











본원은 35 USC §120 하에 2013년 10월 7일에 출원된 미국 출원 일련 번호 US14/047251을 우선권 주장하고, 35 U.S.C. § 119 하에 2013년 3월 15일에 출원된 미국 가출원 일련 번호 61/791,418을 우선권 주장하며, 이들 내용은 신뢰되고 그 전문이 본원에 참조로 포함된다.Priority is claimed on U.S. Serial No. US14 / 047251, filed on October 7, 2013, under 35 USC §120, and assigned to 35 U.S.C. U.S. Provisional Application Serial No. 61 / 791,418 filed on March 15, 2013 under § 119, the contents of which are incorporated herein by reference in their entirety.
발명의 분야Field of invention
본 발명은 가요성 시트를 캐리어 상에서 가공하기 위한 물품 및 방법, 보다 특히 가요성 유리 시트를 유리 캐리어 상에서 가공하기 위한 물품 및 방법에 관한 것이다.The invention relates to an article and a method for processing a flexible sheet on a carrier, and more particularly to an article and method for processing a flexible glass sheet on a glass carrier.
가요성 기판은 롤-대-롤 가공을 사용한 보다 저렴한 장치의 장래성, 및 보다 얇은, 보다 가벼운, 보다 가요성의, 및 보다 내구성의 디스플레이를 제조할 가능성을 제공한다. 그러나, 고품질 디스플레이의 롤-대-롤 가공에 필요한 기술, 장비 및 방법은 여전히 완전히 개발되지 않았다. 패널 제조자가 이미 유리의 대형 시트를 가공하는 툴세트에 고도로 투자했기 때문에, 가요성 기판을 캐리어에 라미네이트하고 디스플레이 장치를 시트-대-시트 가공에 의해 제조하는 것이 보다 얇은, 보다 가벼운, 및 보다 가요성의 디스플레이의 가치있는 제안을 전개시키는데 보다 단기의 해결책을 제공한다. 디스플레이는 장치 제작이 유리 캐리어에 라미네이트된 PEN을 이용한 시트 대 시트였던 중합체 시트, 예를 들어 폴리에틸렌 나프탈레이트 (PEN)에서 입증되었다. PEN의 온도 상한치는 사용될 수 있는 장치 품질 및 공정을 제한한다. 또한 중합체 기판의 높은 투과성은 거의 밀폐된 패키지를 필요로 하는 OLED 장치의 환경적 분해를 유도한다. 박막 캡슐화는 이러한 제한을 극복할 장래성을 제공하지만, 큰 용량에서 허용가능한 수율을 제공하는 것은 아직 입증되지 않았다.Flexible substrates offer the promise of lower cost devices using roll-to-roll processing, and the possibility of producing thinner, lighter, more flexible, and more durable displays. However, the techniques, equipment and methods required for roll-to-roll processing of high-quality displays have not yet been fully developed. Since panel manufacturers have already invested heavily in tool sets for processing large sheets of glass, it has become more and more necessary to laminate the flexible substrate to the carrier and to manufacture the display device by sheet-to-sheet processing is thinner, lighter, It provides a more short-term solution to developing valuable proposals for display of gender. The display was demonstrated in polymer sheets, such as polyethylene naphthalate (PEN), where the device fabrication was sheet-to-sheet with PEN laminated to a glass carrier. The upper temperature limit of PEN limits the device quality and process that can be used. The high transparency of the polymer substrate also leads to environmental degradation of OLED devices that require a substantially sealed package. Thin-film encapsulation offers promise to overcome this limitation, but it has not yet been proven to provide acceptable yields at large doses.
유사한 방식으로, 디스플레이 장치는 하나 이상의 얇은 유리 기판에 라미네이트된 유리 캐리어를 사용하여 제조될 수 있다. 얇은 유리의 낮은 투과성 및 개선된 내온도성 및 내화학성이 보다 높은 성능 보다 긴 수명의 가요성 디스플레이를 가능하게 할 것으로 예상된다.In a similar manner, a display device may be fabricated using a laminated glass carrier on one or more thin glass substrates. It is expected that the low permeability of thin glass and improved resistance to temperature and chemical resistance will enable flexible displays with longer life than higher performance.
그러나, 열, 진공, 용매 및 산성, 및 초음파, 플랫 패널 디스플레이 (FPD) 공정은 캐리어에 결합된 얇은 유리에 대해 강한 결합을 요구한다. FPD 공정은 전형적으로 진공 침착 (스퍼터링 금속, 투명 전도성 산화물 및 산화물 반도체, 무정형 규소, 질화규소, 및 이산화규소의 화학 증착 (CVD) 침착, 및 금속 및 절연체의 건식 에칭), 열 공정 (~300 - 400℃ CVD 침착, 600℃ 이하 p-Si 결정화, 350 - 450℃ 산화물 반도체 어닐링, 650℃ 이하 도펀트 어닐링, 및 ~200 - 350℃ 접촉 어닐링), 산성 에칭 (금속 에치, 산화물 반도체 에치), 용매 노출 (스트리핑 포토레지스트, 중합체 캡슐화의 침착), 및 초음파 노출 (포토레지스트의 용매 스트리핑 및 수성 세정에서, 전형적으로 알칼리성 용액 중에서)을 포함한다.However, heat, vacuum, solvent and acid, and ultrasonic, flat panel display (FPD) processes require strong bonding to thin glass bonded to a carrier. The FPD process typically involves vacuum deposition (chemical vapor deposition (CVD) deposition of sputtering metals, transparent conductive oxides and oxide semiconductors, amorphous silicon, silicon nitride, and silicon dioxide, and dry etching of metals and insulators) (Metal etch, oxide semiconductor etch), solvent exposure (dry etching), chemical vapor deposition (CVD) deposition, p-Si crystallization below 600 캜, oxide semiconductor annealing at 350 캜 450 캜, dopant annealing at 650 캜 or lower, Stripping photoresist, deposition of polymer encapsulation), and ultrasound exposure (in solvent stripping and aqueous cleansing of the photoresist, typically in an alkaline solution).
접착제 웨이퍼 결합은 공정이 덜 가혹한 후반부 단계를 위한 마이크로기계 시스템 (MEMS) 및 반도체 가공에서 폭넓게 사용되었다. 브루어 사이언스(Brewer Science) 및 헨켈(Henkel)에 의한 상업적 접착제는 전형적으로 5 - 200 마이크로미터 두께의, 두꺼운 중합체 접착제 층이다. 이들 층의 넓은 두께는 대량의 휘발물, 트래핑된 용매, 및 흡착된 종이 FPD 공정을 오염시킬 가능성을 유발한다. 이들 물질은 열 분해되어 ~250℃ 초과에서 기체방출한다. 물질은 또한 후속 공정에서 기체방출할 수 있는, 기체, 용매 및 산을 위한 싱크로서 작용함으로써 하류 단계에서 오염을 유발할 수 있다.Adhesive wafer bonding has been widely used in micromechanical systems (MEMS) and semiconductor processing for later, less severe process steps. Commercial adhesives by Brewer Science and Henkel are thicker polymeric adhesive layers, typically 5-200 micrometers thick. The broad thickness of these layers leads to the possibility to contaminate large amounts of volatiles, trapped solvents, and adsorbed paper FPD processes. These materials are thermally decomposed and emit gases above ~ 250 ° C. The material may also cause contamination in the downstream stage by acting as a sink for gases, solvents and acids, which can release gases in subsequent processes.
캐리어를 이용한 가요성 유리의 가공(Processing Flexible Glass with a Carrier)이라는 제목으로 2012년 2월 8일에 출원된 미국 가출원 일련 번호 61/596,727 (이하에서 US'727)은 먼저 반 데르 발스 힘에 의해 얇은 시트, 예를 들어 가요성 유리 시트를 캐리어에 결합시키고, 이어서 장치 (예를 들어, 전자 또는 디스플레이 장치, 전자 또는 디스플레이 장치의 부품, 유기 발광 장치 (OLED) 물질, 광기전 (PV) 구조 또는 박막 트랜지스터)를 형성하기 위해 얇은 시트/캐리어를 가공한 후에 얇은 시트의 부분을 제거하는 능력은 유지하면서 특정 영역에서의 결합 강도를 증가시키는 것을 포함하는 개념을 개시한다. 장치 공정 유체가 얇은 시트와 캐리어 사이로 진입하는 것을 방지하도록 얇은 유리의 적어도 부분이 캐리어에 부착되어 하류 공정의 오염 가능성을 감소시키며, 즉 얇은 시트와 캐리어 사이에 결합된 밀봉 부분은 밀폐성이고, 일부 바람직한 실시양태에서 상기 밀봉은 물품의 외부를 포괄하여 밀봉된 물품의 임의의 영역 안으로 또는 밖으로의 액체 또는 기체 관입을 방지한다.U.S. Provisional Serial No. 61 / 596,727 (hereafter US '727), filed February 8, 2012, entitled Processing Flexible Glass with a Carrier, is first described by Van der Waals force (E. G., An electronic or display device, a component of an electronic or display device, an organic light emitting device (OLED) material, a photovoltaic (PV) Discloses a concept that includes increasing the bond strength in a particular region while maintaining the ability to remove portions of the thin sheet after processing a thin sheet / carrier to form a thin film transistor. At least a portion of the thin glass is attached to the carrier to reduce the possibility of contamination of the downstream process, i. E. The sealing portion coupled between the thin sheet and the carrier is hermetic, and some preferred < In an embodiment, the seal covers the exterior of the article to prevent liquid or gas penetration into or out of any area of the sealed article.
US '727은 저온 폴리실리콘 (LTPS) (약 750℃ 이하일 수 있는 고체 상 결정화 공정과 비교하여 저온) 장치 제작 공정에서 600℃ 이상에 근접한 온도, 진공, 및 습식 에치 환경이 사용될 수 있음을 계속해서 개시한다. 이들 조건은 사용될 수 있는 물질을 제한하고, 캐리어/얇은 시트에 대한 높은 요구를 유발한다. 따라서, 오염 또는 높은 공정 온도에서 얇은 유리와 캐리어 사이에서의 결합 강도의 손실 없이 얇은 유리, 즉 ≤ 0.3 mm 두께의 두께를 갖는 유리의 가공을 가능하게 하고, 공정의 말기에서 얇은 유리가 캐리어로부터 용이하게 탈-결합되는 것인, 제조업체의 기존의 자본 기반시설을 이용하는 캐리어 접근법이 바람직하다.US '727 continues to demonstrate that temperature, vacuum, and wet etch environments close to 600 ° C or above can be used in low temperature polysilicon (LTPS) (low temperature compared to solid phase crystallization processes, which can be below about 750 ° C) . These conditions limit the materials that can be used and cause high demands on the carrier / thin sheet. Thus, it is possible to process thin glass, i.e., glass having a thickness of? 0.3 mm, without contamination or loss of bond strength between the thin glass and the carrier at high process temperatures, and at the end of the process, Carrier approach that utilizes the manufacturer's existing capital infrastructure is desirable.
US '727에 개시된 접근법에 대한 하나의 상업적인 이점은, US '727에 언급된 바와 같이 제조업체는, 예를 들어 PV, OLED, LCD 및 패턴화된 박막 트랜지스터 (TFT) 전자기기를 위한 얇은 유리 시트의 이점을 얻으면서 그들의 기존 자본 기반시설을 공정 장비에서 이용하는 것이 가능할 것이라는 것이다. 추가로, 상기 접근법은 결합을 용이하게 하기 위한 얇은 유리 시트 및 캐리어의 세정 및 표면 제조를 위해; 결합 영역에서의 얇은 시트와 캐리어 사이의 결합을 강화하기 위해; 비-결합 (또는 감소된/저-강도 결합) 영역에서의 캐리어로부터 얇은 시트의 이형가능성을 유지하기 위해; 및 캐리어로부터의 적출을 용이하게 하기 위한 얇은 시트의 절단을 위해 등의 공정 유연성을 가능하게 한다.One commercial advantage for the approach disclosed in US '727 is that the manufacturer can use a thin glass sheet for PV, OLED, LCD and patterned thin film transistor (TFT) It would be possible to use their existing capital infrastructures in process equipment while benefiting. Additionally, the approach may be used for cleaning and surface preparation of thin glass sheets and carriers to facilitate bonding; To enhance the bond between the thin sheet and the carrier in the bond region; In order to maintain the possibility of releasing the thin sheet from the carrier in the non-bonded (or reduced / low-strength bonded) region; And the like process flexibility for cutting thin sheets to facilitate removal from the carrier.
유리-대-유리 결합 공정에서, 유리 표면을 세정하여 모든 금속, 유기 및 미립자 잔류물을 제거하고, 대부분 실란올-말단 표면을 남긴다. 반 데르 발스 및/또는 수소-결합력이 유리 표면을 함께 끌어당기도록 유리 표면을 먼저 긴밀하게 접촉시킨다. 열 및 임의로 압력을 이용하여, 표면 실란올 기를 축합시켜 계면을 가로질러 강한 공유 Si-O-Si 결합을 형성하며, 유리 조각을 영구적으로 융합시킨다. 금속, 유기 및 미립자 잔류물은 표면을 가림으로써 결합에 대해 요구되는 긴밀한 접촉을 막아 결합을 막을 것이다. 단위 면적당 결합의 수가 대향 표면들 상의 2개의 실란올 종이 반응하여 물로 축합될 확률에 의해 결정될 것이기 때문에, 높은 실란올 표면 농도가 또한 강한 결합을 형성하기 위해 요구된다. 주라브렐(Zhuravlel)은 잘 수화된 실리카에 대한 nm2당 히드록실의 평균 수를 4.6 내지 4.9인 것으로 보고하였다. (Zhuravlel, L. T., The Surface Chemistry of Amorphous Silika, Zhuravlev Model, Colloids and Surfaces A: Physiochemical Engineering Aspects 173 (2000) 1-38). US '727에서, 비-결합 영역이 결합된 주변부 내에 형성되고, 이러한 비-결합 영역을 형성하는 것에 대해 기재된 주된 방식은 표면 조도를 증가시키는 것이다. 2 nm Ra 초과의 평균 표면 조도는 결합 공정의 상승된 온도 동안에 유리 대 유리 결합 형성을 방지할 수 있다. 동일한 발명자에 의해 시트와 캐리어 사이의 결합을 제어하기 위해 용이화된 공정(Facilitated Processing for Controlling Bonding Between Sheet and Carrier)이라는 제목으로 2012년 12월 13일에 출원된 미국 특허 가출원 일련 번호 61/736,880 (이하에서 US '880)에서, 제어된 결합 영역은 캐리어와 얇은 유리 시트 사이의 반 데르 발스 및/또는 수소 결합을 제어함으로써 형성되지만, 공유 결합 영역은 또한 여전히 사용된다. 따라서, US '727 및 US '880에서의 얇은 시트를 캐리어를 이용하여 가공하기 위한 물품 및 방법은 FPD 공정의 가혹한 환경을 견딜 수 있지만, 일부 적용에 바람직하지 않게, 공유 결합 (예컨대, Si-O-Si)된 결합 영역, 예를 들어 대략 유리의 파괴 강도인 ~1000-2000 mJ/m2의 접착력으로 결합된 결합 영역에서, 얇은 유리와 유리 캐리어 사이의 강한 공유 결합에 의해 캐리어를 재사용할 수 없게 된다. 프라잉 또는 필링을 사용하여서는 캐리어로부터 얇은 유리의 공유 결합된 부분을 분리할 수 없고, 따라서 전체 얇은 시트를 캐리어로부터 제거할 수가 없다. 대신에, 그 위의 장치와 함께 비-결합 영역에 선을 긋고 적출하여 캐리어 상에 얇은 유리 시트의 결합된 주변부만 남긴다.In the glass-to-glass bonding process, the glass surface is cleaned to remove all metal, organic and particulate residues, leaving mostly the silanol-terminated surface. The glass surface is first brought into intimate contact so that van der Waals and / or hydrogen-bonding forces attract the glass surface together. Using heat and optionally pressure, the surface silanol groups are condensed to form strong shared Si-O-Si bonds across the interface and to permanently fuse the glass fragments. The metal, organic and particulate residues will block the bond by blocking the intimate contact required for the bond by covering the surface. High silanol surface concentrations are also required to form strong bonds, since the number of bonds per unit area will be determined by the probability that two silanol species on opposite surfaces will react and condense into water. Zhuravlel reported that the average number of hydroxyls per nm2 for well hydrated silica was 4.6 to 4.9. (Zhuravlel, LT, The Surface Chemistry of Amorphous Silica, Zhuravlev Model, Colloids and Surfaces A: Physiochemical Engineering Aspects 173 (2000) 1-38). In US '727, a non-bonding region is formed in the bonded periphery, and the main way described for forming such a non-bonding region is to increase the surface roughness. The average surface roughness above 2 nm Ra can prevent glass-to-glass bond formation during the elevated temperature of the bonding process. U.S. Provisional Patent Application Serial No. 61 / 736,880, filed December 13, 2012 entitled Facilitated Processing for Controlling Bonding Between Sheet and Carrier, to control bond between a sheet and a carrier by the same inventor In the following, in US '880, the controlled bonding region is formed by controlling van der Waals and / or hydrogen bonding between the carrier and the thin glass sheet, but the covalent bonding region is still used. Thus, articles and methods for processing thin sheets in US '727 and US' 880 using a carrier are capable of withstanding the harsh environment of the FPD process, but are not covalently bonded (e.g., Si-O -Si) bonded region, for example a bonded region bonded at an adhesive strength of ~ 1000-2000 mJ / m2 , which is the breaking strength of approximately glass, the carrier can be reused by a strong covalent bond between the thin glass and the glass carrier I will not. Using frying or peeling can not separate the covalently bonded portion of the thin glass from the carrier and therefore can not remove the entire thin sheet from the carrier. Instead, a line is drawn and removed in the non-bonding area with the device thereon, leaving only the marginal margins of the thin glass sheet on the carrier.
상기 관점에서, (사용될 반도체 또는 디스플레이 제조 공정과 비상용성일 수 있는 기체방출 없이) 고온 가공을 비롯한 FPD 가공의 가혹함을 견딜 수 있지만, 또 다른 얇은 시트의 가공을 위해 캐리어의 재사용을 허용하도록 얇은 시트의 전체 영역이 캐리어로부터 (모두 한 번에 또는 나누어서) 제거되는 것을 허용하는 얇은 시트 - 캐리어 물품에 대한 필요성이 존재한다. 본 명세서는 캐리어와 얇은 시트 사이의 접착을 제어하여 FPD 가공 (LTPS 가공 포함)을 견디기에 충분히 강하지만 고온 공정 후에도 캐리어로부터 시트의 탈결합을 허용하기에 충분히 약한 일시적 결합을 생성하는 방식을 기재한다. 이러한 제어된 결합은 재-사용가능한 캐리어를 갖는 물품, 또는 대안적으로 캐리어와 시트 사이에 제어된 결합 및 공유 결합의 패턴화된 영역을 갖는 물품을 생성하는데 이용될 수 있다. 보다 구체적으로, 본 개시내용은 얇은 시트와 캐리어 사이의 실온 반 데르 발스 및/또는 수소 결합 및 고온 공유 결합 둘 다를 제어하기 위해 얇은 시트, 캐리어 또는 둘 다에 제공될 수 있는 표면 개질 층 (다양한 물질 및 연관된 표면 열 처리 포함)을 제공한다. 보다 더 구체적으로, 실온 결합은 진공 가공, 습식 가공 및/또는 초음파 세정 가공 동안에 얇은 시트 및 캐리어를 함께 보유하기에 충분하도록 제어될 수 있다. 그리고 동시에, 고온 공유 결합은 고온 가공 동안에 얇은 시트와 캐리어 사이의 영구 결합을 방지하도록, 뿐만 아니라 고온 가공 동안에 층간박리를 방지하도록 충분한 결합을 유지하도록 제어될 수 있다. 대안적 실시양태에서, 표면 개질 층을 사용하여 추가 가공 옵션, 예를 들어 추가 장치 가공을 위해 물품을 보다 작은 조각으로 다이싱한 후에도 캐리어와 시트 사이의 밀폐성을 유지하는 것을 제공하기 위한 공유 결합 영역과 함께, 다양한 제어된 결합 영역 (여기서 캐리어 및 시트는 진공 가공, 습식 가공 및/또는 초음파 세정 가공을 비롯한 다양한 공정 동안 충분히 결합됨을 유지함)을 생성할 수 있다. 추가로, 일부 표면 개질 층은, 예를 들어 고온 및/또는 진공 가공을 비롯한 FPD (예를 들어 LTPS) 가공 환경에서의 가혹한 조건 동안에 기체방출을 감소시키면서 동시에 캐리어와 시트 사이의 결합의 제어를 제공한다.In view of the above, it is possible to withstand the harshness of FPD machining, including high temperature machining (without the emission of gases that may be non-compatible with the semiconductor or display fabrication process to be used) There is a need for a thin sheet-carrier article that allows the entire area to be removed from the carrier (all at once or in portions). The present specification describes a way to control the adhesion between a carrier and a thin sheet to create a temporary bond that is sufficiently strong to withstand FPD processing (including LTPS processing) but weak enough to allow debonding of the sheet from the carrier even after a high temperature process . This controlled coupling can be used to produce an article having a re-usable carrier, or alternatively, an article having a patterned area of controlled engagement and covalent bond between the carrier and the sheet. More particularly, the present disclosure relates to a surface modification layer (which may be provided on a thin sheet, carrier, or both) to control room temperature van der Waals and / or both hydrogen bonds and high temperature covalent bonds between the thin sheet and the carrier And associated surface heat treatment). More specifically, the room temperature bonding can be controlled to be sufficient to hold the thin sheet and the carrier together during vacuum processing, wet processing, and / or ultrasonic cleaning processing. And at the same time, the high temperature covalent bond can be controlled to prevent permanent bonds between the thin sheet and the carrier during hot working, as well as to maintain sufficient bonding to prevent delamination during hot working. In an alternative embodiment, a surface modification layer may be used to provide additional processing options, for example, a covalent bond region for providing hermeticity between the carrier and the sheet even after dicing the article into smaller pieces for further device processing , The carrier and sheet may remain sufficiently bonded during various processes, including vacuum processing, wet processing, and / or ultrasonic cleaning processing. In addition, some surface modification layers provide control of bonding between the carrier and the sheet while simultaneously reducing gas emissions during harsh conditions in an FPD (e.g., LTPS) processing environment, including high temperature and / or vacuum processing do.
추가의 특징 및 이점은 하기 상세한 설명에서 기재될 것이고, 부분적으로 상세한 설명으로부터 통상의 기술자에게 명백할 것이거나 또는 기재된 설명 및 첨부된 도면에 예시된 바와 같이 다양한 측면을 실시함으로써 인지될 것이다. 상기 일반적 설명 및 하기 상세한 설명은 둘 다 단지 다양한 측면의 예시이고, 청구된 바와 같은 본 발명의 본질 및 특징을 이해하기 위한 개관 또는 프레임워크를 제공하도록 의도된 것임을 이해해야 한다.Additional features and advantages will be set forth in the detailed description which follows, and in part will be obvious from the description, or may be learned by practice of various aspects as illustrated in the accompanying drawings and the accompanying drawings. It is to be understood that both the foregoing general description and the following detailed description are exemplary only of various aspects and are intended to provide an overview or framework for understanding the nature and features of the invention as claimed.
첨부된 도면은 본 발명의 원리의 추가의 이해를 제공하기 위해 포함되고, 본 명세서 내에 포함되고 그 일부를 구성한다. 도면은 하나 이상의 실시양태(들)를 예시하고, 설명과 함께 본 발명의 원리 및 동작을 예로서 설명하도록 기능한다. 본 명세서 및 도면에 개시된 다양한 특징은 임의의 모든 조합으로 사용될 수 있는 것으로 이해해야 한다. 비제한적인 예로서 다양한 특징이 명세서의 후반에 측면으로서 기재된 바와 같이 서로 조합될 수 있다.The accompanying drawings are included to provide a further understanding of the principles of the invention, and are incorporated in and constitute a part of this specification. The drawings illustrate one or more embodiments (s) and, together with the description, serve to illustrate, by way of example, the principles and operation of the invention. It is to be understood that the various features disclosed in this specification and the drawings may be used in any and all combinations. As a non-limiting example, various features may be combined with one another as described later in the specification.
도 1은 그 사이에 표면 개질 층을 갖는 얇은 시트에 결합된 캐리어를 갖는 물품의 개략 측면도이다.
도 2는 도 1의 물품의 분해도 및 부분 투시도이다.
도 3은 온도의 함수로서 실리카에 대한 표면 히드록실 농도의 그래프이다.
도 4는 어닐링 온도의 함수로서 유리의 SC1-세정된 시트의 표면 에너지의 그래프이다.
도 5는 필름이 제조되는 구성성분 물질 중 하나의 백분율의 함수로서 유리의 시트 상에 침착된 얇은 플루오로중합체 필름의 표면 에너지의 그래프이다.
도 6은 결합 영역에 의해 캐리어에 결합된 얇은 시트의 상부 개략도이다.
도 7은 유리 시트의 스택의 개략 측면도이다.
도 8은 도 7의 스택의 한 실시양태의 분해도이다.
도 9는 시험 설정의 개략도이다.
도 10은 상이한 조건 하에 다양한 물질에 대한 (도 9의 시험 설정의 상이한 부분의) 표면 에너지 대 시간의 그래프의 모음이다.
도 11은 다양한 물질에 대한 % 버블 면적에서의 변화 대 온도의 그래프이다.
도 12는 다양한 물질에 대한 % 버블 면적에서의 변화 대 온도의 또 다른 그래프이다.1 is a schematic side view of an article having a carrier bonded to a thin sheet with a surface modification layer therebetween.
Figure 2 is an exploded view and a partial perspective view of the article of Figure 1;
Figure 3 is a graph of surface hydroxyl concentration for silica as a function of temperature.
4 is a graph of the surface energy of the SC1-cleaned sheet of glass as a function of the annealing temperature.
Figure 5 is a graph of the surface energy of a thin fluoropolymer film deposited on a sheet of glass as a function of the percentage of one of the constituent materials from which the film is made.
Figure 6 is a top schematic view of a thin sheet bonded to a carrier by a bond region.
Figure 7 is a schematic side view of a stack of glass sheets.
8 is an exploded view of one embodiment of the stack of FIG.
Figure 9 is a schematic diagram of the test setup.
Figure 10 is a set of graphs of surface energy versus time (of different parts of the test setup of Figure 9) for various materials under different conditions.
Figure 11 is a graph of the change in% bubble area versus temperature for various materials.
Figure 12 is another graph of change in% bubble area versus temperature for various materials.
하기 상세한 설명에서, 제한이 아닌 설명의 목적을 위해, 구체적 세부사항을 개시하는 예시적 실시양태가 본 발명의 다양한 원리의 전반적인 이해를 제공하기 위해 기재된다. 그러나, 본 발명은 본원에 개시된 특정한 세부 사항으로부터 벗어나는 다른 실시예에서 실시될 수 있다는 것이 본 개시내용의 이익을 갖는 통상의 기술자에게 명백할 것이다. 또한, 널리 공지된 장치, 방법 및 재료의 설명이 본 발명의 다양한 원리의 설명을 모호하게 하지 않도록 생략될 수 있다. 마지막으로, 적용가능한 경우에, 동일한 참조 번호는 동일한 요소를 지칭한다.In the following detailed description, for purposes of explanation and not limitation, an exemplary embodiment disclosing the specific details is set forth in order to provide a thorough understanding of the various principles of the invention. However, it will be apparent to those of ordinary skill in the art having the benefit of the present disclosure that the present invention may be practiced in other embodiments that depart from the specific details disclosed herein. Furthermore, the description of well-known devices, methods and materials may be omitted so as not to obscure the description of the various principles of the invention. Finally, where applicable, like reference numerals refer to like elements.
범위는 본원에서 "약" 하나의 특정한 값 및/또는 내지 "약" 또 다른 특정한 값으로 표현될 수 있다. 이러한 범위가 표현된 경우, 또 다른 실시양태는 하나의 특정한 값 및/또는 내지 다른 특정한 값을 포함한다. 유사하게, 값을 접두사 "약"을 사용하여 근사값으로 표현하는 경우, 특정 값이 또 다른 실시양태를 형성한다는 것을 이해할 것이다. 각 범위의 종점은 다른 종점과 관련하여, 및 다른 종점과 독립적으로 둘 다 유의한 것으로 추가적으로 이해되어야 할 것이다.Ranges may be expressed herein as "about" one specific value and / or to "about" another specific value. Where such a range is expressed, another embodiment includes one specific value and / or another specific value. Similarly, it will be appreciated that when expressing values as approximations using the prefix "about ", certain values form another embodiment. It should be further understood that the endpoints of each range are significant both with respect to the other endpoints and independently of the other endpoints.
본원에서 사용된 방향 용어 - 예를 들어 위, 아래, 우측, 좌측, 앞, 뒤, 상부, 하부 -는 단지 도시된 바와 같은 도면과 관련해서 이루어지고 절대적 방향을 나타내려는 의도가 아니다.The directional terms used herein, for example, up, down, right, left, front, back, top, bottom - are made with respect to the drawings only as shown and are not intended to represent absolute directions.
본원에서 사용된 단수 형태는 문맥이 명확하게 달리 지시하지 않는 한 복수 지시대상을 포함한다. 따라서, 예를 들어 "구성요소"에 대한 인용은 문맥이 명확하게 달리 지시하지 않는 한 2개 이상의 이러한 구성요소를 갖는 측면을 포함한다.The singular forms as used herein include plural referents unless the context clearly dictates otherwise. Thus, for example, reference to "an element" includes aspects having two or more such elements unless the context clearly dictates otherwise.
캐리어를 이용한 가요성 유리의 가공(Processing Flexible Glass with a Carrier)이라는 제목으로 2012년 2월 8일에 출원된 US 61/596,727 및 US61/736,880 (시트와 캐리어 사이의 결합을 제어하기 위해 용이화된 공정(Facilitated Processing for Controlling Bonding Between Sheet and Carrier)이라는 제목으로 2012년 12월 13일에 출원됨) 둘 다에서, 얇은 유리 시트의 적어도 부분이 "비-결합"된 채로 남아 얇은 유리 시트 상에서 가공되는 장치가 캐리어로부터 제거될 수 있도록 하는, 캐리어 상에 얇은 유리 시트의 가공을 허용하는 해결책이 제공된다. 그러나, 얇은 유리의 주변부는 공유 Si-O-Si 결합의 형성을 통해 캐리어 유리에 영구적으로 (또는 공유 결합으로, 또는 밀폐형으로) 결합한다. 얇은 유리가 상기 영구 결합된 영역에서 얇은 유리 및 캐리어의 손상 없이 제거될 수 없기 때문에, 상기 공유 결합된 주변부는 캐리어의 재사용을 막는다.US 61 / 596,727 and US61 / 736,880 filed February 8, 2012 entitled " Processing Flexible Glass with a Carrier " (Filed December 13, 2012 under the title Facilitated Processing for Controlling Bonding Between Sheet and Carrier), at least a portion of the thin glass sheet remains "unbonded" and is processed on a thin glass sheet A solution is provided that allows the processing of a thin glass sheet on the carrier so that the device can be removed from the carrier. However, the periphery of the thin glass is permanently bonded (or covalently bonded, or hermetically) to the carrier glass through the formation of a shared Si-O-Si bond. The covalently bonded peripheries prevent reuse of the carrier because thin glass can not be removed without damage to the thin glass and carrier in the permanently bonded area.
유리한 표면 형상 특징을 유지하기 위해, 캐리어는 전형적으로 디스플레이 등급 유리 기판이다. 따라서, 일부 상황에서, 1회 사용 후 캐리어를 단순히 폐기하는 것은 낭비이고 많은 비용이 드는 것이다. 따라서, 디스플레이 제조의 비용을 감소시키기 위해, 캐리어를 재사용하여 1개 초과의 얇은 시트 기판을 가공할 수 있는 것이 바람직하다. 본 개시내용은 얇은 시트가 고온 가공 - 여기서 고온 가공은 ≥ 400℃ 온도에서의 가공이고, 제조되는 장치의 유형에 따라 매우 달라질 수 있고, 예를 들어 무정형 규소 또는 무정형 인듐 갈륨 아연 산화물 (IGZO) 백플레인 가공의 경우에서와 같이 약 450℃ 이하, 결정질 IGZO 가공의 경우에서와 같이 약 500-550℃ 이하, 또는 LTPS 공정에서 전형적인 것과 같이 약 600-650℃ 이하의 온도임 -을 비롯한 FPD 가공 라인의 가혹한 환경을 통해 가공될 수 있게 하지만, 또한 얇은 시트가 얇은 시트 또는 캐리어에 대한 손상 (예를 들어, 캐리어 및 얇은 시트 중 하나가 2개 이상의 조각으로 부서지거나 또는 갈라짐) 없이 캐리어로부터 용이하게 제거될 수 있게 하여, 캐리어가 재사용될 수 있게 하는 물품 및 방법을 기재한다.To maintain favorable surface profile characteristics, the carrier is typically a display grade glass substrate. Thus, in some circumstances, simply discarding the carrier after a single use is wasteful and costly. Thus, in order to reduce the cost of display manufacture, it is desirable to be able to reuse the carrier to process more than one thin sheet substrate. The present disclosure is based on the assumption that the thin sheet is subjected to high temperature processing where the high temperature processing is at a temperature of < RTI ID = 0.0 > 400 C < / RTI > and can vary greatly depending on the type of apparatus being manufactured, for example amorphous silicon or amorphous indium gallium zinc oxide (IGZO) A temperature of about 450 DEG C or less as in the case of processing, about 500-550 DEG C or less as in the case of crystalline IGZO processing, or a temperature of about 600-650 DEG C or less as typical in an LTPS process. Environment, but also allows the thin sheet to be easily removed from the carrier without damaging the thin sheet or carrier (e.g., one of the carrier and the thin sheet breaking into or breaking into two or more pieces) Thereby allowing the carrier to be reused.
도 1 및 2에 나타낸 바와 같이, 유리 물품(2)은 두께(8)를 갖고, 두께(18)를 갖는 캐리어(10), 두께(28)를 갖는 얇은 시트(20) (즉, 예를 들어 10-50 마이크로미터, 50-100 마이크로미터, 100-150 마이크로미터, 150-300 마이크로미터, 300, 250, 200, 190, 180, 170, 160, 150, 140, 130, 120, 110, 100, 90, 80, 70, 60, 50, 40, 30, 20, 또는 10 마이크로미터의 두께를 포함하지만 이에 제한되는 것은 아닌, ≤ 300 마이크로미터의 두께를 갖는 시트), 및 두께(38)를 갖는 표면 개질 층(30)을 포함한다. 유리 물품(2)은 얇은 시트(20) 자체가 ≤ 300 마이크로미터임에도 불구하고, 보다 두꺼운 시트 (즉, 대략 ≥ .4mm, 예를 들어 .4 mm, .5 mm, .6 mm, .7 mm, .8 mm, .9 mm, 또는 1.0 mm)를 위해 고안된 장비에서 얇은 시트(20)를 가공하는 것을 허용하기 위해 고안된다. 즉, 두께(18, 28, 및 38)의 총합인 두께(8)는, 하나의 장비-예를 들어, 기판 시트 상에 전자 장치 구성요소를 배치하도록 고안된 장비-가 가공하도록 고안되었던 보다 두꺼운 시트의 두께와 동등하도록 고안된다. 예를 들어, 가공 장비가 700 마이크로미터 시트를 위해 고안되었고, 얇은 시트가 300 마이크로미터의 두께(28)를 갖는 경우, 그러면 두께(18)는, 두께(38)가 무시해도 될 정도라고 가정하면, 400 마이크로미터로 선택될 것이다. 즉, 표면 개질 층(30)은 일정한 비율로 도시되어 있지 않고; 대신에, 단지 예시를 위해 크게 과장되어 있다. 또한, 표면 개질 층은 투시도로 나타낸다. 실제로, 표면 개질 층은 재사용가능한 캐리어를 제공한 경우 결합 표면(14) 위에 균일하게 배치될 것이다. 전형적으로, 두께(38)는 대략 나노미터, 예를 들어 0.1 내지 2.0, 또는 10 nm 이하일 것이고, 일부 예에서는 100 nm 이하일 수 있다. 두께(38)는 엘립소미터에 의해 측정될 수 있다. 또한, 표면 개질 층의 존재는 표면 화학 분석, 예를 들어 ToF Sims 질량 분석법에 의해 검출될 수 있다. 따라서, 물품 두께(8)에 대한 두께(38)의 기여는 무시해도 될 정도이고, 두께(28)를 갖는 주어진 얇은 시트(20)를 가공하는데 적합한 캐리어(10)의 두께(18)를 결정하기 위한 계산에서 무시할 수 있다. 그러나, 표면 개질 층(30)이 임의의 상당한 두께(38)를 갖는 정도까지는, 그러한 것이 캐리어(10)의 두께(18)를 얇은 시트(20)의 주어진 두께(28), 및 가공 장비가 고안되었던 주어진 두께에 대해 결정하는데 고려될 수 있다.1 and 2, the
캐리어(10)는 제1 표면(12), 결합 표면(14), 주변부(16), 및 두께(18)를 갖는다. 추가로, 캐리어(10)는, 예를 들어 유리를 포함하는 임의의 적합한 물질을 가질 수 있다. 캐리어는 유리일 필요는 없지만, 대신에 (표면 에너지 및/또는 결합이 유리 캐리어와 관련해서 하기에 기재된 방식과 유사한 방식으로 제어될 수 있기 때문에) 세라믹, 유리-세라믹, 또는 금속일 수 있다. 유리로 제조된 경우, 캐리어(10)는 알루미노-실리케이트, 보로-실리케이트, 알루미노-보로-실리케이트, 소다-석회-실리케이트를 비롯한 임의의 적합한 조성을 가질 수 있고, 그의 최종 용도에 따라 알칼리 함유 또는 알칼리-무함유일 수 있다. 두께(18)는 약 0.2 내지 3 mm 이상, 예를 들어 0.2, 0.3, 0.4, 0.5, 0.6, 0.65, 0.7, 1.0, 2.0, 또는 3 mm 이상일 수 있고, 상기 언급된 바와 같이, 두께(28), 및 두께(38)가 무시해도 될 정도가 아닌 경우 그러한 것에 좌우될 것이다. 또한, 캐리어(10)는 도시된 바와 같이, 하나의 층으로, 또는 함께 결합된 복수의 층 (복수의 얇은 시트 포함)으로 이루어질 수 있다. 또한, 캐리어는 Gen 1 크기 이상, 예를 들어 Gen 2, Gen 3, Gen 4, Gen 5, Gen 8 이상 (예를 들어, 시트 크기 100 mm x 100 mm 내지 3 미터 x 3 미터 이상)을 가질 수 있다.The
얇은 시트(20)는 제1 표면 (22), 결합 표면(24), 주변부(26), 및 두께(28)를 갖는다. 주변부(16 및 26)는 임의의 적합한 형상을 가질 수 있고, 서로 동일할 수도 있거나, 또는 서로 상이할 수도 있다. 또한, 얇은 시트(20)는, 예를 들어 유리, 세라믹, 또는 유리-세라믹을 비롯한 임의의 적합한 물질을 가질 수 있다. 유리로 제조된 경우, 얇은 시트(20)는 알루미노-실리케이트, 보로-실리케이트, 알루미노-보로-실리케이트, 소다-석회-실리케이트를 비롯한, 임의의 적합한 조성을 가질 수 있고, 그의 최종 용도에 따라 알칼리 함유 또는 알칼리 무함유일 수 있다. 얇은 시트의 열 팽창 계수는 승온에서의 가공 동안에 물품의 뒤틀림을 방지하도록 캐리어의 열 팽창 계수에 비교적 근접하게 부합될 수 있었다. 얇은 시트(20)의 두께(28)는, 상기 언급된 바와 같이, 300 마이크로미터 이하이다. 또한, 얇은 시트는 Gen 1 크기 이상, 예를 들어 Gen 2, Gen 3, Gen 4, Gen 5, Gen 8 이상 (예를 들어, 시트 크기 100 mm x 100 mm 내지 3 미터 x 3 미터 이상)을 가질 수 있다.The
물품(2)은 기존 장비에서 정확한 두께가 가공되게 해야 할 필요가 있을 뿐만 아니라, 가공이 수행되는 가혹한 환경을 또한 견딜 수 있어야 할 것이다. 예를 들어, 플랫 패널 디스플레이 (FPD) 가공은 습식 초음파, 진공, 및 고온 (예를 들어, ≥ 400℃) 가공을 포함할 수 있다. 일부 공정에서, 상기 언급된 바와 같이, 온도는 ≥ 500℃, 또는 ≥ 600℃, 및 650℃ 이하일 수 있다.The
예를 들어 FPD 제조 동안과 같이, 물품(2)이 가공될 가혹한 환경을 견뎌내기 위해, 결합 표면(14)은 얇은 시트(20)가 캐리어(10)로부터 분리되지 않도록 충분한 강도로 결합 표면(24)에 결합되어야 한다. 그리고 상기 강도는 얇은 시트(20)가 가공 동안에 캐리어(10)로부터 분리되지 않도록 가공 전반에 걸쳐 유지되어야 한다. 또한, (캐리어(10)가 재사용될 수 있도록) 얇은 시트(20)가 캐리어(10)로부터 제거될 수 있게 하기 위해, 결합 표면(14)은 처음에 고안된 결합력에 의해 및/또는 예를 들어, 물품이 고온, 예를 들어 ≥ 400℃의 온도에서 가공을 겪을 때 발생할 수 있는 것과 같은 처음에 고안된 결합력의 변경으로 인해 초래된 결합력에 의해 결합 표면(24)에 너무 강하게 결합되어서는 안 된다. 표면 개질 층(30)은 이들 목적 둘 다를 달성하도록 결합 표면(14)과 결합 표면(24) 사이의 결합의 강도를 제어하는데 사용될 수 있다. 제어된 결합력은 얇은 시트(20) 및 캐리어(10)의 극성 및 비극성 표면 에너지 성분을 조절함으로써 제어되는 총 접착 에너지에 대한 반 데르 발스 (및/또는 수소 결합) 및 공유 인력 에너지의 기여를 제어함으로써 달성된다. 상기 제어된 결합은 FPD 가공 (습식, 초음파, 진공, 및 ≥ 400℃ 온도, 및 일부 경우에 ≥ 500℃, 또는 ≥ 600℃, 및 650℃ 이하의 가공 온도를 포함하는 열 공정 포함)을 견뎌내기에 충분히 강하고, 충분한 분리력의 인가에 의해 및 그러나 얇은 시트(20) 및/또는 캐리어(10)에 파국 손상을 유발하지 않을 힘에 의해 탈결합가능한 채 남아 있다. 이러한 탈결합은 얇은 시트(20) 및 그 위에 제작된 장치의 제거를 가능하게 하고, 또한 캐리어(10)의 재사용을 허용한다.The
표면 개질 층(30)이 얇은 시트(20)와 캐리어(10) 사이에 고체 층으로서 도시되어 있지만, 그러한 것이 사실일 필요는 없다. 예를 들어, 층(30)은 대략 0.1 내지 2 nm 두께일 수 있고, 결합 표면(14)의 일체를 완전히 피복하지 않을 수 있다. 예를 들어, 피복률은 ≤ 100%, 1% 내지 100%, 10% 내지 100%, 20% 내지 90%, 또는 50% 내지 90%일 수 있다. 다른 실시양태에서, 층(30)은 10 nm 두께 이하일 수 있고, 또는 다른 실시양태에서는 100 nm 두께 이하일 수도 있다. 표면 개질 층(30)은 비록 캐리어(10) 및 얇은 시트(20) 중 어느 하나와 접촉할 수 없을지라도 캐리어(10)와 얇은 시트(20) 사이에 배치되는 것으로 여겨질 수 있다. 임의의 경우에, 표면 개질 층(30)의 중요한 측면은 결합 표면(24)과 결합하는 결합 표면(14)의 능력을 개질시켜, 캐리어(10)와 얇은 시트(20) 사이의 결합의 강도를 제어하는 것이다. 표면 개질 층(30)의 물질 및 두께, 뿐만 아니라 결합 이전의 결합 표면(14, 24)의 처리는 캐리어(10)와 얇은 시트(20) 사이의 결합의 강도 (접착 에너지)를 제어하는데 사용될 수 있다.Although the
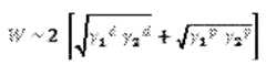
일반적으로, 두 표면 사이의 접착 에너지는 하기에 의해 주어진다 ("A theory for the estimation of surface and interfacial energies. I. derivation and application to interfacial tension", L. A. Girifalco and R. J. Good, J. Phys. Chem., V 61, p904):In general, the adhesive energy between two surfaces is given by ("A theory for the estimation of surface and interfacial energies I. derivation and application to interfacial tension ", LA Girifalco and RJ Good, J. Phys. Chem. V 61, p 904):
<수학식 1>&Quot; (1) "
상기 식에서,는 각각 표면 1, 표면 2의 표면 에너지, 및 표면 1 및 2의 계면 에너지이다. 각각의 표면 에너지는 보통 두 항; 분산 성분 γd, 및 극성 성분 γp의 조합이다.In this formula, Are surface energy of
<수학식 2>&Quot; (2) "
접착력이 주로 런던 분산력 (γd) 및 극성 힘, 예를 들어 수소 결합 (γp)에 기인한 경우, 계면 에너지는 하기에 의해 주어질 수 있었다 (상기 언급된 바와 같이 문헌 [Girifalco and R. J. Good]):If the adhesion is mainly due to the London dispersibility (yd ) and the polarity forces, such as hydrogen bonds (yp ), the interfacial energies could be given by (Girifalco and RJ Good as mentioned above) :
<수학식 3>&Quot; (3) "
수학식 3을 수학식 1에 대입한 후, 접착 에너지를 하기와 같이 대략적으로 계산할 수 있었다:After substituting Equation (3) into Equation (1), the adhesive energy can be roughly calculated as follows:
<수학식 4>&Quot; (4) "
상기 수학식 4에서, 접착 에너지 중 오로지 반 데르 발스 (및/또는 수소 결합) 성분만 고려된다. 이들은 극성-극성 상호작용 (키섬(Keesom)), 극성-비극성 상호작용 (데바이(Debye)) 및 비극성-비극성 상호작용 (런던)을 포함한다. 그러나, 다른 인력 에너지, 예를 들어 공유 결합 및 정전기적 결합이 또한 존재할 수 있다. 따라서, 보다 일반화된 형태로, 상기 수학식은 하기와 같이 기재된다:In Equation (4), only the van der Waals (and / or hydrogen bonding) component of the adhesive energy is considered. These include polar-polar interactions (Keesom), polar-nonpolar interactions (Debye) and nonpolar-nonpolar interactions (London). However, other attraction energy, for example covalent and electrostatic, may also be present. Thus, in a more generalized form, the equation is described as:
<수학식 5>Equation (5)
상기 식에서 wc 및 we는 공유 및 정전기적 접착 에너지이다. 웨이퍼의 초기 수소 결합된 쌍을 보다 높은 온도로 가열하여 많은 또는 모든 실란올-실란올 수소 결합을 Si-O-Si 공유 결합으로 전환시키는 실리콘 웨이퍼 결합에서와 같이, 공유 접착 에너지가 오히려 통상적이다. 초기, 실온, 수소 결합은 결합된 표면의 분리를 허용하는 대략 ~100-200mJ/m2의 접착 에너지를 생성하는 한편, 고온 가공 (대략 400 내지 800℃) 동안에 달성된 것과 같은 완전히 공유 결합된 웨이퍼 쌍은 결합된 표면의 분리를 허용하지 않는 ~ 1000-3000 mJ/m2의 접착 에너지를 갖고; 대신에, 두 웨이퍼는 단일체로서의 역할을 한다. 다른 한편으로는, 양쪽 표면이 낮은 표면 에너지 물질, 예를 들어 플루오로중합체를 이용하여, 기저의 기판의 효과를 차폐하기에 충분히 큰 두께로, 완전히 코팅된 경우, 상기 접착 에너지는 코팅 물질의 접착 에너지일 것이고, 매우 낮아서 결합 표면(14, 24) 사이에 낮은 접착력을 초래하거나 또는 접착력을 초래하지 못하고, 이로써 얇은 시트(20)는 캐리어(10) 상에서 가공될 수 없을 것이다. 두 가지 극단적 경우를 고려한다: (a) 두 번 표준 클린 1 (SC1, 기술분야에 공지된 바와 같음) 세정된 실란올 기로 포화된 유리 표면은 수소 결합 (이로써 접착 에너지는 ~100-200 mJ/m2임)을 통해 실온에서 함께 결합되고, 이어서 고온으로 가열하여 실란올 기를 공유 Si-O-Si 결합으로 전환시킨다 (이로써 접착 에너지는 1000-3000 mJ/m2이 됨). 상기 후자의 접착 에너지는 유리 표면의 쌍을 탈착가능하게 하기에 너무 높고; (b) 플루오로중합체로 완전히 코팅된 2개의 유리 표면은 낮은 표면 접착 에너지 (표면 당 ~12mJ/m2)로 실온에서 결합되고 고온으로 가열된다. 상기 후자 (b)의 경우, 표면은 (표면이 합해진 경우, ~ 24 mJ/m2의 총 접착 에너지가 너무 낮기 때문에) 결합되지 않을 뿐만 아니라, 표면은 극성 반응 기가 없기 때문에 (또는 너무 적음) 고온에서도 결합되지 않는다. 이들 두 극단치 사이에, 접착 에너지의 범위는, 예를 들어 50-1000 mJ/m2로 존재하고, 이것은 목적하는 정도의 제어된 결합을 생성할 수 있다. 따라서, 본 발명자들은 이들 두 극단치 사이에 있는 접착 에너지를 유도하고, 서로 결합된 한 쌍의 유리 기판 (예를 들어 유리 캐리어(10) 및 얇은 유리 시트(20))을 FPD 가공의 가혹함 동안 유지하기에 필요한 만큼 충분할 뿐만 아니라, (예를 들어 ≥ 400℃의 고온 가공 후에도) 가공이 완료된 후 캐리어(10)로부터 얇은 시트(20)의 탈착을 허용하는 정도의 제어된 결합이 생성될 수 있게 하는 표면 개질 층(30)을 제공하는 다양한 방식을 발견하였다. 또한, 캐리어(10)로부터의 얇은 시트(20)의 탈착은 기계적 힘에 의해, 및 적어도 얇은 시트(20)에 대한 파국 손상이 없고, 그래서 바람직하게는 또한 캐리어(10)에 대한 파국 손상이 없게 되는 그러한 방식으로 수행될 수 있다.Where wc and we are the covalent and electrostatic adhesion energies. Shared adhesion energy is rather common, such as in silicon wafer bonding, where the initial hydrogen-bonded pair of wafers is heated to a higher temperature to convert many or all of the silanol-silanol hydrogen bonds to Si-O-Si covalent bonds. The initial, room temperature, hydrogen bonding produces an adhesive energy of approximately ~100-200 mJ / m <2 > to allow separation of bonded surfaces, while a fully covalently bonded wafer, such as that achieved during high temperature processing (approximately 400-800 DEG C) The pair has an adhesive energy of ~ 1000-3000 mJ / m2 which does not allow separation of the bonded surface; Instead, the two wafers act as monoliths. On the other hand, if both surfaces are completely coated with a low surface energy material, such as a fluoropolymer, with a thickness large enough to mask the effect of the underlying substrate, Will be energy and will be so low that it will not result in a low adhesion between the bonding surfaces 14 and 24 or will not result in an adhesion force so that the
수학식 5는 접착 에너지가 4개의 표면 에너지 파라미터 + 존재하는 경우 공유 및 정전기적 에너지의 함수임을 기재한다.
적절한 접착 에너지는 표면 개질제, 즉 표면 개질 층(30), 및/또는 결합 전의 표면의 열 처리의 신중한 선택에 의해 달성될 수 있다. 적절한 접착 에너지는 결합 표면(14) 및 결합 표면(24) 중 하나 또는 둘 다의 화학 개질제의 선택에 의해 이루어질 수 있고, 이것은 결과적으로 반 데르 발스 (및/또는 수소 결합, 이들 용어는 명세서 전반에 걸쳐 상호교환적으로 사용됨) 접착 에너지 뿐만 아니라 고온 가공 (예를 들어, 대략 ≥ 400℃)으로부터 초래되는 유사한 공유 결합 접착 에너지 둘 다를 제어한다. 예를 들어, SC1 세정된 유리 (초기에 표면 에너지의 높은 극성 성분을 갖는 실란올 기로 포화됨)의 결합 표면을 취하고, 저에너지 플루오로중합체로 코팅하여 극성 및 비극성 기에 의한 표면의 관능성 피복률의 제어를 제공한다. 이것은 실온에서 초기 반 데르 발스 (및/또는 수소) 결합의 제어를 제공할 뿐만 아니라, 보다 고온에서 공유 결합의 정도/공유 결합도의 제어를 제공한다. 실온에서 초기 반 데르 발스 (및/또는 수소) 결합의 제어는 진공 및 또는 회전-린스-건조 (SRD) 유형 가공을 허용하는 한 표면의 다른 표면에의 결합, 및 일부 경우에는 또한 용이하게 형성된 다른 표면에 대한 한 표면의 결합을 제공하도록 수행된다 - 여기서 용이하게 형성된 결합은 스퀴지를 이용하거나, 또는 감압 환경을 이용하여 얇은 시트(20)를 캐리어(10)에 가압할 때 수행된 것과 같이 얇은 시트(20)의 전체 영역 위로 외부에서 인가되는 힘의 적용 없이 실온에서 수행될 수 있다. 즉, 초기 반 데르 발스 결합은 얇은 시트 및 캐리어를 함께 보유하는 적어도 최소한의 결합도를 제공하여 하나는 고정되고 다른 하나는 중력이 인가되는 경우에 이들이 분리되지 않도록 한다. 대부분의 경우에, 초기 반 데르 발스 (및/또는 수소) 결합은 물품이 캐리어로부터의 얇은 시트의 층간박리 없이 진공, SRD, 및 초음파 가공을 또한 거칠 수 있게 되는 그러한 정도를 가질 것이다. 표면 개질 층(30) (표면 개질 층이 제조되는 물질 및/또는 표면 개질 층이 적용되는 표면의 표면 처리 포함)을 통한, 및/또는 이들을 함께 결합하기 전에 결합 표면의 열 처리에 의한, 반 데르 발스 (및/또는 수소 결합) 및 공유 상호작용 둘 다의 적절한 수준에서의 상기 정확한 제어는, FPD 스타일 가공 동안 얇은 시트(20)가 캐리어(10)와 결합할 수 있게 하는 한편, 동시에 FPD 스타일 가공 후 얇은 시트(20)가 (얇은 시트(20) 및/또는 캐리어에 대한 손상을 방지하는 적절한 힘에 의해) 캐리어(10)로부터 분리될 수 있게 하는 목적하는 접착 에너지를 달성한다. 또한, 적절한 상황에서, 정전하를 또 다른 수준의 접착 에너지의 제어를 제공하도록 하나의 유리 표면 또는 둘 다에 인가할 수 있었다.Appropriate adhesive energy may be achieved by careful selection of the surface modifier, i. E., The
FPD 가공, 예를 들어 p-Si 및 산화물 TFT 제작은 전형적으로는 표면 개질 층(30)의 부재 하에 얇은 유리 시트(20)를 유리 캐리어(10)와 결합시키는 유리 대 유리 결합을 유발할 400℃ 초과, 500℃ 초과, 및 일부 경우에는 600℃ 이상, 650℃ 이하의 온도에서의 열 공정을 포함한다. 따라서 Si-O-Si 결합의 형성의 제어는 재사용가능한 캐리어를 유도한다. 승온에서 Si-O-Si 결합의 형성을 제어하는 한 방법은 결합될 표면 상에서 표면 히드록실의 농도를 감소시키는 것이다.FPD processing, such as p-Si and oxide TFT fabrication, typically requires a temperature above 400 [deg.] C to cause glass-to-glass bonding that couples the
온도의 함수로서 실리카 상에서의 표면 히드록실 농도의 일러(Iler)의 플롯 (R. K. Iller: The Chemistry of Silica (Wiley-Interscience, New York, 1979)인, 도 3에 나타낸 바와 같이, 제곱 nm당 히드록실 (OH 기)의 수는 표면의 온도가 증가함에 따라 감소한다. 따라서, 실리카 표면 (및 유추에 의해 유리 표면, 예를 들어 결합 표면(14) 및/또는 결합 표면(24))의 가열은 표면 히드록실의 농도를 감소시켜, 두 유리 표면 상에서의 히드록실이 상호작용할 가능성을 감소시킨다. 표면 히드록실 농도의 이러한 감소는 결과적으로 단위 면적당 형성된 Si-O-Si 결합을 감소시켜, 접착력을 낮춘다. 그러나, 표면 히드록실의 제거는 고온 (완전히 표면 히드록실을 제거하기 위해서는 750℃ 초과)에서 긴 어닐링 시간을 요구한다. 이러한 긴 어닐링 시간 및 높은 어닐링 온도는 고가의 공정, 및 전형적인 디스플레이 유리의 변형점을 초과할 가능성이 있으므로 실용적이지 않은 공정을 초래한다.As shown in Figure 3, which is a plot of Iler of surface hydroxyl concentration on silica as a function of temperature (RK Iller: The Chemistry of Silica (Wiley-Interscience, New York, 1979) The heating of the silica surface (and the glass surface, e.g., bonding
상기 분석으로부터, 본 발명자들은 FPD 가공 (LTPS 가공 포함)에 적합한, 얇은 시트 및 캐리어를 포함하는 물품이, 하기 3개의 개념의 균형을 이룸으로써 제조될 수 있음을 발견했다:From the above analysis, the inventors have found that articles suitable for FPD processing (including LTPS processing), including thin sheets and carriers, can be manufactured by balancing the following three concepts:
(1) 반 데르 발스 (및/또는 수소) 결합을 제어하여 초기 실온 결합을 용이하게 하고 비-고온 FPD 공정, 예를 들어 진공 가공, SRD 가공, 및/또는 초음파 가공을 견뎌내기에 충분한 중간의 접착 에너지 (예를 들어, 표면을 결합시키기 전에 표면당 >40 mJ/m2의 표면 에너지를 가짐)를 생성함으로써 수행될 수 있는, 초기 실온 결합을 제어하는 것에 의한 캐리어 및/또는 얇은 시트 결합 표면(들)의 개질;(1) intermediate bonding sufficient to control the bonding of the van der Waals (and / or hydrogen) bonds to facilitate initial room temperature bonding and to withstand non-high temperature FPD processes such as vacuum processing, SRD processing, and / And / or thin sheet bonding surfaces (e.g., by controlling initial room temperature bonding, which may be performed by creating energy (e.g., having a surface energy of > 40 mJ / m2 per surface before bonding the surface) );
(2) 장치 제작에서 층간박리 및/또는 허용불가능한 오염, 예를 들어 물품이 사용될 수 있는 반도체 및/또는 디스플레이 제조 공정에 허용불가능한 오염을 유발할 수 있는 기체방출 없이 FPD 공정을 견뎌내도록 열 안정적인 방식으로의 캐리어 및/또는 얇은 시트의 표면 개질; 및(2) in a thermally stable manner to tolerate the FPD process without the release of interlayer delamination and / or unacceptable contamination in the fabrication of the device, for example gases that can cause unacceptable contamination of the semiconductor and / Surface modification of the carrier and / or thin sheet of carrier; And
(3) 캐리어 표면 히드록실 농도, 및 승온 (예를 들어, ≥ 400℃ 온도)에서 강한 공유 결합을 형성할 수 있는 다른 종의 농도를 제어함으로써 수행될 수 있고, 이로써 고온 가공 후에도 (특히 FPD 공정에서와 같이, 500-650℃ 범위의 열 공정 동안) 캐리어와 얇은 시트 사이의 접착력이 적어도 얇은 시트를 손상시키지 않지만 (바람직하게는 얇은 시트 또는 캐리어를 손상시키지 않지만), 캐리어 및 얇은 시트가 가공 동안 층간박리되지 않도록 이들 사이의 결합을 유지하기에 필요한 만큼 충분한 분리력을 가지고 캐리어로부터 얇은 시트의 탈결합을 허용하는 범위 내에 있도록 캐리어의 결합 표면과 얇은 시트 사이의 결합 에너지가 제어될 수 있는 것인, 고온에서의 결합의 제어.(3) the carrier surface hydroxyl concentration, and the concentration of other species capable of forming strong covalent bonds at elevated temperatures (e.g., > = 400 [deg.] C temperature) , The adhesion between the carrier and the thin sheet does not damage the at least thin sheet (preferably, but not damaging the thin sheet or carrier), while the carrier and the thin sheet do not damage the sheet during processing Wherein the bond energy between the bond surface of the carrier and the thin sheet can be controlled such that it is within a range that allows sufficient debonding of the thin sheet from the carrier, Control of bonding at high temperature.
또한, 본 발명자들은, 표면 개질 층(30)의 사용이, 적절히 결합 표면 제조와 함께, 제어된 결합 영역, 즉 물품(2)이 FPD 유형 공정 (진공 및 습식 공정 포함)에서 가공될 수 있게 하기에 충분한 얇은 시트(20)와 캐리어(10) 사이의 실온 결합을 제공하나, 물품(2)이 고온 가공, 예를 들어 FPD 유형 가공, 또는 LTPS 가공을 끝낸 후에 얇은 시트(20)가 캐리어(10)로부터 (적어도 얇은 시트에 대한 손상 없이, 바람직하게는 또한 캐리어에 대한 손상 없이) 제거될 수 있도록 (≥ 400℃ 승온에서도) 얇은 시트(20)와 캐리어(10) 사이의 공유 결합을 제어하는 결합 영역을 용이하게 달성하도록 상기 개념과 균형을 이룰 수 있음을 발견하였다. FPD 가공에 적합한 재사용가능한 캐리어를 제공할, 잠재적인 결합 표면 제조, 및 표면 개질 층을 평가하기 위해, 일련의 시험을 사용하여 각각의 적합성을 평가하였다. 상이한 FPD 적용은 상이한 요건을 갖지만, LTPS 및 산화물 TFT 공정은 상기 시점에서 가장 엄격한 것으로 보이고, 따라서 이러한 공정에서 단계를 대표하는 시험은 물품(2)에 대해 목적하는 적용이기 때문에 선택되었다. 진공 공정, 습식 세정 (SRD 및 초음파 유형 공정 포함) 및 습식 에칭은 많은 FPD 적용에 전형적이다. 전형적인 aSi TFT 제작은 320℃ 이하의 가공을 요구한다. 400℃에서의 어닐링은 산화물 TFT 공정에 사용되고, 한편 600℃ 초과의 결정화 및 도펀트 활성화 단계는 LTPS 가공에서 사용된다. 따라서, 하기 5개 시험을 사용하여 특정 결합 표면 제조 및 표면 개질 층(30)이 얇은 시트(20)를 FPD 가공 동안 캐리어(10)에 결합된 채 있을 수 있게 하고, 한편 이러한 가공 (≥ 400℃ 온도에서의 가공 포함) 후에 얇은 시트(20)가 캐리어(10)로부터 (얇은 시트(20) 및/또는 캐리어(10)의 손상 없이) 제거될 수 있게 할 가능성을 평가하였다. 시험을 순서대로 수행했고, 후속적 시험을 허용하지 않을 유형의 실패가 있지 않는 한 샘플을 한 시험에서 그 다음 시험으로 진행시켰다.The present inventors have also found that the use of the
(1) 진공 시험. 진공 적합성 시험은 STS 멀티플렉스 PECVD 로드락(STS Multiplex PECVD loadlock) (영국 뉴포트 소재 SPTS로부터 입수가능함)에서 수행하였다 - 로드락은 소프트 펌프 밸브를 갖는 에바라(Ebara) A10S 건조 펌프 (캘리포니아주 새크라멘토 소재 에바라 테크놀로지스 인크.(Ebara Technologies Inc.)로부터 입수가능함)에 의해 펌핑되었다. 샘플을 로드락에 둔 다음, 로드락을 대기압으로부터 70 mTorr까지 45초 내에 펌핑하였다. 하기 표의 "진공" 칼럼에서 "F"의 표기에 의해 나타낸, 실패는 하기가 존재하는 경우에 일어난 것으로 여겨졌다: (a) 캐리어와 얇은 시트 사이의 접착력의 손실 (육안으로의 육안 검사에 의해, 여기서 실패는 얇은 시트가 캐리어로부터 떨어졌거나 또는 그로부터 부분적으로 탈결합된 경우 일어난 것으로 여겨졌음); (b) 캐리어와 얇은 시트 사이의 버블링 (육안으로의 육안 검사에 의해 결정된 바와 같음 - 가공 전후에 샘플의 사진을 찍은 다음 비교하였고, 실패는 결함이 육안에 보이는 치수만큼 크기가 증가한 경우 일어난 것으로 결정되었음); 또는 (c) 캐리어에 대한 얇은 시트의 이동 (육안으로의 육안 검사에 의해 결정된 바와 같음 - 시험 전후에 샘플의 사진을 찍었고, 여기서 실패는 결합 결함의 이동, 예를 들어 버블이 있는 경우, 또는 가장자리가 탈결합된 경우, 또는 캐리어 상에서 얇은 시트의 이동이 있는 경우, 일어난 것으로 여겨졌음). 하기 표에서, "진공" 칼럼에서 "P"의 표기는 샘플이 상기 기준에 따라 실패하지 않았음을 나타낸다.(1) Vacuum test. Vacuum conformance testing was performed on an STS Multiplex PECVD loadlock (available from SPTS, Newport, NJ) - the load lock was an Ebara A10S dry pump with a soft pump valve (Sacramento, Calif. (Available from Ebara Technologies Inc.). ≪ / RTI > After placing the sample on the load-lock, the load-lock was pumped within 45 seconds from atmospheric pressure to 70 mTorr. Failure, as indicated by the notation "F" in the "vacuum" column of the table below, was considered to have occurred if: (a) loss of adhesion between the carrier and the thin sheet Failure was considered to have occurred if the thin sheet fell off the carrier or was partially debonded therefrom); (b) Bubbling between the carrier and the thin sheet (as determined by visual inspection by the naked eye - after taking a picture of the sample before and after machining, the failure was the case when the defect increased in size by the dimensions visible to the naked eye Determined); Or (c) movement of the thin sheet relative to the carrier (as determined by visual inspection in the naked eye - taking a picture of the sample before and after the test, where the failure is the movement of the bonding defect, for example when there is a bubble, Or when there is a thin sheet of movement on the carrier). In the following table, the notation "P" in the "vacuum" column indicates that the sample did not fail according to the above criteria.
(2) 습식 공정 시험. 습식 공정 적합성 시험은 세미툴(Semitool) 모델 SRD-470S (캘리포니아주 산타 클라라 소재 어플라이드 머티리얼스(Applied Materials)로부터 입수가능함)를 사용하여 수행하였다. 시험은 60초 500rpm 린스, 500rpm에서 15 MOhm-㎝로 Q-린스, 500rpm에서 10초 퍼지, 1800rpm에서 90초 건조, 및 따뜻한 흐르는 질소 하의 2400rpm에서 180초 건조로 이루어졌다. 하기 표의 "SRD" 칼럼에서 "F"의 표기에 의해 나타낸, 실패는 하기가 존재하는 경우에 일어난 것으로 여겨졌다: (a) 캐리어와 얇은 시트 사이의 접착력의 손실 (육안으로의 육안 검사에 의해, 여기서 실패는 얇은 시트가 캐리어로부터 떨어졌거나 또는 그로부터 부분적으로 탈결합된 경우 일어난 것으로 여겨졌음); (b) 캐리어와 얇은 시트 사이의 버블링 (육안으로의 육안 검사에 의해 결정된 바와 같음 - 가공 전후에 샘플의 사진을 찍은 다음 비교하였고, 실패는 결함이 육안에 보이는 치수만큼 크기가 증가한 경우 일어난 것으로 결정되었음); 또는 (c) 캐리어에 대한 얇은 시트의 이동 (육안으로의 육안 검사에 의해 결정된 바와 같음 - 시험 전후에 샘플의 사진을 찍었고, 여기서 실패는 결합 결함의 이동, 예를 들어 버블이 있는 경우, 또는 가장자리가 탈결합된 경우, 또는 캐리어 상에서 얇은 시트의 이동이 있는 경우 일어난 것으로 여겨졌음; 또는 (d) 얇은 시트 아래로의 물의 침투 (광학 현미경으로 50x에서 육안 검사에 의해 결정된 바와 같음, 여기서 실패는 액체 또는 잔류물이 관찰가능한 경우 일어난 것으로 결정되었음). 하기 표에서, "SRD" 칼럼에서 "P"의 표기는 샘플이 상기 기준에 따라 실패하지 않았음을 나타낸다. (2) Wet process test. Wet process conformance testing was performed using the Semitool model SRD-470S (available from Applied Materials, Santa Clara, Calif.). The test consisted of a rinse of 500 rpm for 60 seconds, Q-rinse at 15 MOhm-cm at 500 rpm, 10 seconds of purging at 500 rpm, 90 seconds of drying at 1800 rpm and 180 seconds of drying at 2400 rpm under warm flowing nitrogen. Failure, as indicated by the notation "F" in the column "SRD" in the table below, was considered to have occurred if: (a) loss of adhesion between the carrier and the thin sheet Failure was considered to have occurred if the thin sheet fell off the carrier or was partially debonded therefrom); (b) Bubbling between the carrier and the thin sheet (as determined by visual inspection by the naked eye - after taking a picture of the sample before and after machining, the failure was the case when the defect increased in size by the dimensions visible to the naked eye Determined); Or (c) movement of the thin sheet relative to the carrier (as determined by visual inspection in the naked eye - taking a picture of the sample before and after the test, where the failure is the movement of the bonding defect, for example when there is a bubble, Or (d) penetration of water beneath the thin sheet (as determined by visual inspection at 50x with an optical microscope, where the failure is due to the presence of liquid Or the residue was determined to be observable.) In the table below, the notation "P" in the column "SRD" indicates that the sample did not fail according to the above criteria.
(3) 400℃까지의 온도 시험. 400℃ 공정 적합성 시험은 알윈21 아큐써모610 RTP(Alwin21 Accuthermo610 RTP) (캘리포니아주 산타 클라라 소재의 알윈21로부터 입수가능함)를 사용하여 수행하였다. 그에 얇은 시트가 결합된 캐리어를 6.2℃/분으로 실온에서 400℃로 만들고, 400℃에서 600초 동안 유지되고, 1℃/분으로 300℃로 냉각되는 사이클의 챔버에서 가열하였다. 이어서, 캐리어 및 얇은 시트를 실온으로 냉각되도록 하였다. 하기 표의 "400℃" 칼럼에서 "F"의 표기에 의해 나타낸 바와 같은, 실패는 하기가 존재하는 경우에 일어난 것으로 여겨졌다: (a) 캐리어와 얇은 시트 사이의 접착력의 손실 (육안으로의 육안 검사에 의해, 여기서 실패는 얇은 시트가 캐리어로부터 떨어졌거나 또는 그로부터 부분적으로 탈결합된 경우 일어난 것으로 여겨졌음); (b) 캐리어와 얇은 시트 사이의 버블링 (육안으로의 육안 검사에 의해 결정된 바와 같음 - 가공 전후에 샘플의 사진을 찍은 다음 비교하였고, 실패는 결함이 육안에 보이는 치수만큼 크기가 증가한 경우 일어난 것으로 결정되었음); 또는 (c) 캐리어와 얇은 시트 사이의 증가한 접착력 (여기서, 이러한 증가한 접착력이 (얇은 시트와 캐리어 사이에 면도날의 삽입에 의해, 및/또는 캡톤(Kapton)™ 테이프, 1" 폭 x 6" 길이의 조각을 2-3"가 100 mm 정사각형의 얇은 유리 (뉴욕주 후식 소재 생 고뱅 퍼포먼스 플라스틱(Saint Gobain Performance Plastic)으로부터의 K102 시리즈)에 부착되도록 얇은 시트에 붙이고 테이프를 당김으로써) 얇은 시트 또는 캐리어의 손상 없이 캐리어로부터 얇은 시트를 탈결합시키는 것을 방지하고, 여기서 실패는 얇은 시트 또는 캐리어를 분리하려는 시도시 얇은 시트 또는 캐리어에 대한 손상이 있는 경우, 또는 얇은 시트 및 캐리어가 상기 탈결합 방법 중 어느 하나의 수행에 의해 탈결합될 수 없는 경우에 일어난 것으로 여겨졌음). 또한, 얇은 시트를 캐리어와 결합시킨 후, 및 열 순환 전에, 대표 샘플에 대해 탈결합 시험을 수행하여, 임의의 연관된 표면 처리를 포함하는 특정 물질이 온도 순환 전에 캐리어로부터 얇은 시트의 탈결합을 허용함을 결정하였다. 하기 표에서, "400℃" 칼럼에서 "P"의 표기는 샘플이 상기 기준에 따라 실패하지 않았음을 나타낸다.(3) Temperature test up to 400 ℃. The 400 < 0 > C process suitability test was performed using Alwin21 Accuthermo 610 RTP (available from Alwyn 21, Santa Clara, Calif.). To which a thin sheet bonded carrier was heated from room temperature to 400 占 폚 at 6.2 占 폚 / min, held at 400 占 폚 for 600 seconds, and cooled in a cycle of 1 占 폚 / min to 300 占 폚. The carrier and the thin sheet were then allowed to cool to room temperature. Failure, as indicated by the notation "F" in the "400 ° C" column of the table below, was considered to have occurred when: (a) loss of adhesion between the carrier and the thin sheet , Where the failure was considered to have occurred if the thin sheet had fallen from the carrier or was partially debonded therefrom); (b) Bubbling between the carrier and the thin sheet (as determined by visual inspection by the naked eye - after taking a picture of the sample before and after machining, the failure was the case when the defect increased in size by the dimensions visible to the naked eye Determined); Or (c) an increased adhesion between the carrier and the thin sheet, wherein such increased adhesion is achieved by insertion of a razor blade between the thin sheet and the carrier and / or by Kapton ™ tape, 1 "wide x 6" The slices may be applied to a thin sheet or carrier (such as by affixing the thin 2-3 "sheet to a thin sheet attached to a thin 100 mm square glass (K102 series from Saint Gobain Performance Plastic, New York) and pulling the tape) Wherein the failure can be avoided if there is damage to the thin sheet or carrier in an attempt to detach the thin sheet or carrier, or if the thin sheet and the carrier are in any of the detachment methods It is believed to have occurred in the event that it can not be debonded by the performance of the carrier.) Also, after bonding the thin sheet to the carrier, Prior to thermocycling, a debinding test was performed on representative samples to determine that certain materials, including any associated surface treatments, allowed debonding of the thin sheet from the carrier prior to temperature cycling. The notation "P" in the column indicates that the sample did not fail according to the above criteria.
(4) 600℃까지의 온도 시험. 600℃ 공정 적합성 시험은 알윈21 아큐서모610 RTP를 사용하여 수행하였다. 얇은 시트를 포함하는 캐리어를 9.5℃/분으로 실온 내지 600℃로 순환되고, 600℃에서 600초 동안 유지되고, 이어서 1℃/분으로 300℃로 냉각되는 챔버에서 가열하였다. 이어서 캐리어 및 얇은 시트를 실온으로 냉각되도록 하였다. 하기 표의 "600℃" 칼럼에서 "F"의 표기에 의해 나타낸 바와 같은, 실패는 하기가 존재하는 경우에 일어난 것으로 여겨졌다: (a) 캐리어와 얇은 시트 사이의 접착력의 손실 (육안으로의 육안 검사에 의해, 여기서 실패는 얇은 시트가 캐리어로부터 떨어졌거나 또는 그로부터 부분적으로 탈결합된 경우 일어난 것으로 여겨졌음); (b) 캐리어와 얇은 시트 사이의 버블링 (육안으로의 육안 검사에 의해 결정된 바와 같음 - 가공 전후에 샘플의 사진을 찍은 다음 비교하였고, 실패는 결함이 육안에 보이는 치수만큼 크기가 증가한 경우 일어난 것으로 결정되었음); 또는 (c) 캐리어와 얇은 시트 사이의 증가한 접착력 (여기서 이러한 증가한 접착력이 (얇은 시트와 캐리어 사이에 면도날의 삽입에 의해, 및/또는 상기 기재된 바와 같은 캡톤™ 테이프의 조각을 얇은 시트에 붙이고 테이프를 당김으로써) 얇은 시트 또는 캐리어의 손상 없이 캐리어로부터 얇은 시트를 탈결합시키는 것을 방지하고, 여기서 실패는 얇은 시트 또는 캐리어를 분리하려는 시도시 얇은 시트 또는 캐리어의 손상이 있는 경우, 또는 얇은 시트 및 캐리어가 상기 탈결합 방법 중 어느 하나의 수행에 의해 탈착될 수 없는 경우에 일어난 것으로 여겨졌음). 또한, 얇은 시트를 캐리어와 결합시킨 후, 및 열 순환 전에, 대표 샘플에 대해 탈착 시험을 수행하여, 특정 물질, 및 임의의 연관된 표면 처리가 온도 순환 전에 캐리어로부터 얇은 시트의 탈결합을 허용함을 결정하였다. 하기 표에서, "600℃" 칼럼에서 "P"의 표기는 샘플이 상기 기준에 따라 실패하지 않았음을 나타낸다.(4) Temperature test up to 600 ℃. The 600 < 0 > C process suitability test was performed using Alwyn 21 Accuilo 610 RTP. The carrier containing the thin sheet was circulated from room temperature to 600 DEG C at 9.5 DEG C / min, held at 600 DEG C for 600 seconds, and then heated in a chamber cooled to 300 DEG C at 1 DEG C / min. The carrier and the thin sheet were then allowed to cool to room temperature. Failure, as indicated by the notation "F" in the "600 ° C" column of the following table, was considered to have occurred if: (a) loss of adhesion between the carrier and the thin sheet , Where the failure was considered to have occurred if the thin sheet had fallen from the carrier or was partially debonded therefrom); (b) Bubbling between the carrier and the thin sheet (as determined by visual inspection by the naked eye - after taking a picture of the sample before and after machining, the failure was the case when the defect increased in size by the dimensions visible to the naked eye Determined); Or (c) an increased adhesion between the carrier and the thin sheet, wherein such increased adhesion is achieved by applying a piece of Capton (TM) tape as described above to the thin sheet by insertion of a razor between the thin sheet and the carrier, and / To prevent debonding of the thin sheet from the carrier without damage to the thin sheet or carrier, wherein the failure can be avoided if there is damage to the thin sheet or carrier in an attempt to separate the thin sheet or carrier, Which is believed to have occurred in the event that it can not be desorbed by any of the above-mentioned debinding methods). Also, after bonding the thin sheet to the carrier and before thermocycling, a desorption test is performed on the representative sample so that the specific material, and any associated surface treatment, allows debonding of the thin sheet from the carrier before temperature cycling . In the table below, the notation "P" in the column "600 DEG C " indicates that the sample did not fail according to the above criteria.
(5) 초음파 시험. 초음파 적합성 시험은 물품을 4개 탱크 라인에서 세정함으로써 수행되었고, 여기서 물품은 탱크 #1에서 탱크 #4로 순차적으로 각각의 탱크에서 가공되었다. 각각의 4개 탱크에 대한 탱크 치수는, 18.4"L x 10"W x 15"D였다. 2개 세정 탱크 (#1 및 #2)는 50℃에서 DI수 중에 일본 요코하마 소재 요코하마 오일즈 앤드 패츠 인더스트리 캄파니 리미티드(Yokohama Oils and Fats Industry Co Ltd.)로부터 입수가능한 1%세미클린(Semiclean) KG를 함유하였다. 세정 탱크 #1은 NEY 프로소닉 2 104 kHz 초음파 발생기 (뉴욕주 제임스타운 소재 블랙스톤-NEY 울트라소닉스(Blackstone-NEY Ultrasonics)로부터 입수가능함)로 교반하였고, 세정 탱크 #2는 NEY 프로소닉 2 104 kHz 초음파 발생기로 교반하였다. 2개 린스 탱크 (탱크 #3 및 탱크 #4)는 50℃에서 DI수를 함유하였다. 린스 탱크 #3은 NEY 스위프소닉 2D 72 kHz 초음파 발생기로 교반하였고 린스 탱크 #4는 NEY 스위프소닉 2D 104 kHz 초음파 발생기로 교반하였다. 공정은 각각의 탱크 #1-4에서 10분 동안 수행한 다음, 샘플을 탱크 #4로부터 제거한 후 회전 린스 건조 (SRD)를 수행하였다. 하기 표의 "초음파" 칼럼에서 "F"의 표기에 의해 나타낸 바와 같은, 실패는 하기가 존재하는 경우에 일어난 것으로 여겨졌다: (a) 캐리어와 얇은 시트 사이의 접착력의 손실 (육안으로의 육안 검사에 의해, 여기서 실패는 얇은 시트가 캐리어로부터 떨어졌거나 또는 그로부터 부분적으로 탈결합된 경우 일어난 것으로 여겨졌음); (b) 캐리어와 얇은 시트 사이의 버블링 (육안으로의 육안 검사에 의해 결정된 바와 같음 - 가공 전후에 샘플의 사진을 찍은 다음 비교하였고, 실패는 결함이 육안에 보이는 치수만큼 크기가 증가한 경우 일어난 것으로 결정되었음); 또는 (c) 다른 중대한 결함의 형성 (광학 현미경으로 50x에서 육안 검사에 의해 결정된 바와 같음, 여기서 실패는 전에는 관찰되지 않았던 얇은 시트와 캐리어 사이에 트래핑된 입자가 있는 경우 일어난 것으로 여겨졌음); 또는 (d) 얇은 시트 아래로의 물의 침투 (광학 현미경으로 50x에서 육안 검사에 의해 결정된 바와 같음, 여기서 실패는 액체 또는 잔류물이 관찰가능한 경우 일어난 것으로 결정되었음). 하기 표에서, "초음파" 칼럼에서 "P"의 표기는 샘플이 상기 기준에 따라 실패하지 않았음을 나타낸다. 또한, 하기 표에서, "초음파" 칼럼에서 빈칸 또는 "?"는 샘플을 상기 방법으로 시험하지 않았음을 나타낸다.(5) Ultrasonic test. The ultrasonic compatibility test was performed by cleaning the article in four tank lines, where the article was processed in each tank sequentially from
가열에 의한 히드록실 감소를 통한 결합 표면의 제조Preparation of bonded surfaces by reduction of hydroxyl by heating
물품(2)이 FPD 가공을 성공적으로 겪을 수 있도록 결합 표면(14, 24) 중 하나 이상을 표면 개질 층(30)으로 개질시킨 이점 (즉, 얇은 시트(20)가 가공 동안에 캐리어(10)에 결합된 채 있지만, 고온 가공을 비롯한 가공 후에 캐리어(10)로부터 분리될 수 있음)은 유리 캐리어(10) 및 얇은 유리 시트(20)를 그들 사이에 표면 개질 층(30) 없이 갖는 물품(2)을 가공함으로써 입증되었다. 특히, 먼저 가열하여 히드록실 기를 감소시킴으로써, 그러나 표면 개질 층(30) 없이, 결합 표면(14, 24)의 제조를 시도하였다. 캐리어(10) 및 얇은 시트(20)를 세정하였고, 결합 표면(14 및 24)을 서로 결합시킨 다음, 물품(2)을 시험하였다. 결합용 유리를 제조하는 전형적인 세정 공정은 유리가 묽은 과산화수소 및 염기 (통상적으로 수산화암모늄이지만 수산화테트라메틸암모늄 용액, 예를 들어 JT 베이커(Baker) JTB-100 또는 JTB-111을 또한 사용할 수 있음)에서 세정되는 SC1 세정 공정이다. 세정은 결합 표면으로부터 입자를 제거하고, 공지된 표면 에너지를 만들며, 즉 이것은 표면 에너지의 기준치를 제공한다. 세정의 방식이 SC1일 필요는 없고, 세정의 유형이 표면 상의 실란올 기에 단지 매우 적은 영향만을 가질 수 있기 때문에, 세정의 다른 유형을 사용할 수도 있다. 다양한 시험의 결과가 하기 표 1에 기재되어 있다.The advantage of modifying at least one of the engaging
강하지만 분리가능한 초기, 실온 또는 반 데르 발스 및/또는 수소-결합은, 각각 이글(Eagle) XG® 디스플레이 유리 (뉴욕주 코닝 소재 코닝 인코포레이티드(Corning Incorporated)로부터 입수가능한, 대략 0.2 nm의 평균 표면 조도 Ra를 갖는, 알칼리-무함유, 알루미노-보로-실리케이트 유리)를 포함하는, 100 mm 정사각형 x 100 마이크로미터 두께의 얇은 유리 시트, 및 150mm 직경 단일 평균 플랫 (SMF) 웨이퍼 0.50 또는 0.63 mm 두께의 유리 캐리어를 단순히 세정함으로써 생성되었다. 상기 실시예에서, 유리는 40:1:2 DI수:JTB-111:과산화수소의 65℃ 조에서 10분 세정하였다. 얇은 유리 또는 유리 캐리어는 잔류 물을 제거하기 위해 질소에서 10분 동안 400℃에서 어닐링될 수 있거나 또는 어닐링되지 않을 수 있다 - 하기 표 1에서 "캐리어" 칼럼 또는 "얇은 유리" 칼럼에서의 표기 "400℃"는 샘플이 질소에서 10분 동안 400℃에서 어닐링되었음을 나타낸다. FPD 공정 적합성 시험은 상기 SC1-SC1 초기, 실온, 결합이 진공, SRD 및 초음파 시험을 통과하기에 충분히 기계적으로 강함을 입증한다. 그러나, 400℃ 및 그 초과에서의 가열은 얇은 유리 및 캐리어 사이의 영구 결합을 유발했고, 즉 얇은 유리 시트는 얇은 유리 시트 및 캐리어 중 하나 또는 둘 다의 손상 없이 캐리어로부터 제거될 수 없었다. 그리고 이것은, 각각의 캐리어 및 얇은 유리가 표면 히드록실의 농도를 감소시키기 위해 어닐링 단계를 가졌던 실시예 1c의 경우에도 사실이었다. 따라서, 가열 단독을 통한 결합 표면(14, 24)의 상기-기재된 제조 및 이어서 표면 개질 층(30) 없이, 캐리어(10) 및 얇은 시트(12)의 결합은, 온도가 ≥ 400℃일 FPD 공정에 적합한 제어된 결합이 아니다.A strong, but detachable initial, room temperature or van der Waals and / or hydrogen-bonding can be achieved using an Eagle XG display glass (commercially available from Corning Incorporated, Corning, NY, A 100 mm square x 100 micrometer thick thin glass sheet, and a 150 mm diameter single mean flat (SMF) wafer 0.50 or 0.63 mm thick, including an alumina-boron-silicate glass with an average surface roughness Ra mm < / RTI > thick glass carrier. In the above example, the glass was rinsed for 10 minutes in a 65: C bath of 40: 1: 2 DI water: JTB-111: hydrogen peroxide. A thin glass or glass carrier may or may not be annealed at 400 占 폚 for 10 minutes in nitrogen to remove residues - the notation "400" in the "carrier" column or "thin glass" column in the following Table 1 Quot; C "indicates that the sample was annealed at 400 [deg.] C for 10 minutes in nitrogen. The FPD process conformance test demonstrates that the SC1-SC1 early, room temperature, bonding is mechanically strong enough to pass the vacuum, SRD and ultrasonic tests. However, heating at 400 [deg.] C and higher resulted in permanent bonding between the thin glass and the carrier, i.e. the thin glass sheet could not be removed from the carrier without damage to one or both of the thin glass sheet and the carrier. And this was also true for Example 1c, where each carrier and thin glass had an annealing step to reduce the concentration of surface hydroxyl. Thus, the coupling of the
<표 1> - SC1-처리된 유리 결합 표면의 공정 적합성 시험<Table 1> - Process suitability test of SC1-treated glass bonded surfaces
히드록실 감소 및 표면 개질 층에 의한 결합 표면의 제조Hydroxyl reduction and preparation of bonding surfaces by surface modifying layers
예를 들어 열 처리에 의한 것과 같은 히드록실 감소, 및 표면 개질 층(30)을 함께 사용하여 결합 표면(14, 24)의 상호작용을 제어할 수 있다. 예를 들어, 결합 표면(14, 24)의 결합 에너지 (극성/분산 에너지 성분으로 인한 실온에서의 반 데르 발스 및/또는 수소-결합, 및 공유 에너지 성분으로 인한 고온에서의 공유 결합 둘 다)는, 실온 결합이 어려운 것에서부터, 용이한 실온 결합 및 고온 가공 후 결합 표면의 분리를 허용하는 것, - 고온 가공 후 - 표면이 손상 없이 분리되는 것을 방지하는 것까지 변하는 결합 강도를 제공하도록 제어될 수 있다. 일부 적용에서, (표면이 US '727의 얇은 시트/캐리어 개념에서 기재된 바와 같고 하기 기재된 바와 같은 "비-결합" 영역에 존재하는 경우에) 결합을 갖지 않거나 또는 매우 약한 결합을 갖는 것이 바람직할 수 있다. 예를 들어 FPD 공정 등을 위한 재-사용가능한 캐리어를 제공하는 다른 적용 (여기서 공정 온도 ≥ 500℃, 또는 ≥ 600℃, 및 650℃ 이하가 달성될 수 있음)에서는, 실온에서 처음에 얇은 시트와 캐리어를 함께 합하기에 충분한 반 데르 발스 및/또는 수소-결합을 갖지만 고온 공유 결합은 방지하거나 또는 제한하는 것이 바람직하다. 또 다른 적용을 위해, (표면이 US '727의 얇은 시트/캐리어 개념에서 기재된 바와 같고 하기 논의된 바와 같은 "결합 영역"에 존재하는 경우에) 처음에 얇은 유리와 캐리어를 함께 합하기 위한 충분한 실온 결합을 갖고, 또한 고온에서 강한 공유 결합을 발생시키는 것이 바람직할 수 있다. 이론에 얽매이는 것을 원하지는 않지만, 일부 경우에서 얇은 시트와 캐리어가 처음에 함께 합해지는 실온 결합을 표면 개질 층을 사용하여 제어할 수 있고, 반면에 표면 상의 히드록실 기의 (예를 들어, 표면 가열에 의한, 또는 히드록실 기와 표면 개질 층과의 반응에 의한) 감소를 사용하여, 특히 고온에서의 공유 결합을 제어할 수 있다.For example, hydroxyl reduction such as by thermal treatment, and
표면 개질 층(30)에 대한 물질은 에너지를 갖는 (예를 들어, 한 표면에서 측정된 바와 같은 에너지 < 40 mJ/m2, 및 극성 및 분산 성분 포함) 결합 표면(14, 24)을 제공할 수 있고, 이에 따라 표면은 오로지 약한 결합만을 생성한다. 한 예에서, 헥사메틸디실라잔 (HMDS)은 표면 히드록실과 반응하여 트리메틸실릴 (TMS) 말단 표면을 남김으로써 이러한 낮은 에너지 표면을 유발하도록 사용될 수 있다. 히드록실 농도를 감소시키도록 표면 가열을 하면서 표면 개질 층으로서 HMDS를 함께 사용하여 실온 및 고온 결합 둘 다를 제어할 수 있다. 각 결합 표면(14, 24)에 적합한 결합 표면 제조법을 선택함으로써, 다양한 능력을 갖는 물품을 달성할 수 있다. 보다 특히, LTPS 가공을 위해 재사용가능한 캐리어를 제공하는데 흥미로운 것 중에, 각각의 진공 SRD, 400℃ (부분 a 및 c), 및 600℃ (부분 a 및 c), 가공 시험을 견뎌내도록 (또는 통과하도록) 얇은 유리 시트(20)와 유리 캐리어(10) 사이에 적합한 결합을 이룰 수 있다.The material for the
한 예에서, SC1 세정 후의 얇은 유리 및 캐리어 둘 다의 HMDS 처리는 반 데르 발스 (및/또는 수소 결합) 힘으로 실온에서 결합시키기에 곤란한 약하게 결합된 표면을 생성한다. 기계적 힘을 가해 얇은 유리를 캐리어에 결합시킨다. 표 2의 실시예 2a에 나타낸 바와 같이, 상기 결합은 충분히 약하여 캐리어의 휨이 진공 시험 및 SRD 가공에서 관찰되고, 버블링 (아마 기체방출 때문)이 400℃ 및 600℃ 열 공정에서 관찰되었고, 미립자 결함이 초음파 가공 후에 관찰되었다.In one example, the HMDS treatment of both thin glass and carrier after SC1 cleaning produces a weakly bonded surface that is difficult to bond at room temperature with van der Waals (and / or hydrogen bonding) forces. Apply a mechanical force to bond the thin glass to the carrier. As shown in Example 2a of Table 2, the bonding was sufficiently weak that bending of the carrier was observed in vacuum testing and SRD processing, bubbling (probably due to gas evolution) was observed in the 400 < 0 > C and 600 & Defects were observed after ultrasonic machining.
또 다른 실시예에서, 단지 한 표면 (인용된 예에서는 캐리어)의 HMDS 처리는 진공 및 SRD 가공을 견뎌내는 보다 강한 실온 접착력을 생성한다. 그러나, 400℃ 이상에서의 열 공정은 얇은 유리를 캐리어에 영구히 결합시켰다. 이것은 실리카에 대한 트리메틸실릴 기의 최대 표면 피복률이 문헌 [Sindorf and Maciel, J. Phys. Chem. 1982, 86, 5208-5219]에서 2.8/nm2인 것으로 계산되었고, 문헌 [Suratwala et. al., Journal of Non-Crystalline Solids 316 (2003) 349-363]에서, 완전히 히드록실화된 실리카의 경우 4.6-4.9/nm2의 히드록실 농도에 비해, 2.7/nm2로서 측정되었기 때문에 예상 밖의 일은 아니다. 즉, 트리메틸실릴 기가 일부 표면 히드록실과 결합하지만, 일부 결합되지 않은 히드록실이 남아 있을 것이다. 따라서 충분한 시간 및 온도를 고려하면 얇은 유리와 캐리어를 영구적으로 결합시키는 표면 실란올 기의 축합이 예상될 것이다.In yet another embodiment, the HMDS treatment of only one surface (carrier in the cited example) produces a stronger room temperature adhesive force that withstands vacuum and SRD processing. However, the thermal process at temperatures above 400 ° C permanently bonded the thin glass to the carrier. This indicates that the maximum surface coverage of the trimethylsilyl group for silica is much less than that of the silica (Sindorf and Maciel, J. Phys. Chem. 1982, 86, 5208-5219] and was found to be 2.8 / nm2 , as described by Suratwala et. al., Journal of Non-Crystalline Solids 316 (2003) 349-363], it was measured as 2.7 / nm2 compared to a hydroxyl concentration of 4.6-4.9 / nm2 for fully hydroxylated silica, It is not work. That is, the trimethylsilyl group binds with some surface hydroxyl, but some unbound hydroxyl will remain. Thus, given sufficient time and temperature, condensation of the surface silanol groups, which will permanently bond the thin glass and the carrier, would be expected.
HMDS 노출 전에 표면 히드록실 농도를 감소시키도록 유리 표면을 가열하여 표면 에너지의 증가된 극성 성분을 유도함으로써 변화된 표면 에너지가 생성될 수 있다. 이것은 고온에서 공유 Si-O-Si 결합의 형성을 위한 구동력을 감소시킬 뿐만 아니라 보다 강한 실온 결합, 예를 들어 반 데르 발스 (및/또는 수소) 결합을 유도한다. 도 4는 어닐링 후, 및 HMDS 처리 후 이글 XG® 디스플레이 유리 캐리어의 표면 에너지를 나타낸다. HMDS 노출 전에 상승된 어닐링 온도는 극성 기여 (선(404))를 증가시킴으로써 HMDS 노출 후 전체 (극성 및 분산) 표면 에너지 (선(402))를 증가시킨다. 또한 전체 표면 에너지에 대한 분산 기여 (선(406))는 열 처리에 의해 크게 변하지 않은 채 남아 있는 것으로 보여진다. 이론에 의해 얽매이는 것을 원하지 않지만, HMDS 처리 후 표면에서의 극성 성분의 증가, 및 이에 따른 전체 에너지의 증가는 HMDS에 의한 하위-단층 TMS 피복률 때문에 HMDS 처리 후에도 일부 노출된 유리 표면 영역이 존재한다는 점에 기인한 것으로 보인다.Varied surface energy can be generated by heating the glass surface to reduce the surface hydroxyl concentration prior to exposure to HMDS to induce increased polarity components of surface energy. This not only reduces the driving force for the formation of the covalent Si-O-Si bond at high temperature but also induces stronger room temperature bonding, for example van der Waals (and / or hydrogen) bonding. Figure 4 shows the surface energies of Eagle XG® display glass carriers after annealing and after HMDS treatment. The elevated annealing temperature prior to HMDS exposure increases the overall (polar and dispersed) surface energy (line 402) after HMDS exposure by increasing the polarity contribution (line 404). It is also believed that the dispersive contribution to total surface energy (line 406) remained largely unchanged by heat treatment. Although not wishing to be bound by theory, the increase of the polar component on the surface after the HMDS treatment, and thus the total energy increase, is due to the presence of some exposed glass surface area after the HMDS treatment due to the sub-monolayer TMS coverage by HMDS .
실시예 2b에서, 얇은 유리 시트를 HMDS의 코팅을 갖는 비-열-처리된 캐리어와 결합하기 전에 150℃의 온도에서 진공 하에 1시간 동안 가열하였다. 얇은 유리 시트의 상기 열 처리는 ≥ 400℃ 온도에서 캐리어에 대한 얇은 유리 시트의 영구 결합을 방지하기에 충분하지 않았다.In Example 2b, the thin glass sheet was heated under vacuum at a temperature of 150 DEG C for 1 hour before bonding with a non-heat-treated carrier having a coating of HMDS. The heat treatment of the thin glass sheet was not sufficient to prevent permanent bonding of the thin glass sheet to the carrier at < RTI ID = 0.0 > 400 C. < / RTI >
표 2의 실시예 2c-2e에 나타낸 바와 같이, HMDS 노출 전에 유리 표면의 어닐링 온도를 변화시키면 유리 캐리어와 얇은 유리 시트 사이의 결합을 제어하도록 유리 표면의 결합 에너지를 변화시킬 수 있다.As shown in Examples 2c-2e in Table 2, the annealing temperature of the glass surface before the HMDS exposure can be varied to change the binding energy of the glass surface to control the bond between the glass carrier and the thin glass sheet.
실시예 2c에서, 캐리어를 190℃의 온도에서 진공 하에 1시간 동안 어닐링한 후, HMDS 노출을 수행하여 표면 개질 층(30)을 제공하였다. 또한, 얇은 유리 시트를 캐리어와 결합시키기 전에 450℃에서 진공 하에 1시간 동안 어닐링하였다. 생성된 물품은 진공, SRD, 및 400℃ 시험 (부분 a 및 c, 그러나 증가한 버블링이 있어서 부분 b를 통과하지 못했음)을 견뎌 냈지만, 600℃ 시험에 실패하였다. 따라서, 실시예 2b에 비해 고온 결합에 대해 증가한 저항성은 있지만, 이것은 캐리어가 재사용가능한 ≥ 600℃ 온도에서의 가공 (예를 들어 LTPS 가공)을 위한 물품을 제조하기에는 충분하지 않았다.In Example 2c, the carrier was annealed at a temperature of 190 占 폚 under vacuum for 1 hour, and HMDS exposure was performed to provide the
실시예 2d에서, 캐리어를 340℃의 온도에서 진공 하에 1시간 동안 어닐링한 후, HMDS 노출을 수행하여, 표면 개질 층(30)을 제공하였다. 다시, 얇은 유리 시트를 캐리어와 결합시키기 전에 450℃에서 1시간 동안 진공 하에 어닐링하였다. 결과는 실시예 2c의 결과와 유사하였고, 물품은 진공, SRD, 및 400℃ 시험 (부분 a 및 c, 그러나 증가한 버블링이 있어서 부분 b를 통과하지 못했음)을 견뎌 냈지만, 600℃ 시험에 실패했다.In Example 2d, the carrier was annealed at a temperature of 340 占 폚 under vacuum for 1 hour, and HMDS exposure was then performed to provide the
실시예 2e에 나타낸 바와 같이, 얇은 유리 및 캐리어 둘 다를 450℃에서 진공 하에 1시간 동안 어닐링한 후, 캐리어의 HMDS 노출을 수행하고, 이어서 캐리어 및 얇은 유리 시트를 결합시키는 것은, 영구 결합에 대한 온도 저항성을 개선시킨다. 양쪽 표면의 450℃로의 어닐링은 600℃에서 10분 동안 RTP 어닐링 후 영구 결합을 방지하며, 즉 상기 샘플은 600℃ 가공 시험 (부분 a 및 c, 그러나 증가한 버블링이 있어서 부분 b를 통과하지 못했음; 유사한 결과는 400℃ 시험의 경우에 관찰되었음)을 통과하였다.As shown in Example 2e, after both the thin glass and the carrier were annealed at 450 ° C under vacuum for one hour, HMDS exposure of the carrier was performed, followed by bonding the carrier and the thin glass sheet, Thereby improving resistance. Annealing of both surfaces to 450 占 폚 prevented permanent bonding after RTP annealing at 600 占 폚 for 10 minutes, i.e. the sample was subjected to a 600 占 폚 test (parts a and c, but with increased bubbling, failed to pass part b; Similar results were observed in the case of the 400 ° C test).
<표 2> - HMDS 표면 개질 층의 공정 적합성 시험<Table 2> - Process suitability test of HMDS surface modifying layer
상기 실시예 2a 내지 2e에서, 각각의 캐리어 및 얇은 시트는 이글 XG® 유리이었으며, 여기서 캐리어는 150 mm 직경 SMF 웨이퍼 630 마이크로미터 두께이고, 얇은 시트는 100 mm 정사각형 100 마이크로미터 두께이다. HMDS를 YES-5 HMDS 오븐 (캘리포니아주 산호세 소재의 일드 엔지니어링 시스템즈(Yield Engineering Systems)로부터 입수가능함)에서 펄스 증착에 의해 도포하였고, 이는 일 원자 층 두께이었고 (즉, 약 0.2 내지 1 nm) 다만 표면 피복은 일 단층 미만일 수 있고, 즉 표면 히드록실 중 일부가 마시엘(Maciel)에 의해 기재되고 상기 논의된 바와 같이 HMDS에 의해 피복되지 않을 수 있다. 표면 개질 층에서의 작은 두께 때문에, 장치 제작시 오염을 유발할 수 있는 기체방출의 위험이 거의 없다. 또한, "SC1" 표기에 의해 표 2에 나타낸 바와 같이, 각각의 캐리어 및 얇은 시트는 열 처리 또는 임의의 후속적 HMDS 처리 전에 SC1 공정을 사용하여 세정되었다.In the above Examples 2a to 2e, each carrier and thin sheet was Eagle XG® glass, where the carrier is 150 mm diameter SMF wafer 630 micrometer thick, and the
실시예 2b와 실시예 2a의 비교는 얇은 시트와 캐리어 사이의 결합 에너지가 표면 개질 층을 포함하는 표면의 수를 변화시킴으로써 제어될 수 있음을 나타낸다. 그리고 결합 에너지의 제어를 사용하여 두 결합 표면 사이의 결합력을 제어할 수 있다. 또한, 실시예 2b-2e의 비교는, 표면의 결합 에너지가 표면 개질 물질의 적용 전에 결합 표면에 실시된 열 처리의 파라미터를 변화시킴으로써 제어될 수 있음을 나타낸다. 다시, 열 처리를 사용하여 표면 히드록실의 수를 감소시킬 수 있고, 따라서, 공유 결합도, 특히 고온에서의 공유 결합도를 제어할 수 있다.A comparison of Example 2b with Example 2a shows that the binding energy between the thin sheet and the carrier can be controlled by varying the number of surfaces comprising the surface modifying layer. Control of coupling energy can be used to control the coupling between two bonding surfaces. In addition, the comparison of Examples 2b-2e shows that the bonding energy of the surface can be controlled by changing the parameters of the heat treatment applied to the bonding surface before application of the surface modifying material. Again, heat treatment can be used to reduce the number of surface hydroxyls and thus control the covalent bonding degree, especially the covalent bonding degree at high temperature.
결합 표면 상에서 표면 에너지를 제어하는데 상이한 방식으로 작용할 수 있는 다른 물질이, 두 표면 사이의 실온 및 고온 결합력을 제어하도록 표면 개질 층(30)에 대해 사용될 수 있다. 예를 들어, 하나 또는 양쪽 결합 표면을, 승온에서 캐리어와 얇은 시트 사이의 강한 영구 공유 결합의 형성을 방지하도록 종, 예를 들어 히드록실을 피복하거나 또는 입체적으로 방해하는 표면 개질 층으로 개질시켜 중간정도의 결합력을 생성하는 경우 재사용가능한 캐리어가 또한 생성될 수 있다. 가변 표면 에너지를 생성하고, 표면 히드록실을 피복하여 공유 결합의 형성을 방지하는 한 방법은, 플라즈마 중합체 필름, 예를 들어 플루오로중합체 필름의 침착이다. 플라즈마 중합은 대기압 또는 감압, 및 공급원 기체, 예를 들어 플루오로카본 공급원 (CF4, CHF3, C2F6, C3F6, C2F2, CH3F, C4F8, 클로로플루오로 카본, 또는 히드로클로로플루오로 카본 포함), 탄화수소, 예를 들어 알칸 (메탄, 에탄, 프로판, 부탄 포함), 알켄 (에틸렌, 프로필렌 포함), 알킨 (아세틸렌 포함), 및 방향족화합물 (벤젠, 톨루엔 포함), 수소, 및 기타 기체 공급원, 예를 들어 SF6으로부터의 플라즈마 여기 (DC 또는 RF 평행 플레이트, 유도 결합 플라즈마 (ICP) 전자 사이클로트론 공명 (ECR) 다운스트림 마이크로파 또는 RF 플라즈마) 하에 얇은 중합체 필름을 침착시킨다. 플라즈마 중합은 고도로 가교된 물질의 층을 생성한다. 반응 조건 및 공급원 기체의 제어를 사용하여 관능기를 바람직한 적용에 맞추도록 필름 두께, 밀도, 및 화학적 성질을 제어할 수 있다.Other materials that can act in different ways to control the surface energy on the bonding surface can be used for the
도 5는 옥스포드(Oxford) ICP380 에치 툴 (영국 옥스포드셔 소재 옥스포드 인스트루먼츠(Oxford Instruments)로부터 입수가능함)을 이용하여 CF4-C4F8 혼합물로부터 침착된 플라즈마 중합된 플루오로중합체 (PPFP) 필름의 전체 (선(502)) 표면 에너지 (극성 (선(504)) 및 분산 (선(506)) 성분 포함)를 나타낸다. 필름은 이글 XG® 유리의 시트 상에 침착되었고, 분광학적 타원편광측정법은 필름이 1-10 nm 두께인 것을 나타내었다. 도 5로부터 알 수 있듯이, 40% 미만의 C4F8을 함유하는 플라즈마 중합된 플루오로중합체 필름으로 처리된 유리 캐리어는 >40 mJ/m2 표면 에너지를 나타내고, 실온에서 반 데르 발스 또는 수소 결합에 의해 얇은 유리와 캐리어 사이의 제어된 결합을 생성한다. 용이화된 결합은 초기에 실온에서 캐리어 및 얇은 유리를 결합시키는 경우에 관찰된다. 즉, 얇은 시트를 캐리어 상에 놓고, 이들을 한 지점에서 함께 가압한 경우, 파면이 캐리어 전체를 가로질러, 그러나 그 위에 표면 개질 층을 갖지 않은 SC1 처리된 표면의 경우에 관찰된 것보다 느린 속도로 이동한다. 제어된 결합은 진공, 습식, 초음파, 및 600℃ 이하의 열 공정을 비롯한 모든 표준 FPD 공정을 견뎌내기에 충분하고, 즉 상기 제어된 결합은 캐리어로부터 얇은 유리의 움직임 또는 층간박리 없이 600℃ 가공 시험을 통과하였다. 탈결합은 상기 기재된 바와 같이 면도날 및/또는 캡톤™ 테이프로 박리함으로써 달성되었다. 2개의 상이한 PPFP 필름 (상기 기재된 바와 같이 침착됨)의 공정 적합성은 표 3에 나타나 있다. 실시예 3a의 PPFP 1은 C4F8/(C4F8+CF4)=0으로 형성되었고, 즉 C4F8이 아닌 CF4/H2로 형성되었고, 실시예 3b의 PPFP 2는 C4F8/(C4F8+CF4)=0.38로 침착되었다. 양쪽 유형의 PPFP 필름은 진공, SRD, 400℃ 및 600℃ 가공 시험을 견뎌 냈다. 그러나, 20분의 PPFP 2의 초음파 세정 후에 이러한 가공을 견뎌내기에 불충분한 접착력을 나타내는 층간박리가 관찰된다. 그럼에도 불구하고, PPFP2의 표면 개질 층은, 초음파 가공이 필요하지 않는 경우처럼, 일부 적용에 유용할 수 있다.Figure 5 is a plot of the total (line) of a plasma polymerized fluoropolymer (PPFP) film deposited from a CF4-C4F8 mixture using an Oxford ICP380 etch tool (available from Oxford Instruments, Oxfordshire, UK) 502) surface energy (including polarity (line 504) and dispersion (line 506) components). The film was deposited on a sheet of Eagle XG® glass, and the spectroscopic ellipsometry showed that the film was 1-10 nm thick. As can be seen from Fig. 5, the glass carrier treated with a plasma polymerized fluoropolymer film containing less than 40% of C4F8 exhibits a surface energy of > 40 mJ / m <2 >, and is thinned by van der Waals or hydrogen bonding at room temperature Creating a controlled bond between the glass and the carrier. The facilitated bonding is observed initially when bonding the carrier and the thin glass at room temperature. That is, if a thin sheet is placed on a carrier and they are pressed together at one point, the wavefronts will travel across the entire carrier, but at a slower rate than that observed in the case of SC1-treated surfaces with no surface- Move. The controlled bonding is sufficient to withstand all standard FPD processes, including vacuum, wet, ultrasonic, and thermal processes below 600 ° C, i.e. the controlled bonding can be accomplished by 600 ° C machining tests without thin glass movement or delamination from the carrier . Debonding was achieved by peeling with a razor blade and / or Capton (TM) tape as described above. The process suitability of two different PPFP films (deposited as described above) is shown in Table 3.
<표 3> - PPFP 표면 개질 층의 공정 적합성 시험<Table 3> - Process conformity test of PPFP surface modification layer
상기 실시예 3a 및 3b에서, 각각의 캐리어 및 얇은 시트는 이글 XG® 유리였고, 여기서 캐리어는 150mm 직경 SMF 웨이퍼 630 마이크로미터 두께이고, 얇은 시트는 100 정사각형 mm 100 마이크로미터 두께이다. 표면 개질 층에서의 작은 두께 때문에, 장치 제작시 오염을 유발할 수 있는 기체방출의 위험이 적다. 또한, 표면 개질 층이 다시 분해되는 것으로 보이지 않았기 때문에, 기체방출의 위험이 보다 더 적다. 또한, 표 3에 나타낸 바와 같이, 각각의 얇은 시트를 150℃에서 1시간 동안 진공 하에 열 처리하기 전에 SC1 공정을 사용하여 세정하였다.In Examples 3a and 3b above, each carrier and thin sheet was Eagle XG® glass, wherein the carrier was a 150 mm diameter SMF wafer 630 micrometers thick, and the
표면 에너지를 제어하는데 상이한 방식으로 작용할 수 있는 또 다른 물질이 얇은 시트와 캐리어 사이의 실온 및 고온 결합력을 제어하도록 표면 개질 층으로서 사용될 수 있다. 예를 들어, 제어된 결합을 생성할 수 있는 결합 표면은 유리 캐리어 및/또는 유리 얇은 시트를 실란 처리함으로써 생성될 수 있다. 적합한 표면 에너지를 생성하도록, 및 적용을 위해 충분한 열 안정성을 갖도록 실란이 선택된다. 처리될 캐리어 또는 얇은 유리를 공정, 예를 들어 O2 플라즈마 또는 UV-오존, 및 SC1 또는 표준 클린 투 (기술분야에 공지된 바와 같은 SC2) 세정에 의해 세정하여 표면 실란올 기와 반응하는 실란을 방해할 유기물 및 기타 불순물 (예를 들어, 금속)을 제거할 수 있다. 다른 화학물질을 기재로 하는 세척, 예를 들어 HF, 또는 H2SO4 세척 화학물질을 또한 사용할 수 있다. 캐리어 또는 얇은 유리는 (HMDS의 표면 개질 층과 관련해서 상기에서 논의된 바와 같이) 실란 적용 전에 표면 히드록실 농도를 제어하도록 가열할 수 있고/있거나, 실란 적용 후 표면 히드록실과의 실란 축합을 완료하도록 가열할 수 있다. 실란화 후 미반응 히드록실 기의 농도는 ≥ 400℃ 온도에서 얇은 유리와 캐리어 사이의 영구 결합을 방지하도록, 즉 제어된 결합을 형성하도록 결합 전에 충분히 낮게 만들 수 있다. 이러한 접근법은 하기에 기재되어 있다.Other materials that can act in different ways to control surface energy can be used as the surface modification layer to control the room and high temperature bonding forces between the thin sheet and the carrier. For example, a bonding surface capable of producing a controlled bond can be produced by silane treatment of the glass carrier and / or glass thin sheet. The silane is selected to produce suitable surface energy, and to have sufficient thermal stability for application. The carrier or thin glass to be treated is cleaned by a process such as O2 plasma or UV-ozone, and SC1 or SC1 or standard clean (SC2 as known in the art) to interfere with the silane reacting with the surface silanol groups Organic materials, and other impurities (e.g., metals). Other chemicals based cleaning, such as HF, or H2SO4 cleaning chemicals, may also be used. The carrier or thin glass may be heated to control the surface hydroxyl concentration prior to silane application (as discussed above in relation to the surface modifying layer of HMDS) and / or may be subjected to silane condensation with the surface hydroxyl after silane application . The concentration of unreacted hydroxyl groups after silanization can be made sufficiently low to prevent permanent bonding between the thin glass and the carrier at a temperature of > = 400 [deg.] C, i.e., to form a controlled bond. This approach is described below.
실시예 4aExample 4a
이어서, O2 플라즈마 및 SC1 처리된 결합 표면을 갖는 유리 캐리어를 톨루엔 중 1% 도데실트리에톡시실란 (DDTS)으로 처리하고, 150℃에서 진공 하에 1시간 동안 어닐링하여 축합을 완료하였다. DDTS 처리된 표면은 45 mJ/m2의 표면 에너지를 나타내었다. 표 4에 나타낸 바와 같이, 유리 얇은 시트 (SC1 세정되었고 400℃에서 진공 하에 1시간 동안 가열되었음)를 그 위에 DDTS 표면 개질 층을 갖는 캐리어 결합 표면에 결합시켰다. 상기 물품은 습식 및 진공 공정 시험을 견뎌 냈지만 실란의 열 분해로 인해 캐리어 아래에서 버블 형성 없이 400℃ 초과의 열 공정을 견뎌내지 못했다. 상기 열 분해는 모든 선형 알콕시 및 클로로 알킬실란 R1xSi(OR2)y(Cl)z (여기서 x=1 내지 3, 및 y+z = 4-x, 양호한 열 안정성을 갖는 코팅을 생성하는 메틸, 디메틸, 및 트리메틸 실란 (x=1 내지 3, R1=CH3)은 제외함)의 경우에 예상된다.The glass carrier with O2 plasma and SC1 treated bonding surface was then treated with 1% dodecyltriethoxysilane (DDTS) in toluene and annealed at 150 DEG C under vacuum for 1 hour to complete the condensation. The DDTS treated surface showed a surface energy of 45 mJ / m2 . As shown in Table 4, a glass thin sheet (SC1 cleaned and heated at 400 占 폚 under vacuum for 1 hour) was bonded to a carrier bonding surface having a DDTS surface modification layer thereon. The article resisted wet and vacuum process tests but failed to withstand a thermal process above 400 ° C without bubble formation under the carrier due to thermal cracking of the silane. The thermal decomposition is carried out in the presence of all linear alkoxy and chloroalkylsilane R1x Si (OR2)y (Cl)z where x = 1-3 and y + z = 4-x, dimethyl-, and trimethyl-silane (x = 1 to3, R1 = CH 3) is expected in the case of not including).
실시예 4bExample 4b
이어서, O2 플라즈마 및 SC1 처리된 결합 표면을 갖는 유리 캐리어를 톨루엔 중 1% 3,3,3, 트리플루오로프로필트리에톡시실란 (TFTS)으로 처리하고, 150℃에서 진공 하에 1시간 동안 어닐링하여 축합을 완료하였다. TFTS 처리된 표면은 47 mJ/m2의 표면 에너지를 나타내었다. 표 4에 나타낸 바와 같이, 유리 얇은 시트 (SC1 세정된 다음 400℃에서 진공 하에 1시간 동안 가열되었음)를 그 위에 TFTS 표면 개질 층을 갖는 캐리어 결합 표면에 결합시켰다. 상기 물품은 유리 캐리어에 대한 유리 얇은 시트의 영구 결합 없이 진공, SRD, 및 400℃ 공정 시험을 견뎌 냈다. 그러나, 600℃ 시험은 실란의 열 분해로 인해 캐리어 아래에서 버블 형성을 초래했다. 이것은 프로필 기의 제한된 열 안정성 때문에 예상 밖의 일은 아니었다. 상기 샘플이 버블링으로 인해 600℃ 시험에 실패했지만, 상기 샘플의 물질 및 열 처리는 버블 및 그의 부작용, 예를 들어 표면 편평도의 감소, 또는 증가한 표면파형이 허용될 수 있는 일부 적용에 사용될 수 있다.The glass carrier with O2 plasma and SC1 treated bonding surface was then treated with 1% 3,3,3, trifluoropropyltriethoxysilane (TFTS) in toluene and annealed at 150 ° C under vacuum for 1 hour Condensation was completed. The TFTS treated surface showed a surface energy of 47 mJ / m2 . As shown in Table 4, a glass thin sheet (SC1 cleaned and then heated at 400 占 폚 under vacuum for 1 hour) was bonded to a carrier bonding surface having a TFTS surface modification layer thereon. The article survived the vacuum, SRD, and 400 ° C process test without permanent bonding of the glass thin sheet to the glass carrier. However, the 600 ° C test resulted in bubble formation under the carrier due to thermal decomposition of the silane. This was not unexpected because of the limited thermal stability of the profiler. Although the sample failed the 600 < 0 > C test due to bubbling, the material and heat treatment of the sample may be used for some applications where bubbles and their side effects, e.g., reduced surface flatness, or increased surface wave form may be acceptable .
실시예 4cExample 4c
이어서, O2 플라즈마 및 SC1 처리된 결합 표면을 갖는 유리 캐리어를 톨루엔 중 1% 페닐트리에톡시실란 (PTS)으로 처리하고, 200℃에서 진공 하에 1시간 동안 어닐링하여 축합을 완료하였다. PTS 처리된 표면은 54 mJ/m2의 표면 에너지를 나타내었다. 표 4에 나타낸 바와 같이, 유리 얇은 시트 (SC1 세정된 다음 400℃에서 진공 하에 1시간 동안 가열되었음)를 PTS 표면 개질 층을 갖는 캐리어 결합 표면에 결합시켰다. 상기 물품은 유리 캐리어와 유리 얇은 시트의 영구 결합 없이 진공, SRD, 및 600℃ 이하의 열 공정을 견뎌 냈다.The glass carrier with O2 plasma and SC1 treated bonding surface was then treated with 1% phenyltriethoxysilane (PTS) in toluene and annealed at 200 < 0 > C under vacuum for 1 hour to complete the condensation. The surface treated with PTS showed a surface energy of 54 mJ / m2 . As shown in Table 4, a glass thin sheet (SC1 cleaned and then heated at 400 占 폚 under vacuum for 1 hour) was bonded to a carrier bonding surface having a PTS surface modification layer. The article resisted vacuum, SRD, and thermal processes below 600 ° C without permanent bonding of the glass carrier and the glass laminate.
실시예 4dExample 4d
이어서, O2 플라즈마 및 SC1 처리된 결합 표면을 갖는 유리 캐리어를 톨루엔 중 1% 디페닐디에톡시실란 (DPDS)으로 처리하고, 200℃에서 진공 하에 1시간 동안 어닐링하여 축합을 완료하였다. DPDS 처리된 표면은 47 mJ/m2의 표면 에너지를 나타내었다. 표 4에 나타낸 바와 같이, 유리 얇은 시트 (SC1 세정된 다음 400℃에서 진공 하에 1시간 동안 가열되었음)를 DPDS 표면 개질 층을 갖는 캐리어 결합 표면에 결합시켰다. 상기 물품은 유리 캐리어와 유리 얇은 시트의 영구 결합 없이 진공 및 SRD 시험, 뿐만 아니라 600℃ 이하의 열 공정을 견뎌 냈다.The glass carrier with O2 plasma and SC1 treated bonding surface was then treated with 1% diphenyldiethoxysilane (DPDS) in toluene and annealed at 200 < 0 > C under vacuum for 1 hour to complete the condensation. The surface treated with DPDS showed a surface energy of 47 mJ / m2 . As shown in Table 4, a glass thin sheet (SC1 cleaned and then heated at 400 DEG C under vacuum for 1 hour) was bonded to a carrier bonding surface having a DPDS surface modification layer. The article resisted vacuum and SRD testing, as well as thermal processes below 600 ° C, without permanent bonding of the glass carrier to the glass thin sheet.
실시예 4eExample 4e
이어서, O2 플라즈마 및 SC1 처리된 결합 표면을 갖는 유리 캐리어를 톨루엔 중 1% 4-펜타플루오로페닐트리에톡시실란 (PFPTS)으로 처리하고, 200℃에서 진공 하에 1시간 동안 어닐링하여 축합을 완료하였다. PFPTS 처리된 표면은 57 mJ/m2의 표면 에너지를 나타내었다. 표 4에 나타낸 바와 같이, 유리 얇은 시트 (SC1 세정된 다음 400℃에서 진공 하에 1시간 동안 가열되었음)를 PFPTS 표면 개질 층을 갖는 캐리어 결합 표면에 결합시켰다. 상기 물품은 유리 캐리어와 유리 얇은 시트의 영구 결합 없이 진공 및 SRD 시험, 뿐만 아니라 600℃ 이하의 열 공정을 견뎌 냈다.The glass carrier with O2 plasma and SC1 treated bonding surface was then treated with 1% 4-pentafluorophenyltriethoxysilane (PFPTS) in toluene and annealed at 200 < 0 > C under vacuum for 1 hour to complete the condensation . The surface treated with PFPTS showed a surface energy of 57 mJ / m2 . As shown in Table 4, a glass thin sheet (SC1 cleaned and then heated at 400 DEG C under vacuum for 1 hour) was bonded to a carrier bonding surface having a PFPTS surface modification layer. The article resisted vacuum and SRD testing, as well as thermal processes below 600 ° C, without permanent bonding of the glass carrier to the glass thin sheet.
<표 4> - 실란 표면 개질 층의 공정 적합성 시험<Table 4> - Process suitability test of silane surface modification layer
상기 실시예 4a 내지 4e에서, 각각의 캐리어 및 얇은 시트는 이글 XG® 유리였고, 여기서 캐리어는 150 mm 직경 SMF 웨이퍼 630 마이크로미터 두께이고, 얇은 시트는 100 mm 제곱 100 마이크로미터 두께이다. 실란 층은 자기-조립 단분자층 (SAM)이었고, 따라서 대략 약 2nm 미만의 두께였다. 상기 실시예에서, SAM은 아릴 또는 알킬 비극성 꼬리기 및 모노, 디, 또는 트리-알콕시드 머리기를 갖는 유기실란을 사용하여 생성되었다. 이들은 유리 상의 실란올 표면과 반응하여 유기 관능기를 직접 부착시킨다. 비극성 머리기 사이의 보다 약한 상호작용이 유기 층을 구성한다. 표면 개질 층에서의 작은 두께 때문에, 장치 제작시 오염을 유발할 수 있는 기체방출의 위험이 거의 없다. 또한, 표면 개질 층이 실시예 4c, 4d, 및 4e에서 다시 분해되는 것으로 보이지 않았기 때문에, 기체방출의 위험이 보다 더 적다. 또한, 표 4에 나타낸 바와 같이, 각각의 유리 얇은 시트를 400℃에서 1시간 동안 진공 하에 열 처리하기 전에 SC1 공정을 사용하여 세정하였다.In Examples 4a to 4e, each carrier and thin sheet was Eagle XG® glass, where the carrier is a 150 mm diameter SMF wafer 630 micrometer thick, and the thin sheet is 100 mm square and 100 micrometer thick. The silane layer was a self-assembled monolayer (SAM) and was therefore less than about 2 nm thick. In this example, the SAM was produced using an aryl or alkyl nonpolar tail and an organosilane with a mono, di, or tri-alkoxy head group. They react with the silanol surface on glass to attach the organic functionalities directly. The weaker interactions between the nonpolar hair groups make up the organic layer. Due to the small thickness of the surface modifying layer, there is little risk of gas release which could lead to contamination during fabrication of the device. Also, since the surface modification layer was not seen to decompose again in Examples 4c, 4d, and 4e, there is less risk of gas release. Further, as shown in Table 4, each glass thin sheet was cleaned using the SC1 process before heat treatment at 400 占 폚 under vacuum for 1 hour.
실시예 4a-4e의 비교로부터 알 수 있듯이, 초기 실온 결합을 용이하게 하도록 결합 표면의 표면 에너지를 40 mJ/m2 초과가 되게 제어하는 것은 FPD 가공을 견뎌 낼 것이고 그런데도 얇은 시트가 손상 없이 캐리어로부터 제거될 수 있게 할 제어된 결합을 생성하는 것에 대한 논의만이 아니다. 특히, 실시예 4a-4e로부터 알 수 있듯이, 각각의 캐리어는 40 mJ/m2 초과의 표면 에너지를 가졌고, 이것은 물품이 진공 및 SRD 가공을 견뎌내도록 초기 실온 결합을 용이하게 하였다. 그러나, 실시예 4a 및 4b는 600℃ 가공 시험을 통과하지 못하였다. 상기에서 언급된 바와 같이, 특정 적용에 있어서, 결합이 고온 이하 (예를 들어, ≥ 400℃, ≥ 500℃, 또는 ≥600℃, 650℃ 이하, 물품이 사용될 수 있도록 고안된 공정에 적절하게) 가공을 결합의 분해 없이 얇은 시트 및 캐리어를 함께 보유하고, 또한 얇은 시트와 캐리어 사이에 영구 결합이 없도록 그러한 고온에서 일어나는 공유 결합을 제어하기에 불충분한 시점까지 견뎌내는 것이 또한 중요하다.As can be seen from the comparison of Examples 4a-4e, controlling the surface energy of the bonding surface to exceed 40 mJ / m2 to facilitate initial room-temperature bonding will resist the FPD process, It is not just a discussion about creating a controlled binding that will be removed. In particular, as can be seen from Examples 4a-4e, each carrier had a surface energy of greater than 40 mJ / m <2 >, which facilitated the initial room temperature bonding so that the article could withstand vacuum and SRD processing. However, Examples 4a and 4b did not pass the 600 < 0 > C processing test. As noted above, in certain applications, the bond may be processed (e.g., to a process designed to allow the article to be used) at or below high temperature (e.g., ≥400 ° C, ≥500 ° C, or ≥600 ° C, It is also important to withstand the point where it is not sufficient to hold the thin sheet and the carrier together without decomposition of the bond and also to control the covalent bonding occurring at such a high temperature so that there is no permanent bond between the thin sheet and the carrier.
실시예 4, 3, 및 2에서 상기-기재된 분리는, 얇은 시트와 캐리어 사이의 결합 계면을 개질시키는 임의의 추가 열 또는 화학 에너지의 첨가 없이 실온에서 수행한다. 유일한 에너지 투입은 기계적 풀링 및/또는 박리력이다.The separation described above in Examples 4, 3 and 2 is carried out at room temperature without the addition of any additional heat or chemical energy to modify the bonding interface between the thin sheet and the carrier. The only energy input is the mechanical pulling and / or peeling force.
실시예 3 및 4에서 상기 기재된 물질을 캐리어에, 얇은 시트에, 또는 함께 결합될 캐리어 및 얇은 시트 표면 둘 다에 적용할 수 있다.The materials described above in Examples 3 and 4 can be applied to a carrier, to a thin sheet, or to both a carrier and a thin sheet surface to be bonded together.
제어된 결합의 용도Purpose of Controlled Coupling
재사용가능한 캐리어Reusable Carrier
표면 개질 층 (물질 및 연관된 결합 표면 열 처리 포함)을 통해 제어된 결합의 한 용도는, 예를 들어 LTPS 가공에서와 같이, ≥ 600℃ 온도를 요구하는 공정을 겪은 물품에서 캐리어의 재사용을 제공하는 것이다. 상기 실시예 2e, 3a, 3b, 4c, 4d, 및 4e에 의해 예시된 바와 같은, 표면 개질 층 (물질 및 결합 표면 열 처리 포함)을 사용하여 이러한 온도 조건 하에 캐리어의 재사용을 제공할 수 있다. 특히, 이들 표면 개질 층을 사용하여 얇은 시트 및 캐리어의 결합 영역 사이의 겹침 영역의 표면 에너지를 변경할 수 있고, 이로써 전체 얇은 시트를 가공 후 캐리어로부터 분리할 수 있다. 얇은 시트는 모두 한 번에 분리할 수도 있고, 또는 예를 들어, 먼저 얇은 시트의 부분 상에 제조된 장치를 제거하고 그 후에 남은 부분을 제거하여 재사용을 위해 캐리어를 세정하는 경우와 같이 분할해서 분리할 수도 있다. 전체 얇은 시트를 캐리어로부터 제거하는 경우에, 단순히 그 위에 또 다른 얇은 시트를 놓음으로써 캐리어를 그대로 재사용할 수 있다. 대안적으로, 캐리어를 세정하고 표면 개질 층을 새로 형성함으로써 다시 얇은 시트를 지니도록 제조할 수 있다. 표면 개질 층이 캐리어와 얇은 시트의 영구 결합을 방지하기 때문에, 이들은 온도가 ≥ 600℃인 공정에 사용할 수 있다. 물론, 이러한 표면 개질 층이 ≥ 600℃ 온도에서 가공하는 동안에 결합 표면 에너지를 제어할 수 있지만, 이들은 또한 보다 낮은 온도에서 가공을 견뎌 낼 얇은 시트 및 캐리어 조합을 제조하는데 사용될 수 있고, 이러한 보다 낮은 온도 적용에서 결합을 제어하도록 사용될 수 있다. 또한, 물품의 열 가공이 400℃를 초과하지 않을 경우, 실시예 2c, 2d, 4b에 의해 예시된 바와 같은 표면 개질 층을 또한 이러한 동일한 방식으로 사용할 수 있다.One use of controlled bonding through a surface modification layer (including material and associated bonded surface heat treatment) is to provide reuse of the carrier in an article that has undergone a process requiring a temperature of < RTI ID = 0.0 > 600 C, < will be. A surface modification layer (including material and bonded surface heat treatment), as illustrated by Examples 2e, 3a, 3b, 4c, 4d, and 4e, can be used to provide reuse of the carrier under these temperature conditions. In particular, these surface modification layers can be used to change the surface energy of the overlapping regions between the bond regions of the thin sheet and the carrier, thereby separating the entire thin sheet from the carrier after processing. The thin sheets may all be separated at one time, or they may be separated, for example, as in the case of first cleaning the carrier for reuse by removing the device manufactured on a portion of the thin sheet first and then removing the remaining portion You may. In the case of removing the entire thin sheet from the carrier, the carrier can be reused as it is simply by placing another thin sheet thereon. Alternatively, the carrier can be cleaned and the surface modification layer can be newly formed to have a thin sheet again. Because the surface modifying layer prevents permanent bonding of the carrier to the thin sheet, they can be used in processes where the temperature is < RTI ID = 0.0 > 600 C. < / RTI > Of course, these surface modification layers can control the bonding surface energy during processing at a temperature of > = 600 [deg.] C, but they can also be used to fabricate thin sheet and carrier combinations that will withstand processing at lower temperatures, Can be used to control coupling in applications. In addition, if the thermal processing of the article does not exceed 400 ° C, the surface modification layer as exemplified by Examples 2c, 2d and 4b can also be used in this same manner.
제어된 결합 영역을 제공하기 위해To provide a controlled coupling area
표면 개질 층 (물질 및 연관된 결합 표면 열 처리 포함)을 통한 제어된 결합의 두 번째 용도는 유리 캐리어와 유리 얇은 시트 사이에, 제어된 결합 영역을 제공하는 것이다. 보다 특히, 표면 개질 층을 사용하여 충분한 분리력이 결합에 의해 유발된 얇은 시트 또는 캐리어에 대한 손상 없이 얇은 시트 부분을 캐리어로부터 분리할 수 있지만, 캐리어에 대해서 얇은 시트를 보유하기에 충분한 결합력이 가공 전반에 걸쳐 유지되는, 제어된 결합의 영역을 형성할 수 있다. 도 6과 관련해서, 유리 얇은 시트(20)를 결합된 영역(40)에 의해 유리 캐리어(10)에 결합시킬 수 있다. 결합된 영역(40)에서, 캐리어(10) 및 얇은 시트(20)를 단일체로서 작용하도록 서로 공유 결합시킨다. 또한, 주변부(52)를 갖는 제어된 결합 영역(50)이 존재하고, 여기서 캐리어(10) 및 얇은 시트(20)가 연결되어 있지만, 고온 가공, 예를 들어 ≥ 600℃ 온도에서의 가공 후에도 서로로부터 분리될 수 있다. 10개 제어된 결합 영역(50)을 도 6에 나타냈지만, 1개를 비롯한 임의의 적합한 수를 제공할 수 있다. 상기 실시예 2a, 2e, 3a, 3b, 4c, 4d, 및 4e에 의해 예시된 바와 같은, 물질 및 결합 표면 열 처리를 포함한, 표면 개질 층(30)을 사용하여 캐리어(10)와 얇은 시트(20) 사이에 제어된 결합 영역(50)을 제공할 수 있다. 특히, 이들 표면 개질 층은 캐리어(10) 또는 얇은 시트(20) 상의 제어된 결합 영역(50)의 주변부(52) 내에 형성될 수 있다. 따라서, 물품(2)이 고온에서 가공되어 결합 영역(40)에서 또는 장치 가공 동안에 공유 결합을 형성하는 경우, 주변부(52)에 결합된 영역 내에 캐리어(10)와 얇은 시트(20) 사이의 제어된 결합이 제공될 수 있고, 이로써 분리력은 (얇은 시트 또는 캐리어에 대한 파국 손상 없이) 상기 영역에서 얇은 시트 및 캐리어를 분리할 수 있지만, 얇은 시트 및 캐리어는 초음파 가공을 비롯한 가공 동안에 층간박리되지 않을 것이다. 따라서, 표면 개질 층 및 임의의 연관된 열 처리에 의해 제공된 본원의 제어된 결합은 US '727에서의 캐리어 개념에 대해 개선시킬 수 있다. 특히, 결합된 주변부 및 비결합 중심 영역을 갖는 US '727의 캐리어는 ≥ 약 600℃의 고온 온도 공정을 비롯한 FPD 공정을 견디는 것으로 입증되었지만, 초음파 공정, 예를 들어 습식 세정 및 레지스트 스트립 공정은 여전히 어렵다. 특히, 비-결합 영역에서는 얇은 유리와 캐리어를 결합시키는 접착력이 거의 없거나 또는 전혀 없기 때문에, 용액에서의 압력 파동은 비-결합 영역의 얇은 유리에서 공명을 유도하는 것으로 나타났다 (비-결합은 US '727에 기재되어 있음). 얇은 유리에서 정상파가 형성될 수 있으며, 여기서 이들 파동은 초음파 교반이 충분한 강도의 것일 경우에 결합 및 비결합 영역 사이의 계면에서 얇은 유리의 파괴를 유도할 수 있는 진동을 생성할 수 있다. 상기 문제는 얇은 유리와 캐리어 사이의 간격을 최소화함으로써, 및 이들 영역(50)에서 충분한 접착, 또는 캐리어(20)와 얇은 유리(10) 사이의 제어된 결합을 제공함으로써 제거될 수 있다. 결합 표면의 표면 개질 층 (실시예 2a, 2e, 3a, 3b, 4c, 4d 및 4e에 의해 예시된 바와 같은 물질 및 임의의 연관된 열 처리 포함)은 결합 에너지를 제어하여 제어된 결합 영역에서 이들 원치 않는 진동을 회피하도록 얇은 층(20)과 캐리어(10) 사이에 충분한 결합을 제공한다.A second use of controlled bonding through a surface modification layer (including materials and associated bonding surface heat treatment) is to provide a controlled bonding area between the glass carrier and the glass laminate. More particularly, using a surface modifying layer, a sufficient separating force can separate the thin sheet portion from the carrier without damaging the thin sheet or carrier caused by the bonding, but sufficient bonding force to hold the thin sheet against the carrier can be avoided, Lt; RTI ID = 0.0 > a < / RTI > With reference to Fig. 6, the
이어서, 주변부(57)를 갖는 목적 부분 (56)을 적출하는 동안, 주변부(52) 내의 얇은 시트(20)의 부분은 가공 후 및 주변부(57)를 따라 얇은 시트를 분리한 후 캐리어(10)로부터 간단히 분리될 수 있다. 표면 개질 층이 캐리어와 얇은 시트의 영구 결합을 방지하도록 결합 에너지를 제어하기 때문에, 이들은 온도가 ≥ 600℃인 공정에 사용할 수 있다. 물론, 이들 표면 개질 층이 ≥ 600℃ 온도에서 가공하는 동안에 결합 표면 에너지를 제어할 수 있지만, 이들은 또한 보다 낮은 온도에서 가공을 견뎌 낼 얇은 시트 및 캐리어 조합을 제조하는데 사용될 수 있고, 이러한 보다 낮은 온도 적용에서 사용될 수 있다. 또한, 물품의 열 가공이 400℃를 초과하지 않을 경우, 실시예 2c, 2d, 4b에 의해 예시된 바와 같은 표면 개질 층을 또한 이러한 동일한 방식으로-일부 경우에는, 다른 공정 요건에 따라-결합 표면 에너지를 제어하도록 사용할 수 있다.The portion of the
결합 영역을 제공하기 위해To provide a binding region
표면 개질 층 (물질 및 임의의 연관된 결합 표면 열 처리 포함)을 통한 제어된 결합의 세 번째 용도는 유리 캐리어와 유리 얇은 시트 사이의 결합 영역을 제공하는 것이다. 도 6과 관련해서, 유리 얇은 시트(20)를 결합된 영역(40)에 의해 유리 캐리어(10)에 결합시킬 수 있다.A third use of controlled bonding through a surface modification layer (including material and any associated bonding surface heat treatment) is to provide a bonding area between the glass carrier and the glass thin sheet. With reference to Fig. 6, the
세 번째 용도의 한 실시양태에서, 결합된 영역(40)에서, 캐리어(10) 및 얇은 시트(20)를 단일체로서 작용하도록 서로 공유 결합시킬 수 있다. 또한, 주변부(52)를 갖는 제어된 결합 영역(50)이 존재하고, 여기서 캐리어(10) 및 얇은 시트(20)는 가공을 견뎌내기에 충분하지만 고온 가공, 예를 들어 ≥ 600℃ 온도에서의 가공 후에도 캐리어로부터 얇은 시트의 분리를 허용하도록 서로 결합되어 있다. 따라서, 상기 실시예 1a, 1b, 1c, 2b, 2c, 2d, 4a, 및 4b에 의해 예시된 바와 같은 표면 개질 층(30) (물질 및 결합 표면 열 처리 포함)을 사용하여 캐리어(10)와 얇은 시트(20) 사이에 결합 영역(40)을 제공할 수 있다. 특히, 이들 표면 개질 층 및 열 처리는 캐리어(10) 또는 얇은 시트(20) 상의 제어된 결합 영역(50)의 주변부(52)의 외부에 형성될 수 있다. 따라서, 물품(2)이 고온에서 가공되거나, 또는 고온에서 처리되어 공유 결합을 형성한 경우, 캐리어 및 얇은 시트(20)는 주변부(52)에 결합된 영역의 외부의 결합 영역(40) 내에서 서로 결합될 것이다. 이어서, 주변부(57)를 갖는 목적 부분 (56)을 적출하는 동안, 얇은 시트(20) 및 캐리어(10)를 다이싱하는 것이 바람직한 경우, 이들 표면 개질 층 및 열 처리는 얇은 시트(20)를 캐리어(10)와 공유 결합시키고 이것이 이 영역에서 단일체로서 작용하므로 물품은 선(5)을 따라 분리될 수 있다. 표면 개질 층이 캐리어와 얇은 시트의 영구 공유 결합을 제공하기 때문에, 이들은 온도가 ≥ 600℃인 공정에 사용할 수 있다. 또한, 물품, 또는 결합 영역(40)의 초기 형성의 열 가공이 ≥ 400℃이나 600℃ 미만일 경우, 실시예 4a에서 물질 및 열 처리에 의해 예시된 바와 같은, 표면 개질 층을 또한 이러한 동일한 방식으로 사용할 수 있다.In one embodiment of the third application, in the bonded
세 번째 용도의 제2 실시양태에서, 결합된 영역(40)에서, 캐리어(10) 및 얇은 시트(20)를 상기 기재된 다양한 표면 개질 층을 통한 제어된 결합에 의해 서로 결합시킬 수 있다. 또한, 주변부(52)를 갖는, 제어된 결합 영역(50)이 존재하고, 여기서 캐리어(10) 및 얇은 시트(20)는 가공을 견뎌내기에 충분하지만 고온 가공, 예를 들어 ≥ 600℃ 온도에서의 가공 후에도 캐리어로부터 얇은 시트의 분리를 허용하도록 서로 결합되어 있다. 따라서, 가공을 600℃ 이하의 온도에서 수행할 것이고, 영역(40)에서 영구 또는 공유 결합을 갖지 않는 것이 바람직한 경우, 상기 실시예 2e, 3a, 3b, 4c, 4d, 및 4e에 의해 예시된 바와 같은 표면 개질 층(30) (물질 및 결합 표면 열 처리 포함)을 사용하여 캐리어(10)와 얇은 시트(20) 사이의 결합 영역(40)을 제공할 수 있다. 특히, 이들 표면 개질 층 및 열 처리는 제어된 결합 영역(50)의 주변부(52)의 외부에 형성될 수 있고, 캐리어(10) 상에 또는 얇은 시트(20) 상에 형성될 수 있다. 제어된 결합 영역(50)은 결합 영역(40)에 형성되었던 것과 동일한, 또는 상이한 표면 개질 층으로 형성될 수 있다. 대안적으로, 가공을 오로지 400℃ 이하의 온도에서 수행할 것이고, 영역(40)에서 영구 또는 공유 결합을 갖지 않는 것이 바람직한 경우, 상기 실시예 2c, 2d, 2e, 3a, 3b, 4b, 4c, 4d, 4e에 의해 예시된 바와 같은 표면 개질 층(30) (물질 및 결합 표면 열 처리 포함)을 사용하여 캐리어(10)와 얇은 시트(20) 사이에 결합 영역(40)을 제공할 수 있다.In a second embodiment of the third application, in the bonded
영역(50)에서 제어된 결합 대신에, 영역(50)에서 비-결합 영역이 존재할 수 있고, 여기서 비-결합 영역은 US '727에 기재된 바와 같은 증가된 표면 조도를 갖는 영역일 수 있거나, 또는 실시예 2a에 의해 예시된 바와 같은 표면 개질 층이 제공될 수 있다.Instead of controlled bonding in
벌크 어닐링 또는 벌크 가공을 위해For bulk annealing or bulk processing
결합을 제어하는 상기-기재된 방식의 네 번째 용도는 유리 시트의 스택의 벌크 어닐링을 위한 것이다. 어닐링은 유리의 압축을 달성하기 위한 열 공정이다. 압축은 유리 본체를 유리 연화점 미만이지만 후속 가공 단계에 이르는 최대 온도를 초과하는 온도로 재가열하는 것을 포함한다. 이것은 후속 가공 동안보다는 후속 가공 전에 유리에서 구조 재배열 및 치수 이완을 달성한다. 후속 가공 전의 어닐링은, 고온 환경에 적용된 후에도, 많은 층으로 이루어진 구조가 매우 엄격한 허용오차로 정렬되어야 하는 플랫 패널 디스플레이 장치의 제조에서와 같이, 후속 가공 동안에 유리 본체에서 정확한 배향 및/또는 편평도를 유지하는데 유리하다. 유리가 한 고온 공정에서 압축된 경우, 고온 공정 전에 유리 상에 침착된 구조물의 층은 고온 공정 후에 침착된 구조물의 층에 정확히 정렬할 수 없다.A fourth application of the above-described method of controlling bonding is for bulk annealing of a stack of glass sheets. Annealing is a thermal process to achieve compression of the glass. Compression involves reheating the glass body to a temperature below the glass softening point, but above the maximum temperature leading to subsequent processing steps. This achieves structural rearrangement and dimensional relaxation in glass prior to subsequent processing rather than during subsequent processing. Annealing prior to subsequent processing may maintain accurate orientation and / or flatness in the glass body during subsequent processing, such as in the manufacture of flat panel display devices where the structure of many layers must be aligned with very tight tolerances, . When the glass is compressed in one high temperature process, the layer of the structure deposited on the glass prior to the high temperature process can not be precisely aligned to the layer of the deposited structure after the high temperature process.
유리 시트를 스택으로 압축시키는 것은 경제적으로 매력적이다. 그러나, 이것은 점착성을 피하도록 인접한 시트를 끼우거나, 또는 분리하게 만들었다. 동시에, 시트를 매우 편평하게 및 광학-특성, 또는 아주 깨끗한 표면 마감을 갖도록 유지하는 것이 유리하다. 또한, 유리 시트, 예를 들어 작은 표면적을 갖는 시트의 특정 스택의 경우, 어닐링 공정 동안에 유리 시트가 함께 "점착되게" 만들어 이들을 유닛으로서 분리 없이 용이하게 이동시킬 수 있지만, 어닐링 공정 후에는 (예를 들어 박리함으로써) 서로로부터 용이하게 분리되어 시트를 개별적으로 사용할 수 있는 것이 유리할 수 있다. 대안적으로, 유리 시트의 선택된 하나가 서로 영구 결합하는 것을 방지하는 한편, 동시에 유리 시트의 다른 하나, 또는 이들 다른 유리 시트의 부분, 예를 들어 그의 주변부가 서로 영구 결합할 수 있게 하는, 유리 시트의 스택을 어닐링하는 것이 유리할 수 있다. 또 다른 대안으로서, 유리 시트를 벌크로, 스택 중의 시트의 선택된 인접한 쌍의 주변부를 선택적으로 영구 결합시키도록 적층하는 것이 유리할 수 있다. 유리 시트 사이의 결합을 제어하는 상기-기재된 방식을 이용하여 상기 벌크 어닐링 및/또는 선택적 결합을 달성할 수 있다. 결합을 인접한 시트 사이의 임의의 특정 계면에서 제어하기 위해, 그 계면에 대면하는 주요 표면 중 적어도 하나 상에 표면 개질 층을 사용할 수 있다.Compressing the glass sheet into a stack is economically attractive. However, this made it possible to sandwich or separate adjacent sheets to avoid stickiness. At the same time, it is advantageous to keep the sheet very flat and optically-characteristic, or have a very clean surface finish. Also, in the case of certain stacks of glass sheets, for example sheets with small surface areas, glass sheets can "glue" together during the annealing process and allow them to move easily without separation as a unit, but after the annealing process It may be advantageous to be able to separate them easily from one another and to use the sheets individually. Alternatively, one or more of the glass sheets can be permanently bonded together while preventing the selected one of the glass sheets from being permanently bonded to each other, while at the same time allowing the other one of the glass sheets, or portions thereof, It may be advantageous to anneal the stack of layers. As a further alternative, it may be advantageous to laminate the glass sheets in bulk to selectively permanently bond the peripheral portions of selected adjacent pairs of sheets in the stack. The bulk annealing and / or selective bonding can be achieved using the above-described method of controlling bonding between glass sheets. To control bonding at any particular interface between adjacent sheets, a surface modification layer may be used on at least one of the major surfaces facing that interface.
선택된 영역 (예를 들어 주변부 주위)에서 벌크 어닐링 또는 벌크 영구 결합에 적합한 유리 시트의 스택의 한 실시양태는, 도 7 및 8과 관련해서 기재될 것이다. 여기서 도 7은 유리 시트(770-772)의 스택(760)의 개략 측면도이고, 도 8은 추가 설명의 목적을 위한 그의 분해도이다.One embodiment of a stack of glass sheets suitable for bulk annealing or bulk permanent bonding at selected areas (e.g., around the periphery) will be described with reference to FIGS. 7 and 8. 7 is a schematic side view of
유리 시트의 스택(760)은 유리 시트(770-772), 및 유리 시트(770-772) 사이의 결합을 제어하는 표면 개질 층(790)을 포함할 수 있다. 또한, 스택(760)은 스택의 상부 및 하부에 배치된 커버 시트(780, 781)를 포함할 수 있고, 커버와 인접한 유리 시트 사이에 표면 개질 층(790)을 포함할 수 있다.The stack of
도 8에 도시된 바와 같이, 각각의 유리 시트(770-772)는 제1 주요 표면(776) 및 제2 주요 표면(778)을 포함한다. 유리 시트는 임의의 적합한 유리 물질, 예를 들어 알루미노-실리케이트 유리, 보로-실리케이트 유리, 또는 알루미노-보로-실리케이트 유리로 제조될 수 있다. 또한, 유리는 알칼리 함유일 수도 있거나, 또는 알칼리-무함유일 수도 있다. 각각의 유리 시트(770-772)는 동일한 조성을 가질 수 있거나, 또는 시트는 상이한 조성을 가질 수 있다. 또한, 유리 시트는 임의의 적합한 종류를 가질 수 있다. 즉, 예를 들어 유리 시트(770-772)는 상기 기재된 바와 같이 모두 캐리어일 수 있거나, 상기 기재된 바와 같이 모두 얇은 시트일 수 있거나, 또는 교대로 캐리어 및 얇은 시트일 수 있다. 벌크 어닐링이 얇은 시트를 위해서 보다 캐리어를 위해서 상이한 시간-온도 순환을 요구하는 경우 캐리어의 스택, 및 얇은 시트의 별개의 스택을 갖는 것이 유리하다. 대안적으로, 우측 표면 개질 층 물질 및 배치를 이용하여, 교대로 캐리어 및 얇은 시트를 포함하는 스택을 갖는 것이 바람직할 수 있고, 이로써 캐리어 및 얇은 시트의 목적 쌍, 즉 물품을 형성하는 것들은, 이후의 가공을 위해 벌크로 서로 공유 결합될 수 있는 한편, 동시에 인접한 물품을 서로로부터 분리하는 능력을 보존할 수도 있다. 또 추가로, 스택에 임의의 적합한 수의 유리 시트가 존재할 수 있다. 즉, 단지 3개의 유리 시트(770-772)가 도 7 및 8에 도시되어 있지만, 임의의 적합한 수의 유리 시트를 스택(760)에 포함시킬 수 있다.Each glass sheet 770-772 includes a first
임의의 특정 스택(760)에서 임의의 하나의 유리 시트는 표면 개질 층을 포함하지 않거나, 1개의 표면 개질 층, 또는 2개의 표면 개질 층을 포함할 수 있다. 예를 들어, 도 8에 도시된 바와 같이, 시트(770)는 표면 개질 층을 포함하지 않고, 시트(771)는 그의 제2 주요 표면(778) 상에 1개의 표면 개질 층(790)을 포함하고, 시트(772)는 하나의 표면 개질 층이 각각의 그의 주요 표면(776, 778) 상에 있는 2개의 표면 개질 층(790)을 포함한다.In any
커버 시트(780, 781)는 주어진 공정에 대한 시간-온도 사이클을 (시간 및 온도의 측면에서 뿐만 아니라, 예를 들어 기체방출과 같은 다른 적절한 고려사항과 관련해서) 적절히 견뎌 낼 임의의 물질일 수 있다. 유리하게는, 커버 시트는 가공되는 유리 시트와 동일한 물질로 제조될 수 있다. 커버 시트(780, 781)가 존재하고, 주어진 시간-온도 사이클에 걸쳐 스택을 부착시킬 때 유리 시트와 바람직하지 않게 결합할 물질을 갖는 경우, 표면 개질 층(790)을 유리 시트(771)와 커버 시트(781) 사이에 및/또는 유리 시트(772)와 커버 시트(780) 사이에, 적절하게 포함시킬 수 있다. 커버와 유리 시트 사이에 존재하는 경우, 표면 개질 층은 커버 상에 있을 수 있거나 (커버(781) 및 인접한 시트(771)가 있는 것으로 도시된 바와 같음), 유리 시트 상에 있을 수 있거나 (커버(780) 및 시트(772)가 있는 것으로 도시된 바와 같음), 또는 커버 및 인접한 시트 둘 다 상에 있을 수 있다 (도시되지 않음). 대안적으로, 커버 시트(780, 781)가 존재하지만 인접한 시트(772, 772)와 결합하지 않을 물질을 갖는 경우, 표면 개질 층(790)은 그들 사이에 존재할 필요가 없다.
스택에서 인접한 시트 사이에 계면이 존재한다. 예를 들어, 유리 시트(770-772) 중 인접한 것들 사이에, 계면이 규정되어 있고, 즉 시트(770)와 시트(771) 사이에 계면(791)이 존재하고, 시트(770)와 시트(772) 사이에 계면(792)이 존재한다. 또한, 커버 시트(780, 781)가 존재하는 경우, 커버(781)와 시트(771) 사이에 계면(793)이 존재할 뿐만 아니라, 시트(772와 커버(780) 사이에도 계면(794)이 존재한다.There is an interface between adjacent sheets in the stack. For example, an interface is defined between adjacent ones of the glass sheets 770-772, that is, an
인접한 유리 시트 사이의 주어진 계면(791, 792)에서, 또는 유리 시트와 커버 시트 사이의 주어진 계면(793, 794)에서 결합을 제어하기 위해, 표면 개질 층(790)을 사용할 수 있다. 예를 들어, 도시된 바와 같이, 각 계면(791, 792)에서, 그 계면에 대면하는 주요 표면 중 적어도 하나에 표면 개질 층(790)이 존재한다. 예를 들어, 계면(791)의 경우, 유리 시트(771)의 제2 주요 표면(778)은 시트(771)와 인접한 시트(770) 사이의 결합을 제어하도록 표면 개질 층(790)을 포함한다. 도시되어 있지 않지만, 시트(770)의 제1 주요 표면(776)은 시트(771)와의 결합을 제어하도록 그 위에 표면 개질 층(790)을 또한 포함할 수 있으며, 즉 임의의 특정 계면에 대면하는 각각의 주요 표면에 표면 개질 층이 있을 수 있다.The
임의의 주어진 계면(791-794)에서 특정 표면 개질 층(790) (및 임의의 연관된 표면 개질 처리 - 예를 들어 특정 표면 개질 층을 그 표면에 적용하기 전에 특정 표면에 대한 열 처리, 또는 표면 개질 층이 접촉할 수 있는 표면의 표면 열 처리)는, 그 특정 계면(791-794)에 대면하는 주요 표면(776, 778)이 인접한 시트 사이의 결합을 제어하고, 그에 따라 스택(760)에 적용되는 주어진 시간-온도 사이클에 대한 목적하는 결과를 달성하도록 선택될 수 있다.It is to be understood that at any given interface 791-794 a particular surface modification layer 790 (and any associated surface modification process - e.g., thermal treatment for a particular surface, or surface modification, The surface heat treatment of the layer capable of contacting the surface) allows the
400℃ 이하의 온도에서 유리 시트(770-772)의 스택을 벌크 어닐링하고, 어닐링 공정 후 각각의 유리 시트를 서로로부터 분리하는 것이 바람직한 경우, 그러면 임의의 특정 계면, 예를 들어 계면(791)에서의 결합은, 임의의 연관된 표면 제조와 함께, 실시예 2a, 2c, 2d, 2e, 3a, 3b, 또는 4b-4e 중 어느 하나에 따른 물질을 사용하여 제어될 수 있었다. 보다 특히, 시트(770)의 제1 표면(776)은 표 2-4에서 "얇은 유리"로서 처리될 것이고, 한편 시트(771)의 제2 표면(778)은, 표 2-4에서 "캐리어"로서 처리될 것이고, 또는 그 반대도 마찬가지이다. 이어서 400℃ 이하의 온도를 갖는, 적합한 시간-온도 사이클은 스택 전반에 걸쳐 필요한 시간-온도를 달성하도록, 목적하는 압축도, 스택에서의 시트의 수, 뿐만 아니라 시트의 크기 및 두께를 기준으로 선택할 수 있었다.If it is desired to bulk anneal the stack of glass sheets 770-772 at a temperature of 400 DEG C or lower and to separate each glass sheet from each other after the annealing process, then at any particular interface, for example at
유사하게, 600℃ 이하의 온도에서 유리 시트(770-772)의 스택을 벌크 어닐링하고, 어닐링 공정 후 각각의 유리 시트를 서로로부터 분리하는 것이 바람직한 경우, 그러면 임의의 특정 계면, 예를 들어 계면(791)에서의 결합은, 임의의 연관된 표면 제조와 함께, 실시예 2a, 2e, 3a, 3b, 4c, 4d, 4e 중 어느 하나에 따른 물질을 사용하여 제어될 수 있었다. 보다 특히, 시트(770)의 제1 표면(776)은 표 2-4에서 "얇은 유리"로서 처리될 것이고, 한편 시트(771)의 제2 표면(778)은, 표 2-4에서 "캐리어"로서 처리될 것이고, 또는 그 반대도 마찬가지이다. 이어서 600℃ 이하의 온도를 갖는, 적합한 시간-온도 사이클은 스택 전반에 걸쳐 필요한 시간-온도를 달성하도록, 목적하는 압축도, 스택에서의 시트의 수, 뿐만 아니라 시트의 크기 및 두께를 기준으로 선택할 수 있었다.Similarly, if it is desired to bulk anneal the stack of glass sheets 770-772 at a temperature of 600 DEG C or less and to separate each glass sheet from each other after the annealing process, then any particular interface, 791 could be controlled using materials according to any of Examples 2a, 2e, 3a, 3b, 4c, 4d, 4e, along with any associated surface fabrication. More specifically, the
또한, 시트의 스택 및 이들 각각의 쌍 사이의 표면 개질 층을 적절히 구성함으로써, 벌크 어닐링, 및 벌크 물품 형성을 수행할 수 있다. 400℃ 이하의 온도에서 유리 시트(770-772)의 스택을 벌크 어닐링하고, 이어서 물품(2)을 형성하도록 인접한 시트의 쌍을 서로 벌크로 공유 결합시키는 것이 바람직한 경우, 결합을 제어하기 위해 적합한 물질 및 연관된 표면 제조를 선택할 수 있다. 예를 들어, 주변부 주위에서 (또는 다른 바람직한 결합 영역(40)에서), 물품(2)으로 형성될 것인 유리 시트 쌍, 예를 들어 시트(770 및 771) 사이의 계면에서의 결합은 (i) 실시예 2c, 2d, 4b 중 어느 하나에 따른 물질을 시트(770, 771)의 주변부 주위에서 (또는 다른 바람직한 결합 영역(40)에서) 임의의 연관된 표면 처리와 함께; 및 (ii) 실시예 2a, 2e, 3a, 3b, 4c, 4d, 4e 중 어느 하나에 따른 물질을 시트(770, 771)의 내부 영역 상에서 (즉, (i)에서 처리된 바와 같은 주변부의 내부 영역, 또는 하나의 시트로부터 다른 시트의 분리가 바람직한 목적하는 제어된 결합 영역(50)에서) 임의의 연관된 표면 처리와 함께 사용함으로써 제어될 수 있다. 상기의 경우, 이어서 제어된 결합 영역(50)에서의 장치 가공은 600℃ 이하의 온도에서 수행할 수 있었다.In addition, by appropriately configuring the stack of sheets and the surface modification layer between each pair of these, bulk annealing and bulk article formation can be performed. If it is desired to bulk anneal the stack of glass sheets 770-772 at temperatures below 400 ° C and then covalently bond the pairs of adjacent sheets to each other in bulk to form the
서로 간의 적합성을 위해 물질 및 열 처리를 적절히 선택할 수 있었다. 예를 들어, 제어된 결합 영역을 위한 실시예 2a에 따른 물질과의 결합 영역(40)을 위해 임의의 물질 (2c, 2d, 또는 4b)을 사용할 수 있었다. 대안적으로, 결합 영역 및 제어된 결합 영역을 위한 열 처리는 인접한 영역에서 원하는 결합도에 불리한 영향을 미치는 한 영역에서의 열 처리의 효과를 최소화하도록 적절히 제어될 수 있었다.Materials and heat treatments could be selected appropriately for compatibility with each other. For example, any material (2c, 2d, or 4b) could be used for the
표면 개질 층(790) 및 스택 중의 유리 시트를 위한 연관된 열 처리를 적절히 선택한 후, 그러한 시트를 스택으로 적절히 배열한 후 400℃ 이하로 가열하여 이들이 서로 영구 결합되는 것 없이 모든 시트를 스택으로 벌크 어닐링할 수 있었다. 이어서, 스택을 600℃ 이하로 가열하여 결합 영역 및 제어된 결합 영역의 패턴을 갖는 물품(2)을 형성하도록 목적하는 결합 영역에서 한 쌍의 인접한 시트의 공유 결합을 형성할 수 있었다. 물품(2)을 형성하도록 결합 영역(40)에 의해 공유 결합되어야 하는 시트의 한 쌍, 및 분리되었지만 인접한 물품(2)을 형성하는 그러한 시트의 또 다른 쌍 사이의 계면에서의 결합은, 실시예 2a, 2e, 3a, 3b, 4c, 4d, 4e의 물질 및 연관된 열 처리로 제어될 수 있어, 인접한 물품(2)은 서로 공유 결합되지 않을 것이다. 인접한 물품 사이의 결합을 제어하는 이러한 동일한 방식으로, 스택에 존재하는 물품 및 임의의 커버 시트 사이의 결합은 제어될 수 있었다.After appropriately selecting the
추가로, 상기와 유사하게, 스택(760)으로부터 물품(2)을 사전에 그 동일한 스택(760)의 어닐링 없이 벌크로 형성할 수 있다. 대신에, 시트는, 목적하는 제어된 결합을 위해 시트를 스택으로 구성하여 물품을 벌크로 제조하기 전에, 개별적으로 어닐링되거나, 또는 다른 스택으로 어닐링되어 그로부터 분리될 수 있었다. 벌크 어닐링한 후 하나의 및 동일한 스택으로부터 물품을 벌크로 형성하는 바로 앞에-기재된 방식에서, 벌크 어닐링은 간단히 생략된다.Additionally, similar to the above, the
계면(791)에서 결합을 제어하는 유일한 방식을 상기에서 상세히 설명했지만, 물론 동일한 것이 계면(792)에서, 또는 특정 스택에 존재할 수 있는 임의의 다른 계면에 대해 - 스택 중의 3개 초과의 유리 시트의 경우에서와 같이, 또는 유리 시트에 바람직하지 않게 결합될 커버 시트가 존재하는 경우에서와 같이 수행될 수 있다. 또한, 결합을 제어하는 동일한 방식을 존재하는 임의의 계면(791, 792, 793, 794)에서 사용할 수 있지만, 결합을 제어하는 상기-기재된 방식 중 다른 것을 목적하는 결합의 유형 면에서 동일하거나 또는 상이한 결과를 생성하도록 다른 계면에서 또한 사용할 수 있다.Although the only way of controlling the bonding at the
벌크 어닐링하거나, 물품(2)을 벌크로 형성하는 상기 공정에서, HMDS가 계면에서의 결합을 제어하기 위한 물질로서 사용되고, HMDS가 스택의 외부 주변에 노출된 경우, HMDS의 영역에서 공유 결합을 방지하는 것이 바람직한 경우에 산소-무함유 분위기에서 약 400℃ 초과의 가열을 수행해야 한다. 즉, HMDS가 HMDS를 산화시키기에 충분한 분위기 중의 산소의 양에 (약 400℃ 초과의 온도에서) 노출된 경우, HMDS가 산화되었던 임의의 그러한 영역에서의 결합은 인접한 유리 시트 사이의 공유 결합이 될 것이다. 다른 알킬 탄화수소 실란, 예를 들어 에틸, 프로필, 부틸, 또는 스테릴 실란은 유사하게 보다 고온, 예를 들어 약 400℃ 초과에서 산소에의 노출에 의해 영향을 받을 수 있다. 유사하게, 표면 개질 층을 위해 다른 물질을 사용하는 경우, 벌크 어닐링을 위한 환경은 물질이 어닐링의 시간-온도 사이클 동안에 분해하지 않을 것으로 선택해야 한다. 본원에 사용된 바와 같이, 무산소는 1000 부피ppm 미만, 보다 바람직하게는 100 부피ppm 미만의 산소 농도를 의미할 수 있다.In the above process of bulk annealing or forming the
일단 시트의 스택이 벌크 어닐링되면, 각각의 시트를 스택으로부터 분리할 수 있다. 각각의 시트는 (예를 들어, ≥ 400℃ 온도에서 산소 환경에서 가열하는 산소 플라즈마에 의해, 또는 화학적 산화, SC1, 또는 SC2에 의해) 표면 개질 층(790)을 제거하도록 처리될 수 있다. 각각의 시트는, 목적에 따라, 예를 들어 전자 장치, 예를 들어 OLED, FPD, 또는 PV 장치 기판으로서 사용할 수 있다.Once the stack of sheets is bulk annealed, each sheet can be separated from the stack. Each sheet may be treated to remove surface modification layer 790 (e.g., by oxygen plasma heating in an oxygen environment at a temperature of? 400 ° C, or by chemical oxidation, SC1, or SC2). Each sheet can be used as an electronic device, for example an OLED, FPD, or PV device substrate, depending on the purpose.
벌크 어닐링의 상기-기재된 방법, 또는 벌크 가공은, 경제적인 방법으로 깨끗한 시트 표면을 유지하는 이점을 갖는다. 보다 특히, 시트는 클린-룸 어닐링 레어에서와 같이 시작에서 마무리까지 깨끗한 환경에서 유지되어야 할 필요가 없다. 대신에, 스택은 시트 사이에 유체 흐름이 없기 때문에 시트 표면이 입자로 더러워지지 않고 깨끗한 환경에서 형성되고, 이어서 표준 어닐링 레어 (즉, 청정도가 제어되지 않는 곳)에서 가공될 수 있다. 따라서, 시트 표면은 시트의 스택이 어닐링되는 환경으로부터 보호된다. 어닐링 후, 시트의 스택은 시트가 어느 정도의 접착력을 유지하지만, 충분한 힘 적용시 시트의 손상 없이 서로 분리가능한 채로 남아 있기 때문에 (동일하거나 또는 상이한 시설에서) 추가의 공정 영역으로 용이하게 수송될 수 있다. 즉, 유리 제조자는 (예를 들어) 유리 시트의 스택을 조립 및 어닐링하고, 이어서 시트를 스택으로서 운송할 수 있고, 시트는 (수송시 이들이 분리될 염려 없이) 배송 동안에 함께 붙어 있고, 이들의 목적지에 도착시 시트는 시트를 개별적으로 또는 보다 작은 그룹으로 사용할 수 있는 소비자에 의해 스택으로부터 분리될 수 있다. 일단 분리를 바람직하다면, 시트의 스택은 (필요에 따라 스택을 세척한 후) 깨끗한 환경에서 다시 가공될 수 있다.The above-described method, or bulk processing, of bulk annealing has the advantage of maintaining a clean sheet surface in an economical manner. More particularly, the sheet need not be kept in a clean environment from start to finish, as in a clean-room annealing rare. Instead, the stack can be formed in a clean environment without contamination of the sheet surface with the particles because there is no fluid flow between the sheets, and then processed in a standard annealing race (i.e., where cleanliness is not controlled). Thus, the sheet surface is protected from the environment in which the stack of sheets is annealed. After annealing, the stack of sheets can be easily transported to additional process areas (at the same or different facility) because the sheets remain somewhat adhesive but remain separable from each other without damaging the sheet when sufficient force is applied have. That is, a glass manufacturer can assemble and anneal a stack of glass sheets (for example), and then transport the sheets as a stack, the sheets are stuck together during shipping (without fear of their being separated during transport) The sheets can be separated from the stack by the consumer who can use the sheets individually or in smaller groups. Once separation is desired, the stack of sheets may be reworked in a clean environment (after washing the stack if necessary).
벌크 어닐링의 실시예Examples of bulk annealing
융합 인발 공정으로부터 입수한 그대로 유리 기판을 사용하였다. 융합 인발된 유리 조성은 (몰% 단위로): SiO2 (67.7), Al2O3 (11.0), B2O3 (9.8), CaO (8.7), MgO (2.3), SrO (0.5)이었다. 일곱 (7)개의, 0.7 mm 두께 x 150 mm 직경, 융합 인발된 유리 기판은 HF를 사용하여 200 nm 깊이 기점/부척으로 리소그래픽 방법에 의해 패턴화되었다. 표면 개질 층으로서 이 (2) nm의 플라즈마 침착된 플루오로중합체를 모든 유리 기판의 모든 결합 표면에 코팅했으며, 즉 또 다른 기판과 대면하는 기판의 각 표면을 코팅했고, 그 결과 각 시트 표면의 생성된 표면 에너지는 대략 35m J/m2이었다. 7개 코팅된 각각의 유리 기판을 함께 두어 단일의 두꺼운 기판 ("유리 스택"으로서 지칭됨)을 형성하였다. 유리 스택을 질소 퍼징된 관형 퍼니스에서 15분 기간에 걸쳐 30℃에서 590℃로 램핑하고, 590℃에서 30분 유지하고, 이어서 50분 기간에 걸쳐 약 230℃로 낮추어 램핑하고, 이어서 유리 스택을 퍼니스로부터 제거하고 약 30℃의 실온으로 약 10분 내로 냉각시켜 어닐링하였다. 냉각 후, 기판을 퍼니스로부터 제거하고 면도칼 웨지를 사용하여 각각의 시트로 용이하게 분리하였다 (즉, 샘플은 전체적으로 또는 국소적으로, 영구 결합되지 않았다). 유리 기점을 어닐링되지 않은 석영 레퍼런스와 비교함으로써 각 개별 기판에서 압축을 측정하였다. 각각의 기판은 약 185ppm을 압축한 것으로 밝혀졌다. 각각의 샘플로서 (함께 적층되지 않은) 기판 중 2개는 상기 기재된 바와 같이 (590℃/30분 유지) 2차 어닐링 사이클을 거쳤다. 압축을 다시 측정하였고 기판은 2차 열 처리로 인해 10 ppm (실제로 0 내지 2.5 ppm) 미만을 추가로 압축한 것으로 밝혀졌다 (2차 열 처리 후의 유리 치수의 변화 - 본래 유리 치수와 비교해서 - 에서 1차 열 처리 후의 유리 치수의 변화를 뺀 것). 따라서, 본 발명자들은 개별 유리 시트가 코팅되고, 적층되고, 고온에서 열 처리되어 압착, 냉각, 개별 시트로의 분리를 달성할 수 있고, 제2 열 처리 후에 < 10 ppm, 심지어 < 5 ppm의 치수 변화 (제1 열 처리 후의 그들의 크기 변화와 비교하여)를 가질 수 있음을 입증하였다.A glass substrate was used as it was obtained from the fusion drawing process. The composition of the drawn fusion glasses was (in mol%): SiO2 (67.7), Al2O3 (11.0), B2O3 (9.8), CaO (8.7), MgO (2.3) and SrO (0.5). Seven (7), 0.7 mm thick x 150 mm diameter, fused pulled glass substrates were patterned by lithographic method with 200 nm depth starting / attaching using HF. This (2) nm plasma-deposited fluoropolymer as a surface modification layer was coated on all bonding surfaces of all glass substrates, i.e. each surface of the substrate facing another substrate, resulting in the formation of each sheet surface The surface energy was approximately 35 m2 J / m2 . Each of the seven coated glass substrates was put together to form a single thick substrate (referred to as a "glass stack"). The glass stack was ramped from 30 DEG C to 590 DEG C over a period of 15 minutes in a nitrogen fired tubular furnace, held at 590 DEG C for 30 minutes, then ramped down to about 230 DEG C over a period of 50 minutes, And cooled to room temperature of about 30 < 0 > C to within about 10 minutes and annealed. After cooling, the substrate was removed from the furnace and easily separated into individual sheets using a razor wedge (i.e., the sample was not permanently bonded, either wholly or locally). Compression was measured on each individual substrate by comparing the glass origin to an un-annealed quartz reference. Each substrate was found to have compressed about 185 ppm. As each sample, two of the substrates (not stacked together) were subjected to a second annealing cycle as described above (590 [deg.] C / hold for 30 minutes). Compression was again measured and the substrate was found to further compress below 10 ppm (actually 0 to 2.5 ppm) due to secondary heat treatment (change in glass dimensions after the second heat treatment - compared to the original glass dimensions - Minus the change in glass dimensions after the first heat treatment). Thus, the present inventors have found that individual glass sheets can be coated, laminated and heat treated at high temperatures to achieve compression, cooling, separation into individual sheets, and after the second heat treatment a dimension of <10 ppm, even <5 ppm (As compared to their size change after the first heat treatment).
상기-기재된 어닐링 실시예에서 퍼니스가 질소로 퍼징되었지만, 어닐링 퍼니스는 또한 어닐링 온도, 및 특정 환경에서 그러한 온도에서의 표면 개질 층 물질의 안정성에 따라, 공기, 아르곤, 산소, CO2, 또는 그의 조합을 비롯한 다른 기체로 퍼징될 수 있다.Although the furnace has been purged with nitrogen in the annealing examples described above, the annealing furnace may also contain air, argon, oxygen, CO2 , or combinations thereof, depending on the annealing temperature and the stability of the surface modification layer material at such temperature in the particular environment And other gases.
또한, 나타내진 않았지만, 유리는 시트 대신에 스풀 형태로 어닐링될 수 있다. 즉, 적합한 표면 개질 층은 유리 리본의 한 면 또는 양쪽 면 상에 형성될 수 있고, 리본은 이어서 롤링될 수 있다. 전체 롤은 시트에 대해 상기에서 언급된 바와 같은 동일한 처리가 적용될 수 있고, 그 결과 전체 스풀의 유리는 유리의 한 랩이 인접한 것에 점착되지 않고 어닐링될 것이다. 펼치자마자, 표면 개질 층은 임의의 적합한 공정에 의해 제거될 수 있다.Also, although not shown, the glass may be annealed in the form of a spool instead of the sheet. That is, a suitable surface modification layer may be formed on one or both sides of the glass ribbon, and the ribbon may then be rolled. The entire roll can be subjected to the same treatment as mentioned above for the sheet, so that the glass of the entire spool will be annealed rather than adhering to one adjacent rap of the glass. As soon as the surface modification layer is unfolded, it can be removed by any suitable process.
기체방출Gas release
전형적인 웨이퍼 결합 적용에서 사용되는 중합체 접착제는 일반적으로 10-100 마이크로미터 두께이고 그의 온도 한계에서 또는 그 근방에서 그의 질량의 약 5%를 손실한다. 두꺼운 중합체 필름으로부터 발생된 이러한 물질의 경우, 질량-분광측정법에 의해 질량 손실의 양, 또는 기체방출을 정량화하는 것이 용이하다. 다른 한편, 대략 10 nm 두께 이하의 얇은 표면 처리, 예를 들어 상기 기재된 플라즈마 중합체 또는 자기-조립 단분자층 표면 개질 층으로부터, 뿐만 아니라 열분해된 실리콘 오일의 얇은 층에 의해 기체방출을 측정하는 것은 보다 어렵다. 이러한 물질에 있어서, 질량-분광측정법은 충분히 감수성이지 않다. 그러나, 기체방출을 측정하는 많은 다른 방법이 있다.The polymeric adhesives used in typical wafer bonding applications are typically 10-100 micrometers thick and lose about 5% of their mass at or near its temperature limit. For such materials originating from thick polymer films, it is easy to quantify the amount of mass loss, or gas release, by mass-spectrometry. On the other hand, it is more difficult to measure gas emissions by a thin surface treatment of about 10 nm thickness or less, for example from the plasma polymer or self-assembled monolayer surface modification layer described above, as well as by a thin layer of pyrolyzed silicone oil. For such materials, mass-spectrometry is not sufficiently sensitive. However, there are many different ways to measure gaseous emissions.
소량의 기체방출을 측정하는 첫 번째 방법은 표면 에너지 측정을 기준으로 하고, 도 9와 관련해서 기재될 것이다. 이 시험을 수행하기 위해, 도 9에 도시된 바와 같은 설정을 사용할 수 있다. 그 위에 시험할 표면 개질 층을 갖는 제1 기판, 또는 캐리어(900)는 표면(902)을 제공하고, 즉 표면 개질 층이 조성 및 두께가 시험할 표면 개질 층(30)에 상응한다. 제2 기판, 또는 커버(910)는 그의 표면(912)이 캐리어(900)의 표면(902)에 인접하지만, 그것과 접촉하지 않도록 놓여 있다. 표면(912)은 코팅되지 않은 표면, 즉 커버가 제조되는 맨 물질의 표면이다. 스페이서(920)는 캐리어(900) 및 커버(910) 사이의 여러 지점에 놓여 있고 이들을 서로 이격된 관계로 유지한다. 스페이서(920)는 하나에서 다른 하나로 물질의 이동을 허용하도록 커버(910)를 캐리어(900)로부터 분리하기에 충분히 두껍지만, 시험 동안에 표면(902 및 912)에서 챔버 분위기로부터의 오염의 양을 최소화하도록 충분히 얇아야 한다. 캐리어(900), 스페이서(920), 및 커버(910)는, 함께 시험 물품(901)을 형성한다.The first method of measuring a small amount of gas release will be described with reference to Figure 9, based on surface energy measurements. To perform this test, a setting as shown in Fig. 9 can be used. A first substrate, or
시험 물품(901)을 조립하기 전에, 표면(902), 즉 그 위에 제공된 표면 개질 층을 갖는 캐리어(900)의 표면의 표면 에너지 그대로, 맨 표면(912)의 표면 에너지를 측정한다. 도 10에 나타낸 바와 같은 표면 에너지, 극성 및 분산 성분 둘 다는, 에스. 후(S. Wu) (1971)에 의해 개발된 이론 모델을 3종의 시험 액체; 물, 디아이오도메탄 및 헥사데칸의 세 접촉각에 피팅함으로써 측정되었다. (참조: 문헌 [S. Wu, J. Polym. Sci. C, 34, 19, 1971]).Before assembling the test article 901, the surface energy of the
조립 후, 시험 물품(901)을 가열 챔버 (930)에 넣고, 시간-온도 사이클 내내 가열한다. 가열은 대기압에서 및 흐르는 N2 기체, 즉 2 표준 리터/분의 속도로 화살표 (940)의 방향으로 흐르는 N2 기체 하에 수행한다.After assembly, the test article 901 is placed in a
가열 사이클 동안에, 표면(902)에서의 변화 (예를 들어, 증발, 열분해, 분해, 중합, 캐리어와의 반응, 및 탈습윤으로 인한 표면 개질 층에 대한 변화 포함)는 표면(902)의 표면 에너지에서의 변화에 의해 나타난다. 표면(902)의 표면 에너지에서의 변화 자체로는 반드시 표면 개질 층이 기체방출되었음을 의미하지 않지만, 그의 특성이, 예를 들어 상기 언급된 메카니즘으로 인해 변하고 있기 때문에 그 온도에서 물질의 일반적인 불안정성을 나타낸다. 따라서, 표면(902)의 표면 에너지에서의 변화가 적을수록, 표면 개질 층이 보다 안정적이다. 다른 한편으로는, 표면(902)에 대한 표면(912)의 근접성 때문에, 표면(902)으로부터 기체방출된 임의의 물질은 표면(912) 상에 수집될 것이고 표면(912)의 표면 에너지를 변화시킬 것이다. 따라서, 표면(912)의 표면 에너지에서의 변화는 표면(902) 상에 존재하는 표면 개질 층의 기체방출의 프록시가 된다.During the heating cycle, changes in the surface 902 (including, for example, evaporation, pyrolysis, decomposition, polymerization, reaction with the carrier, and changes to the surface modification layer due to dehydration) . The change in surface energy of the
따라서, 기체방출에 대한 한 시험은 커버 표면(912)의 표면 에너지에서의 변화를 사용한다. 구체적으로, ≥ 10 mJ/m2의 - 표면(912)의 - 표면 에너지에서의 변화가 있는 경우, 그러면 기체방출이 있다. 상기 규모의 표면 에너지에서의 변화는 물질 특성 및 장치 성능에서 필름 접착력의 손실 또는 분해를 유도할 수 있는 오염과 일치한다. ≤ 5 mJ/m2의 표면 에너지에서의 변화는 표면 에너지 측정의 반복성 및 표면 에너지의 불균일성에 가깝다. 상기 작은 변화는 최소의 기체방출과 일치한다.Thus, a test for gas release uses a change in the surface energy of the
도 10의 결과를 초래했던 시험 동안에, 캐리어(900), 커버(910), 및 스페이서(920)는, 뉴욕주 코닝 소재 코닝 인코포레이티드로부터 입수가능한 이글 XG 유리, 알칼리-무함유 알루미노-보로-실리케이트 디스플레이-등급 유리로 제조되었지만, 그러한 것이 사실일 필요는 없다. 캐리어(900) 및 커버(910)는 150mm 직경 0.63mm 두께였다. 일반적으로, 캐리어(910) 및 커버(920)는 각각, 기체방출 시험이 바람직한, 캐리어(10) 및 얇은 시트(20)와 동일한 물질로 제조될 것이다. 상기 시험 동안, 실리콘 스페이서는 0.63 mm 두께, 2 mm 폭, 및 8 cm 길이였고, 이것에 의해 0.63 mm의 간격을 표면(902 및 912) 사이에 형성한다. 상기 시험 동안에, 챔버 (930)를 실온에서 시험 한계 온도까지 9.2℃/분의 속도로 순환되고, 그래프에서 "어닐링 시간"으로서 나타낸 바와 같은 다양한 시간 동안 시험 한계 온도에서 유지되고, 이어서 퍼니스 속도로 200℃로 냉각되는 MPT-RTP600s 신속 열 가공 장비에 포함시켰다. 오븐을 200℃로 냉각시킨 후, 시험 물품을 제거했고, 시험 물품을 실온으로 냉각시킨 후, 각 표면(902 및 912)의 표면 에너지를 다시 측정하였다. 따라서, 예를 들어 물질 #1에 대해, 450℃의 한계 온도로 시험한, 커버 표면 에너지에서의 변화에 관한 데이터, 선(1003)을 이용하여, 데이터를 다음과 같이 수집하였다. 0분에서의 데이터 포인트는 75 mJ/m2 (제곱 미터당 밀리-줄)의 표면 에너지를 나타내고, 맨 유리의 표면 에너지이고, 즉 아직 시간-온도 사이클이 실행되지 않았다. 1분에서의 데이터 포인트는 다음과 같이 수행된 시간-온도 사이클 후에 측정된 바와 같은 표면 에너지를 나타낸다: (표면(902)을 제공하도록 캐리어(900)에 표면 개질 층으로서 사용된 물질 #1을 갖는) 물품(901)을 실온, 및 대기압에서 가열 챔버 (930)에 넣고; 챔버를 2 표준 리터/분의 N2 기체 흐름 하에, 9.2℃/분의 속로도 450℃의 시험-한계 온도로 가열하고, 450℃의 시험-한계 온도에서 1분 동안 유지하고; 이어서 챔버를 1℃/분의 속도로 300℃로 냉각되도록 하고, 이어서 물품(901)을 챔버 (930)로부터 제거하고; 이어서 물품을 (N2가 흐르는 분위기 없이) 실온으로 냉각되도록 하고; 이어서 표면(912)의 표면 에너지를 측정했고 1분 동안의 포인트로서 선(1003)에 플롯팅하였다. 이어서 물질 #1 (선(1003, 1004))에 대해 남아 있는 데이터 포인트, 뿐만 아니라 물질 #2 (선(1203, 1204)), 물질 #3 (선(1303, 1304)), 물질 #4 (선(1403, 1404)), 물질 #5 (선(1503, 1504)), 및 물질 #6 (선(1603, 및 1604))에 대한 데이터 포인트를, 적절히 어닐링 시간의 분이 시험-한계 온도, 450℃, 또는 600℃에서의 유지 시간에 상응하는 유사한 방식으로 결정하였다. 상응하는 표면 개질 층 물질 (물질 #1-6)에 대한 표면(902)의 표면 에너지를 대표하는, 선(1001, 1002, 1201, 1202, 1301, 1302, 1401, 1402, 1501, 1502, 1601, 및 1602)에 대한 데이터 포인트를, 표면(902)의 표면 에너지를 각 시간-온도 사이클 후에 측정한 점을 제외하고, 유사한 방식으로 결정하였다.10, the
상기 조립 공정, 및 시간-온도 사이클을, 하기 기재된 바와 같은 6개 상이한 물질에 대해 수행하고, 결과를 도 10에 그래프로 나타내었다. 6개 물질 중, 물질 #1-4는 상기 기재된 표면 개질 층 물질에 상응한다. 물질 #5 및 #6은 비교 실시예이다.The assembly process, and the time-temperature cycle, were performed on six different materials as described below, and the results are shown graphically in FIG. Of the six materials, materials # 1-4 correspond to the surface modification layer materials described above.
물질 #1은 CHF3-CF4 플라즈마 중합된 플루오로중합체이다. 상기 물질은 상기 실시예 3b에서의 표면 개질 층과 일치한다. 도 10에 나타낸 바와 같이, 선(1001 및 1002)은 캐리어의 표면 에너지가 유의하게 변하지 않았음을 보여준다. 따라서, 상기 물질은 450℃ 내지 600℃의 온도에서 매우 안정적이다. 또한, 선(1003 및 1004)에 나타낸 바와 같이, 커버의 표면 에너지도 유의하게 변하지 않았고, 즉 변화는 ≤ 5mJ/m2이었다. 따라서, 450℃ 내지 600℃에서 상기 물질과 연관된 기체방출은 없었다.
물질 #2는 페닐트리에톡시실란의 1% 톨루엔 용액으로부터 침착되고 진공 오븐에서 30분 동안 190℃에서 경화된 자기-조립 단분자층 (SAM)인 페닐실란이다. 상기 물질은 상기 실시예 4c의 표면 개질 층과 일치한다. 도 10에 나타낸 바와 같이, 선(1201 및 1202)은 캐리어의 표면 에너지에서의 약간의 변화를 나타낸다. 상기 언급된 바와 같이, 이것은 표면 개질 층에서의 약간의 변화를 나타내고, 비교해서, 물질 #2가 물질 #1보다 다소 덜 안정적이다. 그러나, 선(1203 및 1204)에 의해 주지된 바와 같이, 캐리어의 표면 에너지에서의 변화는 ≤ 5mJ/m2이고, 표면 개질 층에 대한 변화가 기체방출을 유발하지 않았음을 보여준다.
물질 #3은 펜타플루오로페닐트리에톡시실란의 1% 톨루엔 용액으로부터 침착되고 진공 오븐에서 30분 동안 190℃에서 경화된 SAM인 펜타플루오로페닐실란이다. 상기 물질은 상기 실시예 4e의 표면 개질 층과 일치한다. 도 10에 나타낸 바와 같이, 선(1301 및 1302)은 캐리어의 표면 에너지에서의 약간의 변화를 나타낸다. 상기 언급된 바와 같이, 이것은 표면 개질 층에서의 약간의 변화를 나타내고, 비교해서, 물질 #3이 물질 #1보다 다소 덜 안정적이다. 그러나, 선(1303 및 1304)에 의해 주지된 바와 같이, 캐리어의 표면 에너지에서의 변화는 ≤ 5mJ/m2이고, 표면 개질 층에 대한 변화가 기체방출을 유발하지 않았음을 보여준다.
물질 #4는 YES HMDS 오븐에서 140℃에서 증기로부터 침착된 헥사메틸디실라잔 (HMDS)이다. 상기 물질은 상기 표 2의 실시예 2b의 표면 개질 층과 일치한다. 도 10에 나타낸 바와 같이, 선(1401 및 1402)은 캐리어의 표면 에너지에서의 약간의 변화를 나타낸다. 상기 언급된 바와 같이, 이것은 표면 개질 층에서의 약간의 변화를 나타내고, 비교해서, 물질 #4가 물질 #1보다 다소 덜 안정적이다. 또한, 물질 #4에 대한 캐리어의 표면 에너지에서의 변화는 물질 #2 및 #3 중 임의의 것의 것보다 크고, 비교해서, 물질 #4가 물질 #2 및 #3보다 다소 덜 안정적임을 나타낸다. 그러나, 선(1403 및 1404)에 의해 주지된 바와 같이, 캐리어의 표면 에너지에서의 변화는 ≤ 5mJ/m2이고, 표면 개질 층에 대한 변화가 커버의 표면 에너지에 영향을 미쳤던 기체방출을 유발하지 않았음을 보여준다. 그러나, 이것은 HMDS가 기체방출하는 방식과 일치한다. 즉, HMDS는 커버의 표면 에너지에 영향을 미치지 않고, 일부 전자장치 제작 장비 및/또는 가공에 영향을 미칠 수 없는 암모니아 및 물을 기체방출한다. 다른 한편으로는, 기체방출의 생성물이 얇은 시트와 캐리어 사이에 트래핑되는 경우, 2차 기체방출 시험과 관련해서 하기에 언급된 바와 같은, 다른 문제가 있을 수 있다.
물질 #5는 글리시독시프로필트리에톡시실란의 1% 톨루엔 용액으로부터 침착되고 진공 오븐에서 30분 동안 190℃에서 경화된 SAM인 글리시독시프로필실란이다. 이것은 비교 실시예 물질이다. 선(1501 및 1502)에 의해 나타낸 바와 같이, 캐리어의 표면 에너지에서는 비교적 작은 변화가 있지만, 선(1503 및 1504)에 의해 나타낸 바와 같이 커버의 표면 에너지에서는 유의한 변화가 있다. 도 10을 참조한다. 즉, 물질 #5가 캐리어 표면에서 비교적 안정적이었지만, 실제로 커버 표면 상에서 유의한 양의 물질을 기체방출했고, 커버 표면 에너지는 ≥ 10mJ/m2만큼 변화하였다. 600℃에서 10분이 끝날 때 표면 에너지가 10mJ/m2 내에 있지만, 그 시간 동안의 변화는 10mJ/m2을 초과한다. 예를 들어, 1 및 5분에서의 데이터 포인트를 참조한다. 이론에 의해 얽매이는 것을 원하지는 않지만, 5분 내지 10분에 표면 에너지에서의 약간의 증가는 기체방출된 물질의 일부가 분해되어 커버 표면에서 떨어지게 할 가능성이 있다.
물질 #6은 5 ml 다우 코닝(Dow Corning) 704 확산 펌프 오일 테트라메틸테트라페닐 트리실록산 (다우 코닝으로부터 입수가능함)을 캐리어 상에 분배하고, 이를 500℃ 핫 플레이트에 공기 중에서 8분 동안 놓음으로써 제조된 실리콘 코팅 DC704이다. 샘플 제조의 완료는 가시적인 연기의 종료에 의해 주지된다. 샘플을 상기 방법으로 제조한 후, 상기 기재된 기체방출 시험을 수행하였다. 이것은 비교 실시예 물질이다. 도 10에 나타낸 바와 같이, 선(1601 및 1602)은 캐리어의 표면 에너지에서의 약간의 변화를 나타낸다. 상기 언급된 바와 같이, 이것은 표면 개질 층에서의 약간의 변화를 나타내고, 비교해서, 물질 #6이 물질 #1보다 덜 안정적이다. 또한, 선(1603 및 1604)에 의해 주지된 바와 같이, 캐리어의 표면 에너지에서의 변화는 ≥ 10mJ/m2이고, 유의한 기체방출을 나타낸다. 보다 특히, 450℃의 시험-한계 온도에서, 10분 동안의 데이터 포인트는 약 15mJ/m2의 표면 에너지에서의 감소를 나타내고, 1 및 5분에서의 데이터 포인트의 경우는 표면 에너지에서 훨씬 더 큰 감소를 나타낸다. 유사하게, 600℃ 시험-한계 온도에서의 순환 동안 커버의 표면 에너지에서의 변화인, 커버의 표면 에너지에서의 감소는 10분 데이터 포인트에서 약 25mJ/m2이었고, 5분에서는 다소 더 컸고, 1분에서는 다소 더 적었다. 전체적으로, 시험의 전 범위에 걸쳐 상기 물질의 경우에 유의한 양의 기체방출이 나타났다.
유의하게, 물질 #1-4의 경우, 시간-온도 사이클 전반에 걸친 표면 에너지는 커버 표면이 맨 유리의 표면 에너지와 일치하는 표면 에너지에 남아있고, 즉 캐리어 표면으로부터 기체방출된 수집된 물질이 없음을 보여준다. 물질 #4의 경우, 표 2와 관련해서 언급된 바와 같이, 캐리어 및 얇은 시트 표면이 제조되는 방식은 물품 (표면 개질 층을 통해 캐리어와 함께 결합된 얇은 시트)이 FPD 가공을 견뎌 낼지의 여부에 있어서 큰 차이가 있다. 따라서, 도 10에 나타낸 물질 #4의 실시예가 가스방출할 수 없지만, 상기 물질은 표 2의 논의와 관련해서 언급된 바와 같이 400℃ 또는 600℃ 시험을 견뎌 낼 수도 있고 또는 견뎌내지 못할 수도 있다.Significantly, in the case of material # 1-4, the surface energy over the time-temperature cycle remains at the surface energy that corresponds to the surface energy of the cover glass surface, that is, there is no collected material released from the carrier surface Lt; / RTI > In the case of
소량의 기체방출을 측정하는 두 번째 방식은 조립 물품을 기준으로 하고, 즉 얇은 시트가 표면 개질 층을 통해 캐리어에 결합되고, 기체방출을 결정하는데 퍼센트 버블 면적에서의 변화를 사용하는 방법이다. 즉, 물품을 가열하는 동안, 캐리어와 얇은 시트 사이에 형성된 버블은 표면 개질 층의 기체방출을 나타낸다. 1차 기체방출 시험과 관련해서 상기 언급된 바와 같이, 매우 얇은 표면 개질 층의 기체방출을 측정하는 것은 어렵다. 이러한 2차 시험에서, 얇은 시트 아래의 기체방출은 얇은 시트와 캐리어 사이의 강한 접착력에 의해 제한될 수 있다. 그럼에도 불구하고, ≤ 10nm 두께의 층 (예를 들어, 플라즈마 중합된 물질, SAM, 및 열분해된 실리콘 오일 표면 처리)은, 그의 보다 적은 절대 질량 손실에도 불구하고, 열 처리 동안에 계속 버블을 생성할 수 있다. 그리고 얇은 시트와 캐리어 사이의 버블의 생성은 얇은 시트 상의 장치 가공 동안에 패턴 발생, 포토리소그래피 가공, 및/또는 배향과 관련된 문제를 유발할 수 있다. 또한, 얇은 시트와 캐리어 사이의 결합된 영역의 경계에서의 버블링은 하류 공정을 오염시키는 한 공정으로부터의 공정 유체와 관련된 문제를 유발할 수 있다. 기체방출을 나타내는, ≥ 5의 % 버블 면적에서의 변화가 유의하고, 바람직하지 않다. 다른 한편으로는 ≤ 1의 % 버블 면적에서의 변화는 유의하지 않고 기체방출이 없었다는 표시이다.A second way to measure a small amount of gaseous emissions is by reference to the assembled article, that is, a thin sheet is bonded to the carrier through the surface modification layer and the change in percent bubble area is used to determine gas release. That is, while heating the article, the bubbles formed between the carrier and the thin sheet indicate gas evolution of the surface modification layer. As mentioned above with respect to the primary gas release test, it is difficult to measure the gas release of a very thin surface modification layer. In this secondary test, gas release beneath the thin sheet can be limited by the strong adhesion between the thin sheet and the carrier. Nonetheless, layers with a thickness of? 10 nm (e.g., plasma polymerized materials, SAM, and pyrolyzed silicone oil surface treatment) can continue to generate bubbles during thermal processing, despite their less absolute mass loss have. And the creation of bubbles between the thin sheet and the carrier can cause problems associated with pattern generation, photolithographic processing, and / or orientation during device processing on the thin sheet. In addition, bubbling at the boundaries of the bonded area between the thin sheet and the carrier can cause problems associated with the process fluid from one process that contaminates the downstream process. The change in% bubble area of > = 5 indicating gas evolution is significant and undesirable. On the other hand, the change in% bubble area of ≤ 1 is not significant and is an indication that there is no gas release.
등급 1000 클린 룸에서 수동 결합으로 결합된 얇은 유리의 평균 버블 면적은 1%이다. 결합된 캐리어에서 %버블은 캐리어, 얇은 유리 시트, 및 표면 제조의 청정도의 함수이다. 이들 초기 결함이 열 처리 후 버블 성장을 위한 핵형성 부위로서 작용하기 때문에, 열 처리시 1% 미만의 버블 면적에서의 임의의 변화는 샘플 제조의 가변성 내에 있다. 상기 시험을 수행하기 위해, 투시도 유닛을 갖는 상업적으로 입수가능한 데스크탑 스캐너 (엡손 익스프레션(Epson Expression) 10000XL 포토)를 사용하여 결합 직후의 얇은 시트 및 캐리어를 결합시킨 영역의 1차 스캔 영상을 만들었다. 표준 엡손 소프트웨어를 사용하고 508 dpi (50 마이크로미터/픽셀) 및 24 bit RGB를 사용하여 일부분을 스캔하였다. 영상 가공 소프트웨어는 먼저, 필요에 따라, 샘플의 상이한 섹션의 영상을 단일 영상으로 스티칭하고, 스캐너 인공물을 (스캐너에서 샘플 없이 수행된 검정 보정 참조 스캔을 사용하여) 제거함으로써 영상을 제조한다. 이어서 결합된 영역은 표준 영상 가공 기법, 예컨대 경계화, 구멍 충전, 침식/확장, 및 블로브 분석을 사용하여 분석한다. 보다 새로운 엡손 익스프레션 11000XL 포토를 또한 유사한 방식으로 사용할 수 있다. 전송 모드에서, 결합 영역에서의 버블이 스캔 영상에서 보이고 버블 영역에 대한 값을 결정할 수 있다. 이어서, 버블 영역을 총 결합 영역 (즉, 얇은 시트와 캐리어 사이의 총 겹침 영역)과 비교하여 총 결합 영역에 대한 결합 영역에서의 버블의 % 면적을 계산한다. 이어서 샘플을 MPT-RTP600s 신속 열 가공 시스템에서 N2분위기 하에 300℃, 450℃, 및 600℃의 시험-한계 온도에서, 10분 이하 동안 열 처리한다. 특히, 수행되는 시간-온도 사이클은: 물품을 실온 및 대기압에서 가열 챔버로 삽입하고; 이어서 챔버를 9℃/분의 속도로 시험-한계 온도로 가열하고; 챔버를 시험-한계 온도에서 10분 동안 유지하고; 이어서 챔버를 퍼니스 속도로 200℃로 냉각시키고; 물품을 챔버로부터 제거하여 실온으로 냉각되도록 하고; 이어서 물품을 광학 스캐너로 다시 스캔하는 것을 포함하였다. 이어서, 2차 스캔으로부터의 % 버블 면적을 상기에서와 같이 계산하고 1차 스캔으로부터의 % 버블 면적과 비교하여 % 버블 면적에서의 변화 (Δ% 버블 면적)를 결정하였다. 상기 언급된 바와 같이, ≥ 5%의 버블 면적에서의 변화는 유의하고 기체방출의 표시이다. % 버블 면적에서의 변화는 본래 % 버블 면적에서의 가변성 때문에 측정 기준으로서 선택하였다. 즉, 대부분의 표면 개질 층은 얇은 시트 및 캐리어를 제조한 후 및 이들을 결합시키기 전에 취급 및 청정도로 인해 1차 스캔에서 약 2%의 버블 면적을 갖는다. 그러나, 물질 사이에 변화가 일어날 수 있다. 1차 기체방출 시험 방법과 관련해서 기재된 동일한 물질 #1-6을 2차 기체방출 시험 방법에서 다시 사용하였다. 이들 물질 중, 물질 #1-4는 1차 스캔에서 약 2% 버블 면적을 나타냈고, 한편 물질 #5 및 #6은 1차 스캔에서 유의하게 보다 큰 버블 면적, 즉 약 4%를 나타내었다.The average bubble area of a thin glass bonded by passive bonding in a Class 1000 clean room is 1%. The% bubble in the combined carrier is a function of the carrier, the thin glass sheet, and the cleanliness of the surface preparation. Since these initial defects serve as nucleation sites for bubble growth after heat treatment, any change in the bubble area of less than 1% during thermal processing is within the variability of sample preparation. To perform the test, a primary scan image of a region where a thin sheet and carrier were combined immediately after bonding was made using a commercially available desktop scanner (Epson Expression 10000XL port) with a perspective view unit. We scanned a portion using standard Epson software and using 508 dpi (50 micrometers per pixel) and 24 bit RGB. The image processing software first stitches the images of the different sections of the sample into a single image and, if necessary, produces the image by removing the scanner artifacts (using a calibrated reference scan performed without a sample in the scanner). The combined regions are then analyzed using standard imaging techniques, such as aliasing, hole filling, erosion / expansion, and blob analysis. The newer Epson Expression 11000XL port can also be used in a similar way. In the transfer mode, the bubble in the coupling region can be seen in the scan image and the value for the bubble region can be determined. The bubble area is then compared to the total area of engagement (i. E., The total overlap area between the thin sheet and the carrier) to calculate the% area of the bubble in the area of engagement for the total area of engagement. The samples are then heat treated in a MPT-RTP600s rapid thermal processing system at a test-critical temperature of 300 DEG C, 450 DEG C, and 600 DEG C for 10 minutes or less under an N2 atmosphere. In particular, the time-temperature cycle carried out is as follows: insert the article into the heating chamber at room temperature and at atmospheric pressure; The chamber is then heated to a test-critical temperature at a rate of 9 [deg.] C / min; The chamber was maintained at the test-limit temperature for 10 minutes; The chamber is then cooled to 200 DEG C at the furnace speed; Removing the article from the chamber and allowing it to cool to room temperature; And then rescanning the article with an optical scanner. The percent bubble area from the secondary scan was then calculated as above and the change in% bubble area (% bubble area) was determined by comparing the% bubble area from the primary scan. As noted above, a change in bubble area of > 5% is significant and an indication of gas release. The change in% bubble area was originally chosen as the measurement criterion for variability in% bubble area. That is, most surface modification layers have a bubble area of about 2% in the primary scan due to handling and cleanliness after manufacturing thin sheets and carriers and before bonding them. However, a change may occur between the materials. The same substance # 1-6 described in connection with the primary gas release test method was used again in the secondary gas release test method. Of these materials, material # 1-4 exhibited a bubble area of about 2% in the primary scan while
2차 기체방출 시험의 결과를 도 11 및 12와 관련해서 기재할 것이다. 물질 #1-3에 대한 기체방출 시험 결과는 도 11에 나타내고, 한편 물질 #4-6에 대한 기체방출 시험 결과는 도 12에 나타낸다.The results of the secondary gas release test will be described with reference to Figures 11 and 12. [ The gas release test results for material # 1-3 are shown in Figure 11, while the gas release test results for material # 4-6 are shown in FIG.
물질 #1에 대한 결과는 도 11에서 정사각형 데이터 포인트로서 나타나 있다. 도면으로부터 알 수 있듯이, % 버블 면적에서의 변화는 300℃, 450℃, 및 600℃의 시험-한계 온도의 경우에 0에 근접했다. 따라서, 물질 #1은 이러한 온도에서 기체방출을 나타내지 않는다.The results for
물질 #2에 대한 결과는 도 11에서 마름모형 데이터 포인트로서 나타나 있다. 도면으로부터 알 수 있듯이, % 버블 면적에서의 변화는 450℃ 및 600℃의 시험-한계 온도의 경우에 1 미만이다. 따라서, 물질 #2는 이러한 온도에서 기체방출을 나타내지 않는다.The result for
물질 #3에 대한 결과는 도 11에서 삼각형 데이터 포인트로서 나타나 있다. 도면으로부터 알 수 있듯이, 물질 #1에 대한 결과와 유사하게, % 버블 면적에서의 변화는 300℃, 450℃, 및 600℃의 시험-한계 온도의 경우에 0에 근접했다. 따라서, 물질 # 1은 이러한 온도에서 기체방출을 나타내지 않는다.The results for
물질 #4에 대한 결과는 도 12에서 원형 데이터 포인트로서 나타나 있다. 도면으로부터 알 수 있듯이, % 버블 면적에서의 변화는 300℃의 시험-한계 온도의 경우에 0에 근접하지만, 일부 샘플의 경우에 450℃ 및 600℃의 시험-한계 온도에서 1%에 근접하고, 그 동일한 물질의 다른 샘플의 경우에 450℃ 및 600℃의 시험-한계 온도에서 약 5%이다. 물질 #4에 대한 결과는 매우 불일치하고, 얇은 시트 및 캐리어 표면이 HMDS 물질과 결합시키기 위해 제조되는 방식에 좌우된다. 샘플 수행이 샘플이 제조되는 방식에 좌우되는 방식은 상기 표 2와 관련해서 기재된 이러한 물질의 실시예, 및 관련된 논의와 일치한다. 이러한 물질에 있어서, 450℃ 및 600℃ 시험-한계 온도에 대해 1%에 가까운 % 버블 면적에서의 변화를 갖는 샘플이, 상기 기재된 분리 시험에 따르는 캐리어로부터 얇은 시트의 분리를 허용하지 않았다는 점에 주목하였다. 즉, 얇은 시트와 캐리어 사이의 강한 접착력은 버블 발생을 제한했을 수 있다. 다른 한편으로, 5%에 가까운 % 버블 면적에서의 변화를 갖는 샘플은 캐리어로부터 얇은 시트의 분리를 허용했다. 따라서, 기체방출을 갖지 않았던 샘플은 캐리어 및 얇은 시트를 함께 점착시키는 온도 처리 후 (캐리어로부터 얇은 시트의 제거를 막는) 증가한 접착력의 바람직하지 않은 결과를 가졌고, 한편 얇은 시트 및 캐리어의 제거를 허용했던 샘플은 기체방출의 바람직하지 않은 결과를 가졌다.The results for
물질 #5에 대한 결과는 도 12에서 삼각형 데이터 포인트로서 나타나 있다. 도면으로부터 알 수 있듯이, % 버블 면적에서의 변화는 300℃의 시험-한계 온도의 경우에 약 15%이고, 450℃ 및 600℃의 보다 높은 시험-한계 온도의 경우에 그 값을 상당히 넘는다. 따라서, 물질 #5는 이러한 온도에서 유의한 기체방출을 나타낸다.The results for
물질 #6에 대한 결과는 도 12에서 정사각형 데이터 포인트로서 나타나 있다. 이 도면으로부터 알 수 있듯이, % 버블 면적에서의 변화는 300℃의 시험-한계 온도의 경우에 2.5%를 넘고, 450℃ 및 600℃의 시험-한계 온도의 경우에 5%를 넘는다. 따라서, 물질 #6은 450℃ 및 600℃의 시험-한계 온도에서 유의한 기체방출을 나타낸다.The results for
결론conclusion
본 발명의 상기 기재된 실시양태, 특히 임의의 "바람직한" 실시양태는 단지 본 발명의 다양한 원리의 명확한 이해를 위해 기재된 실행의 가능한 실시예라는 것이 강조되어야 한다. 많은 변화 및 변형이 본 발명의 취지 및 다양한 원리로부터 실질적으로 벗어나지 않으면서 본 발명의 상기 기재된 실시양태에 대해 수행될 수 있다. 모든 이러한 변경 및 변형이 본 개시내용 및 본 발명의 범위 내에 포함되고 하기의 청구범위에 의해 보호되도록 의도된다.It should be emphasized that the above-described embodiments of the invention, in particular any "preferred" embodiments, are merely possible embodiments of the described implementations for a clear understanding of the various principles of the invention. Many changes and modifications may be made to the above-described embodiments of the invention without departing from the spirit and various principles of the invention. All such changes and modifications are intended to be included within the scope of this disclosure and the present invention and protected by the following claims.
예를 들어, 많은 실시양태의 표면 개질 층(30)은 캐리어(10) 상에 형성된 것으로 나타나 있고 논의되어 있지만, 대신에, 또는 부가적으로, 얇은 시트(20) 상에 형성될 수도 있다. 즉, 실시예 4 및 3에 기재된 바와 같은 물질을 함께 결합될 면의 캐리어(10)에, 얇은 시트(20)에, 또는 캐리어(10)와 얇은 시트(20) 둘 다에 적용할 수 있다.For example, many embodiments of the
또한, 일부 표면 개질 층(30)이 물품(2)을 400℃, 또는 600℃의 온도에서 가공한 후에도 얇은 시트(20)가 캐리어(10)로부터 제거될 수 있도록 결합 강도를 제어하는 것으로 기재되었지만, 물론 물품(2)을, 물품이 통과했던 특정 시험의 온도보다 낮은 온도에서 가공할 수 있고, 여전히 얇은 시트(20) 또는 캐리어(10)의 손상 없이 얇은 시트(20)를 캐리어(10)로부터 제거하는 동일한 능력을 달성할 수 있다.It has also been described that some surface modification layers 30 control the bond strength so that the
추가로, 제어된 결합 개념은 본원에서 캐리어 및 얇은 시트와 함께 사용될 수 있는 것으로 기재되었지만, 특정 상황에서 이들은 유리, 세라믹, 또는 유리 세라믹의 보다 두꺼운 시트 사이의 결합을 제어하도록 적용될 수 있고, 시트 (또는 그의 일부분)를 서로로부터 탈착시키는 것이 바람직할 수 있다.In addition, although the controlled coupling concept is described herein as being usable with carriers and thin sheets, in certain situations they can be applied to control the coupling between thicker sheets of glass, ceramic, or glass ceramic, Or a portion thereof) may be desorbed from each other.
추가로, 제어된 결합 개념은 본원에서 유리 캐리어 및 유리 얇은 시트와 함께 유용한 것으로 기재되었지만, 캐리어는 다른 물질, 예를 들어 세라믹, 유리 세라믹, 또는 금속으로 제조될 수 있다. 유사하게, 캐리어에 제어가능하게 결합된 시트는 다른 물질, 예를 들어 세라믹 또는 유리 세라믹으로 제조될 수 있다.Additionally, while the controlled bonding concept is described herein as useful with glass carriers and glass thin sheets, the carrier may be made of other materials, such as ceramics, glass ceramics, or metals. Similarly, a sheet that is controllably coupled to a carrier may be made of other materials, for example, ceramics or glass ceramics.
제1 측면에 따라, 하기:According to a first aspect,
복수의 유리 층을 적층하고;Stacking a plurality of glass layers;
유리 층의 스택을 각각의 유리 층이 압축되기에 충분한 시간-온도 사이클에 노출시키는 단계를 포함하는 유리를 어닐링하는 방법이 제공되며,Exposing a stack of glass layers to a time-temperature cycle sufficient for each glass layer to compress,
각각의 상기 유리 층은 2개의 주요 표면을 갖고, 이에 따라 복수의 유리 층에서 유리층 중 인접한 것들 사이에 계면이 규정되며, 상기 계면 중 하나에 대면하는 주요 표면들 중 적어도 하나 상에 표면 개질 층이 배치되고,Each of said glass layers has two major surfaces whereby an interface is defined between adjacent ones of the glass layers in the plurality of glass layers and a surface modification layer is formed on at least one of the major surfaces facing one of the interfaces, Respectively,
상기 표면 개질 층은, 시간-온도 사이클 동안 스택에서 상기 계면 중 하나를 규정하는 유리 층 중 인접한 것들 사이의 결합을 제어하기에 충분하고, 결합은 한 층은 고정되고 다른 층은 중력이 인가되는 경우에 한 층이 또 다른 층으로부터 분리되지 않도록 하지만, 유리 층 중 인접한 것들 중 하나를 둘 이상의 조각으로 파괴하지 않으면서 층들이 분리될 수 있도록 하는 힘을 갖도록 제어된다.The surface modification layer is sufficient to control bonding between adjacent ones of the glass layers defining one of the interfaces in the stack during a time-temperature cycle, wherein the bonding is one layer is fixed and the other layer is gravity applied Is controlled to have a force such that one layer is not separated from another layer but the layers can be separated without destroying one of the adjoining ones of the glass layers into two or more pieces.
제2 측면에 따라, 시간-온도 사이클은 ≥ 400℃이지만 유리 시트의 변형점 미만인 온도를 포함하는, 측면 1의 방법이 제공된다.According to a second aspect, a method of
제3 측면에 따라, 시간-온도 사이클은 ≥ 600℃이지만 유리 시트의 변형점 미만인 온도를 포함하는, 측면 1의 방법이 제공된다.According to a third aspect, the method of
제4 측면에 따라, 표면 개질 층은 HMDS, 플라즈마 중합된 플루오로중합체 및 방향족 실란 중 하나인, 측면 1 내지 3 중 어느 하나의 방법이 제공된다.According to a fourth aspect, there is provided a method according to any of
제5 측면에 따라, 표면 개질 층이 플라즈마 중합된 플루오로중합체를 포함하는 경우, 표면 개질 층은 플라즈마 중합된 폴리테트라플루오로에틸렌; 및 ≤ 40% C4F8을 갖는 CF4-C4F8 혼합물로부터 침착된 플라즈마 중합된 플루오로중합체 표면 개질 층 중 하나인, 측면 4의 방법이 제공된다.According to a fifth aspect, when the surface modification layer comprises a plasma-polymerized fluoropolymer, the surface modification layer may comprise plasma-polymerized polytetrafluoroethylene; And a plasma-polymerized fluoropolymer surface modification layer deposited from a CF4-C4F8 mixture having < 40% C4F8.
제6 측면에 따라, 표면 개질 층이 방향족 실란을 포함하는 경우 표면 개질 층은 페닐 실란인, 측면 4의 방법이 제공된다.According to a sixth aspect, there is provided the method of
제7 측면에 따라, 표면 개질 층이 방향족 실란을 포함하는 경우, 표면 개질 층은 페닐트리에톡시실란; 디페닐디에톡시실란; 및 4-펜타플루오로페닐트리에톡시실란 중 하나인, 측면 4의 방법이 제공된다.According to a seventh aspect, in the case where the surface modification layer comprises an aromatic silane, the surface modification layer is selected from the group consisting of phenyl triethoxysilane; Diphenyldiethoxysilane; And 4-pentafluorophenyltriethoxysilane. ≪ / RTI >
제8 측면에 따라, 시간-온도 사이클이 무산소 환경에서 수행되는 것인, 측면 1-7 중 어느 하나의 방법이 제공된다.According to an eighth aspect, there is provided a method according to any one of aspects 1-7, wherein the time-temperature cycle is performed in an anoxic environment.
제9 측면에 따라, 유리 층의 스택은 압연 유리 시트를 포함하는, 측면 1-8 중 어느 하나의 방법이 제공된다.According to a ninth aspect, a method of any one of the aspects 1-8 is provided, wherein the stack of glass layers comprises a rolled glass sheet.
| Application Number | Priority Date | Filing Date | Title |
|---|---|---|---|
| US201361791418P | 2013-03-15 | 2013-03-15 | |
| US61/791,418 | 2013-03-15 | ||
| US14/047,251US9340443B2 (en) | 2012-12-13 | 2013-10-07 | Bulk annealing of glass sheets |
| US14/047,251 | 2013-10-07 | ||
| PCT/US2014/025537WO2014151353A1 (en) | 2013-03-15 | 2014-03-13 | Bulk annealing of glass sheets |
| Publication Number | Publication Date |
|---|---|
| KR20150127274Atrue KR20150127274A (en) | 2015-11-16 |
| KR102239613B1 KR102239613B1 (en) | 2021-04-13 |
| Application Number | Title | Priority Date | Filing Date |
|---|---|---|---|
| KR1020157029187AExpired - Fee RelatedKR102239613B1 (en) | 2013-03-15 | 2014-03-13 | Bulk annealing of glass sheets |
| Country | Link |
|---|---|
| EP (1) | EP2969997A1 (en) |
| JP (2) | JP6186493B2 (en) |
| KR (1) | KR102239613B1 (en) |
| CN (1) | CN105658594B (en) |
| TW (2) | TWI679175B (en) |
| WO (1) | WO2014151353A1 (en) |
| Publication number | Priority date | Publication date | Assignee | Title |
|---|---|---|---|---|
| TWI617437B (en) | 2012-12-13 | 2018-03-11 | 康寧公司 | Facilitated processing for controlling bonding between sheet and carrier |
| US10014177B2 (en) | 2012-12-13 | 2018-07-03 | Corning Incorporated | Methods for processing electronic devices |
| US9340443B2 (en) | 2012-12-13 | 2016-05-17 | Corning Incorporated | Bulk annealing of glass sheets |
| US10086584B2 (en) | 2012-12-13 | 2018-10-02 | Corning Incorporated | Glass articles and methods for controlled bonding of glass sheets with carriers |
| WO2014151353A1 (en)* | 2013-03-15 | 2014-09-25 | Corning Incorporated | Bulk annealing of glass sheets |
| US10510576B2 (en) | 2013-10-14 | 2019-12-17 | Corning Incorporated | Carrier-bonding methods and articles for semiconductor and interposer processing |
| CN106132688B (en)* | 2014-01-27 | 2020-07-14 | 康宁股份有限公司 | Article and method for controlled bonding of a sheet to a carrier |
| EP3129221A1 (en) | 2014-04-09 | 2017-02-15 | Corning Incorporated | Device modified substrate article and methods for making |
| EP3297824A1 (en)* | 2015-05-19 | 2018-03-28 | Corning Incorporated | Articles and methods for bonding sheets with carriers |
| KR102524620B1 (en) | 2015-06-26 | 2023-04-21 | 코닝 인코포레이티드 | Methods and articles including sheets and carriers |
| TW201825623A (en) | 2016-08-30 | 2018-07-16 | 美商康寧公司 | Peptide plasma polymer for sheet bonding |
| TWI821867B (en) | 2016-08-31 | 2023-11-11 | 美商康寧公司 | Articles of controllably bonded sheets and methods for making same |
| KR102346393B1 (en)* | 2017-06-19 | 2022-01-03 | 동우 화인켐 주식회사 | Method for Manufacturing Flexible Display Device Comprising Touch Sensor |
| JP7260523B2 (en) | 2017-08-18 | 2023-04-18 | コーニング インコーポレイテッド | Temporary binding using polycationic polymers |
| US11331692B2 (en) | 2017-12-15 | 2022-05-17 | Corning Incorporated | Methods for treating a substrate and method for making articles comprising bonded sheets |
| Publication number | Priority date | Publication date | Assignee | Title |
|---|---|---|---|---|
| US6124154A (en)* | 1996-10-22 | 2000-09-26 | Seiko Epson Corporation | Fabrication process for thin film transistors in a display or electronic device |
| US20050069713A1 (en)* | 2003-09-30 | 2005-03-31 | Rahul Gupta | Capillary coating method |
| KR20120023063A (en)* | 2009-05-06 | 2012-03-12 | 코닝 인코포레이티드 | Carrier for glass substrates |
| KR20120098640A (en)* | 2009-10-20 | 2012-09-05 | 아사히 가라스 가부시키가이샤 | Glass laminate, glass laminate manufacturing method, display panel manufacturing method, and display panel obtained by means of display panel manufacturing method |
| Publication number | Priority date | Publication date | Assignee | Title |
|---|---|---|---|---|
| US4397722A (en)* | 1981-12-31 | 1983-08-09 | International Business Machines Corporation | Polymers from aromatic silanes and process for their preparation |
| US20050001201A1 (en)* | 2003-07-03 | 2005-01-06 | Bocko Peter L. | Glass product for use in ultra-thin glass display applications |
| CN101437772B (en)* | 2006-05-08 | 2011-09-07 | 旭硝子株式会社 | Thin plate glass laminate, process for producing display device using thin plate glass laminate, and support glass substrate |
| CN101925996B (en)* | 2008-01-24 | 2013-03-20 | 布鲁尔科技公司 | Method for reversibly mounting a device wafer on a carrier substrate |
| WO2009128359A1 (en)* | 2008-04-17 | 2009-10-22 | 旭硝子株式会社 | Glass laminate, display panel with support, method for producing glass laminate and method for manufacturing display panel with support |
| JP5029523B2 (en)* | 2008-07-14 | 2012-09-19 | 旭硝子株式会社 | GLASS LAMINATE, PANEL FOR DISPLAY DEVICE WITH SUPPORT, PANEL FOR DISPLAY DEVICE, DISPLAY DEVICE AND MANUFACTURING METHOD THEREOF |
| TW201033000A (en)* | 2009-01-09 | 2010-09-16 | Asahi Glass Co Ltd | Glass laminate and manufacturing method therefor |
| US9847243B2 (en)* | 2009-08-27 | 2017-12-19 | Corning Incorporated | Debonding a glass substrate from carrier using ultrasonic wave |
| CN102741177A (en)* | 2010-02-03 | 2012-10-17 | 旭硝子株式会社 | Method and device for gradually cooling glass plate |
| US20110250346A1 (en)* | 2010-04-07 | 2011-10-13 | Remington Jr Michael P | Adhesion of organic coatings on glass |
| WO2013008895A1 (en)* | 2011-07-12 | 2013-01-17 | 旭硝子株式会社 | Method for manufacturing layered-film-bearing glass substrate |
| WO2014151353A1 (en)* | 2013-03-15 | 2014-09-25 | Corning Incorporated | Bulk annealing of glass sheets |
| Publication number | Priority date | Publication date | Assignee | Title |
|---|---|---|---|---|
| US6124154A (en)* | 1996-10-22 | 2000-09-26 | Seiko Epson Corporation | Fabrication process for thin film transistors in a display or electronic device |
| US20050069713A1 (en)* | 2003-09-30 | 2005-03-31 | Rahul Gupta | Capillary coating method |
| KR20120023063A (en)* | 2009-05-06 | 2012-03-12 | 코닝 인코포레이티드 | Carrier for glass substrates |
| KR20120098640A (en)* | 2009-10-20 | 2012-09-05 | 아사히 가라스 가부시키가이샤 | Glass laminate, glass laminate manufacturing method, display panel manufacturing method, and display panel obtained by means of display panel manufacturing method |
| Publication number | Publication date |
|---|---|
| CN105658594B (en) | 2019-01-04 |
| JP6434096B2 (en) | 2018-12-05 |
| JP2017214281A (en) | 2017-12-07 |
| TWI679175B (en) | 2019-12-11 |
| KR102239613B1 (en) | 2021-04-13 |
| TW201442968A (en) | 2014-11-16 |
| CN105658594A (en) | 2016-06-08 |
| JP6186493B2 (en) | 2017-08-23 |
| WO2014151353A1 (en) | 2014-09-25 |
| JP2016516657A (en) | 2016-06-09 |
| EP2969997A1 (en) | 2016-01-20 |
| TW201736292A (en) | 2017-10-16 |
| TWI594960B (en) | 2017-08-11 |
| Publication | Publication Date | Title |
|---|---|---|
| KR102237812B1 (en) | Glass articles and methods for controlled bonding of glass sheets with carriers | |
| US10538452B2 (en) | Bulk annealing of glass sheets | |
| KR20160066039A (en) | Glass articles and methods for controlled bonding of glass sheets with carriers | |
| EP2932540B1 (en) | Methods for processing oled devices | |
| KR20150127274A (en) | Bulk annealing of glass sheets | |
| US20150329415A1 (en) | Glass and methods of making glass articles | |
| KR20160114106A (en) | Treatment of a surface modification layer for controlled bonding of thin sheets with carriers |
| Date | Code | Title | Description |
|---|---|---|---|
| PA0105 | International application | St.27 status event code:A-0-1-A10-A15-nap-PA0105 | |
| P11-X000 | Amendment of application requested | St.27 status event code:A-2-2-P10-P11-nap-X000 | |
| P13-X000 | Application amended | St.27 status event code:A-2-2-P10-P13-nap-X000 | |
| PG1501 | Laying open of application | St.27 status event code:A-1-1-Q10-Q12-nap-PG1501 | |
| P22-X000 | Classification modified | St.27 status event code:A-2-2-P10-P22-nap-X000 | |
| PA0201 | Request for examination | St.27 status event code:A-1-2-D10-D11-exm-PA0201 | |
| E902 | Notification of reason for refusal | ||
| PE0902 | Notice of grounds for rejection | St.27 status event code:A-1-2-D10-D21-exm-PE0902 | |
| T11-X000 | Administrative time limit extension requested | St.27 status event code:U-3-3-T10-T11-oth-X000 | |
| T11-X000 | Administrative time limit extension requested | St.27 status event code:U-3-3-T10-T11-oth-X000 | |
| T11-X000 | Administrative time limit extension requested | St.27 status event code:U-3-3-T10-T11-oth-X000 | |
| E13-X000 | Pre-grant limitation requested | St.27 status event code:A-2-3-E10-E13-lim-X000 | |
| P11-X000 | Amendment of application requested | St.27 status event code:A-2-2-P10-P11-nap-X000 | |
| P13-X000 | Application amended | St.27 status event code:A-2-2-P10-P13-nap-X000 | |
| E701 | Decision to grant or registration of patent right | ||
| PE0701 | Decision of registration | St.27 status event code:A-1-2-D10-D22-exm-PE0701 | |
| GRNT | Written decision to grant | ||
| PR0701 | Registration of establishment | St.27 status event code:A-2-4-F10-F11-exm-PR0701 | |
| PR1002 | Payment of registration fee | St.27 status event code:A-2-2-U10-U12-oth-PR1002 Fee payment year number:1 | |
| PG1601 | Publication of registration | St.27 status event code:A-4-4-Q10-Q13-nap-PG1601 | |
| PC1903 | Unpaid annual fee | St.27 status event code:A-4-4-U10-U13-oth-PC1903 Not in force date:20240408 Payment event data comment text:Termination Category : DEFAULT_OF_REGISTRATION_FEE | |
| PC1903 | Unpaid annual fee | St.27 status event code:N-4-6-H10-H13-oth-PC1903 Ip right cessation event data comment text:Termination Category : DEFAULT_OF_REGISTRATION_FEE Not in force date:20240408 |