치하여 지구를 감시하는 인공위성으로부터 인공위성정보를 수신하고, 상기 인공위성정보를 미리 알고 있는 궤도력(Ephemeris)정보, 도플러(Doppler)정보 및 신호대비잡음비(Signal to noise ratio, SNR)정보 등에 적용하여 GPS수신기의 좌표 및 인공위성의 좌표를 감지할 수 있다. 이에, 상기 인공위성과의 의사거리는 GPS수신기의 좌표 및 인공위성의 좌표를 이용함으로써 감지될 수 있다.Briefly, the GPS receiver receives satellite information from an artificial satellite that is located in one orbit of the earth and monitors the earth, and outputs Ephemeris information, Doppler information, and Signal to Noise Ratio (Signal) to noise ratio (SNR) information, and the coordinates of the GPS receiver and the coordinates of the satellite can be detected. Thus, the pseudorange with the satellite can be detected by using the coordinates of the GPS receiver and the coordinates of the satellite.
이후, 감지된 인공위성과의 의사거리는 GPS수신기의 위치를 산출하는데 사용될 수 있다.The pseudorange with the sensed satellite can then be used to calculate the position of the GPS receiver.
한편, 하나의 GPS수신기를 이용하여 감지하는 의사거리정보는 정확도가 떨어지는 문제점이 있다. 이러한 문제점은 의사거리보정치정보를 상기 의사거리정보에 적용하여 해결될 수 있다. 이러한 의사거리보정치정보는 외부시설로부터 수신하거나, 복수의 의사거리정보를 이용하여 산출할 수 있다.On the other hand, the pseudo range information detected by using one GPS receiver has a problem that the accuracy is low. This problem can be solved by applying the pseudo range correction value information to the pseudo range information. Such pseudo range correction value information can be received from an external facility or can be calculated using a plurality of pseudo range information.
이에, 본 발명의 일 실시 예에 따르면, 타차량은 설치된 복수의 GPS수신기로부터 수신된 복수의 의사거리를 이용함으로써 의사거리보정치정보를 산출할 수 있다. 이에 대해, 도 3을 참조하여 이해할 수 있다.Thus, according to an embodiment of the present invention, the other vehicle can calculate the pseudo range correction value information by using a plurality of pseudoranges received from a plurality of GPS receivers installed. This can be understood with reference to FIG.
이에, 본 발명의 일 실시 예에 따른 수신단계(S1100)는 자차량에 설치된 GPS수신기로부터 자차량과 인공위성의 의사거리정보인 제1의사거리정보를 수신하고, 타차량으로부터 의사거리보정치정보 및 타차량(60)의 위치정보를 수신할 수 있다.The receiving step S1100 according to an embodiment of the present invention receives the first pseudo range information which is the pseudo range information of the vehicle and the satellite from the GPS receiver installed in the own vehicle, The position information of the
본 발명의 일 실시 예에 따른 보상단계(1110)는 제1의사거리정보에 의사거리보정치정보를 적용하여 보상된 제1의사거리정보를 생성할 수 있다.The compensating step 1110 according to an embodiment of the present invention may generate the compensated first pseudorange information by applying the pseudorange correction information to the first pseudorange information.
일 예를 들어, 보상된 제1의사거리정보는 제1의사거리정보에서 의사거리보정치정보를 제거함으로써 생성될 수 있으나, 이에 한정되는 것은 아니다.For example, the compensated first pseudo range information may be generated by removing the pseudo range correction information from the first pseudo range information, but is not limited thereto.
본 발명의 일 실시 예에 따른 생성단계(1120)는 보상된 제1의사거리정보에 기초하여 자차량의 위치정보를 생성할 수 있다. 이는, GPS수신기가 의사거리정보에 기초하여 위치정보를 생성하는 기술을 적용하여 생성될 수 있으므로 자세한 설명은 생략한다.The generating step 1120 according to an embodiment of the present invention may generate position information of the subject vehicle based on the compensated first pseudo range information. This can be generated by applying the technique of generating the position information based on the pseudo range information by the GPS receiver, and thus a detailed description will be omitted.
이후, 본 발명의 일 실시 예에 따른 산출단계(1130)는 타차량의 위치정보와 자차량의 위치정보를 이용하여 타차량과 자차량의 거리를 산출할 수 있다.Hereinafter, the calculating step 1130 may calculate the distance between the other vehicle and the subject vehicle using the position information of the other vehicle and the position information of the subject vehicle.
도 11과 같이 동작하는 본 발명의 일 실시 예에 따른 거리감지방법은 보다 정확한 의사거리정보를 생성할 수 있고, 보다 정확한 의사거리정보를 이용함으로써 정확한 차량의 위치를 감지하여 정확한 차량간 거리를 산출할 수 있다.The distance sensing method according to an embodiment of the present invention, which operates as shown in FIG. 11, can generate more accurate pseudo distance information and accurately detect the position of the vehicle by using more accurate pseudo range information, can do.
한편, 본 발명의 일 실시 예에 따른 수신단계는 타차량으로부터 타차량과 인공위성의 의사거리정보인 제2의사거리정보를 더 수신할 수 있다. 이에, 보상단계는 보상된 제1의사거리정보와 수신된 제2의사거리정보에 이중차분법(Double differencing method)을 더 적용하여 2차보상된 제1의사거리정보를 생성할 수 있다. 이로써, 산출단계는 2차보상된 제1의사거리정보에 기초한 자차량의 위치정보를 이용하여 보다 정확한 자차량의 위치정보를 산출할 수 있다. 더 나아가, 산출단계에서 더 정확한 자차량의 위치정보를 이용함으로써 더 정확한 타차량과 자차량의 거리를 산출할 수 있다.Meanwhile, the receiving step according to an embodiment of the present invention may further receive second pseudo distance information which is pseudo distance information of the other vehicle and the satellite from another vehicle. The compensating step may further generate a first compensated first pseudorange by applying a double differencing method to the compensated first pseudo range information and the received second pseudo range information. Thus, the calculating step can calculate the position information of the child vehicle more accurately by using the position information of the child vehicle based on the second compensated first pseudo range information. Furthermore, by using the more accurate location information of the vehicle in the calculation step, the distance between the vehicle and the vehicle can be calculated more precisely.
이에 대해 도 4 및 도 5를 참조하여 이해할 수 있다.This can be understood with reference to FIGS. 4 and 5. FIG.
한편, 본 발명의 일 실시 예에 따른 수신단계는 라이넥스(Receiver independent exchange format, RINEX)를 적용한 제1의사거리정보 및 제2의사거리를 수신할 수 있다.Meanwhile, the receiving step according to an embodiment of the present invention may receive the first pseudorange information and the second pseudorange using a receiver independent exchange format (RINEX).
간단히 설명하면, GPS수신기의 기종이 다르면 기록형식 및 기록내용 등이 다르기 때문에 기선해석에 어려움이 발생할 수 있다. 이에, 라이넥스는 이러한 이유로 기록형식 및 기록내용 등을 통일하도록 한 것으로서, 1996년부터 GPS을 이용한 측량분야에서 공동포맷으로 사용하고 있다.Briefly, if the model of the GPS receiver is different, the record format and the content of the record are different, so that difficulties may arise in the baseline analysis. For this reason, Lynex has been used as a common format in the field of survey using GPS since 1996, in order to unify the record format and the record contents.
또한, 본 발명의 일 실시 예에 따른 수신단계는 자차량에 포함된 내비게이션으로부터 내비게이션정보를 더 수신하고, 생성단계는 내비게이션정보를 더 기초하여 자차량의 위치정보를 생성할 수 있다.Further, the receiving step according to the embodiment of the present invention further receives the navigation information from the navigation included in the subject vehicle, and the generating step can generate the position information of the subject vehicle based on the navigation information.
내비게이션정보에는 주변환경에 대한 정보를 포함할 수 있다. 이에, 생성단계는 내비게이션정보를 통한 주변환경에 대한 정보를 반영하여 자차량의 위치정보를 생성할 수 있다.The navigation information may include information about the surrounding environment. Accordingly, the generating step may generate the position information of the vehicle by reflecting the information on the surrounding environment through the navigation information.
이에 대해 도 6을 참조하여 이해될 수 있다.This can be understood with reference to FIG.
이 외에도 본 발명의 거리감지방법은 도 1 내지 도 10에 기초하여 설명한 본 발명의 거리감지장치가 수행하는 각 동작을 모두 수행할 수 있다.In addition, the distance sensing method of the present invention can perform all the operations performed by the distance sensing apparatus of the present invention described with reference to Figs. 1 to 10.
이상에서의 설명 및 첨부된 도면은 본 발명의 기술 사상을 예시적으로 나타낸 것에 불과한 것으로서, 본 발명이 속하는 기술 분야에서 통상의 지식을 가진 자라면 본 발명의 본질적인 특성에서 벗어나지 않는 범위에서 구성의 결합, 분리, 치환 및 변경 등의 다양한 수정 및 변형이 가능할 것이다. 따라서, 본 발명에 개시된 실시예들은 본 발명의 기술 사상을 한정하기 위한 것이 아니라 설명하기 위한 것이고, 이러한 실시예에 의하여 본 발명의 기술 사상의 범위가 한정되는 것은 아니다. 본 발명의 보호 범위는 아래의 청구범위에 의하여 해석되어야 하며, 그와 동등한 범위 내에 있는 모든 기술 사상은 본 발명의 권리범위에 포함되는 것으로 해석되어야 할 것이다.It will be apparent to those skilled in the art that various modifications and variations can be made in the present invention without departing from the spirit or scope of the inventions. , Separation, substitution, and alteration of the invention will be apparent to those skilled in the art. Therefore, the embodiments disclosed in the present invention are intended to illustrate rather than limit the scope of the present invention, and the scope of the technical idea of the present invention is not limited by these embodiments. The scope of protection of the present invention should be construed according to the following claims, and all technical ideas within the scope of equivalents should be construed as falling within the scope of the present invention.
| Application Number | Priority Date | Filing Date | Title |
|---|---|---|---|
| KR1020160074246AKR102459611B1 (en) | 2016-06-15 | 2016-06-15 | Distance detection apparatus and distance detection method |
| Application Number | Priority Date | Filing Date | Title |
|---|---|---|---|
| KR1020160074246AKR102459611B1 (en) | 2016-06-15 | 2016-06-15 | Distance detection apparatus and distance detection method |
| Publication Number | Publication Date |
|---|---|
| KR20170141341Atrue KR20170141341A (en) | 2017-12-26 |
| KR102459611B1 KR102459611B1 (en) | 2022-11-03 |
| Application Number | Title | Priority Date | Filing Date |
|---|---|---|---|
| KR1020160074246AActiveKR102459611B1 (en) | 2016-06-15 | 2016-06-15 | Distance detection apparatus and distance detection method |
| Country | Link |
|---|---|
| KR (1) | KR102459611B1 (en) |
| Publication number | Priority date | Publication date | Assignee | Title |
|---|---|---|---|---|
| KR20230091608A (en)* | 2021-12-16 | 2023-06-23 | 한국항공우주연구원 | Apparatus and method for determining a navigation error in a global navigation satellite system |
| Publication number | Priority date | Publication date | Assignee | Title |
|---|---|---|---|---|
| KR20130107784A (en)* | 2012-03-23 | 2013-10-02 | 주식회사 트루인테크 | An apparatus for processing differential information of differential global navigation satellite system and the method thereof |
| KR20140001292A (en)* | 2012-06-25 | 2014-01-07 | 경일대학교산학협력단 | System for informing vehicle operation using location correction information, apparatus thereof, and method thereof |
| JP2014071839A (en)* | 2012-10-01 | 2014-04-21 | Honda Motor Co Ltd | Information processor, information processing method and program |
| JP2014153087A (en)* | 2013-02-05 | 2014-08-25 | Mitsubishi Electric Corp | GNSS positioning device and GNSS positioning method |
| Publication number | Priority date | Publication date | Assignee | Title |
|---|---|---|---|---|
| KR20130107784A (en)* | 2012-03-23 | 2013-10-02 | 주식회사 트루인테크 | An apparatus for processing differential information of differential global navigation satellite system and the method thereof |
| KR20140001292A (en)* | 2012-06-25 | 2014-01-07 | 경일대학교산학협력단 | System for informing vehicle operation using location correction information, apparatus thereof, and method thereof |
| JP2014071839A (en)* | 2012-10-01 | 2014-04-21 | Honda Motor Co Ltd | Information processor, information processing method and program |
| JP2014153087A (en)* | 2013-02-05 | 2014-08-25 | Mitsubishi Electric Corp | GNSS positioning device and GNSS positioning method |
| Publication number | Priority date | Publication date | Assignee | Title |
|---|---|---|---|---|
| KR20230091608A (en)* | 2021-12-16 | 2023-06-23 | 한국항공우주연구원 | Apparatus and method for determining a navigation error in a global navigation satellite system |
| Publication number | Publication date |
|---|---|
| KR102459611B1 (en) | 2022-11-03 |
| Publication | Publication Date | Title |
|---|---|---|
| KR102778560B1 (en) | Method and apparatus for providing integrity information for checking atmospheric correction parameters for correcting atmospheric disturbances in satellite navigation for a vehicle | |
| US7576690B2 (en) | Position determination with reference data outage | |
| US20180106906A1 (en) | Positioning processing system, method, computer program, positioning processing device, and user terminal | |
| CN104614750B (en) | Vehicle position determination method | |
| US20180113219A1 (en) | Method and system for ascertaining a position of a mobile apparatus | |
| US8768617B2 (en) | Method and system for a data interface for aiding a satellite positioning system receiver | |
| CN101382431B (en) | Positioning system and method thereof | |
| US8170796B2 (en) | Ins based GPS carrier phase cycle slip detection and repairing | |
| US20110288771A1 (en) | System and method for determining the geographic location of a device | |
| US20090177382A1 (en) | Calibration of a Navigation System | |
| US10849093B2 (en) | Positioning system and method | |
| KR101437346B1 (en) | Positioning method of GPS receiver, Recording medium storing a program for performing the method and GPS receiver | |
| CN102859390A (en) | Gnss reference station and monitoring | |
| KR101874974B1 (en) | Apparatus and method for generating differential global navigation satellite system pseudo range correction information | |
| KR20150062561A (en) | Car navition system and method merged gnss with dr | |
| KR102488643B1 (en) | Apparatus for precise positioning compensation using positioning difference and method thereof | |
| CN109839650A (en) | A kind of compatible RTK localization method of unmanned plane, system, equipment and storage medium | |
| KR20130036145A (en) | A moving information determination apparatus, a receiver, and a method thereby | |
| KR20220147865A (en) | Method for correcting positioning information | |
| CN119343610A (en) | Real-time PPE base station measurement uncertainty modeling for protection level calculation | |
| KR20160017216A (en) | Portable dgps reference station | |
| CN110673184A (en) | High-precision positioning system and method based on vehicle | |
| KR20130037838A (en) | Apparatus and method for monitoring gps satellite fault | |
| CN111045061A (en) | V2V-based method and device for cooperative positioning and distance sensing between vehicles | |
| KR102459611B1 (en) | Distance detection apparatus and distance detection method |
| Date | Code | Title | Description |
|---|---|---|---|
| PA0109 | Patent application | St.27 status event code:A-0-1-A10-A12-nap-PA0109 | |
| R17-X000 | Change to representative recorded | St.27 status event code:A-3-3-R10-R17-oth-X000 | |
| PG1501 | Laying open of application | St.27 status event code:A-1-1-Q10-Q12-nap-PG1501 | |
| R18-X000 | Changes to party contact information recorded | St.27 status event code:A-3-3-R10-R18-oth-X000 | |
| R18-X000 | Changes to party contact information recorded | St.27 status event code:A-3-3-R10-R18-oth-X000 | |
| PN2301 | Change of applicant | St.27 status event code:A-3-3-R10-R13-asn-PN2301 St.27 status event code:A-3-3-R10-R11-asn-PN2301 | |
| A201 | Request for examination | ||
| PA0201 | Request for examination | St.27 status event code:A-1-2-D10-D11-exm-PA0201 | |
| PN2301 | Change of applicant | St.27 status event code:A-3-3-R10-R13-asn-PN2301 St.27 status event code:A-3-3-R10-R11-asn-PN2301 | |
| PN2301 | Change of applicant | St.27 status event code:A-3-3-R10-R13-asn-PN2301 St.27 status event code:A-3-3-R10-R11-asn-PN2301 | |
| D13-X000 | Search requested | St.27 status event code:A-1-2-D10-D13-srh-X000 | |
| N231 | Notification of change of applicant | ||
| PN2301 | Change of applicant | St.27 status event code:A-3-3-R10-R13-asn-PN2301 St.27 status event code:A-3-3-R10-R11-asn-PN2301 | |
| D14-X000 | Search report completed | St.27 status event code:A-1-2-D10-D14-srh-X000 | |
| E902 | Notification of reason for refusal | ||
| PE0902 | Notice of grounds for rejection | St.27 status event code:A-1-2-D10-D21-exm-PE0902 | |
| P11-X000 | Amendment of application requested | St.27 status event code:A-2-2-P10-P11-nap-X000 | |
| P13-X000 | Application amended | St.27 status event code:A-2-2-P10-P13-nap-X000 | |
| E701 | Decision to grant or registration of patent right | ||
| PE0701 | Decision of registration | St.27 status event code:A-1-2-D10-D22-exm-PE0701 | |
| PR0701 | Registration of establishment | St.27 status event code:A-2-4-F10-F11-exm-PR0701 | |
| PR1002 | Payment of registration fee | St.27 status event code:A-2-2-U10-U11-oth-PR1002 Fee payment year number:1 | |
| PG1601 | Publication of registration | St.27 status event code:A-4-4-Q10-Q13-nap-PG1601 | |
| PR1001 | Payment of annual fee | St.27 status event code:A-4-4-U10-U11-oth-PR1001 Fee payment year number:4 |