




본 발명은 CCTV를 통하여 군중 또는 차량 등이 빈번히 이동하는 통행로의 감시 시, 평소에 일정한 흐름을 보이는 군중 또는 차량 등이 사건/사고의 발생에 의해 평소와는 다른 이상 흐름을 보일 때, 감시 지역의 비디오 영상을 실시간으로 분석하여 그러한 이상 흐름을 감지하고 알람을 주는 시스템 및 그 방법에 관한 것이다.When a crowd or a vehicle showing a constant flow shows abnormal flow different from usual due to the occurrence of an accident / accident when a crowd or a vehicle frequently watches a traffic passage through the CCTV, The present invention relates to a system for analyzing a video image in real time and detecting such an abnormal flow and providing an alarm, and a method thereof.
기존의 CCTV 시스템은 수동적인 감시 시스템으로써, CCTV 카메라로부터 얻은 영상의 해석을 전적으로 사람에게 의존하였으나, 최근 들어 컴퓨터의 처리 능력 향상 및 컴퓨터 비전 기술이 발전함에 따라 CCTV 카메라 영상을 실시간으로 분석하여 의미 있는 이벤트를 감지하고 감시 요원에게 알람을 주는 지능형 영상 감시 시스템들이 선보이고 있다.Conventional CCTV system is a passive monitoring system, which relied entirely on the interpretation of images obtained from CCTV cameras. Recently, as computer processing capability and computer vision technology developed, CCTV camera images are analyzed in real time Intelligent video surveillance systems that detect events and provide alarms to surveillance personnel are being introduced.
현재까지 출현한 대부분의 지능형 영상 감시 시스템 및 관련 기술들은 영상 분석을 통해 개별 물체가 발생시키는 이벤트를 감지하는 것에 초점이 맞춰져 있다. 즉, 비디오 영상으로부터 움직임이 있는 개개의 물체를 감지 및 추적하고, 이동 궤적 등과 같은 물체 추적 결과를 바탕으로 그 물체가 영역 침범 등과 같은 특정 이벤트를 발생시켰는지를 판단하는 형식으로 되어 있다. 비디오 영상에서 개별 물체를 감지하고 추적하는 기술의 예로는 대한민국 등록특허 제10-0312427호 "비디오 영상에서 템플레이트와 칼만 필터를 이용한 이동물체 추적 방법 및 장치", 대한민국 등록특허 제10-0364582호 "다중 이동물체 추적/감시 시스템", 대한민국 등록특허 제10-0635883호 "실시간 물체 추적 장치" 등을 들 수 있다.Most intelligent video surveillance systems and related technologies that have emerged to date focus on detecting events generated by individual objects through image analysis. That is, the system detects and tracks individual moving objects from the video image, and determines whether the object generates specific events such as area invasion based on object tracking results such as moving trajectories and the like. Examples of techniques for detecting and tracking individual objects in a video image are disclosed in Korean Patent No. 10-0312427 entitled " Method and apparatus for tracking moving objects using template and Kalman filter in video image ", Korean Patent No. 10-0364582 Moving object tracking / monitoring system ", Korean Patent Registration No. 10-0635883 "real-time object tracking device ", and the like.
상기 지능형 영상 감시 시스템 및 기술들은 개개의 이동 물체를 감지하고 추적하는데 초점이 맞춰져 있기 때문에 비교적 적은 수의 이동 물체들이 분산되어 이동하는 환경에서는 활용이 가능하나 군중 또는 차량 등이 밀집되어 빈번히 이동하는 환경에서는 활용하기 어렵다.Since the intelligent video surveillance system and techniques focus on detecting and tracking individual moving objects, it is possible to utilize it in an environment in which a relatively small number of moving objects are dispersed and moved. However, in an environment where a crowd or a vehicle is frequently crowded and moves It is difficult to utilize.
또한 상기 지능형 영상 감시 시스템 및 기술에서는 감지하려는 이벤트에 대한 내용이 개별 물체의 행동 입장에서 명확하게 기술될 수 있어야 한다. 따라서 "불특정 사건/사고의 발생"과 같은 이벤트를 감지하기에는 적합하지 않다.Also, in the above-mentioned intelligent video surveillance system and technology, the contents of the event to be detected must be clearly described in the behavior of the individual object. Therefore, it is not suitable for detecting an event such as "occurrence of an unspecified event / accident ".
본 발명은 CCTV를 통해 군중 또는 차량 등이 빈번히 이동하는 통행로의 감시 시, 비디오 영상을 통해 군중 또는 차량 등이 평소에 보이는 정상적인 흐름을 일정 기간 동안 학습한 후, 사건/사고의 발생에 의해 군중 또는 차량 등이 평소와는 다른 이상 흐름을 보일 때, 학습 결과를 바탕으로 비디오 영상으로부터 그러한 이상 흐름을 실시간으로 감지하는 시스템 및 그 방법을 제공한다.The present invention relates to a method and system for monitoring a traffic flow in which a crowd or a vehicle frequently moves through CCTV, learning a normal flow of a crowd or a vehicle through a video image for a predetermined period of time, The present invention provides a system and method for detecting abnormal flow in real time from a video image based on a learning result when a vehicle or the like shows an abnormal flow different from usual.
본 발명의 특징에 따른 영상 기반 이상 흐름 감지 방법은, 감시 지역을 촬영하는 비디오 카메라로부터 비디오 영상을 입력 받아 감시 지역에 대한 정상 모션 흐름을 일정 시간 동안 학습하는 단계; 상기 학습 이후에 상기 비디오 카메라의 영상으로부터 상기 학습 결과를 이용하여 감시 지역에서 발생하는 이상 흐름을 실시간으로 감지하는 단계; 상기 이상 흐름을 감지하면 알람을 발생시켜 이상 흐름이 발생했음을 알리고, 이상 흐름이 발생한 비디오 영상을 저장하는 단계를 포함하고, 상기 정상 모션 흐름을 학습하는 단계는, 상기 비디오 카메라로부터 비디오 프레임을 입력 받는 단계; 상기 비디오 프레임을 복수개의 서브 블록으로 분할하는 단계; 상기 비디오 프레임의 각 픽셀별로 모션 벡터를 획득하는 단계; 상기 획득한 모션 벡터를 이용하여 각 서브 블록의 모션 방향 히스토그램을 업데이트하는 단계; 상기 모션 방향 히스토그램을 이용하여 모션 방향 맵을 생성하는 단계를 포함하되, 상기 모션 방향 맵은 상기 모션 방향 히스토그램이 지정된 기간 동안 업데이트된 후에 생성된다.A method of detecting an abnormal motion based on an image according to an embodiment of the present invention includes: receiving a video image from a video camera that captures a surveillance region and learning a normal motion flow for a surveillance region for a predetermined time; Sensing an abnormal flow occurring in the monitoring area in real time using the learning result from the image of the video camera after the learning; Generating an alarm when the abnormal flow is sensed and notifying that an abnormal flow has occurred and storing a video image in which an abnormal flow has occurred, wherein learning the normal motion flow comprises: receiving a video frame from the video camera step; Dividing the video frame into a plurality of sub-blocks; Obtaining a motion vector for each pixel of the video frame; Updating a motion direction histogram of each sub-block using the obtained motion vector; Generating a motion direction map using the motion direction histogram, wherein the motion direction map is generated after the motion direction histogram is updated for a specified period of time.
또한, 모션 방향 히스토그램을 이용하여 모션 방향 맵을 생성하는 것은, 특정 서브 블록에 대응하는 모션 방향 히스토그램의 로컬 피크(Local Peak)들의 모션 방향각 값들을 그 서브 블록에 대응하는 모션 방향 맵의 요소 값으로 등록하는 것을 특징으로 한다.The motion direction map is generated by using the motion direction histogram to generate the motion direction angle values of the local peaks of the motion direction histogram corresponding to the specific subblock to the element value of the motion direction map corresponding to the subblock And the like.
또한, 이상 흐름을 감지하는 단계는, 상기 비디오 카메라로부터 비디오 프레임을 입력 받는 단계; 상기 비디오 카메라가 촬영 중인 감시 지역에 대한 배경 모델을 이용하여 상기 입력 받은 비디오 프레임으로부터 전경 영역을 추출하는 단계; 상기 전경 영역 내의 각 픽셀에 대하여 모션 벡터를 획득하는 단계; 상기 전경 영역 내의 각 픽셀을 모션 픽셀과 넌모션 픽셀로 분류하는 단계; 상기 모션 방향 맵을 이용하여 모션 픽셀들의 비정상 여부를 판별하는 단계; 상기 비디오 프레임의 모든 픽셀에 대하여 비정상도 값을 업데이트하는 단계; 비정상도 값이 지정된 임계값 이상인 픽셀들로부터 이상 흐름 발생 영역을 획득하는 단계; 상기 이상 흐름 발생 영역의 크기 또는 면적으로부터 이상 흐름 발생 여부를 판단하는 단계를 포함한다.The detecting of the abnormal flow may include: receiving a video frame from the video camera; Extracting a foreground region from the input video frame using a background model of the surveillance region being photographed by the video camera; Obtaining a motion vector for each pixel in the foreground region; Classifying each pixel in the foreground region into a motion pixel and a non-motion pixel; Determining whether motion pixels are abnormal using the motion direction map; Updating an anomaly value for all pixels of the video frame; Obtaining an abnormal flow generation region from pixels whose unsteadiness value is equal to or higher than a specified threshold value; And determining whether an abnormal flow has occurred from the size or area of the abnormal flow generation region.
또한, 전경 영역 내의 각 픽셀을 모션 픽셀과 넌모션 픽셀로 분류하는 것은, 픽셀의 모션 벡터의 크기가 지정된 임계값 이상이면 모션 픽셀로 분류하고, 픽셀의 모션 벡터의 크기가 지정된 임계값보다 작으면 넌모션 픽셀로 분류하는 것을 특징으로 한다.Also, classifying each pixel in the foreground region into motion pixels and non-motion pixels classifies the pixel as a motion pixel if the size of the motion vector of the pixel is greater than or equal to a specified threshold, and if the size of the pixel's motion vector is less than the specified threshold And is classified into motion pixels.
또한, 모션 방향 맵을 이용하여 모션 픽셀들의 비정상 여부를 판별하는 것은, 각 모션 픽셀의 모션 벡터의 방향각 값과 그 모션 픽셀에 대응하는 모션 방향 맵에 등록된 모션 방향각 값들과의 유사성을 비교하여 유사성이 낮으면 “비정상”으로 판별하는 것을 특징으로 한다.The determination of whether or not the motion pixels are abnormal by using the motion direction map is performed by comparing the direction angle value of the motion vector of each motion pixel with the motion direction angle values registered in the motion direction map corresponding to the motion pixel And when the similarity is low, it is determined as " abnormal ".
또한, 비디오 프레임의 모든 픽셀에 대하여 비정상도 값을 업데이트하는 것은, 특정 픽셀이 “모션 픽셀이고 비정상” 이거나 “넌모션 픽셀”이면 비정상도 값을 증가시키고, 특정 픽셀이 “모션 픽셀이고 정상” 이거나 “전경 영역에 속하지 않는 픽셀”이면 비정상도 값을 감소시키는 것을 특징으로 한다.
Also, updating the anomaly value for all pixels of a video frame may increase the anomaly value if the particular pixel is a " motion pixel and anomalous " or a " non-motion pixel " And if the pixel belongs to the " pixel not belonging to the foreground region ", the non-uniformity value is reduced.
본 발명의 특징에 따른 영상 기반 이상 흐름 감지 시스템은 감시 지역을 촬영하는 비디오 카메라; 및 상기 비디오 카메라로부터 비디오 영상을 입력 받아 감시 지역에 대한 정상 모션 흐름을 학습한 후, 상기 비디오 카메라의 영상으로부터 상기 학습 결과를 이용하여 감시 지역에서 발생하는 이상 흐름을 실시간으로 감지하고 알람을 주는 영상 처리 장치를 포함하고, 상기 영상 처리 장치는 비디오 카메라로부터 입력받은 비디오 영상으로부터 일정 시간 동안 감시 지역에 대한 정상 모션을 학습하고, 학습 결과로써 모션 방향 맵을 제공하는 정상 모션 흐름 학습부; 상기 모션 방향 맵을 이용하여 상기 비디오 카메라의 영상으로부터 감시 지역에서 발생하는 이상 흐름을 실시간으로 감지하고, 감지 결과로써 이상 흐름 발생 여부 및 이상 흐름 발생 영역을 제공하는 이상 흐름 감지부; 상기 이상 흐름 감지부로부터 이상 흐름이 감지되면 비디오 또는 오디오 출력 장치를 통해 사용자에게 이상 흐름이 감지되었음을 알리는 알람을 발생시키는 알람 발생부를 포함한다.According to an aspect of the present invention, there is provided an image-based abnormal flow detection system comprising: a video camera for photographing a surveillance area; And a control unit that receives a video image from the video camera and learns a normal motion flow for a surveillance area, and detects an abnormal flow occurring in the surveillance area in real time using the learning result from the video camera, A normal motion flow learning unit for learning a normal motion for a surveillance region from a video image input from a video camera for a predetermined time and providing a motion direction map as a learning result; An abnormal flow sensing unit for sensing in real time an abnormal flow occurring in a monitoring area from the image of the video camera using the motion direction map and providing an abnormal flow occurrence and an abnormal flow occurrence area as a detection result; And an alarm generating unit for generating an alarm indicating that abnormal flow is detected by the user through the video or audio output device when an abnormal flow is detected from the abnormal flow sensing unit.
또한, 영상 처리 장치는 이상 흐름 감지부를 통해 감시 지역에서 발생하는 이상 흐름을 감지하면 이상 흐름을 감지한 전후로 일정 시간 동안의 비디오 영상 데이터를 저장 장치에 저장하고, 감지된 이상 흐름에 대한 이벤트 정보 및 상기 저장된 비디오 영상 데이터와의 링크 정보를 이벤트 DB에 저장하는 비디오/이벤트 저장부; 사용자가 지정한 검색 조건에 맞는 이벤트들을 이벤트 DB에서 찾아 화면에 표출하는 비디오/이벤트 검색부; 검색된 이벤트들 중에 사용자가 선택한 이벤트와 링크된 비디오 영상 데이터를 저장 장치로부터 가져와 화면에 재생하는 비디오/이벤트 재생부를 추가로 포함하는 것을 특징으로 한다.The image processing apparatus stores video image data for a predetermined period of time before and after detecting an abnormal flow when detecting an abnormal flow occurring in the surveillance region through the abnormal flow sensing unit, A video / event storage unit for storing link information on the stored video image data in an event DB; A video / event search unit for searching the event database for events matching the search condition specified by the user and displaying the event on the screen; And a video / event playback unit for taking the video image data linked with the event selected by the user from the storage device and reproducing the extracted video / image data on the screen.
또한, 감지된 이상 흐름에 대한 이벤트 정보는 이상 흐름이 발생한 시간, 이상 흐름을 감지한 카메라의 ID, 영상에서 이상 흐름이 발생한 영역 중 적어도 하나를 포함하는 것을 특징으로 한다.In addition, the event information for the detected abnormal flow includes at least one of a time at which the abnormal flow occurred, an ID of the camera that sensed the abnormal flow, and an area where the abnormal flow occurred in the image.
또한, 영상 처리 장치 이상 흐름 감지부를 통해 감시 지역에서 발생하는 이상 흐름을 감지하면 각종 유무선 통신로를 통해 연결된 외부 장치로 이상 흐름 감지 여부, 감지된 이상 흐름에 대한 이벤트 정보, 감지된 이상 흐름에 대한 비디오 영상 데이터 중 적어도 하나를 전송하는 외부 장치와의 통신부를 추가로 포함한다.In addition, when an abnormal flow occurring in the surveillance area is detected through the abnormality detection unit of the image processing apparatus, the external device connected through various wired / wireless communication lines detects whether abnormal flow is detected, event information on the detected abnormal flow, And a communication unit for communicating at least one of video image data with an external device.
이상에서 상술한 바와 같이, 본 발명에 따른 영상 기반 이상 흐름 감지 시스템 및 방법에 의하면, 군중 또는 차량 등이 빈번히 이동하는 통행로에서 사건/사고에 의해 발생한 이상 흐름을 CCTV를 통해 실시간으로 감지하여 감시 요원에게 알려줌으로써, 감시 요원이 공공장소에서 발생한 사건/사고를 신속하게 파악하고 대처하는데 도움을 주는 효과가 있다.As described above, according to the image-based abnormal flow detection system and method according to the present invention, abnormal flows generated by events / accidents in a crowded passage or a frequent moving vehicle are detected in real time through CCTV, To help the surveillance officer quickly identify and respond to incidents / incidents in public places.
도 1은 본 발명의 일 실시예에 따른 영상 기반 이상 흐름 감지 시스템의 구성도이다.
도 2는 본 발명의 일 실시예에 따른 영상 처리 장치의 주요 동작 흐름도이다.
도 3은 정상 모션 흐름 학습을 위한 수행 흐름도이다.
도 4는 통상적인 모션 벡터 방향 히스토그램의 모습이다.
도 5는 영상 분석을 통한 이상 흐름 감지를 위한 수행 흐름도이다.1 is a configuration diagram of an image-based abnormal flow detection system according to an embodiment of the present invention.
2 is a main operation flowchart of an image processing apparatus according to an embodiment of the present invention.
3 is a flow chart for normal motion flow learning.
Figure 4 is a view of a typical motion vector direction histogram.
5 is a flowchart illustrating an abnormal flow detection through image analysis.
도 1은 본 발명의 일 실시예에 따른 영상 기반 이상 흐름 감지 시스템의 구성도이다.1 is a configuration diagram of an image-based abnormal flow detection system according to an embodiment of the present invention.
도 1을 참조하면, 본 발명의 일 실시예에 따른 이상 흐름 감지 시스템은 비디오 카메라(101)와 영상 처리 장치(102)를 기본적으로 포함하며, 부수적으로 영상 처리 장치(102)는 각종 외부 장치(103)와 연결될 수 있다.1, the abnormal flow detection system according to an embodiment of the present invention basically includes a
비디오 카메라(101)는 일반 고정식 카메라 또는 회전/줌(Zoom)이 가능한 PTZ 카메라일 수 있으며, 비디오 신호를 출력하는 방식에 따라 NTSC/PAL 등의 아날로그 비디오 신호를 출력하는 카메라이거나 Ethernet/USB/IEEE1394 등의 디지털 인터페이스를 통해 디지털 비디오 신호를 출력하는 카메라일 수 있다. 비디오 카메라(101)가 PTZ 카메라인 경우에는, 영상 처리 장치(102)를 통해 영상 분석이 진행되는 동안 고정되어 있는 상태여야 한다.The
영상 처리 장치(102)는 비디오 카메라(101)로부터 비디오 신호를 입력 받아 일련의 디지털 비디오 영상 데이터를 획득하고, 비디오 영상을 실시간으로 분석하여 감시 지역 내의 군중이나 차량 등의 이상 흐름을 감지하고, 이상 흐름 감지 시 알람 발생 및 비디오 영상의 녹화 등을 수행한다. 또한 영상 처리 장치(102)는 필요 시 다양한 유무선 통신 수단을 통해 휴대용 단말기, DVR, 중앙 통제 장치 등 다양한 외부 장치(103)들과 통신을 수행한다.The
영상 처리 장치(102)는 기능적인 측면에서 보았을 때 내부적으로 비디오 획득부(1021), 정상 모션 흐름 학습부(1022), 이상 흐름 감지부(1023), 알람 발생부(1024), 화면 표출부(1025), 비디오/이벤트 저장부(1026), 비디오/이벤트 검색부(1027), 비디오/이벤트 재생부(1028), 사용자 명령 입력부(1029), 외부 장치와의 통신부(1030)를 포함한다.The
비디오 획득부(1021)는 비디오 카메라(101)로부터 비디오 신호를 입력 받아 일련의 디지털 비디오 프레임 데이터(Digital Video Frame Data)를 획득한다.The
정상 모션 흐름 학습부(1022)는 상기 획득한 비디오 데이터로부터 평상시 감시 지역 내에서 군중 또는 차량 등과 같은 이동체들에 의해 발생하는 정상적인 모션 흐름(Normal Motion Flow)을 학습한다. 정상 모션 흐름의 학습은 이상 흐름 감지부(1023)에서 이상 흐름 감지를 수행하기에 앞서 일정 시간 동안 수행된다.The normal motion
이상 흐름 감지부(1023)는 정상 모션 흐름 학습부(1022)에서 학습한 정상 모션 흐름에 대한 정보를 바탕으로, 감시 지역에 대한 비디오 영상을 실시간으로 분석하여 군중 또는 차량 등과 같은 이동체들의 이상 흐름(Abnormal Flow)을 감지한다.Based on the information of the normal motion flow learned by the normal motion
알람 발생부(1024)는 이상 흐름 감지부(1023)에서 이상 흐름을 감지하였을 때 모니터나 스피커 등을 통해 알람(Alarm) 신호를 출력하여 감시자에게 이상 흐름이 발생하였음을 알리며, 필요시 영상 처리 장치(102)와 연결된 외부 시스템(103)에 알람 신호를 발송한다.When the abnormal
화면 표출부(1025)는 실시간/재생 비디오 영상, 알람 메시지, 시스템 동작 상태 등 각종 정보를 모니터를 통해 표출한다.The
비디오/이벤트 저장부(1026)는 이상 흐름 감지부(1023)에서 이상 흐름을 감지하였을 때, 이상 흐름이 발생한 전후로 일정 기간 동안의 비디오 데이터를 저장 장치에 저장한다. 또한 감지된 이벤트에 대한 정보를 이벤트 DB에 등록하고, 저장된 비디오 데이터와 링크한다.The video /
비디오/이벤트 검색부(1027)는 사용자가 지정한 검색 조건을 충족하는 이벤트들을 이벤트 DB에서 찾아 검색 결과를 화면에 표출한다.The video /
비디오/이벤트 재생부(1028)는 비디오/이벤트 검색부(1027)에 의해 검색된 이벤트들 중에 사용자가 선택한 이벤트와 링크된 비디오 데이터를 저장 장치로부터 가져와 화면에 표출한다.The video /
사용자 명령 입력부(1029)는 사용자로부터 각종 설정/제어 명령을 입력 받아 관련 모듈로 전달한다.The user
외부 장치와의 통신부(1030)는 각종 통신 수단을 통해 알람 메시지, 비디오/이벤트 데이터 등을 외부 시스템으로 전달하거나, 외부 시스템으로부터 설정/제어 명령을 받아 관련 모듈로 전달한다.The
도 2는 본 발명의 일 실시예에 따른 영상 처리 장치(102)의 주요 동작 흐름도이다.2 is a main operation flowchart of the
단계(S101)에서 영상 처리 장치(102)는 비디오 카메라(101)로부터 비디오 영상을 획득한다.In step S101, the
단계(S102)에서 영상 처리 장치(102)는 상기 비디오 영상으로부터 평상시 감시 지역 내에서 군중 또는 차량 등과 같은 이동체들에 의해 발생하는 정상적인 모션 흐름(Normal Motion Flow)을 학습한다. 정상 모션 흐름의 학습은 단계(S103)의 이상 흐름 감지를 수행하기에 앞서 충분히 긴 시간 동안 이루어지며, 학습 결과로써 모션 방향 맵(Motion Direction Map)을 획득한다.In step S102, the
단계(S103)에서 영상 처리 장치(102)의 이상 흐름 감지부(1023)는 단계(S102)에서 획득한 모션 방향 맵을 이용하여 상기 비디오 영상으로부터 군중 또는 차량 등과 같은 이동체들의 이상 흐름(Abnormal Flow)을 실시간으로 감지한다.In step S103, the abnormal
단계(S104)에서 영상 처리 장치(102)는 이상 흐름 감지 시 모니터 화면이나 스피커 등을 통해 알람(Alarm)을 발생시켜 감시자에게 이상 흐름이 발생하였음을 알린다.In step S104, the
단계(S105)에서 영상 처리 장치(102)의 외부 장치와의 통신부(1030)는 필요 시 다양한 통신 수단을 통해 각종 외부 장치(103)에 알람 및 감지된 이상 흐름 이벤트에 대한 정보를 전달한다. 전달되는 정보로는 단순히 이벤트 감지 여부를 나타내는 신호로부터 감지된 이벤트의 형태, 발생 위치/시각, 관련 비디오 데이터에 이르기까지 외부 장치의 성격에 따라 다양한 정보가 전달될 수 있다.In step S105, the
단계(S106)에서 영상 처리 장치(102)의 비디오/이벤트 저장부(1026)는 이상 흐름 이벤트 감지 시 관련 비디오 영상 및 이벤트 정보를 로컬 저장 장치에 저장한다. 비디오 영상 데이터는 이벤트 감지 시점을 전후로 지정된 시간동안 저장되며, MPEG4/H.264 등과 같은 압축 방식을 이용하여 저장된다. 관련 이벤트 정보는 이벤트 DB(Database)에 저장되어 향 후 검색이 가능하도록 만든다.In step S106, the video /
단계(S107)에서 영상 처리 장치(102)의 비디오/이벤트 검색부 및 재생부(1027,1028)는 사용자의 요청에 따라 저장되어 있는 이벤트들을 검색하고 관련 비디오 영상을 재생한다. 영상 처리 장치(102)는 최근에 감지한 이벤트들에 대한 목록을 가지고 있어서 사용자가 목록에서 특정 이벤트 항목을 선택하면 관련 비디오 영상을 즉시 재생한다. 또한, 사용자가 영상 처리 장치(102)에 검색할 이벤트에 대한 검색 조건(이벤트 종류, 발생 시간 등)을 입력하고 검색 명령을 내리면 영상 처리 장치(102)는 이벤트 DB에서 검색 조건을 만족하는 이벤트들을 찾아 목록을 화면에 표출하고, 사용자가 목록 내의 특정 이벤트 항목을 선택하면 관련 비디오 영상을 재생한다.In step S107, the video / event searching unit and the reproducing
도 3은 도 2의 단계(S102)에 해당하는 정상 모션 흐름 학습을 위한 수행 흐름도이다.3 is a flowchart illustrating a normal motion flow learning operation corresponding to step S102 of FIG.
단계(S201)에서 영상 처리 장치(102)는 비디오 카메라(101)로부터 비디오 프레임(Video Frame)을 입력받는다.In step S201, the
단계(S202)에서 영상 처리 장치(102)는 상기 입력 비디오 프레임을 동일한 크기의 서브 블록(Sub-block)으로 균등 분할한다. 보통 서브 블록의 크기를 4 x 4 정도로 설정한다.In step S202, the
단계(S203)에서 영상 처리 장치(102)는 상기 입력 비디오 프레임의 각 픽셀에 대하여 모션 벡터(Motion Vector)를 구한다. 공간상의 한 점(Point) P가 이동하고 있을 때, P 대응하는 현재 프레임에서의 픽셀 좌표를, 이전 프레임에서의 픽셀 좌표를라고 하면, 현재 프레임에서 픽셀 p의 모션 벡터 v(p)는 하기 수학식 1과 같이 주어진다.In step S203, the
현재 프레임과 그 이전의 프레임들이 주어졌을 때, 현재 프레임에서 각 픽셀의 모션 벡터를 구하기 위한 다양한 방법이 존재한다. 예를 들면 J. L. Barron, D. J. Fleet, S. Beauchemin의 "Performance of Optical Flow Techniques" (International Journal of Computer Vision, Vol. 12, No. 1, 1994)는 모션 벡터를 구하는 다양한 방법을 소개하고 있다.Given the current frame and its previous frames, there are various ways to obtain the motion vector of each pixel in the current frame. For example, J. L. Barron, D. J. Fleet, and S. Beauchemin in "Performance of Optical Flow Techniques" (International Journal of Computer Vision, Vol. 12, No. 1, 1994) disclose various methods for obtaining motion vectors.
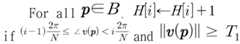
단계(S204)에서 영상 처리 장치(102)는 각 서브 블록에 대하여 모션 벡터 방향 히스토그램을 업데이트한다. 모션 벡터 방향 히스토그램(Motion Vector Orientation Histogram)은 N개의 빈(Bin)으로 구성되어 있는 일차원 배열로써, 각 빈이 갖는 값은 특정 범위에 속하는 방향각을 갖는 모션 벡터의 출현 빈도 수를 나타낸다. 각 서브 블록에는 한 개의 모션 벡터 방향 히스토그램이 할당되며, 서브 블록 내의 각 픽셀의 모션 벡터는 그 서브 블록에 할당된 모션 벡터 방향 히스토그램을 업데이트하는데 사용된다. 특정 서브 블록 B의 모션 벡터 방향 히스토그램을 H라고 하고, 히스토그램 H의 i번째 빈을 H[i]라고 하고, 서브 블록 B에 속하는 특정 픽셀 p의 모션 벡터를 v(p)라고 하면, 히스토그램 H는 하기 수학식 2와 같이 업데이트된다.In step S204, the
상기 수학식 2에서는 v(p)의 방향각,는 v(p)의 크기,은 임의의 임계값을 나타낸다. 모션 벡터 방향 히스토그램의 각 빈은 학습이 시작되기 전에 0으로 초기화되어 있다고 가정한다.In Equation (2) Is the direction angle of v (p) Is the size of v (p) Represents an arbitrary threshold value. It is assumed that each bean in the motion vector direction histogram is initialized to zero before learning begins.
v(p)의 크기가 임계값보다 작은 픽셀의 경우에는 모션이 발생하지 않은 것으로 간주하고 히스토그램 업데이트 시 사용되지 않는다.If the size of v (p) For smaller pixels, motion is considered not to occur and is not used when updating the histogram.
단계(S205)에서 영상 처리 장치(102)는 지정된 학습 시간이 경과되었는지 체크한다. 지정된 학습 시간이 경과되지 않았으면 단계(S201) 내지 단계(S204)를 반복해서 수행한다. 학습 시간은 영상 처리 장치(102)가 감시 지역 내의 정상적인 모션 흐름을 충분히 학습할 수 있도록 보통 하루에서 며칠 정도로 설정한다.In step S205, the
지정된 학습 시간이 경과되면 단계(S206)에서 영상 처리 장치(102)는 상기 누적된 모션 벡터 방향 히스토그램을 이용하여 모션 방향 맵(Motion Direction Map)을 생성한다. 모션 방향 맵은 각 서브 블록의 대표 모션 방향각 값들을 뽑아서 만든 2차원 배열이다. 특정 서브 블록의 모션 벡터 방향 히스토그램에서 각 빈이 갖는 값은, 학습 시간 동안 그 빈에 해당하는 범위의 방향각을 갖는 모션 벡터가 그 서브 블록 내에서 발생한 횟수를 의미한다. 따라서 특정 서브 블록의 모션 벡터 방향 히스토그램의 로컬 피크(Local Peak)는 그 서브 블록에서 학습 시간동안 발생한 모션의 대표적인 방향각을 가리키게 된다.When the designated learning time has elapsed, the
도 4는 통상적인 모션 벡터 방향 히스토그램의 모습 및 그것에 해당하는 로컬 피크들을 보이고 있다.Figure 4 shows the appearance of a typical motion vector direction histogram and corresponding local peaks.
모션 벡터 방향 히스토그램의 로컬 피크의 개수는 한 개일 수도 있고 여러 개일 수도 있다. 예를 들어 감시 지역이 단방향의 진행만 허용되는 통로인 경우에는 대표적인 모션이 하나만 존재하므로 대부분의 서브 블록의 모션 벡터 방향 히스토그램은 한 개의 로컬 피크만을 갖게 될 것이다. 만약 감시 지역이 양방향의 진행이 허용되는 통로인 경우에는 대표적인 모션이 두 개가 존재하므로 대부분의 서브 블록의 모션 벡터 방향 히스토그램은 두 개의 로컬 피크를 갖게 될 것이다. 균등 분할된 영상의 (i,j)에 위치하는 서브 블록 B(i,j)의 모션 벡터 방향 히스토그램을 H(i,j)라고 하고, H(i,j)의 로컬 피크에 해당하는 빈의 인덱스 값을라고 하면, 모션 방향 맵 M의 (i,j)에 위치하는 요소 M(i,j)의 값은 하기 수학식 3과 같이 주어진다.The number of local peaks in the motion vector direction histogram may be one or several. For example, if the monitoring area is a path that allows only unidirectional motion, only one representative motion exists, so that the motion vector direction histogram of most subblocks will have only one local peak. If the surveillance region is a path through which bidirectional motion is allowed, there are two representative motions, so that the motion vector direction histogram of most subblocks will have two local peaks. The motion vector direction histogram of the subblock B (i, j) located at (i, j) in the evenly divided image is referred to as H (i, j) and the bin corresponding to the local peak of H The index value , The value of the element M (i, j) located at (i, j) in the motion direction map M is given by the following equation (3).
상기 수학식 3에서는 임의의 임계값으로, 노이즈에 해당하는 로컬 피크는 고려 대상에서 제외시키기 위해 사용된다. 상기 수학식 3을 통해 생성된 모션 방향 맵은 도 2의 단계(S103)에서 영상 분석을 통한 이상 흐름 감지 시 사용된다.In Equation (3) Is an arbitrary threshold value, and the local peak corresponding to the noise is used to exclude from consideration. The motion direction map generated through Equation (3) is used in abnormal flow detection through image analysis in step S103 of FIG.
도 5는 도 2의 단계(S103)에 해당하는 영상 분석을 통한 이상 흐름 감지를 위한 수행 흐름도이다.FIG. 5 is a flowchart illustrating an abnormal flow detection process through image analysis corresponding to step S103 of FIG. 2. Referring to FIG.
단계(S301)에서 영상 처리 장치(102)는 비디오 카메라(101)로부터 비디오 프레임을 입력받는다.In step S301, the
단계(S302)에서 영상 처리 장치(102)는 감시 지역 영상에 대한 배경 모델을 이용하여 입력 비디오 프레임으로부터 전경 영역을 추출한다. 배경 모델(Background Model)은 영상에서 감시 지역의 배경을 이루는 지형/지물(통상적으로 장시간동안 움직임이 없는 지형/지물을 뜻함)에 속하는 픽셀들의 밝기 분포를 모델링한 결과를 의미한다. 전경 영역은 전경 픽셀(Foreground Pixel)들의 집합체로, 전경 픽셀은 입력 비디오 영상에서 배경 모델과는 차이를 보이는 밝기 값을 갖는 픽셀을 나타내며, 통상적으로 물체의 이동이나 조명 변화 등에 의해 발생한다. 배경 모델의 경우, 시간이 경과해도 배경 영역의 픽셀의 밝기가 항상 일정하면 배경 모델을 업데이트할 필요가 없으나, 대부분의 실외 환경에서는 시간이 지남에 따라 조명 등의 변화로 배경 영역의 픽셀의 밝기 값이 변화하게 된다. 또한 실내라고 하더라도 감시 지역 내의 물건의 배치가 변화할 수 있다. 따라서 정확한 배경 모델을 유지하기 위해서는 주기적인 배경 모델의 업데이트가 필요하다. 배경 모델을 생성 및 업데이트하고, 배경 모델을 이용하여 입력 비디오 프레임으로부터 전경 영역을 추출하는 다양한 방법들이 존재한다. 예를 들면 C. Stauffer, W. Grimson의 "Learning Patterns of Activity Using Real-Time Tracking" (IEEE Trans. on PAMI, Vol. 22, No. 8, 2000), R. Collins, A. Lipton, H. Fujiyoshi, T. Kanade의 "Algorithms for Cooperative Multisensor Surveillance" (Proceedings of the IEEE, Vol. 89, No. 10, 2001), 대한민국등록특허 제10-0364582호 "다중 이동 물체 추적/감지 시스템" 등을 참조하라.In step S302, the
단계(S303)에서 영상 처리 장치(102)의 모션 벡터 생성부(102a)는 상기 추출된 전경 영역 내의 각 픽셀에 대하여 모션 벡터를 획득한다.In step S303, the motion vector generation unit 102a of the
단계(S304)에서 영상 처리 장치(102)는 상기 추출된 전경 영역 내의 픽셀들을 모션 픽셀(Motion Pixel)과 넌모션 픽셀(Non-motion Pixel)로 분류한다. 모션 벡터의 크기가 특정 임계값 이상이면 모션 픽셀로, 임계값 이하이면 넌모션 픽셀로 분류하며, 상기 임계값은 매우 작은 값으로 설정한다. 이와 같이 전경 영역 내의 픽셀들을 모션 픽셀과 넌모션 픽셀로 분류했을 때, 모션 픽셀들은 현재 이동 중인 물체의 즉각적인 움직임(Instant Motion)에 의해 감지된 전경 픽셀들을 가리키게 되며, 넌모션 픽셀들은 그 이외의 원인에 의해 감지된 전경 픽셀들을 가리키게 된다. 넌모션 픽셀들이 발생하는 원인으로는 이동 중인 물체가 정지한 경우, 배경에 속해 있지 않은 물체가 버려진 경우, 배경에 속해 있던 물체가 제거된 경우, 배경에 속하는 물체지만 주위 조명 변화에 의해 배경 모델과는 차이가 나는 픽셀 밝기를 갖게 된 경우 등을 들 수 있다.In step S304, the
단계(S305)에서 영상 처리 장치(102)는 배경 모델을 업데이트한다. 배경 모델의 업데이트는 주기적으로 수행되지만 매 비디오 프레임마다 수행될 필요는 없다. 배경 모델의 업데이트 시 모션 픽셀로 분류된 픽셀들은 업데이트 대상에서 제외된다. 모션 픽셀로 분류된 픽셀들은 배경 물체가 아닌 이동 물체들로부터 나온 픽셀들이므로 배경 모델을 업데이트하기 위한 정보를 제공하지 않기 때문이다.In step S305, the
단계(S306)에서 영상 처리 장치(102)는 모션 방향 맵을 이용하여 상기 모션 픽셀들의 비정상 여부를 판별한다. 특정 모션 픽셀에 대응하는 모션 벡터의 방향이 모션 방향 맵에 등록되어 있는 정상적인 모션 방향과 일정량 이상의 차이를 보이면 그 모션 픽셀은 비정상이라고 판단한다. 즉, 서브 블록 B(i,j)에 속하는 모션 픽셀 p의 모션 벡터를 v(p)라고 하고, 서브 블록 B(i,j)에 대응하는 모션 방향 맵의 요소 M(i,j)가 가지는 방향각의 집합이로 주어졌을 때, 상기 모션 픽셀 p가 하기 수학식 4를 만족하면 비정상이라고 판별한다.In step S306, the
상기 수학식 4에서는 사용자 지정 임계치이다.In Equation (4) Is a user-specified threshold.
단계(S307)에서 영상 처리 장치(102)는 영상 내의 각 픽셀에 대하여 비정상도 값을 업데이트한다. 영상 내의 각 픽셀은 그것에 대응하는 비정상도 값(Abnormality Value)을 가지며, 초기에는 0의 값을 갖는다. 각 픽셀의 비정상도 값은 그 픽셀에서 비정상적인 모션이 단기간에 얼마나 많이 발생했는가를 측정하는데 사용된다. 특정 픽셀 p의 비정상도 값을 E(p)라고 하면 하기 수학식 5와 같이 E(p)를 업데이트한다.In step S307, the
: p가 넌모션 픽셀인 경우 : If p is a non-motion pixel
: p가 모션 픽셀이고 정상이거나, 전경 영역에 속하지 않은 경우 : If p is a motion pixel and is normal or does not belong to the foreground region
상기 수학식 5에서,,는 0보다 큰 값을 갖는 상수이며, 보통가 되도록 설정한다. 만약 E(p)를 업데이트한 결과가 0보다 작은 값이 되면 0으로 유지한다.In Equation (5) , , Is a constant with a value greater than 0, . If the result of updating E (p) is less than 0, it is kept at 0.
상기 비정상도 값을 업데이트하는 방법에서는 픽셀 p가 모션 또는 넌모션 픽셀인가에 상관없이 동일한 비정상도 값을 업데이트하였지만, 하기 수학식 6 또는 수학식 7과 같이 픽셀 p의 종류에 따라 업데이트하는 비정상도 값을 구분할 수도 있다.In the method of updating the abnormality value, although the same abnormality value is updated irrespective of whether the pixel p is a motion or non-motion pixel, an abnormality value updating according to the type of the pixel p as shown in the following equation (6) or .
: p가 모션 픽셀이고 정상이거나, 모션 픽셀이 아닌 경우 : If p is a motion pixel and is normal or is not a motion pixel
: p가 넌모션 픽셀이 아닌 경우 : If p is not a non-motion pixel
상기 수학식 6 또는 수학식 7과 같이 함으로써 비정상 모션의 발생 원인을 구분할 수 있게 된다.Equation (6) or (7) can be used to distinguish the cause of the occurrence of the abnormal motion.
단계(S308)에서 영상 처리 장치(102)는 특정 임계값 이상의 비정상도 값을 갖는 픽셀들을 추출한다. 임계값은 특정 픽셀에서 비정상 모션이 발생한 기간을 제어하게 된다.In step S308, the
단계(S309)에서 영상 처리 장치(102)는 이상 흐름 발생 영역의 획득 및 이상 흐름 발생 여부를 판단한다. 이상 흐름 발생 영역은 기본적으로 단계(S308)에서 추출된 픽셀들로 이루어진 영역을 의미하는데, 공간적으로 독립된 영역들 중에 매우 작은 영역은 노이즈에 해당하는 영역으로 보고 제거하고, 공간적으로 매우 가까운 영역들은 하나의 영역으로 병합하여 최종적인 이상 흐름 발생 영역을 획득한다. 영상 전체에서 이상 흐름 발생 영역이 차지하는 면적이 특정 임계값 이상이면 이상 흐름이 발생한 것으로 판단한다.In step S309, the
| Application Number | Priority Date | Filing Date | Title |
|---|---|---|---|
| KR1020150014015AKR20160093253A (en) | 2015-01-29 | 2015-01-29 | Video based abnormal flow detection method and system |
| Application Number | Priority Date | Filing Date | Title |
|---|---|---|---|
| KR1020150014015AKR20160093253A (en) | 2015-01-29 | 2015-01-29 | Video based abnormal flow detection method and system |
| Publication Number | Publication Date |
|---|---|
| KR20160093253Atrue KR20160093253A (en) | 2016-08-08 |
| Application Number | Title | Priority Date | Filing Date |
|---|---|---|---|
| KR1020150014015AWithdrawnKR20160093253A (en) | 2015-01-29 | 2015-01-29 | Video based abnormal flow detection method and system |
| Country | Link |
|---|---|
| KR (1) | KR20160093253A (en) |
| Publication number | Priority date | Publication date | Assignee | Title |
|---|---|---|---|---|
| KR20190109662A (en)* | 2018-03-08 | 2019-09-26 | 주식회사 에스원 | User Concern Image Detecting Method at Security System and System thereof |
| KR102090739B1 (en)* | 2019-10-21 | 2020-03-18 | 주식회사 휴머놀러지 | Intellegent moving monitoring system and the method thereof using video region grid multidivision for video image similarity-analysis |
| KR20200128239A (en)* | 2019-04-23 | 2020-11-12 | 한국기계연구원 | Mechanical diagnostic system based on image learning and method for mechanical diagnosis using the same |
| CN115026825A (en)* | 2022-06-17 | 2022-09-09 | 来也科技(北京)有限公司 | Method and device for realizing robot running state of IA based on RPA and AI |
| WO2023106541A1 (en)* | 2021-12-07 | 2023-06-15 | 안양대학교 산학협력단 | Method for identifying displacement area in space, and device therefor |
| KR102584708B1 (en) | 2022-12-13 | 2023-10-05 | 주식회사 인텔리빅스 | System and Method for Crowd Risk Management by Supporting Under and Over Crowded Environments |
| CN117197713A (en)* | 2023-09-08 | 2023-12-08 | 南京敏锐科技有限公司 | An extraction method based on digital video surveillance system |
| KR20240051489A (en)* | 2022-10-13 | 2024-04-22 | (주)클라모스 | Method, device and system for controling car camera |
| CN118164201A (en)* | 2024-03-12 | 2024-06-11 | 福建华电储运有限公司 | Blanking port blocking detection method and system based on optical flow |
| US12112514B2 (en) | 2019-05-17 | 2024-10-08 | Samsung Electronics Co., Ltd. | Device for generating prediction image on basis of generator including concentration layer, and control method therefor |
| CN119135949A (en)* | 2024-09-09 | 2024-12-13 | 深圳觉明人工智能有限公司 | A digital video monitoring method |
| Publication number | Priority date | Publication date | Assignee | Title |
|---|---|---|---|---|
| KR20010000107A (en) | 2000-04-28 | 2001-01-05 | 이종법 | System tracking and watching multi moving object |
| KR20010057768A (en) | 1999-12-23 | 2001-07-05 | 오길록 | Method and device for tracking robust object from video images using template and kalman filter |
| KR20020097449A (en) | 2001-06-21 | 2002-12-31 | 주식회사 삼테크아이앤씨 | Surveillance system by using multiple cameras and method of carrying out the same |
| Publication number | Priority date | Publication date | Assignee | Title |
|---|---|---|---|---|
| KR20010057768A (en) | 1999-12-23 | 2001-07-05 | 오길록 | Method and device for tracking robust object from video images using template and kalman filter |
| KR20010000107A (en) | 2000-04-28 | 2001-01-05 | 이종법 | System tracking and watching multi moving object |
| KR20020097449A (en) | 2001-06-21 | 2002-12-31 | 주식회사 삼테크아이앤씨 | Surveillance system by using multiple cameras and method of carrying out the same |
| Publication number | Priority date | Publication date | Assignee | Title |
|---|---|---|---|---|
| KR20190109662A (en)* | 2018-03-08 | 2019-09-26 | 주식회사 에스원 | User Concern Image Detecting Method at Security System and System thereof |
| KR20200128239A (en)* | 2019-04-23 | 2020-11-12 | 한국기계연구원 | Mechanical diagnostic system based on image learning and method for mechanical diagnosis using the same |
| US12112514B2 (en) | 2019-05-17 | 2024-10-08 | Samsung Electronics Co., Ltd. | Device for generating prediction image on basis of generator including concentration layer, and control method therefor |
| KR102090739B1 (en)* | 2019-10-21 | 2020-03-18 | 주식회사 휴머놀러지 | Intellegent moving monitoring system and the method thereof using video region grid multidivision for video image similarity-analysis |
| WO2023106541A1 (en)* | 2021-12-07 | 2023-06-15 | 안양대학교 산학협력단 | Method for identifying displacement area in space, and device therefor |
| CN115026825A (en)* | 2022-06-17 | 2022-09-09 | 来也科技(北京)有限公司 | Method and device for realizing robot running state of IA based on RPA and AI |
| KR20240051489A (en)* | 2022-10-13 | 2024-04-22 | (주)클라모스 | Method, device and system for controling car camera |
| KR102584708B1 (en) | 2022-12-13 | 2023-10-05 | 주식회사 인텔리빅스 | System and Method for Crowd Risk Management by Supporting Under and Over Crowded Environments |
| CN117197713A (en)* | 2023-09-08 | 2023-12-08 | 南京敏锐科技有限公司 | An extraction method based on digital video surveillance system |
| CN118164201A (en)* | 2024-03-12 | 2024-06-11 | 福建华电储运有限公司 | Blanking port blocking detection method and system based on optical flow |
| CN119135949A (en)* | 2024-09-09 | 2024-12-13 | 深圳觉明人工智能有限公司 | A digital video monitoring method |
| Publication | Publication Date | Title |
|---|---|---|
| KR20160093253A (en) | Video based abnormal flow detection method and system | |
| CN108230594B (en) | Method for generating alarm in video monitoring system | |
| CN102811343B (en) | Intelligent video monitoring system based on behavior recognition | |
| CN101918989B (en) | Video surveillance system with object tracking and retrieval | |
| US7286157B2 (en) | Computerized method and apparatus for determining field-of-view relationships among multiple image sensors | |
| KR102195706B1 (en) | Method and Apparatus for Detecting Intruder | |
| EP2009604B1 (en) | A security device and system | |
| US8165348B2 (en) | Detecting objects crossing a virtual boundary line | |
| CN100555348C (en) | Bank self-service equipment intelligent video surveillance system | |
| US8922674B2 (en) | Method and system for facilitating color balance synchronization between a plurality of video cameras and for obtaining object tracking between two or more video cameras | |
| KR102584708B1 (en) | System and Method for Crowd Risk Management by Supporting Under and Over Crowded Environments | |
| KR102478335B1 (en) | Image Analysis Method and Server Apparatus for Per-channel Optimization of Object Detection | |
| JP6013923B2 (en) | System and method for browsing and searching for video episodes | |
| US20240233385A1 (en) | Multi modal video captioning based image security system and method | |
| CN118314518A (en) | An AI intelligent monitoring and management platform | |
| CN118334743B (en) | Method for detecting stay behavior of personnel in public place | |
| CN114140745A (en) | Method, system, device and medium for detecting personnel attributes of construction site | |
| KR101212082B1 (en) | Image Recognition Apparatus and Vison Monitoring Method thereof | |
| EP1266525B1 (en) | Image data processing | |
| EP3432575A1 (en) | Method for performing multi-camera automatic patrol control with aid of statistics data in a surveillance system, and associated apparatus | |
| US20240428589A1 (en) | Generation of panoramic surveillance image | |
| KR101547255B1 (en) | Object-based Searching Method for Intelligent Surveillance System | |
| CN109948411A (en) | Method, equipment and the storage medium of the deviation of detection and the motor pattern in video | |
| CN110855932A (en) | Alarm method and device based on video data, electronic equipment and storage medium | |
| US20050128298A1 (en) | Method for following at least one object in a scene |
| Date | Code | Title | Description |
|---|---|---|---|
| PA0109 | Patent application | Patent event code:PA01091R01D Comment text:Patent Application Patent event date:20150129 | |
| PG1501 | Laying open of application | ||
| PC1203 | Withdrawal of no request for examination | ||
| WITN | Application deemed withdrawn, e.g. because no request for examination was filed or no examination fee was paid |