











본 개시(Disclosure)는 전체적으로 뇌경색 영역의 분할 방법에 관한 것으로, 특히 쓰레쉬홀드 값을 기준으로 자동으로 뇌경색 영역을 분할하는 뇌경색 영역의 분할 방법에 관한 것이다.Disclosure relates to a method of dividing a cerebral infarct region as a whole, and more particularly to a method of dividing a cerebral infarct region into which a cerebral infarct region is automatically divided based on a threshold value.
여기서는, 본 개시에 관한 배경기술이 제공되며, 이들이 반드시 공지기술을 의미하는 것은 아니다(This section provides background information related to the present disclosure which is not necessarily prior art).Herein, the background art relating to the present disclosure is provided, and these are not necessarily meant to be known arts.
의료 영상을 사용하여 병변의 상태를 평가하는 방법이 널리 사용되고 있다. 예를 들어, 뇌경색(cerebral infarction) 또는 뇌출혈(cerebral hemorrhage) 등 급성 뇌졸중(acute stroke) 환자의 경우 MRI로 뇌영상을 찍어 경색 영역을 평가한다.Methods for evaluating the status of lesions using medical images are widely used. For example, in patients with acute stroke, such as cerebral infarction or cerebral hemorrhage, the area of infarction is assessed by imaging the brain with MRI.
뇌졸중의 경우, 신경기능의 회복을 위해 신속한 평가와 치료를 하는 것이 중요하다. 이를 위해 뇌경색 영역을 정확히 평가하는 방법이 연구되어 왔다. 예를 들어, MRI 영상으로서 뇌의 혈류를 보여주는 perfusion-weighted imaging(PWI)와 물분자의 확산을 보여주는 diffusion-weighted imaging(DWI)가 급성 뇌졸중 환자를 평가하는 데에 사용되어 왔다. DWI에서 물분자의 확산 정도는 물분자의 에너지에 영향을 받으며, 따라서 온도에 영향을 받는다. 생체 내에서는 조직, 세포의 격벽, 혈관 구조 등에 의해 확산이 제한된다. 급성 뇌졸중 평가에서 DWI의 비정상(abnormalness)은 허혈(ischemia)의 징표이며, 이는 전형적으로 뇌경색으로 진행한다.In the case of stroke, rapid evaluation and treatment are important for the recovery of neurological function. For this purpose, a method of accurately evaluating the area of cerebral infarction has been studied. For example, perfusion-weighted imaging (PWI), which shows blood flow in the brain as a MRI image, and diffusion-weighted imaging (DWI), which shows diffusion of water molecules, have been used to evaluate acute stroke patients. In DWI, the degree of diffusion of water molecules is influenced by the energy of the water molecules and is therefore temperature dependent. In vivo, diffusion is restricted by tissues, cell walls, and vascular structures. In acute stroke assessment, DWI abnormality is a sign of ischemia, which typically progresses to cerebral infarction.
PWI에 나타난 뇌경색 영역과 DWI에 나타난 뇌경색 영역은 뇌졸중의 발생 시점에 관련 있으며, 일정 시간 이내에는 이들이 일치하지 않는 경우가 많다. 따라서 급성 허혈성 뇌졸중(acute ischemic stroke)에서 PWI-DWI mismatch에 대한 정량적 평가가 중요하다. PWI-DWI mismatch 영역은 허혈에 의해 영향을 받은 주변부(ischemic penumbra)로서 치료에 의해 다시 살아날 수 있는 영역으로 평가되기 때문이다. 따라서 DWI에서 정확하게 경색 영역의 코어(core)를 분할하는 것이 중요하며, 분할의 방법으로는 예를 들어, 어뎁티브 쓰레쉬홀드 알고리즘이 사용될 수 있다.The cerebral infarct area in PWI and the cerebral infarct area in DWI are related to the time of stroke and often do not coincide within a certain time. Therefore, quantitative evaluation of PWI-DWI mismatch in acute ischemic stroke is important. The PWI-DWI mismatch region is an ischemic penumbra that is assessed as an area that can be resuscitated by treatment. Therefore, it is important to divide the core of the infarct region accurately in DWI, and an adaptive threshold algorithm can be used as a method of division, for example.
실재 현장에서 PWI-DWI mismatch 분석이 수동으로(manual)로 의사에 의해 이미지 에티팅 등의 방법으로 수행되고 있다. 따라서 의사마다 경색 영역을 평가에 차이가 있을 수 있다. 그러므로 객관적이고 정략적이며, 자동으로 경색 영역을 분할하는 방법이 요구된다.PWI-DWI mismatch analysis is performed manually in the field by physician-assisted image-typing. Therefore, there may be differences in the evaluation of infarct area per physician. Therefore, a method of dividing the infarction area automatically and objectively is required.
미국 등록특허 제8,125,223호에는 DWI 기반으로 경색 영역(infarction region)을 분할하는 방법이 개시되 있다. 그러나 상기 문서에 개시된 방법은 개별적인 DWI 영상에서 경색 영역을 분할하는 특수한 방법에 대한 것이고 쓰레쉬홀드 값을 어떻게 설정하여 자동으로 경색 영역을 분할할 것인지에 대해서는 개시하지 못한다.U.S. Patent No. 8,125,223 discloses a method of dividing an infarction region based on DWI. However, the method disclosed in this document is directed to a special method of dividing the infarct region in individual DWI images and does not disclose how to set the threshold value to automatically divide the infarct region.
이에 대하여 '발명의 실시를 위한 구체적인 내용'의 후단에 기술한다.This will be described later in the Specification for Implementation of the Invention.
여기서는, 본 개시의 전체적인 요약(Summary)이 제공되며, 이것이 본 개시의 외연을 제한하는 것으로 이해되어서는 아니된다(This section provides a general summary of the disclosure and is not a comprehensive disclosure of its full scope or all of its features).SUMMARY OF THE INVENTION Herein, a general summary of the present disclosure is provided, which should not be construed as limiting the scope of the present disclosure. of its features).
본 개시에 따른 일 태양에 의하면(According to one aspect of the present disclosure), 뇌경색(cerebral infarction) 영역의 분할(segmentation) 방법에 있어서, 복수의 뇌영상을 사용하여 뇌영상의 템플릿 히스토그램이 생성하는 단계; 분할 대상이 되는 뇌영상의 히스토그램을 템플릿 히스토그램에 매칭하는 단계; 그리고 매칭된 히스토그램에서 템플릿 히스토그램을 기초로 선정된 쓰레쉬홀드(threshold) 값을 기준으로 뇌경색 영역을 분할하는 단계:를 포함하는 것을 특징으로 하는 뇌경색 영역의 분할 방법이 제공된다.According to one aspect of the present disclosure, there is provided a method of segmenting a cerebral infarction region, comprising: generating a template histogram of a brain image using a plurality of brain images; ; Matching a histogram of a brain image to be divided with a template histogram; And dividing a cerebral infarct region based on a threshold value selected based on the template histogram in the matched histogram.
이에 대하여 '발명의 실시를 위한 구체적인 내용'의 후단에 기술한다.This will be described later in the Specification for Implementation of the Invention.
도 1은 본 개시에 따른 뇌경색 영역의 분할 방법의 일 예를 설명하는 도면,
도 2는 DWI 뇌영상의 일 예를 설명하는 도면,
도 3은 DWI 뇌영상에서 분할된 뇌영상의 일 예를 설명하는 도면,
도 4는 히스토그램 매칭 전에 복수의 환자들의 DWI 뇌영상에서 히스토그램의 평균 및 표준편차의 일 예를 설명하는 도면,
도 5는 히스토그램 매칭 방법의 일 예를 설명하는 도면,
도 6은 히스토그램 매칭의 수학적 기법의 일 예를 설명하는 도면,
도 7은 히스토그램 매칭 후에 복수의 환자들의 DWI 뇌영상에서 히스토그램의 평균 및 표준편차의 일 예를 설명하는 도면,
도 8은 템플릿 히스토그램에 분할 대상 히스토그램을 매칭하는 방법 및 경색 영역을 보정하는 방법의 일 예를 설명하는 도면,
도 9는 뇌실(ventricle)의 분할의 일 예를 설명하는 도면,
도 10은 ADC 영상에서 ROI Vs NonROI에 대해 히스토그램의 일 예를 설명하는 도면,
도 11은 복수의 환자들의 ADC 영상에서 ROI Vs NonROI에 대해 히스토그램의 평균 및 표준편차의 일 예를 설명하는 도면,
도 12는 쓰레쉬홀드 값, 경색 영역의 사이즈 및 ADC 쓰레쉬홀드 값을 파라미터로 하여 FROC 분석 그래프의 일 예를 설명하는 도면.1 is a view for explaining an example of a dividing method of a cerebral infarct region according to the present disclosure,
2 is a view for explaining an example of a DWI brain image,
3 is a view for explaining an example of a brain image segmented in a DWI brain image,
4 is a view for explaining an example of the mean and standard deviation of a histogram in DWI brain images of a plurality of patients before histogram matching,
5 is a view for explaining an example of a histogram matching method,
6 is a diagram illustrating an example of a mathematical technique of histogram matching,
FIG. 7 is a view for explaining an example of the mean and standard deviation of a histogram in a DWI brain image of a plurality of patients after histogram matching;
8 is a view for explaining an example of a method of matching a histogram to be divided with a template histogram and a method of correcting an infarction area,
9 is a view for explaining an example of division of a ventricle,
10 is a view for explaining an example of a histogram for ROI Vs NonROI in an ADC image,
11 is a view for explaining an example of the mean and standard deviation of a histogram for ROI Vs Non ROI in ADC images of a plurality of patients,
12 is a view for explaining an example of an FROC analysis graph using a threshold value, a size of an infarct region, and an ADC threshold value as parameters.
이하, 본 개시를 첨부된 도면을 참고로 하여 자세하게 설명한다(The present disclosure will now be described in detail with reference to the accompanying drawing(s)).The present disclosure will now be described in detail with reference to the accompanying drawings.
도 1은 본 개시에 따른 뇌경색 영역의 분할 방법의 일 예를 설명하는 도면이다.1 is a view for explaining an example of a dividing method of a cerebral infarction area according to the present disclosure.
뇌경색(cerebral infarction) 영역의 분할(segmentation) 방법에서, 복수의 뇌영상을 사용하여 뇌영상의 템플릿 히스토그램(histogram)이 생성된다(S30). 예를 들어, DWI B0 및 B1000에서 템플릿(template) 히스토그램 획득된다. 템플릿 히스토그램 생성을 위한 사전 과정으로서 MRI로 획득된 뇌영상에 대해 BET 추출과정(S10)과 B1000에서 뇌를 추출하는 과정이 수행될 수 있다(S30).In a segmentation method of a region of cerebral infarction, a template histogram of a brain image is generated using a plurality of brain images (S30). For example, template histograms are obtained in DWI B0 and B1000. As a preliminary process for generating a template histogram, a BET extraction process (S10) and a brain extraction process in B1000 may be performed on the brain image acquired by the MRI (S30).
본 개시에서 뇌경색 영역의 분할 방법은 MRI의 DWI를 중심으로 설명되지만, 모달리티가 다른 뇌영상을 사용하여 뇌경색 영역의 분할 방법을 적용하는 것이 고려될 수도 있다.Although the method of dividing a cerebral infarct region in the present disclosure is described mainly on the DWI of an MRI, it may be considered to apply a method of dividing a cerebral infarct region using a brain image having a different modality.
이후, 템플릿 히스토그램을 기초로 쓰레쉬홀드 값(threshold value; Th)가 선정될 수 있다(S40). 쓰레쉬홀드 값은 복수의 뇌 영상의 히스토그램을 사용하여 선정될 수 있다. 다음으로, 분할 대상이 되는 뇌영상의 히스토그램을 템플릿 히스토그램에 매칭한다(S60). 이후, 매칭된 히스토그램에서 쓰레쉬홀드 값(threshold value)을 기준으로 뇌경색 영역을 분할한다(S70). 이와 같이 선정된 쓰레쉬홀드 값에 의해 경색 영역을 자동으로 분할할 수 있다.Thereafter, a threshold value (Th) may be selected based on the template histogram (S40). The threshold value can be selected using a histogram of a plurality of brain images. Next, the histogram of the brain image to be divided is matched to the template histogram (S60). Thereafter, the cerebral infarct region is divided based on the threshold value in the matched histogram (S70). The infarction area can be automatically segmented by the threshold value thus selected.
한편, 경색 영역으로 분할된 영역에는 비경색 영역이 일부 포함될 수 있다. 이와 같은 오류를 보정하는 과정이 수행될 수 있다. 예를 들어, DWI B1000에서 뇌실(ventricle) 분할되고(S51), 뇌실 및 non-infarct regions의 평균 및 편차가 모델링된 후에(S53), 쓰레쉬홀드 값이 보정될 수 있다(S55). 이에 더하여, DWI의 역상인 ADC을 이용하여 오류의 수정 과정이 수행될 수 있다(S80).On the other hand, the non-infarcted area may be partially included in the infarcted area. A process of correcting such an error can be performed. For example, the threshold value may be corrected (S55) after the mean and variance of the ventricle and non-infarct regions are modeled (S53), ventricle partitioning (DWI B1000), and so on. In addition, an error correction process can be performed using ADC, which is a reverse phase of DWI (S80).
본 개시에 따른 뇌경색 영역의 분할 방법에 의하면, 뇌경색 영역이 자동으로 찾아지고 분할될 수 있다.According to the method of dividing a cerebral infarction area according to the present disclosure, a cerebral infarct area can be automatically found and divided.
이하, 각 과정이 상세히 설명된다.Hereinafter, each process will be described in detail.
도 2는 DWI 뇌영상의 일 예를 설명하는 도면이고, 도 3은 DWI 뇌영상에서 분할된 뇌영상의 일 예를 설명하는 도면이다.FIG. 2 is a view for explaining an example of a DWI brain image, and FIG. 3 is a view for explaining an example of a brain image divided in a DWI brain image.
뇌영상의 템플릿 히스토그램 생성 전의 사전 과정으로서 DWI를 찍으면, 뇌 이외의 다른 영역(예: 잡음, CSF)과 같이 뇌졸중이 발생하지 않는 영역까지 포함된다. 이와 같은 영역을 BET와 같은 오픈된 소프트웨어로 뽑아낼 수 있다. 예를 들어, 도 2에서 화이트(white)는 DWI B0에서 BET 실행한 결과 추출된 뇌 마스크(brain mask)이다. 화이트 내측의 회색은 DWI B1000에서 Th=95로 추출된 뇌 마스크이다. 도 3(a)는 B1000에서 Th=90로 추출된 뇌 마스크이고, 대략 중앙에 Th=290로 추출된 경색 영역(10)이 나타나 있다. 도 3(b)는 DWI B0에서 반전(inversion) 영상을 보여준다. B0, B1000 중 B1000을 가지고 쓰레쉬홀딩하면 뇌가 더 잘 찾아질 수 있다. 본 예에서는 DWI를 사용하여 경색(infarction)의 코어(core)를 찾는다.As a preliminary process before the template histogram generation of the brain image, DWI can be applied to areas other than the brain (eg, noise, CSF) that do not cause a stroke. These areas can be extracted by open software such as BET. For example, white in FIG. 2 is a brain mask extracted as a result of BET execution in DWI B0. The gray inside the white is the brain mask extracted with Th = 95 in DWI B1000. 3 (a) is a brain mask extracted with Th = 90 in B1000, and the
도 4는 히스토그램 매칭 전에 복수의 환자들의 DWI 뇌영상에서 히스토그램의 평균 및 표준편차의 일 예를 설명하는 도면이다.4 is a view for explaining an example of the mean and standard deviation of the histogram in DWI brain images of a plurality of patients before histogram matching.
어떤 환자의 DWI B1000 뇌영상의 히스토그램(예: 도 5(a) 참조)에서 가로축은 뇌영상에서 픽셀의 인텐시티(intensity; I)이고, 세로축은 뇌영상에 어떤 인텐시티를 가지는 픽셀의 개수(N)를 나타낸다. 즉, 히스토그램은 어떤 DWI 뇌 영상에서 인텐시티 값의 확률분포를 보여준다.In the histogram of a DWI B1000 brain image of a patient (for example, see Fig. 5 (a)), the abscissa is the intensity of the pixel in the brain image and the ordinate is the number of pixels (N) . In other words, the histogram shows the probability distribution of intensity values in some DWI brain images.
본 예에서는 19명의 환자들로부터 DWI 뇌영상을 획득한 후, 뇌실(ventricle), 경색 영역(infarction region) 및 비경색 영역(non-infarction region)이 구분된 복수의 초기 뇌영상을 기초로 템플릿 히스토그램을 생성하는 과정을 포함한다. 상기 복수의 초기 뇌영상에서 경색 영역은 의사에 의해 경색 영역으로 판정된 영역(예: 도 2의 10 참조)이며, 전술된 것과 같이 의사의 지식과 경험에 의해 수동으로 정해질 수 있다. 이렇게 의사에 의해 평가된 경색 영역, 비경색 영역 및 뇌실을 이루는 픽셀의 인텐시티 값의 평균 및 표준편차를 각각 구할 수 있다. 도 4에서 수평축은 환자의 번호를 나타내며, 세로축은 인텐시티 값을 나타낸다. 도 4에서 각 그래프는 19명의 뇌영상에서 경색 영역, 비경색 영역 및 뇌실의 평균값을 연결한 것이고, 표준편차가 상하 일정 범위로 표시되어 있다. 이와 같이 복수의 뇌영상의 히스토그램을 동시에 표시할 수 있다.In this example, DWI brain images were obtained from 19 patients, and then based on a plurality of early brain images divided into ventricles, infarction regions and non-infarction regions, a template histogram . In the plurality of initial brain images, the infarct area is a region determined by the physician as an infarct area (e.g., see 10 in FIG. 2), and can be manually determined by the physician's knowledge and experience as described above. The average and standard deviation of the intensities of the pixels constituting the infarct area, the non-infarct area and the ventricle evaluated by the doctor can be respectively obtained. 4, the horizontal axis represents the patient's number, and the vertical axis represents the intensity value. In FIG. 4, each graph represents the average value of the infarct area, the non-infarct area, and the ventricle in 19 brain images, and the standard deviation is displayed in a range of up and down. Thus, the histograms of a plurality of brain images can be simultaneously displayed.
다수의 환자들의 히스토그램을 사용하여 자동으로 경색 영역을 분할해줄 쓰레쉬홀드 값이 선정될 수 있다. 예를 들어, 도 4에서 대략 Th1=170 정도로 쓰레쉬홀딩(thresholding)하면 복수의 환자들(1-19)의 경색 영역이 거의 다 포함되도록 분할될 수 있다. 그러나, 이 경우, 비경색 영역이 너무 많이 경색 영역으로 분할되는 것을 확인힐 수 있고, 그 결과 분할의 정확도가 떨어지는 문제가 있다.A threshold value can be chosen to automatically divide the infarct area using histograms of multiple patients. For example, if thresholding is performed at about Th1 = 170 in FIG. 4, the infarct area of a plurality of patients 1-19 may be almost all included. However, in this case, it can be confirmed that the non-infarcted region is divided into too many infarcted regions, and as a result, there is a problem that the accuracy of division is lowered.
도 5는 히스토그램 매칭 방법의 일 예를 설명하는 도면이다.5 is a diagram for explaining an example of a histogram matching method.
도 4와 같이, 복수의 히스토그램 자체에서 직접 쓰레쉬홀드 값을 정하는 방법은 정확도가 떨어지고 개별 환자별로 편차가 심해서 쓰레쉬홀드 값 선정에 곤란한 점이 있다. 따라서, 도 5에 도시된 것과 같이, 히스토그램 매칭 과정이 수행되며, 복수의 매칭된 히스토그램을 사용하여 템플릿 히스토그램이 만들어질 수 있다.As shown in FIG. 4, the method of directly determining a threshold value directly from a plurality of histograms is inferior in accuracy and difficult to select a threshold value because of a large variation among individual patients. Accordingly, as shown in FIG. 5, a histogram matching process is performed, and a template histogram can be created using a plurality of matched histograms.
복수의 히스토그램을 매칭하는 방법의 일 예로, 1번 히스토그램을 기준으로 나머지 모든 히스토그램이 각각 매칭될 수 있다. 예를 들어, 히스토그램 매칭 과정은 나머지 히스토그램의 각각의 수평축의 인텐시티 범위가 1번 히스토그램과 동일하도록 변환(transformation)하는 과정이며, 동시에 나머지 히스토그램의 확률분포, 즉 히스토그램의 형상의 동일성이 유지되도록 변환되는 과정이다.As an example of a method of matching a plurality of histograms, all the remaining histograms may be matched based on the first histogram. For example, the histogram matching process is a process of transforming the intensity range of each horizontal axis of the remaining histogram to be equal to the histogram of the first histogram, and at the same time, the probability distribution of the remaining histograms, that is, the shape of the histogram, Process.
도 6은 히스토그램 매칭의 수학적 기법의 일 예를 설명하는 도면이다.FIG. 6 is a diagram illustrating an example of a mathematical technique of histogram matching.
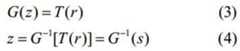
예를 들어, 이를 수학적으로 표시하면 아래와 같다.For example, this is mathematically shown below.
도 6(a)에는 입력 영상과 히스토그램이 나타나 있고, 도 6(b)에는 입력과 출력의 관계가 나타나 있으며, 도 6(c)에는 출력 영상과 히스토그램이 나타나 있다.Fig. 6 (a) shows the input image and histogram, Fig. 6 (b) shows the relationship between input and output, and Fig. 6 (c) shows the output image and the histogram.
여기서, 입력 영상에서 s를 random variable of the form이라고 하면,Here, if s is a random variable of the form in the input image,
와 같이 표시할 수 있다.As shown in FIG.
출력 영상에서 random variable z를In the output image, random variable z
와 같이 정의하면, 히스토그램 매칭을 위한 관계식은, The relational expression for histogram matching is
와 같이 얻어진다.Respectively.
따라서, T(r)은 입력 영상의 PDF 인텐시티로부터 획득될 수 있고, G(z)가 s로 획득될 수 있다.Thus, T (r) can be obtained from the PDF intensities of the input image, and G (z) can be obtained from s.
도 7은 히스토그램 매칭 후에 복수의 환자들의 DWI 뇌영상에서 히스토그램의 평균 및 표준편차의 일 예를 설명하는 도면이다.FIG. 7 is a view for explaining an example of the mean and standard deviation of the histogram in DWI brain images of a plurality of patients after histogram matching; FIG.
도 7에 도시된 것과 같이, 복수의 히스토그램을 어느 하나(예: 1번 히스토그램)을 기준으로 매칭한 결과, 비경색 영역의 평균과 뇌실의 평균이 복수의 히스토그램들 간에 평활화가 된 것을 확인할 수 있다. 평활화의 효과는 경색 영역보다 비 경색 영역 및 뇌실에 대해 더 큰 것을 알 수 있다. 도 7에서 대략 Th2=17000 정도로 쓰레쉬홀딩하면 복수의 매칭된 히스토그램에서 경색 영역의 대부분이 분할될 수 있으며, 비 경색 영역이 경색 영역으로 분할되는 정도를 현저히 감소시킬 수 있는 것을 알 수 있다.As shown in FIG. 7, it can be confirmed that the average of the non-infarcted regions and the average of the ventricles are smoothed among a plurality of histograms as a result of matching a plurality of histograms based on any one (e.g., the first histogram) . It can be seen that the effect of smoothing is greater for non-infarcted areas and ventricles than for infarcted areas. 7, it can be seen that most of the infarcted regions can be divided in a plurality of matched histograms, and the degree of the non-infarcted regions being divided into the infarcted regions can be remarkably reduced.
따라서, 도 7과 같은 평활화된 히스토그램 또는 복수의 매칭된 히스토그램을 기초로 경색 영역과 비 경색 영역의 경계값 즉 쓰레쉬홀드 값을 일률적으로 하나의 값으로 정하여 분할하면, 자동화된 분할이 가능하고, 의사마다 경색 영역이 달라지는 문제점을 해결할 수 있다. 또한, 이러한 복수의 매칭된 히스토그램에서 쓰레쉬홀드 값을 정하여 분할하는 방법의 신뢰도도 매우 높기 때문에 실제 사용에도 문제가 없다.Therefore, if the boundary value between the infarcted region and the non-infarcted region, that is, the threshold value, is uniformly divided into one value based on the smoothed histogram or the plurality of matched histograms as shown in FIG. 7, It is possible to solve the problem that the infarct area varies with each doctor. In addition, since the reliability of the method of dividing the threshold values in the plurality of matched histograms is very high, there is no problem in actual use.
이러한 쓰레쉬홀드 값을 적용하여 어떤 환자의 히스토그램에서 경색 영역을 분할하기 위해서는 분할 대상이 되는 히스토그램에 대해, 도 7에서 설명된 것과 같이, 히스토그램 매칭 과정이 수행된다. 이렇게 히스토그램 매칭이 수행되는 기준이되는 템플릿 히스토그램을 만들면 더욱 신뢰성이 있는 매칭이 가능하고, 따라서 쓰레쉬홀드 값의 신뢰성 또한 향상될 수 있다.In order to divide the infarct area in a histogram of a patient by applying such a threshold value, a histogram matching process is performed for the histogram to be divided, as illustrated in FIG. By creating a template histogram that is the basis on which histogram matching is performed, more reliable matching can be performed, and thus the reliability of the threshold value can also be improved.
히스토그램 매칭된 복수의 히스토그램을 기초로 템플릿 히스토그램이 만들어질 수 있다. 템플릿 히스토그램은 기초가 되는 복수의 매칭된 히스토그램의 개수를 추가함에 따라 변동될 수 있다. 예를 들어, 분할 대상 히스토그램을 템플릿 히스토그램에 매칭하는 과정은 수평축의 인텐시티 범위가 템플릿 히스토그램과 분할 대상 히스토그램에서 동일하도록 변환(transformation)하는 과정이며, 동시에 분할 대상 히스토그램의 확률분포, 즉 히스토그램의 형상의 동일성이 유지되도록 변환되는 과정이다. 예를 들어, 템플릿 히스토그램은 전술된 것과 같이 매칭된 복수의 히스토그램들의 평균을 구하여 만들어질 수 있다. 이와 같이 템플릿 히스토그램을 매칭의 기준으로 만들면, 복수의 히스토그램 중 임의의 히스토그램을 매칭의 기준으로 하는 경우에 비하여 선택편항(selection bias)를 현저히 감소할 수 있다. 이러한 템플릿 히스토그램은 경색 영역의 분할이 수행될 히스토그램에 대해 히스토그램 매칭의 기준이 된다.Histogram A template histogram can be created based on a plurality of histograms matched. The template histogram can be varied by adding the number of the plurality of matched histograms to be based on. For example, the process of matching the histogram to the template histogram is a process of transforming the intensity range of the horizontal axis to be the same in the template histogram and the dividing target histogram. At the same time, the probability distribution of the histogram to be divided, This process is transformed so that identity is maintained. For example, the template histogram may be generated by averaging a plurality of matched histograms as described above. When the template histogram is used as a reference for matching, the selection bias can be significantly reduced as compared with the case where any histogram among the plurality of histograms is used as a reference for matching. This template histogram serves as a basis for histogram matching for the histogram in which the infarction region is to be segmented.
이와 같이 생성된 템플릿 히스토그램을 기준으로 복수의 히스토그램을 다시 쓰레쉬홀딩하고 ADC 영상을 사용하여 False Positives를 제거하는 과정이 추가될 있다(도 10, 도 11 참조). 이에 대해 더 후술된다. 또한 경색 영역의 사이즈(infarct size) 등을 통한 필터링 과정이 추가될 있다(도 12 참조). 이에 대해서도 더 후술된다. 그 결과, 경색 영역을 소프트웨어에 의해 자동으로 탐지하고 추출할 수 있다.A process of re-thresholding a plurality of histograms based on the template histogram thus generated and eliminating false positives using an ADC image is added (see FIGS. 10 and 11). This will be described further below. Further, a filtering process is added through the infarct size and the like (refer to FIG. 12). This will be further described below. As a result, the infarction area can be automatically detected and extracted by software.
도 8은 템플릿 히스토그램에 분할 대상 히스토그램을 매칭하는 방법 및 경색 영역을 보정하는 방법의 일 예를 설명하는 도면이다.Fig. 8 is a diagram for explaining an example of a method of matching a histogram to be divided to a template histogram and a method of correcting an infarction area.
도 8(a)는 도 7에서 설명된 템플릿 히스토그램의 일 예를 보여주며, 도 8(b)는 분할 대상 히스토그램의 일 예를 보여준다. 도 8(c)는 도 8(b)의 히스토그램을 도 8(a)의 템플릿 히스토그램에 매칭한 결과 매칭된 히스토그램을 보여준다. 도 8(d)는 DWI 뇌영상에서 찾아진(detected) 경색 영역(20)을 보여준다. 매칭된 히스토그램을 쓰레쉬홀딩하면 경색 영역에 해당되는 픽셀들을 역으로 찾아갈 수 있고, 이렇게 찾아진 픽셀들은 DWI 영상에서, 도 8(d)에 도시된 것과 같이, 경색 영역(20)으로 분할될 수 있다. 경색 영역(20)은 주변과 다른 색으로 표시될 수 있지만 도 8(d)에는 주변보다 더 진한 회색으로 표시되어 있다.FIG. 8A shows an example of a template histogram shown in FIG. 7, and FIG. 8B shows an example of a division target histogram. Fig. 8 (c) shows a histogram that is matched as a result of matching the histogram of Fig. 8 (b) to the template histogram of Fig. 8 (a). 8 (d) shows the
경색 영역을 이루는 픽셀들의 인텐시티는 편차를 가지며, 따라서 전술된 것과 같이 선정된 쓰레쉬홀드 값으로 쓰레쉬홀딩하여도 비경색 영역의 픽셀이 경색 영역으로 분할될 수도 있다. 이러한 오류를 보정하는 과정이 추가될 수 있다. 이러한 보정은 쓰레쉬홀드 값을 선정하는 과정에서 쓰레쉬홀드 값 자체를 보정하는 방법과, 쓰레쉬홀딩된 경색 영역에서 비경색 영역의 픽셀을 제거하는 방법이 사용될 수 있다.The intensities of the pixels constituting the infarction area have a variation, and therefore, pixels in the non-infarcted area may be divided into the infarcted areas even if thresholding is performed with a predetermined threshold value as described above. Procedures for correcting these errors may be added. Such correction may be performed by a method of correcting the threshold value itself in the process of selecting the threshold value and a method of removing pixels in the non-infarcted region in the thresholded infarction region.
도 9는 뇌실(ventricle)의 분할의 일 예를 설명하는 도면이다.9 is a view for explaining an example of division of a ventricle.
쓰레쉬홀드 값을 선정하는 과정에서 쓰레쉬홀드 값 자체를 보정하기 위해, 도 9에 도시된 것과 같이, 뇌실을 분할하고, 뇌실을 구성하는 픽셀의 평균 인텐시티와 표준편차가 도 4에서 설명된 것과 같이 구해질 수 있다. 도 4에서 뇌실의 평균은 복수의 히스토그램에서 서로 다르게 나타나며, 특히 비경색 영역의 평균이 거의 뇌실의 평균의 변화에 유사하게 변화되는 것을 알 수 있다.In order to correct the threshold value itself in the process of selecting the threshold value, the ventricle is divided as shown in Fig. 9, and the average intensity and standard deviation of the pixels constituting the ventricle are calculated as shown in Fig. 4 You can get it together. In FIG. 4, the mean of the ventricles is different in a plurality of histograms, and in particular, it can be seen that the average of the non-infarcted regions is almost similar to the change in the average of the ventricles.
따라서, 특정 환자의 히스토그램에 대해 쓰레쉬홀드 값을 적용하여 경색 영역을 분할할 때, 뇌실 평균이 다른 히스토그램에 비해, 또는 템플릿 히스토그램에 비해 높거나 낮으면, 쓰레쉬홀드 값에 일정 값을 더하거나 빼서 새로운 쓰레쉬홀드 값으로 변경하는 것이 가능하다. 이렇게 변경된 쓰레쉬홀드 값을 사용하여 비경색 영역의 픽셀이 경색 영역으로 분할되는 오류를 감소시킬 수 있다.Therefore, when dividing the infarct region by applying a threshold value to a histogram of a particular patient, if the ventricular mean is higher or lower than the other histograms, or higher or lower than the template histogram, a certain value is added to or subtracted from the threshold value It is possible to change to a new threshold value. By using the threshold value changed in this way, it is possible to reduce the error that the pixels in the non-infarcted region are divided into the infarcted regions.
도 10은 ADC 영상에서 ROI Vs NonROI에 대해 히스토그램의 일 예를 설명하는 도면이고, 도 11은 복수의 환자들의 ADC 영상에서 ROI Vs NonROI에 대해 히스토그램의 평균 및 표준편차의 일 예를 설명하는 도면이다.10 is a view for explaining an example of a histogram for ROI Vs Non ROI in an ADC image and FIG. 11 is a view for explaining an example of an average and a standard deviation of a histogram for ROI Vs Non ROI in ADC images of a plurality of patients .
도 10은 ADC 영상의 히스토그램으로서, 도 10(a)는 비경색 영역의 히스토그램의 일 예이고, 도 10(b)는 경색 영역의 히스토그램의 일 예이다. 도 11에는 ADC 영상에 대해서도 복수의 환자에 대해 히스토그램을 만들어서 도 11과 같이 도시될 수 있다. 도 11에서 상측에 사각 표시된 그래프는 뇌실 영역이고, 가장 하단의 세모표시된 그래프는 경색 영역이고, 가운데에 원형 도트로 표시된 그래프는 비경색 영역의 ADC의 히스토그램을 나타낸다.10 is a histogram of an ADC image. FIG. 10 (a) is an example of a histogram of a non-infarcted region, and FIG. 10 (b) is an example of a histogram of an infarct region. 11, the ADC image can also be shown as shown in FIG. 11 by creating a histogram for a plurality of patients. In FIG. 11, the upper graph shows the ventricle area, the lower graph shows the infarct area, and the middle graph shows the histogram of the ADC in the non-infarct area.
ADC는 DWI을 기초로 계산에 의해 생성된 영상이다. ADC(apparent diffusion coefficient)는 확산 계수로서 온도의 함수이다. 신체 내에서는 세포벽이 존재하고 온도가 불균일하기 때문에 DWI 이용하여 ADC를 계산할 수 있다. DWI와 ADC는 역상이다. 경색 영역은 세포의 팽창으로 인해 세포 바깥의 물의 확산이 감소한다. 확산이 감소된 영역은 B1000에서 DWI를 찍으면 신호 저하(decrease)가 작은 영역이 되며, DWI 영상에는 밝게 나온다. 반면, 확산이 감소된 영역은 ADC에서는 정상보다 어둡게 나온다. 뇌척수액(cerebrospinal fluid; CSF)과 같은 물은 자유 확산(free diffusion) 영역으로서 ADC가 밝게 나오고 DWI가 어둡게 나온다.ADC is a computationally generated image based on DWI. The apparent diffusion coefficient (ADC) is a function of temperature as a diffusion coefficient. Because the cell walls are present and the temperature is uneven in the body, the ADC can be calculated using DWI. DWI and ADC are reversed. In the infarcted area, the expansion of the cells reduces the diffusion of water outside the cells. Diffused areas show a decrease in signal intensity when the DWI is taken at B1000 and bright areas at the DWI image. On the other hand, regions with reduced diffusion are darker than normal in ADCs. Water, such as cerebrospinal fluid (CSF), is a free diffusion region with a bright ADC and dark DWI.
이와 같은 ADC 영상에서도 도 11과 같은 그래프를 참조하여 ADC 쓰레쉬홀드 값을 정하여 경색 영역을 분할할 수 있다. 따라서, ADC 영상에서 경색 영역으로 구분된 픽셀과 도 7 및 도 8에서 설명된 템플릿 히스토그램에 매칭한 후 쓰레쉬홀딩되어 경색 영역으로 분할된 픽셀을 동시에 만족하는 픽셀만이 경색 영역으로 분할된다. 따라서 쓰레쉬홀딩에서 오류가 보완될 수 있다.In such an ADC image, referring to the graph shown in FIG. 11, it is possible to divide the infarction region by setting the ADC threshold value. Accordingly, only the pixels that satisfy the pixels classified into the infarcted regions in the ADC image and the pixels that are matched to the template histograms described in FIGS. 7 and 8 and then divided into the refracted regions are subjected to infarction. Therefore, errors can be compensated for in threshold holding.
도 12는 쓰레쉬홀드 값, 경색 영역의 사이즈 및 ADC 쓰레쉬홀드 값을 파라미터로 하여 FROC 분석 그래프의 일 예를 설명하는 도면이다.FIG. 12 is a view for explaining an example of the FROC analysis graph using the threshold value, the infarction area size, and the ADC threshold value as parameters.
도 12에는 템플릿 히스토그램의 쓰레쉬홀드 값을 200으로 고정하고, 경색 영역의 사이즈 및 ADC 영상에서 쓰레쉬홀딩 값을 파라미터로 변경하며 파라미터의 다양한 조합에 대해 FROC(Free Response Operating Characteristic) 분석한 그래프가 도시되어 있다. 수평축은 FPs(false points; 경색 영역으로 잘못 분할된 비경색 영역 픽셀 개수)이고, 수직축은 센스티비티(sensitivity; 경색 영역의 픽셀을 경색 영역으로 분할하는 확률)를 나타낸다. 도 12에서 하나의 그래프를 기준으로 ADC 쓰레쉬홀드 값이 증가하면 FPs가 증가한다.12 shows a graph in which the threshold value of the template histogram is fixed at 200, the size of the infarct area and the threshold value in the ADC image are changed to parameters, and a FROC (Free Response Operating Characteristic) analysis is performed for various combinations of parameters Respectively. The horizontal axis represents FPs (false points; the number of non-infarcted area pixels that are erroneously divided into infarct areas), and the vertical axis represents sensitivity (the probability of dividing pixels in infarct areas into infarct areas). In FIG. 12, when the ADC threshold value increases based on one graph, FPs increases.
예를 들어, FPs 개수는 2개 이하이고, 센스티비티가 약 85% 이상이며, 사이즈가 50 이상으로 조건을 정하면, 대략 위에서 첫 번째 및 두 번째 그래프가 해당됨을 알 수 있다. 이와 같이, 사용자가 경색 영역의 분할 방법의 조건들을 설정하여 방법의 신뢰성을 예측할 수 있다.For example, if the number of FPs is 2 or less, the sensitivity is about 85% or more, and the size is 50 or more, it can be understood that the first and second graphs are roughly above. In this way, the user can predict the reliability of the method by setting the conditions of the infarction area dividing method.
예를 들어, 템플릿 히스토그램 쓰레쉬홀드 값, 경색 영역의 사이즈 및 ADC 쓰레쉬홀드 값을 각각 200, 100, 700으로 하면, 센스티비티가 약 89.47%가 되며, FPs 개수는 1.47 정도가 된다. 이러한 결과는 센스티비티가 매우 높고, FPs 개수가 매우 작아서 매우 우수한 결과로 볼 수 있다.For example, if the template histogram threshold value, the infarct size, and the ADC threshold value are 200, 100, and 700, respectively, the sensitivity becomes about 89.47% and the number of FPs becomes about 1.47. These results are very good because the sensitivity is very high and the number of FPs is very small.
한편, 전술된 것과 같이, DWI B1000 및 DWI B0에서 획득된 뇌영상들의 히스토그램을 사용하여 생성된 템플릿 히스토그램에 매칭하여 경색 영역을 분할하고, ADC 영상 등을 사용하여 False Positives Reduction하는 적어도 하나의 예들을 설명하였다. 그러나, 이러한 단계적인 방법도 유효하지만, ADC와 DWI B1000 및 DWI B0을 순서에 관계없이 동시에 함께 고려하는 방법도 물론 가능하다.On the other hand, as described above, at least one example of performing the False Positive Reduction using the ADC image or the like is performed by dividing the infarct region by matching the template histogram generated using the histogram of the brain images obtained from DWI B1000 and DWI B0 . However, although this stepwise method is also effective, a method of simultaneously considering the ADC, the DWI B1000, and the DWI B0 together in any order is of course possible.
이하 본 개시의 다양한 실시 형태에 대하여 설명한다.Various embodiments of the present disclosure will be described below.
(1) 뇌경색(cerebral infarction) 영역의 분할(segmentation) 방법에 있어서, 복수의 뇌영상을 사용하여 뇌영상의 템플릿 히스토그램(histogram)을 생성하는 단계; 분할 대상이 되는 뇌영상의 히스토그램을 템플릿 히스토그램에 매칭하는 단계; 그리고 매칭된 히스토그램에서 템플릿 히스토그램을 기초로 선정된 쓰레쉬홀드 값(threshold value)을 기준으로 뇌경색 영역을 분할하는 단계:를 포함하는 것을 특징으로 하는 뇌경색 영역의 분할 방법.(1) A segmentation method of a cerebral infarction region, comprising: generating a template histogram of a brain image using a plurality of brain images; Matching a histogram of a brain image to be divided with a template histogram; And segmenting the cerebral infarct region based on a threshold value selected based on the template histogram in the matched histogram.
(2) 템플릿 히스토그램을 생성하는 단계는: 복수의 DWI 뇌영상 히스토그램 중 어느 하나의 히스토그램에 대해 다른 히스토그램을 매칭하는 과정; 그리고 매칭된 복수의 히스토그램의 평균을 구하는 과정;을 포함하는 것을 특징으로 하는 뇌경색 영역의 분할 방법.(2) generating a template histogram includes: matching different histograms with respect to any one of the plurality of DWI brain image histograms; And obtaining an average of a plurality of matched histograms.
(3) 템플릿 히스토그램에 매칭하는 단계는: 뇌영상의 히스토그램의 확률분포를 동일하게 유지하면서, 인텐시티 범위가 템플릿 히스토그램의 인텐시티 범위와 동일하게 변형하는 과정;을 포함하는 것을 특징으로 하는 뇌경색 영역의 분할 방법.(3) matching the template histogram includes: transforming the intensity range to the intensity range of the template histogram while keeping the probability distribution of the histogram of the brain image the same, and Way.
(4) 템플릿 히스토그램을 생성하는 단계는: 복수의 DWI 뇌영상 히스토그램 중 어느 하나의 히스토그램에 대해 다른 히스토그램을 매칭하는 과정; 매칭된 복수의 DWI 뇌영상 각각에 대해 뇌경색 영역의 픽셀의 인텐시티의 평균값 및 표준 편차가 구해지는 과정; 그리고 매칭된 복수의 DWI 뇌영상 각각에 대해 뇌경색 영역 이외의 영역의 픽셀의 인텐시티의 평균값 및 표준 편차가 구해지는 과정;을 포함하는 것을 특징으로 하는 뇌경색 영역의 분할 방법.(4) generating a template histogram comprises: matching different histograms to one of the plurality of DWI brain image histograms; A process in which an average value and a standard deviation of intensities of pixels in a cerebral infarct region are obtained for each of a plurality of matched DWI brain images; And calculating a mean value and a standard deviation of intensities of pixels in a region other than a cerebral infarct region for each of the plurality of matched DWI brain images.
(5) 뇌경색 영역을 분할하는 단계는: 뇌경색 영역이 사용자 설정 신뢰도로 분할되도록 복수의 DWI 뇌영상 각각의 표준편차를 고려하여 쓰레쉬홀드 값을 선정하는 과정;을 포함하는 것을 특징으로 하는 뇌경색 영역의 분할 방법.(5) dividing the cerebral infarct region comprises: selecting a threshold value considering the standard deviation of each of the plurality of DWI brain images so that the cerebral infarct region is divided into the user set reliability. Lt; / RTI >
(6) 쓰레쉬홀드 값에 의해 뇌경색 영역으로 분할된 영역 중 뇌경색 영역이 아닌 영역을 제외하는 과정;을 포함하는 것을 특징으로 하는 뇌경색 영역의 분할 방법.(6) a step of excluding a region which is not a cerebral infarct region from a region divided into a cerebral infarction region by a threshold value.
(7) 쓰레쉬홀드 값을 선정하는 과정은: 복수의 DWI 뇌영상 각각에 대해 뇌실(ventricle) 영역의 픽셀의 인텐시티의 평균값 및 표준편차를 구하는 과정; 그리고 뇌실 영역의 인텐시티 평균값을 고려하여 쓰레쉬홀드 값을 수정하는 과정;을 포함하는 것을 특징으로 하는 뇌경색 영역의 분할 방법.(7) The process of selecting a threshold value includes: a process of obtaining an average value and a standard deviation of intensities of pixels in a ventricle region for each of a plurality of DWI brain images; And modifying the threshold value in consideration of an intensity average value of the ventricle region.
(8) 뇌경색 영역이 아닌 영역을 제외하는 과정은; 복수의 DWI 뇌영상 각각에 대해 ADC 영상을 생성하는 과정; 그리고 ADC 영상에서 뇌경색 영역이 아닌 영역 및 DWI 영상에서 뇌경색 영역이 아닌 영역을 함께 평가하여 경색 영역으로부터 제외하는 과정;을 포함하는 것을 특징으로 하는 뇌경색 영역의 분할 방법.(8) The process of excluding a region that is not a cerebral infarction region is: A process of generating an ADC image for each of a plurality of DWI brain images; And a step of evaluating a region other than the cerebral infarction region in the ADC image and a region not the cerebral infarction region in the DWI image together and excluding the region from the infarct region.
DWI 영상(예: B1000, B0)에서 템플릿 히스토그램을 적용하여 경색 영역을 추출하고, 이와 함께 ADC 영상에서 템플릿 히스토그램을 적용하여 경색 영역을 추출하며, 이들을 함께 고려(예: B1000, B0, ADC 영상)하여 진정한 경색 영역(예: 경색 영역으로 중첩되는 영역)을 찾는 방법도 가능하다.(Eg, B1000, B0, ADC images) by extracting the infarct region by applying the template histogram in the DWI image (eg, B1000, B0), extracting the infarct region by applying the template histogram in the ADC image, , It is possible to find a true infarct area (for example, an area overlapping the infarct area).
(9) 히스토그램은 DWI B1000 영상을 기준으로 생성되며, 뇌실 영역은 DWI B0 영상을 기준으로 생성되는 것을 특징으로 하는 뇌경색 영역의 분할 방법.(9) The method of dividing a cerebral infarct region, wherein a histogram is generated based on a DWI B1000 image, and a ventricular region is generated based on a DWI B0 image.
(10) 템플릿 히스토그램의 쓰레쉬홀드 값, 경색 영역의 사이즈 및 ADC 영상에서 쓰레쉬홀딩 값을 파라미터로 변경하며 다양한 조합에 대해 FROC(Free Response Operating Characteristic) 분석을 기초로 FPs(false points) 및 센스티비티를 선택하는 단계;를 포함하는 것을 특징으로 하는 뇌경색 영역의 분할 방법.(10) Change the Threshold value of the template histogram, the size of the infarct region, and the Threshold value in the ADC image as parameters. Based on the Free Response Operating Characteristic (FROC) analysis for various combinations, FPs (false points) And selecting a T-bit.
본 개시에 따른 하나의 뇌경색 영역의 분할 방법에 의하면, 뇌경색 영역을 히스토그램을 기초로 정확하게 정량적으로 분할할 수 있다.According to the method of dividing one cerebral infarct region according to the present disclosure, the cerebral infarct region can be accurately and quantitatively divided based on the histogram.
본 개시에 따른 다른 하나의 뇌경색 영역의 분할 방법에 의하면, 뇌경색 영역을 히스토그램에 쓰레쉬홀드 값을 적용하여 자동으로 분할할 수 있다.According to another method of dividing a cerebral infarct region according to the present disclosure, a cerebral infarct region can be automatically divided by applying a threshold value to a histogram.
10 : 히스토그램 매칭 전 경색 영역20 : 히스토그램 매칭 후 경색 영역10: Infarct area before histogram matching20: Infarct area after histogram matching
| Application Number | Priority Date | Filing Date | Title |
|---|---|---|---|
| KR1020140034846AKR101578483B1 (en) | 2014-03-25 | 2014-03-25 | Segmentation method of cerebral infarction region |
| PCT/KR2014/012760WO2015099426A1 (en) | 2013-12-23 | 2014-12-23 | Method for segmenting cerebral infarction region |
| Application Number | Priority Date | Filing Date | Title |
|---|---|---|---|
| KR1020140034846AKR101578483B1 (en) | 2014-03-25 | 2014-03-25 | Segmentation method of cerebral infarction region |
| Publication Number | Publication Date |
|---|---|
| KR20150111537Atrue KR20150111537A (en) | 2015-10-06 |
| KR101578483B1 KR101578483B1 (en) | 2015-12-21 |
| Application Number | Title | Priority Date | Filing Date |
|---|---|---|---|
| KR1020140034846AExpired - Fee RelatedKR101578483B1 (en) | 2013-12-23 | 2014-03-25 | Segmentation method of cerebral infarction region |
| Country | Link |
|---|---|
| KR (1) | KR101578483B1 (en) |
| Publication number | Priority date | Publication date | Assignee | Title |
|---|---|---|---|---|
| JP2017189384A (en)* | 2016-04-13 | 2017-10-19 | キヤノン株式会社 | Image processor, image processing method and program |
| KR101958838B1 (en) | 2017-10-18 | 2019-03-15 | 정문길 | Black roofing tile molding apparatus with waste-gas combustor |
| KR20200055690A (en)* | 2020-02-17 | 2020-05-21 | (주)제이엘케이 | Method and system for extracting and integratin and evaluating lesion using pwi-dwi mismatch based on artificial intelligence |
| CN113034510A (en)* | 2021-03-03 | 2021-06-25 | 数坤(北京)网络科技有限公司 | Method for filtering infarct false positive based on CTP image |
| CN113034440A (en)* | 2021-03-03 | 2021-06-25 | 数坤(北京)网络科技有限公司 | Infarction classification method and system based on CTP brain perfusion image data |
| Publication number | Priority date | Publication date | Assignee | Title |
|---|---|---|---|---|
| JP2000126150A (en)* | 1998-10-23 | 2000-05-09 | Ge Yokogawa Medical Systems Ltd | Setting of interest region, image processing device, and image processing device for medical purpose |
| US20080021502A1 (en)* | 2004-06-21 | 2008-01-24 | The Trustees Of Columbia University In The City Of New York | Systems and methods for automatic symmetry identification and for quantification of asymmetry for analytic, diagnostic and therapeutic purposes |
| US20090080748A1 (en)* | 2002-10-18 | 2009-03-26 | Cornell Research Foundation, Inc. | System, Method and Apparatus for Small Pulmonary Nodule Computer Aided Diagnosis from Computed Tomography Scans |
| US20100231216A1 (en)* | 2006-10-03 | 2010-09-16 | Singapore Agency For Science Technology And Research Act | Segmenting infarct in diffusion-weighted imaging volume |
| Publication number | Priority date | Publication date | Assignee | Title |
|---|---|---|---|---|
| JP2000126150A (en)* | 1998-10-23 | 2000-05-09 | Ge Yokogawa Medical Systems Ltd | Setting of interest region, image processing device, and image processing device for medical purpose |
| US20090080748A1 (en)* | 2002-10-18 | 2009-03-26 | Cornell Research Foundation, Inc. | System, Method and Apparatus for Small Pulmonary Nodule Computer Aided Diagnosis from Computed Tomography Scans |
| US20080021502A1 (en)* | 2004-06-21 | 2008-01-24 | The Trustees Of Columbia University In The City Of New York | Systems and methods for automatic symmetry identification and for quantification of asymmetry for analytic, diagnostic and therapeutic purposes |
| US20100231216A1 (en)* | 2006-10-03 | 2010-09-16 | Singapore Agency For Science Technology And Research Act | Segmenting infarct in diffusion-weighted imaging volume |
| Publication number | Priority date | Publication date | Assignee | Title |
|---|---|---|---|---|
| JP2017189384A (en)* | 2016-04-13 | 2017-10-19 | キヤノン株式会社 | Image processor, image processing method and program |
| KR101958838B1 (en) | 2017-10-18 | 2019-03-15 | 정문길 | Black roofing tile molding apparatus with waste-gas combustor |
| KR20200055690A (en)* | 2020-02-17 | 2020-05-21 | (주)제이엘케이 | Method and system for extracting and integratin and evaluating lesion using pwi-dwi mismatch based on artificial intelligence |
| CN113034510A (en)* | 2021-03-03 | 2021-06-25 | 数坤(北京)网络科技有限公司 | Method for filtering infarct false positive based on CTP image |
| CN113034440A (en)* | 2021-03-03 | 2021-06-25 | 数坤(北京)网络科技有限公司 | Infarction classification method and system based on CTP brain perfusion image data |
| Publication number | Publication date |
|---|---|
| KR101578483B1 (en) | 2015-12-21 |
| Publication | Publication Date | Title |
|---|---|---|
| CN105389811B (en) | A kind of multi-modality medical image processing method split based on multilevel threshold | |
| Muschelli et al. | PItcHPERFeCT: primary intracranial hemorrhage probability estimation using random forests on CT | |
| KR101578483B1 (en) | Segmentation method of cerebral infarction region | |
| Roura et al. | MARGA: multispectral adaptive region growing algorithm for brain extraction on axial MRI | |
| Isa et al. | Automatic contrast enhancement of brain MR images using Average Intensity Replacement based on Adaptive Histogram Equalization (AIR-AHE) | |
| JP5750716B2 (en) | Method for displaying lesions with changes in the volume of the body, especially the amount of tumor growth | |
| US9042616B2 (en) | Medical image processing device | |
| KR101718130B1 (en) | Method of dividing and system for brain region using magnetic resonance imaging | |
| US8831328B2 (en) | Method and system for segmenting a brain image | |
| CN103942780B (en) | Based on the thalamus and its minor structure dividing method that improve fuzzy connectedness algorithm | |
| US9171366B2 (en) | Method for localization of an epileptic focus in neuroimaging | |
| CN106558031B (en) | A kind of image enchancing method of the colored eyeground figure based on imaging model | |
| US7106892B2 (en) | Display of image data information | |
| EP3190542B1 (en) | Method and system for generating multiparametric nosological images | |
| WO2007105107A2 (en) | Methods, apparatus and computer-readable media for image segmentation | |
| Jiang et al. | Level set based hippocampus segmentation in MR images with improved initialization using region growing | |
| US20150206300A1 (en) | Method and apparatus for extraction and quantification of hematoma from a brain scan such as computed tomography data | |
| Naz et al. | Glaucoma detection in color fundus images using cup to disc ratio | |
| Behzadfar et al. | Automatic segmentation of brain tumors in magnetic resonance images | |
| Sun et al. | Automatic segmentation and measurement on knee computerized tomography images for patellar dislocation diagnosis | |
| US11324413B1 (en) | Traumatic brain injury diffusion tensor and susceptibility weighted imaging | |
| Almi'ani et al. | Automatic segmentation algorithm for brain MRA images | |
| Almi'ani et al. | A modified region growing based algorithm to vessel segmentation in magnetic resonance angiography | |
| Kayalvizhi et al. | Minkowski functionals based brain to ventricle index for analysis of AD progression in MR images | |
| US12272052B2 (en) | Method and system for image normalisation |
| Date | Code | Title | Description |
|---|---|---|---|
| A201 | Request for examination | ||
| PA0109 | Patent application | St.27 status event code:A-0-1-A10-A12-nap-PA0109 | |
| PA0201 | Request for examination | St.27 status event code:A-1-2-D10-D11-exm-PA0201 | |
| E902 | Notification of reason for refusal | ||
| PE0902 | Notice of grounds for rejection | St.27 status event code:A-1-2-D10-D21-exm-PE0902 | |
| P11-X000 | Amendment of application requested | St.27 status event code:A-2-2-P10-P11-nap-X000 | |
| P13-X000 | Application amended | St.27 status event code:A-2-2-P10-P13-nap-X000 | |
| PG1501 | Laying open of application | St.27 status event code:A-1-1-Q10-Q12-nap-PG1501 | |
| E701 | Decision to grant or registration of patent right | ||
| PE0701 | Decision of registration | St.27 status event code:A-1-2-D10-D22-exm-PE0701 | |
| PR0701 | Registration of establishment | St.27 status event code:A-2-4-F10-F11-exm-PR0701 | |
| PR1002 | Payment of registration fee | St.27 status event code:A-2-2-U10-U11-oth-PR1002 Fee payment year number:1 | |
| PG1601 | Publication of registration | St.27 status event code:A-4-4-Q10-Q13-nap-PG1601 | |
| FPAY | Annual fee payment | Payment date:20190213 Year of fee payment:4 | |
| PR1001 | Payment of annual fee | St.27 status event code:A-4-4-U10-U11-oth-PR1001 Fee payment year number:4 | |
| R17-X000 | Change to representative recorded | St.27 status event code:A-5-5-R10-R17-oth-X000 | |
| FPAY | Annual fee payment | Payment date:20190724 Year of fee payment:5 | |
| PR1001 | Payment of annual fee | St.27 status event code:A-4-4-U10-U11-oth-PR1001 Fee payment year number:5 | |
| R17-X000 | Change to representative recorded | St.27 status event code:A-5-5-R10-R17-oth-X000 | |
| R18-X000 | Changes to party contact information recorded | St.27 status event code:A-5-5-R10-R18-oth-X000 | |
| PC1903 | Unpaid annual fee | St.27 status event code:A-4-4-U10-U13-oth-PC1903 Not in force date:20201212 Payment event data comment text:Termination Category : DEFAULT_OF_REGISTRATION_FEE | |
| PC1903 | Unpaid annual fee | St.27 status event code:N-4-6-H10-H13-oth-PC1903 Ip right cessation event data comment text:Termination Category : DEFAULT_OF_REGISTRATION_FEE Not in force date:20201212 |