























기술분야는 무선으로 전력을 송수신하는 무선전력 전송 시스템의 전력 제어에 관한 것이다.The technical field relates to power control of a wireless power transmission system that wirelessly transmits and receives power.
무선 전력 전송 시스템은 전기 에너지를 무선으로 전송하는 무선전력 전송장치와 무선전력 전송장치로부터 전기 에너지를 수신하는 무선전력 수신장치를 포함한다. 무선 전력 전송 시스템은 로컬 컴퓨팅 환경에 적용될 수 있다.A wireless power transmission system includes a wireless power transmission device for wirelessly transmitting electrical energy and a wireless power reception device for receiving electrical energy from the wireless power transmission device. The wireless power transmission system may be applied to a local computing environment.
무선 전력 전송 시스템을 이용하면, 예를 들어 휴대폰을 별도의 충전 커넥터를 연결 하지 않고 단지 휴대폰을 충전 패드에 올려놓음으로써, 휴대폰의 배터리를 충전하는 것이 가능하다.With the wireless power transmission system, it is possible to charge the battery of the mobile phone, for example, by simply placing the mobile phone on the charging pad without connecting a separate charging connector to the mobile phone.
무선으로 전기 에너지를 전달하는 방식은, 전기 에너지를 전달하는 원리에 따라 자기 유도 방식, 자기 공진 방식 및 전자기파 방식으로 구분할 수 있다.The method of transmitting electric energy by radio can be classified into a magnetic induction method, a magnetic resonance method and an electromagnetic wave method according to the principle of transferring electric energy.
자기 유도 방식은 송신부 코일과 수신부 코일 사이에서 전기가 유도되는 현상을 이용하여 전기 에너지를 전달하는 방식이다.The magnetic induction method is a method of transferring electrical energy using a phenomenon in which electricity is induced between a transmitting coil and a receiving coil.
자기 공진 방식은 송신부 코일에서 공진주파수로 진동하는 자기장을 생성하여 동일한 공진주파수로 설계된 수신부 코일에 에너지가 집중적으로 전달되는 방식이다.The self-resonance method generates a magnetic field that oscillates at a resonant frequency in a transmitter coil, and energy is intensively transmitted to a receiver coil designed at the same resonant frequency.
전자기파 방식은 송신부에서 발생된 전자기파를 수신부에서 여러 개의 렉테나를 이용하여 전자기파를 수신하여 전기 에너지로 변환하는 방식이다.In the electromagnetic wave system, the electromagnetic wave generated by the transmitter is received by the receiver using a plurality of rectenna, and is converted into electrical energy.
한편, 무선 전력 전송 기술은 송신부 코일과 수신부 코일의 자기 공진 결합(magnetic resonant coupling)의 형태 내지 강도에 따라 유연하게 결합된 무선 전력 전송 기술(flexibly coupled wireless power transfer technology, 이하 'flexibly coupled technology')과 단단하게 결합된 무선 전력 전송 기술(tightly coupled wireless power transfer technology, 이하 'tightly coupled technology ')으로 구분될 수 도 있다.In the meantime, the wireless power transmission technology can be flexibly coupled to a wireless power transfer technology (hereinafter referred to as " flexibly coupled technology ") according to the form or strength of magnetic resonant coupling of a transmitter coil and a receiver coil. And tightly coupled wireless power transfer technology (hereinafter referred to as " tightly coupled technology ").
이때, 'flexibly coupled technology'의 경우 하나의 송신부 공진기와 다수의 수신부 공진기들 사이에 자기 공진 결합이 형성될 수 있기 때문에, 동시 다중 충전(Concurrent Multiple Charging)이 가능할 수 있다.At this time, in the case of 'flexibly coupled technology', since a self-resonant coupling can be formed between one transmitting-side resonator and a plurality of receiving-side resonators, concurrent multiple charging can be performed.
이때, 'tightly coupled technology '는 단지 하나의 송신부 코일과 하나의 수신부 코일 간의 전력 전송(one-to-one power transmission) 만이 가능한 기술일 수 있다.At this time, 'tightly coupled technology' may be a technology capable of only one-to-one power transmission between only one transmitter coil and one receiver coil.
이러한 무선 전력 전송 및 충전 시스템을 로컬 컴퓨팅 환경과 같은 무선 전력 전송 네트워크에 적용한 예로 "선행기술문헌"에 기재한 종래기술 3 및 종래기술 5가 공개되어 있다.
그러나, 종래기술 3 및 종래기술 5 역시 전력 제어에 관하여 명확한 방법을 제공하지 못하고 있다.However,
무선전력 전송 및 충전 시스템의 제시하고, 무선전력 전송 및 충전 시스템의 개선된 구성을 제시하고자 한다.A wireless power transmission and charging system, and an improved configuration of a wireless power transmission and charging system.
일 실시예에 따른 무선전력 전송 장치의 충전 상태 판단 방법은, 전력 전송 단계에서 무선 전력 수신 장치로부터 주기적으로 수신되는 제어 오류 값(CEV: Control Error Value)에 기초하여 송신 전력 값을 추정하는 단계와, 상기 송신 전력 값이 기 설정된 시간 이상 변동 없이 유지되면, 정상 안정 상태(NSS: Normal Stable State)에 진입한 것으로 판단하는 단계와, 상기 NSS에 진입한 이후 수신되는 제어 오류 값에 기초하여 상기 송신 전력 값의 상승 폭을 모니터링 하는 단계 및 상기 송신 전력 값의 상승 폭이 기 설정된 임계값을 초과하면, 현재 충전 상태를 '이물질 발생 상태' 또는 '부하변동 상태'로 판정하는 단계를 포함한다.A method of determining a state of charge of a wireless power transmission apparatus according to an exemplary embodiment includes estimating a transmission power value based on a control error value (CEV) periodically received from a wireless power receiving apparatus in a power transmission step Determining whether the transmission power value has entered a normal stable state (NSS) if the transmission power value remains unchanged for a predetermined time period; Monitoring an increase in the power value, and determining the current charge state as a 'foreign matter generated state' or a 'load change state' when the rising width of the transmission power value exceeds a predetermined threshold value.
다른 일 실시예에 따른 무선전력 전송 장치의 충전 상태 판단 방법은, 전력 전송 단계에서 무선 전력 수신 장치로부터 주기적으로 수신되는 제어 오류 값(CEV: Control Error Value)이 기 설정된 횟수 이상 기 설정된 안정화 기준값 이하로 유지되면, 정상 안정 상태(NSS: Normal Stable State)에 진입한 것으로 판단하는 단계와, 상기 NSS에 진입한 이후 수신되는 제어 오류 값의 상승 폭을 모니터링 하는 단계 및 상기 NSS에 진입한 이후 수신되는 제어 오류 값의 상승 폭이 상기 안정화 기준값을 초과하면, 현재 충전 상태를 '이물질 발생 상태' 또는 '부하변동 상태'로 판정하는 단계를 포함한다.A method of determining a state of charge of a wireless power transmission apparatus according to another exemplary embodiment is characterized in that a control error value (CEV) periodically received from a wireless power reception apparatus in a power transmission step is equal to or less than a preset stabilization reference value The method comprising the steps of: determining that the mobile station has entered a normal stable state (NSS) when the mobile station is maintained in the NSS; monitoring an increase in the control error value received after entering the NSS; And judging the present charging state as a 'foreign matter generating state' or a 'load fluctuation state' when the rising width of the control error value exceeds the stabilization reference value.
일 실시예에 따른 무선전력 전송 장치는, 전력 전송 단계에서 무선 전력 수신 장치로부터 주기적으로 수신되는 제어 오류 값(CEV: Control Error Value)에 기초하여 송신 전력 값을 추정하는 송신 전력 값 추정부와, 상기 송신 전력 값이 기 설정된 시간 이상 변동 없이 유지되면, 정상 안정 상태(NSS: Normal Stable State)에 진입한 것으로 판단하는 판단부 및 상기 송신 전력 값의 상승 폭이 기 설정된 임계값을 초과하면, 현재 충전 상태를 '이물질 발생 상태' 또는 '부하변동 상태'로 판정하는 충전 상태 판정부를 포함한다.A wireless power transmission apparatus according to an exemplary embodiment includes a transmission power value estimating unit that estimates a transmission power value based on a control error value (CEV) periodically received from a wireless power receiving apparatus in a power transmitting step, A determination unit for determining that the transmission power value has entered a normal stable state (NSS) if the transmission power value remains unchanged for a predetermined period of time, and a determination unit for determining whether the transmission power value exceeds a preset threshold value And determines a state of charge to be a 'foreign matter generated state' or a 'load fluctuation state'.
본 발명의 실시예에 따르면 안정적이고, 효율적인 무선전력 전송 및 충전이 가능하다.According to the embodiment of the present invention, stable and efficient wireless power transmission and charging are possible.
무선 전력 전송 장치에서 별도의 추가적인 구성이나 측정 없이 현재 송신 전력 값을 추정하고, 이물질 감지 상태를 판별할 수 있다.It is possible to estimate the current transmission power value and to detect the foreign matter detection state without any additional configuration or measurement in the wireless power transmission apparatus.
도 1은 무선 전력 전송 시스템의 전반적인 개념을 설명하기 위한 도면이다.
도 2는 본 발명의 실시예에 따른 무선 전력 송신기 및 무선 전력 수신기의 블록도이다.
도 3은 본 발명의 실시예에 따른 무선 전력 송신기 및 무선 전력 수신기의 상세 블록도이다.
도 4는 본 발명의 실시예에 따른 무선 전력 송신기 및 무선 전력 수신기의 동작을 설명하기 위한 흐름도이다.
도 5는 본 발명의 다른 실시예에 따른 무선 전력 송신기 및 무선 전력 수신기의 동작을 설명하는 흐름도이다.
도 6은 도 5의 실시예에 따른 무선 전력 송신기가 인가하는 전력량의 시간 축에 대한 그래프이다.
도 7은 본 발명의 다른 실시예에 따른 무선 전력 송신기 및 무선 전력 수신기의 블록도이다.
도 8은 2개의 1차 코일을 구성하는 예를 도시한 도면이다.
도 9는 3개의 1차 코일을 구성하는 예를 도시한 도면이다.
도 10은 도 7의 실시예에 따른 무선 전력 송신기에 대한 전력 송신부의 상세 블록도이다.
도 11은 전력 송신부에 대한 1차 코일 어레이를 구성하는 예를 도시한 도면이다.
도 12는 무선 전력 송신기의 제어 동작을 설명하기 위한 흐름도이다.
도 13은 일 실시예에 따른 전력 송신부의 구성을 설명하기 위한 도면이다.
도 14는 도 13의 전력변환부에 포함된 인버터의 출력단과 자기 유도 송신부 및 자기 공진 송신부의 연결관계의 예를 나타내는 도면이다.
도 15는 도 13의 자기 유도 송신부 및 자기 공진 송신부의 구성 예를 나타낸다.
도 16은 일 실시예에 따른 도 11의 1차 코일 어레이를 제어 방법을 설명하기 위한 도면이다.
도 17은 무선 전력 전송 장치의 전력 전송(Power Transfer) 제어 알고리즘을 설명하기 위한 도면이다.
도 18은 일 실시예에 따른 무선 전력 전송 장치의 구성을 나타낸다.
도 19는 일 실시예에 따른 무선전력 전송 장치의 충전 상태 판단 방법을 나타낸다.
도 20 내지 도 24는 충전 상태 판단을 위한 여러 가지 경우를 설명하기 위한 예시도이다.1 is a diagram for explaining an overall concept of a wireless power transmission system.
2 is a block diagram of a wireless power transmitter and a wireless power receiver in accordance with an embodiment of the present invention.
3 is a detailed block diagram of a wireless power transmitter and a wireless power receiver in accordance with an embodiment of the present invention.
4 is a flowchart illustrating operations of a wireless power transmitter and a wireless power receiver according to an embodiment of the present invention.
5 is a flow diagram illustrating the operation of a wireless power transmitter and a wireless power receiver in accordance with another embodiment of the present invention.
FIG. 6 is a time-axis graph of the amount of power applied by the wireless power transmitter according to the embodiment of FIG.
7 is a block diagram of a wireless power transmitter and a wireless power receiver in accordance with another embodiment of the present invention.
8 is a view showing an example of constituting two primary coils.
9 is a view showing an example of constituting three primary coils.
10 is a detailed block diagram of a power transmitter for a wireless power transmitter according to the embodiment of FIG.
11 is a diagram showing an example of configuring a primary coil array for a power transmission unit.
12 is a flowchart for explaining the control operation of the wireless power transmitter.
13 is a diagram for explaining a configuration of a power transmission unit according to an embodiment.
14 is a diagram showing an example of the connection relationship between the output terminal of the inverter included in the power conversion section of FIG. 13, the magnetic induction transmission section, and the self-resonance transmission section.
Fig. 15 shows a configuration example of the self-inductive transmission unit and the self-resonant transmission unit shown in Fig.
16 is a view for explaining a method of controlling the primary coil array of FIG. 11 according to an embodiment.
17 is a diagram for explaining a power transfer control algorithm of the wireless power transmission apparatus.
18 shows a configuration of a wireless power transmission apparatus according to an embodiment.
FIG. 19 shows a method of determining the state of charge of a wireless power transmission apparatus according to an embodiment.
20 to 24 are illustrations for explaining various cases for determining the state of charge.
이하, 본 발명의 실시예를 첨부된 도면을 참조하여 상세하게 설명한다.
DETAILED DESCRIPTION OF THE PREFERRED EMBODIMENTS Hereinafter, embodiments of the present invention will be described in detail with reference to the accompanying drawings.
도 1은 무선 전력 전송 시스템의 전반적인 개념을 설명하기 위한 도면이다.1 is a diagram for explaining an overall concept of a wireless power transmission system.
도 1을 참조하면, 무선 충전 시스템은 무선 전력 송신기(100) 및 적어도 하나의 무선 전력 수신기(110-1, 110-2, 110-n)에 무선으로 각각 전력(1-1, 1-2, 1-n)을 송신할 수 있다. 더욱 상세하게는, 무선 전력 송신기(100)는 소정의 인증절차를 수행한 인증된 무선 전력 수신기에 대하여서만 무선으로 전력(1-1, 1-2, 1-n)을 송신할 수 있다.1, a wireless charging system includes a
무선 전력 송신기(100)는 무선 전력 수신기(110-1, 110-2, 110-n)와 전기적 연결을 형성할 수 있다. 예를 들어, 무선 전력 송신기(100)는 무선 전력 수신기(110-1, 110-2, 110-n)로 전자기파 형태의 무선 전력을 송신할 수 있다.The
또한, 무선 전력 송신기(100)는 무선 전력 수신기(110-1, 110-2, 110-n)와 양방향 통신을 수행할 수 있다. 이 때, 무선 전력 송신기(100) 및 무선 전력 수신기(110-1, 110-2, 110-n)는 소정의 프레임으로 구성된 패킷(2-1, 2-2, 2-n)을 처리하거나 송수신할 수 있다. 상술한 프레임에 대하여서는 더욱 상세하게 후술하도록 한다. 무선 전력 수신기는 특히, 이동통신단말기, PDA, PMP, 스마트폰 등으로 구현될 수 있다.Also, the
또한, 무선 전력 송신기(100)는 복수 개의 무선 전력 수신기(110-1, 110-2, 110-n)로 무선으로 전력을 제공할 수 있다. 예를 들어, 무선 전력 송신기(100)는 공진 방식을 통하여 복수 개의 무선 전력 수신기(110-1, 110-2, 110-n)에 전력을 전송할 수 있다. 무선 전력 송신기(100)가 공진 방식을 채택한 경우, 무선 전력 송신기(100)와 복수 개의 무선 전력 수신기(110-1,110-2,1110-n) 사이의 거리는 바람직하게는 30m 이하일 수 있다. 또한 무선 전력 송신기(100)가 전자기 유도 방식을 채택한 경우, 무선 전력 송신기(100)와 복수 개의 무선 전력 수신기(110-1, 110-2, 110-n) 사이의 거리는 바람직하게는 10cm 이하일 수 있다.In addition, the
또한, 무선 전력 송신기(100)는 디스플레이와 같은 표시수단을 포함할 수 있으며, 무선 전력 수신기(110-1, 110-2, 110-n) 각각으로부터 수신한 메시지에 기초하여 무선 전력 수신기(110-1,110-2,110-n) 각각의 상태를 표시할 수 있다. 아울러, 무선 전력 송신기(100)는 각각의 무선 전력 수신기(110-1,110-2,110-n)가 충전이 완료되기까지 예상되는 시간을 함께 표시할 수도 있다.The
또한, 무선 전력 송신기(100)는 무선 전력 수신기(110-1, 110-2, 110-n) 각각에 무선 충전 기능을 디스에이블(disabled)하도록 하는 제어 신호를 송신할 수도 있다. 무선 전력 송신기(100)로부터 무선 충전 기능의 디스에이블 제어 신호를 수신한 무선 전력 수신기는 무선 충전 기능을 디스에이블할 수 있다.In addition, the
무선 전력 수신기(110-1, 110-2, 110-n)는 무선 전력 송신기(100)로부터 무선 전력을 수신하여 내부에 구비된 배터리의 충전을 수행할 수 있다. 또한, 무선 전력 수신기(110-1,110-2,110-n)는 무선 전력 전송을 요청하는 신호, 무선 전력 수신에 필요한 정보, 무선 전력 수신기 상태 정보 또는 무선 전력 송신기(100) 제어 정보 등을 무선 전력 송신기(100)에 송신할 수 있다. 상기의 송신 신호의 정보에 관하여서는 더욱 상세하게 후술하도록 한다.The wireless power receivers 110-1, 110-2, and 110-n may receive wireless power from the
또한, 무선 전력 수신기(110-1, 110-2, 110-n)는 각각의 충전상태를 나타내는 메시지를 무선 전력 송신기(100)로 송신할 수 있다.
In addition, the wireless power receivers 110-1, 110-2, and 110-n may send a message to the
도 2는 본 발명의 실시예에 따른 무선 전력 송신기 및 무선 전력 수신기의 블록도이다.2 is a block diagram of a wireless power transmitter and a wireless power receiver in accordance with an embodiment of the present invention.
도 2를 참조하면, 무선 전력 송신기(200)는 전력 송신부(211), 제어부(212) 및 통신부(213)를 포함할 수 있다. 또한, 무선 전력 수신기(250)는 전력 수신부(251), 제어부(252) 및 통신부(253)를 포함할 수 있다.Referring to FIG. 2, the
전력 송신부(211)는 무선 전력 송신기(200)가 요구하는 전력을 제공할 수 있으며, 무선으로 무선 전력 수신기(250)에 전력을 제공할 수 있다. 여기서, 전력 송신부(211)는 교류 파형의 형태로 전력을 공급할 수 있고, 직류 파형의 형태로 전력을 공급하면서 이를 인버터를 이용하여 교류 파형으로 변환하여 교류 파형의 형태로 공급할 수도 있다. 전력 송신부(211)는 내장된 배터리의 형태로 구현될 수도 있으며, 또는 전력 수신 인터페이스의 형태로 구현되어 외부로부터 전력을 수신하여 다른 구성 요소에 공급하는 형태로도 구현될 수 있다. 전력 송신부(211)는 일정한 교류 파형의 전력을 제공할 수 있는 수단이라면 제한이 없다는 것은 당업자가 용이하게 이해할 것이다.The
아울러, 전력 송신부(211)는 교류 파형을 전자기파 형태로 무선 전력 수신기(250)로 제공할 수 있다. 전력 송신부(211)는 추가적으로 루프 코일을 더 포함할 수 있으며, 이에 따라 소정의 전자기파를 송신 또는 수신할 수 있다. 전력 송신부(211)가 루프 코일로 구현되는 경우, 루프 코일의 인덕턴스(L)는 변경 가능할 수도 있다. 한편, 전력 송신부(211)는 전자기파를 송수신할 수 있는 수단이라면 제한이 없는 것은 당업자는 용이하게 이해할 것이다.In addition, the
제어부(212)는 무선 전력 송신기(200)의 동작 전반을 제어할 수 있다. 제어부(212)는 저장부(미도시)로부터 독출한 제어에 요구되는 알고리즘, 프로그램 또는 어플리케이션을 이용하여 무선 전력 송신기(200)의 동작 전반을 제어할 수 있다. 제어부(212)는 CPU, 마이크로프로세서, 미니 컴퓨터와 같은 형태로 구현될 수 있다. 제어부(212)의 세부 동작과 관련하여서는 더욱 상세하게 후술하도록 한다.The
통신부(213)는 무선 전력 수신기(250)와 소정의 방식으로 통신을 수행할 수 있다. 통신부(213)는 무선 전력 수신기(250)의 통신부(253)와 NFC(Near Field Communication), Zigbee 통신, 적외선 통신, 가시광선 통신 등을 이용하여 통신을 수행할 수 있다. 본 발명의 일 실시 예에 의한 통신부(213)는 IEEE802.15.4 방식의 Zigbee 통신 방식을 이용하여 통신을 수행할 수 있다. 아울러, 통신부(213)는 CSMA/CA(Carrier Sense Multiple Access with Collision Avoidance) 알고리즘을 이용할 수 있다. 통신부(213)가 이용하는 주파수 및 채널 선택에 관한 구성은 더욱 상세하게 후술하도록 한다. 한편, 상술한 통신 방식은 단순히 예시적인 것이며, 본원 발명은 통신부(213)에서 수행하는 특정 통신 방식에 의하여 그 권리범위가 한정되지 않는다.The
한편, 통신부(213)는 무선 전력 송신기(200)의 정보에 대한 신호를 송신할 수 있다. 여기에서, 통신부(213)는 신호를 유니캐스트(unicast), 멀티캐스트(multicast) 또는 브로드캐스트(broadcast)할 수 있다.On the other hand, the
통신부(213)는 무선 전력 수신기(250)로부터 전력 정보를 수신할 수 있다. 여기서 전력 정보는 무선 전력 수신기(250)의 용량, 배터리 잔량, 충전 횟수, 사용량, 배터리 용량 및 배터리 비율 중 적어도 하나를 포함할 수 있다. 또한 통신부(213)는 무선 전력 수신기(250)의 충전 기능을 제어하는 충전 기능 제어 신호를 송신할 수 있다. 충전 기능 제어 신호는 특정 무선 전력 수신기(250)의 무선 전력 수신부(251)를 제어하여 충전 기능을 인에이블(enabled) 또는 디스에이블(disabled)하게 하는 제어 신호일 수 있다.The
또한, 통신부(213)는 무선 전력 수신기(250)뿐만 아니라, 다른 무선 전력 송신기(미도시)로부터의 신호를 수신할 수 있다. 예를 들어, 통신부(213)는 다른 무선 전력 송신기로부터 프레임의 노티스(Notice) 신호를 수신할 수 있다.In addition, the
한편, 도 2에서는 전력 송신부(211) 및 통신부(213)가 상이한 하드웨어로 구성되어 무선 전력 송신기(200)가 아웃-밴드(out-band) 형식으로 통신되는 것과 같이 도시되었지만, 이는 예시적인 것이다. 본 발명은 전력 송신부(211) 및 통신부(213)가 하나의 하드웨어로 구현되어 무선 전력 송신기(200)가 인-밴드(in-band) 형식으로 통신을 수행할 수 있다.2, although the
무선 전력 송신기(200) 및 무선 전력 수신기(250)는 각종 신호를 송수신할 수 있고, 이에 따라 무선 전력 송신기(200)가 관제하는 무선 전력 네트워크로의 무선 전력 수신기(250)의 가입과 무선 전력 송수신을 통한 충전 과정이 수행될 수 있으며, 상술한 과정은 더욱 상세하게 후술하도록 한다.The
또한, 도 2에서는 무선 전력 송신기(200) 및 무선 전력 수신기(250)의 구성을 간략하게 예시하고 있으나, 도 3에서는 무선 전력 송신기(200) 및 무선 전력 수신기(250)의 상세 구성을 예시하고 있으며, 그 구체적인 설명은 후술하기로 한다.
Although FIG. 2 briefly illustrates the configurations of the
도 3은 본 발명의 실시예에 따른 무선 전력 송신기 및 무선 전력 수신기의 상세 블록도이다.3 is a detailed block diagram of a wireless power transmitter and a wireless power receiver in accordance with an embodiment of the present invention.
도 3을 참조하면, 무선 전력 송신기(200)는 전력 송신부(211), 제어부 및 통신부(212,213), 구동부(214), 증폭부(215) 및 매칭부(216)를 포함할 수 있다. 무선 전력 수신기(250)는 전력 수신부(251), 제어부 및 통신부(252,253), 정류부(254), DC/DC 컨버터부(255), 스위치부(256) 및 로드부(257)를 포함할 수 있다.3, the
구동부(214)는 기설정된 전압 값을 가지는 직류 전력을 출력할 수 있다. 구동부(214)에서 출력되는 직류 전력의 전압 값은 제어부 및 통신부(212,213)에 의하여 제어될 수 있다.The driving
구동부(214)로부터 출력되는 직류 전류는 증폭부(215)로 출력될 수 있다. 증폭부(215)는 기설정된 이득으로 직류 전류를 증폭할 수 있다. 아울러, 제어부 및 통신부(212,213)로부터 입력되는 신호에 기초하여 직류 전력을 교류로 변환할 수 있다. 이에 따라, 증폭부(215)는 교류 전력을 출력할 수 있다.The direct current output from the driving
매칭부(216)는 임피던스 매칭(Impedance Matching)을 수행할 수 있다. 예를 들어, 매칭부(216)로부터 바라본 임피던스를 조정하여, 출력 전력이 고효율 또는 고출력이 되도록 제어할 수 있다. 매칭부(216)는 제어부 및 통신부(212,213)의 제어에 기초하여 임피던스를 조정할 수 있다. 매칭부(216)는 코일(Coil) 및 커패시터(Capacitor) 중 적어도 하나를 포함할 수 있다. 제어부 및 통신부(212,213)는 코일 및 커패시터 중 적어도 하나와의 연결 상태를 제어할 수 있고, 이에 따라 임피던스 매칭을 수행할 수 있다.The
전력 송신부(211)는 입력된 교류 전력을 전력 수신부(251)로 송신할 수 있다. 전력 송신부(211) 및 전력 수신부(251)는 동일한 공진 주파수를 가지는 공진 회로로 구현될 수 있다. 예를 들어, 공진 주파수는 6.78MHz로 결정될 수 있다. 제어부 및 통신부(212,213)는 무선 전력 수신기(250) 측의 제어부 및 통신부(252,253)와 통신을 수행할 수 있다.The
한편, 전력 수신부(251)는 전력 송신부(211)으로부터 충전 전력을 수신할 수 있다.On the other hand, the
정류부(254)는 전력 수신부(251)에 수신되는 무선 전력을 직류 형태로 정류할 수 있고, 예를 들어, 브리지 다이오드(Bridge Diode)의 형태로 구현될 수 있다. DC/DC 컨버터부(255)는 정류된 전력을 기설정된 이득으로 컨버팅할 수 있다. 예를 들어, DC/DC 컨버터부(255)는 출력단(259)의 전압이 5V가 되도록 정류된 전력을 컨버팅할 수 있다. 한편, DC/DC 컨버터부(255)의 전단(258)에는 인가될 수 있는 전압의 최소값 및 최대값이 기 설정될 수 있다.The rectifying
스위치부(256)는 DC/DC 컨버터부(255) 및 로드부(257)를 연결할 수 있다. 스위치부(256)는 제어부(252)의 제어에 따라 온(on)/오프(off) 상태를 유지할 수 있다. 로드부(257)는 스위치부(256)가 온 상태인 경우에 DC/DC 컨버터부(255)로부터 입력되는 컨버팅된 전력을 저장할 수 있다.
The
도 4는 본 발명의 실시예에 따른 무선 전력 송신기 및 무선 전력 수신기의 동작을 설명하기 위한 흐름도이다.4 is a flowchart illustrating operations of a wireless power transmitter and a wireless power receiver according to an embodiment of the present invention.
도 4를 참조하면, 무선 전력 송신기(400)는 전원을 인가할 수 있다(S401). 전원이 인가되면, 무선 전력 송신기(400)는 환경을 설정(configuration)할 수 있다(S402).Referring to FIG. 4, the
무선 전력 송신기(400)는 전력 절약 모드(Power Save Mode)에 진입할 수 있다(S403). 전력 절약 모드에서, 무선 전력 송신기(400)는 이종의 검출용 전력 비콘(Power Beacon)(404,405) 각각을 각각의 주기로 인가할 수 있다. 예를 들어, 도 4에 도시된 바와 같이, 무선 전력 송신기(400)는 검출용 전력 비콘를 인가할 수 있고, 검출용 전력 비콘들(404,405) 각각의 전력 값의 크기는 상이할 수 있다. 검출용 전력 비콘들(404,405) 중 일부 또는 전부는 무선 전력 수신기(450)의 통신부를 구동할 수 있는 전력량과 인가 시간을 가질 수 있다. 예를 들어, 무선 전력 수신기(450)는 검출용 전력 비콘들(404,405) 중 일부 또는 전부에 의하여 통신부를 구동시켜 무선 전력 송신기(400)와 통신을 수행할 수 있다. 상기 상태를 널(Null) 상태로 명명할 수 있다.The
무선 전력 송신기(400)는 무선 전력 수신기(450)의 배치에 의한 로드 변경을 검출할 수 있다. 무선 전력 송신기(400)는 저전력 모드(S409)로 진입할 수 있다. 저전력 모드는 무선 전력 송신기가 검출 전력을 주기 또는 비주기적으로 인가하는 모드일 수 있다. 한편, 무선 전력 수신기(450)는 무선 전력 송신기(400)로부터 수신된 전력에 기초하여 통신부를 구동시킬 수 있다(S409).The
무선 전력 수신기(450)는 무선 전력 송신기(400)로 PTU(Power Transmitter Unit) 검색(Searching) 신호를 송신할 수 있다(S410). 무선 전력 수신기(450)는 BLE 기반의 애드버타이즈먼트(Advertisement) 신호로서, PTU 검색 신호를 송신할 수 있다. 무선 전력 수신기(450)는 PTU 검색 신호를 주기적 또는 비주기적으로 송신할 수 있고, 무선 전력 송신기(400)로부터 PRU(Power Receiver Unit) 응답(Response) 신호를 수신하거나, 또는 기 설정된 시간이 도래할 때까지 송신할 수 있다.The
무선 전력 수신기(450)로부터 PTU 검색 신호가 수신되면, 무선 전력 송신기(400)는 PRU 응답 신호를 송신할 수 있다(S411). 여기에서 PRU 응답 신호는 무선 전력 송신기(400) 및 무선 전력 수신기(450) 사이의 연결(connection)을 형성(establishment)할 수 있다.When the PTU search signal is received from the
무선 전력 수신기(450)는 PRU 스테틱(static) 신호를 송신할 수 있다(S412). 여기서, PRU 스테틱 신호는 무선 전력 수신기(450)의 상태를 지시하는 신호일 수 있으며, 무선 전력 송신기(400)가 관제하는 무선 전력 네트워크에 가입을 요청할 수 있다.The
무선 전력 송신기(400)는 PTU 스테틱(static) 신호를 송신할 수 있다(S413). 무선 전력 송신기(400)가 송신하는 PTU 스테틱 신호는 무선 전력 송신기(400)의 캐퍼빌리티(capability)를 지시하는 신호일 수 있다.The
무선 전력 송신기(400) 및 무선 전력 수신기(450)가 PRU 스테틱 신호 및 PTU 스테틱 신호를 송수신하면, 무선 전력 수신기(450)는 PRU 다이내믹(Dynamic) 신호를 주기적으로 송신할 수 있다(S414, S415).When the
PRU 다이내믹 신호는 무선 전력 수신기(450)에서 측정된 적어도 하나의 파라미터 정보를 포함할 수 있다. 예를 들어, PRU 다이내믹 신호는 무선 전력 수신기(450)의 정류부 후단의 전압 정보를 포함할 수 있다. 무선 전력 수신기(450)의 상태를 부트(Boot) 상태라고 명명할 수 있다.The PRU dynamic signal may include at least one parameter information measured at the
무선 전력 송신기(400)는 전력 송신 모드로 진입하고(S416), 무선 전력 송신기(400)는 무선 전력 수신기(450)가 충전을 수행하도록 하는 명령 신호인 PRU 명령(command) 신호를 송신할 수 있다(S417). 전력 송신 모드에서, 무선 전력 송신기(400)는 충전 전력을 송신할 수 있다.The
무선 전력 송신기(400)가 송신하는 PRU 명령 신호는 무선 전력 수신기(450)의 충전을 인에이블/디스에이블하는 정보 및 승인(permission) 정보를 포함할 수 있다. PRU 명령 신호는 무선 전력 송신기(400)가 무선 전력 수신기(450)의 상태를 변경하도록 하는 경우에 송신하거나 또는 기 설정된 주기(예를 들어, 250ms의 주기)로 송신될 수도 있다. 무선 전력 수신기(400)는 PRU 명령 신호에 따라서 설정을 변경하고, 무선 전력 수신기(450)의 상태를 보고하기 위한 PRU 다이내믹 신호를 송신할 수 있다(S418, S419). 무선 전력 수신기(450)가 송신하는 PRU 다이내믹 신호는 전압, 전류, 무선 전력 수신기 상태 및 온도 정보 중 적어도 하나를 포함할 수 있다. 무선 전력 수신기(450)의 상태를 On 상태로 명명할 수 있다.The PRU command signal transmitted by the
무선 전력 수신기(450)는 PRU 명령 신호를 수신하여 충전을 수행할 수 있다.예를 들어, 무선 전력 송신기(400)는 무선 전력 수신기(450)를 충전하기에 충분한 전력을 가지는 경우 충전을 인에이블하도록 하는 PRU 명령 신호를 송신할 수 있다. 한편, PRU 명령 신호는 충전 상태가 변경될 때마다 송신될 수 있다. PRU 명령 신호는 예를 들어, 250ms 마다 송신될 수 있거나, 파라미터 변경이 있을 때 송신될 수 있다. PRU 명령 신호는 파라미터가 변경되지 않더라도 기 설정된 임계 시간(예를 들어, 1초 이내)에는 송신되어야 하도록 설정될 수도 있다.For example, the
한편, 무선 전력 수신기(450)는 에러 발생을 감지할 수 있다. 무선 전력 수신기(450)는 경고 신호를 무선 전력 송신기(400)로 송신할 수 있다(S420). 경고 신호는 PRU 다이내믹 신호로 송신되거나 또는 PRU 경고 신호로 송신할 수 있다. 예를 들어, 무선 전력 수신기(450)는 표 4의 PRU 경고 정보 필드에 에러 상황을 반영하여 무선 전력 송신기(400)로 송신할 수 있다. 또는, 무선 전력 수신기(450)는 에러 상황을 지시하는 단독 경고 신호를 무선 전력 송신기(400)로 송신할 수도 있다. 무선 전력 송신기(400)는 PRU 경고 신호를 수신하면, 래치(Latch) 실패 모드로 진입할 수 있다(S422). 무선 전력 수신기(450)는 널(Null) 상태로 진입할 수 있다(S423).
Meanwhile, the
도 5는 본 발명의 다른 실시예에 따른 무선 전력 송신기 및 무선 전력 수신기의 동작을 설명하는 흐름도이다.5 is a flow diagram illustrating the operation of a wireless power transmitter and a wireless power receiver in accordance with another embodiment of the present invention.
도 5의 제어 방법은 도 6을 참조하여 더욱 상세하게 설명하도록 한다. 도 6은 도 5의 실시예에 따른 무선 전력 송신기가 인가하는 전력량의 시간 축에 대한 그래프이다.The control method of FIG. 5 will be described in more detail with reference to FIG. FIG. 6 is a time-axis graph of the amount of power applied by the wireless power transmitter according to the embodiment of FIG.
도 5를 참조하면, 무선 전력 송신기는 구동을 개시할 수 있다(S501). 아울러, 무선 전력 송신기는 초기설정을 리셋할 수 있다(S503). 무선 전력 송신기는 전력 절약 모드에 진입할 수 있다(S505). 여기서, 전력 절약 모드는 무선 전력 송신기가 전력 송신부에 전력량이 상이한 이종의 전력을 인가하는 구간일 수 있다. 예를 들어, 무선 전력 송신기는 도 6에서의 제 2 검출 전력(601, 602) 및 제 3 검출 전력(611, 612,613, 614, 615)을 전력 송신부에 인가하는 구간일 수 있다. 여기서, 무선 전력 송신기는 제 2 검출 전력(601, 602)을 제 2 주기로 주기적으로 인가할 수 있고, 제 2 검출 전력(601, 602)을 인가하는 경우에는 제 2 기간 동안 인가할 수 있다.Referring to FIG. 5, the wireless power transmitter can start driving (S501). In addition, the wireless power transmitter may reset the initial setting (S503). The wireless power transmitter may enter a power saving mode (S505). Here, the power saving mode may be a period in which the wireless power transmitter applies different types of power having different amounts of power to the power transmission unit. For example, the wireless power transmitter may be a section that applies the second detected
무선 전력 송신기는 제 3 검출 전력(611, 612, 613, 614, 615)을 제 3 주기로 주기적으로 인가할 수 있고, 제 3 검출 전력(611, 612, 613, 614, 615)을 인가하는 경우에는 제 3 기간 동안 인가할 수 있다. 한편, 제 3 검출 전력(611, 612, 613, 614, 615)의 각각의 전력 값은 상이한 것과 같이 도시되어 있지만, 제 3 검출 전력(611, 612,613, 614, 615)의 각각의 전력 값은 상이할 수도 있고, 또는 동일할 수도 있다.The wireless power transmitter can periodically apply the third detected
무선 전력 송신기는 제 3 검출 전력(611)을 출력한 이후에 동일한 크기의 전력량을 가지는 제 3 검출 전력(612)을 출력할 수 있다. 상기와 같이 무선 전력 송신기가 동일한 크기의 제 3 검출 전력을 출력하는 경우, 제 3검출 전력의 전력량은 가장 소형의 무선 전력 수신기, 예를 들어 카테고리 1의 무선 전력 수신기를 검출할 수 있는 전력량을 가질 수 있다.The wireless power transmitter can output the third detected
무선 전력 송신기는 제 3 검출 전력(611)을 출력한 이후에 상한 크기의 전력량을 가지는 제 3 검출 전력(612)을 출력할 수 있다. 무선 전력 송신기가 상이한 크기의 제 3 검출 전력을 출력하는 경우, 제 3 검출 전력의 전력량 각각은 카테고리 1 내지 5의 무선 전력 수신기를 검출할 수 있는 전력량일 수 있다. 예를 들어, 제 3 검출 전력(611)는 카테고리 5의 무선 전력 수신기를 검출할 수 있는 전력량을 가질 수 있고, 제 3 검출 전력(612)는 카테고리 3의 무선 전력 수신기를 검출할 수 있는 전력량을 가질 수 있으며, 제 3 검출 전력(613)는 카테고리 1의 무선 전력 수신기를 검출할 수 있는 전력량을 가질 수 있다.The wireless power transmitter can output the
한편, 제 2 검출 전력(601, 602)은 무선 전력 수신기를 구동시킬 수 있는 전력일 수 있다. 보다 상세하게는, 제2 검출 전력(601, 602)은 무선 전력 수신기의 제어부 및 통신부를 구동시킬 수 있는 전력량을 가질 수 있다.On the other hand, the second detected
무선 전력 송신기는 제 2 검출 전력(601, 602) 및 제 3 검출 전력(611, 612,613, 614, 615)을 전력 수신부로 각각 제 2 주기 및 제 3 주기로 인가할 수 있다. 무선 전력 송신기 상에 무선 전력 수신기가 배치되는 경우, 무선 전력 송신기의 일 지점에서 바라보는 임피던스가 변경될 수 있다. 무선 전력 송신기는 제 2 검출 전력(601, 602) 및 제 3 검출 전력(611,612,613,614,615)이 인가되는 중 임피던스 변경을 검출할 수 있다. 예를 들어, 무선 전력 송신기는 제 3 검출 전력(615)을 인가하는 중, 임피던스가 변경되는 것을 검출할 수 있다. 이에 따라, 무선 전력 송신기는 물체를 검출할 수 있다(S507). 물체가 검출되지 않는 경우에는(S507-N), 무선 전력 송신기는 이종의 전력을 주기적으로 인가하는 전력 절약 모드를 유지할 수 있다(S505).The wireless power transmitter may apply the second detected
한편, 임피던스가 변경되어 물체가 검출되는 경우에는(S507-Y), 무선 전력 송신기는 저전력 모드로 진입할 수 있다. 여기서, 저전력 모드는 무선 전력 송신기가 무선 전력 수신기의 제어부 및 통신부를 구동시킬 수 있는 전력량을 가진 구동 전력을 인가하는 모드이다. 예를 들어, 도 6에 도시된 바와 같이, 무선 전력 송신기는 구동 전력(620)을 전력 송신부에 인가할 수 있다. 무선 전력 수신기는 구동 전력(620)을 수신하여 제어부 및 통신부를 구동할 수 있다. 무선 전력 수신기는 구동 전력(620)에 기초하여 무선 전력 송신기와 소정의 방식에 기초하여 통신을 수행할 수 있다. 예를 들어, 무선 전력 수신기는 인증에 요구되는 데이터를 송수신할 수 있고, 이에 기초하여 무선 전력 송신기가 관장하는 무선 전력 네트워크에 가입할 수 있다. 다만, 무선 전력 수신기가 아닌 이물질이 배치되는 경우에는, 데이터 송수신이 수행될 수 없다. 이에 따라, 무선 전력 송신기는 배치된 물체가 이물질인지 여부를 결정할 수 있다(S511). 예를 들어, 무선 전력 송신기는 기 설정된 시간 동안 물체로부터 응답을 수신하지 못한 경우, 물체를 이물질로 결정할 수 있다.On the other hand, if the impedance is changed and an object is detected (S507-Y), the wireless power transmitter can enter the low power mode. Here, the low power mode is a mode in which the wireless power transmitter applies driving power having an amount of power capable of driving the control unit and the communication unit of the wireless power receiver. For example, as shown in FIG. 6, the wireless power transmitter may apply the driving
이물질로 결정된 경우에는(S511-Y), 무선 전력 송신기는 랫치 실패 모드로 진입할 수 있다. 예를 들면, 무선 전력 송신기는 도 6에서의 제 1 전력(631 내지 634)을 제 1 주기로 주기적으로 인가할 수 있다. 무선 전력 송신기는 제 1 전력을 인가하는 중에 임피던스 변경을 검출할 수 있다. 예를 들어, 이물질이 회수되는 경우에는 임피던스 변경을 검출할 수 있으며, 무선 전력 송신기는 이물질이 회수된 것으로 판단할 수 있다. 또는, 이물질이 회수되지 않는 경우에는 무선 전력 송신기는 임피던스 변경을 검출할 수 없고, 무선 전력 송신기는 이물질이 회수되지 않은 것으로 판단할 수 있다. 이물질이 회수되지 않는 경우에는, 무선 전력 송신기는 램프 및 경고음 중 적어도 하나를 출력하여 현재의 무선 전력 송신기의 상태가 에러 상태임을 사용자에게 알릴 수 있다. 이에 따라, 무선 전력 송신기는 램프 및 경고음 중 적어도 하나를 출력하는 출력부를 포함할 수 있다.If determined to be foreign (S511-Y), the wireless power transmitter may enter the latch failure mode. For example, the wireless power transmitter may periodically apply the first power (631 to 634) in Fig. 6 in a first period. The wireless power transmitter may detect an impedance change while applying the first power. For example, if a foreign object is recovered, an impedance change can be detected and the wireless power transmitter can determine that the foreign object has been recovered. Alternatively, if the foreign object is not recovered, the wireless power transmitter can not detect the impedance change, and the wireless power transmitter can determine that the foreign matter has not been recovered. If the foreign object is not recovered, the wireless power transmitter may output at least one of a lamp and an alarm to inform the user that the status of the current wireless power transmitter is an error condition. Accordingly, the wireless power transmitter may include an output for outputting at least one of a lamp and an alarm sound.
이물질이 회수되지 않은 것으로 판단되는 경우(S515-N), 무선 전력 송신기는 랫치 실패 모드를 유지할 수 있다(S513). 한편, 이물질이 회수된 것으로 판단되는 경우(S515-Y), 무선 전력 송신기는 전력 절약 모드로 재진입할 수 있다(S517). 예를 들어, 무선 전력 송신기는 제 2 전력(651,652) 및 제 3 전력(661 내지 665)을 인가할 수 있다.If it is determined that the foreign substance is not recovered (S515-N), the wireless power transmitter can maintain the latch failure mode (S513). On the other hand, if it is determined that the foreign substance is recovered (S515-Y), the wireless power transmitter can re-enter the power saving mode (S517). For example, the wireless power transmitter may apply the second power (651, 652) and the third power (661-665).
한편, 도 5 및 6과 관련한 경우, 무선 전력 수신기의 배치에 기인한 임피던스 변경이 크지 않은 경우에는 무선 전력 수신기 검출이 어려울 수 있다.
5 and 6, detection of the wireless power receiver may be difficult if the impedance change due to the placement of the wireless power receiver is not large.
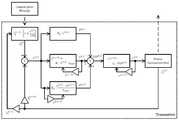
도 7은 본 발명의 다른 실시예에 따른 무선 전력 송신기 및 무선 전력 수신기의 블록도이다.7 is a block diagram of a wireless power transmitter and a wireless power receiver in accordance with another embodiment of the present invention.
도 7을 참조하면, 무선 전력 송신기(700)는 시스템 제어부(710) 및 적어도 하나의 전력 송신부(720, 730)를 포함할 수 있고, 전력 송신부(720, 730)는 파워 변환부(721, 731)와 통신 및 제어부(723, 733)를 포함할 수 있다. 또한, 무선 전력 수신기(750)는 전력 수신부(751) 및 로드부(755)를 포함할 수 있고, 전력 수신부(751)는 파워 픽업부(752)와 통신 및 제어부(753)를 포함할 수 있다.7, the
파워 변환부(721, 731)는 전기적 전력을 무선 전력으로 변환하고, 적어도 하나의 무선 전력 수신기(750)의 수신부(752)에 포함된 파워 픽업부(752)로 무선 전력을 전송할 수 있다. 파워 변환부(721, 731)는 무선 전력을 송신하는 자기 유도 방식의 1차 코일(Primary coil)이 포함될 수 있다.The
파워 픽업부(752)는 무선 전력을 파워 변환부(721, 731)로부터 무선 전력을 수신하고, 수신된 무선 전력을 전기적 전력으로 변환할 수 있으며, 무선 전력을 수신하는 자기 유도 방식의 2차 코일(Secondary Coil)이 포함될 수 있다. 예를 들어, 파워 변환부(721, 731) 및 파워 픽업부(752)는 1차 코일과 2차 코일을 수평적 정렬 상태 및 수직적 정렬 중 적어도 하나의 상태로 유지하여 무선 전력을 송수신할 수 있다. 1차 코일은 권선(Wire-wound) 유형의 코일일 수 있고, 적어도 하나의 코일로 이루어진 코일 어레이일 수 있으며, 2차 코일과 함께 코어리스(Coreless) 공진 변압기 부분을 형성할 수 있다.The
한편, 무선 전력 송신기(700)는 는 무선 전력을 전송하기 위하여 평평한 표면(Flat Surface) 형태의 인터페이스 표면(Interface Surface)(미도시)을 더 포함할 수 있다. 인터페이스 표면의 상부에는 적어도 하나의 무선 전력 수신기(750)가 놓일 수 있고, 인터페이스 표면의 하부에는 1차 코일이 구비될 수 있다. 이 때, 인터페이스 표면의 하부에 장착되는 1차 코일과 인터페이스 표면의 상부에 위치한 무선 전력 수신기(750)의 2차 코일 사이에 수직 공간(Vertical Spacing)이 작게 형성하여 1차 코일과 2차 코일 간의 유도 결합이 이루어질 수 있다. 이하, 1차 코일에 대하여 상세히 설명하기로 한다.
Meanwhile, the
도 8은 2개의 1차 코일을 구성하는 예를 도시한 도면이고, 도 9는 3개의 1차 코일을 구성하는 예를 도시한 도면이다.Fig. 8 is a view showing an example of constituting two primary coils, and Fig. 9 is a view showing an example of constituting three primary coils.
도 8을 참조하면, 2개의 1차 코일은 권선 유형의 코일일 수 있고, 권선 유형의 코일은 115가닥과 0.08mm 직경으로 이루어진 리츠 와이어(Litz Wire)로 구성될 수 있다. 또한, 2개의 1차 코일은 레이스트렉(Racetrack-like) 형상일 수 있고, 단일 층으로 구성될 수 있다. 또한, 2개의 1차 코일의 파라미터는 do 및 dh를 포함할 수 있고, do는 1차 코일의 외경이고, dh는 2개의 1차 코일의 센터간의 거리일 수 있다.Referring to Fig. 8, the two primary coils may be coils of the winding type, and the coils of the winding type may be composed of Litz Wire consisting of 115 strands and 0.08 mm diameter. In addition, the two primary coils can be of the Racetrack-like shape and can be composed of a single layer. Also, the parameters of the two primary coils may include do and dh , do is the outer diameter of the primary coil, and dh may be the distance between the centers of the two primary coils.
도 9를 참조하면, 3개의 1차 코일은 105가닥과 0.08mm 직경으로 이루어진 리츠 와이어로 구성될 수 있다. 또한, 3개의 1차 코일은 직사각형(Rectangular) 형상일 수 있고, 단일 층으로 구성될 수 있다. 또한, 3개의 1차 코일의 파라미터는 doe 및 doo를 포함할 수 있고, doe는 1번째 1차 코일의 센터와 2번째 1차 코일의 센터간의 거리이며, doo는 1번째 1차 코일의 센터와 3번째 1차 코일의 센터간의 거리일 수 있다.Referring to FIG. 9, the three primary coils may be composed of 105 strands and a Litz wire of 0.08 mm diameter. In addition, the three primary coils may be in a rectangular shape and may be composed of a single layer. The parameters of the three primary coils may include doe and doo , where doe is the distance between the center of the first primary coil and the center of the second primary coil, and doo is the first primary The distance between the center of the coil and the center of the third primary coil.
다시 도 7을 참조하면, 통신 및 제어부(723, 733)는 적어도 하나의 전력 수신부(752)와의 통신을 수행할 수 있다. 또한, 통신 및 제어부(723, 733)는 전력 수신부(752)로부터 필요한 무선 전력에 대한 요청 메시지를 수신할 수 있고, 이에 따라 통신 및 제어부(723, 733)는 전력 수신부(752)에게 요청한 무선 전력이 전송되도록 파워 변환부(721)를 제어할 수 있다.Referring again to FIG. 7, the communication and
파워 픽업부(752)는 파워 변환부(721)로부터 무선 전력을 수신할 수 있고, 로드부(755)는 수신된 무선 전력 로드하여 배터리를 충전할 수 있다. 통신 및 제어부(753)는 송신부(720, 730)와의 통신을 수행할 수 있고, 송신부로부터(720, 730) 무선 전력이 수신되도록 제어할 수 있다. 이하, 도 10을 참조하여, 전력 송신부(720, 730)의 상세한 구성을 설명하기로 한다.
The
도 10은 도 7의 실시예에 따른 무선 전력 송신기에 대한 전력 송신부의 상세 블록도이다.10 is a detailed block diagram of a power transmitter for a wireless power transmitter according to the embodiment of FIG.
도 10을 참조하면, 전력 송신부(720, 730)는 통신 및 제어부(721) 및 파워 변환부(723)가 포함될 수 있고, 파워 변환부(723)는 인버터(723a), 임피던스 매칭부(723b), 센싱부(723c), 멀티플렉서(723d) 및 1차 코일 어레이(723e)를 포함할 수 있다.10, the
파워 변환부(723)에서 인버터(723a)는 직류(DC, Digital Current) 입력을 교류(AC, Analog Current) 웨이브폼으로 변환할 수 있고, 임피던스 매칭부(723b)는 공진 회로와 1차 코일 어레이(723e) 간의 연결이 되도록 매칭할 수 있다. 또한, 센싱부는 공진 회로와 1차 코일 어레이(723e) 간의 전류와 전압을 감지하여 모니터링 할 수 있고, 멀티플렉서(723d)는 전력 수신기(751)의 위치에 따라 적절한 1차 코일을 연결/비연결할 수 있다.The
통신 및 제어부(721)는 전력 수신기(751)로부터 무선 전력에 대한 요청 메시지를 수신할 수 있고, 멀티플렉서(723d)를 통하여 적절한 1차 코일 어레이에 대한 연결을 제어할 수 있다. 또한, 통신 및 제어부(721)는 전력 제어 알고리즘 및 프로토콜을 실행하여 무선 전력량이 조절되도록 인버터(723a)를 제어하고, 무선 전력을 전력 수신기(751)로 전송되도록 1차 코일 어레이(723e)를 제어할 수 있다. 이하, 도 11을 참조하여 전력 송신부(720, 730)의 1차 코일 어레이(723e)를 설명하기로 한다.
The communication and
도 11은 전력 송신부에 대한 1차 코일 어레이를 구성하는 예를 도시한 도면이다.11 is a diagram showing an example of configuring a primary coil array for a power transmission unit.
도 11에서 (a)는 1차 코일 레이어의 상부 단층을 도시한 예이고, (b)는 1차 코일 어레이의 일 측면을 도시한 예이며, (c)는 1차 코일 어레이의 상부 단층을 도시한 예이다.Fig. 11 (a) is an example showing an upper single layer of the primary coil layer, Fig. 11 (b) is an example showing one side of the primary coil array, It is an example.
1차 코일은 원형 형상 및 단일 층으로 구성될 수 있고, 1차 코일 어레이는 육각형 격자의 영역을 갖는 복수의 1차 코일 레이어들로 구성될 수 있다.The primary coil may be composed of a circular shape and a single layer, and the primary coil array may be composed of a plurality of primary coil layers having a region of a hexagonal lattice.
도 11을 참조하면, 1차 코일 어레이 파라미터는 do, di, dc, da, dh, t2 및 t3를 포함할 수 있다. do는 1차 코일 레이어의 외경, di는 1차 코일 레이어의 내경, dc는 1차 코일 레이어의 두께, da는 1차 코일 어레이의 두께, dh는 인접하는 1차 코일 레이어들간의 센터 거리, t2는 2번째 1차 코일 레이어 어레이의 오프셋 및 t3는 3번째 1차 코일 레이어 어레이의 오프셋으로 나타낼 수 있다.Referring to FIG. 11, the primary coil array parameters may include do , di , dc , da , dh , t2, and t3 . do is the outer diameter of the primary coil layer, di is the inner diameter of the primary coil layer, dc is the thickness of the primary coil layer, da is the thickness of the primary coil array, dh is the distance between the adjacent primary coil layers T2 is the offset of the second primary coil layer array, and t3 is the offset of the third primary coil layer array.
다시 도 7을 참조하면, 시스템 제어부(710)는 적어도 하나의 무선 전력 수신기(750)와의 무선 전력 전송을 제어할 수 있다. 따라서, 무선 전력 송신기(700)는 복수의 무선 전력 수신기(미도시)에게 무선 전력을 전송할 수 있다. 이하 도 12를 참조하여 무선 전력 송신기(700)의 제어 동작을 수행하는 시스템 제어부(710)를 상세히 설명하기로 한다.
Referring again to FIG. 7,
도 12는 무선 전력 송신기의 제어 동작을 설명하기 위한 흐름도이다.12 is a flowchart for explaining the control operation of the wireless power transmitter.
도 12를 참조하면, 무선 전력 송신기의 제어 동작은 선택(Selection)하는 단계, 핑(Ping)하는 단계, 식별(Identification)과 설정(Configuration)하는 단계 및 전력 전송(Power Transfer)하는 단계를 포함할 수 있다.Referring to FIG. 12, the control operation of the wireless power transmitter includes a step of selection, a step of pinging, an step of identification and a step of configuration, and a step of power transfer .
선택하는 단계는 무선 전력 수신기의 위치 및 제거에 대한 인터페이스 표면을 모니터링 할 수 있다. 예를 들어, 선택하는 단계는 자유위치에 존재하는 적어도 하나의 무선 전력 수신기를 발견하여 모니터링 할 수 있고, 무선 전력 수신기가 아닌 개체(예를 들어, 이물질, 열쇠 및 동전 등)를 구별할 수 있다.The selecting can monitor the location of the wireless power receiver and the interface surface for removal. For example, the selecting may be to discover and monitor at least one wireless power receiver that is in a free position and to identify an entity (e.g., foreign object, key, coin, etc.) that is not a wireless power receiver .
또한, 무선 전력 수신기에 대한 정보가 부족한 경우, 선택하는 단계는 핑하는 단계 및 식별과 설정하는 단계를 반복적으로 수행하여 관련 정보를 선택할 수 있다. 또한, 선택하는 단계는 무선 전력 수신기에 무선 전력을 전송할 1차 코일을 선택할 수 있다. 또한, 선택하는 단계는 1차 코일을 선택하지 않는 경우 대기 모드로 전환할 수 있다.In addition, when the information on the wireless power receiver is insufficient, the selecting step may repeatedly perform the pinging step and the identifying and setting step to select the related information. In addition, the selecting may select a primary coil to transmit wireless power to the wireless power receiver. Also, the selecting may switch to the standby mode if the primary coil is not selected.
핑하는 단계는 디지털 핑을 실행하고, 무선 전력 수신기에 대한 응답을 수신되도록 대기할 수 있다. 또한, 핑하는 단계는 무선 전력 수신기를 발견하는 경우, 디지털 핑을 연장할 수 있고, 디지털 핑의 레벨을 유지할 수 있다. 또한, 디지털 핑을 연장하지 않는 경우에 핑하는 단계는 다시 선택하는 단계로 돌아갈 수 있다.The step of pinging may execute a digital ping and wait for a response to the wireless power receiver to be received. In addition, the step of pinging may extend the digital ping and maintain the level of the digital ping when discovering the wireless power receiver. Also, in the case where the digital ping is not extended, the pinging step may be returned to the step of selecting again.
식별과 설정하는 단계는 선택된 무선 전력 수신기를 식별하고, 무선 전력 수신기가 요청한 무선 전력량 설정 정보를 획득할 수 있다. 또한, 식별과 설정하는 단계는 연장된 디지털 핑을 종료되도록 설정할 수 있고, 다른 무선 전력 수신기를 발견하기 위해 다시 선택하는 단계로 돌아갈 수 있다.The identifying and setting step may identify the selected wireless power receiver and obtain the requested wireless power setting information from the wireless power receiver. In addition, the identifying and setting step can be set to terminate the extended digital ping and return to the step of reselecting to find another wireless power receiver.
전력 전송하는 단계는 식별된 무선 전력 수신기에게 요청한 무선 전력량을 전송할 수 있고, 제어 데이터를 기반으로 1차 코일의 전류를 조절할 수 있다. 또한, 식별된 무선 전력 수신기로 요청한 무선 전력량에 대한 전송이 완료되면, 전력 전송하는 단계는 식별된 무선 전력 수신기에 대한 무선 전력 전송을 중단할 수 있다.
The power transmitting step may transmit the requested amount of radio power to the identified radio power receiver and may adjust the current of the primary coil based on the control data. Also, once transmission to the identified wireless power receiver has been completed for the requested amount of wireless power, the power transmitting step may stop the wireless power transmission to the identified wireless power receiver.
도 13은 일 실시예에 따른 전력 송신부의 구성을 설명하기 위한 도면이다.13 is a diagram for explaining a configuration of a power transmission unit according to an embodiment.
도 13에 도시된 전력 송신부(1300)는 인버터를 포함하는 전력 변환부(1310), 자기 유도 방식으로 전력을 전송하기 위한 자기 유도 송신부(1320) 및 자기 공진 방식으로 전력을 전송하기 위한 자기 공진 송신부(1330)를 포함할 수 있다.The
자기 유도 송신부(1320) 및 자기 공진 송신부(1330)는 시분할 방식으로 온/오프 되거나 동시에 온/오프 될 수 있다. 따라서, 전력 송신부(1300)는 자기 유도 방식의 무선 전력 수신 장치 및 자기 공진 방식의 무선 전력 수신 장치로 동시에 전력을 전송할 수 있다.
The
도 14는 도 13의 전력변환부(1300)에 포함된 인버터의 출력단과 자기 유도 송신부(1320) 및 자기 공진 송신부(1330)의 연결관계의 예를 나타내는 도면이다.14 is a diagram showing an example of the connection relationship between the output terminal of the inverter included in the
도 13 및 도 14를 참조하면, 전력 송신부(1300)는 제1 스위치(1410), 제2 스위치(1420) 및 제3 스위치(1430)를 제어하여 자기 유도 송신 모드, 자기 공진 송신 모드 및 하이브리드 모드로 동작할 수 있다. 이때, 하이브리드 모드는 자기 유도 방식의 전력 전송 및 자기 공진 방식의 전력 전송을 동시에 수행하는 모드일 수 있다.13 and 14, the
무선 전력 전송 장치는 전력 송신부(1300)의 동작 모드를 결정하기 위하여, 무선 전력 수신 장치와 통신을 수행하거나 임피던스의 변화를 측정할 수 있고, 평상시 또는 무선 전력 수신 장치의 종류가 명확하지 않은 경우 하이브리드 모드로 동작할 수 도 있다.The wireless power transmission apparatus can communicate with the wireless power receiving apparatus or measure a change in impedance to determine the operation mode of the
전원부(1311)는 직류 전압을 스위치부(1315)로 인가하고, 구동부(1313)는 스위치부(1315)를 제어하여 인버터 출력단(1401)으로 교류 전압을 출력한다.The
도 13의 자기 유도 송신부(1320)는 제1 커패시터(1321) 및 제1 인덕터(1323)를 포함할 수 있다.The
도 13의 자기 공진 송신부(1330)는 제2 커패시터(1331) 및 제2 인덕터(1333)를 포함할 수 있다.The self-
제1 스위치(1410)의 일단은 인버터 출력단(1401)에 연결되고 타단은 제1 커패시터(1321)에 연결될 수 있다.One end of the
제2 스위치(1420)의 일단은 인버터 출력단(1401)에 연결되고 타단은 제2 커패시터(1331)에 연결될 수 있다.One end of the
자기 유도 송신 모드에서 제1 스위치(1410)는 온 되고, 제2 스위치(1420) 및 제3 스위치(1430)는 오프 될 수 있다.In the magnetic induction transmission mode, the
제1 자기 공진 송신 모드에서 제1 스위치(1410)는 오프 되고, 제2 스위치(1420)는 온 될 수 있다.In the first self-resonant transmission mode, the
제2 자기 공진 송신 모드에서 제1 스위치(1410)는 온 되고, 제3 스위치(1430)는 온 될 수 있다.In the second self-resonant transmission mode, the
이때, 전력 송신부(1300)는 제3 스위치(1430)를 온 시키는 경우 제1 스위치를 항상 온 시키고 제2 스위치(1420)를 항상 오프시킨다.At this time, when the
자기 공진 송신 모드에서 제3 스위치(1430)가 온 되는 경우, 제2 커패시터(1331) 및 제2 인덕터(1333)는 폐루프를 형성한다. 이때, 폐루프를 공진기라 칭할 수 있다. 제2 자기 공진 송신 모드에서 에너지는 제1 인덕터(1323)로부터 제2 인덕터로(1333) 유도 된후, 공진기를 통해 무선 전력 수신 장치로 전달 될 수 있다.When the
제2 자기 공진 송신 모드에서 제2 커패시터(1331) 및 제2 인덕터(1333)는 공진기로 동작하기 때문에 전체 시스템의 고유 공진 주파수에 영향을 주지 않는다. 따라서, 제2 자기 공진 송신 모드에서 에너지는 제1 자기 공진 송신 모드에 비해 높은 효율로 무선 전력 수신 장치에 전달될 수 있다. 따라서, 도 14에 도시된 제2 스위치(1320)는 제거 될 수 도 있다.In the second self-resonant transmission mode, since the
전력 송신부(1300)는 제1 스위치(1410) 및 제2 스위치(1320)를 시분할로 온/오프 시킴으로써, 하이브리드 모드로 동작할 수 있다. 또한, 전력 송신부(1300)는 제1 스위치(1410)가 항시 온 된 상태에서 제3 스위치(1430)를 시분할로 온/오프 시킴으로써, 하이브리드 모드로 동작할 수 있다.The
한편, 도 14에서 제1 커패시터(1321) 및 제1 인덕터(1323)는 유도 코일의 등가회로 일 수 있고, 각각 제1 커패시턴스 및 제2 인덕턴스라 칭할 수 도 있다. 마찬가지로 제2 커패시터(1331) 및 제2 인덕터(1333)는 공진 코일의 등가 회로 일 수 있고, 각각 제2 커패시턴스 및 제2 인덕턴스라 칭할 수 도 있다.
14, the
도 15는 도 13의 자기 유도 송신부(1320) 및 자기 공진 송신부(1330)의 구성 예를 나타낸다.15 shows a configuration example of the self-
도 15를 참조하면, 자기 유도 송신부(1320)는 단일 코일 또는 코일 어레이(1520)로 구성되고, 자기 공진 송신부(1330)는 코일 어레이(1520)를 감싸는 형태의 공진 코일(1530)로 구성될 수 있다.15, the
코일 어레이(1520)는 복수의 코일 셀들(1521, 1523, 1525, 1527)을 포함할 수 있다. 물론, 코일 어레이(1520)는 도 9 또는 도 11과 같이 구성된 복수의 1차 코일들을 포함할 수 있다.The
자기 유도 송신 모드에서 무선 전력 수신 장치의 요구 전력량에 따라 복수의 코일 셀들 중 일부 만 온 되거나 전부 온 될 수 도 있다.In the magnetic induction transmission mode, only a part of the plurality of coil cells may be turned on or all in accordance with the required power amount of the wireless power receiving apparatus.
또한, 코일 어레이(1520)가 복수의 코일 셀들로 구성되는 경우, 제2 자기 공진 송신 모드에서 무선 전력 수신 장치의 요구 전력량에 따라 복수의 코일 셀들 중 일부 만 온 되거나 전부 온 될 수 도 있다.
Further, when the
도 16은 일 실시예에 따른 도 11의 1차 코일 어레이를 제어 방법을 설명하기 위한 도면이다.16 is a view for explaining a method of controlling the primary coil array of FIG. 11 according to an embodiment.
도 12에서 설명된 바와 같이, 무선 전력 전송 장치는 식별(Identification)과 설정(Configuration)하는 단계 이후, 전력 전송(Power Transfer)하는 단계로 동작할 수 있다.As described in FIG. 12, the wireless power transmission apparatus can operate as a step of power transfer after the step of Identification and Configuration.
이때, 전력 전송(Power Transfer)하는 단계에서 새로운 무선 전력 수신기가 등장하거나, 이물질(Foreign object)이 존재하게 되는 경우 1차 코일 어레이의 동작을 제어하는 방법이 필요하다.In this case, there is a need for a method of controlling the operation of the primary coil array when a new radio power receiver appears or a foreign object is present in the power transfer stage.
도 16을 참조하면, 일 실시예에 따른 1차 코일 어레이(1600)는 복수의 1차 코일들 및 복수의 센서(1640)들로 구성될 수 있다.Referring to FIG. 16, a
이때, 센서(1640)는 압력 센서일 수 도 있고, 온도 센서일 수 도 있다. 다시 말해, 1차 코일 어레이(1600)는 복수의 압력 센서들 및 복수의 온도 센서들을 포함할 수 도 있다.At this time, the
센서(1640)는 1차 코일 어레이(1600)의 복수 위치에 구비될 수 있다. 따라서, 무선 전력 전송 장치는 센서(1640)를 통해 압력 변화에 의한 특정 위치의 새로운 물체 감지 및 특정 위치의 온도 변화를 감지할 수 있다.The
예를 들어, 제1 시간 구간에서 제1 무선 전력 수신 장치(1610)로 전력을 전송하는 " Power Transfer" 단계에서 새로운 무선 전력 수신 장치(1620)가 1차 코일 어레이(1600)의 특정 위치하게 되면, 해당 위치의 압력 센서의 센싱 값이 변화할 수 있다.For example, when a new wireless
이때, 무선 전력 전송 장치는 " Power Transfer" 단계를 중단하고, 다시 식별(Identification)과 설정(Configuration)하는 단계로 동작할 수 있다.At this time, the wireless power transmission apparatus can stop the "Power Transfer" step, and can operate as a step of identification and setting again.
한편, " Power Transfer" 단계에서 이물질(1630)이 구동되고 있는 1차 코일들 위에 또는 구동되고 있지 않는 1차 코일들 위에 위치하게 될 수 있다.On the other hand, in the "Power Transfer" step, the
이때, 무선 전력 전송 장치는 온도 센서를 통해 특정 위치의 온도가 상승하는 것을 감지할 수 있다. 만일 기 설정된 임계치 이상 온도가 상승하게 되면, 해당 온도 센서 주변의 구동되는 1차 코일들(예를 들어, 온도 센서 주변의 4개 코일)을 오프 시켜 구동을 정지 시킬 수 도 있다.At this time, the wireless power transmission apparatus can detect that the temperature of the specific position rises through the temperature sensor. If the temperature exceeds the preset threshold value, the primary coils driven around the temperature sensor (for example, four coils around the temperature sensor) may be turned off to stop the driving.
또한, 온도 상승을 감지한 온도 센서 주변의 1차 코일들을 오프 시킨 경우에도 온도가 임계치 이하로 하강하지 않거나 상승하면, 전체 1차 코일 어레이의 동작을 일시 정지 시킬 수 도 있다. 또한, 이물질을 감지하기 위해 " Power Transfer" 단계를 중단하고, 다시 식별(Identification)과 설정(Configuration)하는 단계로 동작할 수 있다.Further, even when the primary coils around the temperature sensor that senses the temperature rise are turned off, the operation of the entire primary coil array may be temporarily stopped if the temperature does not fall below the threshold value or rises. Also, it is possible to stop the "Power Transfer" step to detect a foreign object, and to operate again to identify and configure the foreign object.
일 실시예에서, 온도 센서는 전체 1차 코일 어레이(1600)의 3군데 또는 4군데에만 구비될 수 있다. 3개의 온도 센서가 구비된 경우 3개의 센서에서 측정되는 온도의 차이 값을 이용하여 어느 위치의 셀에서 온도가 임계치 이상으로 상승한 것인지를 판단할 수 도 있다.In one embodiment, the temperature sensors may be provided at only three or four locations of the entire
예를 들어, 제1 온도 센서, 제2 온도 센서 및 제3 온도 센서가 삼각형 형태로 배치되고, 각각의 센싱 값이 A, B, C일 때, A-B, B-C, C-A의 값 또는 이들의 절대값에 따라 기 측정된 값을 테이블로 저장해 두고, A-B가 가장 큰 값이고 A가 B보다 크고 임계값 보다 일정 값 이상 큰 값이면 A주변의 1차 코일들을 오프 시킬 수 도 있다. 또는, A가 25, B가 24.5, C가 24.6인 경우 A와 C사이의 셀들 중 B로부터 특정 거리 이상에 있는 셀들을 오프 시키도록 설정하는 것도 가능하다.
For example, when the first temperature sensor, the second temperature sensor and the third temperature sensor are arranged in a triangular shape and the respective sensing values are A, B, and C, the values of AB, BC, If AB is the largest value and A is greater than B and greater than the threshold value by more than a certain value, the primary coils around A may be turned off. Alternatively, when A is 25, B is 24.5, and C is 24.6, it is also possible to set off cells located at a certain distance or more from B among cells between A and C.
한편, 1차 코일 어레이(1600)에 포함된 각각의 1차 코일 당 전송 가능한 전력은 온도 상승, 전자파 문제 등으로 인해 제한될 수 있다. 따라서, 무선 전력 전송 장치는 무선 전력 수신 장치에 전력을 전달하기 위해, 구동 시킬 적어도 하나의 1차 코일을 결정하고, 구동 시킬 1차 코일의 최대 전송 전력량이 무선 전력 수신 장치의 요구 전력량 보다 큰 경우에만 전력 전송을 개시할 수 도 있다.On the other hand, the transferable power per primary coil included in the
예를 들어, 무선 전력 전송 장치는 통신을 통해 무선 전력 수신 장치의 위치 및 요구 전력량 Prequest을 파악하고, 해당 위치에서 구동시킬 1차 코일들 전체의 전송 가능 전력량 Psum을 계산할 수 있다. 이때, 구동시킬 1차 코일들의 개수는 무선 전력 수신 장치 하나 당 기 설정된 수로 제한될 수 도 있다. 무선 전력 전송 장치는 Prequest 보다 Psum이 큰 경우에만 해당 1차 코일들을 온 시킬 수 있다.
For example, the wireless power transmission apparatus can calculate the position and required power amount Prequest of the wireless power receiving apparatus through communication, and calculate the transmittable power amount Psum of the entire primary coils to be driven at the position. At this time, the number of primary coils to be driven may be limited to a predetermined number per one wireless power receiving apparatus. The wireless power transmission apparatus can turn on the primary coils only when Psum is larger than Prequest .
도 17은 무선 전력 전송 장치의 전력 전송(Power Transfer) 제어 알고리즘을 설명하기 위한 도면이다.17 is a diagram for explaining a power transfer control algorithm of the wireless power transmission apparatus.
무선 전력 전송 장치의 전력 전송 제어는 PID(Proportional Integral Differential) 알고리즘을 사용하여 진행될 수 있다. 도 17에 도시된 예는 PID 알고리즘의 예를 나타낸다.The power transmission control of the wireless power transmission apparatus can be performed using a PID (Proportional Integral Differential) algorithm. The example shown in Fig. 17 shows an example of a PID algorithm.
자기 유도 방식의 무선 전력 전송 시스템에서, 동작 주파수(Operating Frequency) 제어를 위한 PID 파라미터들의 예는 [표 1]과 같고, 듀티 사이클 제어를 위한 PID 파라미터들의 예는 [표 2]와 같다.In the magnetic induction type wireless power transmission system, examples of PID parameters for operating frequency control are shown in Table 1, and examples of PID parameters for duty cycle control are shown in [Table 2].
[표 1][Table 1]
[표 2][Table 2]
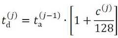
전력 전송(Power Transfer) 단계에서, 무선 전력 전송 장치는 제어 데이터를 기반으로 1차 코일의 전류를 조절할 수 있다. 이때, 1차 코일의 전류 조절은 PID 알고리즘에 기초하여 수행될 수 있다.In the power transfer stage, the wireless power transmission device can regulate the current of the primary coil based on the control data. At this time, current regulation of the primary coil can be performed based on the PID algorithm.
도 17에서, 인덱스 j = 1, 2, 3, …은 "Control Error Packet"들의 시퀀스를 나타내고, "Control Error Packet"은 전력 전송(Power Transfer) 단계에서 무선 전력 전송 장치가 무선 전력 수신 장치로부터 수신하는 메시지를 나타낸다.17, the index j = 1, 2, 3, ... Indicates a sequence of "Control Error Packets ", and" Control Error Packet " indicates a message received by the wireless power transmission apparatus from the wireless power reception apparatus in a power transfer phase.
무선 전력 전송 장치는 j번째(jth) Control Error Packet을 수신하면, 새로운 1차 셀 전류를 수학식 1과 같이 계산할 수 있다.Wireless power transfer unit is the j-th (jth) when receiving the Packet Control Error, new primary cell current Can be calculated as shown in Equation (1).
[수학식 1][Equation 1]
여기서, 는 j번째 Control Error Packet에 담긴 제어 오류 값(Control Error Value)를 나타내고,는 전력 전송(Power Transfer) 단계에서 최초로 1차 코일에 공급된 전류를 나타낸다.here, Denotes a control error value contained in the j-th Control Error Packet, Represents the current first supplied to the primary coil in the power transfer stage.
무선 전력 전송 장치는 수학식 2와 같이 새로운 1차 셀 전류와 실제 1차 셀 전류(actual Primary Cell current)의 차를 계산할 수 있다.The wireless power transmission apparatus can calculate the difference between a new primary cell current and an actual primary cell current as shown in Equation (2).
[수학식 2]&Quot; (2) "
여기서,는 루프의 i-1 번째 반복에서 결정된 1차 셀 전류를 나타내고,는 루프의 시작에서의 실제(actual) 1차 셀 전류를 나타낸다. 인덱스 i=1, 2, 3,…imax는 PID 알고리즘 루프의 반복 횟수를 나타낸다.here, Represents the primary cell current determined in the (i-1) th iteration of the loop, Represents the actual primary cell current at the beginning of the loop. Index i = 1, 2, 3, ... imax represents the number of repetitions of the PID algorithm loop.
무선 전력 전송 장치는 수학식 3과 같이 Proportional term, Integral term 및 Derivative term을 계산할 수 있다.The wireless power transmission apparatus can calculate the proportional term, the integral term, and the derivative term as shown in Equation (3).
[수학식 3]&Quot; (3) "
여기서, Kp는 proportional gain이고, Ki는 integral gain이고, Kd는 derivative gain이고, tinner는 PID 알고리즘 루프의 수행에 요구되는 시간을 나타낸다.Where Kp is the proportional gain, Ki is the integral gain, Kd is the derivative gain, and tinner represents the time required to perform the PID algorithm loop.
무선 전력 전송 장치는 수학식 4와 같이 Proportional term, Integral term 및 Derivative term의 합을 계산한다.The wireless power transmission apparatus calculates the sum of the proportional term, the integral term, and the derivative term as shown in Equation (4).
[수학식 4]&Quot; (4) "
수학식 4의 계산에 있어서, 무선 전력 전송 장치는 합인를 제한해야만 한다.In the calculation of Equation (4), the wireless power transmission device .
무선 전력 전송 장치는 제어된 변수의 새로운 값를 수학식 5와 같이 계산해야 한다.The wireless power transmission apparatus must calculate a new value of the controlled variable as shown in Equation (5).
[수학식 5]&Quot; (5) "
여기서,는 제어된 변수에 의존하는 조정계수(scaling factor)이다.here, Is a scaling factor that depends on the controlled variable.
제어된 변수의 새로운 값은 파워 컨버전 유닛에 전달된다. 제어된 변수의 새로운 값은 1차 코일의 전류 조절 제한 폭으로 사용될 수 있다.The new value of the controlled variable is passed to the power conversion unit. The new value of the controlled variable can be used as the current regulation limit of the primary coil.
일 실시예에 따르면, 무선 전력 전송 장치는 1차 코일 어레이에 포함된 코일 들 중, 구동되는 코일의 개수에 따라 "PID output limit"의 값을 변경할 수 있다.According to one embodiment, the wireless power transmission apparatus can change the value of the "PID output limit" according to the number of coils driven, among the coils included in the primary coil array.
예를 들어, 무선 전력 전송 장치는 구동 되는 셀 개수가 많을수록 "PID output limit"의 값을 증가시키고, 장치는 구동 되는 셀 개수가 적을수록 "PID output limit"의 값을 감소시킬 수 있다.For example, the wireless power transmission apparatus increases the value of the "PID output limit" as the number of driven cells increases, and decreases the value of the "PID output limit" as the number of driven cells decreases.
따라서, 셀 내의 단일 코일들 각각의 최대 출력 전력을 조절함으로써, 무선 전력 전송 장치의 보호 및 안정적인 전력 전송이 가능하다.Thus, by adjusting the maximum output power of each of the single coils in the cell, the protection and stable power transmission of the wireless power transmission device is possible.
또한, 일 실시예에 따르면, 무선 전력 전송 장치는 전력 제어에 사용되는 전압 및 듀티 등을 구동되는 셀 개수에 따라 제한할 수 도 있다.Also, according to one embodiment, the wireless power transmission device may limit the voltage and duty used in the power control according to the number of cells to be driven.
무선 전력 전송 장치는 1차 코일 어레이에 포함된 코일 들 중, 구동되는 코일의 개수에 따라 1차 코일 어레이에 입력되는 전력을 제한할 수 있다.The wireless power transmission apparatus can limit the power input to the primary coil array depending on the number of coils driven among the coils included in the primary coil array.
또한, 무선 전력 전송 장치는 1차 코일 어레이에 포함된 코일 들 중, 구동되는 코일의 개수에 따라 인버터의 출력 전력을 제한할 수 도 있다.
Further, the wireless power transmission device may limit the output power of the inverter according to the number of coils driven among the coils included in the primary coil array.
도 3 내지 도 7은 자기 공진 방식으로 전력을 전송하기 위한 방식에 대한 설명이고, 도 8 내지 도 12는 자기 유도 방식으로 전력을 전송하기 위한 방식을 나타낸다. 자기 공진 방식으로 전력을 전송하는 예는 종래기술 4에 상세하게 기술되어 있다. 그리고, 도 13내지 도 17은 하이브리드 방식을 나타낸다.FIGS. 3 to 7 illustrate a method for transmitting power in a self-resonant manner, and FIGS. 8 to 12 illustrate a method for transmitting power in a self-induced manner. An example of transmitting power in a self-resonant manner is described in detail in Prior Art 4. 13 to 17 show the hybrid method.
도 8 내지 도 12는 자기 유도 방식은 로컬 컴퓨팅 환경에서 메인 디바이스와는 독립적으로 마우스 패드에 적용되어 마우스 패드 위의 마우스로 전력을 전송하기 위해 사용될 수 도 있다.
8 to 12, the magnetic induction method may be applied to the mouse pad independently of the main device in a local computing environment, and may be used to transmit power to the mouse on the mouse pad.
도 18은 일 실시예에 따른 무선 전력 전송 장치의 구성을 나타낸다.18 shows a configuration of a wireless power transmission apparatus according to an embodiment.
도 18을 참조하면, 무선 전력 전송 장치(1800)는 제어부(1810) 및 통신부(1820)를 포함한다. 물론, 무선 전력 전송 장치(1800)는 무선 전력 수신 장치로 전력을 전송하기 위한 전력 전송부(1830)를 더 포함할 수 있다.18, the wireless
제어부(1810)는 적어도 하나의 프로세서를 포함하고, 상기 제어부에 의해 일시적으로 구현될 수 있는 송신 전력 값 추정부(1811), 판단부(1813) 및 충전 상태 판정부(1815)를 포함할 수 있다.The
송신 전력 값 추정부(1811)는 전력 전송 단계에서 무선 전력 수신 장치로부터 주기적으로 수신되는 제어 오류 값(CEV: Control Error Value)에 기초하여 송신 전력 값을 추정한다.The transmission power
판단부(1813)는 송신 전력 값이 기 설정된 시간 이상 변동 없이 유지되면, 정상 안정 상태(NSS: Normal Stable State)에 진입한 것으로 판단한다.The determination unit 1813 determines that the mobile station has entered the normal stable state (NSS: Normal Stable State) when the transmission power value is maintained unchanged for a predetermined period of time.
충전 상태 판정부(1815)는 송신 전력 값의 상승 폭이 기 설정된 임계값을 초과하면, 현재 충전 상태를 '이물질 발생 상태' 또는 '부하변동 상태'로 판정한다.The charge
충전 상태 판정부(1815)는 상기 송신 전력 값의 상승 폭이 기 설정된 임계값을 초과하여 발생한 시점으로부터 기 설정된 판정 시간 내에, 현재 송신 전력 값과 상기 NSS에 진입할 시점의 전력 값과의 차가 상기 기 설정된 임계값 이하가 되면 상기 현재 충전 상태를 '부하변동 상태'로 판정할 수 있다.The charging
충전 상태 판정부(1815)는 상기 기 설정된 판정 시간을 초과하여 상기 송신 전력 값의 상승 폭이 기 설정된 임계값을 초과하는 상태가 유지되면, 상기 현재 충전 상태를 '이물질 발생 상태'로 판정할 수 있다.If the state in which the increase in the transmission power value exceeds the predetermined threshold value is maintained after the predetermined determination time has elapsed, the charging
충전 상태 판정부(1815)는 상기 NSS에 진입한 후 상기 송신 전력 값이 상승하기 시작한 제1 시점으로부터 상기 송신 전력 값의 상승 폭이 기 설정된 임계값을 초과한 제2 시점까지 걸린 트랜지션 인터벌(Transition Interval)에 기초하여 상기 현재 충전 상태를 상기 '이물질 발생 상태' 또는 '부하변동 상태'를 판정할 수 있다.The charging
충전 상태 판정부(1815)는 상기 트랜지션 인터벌이 기준값 보다 큰 경우 상기 현재 충전 상태를 '이물질 발생 상태'로 판정할 수 있다.
The charge
도 19는 일 실시예에 따른 무선전력 전송 장치의 충전 상태 판단 방법을 나타낸다. 또한, 도 20 내지 도 24는 충전 상태 판단을 위한 여러 가지 경우를 설명하기 위한 예시도이다.FIG. 19 shows a method of determining the state of charge of a wireless power transmission apparatus according to an embodiment. 20 to 24 are illustrations for explaining various cases for determining the state of charge.
도 19를 참조하면, 1910 단계에서 무선 전력 전송 장치는 전력 전송 단계에서 무선 전력 수신 장치로부터 주기적으로 수신되는 제어 오류 값(CEV: Control Error Value)에 기초하여 송신 전력 값을 추정한다.Referring to FIG. 19, in
무선 전력 전송 시스템에서 무선 전력 전송 장치(Tx라고도 칭함)는 전력 전송 모드(Power Transfer Phase)에 진입한 후, 무선 전력 수신 장치(Rx라고도 칭함)에 전력을 전송하기 위하여 전력 제어를 수행한다.In a wireless power transmission system, a wireless power transmission device (also referred to as Tx) enters a power transfer phase and then performs power control to transmit power to a wireless power receiving device (also referred to as Rx).
이때, Tx는 Rx로부터 CEV(control error value)를 수신하고, 수신된 CEV를 이용하여 전력 제어를 수행할 수 있다.At this time, Tx receives a control error value (CEV) from Rx, and can perform power control using the received CEV.
Control Error Value가 수신전력과 밀접한 관계가 있는 Parameter 이므로 별도의 수신전력을 연산할 필요가 없이, CEV를 모니터링하면 송신전력을 기반으로 한 수신전력을 유추할 수 도 있다.Since the Control Error Value is a parameter closely related to the received power, it is not necessary to calculate the received power separately, and if the CEV is monitored, the received power based on the transmit power may be inferred.
Tx는 PID값을 이용하여 송신전력을 추정할 수 있다. 예를 들어, 초기전력값과 PID값을 모니터링하면 현재 송신 전력을 추정할 수 있다.Tx can estimate the transmission power using the PID value. For example, by monitoring the initial power and PID values, the current transmit power can be estimated.
다시 말해, 현재 송신 전력은 다음과 같이 표현될 수 있다.In other words, the current transmit power can be expressed as follows.
Rx의 타입에 따라서는 정상적인 전력이 전송되는 동안에 CEV가 '0'에 수렴하거나 일정 시간 동안의 CEV들의 합이 '0'에 수렴하게 된다.Depending on the type of Rx, CEV converges to '0' during normal power transfer, or the sum of CEVs converges to '0' for a certain period of time.
따라서, Control Error Value가 정상상태가 될 때의 현재 송신전력을 정상상태에서의 송진전력으로 기억하고, 이 전력보다 더 높은 전력을 전송하는 경우 이물이 존재한다고 판정할 수 있다.Therefore, it is possible to store the current transmission power when the Control Error Value becomes the steady state as the transmission power in the steady state, and to determine that there is a foreign object when transmitting higher power than the power.
또한, Rx의 충전 레벨이 상승함에 따라 Rx의 요구 전력은 감소할 수 있다. 따라서, 정상상태에서의 송신전력보다 더 낮은 전력을 전송하는 경우는 이물이 존재한다고 판정하지 않는다.Further, as the charge level of Rx rises, the required power of Rx can be reduced. Therefore, in the case of transmitting power lower than the transmission power in the steady state, it is not determined that a foreign object exists.
도 20에서 CEV0, CEV1, CEV2, CEV3, CEV4, CEV5는 각각 Rx에서 CEV가 수신되는 시점 및 각 시점에서의 CEV 값을 나타낸다.CEV0, CEV1, CEV2, CEV3, CEV4, and CEV5 in FIG. 20 represent the time at which the CEV is received at Rx and the CEV value at each time point.
1920 단계에서 무선 전력 전송 장치는 송신 전력 값이 기 설정된 시간 이상 변동 없이 유지되면, 도 20 내지 도 24에 도시된 정상 안정 상태(NSS: Normal Stable State)에 진입한 것으로 판단한다.In
1930 단계에서 무선 전력 전송 장치는 상기 NSS에 진입한 이후 수신되는 제어 오류 값에 기초하여 상기 송신 전력 값의 상승 폭을 모니터링 한다.In
예를 들어, Tx는 도 21에 도시된 시점 CEV3와 시점 CEV4사이에서 NSS에 진입한 것으로 판단한 후, 이후 수신된 CEV4를 기초로 PID값을 연산하여 현재 송신 전력 값을 추정할 수 있다. 만일 CEV4와 CEV 5 시점 사이에 이물질(FO)이 충전 영역에 진입한 경우, CEV5 시점에서 측정되는 현재 송신 전력은 상승한 상태로 나타난다.For example, after determining that the Tx has entered the NSS between the time CEV3 and the time CEV4 shown in FIG. 21, the Tx can calculate the PID value based on the received CEV4 to estimate the current transmission power value. If a foreign object (FO) enters the charging area between CEV4 and CEV5, the current transmission power measured at the CEV5 time point is shown as rising.
1940 단계에서 무선 전력 전송 장치는 상기 송신 전력 값의 상승 폭이 기 설정된 임계값을 초과하면, 현재 충전 상태를 '이물질 발생 상태' 또는 '부하변동 상태'로 판정한다.In
예를 들어, 도 21에서 시점 CEV5에서 측정된 현재 송신 전력(Present Stable State Power)에서 정상 상태에서의 전력 값(Normal Stable State Power)을 뺀 값이 기 설정된 임계값 보다 크면 이물질이 발생한 상태로 판정될 수 있다.For example, if the value obtained by subtracting the power value (Normal Stable State Power) in the steady state from the present transmit power (Present Stable State Power) measured at the time point CEV5 in FIG. 21 is greater than a predetermined threshold value, .
한편, Rx측의 전력 사용이 갑자기 증가하여 부하 변동이 발생하는 경우에도 현재 송신 전력의 상승폭이 임계값을 넘게 되는 경우가 발생할 수 도 있다.On the other hand, even when the power use on the Rx side suddenly increases and the load fluctuation occurs, the rise of the current transmission power may exceed the threshold value.
예를 들어, 도 22에 도시된 바와 같이 CEV 4 시점과 CEV 5 시점 사이에 Rx의 부하변동이 발생할 수 있다. 이때, Rx는 CEV 값을 증가 시켜 Tx에 더 높은 전력을 요구할 수 있다.For example, as shown in FIG. 22, load fluctuation of Rx may occur between the CEV 4 time point and the CEV 5 time point. At this time, Rx may require higher power to Tx by increasing the CEV value.
충전 중인 상태에서의 부하 변동은 지속시간이 짧은 것이 대부분이므로, 일정시간 이후 Present Stable State Power가 Normal Stable State Power와 동일한가를 판정하면 FO와 부하변동 구별이 가능하다.Since the load fluctuation in the charging state is short in duration, it is possible to distinguish between FO and load fluctuation if it is judged that Present Stable State Power is equal to Normal Stable State Power after a certain time.
예를 들어, 도 23에 도시된 바와 같이 부하변동의 경우에는 CEV5 시점에서 현재 송신 전력이 임계값 이상으로 상승한 후, 일정 시간이 지나면 다시 NSS 상태로 되돌아 올 수 있다. 다시 말해, 도 23의 예에서는 CEV15 시점 이후에는 다시 NSS 상태로 판정될 수 있다.For example, as shown in FIG. 23, in the case of a load fluctuation, the current transmission power may rise back to the NSS state after a certain time after the current transmission power rises above the threshold value at the time of CEV5. In other words, in the example of FIG. 23, after the CEV15 time point, the NSS state can be determined again.
따라서, Tx는 송신 전력 값의 상승 폭이 기 설정된 임계값을 초과하여 발생한 시점(도 23의 CEV5 또는 CEV6 시점)으로부터 기 설정된 판정 시간 내에(예를 들어 CEV interval 10개 이내), 현재 송신 전력 값과 상기 NSS에 진입할 시점의 전력 값과의 차가 상기 기 설정된 임계값 이하가 되면 상기 현재 충전 상태를 '부하변동 상태'로 판정할 수 있다.Therefore, Tx is set within a predetermined determination time (for example, within 10 CEV intervals) from the time point at which the rising width of the transmission power value exceeds the predetermined threshold value (time point of CEV5 or CEV6 in FIG. 23) And the power value at the time of entry into the NSS becomes equal to or less than the preset threshold value, the current charging state can be determined as the 'load fluctuation state'.
한편, 이물질이 전력을 흡수하는 경우(예를 들어, 금속 등) 부하 변동으로 인한 송신 전력의 상승과 이물질에 의한 송신 전력의 상승은 시간적으로 더 오래 걸릴 수 도 있다.On the other hand, when a foreign substance absorbs electric power (for example, metal), an increase in transmission power due to load fluctuations and an increase in transmission power due to foreign substances may take longer in time.
예를 들어 도 24의 (A)는 부하변동으로 인해 송신 전력이 상승하는 송신 전력 곡선을 나타내고, (B)는 이물질 발생으로 인해 송신 전력이 상승하는 송신 전력 곡선을 나타낸다.For example, FIG. 24A shows a transmission power curve in which the transmission power increases due to a load variation, and FIG. 24B shows a transmission power curve in which transmission power increases due to foreign matter generation.
도 24에 도시된 바와 같이 부하 변동으로 인한 송신 전력 상승의 Transition Interval은 이물질 발생으로 인한 Transition Interval보다 짧게 된다. 따라서, Transition Interval의 길이를 통해 부하 변동 상태와 이물질 발생 상태를 구별할 수 도 있다.As shown in FIG. 24, the transition interval of the transmission power increase due to the load variation becomes shorter than the transition interval due to the foreign matter generation. Therefore, it is also possible to distinguish between the load fluctuation state and the foreign matter generation state through the length of the transition interval.
앞서 설명한 바와 같이, Rx의 타입에 따라서는 정상적인 전력이 전송되는 동안에 CEV가 '0'에 수렴하거나 일정 시간 동안의 CEV들의 합이 '0'에 수렴할 수 있다.As described above, depending on the type of Rx, the CEV may converge to '0' while the normal power is transmitted, or the sum of the CEVs may converge to '0' for a certain period of time.
따라서, 전력 전송 단계에서 무선 전력 수신 장치로부터 주기적으로 수신되는 제어 오류 값만을 모니터링함으로써, 부하변동 상태와 이물질 발생 상태를 추정하는 것도 가능하다.Therefore, it is also possible to estimate the load fluctuation state and the foreign matter generation state by monitoring only the control error value periodically received from the wireless power receiving apparatus in the power transmission step.
정상 안정 상태에서 수신되는 제어 오류 값은 '0' 또는 '0'에 매우 근접한 값일 수 있다. 따라서, 안정화 기준값을 '0' 보다 약간 큰 수(예를 들어, 0.1 등)로 설정하면, 전력 전송 단계에서 무선 전력 수신 장치로부터 주기적으로 수신되는 제어 오류 값이 기 설정된 횟수 이상 기 설정된 안정화 기준값 이하로 유지되면, 정상 안정 상태(NSS: Normal Stable State)에 진입한 것으로 판단할 수 있다.The control error value received in the normal steady state may be a value very close to '0' or '0'. Therefore, when the stabilization reference value is set to a value slightly larger than 0 (e.g., 0.1), the control error value periodically received from the wireless power receiving apparatus in the power transmission step is equal to or less than a predetermined stabilization reference value , It can be determined that the apparatus has entered the normal stable state (NSS).
이때, 상기 NSS에 진입한 이후 수신되는 제어 오류 값의 상승 폭을 모니터링하고, 상기 NSS에 진입한 이후 수신되는 제어 오류 값의 상승 폭이 상기 안정화 기준값을 초과하면, 현재 충전 상태를 '이물질 발생 상태' 또는 '부하변동 상태'로 판정할 수 있다.If the increase in the control error value received after entering the NSS exceeds the stabilization reference value, the current charge state is referred to as' foreign matter generation state Quot; or " load fluctuation state ".
이때, 도 19의 1940단계와 유사하게, 상기 제어 오류 값의 상승 폭이 상기 안정화 기준값을 초과한 이후 기 설정된 판정 횟수 내에 상기 안정화 기준값 이하인 제어 오류 값이 수신되면, 상기 현재 충전 상태를 '부하변동 상태'로 판정할 수 있다.If a control error value equal to or less than the stabilization reference value is received within a predetermined number of determinations after the increase in the control error value exceeds the stabilization reference value, State ".
또한, 상기 판정 횟수를 초과하여 상기 안정화 기준값을 초과하는 제어 오류 값이 수신되면, 상기 현재 충전 상태를 '이물질 발생 상태'로 판정할 수 있다.
Further, if the control error value exceeding the determination number exceeds the stabilization reference value, the current state of charge may be determined as a 'foreign matter generation state'.
이상에서 설명된 장치는 하드웨어 구성요소, 소프트웨어 구성요소, 및/또는 하드웨어 구성요소 및 소프트웨어 구성요소의 조합으로 구현될 수 있다. 예를 들어, 실시예들에서 설명된 장치 및 구성요소는, 예를 들어, 프로세서, 콘트롤러, ALU(arithmetic logic unit), 디지털 신호 프로세서(digital signal processor), 마이크로컴퓨터, FPA(field programmable array), PLU(programmable logic unit), 마이크로프로세서, 또는 명령(instruction)을 실행하고 응답할 수 있는 다른 어떠한 장치와 같이, 하나 이상의 범용 컴퓨터 또는 특수 목적 컴퓨터를 이용하여 구현될 수 있다. 처리 장치는 운영 체제(OS) 및 상기 운영 체제 상에서 수행되는 하나 이상의 소프트웨어 애플리케이션을 수행할 수 있다. 또한, 처리 장치는 소프트웨어의 실행에 응답하여, 데이터를 접근, 저장, 조작, 처리 및 생성할 수도 있다. 이해의 편의를 위하여, 처리 장치는 하나가 사용되는 것으로 설명된 경우도 있지만, 해당 기술분야에서 통상의 지식을 가진 자는, 처리 장치가 복수 개의 처리 요소(processing element) 및/또는 복수 유형의 처리 요소를 포함할 수 있음을 알 수 있다. 예를 들어, 처리 장치는 복수 개의 프로세서 또는 하나의 프로세서 및 하나의 콘트롤러를 포함할 수 있다. 또한, 병렬 프로세서(parallel processor)와 같은, 다른 처리 구성(processing configuration)도 가능하다.The apparatus described above may be implemented as a hardware component, a software component, and / or a combination of hardware components and software components. For example, the apparatus and components described in the embodiments may be implemented within a computer system, such as, for example, a processor, a controller, an arithmetic logic unit (ALU), a digital signal processor, a microcomputer, a field programmable array (FPA) A programmable logic unit (PLU), a microprocessor, or any other device capable of executing and responding to instructions. The processing device may execute an operating system (OS) and one or more software applications running on the operating system. The processing device may also access, store, manipulate, process, and generate data in response to execution of the software. For ease of understanding, the processing apparatus may be described as being used singly, but those skilled in the art will recognize that the processing apparatus may have a plurality of processing elements and / As shown in FIG. For example, the processing unit may comprise a plurality of processors or one processor and one controller. Other processing configurations are also possible, such as a parallel processor.
소프트웨어는 컴퓨터 프로그램(computer program), 코드(code), 명령(instruction), 또는 이들 중 하나 이상의 조합을 포함할 수 있으며, 원하는 대로 동작하도록 처리 장치를 구성하거나 독립적으로 또는 결합적으로(collectively) 처리 장치를 명령할 수 있다. 소프트웨어 및/또는 데이터는, 처리 장치에 의하여 해석되거나 처리 장치에 명령 또는 데이터를 제공하기 위하여, 어떤 유형의 기계, 구성요소(component), 물리적 장치, 가상 장치(virtual equipment), 컴퓨터 저장 매체 또는 장치, 또는 전송되는 신호 파(signal wave)에 영구적으로, 또는 일시적으로 구체화(embody)될 수 있다. 소프트웨어는 네트워크로 연결된 컴퓨터 시스템 상에 분산되어서, 분산된 방법으로 저장되거나 실행될 수도 있다. 소프트웨어 및 데이터는 하나 이상의 컴퓨터 판독 가능 기록 매체에 저장될 수 있다.The software may include a computer program, code, instructions, or a combination of one or more of the foregoing, and may be configured to configure the processing device to operate as desired or to process it collectively or collectively Device can be commanded. The software and / or data may be in the form of any type of machine, component, physical device, virtual equipment, computer storage media, or device , Or may be permanently or temporarily embodied in a transmitted signal wave. The software may be distributed over a networked computer system and stored or executed in a distributed manner. The software and data may be stored on one or more computer readable recording media.
실시예에 따른 방법은 다양한 컴퓨터 수단을 통하여 수행될 수 있는 프로그램 명령 형태로 구현되어 컴퓨터 판독 가능 매체에 기록될 수 있다. 상기 컴퓨터 판독 가능 매체는 프로그램 명령, 데이터 파일, 데이터 구조 등을 단독으로 또는 조합하여 포함할 수 있다. 상기 매체에 기록되는 프로그램 명령은 실시예를 위하여 특별히 설계되고 구성된 것들이거나 컴퓨터 소프트웨어 당업자에게 공지되어 사용 가능한 것일 수도 있다. 컴퓨터 판독 가능 기록 매체의 예에는 하드 디스크, 플로피 디스크 및 자기 테이프와 같은 자기 매체(magnetic media), CD-ROM, DVD와 같은 광기록 매체(optical media), 플롭티컬 디스크(floptical disk)와 같은 자기-광 매체(magneto-optical media), 및 롬(ROM), 램(RAM), 플래시 메모리 등과 같은 프로그램 명령을 저장하고 수행하도록 특별히 구성된 하드웨어 장치가 포함된다. 프로그램 명령의 예에는 컴파일러에 의해 만들어지는 것과 같은 기계어 코드뿐만 아니라 인터프리터 등을 사용해서 컴퓨터에 의해서 실행될 수 있는 고급 언어 코드를 포함한다. 상기된 하드웨어 장치는 실시예의 동작을 수행하기 위해 하나 이상의 소프트웨어 모듈로서 작동하도록 구성될 수 있으며, 그 역도 마찬가지이다.The method according to an embodiment may be implemented in the form of a program command that can be executed through various computer means and recorded in a computer-readable medium. The computer-readable medium may include program instructions, data files, data structures, and the like, alone or in combination. The program instructions to be recorded on the medium may be those specially designed and configured for the embodiments or may be available to those skilled in the art of computer software. Examples of computer-readable media include magnetic media such as hard disks, floppy disks and magnetic tape; optical media such as CD-ROMs and DVDs; magnetic media such as floppy disks; Magneto-optical media, and hardware devices specifically configured to store and execute program instructions such as ROM, RAM, flash memory, and the like. Examples of program instructions include machine language code such as those produced by a compiler, as well as high-level language code that can be executed by a computer using an interpreter or the like. The hardware devices described above may be configured to operate as one or more software modules to perform the operations of the embodiments, and vice versa.
이상과 같이 실시예들이 비록 한정된 실시예와 도면에 의해 설명되었으나, 해당 기술분야에서 통상의 지식을 가진 자라면 상기의 기재로부터 다양한 수정 및 변형이 가능하다. 예를 들어, 설명된 기술들이 설명된 방법과 다른 순서로 수행되거나, 및/또는 설명된 시스템, 구조, 장치, 회로 등의 구성요소들이 설명된 방법과 다른 형태로 결합 또는 조합되거나, 다른 구성요소 또는 균등물에 의하여 대치되거나 치환되더라도 적절한 결과가 달성될 수 있다.While the present invention has been particularly shown and described with reference to exemplary embodiments thereof, it is to be understood that the invention is not limited to the disclosed exemplary embodiments. For example, it is to be understood that the techniques described may be performed in a different order than the described methods, and / or that components of the described systems, structures, devices, circuits, Lt; / RTI > or equivalents, even if it is replaced or replaced.
그러므로, 다른 구현들, 다른 실시예들 및 특허청구범위와 균등한 것들도 후술하는 특허청구범위의 범위에 속한다.
Therefore, other implementations, other embodiments, and equivalents to the claims are also within the scope of the following claims.
| Application Number | Priority Date | Filing Date | Title |
|---|---|---|---|
| KR1020150122470AKR102443355B1 (en) | 2015-08-31 | 2015-08-31 | Wireless power transmission and charging system |
| KR1020220113665AKR102544408B1 (en) | 2015-08-31 | 2022-09-07 | Wireless power transmission and charging system |
| KR1020230074656AKR20230088328A (en) | 2015-08-31 | 2023-06-12 | Wireless power transmission and charging system |
| Application Number | Priority Date | Filing Date | Title |
|---|---|---|---|
| KR1020150122470AKR102443355B1 (en) | 2015-08-31 | 2015-08-31 | Wireless power transmission and charging system |
| Application Number | Title | Priority Date | Filing Date |
|---|---|---|---|
| KR1020220113665ADivisionKR102544408B1 (en) | 2015-08-31 | 2022-09-07 | Wireless power transmission and charging system |
| Publication Number | Publication Date |
|---|---|
| KR20170025680Atrue KR20170025680A (en) | 2017-03-08 |
| KR102443355B1 KR102443355B1 (en) | 2022-09-14 |
| Application Number | Title | Priority Date | Filing Date |
|---|---|---|---|
| KR1020150122470AActiveKR102443355B1 (en) | 2015-08-31 | 2015-08-31 | Wireless power transmission and charging system |
| KR1020220113665AActiveKR102544408B1 (en) | 2015-08-31 | 2022-09-07 | Wireless power transmission and charging system |
| KR1020230074656APendingKR20230088328A (en) | 2015-08-31 | 2023-06-12 | Wireless power transmission and charging system |
| Application Number | Title | Priority Date | Filing Date |
|---|---|---|---|
| KR1020220113665AActiveKR102544408B1 (en) | 2015-08-31 | 2022-09-07 | Wireless power transmission and charging system |
| KR1020230074656APendingKR20230088328A (en) | 2015-08-31 | 2023-06-12 | Wireless power transmission and charging system |
| Country | Link |
|---|---|
| KR (3) | KR102443355B1 (en) |
| Publication number | Priority date | Publication date | Assignee | Title |
|---|---|---|---|---|
| WO2019022368A1 (en)* | 2017-07-24 | 2019-01-31 | 엘지이노텍(주) | Method and apparatus for detecting fake charging status to control charging procedure during wireless charging |
| WO2020085614A1 (en)* | 2018-10-23 | 2020-04-30 | 엘지전자 주식회사 | Method and device for transmitting data in wireless power transmission system |
| WO2024096300A1 (en)* | 2022-11-04 | 2024-05-10 | 삼성전자 주식회사 | Wireless power receiving device and operation method therefor |
| US12206259B2 (en) | 2021-01-18 | 2025-01-21 | Samsung Electronics Co., Ltd | Electronic device wirelessly transmitting power, wireless power reception device wirelessly receiving power, and method for operating the same |
| Publication number | Priority date | Publication date | Assignee | Title |
|---|---|---|---|---|
| EP4525268A4 (en)* | 2023-07-28 | 2025-08-13 | Samsung Electronics Co Ltd | WIRELESS CHARGER FOR CHANGING THE OUTPUT VOLTAGE |
| Publication number | Priority date | Publication date | Assignee | Title |
|---|---|---|---|---|
| KR20120128569A (en)* | 2011-05-17 | 2012-11-27 | 삼성전자주식회사 | Power transmitting and receiving apparatus and method for performing a wireless multi-power transmission |
| KR20140008975A (en)* | 2012-07-12 | 2014-01-22 | 삼성전자주식회사 | Wireless power transmitter, wireless power receiver and method for controlling each thereof |
| KR20140057503A (en) | 2014-03-21 | 2014-05-13 | 엘지이노텍 주식회사 | Apparatus for receiving wireless power and method for controlling power thereof |
| KR20140061337A (en) | 2014-04-09 | 2014-05-21 | 엘지이노텍 주식회사 | Wireless power transmission apparatus and wireless power transmission method |
| KR20140110500A (en)* | 2013-03-08 | 2014-09-17 | 삼성전자주식회사 | wireless power transmitter, wireless power receiver and method for controlling each thereof |
| KR20140115898A (en)* | 2013-03-22 | 2014-10-01 | 삼성전자주식회사 | wireless power transmitter, wireless power receiver and method for controlling each thereof |
| KR20140131230A (en)* | 2013-05-03 | 2014-11-12 | 삼성전자주식회사 | Method for controlling abnormal condition in wireless power receiver |
| Publication number | Priority date | Publication date | Assignee | Title |
|---|---|---|---|---|
| KR20120128569A (en)* | 2011-05-17 | 2012-11-27 | 삼성전자주식회사 | Power transmitting and receiving apparatus and method for performing a wireless multi-power transmission |
| KR20140008975A (en)* | 2012-07-12 | 2014-01-22 | 삼성전자주식회사 | Wireless power transmitter, wireless power receiver and method for controlling each thereof |
| KR20140110500A (en)* | 2013-03-08 | 2014-09-17 | 삼성전자주식회사 | wireless power transmitter, wireless power receiver and method for controlling each thereof |
| KR20140115898A (en)* | 2013-03-22 | 2014-10-01 | 삼성전자주식회사 | wireless power transmitter, wireless power receiver and method for controlling each thereof |
| KR20140131230A (en)* | 2013-05-03 | 2014-11-12 | 삼성전자주식회사 | Method for controlling abnormal condition in wireless power receiver |
| KR20140057503A (en) | 2014-03-21 | 2014-05-13 | 엘지이노텍 주식회사 | Apparatus for receiving wireless power and method for controlling power thereof |
| KR20140061337A (en) | 2014-04-09 | 2014-05-21 | 엘지이노텍 주식회사 | Wireless power transmission apparatus and wireless power transmission method |
| Publication number | Priority date | Publication date | Assignee | Title |
|---|---|---|---|---|
| WO2019022368A1 (en)* | 2017-07-24 | 2019-01-31 | 엘지이노텍(주) | Method and apparatus for detecting fake charging status to control charging procedure during wireless charging |
| WO2020085614A1 (en)* | 2018-10-23 | 2020-04-30 | 엘지전자 주식회사 | Method and device for transmitting data in wireless power transmission system |
| US11355971B2 (en) | 2018-10-23 | 2022-06-07 | Lg Electronics Inc. | Method and device for transmitting data in wireless power transmission system |
| US11563343B2 (en) | 2018-10-23 | 2023-01-24 | Lg Electronics Inc. | Method and device for transmitting data in wireless power transmission system |
| US11764623B2 (en) | 2018-10-23 | 2023-09-19 | Lg Electronics Inc. | Method and device for transmitting data in wireless power transmission system |
| US12206259B2 (en) | 2021-01-18 | 2025-01-21 | Samsung Electronics Co., Ltd | Electronic device wirelessly transmitting power, wireless power reception device wirelessly receiving power, and method for operating the same |
| WO2024096300A1 (en)* | 2022-11-04 | 2024-05-10 | 삼성전자 주식회사 | Wireless power receiving device and operation method therefor |
| Publication number | Publication date |
|---|---|
| KR102443355B1 (en) | 2022-09-14 |
| KR102544408B1 (en) | 2023-06-15 |
| KR20220127790A (en) | 2022-09-20 |
| KR20230088328A (en) | 2023-06-19 |
| Publication | Publication Date | Title |
|---|---|---|
| KR102473737B1 (en) | Power control method and apparatus in wireless power transmission system | |
| KR102410533B1 (en) | Wireless power transmission and charging system | |
| KR102363633B1 (en) | Method for controlling wireless power transmitter and wireless power transmitter | |
| KR102544408B1 (en) | Wireless power transmission and charging system | |
| KR20150098589A (en) | Method for preventing abnormal situation in wireless charge | |
| KR20150098222A (en) | Method for detecting a load in wireless charge | |
| US20250125666A1 (en) | Method and apparatus for controlling power in wireless power transfer system | |
| KR102866728B1 (en) | Wireless power transmission and charging system |
| Date | Code | Title | Description |
|---|---|---|---|
| PA0109 | Patent application | Patent event code:PA01091R01D Comment text:Patent Application Patent event date:20150831 | |
| PG1501 | Laying open of application | ||
| PN2301 | Change of applicant | Patent event date:20171222 Comment text:Notification of Change of Applicant Patent event code:PN23011R01D | |
| A201 | Request for examination | ||
| PA0201 | Request for examination | Patent event code:PA02012R01D Patent event date:20200701 Comment text:Request for Examination of Application Patent event code:PA02011R01I Patent event date:20150831 Comment text:Patent Application | |
| E902 | Notification of reason for refusal | ||
| PE0902 | Notice of grounds for rejection | Comment text:Notification of reason for refusal Patent event date:20220106 Patent event code:PE09021S01D | |
| E701 | Decision to grant or registration of patent right | ||
| PE0701 | Decision of registration | Patent event code:PE07011S01D Comment text:Decision to Grant Registration Patent event date:20220607 | |
| PA0107 | Divisional application | Comment text:Divisional Application of Patent Patent event date:20220907 Patent event code:PA01071R01D | |
| GRNT | Written decision to grant | ||
| PR0701 | Registration of establishment | Comment text:Registration of Establishment Patent event date:20220908 Patent event code:PR07011E01D | |
| PR1002 | Payment of registration fee | Payment date:20220908 End annual number:3 Start annual number:1 | |
| PG1601 | Publication of registration |