












본 발명은 축사, 돈사. 계사 등 모든 동물을 키우는 곳을 대상으로 실시간 가축 도난 방지를 위한 모듈화 기반의 지능형 영상 감시 시스템 및 그 방법에 관한 것으로서, 보다 상세하게는 가축을 기르는 장소의 실내외에 적당한 간격으로 유/무선 인터넷이 가능한 네트워크 카메라(IP-CCTV)를 설치하고 실시간으로 입력되는 영상을 분석함으로써, 인간 중심의 이동 객체 감지 기술들이 아닌, 지능형 관심영역(ROI, Region of Interest)설정을 위해 소벨 오퍼레이터(Sobel Operator)를 통한 입력 영상 에지 추출 기능과 횡방향 에지 그룹화 기능과 관심 영역 펜스 자동 설정 기능과 Min-Max 배경 모델링과 GMM(Gaussian Mixture Model) 기법을 융합하여 이동 객체 탐지를 위한 배경 분리 알고리즘 기능과 움직임 영역 추출 기능과 움직임 영역 잡음 제어 기능과 이동 객체 추출 기능과 HOG(Histogram of Oriented Gradient) 모델링 방법을 이용하여 주요 축산물인 소, 돼지, 닭 등의 가축의 도난을 실시간으로 감시하기 위한 모듈화 기반 지능형 영상 감시 시스템 및 방법에 관한 것이다.The present invention relates to a housing, a pig. The present invention relates to a modularized intelligent video surveillance system and method for preventing theft of real-time domestic animals. More specifically, the present invention relates to an intelligent video surveillance system and a method thereof, By installing a network camera (IP-CCTV) and analyzing images input in real time, it is possible not to use human-centered moving object detection technology but to set an intelligent ROI (Region of Interest) through Sobel Operator It combines input image edge extraction function, lateral edge grouping function, automatic setting of interest area fence, Min-Max background modeling and GMM (Gaussian Mixture Model) Motion area noise control function, moving object extraction function, and HOG (Histogram of Oriented Gradien The present invention relates to a modular-based intelligent video surveillance system and method for real-time monitoring of theft of cattle such as cattle, pigs, and chickens, which are major livestock products, by using a modeling method.
최근, 우리 사회에 도난, 강도 등 사람에 의한 물리적인 범죄와 산불, 방화, 홍수 등 재난과 재해 및 교통사고 등 주변에서 각종 사건/사고가 끊임없이 발생한다. In recent years, various incidents / accidents such as disasters, accidents, traffic accidents such as forest fires, arson, floods, and other physical incidents such as theft, robbery, etc., have occurred in our society.
특히, 농촌지역은 도시지역에 비해 범죄에 대한 노출이 잦으며 범죄자의 검거율 또한 낮은 추세이다.In particular, rural areas are exposed to crime more frequently than urban areas, and the arrest rate of criminals is also low.
경찰청이 국회에 제출한 "2013 축산물 도난범죄 현황"자료에 따르면 5년(2009~2013)간 농축산물 도난 범죄는 모두 3898건이 발생하였고, 연도별로는 △2009년 742건 △2010년 524건 △2011년 1108건 △2012년 1043건 △2013년(~7월) 481건 등으로 해마다 늘어나는 추세이며, 검거건수와 검거율의 경우 도난 범죄 증가에도 불구하고 검거율은 떨어지고 있는 것으로 조사됐다. 아래 표 1과 같이 5년 간 평균 검거율은 44%였다.According to the National Police Agency's "2013 Livelihood Crime Status of Livestock Products" report, 3898 cases of agricultural and livestock theft crimes occurred in 5 years (2009 ~ 2013), 742 cases in 2009, 524 cases in 2010, 1108 cases, 1043 cases in 2012, and 481 cases in 2013 (July). In the case of arrests and arrests, the arrest rate is dropping despite the increase in the number of theft crimes. As shown in Table 1 below, the average arrest rate during the five-year period was 44%.
현재, 이러한 범죄를 예방하고 가축의 도난을 감시할 수 있도록 CCTV(Closed Circuit TV)와 같은 영상 기반의 감시 장치를 설치하여 축사의 실시간 상황을 감시 요원이 직접 감시하거나 영상 데이터를 DVR(Digital Video Recorder)를 통해 수집하고 있다.Currently, video-based surveillance devices such as CCTV (Closed Circuit TV) are installed to prevent such crimes and to monitor theft of livestock, ).
그러나 현재 농촌의 CCTV 시스템은 감시 인력의 부족으로 대부분 도난이 발생한 후에 저장된 영상을 분석하여 수동으로 사건을 처리하는 문제점이 있다.However, current CCTV system in rural area has a problem of manually processing the incident by analyzing the stored images after theft mostly due to lack of monitoring personnel.
농촌 범죄에 대한 CCTV의 역할이 증가하고 있는 현 시점에서 주요 가축(특히 소)의 도난이 발생한 후에 DVR로부터 저장된 영상을 수동으로 분석하는 번거로움을 방지하기 위해 축사에 적당한 간격으로 IP-CCTV를 설치하고 입력된 영상을 자동으로 분석함으로써 무인으로 도난을 사전에 감지하여 경보 시스템을 동작하고 관계기관(경찰서 등)에 유/무선 인터넷을 통해 자동으로 도난 신호를 관계자에게 송신하는 실시간 지능형 감시 시스템의 개발 및 보급이 필요하다.At the present time when the role of CCTV for rural crime is increasing, IP-CCTV is installed at appropriate intervals in the barn to prevent the manual analysis of the images stored from DVR after theft of major livestock (especially cattle) And automatically analyzes the input video to detect unauthorized theft before operating the alarm system and automatically transmits the theft signal to the related organizations (such as police stations) via wired / wireless Internet. And diffusion.
한편, 국내 관련기술 현황으로 (1) 가축 위치 확인 시스템 : RFID 태그를 이용하고, 축사의 출입구에 태그 판독기를 설치하고, 판독기에서 태그를 인식하여 소의 이동정보를 획득하며, 이동 정보를 이용하여 도난 여부를 판단하는 기술로 ㈜씨티앤디가 보유하고 있다.(1) Livestock Positioning System: RFID tag is installed, a tag reader is installed at a doorway of a house, a tag is recognized in a reader to acquire movement information of a cattle, It is owned by Citi Andy Co., Ltd.
(2) 축사 보안 장치 : 축사 내에 음향 센서를 설치하고, 센싱된 오디오 데이터의 특징 벡터를 추출하며, SVM(Support Vector Machine)을 통해 축사의 정상 상황 소리를 학습하고, SVM 데이터를 기초로 축사의 비정상 상황의 발생을 탐지하는 기술로 고려대학교가 보유하고 있다.(2) Household security device: Install a sound sensor in the house, extract the feature vector of the sensed audio data, learn the normal situation sound of the house through SVM (Support Vector Machine) Korea University has a technology to detect the occurrence of an abnormal situation.
(3) RFID 기반 가축 그룹 관리 : RFID(Radio Frequency Identification) 태그를 이용하고, 복수의 가축을 복수의 그룹으로 분리하며, 그룹별 가축 집단 관리하고, 식별 정보를 주기적으로 갱신하여 가축의 이상 행동을 탐지하는 기술로 ㈜메타라이츠가 보유하고 있다.(3) Management of livestock group based on RFID: RFID (Radio Frequency Identification) tag is used, plural livestock is divided into plural groups, livestock group management is performed for each group, and the identification information is periodically updated, It is a technology to detect it.
(4) 가축 관리 시스템 : RTLS(Real Time Location System) 태그를 이용하고, 태그와 통신 가능한 유/무선 서버를 운용하며, 클라이언트를 통해 가축의 이동 정보를 획득하는 기술로 ㈜엘지이노텍이 보유하고 있다.(4) Livestock Management System: It is a technology that uses a Real Time Location System (RTLS) tag, operates a wired / wireless server capable of communicating with a tag, and obtains livestock movement information through a client, which is owned by LG Innotek .
(5) 지능형 축산물 인식 시스템 : 색상 기반 움직임 영역 탐지, 객체 분석과, 객체 분류 후보 추출(사람, 축산물)하며, 행동 분류를 통한 사람 및 축산물 인식하는 기술로 군산대가 보유하고 있다.(5) Intelligent Livestock Recognition System: Color based motion area detection, object analysis, object classification candidate extraction (human, livestock products), and technology for recognizing human and livestock products through behavior classification.
또한 국외 관련기술 현황으로 (1) Mobile monitoring in the dairy cattle sector : 소에 무선 모바일 통신 센서(WAN: Wireless Area Network)를 부착하고, 소의 위치 정보를 WAN을 통해 무선으로 송신하며, 관리자는 모바일 장비를 이용하여 소의 위치 정보를 무선으로 수신하여 도난 여부를 감지하는 기술로 Well Cow가 보유하고 있다.(1) mobile monitoring in the dairy cattle sector: wireless mobile communication sensor (WAN) is attached to the cattle, and the location information of the cattle is transmitted wirelessly through the WAN, Well Cow is a technology that wirelessly receives location information of a cow and detects the theft.
(2) IP-CCTV Surveillance of Livestock : 축사에 미리 설정한 감시구역에 IP-CCTV를 설치하고, 무선 통신 장비를 이용하여 감시구역의 영상을 무선 송신하며, 네트워크 접속 가능 장비를 이용하여 감시구역을 모니터링하는 방법으로, 무선 영상 전송만 가능하고 영상 분석에 대한 실시간 도난 감지 기능은 없는 기술로 DARD가 보유하고 있다.(2) IP-CCTV Surveillance of Livestock: IP-CCTV is installed in a pre-set monitoring area in the house, wirelessly transmitting video of the monitoring area using wireless communication equipment, DARD has a technology that monitors only the wireless video transmission and does not have real-time theft detection function for image analysis.
(3) RFID based LITS system : LITS(Livestock Identification Trace system), 감시 가축에 RFID 태그를 장착하고, 축사 출입구에 RFID 스캐너를 장착하며, 소가 축사를 이탈하면 관리자에게 경보를 전송하는 기술로 Tinus Burger가 보유하고 있다.(3) RFID based LITS system: LITS (Livestock Identification Trace system), RFID tag attached to livestock cattle, RFID scanner attached to the entrance of the house, and alert to the administrator when the cattle leaves the house. Tinus Burger .
(4) Farm security solutions : 축사의 출입구에만 CCTV를 설치하고, 출입구에 이동 물체가 감지되면 관리자에게 경보하며, NVR을 이용하여 이동 객체 탐지 영상을 저장하는 기술로 Moocall이 보유하고 있다.(4) Farm security solutions: Moccall has CCTV installed at the entrance of the housing, alarming the administrator when a moving object is detected at the entrance, and storing the moving object detection image using the NVR.
또한, 도 1에 도시된 바와 같이 종래의 CCTV 기반 영상 감시 시스템은 크게 국가에서 관리하는 감시 시스템과 일반 주민이 관리하는 민간 감시 시스템이 있다. 대형 감시센터는 전문 요원이 CCTV를 직접 감시하고 분석하지만, 운영 가격이 매우 고가이며 도난 사건이 발생한 현장을 감시하지 못 한 경우에는 사후에 저장된 영상을 분석하여 사건을 해결한다. 또한, 농촌 주민이 직접 관리하는 민간 감시 시스템은 감시센터 보다 실시간 감시가 어려운 실정이며 도난 사건을 실시간으로 감시하기 위해서는 많은 운영 요원이 필요하나, 농촌의 현실은 인력이 턱없이 부족하다.Also, as shown in FIG. 1, a conventional CCTV-based video surveillance system is largely a surveillance system managed in a country and a private surveillance system managed by a general resident. The large surveillance center monitors and analyzes the CCTV directly, but when the operation price is very expensive and the surveillance site where the theft occurred can not be monitored, the incident image is analyzed and the case is resolved. In addition, the private surveillance system managed by the rural residents is more difficult to monitor than the surveillance center. In order to monitor the theft incident in real time, many operators are needed, but the reality of the rural is insufficient.
이러한 종래 발명들은 IP-CCTV를 설치 할 때나 IP-CCTV의 위치를 이동할 때마다 사용자가 매번 수동으로 관심 영역의 설정을 다시 해야 한다는 문제점과 특히 축사 내부의 복잡한 환경은 단순한 배경과 달리 작은 물체 또는 조명 변화로 인해 움직임들이 많이 생기면서 다수의 이미지 판독 에러가 발생할 가능성이 높다.These conventional inventions have a problem that the user has to manually set the area of interest again each time the IP-CCTV is installed or the location of the IP-CCTV is moved, and in particular, the complicated environment inside the housing, There is a high possibility that a large number of image reading errors occur due to a large number of movements due to the change.
특히 아래 표 2에서와 같이 (미)Buyerbeware의 연구 결과에 의하면 종래의 CCTV 감사에 한계를 보여주고 있다.In particular, as shown in Table 2 below, (US) Buyerbeware's study shows the limitations of conventional CCTV audits.
또한, 이미지 판독 에러를 방지하기 위한 이동 객체 감지 기술들은 약간의 환경 변화 즉, 배경의 흔들림, 조도 변화 등의 잡음에 민감하다는 단점을 가진다.In addition, moving object detection techniques for preventing image reading errors have a disadvantage in that they are sensitive to noise such as background shake, illumination change, and the like.
특히, 인간 중심의 이동 객체 감지 기술들은 동물 중심의 감지 기술에 적용하였을 경우 매우 심각한 이미지 판독 에러를 발생시킨다.In particular, human-centered moving object sensing techniques cause very serious image reading errors when applied to animal-based sensing techniques.
이미지 판독 에러를 방지하기 위한 이동 객체 분류 기술은 색상 정보를 주로 이용하며 색상 정보는 객체가 갖는 고유한 색상을 가장 잘 나타내기 때문에 객체의 분류를 위한 기본 데이터로 흔하게 사용된다. 하지만 색상 정보만을 이용하면 빛에 민감한 단점을 가지고 있어 추출 결과에 대한 오류가 크다.Moving object classification technology to prevent image reading error mainly uses color information, and color information is most commonly used as basic data for classifying objects because it best represents the inherent color of the object. However, when using only color information, there are disadvantages to be sensitive to light, and there is a large error in extraction results.
또한 고가의 IP-CCTV 감시 시스템을 옵션없이 설치해야 해서 초기 설치비용이 증가하는 문제점이 있다.In addition, expensive IP-CCTV surveillance system must be installed without options, which increases initial installation cost.
본 발명은 상기와 같은 문제점을 해결하기 위하여 안출된 것으로서, 본 발명은 유/무선 인터넷이 가능한 IP-CCTV로부터 모듈 기반 지능형 영상 분석 장치로 영상을 입력 받아 새로운 객체 추출 알고리즘 등을 통해 이동 영역을 추출하고, 객체를 식별한 뒤 이동 물체를 추적하여 사람에 의한 가축의 도난을 실시간으로 감지하는 시스템 및 방법을 모듈화하여 제공하는 데 목적이 있다.SUMMARY OF THE INVENTION The present invention has been conceived to solve the above problems, and it is an object of the present invention to provide a module-based intelligent image analyzing apparatus capable of receiving a moving image from a IP- And a system and method for detecting theft of a livestock by a person in real time by tracking a moving object after identifying the object.
또한, 본 발명은 새로운 객체 추출 알고리즘 등을 통해 축사 내부의 특수한 환경에서 작은 물체 또는 조명 변화로 인해 움직임들이 많이 생기더라도 지능형 관심영역(ROI, Region of Interest) 설정을 위해 소벨 오퍼레이터(Sobel Operator)를 통한 입력 영상 에지 추출 기능과 횡방향 에지 그룹화 기능과 관심 영역 펜스 자동 설정 기능과 Min-Max 배경 모델링과 GMM(Gaussian Mixture Model)을 융합하여 이동 객체 탐지를 위한 배경 분리 알고리즘 기능과 움직임 영역 추출 기능과 움직임 영역 잡음 제어 기능과 이동 객체 추출 기능과 HOG(Histogram of Oriented Gradient) 모델링 방법으로 정확한 판독을 하여, 관리자 및 상시 대기 중인 경비원에게 이를 알리고 원격 모니터링 프로그램을 통해 상황을 실시간 전송할 수 있는 실시간 가축 도난 방지를 위한 모듈화 기반의 지능형 영상 감시 시스템 및 그 방법을 제공하는 데 목적이 있다.In addition, the present invention provides a Sobel operator for setting an intelligent region of interest (ROI) even if a lot of movements occur due to small objects or lighting changes in a special environment inside a house through a new object extraction algorithm or the like The background segmentation algorithm and the motion area extraction function for detecting moving objects by combining the input image edge extraction function and the lateral edge grouping function, the automatic setting of the interest area fence, the Min-Max background modeling and the GMM (Gaussian Mixture Model) Accurate readings using motion area noise control, moving object extraction, and Histogram of Oriented Gradient (HOG) modeling methods to inform administrators and security guards in real-time and real-time transmission of real-time situations via remote monitoring programs Intelligent video surveillance based on modularity for System and method therefor.
상기 과제를 해결하기 위하여 본 발명은 IP-CCTV로부터 실시간으로 입력되는 영상을 분석함으로써, 대/중/소규모 농가에서 키우는 가축의 도난을 실시간으로 방지하기 위한 모듈화 기반의 지능형 영상 감시 시스템에 있어서, 가축의 도난을 실시간 감시하는 영상을 생성하여 유/무선으로 송신하는 유/무선 IP-CCTV; 상기 유/무선 IP-CCTV로부터 영상을 수신하는 유/무선 영상 수신 장치; 상기 유/무선 영상 수신 장치로부터 영상을 전달받아 분석하는 모듈기반 지능형 영상 분석 장치; 상기 모듈기반 지능형 영상 분석 장치로부터 분석한 영상으로부터 도난 또는 이상 상황을 판독하여 경보 신호를 1차로 침입 방지와 2차로 도난 방지로 나누어 발령하는 경보 발령 서비스 모듈; 상기 모듈기반 지능형 영상 분석 장치에서 분석한 영상을 실시간으로 모니터링 할 수 있는 모니터링 GUI(Graphic User Interface); 상기 모듈기반 지능형 영상 분석 장치에서 분석된 영상으로 침입 상황 또는 도난 상황을 판독하여 알람 신호를 발생시키는 임베디드 알람 장치; 상기 임베디드 알람 장치로부터 알람 신호를 전달받는 관리자 단말기; 및 상기 임베디드 알람 장치로부터 알람 신호를 전달받는 유관기관 단말기;를 포함한다.According to an aspect of the present invention, there is provided a module-based intelligent video surveillance system for preventing real-time theft of a livestock growing in a large / medium / small scale farmhouse by analyzing images inputted from IP- Wired / wireless IP-CCTV that generates real-time surveillance images of thefts and transmits them via wired / wireless; A video / wireless video receiving device for receiving video from the wired / wireless IP-CCTV; A module-based intelligent image analyzing device for receiving and analyzing images from the wired / wireless video receiving device; An alarm announcement service module for reading the theft or abnormal situation from the analyzed image from the module-based intelligent image analyzing device and dividing the alarm signal into the first intrusion prevention and the second intrusion prevention; A monitoring GUI (Graphic User Interface) capable of monitoring images analyzed by the module-based intelligent image analyzing apparatus in real time; An embedded alarm device for generating an alarm signal by reading an intruding state or a stolen state from an image analyzed by the module-based intelligent image analyzing apparatus; An administrator terminal for receiving an alarm signal from the embedded alarm device; And an affiliate institution terminal that receives an alarm signal from the embedded alarm device.
여기에서 상기 모듈기반 지능형 영상 분석 장치는, 지능형 관심영역 설정을 위해 소벨 오퍼레이터를 통한 입력 영상 에지 추출 기능과 횡방향 에지 그룹화 기능과 관심 영역 펜스 자동 설정 기능을 포함하는 축사 내 관심 영역 설정 모듈; Min-Max 배경 모델링과 GMM을 융합하여 이동 객체 탐지를 위한 배경 분리 알고리즘 기능과 움직임 영역 추출 기능과 움직임 영역 잡음 제어 기능과 이동 객체 추출 기능을 포함하는 축사 내 이동 객체 인식 모듈; HOG(Histogram of Oriented Gradient) 모델링 방법을 이용한 기하학 정보 추출 기능과 객체 분류 알고리즘 기능과 가축/사람 분류 기능을 포함하는 사람과 가축을 분류하기 위한 분류 모듈; 학습된 경로와 비교하는 가축의 이동 경로 학습 기능과 사람의 이동 경로 학습 기능을 포함하는 외부인 침입 상황 감지를 위한 침입 감지 모듈; 사람의 이동 경로 학습 기능을 통해 사람 이동 경로 학습 DB에 저장된 데이터로 사람의 침입을 식별하는 가축 도난 상황의 감지를 위한 도난 감지 모듈; 사람의 이동 경로를 저장하는 사람 이동 경로 학습 DB; 및 가축의 이동 경로를 저장하는 가축 이동 경로 학습 DB;를 포함한다.The module-based intelligent image analyzing apparatus includes an in-store interest area setting module including an input image edge extracting function, a lateral edge grouping function and an interest area fence automatic setting function through a Sobel operator for setting an intelligent ROI; A moving object recognition module in a house including a background separation algorithm function for detecting moving objects, a motion region extraction function, a motion region noise control function, and a moving object extraction function by merging Min-Max background modeling and GMM; A classification module for classifying people and livestock including geometry information extraction function, object classification algorithm function and livestock / person classification function using Histogram of Oriented Gradient (HOG) modeling method; An intrusion detection module for detecting an outsider intrusion situation including a livestock route learning function and a human path learning function for comparing with a learned route; A theft detection module for detecting a livestock stolen situation that identifies a human intrusion by data stored in a human path learning DB through a human path learning function; A moving path learning DB for storing a moving path of a person; And a livestock moving route learning DB for storing the moving route of the livestock.
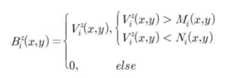
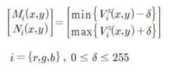
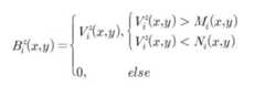
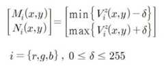
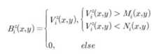
또한, 본 발명의 축사 내 이동 객체 인식 모듈은 하기 수학식 1에서 연속된 영상의 각 픽셀 위치에서 최대 최소 조건을 만족하는 움직임 영역를 수학식 2를 이용해 얻고, 수학식 2에 의해 추출된 이동 객체의 움직임 영역은 민감도 파라메터 δ의 영향을 받는 것을 특징으로 한다.In addition, the moving object recognition module in a house according to the present invention is characterized in that, At the respective pixel positions of the moving region < RTI ID = 0.0 > And the motion region of the moving object extracted by Equation (2) is affected by the sensitivity parameter?.
[수학식 1][Equation 1]
[수학식 2]&Quot; (2) "
본 발명은 사람과 가축을 분류하기 위한 분류 모듈로 이동 객체의 기하학 정보 특징을 추출하기 위해 HOG 방법을 이용하여 대상 영역을 일정 크기의 셀로 분할하고, 각 셀마다 에지 픽셀들의 방향에 대한 히스토그램을 구한 후 그 값들을 일렬로 연결한 벡터를 생성하는 것을 특징으로 한다.The present invention divides a target area into cells of a certain size using a HOG method to extract geometric information features of a moving object with a classification module for classifying human and livestock and obtains histograms of the directions of edge pixels for each cell And then a vector obtained by connecting the values in a line is generated.
상기 모듈기반 지능형 영상 분석 장치는 조명 변화에 둔한 HSI color model과 이를 정규화한 qualified HSI model을 이용하여 영상차를 적용한 뒤 움직임 영역을 추출한다.The module-based intelligent image analyzing apparatus extracts a motion region after applying an image difference using an HSI color model dull to illumination change and a qualified HSI model normalized thereto.
또한, 본 발명의 상기 모듈기반 지능형 영상 분석 장치는, 팽창(Dilatation)과 침식(Erosion) 연산과정을 적용해 잡음을 최소화한 움직임 영역을 구하거나 공간상의 정보(Spatial Gradient)와 시간상의 정보(Temporal Gradient)를 이용하여 물체 추출한다.In addition, the module-based intelligent image analyzing apparatus of the present invention may be configured to perform a dilation and an erosion operation to obtain a motion region minimizing noise, or to obtain information on spatial Gradient and temporal information Gradient is used to extract the object.
상기 모듈기반 지능형 영상 분석 장치는, 움직임 영역이 추출되었을 때 각각의 움직임 물체의 추적을 위해서 움직임 물체에 대한 특징점을 추출하기 위해, KLT(Kanade-Lucas-Tomasi) 알고리즘과 움직임 물체의 옷의 색 특성 및 위치 정보를 이용하여 특징점을 추출한다.The module-based intelligent image analyzing apparatus includes a KLT (Kanade-Lucas-Tomasi) algorithm and a color characteristic of a moving object in order to extract a characteristic point of a moving object in order to track each moving object when a moving region is extracted And extracts feature points using the position information.
상기 모듈기반 지능형 영상 분석 장치는, 구조 정보는 윤곽선 추출 알고리즘인 GVF( Gradient Vector Flow)와 같은 Active Contour 알고리즘을 사용한다.The module-based intelligent image analysis apparatus uses an active contour algorithm such as GVF (Gradient Vector Flow), which is an outline extraction algorithm.
본 발명은 실시간 가축 도난 방지를 위한 모듈화 기반의 지능형 영상 감시 방법에 있어서, 사람 침입을 감지하기 위해서 감시 영역에서 사람의 이동 경로를 학습하고 학습한 결과를 사람 이동 경로 학습 DB에 저장하는 단계; 가축의 도난을 인지하기 위해서 감시 영역에서 사람과 가축의 이동 경로를 학습하고 학습한 결과를 사람 이동 경로 학습 DB와 가축 이동 경로 학습 DB에 저장하는 단계; 축사 내부에 사람 침입 상황이 발생하는 단계; Min-Max 배경 모델링과 GMM을 융합하여 이동 객체 탐지를 위한 배경 분리 알고리즘 기능과 움직임 영역 추출 기능과 움직임 영역 잡음 제어 기능과 이동 객체 추출 기능과 HOG 방법을 이용하여 대상 영역을 일정 크기의 셀로 분할하고, 각 셀마다 에지 픽셀들의 방향에 대한 히스토그램을 구한 후 그 값들을 일렬로 연결한 벡터를 생성하여 침입자와 가축이 울타리를 이탈하는 가축의 도난 상황의 발생을 감지하는 단계; 사람 이동 경로 학습 DB를 기반으로 사람의 비정상 이동을 인식하여 침입 상황을 감지하는 단계; 외부인 침입 상황이 발생하면, Server의 제어부에서 축사 내부의 임베디드 알람 장치 및 사용자의 스마트 폰에 실시간으로 경보를 발생하는 단계; 사람과 가축의 이동 경로 학습 DB를 기반으로 사람과 가축의 비정상 이동을 인식하여 도난 상황을 인지하는 단계; 및 가축의 도난 상황이 발생하면, Server의 제어부에서 축사 내부의 임베디드 알람 장치 및 사용자의 스마트폰과 인터넷을 통해 유관기관에 실시간으로 경보를 발생하는 단계;를 포함한다.The present invention relates to a module-based intelligent video surveillance method for preventing real-time animal theft, comprising the steps of: learning a movement path of a person in a surveillance area to detect a human intrusion and storing the learned result in a human movement path learning DB; Learning the movement route of man and livestock in the surveillance area to recognize theft of the livestock and storing the learning result in the human movement route learning DB and the livestock movement route learning DB; A step in which a human intrusion situation occurs inside the housing; By combining the Min-Max background modeling and GMM, we can divide the target area into cells of a certain size by using the background separation algorithm function, the motion area extraction function, the moving area noise control function, the moving object extraction function and the HOG method for moving object detection A histogram of the direction of edge pixels is obtained for each cell, and a vector in which the values are connected in a line is generated to detect occurrence of a stolen state of the livestock leaving the fence by the intruder and the livestock; Detecting an intruding situation by recognizing an abnormal movement of a person based on a human movement path learning DB; Generating an alarm in real time from the control unit of the server to the embedded alarm device inside the housing and the smartphone of the user when an outsider situation occurs; Recognizing an anomalous situation by recognizing an abnormal movement of a person and a livestock based on a moving path learning DB of a person and a livestock; And generating alarms in real time to the related institutions through the embedded alarm device in the housing and the user's smart phone and the Internet from the control unit of the server when the stolen situation of the livestock occurs.
본 발명의 상기 축사 내부에 사람 침입 상황이 발생하는 단계는 축사 내부에 사람이 진입하거나 축사의 외벽으로 진입 단계; 가축우리 내 사람의 출현 단계; 사람의 비정상 이동 경로 인식 단계; 사람의 정상 이동 경로를 이탈하여 가축의 우리로 진입 단계;로 구성되고, 침입자와 가축이 울타리를 이탈하는 가축의 도난 상황이 발생하는 단계는, 침입자와 가축이 울타리 이탈 단계; 사람의 이동 경로가 가축의 이동 경로와 유사한 단계; 가축이 정상 이동 경로를 이탈하는 단계; 감시 구역 내 침입자 없음 단계;로 구성된다.The step of generating a human invasion situation inside the barn of the present invention comprises: entering a person into the barn or entering the barn's outer wall; Livestock The emergence phase of our human being; An abnormal movement path recognition step of a person; The step of entering the livestock by leaving the normal travel route of the person, and the stage where the intruder and the livestock deviating from the fence occur, the intruder and the livestock are separated from the fence; A step in which a human moving path is similar to a moving path of a livestock; Leaving the livestock out of the normal travel path; And no intruder in the surveillance zone.
본 발명에서 상기 사람 이동 경로 학습 DB와 가축 이동 경로 학습 DB에 저장하는 단계는 침입자와 가축의 이동 경로를 정상 이동 경로와 비정상 이동 경로로 분류하여 학습하고 학습 결과를 각각 DB에 저장하는 단계; 침입자를 감지하기 위해 사람의 이동경로 학습 DB를 기반으로 사람의 비정상 이동을 인식하여 침입 상황을 감지하는 단계; 및 침입자와 가축의 이동경로 학습 DB를 기반으로 사람과 가축의 비정상 이동을 인식하여 가축의 도난을 감지하는 단계;를 더 포함하되, 시간이 지날수록 학습 DB의 데이터가 늘어남에 따라 가축과 침입자의 정상/비정상 이동 인식 오류는 감소한다.In the present invention, the step of storing in the human movement path learning DB and the livestock movement path learning DB may include classifying the intruder and the livestock movement path into a normal movement path and an abnormal movement path, Detecting an intruder by recognizing an abnormal movement of a person based on a moving path learning DB of a person to detect an intruder; And detecting theft of the livestock by recognizing abnormal movement of a person and a livestock on the basis of a moving path learning DB of an intruder and a livestock. However, as the data of the learning DB increases over time, the livestock and the intruder Normal / abnormal motion recognition errors are reduced.
본 발명에서 가축의 도난 상황의 발생을 감지하는 단계는 축사 내 관심 영역 설정 모듈로 지능형 관심영역(ROI, Region of Interest) 설정을 위해 소벨 오퍼레이터(Sobel Operator)를 통한 입력 영상 에지 추출 기능과 횡방향 에지 그룹화 기능과 관심 영역 펜스 자동 설정하는 단계;를 포함한다.In the present invention, the step of detecting the occurrence of theft of the livestock may include an input image edge extraction function through a Sobel operator for setting an intelligent ROI (Region of Interest) And automatically setting an edge grouping function and a fence area of interest.
또한, 본 발명에서 가축의 도난 상황의 발생을 감지하는 단계는 축사 내 이동 객체 인식 모듈로 Min-Max 배경 모델링과 GMM을 융합하여 이동 객체 탐지를 위한 배경 분리 알고리즘 기능과 움직임 영역 추출 기능과 움직임 영역 잡음 제어 기능과 이동 객체를 추출하는 단계;를 포함한다.In the present invention, detecting the occurrence of theft of a livestock is a moving object recognition module in a house, which combines Min-Max background modeling and GMM to perform a background separation algorithm function for detecting moving objects, And a noise control function and a moving object extraction step.
본 발명에서 가축의 도난 상황의 발생을 감지하는 단계는 분류 모듈로 HOG 모델링 방법을 이용한 기하학 정보 추출 기능과 객체 분류 알고리즘 기능과 가축/사람 분류하는 단계;를 포함한다.In the present invention, detecting the occurrence of a stolen livestock of a livestock includes a geometric information extraction function, an object classification algorithm function, and a livestock / person classification using a HOG modeling method as a classification module.
본 발명에서 가축의 도난 상황의 발생을 감지하는 단계는 조명 변화에 둔한 HSI color model과 이를 정규화한 qualified HSI model을 이용하여 영상차를 적용한 뒤 움직임 영역을 추출하는 단계;를 포함한다.In the present invention, the step of detecting the occurrence of a stolen livestock includes a step of extracting a moving region after applying an image difference using a HSI color model dull to illumination change and a qualified HSI model normalized thereto.
본 발명에서 가축의 도난 상황의 발생을 감지하는 단계는 Dilatation(팽창)과 Erosion(침식) 연산작용을 적용해 잡음을 최소화한 움직임 영역을 구하는 단계(모폴로지);를 포함한다.In the present invention, the step of detecting the occurrence of the stolen state of a livestock includes a step (morphology) of obtaining a motion area minimizing noise by applying Dilatation (expansion) and Erosion (erosion) operations.
본 발명에서 가축의 도난 상황의 발생을 감지하는 단계는 공간상의 정보(Spatial Gradient)와 시간상의 정보(Temporal Gradient)를 이용한 물체 추출하는 단계;를 포함한다.In the present invention, detecting the occurrence of a stolen state of a livestock includes an object extraction using spatial information and temporal information.
본 발명에서 가축의 도난 상황의 발생을 감지하는 단계는 움직임 영역이 추출되었을 때 각각의 움직임 물체의 추적을 위해서 움직임 물체에 대한 특징점을 추출하기 위해, KLT(Kanade-Lucas-Tomasi) 알고리즘과 움직임 물체의 옷색 특성 및 위치 정보를 이용하여 특징점을 추출하는 단계;를 포함한다. In the present invention, the step of detecting the occurrence of a stolen livestock state includes the steps of: detecting a KLT (Kanade-Lucas-Tomasi) algorithm and a motion object And extracting characteristic points using the characteristic of the color and positional information of the characteristic points.
본 발명에서 가축의 도난 상황의 발생을 감지하는 단계는 윤곽선 추출 알고리즘인 GVF(Gradient Vector Flow)와 같은 Active Contour 알고리즘을 사용하는 단계;를 포함한다.In the present invention, the step of detecting the occurrence of a stolen state of a livestock includes using an active contour algorithm such as GVF (Gradient Vector Flow), which is an outline extraction algorithm.
상기와 같이 이루어지는 본 발명은축사를 포함한 가축을 키우는 장소에 설치된 네트워크 카메라를 통해 입력되는 영상을 새로운 객체 추출 알고리즘인 지능형 관심영역(ROI) 설정을 위해 소벨 오퍼레이터를 통한 입력 영상 에지 추출 기능과 수평 Mask(행렬 형태의 화소 그룹)를 이용하여 횡방향 에지를 추출하고 관심 영역 펜스 자동 설정 기능을 통해 입력 영상을 분석하여 관심영역을 그룹화하여 설정함으로써, IP-CCTV의 위치를 이동하여도 관심 영역의 설정을 다시 할 필요가 없는 편리성이 있다.According to the present invention,The image input through the network camera installed in the place where the livestock including the house is placed is extracted by the input image edge extraction function and the horizontal mask (matrix pixel group) through the Sobel operator for setting the intelligent ROI, , It is possible to extract the horizontal edge and to set the interest area by grouping by analyzing the input image through the automatic setting function of the interest area fence so that it is not necessary to set the region of interest again even if the position of the IP- There is a castle.
또한, 본 발명은 네트워크 카메라를 통해 입력되는 영상을 새로운 객체 추출 알고리즘인 Min-Max 배경 모델링과 GMM을 융합하여 이동 객체 탐지를 위한 배경 분리 알고리즘 기능과 움직임 영역 추출 기능과 움직임 영역 잡음 제어 기능과 이동 객체 추출 기능과 HOG 모델링 방법으로 축사 내부의 특수한 환경에서 작은 물체 또는 조명 변화로 인해 움직임들이 많이 생기더라도 정확하면서 지능적으로 분석함으로써, 가축의 도난을 실시간으로 감시하여 감시 인력 및 시간을 줄이고 농가의 재산을 보호한다.In addition, the present invention provides a background separation algorithm function, a motion area extraction function, a motion region noise control function, and a moving image noise control function for detecting moving objects by combining a Min-Max background modeling algorithm and a GMM The object extraction function and the HOG modeling method can accurately and intelligently analyze even a lot of movements due to small objects or lighting changes in a special environment inside the house to monitor the theft of livestock in real time, Lt; / RTI >
또한, 본 발명은 사람 이동경로를 학습하는 사람 이동경로 학습기 모듈과 사람 이동경로 중 정상 이동 경로를 학습하는 정상 이동 경로 학습 모듈과 비정상 이동 경로를 학습하는 비정상 이동 경로 학습 모듈과 가축 이동경로를 학습하는 가축 이동경로 학습기 모듈과 가축 이동경로 중 정상 이동 경로를 학습하는 정상 이동 경로 학습 모듈과 비정상 이동 경로를 학습하는 비정상 이동 경로 학습 모듈을 통해 축사를 포함한 가축을 키우는 장소에 설치된 네트워크 카메라를 통해 생성된 영상을 실시간으로 비교 및 학습, 감시하여 정확한 범인 감지로 농가가 키우는 가축의 도난을 미연에 예방함과 동시에 실시간 범인 검거율이 크게 향상된다.In addition, the present invention provides a method for learning a human movement path, comprising: a human movement path learning module for learning a human movement path; a normal movement path learning module for learning a normal movement path in a human movement path; an abnormal movement path learning module for learning an abnormal movement path; And a normal moving course learning module that learns a normal moving course among animal movement routes and an abnormal moving course learning module that learns an abnormal moving course, and a network camera installed in a place where a livestock including a bar is raised Real-time comparison, learning and monitoring of the captured images ensures accurate detection of the perpetrator.
또한, 본 발명은 모듈화 기술을 이용하여 고가의 IP-CCTV 감시 시스템을 사용자의 필요에 따라 옵션으로 모듈화하여 설치가 가능하게 함으로써, 설치비용을 줄일 수 있어 저소득층 농가들도 저비용으로 이용이 가능하다.In addition, the present invention can modularize an expensive IP-CCTV surveillance system by modularization according to user's needs by using modularization technology, thereby reducing installation cost and enabling low-income farmers to use at low cost.
또한, 본 발명의 임베디드 알람 장치는 통신을 위한 Wifi 통신 모듈, 알람 경고를 빛의 신호로 발산하는 경광등, 전원 입력을 제어하는 전원 스위치, 알람 경고를 음성 신호로 발산하는 스피커, 전원을 제공하는 내장 배터리 등을 통해 축산물 뿐 만 아니라 전원 공급이 어려운 원격지 상가 내 물건의 도난 사건을 감시할 수 있고, 축산물에 피해를 입히는 야생동물의 접근을 방지할 수 있으며, 대규모 축산물 재배구역의 경우 접근 도로 및 차량, 침입자 등을 감시하는 대규모 시스템으로도 활용 가능하다.In addition, the embedded alarm device of the present invention includes a Wifi communication module for communication, a warning light for emitting an alarm signal as a light signal, a power switch for controlling a power input, a speaker for emitting an alarm warning as a voice signal, Battery, etc., it is possible to monitor not only the livestock products but also thefts of the goods in the remote places where power supply is difficult, and prevent access to wild animals that damage livestock products. In the case of large-scale livestock cultivation areas, It can also be used as a large-scale system for monitoring intruders.
도 1은 종래 발명에 따른 운영 및 감시인원 직접 감시 시스템을 보여주는 도면이다.
도 2는 본 발명에 따른 실시간 가축 도난 방지를 위한 모듈화 기반의 지능형 영상 감시 시스템의 전체적인 구성을 보여주는 도면이다.
도 3은 도 2의 모듈기반 지능형 영상 분석 장치의 세부적인 구성을 보여주는 도면이다.
도 4는 본 발명의 일실시예에 따른 실시간 가축 도난 방지를 위한 모듈화 기반의 지능형 영상 감시 시스템의 전체적인 구성을 보여주는 도면이다.
도 5는 본 발명의 다른 실시예에 따른 실시간 가축 도난 방지를 위한 모듈화 기반의 지능형 영상 감시 시스템의 세부적인 구성을 보여주는 도면이다.
도 6은 본 발명에 따라 에지 정보 분석에 따른 관심 영역 설정의 예시를 보여주는 도면이다.
도 7은 본 발명에 따라 에지 추출의 예시를 보여주는 도면이다.
도 8은 본 발명에 따라 객체 추출 알고리즘을 보여주는 도면이다.
도 9는 본 발명에 따라 HOG Feature Construction을 보여주는 도면이다.
도 10은 본 발명에 따라 사람 침입 상황과 가축의 도난 상황을 나누어 세부적인 내용을 보여주는 도면이다.
도 11은 본 발명에 따라 임베디드 알람 장치의 한 예를 보여주는 도면이다.
도 12는 본 발명에 따른 실시간 가축 도난 방지를 위한 모듈화 기반의 지능형 영상 감시 시스템의 GUI 구성을 보여주는 도면이다.
도 13은 본 발명에 따른 가축 도난 감시를 위한 스마트폰용 GUI를 보여주는 도면이다.FIG. 1 is a view showing a direct monitoring system for an operating and monitoring personnel according to the prior art.
 FIG. 2 is a diagram showing the overall configuration of a module-based intelligent video surveillance system for real-time animal theft prevention according to the present invention.
 FIG. 3 is a detailed block diagram of the module-based intelligent image analyzing apparatus of FIG. 2. FIG.
 FIG. 4 is a diagram illustrating the overall configuration of a module-based intelligent video surveillance system for real-time animal theft prevention according to an embodiment of the present invention.
 FIG. 5 is a diagram illustrating a detailed configuration of a module-based intelligent video surveillance system for real-time animal theft prevention according to another embodiment of the present invention.
 FIG. 6 is a diagram illustrating an example of a region of interest setting according to the edge information analysis according to the present invention.
 Figure 7 is a diagram illustrating an example of edge extraction in accordance with the present invention.
 8 is a diagram showing an object extraction algorithm according to the present invention.
 9 is a diagram illustrating a HOG Feature Construction according to the present invention.
 FIG. 10 is a diagram showing details of a human intrusion situation and a domestic animal stolen state according to the present invention.
 11 is a diagram showing an example of an embedded alarm device according to the present invention.
 12 is a diagram showing a GUI configuration of a modular based intelligent video surveillance system for preventing real-time animal theft according to the present invention.
 13 is a diagram showing a GUI for a smartphone for livestock theft monitoring according to the present invention.
본 발명을 충분히 이해하기 위해서 본 발명의 바람직한 실시예를 첨부 도면을 참조하여 설명한다. 본 발명의 실시예는 여러 가지 형태로 변형될 수 있으며, 본 발명의 범위가 아래에서 상세히 설명하는 실시예로 한정되는 것으로 해석되어서는 안 된다. 본 실시예는 당업계에서 평균적인 지식을 가진 자에게 본 발명을 보다 완전하게 설명하기 위하여 제공되는 것이다.For a better understanding of the present invention, a preferred embodiment of the present invention will be described with reference to the accompanying drawings. The embodiments of the present invention may be modified into various forms, and the scope of the present invention should not be construed as being limited to the embodiments described in detail below. The present embodiments are provided to enable those skilled in the art to more fully understand the present invention.
따라서 도면에서의 요소의 형상 등은 보다 명확한 설명을 강조하기 위해서 과장되어 표현될 수 있다. 각 도면에서 동일한 부재는 동일한 참조부호로 도시한 경우가 있음을 유의하여야 한다. 또한, 본 발명의 요지를 불필요하게 흐릴 수 있다고 판단되는 공지 기능 및 구성에 대한 상세한 기술은 생략된다.Therefore, the shapes and the like of the elements in the drawings can be exaggeratedly expressed to emphasize a clearer description. It should be noted that in the drawings, the same members are denoted by the same reference numerals. Further, detailed descriptions of well-known functions and configurations that may be unnecessarily obscured by the gist of the present invention are omitted.
도 2는 본 발명에 따른 실시간 가축 도난 방지를 위한 모듈화 기반의 지능형 영상 감시 시스템의 전체적인 구성을 보여주는 도면이고, 도 3은 도 2의 모듈기반 지능형 영상 분석 장치의 세부적인 구성을 보여주는 도면이다.FIG. 2 is a diagram showing the overall configuration of a module-based intelligent video surveillance system for real-time animal theft prevention according to the present invention, and FIG. 3 is a detailed configuration of the module-based intelligent video analysis apparatus of FIG.
도 2에 도시된 바와 같이, 본 발명은 유/무선 IP-CCTV(12-1, 12-2, 12-3), 유/무선 영상 수신 장치(13), NVR(13-1), 모듈기반 지능형 영상 분석 장치(100), 경보 발령 서비스 모듈(160), 모니터링 GUI(200), 임베디드 알람 장치(14), 관리자 단말기(16) 및 경찰서/방범대/유관기관 단말기(18)로 구성된다.As shown in FIG. 2, the present invention can be applied to a wireless communication system including a wired / wireless IP-CCTV 12-1, 12-2, 12-3, a wired / wireless
상기 모듈기반 지능형 영상 분석 장치(100)는 도 3에 도시된 바와 같이, 축사 내 관심 영역 설정 모듈(110), 축사 내 이동 객체 인식 모듈(120), 사람과 가축을 분류하기 위한 분류 모듈(130), 외부인 침입 상황 감지를 위한 침입 감지 모듈(140), 가축 도난 상황의 감지를 위한 도난 감지 모듈(150), 사람 이동 경로 학습 DB(408), 가축 이동 경로 학습 DB(308) 등으로 구성된다.As shown in FIG. 3, the module-based intelligent
도 2의 유/무선 IP-CCTV(12-1, 12-2, 12-3)는 가축의 도난을 실시간 감시하는 영상을 생성하여 유/무선으로 송신하여 설정된 지능형 관심영역에서 가축/사람 분류를 통해 이동 경로 학습 DB에 저장된 데이터와 비교하여 사람의 침입을 식별할 수 있도록 하는 장치로서, 축사 내부의 특수한 환경에서 작은 물체 또는 조명 변화로 인해 움직임들이 많이 생기더라도 정확한 판독을 위해 고해상도의 IP-CCTV를 사용한다.The wired / wireless IP-CCTVs 12-1, 12-2 and 12-3 of FIG. 2 generate images for monitoring the theft of livestock in real time, transmit them by wire or wirelessly, and classify livestock / persons in the set intelligent ROI It is a device to identify human intrusion by comparing with the data stored in the moving path learning DB. It is a device for detecting high-resolution IP-CCTV Lt; / RTI >
상기 유/무선 영상 수신 장치(13)는 유/무선 IP-CCTV(12-1, 12-2, 12-3)로부터 가축의 도난을 실시간 감시하는 영상을 수신하여 모듈기반 지능형 영상 분석 장치(100)로 전송한다.The wired / wireless
상기 모듈기반 지능형 영상 분석 장치(100)는 지능형 관심영역 설정을 위해 소벨 오퍼레이터를 통한 입력 영상 에지 추출 기능과 횡방향 에지 그룹화 기능과 관심 영역 펜스 자동 설정 기능과 Min-Max 배경 모델링과 GMM을 융합하여 이동 객체 탐지를 위한 배경 분리 알고리즘 기능과 움직임 영역 추출 기능과 움직임 영역 잡음 제어 기능과 이동 객체 추출 기능과 HOG 모델링 방법으로 분석하도록 한다.The module-based intelligent
도 2의 경보 발령 서비스 모듈(160)은 모듈기반 지능형 영상 분석 장치(100)로부터 분석한 영상으로 Min-Max 배경 모델링과 GMM을 융합하고, HOG 모델링 방법을 이용하여 경보 상황을 판독하여 경보 신호를 1차로 침입 방지와 2차로 도난 방지로 나누어 발령하는 모듈이다.The alarm
여기에서, 경보 발령 서비스 모듈(160)에 의해 외부인 침입 상황(1차 경보상황)이 발생하면, Server의 제어부에서 축사 내부의 임베디드 알람 장치 및 사용자의 스마트 폰에 실시간으로 경보를 발생한다. 또한, 가축의 도난 상황(2차 경보상황)이 발생하면 Server의 제어부에서 축사 내부의 임베디드 알람 장치 및 사용자의 스마트폰과 인터넷을 통해 유관기관(경찰서 등)에 실시간으로 경보를 발생하여 소의 도난을 예방한다.Here, when an external invasion situation (primary alarm situation) occurs by the alarm
도 2의 모니터링 GUI(200)는 모듈기반 지능형 영상 분석 장치(100)에서 분석한 영상을 모니터링할 수 있도록 IP-CCTV의 번호창, 지능형 관심영역 정보창, IP-CCTV의 감시 영상창, 모니터링 GUI 동작/정지 버튼, 감시 영상의 정보(압축방식, 전송 속도), 상황 전파 유관기관(경찰서, 방범대, 관련 상황실) 설정창, 감시 시스템 로고 창 등으로 나누어 표시되도록 제어하는 모듈이다.The
도 2의 임베디드 알람 장치(14)는 모듈기반 지능형 영상 분석 장치(100)에서 분석된 영상으로 침입 상황 또는 도난 상황을 판독하여 알람 신호를 발생시키기 위해 통신 모듈(141), 경광등(142), 전원 입력을 제어하는 전원 스위치(143), 전원을 제공하는 내장 배터리(144), 알람 경고를 음성 신호로 발산하는 스피커(145) 등을 포함하는 장치이다.2 includes a
도 2의 관리자 단말기(16)는 임베디드 알람 장치로부터 알람 신호를 전달받는 단말기로서, 하기 유관기관 단말기(18)로 상황 전파 및 메타정보(위치, 상황, 시간, 범죄자 정보)를 전송할 수도 있고 임베디드 알람 장치(14)의 통신 모듈(141)로 전송할 수도 있다.The
도 2의 유관기관 단말기(18)는 임베디드 알람 장치로부터 알람 신호를 전달받는 단말기로서, 실시간 영상 감시를 통한 범인 감지로 농가가 키우는 가축의 도난을 예방하고 실시간 범인 검거율의 향상이 예상되고, 대규모 축산물 재배구역의 경우 접근 도로 및 차량, 침입자 등을 감시하는 대규모 시스템으로도 활용 가능하다.The
도 3에 도시된 바와 같이, 유/무선 영상 수신 장치(13)로부터 영상을 전달받아 분석하는 모듈기반 지능형 영상 분석 장치(100)에서 축사 내 관심 영역 설정 모듈(110)은 지능형 관심영역 설정을 위해 소벨 오퍼레이터를 통한 입력 영상 에지 추출 기능과 횡방향 에지 그룹화 기능과 관심 영역 펜스 자동 설정 기능을 포함하는 모듈이다.3, in the module-based intelligent
도 3에 도시된 바와 같이, 축사 내 이동 객체 인식 모듈(120)은 축사 내부에 설치된 모든 IP-CCTV(12-1, 12-2, 12-3)의 입력 영상에서 축사내의 배경을 제외하고 축사 내에서 이동하고 있는 모든 물체(사람, 소등)를 탐지할 수 있도록 Min-Max 배경 모델링과 GMM을 융합하여 이동 객체 탐지를 위한 배경 분리 알고리즘 기능과 움직임 영역 추출 기능과 움직임 영역 잡음 제어 기능과 이동 객체 추출 기능을 포함하는 모듈이다.As shown in FIG. 3, the moving
사람과 가축을 분류하기 위한 분류 모듈(130)은 축사 내부에 설치된 모든 IP-CCTV(12-1, 12-2, 12-3)의 입력된 영상에서 모든 이동 객체가 탐지되면 각 이동 객체의 종류에 따라 상황이 달리 발생하기 때문에 이동 객체가 가축인지 사람인지 분류하기 위해 HOG 모델링 방법을 이용한 기하학 정보 추출 기능과 객체 분류 알고리즘 기능과 가축/사람 분류 기능을 포함하는 모듈이다.When the
도 3(a)의 외부인 침입 상황 감지를 위한 침입 감지 모듈(140)은 학습된 경로와 비교하는 가축의 이동 경로 학습 기능과 사람의 이동 경로 학습 기능을 포함하는 모듈이다.The
가축 도난 상황의 감지를 위한 도난 감지 모듈(150)은 사람의 이동 경로 학습 기능을 통해 사람 이동 경로 학습 DB에 저장된 데이터로 사람의 침입을 식별하고, 또한 가축의 이동 경로 학습 기능을 통해 가축 이동 경로 학습 DB에 저장된 데이터로 가축의 도난을 식별하는 모듈이다.
따라서 상술한 모듈들에 의해 입력된 영상은 도 3(b)의 S203 내지 S212 과정을 통해 관심 영역 자동설정, 이동 객체 추출 및 가축/침입자가 분류된다.Accordingly, the image input by the above-described modules is classified into automatic setting of the ROI, moving object extraction, and livestock / intruder through S203 to S212 of FIG. 3B.
도 4에 도시된 바와 같이, 사람 이동 경로 학습 DB(408)은 사람의 이동 경로를 저장하는 DB로서, 사람 이동경로를 학습하는 사람 이동경로 학습기 모듈(402)과 사람 이동경로 중 정상 이동 경로를 학습하는 정상 이동 경로 학습 모듈(404)과 비정상 이동 경로를 학습하는 비정상 이동 경로 학습 모듈(406)에 연결되어 있어 생성되는 데이터를 저장하고 학습한다.4, the human movement
도 4의 가축 이동 경로 학습 DB(308)은 가축의 이동 경로를 저장하는 데이터베이스로서, 가축 이동경로를 학습하는 가축 이동경로 학습기 모듈(302)과 가축 이동경로 중 정상 이동 경로를 학습하는 정상 이동 경로 학습 모듈(304)과 비정상 이동 경로를 학습하는 비정상 이동 경로 학습 모듈(306)에 연결되어 있어 생성되는 데이터를 저장하고 학습한다.4 is a database for storing livestock movement paths. The livestock movement
아래 표 3은 본 발명에 따른 지능형 축산물 감시 및 알람 장치의 하드웨어 및 성능을 자세히 보여주고 있다.Table 3 below shows in detail the hardware and performance of the intelligent animal products monitoring and alarm device according to the present invention.
IP-CCTV(12-1, 12-2, 12-3)는 축사 내부에 침입자 및 가축을 감시하기 위해 축사 내부에 가축들이 활동하는 영역의 영상을 획득할 수 있는 곳에 설치한다.IP-CCTV (12-1, 12-2, 12-3) is installed inside the house where the images of the area where domestic animals live can be acquired to monitor intruders and livestock.
IoT(Internet of Things) 보드는 IP-CCTV(12-1, 12-2, 12-3)를 구매하지 않고 기존에 설치된 Analog-CCTV를 이용하는 축사에 본 발명 제품을 설치 할 경우 Analog-CCTV에 IoT 보드를 설치하여 IP-CCTV(12-1, 12-2, 12-3)와 같은 유/무선 네트워크 성능을 부여한다.When the present invention product is installed in a house using the existing analog-CCTV without purchasing the IP-CCTVs 12-1, 12-2, and 12-3, the IoT (Internet of Things) Board to provide wired / wireless network performance such as IP-CCTVs 12-1, 12-2, and 12-3.
유/무선 영상 송/수신 장치는 축사 내에 설치된 다수의 IP-CCTV(12-1, 12-2, 12-3)에서 획득된 영상을 NVR과 Server에 유/무선으로 송/수신하기 위해 설치되며 관리자 및 유관기관에서 IP-CCTV(12-1, 12-2, 12-3)에 접속하기 위해 고정/유동 IP(Internet Protocol)를 지원한다.The wired / wireless video transmitting / receiving apparatus is installed to transmit / receive images acquired from a plurality of IP-CCTVs (12-1, 12-2, 12-3) installed in the housing to / from the NVR and the server The manager and the related organizations support the fixed / floating IP (Internet Protocol) to access the IP-CCTVs 12-1, 12-2 and 12-3.
NVR(13-1)은 유/무선 영상 송/수신 장치를 통해 획득된 다수의 실시간 영상을 저장하기 위해 다수의 연결 채널을 보유하고 획득된 영상 정보의 손실을 줄이기 위해 10fps(frame per second) 이상의 전송속도를 가진다. 또한, NVR은 평상시 영상을 저장하는 저장장치(HDD1)와 외부인 침입 및 가축의 도난 상황이 발생함에 따라 저장하는 지능형 영상 저장장치(HDD2)를 통해 개별 저장이 가능하다.The NVR 13-1 has a plurality of connection channels for storing a plurality of real-time images acquired through a wired / wireless video transmitting / receiving apparatus, and has a frame rate of 10 fps (frame per second) or more It has a transmission speed. In addition, the NVR can be stored separately through a storage device (HDD1) for storing images in an ordinary manner and an intelligent image storage device (HDD2) for storing an intruder and a livestock as theft occurs.
임베디드 알람 장치(14)는 Server(100, 160, 200)와 인터넷 통신을 위해 유/무선 통신 기능과 축사 내부의 경보를 발생하기 위해 사이렌/경광등이 장착되며 축사 내부에 설치된다.The embedded
따라서 본 발명은 다수의 IP-CCTV(12-1, 12-2, 12-3)에서 입력되는 영상을 실시간으로 분석하고 분석된 정보를 통해 임베디드 알람 장치(14)와 관리자의 스마트폰 및 유관기관(경찰서, 자율방범대, 상황실 등)에 인터넷 통신을 통해 경보 발생하여, 상술한 구성의 H/W를 축사 내부에 구축하여 가축의 도난 상황을 실시간으로 감지할 수 있다.Accordingly, the present invention analyzes real-time images input from a plurality of IP-CCTVs 12-1, 12-2, and 12-3 and transmits the embedded
-해상도(740x480) 이상 지원
-전송속도 20fps 이상
-최저조도 0.0007Lux 이상- Wired / wireless network camera with fixed / dynamic IP support
 - Supports resolution (740x480) or higher
 - Transfer rate 20fps or more
 - Minimum illumination 0.0007Lux or more
-기 설치된 Analog-CCTV에 IP-CCTV와 같은 유/무선 네트워크 성능을 부여-Image related S / W can be loaded with MCU function
 - Gives wired / wireless network performance such as IP-CCTV to already installed analog CCTV
유/무선 영상
수신 장치
 Wired / wireless video
 Receiving device
-고정/유동 IP지원 가능
-다수 영상 송/수신 가능- Wired / wireless video reception (Wireless Router)
 - Fixed / Dynamic IP support
 - Multiple video transmission / reception possible
(Network Video Recorder)NVR
 (Network Video Recorder)
-전송속도 최소 10fps 이상
-저장장치(HDD) 2개 이상
-VGA/HDMI 라이브 모니터 출력- Network camera connection (4 channels / 8 channels) or more
 - At least 10 fps transmission speed
 - 2 or more storage devices (HDD)
 -VGA / HDMI Live Monitor Output
알람 장치Embedded
 Alarm device
-사이렌 및 경광등- Wired / wireless communication function
 - Sirens and warning lights
computerServer
 computer
-유/무선 인터넷 통신 기능
-CPU i3/ RAM 8GB/ VGA GTX 760 이상- Desktop PC available as a server
 - Wired / wireless internet communication function
 -CPU i3 / RAM 8GB / VGA GTX 760 or higher
도 4는 본 발명의 일실시예에 따른 실시간 가축 도난 방지를 위한 모듈화 기반의 지능형 영상 감시 시스템의 세부적인 구성을 보여주는 도면이고, 도 5는 본 발명의 다른 실시예에 따른 실시간 가축 도난 방지를 위한 모듈화 기반의 지능형 영상 감시 시스템의 세부적인 구성을 보여주는 도면이며, 도 6은 본 발명에 따른 실시간 가축 도난 방지를 위한 모듈화 기반의 지능형 영상 감시 시스템의 인터페이스 구성을 보여주는 도면이다.FIG. 4 is a diagram illustrating a detailed configuration of a module-based intelligent video surveillance system for real-time animal theft prevention according to an exemplary embodiment of the present invention. FIG. 6 is a diagram showing a detailed configuration of an intelligent video surveillance system based on a modularity, and FIG. 6 is a view showing an interface configuration of a modular based intelligent video surveillance system for real time animal theft prevention according to the present invention.
도 4에서 사람과 가축의 이동 경로 학습 과정은 사람과 가축의 이동 경로를 정상 이동 경로와 비정상 이동 경로로 분류하여 학습하고 학습 결과를 각각 이동경로 학습 DB(308, 408)에 저장한다.In FIG. 4, the process of learning the moving path of man and livestock classifies the moving path of man and livestock into the normal moving path and the abnormal moving path, and stores the learning results in the moving
먼저, 외부인의 침입을 감지하기 위해 사람의 이동경로 학습 DB(408)를 기반으로 사람의 비정상 이동을 인식하여 침입 상황을 감지한다.First, in order to detect an intruder of an outsider, an infiltration situation is detected by recognizing an abnormal movement of a person based on a travel
계속하여, 사람과 가축의 이동경로 학습 DB(308, 408)를 기반으로 사람과 가축의 비정상 이동을 인식하여 가축의 도난을 감지한다.Then, based on the moving
따라서 시간이 지날수록 사람과 가축의 이동경로 학습 DB(308, 408)를 기반으로 학습 DB의 데이터량이 늘어남에 따라 가축과 사람의 정상/비정상 이동 인식 오류는 감소한다.Therefore, as the amount of data of the learning DB is increased on the basis of the movement
또한 도 4에서 보는 바와 같이 도난 상황 발생의 경우 사람/가축의 비정상 이동을 인식하고 상황 인지 알고리즘을 이용한 이동 경로 학습 기반 도난 인지 방법을 사용하고, 침입 상황 발생의 경우 사람의 비정상 이동을 인식하고 상황 인지 알고리즘을 이용한 이동 경로 학습 기반 침입 인지 방법을 사용한다.Also, as shown in FIG. 4, in the case of theft situation, the abnormal movement of the human / livestock is recognized and the moving path learning based theft recognition method using the situation recognition algorithm is used. In case of the intrusion situation, We use the intrusion detection method based on the path learning method using recognition algorithm.
즉, 본 발명에 따른 축사 내부에서 사람과 가축의 이동 경로 학습 과정은 1) 사람과 가축의 이동 경로를 정상 이동 경로와 비정상 이동 경로로 분류하여 학습하고 학습 결과를 각각 이동경로 학습 DB에 저장한다.In other words, the learning process of the human and livestock movement path within the housing according to the present invention includes: 1) classifying the movement path of man and livestock into the normal movement path and the abnormal movement path, and storing the learning results in the movement path learning DB .
2) 그 다음, 침입자를 감지하기 위해 사람의 이동경로 학습 DB를 기반으로 사람의 비정상 이동을 인식하여 침입 상황을 감지한다.2) Next, in order to detect the intruder, it recognizes the abnormal movement of the person based on the moving route learning DB of the person and detects the intrusion situation.
3) 사람과 가축의 이동경로 학습 DB를 기반으로 사람과 가축의 비정상 이동을 인식하여 가축의 도난을 감지한다.3) Detect theft of livestock by recognizing abnormal movement of people and livestock based on DB of moving route of people and livestock.
따라서 상술한 학습과정은 시간이 지날수록 이동경로 학습 DB의 데이터가 늘어나고, 그에 따라 가축과 사람의 정상/비정상 이동 인식 오류는 감소한다.Therefore, as the learning process becomes longer over time, the data of the route learning DB increases, and consequently, errors in recognition of normal / abnormal movement of livestock and people are reduced.
도 5에 도시된 바와 같이, 모듈기반 지능형 영상 분석 장치로부터 분석한 영상으로 경보 상황을 판독하여 경보 신호를 침입 방지 1단계와 도난 방지 2단계로 나누어 발령하는데, 침입 상황을 감지하고(S101), 침입 상황이 발생한 경우(S102), Min-Max 배경 모델링 등으로 이동 객체를 추출/분류 한 후(S103), 경보 상황 1단계인 경우(S104), 축사 알람 장치를 가동하고(S105), 관리자에 경보 발령한다(S106).As shown in FIG. 5, an alarm condition is read from an image analyzed by a module-based intelligent image analyzing apparatus, an alarm signal is divided into an
경보 상황 2단계인 경우(S107), 축사 알람 장치를 가동하고(S108), 관리자에 경보 발령하고(S109), 유관 기관에 경보를 발령한다(S110).In the case of the alarm situation 2 (S107), the alarm alarm device is activated (S108), an alarm is issued to the manager (S109), and an alarm is issued to the relevant authority (S110).
도 6은 대규모 축사를 예를 들어 지능형 관심영역 설정 방법을 나타내고, 도 7은 본 발명에 따라 에지 추출의 예시를 보여주는 도면이며, 도 8은 본 발명에 따라 객체 추출 알고리즘을 보여주는 도면이고, 도 9는 본 발명에 따라 HOG Feature Construction을 보여주는 도면이다.
FIG. 6 shows an example of an intelligent interest area setting method, FIG. 7 shows an example of edge extraction according to the present invention, FIG. 8 shows an object extraction algorithm according to the present invention, Is a diagram showing a HOG Feature Construction according to the present invention.
지능형 관심영역(ROI, Region of Interest) 설정 방법; Sobel OperatorHow to set up an intelligent ROI (Region of Interest); Sobel Operator
종래에 IP-CCTV를 설치 할 때나 IP-CCTV의 위치를 이동 할 때마다 사용자가 매번 관심 영역의 설정을 다시 해야 한다는 문제점이 있었다. There has been a problem that the user has to reset the area of interest each time the IP-CCTV is installed or the location of the IP-CCTV is moved.
이를 해결하기 위해 본 발명에서는 지능형 관심영역 설정 방법을 제시한다.In order to solve this problem, the present invention proposes a method of setting an intelligent ROI.
본 발명에 따른 지능형 관심영역 설정 모듈은 입력 영상을 분석하여 관심영역을 설정함으로 IP-CCTV(12-1, 12-2, 12-3)의 위치를 이동하여도 관심 영역의 설정을 다시 할 필요가 없다.The intelligent ROI module according to the present invention analyzes the input image to set the ROI, thereby changing the position of the IP-CCTV 12-1, 12-2, and 12-3, There is no.
도 6에 도시된 바와 같이, 일반적으로 축사는 유지 및 관리의 편리 차원에서 사각형 구조로 설계된다.As shown in Fig. 6, the housing is generally designed in a rectangular structure for convenience of maintenance and management.
그러므로 축사 내 관심 영역 설정 모듈(110)은 입력영상에서 에지 영역을 추출하고 횡방향 정보를 가지는 에지를 선택하여 그룹화함으로써, 가축의 우리에 자동으로 관심 영역을 설정할 수 있다.Therefore, the in-store interest
도 7에 도시된 바와 같이, 영상에서 횡방향 정보를 가지는 에지를 축사 내 관심 영역 설정 모듈(110)이 Sobel Operator를 통해 추출하는 과정을 나타낸다.As shown in FIG. 7, the
즉, 소벨(sobel), 프리윗, 로버츠, 츠레이첸, 스터캐스틱 등 다양한 에지 추출 마스크 중 소벨 마스크는 모든 방향의 에지를 추출할 수 있고, 특히 수평 Mask(행렬 형태의 화소 그룹)를 이용하여 횡방향 에지를 추출할 수 있고, 돌출한 화소값을 비교적 평균화하므로 잡음에 대체적으로 강하며, 수직 수평 방향 에지 보다 대각선 방향 에지에 더 민감하게 반응한다. 따라서 객체의 형태변화가 심하지 않고 내부 패턴이 단순하면서도 고유의 독특한 윤곽선 정보를 가지는 객체(사람, 소, 돼지, 닭 등)를 식별하는데 유리하다.
In other words, among various edge extraction masks such as Sobel, Pristwit, Roberts, Tsurei Chen, and Sta Kastick, the Sobel mask can extract edges in all directions, and in particular, can use a horizontal mask The horizontal edges are extracted, and the projected pixel values are relatively averaged, so that they are relatively strong in noise and more sensitive to the diagonal edge than the vertical and horizontal edges. Therefore, it is advantageous to identify objects (people, cattle, pigs, chickens, etc.) whose internal pattern is simple but unique with unique contour information without modifying the shape of the object.
Min-Max 배경 모델링과 GMM을 융합; 이동 객체 탐지 방법Min-Max background modeling and GMM fusion; Moving object detection method
도 8에 도시된 바와 같이, 본 발명은 축사 내부에 설치된 모든 IP-CCTV(12-1, 12-2, 12-3)의 입력 영상에서 축사내의 배경을 제외하고 축사 내에서 이동하고 있는 모든 물체(사람, 소등)를 탐지할 수 있는 영상 처리 기술을 제공한다.As shown in FIG. 8, the present invention can be applied to all the objects moving within a barn, except for the background within the barn in the input image of all the IP-CCTVs 12-1, 12-2, and 12-3 installed inside the barn (Person, light, etc.) can be detected.
본 발명에 따른 축사 내 이동 객체 인식 모듈(120)을 통한 이동 객체 탐지 기술은 다양한 이동 객체들을 지속적인 감시하기 위해 영상의 배경을 제외한 움직임 영역을 추출하고 각각의 움직임 영역에 대한 객체의 정보를 통해 이동 객체를 탐지한다.In order to continuously monitor various moving objects, the moving object detection technology using the moving
본 발명에서는 축사 내부의 특수한 환경에서 작은 물체 또는 조명 변화로 인해 움직임들이 많이 생기는 복잡한 환경은 단순한 배경과 달리 작은 물체 또는 조명 변화로 인해 움직임들이 많이 생겨 특별한 모델링이 필요하다. 이하 본 발명에 따른 지능형 축산물 감시 및 알람 장치에 적용될 수 있는 모델링에 대한 실시예를 자세히 설명한다.In the present invention, a complicated environment in which a lot of movements due to a small object or illumination change occurs in a special environment inside a house requires a special modeling due to a lot of movements due to a small object or illumination change unlike a simple background. Hereinafter, embodiments of modeling applicable to the intelligent animal products monitoring and alarm apparatus according to the present invention will be described in detail.
예를 들어, 본 발명에서는 단순한 이동 객체 감지 기술을 사용해서 이를 추출하기는 매우 힘들기 때문에 축사 내 이동 객체 인식 모듈(120)을 통한 Min-Max 배경 모델링 방법이나 GMM 방법을 이용하는 방법을 사용한다.For example, in the present invention, it is very difficult to extract a moving object using a simple moving object sensing technology. Therefore, a Min-Max background modeling method or a GMM method using the moving
하지만 상기 방법들은 약간의 환경 변화 즉, 배경의 흔들림, 조도 변화 등의 잡음에 민감하다는 단점을 가진다. 이와 같은 문제점을 해결하기 위해 본 발명에서는 기존의 이동 객체 감지 기술을 개선하는 Min-Max 배경 모델링과 GMM 융합 방법을 아래와 같이 설명한다.However, these methods are disadvantageous in that they are sensitive to slight environmental changes, that is, noise such as background shake, illumination change, and the like. In order to solve such a problem, the present invention explains Min-Max background modeling and GMM fusion method improving the existing moving object detection technology as follows.
도 8에 도시된 바와 같이 본 발명에 따른 Min-Max 배경 모델링과 GMM을 융합하고 배경모델링에 이용하는 색상정보를 개선하여 새로운 객체 추출 알고리즘을 개발한다.As shown in FIG. 8, a new object extraction algorithm is developed by merging Min-Max background modeling and GMM according to the present invention and improving color information used for background modeling.
Min-Max 배경 모델링과 GMM을 융합한 새로운 객체 추출 알고리즘은 배경모델링에 이용하는 RGB색상 모델에 사용자 파라미터를 도입하여 추출하는 이동 객체의 민감도를 설정하는 방법으로 수학식 1과 같다.A new object extraction algorithm that combines Min-Max background modeling and GMM is a method for setting the sensitivity of a moving object by introducing user parameters into an RGB color model used for background modeling.
상기 축사 내 이동 객체 인식 모듈(120)의 Min-Max 배경 모델링 결과로부터, 연속된 영상의 각 픽셀 위치에서 최대 최소 조건을 만족하는 움직임 영역를 수학식 2를 이용해 얻는다.From the Min-Max background modeling result of the moving
수학식 2에 의해 추출된 이동 객체의 움직임 영역은 민감도 파라메터 δ의 영향을 받는다.
The motion region of the moving object extracted by Equation (2) is affected by the sensitivity parameter?.
HOG(Histogram of Oriented Gradient); 이동 객체 분류 방법Histogram of Oriented Gradient (HOG); Moving object classification method
IP-CCTV(12-1, 12-2, 12-3)의 입력된 영상에서 사람 및 소가 인식되면 종류에 따라 상황이 달리 발생하기 때문에 축사 내 인식된 이동 객체가 사람인지 소인지 분류하는 기술이 필요하다.When a person and a cow are recognized in the input image of the IP-CCTVs 12-1, 12-2, and 12-3, a situation occurs depending on the type, Is required.
도 9에 도시된 바와 같이, 본 발명에 따라서 모듈기반 지능형 영상 분석 장치(100)는 축사 내부에 설치된 모든 IP-CCTV(12-1, 12-2, 12-3)의 입력된 영상에서 모든 이동 객체가 탐지되면 각 이동 객체의 종류에 따라 상황이 달리 발생하기 때문에 이동 객체가 가축인지 사람인지 분류한다.9, the module-based intelligent
종래의 이동 객체 분류 기술은 색상 정보를 주로 이용하며 색상 정보는 객체가 갖는 고유한 색상을 가장 잘 나타내기 때문에 객체의 분류를 위한 기본 데이터로 흔하게 사용된다. 하지만 색상 정보만을 이용하면 빛에 민감한 단점을 가지고 있어 추출 결과에 대한 오류가 크다.Conventional moving object classification techniques mainly use color information, and color information is most commonly used as basic data for classifying objects because it best represents an inherent color of an object. However, when using only color information, there are disadvantages to be sensitive to light, and there is a large error in extraction results.
따라서 본 발명에서는 사람과 가축을 분류하기 위한 분류 모듈(130)을 통한 이동 객체 분류 방법으로 모듈기반 지능형 영상 분석 장치(100)에서 이동 객체의 기하학 정보를 추출하고, 추출한 기하학 정보를 기반으로 이동 객체가 사람인지 가축인지를 분류한다.Accordingly, in the present invention, geometric information of a moving object is extracted from a module-based intelligent
기타Other
움직임 영역 추출 기법은 가축 주변의 움직임 영역을 추출하고 추출된 움직임 영역 중 물, 나무의 흔들림, 그림자 변화, 비 등과 같은 환경 요소를 제거하는 알고리즘이다.The motion region extraction method extracts the motion region around the livestock and removes the environmental factors such as water, shaking, shadows, and rain among the extracted motion regions.
왜냐하면 가축이 위치한 장소는 보통 자연물이 많기 때문에 물, 비, 바람에 의한 자연물의 흔들림 및 변화가 있으며 이러한 배경은 조명 변화로 인해 움직임들이 많이 생기기 때문이다.Because the places where the livestock are located usually have many natural objects, there are fluctuations and changes of natural objects caused by water, rain, and winds.
따라서 본 발명은 조명 변화에 둔한 HSI color model과 이를 정규화한 qualified HSI model을 이용하여 영상차를 적용한 뒤 움직임 영역을 추출한다. 또한 HSI 칼라 모델은 색을 인식하는 속성인 색상(Hue), 채도(Saturation), 명도(Intensity)로 구성 되어 있어 밝기 성분을 별도로 분할하여 사용할 수 있기에 RGB 컬러 모델보다 조명에 덜 민감하게 사용할 수 있어 RGB컬러 모델을 HSI컬러 모델로 변환하여 사용한다.Therefore, the present invention extracts the motion region after applying the image difference using the HSI color model dull to illumination change and the qualified HSI model normalized thereto.In addition, the HSI color model is composed of color, hue, saturation, and intensity, so it can be used less sensitive to illumination than RGB color model because it can be used separately RGB color model is converted into HSI color model and used.
HSI컬러 모델은 컬러 공간을 사용할 때, 어떤 컬러를 만들어 내기 위해서 몇 퍼센트의 파란색이나 녹색이 필요한지를 알 필요가 없다. 진한 빨간색을 분홍색으로 바꾸기 위해 단순히 채도만을 조절하기 때문이다. 어두운 것을 밝게 하려면 명도를 조절 하면 된다. HSI는 원통 모양의 좌표계로 모형화되어 있다.The HSI color model does not need to know what percentage of blue or green it needs to produce a color when using color space. It simply adjusts the saturation to turn the deep red into pink. To brighten the darkness, adjust the brightness. The HSI is modeled as a cylindrical coordinate system.
구체적으로 살펴보면, 본 발명에 따른 사람과 가축을 분류하기 위한 분류 모듈(130)의 기하학 정보 기반 객체 분류 방법은 추출된 이동 객체의 기하학 정보 특징을 추출하기 위해 HOG 방법을 이용하여 대상 영역을 일정 크기의 셀로 분할하고, 각 셀마다 에지 픽셀들의 방향에 대한 히스토그램을 구한 후 그 값들을 일렬로 연결한 벡터를 생성한다.Specifically, the geometric information-based object classification method of the
즉, HOG는 객체의 윤곽선 정보를 이용하므로 객체의 형태변화가 심하지 않고 내부 패턴이 단순하면서도 고유의 독특한 윤곽선 정보를 가지는 객체(사람, 소, 돼지, 닭 등)를 식별하는데 유리하다.That is, since HOG uses the information on the contour of the object, it is advantageous to identify the object (human, cow, pig, chicken, etc.) whose internal pattern is simple but inherent unique contour information.
또한 상기 모듈기반 지능형 영상 분석 장치는, 조명 변화에 둔한 HSI color model과 이를 정규화한 qualified HSI model을 이용하여 영상차를 적용한 뒤 움직임 영역을 추출한다.In addition, the module-based intelligent image analyzing apparatus extracts a motion region after applying an image difference using an HSI color model dull to illumination change and a qualified HSI model normalized thereto.
또한, 상기 모듈기반 지능형 영상 분석 장치는, 팽창(Dilatation)과 침식(Erosion) 연산 작용을 적용해 잡음을 최소화한 움직임 영역을 구한다.In addition, the module-based intelligent image analyzing apparatus obtains a motion region minimizing noise by applying dilation and erosion operation.
또한, 상기 모듈기반 지능형 영상 분석 장치는, 공간상의 정보(Spatial Gradient)와 시간상의 정보(Temporal Gradient)를 이용한 물체 추출한다.In addition, the module-based intelligent image analysis apparatus extracts objects using spatial information and temporal information.
또한, 상기 모듈기반 지능형 영상 분석 장치는, 움직임 영역이 추출되었을 때 각각의 움직임 물체의 추적을 위해서 움직임 물체에 대한 특징점을 추출하기 위해, KLT(Kanade-Lucas-Tomasi) 알고리즘과 움직임 물체의 옷색 특성 및 위치 정보를 이용하여 특징점을 추출한다.In addition, the module-based intelligent image analyzing apparatus may further include a KLT (Kanade-Lucas-Tomasi) algorithm and a color characteristic of a motion object to extract feature points of motion objects for tracking each motion object when the motion region is extracted And extracts feature points using the position information.
또한 상기 모듈기반 지능형 영상 분석 장치는, 구조 정보는 윤곽선 추출 알고리즘인 GVF( Gradient Vector Flow)와 같은 Active Contour 알고리즘을 사용한다.In addition, the module-based intelligent image analysis apparatus uses an active contour algorithm such as GVF (Gradient Vector Flow), which is an outline extraction algorithm.
도 10은 본 발명에 따라 사람 침입 상황과 가축의 도난 상황을 나누어 세부적인 내용을 보여주는 도면이고, 도 11은 본 발명에 따라 임베디드 알람 장치의 한 예를 보여주는 도면이다.FIG. 10 is a view showing details of a human intruding situation and a livestock stolen situation according to the present invention, and FIG. 11 is a view showing an example of an embedded alarm device according to the present invention.
도 10에 도시된 바와 같이, 축사를 포함한 가축을 대규모로 키우는 장소 내부에서 설치된 모든 IP-CCTV(12-1, 12-2, 12-3)의 입력된 영상에서는 탐지된 사람과 감시하고자 하는 가축은 지속적인 감시 대상이 되며 이들의 행동 또는 비정상 이동이 발생할 경우 각 상황에 따른 상황을 인지할 수 있는 기술이 필요하다.10, in the input images of all the IP-CCTVs 12-1, 12-2, and 12-3 installed inside the place where the livestock including the housing is housed in a large scale, the detected persons and the animals Are required to be continuously monitored and a technique capable of recognizing the situation according to each situation when their behavior or abnormal movement occurs.
본 발명에서는 외부인 침입 상황 감지를 위한 침입 감지 모듈(140)은 외부인이 축사에 침입하는 상황과 가축의 도난이 발생하는 상황을 인지한다. 먼저 외부인 침입 상황은 주로 사용자가 축사의 작업이 없거나 끝난 시간대인 주/야간 환경에서 외부인이 가축을 대규모로 키우는 장소 내부에 진입하는 상황이다.In the present invention, the
예를 들어 외부인 침입 상황 감지를 위한 침입 감지 모듈(140)에서 인지하는 가축의 도난 상황은 축사내부에서 가축들의 이동 경로가 비정상적으로 나타내고 가축이 이동할 수 없는 영역에서 가축이 감지되면 가축의 도난 상황으로 인지한다. 또한, 가축 이외의 다른 이동 객체에 의해 가축이 이동되어도 도난 상황으로 감지한다.For example, theft of the livestock detected by the
구체적으로, 가축 도난 상황의 감지를 위한 도난 감지 모듈(150)이 인지하는 사람 침입 상황(1-1)을 자세히 살펴보면, 축사 내부에 사람 진입하거나(1-1-1), 축사의 외벽으로 사람 진입 단계, 가축우리 내 사람의 출현 단계, 사람의 비정상 이동 경로 인식 단계(1-1-2), 사람의 정상 이동 경로를 이탈하여 가축의 우리로 진입 단계(1-1-3) 및 축사 내의 관심영역에서 다수의 소들이 비정상 이동 경로 인식(1-1-4)로 구성되고, 가축의 도난 상황(1-2)의 경우, 축사 내부의 경보 발생 후에도 지속적인 침입자 감지 단계(1-2-1), 침입자와 가축이 울타리 이탈 단계, 사람의 이동 경로가 가축과 유사한 단계(1-2-2), 기타 상황의 경우(1-3)에는 가축이 정상 이동 경로를 이탈하는 단계, 감시 구역 내 침입자 없음 단계(1-3-1) 등으로 나뉜다.Specifically, if the human intrusion situation (1-1) perceived by the theft detection module (150) for detection of a livestock stolen situation is examined in detail, a person enters the house (1-1-1) (1-1-2), entering the livestock into the us (step 1-1-3) and departing from the normal travel route of the livestock, In the case of a livestock stolen situation (1-2), a large number of animals in the area of interest are constituted by the abnormal moving route recognition (1-1-4), and the continuous intruder detection step 1-2-1 ), Intruders and livestock are separated from the fence, the migration route of the human is similar to the livestock (1-2-2), and in other cases (1-3), the livestock departs from the normal route, No invader phase (1-3-1), and so on.
따라서 본 발명에서는 외부인 침입을 감지하기 위해서는 감시 영역에서 사람의 이동 경로를 학습 하고 학습한 결과를 사람 이동경로 학습 DB에 저장한다. 그리고 사람 이동 경로 학습 DB를 기반으로 사람의 비정상 이동을 인식하여 침입 상황을 감지한다.Accordingly, in the present invention, in order to detect an intruder from outside, a human movement path is learned in a surveillance area, and the learning result is stored in a human movement path learning DB. And it recognizes the abnormal movement of people based on the human movement path learning DB and detects the invasion situation.
도 3의 외부인 침입 상황 감지를 위한 침입 감지 모듈(140)이 가축의 도난을 인지하기 위해서는 감시 영역에서 사람과 가축의 이동 경로를 학습하고 학습한 결과를 사람 이동 경로 학습 DB와 가축의 이동 경로 학습 DB에 저장한다.In order for the
그리고 외부인 침입 상황 감지를 위한 침입 감지 모듈(140)이 이동 경로 학습 DB를 기반으로 사람과 가축의 비정상 이동을 인식하여 도난 상황을 인지한다.The
       본 발명에서는 외부인의 침입 및 가축의 도난 상황이 발생할 경우 이러한 상황을 외부인 침입 상황 감지를 위한 침입 감지 모듈(140)과 가축 도난 상황의 감지를 위한 도난 감지 모듈(150)로 실시간으로 감지하여 예방하기 위해서 각 상황에 따라 경보 및 대응하기 위한 기술이 필요하다.       In the present invention, when an intruder of an outsider and a livestock stolen situation occurs, the
또한, 가축을 대규모로 키우는 장소 내에서 범죄자에게 경고하기 위한 직접적인 알람 장치가 필요하다.In addition, there is a need for a direct alarm device to warn criminals in places where large animals are being raised.
도 5와 도 11에 도시된 바와 같이, 본 발명의 경보 대응 방법은 가축을 대규모로 키우는 장소 내의 취약 구역에서 외부인 침입 상황(1차 경보상황)이 발생했을 때 침입 구역에 설치된 임베디드 알람 장치(14)를 작동하고, 모듈기반 지능형 영상 분석 장치(100)에서 유/무선 인터넷 기능을 통해 운용자의 관리자 단말기(16)로 상황을 알린다.As shown in FIG. 5 and FIG. 11, the alarm response method of the present invention includes an embedded alarm device 14 (FIG. 5) installed in an intruding area when an intruder situation (primary alarm situation) occurs in a vulnerable area in a place where a livestock is mass- And the module-based intelligent
그리고 도난 상황(2차 경보상황)이 발생 했을 때 먼저, 침입 구역에 설치된 임베디드 알람 장치(14)를 작동하고, 모듈기반 지능형 영상 분석 장치(100)에서 유/무선 인터넷 기능을 통해 운용자의 관리자 단말기(16)로 상황을 알리고, 인근 유관기관(경찰서, 관공서, 자율 방범대 등)에 유관기관 단말기(18)로 상황 전파 및 메타정보(범죄자 위치 및 외형 정보, 도난 상황, 소 도난 발생 시간, 범죄자의 도주 경로, 소의 이동 경로 등)를 전송한다.In the event that a stolen state (secondary alarm situation) occurs, the embedded
도 2의 임베디드 알람 장치(14)는 축사 내의 취약 구역에 설치하여 외부인 침입 상황(경보 상황 1단계)이 발생했을 때 알람 정보 등을 발생 시킨다.The embedded
예를 들어, 임베디드 알람 장치(14)는 통신을 위한 Wifi 통신 모듈(141), 알람 경고를 빛의 신호로 발산하는 경광등(142), 전원 입력을 제어하는 전원 스위치(143), 알람 경고를 음성 신호로 발산하는 스피커(145), 전원을 제공하는 내장 배터리(144), 전원 표시 LED(145), 스피커(146, 147) 등을 포함하여 실시간 영상 감시를 통한 범인 감지로 농가가 키우는 가축의 도난을 예방하고 실시간 범인 검거율의 향상이 예상되고, 대규모 축산물 재배구역의 경우 접근 도로 및 차량, 침입자 등을 감시하는 대규모 시스템으로도 활용 가능하다.For example, the embedded
도 12의 최종적인 지능형 영상 감시를 위한 지능형 영상 감시를 위한 모니터링 GUI는 ① IP-CCTV의 번호창, ② 지능형 관심영역 정보창, ③ IP-CCTV의 감시 영상창, ④ 모니터링 GUI 동작/정지 버튼, ⑤ 감시 영상의 정보(압축방식, 전송 속도), ⑥ 상황 전파 유관기관(경찰서, 방범대, 관련 상황실) 설정창, ⑦ 감시 시스템 로고 창 등으로 구성된다.The monitoring GUI for intelligent video surveillance for the final intelligent video surveillance shown in FIG. 12 includes: (1) an IP-CCTV number window; (2) an intelligent area of interest information window; (3) a monitoring video window of IP- (Compression method, transmission speed) of the surveillance image, ⑥ setting window for the situation propagation related organization (police station, crime prevention unit, related situation room), and ⑦ surveillance system logo window.
따라서 본 발명에 따른 모니터링 GUI(200)는 모듈기반 지능형 영상 분석 장치(100)로부터 분석되는 영상을 실시간으로 출력하여 지능형 영상 감시를 위한 모니터링이 가능하다.Therefore, the
도 13(a)는 본 발명에 따른 가축 도난 감시를 위한 스마트폰 모니터링 GUI를 보여주는 데, IP-CCTV 감시 영상 정보창(161), 관심영역 정보창(162), 유관기관 연락버튼(163), 어플리케이션 구동 및 메타정보의 상태 표시창(164), 관심 영역 표시/해제 설정 버튼(165), IP-CCTV 영상 설정 및 선택 버튼(166), 임베디드 알람 장치 ON/OFF 버튼(167), 다음 IP-CCTV 감시 영상확인창(168) 등으로 구성된다.FIG. 13A shows a smartphone monitoring GUI for livestock theft monitoring according to the present invention. The IP-CCTV monitoring
따라서 스마트폰 GUI를 통해 평상 시 축사 내부 및 소의 상태를 감시하기 위해 축사에 설치된 IP-CCTV(12-1, 12-2, 12-3)의 영상을 유/무선 영상 송/수신 장치에 접속하여 언제든지 감시가 가능하고, 외부인 침입 및 소의 도난 상황이 감지되면 관리자의 스마트 폰에 도 13(b)와 같이 경보를 발생하고 범죄자의 간략한 메타 정보를 표시한다.Accordingly, in order to monitor the inside and the inside of the house by the smartphone GUI, the images of the IP-CCTVs 12-1, 12-2, and 12-3 installed in the housing are connected to the wired / wireless video transmitting / Whenever an intruder of an outsider or a burglar alarm is detected, an alarm is generated on the manager's smartphone as shown in FIG. 13 (b), and brief meta information of the offender is displayed.
이상에서 설명한 구성에 의하여 본 발명은축사를 포함한 가축을 대규모로 키우는 장소에 설치된 네트워크 카메라를 통해 입력되는 영상을 새로운 객체 추출 알고리즘인 지능형 관심영역(ROI, Region of Interest)설정을 위해 소벨 오퍼레이터(Sobel Operator)를 통한 입력 영상 에지 추출 기능과 횡방향 에지 그룹화 기능과 관심 영역 펜스 자동 설정 기능과 Min-Max 배경 모델링과 GMM을 융합하여 이동 객체 탐지를 위한 배경 분리 알고리즘 기능과 움직임 영역 추출 기능과 움직임 영역 잡음 제어 기능과 이동 객체 추출 기능과 HOG(Histogram of Oriented Gradient) 모델링 방법으로 축사 내부의 특수한 환경에서 작은 물체 또는 조명 변화로 인해 움직임들이 많이 생기더라도 정확하면서 지능적으로 분석함으로써 가축의 도난을 감시하는 감시 시간을 줄이고 농가의 재산을 보호한다.According to the above-described configuration,An input image is extracted through a Sobel operator to set an intelligent ROI (Region of Interest), which is a new object extraction algorithm, through a network camera installed in a place where a large number of livestock including a house are grown. And a lateral segmentation function, an interest area fence automatic setting function, a Min-Max background modeling, and a GMM, a background segmentation algorithm for moving object detection, a motion region extraction function, a motion region noise control function, HOG (Histogram of Oriented Gradient) modeling method accurately and intelligently analyze even if a lot of movements occur due to small objects or lighting changes in a special environment inside the house to reduce the monitoring time of livestock theft and protect property of farmers .
또한 본 발명은 사람 이동경로를 학습하는 사람 이동경로 학습기 모듈(402)과 사람 이동경로 중 정상 이동 경로를 학습하는 정상 이동 경로 학습 모듈(404)과 비정상 이동 경로를 학습하는 비정상 이동 경로 학습 모듈(406)과 가축 이동경로를 학습하는 가축 이동경로 학습기 모듈(302)과 가축 이동경로 중 정상 이동 경로를 학습하는 정상 이동 경로 학습 모듈(304)과 비정상 이동 경로를 학습하는 비정상 이동 경로 학습 모듈(306)을 통해 축사를 포함한 가축을 대규모로 키우는 장소에 설치된 네트워크 카메라에서 생성된 영상을 실시간으로 비교 및 학습, 감시하여 정확한 범인 감지로 농가가 키우는 가축의 도난을 예방하고 실시간 범인 검거율의 향상이 예상된다.In addition, the present invention includes a human movement
또한 본 발명은 모듈화 기술을 이용하여 고가의 IP-CCTV 감시 시스템을 사용자의 필요에 따라 옵션으로 모듈화하여 설치가 가능하게 함으로써 설치비용을 줄일 수 있어 저소득층 농가들도 이용 가능하다.In addition, the present invention can modularize the expensive IP-CCTV surveillance system by modularization according to the user's needs by using the modularization technology, thereby reducing installation cost and enabling low-income farmers.
또한 본 발명은 임베디드 알람 장치(14)는 통신을 위한 Wifi 통신 모듈(141), 알람 경고를 빛의 신호로 발산하는 경광등(142), 전원 입력을 제어하는 전원 스위치(143), 알람 경고를 음성 신호로 발산하는 스피커(145), 전원을 제공하는 내장 배터리(144) 등을 통해 축산물 뿐 만 아니라 전원 공급이 어려운 원격지 상가 내 물건의 도난 사건을 감시할 수 있고, 축산물에 피해를 입히는 야생동물의 접근을 방지할 수 있으며, 대규모 축산물 재배구역의 경우 접근 도로 및 차량, 침입자 등을 감시하는 대규모 시스템으로도 활용 가능하다.The embedded
본 발명을 기술적 측면에서 보면, 움직임 영역 추출 및 추적 기술, 움직임 물체의 객체 분류 기술, 객체 추적 기술, 경보 상황 입력 인터페이스 기술, 범죄 상황 전송 및 경보 Agent 프로그램 기술, 경보 방송 모듈 개발 기술 등이 있으며,In the technical aspect of the present invention, there is a moving area extraction and tracking technology, an object classification technique for moving objects, an object tracking technology, an alarm condition input interface technique, a crime situation transmission and alarm agent program technology,
경제/산업적 측면에서 보면 경제적 측면으로는 국내의 영상보안 관련 시스템의 지능화 및 첨단화, 농가의 삶의 질 향상 과 생산성 향상 기대, 기존에 설치된 CCTV 설치 농가의 업그레이드 가능, 해외에 의존하던 영상 감시 기술의 국내 기술화 등이 있고, 산업적 측면으로 보면 농축산물을 상대로 한 범죄율 감소 효과, 작물의 생육과 관련된 온/습도 등의 센서 네트워크가 추가될 경우 하나의 통합 시스템으로 개발 가능하다.From the economic and industrial point of view, the economic aspects include the intelligence and modernization of the domestic video security system, the improvement of the quality of life of farmers and the improvement of productivity, the upgrading of existing CCTV installation farmers, In the industrial aspect, it is possible to develop a single integrated system when the sensor network such as the crime rate reduction effect on agricultural products and the temperature / humidity related to crop growth is added.
본 발명의 사업화 방안으로는 집과 멀리 떨어진 농축산물 재배지에 설치하거나 야생동물(멧돼지, 고라니) 피해 방지를 위한 시스템으로 활용 가능하고, 작물의 생육 시스템과 접목하여 통합 개발 시스템으로 확대 개발 가능하며, 대규모 농축산물 재배구역의 경우 접근 도로 및 차량, 침입자 등을 감시하는 대규모 시스템으로 개발 가능하며, 경보 Agent 프로그램을 CDMA 모듈과 연결하여 관리자에게 직접 경보를 알려주는 시스템으로 수정 개발할 수 있다.As a commercialization method of the present invention, it can be installed as a system for preventing damage to wild animals (wild boar, elk), installed in agricultural and horticultural farms far away from home, and can be expanded and developed as an integrated development system by linking with a crop growth system. It can be developed as a large-scale system that monitors access roads, vehicles, intruders, etc. in the case of a large agricultural and fishery cultivation area. It can be modified and developed as a system that notifies the manager directly by connecting the alert agent program with the CDMA module.
12-1, 12-2, 12-3 : 유/무선 IP-CCTV
13 : 유/무선 영상 수신 장치
14 : 임베디드 알람 장치
16 : 관리자 단말기
18 : 유관기관 단말기
100 : 모듈기반 지능형 영상 분석 장치
110 : 축사 내 관심 영역 설정 모듈
120 : 축사 내 이동 객체 인식 모듈
130 : 사람과 가축을 분류하기 위한 분류 모듈
140 : 외부인 침입 상황 감지를 위한 침입 감지 모듈
150 : 가축 도난 상황의 감지를 위한 도난 감지 모듈
160 : 경보 발령 서비스 모듈
200 : 모니터링 GUI
308 : 가축 이동 경로 학습 DB
408 : 사람 이동 경로 학습 DB12-1, 12-2, 12-3: wired / wireless IP-CCTV
 13: wired / wireless video receiving device
 14: Embedded alarm device
 16: Administrator terminal
 18: Related institution terminal
 100: Module based intelligent image analysis device
 110: Interest zone setting module in the house
 120: moving object recognition module in the house
 130: Classification module for classifying people and livestock
 140: Intrusion Detection Module for Outside Infiltration Detection
 150: Theft detection module for detection of livestock stolen situation
 160: Alarm notification service module
 200: Monitoring GUI
 308: Livestock Movement Path Learning DB
 408: Human movement path learning DB
| Application Number | Priority Date | Filing Date | Title | 
|---|---|---|---|
| KR1020150067504AKR101716365B1 (en) | 2015-05-14 | 2015-05-14 | Module-based intelligent video surveillance system and antitheft method for real-time detection of livestock theft | 
| Application Number | Priority Date | Filing Date | Title | 
|---|---|---|---|
| KR1020150067504AKR101716365B1 (en) | 2015-05-14 | 2015-05-14 | Module-based intelligent video surveillance system and antitheft method for real-time detection of livestock theft | 
| Publication Number | Publication Date | 
|---|---|
| KR20160135004Atrue KR20160135004A (en) | 2016-11-24 | 
| KR101716365B1 KR101716365B1 (en) | 2017-03-15 | 
| Application Number | Title | Priority Date | Filing Date | 
|---|---|---|---|
| KR1020150067504AActiveKR101716365B1 (en) | 2015-05-14 | 2015-05-14 | Module-based intelligent video surveillance system and antitheft method for real-time detection of livestock theft | 
| Country | Link | 
|---|---|
| KR (1) | KR101716365B1 (en) | 
| Publication number | Priority date | Publication date | Assignee | Title | 
|---|---|---|---|---|
| KR101884611B1 (en)* | 2017-02-23 | 2018-08-02 | 이노뎁 주식회사 | Method of extracting objects-of-Interest out of CCTV video using metadate filtering of moving objects | 
| CN108508782A (en)* | 2018-01-29 | 2018-09-07 | 江苏大学 | Pig behavior tracking identification monitoring device based on ARM and method | 
| KR20190030877A (en) | 2017-09-15 | 2019-03-25 | 서원대학교산학협력단 | Livestock specification management system based on livestock knowledge information | 
| KR101972743B1 (en)* | 2018-06-27 | 2019-04-25 | (주)비전정보통신 | Method for providing incident alert service using criminal behavior recognition with beam projector base on cpted | 
| KR101994037B1 (en)* | 2018-02-23 | 2019-06-27 | 우석대학교 산학협력단 | Orchard security anti-theft alarm system | 
| CN110060441A (en)* | 2019-06-14 | 2019-07-26 | 三星电子(中国)研发中心 | Method and apparatus for terminal anti-theft | 
| KR102019301B1 (en)* | 2018-04-24 | 2019-09-06 | 군산대학교 산학협력단 | A video surveillance apparatus for detecting agro-livestock theft and method thereof | 
| KR102052110B1 (en)* | 2018-05-24 | 2019-12-04 | 군산대학교 산학협력단 | A video surveillance apparatus for detecting agro-livestock theft based on deep learning and method thereof | 
| KR20210011098A (en)* | 2019-07-22 | 2021-02-01 | 전주대학교 산학협력단 | Remote control system for smart farm using A.I. | 
| KR102351274B1 (en)* | 2020-07-23 | 2022-01-17 | 최상범 | Lock For Bicycle Having Alarming Function | 
| Publication number | Priority date | Publication date | Assignee | Title | 
|---|---|---|---|---|
| KR101972331B1 (en)* | 2017-08-29 | 2019-04-25 | 키튼플래닛 주식회사 | Image alignment method and apparatus thereof | 
| KR102113489B1 (en) | 2018-10-17 | 2020-05-21 | 포인드 주식회사 | Action Detection System and Method Using Deep Learning with Camera Input Image | 
| KR20230094075A (en) | 2021-12-20 | 2023-06-27 | 경희대학교 산학협력단 | Method for detecting object in image and computing device for executing the method | 
| KR102646871B1 (en)* | 2023-01-31 | 2024-03-13 | 한국축산데이터 주식회사 | Apparatus and method for detecting environmental change using barn monitoring camera | 
| KR102591118B1 (en) | 2023-03-27 | 2023-10-19 | 주식회사 아라(Ara) | Method for safety management of working robot | 
| Publication number | Priority date | Publication date | Assignee | Title | 
|---|---|---|---|---|
| KR19980068917A (en) | 1997-02-25 | 1998-10-26 | 박세진 | Farm management system by telecommunication | 
| KR20010067809A (en) | 2001-03-29 | 2001-07-13 | 장정호 | method for news service in a apartment development using a set-top box and IP address | 
| KR100700877B1 (en) | 2005-04-27 | 2007-03-29 | 에스케이 텔레콤주식회사 | Ubiquitous based farm management system and method | 
| KR20090049665A (en) | 2007-11-14 | 2009-05-19 | 주식회사아리랑비앤에스 | Agricultural product facility management system and method using CDA network | 
| KR20090074387A (en) | 2008-01-02 | 2009-07-07 | (주)노매딕텍스 | Farm Product Monitoring System and Method Based on Network Clustering Device | 
| KR20100050226A (en)* | 2008-11-05 | 2010-05-13 | 주식회사 지.아이.티 | Video detection system by multiple level area | 
| KR20120026889A (en) | 2010-09-10 | 2012-03-20 | 엘지이노텍 주식회사 | Rtls tag for real-time management of livestock and livestock managing system using the same | 
| KR101170819B1 (en) | 2011-03-03 | 2012-08-02 | (주)사이 | Live sound on-site sound notification system | 
| KR101194690B1 (en) | 2012-03-20 | 2012-10-29 | 주식회사 에스엠이씨 | Apparatus of identifying position of livestock and method thereof | 
| KR101342158B1 (en) | 2012-08-23 | 2013-12-18 | 주식회사 에스티엠 | Cattle shed management system for livestock individual information identifying and manageable | 
| KR101454644B1 (en)* | 2013-04-30 | 2014-10-27 | 순천향대학교 산학협력단 | Loitering Detection Using a Pedestrian Tracker | 
| KR101470316B1 (en)* | 2014-08-11 | 2014-12-09 | (주)엔토스정보통신 | Closed-circuit television system of sensing risk according to the characteristic of sensing area and method thereof | 
| KR20150031059A (en)* | 2013-09-13 | 2015-03-23 | 유하영 | The Development Of CCTV For Security By Pattern Recognition Technology | 
| Publication number | Priority date | Publication date | Assignee | Title | 
|---|---|---|---|---|
| KR19980068917A (en) | 1997-02-25 | 1998-10-26 | 박세진 | Farm management system by telecommunication | 
| KR20010067809A (en) | 2001-03-29 | 2001-07-13 | 장정호 | method for news service in a apartment development using a set-top box and IP address | 
| KR100700877B1 (en) | 2005-04-27 | 2007-03-29 | 에스케이 텔레콤주식회사 | Ubiquitous based farm management system and method | 
| KR20090049665A (en) | 2007-11-14 | 2009-05-19 | 주식회사아리랑비앤에스 | Agricultural product facility management system and method using CDA network | 
| KR100908215B1 (en) | 2007-11-14 | 2009-07-20 | 주식회사아리랑비앤에스 | Agricultural product facility management system and method using CDA network | 
| KR20090074387A (en) | 2008-01-02 | 2009-07-07 | (주)노매딕텍스 | Farm Product Monitoring System and Method Based on Network Clustering Device | 
| KR20100050226A (en)* | 2008-11-05 | 2010-05-13 | 주식회사 지.아이.티 | Video detection system by multiple level area | 
| KR20120026889A (en) | 2010-09-10 | 2012-03-20 | 엘지이노텍 주식회사 | Rtls tag for real-time management of livestock and livestock managing system using the same | 
| KR101170819B1 (en) | 2011-03-03 | 2012-08-02 | (주)사이 | Live sound on-site sound notification system | 
| KR101194690B1 (en) | 2012-03-20 | 2012-10-29 | 주식회사 에스엠이씨 | Apparatus of identifying position of livestock and method thereof | 
| KR101342158B1 (en) | 2012-08-23 | 2013-12-18 | 주식회사 에스티엠 | Cattle shed management system for livestock individual information identifying and manageable | 
| KR101454644B1 (en)* | 2013-04-30 | 2014-10-27 | 순천향대학교 산학협력단 | Loitering Detection Using a Pedestrian Tracker | 
| KR20150031059A (en)* | 2013-09-13 | 2015-03-23 | 유하영 | The Development Of CCTV For Security By Pattern Recognition Technology | 
| KR101470316B1 (en)* | 2014-08-11 | 2014-12-09 | (주)엔토스정보통신 | Closed-circuit television system of sensing risk according to the characteristic of sensing area and method thereof | 
| Title | 
|---|
| [1]. Chensheng Wang, Fei Wang, "A Knowledge-based Strategy for Object Recognition and Reconstruction", 2009 ITCS, pp.387-391, July, 2009. | 
| [10] L. Shao, T. Kadir, and M. Brady, "Geometric and photometric invariant distinctive regions detection," Information Sciences, Vol. 177, Issue 4, pp. 1088-1122, Feb. 2007. | 
| [11] R. M. Haralick, S. R. Stemberg, and X. Zhuang, "Image analysis using mathematical morphology," IEEE Transactions on Pattern Analysis and Machine Intelligence, Vol. PAMI-9, No. 4, pp. 532-550. 1987. | 
| [12]. " 최근 국내외 친환경농산물의 생산실태 및 시장전망",한국농촌경제연구원, 2009.9 | 
| [13]. "한미 FTA의 추진배경 및 기대효과" 재정경제부, 2006. 7 | 
| [14]. 한종욱, 조현숙 "영상보안시스템 기술동향", 정보보호학회지,제19권 5호, 2009.10]. | 
| [2]. Liang Lin, Tianfu Wu,Jake Porway, ZijianXu, "A stochastic graph grammar for compositional object representation and recognition", Pattern Recognition, Volume 42, Issue 7, pp. 1297-1307 ,July 2009 | 
| [3]. Chenyang Xu and Jerry L. Prince,"Gradient Vector Flow: A New External Force for Snakes",IEEE CVPR'97,pp 66-71,1997 | 
| [4] A. Burian and P. Kuosmanen, "Tuning the smoothness of the recursive median filter ," IEEE Transactions on Signal Processing, Vol. 50, No. 7, pp. 1631-1639, July 2002. | 
| [5] P. Kwan, K. Kameyama, and K. Toraichi, "Connecting image similarity retrieval with consistent labeling problem by introducing a match-all label," The 10th IEEE International Conference on Fuzzy Systems, Vol. 3, pp. 1384-1387, 2001. | 
| [6] Y. Ricquebourg and P. Bouthemy, "Real-time tracking of moving persons by exploiting spatio-temporal image slices," IEEE Transactions on Pattern Analysis and Machine Intelligence, Vol. 22, No. 8, pp. 797-808, 2000. | 
| [7] W. N. M. Isa, "Analysis on spatial and temporal features of gait kinematics," Proceedings of the Fourth IEEE Workshop on Automatics Identification Advanced Technologies. pp. 130-133, 2005. | 
| [8] I. Haritaoglu, D. Harwood, and L. S. Davis, "W4: real-time surveillance of people and their activities," IEEE Transactions on Pattern Analysis and Machine Intelligence, Vol.22, No.8, pp. 809-830, Aug. 2000. | 
| [9] M. H. Kim, Y. H. Joo, and J. B. Park, "Gesture extraction for ubiquitous robot-human interaction,"Journal of Control, Automation, and System Engineering, Vol. 11, No. 12, pp. 1062-1067, Dec. 2005. | 
| Publication number | Priority date | Publication date | Assignee | Title | 
|---|---|---|---|---|
| KR101884611B1 (en)* | 2017-02-23 | 2018-08-02 | 이노뎁 주식회사 | Method of extracting objects-of-Interest out of CCTV video using metadate filtering of moving objects | 
| US10271018B2 (en) | 2017-02-23 | 2019-04-23 | Innodep Co., Ltd. | Method of detecting critical objects from CCTV video using metadata filtering | 
| KR20190030877A (en) | 2017-09-15 | 2019-03-25 | 서원대학교산학협력단 | Livestock specification management system based on livestock knowledge information | 
| CN108508782A (en)* | 2018-01-29 | 2018-09-07 | 江苏大学 | Pig behavior tracking identification monitoring device based on ARM and method | 
| KR101994037B1 (en)* | 2018-02-23 | 2019-06-27 | 우석대학교 산학협력단 | Orchard security anti-theft alarm system | 
| KR102019301B1 (en)* | 2018-04-24 | 2019-09-06 | 군산대학교 산학협력단 | A video surveillance apparatus for detecting agro-livestock theft and method thereof | 
| KR102052110B1 (en)* | 2018-05-24 | 2019-12-04 | 군산대학교 산학협력단 | A video surveillance apparatus for detecting agro-livestock theft based on deep learning and method thereof | 
| KR101972743B1 (en)* | 2018-06-27 | 2019-04-25 | (주)비전정보통신 | Method for providing incident alert service using criminal behavior recognition with beam projector base on cpted | 
| CN110060441A (en)* | 2019-06-14 | 2019-07-26 | 三星电子(中国)研发中心 | Method and apparatus for terminal anti-theft | 
| KR20210011098A (en)* | 2019-07-22 | 2021-02-01 | 전주대학교 산학협력단 | Remote control system for smart farm using A.I. | 
| KR102351274B1 (en)* | 2020-07-23 | 2022-01-17 | 최상범 | Lock For Bicycle Having Alarming Function | 
| Publication number | Publication date | 
|---|---|
| KR101716365B1 (en) | 2017-03-15 | 
| Publication | Publication Date | Title | 
|---|---|---|
| KR101716365B1 (en) | Module-based intelligent video surveillance system and antitheft method for real-time detection of livestock theft | |
| US10936655B2 (en) | Security video searching systems and associated methods | |
| US8614744B2 (en) | Area monitoring using prototypical tracks | |
| US10769913B2 (en) | Cloud-based video surveillance management system | |
| US9396400B1 (en) | Computer-vision based security system using a depth camera | |
| CN109757395A (en) | A system and method for detecting and monitoring pet behavior | |
| KR102397837B1 (en) | An apparatus and a system for providing a security surveillance service based on edge computing and a method for operating them | |
| US11308792B2 (en) | Security systems integration | |
| KR102397839B1 (en) | A captioning sensor apparatus based on image analysis and a method for operating it | |
| KR20220064213A (en) | Program for operation of security monitoring device | |
| KR20220000424A (en) | Edge Computing Based Intelligent Security Surveillance Camera System | |
| KR20220000181A (en) | A program for operating method of intelligent security surveillance service providing apparatus based on edge computing | |
| KR20220000175A (en) | A method for operating of intelligent security surveillance service providing apparatus based on edge computing | |
| CN116824627A (en) | A method for preventing and controlling small animals in substations based on dual-light detection | |
| Nishanthini et al. | Smart Video Surveillance system and alert with image capturing using android smart phones | |
| Liang et al. | Real time intrusion detection system for outdoor environment | |
| KR20220000209A (en) | Recording medium that records the operation program of the intelligent security monitoring device based on deep learning distributed processing | |
| KR20220000202A (en) | A method for operating of intelligent security surveillance device based on deep learning distributed processing | |
| KR20220000221A (en) | A camera apparatus for providing a intelligent security surveillance service based on edge computing | |
| KR20220064241A (en) | Caption sensor apparatus for providing autonomous AI image sensor image analysis-based security monitoring service | |
| Kalshetty et al. | The various surveillance and detection techniques based on wireless sensor networks | |
| Kumaran | Smartcrop Guardian: Intelligent Image Based Protection from Wild Animal Intrusions | |
| GOPAL et al. | MOVEMENT PREDICTION AND ALERT GENERATION IN SLACK USING MOTION SENSORS INTEGRATED WITH MOBILE ADHOC NETWORKS | |
| KR20220000189A (en) | An apparatus for providing a security surveillance service based on edge computing | |
| KR20220000204A (en) | A program for operating method of intelligent security surveillance device based on deep learning distributed processing | 
| Date | Code | Title | Description | 
|---|---|---|---|
| A201 | Request for examination | ||
| PA0109 | Patent application | Patent event code:PA01091R01D Comment text:Patent Application Patent event date:20150514 | |
| PA0201 | Request for examination | ||
| E902 | Notification of reason for refusal | ||
| PE0902 | Notice of grounds for rejection | Comment text:Notification of reason for refusal Patent event date:20160725 Patent event code:PE09021S01D | |
| PG1501 | Laying open of application | ||
| E90F | Notification of reason for final refusal | ||
| PE0902 | Notice of grounds for rejection | Comment text:Final Notice of Reason for Refusal Patent event date:20170102 Patent event code:PE09021S02D | |
| E701 | Decision to grant or registration of patent right | ||
| PE0701 | Decision of registration | Patent event code:PE07011S01D Comment text:Decision to Grant Registration Patent event date:20170302 | |
| GRNT | Written decision to grant | ||
| PR0701 | Registration of establishment | Comment text:Registration of Establishment Patent event date:20170308 Patent event code:PR07011E01D | |
| PR1002 | Payment of registration fee | Payment date:20170308 End annual number:3 Start annual number:1 | |
| PG1601 | Publication of registration | ||
| FPAY | Annual fee payment | Payment date:20200217 Year of fee payment:4 | |
| PR1001 | Payment of annual fee | Payment date:20200217 Start annual number:4 End annual number:4 | |
| PR1001 | Payment of annual fee | Payment date:20210128 Start annual number:5 End annual number:5 | |
| PR1001 | Payment of annual fee | Payment date:20220222 Start annual number:6 End annual number:6 | |
| PR1001 | Payment of annual fee | Payment date:20230306 Start annual number:7 End annual number:7 | |
| PR1001 | Payment of annual fee | Payment date:20250304 Start annual number:9 End annual number:9 |