




본 발명은 유기발광 화합물 및 이를 포함하여 휘도 및 전력효율이 우수하고, 동시에 장수명 특성 구현이 가능한 유기전계발광소자에 관한 것이다.The present invention relates to an organic electroluminescent device and an organic electroluminescent device including the same, which have excellent brightness and power efficiency and can realize long-life characteristics.
유기 발광 현상이란 유기 물질을 이용하여 전기에너지를 빛에너지로 전환시켜주는 현상을 말한다. 유기 발광 현상을 이용하는 유기 발광 소자는 통상 양극과 음극 및 이 사이에 유기물층을 포함하는 구조를 가진다. 여기서 유기물층은 유기 발광 소자의 효율과 안정성을 높이기 위하여 각기 다른 물질로 구성된 다층의 구조로 이루어진 경우가 많으며, 예컨대 정공 주입층, 정공 수송층, 발광층, 전자 수송층, 전자 주입층 등으로 이루어질 수 있다. 이러한 유기 발광 소자의 구조에서 두 전극 사이에 전압을 걸어주게 되면 양극에서는 정공이, 음극에서는 전자가 유기물층에 주입되게 되고, 주입된 정공과 전자가 만났을 때 엑시톤(exciton)이 형성되며, 이 엑시톤이 다시 바닥상태로 떨어질 때 빛이 나게 된다. 이러한 유기 발광 소자는 자발광, 고휘도, 고효율, 낮은 구동 전압, 넓은 시야각, 높은 콘트라스트, 고속 응답성 등의 특성을 갖는 것으로 알려져 있다.An organic light emitting phenomenon is a phenomenon that converts electric energy into light energy by using an organic material. An organic light emitting device using an organic light emitting phenomenon generally has a structure including an anode, a cathode, and an organic material layer therebetween. Here, in order to enhance the efficiency and stability of the organic light emitting device, the organic material layer may have a multi-layered structure composed of different materials and may include a hole injection layer, a hole transport layer, a light emitting layer, an electron transport layer, and an electron injection layer. When a voltage is applied between the two electrodes in the structure of such an organic light emitting device, holes are injected in the anode, electrons are injected into the organic layer in the cathode, excitons are formed when injected holes and electrons meet, When it falls back to the ground state, the light comes out. Such an organic light emitting device is known to have characteristics such as self-emission, high luminance, high efficiency, low driving voltage, wide viewing angle, high contrast, and high speed response.
유기 발광 소자에서 유기물층으로 사용되는 물질은 기능에 따라, 발광 물질과 전하 수송 물질, 정공 주입 물질, 정공 수송 물질, 전자 수송 물질, 전자 주입 물질 등으로 분류될 수 있다. 또한, 발광 물질은 발광색에 따라 청색, 녹색, 적색 발광 물질과 보다 나은 천연색을 구현하기 위해 필요한 노란색 및 주황색 발광 물질로 구분될 수 있다.A material used as an organic material layer in an organic light emitting device can be classified into a light emitting material and a charge transporting material, a hole injecting material, a hole transporting material, an electron transporting material, and an electron injecting material depending on functions. In addition, the luminescent material can be classified into blue, green and red luminescent materials and yellow and orange luminescent materials necessary for realizing a better natural color depending on the luminescent color.
한편, 발광 물질로서 하나의 물질만 사용하는 경우 분자간 상호 작용에 의하여 최대 발광 파장이 장파장으로 이동하고 색순도가 떨어지거나 발광 감쇄 효과로 소자의 효율이 감소되는 문제가 발생하므로, 색순도의 증가와 에너지 전이를 통한 발광 효율을 증가시키기 위하여 발광 물질로서 호스트/도판트 계를 사용할 수 있다.On the other hand, when only one material is used as the light emitting material, there arises a problem that the maximum light emitting wavelength shifts to a long wavelength due to intermolecular interaction, the color purity drops, or the efficiency of the device decreases due to the light emission attenuating effect. A host / dopant system may be used as a light emitting material in order to increase the efficiency of light emission through the light emitting layer.
유기 발광 소자가 전술한 우수한 특징들을 충분히 발휘하기 위해서는 소자 내 유기물층을 이루는 물질, 예컨대 정공 주입 물질, 정공 수송 물질, 발광 물질, 전자 수송 물질, 전자 주입 물질 등이 안정하고 효율적인 재료에 의하여 뒷받침되는 것이 선행되어야 하나, 아직까지 안정하고 효율적인 유기 발광 소자용 유기물층 재료의 개발이 충분히 이루어지지 않은 상태이다. 따라서 새로운 재료의 개발이 계속 요구되고 있으며, 이와 같은 재료 개발의 필요성은 전술한 다른 유기 전자 소자에서도 마찬가지이다.In order for the organic luminescent device to sufficiently exhibit the above-described excellent characteristics, a material constituting the organic material layer in the device, such as a hole injecting material, a hole transporting material, a luminescent material, an electron transporting material and an electron injecting material is supported by a stable and efficient material However, development of a stable and efficient organic material layer material for an organic light emitting device has not yet been sufficiently developed. Therefore, development of new materials is continuously required, and the necessity of developing such materials is the same in other organic electronic devices described above.
또한, 유기 발광 소자에서 발광효율을 결정하는 가장 중요한 요인은 발광 재료이다. 발광 재료로는 현재 형광 재료가 널리 사용되고 있으나, 발광 메커니즘 상 인광 재료의 개발이 이론적으로 발광 효율을 보다 개선시킬 수 있는 방법 중의 하나이고, 이에 따라 현재까지 다양한 인광 재료에 대해서 개발이 이루어지고 있으며, 특히 인광 발광 호스트 재료로는 현재까지 CBP가 가장 널리 알려져 있고, BALq 유도체를 호스트로 이용한 유기 발광 소자가 공지되어 있다.Further, the most important factor for determining the luminous efficiency in an organic light emitting device is a light emitting material. However, the development of a phosphorescent material on a light-emitting mechanism is one of the ways that the luminous efficiency can be improved more theoretically. Accordingly, a variety of phosphorescent materials have been developed to date, In particular, CBP is the most widely known phosphorescent host material, and an organic light emitting device using a BALq derivative as a host is known.
그러나, 인광 발광 재료를 사용한 유기 발광 소자는 형광 발광 재료를 사용한 소자에 비해 전류 효율이 상당히 높으나, 인광 발광 재료의 호스트로 BAlq, CBP 등의 재료를 사용할 경우, 형광재료를 사용한 소자에 비해 구동 전압이 높아서 전력 효율면에서 큰 이점이 없고, 또한, 소자의 수명 측면에서도 만족할만한 수준이 되질 못하여 더욱 안정적이고, 고성능의 호스트 재료의 개발이 요구되고 있다.However, in the case of using a material such as BAlq or CBP as a host of a phosphorescent material, the organic electroluminescent device using the phosphorescent material has a higher current efficiency than the device using the fluorescent material, There is no great advantage in terms of power efficiency, and the life of the device can not be satisfactory. Thus, development of a more stable and high-performance host material is required.
본 발명은 유기전계발광소자의 유기층에 채용되어 우수한 발광 특성을 구현할 수 있는 신규한 인광 호스트 화합물과 이를 포함하는 유기전계발광소자를 제공하고자 한다.The present invention provides a novel phosphorescent host compound which can be used in an organic layer of an organic electroluminescent device to realize excellent luminescent characteristics and an organic electroluminescent device including the same.
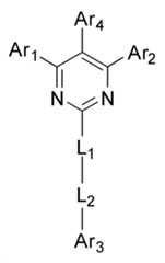
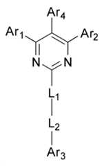
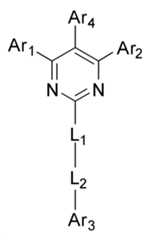
본 발명은 상기 과제를 해결하기 위하여, 하기 [화학식 1]로 표시되는 유기발광 화합물을 제공한다.In order to solve the above-described problems, the present invention provides an organic luminescent compound represented by the following formula (1).
[화학식 1][Chemical Formula 1]
상기 [화학식 1]에 따른 유기발광 화합물의 구체적인 구조 및 치환기에 대해서는 후술한다.
The specific structure and substituent of the organic luminescent compound according to the
또한, 본 발명은 제1 전극, 제2 전극, 및 상기 제1 전극과 제2 전극 사이에 배치된 1층 이상의 유기물층을 포함하는 유기전계발광소자로서, 상기 유기물층 중 1 층 이상은 상기 [화학식 1]에 따른 유기발광 화합물을 포함하는 유기전계발광소자를 제공한다.Also, the present invention is an organic electroluminescent device comprising a first electrode, a second electrode, and at least one organic material layer disposed between the first electrode and the second electrode, wherein at least one of the organic material layers is represented by Formula 1 An organic electroluminescent device comprising the organic electroluminescent compound according to the present invention.
본 발명에 따른 유기발광 화합물은 열적 안정성이 우수하고, 깊은 HOMO 준위, 높은 삼중항(triplet) 상태 및 정공 안정성을 가져 유기전계발광소자의 유기물층에 채용시 효율, 구동전압, 수명 등에서 우수한 특성을 나타내는 유기전계발광소자의 구현이 가능하다.The organic luminescent compound according to the present invention has excellent thermal stability, has a deep HOMO level, a high triplet state, and a hole stability, so that the organic compound layer of the organic electroluminescent device exhibits excellent characteristics in terms of efficiency, It is possible to realize an electroluminescent device.
도 1 내지 5는 본 발명의 일 실시예에 따른 유기전계발광소자의 구조를 예시한 단면도이다.1 to 5 are cross-sectional views illustrating the structure of an organic electroluminescent device according to an embodiment of the present invention.
이하, 본 발명을 보다 구체적으로 설명한다.Hereinafter, the present invention will be described more specifically.
본 발명은 하기 [화학식 1]로 표시되는 신규한 유기발광 화합물에 관한 것이다.The present invention relates to a novel organic luminescent compound represented by the following formula (1).
[화학식 1][Chemical Formula 1]
상기 [화학식 1]에서,In the above formula (1)
L1 및 L2는 서로 동일하거나 상이하고, 각각 독립적으로 단일결합이거나, 치환 또는 비치환된 아릴렌기, 치환 또는 비치환된 알케닐렌기, 치환 또는 비치환된 플루오레닐렌기, 치환 또는 비치환된 카바졸릴렌기 또는 N, O 및 S 원자 중 1개 이상을 포함하는 치환 또는 비치환된 헤테로아릴렌기일 수 있다.L1 and L2 are the same or different and are each independently a single bond, a substituted or unsubstituted arylene group, a substituted or unsubstituted alkenylene group, a substituted or unsubstituted fluorenylene group, a substituted or unsubstituted Or a substituted or unsubstituted heteroarylene group containing at least one of N, O and S atoms.
Ar1 내지 Ar3은 서로 동일하거나 상이하고, 각각 독립적으로 치환 또는 비치환된 알킬기, 치환 또는 비치환된 시클로알킬기, 치환 또는 비치환된 알콕시기, 치환 또는 비치환된 아릴옥시기, 치환 또는 비치환된 알킬티옥시기, 치환 또는 비치환된 아릴티옥시기, 치환 또는 비치환된 알킬술폭시기, 치환 또는 비치환된 아릴술폭시기, 치환 또는 비치환된 알케닐기, 치환 또는 비치환된 실릴기, 치환 또는 비치환된 붕소기, 치환 또는 비치환된 알킬아민기, 치환 또는 비치환된 아랄킬아민기, 치환 또는 비치환된 아릴아민기, 치환 또는 비치환된 헤테로아릴아민기, 치환 또는 비치환된 아릴기, 치환 또는 비치환된 플루오레닐기, 치환 또는 비치환된 카바졸기 또는 N, O 및 S 원자 중 1개 이상을 포함하는 치환 또는 비치환된 헤테로고리기일 수 있다.Ar1 to Ar3 are the same or different from each other and each independently represents a substituted or unsubstituted alkyl group, a substituted or unsubstituted cycloalkyl group, a substituted or unsubstituted alkoxy group, a substituted or unsubstituted aryloxy group, A substituted or unsubstituted aryloxy group, a substituted or unsubstituted aryloxy group, a substituted or unsubstituted alkylthioxy group, a substituted or unsubstituted arylthioxy group, a substituted or unsubstituted alkylsulfoxy group, a substituted or unsubstituted arylsulfoxy group, a substituted or unsubstituted alkenyl group, Or a substituted or unsubstituted arylamine group, a substituted or unsubstituted arylamine group, a substituted or unsubstituted arylamine group, a substituted or unsubstituted arylamine group, a substituted or unsubstituted arylamine group, a substituted or unsubstituted arylamine group, An aryl group, a substituted or unsubstituted fluorenyl group, a substituted or unsubstituted carbazole group, or a substituted or unsubstituted heterocyclic group containing at least one of N, O and S atoms.
Ar4는 수소, 중수소, 할로겐기, 니트릴기, 니트로기, 히드록시기, 치환 또는 비치환된 알킬기, 치환 또는 비치환된 시클로알킬기, 치환 또는 비치환된 알콕시기, 치환 또는 비치환된 아릴옥시기, 치환 또는 비치환된 알킬티옥시기, 치환 또는 비치환된 아릴티옥시기, 치환 또는 비치환된 알킬술폭시기, 치환 또는 비치환된 아릴술폭시기, 치환 또는 비치환된 알케닐기, 치환 또는 비치환된 실릴기, 치환 또는 비치환된 붕소기, 치환 또는 비치환된 알킬아민기, 치환 또는 비치환된 아랄킬아민기, 치환 또는 비치환된 아릴아민기, 치환 또는 비치환된 헤테로아릴아민기, 치환 또는 비치환된 아릴기, 치환 또는 비치환된 플루오레닐기, 치환 또는 비치환된 카바졸기 또는 N, O, S 원자 중 1개 이상을 포함하는 치환 또는 비치환된 헤테로고리기일 수 있다.
Ar4 represents a group selected from the group consisting of hydrogen, deuterium, a halogen group, a nitrile group, a nitro group, a hydroxy group, a substituted or unsubstituted alkyl group, A substituted or unsubstituted alkylthio group, a substituted or unsubstituted arylthio group, a substituted or unsubstituted alkylthio group, a substituted or unsubstituted arylthio group, a substituted or unsubstituted alkenyl group, a substituted or unsubstituted silyl A substituted or unsubstituted alkylamine group, a substituted or unsubstituted aralkylamine group, a substituted or unsubstituted arylamine group, a substituted or unsubstituted heteroarylamine group, a substituted or unsubstituted arylamine group, a substituted or unsubstituted arylamine group, An unsubstituted aryl group, a substituted or unsubstituted fluorenyl group, a substituted or unsubstituted carbazole group, or a substituted or unsubstituted heterocyclic group containing at least one of N, O and S atoms.
또한, 본 발명에 있어서, 상기 [화학식 1]로 표시되는 유기발광 화합물은 하기 [화학식 2] 내지 [화학식 13] 중 어느 하나로 표시될 수 있다.Further, in the present invention, the organic luminescent compound represented by the formula (1) may be represented by any one of the following formulas (2) to (13).
[화학식 2][화학식 3](2)(3)
[화학식 4][화학식 5][Chemical Formula 4][Chemical Formula 5]
[화학식 6][화학식 7][Chemical Formula 6](7)
[화학식 8][화학식 9][Chemical Formula 8][Chemical Formula 9]
[화학식 10][화학식 11][Chemical formula 10](11)
[화학식 13][Chemical Formula 13]
상기 [화학식 2] 내지 [화학식 13]에서, L2 및 Ar3은 상기 [화학식 1]에서의 정의와 동일하다.
In the above formulas (2) to (13), L2 and Ar3 are the same as defined in the above formula (1).
본 발명에 있어서, 상기 치환기들의 예시들에 대해서 아래에서 구체적으로 설명하나, 이에 한정되는 것은 아니다.In the present invention, examples of the substituents will be specifically described below, but the present invention is not limited thereto.
본 발명에 있어서, 상기 알킬기는 직쇄 또는 분지쇄일 수 있고, 탄소수는 특별히 한정되지 않으나 1 내지 50인 것이 바람직하다. 구체적인 예로는 메틸기, 에틸기, 프로필기, n-프로필기, 이소프로필기, 부틸기, n-부틸기, 이소부틸기, tert-부틸기, sec-부틸기, 1-메틸-부틸기, 1-에틸-부틸기, 펜틸기, n-펜틸기, 이소펜틸기, 네오펜틸기, tert-펜틸기, 헥실기, n-헥실기, 1-메틸펜틸기, 2-메틸펜틸기, 4-메틸-2-펜틸기, 3,3-디메틸부틸기, 2-에틸부틸기, 헵틸기, n-헵틸기, 1-메틸헥실기, 시클로펜틸메틸기, 시클로헥틸메틸기, 옥틸기, n-옥틸기, tert-옥틸기, 1-메틸헵틸기, 2-에틸헥실기, 2-프로필펜틸기, n-노닐기, 2,2-디메틸헵틸기, 1-에틸-프로필기, 1,1-디메틸-프로필기, 이소헥실기, 2-메틸펜틸기, 4-메틸헥실기, 5-메틸헥실기 등이 있으나, 이들에 한정되지 않는다.In the present invention, the alkyl group may be linear or branched, and the number of carbon atoms is not particularly limited, but is preferably 1 to 50. Specific examples include methyl, ethyl, propyl, n-propyl, isopropyl, butyl, n-butyl, isobutyl, Ethyl, propyl, isopropyl, n-butyl, isobutyl, isobutyl, isobutyl, A tert-butyl group, a tert-butyl group, a 2-pentyl group, a 3,3-dimethylbutyl group, a 2-ethylbutyl group, a heptyl group, Ethylhexyl group, 2-propylpentyl group, n-nonyl group, 2,2-dimethylheptyl group, 1-ethyl-propyl group, 1,1-dimethyl-propyl group , Isohexyl group, 2-methylpentyl group, 4-methylhexyl group, 5-methylhexyl group and the like, but are not limited thereto.
본 발명에 있어서, 알콕시기는 직쇄 또는 분지쇄일 수 있다. 알콕시기의 탄소수는 특별히 한정되지 않으나, 입체적 방해를 주지 않는 범위인 1 내지 30개인 것이 바람직하다. 구체적으로, 메톡시기, 에톡시기, n-프로폭시기, 이소프로폭시기, i-프로필옥시기, n-부톡시기, 이소부톡시기, tert-부톡시기, sec-부톡시기, n-펜틸옥시기, 네오펜틸옥시기, 이소펜틸옥시기, n-헥실옥시기, 3,3-디메틸부틸옥시기, 2-에틸부틸옥시기, n-옥틸옥시기, n-노닐옥시기, n-데실옥시기, 벤질옥시기, p-메틸벤질옥시기 등이 될 수 있으나, 이에 한정되는 것은 아니다.In the present invention, the alkoxy group may be linear or branched. The number of carbon atoms of the alkoxy group is not particularly limited, but is preferably in the range of 1 to 30, which does not cause steric hindrance. Specific examples thereof include a methoxy group, an ethoxy group, an n-propoxy group, an isopropoxy group, an i-propyloxy group, a n-butoxy group, an isobutoxy group, a tert- , Neopentyloxy group, isopentyloxy group, n-hexyloxy group, 3,3-dimethylbutyloxy group, 2-ethylbutyloxy group, n-octyloxy group, n- , A benzyloxy group, a p-methylbenzyloxy group, and the like, but are not limited thereto.
본 발명에 있어서, 상기 알케닐기는 직쇄 또는 분지쇄일 수 있고, 탄소수는 특별히 한정되지 않으나, 2 내지 40인 것이 바람직하다. 구체적인 예로는 비닐기, 1-프로페닐기, 이소프로페닐기, 1-부테닐기, 2-부테닐기, 3-부테닐기, 1-펜테닐기, 2-펜테닐기, 3-펜테닐기, 3-메틸-1-부테닐기, 1,3-부타디에닐기, 알릴기, 1-페닐비닐-1-일기, 2-페닐비닐-1-일기, 2,2-디페닐비닐-1-일기, 2-페닐-2-(나프틸-1-일)비닐-1-일기, 2,2-비스(디페닐-1-일)비닐-1-일기, 스틸베닐기, 스티레닐기 등이 있으나 이들에 한정되지 않는다.In the present invention, the alkenyl group may be straight-chain or branched, and the number of carbon atoms is not particularly limited, but is preferably 2 to 40. Specific examples include a vinyl group, a 1-propenyl group, an isopropenyl group, a 1-butenyl group, a 2-butenyl group, a 3-butenyl group, a 1-pentenyl group, a 2-pentenyl group, a 3-pentenyl group, 2-phenylvinyl-1-yl group, 2,2-diphenylvinyl-1-yl group, 2-phenyl-2-yl group, But are not limited to, - (naphthyl-1-yl) vinyl-1-yl group, 2,2-bis (diphenyl-1-yl) vinyl-1-yl group, stilbenyl group, styrenyl group and the like.
본 발명에 있어서, 아릴기는 단환식 또는 다환식일 수 있고, 탄소수는 특별히 한정되지 않으나 6 내지 60인 것이 바람직하다. 단환식 아릴기의 예로는 페닐기, 비페닐기, 터페닐기, 스틸벤기 등이 있고, 다환식 아릴기의 예로는 나프틸기, 안트라세닐기, 페난트레닐기, 파이레닐기, 페릴레닐기, 테트라세닐기, 크라이세닐기, 플루오레닐기, 아세나프타센닐기, 트리페닐렌기, 플루오안트렌(fluoranthrene)기 등이 있으나, 본 발명의 범위가 이들 예로만 한정되는 것은 아니다.In the present invention, the aryl group may be monocyclic or polycyclic, and the number of carbon atoms is not particularly limited, but is preferably 6 to 60. [ Examples of the monocyclic aryl group include a phenyl group, a biphenyl group, a terphenyl group and a stilbene group. Examples of the polycyclic aryl group include a naphthyl group, an anthracenyl group, a phenanthrenyl group, a pyrenyl group, a perylenyl group, , A chlorenyl group, a fluorenyl group, an acenaphthacenyl group, a triphenylene group, and a fluororanthrene group, but the scope of the present invention is not limited to these examples.
본 발명에 있어서, 헤테로고리기는 이종원자로 O, N 또는 S를 포함하는 헤테로고리기로서, 탄소수는 특별히 한정되지 않으나 탄소수 2 내지 60인 것이 바람직하다. 헤테로고리기의 예로는 티오펜기, 퓨란기, 피롤기, 이미다졸기, 티아졸기, 옥사졸기, 옥사디아졸기, 트리아졸기, 피리딜기, 비피리딜기, 피리미딜기, 트리아진기, 트리아졸기, 아크리딜기, 피리다진기, 피라지닐기, 퀴놀리닐기, 퀴나졸린기, 퀴녹살리닐기, 프탈라지닐기, 피리도 피리미디닐기, 피리도 피라지닐기, 피라지노 피라지닐기, 이소퀴놀린기, 인돌기, 카바졸기, 벤조옥사졸기, 벤조이미다졸기, 벤조티아졸기, 벤조카바졸기, 벤조티오펜기, 디벤조티오펜기, 벤조퓨라닐기, 디벤조퓨라닐기, 페난트롤린기, 티아졸릴기, 이소옥사졸릴기, 옥사디아졸릴기, 티아디아졸릴기, 벤조티아졸릴기, 페노티아지닐기 등이 있으나, 이들에만 한정되는 것은 아니다.In the present invention, the heterocyclic group is a heterocyclic group containing O, N or S as a heteroatom, and the number of carbon atoms is not particularly limited, but is preferably 2 to 60 carbon atoms. Examples of the heterocyclic group include a thiophene group, a furane group, a furyl group, an imidazole group, a thiazole group, an oxazole group, an oxadiazole group, a triazole group, a pyridyl group, a bipyridyl group, a pyrimidyl group, A pyridazinyl group, a pyrazinopyrazinyl group, an isoquinoline group, an isoquinolinyl group, an isoquinolinyl group, an isoquinolinyl group, an isoquinolinyl group, an isoquinolyl group, , An indole group, a carbazole group, a benzoxazole group, a benzoimidazole group, a benzothiazole group, a benzocarbazole group, a benzothiophene group, a dibenzothiophene group, a benzofuranyl group, a dibenzofurancyl group, a phenanthroline group, An isothiazolyl group, an isoxazolyl group, an oxadiazolyl group, a thiadiazolyl group, a benzothiazolyl group, a phenothiazinyl group and the like, but is not limited thereto.
본 발명에 있어서, 아릴옥시기, 아릴티옥시기, 아릴술폭시기 및 아랄킬아민기 중의 아릴기는 전술한 아릴기의 예시와 같다. 구체적으로 아릴옥시기로는 페녹시기, p-토릴옥시기, m-토릴옥시기, 3,5-디메틸-페녹시기, 2,4,6-트리메틸페녹시기, ptert-부틸페녹시기, 3-비페닐옥시기, 4-비페닐옥시기, 1-나프틸옥시기, 2-나프틸옥시기, 4-메틸-1-나프틸옥시기, 5-메틸-2-나프틸옥시기, 1-안트릴옥시기, 2-안트릴옥시기, 9-안트릴옥시기, 1-페난트릴옥시기, 3-페난트릴옥시기, 9-페난트릴옥시기 등이 있고, 아릴티옥시기로는 페닐티옥시기기, 2-메틸페닐티옥시기, 4-tert-부틸페닐티옥시기 등이 있으며, 아릴술폭시기로는 벤젠술폭시기, p-톨루엔술폭시기 등이 있으나, 이에 한정되지 않는다.In the present invention, the aryl group in the aryloxy group, arylthioxy group, arylsulfoxy group and aralkylamine group is the same as the aforementioned aryl group. Specific examples of the aryloxy group include a phenoxy group, a p-tolyloxy group, an m-tolyloxy group, a 3,5-dimethyl-phenoxy group, a 2,4,6-trimethylphenoxy group, a ptert- Anthryloxy group, 2-naphthyloxy group, 2-naphthyloxy group, 4-methyl-1-naphthyloxy group, Anthryloxy group, 9-anthryloxy group, 1-phenanthryloxy group, 3-phenanthryloxy group, 9-phenanthryloxy group and the like. Examples of the arylthioxy group include phenylthioxy group, 2- A 4-tert-butylphenyloxy group, and the like. Examples of the arylsulfoxy group include benzene sulfoxy group and p-toluenesulfoxy group. However, the present invention is not limited thereto.
본 발명에 있어서, 시클로알킬기는 특별히 한정되지 않으나, 탄소수 3 내지 60인 것이 바람직하며, 구체적으로 시클로프로필기 시클로부틸기 시클로펜틸기 3-메틸시클로펜틸기 2,3-디메틸시클로펜틸기, 시클로헥실기, 3-메틸시클로헥실기, 4-메틸시클로헥실기, 2,3-디메틸시클로헥실기, 3,4,5-트리메틸시클로헥실기, 4-tert-부틸시클로헥실기, 시클로헵틸기, 시클로옥틸기 등이 있으나, 이에 한정되지 않는다.In the present invention, the cycloalkyl group is not particularly limited, but preferably has 3 to 60 carbon atoms, and specifically includes cyclopropyl group, cyclobutyl group, cyclopentyl group, 3-methylcyclopentyl group, 2,3-dimethylcyclopentyl group, Methylcyclohexyl group, 2,3-dimethylcyclohexyl group, 3,4,5-trimethylcyclohexyl group, 4-tert-butylcyclohexyl group, cycloheptyl group, cyclo An octyl group, and the like, but are not limited thereto.
본 발명에 있어서, 할로겐기의 예로는 불소, 염소, 브롬 또는 요오드가 있다.In the present invention, examples of the halogen group include fluorine, chlorine, bromine or iodine.
본 발명에 있어서, 플루오레닐기는 2개의 고리 유기화합물이 1개의 원자를 통하여 연결된 구조로서, 예로는, 등이 있다.In the present invention, a fluorenyl group is a structure in which two cyclic organic compounds are connected via one atom, , .
본 발명에 있어서, 플루오레닐기는 열린 플루오레닐기의 구조를 포함하며, 여기서 열린 플루오레닐기는 2개의 고리 유기화합물이 1개의 원자를 통하여 연결된 구조에서 한쪽 고리 화합물의 연결이 끊어진 상태의 구조로서, 예로는, 등이 있다.In the present invention, a fluorenyl group includes a structure of an open fluorenyl group, wherein an open fluorenyl group is a structure in which one ring compound is disconnected in a structure in which two ring organic compounds are connected via one atom For example, , .
본 발명에 있어서, 아릴아민기의 예로는 치환 또는 비치환된 모노아릴아민기, 치환 또는 비치환된 디아릴아민기, 또는 치환 또는 비치환된 트리아릴아민기가 있다. 상기 아릴아민기 중의 아릴기는 단환식 아릴기일 수 있고, 다환식 아릴기일 수 있다. 상기 아릴기가 2 이상을 포함하는 아릴아민기는 단환식 아릴기, 다환식 아릴기, 또는 단환식아릴기와 다환식 아릴기를 동시에 포함할 수 있다.In the present invention, examples of the arylamine group include a substituted or unsubstituted monoarylamine group, a substituted or unsubstituted diarylamine group, or a substituted or unsubstituted triarylamine group. The aryl group in the arylamine group may be a monocyclic aryl group or a polycyclic aryl group. The arylamine group having at least two aryl groups may contain a monocyclic aryl group, a polycyclic aryl group, or a monocyclic aryl group and a polycyclic aryl group at the same time.
상기 아릴아민기의 구체적인 예로는 페닐아민기, 나프틸아민기, 비페닐아민기, 안트라세닐아민기, 3-메틸-페닐아민기, 4-메틸-나프틸아민기, 2-메틸-비페닐아민기, 9-메틸-안트라세닐아민기, 디페닐 아민기, 페닐 나프틸 아민기, 디톨릴 아민기, 페닐 톨릴 아민기, 카바졸기 및 트리페닐 아민기 등이 있으나, 이에 한정되는 것은 아니다.Specific examples of the arylamine group include a phenylamine group, a naphthylamine group, a biphenylamine group, an anthracenylamine group, a 3-methylphenylamine group, a 4-methylnaphthylamine group, But are not limited to, an amine group, a 9-methyl-anthracenylamine group, a diphenylamine group, a phenylnaphthylamine group, a ditolylamine group, a phenyltolylamine group, a carbazole group and a triphenylamine group.
본 발명에 있어서, 실릴기는 구체적으로 트리메틸실릴기, 트리에틸실릴기, t-부틸디메틸실릴기, 비닐디메틸실릴기, 프로필디메틸실릴기, 트리페닐실릴기, 디페닐실릴기, 페닐실릴기 등이 있으나 이에 한정되지 않는다.In the present invention, the silyl group is specifically exemplified by trimethylsilyl, triethylsilyl, t-butyldimethylsilyl, vinyldimethylsilyl, propyldimethylsilyl, triphenylsilyl, diphenylsilyl, But are not limited thereto.
본 발명에 있어서, 헤테로아릴아민기 중의 헤테로 아릴기는 전술한 헤테로고리기의 예시 중에서 선택될 수 있다.In the present invention, the heteroaryl group in the heteroarylamine group can be selected from the examples of the above-mentioned heterocyclic group.
본 발명에 있어서, 알킬티옥시기, 알킬술폭시기 중의 알킬기는 전술한 알킬기의 예시와 같다. 구체적으로 알킬티옥시기로는 메틸티옥시기, 에틸티옥시기, tert-부틸티옥시기, 헥실티옥시기, 옥틸티옥시기 등이 있고, 알킬술폭시기로는 메실, 에틸술폭시기, 프로필술폭시기, 부틸술폭시기 등이 있으나, 이에 한정되지 않는다.
In the present invention, the alkyloxy group in the alkylthio group and the alkyl group in the alkylsulfoxy group are the same as the aforementioned alkyl groups. Specific examples of the alkyloxy group include a methylthio group, an ethylthio group, a tert-butylthio group, a hexylthio group and an octylthio group. Examples of the alkylsulfoxy group include a mesyl group, an ethylsulfoxy group, a propylsulfoxy group, But are not limited thereto.
본 발명에 있어서, '치환 또는 비치환된'이란, 중수소, 할로겐기, 니트릴기, 니트로기, 히드록시기, 알킬기, 시클로알킬기, 알콕시기, 아릴옥시기, 알킬티옥시기, 아릴티옥시기, 알킬술폭시기, 아릴술폭시기, 알케닐기, 실릴기, 붕소기, 알킬아민기, 아랄킬아민기, 아릴아민기, 아릴기, 플루오레닐기, 카바졸기 및 N, O 및 S 원자 중 1개 이상을 포함하는 헤테로고리기 중 적어도 하나의 치환기로 치환 또는 비치환된 것을 의미한다.In the present invention, "substituted or unsubstituted" means a group selected from the group consisting of deuterium, halogen, nitrile, nitro, hydroxy, alkyl, cycloalkyl, , An arylsulfoxy group, an alkenyl group, a silyl group, a boron group, an alkylamine group, an aralkylamine group, an arylamine group, an aryl group, a fluorenyl group, a carbazole group and at least one of N, O and S atoms Substituted or unsubstituted with at least one substituent in the heterocyclic group.
본 발명에 있어서, 치환된 아릴렌기라 함은, 페닐기, 비페닐기, 나프탈렌기, 플루오레닐기, 파이레닐기, 페난트레닐기, 페릴렌기, 테트라세닐기. 안트라센닐기 등이 다른 치환기로 치환된 것을 의미한다.In the present invention, the substituted arylene group means a phenyl group, a biphenyl group, a naphthalene group, a fluorenyl group, a pyrenyl group, a phenanthrenyl group, a perylene group, a tetracenyl group. Anthracenyl group and the like are substituted with other substituents.
본 발명에 있어서, 치환된 헤테로아릴렌기라 함은, 피리딜기, 티오페닐기, 트리아진기, 퀴놀린기, 페난트롤린기, 이미다졸기, 티아졸기, 옥사졸기, 카바졸기 및 이들의 축합헤테로고리기, 예컨대 벤즈퀴놀린기, 벤즈이미다졸기, 벤즈옥사졸기, 벤즈티아졸기, 벤즈카바졸기, 디벤조티오페닐기, 디벤조퓨란기 등이 다른 치환기로 치환된 것을 의미한다.In the present invention, the substituted heteroarylene group includes a pyridyl group, a thiophenyl group, a triazine group, a quinoline group, a phenanthroline group, an imidazole group, a thiazole group, an oxazole group, a carbazole group and condensed heterocyclic groups, Such as a benzoquinoline group, a benzimidazole group, a benzoxazole group, a benzothiazole group, a benzzcarbazole group, a dibenzothiophenyl group, a dibenzofurane group and the like are substituted with other substituents.
본 발명에 있어서, 상기 [화학식 1]의 L1, L2및 Ar1 내지 Ar4는 추가의 치환기로 더 치환될 수 있고, 이들의 예로는 중수소, 할로겐기, 알킬기, 알케닐기, 알콕시기, 실릴기, 아릴알케닐기, 아릴기, 헤테로아릴기, 카바졸기, 아릴아민기, 아릴기로 치환 또는 비치환된 플루오레닐기, 니트릴기 등을 들 수 있으나, 이에만 한정되는 것은 아니다.
In the present invention, L1 , L2 And Ar1 to Ar4 may further be substituted with an additional substituent. Examples of the substituent include a deuterium, a halogen group, an alkyl group, an alkenyl group, an alkoxy group, a silyl group, an arylalkenyl group, an aryl group, a heteroaryl group, , An arylamine group, a fluorenyl group substituted or unsubstituted with an aryl group, a nitrile group, and the like, but are not limited thereto.
상기 [화학식 1]로 표시되는 본 발명에 따른 유기발광 화합물은 그 구조적 특이성으로 인하여 유기전계발광소자의 유기물층으로 사용될 수 있고, 보다 구체적으로 유기물층 내의 발광층에 인광 호스트 화합물로 사용될 수 있다.The organic luminescent compound according to the present invention represented by
본 발명에 따른 [화학식 1]로 표시되는 화합물의 바람직한 구체예로는 하기 화합물들이 있으나, 이들에만 한정되는 것은 아니다.Preferred examples of the compound represented by the formula (1) according to the present invention include, but are not limited to, the following compounds.
본 발명에 따른 [화학식 1]로 표시되는 화합물의 바람직한 구체예로는 하기 화합물들이 있으나, 이들에만 한정되는 것은 아니다.Preferred examples of the compound represented by the formula (1) according to the present invention include, but are not limited to, the following compounds.
본 발명에 따른 [화학식 1]로 표시되는 화합물의 바람직한 구체예로는 하기 화합물들이 있으나, 이들에만 한정되는 것은 아니다.Preferred examples of the compound represented by the formula (1) according to the present invention include, but are not limited to, the following compounds.
본 발명에 따른 [화학식 1]로 표시되는 화합물의 바람직한 구체예로는 하기 화합물들이 있으나, 이들에만 한정되는 것은 아니다.Preferred examples of the compound represented by the formula (1) according to the present invention include, but are not limited to, the following compounds.
상기와 같은 구조의 코어 구조에 다양한 치환기를 도입함으로써 도입된 치환기의 고유 특성을 갖는 유기발광 화합물을 합성할 수 있다. 예컨대, 유기전계발광소자의 제조시 사용되는 정공 주입층 물질, 정공 수송층 물질, 발광층 물질, 및 전자 수송층 물질에 사용되는 치환기를 상기 구조에 도입함으로써 각 유기물층에서 요구하는 조건들을 충족시키는 물질을 제조할 수 있다. 본 발명의 화합물은 유기전계발광소자의 통상의 제조방법에 따라 소자에 적용할 수 있다.An organic luminescent compound having the intrinsic characteristics of the substituent introduced by introducing various substituents into the core structure having the above structure can be synthesized. For example, by introducing a substituent used in a hole injecting layer material, a hole transporting layer material, a light emitting layer material, and an electron transporting layer material used in manufacturing an organic electroluminescent device into the structure, a material meeting the requirements of each organic material layer is manufactured . The compound of the present invention can be applied to a device according to a conventional method of manufacturing an organic electroluminescent device.
본 발명의 하나의 실시예에 따른 유기전계발광소자는 제1 전극과 제2 전극 및 이 사이에 배치된 유기물층을 포함하는 구조로 이루어질 수 있으며, 본 발명에 따른 유기발광 화합물을 소자의 유기물층에 사용한다는 것을 제외하고는 통상의 소자의 제조 방법 및 재료를 사용하여 제조될 수 있다.
The organic electroluminescent device according to one embodiment of the present invention may have a structure including a first electrode, a second electrode and an organic material layer disposed therebetween, and the organic electroluminescent compound according to the present invention may be used for an organic material layer And can be manufactured using conventional device manufacturing methods and materials.
본 발명에 따른 유기전계발광소자의 유기물층은 단층 구조로 이루어질 수도 있으나, 2층 이상의 유기물층이 적층된 다층 구조로 이루어질 수 있다. 예컨대, 정공 주입층, 정공 수송층, 발광층, 전자 수송층, 전자 주입층 등을 포함하는 구조를 가질 수 있다. 그러나, 이에 한정되지 않고 더 적은 수의 유기물층을 포함할 수도 있다.The organic material layer of the organic electroluminescent device according to the present invention may have a single layer structure, but may have a multilayer structure in which two or more organic material layers are stacked. For example, a structure including a hole injecting layer, a hole transporting layer, a light emitting layer, an electron transporting layer, and an electron injecting layer. However, it is not limited to this and may include a smaller number of organic layers.
따라서, 본 발명의 유기전계발광소자에서, 상기 유기물층은 정공 주입층, 정공 수송층, 및 정공 주입 및 정공 수송을 동시에 하는 층 중 1층 이상을 포함할 수 있고, 상기 층들 중 1층 이상이 상기 [화학식 1]로 표시되는 화합물을 포함할 수 있다.Therefore, in the organic electroluminescent device of the present invention, the organic material layer may include at least one of a hole injecting layer, a hole transporting layer, and a layer simultaneously injecting holes and transporting holes, May include a compound represented by the formula (1).
또한, 상기 유기물층은 발광층을 포함할 수 있고, 상기 발광층이 상기 [화학식 1]로 표시되는 화합물을 포함할 수 있다. 여기서, 상기 [화학식 1]로 표시되는 화합물은 발광층 내 호스트 물질로서 포함될 수 있다. 상기 [화학식 1]로 표시되는 화합물이 발광층 내 호스트 물질로서 포함되는 경우에, 상기 발광층은 1종 이상의 인광 도펀트를 포함할 수 있다.Further, the organic material layer may include a light emitting layer, and the light emitting layer may include a compound represented by the general formula (1). Here, the compound represented by
한편 상기 발광층이 호스트 및 도펀트를 포함할 경우, 도펀트의 함량은 통상적으로 호스트 약 100 중량부를 기준으로 하여 약 0.01 내지 약 20 중량부의 범위에서 선택될 수 있다.On the other hand, when the light emitting layer includes a host and a dopant, the content of the dopant may be generally selected in the range of about 0.01 to about 20 parts by weight based on about 100 parts by weight of the host.
본 발명의 일 실시예에 의하면, 상기 발광층에 본 발명에 따른 [화학식 1]로 표시되는 호스트 화합물과 하기의 [구조식 1] 내지 [구조식 7] 중에서 선택되는 도펀트 화합물을 1종 이상 더 포함할 수 있다.According to an embodiment of the present invention, the light emitting layer may further contain at least one dopant compound selected from the following [structural formulas 1] to [structural formula 7], and a host compound represented by the general formula [1] have.
[구조식 1][Structural formula 1]
[구조식 2][Structural formula 2]
[구조식 3][Structural Formula 3]
[구조식 4][Structural Formula 4]
[구조식 5][Structural Formula 5]
[구조식 6][Structural Formula 6]
[구조식 7][Structural Formula 7]
이와 같은 다층 구조의 유기물층에서 상기 [화학식 1]로 표시되는 화합물은 발광층, 정공 주입/정공 수송과 발광을 동시에 하는 층, 정공 수송과 발광을 동시에 하는 층, 또는 전자 수송과 발광을 동시에 하는 층 등에 포함될 수 있다.In the organic compound layer having such a multilayer structure, the compound represented by the formula (1) may be used in combination with a light emitting layer, a layer that simultaneously transports holes and holes, a layer that simultaneously transports holes and emits light, .
예컨대, 본 발명에 따른 유기 전자 소자의 구조는 도 1 내지 5에 예시되어 있다.For example, the structure of an organic electronic device according to the present invention is illustrated in Figs.
도 1에는 기판(1) 위에 양극(2), 정공 주입층(3), 정공 수송층(4), 발광층(5), 전자 수송층(6) 및 음극(7)이 순차적으로 적층된 유기 전자 소자의 구조가 예시되어 있다. 이와 같은 구조에 있어서, 상기 화학식 1로 표시되는 화합물은 상기 정공 주입층(3), 정공 수송층(4), 발광층(5) 또는 전자 수송층(6)에 포함될 수 있다.1 shows an organic electronic device in which an
도 2에는 기판(1) 위에 양극(2), 정공 주입층(3), 정공 수송층(4), 발광층(5) 및 음극(7)이 순차적으로 적층된 유기 전자 소자의 구조가 예시되어 있다. 이와 같은 구조에 있어서, 상기 화학식 1로 표시되는 화합물은 상기 정공 주입층(3), 정공 수송층(4) 또는 전자 수송층(6)에 포함될 수 있다.2 shows the structure of an organic electronic device in which an
도 3에는 기판(1) 위에 양극(2), 정공 수송층(4), 발광층(5), 전자 수송층(6) 및 음극(7)이 순차적으로 적층된 유기 전자 소자의 구조가 예시되어 있다. 이와 같은 구조에 있어서, 상기 화학식 1로 표시되는 화합물은 상기 정공 수송층(4), 발광층(5) 또는 전자 수송층(6)에 포함될 수 있다.3 illustrates the structure of an organic electronic device in which an
도 4에는 기판(1) 위에 양극(2), 발광층(5), 전자 수송층(6) 및 음극(7)이 순차적으로 적층된 유기 전자 소자의 구조가 예시되어 있다. 이와 같은 구조에 있어서, 상기 화학식 1로 표시되는 화합물은 상기 발광층(5) 또는 전자 수송층(6)에 포함될 수 있다.4 illustrates the structure of an organic electronic device in which an
도 5에는 기판(1) 위에 양극(2), 발광층(5) 및 음극(7)이 순차적으로 적층된 유기 전자 소자의 구조가 예시되어 있다. 이와 같은 구조에 있어서, 상기 화학식 1로 표시되는 화합물은 상기 발광층(5)에 포함될 수 있다.5 illustrates the structure of an organic electronic device in which an
예컨대, 본 발명에 따른 유기 전자 소자의 구조는 도 1 내지 5에 예시되어 있다.For example, the structure of an organic electronic device according to the present invention is illustrated in Figs.
도 1에는 기판(1) 위에 양극(2), 정공 주입층(3), 정공 수송층(4), 발광층(5), 전자 수송층(6) 및 음극(7)이 순차적으로 적층된 유기전계발광소자의 구조가 예시되어 있다. 이와 같은 구조에 있어서, 상기 [화학식 1]로 표시되는 화합물은 상기 정공 주입층(3), 정공 수송층(4), 발광층(5) 또는 전자 수송층(6)에 포함될 수 있다.1 shows an
도 2에는 기판(1) 위에 양극(2), 정공 주입층(3), 정공 수송층(4), 발광층(5) 및 음극(7)이 순차적으로 적층된 유기전계발광소자의 구조가 예시되어 있다. 이와 같은 구조에 있어서, 상기 [화학식 1]로 표시되는 화합물은 상기 정공 주입층(3), 정공 수송층(4) 또는 전자 수송층(6)에 포함될 수 있다.2 shows a structure of an organic electroluminescent device in which an
도 3에는 기판(1) 위에 양극(2), 정공 수송층(4), 발광층(5), 전자 수송층(6) 및 음극(7)이 순차적으로 적층된 유기전계발광소자의 구조가 예시되어 있다. 이와 같은 구조에 있어서, 상기 [화학식 1]로 표시되는 화합물은 상기 정공 수송층(4), 발광층(5) 또는 전자 수송층(6)에 포함될 수 있다.3 illustrates the structure of an organic electroluminescent device in which an
도 4에는 기판(1) 위에 양극(2), 발광층(5), 전자 수송층(6) 및 음극(7)이 순차적으로 적층된 유기전계발광소자의 구조가 예시되어 있다. 이와 같은 구조에 있어서, 상기 [화학식 1]로 표시되는 화합물은 상기 발광층(5) 또는 전자 수송층(6)에 포함될 수 있다.4 shows the structure of an organic electroluminescent device in which an
도 5에는 기판(1) 위에 양극(2), 발광층(5) 및 음극(7)이 순차적으로 적층된 유기전계발광소자의 구조가 예시되어 있다. 이와 같은 구조에 있어서, 상기 [화학식 1]로 표시되는 화합물은 상기 발광층(5)에 포함될 수 있다.5 illustrates the structure of an organic electroluminescent device in which an
예컨대, 본 발명에 따른 유기전계발광소자는 스퍼터링(sputtering)이나 전자빔 증발(e-beam evaporation)과 같은 PVD(physical vapor deposition) 방법을 이용하여, 기판상에 금속 또는 전도성을 가지는 금속 산화물 또는 이들의 합금을 증착시켜 양극을 형성하고, 그 위에 정공 주입층, 정공 수송층, 발광층, 전자 수송층을 포함하는 유기물층을 형성한 후, 그 위에 음극으로 사용할 수 있는 물질을 증착시킴으로써 제조될 수 있다.For example, the organic electroluminescent device according to the present invention can be manufactured by using a physical vapor deposition (PVD) method such as sputtering or e-beam evaporation to form a metal oxide or a conductive metal oxide on the substrate, An anode is formed by depositing an alloy on the anode, and an organic material layer including a hole injecting layer, a hole transporting layer, a light emitting layer, and an electron transporting layer is formed on the anode, and then a substance usable as a cathode is deposited thereon.
이와 같은 방법 외에도, 기판상에 음극 물질부터 유기물층, 양극 물질을 차례로 증착시켜 유기전계발광소자를 만들 수도 있다. 상기 유기물층은 정공 주입층, 정공 수송층, 발광층 및 전자 수송층 등을 포함하는 다층 구조일 수도 있으나, 이에 한정되지 않고 단층 구조일 수 있다. 또한, 상기 유기물층은 다양한 고분자 소재를 사용하여 증착법이 아닌 솔벤트 프로세스(solvent process), 예컨대 스핀 코팅, 딥 코팅, 닥터 블레이딩, 스크린 프린팅, 잉크젯 프린팅 또는 열 전사법 등의 방법에 의하여 더 적은 수의 층으로 제조할 수 있다.In addition to such a method, an organic electroluminescent device may be formed by sequentially depositing a cathode material, an organic material layer, and a cathode material on a substrate. The organic material layer may have a multi-layer structure including a hole injection layer, a hole transport layer, a light emitting layer, and an electron transport layer, but is not limited thereto and may have a single layer structure. In addition, the organic material layer may be formed using a variety of polymer materials by a solvent process such as a spin coating process, a dip coating process, a doctor blading process, a screen printing process, an inkjet printing process or a thermal transfer process, Layer.
상기 양극 물질로는 통상 유기물층으로 정공주입이 원활할 수 있도록 일함수가 큰 물질이 바람직하다. 본 발명에서 사용될 수 있는 양극 물질의 구체적인 예로는 바나듐, 크롬, 구리, 아연, 금과 같은 금속 또는 이들의 합금, 아연 산화물, 인듐 산화물, 인듐 주석 산화물(ITO), 인듐 아연 산화물(IZO)과 같은 금속 산화물, ZnO:Al 또는 SnO2:Sb와 같은 금속과 산화물의 조합, 폴리(3-메틸티오펜), 폴리[3,4-(에틸렌-1,2-디옥시)티오펜](PEDT), 폴리피롤 및 폴리아닐린과 같은 전도성 고분자 등이 있으나, 이들에만 한정되는 것은 아니다.As the anode material, a material having a large work function is preferably used so that hole injection can be smoothly conducted into the organic material layer. Specific examples of the cathode material that can be used in the present invention include metals such as vanadium, chromium, copper, zinc and gold or alloys thereof, zinc oxide, indium oxide, indium tin oxide (ITO), indium zinc oxide (IZO) metal oxides, ZnO: Al or SnO2: a combination of a metal and an oxide such as Sb, poly (3-methylthiophene), poly [3,4- (ethylene-1,2-dioxy) thiophene] (PEDT) , Conductive polymers such as polypyrrole and polyaniline, but are not limited thereto.
상기 음극 물질로는 통상 유기물층으로 전자 주입이 용이하도록 일함수가 작은 물질인 것이 바람직하다. 음극 물질의 구체적인 예로는 마그네슘, 칼슘, 나트륨, 칼륨, 타이타늄, 인듐, 이트륨, 리튬, 가돌리늄, 알루미늄, 은, 주석 및 납과 같은 금속 또는 이들의 합금, LiF/Al 또는 LiO2/Al과 같은 다층 구조 물질 등이 있으나, 이들에만 한정되는 것은 아니다.The negative electrode material is preferably a material having a small work function to facilitate electron injection into the organic material layer. Specific examples of the negative electrode material include a metal such as magnesium, calcium, sodium, potassium, titanium, indium, yttrium, lithium, gadolinium, aluminum, silver, tin and lead or an alloy thereof, a multilayer such as LiF / Al or LiO2 / Structural materials, and the like, but are not limited thereto.
정공 주입 물질로는 낮은 전압에서 양극으로부터 정공을 잘 주입받을 수 있는 물질로서, 정공 주입 물질의 HOMO(highest occupied molecular orbital)가 양극 물질의 일함수와 주변 유기물층의 HOMO 사이인 것이 바람직하다. 정공 주입 물질의 구체적인 예로는 금속 포피린(porphyrine), 올리고티오펜, 아릴아민 계열의 유기물, 헥사니트릴 헥사아자트리페닐렌, 퀴나크리돈(quinacridone) 계열의 유기물, 페릴렌(perylene) 계열의 유기물, 안트라퀴논 및 폴리아닐린과 폴리티오펜 계열의 전도성 고분자 등이 있으나, 이들에만 한정되는 것은 아니다.As the hole injecting material, it is preferable that the highest occupied molecular orbital (HOMO) of the hole injecting material be between the work function of the anode material and the HOMO of the surrounding organic layer. Specific examples of the hole injecting material include metal porphyrine, oligothiophene, arylamine-based organic materials, hexanitrile hexaazatriphenylene, quinacridone-based organic materials, perylene-based organic materials, Anthraquinone, polyaniline and a polythiophene-based conductive polymer, but are not limited thereto.
정공 수송 물질로는 양극이나 정공 주입층으로부터 정공을 수송 받아 발광층으로 옮겨줄 수 있는 물질로 정공에 대한 이동성이 큰 물질이 적합하다. 구체적인 예로는 아릴아민 계열의 유기물, 전도성 고분자, 및 공액 부분과 비공액 부분이 함께 있는 블록 공중합체 등이 있으나, 이들에만 한정되는 것은 아니다.As the hole transporting material, a material capable of transporting holes from the anode or the hole injection layer to the light emitting layer and having high mobility to holes is suitable. Specific examples include arylamine-based organic materials, conductive polymers, and block copolymers having a conjugated portion and a non-conjugated portion together, but are not limited thereto.
발광 물질로는 정공 수송층과 전자 수송층으로부터 정공과 전자를 각각 수송받아 결합시킴으로써 가시광선 영역의 빛을 낼 수 있는 물질로서, 형광이나 인광에 대한 양자효율이 좋은 물질이 바람직하다. 구체적인 예로는 8-히드록시-퀴놀린 알루미늄 착물(Alq3), 카르바졸 계열 화합물, 이량체화 스티릴(dimerized styryl) 화합물, BAlq, 10-히드록시벤조 퀴놀린-금속 화합물, 벤족사졸, 벤즈티아졸 및 벤즈이미다졸 계열의 화합물, 폴리(p-페닐렌비닐렌)(PPV) 계열의 고분자, 스피로(spiro) 화합물, 폴리플루오렌, 루브렌 등이 있으나, 이들에만 한정되는 것은 아니다.The light emitting material is preferably a material capable of emitting light in the visible light region by transporting and combining holes and electrons from the hole transporting layer and the electron transporting layer, respectively, and having a high quantum efficiency for fluorescence or phosphorescence. Specific examples include 8-hydroxy-quinoline aluminum complex (Alq3 ), carbazol-based compounds, dimerized styryl compounds, BAlq, 10-hydroxybenzoquinoline-metal compounds, benzoxazole, benzthiazole and A benzimidazole-based compound, a poly (p-phenylene vinylene) (PPV) -based polymer, a spiro compound, polyfluorene, rubrene, and the like.
전자 수송 물질로는 음극으로부터 전자를 잘 주입 받아 발광층으로 옮겨줄 수 있는 물질로서, 전자에 대한 이동성이 큰 물질이 적합하다. 구체적인 예로는 8-히드록시퀴놀린의 Al 착물, Alq3를 포함한 착물, 유기 라디칼 화합물, 히드록시플라본-금속 착물 등이 있으나, 이들에만 한정되는 것은 아니다.
As the electron transporting material, a material capable of transferring electrons from the cathode well into the light emitting layer, which is highly mobile, is suitable. Specific examples thereof include, but are not limited to, an Al complex of 8-hydroxyquinoline, a complex containing Alq3 , an organic radical compound, and a hydroxyflavone-metal complex.
본 발명에 따른 유기전계발광소자는 사용되는 재료에 따라 전면 발광형, 후면 발광형 또는 양면 발광형일 수 있다.The organic electroluminescent device according to the present invention may be a front emission type, a back emission type, or a both-sided emission type, depending on the material used.
또한, 본 발명에 따른 유기발광 화합물은 유기 태양 전지, 유기 감광체, 유기 트랜지스터 등을 비롯한 유기 전자 소자에서도 유기전계발광소자에 적용되는 것과 유사한 원리로 작용할 수 있다.
In addition, the organic electroluminescent compound according to the present invention can act on a principle similar to that applied to an organic electroluminescent device in an organic electronic device including an organic solar cell, an organophotoreceptor, an organic transistor and the like.
이하, 본 발명의 이해를 돕기 위하여 바람직한 실시예를 제시한다. 그러나, 하기의 실시예는 본 발명을 예시하기 위한 것이며, 이에 의하여 본 발명의 범위가 한정되는 것은 아니다.
Hereinafter, preferred embodiments of the present invention will be described in order to facilitate understanding of the present invention. However, the following examples are intended to illustrate the invention and are not intended to limit the scope of the invention.
합성예Synthetic example 1 : [화합물 1]의 합성 1: Synthesis of [Compound 1]
(1) [중간체 1-1]의 합성(1) Synthesis of [intermediate 1-1]
2-bromo-2'-nitrobiphenyl(5.0 g, 0.018 mol)에 triphenylphosphine(14.1 g, 0.054 mol)에 1,2-dichlorobenzene 200 mL를 넣고 180 ℃에서 24시간 교반하여 반응시켰다. 반응 종료 후 냉각하여 H20 : MC에 층분리 후 컬럼정제(n-Hexane :MC)하여 중간체 1-1를 3.7g(83%) 수득하였다.(m/z=246)
200 mL of 1,2-dichlorobenzene was added to triphenylphosphine (14.1 g, 0.054 mol) in 2-bromo-2'-nitrobiphenyl (5.0 g, 0.018 mol) and the mixture was reacted at 180 ° C for 24 hours with stirring. After completion of the reaction, the reaction mixture was cooled, separated into H2 O: MC and subjected to column purification (n-hexane: MC) to obtain 3.7 g (83%) of intermediate 1-1 (m / z = 246)
(2) [중간체 1-2]의 합성(2) Synthesis of [intermediate 1-2]
2,4,6-trichloropyrimidine(4.0 g, 0.022 mol)에 phenyl boronic acid(5.5 g, 0.052 mol), Pd(pph3)4(1.3 g, 0.0011 mol), potassium carbonate(6.1 g, 0.044 mol)에 THF 150 mL를 넣고 65 ℃에서 18시간 교반하여 반응시켰다. 반응 종료 후 냉각하여 H20 : MC에 층분리 후 컬럼정제 (n-Hexane : MC)하여 중간체 1-2을 4.8g(70%) 수득하였다.(m/z=311)
Phenyl boronic acid (5.5 g, 0.052 mol), Pd (pph3 )4 (1.3 g, 0.0011 mol) and potassium carbonate (6.1 g, 0.044 mol) were added to 2,4,6-trichloropyrimidine (4.0 g, 0.022 mol) 150 mL of THF was added and the mixture was reacted at 65 DEG C for 18 hours with stirring. After completion of the reaction, the reaction mixture was cooled, and the product was separated into H2 O: MC and subjected to column purification (n-hexane: MC) to obtain 4.8 g (70%
(3) [중간체 1-3]의 합성(3) Synthesis of [intermediate 1-3]
중간체 1-1(5.0 g, 0.020 mol)에 중간체 1-2(6.3 g, 0.020 mol), Pd(dba)2 (0.9 g, 0.0010 mol), sodium-tert-butoxide(3.8 g, 0.040 mol)에 톨루엔 150 mL를 넣고 95 ℃에서 24시간 교반하여 반응시켰다. 반응 종료 후 냉각하여 H20 : MC에 층분리 후 컬럼정제(n-Hexane : MC)하여 중간체 1-3을 6.7g(70%) 수득하였다. (m/z=476)
Intermediate 1-2 (6.3 g, 0.020 mol), Pd (dba)2 (0.9 g, 0.0010 mol) and sodium-tert-butoxide (3.8 g, 0.040 mol) were added to Intermediate 1-1 (5.0 g, 0.020 mol) 150 mL of toluene was added and the mixture was reacted at 95 DEG C for 24 hours with stirring. After completion of the reaction, the reaction mixture was cooled, separated into H2 O: MC and subjected to column purification (n-hexane: MC) to obtain 6.7 g (70%) of Intermediate 1-3. (m / z < / RTI > = 476)
(4) [중간체 1-4]의 합성(4) Synthesis of [intermediate 1-4]
중간체 1-3(9.5 g, 0.020 mol)에 bis(pinacolato)dibron(6.2 g, 0.024 mol) PdCl2(dppf)(0.7 g, 0.001 mol), potassium-acetate(5.9 g, 0.060 mol)에 1,4-dioxane 100 mL를 넣고 95 ℃에서 24시간 교반하여 반응시켰다. 반응 종료 후 냉각하여 H20 : MC에 층분리 후 컬럼정제 (n-Hexane : MC)하여 중간체 1-4를 4.2g(71%) 수득하였다. (m/z=523)
To a solution of bis (pinacolato) dibron (6.2 g, 0.024 mol) PdCl2 (dppf) (0.7 g, 0.001 mol) and potassium acetate (5.9 g, 0.060 mol) in Intermediate 1-3 (9.5 g, 0.020 mol) 4-dioxane (100 mL), and the mixture was reacted at 95 ° C for 24 hours with stirring. After completion of the reaction, the reaction mixture was cooled, separated into H2 O: MC and subjected to column purification (n-hexane: MC) to obtain 4.2 g (71%) of Intermediate 1-4. (m / z = 523)
(5) [화합물 1]의 합성(5) Synthesis of [Compound 1]
중간체 1-4(5.0 g, 0.010 mol)에 2-chloro-4,6-diphenyl-1,3,5-triazine (2.7 g, 0.010 mol), Pd(pph3)4(0.6 g, 0.0005 mol), potassium carbonate(2.7 g, 0.020 mol)에 THF 100 mL를 넣고 65 ℃에서 18시간 교반하여 반응시켰다. 반응 종료 후 냉각하여 H20 : MC에 층분리 후 컬럼정제 (n-Hexane : MC)하여 [화합물 1]을3.8g(수율 61%) 수득하였다.2-chloro-4,6-diphenyl-1,3,5-triazine (2.7 g, 0.010 mol) and Pd (pph3 )4 (0.6 g, 0.0005 mol) were added to Intermediate 1-4 (5.0 g, 0.010 mol) , potassium carbonate (2.7 g, 0.020 mol), and the mixture was reacted at 65 ° C for 18 hours with stirring. After completion of the reaction, the reaction mixture was cooled, and subjected to column separation on H2 O: MC, followed by column purification (n-hexane: MC) to obtain 3.8 g (yield: 61%) of [Compound 1].
H-NMR (200 MHz, CDCl3):δ ppm, 1H(8.63/s, 8.55/d, 7.94/d, 7.59/d, 7.43/m, 7.33/m, 7.25/m) 4H(8.28/d, 7.41/m) 5H(7.79/d) 8H(7.51/m)8H NMR (200 MHz, CDCl3 ):? Ppm, 1H (8.63 / s, 8.55 / d, 7.94 / d, 7.59 / d, 7.43 / m, 7.33 / m, 7.25 / 7.41 / m) 5H (7.79 / d) 8H (7.51 / m)
LC/MS: m/z=629 [(M+1)+]
LC / MS: m / z = 629 [(M + 1)<+ &
합성예Synthetic example 2 : [화합물 2]의 합성 2: Synthesis of [Compound 2]
(1) [중간체 2-0]의 합성(1) Synthesis of [intermediate 2-0]
중간체 1-4(5.0 g, 0.010 mol)에 1,4-dibromobenzene(2.1 g, 0.009 mol)를 넣고 합성예 1-(5)에서 사용된 동일한 방법으로 합성하여 중간체 2-0 3.6g (수율 72%)을 얻었다.(m/z=552)
Synthesis was conducted in the same manner as in Synthesis Example 1- (5), except that 1,4-dibromobenzene (2.1 g, 0.009 mol) was added to Intermediate 1-4 (5.0 g, 0.010 mol) %). (M / z = 552)
(2) [중간체 2-1]의 합성(2) Synthesis of [intermediate 2-1]
중간체 2-0(5.0 g, 0.010 mol)에 bis(pinacolato)dibron(3.1 g, 0.012 mol) 를 넣고 합성예 1-(4)에서 사용된 동일한 방법으로 합성하여 중간체 2-1 4.2g (수율 70%)을 얻었다.(m/z=600)
Synthesis was conducted in the same manner as in Synthesis Example 1- (4), except that bis (pinacolato) dibron (3.1 g, 0.012 mol) was added to Intermediate 2-0 (5.0 g, 0.010 mol) %). (M / z = 600)
(3) [화합물 2]의 합성(3) Synthesis of [Compound 2]
중간체 2-1(6.0 g, 0.010 mol)에 2-bromo-9,9-dimethyl-9H-fluorene (2.2 g, 0.008 mol)를 넣고 합성예 1-(5)에서 사용된 동일한 방법으로 합성하여 화합물 2 4.0g (수율 75%)을 얻었다.Synthesis was carried out in the same manner as in Synthesis Example 1- (5), except that 2-bromo-9,9-dimethyl-9H-fluorene (2.2 g, 0.008 mol) was added to Intermediate 2-1 (6.0 g, 0.010 mol) 2 (yield: 75%).
H-NMR (200 MHz, CDCl3):δ ppm, 1H(8.63/s, 8.55/d, 7.94/d, 7.93/d, 7.87/d, 7.77/s, 7.63/d, 7.59/d, 7.55/d, 7.43/m, 7.38/m, 7.33/m, 7.28/m, 7.25/m) 2H(7.41/m, 1.72/s) 4H(7.51/m, 7.25/d) 5H(7.79/d)H-NMR (200 MHz, CDCl 3): δ ppm, 1H (8.63 / s, 8.55 / d, 7.94 / d, 7.93 / d, 7.87 / d, 7.77 / s, 7.63 / d, 7.59 / d, 7.55 / m, 7.32 / m, 7.28 / m, 7.25 / m) 2H (7.41 / m, 1.72 / s) 4H (7.51 / m, 7.25 / d)
LC/MS: m/z=666 [(M+1)+]
LC / MS: m / z = 666 [(M + 1)<+ &
합성예Synthetic example 3 : [화합물 3]의 합성 3: Synthesis of [Compound 3]
중간체 2-1(6.0 g, 0.010 mol)에 2-chlorotriphenylene(2.1 g, 0.008 mol)를 넣고 합성예 1-(5)에서 사용된 동일한 방법으로 합성하여 화합물 3 3.8g (수율 68%)을 얻었다.2-Chlorotriphenylene (2.1 g, 0.008 mol) was added to Intermediate 2-1 (6.0 g, 0.010 mol) and synthesized in the same manner as in Synthesis Example 1- (5) to give 3.8 g (yield 68%) of
H-NMR (200 MHz, CDCl3):δ ppm, 1H(9.15/s, 8.63/d, 8.55/d, 8.18/d, 8.04/d, 7.94/d, 7.59/d, 7.43/m, 7.33/m, 7.25/m) 2H(8.93/d, 8.12/d, 7.88/m, 7.82/m, 7.41/m) 4H(7.51/m, 7.25/d) 5H(7.79/d)H-NMR (200 MHz, CDCl 3): δ ppm, 1H (9.15 / s, 8.63 / d, 8.55 / d, 8.18 / d, 8.04 / d, 7.94 / d, 7.59 / d, 7.43 / m, 7.33 / m, 7.25 / m) 2H (8.93 / d, 8.12 / d, 7.88 / m, 7.82 / m, 7.41 /
LC/MS: m/z=700 [(M+1)+]
LC / MS: m / z = 700 [(M + 1)<+ &
합성예Synthetic example 4 : [화합물 4]의 합성 4: Synthesis of [Compound 4]
중간체 2-1(6.0 g, 0.010 mol)에 4-bromodibenzo[b,d]thiophene(2.1 g, 0.008 mol)를 넣고 합성예 1-(5)에서 사용된 동일한 방법으로 합성하여 화합물 4 3.8g (수율 73%)을 얻었다.Synthesis was conducted in the same manner as in Synthesis Example 1- (5), except that 4-bromodibenzo [b, d] thiophene (2.1 g, 0.008 mol) was added to Intermediate 2-1 (6.0 g, 0.010 mol) Yield: 73%).
H-NMR (200 MHz, CDCl3):δ ppm, 1H(8.63/ds, 8.55/d, 8.45/d, 8.41/d, 8.20/d, 7.98/d, 7.94/d, 7.59/d, 7.58/m, 7.52/m, 7.50/m, 7.43/m, 7.33/m, 7.25/m) 2H(7.41/m) 4H(7.51/m, 7.25/d) 5H(7.79/d)H-NMR (200 MHz, CDCl 3): δ ppm, 1H (8.63 / ds, 8.55 / d, 8.45 / d, 8.41 / d, 8.20 / d, 7.98 / d, 7.94 / d, 7.59 / d, 7.58 / m, 7.52 / m, 7.50 / m, 7.43 / m, 7.33 / m, 7.25 / m) 2H (7.41 / m) 4H (7.51 / m, 7.25 / d)
LC/MS: m/z= 656[(M+1)+]
LC / MS: m / z = 656 [(M + 1)<+ &
합성예Synthetic example 5 : [화합물 5]의 합성 5: Synthesis of [Compound 5]
(1) [중간체 5-1]의 합성(1) Synthesis of [Intermediate 5-1]
중간체 1-4(5.0 g, 0.009 mol)에 1,3,5-tribromobenzene(2.5 g, 0.008 mol)를 넣고 합성예 1-(5)에서 사용된 동일한 방법으로 합성하여 중간체 5-1 3.6g (수율 71%)을 얻었다.(m/z=631)
(2.5 g, 0.008 mol) was added to Intermediate 1-4 (5.0 g, 0.009 mol) in the same manner as in Synthesis Example 1- (5) to obtain 3.6 g of Intermediate 5-1 Yield: 71%). (M / z = 631)
(2) [화합물 5]의 합성(2) Synthesis of [Compound 5]
중간체 5-1(5.0 g, 0.008 mol)에 9H-carbazole(2.5 g, 0.016 mol)를 넣고 합성예 1-(3)에서 사용된 동일한 방법으로 합성하여 화합물 5 5.4g (수율 75%)을 얻었다.Synthesis was conducted in the same manner as in Synthesis Example 1- (3), except that 9H-carbazole (2.5 g, 0.016 mol) was added to Intermediate 5-1 (5.0 g, 0.008 mol) to obtain 5.4 g (yield 75% .
H-NMR (200 MHz, CDCl3):δ ppm, 1H(8.63/d, 7.59/d, 7.43/m, 7.20/s) 2H(8.12/d, 8.09/s, 7.63/d, 7.50/m, 7.41/m, 7.29/m) 3H(8.55/d, 7.94/d, 7.33/m, 7.25/m) 4H(7.51/m) 5H(7.79/d)H-NMR (200 MHz, CDCl 3): δ ppm, 1H (8.63 / d, 7.59 / d, 7.43 / m, 7.20 / s) 2H (8.12 / d, 8.09 / s, 7.63 / d, 7.50 / m, (7.51 / m, 7.29 / m), 7H (7.55 / d, 7.94 / d, 7.33 /
LC/MS: m/z= 804[(M+1)+]
LC / MS: m / z = 804 [(M + 1)<+ &
합성예Synthetic example 6 : [화합물 6]의 합성 6: Synthesis of [Compound 6]
중간체 2-1(6.0 g, 0.010 mol)에 2-bromo-9-phenyl-9H-carbazole(2.6 g, 0.00 8mol)를 넣고 합성예 1-(5)에서 사용된 동일한 방법으로 합성하여 화합물 6 4.3g (수율 75%)을 얻었다.Synthesis was carried out in the same manner as in Synthesis Example 1- (5), except that 2-bromo-9-phenyl-9H-carbazole (2.6 g, 0.008 mol) was added to Intermediate 2-1 (6.0 g, 0.010 mol) g (yield 75%).
H-NMR (200 MHz, CDCl3):δ ppm, 1H(8.63/s, 8.18/d, 7.62/s, 7.59/d, 7.45/m, 7.43/m) 2H(8.55/d, 7.94/d, 7.58/m, 7.50/d, 7.41/m, 7.33/m, 7.25/m) 4H(7.51/m, 7.25/d) 6H(7.79/d)H-NMR (200 MHz, CDCl 3): δ ppm, 1H (8.63 / s, 8.18 / d, 7.62 / s, 7.59 / d, 7.45 / m, 7.43 / m) 2H (8.55 / d, 7.94 / d, 7.51 / m, 7.50 / d, 7.41 / m, 7.33 / m, 7.25 /
LC/MS: m/z= 715[(M+1)+]
LC / MS: m / z = 715 [(M + 1)<+ &
합성예Synthetic example 7 : [화합물 7]의 합성 7: Synthesis of [Compound 7]
(1) [중간체 7-1]의 합성(1) Synthesis of [Intermediate 7-1]
2,4,6-trichloropyrimidine(5.0 g, 0.027 mol)에 5-methylpyrazin-2-ylboronic acid(9.0 g, 0.066 mol)를 넣고 합성예 1-(5)에서 사용된 동일한 방법으로 합성하여 중간체 7-1 5.7g (수율 71%)을 얻었다.(m/z=298)
Synthesis was conducted in the same manner as in Synthesis Example 1- (5) except that 5-methylpyrazin-2-ylboronic acid (9.0 g, 0.066 mol) was added to 2,4,6-trichloropyrimidine (5.0 g, 0.027 mol) 1 (yield: 71%). (M / z = 298)
(2) [중간체 7-2]의 합성(2) Synthesis of [Intermediate 7-2]
중간체 7-1(5.0 g, 0.017 mol), 중간체 1-1(4.2 g, 0.017 mol)를 넣고 합성예 1-(3)에서 사용된 동일한 방법으로 합성하여 중간체 7-2 4.8g(수율 73%)을 얻었다.(m/z=508)
Intermediate 7-1 (5.0 g, 0.017 mol) and Intermediate 1-1 (4.2 g, 0.017 mol) were added thereto and the mixture was reacted in the same manner as in Synthesis Example 1- (3) ). (M / z = 508)
(3) [중간체 7-3]의 합성(3) Synthesis of [Intermediate 7-3]
중간체 7-2(5.0 g, 0.010 mol) bis(pinacolato)dibron(3.1 g, 0.012 mol) 를 넣고 합성예 1-(2)에서 사용된 동일한 방법으로 합성하여 중간체 7-3 4.1g(수율 73%)을 얻었다.(m/z=555)
4.1 g (yield: 73%) of Intermediate 7-3 was synthesized in the same manner as in Synthesis Example 1- (2), except that Intermediate 7-2 (5.0 g, 0.010 mol) and bis (pinacolato) dibron ). (M / z = 555)
(4) [화합물 7]의 합성(4) Synthesis of [Compound 7]
중간체 7-3(5.0 g, 0.009 mol), 2-(4-bromophenyl)-4,6-diphenyl-1,3,5-triazine(3.2 g, 0.008 mol)를 넣고 합성예 1-(5)에서 사용된 동일한 방법으로 합성하여 화합물 7 4.8g(수율 73%)을 얻었다.(5.0 g, 0.009 mol) and 2- (4-bromophenyl) -4,6-diphenyl-1,3,5-triazine (3.2 g, 0.008 mol) Synthesis was conducted in the same manner as used to obtain 4.8 g (yield 73%) of
H-NMR (200 MHz, CDCl3):δ ppm, 1H(8.75/s, 8.55/d, 7.94/d, 7.79/d, 7.59/d, 7.43/m, 7.33/m, 7.25/m) 2H(8.61/s, 8.60/s, 7.85/d, 7.41/m, 7.25/d, 2.33/s) 4H(8.28/d, 7.51/m)H-NMR (200 MHz, CDCl 3): δ ppm, 1H (8.75 / s, 8.55 / d, 7.94 / d, 7.79 / d, 7.59 / d, 7.43 / m, 7.33 / m, 7.25 / m) 2H ( 8.81 / s, 8.60 / s, 7.85 / d, 7.41 / m, 7.25 / d, 2.33 /
LC/MS: m/z=737 [(M+1)+]
LC / MS: m / z = 737 [(M + 1)<+ &
합성예Synthetic example 8 : [화합물 8]의 합성 8: Synthesis of [Compound 8]
중간체 7-3(6.1 g, 0.011 mol), 2-chloro-4,6-diphenyl-1,3,5-triazine(2.4 g, 0.009 mol)를 넣고 합성예 1-(5)에서 사용된 동일한 방법으로 합성하여 화합물8 4.1g(수율 70%)을 얻었다.The same procedure as in Synthesis Example 1- (5) was repeated except that Intermediate 7-3 (6.1 g, 0.011 mol) and 2-chloro-4,6-diphenyl-1,3,5-triazine (2.4 g, 0.009 mol) To obtain 4.1 g (yield 70%) of Compound 8.
H-NMR (200 MHz, CDCl3):δ ppm, 1H(8.75/s, 8.55/d, 7.94/d, 7.59/d, 7.43/m, 7.33/m, 7.25/m) 2H(8.61/s, 8.60/s, 7.41/m, 2.33/s) 4H(7.51/m) 5H(7.79/d)H-NMR (200 MHz, CDCl 3): δ ppm, 1H (8.75 / s, 8.55 / d, 7.94 / d, 7.59 / d, 7.43 / m, 7.33 / m, 7.25 / m) 2H (8.61 / s, 8.60 / s, 7.41 / m, 2.33 / s) 4H (7.51 / m) 5H (7.79 / d)
LC/MS: m/z=660 [(M+1)+]
LC / MS: m / z = 660 [(M + 1)<+ &
합성예Synthetic example 9 : [화합물 9]의 합성 9: Synthesis of [Compound 9]
중간체 7-2(5.0 g, 0.010 mol), 9H-carbazole(1.7 g, 0.010 mol)를 넣고 합성예 1-(3)에서 사용된 동일한 방법으로 합성하여 화합물 9 4.2g(수율 71%)을 얻었다.Synthesis was conducted in the same manner as in Synthesis Example 1- (3), except that Intermediate 7-2 (5.0 g, 0.010 mol) and 9H-carbazole (1.7 g, 0.010 mol) were added and 4.2 g (yield 71% .
H-NMR (200 MHz, CDCl3):δ ppm, 1H(8.75/s, 8.12/d, 7.50/m, 7.37/m, 7.29/m, 7.23/d) 2H(8.61/s, 8.60/s, 8.55/d, 7.94/d, 7.63/d, 7.33/m, 7.25/m, 2.33/s)H-NMR (200 MHz, CDCl 3): δ ppm, 1H (8.75 / s, 8.12 / d, 7.50 / m, 7.37 / m, 7.29 / m, 7.23 / d) 2H (8.61 / s, 8.60 / s, 8.55 / d, 7.94 / d, 7.63 / d, 7.33 / m, 7.25 / m, 2.33 / s)
LC/MS: m/z=595 [(M+1)+]
LC / MS: m / z = 595 [(M + 1)<+ &
합성예Synthetic example 10 : [화합물 10]의 합성 10: Synthesis of [Compound 10]
(1) [중간체 10-1]의 합성(1) Synthesis of [intermediate 10-1]
9-bromo-10-phenylanthracene(5.0 g, 0.015 mol), 4-chloronaphthalen-1-ylboronic acid(37 g, 0.018 mol)를 넣고 합성예 1-(5)에서 사용된 동일한 방법으로 합성하여 중간체 10-1 4.3g(수율 70%)을 얻었다.(m/z=414)
Synthesis was carried out in the same manner as in Synthesis Example 1- (5), except that 9-bromo-10-phenylanthracene (5.0 g, 0.015 mol) and 4-chloronaphthalen-1-ylboronic acid (37 g, 0.018 mol) 1 (m / z = 414) (yield: 70%).
(2) [화합물 10]의 합성(2) Synthesis of [Compound 10]
중간체 10-1(5.0 g, 0.012 mol), 중간체 7-3(8.0 g, 0.014 mol)를 넣고 합성예 1-(5)에서 사용된 동일한 방법으로 합성하여 화합물 10 6.5g(수율 67%)을 얻었다.Synthesis was conducted in the same manner as in Synthesis Example 1- (5), except that Intermediate 10-1 (5.0 g, 0.012 mol) and Intermediate 7-3 (8.0 g, 0.014 mol) .
H-NMR (200 MHz, CDCl3):δ ppm, 1H(8.75/s, 7.94/d, 7.79/d, 7.59/d, 7.43/m, 7.33/m, 7.25/m) 2H(8.61/s, 8.60/s, 8.01/d, 7.55/m, 7.52/d, 7.51/m, 2.33/s) 3H(8.55/d) 4H(7.91/d, 7.39/m)H-NMR (200 MHz, CDCl 3): δ ppm, 1H (8.75 / s, 7.94 / d, 7.79 / d, 7.59 / d, 7.43 / m, 7.33 / m, 7.25 / m) 2H (8.61 / s, 7.51 / m, 2.33 / s) 3H (8.55 / d) 4H (7.91 / d, 7.39 /
LC/MS: m/z= 809[(M+1)+]
LC / MS: m / z = 809 [(M + 1)<+ &
합성예Synthetic example 11 : [화합물 11]의 합성 11: Synthesis of [Compound 11]
(1) [중간체 11-1]의 합성(1) Synthesis of [intermediate 11-1]
2,4,6-trichloropyrimidine(3.3 g, 0.018 mol), 6-methylpyrazin-2-ylboronic acid(6.0 g, 0.043 mol)를 넣고 합성예 1-(5)에서 사용된 동일한 방법으로 합성하여 중간체 11-1 3.8g(수율 72%)을 얻었다.(m/z=298)
2-ylboronic acid (6.0 g, 0.043 mol) in the same manner as in Synthesis Example 1- (5), to thereby obtain Intermediate 11- (4-methylpyridin- 1 (m / z = 298) (3.8 g, yield: 72%).
(2) [화합물 11]의 합성(2) Synthesis of [Compound 11]
중간체 11-1(5.0 g, 0.017 mol), 4-(2-phenyl-1H-benzo[d]imidazol-1-yl)phenylboronic acid(6.3 g, 0.020 mol)를 넣고 합성예 1-(5)에서 사용된 동일한 방법으로 합성하여 화합물 11 6.3g(수율 70%)을 얻었다.(5.0 g, 0.017 mol) and 4- (2-phenyl-1H-benzo [d] imidazol-1-yl) phenylboronic acid (6.3 g, 0.020 mol) Synthesis was conducted in the same manner as used to obtain 6.3 g (yield 70%) of Compound 11.
H-NMR (200 MHz, CDCl3):δ ppm, 1H(8.56/d, 8.35/s, 7.59/d, 7.41/m) 2H(8.60/s, 8.54/s, 8.28/d, 7.79/d, 7.68/d, 7.51/m, 7.22/m, 2.33/s)H-NMR (200 MHz, CDCl 3): δ ppm, 1H (8.56 / d, 8.35 / s, 7.59 / d, 7.41 / m) 2H (8.60 / s, 8.54 / s, 8.28 / d, 7.79 / d, 7.68 / d, 7.51 / m, 7.22 / m, 2.33 / s)
LC/MS: m/z= 533[(M+1)+]
LC / MS: m / z = 533 [(M + 1)<+ &
합성예Synthetic example 12 : [화합물 12]의 합성 12: Synthesis of [Compound 12]
(1) [중간체 12-1]의 합성(1) Synthesis of [intermediate 12-1]
2,4,6-trichloropyrimidine(3.3 g, 0.018 mol), pyrazin-2-ylboronic acid (2.7 g, 0.021 mol)를 넣고 합성예 1-(5)에서 사용된 동일한 방법으로 합성하여 중간체 12-1 3.5g(수율 72%)을 얻었다.(m/z=270)
Synthesis was carried out in the same manner as in Synthesis Example 1- (5), except that 2,4,6-trichloropyrimidine (3.3 g, 0.018 mol) and pyrazin-2-ylboronic acid (2.7 g, 0.021 mol) g (yield: 72%). (m / z = 270)
(2) [중간체 12-2]의 합성(2) Synthesis of [Intermediate 12-2]
1,3-dihydroindolo[2,3-b]carbazole(5.0 g, 0.020 mol), bromobenzene(3.3 g, 0.020 mol)를 넣고 합성예 1-(3)에서 사용된 동일한 방법으로 합성하여 중간체12-2 4.7g(수율 71%)을 얻었다.(m/z=332)
(3.3 g, 0.020 mol) and 1,3-dihydroindolo [2,3-b] carbazole (5.0 g, 0.020 mol) and bromobenzene (M / z = 332) of 4.7 g (yield 71%).
(4) [화합물 12]의 합성(4) Synthesis of [Compound 12]
중간체 12-2(5.0 g, 0.015 mol), 중간체 12-1(4.1 g, 0.015 mol)를 넣고 합성예 1-(3)에서 사용된 동일한 방법으로 합성하여 화합물 12 7.0g(수율 78%)을 얻었다.7.0 g (yield 78%) of Compound 12 was synthesized in the same manner as in Synthesis Example 1- (3), except that Intermediate 12-2 (5.0 g, 0.015 mol) and Intermediate 12-1 .
H-NMR (200MHz, CDCl3):δ ppm, 1H(8.75/s, 8.55/d, 8.12/d, 7.94/d, 7.63/d, 7.55/s, 7.50/m, 7.45/m, 7.40/s, 7.33/m, 7.29/m, 7.25/m) 2H(8.79/s, 7.58/m, 7.50/d) 4H(8.76/d)H-NMR (200MHz, CDCl 3 ): δ ppm, 1H (8.75 / s, 8.55 / d, 8.12 / d, 7.94 / d, 7.63 / d, 7.55 / s, 7.50 / m, 7.45 / m, 7.40 / s , 7.33 / m, 7.29 / m, 7.25 / m) 2H (8.79 / s, 7.58 /
LC/MS: m/z= 595[(M+1)+]
LC / MS: m / z = 595 [(M + 1)<+ &
합성예Synthetic example 13 : [화합물 13]의 합성 13: Synthesis of [Compound 13]
(1) [중간체 13-1]의 합성(1) Synthesis of [intermediate 13-1]
중간체 12-1(5.0 g, 0.019 mol), 5,11-dihydroindolo[3,2-b]carbazole(4.7 g, 0.019 mol)를 넣고 합성예 1-(3)에서 사용된 동일한 방법으로 합성하여 중간체13-1 6.7g(수율 72%)을 얻었다.(m/z=490)
Was synthesized by the same method as in Synthesis Example 1- (3), except that Intermediate 12-1 (5.0 g, 0.019 mol) and 5,11-dihydroindolo [3,2- b] carbazole (4.7 g, 0.019 mol) (M / z = 490) of 13-1 (yield: 72%).
(2) [화합물 13]의 합성(2) Synthesis of [Compound 13]
중간체 9-1(5.0 g, 0.019 mol), 2-chloro-4,6-diphenyl-1,3,5-triazine(5.0 g, 0.019 mol)를 넣고 합성예 1-(3)에서 사용된 동일한 방법으로 합성하여 화합물13 10.7g(수율 75%)을 얻었다.The same procedure as in Synthesis Example 1- (3) was repeated except that Intermediate 9-1 (5.0 g, 0.019 mol) and 2-chloro-4,6-diphenyl-1,3,5-triazine (5.0 g, 0.019 mol) To obtain 10.7 g (yield 75%) of Compound 13.
H-NMR (200 MHz, CDCl3):δ ppm, 1H(8.75/s, 8.55/d, 8.12/d, 7.94/d, 7.63/d, 7.55/s, 7.50/m, 7.40/s, 7.33/m, 7.29/m, 7.25/m) 2H(8.79/s, 7.41/m) 4H(8.76/d, 8.28/d, 7.51/m)H-NMR (200 MHz, CDCl 3): δ ppm, 1H (8.75 / s, 8.55 / d, 8.12 / d, 7.94 / d, 7.63 / d, 7.55 / s, 7.50 / m, 7.40 / s, 7.33 / m, 7.29 / m, 7.25 / m) 2H (8.79 / s, 7.41 / m) 4H (8.76 / d, 8.28 / d, 7.51 /
LC/MS: m/z= 750[(M+1)+]
LC / MS: m / z = 750 [(M + 1)<+ &
합성예Synthetic example 14 : [화합물 14]의 합성 14: Synthesis of [Compound 14]
(1) [중간체 14-1]의 합성(1) Synthesis of [intermediate 14-1]
4-(4-chlorophenyl)-2,6-diphenylpyrimidine(5.0 g, 0.015 mol) bis(pinacolato)dibron(4.6 g, 0.0218 mol)를 넣고 합성예 1-(2)에서 사용된 동일한 방법으로 합성하여 중간체 14-1 4.6g(수율 71%)을 얻었다.(m/z=434)
(2.5 g, 0.015 mol) and bis (pinacolato) dibron (4.6 g, 0.0218 mol) were added to a solution of 4- (4-chlorophenyl) -2,6-diphenylpyrimidine (M / z = 434) of 14-1 (yield: 71%).
(2) [화합물 14]의 합성(2) Synthesis of [Compound 14]
중간체 14-1(5.0 g, 0.012 mol), 중간체 7-1(2.7 g, 0.010 mol)를 넣고 합성예 1-(5)에서 사용된 동일한 방법으로 합성하여 화합물 14 4.1g(수율 71%)을 얻었다.(71% yield) of Compound 14 was synthesized by the same method as in Synthesis Example 1- (5) except that Intermediate 14-1 (5.0 g, 0.012 mol) and Intermediate 7-1 (2.7 g, 0.010 mol) .
H-NMR (200 MHz, CDCl3):δ ppm, 1H(8.35/s, 8.23/s) 2H(8.60/s, 8.54/s, 8.30/d, 8.28/d, 7.85/d, 7.79/d, 7.41/m, 2.33/s) 4H(7.51/m)H-NMR (200 MHz, CDCl 3): δ ppm, 1H (8.35 / s, 8.23 / s) 2H (8.60 / s, 8.54 / s, 8.30 / d, 8.28 / d, 7.85 / d, 7.79 / d, 7.41 / m, 2.33 / s) 4H (7.51 / m)
LC/MS: m/z= 571[(M+1)+]
LC / MS: m / z = 571 [(M + 1)<+ &
합성예Synthetic example 15 : [화합물 15] 합성 15: [Compound 15] Synthesis
(1) [중간체 15-1]의 합성(1) Synthesis of [intermediate 15-1]
중간체 12-1(5.0 g, 0.017 mol), 4-chlorophenylboronic acid(3.1 g, 0.020 mol)를 넣고 합성예 1-(5)에서 사용된 동일한 방법으로 합성하여 중간체 15-1 4.4g(수율 69%)을 얻었다.(m/z=374)
4.4 g (Yield: 69%) of Intermediate 15-1 was synthesized by the same method as in Synthesis Example 1- (5), except that Intermediate 12-1 (5.0 g, 0.017 mol) and 4-chlorophenylboronic acid ). (M / z = 374)
(2) [중간체 15-2]의 합성(2) Synthesis of [intermediate 15-2]
중간체 15-1(5.0 g, 0.013 mol), bis(pinacolato)dibron(4.2 g, 0.016 mol) 를 넣고 합성예 1-(2)에서 사용된 동일한 방법으로 합성하여 중간체 15-2 4.5g(수율 74%)을 얻었다.(m/z=466)
Synthesis was conducted in the same manner as in Synthesis Example 1- (2), except that Intermediate 15-1 (5.0 g, 0.013 mol) and bis (pinacolato) dibron (4.2 g, 0.016 mol) %). (M / z = 466)
(3) [중간체 15-3]의 합성(3) Synthesis of [intermediate 15-3]
2,4,6-trichloro-1,3,5-triazine(5.0 g, 0.027 mol), naphthalen-1-ylboronic acid(11.2 g, 0.064 mol)를 넣고 합성예 1-(5)에서 사용된 동일한 방법으로 합성하여 중간체 15-3 7.3g(수율 74%)을 얻었다.(m/z=367)
(5 g, 0.027 mol) and naphthalen-1-ylboronic acid (11.2 g, 0.064 mol) were added to a solution of 2,4,6-trichloro-1,3,5-triazine (M / z = 367) as an intermediate 15-3 (yield: 74%).
(4) [화합물 15]의 합성(4) Synthesis of [Compound 15]
중간체 15-3(5.0 g, 0.014 mol), 중간체 15-2(7.6 g, 0.017 mol)를 넣고 합성예 1-(5)에서 사용된 동일한 방법으로 합성하여 화합물 15 7.0g(수율 74%)을 얻었다.7.0 g (74% yield) of Compound 15 was synthesized in the same manner as in Synthesis Example 1- (5), except that Intermediate 15-3 (5.0 g, 0.014 mol) and Intermediate 15-2 (7.6 g, 0.017 mol) .
H-NMR (200 MHz, CDCl3):δ ppm, 1H(8.35/s) 2H(8.60/s, 8.55/d, 8.54/s, 8.08/d, 8.04/d, 7.95/d, 7.61/m, 2.33/s) 4H(7.85/d, 7.55/m)H-NMR (200 MHz, CDCl 3): δ ppm, 1H (8.35 / s) 2H (8.60 / s, 8.55 / d, 8.54 / s, 8.08 / d, 8.04 / d, 7.95 / d, 7.61 / m, 2.33 / s) 4H (7.85 / d, 7.55 / m)
LC/MS: m/z= 672[(M+1)+]
LC / MS: m / z = 672 [(M + 1)<+ &
실시예Example 16 : [화합물 16]의 합성 16: Synthesis of [Compound 16]
(1) [중간체 16-1]의 합성(1) Synthesis of [intermediate 16-1]
중간체 11-1(5.0 g, 0.017 mol), 3,6-dibromo-9H-carbazole(5.5 g, 0.017 mol)를 넣고 합성예 1-(3)에서 사용된 동일한 방법으로 합성하여 중간체 16-1 7.2g(수율 72%)을 얻었다.(m/z=587)
Synthesis was conducted in the same manner as in Synthesis Example 1- (3) except that Intermediate 11-1 (5.0 g, 0.017 mol) and 3,6-dibromo-9H-carbazole (5.5 g, 0.017 mol) g (yield: 72%). (m / z = 587)
(2) [화합물 16]의 합성(2) Synthesis of [Compound 16]
중간체 16-1(5.0 g, 0.009 mol), 2-phenyl-1H-benzo[d]imidazole(3.3 g, 0.018 mol)를 넣고 합성예 1-(3)에서 사용된 동일한 방법으로 합성하여 화합물 16 5.4g(수율 74%)을 얻었다.Synthesis was conducted in the same manner as in Synthesis Example 1- (3), except that Intermediate 16-1 (5.0 g, 0.009 mol) and 2-phenyl-1H-benzo [d] imidazole (3.3 g, 0.018 mol) g (yield: 74%).
H-NMR (200 MHz, CDCl3):δ ppm, 1H(8.75/s, 7.94/d, 7.63/d, 7.62/d, 7.31/d) 2H(8.60/s, 8.56/d, 8.54/s, 7.59/d, 7.50/s, 7.41/m, 2.33/s) 4H(8.28/d, 7.51/m, 7.22/m)H-NMR (200 MHz, CDCl 3): δ ppm, 1H (8.75 / s, 7.94 / d, 7.63 / d, 7.62 / d, 7.31 / d) 2H (8.60 / s, 8.56 / d, 8.54 / s, 7.41 / m, 2.33 / s) 4H (8.28 / d, 7.51 / m, 7.22 / m)
LC/MS: m/z=814 [(M+1)+]
LC / MS: m / z = 814 [(M + 1)<+ &
합성예Synthetic example 17 : [화합물 17]의 합성 17: Synthesis of [Compound 17]
(1) [중간체 17-1]의 합성(1) Synthesis of [Intermediate 17-1]
중간체 1-1(5.0 g, 0.020 mol), 9-phenyl-9H-carbazol-2-ylboronic acid (7.0 g, 0.024 mol)를 넣고 합성예 1-(2)에서 사용된 동일한 방법으로 합성하여 중간체 17-1 6.9g(수율 73%)을 얻었다.(m/z=473)
Synthesis was carried out in the same manner as in Synthesis Example 1- (2), except that Intermediate 1-1 (5.0 g, 0.020 mol) and 9-phenyl-9H-carbazol-2-ylboronic acid (7.0 g, 0.024 mol) -1 (yield: 73%). (M / z = 473)
(2) [화합물 17]의 합성(2) Synthesis of [Compound 17]
중간체 11-1(5.0 g, 0.017 mol), 중간체 17-1(8.0 g, 0.017 mol)를 넣고 합성예 1-(3)에서 사용된 동일한 방법으로 합성하여 화합물 17 8.1g(수율 71%)을 얻었다.(71% yield) of Compound 17 was synthesized in the same manner as in Synthesis Example 1- (3), except that Intermediate 11-1 (5.0 g, 0.017 mol) and Intermediate 17-1 (8.0 g, 0.017 mol) .
H-NMR (200 MHz, CDCl3):δ ppm, 1H(8.75/s, 8.18/d, 7.62/s, 7.59/d, 7.45/m, 7.43/m) 2H(8.60/s, 8.55/d, 8.54/s, 7.94/d, 7.79/d, 7.58/m, 7.50/d, 7.33/m, 7.25/m, 2.33/s)H-NMR (200 MHz, CDCl 3): δ ppm, 1H (8.75 / s, 8.18 / d, 7.62 / s, 7.59 / d, 7.45 / m, 7.43 / m) 2H (8.60 / s, 8.55 / d, 7.54 / d, 7.79 / d, 7.58 / m, 7.50 / d, 7.33 / m, 7.25 / m, 2.33 / s)
LC/MS: m/z=671 [(M+1)+]
LC / MS: m / z = 671 [(M + 1)<+ &
합성예Synthetic example 18 : [화합물 18]의 합성 18: Synthesis of [Compound 18]
(1) [중간체 18-1]의 합성(1) Synthesis of [intermediate 18-1]
2,4,6-tribromopyridine(5.0 g, 0.016 mol), 6-methylpyrazin-2-ylboronic acid(5.2 g, 0.038 mol)를 넣고 합성예 1-(5)에서 사용된 동일한 방법으로 합성하여 중간체 18-1 3.8g(수율 70%)을 얻었다.(m/z=342)
2-ylboronic acid (5.2 g, 0.038 mol) was added to a solution of intermediate 18- (2,4-dicarboxylic acid dihydrochloride) 1 (m / z = 342) (3.8 g, yield 70%).
(2) [중간체 18-2]의 합성(2) Synthesis of [Intermediate 18-2]
중간체 18-1(5.0 g, 0.015 mol), bis(pinacolato)dibron(4.6 g, 0.018 mol)를 넣고 합성예 1-(2)에서 사용된 동일한 방법으로 합성하여 중간체 18-2 4.3g(수율 74%)을 얻었다.(m/z=389)
Intermediate 18-1 (5.0 g, 0.015 mol) and bis (pinacolato) dibron (4.6 g, 0.018 mol) were added to the reaction mixture to obtain Intermediate 18-2 %). (M / z = 389)
(3) [중간체 18-3]의 합성(3) Synthesis of [Intermediate 18-3]
중간체 18-2(5.0 g, 0.013 mol), 1,4-dibromobenzene(2.6 g, 0.011 mol)를 넣고 합성예 1-(5)에서 사용된 동일한 방법으로 합성하여 중간체 18-3 3.2g(수율 69%)을 얻었다.(m/z=418)
Synthesis was conducted in the same manner as in Synthesis Example 1- (5), except that Intermediate 18-2 (5.0 g, 0.013 mol) and 1,4-dibromobenzene (2.6 g, 0.011 mol) %). (M / z = 418)
(4) [중간체 18-4]의 합성(4) Synthesis of [Intermediate 18-4]
중간체 18-3(5.0 g, 0.012 mol), bis(pinacolato)dibron(3.9 g, 0.014 mol)를 넣고 합성예 1-(5)에서 사용된 동일한 방법으로 합성하여 중간체 18-4 3.9g(수율 70%)을 얻었다.(m/z=465)
(5.9 g, 0.012 mol) and bis (pinacolato) dibron (3.9 g, 0.014 mol) were charged in a similar manner to Synthesis Example 1- (5) %). (M / z = 465)
(5) [화합물 18]의 합성(5) Synthesis of [Compound 18]
중간체 18-4(5.0 g, 0.010 mol), 중간체 11-1(2.4 g, 0.008 mol)를 넣고 합성예 1-(5)에서 사용된 동일한 방법으로 합성하여 화합물 18 3.6g(수율 74%)을 얻었다.3.6 g (yield 74%) of Compound 18 was synthesized in the same manner as in Synthesis Example 1- (5), except that Intermediate 18-4 (5.0 g, 0.010 mol) and Intermediate 11-1 (2.4 g, 0.008 mol) .
H-NMR (200 MHz, CDCl3):δ ppm, 1H(8.35/s) 2H(8.47/s, 7.85/d, 7.25/d) 4H(8.60/s, 8.54/s, 2.33/s)H-NMR (200 MHz, CDCl 3): δ ppm, 1H (8.35 / s) 2H (8.47 / s, 7.85 / d, 7.25 / d) 4H (8.60 / s, 8.54 / s, 2.33 / s)
LC/MS: m/z=602 [(M+1)+]
LC / MS: m / z = 602 [(M + 1)<+ &
합성예Synthetic example 19 : [화합물 19]의 합성 19: Synthesis of [Compound 19]
중간체 15-2(5.0 g, 0.011 mol), 2-bromotriphenylene(2.7 g, 0.009 mol)를 넣고 합성예 1-(5)에서 사용된 동일한 방법으로 합성하여 화합물 19 3.6g(수율 70%)을 얻었다.3.6 g (yield 70%) of Compound 19 was obtained by the same method as in Synthesis Example 1- (5), except that Intermediate 15-2 (5.0 g, 0.011 mol) and 2-bromotriphenylene (2.7 g, 0.009 mol) .
H-NMR (200 MHz, CDCl3):δ ppm, 1H(9.15/s, 8.35/s, 8.18/d, 8.04/d) 2H(8.93/d, 8.60/s, 8.54/s, 8.12/d, 7.88/m, 7.85/d, 7.82/m, 7.25/d, 2.33/s)H-NMR (200 MHz, CDCl 3): δ ppm, 1H (9.15 / s, 8.35 / s, 8.18 / d, 8.04 / d) 2H (8.93 / d, 8.60 / s, 8.54 / s, 8.12 / d, 7.88 / m, 7.85 / d, 7.82 / m, 7.25 / d, 2.33 / s)
LC/MS: m/z=567 [(M+1)+]
LC / MS: m / z = 567 [(M + 1)<+ &
합성예Synthetic example 20 : [화합물 20]의 합성 20: Synthesis of [Compound 20]
중간체 15-2(5.0 g, 0.011 mol), 2-chloro-4,6-diphenyl-1,3,5-triazine (2.4 g, 0.009 mol)를 넣고 합성예 1-(5)에서 사용된 동일한 방법으로 합성하여 화합물 20 3.6g(수율 70%)을 얻었다.The same procedure as in Synthesis Example 1- (5) was used, except that Intermediate 15-2 (5.0 g, 0.011 mol) and 2-chloro-4,6-diphenyl-1,3,5-triazine (2.4 g, 0.009 mol) To obtain 3.6 g (yield 70%) of Compound 20.
H-NMR (200MHz, CDCl3):δ ppm, 1H(8.35/s) 2H(8.60/s, 8.54/s, 2.33/s) 4H(8.28/d, 7.85/d, 7.51/m)H-NMR (200MHz, CDCl 3 ): δ ppm, 1H (8.35 / s) 2H (8.60 / s, 8.54 / s, 2.33 / s) 4H (8.28 / d, 7.85 / d, 7.51 / m)
LC/MS: m/z=572 [(M+1)+]
LC / MS: m / z = 572 [(M + 1)<+ &
실시예 1 : 유기전계발광소자 제조Example 1: Fabrication of organic electroluminescent device
ITO로 코팅된 유리기판 위에 NPB를 증착하여 120 nm의 정공수송층을 형성하였으며, 이어서 Ir(ppy)3을 도펀트로 하여 본 발명에 따른 합성예 1의 [화합물 1]의 증착속도를 0.1 nm/sec, Ir(ppy)3 증착속도를 0.009 nm/sec로 증착하고, 증착 비율이 9%가 되도록 Ir(ppy)3을 도핑하여 정공수송층 상에 발광층을 30 nm 두께로 형성하였다. 그 위에 BALq를 10 nm 두께로 증착하여 정공이 발광층을 지나 전자수송층으로 이동하는 것을 방지하는 정공차단층을 형성하고, 그 위에 Alq3를 증착하여 40 nm의 전자수송층을 형성하였으며, 그 위에 불화리튬을 증착하여 1 nm의 전자주입층을 형성하였다. 전자주입층 상에 알루미늄을 증착하여 120 nm의 음극을 형성하여 유기전계발광소자를 제조하였다.
By depositing NPB on top of a glass substrate coated with ITO was formed a hole-transporting layer of 120 nm, followed by Ir (ppy) the deposition rate of the [compound 1] of Synthesis Example 1 according to the invention by the3 as a dopant 0.1 nm / sec , Ir (ppy)3 was deposited at a deposition rate of 0.009 nm / sec, and Ir (ppy)3 was doped so as to have a deposition rate of 9% to form a light emitting layer with a thickness of 30 nm on the hole transport layer. BALq was deposited thereon to a thickness of 10 nm to form a hole blocking layer for preventing holes from moving to the electron transporting layer through the light emitting layer, and Alq3 was deposited thereon to form an electron transporting layer of 40 nm. Lithium fluoride To form a 1 nm electron injection layer. Aluminum was deposited on the electron injection layer to form a 120 nm negative electrode, thereby fabricating an organic electroluminescent device.
실시예 2 내지 44 : 유기전계발광소자의 제조Examples 2 to 44: Preparation of organic electroluminescent device
상기 실시예의 [화합물 1] 대신에 하기 [표 1]에 기재된 발광 화합물을 사용한 것을 제외하고는 상기 실시예 1과 동일한 방법으로 유기전계발광소자를 제조하였다.
An organic electroluminescent device was produced in the same manner as in Example 1 except that the luminescent compound described in [Table 1] was used instead of [Compound 1] in the above-mentioned examples.
비교예 1Comparative Example 1
실시예 1 내지 44의 본 발명에 따른 유기발광 화합물 대신에 CBP((4,4-N,N -dicarbazole)biphenyl)를 발광재료로 사용한 것을 제외하고는 동일한 방법으로 비교예 1의 유기전계발광소자를 제조하였다.Except that CBP ((4,4-N, N-dicarbazole) biphenyl) was used instead of the organic luminescent compound according to the present invention of Examples 1 to 44 in the same manner as in the organic electroluminescent device .
이하, 상기 실시예 1 내지 44와 비교예 1에 따라 제조된 유기전계발광소자의 특성을 비교한 결과를 하기 [표 1]에 나타내었다.The results of the comparison of the characteristics of the organic electroluminescent devices manufactured according to Examples 1 to 44 and Comparative Example 1 are shown in Table 1 below.
(1000 cd/㎡)The driving voltage (V)
(1000 cd / m 2)
(cd/A)Luminous efficiency
(cd / A)
상기 [표 1]에서 보는 바와 같이, 본 발명에 따른 유기발광 화합물을 유기전계발광소자의 발광층 호스트 화합물로 사용한 경우에 종래의 CBP를 발광재료로 사용할 때보다 발광효율이 현저히 향상되면서 동시에 보다 저전압 구동이 가능하다.As shown in Table 1, when the organic electroluminescent compound according to the present invention is used as a host compound for a light emitting layer of an organic electroluminescent device, the luminous efficiency is significantly improved compared with the conventional CBP used as a light emitting material, This is possible.
| Application Number | Priority Date | Filing Date | Title |
|---|---|---|---|
| KR1020140033996AKR20150110101A (en) | 2014-03-24 | 2014-03-24 | An electroluminescent compound and an electroluminescent device comprising the same |
| Application Number | Priority Date | Filing Date | Title |
|---|---|---|---|
| KR1020140033996AKR20150110101A (en) | 2014-03-24 | 2014-03-24 | An electroluminescent compound and an electroluminescent device comprising the same |
| Publication Number | Publication Date |
|---|---|
| KR20150110101Atrue KR20150110101A (en) | 2015-10-02 |
| Application Number | Title | Priority Date | Filing Date |
|---|---|---|---|
| KR1020140033996ACeasedKR20150110101A (en) | 2014-03-24 | 2014-03-24 | An electroluminescent compound and an electroluminescent device comprising the same |
| Country | Link |
|---|---|
| KR (1) | KR20150110101A (en) |
| Publication number | Priority date | Publication date | Assignee | Title |
|---|---|---|---|---|
| CN105601612A (en)* | 2015-12-29 | 2016-05-25 | 上海道亦化工科技有限公司 | Phosphorescence main body compound containing indole groups and organic electroluminescent device of phosphorescence main body compound |
| CN106883187A (en)* | 2015-12-16 | 2017-06-23 | 上海大学 | A kind of quinazoline derivant and its preparation method and application |
| CN107098918A (en)* | 2016-04-25 | 2017-08-29 | 中节能万润股份有限公司 | A kind of photoelectric material and its application using equal benzene as core |
| WO2017217676A1 (en)* | 2016-06-14 | 2017-12-21 | 주식회사 두산 | Organic luminescent compound and organic electroluminescent element including same |
| WO2018066783A1 (en)* | 2016-10-07 | 2018-04-12 | 삼성에스디아이 주식회사 | Composition for organic optoelectronic element, organic optoelectronic element, and display device |
| CN108101893A (en)* | 2018-01-30 | 2018-06-01 | 烟台九目化学制品有限公司 | A kind of organic compound using carbazole and pyrimidine as core prepares and its application on OLED |
| KR20180065193A (en)* | 2016-12-07 | 2018-06-18 | 주식회사 두산 | Organic compound and organic electroluminescent device using the same |
| EP3298016A4 (en)* | 2015-05-19 | 2018-11-21 | Rohm And Haas Electronic Materials Korea Ltd. | Phosphorous host material and organic electroluminescent device comprising the same |
| WO2019143224A1 (en)* | 2018-01-22 | 2019-07-25 | 주식회사 엘지화학 | Polycyclic compound and organic light-emitting diode comprising same |
| CN110818696A (en)* | 2018-08-09 | 2020-02-21 | 昱镭光电科技股份有限公司 | Benzimidazole compound and its organic electronic device |
| US20200227650A1 (en)* | 2017-06-30 | 2020-07-16 | Doosan Corporation | Organic compound and organic electroluminescent device comprising same |
| CN112442027A (en)* | 2019-08-28 | 2021-03-05 | 北京绿人科技有限责任公司 | Organic compound containing nitrogen fluorene group, application thereof and organic electroluminescent device |
| WO2021125814A1 (en)* | 2019-12-20 | 2021-06-24 | 주식회사 엘지화학 | Compound and organic light-emitting device comprising same |
| KR20220017453A (en)* | 2021-03-16 | 2022-02-11 | 엘지디스플레이 주식회사 | Pyrimidine derivative and organic light emitting device comprising the same |
| US11380851B2 (en) | 2017-09-01 | 2022-07-05 | Lg Chem, Ltd. | Compound and organic light emitting device comprising the same |
| US20220293864A1 (en)* | 2021-03-11 | 2022-09-15 | Samsung Display Co., Ltd. | Light-emitting device |
| Publication number | Priority date | Publication date | Assignee | Title |
|---|---|---|---|---|
| JP2021022739A (en)* | 2015-05-19 | 2021-02-18 | ローム・アンド・ハース・エレクトロニック・マテリアルズ・コリア・リミテッド | Phosphorus host material and organic electroluminescent element including the same |
| EP3298016A4 (en)* | 2015-05-19 | 2018-11-21 | Rohm And Haas Electronic Materials Korea Ltd. | Phosphorous host material and organic electroluminescent device comprising the same |
| CN106883187A (en)* | 2015-12-16 | 2017-06-23 | 上海大学 | A kind of quinazoline derivant and its preparation method and application |
| CN105601612B (en)* | 2015-12-29 | 2018-08-10 | 上海道亦化工科技有限公司 | Phosphorescence host compound containing indolyl radical and its organic electroluminescence device |
| CN105601612A (en)* | 2015-12-29 | 2016-05-25 | 上海道亦化工科技有限公司 | Phosphorescence main body compound containing indole groups and organic electroluminescent device of phosphorescence main body compound |
| CN107098918A (en)* | 2016-04-25 | 2017-08-29 | 中节能万润股份有限公司 | A kind of photoelectric material and its application using equal benzene as core |
| KR20170140951A (en)* | 2016-06-14 | 2017-12-22 | 주식회사 두산 | Organic light-emitting compound and organic electroluminescent device using the same |
| KR20230047988A (en)* | 2016-06-14 | 2023-04-10 | 솔루스첨단소재 주식회사 | Organic light-emitting compound and organic electroluminescent device using the same |
| WO2017217676A1 (en)* | 2016-06-14 | 2017-12-21 | 주식회사 두산 | Organic luminescent compound and organic electroluminescent element including same |
| WO2018066783A1 (en)* | 2016-10-07 | 2018-04-12 | 삼성에스디아이 주식회사 | Composition for organic optoelectronic element, organic optoelectronic element, and display device |
| US12310232B2 (en) | 2016-10-07 | 2025-05-20 | Samsung Sdi Co., Ltd. | Composition for organic optoelectronic device, organic optoelectronic device, and display device |
| US12289993B2 (en) | 2016-10-07 | 2025-04-29 | Samsung Sdi Co., Ltd. | Composition for organic optoelectronic device, organic optoelectronic device, and display device |
| US12225815B2 (en) | 2016-10-07 | 2025-02-11 | Samsung Sdi Co., Ltd. | Composition for organic optoelectronic device, organic optoelectronic device, and display device |
| KR20180065193A (en)* | 2016-12-07 | 2018-06-18 | 주식회사 두산 | Organic compound and organic electroluminescent device using the same |
| US12398316B2 (en)* | 2017-06-30 | 2025-08-26 | Doosan Solus Co., Ltd. | Organic compound and organic electroluminescent device comprising same |
| US20200227650A1 (en)* | 2017-06-30 | 2020-07-16 | Doosan Corporation | Organic compound and organic electroluminescent device comprising same |
| US11380851B2 (en) | 2017-09-01 | 2022-07-05 | Lg Chem, Ltd. | Compound and organic light emitting device comprising the same |
| CN111032649B (en)* | 2018-01-22 | 2022-12-02 | 株式会社Lg化学 | Polycyclic compound and organic light-emitting device comprising same |
| WO2019143224A1 (en)* | 2018-01-22 | 2019-07-25 | 주식회사 엘지화학 | Polycyclic compound and organic light-emitting diode comprising same |
| CN111032649A (en)* | 2018-01-22 | 2020-04-17 | 株式会社Lg化学 | Polycyclic compound and organic light-emitting device comprising the same |
| CN108101893B (en)* | 2018-01-30 | 2021-01-22 | 烟台九目化学股份有限公司 | Preparation of organic compound taking carbazole and pyrimidine as cores and application of organic compound in OLED |
| CN108101893A (en)* | 2018-01-30 | 2018-06-01 | 烟台九目化学制品有限公司 | A kind of organic compound using carbazole and pyrimidine as core prepares and its application on OLED |
| CN110818696A (en)* | 2018-08-09 | 2020-02-21 | 昱镭光电科技股份有限公司 | Benzimidazole compound and its organic electronic device |
| CN112442027A (en)* | 2019-08-28 | 2021-03-05 | 北京绿人科技有限责任公司 | Organic compound containing nitrogen fluorene group, application thereof and organic electroluminescent device |
| CN112442027B (en)* | 2019-08-28 | 2022-06-28 | 北京绿人科技有限责任公司 | Organic compound containing nitrogen fluorene group, application thereof and organic electroluminescent device |
| KR20210080655A (en)* | 2019-12-20 | 2021-07-01 | 주식회사 엘지화학 | Compound and organic light emitting device comprising the same |
| CN114514227B (en)* | 2019-12-20 | 2025-01-10 | 株式会社Lg化学 | Compound and organic light-emitting device containing the same |
| WO2021125814A1 (en)* | 2019-12-20 | 2021-06-24 | 주식회사 엘지화학 | Compound and organic light-emitting device comprising same |
| CN114514227A (en)* | 2019-12-20 | 2022-05-17 | 株式会社Lg化学 | Compound and organic light emitting device including the same |
| US20220293864A1 (en)* | 2021-03-11 | 2022-09-15 | Samsung Display Co., Ltd. | Light-emitting device |
| KR20230014797A (en)* | 2021-03-16 | 2023-01-30 | 엘지디스플레이 주식회사 | Pyrimidine derivative and organic light emitting device comprising the same |
| KR20220017453A (en)* | 2021-03-16 | 2022-02-11 | 엘지디스플레이 주식회사 | Pyrimidine derivative and organic light emitting device comprising the same |
| Publication | Publication Date | Title |
|---|---|---|
| KR101530266B1 (en) | An electroluminescent compound and an electroluminescent device comprising the same | |
| KR101825405B1 (en) | An electroluminescent compound and an electroluminescent device comprising the same | |
| KR101626524B1 (en) | An electroluminescent compound and an electroluminescent device comprising the same | |
| KR101852926B1 (en) | An electroluminescent compound and an electroluminescent device comprising the same | |
| KR101627691B1 (en) | An electroluminescent compound and an electroluminescent device comprising the same | |
| KR20150110101A (en) | An electroluminescent compound and an electroluminescent device comprising the same | |
| KR20170082459A (en) | An electroluminescent compound and an electroluminescent device comprising the same | |
| KR20180063708A (en) | An electroluminescent compound and an electroluminescent device comprising the same | |
| KR101842013B1 (en) | An electroluminescent compound and an electroluminescent device comprising the same | |
| KR20160127429A (en) | An electroluminescent compound and an electroluminescent device comprising the same | |
| KR101666826B1 (en) | An electroluminescent compound and an electroluminescent device comprising the same | |
| KR101790550B1 (en) | An electroluminescent compound and an electroluminescent device comprising the same | |
| KR101713530B1 (en) | An electroluminescent compound and an electroluminescent device comprising the same | |
| KR20160054870A (en) | An electroluminescent compound and an electroluminescent device comprising the same | |
| KR101627695B1 (en) | An electroluminescent compound and an electroluminescent device comprising the same | |
| KR20180063709A (en) | An electroluminescent compound and an electroluminescent device comprising the same | |
| KR20170003471A (en) | An electroluminescent compound and an electroluminescent device comprising the same | |
| KR20180042943A (en) | An electroluminescent compound and an electroluminescent device comprising the same | |
| KR101627693B1 (en) | An electroluminescent compound and an electroluminescent device comprising the same | |
| KR102316570B1 (en) | An electroluminescent compound and an electroluminescent device comprising the same | |
| KR101816810B1 (en) | An electroluminescent compound and an electroluminescent device comprising the same | |
| KR102233678B1 (en) | An electroluminescent compound and an electroluminescent device comprising the same | |
| KR20150115225A (en) | An electroluminescent compound and an electroluminescent device comprising the same | |
| KR20170003470A (en) | An electroluminescent compound and an electroluminescent device comprising the same | |
| KR101891714B1 (en) | An electroluminescent compound and an electroluminescent device comprising the same |
| Date | Code | Title | Description |
|---|---|---|---|
| A201 | Request for examination | ||
| PA0109 | Patent application | Patent event code:PA01091R01D Comment text:Patent Application Patent event date:20140324 | |
| PA0201 | Request for examination | ||
| E902 | Notification of reason for refusal | ||
| PE0902 | Notice of grounds for rejection | Comment text:Notification of reason for refusal Patent event date:20150721 Patent event code:PE09021S01D | |
| PG1501 | Laying open of application | ||
| E601 | Decision to refuse application | ||
| PE0601 | Decision on rejection of patent | Patent event date:20160201 Comment text:Decision to Refuse Application Patent event code:PE06012S01D Patent event date:20150721 Comment text:Notification of reason for refusal Patent event code:PE06011S01I |