
















본 발명은 무선전력 전송 기술에 관한 것이다. 보다 상세하게는, 무선전력 송신장치와 무선전력 수신장치 간 결합상태에 따라 송신 전력을 제어하여 전력 전송 효율을 극대화시킬 수 있는 방법에 관한 것이다.The present invention relates to wireless power transmission techniques. And more particularly, to a method for maximizing power transmission efficiency by controlling transmission power according to a coupling state between a wireless power transmission apparatus and a wireless power reception apparatus.
무선으로 전기 에너지를 원하는 기기로 전달하는 무선전력전송 기술(wireless power transmission 또는 wireless energy transfer)은 이미 1800년대에 전자기유도 원리를 이용한 전기 모터나 변압기가 사용되기 시작했고, 그 후로는 라디오파나 레이저와 같은 전자파를 방사해서 전기에너지를 전송하는 방법도 시도 되었다. 우리가 흔히 사용하는 전동칫솔이나 일부 무선면도기도 실상은 전자기유도 원리로 충전된다. 전자기 유도는 도체의 주변에서 자기장을 변화시켰을 때 전압이 유도되어 전류가 흐르는 현상을 말한다. 전자기 유도 방식은 소형 기기를 중심으로 상용화가 빠르게 진행되고 있으나, 전력의 전송 거리가 짧은 문제가 있다.In the 1800s, electric motors and transformers using electromagnetic induction principles began to be used, and then radio waves and lasers were used to transmit the electric energy to the desired devices wirelessly. A method of transmitting electrical energy by radiating the same electromagnetic wave has also been attempted. Our electric toothbrushes and some wireless shavers are actually charged with electromagnetic induction. Electromagnetic induction is a phenomenon in which a voltage is induced and a current flows when a magnetic field is changed around a conductor. The electromagnetic induction method is rapidly commercialized mainly in small-sized devices, but there is a problem in that the transmission distance of electric power is short.
현재까지 무선 방식에 의한 에너지 전달 방식은 전자기 유도 이외에 자기 공진 및 단파장 무선 주파수를 이용한 원거리 송신 기술 등이 있다.Up to now, the energy transmission system by radio system includes electromagnetic induction, self-resonance and remote transmission using short-wave radio frequency.
최근에는 이와 같은 무선 전력 전송 기술 중 공진을 이용한 에너지 전달 방식이 많이 사용되고 있다.In recent years, resonance-based energy transmission methods have been widely used among such wireless power transmission techniques.
그러나, 기존의 공진을 이용한 에너지 전달 방식은 무선전력 송신장치와 무선전력 수신장치의 결합상태에 따라 전력 전송 효율이 달라질 수 있다.However, in the energy transmission system using the conventional resonance, the power transmission efficiency may vary depending on the coupled state of the wireless power transmission apparatus and the wireless power reception apparatus.
따라서, 무선전력 송신장치와 무선전력 수신장치의 결합상태를 반영하여 전력 전송 효율을 극대화시킬 수 있는 방안이 필요하다.Accordingly, there is a need to maximize the power transmission efficiency by reflecting the combined state of the wireless power transmission apparatus and the wireless power reception apparatus.
본 발명은 무선전력 송신장치와 무선전력 수신장치의 결합상태에 따라 전력 전송 효율을 최대화시킬 수 있는 방법의 제공을 목적으로 한다.The present invention provides a method of maximizing power transmission efficiency according to a coupled state of a wireless power transmission apparatus and a wireless power reception apparatus.
본 발명은 무선전력 송신장치와 무선전력 수신장치의 결합계수를 검출하여 검출된 결합계수에 따라 송신 전력을 제어할 수 있는 방법의 제공을 목적으로 한다.An object of the present invention is to provide a method of detecting a coupling coefficient between a wireless power transmission apparatus and a wireless power receiving apparatus and controlling the transmission power according to the detected coupling coefficient.
본 발명의 실시 예에 무선전력 수신장치를 통해 부하에 전력을 전송하는 무선전력 송신장치는 교류 전력을 생성하는 전력 공급 장치와 상기 교류 전력을 공진을 이용하여 상기 무선전력 수신장치에 구비된 수신 코일에 전달하는 송신 코일 및 상기 송신 코일과 수신 코일의 결합상태를 검출하는 검출부를 포함하고, 상기 무선전력 송신장치는 상기 검출된 결합상태에 기초하여 상기 부하에 전송되는 송신 전력을 제어하는 것을 특징으로 한다.A wireless power transmission apparatus for transmitting power to a load through a wireless power receiving apparatus includes a power supply for generating an AC power and a receiving coil for receiving the AC power through resonance, And a detector for detecting a coupling state of the transmission coil and the reception coil, wherein the radio power transmission apparatus controls transmission power to be transmitted to the load based on the detected coupling state do.
상기 무선전력 송신장치는 상기 검출된 결합상태에 대응하는 상기 부하의 제1 수신 전력을 결정하고, 상기 결정된 제1 수신 전력에 따라 상기 송신 전력을 제어하는 것을 특징으로 한다.The wireless power transmission apparatus determines a first received power of the load corresponding to the detected coupled state and controls the transmission power according to the determined first received power.
상기 무선전력 송신장치는 상기 부하가 현재 수신하고 있는 제2 수신 전력을 확인하고, 상기 제2 수신 전력이 상기 제1 수신 전력과 다를 경우, 상기 제1 수신 전력에 따라 상기 송신 전력을 제어하는 것을 특징으로 한다.The wireless power transmission apparatus checks the second reception power currently received by the load and controls the transmission power according to the first reception power when the second reception power is different from the first reception power .
상기 무선전력 송신장치는 상기 무선전력 수신장치와 인밴드 또는 아웃 오브 밴드 통신을 통해 상기 제2 수신 전력을 확인하는 것을 특징으로 한다.And the wireless power transmission apparatus confirms the second reception power through in-band or out-of-band communication with the wireless power reception apparatus.
상기 무선전력 송신장치는 내부에 흐르는 전류의 세기를 측정하여 상기 제2 수신 전력을 확인하는 것을 특징으로 한다.The wireless power transmission apparatus measures the intensity of a current flowing therein and confirms the second received power.
상기 무선전력 송신장치는 상기 송신 코일과 상기 수신 코일 간 결합계수에 따른 결합 상태를 검출하는 검출부를 더 포함하고, 상기 무선전력 송신장치는 상기 결합계수가 증가할수록 송신 전력을 증가시키는 것을 특징으로 한다.The wireless power transmission apparatus further includes a detector for detecting a coupling state according to a coupling coefficient between the transmission coil and the reception coil, and the wireless power transmission apparatus increases a transmission power as the coupling coefficient increases .
상기 검출부는 상기 전력 공급 장치에서 상기 무선전력 송신장치를 바라본 입력 임피던스를 측정하여 측정된 입력 임피던스에 기초하여 상기 결합계수를 검출하는 것을 특징으로 한다.And the detecting unit measures the input impedance of the power supply apparatus viewed from the wireless power transmission apparatus and detects the coupling coefficient based on the measured input impedance.
상기 전력 공급 장치는 전원 공급 장치로부터 직류 전력을 공급받아 교류 전력을 생성하고, 상기 무선전력 송신장치는 상기 전력 공급 장치에서 출력되는 전력을 조절하여 상기 송신 전력을 제어하는 것을 특징으로 한다.The power supply device receives DC power from a power supply device to generate AC power, and the radio power transmission device controls the transmission power by adjusting power output from the power supply device.
상기 전력 공급 장치는 전력선 통신을 이용하여 상기 전원 공급 장치에서 출력되는 직류 전력을 제어하기 위한 전력 제어 신호를 전송하는 것을 특징으로 한다.Wherein the power supply device transmits a power control signal for controlling the DC power output from the power supply device using power line communication.
상기 전력 공급 장치는 전원 공급 장치로부터 직류 전력을 수신하여 교류 전력을 생성하는 교류 전력 생성부를 더 포함하고, 상기 무선전력 송신장치는 상기 교류 전력 생성부에 입력되거나 또는 상기 교류 전력 생성부로부터 출력되는 전류의 세기에 기초하여 상기 송신 전력을 제어하는 것을 특징으로 한다.The power supply apparatus may further include an AC power generation unit that receives DC power from the power supply unit to generate AC power, and the radio power transmission apparatus further includes: an AC power generation unit that receives AC power from the AC power generation unit, And the transmission power is controlled based on the intensity of the current.
상기 무선전력 송신장치는 상기 결합상태와 상기 송신 전력을 대응시켜 저장하는 저장부를 더 포함하는 것을 특징으로 한다.The wireless power transmission apparatus may further include a storage unit for storing the combined state and the transmission power in association with each other.
상기 송신 코일은 상기 전력 공급 장치로부터 제공받은 전력을 통해 자기장을 발생하는 송신 유도 및 상기 송신 유도 코일과 커플링되어 전달받은 전력을 공진을 이용해 상기 수신 코일에 전송하는 송신 공진 코일을 포함하는 것을 특징으로 한다.The transmission coil includes a transmission induction for generating a magnetic field through the power supplied from the power supply device and a transmission resonance coil coupled to the transmission induction coil and transmitting the received power to the reception coil using resonance .
본 발명의 또 다른 실시 예에 따른 무선전력 수신장치를 통해 부하에 전력을 전송하는 무선전력 송신장치의 전력 제어 방법은 상기 무선전력 송신장치와 상기 무선전력 수신장치 간 결합상태를 검출하는 단계와 상기 검출된 결합상태에 기초하여 송신 전력을 결정하는 단계 및 상기 결정된 송신 전력을 공진을 이용하여 상기 부하에 전송하는 단계를 포함한다.A power control method of a wireless power transmission apparatus for transmitting power to a load through a wireless power receiving apparatus according to another embodiment of the present invention includes a step of detecting a coupling state between the wireless power transmission apparatus and the wireless power reception apparatus, Determining transmission power based on the detected coupling state, and transmitting the determined transmission power to the load using resonance.
상기 송신 전력을 결정하는 단계는 상기 검출된 결합상태에 대응하여 상기 부하가 수신해야 하는 제1 수신 전력을 결정하는 단계와 상기 결정된 제1 수신 전력에 따라 상기 송신 전력을 결정하는 단계를 포함한다.The step of determining the transmission power includes determining a first reception power that the load should receive in response to the detected combined state, and determining the transmission power according to the determined first reception power.
상기 결정된 제1 수신 전력에 따라 상기 송신 전력을 결정하는 단계는 상기 부하가 현재 수신하고 있는 제2 수신 전력을 확인하는 단계와 상기 제1 수신 전력과 상기 제2 수신 전력을 비교하는 단계와 상기 비교 결과, 상기 제1 수신 전력과 상기 제2 수신 전력이 다를 경우, 상기 제1 수신 전력에 따라 상기 송신 전력을 결정하는 단계를 포함한다.Wherein the step of determining the transmit power in accordance with the determined first receive power comprises the steps of: determining a second receive power currently being received by the load; comparing the first receive power with the second receive power; As a result, when the first reception power differs from the second reception power, the transmission power is determined according to the first reception power.
상기 부하가 현재 수신하고 있는 제2 수신 전력을 확인하는 단계는 상기 무선전력 수신장치와 인밴드 또는 아웃 오브 밴드 통신을 통해 상기 제2 수신 전력을 확인하는 단계를 포함한다.The step of confirming the second received power currently being received by the load includes checking the second received power through in-band or out-of-band communication with the wireless power receiving apparatus.
상기 부하가 현재 수신하고 있는 제2 수신 전력을 확인하는 단계는 상기 무선전력 송신장치의 내부에 흐르는 전류의 세기를 측정하여 상기 제2 수신 전력을 확인하는 단계를 포함한다.The step of confirming the second received power currently received by the load includes checking the second received power by measuring the intensity of the current flowing in the wireless power transmission apparatus.
상기 결합상태를 검출하는 단계는 상기 결합상태를 판단하기 위한 상기 결합계수를 검출하는 단계를 포함하며,상기 송신전력을 결정하는 단계는 상기 결합계수가 증가할수록 상기 송신전력을 증가시키는 단계를 포함하는 것을 특징으로 한다.Wherein the detecting the coupling condition comprises detecting the coupling coefficient to determine the coupling condition, wherein determining the transmit power comprises increasing the transmit power as the coupling coefficient increases .
상기 송신 전력을 결정하는 단계는 상기 결합 상태와 이에 대응되는 송신 전력을 포함하는 룩업 테이블에 기초하여 상기 송신 전력을 결정하는 단계를 포함한다.The step of determining the transmit power comprises determining the transmit power based on a look-up table comprising the combined state and the transmit power corresponding thereto.
상기 결합 상태를 검출하는 단계는 상기 무선전력 송신장치의 내부에 흐르는 전류의 세기를 또는 상기 무선전력 송신장치의 입력 임피던스를 이용하여 상기 결합 상태를 검출하는 단계를 포함한다.The detecting the coupling state includes detecting the coupling state using the intensity of the current flowing in the radio power transmission apparatus or the input impedance of the radio power transmission apparatus.
본 발명의 실시 예에 따르면, 무선전력 송신장치와 무선전력 수신장치의 결합상태에 따라 송신 전력을 제어하여 전력 전송 효율을 최대화시킬 수 있는 방법의 제공을 목적으로 한다.According to an embodiment of the present invention, there is provided a method for maximizing power transmission efficiency by controlling transmission power according to a combined state of a wireless power transmission apparatus and a wireless power reception apparatus.
본 발명은 무선전력 송신장치와 무선전력 수신장치의 결합계수를 검출하여 검출된 결합계수에 기초하여 최적의 수신 전력을 결정하고, 결정된 수신 전력에 따라 송신 전력을 제어하여 전력 전송 효율을 최대화시킬 수 있다.The present invention can detect the coupling coefficient between the wireless power transmission apparatus and the wireless power receiving apparatus, determine the optimum reception power based on the detected coupling coefficient, and control the transmission power according to the determined reception power to maximize the power transmission efficiency have.
한편 그 외의 다양한 효과는 후술될 본 발명의 실시 예에 따른 상세한 설명에서 직접적 또는 암시적으로 개시될 것이다.Meanwhile, various other effects will be directly or implicitly disclosed in the detailed description according to the embodiment of the present invention to be described later.
도 1은 본 발명의 일 실시 예에 따른 무선전력 전송 시스템의 구성도이다.
도 2는 본 발명의 일 실시 예에 따른 무선전력 전송 시스템의 등가 회로도이다.
도 3은 본 발명의 일 실시 예에 따른 전력 제어 방법을 설명하기 위한 흐름도이다.
도 4는 최대 전력 전송 효율을 만족하기 위한 결합계수와 부하 임피던스의 관계를 보여주는 도면이다.
도 5는 부하가 배터리인 경우, 최대 전력 전송 효율을 만족하기 위한 결합계수와 부하 임피던스의 관계의 예를 보여주는 도면이다.
도 6은 부하가 배터리인 경우, 배터리에 인가되는 전압에 대한 전류의 관계를 보여주는 도면이다.
도 7은 부하가 배터리인 경우, 배터리에 인가되는 전력량과 부하 임피던스의 관계를 보여주는 도면이다.
도 8은 부하가 배터리인 경우, 최대 전력 전송 효율을 만족하기 위한 결합계수와 부하의 수신 전력의 관계를 보여주는 도면이다.
도 9는 본 발명의 또 다른 실시 예에 따른 무선전력 전송 시스템의 구성도이다.
도 10은 본 발명의 또 다른 실시 예에 따른 전력 제어 방법을 설명하기 위한 래더다이어 그램이다.
도 11은 본 발명의 또 다른 실시 예에 따른 전력 제어 방법을 설명하기 위한 흐름도이다.
도 12는 제1 출력 전압이 교류 전력 생성부에 인가 시 측정되는 전류 값, 결합계수, 제2 출력 전압, 적정 전류 범위를 대응시킨 룩업 테이블을 설명하기 위한 도면이다.
도 13은 본 발명의 또 다른 실시 예에 따른 결합계수의 검출 방법을 설명하기 위한 흐름도이다.
도 14는 출력 임피던스를 가변시키기 위해 스위치를 개방시킨 경우를 설명하기 위한 도면이다.
도 15는 출력 임피던스를 가변시키기 위해 스위치를 단락시킨 경우를 설명하기 위한 도면이다.
도 16은 본 발명의 또 다른 실시 예에 따른 전력 제어 방법을 설명하기 위한 흐름도이다.
도 17은 도 16의 실시 예에 따른 전력 제어 방법에 사용되는 룩업테이블을 설명하기 위한 도면이다.1 is a block diagram of a wireless power transmission system according to an embodiment of the present invention.
2 is an equivalent circuit diagram of a wireless power transmission system according to an embodiment of the present invention.
3 is a flowchart illustrating a power control method according to an embodiment of the present invention.
4 is a diagram showing the relationship between the coupling coefficient and the load impedance for satisfying the maximum power transmission efficiency.
5 is a diagram showing an example of the relationship between the coupling coefficient and the load impedance for satisfying the maximum power transmission efficiency when the load is a battery.
6 is a graph showing a relationship of a current to a voltage applied to the battery when the load is a battery.
7 is a graph showing the relationship between the amount of power applied to the battery and the load impedance when the load is a battery.
8 is a graph showing the relationship between the coupling coefficient for satisfying the maximum power transmission efficiency and the received power of the load when the load is a battery.
9 is a configuration diagram of a wireless power transmission system according to another embodiment of the present invention.
10 is a ladder diagram for explaining a power control method according to another embodiment of the present invention.
11 is a flowchart illustrating a power control method according to another embodiment of the present invention.
12 is a view for explaining a look-up table in which a current value, a coupling coefficient, a second output voltage, and a proper current range, which are measured when the first output voltage is applied to the AC power generating portion, are associated with each other.
13 is a flowchart illustrating a method of detecting a coupling coefficient according to another embodiment of the present invention.
14 is a diagram for explaining a case where the switch is opened to vary the output impedance.
15 is a diagram for explaining a case where a switch is short-circuited to vary the output impedance.
16 is a flowchart illustrating a power control method according to another embodiment of the present invention.
17 is a view for explaining a lookup table used in the power control method according to the embodiment of FIG.
이하에서는, 첨부된 도면을 참조하여 본 발명의 바람직한 실시 예에 대하여 본 발명이 속하는 기술분야에서 통상의 지식을 가진 자가 용이하게 실시할 수 있도록 상세히 설명한다.Hereinafter, preferred embodiments of the present invention will be described in detail with reference to the accompanying drawings, which will be easily understood by those skilled in the art.
도 1은 본 발명의 일 실시 예에 따른 무선전력 전송 시스템(10)의 구성도이고, 도 2는 본 발명의 일 실시 예에 따른 무선전력 전송 시스템(10)의 등가 회로도이다.FIG. 1 is a configuration diagram of a wireless
도 1을 참조하면, 무선전력 전송 시스템(10은 전력 공급 장치(100), 무선전력 송신장치(200), 무선전력 수신장치(300) 및 부하(400)를 포함할 수 있다.Referring to FIG. 1, a wireless
일 실시 예에서 전력 공급 장치(100)는 도 1과 같이 무선전력 송신장치(200)와 별도로 구비될 수 있고, 무선전력 송신장치(200)에 포함될 수도 있다.In one embodiment, the
도 1을 참고하면, 전력 공급 장치(100)는 전원 공급부(110), 스위치(120), 직류 직류 변환기(130), 전류 센서부(140), 발진기(150), 교류 전력 생성부(160), 제어부(170), 저장부(180)를 포함할 수 있다.1, the
전원 공급부(110)는 전력 공급 장치(100)의 각 구성요소에 직류전원을 공급할 수 있다. 전원 공급부(110)는 전력 공급 장치(100)와 별도로 구비될 수도 있다.The
일 실시 예에서 무선전력 송신장치(200)가 공진을 이용하여 무선전력 수신장치(300)에 전력을 전송하는 경우라면, 무선전력 송신장치(200)는 후술할 송신 유도 코일부(211) 및 송신 공진 코일부(212)를 포함하지만, 전자기 유도를 이용하여 무선전력 수신장치(300)에 전력을 전송하는 경우라면, 무선전력 송신장치(200)는 송신 공진 코일부(212)를 포함하지 않을 수 있다.In one embodiment, when the wireless
스위치(120)는 전원 공급부(110)와 직류 직류 변환기(130)를 연결하거나 분리시킬 수 있다. 스위치(120)는 제어부(180)의 개방 신호 또는 단락 신호에 의해 개방되거나 단락될 수 있다. 일 실시 예에서 스위치(120)는 무선전력 송신장치(200)와 무선전력 수신장치(300)간 전력 전송 상태에 따라 제어부(180)의 동작에 의해 개방 또는 단락될 수 있다.The
직류 직류 변환기(DC-DC converter)(130)는 전원 공급부(110)로부터 공급받은 직류전압을 이용하여 소정의 전압 값을 갖는 직류전압으로 변환하여 출력할 수 있다.The DC-
직류 직류 변환기(DC-DC converter)(130)는 전원 공급부(110)에서 출력된 직류전압을 교류전압으로 변환한 다음, 변환된 교류전압을 승압 또는 강압하고 정류하여 소정의 전압 값을 갖는 직류전압을 출력할 수 있다.The DC-
직류-직류 변환기(DC-DC converter)(130)로 스위칭 레귤레이터(Switching regulator) 또는 리니어 레귤레이터(Linear regulator)가 사용될 수 있다.A switching regulator or a linear regulator may be used as the DC-
리니어 레귤레이터(Linear regulator)는 입력전압을 받아 필요한 만큼 출력전압을 내보내고, 나머지 전압은 열로 방출하는 변환기이다.A linear regulator is a converter that receives an input voltage, outputs an output voltage as needed, and discharges the remaining voltage as heat.
스위칭 레귤레이터(Switching regulator)는 펄스 폭 변조(PWM: Pulse Width Modulation)를 이용하여 출력전압을 조절할 수 있는 변환기이다.A switching regulator is a converter that can adjust the output voltage using pulse width modulation (PWM).
전류 센서부(140)는 전력 공급 장치(100)의 내부에 흐르는 전류를 감지하여 감지된 전류의 세기를 측정할 수 있다.The
일 실시 예에서 전류 센서부(140)는 직류 직류 변환기(130)에서 출력된 직류전압이 교류 전력 생성부(160)에 인가될 때, 흐르는 전류의 세기를 측정할 수 있으나, 이에 한정될 필요는 없고, 교류 전력 생성부(160)에서 출력되는 전류의 세기를 측정할 수도 있다.In one embodiment, the
일 실시 예에서 전류 센서부(140)는 변류기(CT: Current Transformer)가 사용될 수 있다. 일 실시 예에서 교류 전력 생성부(160)에 인가되는 전류의 세기는 무선전력 송신장치(200)와 무선전력 수신장치(300)간 근접해 있는 근접거리를 알아내는데 사용될 수 있다. 일 실시 예에서 교류 전력 생성부(160)에 인가되는 전류의 세기는 무선전력 송신장치(200)와 무선전력 수신장치(300) 간 결합상태를 나타내는 척도가 될 수 있다. 상기 결합상태는 무선전력 송신장치(200)와 무선전력 수신장치(300)간 결합계수(Coupling Coefficient)를 알아내는데 사용될 수 있다.In one embodiment, the
전류 센서부(140)는 상기 감지된 전류의 세기에 대한 신호를 제어부(180)로 전달할 수 있다.The
도 1에서 전류 센서부(140)는 제어부(180)와 별도의 구성요소로 도시되어 있지만, 제어부(180)안에 포함될 수도 있다.In FIG. 1, the
발진기(Oscillator)(150)는 소정의 주파수를 갖는 교류신호를 생성하여 교류 전력 생성부(160)에 인가할 수 있다.The
교류 전력 생성부(160)는 직류 직류 변환기(130)로부터 전달받은 직류전압과 상기 교류 신호를 이용하여 교류 전력을 생성할 수 있다.The AC
교류 전력 생성부(160)는 발진기(150)에서 생성된 교류신호를 증폭할 수 있다. 교류신호의 증폭량은 직류-직류 변환기(DC-DC converter)(130)를 통해 인가되는 직류전압의 크기에 따라 가변될 수 있다.The AC
일 실시 예에서 교류 전력 생성부(160)는 푸쉬 풀 타입(push-pull type)의 듀얼 모스펫(Dual MOSFET)이 사용될 수 있다.In one embodiment, the AC
제어부(180)는 전력 공급 장치(100)의 전반적인 동작을 제어할 수 있다.The
제어부(180)는 미리 정해진 직류전압이 교류 전력 생성부(160)에 인가되도록 직류 직류 변환기(130)를 제어할 수 있다.The
제어부(180)는 전류 센서부(140)로부터 직류 직류 변환기(130)에서 출력된 직류전압이 교류 전력 생성부(160)에 인가될 때, 흐르는 전류의 세기에 대한 신호를 수신하고, 수신된 전류의 세기에 대한 신호를 이용해 직류 직류 변환기(130)에서 출력되는 직류전압 및 발진기(150)에서 출력하는 교류신호의 주파수를 조절할 수 있다.The
제어부(180)는 교류 전력 생성부(160)에 인가되는 전류의 세기에 대한 신호를 전류 센서부(140)로부터 수신하여 무선전력 수신장치(300)의 존재 여부를 판단할 수 있다. 즉, 제어부(180)는 교류 전력 생성부(160)에 인가되는 전류의 세기를 이용해 무선전력 송신장치(200)로부터 전력을 수신할 수 있는 무선전력 수신장치(300)의 존재 여부를 확인할 수 있다.The
제어부(180)는 소정의 주파수를 갖는 교류신호를 생성하도록 발진기(150)를 제어할 수 있다. 소정의 주파수는 공진을 이용하여 전력 전송이 이루어지는 경우, 무선전력 송신장치(200)와 무선전력 수신장치(300)의 공진 주파수를 의미할 수 있다.The
저장부(170)는 교류 전력 생성부(160)에 인가되는 전류의 세기, 무선전력 송신장치(200)와 무선전력 수신장치(300)의 결합계수 및 직류 직류 변환기(130)에서 출력하는 직류전압을 대응시켜 저장하고 있을 수 있다. 즉, 저장부(170)에는 상기 3가지 값이 룩업 테이블의 형태로 저장되어 있을 수 있다.The
제어부(180)는 교류 전력 생성부(160)에 인가되는 전류의 세기와 대응되는 결합계수, 직류 직류 변환기(130)에서 출력하는 직류전압을 저장부(170)에서 검색하고, 검색된 직류전압을 출력하도록 직류 직류 변환기(130)를 제어할 수 있다.The
무선전력 송신장치(200)는 교류 전력 생성부(160)로부터 교류전력을 공급받는다.The wireless
무선전력 송신장치(200)가 공진을 이용해 무선전력 수신장치(300)에 전력을 전송하는 경우, 무선전력 송신장치(200)는 후술할 도 2에 도시된 송신부(210)의 구성인 송신 유도 코일부(211) 및 송신 공진 코일부(212)를 포함할 수 있다.When the wireless
무선전력 송신장치(200)가 전자기 유도를 이용해 무선전력 수신장치(300)에 전력을 전송하는 경우, 무선전력 송신장치(200)는 후술할 도 2에 도시된 송신부(210)의 구성 중 송신 유도 코일부(211)만을 포함할 수 있다.When the wireless
송신 공진 코일부(212)는 송신 유도 코일부(211)로부터 수신한 교류전력을 공진을 이용해 무선전력 수신장치(300)에 전송한다. 이 때, 무선전력 수신장치(300)는 도 2에 도시된 수신 공진 코일(310) 및 수신 유도 코일(320)을 포함할 수 있다.The transmission
다음으로 도 2를 참조하면, 무선전력 전송 시스템(10)은 전력 공급 장치(100), 무선전력 송신장치(200), 무선전력 수신장치(300), 부하(400)를 포함할 수 있다.2, the wireless
전력 공급 장치(100)는 도 1에서 설명한 구성요소들을 모두 포함하고, 그 구성요소의 기능 또한, 도 1에서 설명한 내용을 본질적으로 포함한다.The
무선전력 송신장치(200)는 송신부(210), 검출부(220)를 포함할 수 있다.The wireless
송신부(210)는 송신 유도 코일부(211), 송신 공진 코일부(212)를 포함할 수 있다.The
전력 공급 장치(100)에서 생성된 교류전력은 무선전력 송신장치(200)로 전달되고, 무선전력 송신장치(200)와 공진을 이루는 무선전력 수신장치(300)로 전달된다. 무선전력 수신장치(300)로 전달된 전력은 정류부(320)를 거쳐 부하(400)로 전달된다.The AC power generated in the
부하(400)는 충전지 또는 기타 전력을 필요로 하는 임의의 장치를 의미할 수 있고, 본 발명의 실시 예에서는 부하(400)의 부하저항을 RL로 나타낸다. 일 실시 예에서 부하(400)는 무선전력 수신장치(300)에 포함될 수도 있다.The
전력 공급 장치(100)는 소정 주파수를 갖는 교류 전력을 무선전력 송신장치(200)에 공급할 수 있다. 전력 공급 장치(100)는 무선전력 송신장치(200)와 무선전력 수신장치(300)간 공진 시의 공진주파수를 갖는 교류전력을 제공할 수 있다.
The
*송신부(210)는 송신 유도 코일부(211)와 송신 공진 코일부(212)로 구성될 수 있다.The transmitting
송신 유도 코일부(211)는 전력 공급 장치(100)와 연결되며, 전력 공급 장치(100)부터 제공받은 전력에 의해 교류 전류가 흐르게 된다. 송신 유도 코일부(211)에 교류 전류가 흐르면, 전자기 유도에 의해 물리적으로 이격되어 있는 송신 공진 코일부(212)에도 교류 전류가 유도되어 흐르게 된다. 송신 공진 코일부(212)로 전달된 전력은 공진에 의해 무선전력 송신장치(200)와 공진 회로를 이루는 무선전력 수신장치(300)로 전달된다.The transmission
임피던스가 매칭된 2개의 LC 회로 사이는 공진에 의해 전력이 전송될 수 있다. 이와 같은 공진에 의한 전력 전송은 전자기 유도에 의한 전력 전송보다 더 먼 거리까지 더 높은 효율로 전력 전달이 가능하게 한다.Power can be transmitted by resonance between two LC circuits whose impedance is matched. Such resonance-based power transmission enables power transmission to be carried out farther than the power transmission by electromagnetic induction with higher efficiency.
무선전력 송신장치(200)의 송신 공진 코일부(212)는 자기장을 통해 무선전력 수신장치(300)의 수신 공진 코일부(311)에 전력을 전송할 수 있다.The transmission
구체적으로, 송신 공진 코일부(212)와 수신 공진 코일부(311)는 공진 주파수에서 동작하도록 자기적으로 공진 결합되어 있다.Specifically, the transmission
송신 공진 코일부(212)와 수신 공진 코일부(311)의 공진 결합으로 인해 무선전력 송신장치(200)와 무선전력 수신장치(300)간 전력 전송의 효율은 크게 향상될 수 있다.The efficiency of power transmission between the wireless
송신 유도 코일부(211)는 송신 유도 코일(L1)과 캐패시터(C1)를 포함할 수 있다. 여기서, 캐패시터(C1)의 캐패시턴스는 공진주파수에서 동작하도록 조절된 값이다.The transmission
캐패시터(C1)의 일단은 전력 공급 장치(100)의 일단에 연결되고, 캐패시터(C1)의 타단은 송신 유도 코일(L1)의 일단에 연결된다. 송신 유도 코일(L1)의 타단은 전력 공급 장치(100)의 타단에 연결된다.One end of the capacitor C1 is connected to one end of the
송신 공진 코일부(212)는 송신 공진 코일(L2), 캐패시터(C2), 저항(R2)을 포함한다. 송신 공진 코일(L2)은 캐패시터(C2)의 일단에 연결된 일단과 저항(R2)의 일단에 연결된 타단을 포함한다. 저항(R2)의 타단은 캐패시터(C2)의 타단에 연결된다. R2는 송신 공진 코일(L2)에서 전력손실로 발생하는 양을 저항으로 나타낸 것이다. 캐패시터(C2)의 캐패시턴스는 공진주파수에서 동작하도록 조절된 값이다.The transmission
검출부(220)는 무선전력 송신장치(200)와 무선전력 수신장치(300)간 결합상태를 검출할 수 있다. 일 실시 예에서 결합상태는 송신 공진 코일부(212)와 수신 공진 코일부(311) 간 결합계수를 통해 파악될 수 있다. 여기서, 검출부(220)는 입력 임피던스를 측정하여 상기 결합계수를 검출할 수 있다. 이에 대해서는 후술한다.The
무선전력 수신장치(300)는 수신부(310), 정류부(320)를 포함할 수 있다.The wireless
무선전력 수신장치(300)는 휴대폰, 마우스, 노트북, MP3 플레이어 등과 같은 전자기기에 내장될 수 있다.The wireless
수신부(310)는 수신 공진 코일부(311)와 수신 유도 코일부(312)를 포함할 수 있다.The
수신 공진 코일부(311)는 수신 공진 코일(L3), 캐패시터(C3), 저항(R3)을 포함한다. 수신 공진 코일(L3)은 캐패시터(C3)의 일단에 연결된 일단과 저항(R3)의 일단에 연결된 타단을 포함한다. 저항(R3)의 타단은 캐패시터(C2)의 타단에 연결된다. 저항(R3)는 수신 공진 코일(L3)에서 전력손실로 발생하는 량을 저항으로 나타낸 것이다. 캐패시터(C3)의 캐패시턴스는 공진주파수에서 동작하도록 조절된 값이다.The reception
수신 유도 코일부(312)는 수신 유도 코일(L4) 및 캐패시터(C4)를 포함할 수 있다. 수신 유도 코일(L4)의 일단은 캐패시터(C4)의 일단에 연결되고, 수신 유도 코일(L4)의 타단은 정류부(320)의 타단에 연결된다. 캐패시터(C4)의 타단은 정류뷰(320)의 일단에 연결된다.The reception
수신 공진 코일부(311)는 송신 공진 코일부(212)와 공진주파수에서 공진 상태를 유지한다. 즉, 수신 공진 코일부(311)는 송신 공진 코일부(212)와 공진 결합되어 교류전류가 흐르게 되고, 이에 따라 비방사(Non-Radiative) 방식으로 무선전력 송신장치(200)로부터 전력을 수신할 수 있다.The reception
수신 유도 코일부(312)는 수신 공진 코일부(311)로부터 전자기 유도에 의해 전력을 수신하고, 수신 유도 코일부(312)로 수신된 전력은 정류부(320)를 통해 정류되어 부하(400)로 전달된다.The reception
정류부(320)는 수신 유도 코일부(312)로부터 교류전력을 전달받고, 전달받은 교류전력을 직류전력으로 변환시킬 수 있다.The rectifying
정류부(320)는 정류회로(미도시)와 평활회로(미도시)를 포함할 수 있다.The rectifying
정류회로는 다이오드와 캐패시터로 구성될 수 있으며, 수신 유도 코일부(312)로부터 전달받은 교류전력을 직류전력으로 변환하여, 부하(400)에 전달할 수 있다.The rectifier circuit may include a diode and a capacitor, and may convert AC power received from the reception
평활 회로는 정류 출력을 매끄럽게 하는 역할을 한다. 평활회로는 캐패시터로 구성될 수 있다.The smoothing circuit smoothes the rectified output. The smoothing circuit may comprise a capacitor.
부하(400)는 정류부(320)로부터 정류된 직류 전력을 전달받을 수 있다.The
부하(400)는 직류 전력을 필요로 하는 임의의 충전지 또는 장치일 수 있다. 예를 들어, 부하(400)는 휴대용 단말기의 배터리일 수 있으나, 이에 한정될 필요는 없다.The
일 실시 예에서 부하(400)는 무선전력 수신장치(300)에 포함될 수도 있다.In one embodiment, the
무선전력 전송에서 품질 지수(Quality Factor)와 결합계수(Coupling Coefficient)는 중요한 의미를 갖는다.In wireless power transmission, quality factor and coupling coefficient have important meaning.
품질 지수(Quality Factor)는 무선전력 송신장치 또는 무선전력 수신장치 부근에 축척할 수 있는 에너지의 지표를 의미할 수 있다.The Quality Factor may refer to an index of energy that can be scaled in the vicinity of a wireless power transmission device or a wireless power receiving device.
품질 지수(Quality Factor)는 동작 주파수(w), 코일의 형상, 치수, 소재 등에 따라 달라질 수 있다. 수식으로는 Q=w*L/R로 표현될 수 있다. L은 코일의 인덕턴스이고, R은 코일자체에서 발생하는 전력손실의 양에 해당하는 저항을 의미한다.The quality factor may vary depending on the operating frequency (w), the shape of the coil, the dimensions, and the material. The formula can be expressed as Q = w * L / R. L is the inductance of the coil, and R is the resistance corresponding to the amount of power loss occurring in the coil itself.
품질 지수(Quality Factor)는 0에서 무한대의 값을 가질 수 있다.The Quality Factor can have a value from zero to infinity.
결합계수(Coupling Coefficient)는 송신 측 코일과 수신 측 코일 간 자기적 결합의 정도를 의미하는 것으로 0에서 1의 범위를 갖는다.Coupling coefficient means the degree of magnetic coupling between the transmitting coil and the receiving coil, and ranges from 0 to 1.
결합계수(Coupling Coefficient)는 송신 측 코일과 수신 측 코일의 상대적인 위치나 거리 등에 따라 달라질 수 있다.The coupling coefficient may vary depending on the relative position or distance between the transmitting coil and the receiving coil.
무선전력 송신장치(200) 및 무선전력 수신장치(300)는 인밴드(In band) 또는 아웃 오브 밴드(out of band) 통신을 통해 무선전력 수신장치(300)와 정보를 교환할 수 있다.
The wireless
*인밴드(In band) 통신은 무선전력 전송에 사용되는 주파수를 갖는 신호를 이용하여 무선전력 송신장치(200)와 무선전력 수신장치(300)간 정보를 교환하는 통신을 의미할 수 있다. 무선전력 수신장치(300)는 스위칭 동작을 통해 무선전력 송신장치(200)에서 송신되는 전력을 수신하거나, 수신하지 않을 수 있다. 이에 따라, 무선전력 송신장치(200)는 무선전력 송신장치(200)에서 소모되는 전력량을 검출하여 무선전력 수신장치(300)의 온 또는 오프 신호를 인식할 수 있다.In-band communication may refer to communication for exchanging information between the wireless
구체적으로, 무선전력 수신장치(300)는 저항과 스위치를 이용해 저항에서 흡수하는 전력량을 변화시켜 무선전력 송신장치(200)에서 소모되는 전력을 변경시킬 수 있다. 무선전력 송신장치(200)는 상기 소모되는 전력의 변화를 감지하여 무선전력 수신장치(300)의 상태 정보를 획득할 수 있다. 스위치와 저항은 직렬로 연결될 수 있다. 일 실시 예에서 무선전력 수신장치(300)의 상태 정보는 무선전력 수신장치(300)의 현재 충전량, 충전량 추이에 대한 정보를 포함할 수 있다.Specifically, the wireless
더 구체적으로 설명하면, 스위치가 개방되면, 저항이 흡수하는 전력은 0이 되고, 무선전력 송신장치(200)에서 소모되는 전력도 감소한다.More specifically, when the switch is opened, the power absorbed by the resistor becomes zero, and the power consumed by the wireless
스위치가 단락되면, 저항이 흡수하는 전력은 0보다 크게 되고, 무선전력 송신장치(200)에서 소모되는 전력은 증가한다. 무선전력 수신장치는 이와 같은 동작을 반복하면, 무선전력 송신장치(200)는 무선전력 송신장치(200)에서 소모되는 전력을 검출하여 무선전력 수신장치(300)와 디지털 통신을 수행할 수 있다.If the switch is shorted, the power absorbed by the resistor is greater than zero, and the power consumed by the wireless
무선전력 송신장치(200)는 위와 같은 동작에 따라 무선전력 수신장치(300)의 상태 정보를 수신하고, 그에 적합한 전력을 송신할 수 있다.The wireless
이와는 반대로, 무선전력 송신장치(200) 측에 저항과 스위치를 구비하여 무선전력 송신장치(200)의 상태 정보를 무선전력 수신장치(300)에 전송하는 것도 가능하다. 일 실시 예에서 무선전력 송신장치(200)의 상태 정보는 무선전력 송신장치(200)가 전송할 수 있는 최대공급 전력량, 무선전력 송신장치(200)가 전력을 제공하고 있는 무선전력 수신장치(300)의 개수 및 무선전력 송신장치(200)의 가용 전력량에 대한 정보를 포함할 수 있다.Conversely, it is also possible to transmit the state information of the wireless
아웃 오브 밴드 통신은 공진 주파수 대역이 아닌 별도의 주파수 대역을 이용하여 전력 전송에 필요한 정보를 교환하는 통신을 말한다. 무선전력 송신장치(200)와 무선전력 수신장치(300)는 아웃 오브 밴드 통신 모듈을 장착하여 전력 전송에 필요한 정보를 교환할 수 있다. 상기 아웃 오브 밴드 통신 모듈은 전력 공급 장치에 장착될 수도 있다. 일 실시 예에서 아웃 오브 밴드 통신 모듈은 블루투스, 지그비, 무선랜, NFC와 같은 근거리 통신 방식을 사용할 수 있으나, 이에 한정될 필요는 없다.Out-of-band communication refers to communication in which information necessary for power transmission is exchanged by using a separate frequency band instead of the resonance frequency band. The wireless
다음으로 도 3 내지 도 8을 참조하여, 본 발명의 일 실시 예에 따른 전력 제어 방법을 상세히 설명한다.Next, a power control method according to an embodiment of the present invention will be described in detail with reference to FIG. 3 to FIG.
도 3은 본 발명의 일 실시 예에 따른 전력 제어 방법을 설명하기 위한 흐름도이고, 도 4는 최대 전력 전송 효율을 만족하기 위한 결합계수와 부하 임피던스의 관계를 보여주는 도면이고, 도 5는 부하가 배터리인 경우, 최대 전력 전송 효율을 만족하기 위한 결합계수와 부하 임피던스의 관계의 예를 보여주는 도면이고, 도 6은 부하가 배터리인 경우, 배터리에 인가되는 전압에 대한 전류의 관계를 보여주는 도면이고, 도 7은 부하가 배터리인 경우, 배터리에 인가되는 전력량과 부하 임피던스의 관계를 보여주는 도면이고, 도 8은 부하가 배터리인 경우, 최대 전력 전송 효율을 만족하기 위한 결합계수와 부하의 수신 전력의 관계를 보여주는 도면이다.FIG. 3 is a flowchart for explaining a power control method according to an embodiment of the present invention. FIG. 4 is a diagram showing a relationship between a coupling coefficient and a load impedance for satisfying a maximum power transmission efficiency, FIG. 6 is a graph showing an example of a relationship between a coupling coefficient and a load impedance for satisfying the maximum power transmission efficiency when the load is a battery, 7 is a graph showing the relationship between the amount of power applied to the battery and the load impedance when the load is a battery, and FIG. 8 is a graph showing the relationship between the coupling coefficient for satisfying the maximum power transmission efficiency and the received power of the load Fig.
먼저, 도 3에서 본 발명의 일 실시 예에 따른 전력 제어 방법을 도 1 및 도 12의 내용에 결부시켜 설명한다.3, a power control method according to an embodiment of the present invention will be described with reference to FIGS. 1 and 12. FIG.
무선전력 송신장치(200)는 입력 임피던스를 측정한다(S101). 입력 임피던스는 제1 입력 임피던스(Z1)일 수 있다. 제1 입력 임피던스(Z1)는 도 2에서 보는 바와 같이, 전력 공급 장치(100)에서 무선전력 송신장치(200)를 바라보았을 때 측정되는 임피던스 일 수 있다. 일 실시 예에서 검출부(220)는 전력 공급 장치(100)에서 무선전력 송신장치(200)로 입력되는 전류와 전압을 이용하여 제1 입력 임피던스(Z1)를 측정할 수 있다.The wireless
다시 도 3을 설명하면, 검출부(220)는 측정된 입력 임피던스를 이용하여 결합계수를 검출한다(S103). 여기서, 결합계수(K2)는 송신 공진 코일(L2)와 수신 공진 코일(L3)간의 전자기적 결합의 정도를 표시하는 것으로, 무선전력 송신장치(200) 및 무선전력 수신장치(300) 간의 거리, 방향, 위치 중 적어도 어느 하나에 의해 달라질 수 있는 값이다.Referring again to FIG. 3, the
상기 측정된 결합계수는 무선전력 송신장치(200)가 무선전력 수신장치(300)에 전송할 송신 전력을 제어하는데 사용될 수 있다. 일 실시 예에서 무선전력 송신장치(200)는 검출된 결합계수가 증가할수록 송신 전력을 증가시킬 수 있고, 검출된 결합계수가 감소할수록 송신 전력을 감소시킬 수 있다.The measured coupling coefficient may be used to control the transmission power to be transmitted by the wireless
상기 결합계수를 검출하는 방법을 설명한다.A method of detecting the coupling coefficient will be described.
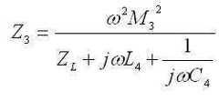
도 2를 참조하면, 제3 입력 임피던스(Z3)는 수신 공진 코일부(311)에서 수신 유도 코일부(312)를 바라보았을 때의 임피던스를 의미할 수 있고, [수학식 1]과 같이 표현될 수 있다.Referring to FIG. 2, the third input impedance Z3 may denote the impedance when the reception
[수학식 1][Equation 1]
여기서, w는 송신 공진 코일(L2)와 수신 공진 코일(L3)이 공진할 때의 공진주파수이고, M3는 수신 공진 코일(L3)과 수신 유도 코일(L4)간 상호 인덕턴스를 의미한다. 또한, ZL은 출력 임피던스를 의미한다. 출력 임피던스(ZL)는 부하(400)의 임피던스인 RL과 같을 수 있다.Here, w is the resonance frequency when the transmission resonance coil L2 and the reception resonance coil L3 resonate, and M3 is the mutual inductance between the reception resonance coil L3 and the reception induction coil L4. Also, ZL means the output impedance. The output impedance ZL may be equal to the impedance RL of the
상호 인덕턴스(M3)는 다음의 [수학식 2]를 통해 계산될 수 있다.The mutual inductance M3 can be calculated through the following equation (2).
[수학식 2]&Quot; (2) "
여기서, K3는 수신 공진 코일(L3)와 수신 유도 코일(L4)간 결합계수이고, 고정된 값이다. 수신 공진 코일(L3)의 인덕턴스 및 수신 유도 코일(L4)의 인덕턴스 또한 고정된 값이므로, 상호 인덕턴스(M3)도 고정된 값이다.Here, K3 is a coupling coefficient between the reception resonant coil L3 and the reception induction coil L4, and is a fixed value. Since the inductance of the reception resonant coil L3 and the inductance of the reception induction coil L4 are also fixed values, the mutual inductance M3 is also a fixed value.
[수학식 1]에서 공진주파수(w), 상호 인덕턴스(M3), 부하 임피던스(ZL), 수신 유도 코일(L4)의 인덕턴스 및 캐패시터(C4)의 캐패시턴스는 고정된 값이므로, 제3 입력 임피던스(Z3)는 고정된 값을 갖는다.Since the resonance frequency w, the mutual inductance M3, the load impedance ZL, the inductance of the receiving induction coil L4 and the capacitance of the capacitor C4 are fixed values in
[수학식 1]은 주파수 영역을 기준으로 한 수식이고, 이하의 수식들도 주파수 영역을 기준으로 하여 표현하기로 한다.[Equation 1] is an equation based on a frequency domain, and the following equations are also expressed on the basis of a frequency domain.
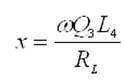
제2 입력 임피던스(Z2)는 무선전력 송신장치(200)에서 무선전력 수신장치(300)를 바라보았을 때 측정되는 임피던스를 의미하고, [수학식 3]과 같이 표현될 수 있다.The second input impedance Z2 means an impedance measured when the wireless
[수학식 3]&Quot; (3) "
여기서, M2는 송신 공진 코일(L2)와 수신 공진 코일(L3)간의 상호 인덕턴스를 의미하고, C3는 수신 공진 코일부(311)를 등가회로로 변환 시 표현되는 캐패시터를 의미한다. 또한, R3는 수신 공진 코일(L3)에서 전력손실로 발생하는 손실량을 저항으로 나타낸 것이다.M2 denotes a mutual inductance between the transmitting resonant coil L2 and the receiving resonant coil L3 and C3 denotes a capacitor expressed when the receiving
캐패시터(C3)의 캐패시턴스, 수신 공진 코일(L3)의 인덕턴스, 제3 입력 임피던스(Z3), 저항(R3)은 고정된 값이다.The capacitance of the capacitor C3, the inductance of the reception resonant coil L3, the third input impedance Z3, and the resistance R3 are fixed values.
상호 인덕턴스(M2)는 다음의 [수학식 4]를 통해 계산될 수 있다.The mutual inductance M2 can be calculated through the following equation (4).
[수학식 4]&Quot; (4) "
여기서, 송신 공진 코일(L2)의 인덕턴스 및 수신 공진 코일(L3)의 인덕턴스는 고정된 값이므로, 상호 인덕턴스(M2)는 송신 공진 코일(L2)와 수신 공진 코일(L3)간의 결합계수(K2)에 따라 변화될 수 있다.Since the inductance of the transmitting resonant coil L2 and the inductance of the receiving resonant coil L3 are fixed values, the mutual inductance M2 is the coupling coefficient K2 between the transmitting resonant coil L2 and the receiving resonant coil L3. . ≪ / RTI >
따라서, [수학식 1]의 제3 입력 임피던스(Z3)를 [수학식 3]에 대입하면, 제2 입력 임피던스(Z2)는 상호 인덕턴스(M2)에 관한 식으로 표현될 수 있고, 상호 인덕턴스(M2)에 의해 가변될 수 있다.Therefore, when the third input impedance Z3 of Equation (1) is substituted into Equation (3), the second input impedance Z2 can be expressed by the equation relating to the mutual inductance M2 and the mutual inductance M2. ≪ / RTI >
제1 입력 임피던스(Z1)는 전력 공급 장치(100)에서 무선전력 송신장치(200) 측을 바라보았을 때 측정되는 임피던스를 의미하고, [수학식 5]과 같이 표현될 수 있다.The first input impedance Z1 means an impedance measured when the
[수학식 5]&Quot; (5) "
여기서, M1은 송신 유도 코일(L1)과 송신 공진 코일(L2)간 상호 인덕턴스이다.Here, M1 is mutual inductance between the transmission induction coil L1 and the transmission resonance coil L2.
상호 인덕턴스(M1)은 다음의 [수학식 6]을 통해 계산될 수 있다.The mutual inductance M1 can be calculated through the following equation (6).
[수학식 6]&Quot; (6) "
여기서, 송신 공진 코일(L1)의 인덕턴스, 송신 유도 코일(L2)의 인덕턴스 및 송신 공진 코일(L1)과 송신 유도 코일(L2)의 결합계수(K1)은 고정된 값이므로, 상호 인덕턴스(M1)도 고정된 값을 갖는다.Since the inductance of the transmission resonant coil L1 and the inductance of the transmission induction coil L2 and the coupling coefficient K1 of the transmission resonant coil L1 and the transmission induction coil L2 are fixed values, Has a fixed value.
송신 유도 코일(L1)의 인덕턴스, 캐패시터(C1)의 캐패시턴스, 상호 인덕턴스(M1), 송신 공진 코일(L2)의 인덕턴스, 캐패시터(C2), 저항(R2)는 모두 고정된 값이나, 제2 입력 임피던스(Z2)는 상호 인덕턴스(M2)에 의해 가변될 수 있는 값이다.The inductance of the transmission induction coil L1, the capacitance of the capacitor C1, the mutual inductance M1, the inductance of the transmission resonant coil L2, the capacitor C2 and the resistor R2 are all fixed values, The impedance Z2 is a value that can be varied by mutual inductance M2.
[수학식 2]를 [수학식 3]에 대입하면, 제1 입력 임피던스(Z1)는 상호 인덕턴스(M2)에 관한 식으로 표현될 수 있다.When Equation (2) is substituted into Equation (3), the first input impedance Z1 can be expressed by an equation relating to mutual inductance M2.
검출부(220)는 단계(S101)에서 측정된 제1 입력 임피던스(Z1) 및 상기 상호 인덕턴스(M2)에 관한 식 제1 입력 임피던스(Z1)를 이용하여 상호 인덕턴스(M2)를 계산할 수 있고, 계산된 상호 인덕턴스(M2) 및 [수학식 4]를 통해 결합계수(K2)를 검출할 수 있다.The detecting
결합계수(K2)를 검출하는 또 다른 방법은 도 13에서 설명한다.Another method of detecting the coupling coefficient K2 is described in Fig.
다시 도 3을 설명하면, 무선전력 송신장치(200)는 검출된 결합계수(K2)에 대응하는 수신 전력을 결정한다(S105). 여기서, 결정된 수신 전력은 무선전력 송신장치(200)와 부하(400)간 전력 전송 효율을 최대로 높이기 위해 부하(400)에서 수신되어야 하는 전력을 의미할 수 있다.Referring again to FIG. 3, the wireless
이하에서는, 결합계수(K2)를 검출하고, 검출된 결합계수(K2)에 따라 부하(400)에서 수신되어야 하는 수신 전력을 결정하는 방법을 설명한다.Hereinafter, a method of detecting the coupling coefficient K2 and determining the received power to be received in the
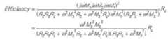
도 2를 참조하면, 전력 전송 효율(Efficiency)은 다음의 [수학식 7]을 통해 계산될 수 있다.Referring to FIG. 2, the power transmission efficiency may be calculated through the following equation (7).
[수학식 7]&Quot; (7) "
여기서, Pin은 전력 공급 장치(100)가 무선전력 송신장치(200)에 전달하는 송신 전력이고, Pout은 부하(400)에서 소모하는 소모 전력임과 동시에 부하(400)가 수신하는 수신 전력을 의미할 수 있다. IL은 부하(400)에 흐르는 전류이다.Here, Pin is the transmission power transmitted from the
전류(I1)는 무선전력 송신장치(200)에 입력되는 전류이고, 동시에 송신 유도 코일부(211)에 흐르는 전류이다.The current I1 is a current input to the wireless
전류(I1)는 다음과 같은 과정을 통해 계산될 수 있다.The current I1 can be calculated through the following process.
먼저, 수신 공진 코일부(311)에 흐르는 전류를 I3라고 하면, I3는 다음의 [수학식 8]과 같이 표현될 수 있다.First, if the current flowing in the reception
[수학식 8]&Quot; (8) "
송신 공진 코일부(212)에 흐르는 전류를 I2라 하면, I2는 다음의 [수학식 9]와 같이 표현될 수 있다.Assuming that the current flowing in the transmission
[수학식 9]&Quot; (9) "
송신 유도 코일부(211)에 흐르는 전류를 I1이라 하면, I1은 다음의 [수학식 10]과 같이 표현될 수 있다.Assuming that the current flowing in the transmission
[수학식 10]&Quot; (10) "
[수학식 8]을 [수학식 9]에 대입하고, 대입한 식을 [수학식 10]에 대입한 식 및 위에서 계산된 상호 인덕턴스(M2)로 표현된 제1 입력 임피던스(Z1)를 [수학식 7]에 대입하면, 전력 전송 효율에 대한 다음의 [수학식 11]이 얻어진다.The first input impedance Z1 represented by the mutual inductance M2 calculated above and the equation obtained by substituting the substituted expression into the expression (10) are substituted into the expression (9) (7), the following equation (11) for the power transmission efficiency is obtained.
[수학식 11]&Quot; (11) "
[수학식 11]는 다음의 [수학식 12]와 같이 정리된다.Equation (11) can be summarized as Equation (12) below.
[수학식 12]&Quot; (12) "
송신 공진 코일부(212)의 품질 지수(Q2)는 다음의 [수학식 13]과 같이 표현되고, 수신 공진 코일부(311)의 품질 지수(Q3)는 다음의 [수학식 14]와 같이 표현된다.The quality index Q2 of the transmission
[수학식 13]&Quot; (13) "
[수학식 14]&Quot; (14) "
[수학식 13] 및 [수학식 14]를 [수학식 12]에 대입하면, 다음의 [수학식 15]와 같이 정리된다.Substituting Equations (13) and (14) into Equation (12) yields the following Equation (15).
[수학식 15]&Quot; (15) "
계산의 편의를 위해, x는 다음의 [수학식 16], m은 다음의 [수학식 17]과 같이 치환한다.For convenience of calculation, x is replaced with the following equation (16), and m is replaced with the following equation (17).
[수학식 16]&Quot; (16) "
[수학식 17]&Quot; (17) "
[수학식 16] 및 [수학식 17]을 전력 전송 효율에 대한 식인 [수학식 15]에 대입하면, 전력 전송 효율은 다음의 [수학식 18]과 같이 정리될 수 있다.If Equation (16) and Equation (17) are substituted into Equation (15) for power transmission efficiency, the power transmission efficiency can be summarized as Equation (18).
[수학식 18]&Quot; (18) "
전력 전송 효율이 최대가 되는 조건을 얻기 위해 [수학식 18]을 x에 대해 미분하면, 다음의 [수학식 19]와 같이 정리될 수 있다.(18) is differentiated with respect to x in order to obtain a condition that maximizes the power transmission efficiency, the following equation (19) can be obtained.
[수학식 19]&Quot; (19) "
[수학식 19]에서 전력 전송 효율이 최대가 되는 조건은 x가 다음의 [수학식 20]과 같을 경우이다.The condition for maximizing the power transmission efficiency in Equation (19) is the case where x is equal to the following Equation (20).
[수학식 20]&Quot; (20) "
[수학식 20]에서 [수학식 16]의 x와 [수학식 17]의 m을 대입하면, 다음의 [수학식 21]이 얻어진다.Substituting x in (16) and m in (17) into (20), the following equation (21) is obtained.
[수학식 21]&Quot; (21) "
[수학식 21]을 RL에 대해 정리하면, 다음의 [수학식 22]가 얻어진다.(21) is summarized for RL, the following equation (22) is obtained.
[수학식 22]&Quot; (22) "
즉, 부하(400)의 임피던스(RL)가 [수학식 22]와 같은 값을 가질 때, 전력 전송 효율은 최대가 된다. 이 때, 전력 전송 효율은 다음의 [수학식 23]과 같이 계산될 수 있다.That is, when the impedance RL of the
[수학식 23]&Quot; (23) "
즉, 부하(400)의 임피던스(RL)가 [수학식 22]와 같을 때, 최대 전력 전송 효율이 [수학식 23]과 같이 얻어질 수 있다.That is, when the impedance RL of the
[수학식 22]를 참조하면, 전력 전송 효율이 최대가 되는 조건을 만족하는 부하(400)의 임피던스(RL)는 결합계수(K)에 따라 달라질 수 있음을 보여준다.Referring to Equation (22), it can be seen that the impedance RL of the
구체적으로 [수학식 22]의 결합계수(K)와 부하(400)의 임피던스 간 관계를 그래프로 도시하면, 도 4와 같다.More specifically, the relationship between the coupling coefficient K of the equation (22) and the impedance of the
도 4에서 x축은 결합계수(K)이고, y축은 부하 임피던스를 나타낸다.4, the x-axis is the coupling coefficient K and the y-axis is the load impedance.
도 4를 참조하면, 결합계수(K)가 증가함에 따라 부하 임피던스는 감소하고, 결합계수(K)가 감소함에 따라 부하 임피던스는 증가하는 경향을 확인할 수 있다. 즉, 결합계수(K)에 따라 부하 임피던스가 가변되어야 전력 전송 효율이 최대가 될 수 있다.Referring to FIG. 4, the load impedance decreases as the coupling coefficient K increases, and the load impedance tends to increase as the coupling coefficient K decreases. That is, the power transmission efficiency can be maximized if the load impedance varies according to the coupling coefficient K.
결합계수(K)는 무선전력 송신장치(200) 및 무선전력 수신장치(300)간의 거리, 서로 놓여있는 위치 중 어느 하나 이상에 따라 달라질 수 있으므로, 최대 전력 전송 효율을 얻기 위해서는 이에 따라, 부하(400)의 임피던스가 달라질 필요가 있다.Since the coupling coefficient K may vary depending on at least one of the distance between the wireless
도 5는 결합계수(K)와 부하 임피던스 간의 관계를 구체적인 수치를 통해 나타낸 그래프이다.5 is a graph showing the relationship between the coupling coefficient K and the load impedance through specific numerical values.
결합계수(K)가 0.05일 때, 부하 임피던스는 13.3옴이고, 결합계수(K)가 0.10일 때, 부하 임피던스는 8옴이고, 결합계수(K)가 0.25일 때, 부하 임피던스는 5옴으로, 결합계수(K)가 증가함에 따라 부하 임피던스가 감소하면, 전력 전송 효율이 최대가 된다.When the coupling coefficient K is 0.05, the load impedance is 13.3 ohms. When the coupling coefficient K is 0.10, the load impedance is 8 ohms. When the coupling coefficient K is 0.25, the load impedance is 5 ohms. If the load impedance decreases as the coupling coefficient K increases, the power transmission efficiency becomes maximum.
일반적으로 부하(400)에 사용되는 휴대용 단말기의 배터리가 있다. 배터리의 임피던스는 배터리에 인가되는 전력량에 따라 달라지는 경향이 있다. 여기서, 부하(400)의 예로 휴대용 단말기의 배터리를 들었으나, 이에 한정될 필요는 없고, 부하(400)에 인가되는 전력량에 따라 부하(400)의 임피던스가 달라지는 것이면 어느 것이든 상관없다.Generally, there is a battery of a portable terminal used in the
도 6을 참조하면, 배터리에 인가되는 전압에 대한 전류의 관계가 그래프로 도시되어 있다.Referring to FIG. 6, the relationship of the current to the voltage applied to the battery is shown in a graph.
배터리의 임피던스(RL)는 다음의 [수학식 24]와 같이 표현될 수 있다.The impedance RL of the battery can be expressed by the following equation (24).
[수학식 24]&Quot; (24) "
여기서, V는 배터리에 인가되는 전압이고, I는 배터리에 흐르는 전류이다.Here, V is the voltage applied to the battery and I is the current flowing in the battery.
만약, 배터리에 4V가 인가되는 경우, 배터리에 인가되는 전력량은 1.2W(4V X 0.3A)가 되고, 이 때, 배터리의 임피던스는 13.3옴(4V/0.3A)가 된다.If 4 V is applied to the battery, the amount of power applied to the battery becomes 1.2 W (4 V X 0.3 A), and the impedance of the battery becomes 13.3 ohms (4 V / 0.3 A) at this time.
만약, 배터리에 4.583V이 인가되는 경우, 배터리에 인가되는 전력량은 2.0W(4.583V X 0.437A)가 되고, 이 때, 배터리의 임피던스는 약 10.5옴(4.458V/0.437A)가 된다.If 4.583 V is applied to the battery, the amount of power applied to the battery becomes 2.0 W (4.583 V X 0.437 A), and the impedance of the battery becomes about 10.5 ohms (4.458 V / 0.437 A) at this time.
만약, 배터리에 5V가 인가되는 경우, 배터리에 인가되는 전력량은 5.0W(5V X 1.0A)가 되고, 이 때, 배터리의 임피던스는 5.0옴(5V/1A)가 된다.If 5 V is applied to the battery, the amount of power applied to the battery becomes 5.0 W (5 V X 1.0 A), and the impedance of the battery becomes 5.0 V (5 V / 1A) at this time.
즉, 이와 같이, 배터리에 인가되는 전력량에 따라 배터리의 임피던스가 달라질 수 있다.That is, the impedance of the battery can be changed according to the amount of power applied to the battery.
또한, 이 결과를 이용하여 최대 전력 전송 효율을 만족하도록 배터리에 인가되는 전력량에 따른 부하 임피던스의 관계를 그래프로 도시하면, 도 7과 같다.FIG. 7 is a graph showing the relationship of the load impedance according to the amount of power applied to the battery so as to satisfy the maximum power transmission efficiency using the results.
도 7에서 x축은 배터리에 인가되는 전력량이고, y축은 배터리(부하)의 임피던스이다.In Fig. 7, the x-axis is the amount of power applied to the battery, and the y-axis is the impedance of the battery (load).
도 7에서 보는 바와 같이, 배터리의 임피던스는 배터리에 인가되는 전력량에 따라 그 값이 달라짐을 확인할 수 있다.As shown in FIG. 7, it can be seen that the impedance of the battery varies according to the amount of power applied to the battery.
여기서, 도 5와 도 7을 비교하면, 그래프의 형태가 유사함을 확인할 수 있다. 구체적으로, 도 5를 참조하면, 결합계수(K)가 증가함에 따라 부하 임피던스가 감소하고, 결합계수(K)가 감소함에 따라 부하 임피던스가 증가함을 확인할 수 있고, 도 7을 참조하면, 배터리에 인가되는 전력량이 증가함에 따라 배터리의 임피던스가 감소하고, 배터리에 인가되는 전력량이 감소함에 따라 배터리의 임피던스가 증가함을 확인할 수 있고, 도 5와 도 7에 도시된 그래프의 형태는 매우 유사함을 확인할 수 있다.Here, comparing FIG. 5 and FIG. 7, it is confirmed that the graphs are similar in shape. 5, it can be seen that the load impedance decreases as the coupling coefficient K increases and the load impedance increases as the coupling coefficient K decreases. Referring to FIG. 7, The impedance of the battery decreases as the amount of power applied to the battery decreases, and the impedance of the battery increases as the amount of power applied to the battery decreases. The shapes of the graphs shown in FIGS. 5 and 7 are very similar can confirm.
즉, 무선전력 전송 시스템(10)의 부하(400)를 배터리와 같이, 인가되는 전력량에 따라 임피던스가 달라질 수 있는 것을 채용하면, 결합계수(K)와 부하(400)의 수신 전력 간 특정한 대응관계가 성립됨을 확인할 수 있다. 이 경우, 결합계수(K)에 따라 부하(400)의 수신 전력이 상기 대응관계가 성립되도록 송신 전력을 조절된다면, 도 5에서 도시된 최대 전력 전송 효율을 얻기 위한 조건을 만족시킬 수 있다.That is, when the
즉, 결합계수(K)에 따라 최대 전력 전송 효율을 얻기 위해 부하 임피던스를 조절해야 하는데, 이는 도 7에서 보는 바와 같이, 전력량을 제어함으로써 가능하다. 다시 말해, 결합계수(K)에 따라 배터리의 수신 전력이 결정될 수 있고, 배터리가 결정된 수신 전력을 수신하도록 송신 전력이 조절된다면, 도 5의 전력 전송 효율이 최대가 되는 조건이 만족되어 최대 전력 전송 효율을 얻을 수 있다.That is, the load impedance must be adjusted to obtain the maximum power transmission efficiency according to the coupling coefficient K, which is possible by controlling the amount of power as shown in FIG. In other words, if the reception power of the battery can be determined according to the coupling coefficient K and the transmission power is adjusted so that the battery receives the determined reception power, the condition that the power transmission efficiency of FIG. 5 becomes the maximum is satisfied, Efficiency can be obtained.
상기 대응관계는 도 8의 그래프와 같이 나타낼 수 있다.The corresponding relationship can be represented as a graph of FIG.
도 8을 참조하면, 결합계수(K)에 따라 배터리에서 수신하는 수신 전력 간 관계가 그래프로 도시되어 있다. 결합계수(K)가 0.05일 때, 배터리에서 수신하는 전력량이 1.2W이고, 결합계수(K)가 0.10일 때, 배터리에서 수신하는 전력량이 2.0W이고, 결합계수(K)가 0.25일 때, 배터리에서 수신하는 전력량이 5W이면, 도 5에서 도시된 최대 전력 전송 효율을 얻기 위한 조건을 만족한다.
Referring to FIG. 8, the relationship between the received power received by the battery according to the coupling coefficient K is shown graphically. When the amount of power received by the battery is 2.0W and the coupling coefficient K is 0.25 when the coupling coefficient K is 0.05 and the amount of power received by the battery is 1.2W and the coupling coefficient K is 0.10, If the amount of power received by the battery is 5 W, the condition for obtaining the maximum power transmission efficiency shown in FIG. 5 is satisfied.
*결국, 최대 전력 전송 효율을 얻기 위해 결합계수(K)에 따라 부하(400)가 수신해야 하는 수신 전력을 결정해야 한다.Finally, to obtain the maximum power transmission efficiency, it is necessary to determine the received power that the
일 실시 예에서 무선전력 송신장치(200)는 결합계수(K2)에 대응하는 수신 전력을 저장하고 있는 저장부(미도시)를 더 포함할 수 있다. 무선전력 송신장치(200)는 저장부를 검색하여, 결합계수(K2)에 대응하는 수신 전력을 찾아 수신 전력을 결정할 수 있다.In one embodiment, the wireless
다시 도 3을 설명하면, 무선전력 송신장치(200)는 부하(400)가 현재 수신하고 있는 수신 전력을 확인한다(S107). 무선전력 수신장치(300)는 무선전력 송신장치(200)로부터 수신한 전력을 부하(400)에 그대로 전달하므로, 무선전력 수신장치(300)가 수신하는 전력과 부하(400)가 수신하는 전력은 동일한 것으로 가정한다.Referring again to FIG. 3, the wireless
무선전력 송신장치(200)가 부하(400)에서 현재 수신하고 있는 전력을 확인하는 방법은 다양한 방법이 사용될 수 있다.Various methods can be used as a method of confirming the power currently being received by the wireless
일 실시 예에서 무선전력 송신장치(200)는 도 2에서 설명된 아웃 오브 밴드 통신을 통해 부하(400)가 현재 수신하고 있는 수신 전력을 확인할 수 있다. 구체적으로, 무선전력 송신장치(200)는 아웃 오브 밴드 통신을 통해 무선전력 수신장치(300)가 현재 수신하고 있는 수신 전력에 대한 정보를 요청하고, 요청에 대한 응답을 수신하여 현재 수신 전력을 확인할 수 있다.In one embodiment, the wireless
일 실시 예에서 무선전력 송신장치(200)는 무선전력 송신장치(200) 내부에 흐르는 전류의 세기 측정하여 부하(400)가 현재 수신하고 있는 수신 전력을 확인할 수 있다. 이 경우, 무선전력 송신장치(200)는 도 1에서 설명한 전력 공급 장치(100)를 포함할 수 있다. 일 예로, 무선전력 송신장치(200)의 내부에 흐르는 전류의 세기는 부하(400)가 현재 수신하고 있는 수신 전력과 연관될 수 있다. 구체적으로, 무선전력 송신장치(200)와 무선전력 수신장치(300)간 거리가 일정할 때, 부하(400)가 수신하고 있는 전력이 많을수록 무선전력 송신장치(200)의 내부에 흐르는 전류의 세기는 커질 수 있고, 부하(400)가 수신하고 있는 전력이 작을수록 무선전력 송신장치(200)의 내부에 흐르는 전류의 세기는 작아질 수 있다.In one embodiment, the wireless
무선전력 송신장치(200)는 무선전력 송신장치(200)의 내부에 흐르는 전류의 세기와 부하(400)가 수신하고 있는 전력을 대응시켜 저장하고 있는 저장부(170)를 포함할 수 있고, 상기 저장부(170)를 검색하여 측정된 전류의 세기와 대응하는 수신 전력을 찾아 부하(400)가 현재 수신하고 있는 수신 전력을 확인할 수 있다.The wireless
그 후, 무선전력 송신장치(200)는 확인된 수신 전력이 상기 결정된 수신 전력과 동일한지 확인한다(S109).After that, the wireless
만약, 확인된 수신 전력이 결정된 수신 전력과 다른 것으로 확인된 경우, 무선전력 송신장치(200)는 무선전력 수신장치(300)에 전송할 송신 전력을 결정한다(S111). 즉, 무선전력 송신장치(200)는 최대의 전력 전송 효율을 얻기 위해 상기 결정된 수신 전력에 대응하는 송신 전력을 결정할 수 있다.If it is determined that the received power is different from the determined received power, the wireless
무선전력 송신장치(200)는 결정된 송신 전력을 무선전력 수신장치(300)에 전송하기 위해 무선전력 수신장치(300)에 전송되는 송신 전력을 제어한다(S113). 일 실시 예에서 무선전력 송신장치(200)는 전력 공급 장치(100)에 전원을 공급하는 전원 공급부(110)를 제어하여 송신 전력을 제어하는 방법이 사용될 수 있고, 이에 대해서는 도 9 및 도 10에서 자세히 설명한다.The wireless
또 다른 실시 예에서 무선전력 송신장치(200)는 무선전력 송신장치(200)의 내부에 흐르는 전류를 측정하여 송신 전력을 제어할 수 있다. 이에 대해서는 도 11 및 도 12에서 자세히 후술한다.In another embodiment, the wireless
무선전력 송신장치(200)는 전력 공급 장치(100)로부터 결정된 송신 전력을 공급받아 무선전력 수신장치(300)에 전송한다. 부하(400)는 무선전력 수신장치(300)로부터 최대의 전력 전송 효율을 만족하는 수신 전력을 전달받을 수 있다.The wireless
상기와 같이, 본 발명의 실시 예에 따르면, 무선전력 송신장치(200)는 전력 전송 효율이 최대가 되도록 하기 위한 송신 전력을 전송하고, 부하(400)는 전력 전송 효율이 최대가 되도록 하기 위한 수신 전력을 수신할 수 있어, 결과적으로, 전력 전송 효율을 최대화 시킬 수 있다.As described above, according to the embodiment of the present invention, the wireless
다음으로 도 1 내지 도 8의 내용과 결부시켜 본 발명의 또 다른 실시 예에 따른 전력 제어 방법을 도 9 내지 도 10을 참조하여 설명한다. 도 9 내지 도 10은 도 3의 단계(S113)의 송신 전력을 제어하기 위한 방법에 관한 내용이다.Next, a power control method according to another embodiment of the present invention will be described with reference to FIGS. 9 to 10 in connection with the contents of FIGS. 1 to 8. FIG. Figs. 9 to 10 show a method for controlling the transmission power in step S113 of Fig. 3.
도 9는 본 발명의 또 다른 실시 예에 따른 무선전력 전송 시스템(20)의 구성도이고, 도 10은 본 발명의 또 다른 실시 예에 따른 전력 제어 방법을 설명하기 위한 흐름도이다.FIG. 9 is a configuration diagram of a wireless
먼저, 무선전력 전송 시스템(20)은 전원 공급 장치(500), 무선전력 송신장치(900), 무선전력 수신장치(300)를 포함할 수 있다.First, the wireless
무선전력 수신장치(300)는 도 1 내지 도 2에서 설명한 내용과 같다.The wireless
무선전력 송신장치(900)는 전원 공급 장치(500)로부터 직류 전력을 전달받을 수 있다. 구체적으로, 무선전력 송신장치(900)는 전원 공급 장치(500)에 전압 제어 신호를 전송하여, 조절된 직류 전압을 수신할 수 있다.The wireless
무선전력 송신장치(900)는 송신부(910), 전류 센싱부(930), 발진기(940), 교류 전력 생성부(950), 제어부(960), 저장부(970), 직류 차단부(980)를 더 포함할 수 있다.The wireless
전류 센싱부(930)는 전원 공급 장치(500)로부터 수신한 직류 전압이 교류 전력 생성부(950)에 인가될 때, 회로에 흐르는 전류를 감지하고 감지된 전류의 세기를 측정할 수 있다. 그러나, 전류 센싱부(930)가 측정하는 지점은 이에 한정될 필요는 없고, 후술할 교류 전력 생성부(950)에서 출력되는 지점도 포함될 수 있다.When the DC voltage received from the
무선전력 송신장치(900) 내부에 흐르는 전류의 세기는 무선전력 송신장치(900)와 무선전력 수신장치(300)간 전력 전송 상태에 따라 가변될 수 있다. 상기 전력 전송 상태에 대해서는 후술한다.The intensity of the current flowing in the wireless
일 실시 예에서 전류 센싱부(930)는 변류기(CT: Current Transformer)가 사용될 수 있다.In one embodiment, the
발진기(940)(Oscillator)는 소정의 주파수를 갖는 교류신호를 생성할 수 있다. 후술할 송신부(910)가 공진을 이용하여 무선전력 수신장치(300)에 전력을 전송하는 경우, 발진기(940)는 송신부(910)에 포함된 송신 공진 코일이 공진 주파수에서 동작하도록 공진 주파수를 갖는 교류신호를 생성하여 교류 전력 생성부(950)에 전달할 수 있다. 발진기(940)에서 생성된 교류신호는 교류 전력 생성부(950)에 인가된다.An oscillator 940 (Oscillator) may generate an AC signal having a predetermined frequency. When a transmitting
교류 전력 생성부(950)는 전원 공급 장치(500)의 교류 직류 변환기(510)로부터 수신한 직류 전력을 발진기(940)로부터 전달받은 교류신호를 이용하여 교류 전력을 생성할 수 있다.The AC
교류 전력 생성부(950)는 발진기(940)로부터 인가된 교류신호를 증폭할 수 있다. 일 실시 예에서 상기 증폭의 정도는 교류 전력 생성부(950)에 인가되는 직류 전압의 크기에 따라 가변될 수 있다.The AC
일 실시 예에서 교류 전력 생성부(950)는 푸쉬 풀 타입(push-pull type)의 듀얼 모스펫(Dual MOSFET)이 사용될 수 있다.In one embodiment, the AC
제어부(960)는 무선전력 송신장치(900)의 전반적인 동작을 제어할 수 있다.The
제어부(960)는 무선전력 송신장치(900)와 무선전력 수신장치(300)간 전력 전송 상태 변화를 감지할 수 있다. 제어부(960)는 상기 전력 전송 상태 변화를 감지하여 전원 공급 장치(500)로부터 수신할 직류 전력을 결정할 수 있고, 결정된 직류 전력을 수신하기 위해 전원 공급 장치(500)에 전력 제어 신호를 전력선 통신을 이용해 전송할 수 있다. 일 실시 예에서 상기 전력 전송 상태는 무선전력 송신장치(900)와 무선전력 수신장치(300)간 떨어진 거리, 양 장치가 놓여있는 방향에 대한 것일 수 있다.The
일 실시 예에서 상기 전력 전송 상태는 무선전력 수신장치(300)의 전력 수신 상태에 대한 것일 수 있다. 예를 들면, 무선전력 수신장치(300)의 충전량이 기준량보다 적은 경우, 무선전력 수신장치(300)는 아웃 오브 밴드(out-of-band)통신을 통해 현재 전송되는 전력보다 많은 전력을 전송하도록 무선전력 송신장치(200)에 요청할 수 있다. 그러면, 무선전력 송신장치(900)는 상기 요청에 대응하여 무선전력 수신장치(300)에 전송할 송신 전력을 결정할 수 있다. 무선전력 송신장치(900)는 상기 결정된 송신 전력에 대응하여 전원 공급 장치(500)로부터 수신할 직류 전력을 결정할 수 있고, 결정된 직류 전력을 수신하기 위해 전원 공급 장치(500)를 제어할 수 있다. 그 후, 무선전력 송신장치(900)는 상기 결정된 직류 전력을 전원 공급 장치(500)로부터 전달받고, 전달받은 직류 전력을 교류 전력으로 변환하여 무선전력 수신장치(300)에 전송할 수 있다.In one embodiment, the power transmission state may be for a power receiving state of the wireless
제어부(960)는 전류 센싱부(930)가 측정한 전류의 세기를 수신하고, 상기 측정된 전류의 세기에 기초하여 무선전력 송신장치(900)와 무선전력 수신장치(300)간 떨어져 있는 근접거리를 확인할 수 있다.The
제어부(960)는 확인된 근접거리를 이용하여, 전원 공급 장치(500)로부터 수신할 직류 전압을 결정할 수 있다. 제어부(960)는 결정된 직류 전압에 대한 정보가 포함되어 있는 전압 제어 신호를 전원 공급 장치(500)에 전송할 수 있다. 이 때, 무선전력 송신장치(900)와 전원 공급 장치(500) 간에는 전력선 통신을 이용하여 상기 전압 제어 신호를 전송할 수 있다. 전력선 통신은 전력을 공급하는 전력선을 매개체로 하여 데이터를 수백kHz에서 수십 MHz 이상의 고주파 신호에 실어 통신하는 기술을 말한다. 즉, 전력선 통신은 전용 통신 회선을 따로 설치하지 않고, 배선작업이 완료된 전력선을 이용하여 통신을 수행한다.The
일 실시 예에서 제어부(960)는 상기 측정된 전류의 세기에 기초하여 무선전력 송신장치(900)와 무선전력 수신장치(300)간 떨어져 있는 거리인 근접거리를 확인할 수 있다.In one embodiment, the
일 실시 예에서 제어부(960)는 상기 확인된 근접 거리가 아닌 상기 측정된 전류의 세기에 기초하여 전원 공급 장치(500)로부터 수신할 직류 전압을 결정할 수도 있다.In one embodiment, the
저장부(970)는 전류 센싱부(930)에서 측정된 전류의 세기 및 무선전력 송신장치(900)와 무선전력 수신장치(300)간 근접 거리를 대응시켜 룩업테이블의 형태로 저장할 수 있다.The
저장부(970)는 전류 센싱부(930)에서 측정된 전류의 세기 및 무선전력 송신장치(900)가 전원 공급 장치(500)로부터 수신할 직류 전압을 대응시켜 룩업테이블의 형태로 저장할 수 있다.The
저장부(970)는 전류 센싱부(930)에서 측정된 전류의 세기, 무선전력 송신장치(900)와 무선전력 수신장치(300)간 근접 거리 및 무선전력 송신장치(900)가 전원 공급 장치(500)로부터 수신할 직류 전압을 대응시켜 룩업테이블의 형태로 저장할 수 있다.The
직류 차단부(980)는 제어부(960)에 인가되는 직류 신호를 차단할 수 있다. 일 실시 예에서 직류 차단부(980)는 커패시터로 구성될 수 있다.The
송신부(910)는 교류 전력 생성부(950)에서 출력된 교류전력을 무선전력 수신장치(300)에 무선으로 전송할 수 있다.The transmitting
전원 공급 장치(500)는 교류 직류 변환기(510), 제어부(520), 직류 차단부(530)를 포함할 수 있다. 일 실시 예에서 전원 공급 장치(500)는 외부로부터 수신한 교류 전원을 직류 전원으로 변환할 수 있는 어댑터(adaptor)일 수 있다.The
교류 직류 변환기(510)는 외부로부터 수신한 교류 전압을 소정의 크기를 갖는 직류 전압으로 변환할 수 있다. 이 때, 외부로부터 수신한 교류 전압은 그 크기가 220V이고, 주파수가 60Hz일 수 있으나, 이에 한정될 필요는 없다. 제어부(520)는 무선전력 송신장치(900)로부터 전압 제어 신호를 수신하여, 무선전력 송신장치(200)가 결정한 직류 전압을 출력하도록 교류 직류 변환기(510)를 제어할 수 있다. 즉, 제어부(520)는 무선전력 송신장치(900)에서 측정된 전류의 세기에 대응하는 직류 전압을 출력하도록 교류 직류 변환기(510)를 제어하는 전압 조절 신호를 생성하여 교류 직류 변환기(510)에 전송할 수 있다. 이 떼, 교류 직류 변환기(510)는 상기 전압 조절 신호를 수신하여 외부로부터 수신한 교류 전압을 소정의 크기의 직류 전압으로 변환하여 출력할 수 있다.The AC-
직류 차단부(530)는 제어부(520)로 인가되는 직류 신호를 차단할 수 있다. 일 실시 예에서 직류 차단부(530)는 커패시터로 구성될 수 있다.The
도 10은 본 발명의 또 다른 실시 예에 따른 전력 제어 방법을 설명하기 위한 래더 다이어그램이다.10 is a ladder diagram for explaining a power control method according to another embodiment of the present invention.
이하에서는, 도 9의 내용을 결부시켜 본 발명의 일 실시 예에 따른 전력 제어 방법을 설명한다.Hereinafter, a power control method according to an embodiment of the present invention will be described with reference to FIG.
도 10을 참조하면, 먼저, 전류 센싱부(930)는 무선전력 송신장치(900) 내부에 흐르는 전류의 세기를 측정할 수 있다(S201). 전류 센싱부(930)는 무선전력 송신장치(900)의 내부에 흐르는 전류를 감지하여 감지된 전류의 세기를 측정할 수 있다.Referring to FIG. 10, the
일 실시 예에서 전류 센싱부(930)는 도 9에서 도시된 교류 전력 생성부(950)에 입력되는 전류의 세기를 측정할 수 있다. 또 다른 실시 예에서 전류 센싱부(930)는 교류 전력 생성부(950)에서 출력되는 전류의 세기를 측정할 수도 있으나, 이에 한정될 필요는 없고, 무선전력 송신장치(900)의 내부에 흐르는 전류의 세기를 측정할 수 있다.In one embodiment, the
일 실시 예에서 전류 센싱부(930)는 변류기(CT: Current Transformer)가 사용될 수 있다. 변류기는 회로에 흐르는 높은 전류를 필요한 값의 낮은 전류로 낮추어 측정할 수 있는 장치이다. 즉, 변류기는 회로에 흐르는 임의의 전류에 대해 그에 비례하는 전류로 변성시켜 전류를 측정할 수 있다. 보다 구체적으로, 변류기는 1차권선, 2차권선과 철심으로 구성되어 있으며, 철심을 지나는 자속에 의해 전자기 유도 현상이 발생하면, 1차 전류를 변류비에 비례하여 2차 전류로 변성시킬 수 있고, 변성된 2차 전류를 측정할 수 있다.In one embodiment, the
일 실시 예에서 전류 센싱부(930)는 권선형, 봉형, 관통형, 3차 권선부형, 다심 철심형 중 어느 하나의 변류기가 사용될 수 있다.In one embodiment, the
일 실시 예에서 전류 센싱부(930)가 측정하는 전류의 세기는 무선전력 송신장치(900)와 무선전력 수신장치(300)간 떨어져 있는 근접 거리에 따라 가변될 수 있다. 즉, 전류 센싱부(930)에서 측정된 전류의 세기가 커질수록 무선전력 송신장치(900)와 무선전력 수신장치(300)간 거리가 가까워지는 것을 의미하고, 전류 센싱부(930)에서 측정된 전류의 세기가 작아질수록 무선전력 송신장치(900)와 무선전력 수신장치(300)간 거리가 멀어지는 것을 의미할 수 있다.The intensity of the current measured by the
무선전력 송신장치(900)와 무선전력 수신장치(300)간의 근접거리는 상기 장치에 포함된 코일 사이의 거리를 의미할 수 있다.The proximity distance between the wireless
제어부(960) 는 측정된 전류의 세기에 기초하여, 무선전력 송신장치(900)와 무선전력 수신장치(300)간 떨어져 있는 거리인 근접거리를 확인할 수 있다(S203). 무선전력 송신장치(900)는 제어부(960)를 통해 측정된 전류의 세기에 기초하여, 무선전력 송신장치(900)와 무선전력 수신장치(300)간 떨어져 있는 거리인 근접거리를 확인할 수 있다. 일 실시 예에서 저장부(970)는 상기 측정된 전류의 세기 및 상기 근접 거리를 대응시켜 룩업테이블의 형태로 저장할 수 있고, 제어부(960)는 저장부(970)를 검색하여, 측정된 전류의 세기에 대응하는 근접 거리를 확인할 수 있다.The
제어부(960)는 확인된 근접 거리에 기초하여 전원 공급 장치(500)로부터 수신할 직류 전압을 결정한다(S205).The
일 실시 예에서 제어부(960)는 상기 확인된 근접 거리가 아닌 상기 측정된 전류의 세기에 기초하여 전원 공급 장치(500)로부터 수신할 직류 전압을 결정할 수도 있다. 이때, 단계(S203)은 생략될 수도 있다. 즉, 저장부(970)가 상기 측정된 전류의 세기 및 무선전력 송신장치(900)가 수신할 직류 전압을 대응시켜 저장하고 있는 경우, 제어부(960)는 저장부(970)를 검색하여 측정된 전류의 세기에 대응하는 무선전력 송신장치(900)가 수신할 직류 전압을 결정할 수 있다.In one embodiment, the
또 다른 실시 예에서 저장부(970)는 전류 센싱부(930)가 측정한 전류의 세기, 무선전력 송신장치(900)와 무선전력 수신장치(300)간 근접 거리 및 전원 공급 장치(500)로부터 수신할 직류 전압을 대응시켜 저장하고 있을 수 있다.In another embodiment, the
무선전력 송신장치(900)는 상기 결정된 직류 전압에 기초한 전압 제어 신호를 전원 공급 장치(500)에 전송한다(S207). 일 실시 예에서 전압 제어 신호는 무선전력 송신장치(900)가 전원 공급 장치(500)로부터 상기 결정된 직류 전압을 수신하기 위해 전원 공급 장치(500)를 제어하는 신호일 수 있다.The wireless
일 실시 예에서 무선전력 송신장치(900)와 전원 공급 장치(500)는 전력선 통신(PLC: Power Line Communication) 방식을 사용하여 통신을 수행할 수 있다. 무선전력 송신장치(900)는 전원 공급 장치(500)에 전력선 통신을 이용하여 상기 전압 제어 신호를 전송할 수 있다. 전력선 통신은 전력을 공급하는 전력선을 매개체로 하여 데이터를 수백kHz에서 수십 MHz 이상의 고주파 신호에 실어 통신하는 기술을 말한다. 즉, 전력선 통신은 전용 통신 회선을 따로 설치하지 않고, 배선작업이 완료된 전력선을 이용하여 통신을 수행한다.In an embodiment, the wireless
이와 같이, 본 발명의 실시 예에 따라 전력선 통신을 이용하여 전압 제어 신호를 전송할 경우, 별도로 전압 제어 신호를 전송할 전력선이 필요하지 않아, 비용절감의 효과를 얻을 수 있다. 즉, 본 발명의 실시 예에 따르면, 전원 공급 장치(500)와 무선전력 송신장치(900)간 전력을 전달하는 매개체인 전력선을 이용하여 상기 전압 제어 신호를 송수신하기 때문에 별도의 전력선을 필요로 하지 않는다.In this way, according to the embodiment of the present invention, when a voltage control signal is transmitted using power line communication, a power line for transmitting a voltage control signal is not required, thereby achieving cost reduction effect. That is, according to the embodiment of the present invention, since the voltage control signal is transmitted and received using the power line, which is an intermediary for transferring power between the
또한, 본 발명의 실시 예에 따르면, 직류 전압을 소정의 전압으로 변환하는 직류 직류 변환기(DC-DC converter) 없이, 전원 공급 장치(500)로부터 수신하는 직류 전압을 전력선 통신을 이용해 조절할 수 있어 무선전력 송신장치(900)의 제조 비용을 크게 절감시킬 수 있다.Also, according to the embodiment of the present invention, the DC voltage received from the
무선전력 송신장치(900)가 전원 공급 장치(500)에 전압 제어 신호를 전송하는 과정에서, 직류 차단부(980)는 제어부(960)에 인가되는 직류 신호를 차단할 수 있다. 무선전력 송신장치(900)는 전원 공급 장치(500)로부터 직류 전압을 수신하는데, 직류 전압이 제어부(960)에 인가되는 경우, 제어부(960)가 손상될 수 있으므로, 직류 차단부(980)는 직류 전압을 차단하여, 제어부(960)를 보호할 수 있다.The
일 실시 예에서 직류 차단부(980)는 커패시터로 구성될 수 있다. 커패시터의 임피던스는 Xc=1/2ㅠfC로 표현될 수 있다. 커패시터에 직류 신호가 인가되면(주파수가 f=0), 그 임피던스가 무한대가 되어, 직류 신호가 차단될 수 있다.In one embodiment, the
무선전력 송신장치(900)가 전원 공급 장치(500)에 전송하는 전압 제어 신호는 교류 신호이므로, 제어부(960)는 직류 차단부(980)와 상관없이 전압 제어 신호를 전원 공급 장치(500)에 전송할 수 있다.Since the voltage control signal transmitted from the wireless
전원 공급 장치(500)는 무선전력 송신장치(900)로부터 전압 제어 신호를 수신하여 수신된 전압 제어 신호에 따라 무선전력 송신장치(900)로 전송할 직류 전압을 출력하기 위한 전압 조절 신호를 생성한다(S209). 전원 공급 장치(500)는 제어부(520)를 통해 무선전력 송신장치(900)로 전송할 직류 전압을 출력하기 위한 전압 조절 신호를 생성할 수 있다. 제어부(520)는 상기 전압 조절 신호를 교류 직류 변환기(510)에 전송할 수 있다.The
전원 공급 장치(500)가 무선전력 송신장치(900)로부터 전압 제어 신호를 수신하는 과정에서, 전원 공급 장치(500)의 직류 차단부(530)는 제어부(520)로 인가되는 직류 신호를 차단할 수 있다. 전원 공급 장치(500)의 교류 직류 변환기(510)는 무선전력 송신장치(900)로 직류 전압을 전송하는데, 직류 전압이 제어부(520)로 인가되는 경우, 제어부(520)가 손상될 수 있으므로, 직류 차단부(530)는 직류 전압을 차단하여 제어부(520)를 보호할 수 있다.In the process of receiving the voltage control signal from the
일 실시 예에서 직류 차단부(530)는 커패시터로 구성될 수 있다. 커패시터의 임피던스는 Xc=1/2ㅠfC로 표현될 수 있다. 커패시터에 직류 신호가 인가되면(주파수가 f=0), 그 임피던스가 무한대가 되어, 직류 신호가 차단될 수 있다.In one embodiment, the
전원 공급 장치(500)는 제어부(520)로부터 전압 조절 신호를 수신하여 직류 전압을 조절한다(S211). 전원 공급 장치(500)는 교류 직류 변환기(510)를 통해 전압 조절 신호를 수신하여 무선전력 송신장치(200)에 전송할 직류 전압을 조절할 수 있다. 교류 직류 변환기(510)는 전압 조절 신호에 기초하여 외부에서 인가된 교류 전압을 소정의 직류 전압으로 변환하여 출력할 수 있다.The
전원 공급 장치(500)는 조절된 직류 전압을 무선전력 송신장치(200)에 전송한다(S113). 전원 공급 장치(500)는 교류 직류 변환기(510)를 통해 조절된 직류 전압을 무선전력 송신장치(900)에 전송할 수 있다.The
교류 전력 생성부(950)는 발진기(940)로부터 수신한 일정한 주파수를 갖는 교류 신호에 기초하여 상기 수신된 직류 전력을 교류 전력으로 변환한다(S215).The AC
교류 전력 생성부(950)는 출력된 교류 전력을 송신부(910)에 전달한다(S217).The AC
송신부(910)에 전달된 교류 전력은 공진에 의해 무선전력 수신장치(300)로 전송될 수 있다.The AC power transmitted to the transmitting
이와 같이, 본 발명의 실시 예에 따르면, 무선전력 송신장치와 무선전력 수신장치 간 전력 전송 환경에 따라 전원 공급 장치에서 제공하는 전력을 제어할 수 있어, 별도의 직류 직류 변환기가 필요하지 않게 된다. 이로 인해, 무선전력 송신장치의 제조 비용을 크게 절감되는 효과를 얻을 수 있다.
As described above, according to the embodiment of the present invention, the power provided by the power supply device can be controlled according to the power transmission environment between the wireless power transmission device and the wireless power reception device, and a separate DC-DC converter is not required. As a result, the manufacturing cost of the wireless power transmitting apparatus can be greatly reduced.
다음으로 도 11 내지 도 12를 참고하여, 본 발명의 또 다른 실시 예에 따른 전력 제어 방법을 도 1 내지 도 8의 내용과 결부시켜 설명한다. 도 11 내지 도 12는 도 3의 단계(S113)의 송신 전력을 제어하기 위한 방법에 관한 내용이다.Next, a power control method according to another embodiment of the present invention will be described with reference to Figs. 1 to 8, with reference to Figs. 11 to 12. Fig. 11 to 12 show contents of a method for controlling the transmission power in step S113 of FIG.
도 11은 본 발명의 또 다른 실시 예에 따른 전력 제어 방법을 설명하기 위한 흐름도이고, 도 12는 제1 출력 전압이 교류 전력 생성부에 인가 시 측정되는 전류 값, 결합계수, 제2 출력 전압, 적정 전류 범위를 대응시킨 룩업 테이블을 설명하기 위한 도면이다.FIG. 11 is a flowchart for explaining a power control method according to another embodiment of the present invention. FIG. 12 is a graph illustrating a current value, a coupling coefficient, a second output voltage, Up table to which the appropriate current range is associated.
무선전력 송신장치(200)에 대한 설명은 도 1에서 설명한 것과 같고, 이 경우, 무선전력 송신장치(200)는 전력 공급 장치(100)의 구성을 모두 포함하는 것으로 가정한다.The description of the wireless
먼저, 제어부(180)는 교류 전력 생성부(160)에 인가되는 전압이 제1 출력 전압으로 조절 되도록 직류 직류 변환기(130)를 제어한다(S301). 여기서, 제1 출력 전압은 미리 정해진 직류전압을 의미할 수 있다.First, the
그 후, 전류 센서부(140)는 직류 직류 변환기(130)에서 출력된 직류전압이 교류 전력 생성부(160)에 인가될 때, 교류 전력 생성부(160)에 인가되는 전류의 세기를 측정할 수 있다(S303). 교류 전력 생성부(160)에 인가되는 전류의 세기는 무선전력 송신장치(200)와 무선전력 수신장치(300) 간 전력 전송 상태에 따라 가변될 수 있다. 일 실시 예에서 전력 전송 상태는 무선전력 송신장치(200)와 무선전력 수신장치(300) 간의 거리, 방향에 대한 것을 의미할 수 있다. 즉, 전력 전송 상태는 무선전력 송신장치(200)와 무선전력 수신장치(300)간 결합 상태를 의미할 수 있다.Thereafter, the
본 발명에서 결합 상태라 함은 무선전력 송신장치(200)와 무선전력 수신장치(300) 간의 거리, 위치 관계 등에 의한 송신 코일과 수신 코일 간의 결합계수와 연관되는 지표를 통칭할 수 있다. 즉, 본 발명에서 결합 상태라 함은 무선전력 송신장치(200)에 흐르는 전류량, 무선전력 송신장치(200)의 입력 임피던스 등의 결합계수와 연관된 모든 지표를 통칭할 수 있다.In the present invention, the combined state can be collectively referred to as an index related to a coupling coefficient between the transmitting coil and the receiving coil due to a distance, a positional relationship, etc. between the wireless
일 실시 예에서 전력 전송 상태는 무선전력 수신장치(300)의 전력 수신 상태에 대한 정보를 의미할 수 있다.In one embodiment, the power transmission state may refer to information on the power reception state of the wireless
또한, 교류 전력 생성부(160)에 인가되는 전류의 세기는 무선전력 송신장치(200)의 송신 공진 코일부(212) 및 수신 공진 코일부(311) 간 결합계수와 연관될 수 있다. 결합계수는 송신 공진 코일부(212) 및 수신 공진 코일부(311) 간 전자기적 결합의 정도를 의미하는 것으로 0에서 1까지의 범위를 갖는다.The intensity of the current applied to the AC
한편, 제어부(180)는 측정된 전류의 세기가 임계 치 이상인지 확인한다(S305). 일 실시 예에서 임계 치는 100mA일 수 있으나, 이는 예시에 불과하다. 임계 치는 무선전력 수신장치(300)가 검출되기에 필요한 최소의 전류 값을 의미할 수 있다. 즉, 상기 측정된 전류의 세기가 임계 치 이상이 되면, 무선전력 수신장치(300)가 검출된 것으로 볼 수 있고, 상기 측정된 전류의 세기가 임계 치 미만이 되면, 무선전력 수신장치(300)가 검출되지 않은 것으로 볼 수 있다.Meanwhile, the
만약, 측정된 전류의 세기가 임계 치 이상인 경우, 제어부(180)는 측정된 전류의 세기에 대응하는 제2 출력 전압을 결정한다(S307). 제어부(180)는 교류 전력 생성부(160)에 인가되는 전류의 세기에 대응하는 직류전압을 저장부(170)에서 검색하여 제2 출력 전압을 결정할 수 있다. 일 실시 예에서 제2 출력 전압은 검출된 무선전력 수신장치(300)에 전력을 전송하기에 필요한 전압을 의미할 수 있다.If the measured current intensity is equal to or greater than the threshold value, the
그 후, 제어부(180)는 결정된 제2 출력 전압이 교류 전력 생성부(160)에 인가되도록 직류 직류 변환기(130)를 제어한다(S309). 직류 직류 변환기(130)는 제어부(180)의 제어에 의해 제2 출력 전압을 출력하여 교류 전력 생성부(160)에 전달한다.Thereafter, the
그 후, 전류 센서(270)는 다시 교류 전력 생성부(160)에 인가되는 전류의 세기를 측정한다(S111).Thereafter, the current sensor 270 again measures the intensity of the current applied to the AC power generating unit 160 (S111).
그 후, 제어부(180)는 측정된 전류의 세기가 적정 전류 범위에 해당하는지 확인할 수 있다(S313). 여기서, 적정 전류 범위는 교류 전력 생성부(160)에 제2 출력 전압이 인가 시 제2 출력 전압에 대응하는 전류 범위를 의미할 수 있다. 적정 전류 범위는 제2 출력 전압이 증가함에 따라 그 값의 범위도 증가할 수 있고, 제2 출력 전압이 감소함에 따라 그 값의 범위도 감소할 수 있다.Thereafter, the
제어부(180)는 제2 출력 전압에 대응하는 적정 전류 범위를 저장부(170)에서 검색하고, 측정된 전류의 세기가 적정 전류 범위에 해당하는지 확인할 수 있다.The
만약, 측정된 전류의 세기가 적정 전류 범위에 해당하는 경우, 제어부(180)는 일정시간을 대기하고(S315), 단계(S311)로 돌아간다. 즉, 제어부(180)는 교류 전력 생성부(160)에 인가되는 전류의 세기를 측정하여 측정된 전류의 세기가 교류 전력 생성부(160)에 인가되는 제2 출력 전압에 대응하는지를 주기적으로 확인할 수 있다.If the intensity of the measured current corresponds to the appropriate current range, the
한편, 단계(S105)에서 측정된 전류의 세기가 임계 치 미만인 경우, 제어부(180)는 직류 직류 변환기(130)를 제어하여 제1 출력 전압이 0V가 되도록 조절한다(S317).On the other hand, if the intensity of the current measured in step S105 is less than the threshold value, the
즉, 측정된 전류의 세기가 임계 치 미만인 경우, 제어부(180)는 무선전력 수신장치(300)를 검출하지 않은 것으로 판단하여 제1 출력 전압이 0V가 되도록 조절한다. 교류 전력 생성부(160)에 인가되는 전압이 0V가 되면, 무선전력 송신장치(200)는 무선전력 수신장치(300)에 전력을 송신하지 않는다.That is, when the measured current intensity is less than the threshold value, the
이에 따라, 무선전력 수신장치(300)가 검출되지 않는 경우, 무선전력 송신장치(200)는 무의미한 전력 손실을 방지할 수 있다.Accordingly, when the wireless
한편, 제1 출력 전압이 0V가 되도록 조절된 경우, 제어부(180)는 0.1초를 대기한다(S319). 여기서, 0.1초는 예시에 불과하다.On the other hand, if the first output voltage is adjusted to be 0V, the
0.1초가 경과되면, 단계(S301)로 돌아가 제어부(180)는 교류 전력 생성부(160)에 인가되는 직류전압이 제1 출력 전압이 되도록 조절한다.After 0.1 second elapses, the
한편, 단계(S313)에서 측정된 전류의 세기가 적정 전류 범위에 해당하지 않는 경우, 단계(S307)로 돌아간다. 즉, 제어부(180)는 단계(S113)에서 측정된 전류의 세기에 대응한 제2 출력 전압이 교류 전력 생성부(160)에 인가되도록 직류 직류 변환기(130)를 제어할 수 있다. 단계(S313)에서 측정된 전류의 세기는 무선전력 수신장치(300)의 전력 수신 상태를 의미할 수 있다.On the other hand, if the intensity of the current measured in step S313 does not correspond to the appropriate current range, the process returns to step S307. That is, the
일 예로, 단계(S313)에서 측정된 전류의 세기가 적정 전류 범위보다 낮게 측정되는 경우, 무선전력 송신장치(200)와 무선전력 수신장치(300)간 거리가 더 가까워진 것으로 보고, 제어부(180)는 무선전력 수신장치(300)에 전송하는 송신 전력량을 줄이도록 한 단계 더 낮은 직류전압이 교류 전력 생성부(160)에 인가되도록 직류 직류 변환기(130)를 제어할 수 있다.The
이와 같이, 본 발명의 실시 예에 따른 전력 제어 방법에 따르면, 교류 전력 생성부(160)에 인가되는 전류의 세기를 통해 무선전력 수신장치(300)의 전력 수신 상황을 파악하여 그에 대응한 전력을 전송하도록 송신 전력량을 조절할 수 있다. 이로 인해, 전력 전송 효율이 극대화되고, 전력 손실량을 줄일 수 있는 효과가 있다.As described above, according to the power control method according to the embodiment of the present invention, the power reception state of the wireless
도 12는 제1 출력 전압이 교류 전력 생성부(160)에 인가 시 측정되는 전류 값, 결합계수, 제2 출력 전압, 적정 전류 범위를 대응시킨 룩업 테이블을 설명하기 위한 도면이다.12 is a view for explaining a look-up table in which a first output voltage corresponds to a current value, a coupling coefficient, a second output voltage, and a proper current range, which are measured when the first output voltage is applied to the AC
저장부(170)에는 도 12의 룩업 테이블이 저장되어 있다.The
교류 전력 생성부(160)에 제1 출력 전압이 인가 시 전류 센서부(140)에 측정되는 전류가 100mA 이상인 경우, 무선전력 수신장치(300)가 검출된 것으로 볼 수 있다.When the current measured by the
제1 출력 전압은 12V일 수 있으나, 이는 예시에 불과하다.The first output voltage may be 12V, but this is only an example.
만약, 교류 전력 생성부(160)에 제1 출력 전압이 인가 시 전류 센서부(140)에 측정되는 전류가 120mA 인 경우, 무선전력 송신장치(200)의 송신 공진 코일부(212)과 무선전력 수신장치(300)의 수신 공진 코일부(311)의 결합계수는 0.05에 해당한다. 이 경우, 제어부(180)는 무선전력 수신장치(300)가 무선전력 송신장치(200)로부터 멀리 떨어져 있는 것으로 판단하고, 교류 전력 생성부(160)에 인가되는 직류전압을 28V(제2 출력 전압)가 되도록 직류 직류 변환기(130)를 제어한다.If the current measured by the
그 후, 교류 전력 생성부(160)에 인가되는 직류전압이 28V로 유지되는 경우, 제어부(180)는 교류 전력 생성부(160)에 인가되는 전류가 적정 전류 범위(751~800mA)를 만족하는지 확인한다.Thereafter, when the DC voltage applied to the AC
만약, 교류 전력 생성부(160)에 인가되는 전류가 적정 전류 범위를 벗어나는 경우, 제1 출력 전압(12V)를 교류 전력 생성부(160)에 인가하여 전류를 측정한다. 측정된 전류 값이 180mA 인 경우, 제어부(180)는 120mA 경우보다 무선전력 송신장치(200)와 무선전력 수신장치(300) 간 거리가 더 가까워 진 것으로 판단하고, 제2 출력 전압을 26V로 조절한다.If the current applied to the AC
위 예에서는 무선전력 송신장치(200)와 무선전력 수신장치(300) 간 거리를 전류의 세기와 연관지어 설명하였지만, 이외에도 무선전력 송신장치(200)와 무선전력 수신장치(300)가 놓여있는 방향 등 다양한 전력 전송 상태가 고려될 수 있다.In the above example, the distance between the wireless
이와 같이 무선전력 송신장치(200)는 무선전력 수신장치(300)와의 거리, 방향 등 다양한 전력 전송 상태를 고려하여 무선전력 수신장치(300)에 전달하는 전력을 조절함으로써, 전력 전송 효율을 극대화시킬 수 있고, 전력 손실을 방지할 수 있다.In this way, the wireless
다음으로 도 13 내지 도 15를 참조하여, 본 발명의 또 다른 실시 예에 따른 결합계수 검출방법을 도 1 내지 도 3의 내용에 결부시켜 설명한다.Next, with reference to FIGS. 13 to 15, a method of detecting a coupling coefficient according to another embodiment of the present invention will be described with reference to FIGS. 1 to 3. FIG.
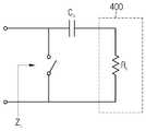
도 13은 본 발명의 또 다른 실시 예에 따른 결합계수의 검출 방법을 설명하기 위한 흐름도이고, 도 14는 출력 임피던스(ZL)를 가변시키기 위해 스위치(SW)를 개방시킨 경우를 설명하기 위한 도면이고, 도 15는 출력 임피던스(ZL)를 가변시키기 위해 스위치(SW)를 단락시킨 경우를 설명하기 위한 도면이다.FIG. 13 is a flowchart for explaining a method of detecting a coupling coefficient according to another embodiment of the present invention. FIG. 14 is a diagram for explaining a case where the switch SW is opened to vary the output impedance ZL And Fig. 15 is a diagram for explaining a case where the switch SW is short-circuited to vary the output impedance ZL.
먼저, 도 13을 참조하여 본 발명의 또 다른 실시 예에 따른 결합계수 검출 방법에 대해 설명한다.First, a method of detecting a coupling coefficient according to another embodiment of the present invention will be described with reference to FIG.
먼저, 무선전력 수신장치(300)는 출력 임피던스를 가변시킨다(S401). 출력 임피던스(ZL)는 수신부(310)에서 부하(400)를 바라보았을 때, 측정되는 임피던스 일 수 있다. 무선전력 수신장치(300)는 스위치(SW)를 포함할 수 있고, 스위치(SW)를 통해 출력 임피던스를 가변시킬 수 있다. 스위치(SW)의 일단은 커패시터(C4)와 연결되고, 타단은 부하(400)의 일단에 연결된다. 캐피시터(C4)의 타단은 부하(400)의 일단과 연결된다.First, the wireless
도 14를 참조하면, 무선전력 수신장치(300)는 스위치(SW)에 개방신호를 전송하여 스위치(SW)를 개방시킬 수 있다. 스위치(SW)가 개방되면, 출력 임피던스(ZL)는 다음의 [수학식 25]와 같이 표현될 수 있다.Referring to FIG. 14, the wireless
[수학식 25]&Quot; (25) "
[수학식 1], [수학식 3], [수학식 5]에서 R2, R3를 아주 작은 값을 가지는 것으로 가정하여 0옴으로 두고, 송신 유도 코일(L1)과 캐패시터(C1), 송신 공진 코일(L2)과 캐패시터(C2), 수신 공진 코일(L3)과 캐패시터(C3) 및 수신 유도 코일(L4)과 캐패시터(C4)가 모두 공진주파수(w)에서 공진하도록 값을 정하면 [수학식 5]의 제1 입력 임피던스(Z1)은 [수학식 26]과 같이 정리될 수 있다.It is assumed that R2 and R3 have very small values in the following equations (1), (3) and (5) (5) If the value is determined so that the resonance frequency (L2) and the capacitor (C2), the reception resonance coil (L3), the capacitor (C3) and the reception induction coil (L4) The first input impedance Z1 of the first input impedance Z1 can be expressed by Equation (26).
[수학식 26]&Quot; (26) "
또한, [수학식 2], [수학식 4], [수학식 6]을 이용하면, [수학식 26]은 다음의 [수학식 27]과 같이 정리될 수 있다.Using Equation (2), Equation (4), and Equation (6), Equation (26) can be summarized as Equation (27).
[수학식 27]&Quot; (27) "
수신 유도 코일(L4)과 캐패시터(C4)가 공진주파수(w)에서 공진하도록 값을 정하고, [수학식 27]에 [수학식 25]의 출력 임피던스(ZL)을 대입하면, 제1 입력 임피던스(Z1)은 다음의 [수학식 28]과 같이 정리된다.If the value is determined so that the reception induction coil L4 and the capacitor C4 resonate at the resonance frequency w and the output impedance ZL of the expression (25) is substituted into the expression (27), the first input impedance Z1) is summarized as the following equation (28).
[수학식 28]&Quot; (28) "
도 15를 참조하면, 무선전력 수신장치(300)는 스위치(SW)에 단락신호를 전송하여 스위치(SW)를 단락시킬 수 있다. 스위치(SW)가 단락되면, 출력 임피던스(ZL)는 0이 되고, 제1 입력 임피던스(Z1)은 다음의 [수학식 29]와 같이 정리된다.Referring to FIG. 15, the wireless
[수학식 29]&Quot; (29) "
무선전력 수신장치(300)는 스위치(SW)에 제어신호를 인가하여 스위치(SW)를 일정 주기로 일정 시간 동안 단락시킬 수 있다. 일정 주기는 1초 일 수 있고, 일정 시간은 100us일 수 있으나, 이는 예시에 불과하다.The wireless
그 후, 검출부(220)는 입력 임피던스를 측정한다(S403). 일 실시 예에서 검출부(220)는 전력 공급 장치(100)에서 무선전력 송신장치(200)로 입력되는 전류와 전압을 이용하여 제1 입력 임피던스(Z1)를 측정할 수 있다.Thereafter, the
그 후, 검출부(220)는 측정된 입력 임피던스를 이용하여 송신부(210)의 송신 공진 코일(L2)과 수신부(310)의 수신 공진 코일(L3)간 결합계수를 검출할 수 있다(S405). 즉, [수학식 29] 및 [수학식 30]을 참조하면, 결합계수(K2)를 제외한 다른 변수는 모두 고정된 값이므로, 제1 입력 임피던스(Z1)을 측정하면, 결합계수(K2)가 검출될 수 있다.Thereafter, the
다음으로 도 16 내지 도 17을 참조하여, 본 발명의 또 다른 실시 예에 따른 전력 제어 방법에 대해 설명한다.Next, a power control method according to another embodiment of the present invention will be described with reference to FIGS. 16 to 17. FIG.
도 16은 본 발명의 또 다른 실시 예에 따른 전력 제어 방법을 설명하기 위한 흐름도이고, 도 17은 도 16의 실시 예에 따른 전력 제어 방법에 사용되는 룩업테이블을 설명하기 위한 도면이다.FIG. 16 is a flowchart for explaining a power control method according to another embodiment of the present invention, and FIG. 17 is a view for explaining a lookup table used in the power control method according to the embodiment of FIG.
먼저, 도 16을 참조하면, 무선전력 송신장치(200)는 입력 임피던스를 측정한다(S501).16, the wireless
검출부(220)는 측정된 입력 임피던스를 이용하여 송신 공진 코일부(212)와 수신 공진 코일부(311)간의 결합계수를 검출한다(S503). 결합계수를 검출하는 방법은 도 3 및 도 13에서 설명한 것과 같으므로, 자세한 내용은 생략한다.The
무선전력 송신장치(200)는 검출된 결합계수에 대응하는 송신 전력을 검색한다(S505). 무선전력 송신장치(200)의 저장부(170)는 결합계수에 따라 송신 전력을 대응시켜 놓은 룩업 테이블을 저장하고 있고, 무선전력 송신장치(200)는 저장부(170)를 검색하여, 검출된 결합계수에 대응된 송신 전력을 찾는다.The wireless
상기 룩업 테이블은 도 17을 참조하여 설명한다.The look-up table will be described with reference to FIG.
도 17을 참조하면, 거리, 입력 테스트 전류, 결합계수, 부하 임피던스, 수신 전력, 전력 전송 효율 및 송신 전력이 대응되어 있는 룩업테이블을 확인할 수 있다.Referring to FIG. 17, a lookup table to which the distance, the input test current, the coupling coefficient, the load impedance, the received power, the power transmission efficiency, and the transmission power correspond can be confirmed.
여기서, 거리는 무선전력 송신장치(200)와 무선전력 수신장치(300)간의 거리를 의미할 수 있고, 구체적으로, 무선전력 송신장치(200)와 무선전력 수신장치(300)간의 거리는 도 2에서 도시한 송신 공진 코일부(212)와 수신 공진 코일부(311)간의 거리일 수 있다. 도 17을 참조하면, 거리가 멀어짐에 따라 결합계수가 감소함을 확인할 수 있다.The distance between the wireless
입력 테스트 전류는 무선전력 송신장치(200)에 인가되는 전류이다.The input test current is the current applied to the wireless
전력 전송 효율은 무선전력 송신장치(200)와 무선전력 수신장치(300)간 또는 무선전력 송신장치(200)와 부하(400)간 전력 전송 효율을 의미한다.The power transmission efficiency means the power transmission efficiency between the wireless
부하 임피던스는 최대의 전력 전송 효율을 얻기 위해 부하(400)가 가져야 하는 임피던스를 의미한다. 부하 임피던스와 결합계수의 관계는 도 4에서 도시한 그래프의 경향과 같음을 확인할 수 있다.The load impedance means an impedance that the
수신 전력은 부하(400)가 수신하는 전력으로, 결합계수와 대응하여 최대의 전력 전송 효율을 얻기 위해 부하(400)가 수신해야 하는 전력을 나타낸다.The received power is the power received by the
송신 전력은 최대의 전력 전송 효율을 얻기 위해 무선전력 송신장치(200)가 무선전력 수신장치(300)에 전송해야 하는 전력이다.The transmission power is the power that the wireless
무선전력 송신장치(200)는 검출된 결합계수에 대응하는 송신 전력을 상기 룩업테이블을 통해 검색할 수 있다.The wireless
무선전력 송신장치(200)는 검색에 의해 얻어진 송신 전력을 부하(400)에 전송하기 위한 송신 전력으로 결정한다(S507). 즉, 무선전력 송신장치(200)는 최대의 전력 전송 효율을 얻기 위해 검출된 결합계수에 대응하는 송신 전력을 결정할 수 있다.The wireless
무선전력 송신장치(200)는 결정된 송신 전력을 부하(400)에 전송하기 위해 송신 전력을 제어한다(S509). 일 실시 예에서 무선전력 송신장치(200)는 전력 공급 장치(100)에 전원을 공급하는 전원 공급 장치(500)를 제어하여 송신 전력을 제어하는 방법이 사용될 수 있고, 이에 대해서는 도 9 및 도 10에서 설명한 것과 같다.The wireless
또 다른 실시 예에서 무선전력 송신장치(200)는 무선전력 송신장치(200)의 내부에 흐르는 전류를 측정하여 송신 전력을 제어할 수 있다. 이에 대해서는 도 11 및 도 12에서 설명한 것과 같다.In another embodiment, the wireless
본 발명의 또 다른 실시 예에 따른 전력 제어 방법은 결합계수 검출 및 저장부의 검색 과정을 통해 송신 전력을 결정할 수 있으므로, 부품의 구성이 간단해지고, 전력 제어 과정이 단순해지는 장점이 있다.The power control method according to another embodiment of the present invention is advantageous in that the configuration of components can be simplified and the power control process can be simplified since the transmission power can be determined through the detection process of the coupling coefficient and the storage unit.
상술한 본 발명의 실시 예에 따른 전력 제어 방법은 컴퓨터에서 실행되기 위한 프로그램으로 제작되어 컴퓨터가 읽을 수 있는 기록 매체에 저장될 수 있으며, 컴퓨터가 읽을 수 있는 기록 매체의 예로는 ROM, RAM, CD-ROM, 자기 테이프, 플로피디스크, 광 데이터 저장장치 등이 있으며, 또한 캐리어 웨이브(예를 들어 인터넷을 통한 전송)의 형태로 구현되는 것도 포함한다.The power control method according to an embodiment of the present invention may be stored in a computer-readable recording medium. The computer-readable recording medium may be a ROM, a RAM, a CD -ROM, a magnetic tape, a floppy disk, an optical data storage device, and the like, and may also be implemented in the form of a carrier wave (for example, transmission over the Internet).
컴퓨터가 읽을 수 있는 기록 매체는 네트워크로 연결된 컴퓨터 시스템에 분산되어, 분산방식으로 컴퓨터가 읽을 수 있는 코드가 저장되고 실행될 수 있다. 그리고, 상기 방법을 구현하기 위한 기능적인(function) 프로그램, 코드 및 코드 세그먼트들은 본 발명이 속하는 기술분야의 프로그래머들에 의해 용이하게 추론될 수 있다.The computer readable recording medium may be distributed over a networked computer system so that computer readable code can be stored and executed in a distributed manner. And, functional programs, codes and code segments for implementing the above method can be easily inferred by programmers of the technical field to which the present invention belongs.
또한, 이상에서는 본 발명의 바람직한 실시 예에 대하여 도시하고 설명하였지만, 본 발명은 상술한 특정의 실시 예에 한정되지 아니하며, 청구범위에서 청구하는 본 발명의 요지를 벗어남이 없이 당해 발명이 속하는 기술분야에서 통상의 지식을 가진 자에 의해 다양한 변형 실시가 가능한 것은 물론이고, 이러한 변형 실시들은 본 발명의 기술적 사상이나 전망으로부터 개별적으로 이해 되어서는 안될 것이다.While the present invention has been particularly shown and described with reference to exemplary embodiments thereof, it is to be understood that the invention is not limited to the disclosed exemplary embodiments, but, on the contrary, It should be understood that various modifications may be made by those skilled in the art without departing from the spirit and scope of the present invention.
100: 전력 공급 장치
200: 무선전력 송신장치
210: 송신부
211: 송신 유도 코일부
212: 송신 공진 코일부
220: 검출부
300: 무선전력 수신장치
310: 수신부
311: 수신 공진 코일부
312: 수신 유도 코일부
320: 정류부
400: 부하
500: 전원 공급 장치100: power supply
200: Wireless power transmitting device
210:
211: part of the transmission induction coil
212: transmission resonance coil part
220:
300: Wireless power receiving device
310:
311: receiving resonance coil part
312: reception induction coil part
320: rectifying part
400: Load
500: Power supply
| Application Number | Priority Date | Filing Date | Title |
|---|---|---|---|
| KR1020140035995AKR20140057506A (en) | 2014-03-27 | 2014-03-27 | Apparatus for transmitting wireless power and method for controlling power thereof |
| Application Number | Priority Date | Filing Date | Title |
|---|---|---|---|
| KR1020140035995AKR20140057506A (en) | 2014-03-27 | 2014-03-27 | Apparatus for transmitting wireless power and method for controlling power thereof |
| Application Number | Title | Priority Date | Filing Date |
|---|---|---|---|
| KR1020120107450ADivisionKR101601352B1 (en) | 2012-09-26 | 2012-09-26 | Apparatus for transmitting wireless power and method for controlling power thereof |
| Application Number | Title | Priority Date | Filing Date |
|---|---|---|---|
| KR1020180082804ADivisionKR101993230B1 (en) | 2018-07-17 | 2018-07-17 | Apparatus for transmitting wireless power and method for controlling power thereof |
| Publication Number | Publication Date |
|---|---|
| KR20140057506Atrue KR20140057506A (en) | 2014-05-13 |
| Application Number | Title | Priority Date | Filing Date |
|---|---|---|---|
| KR1020140035995ACeasedKR20140057506A (en) | 2014-03-27 | 2014-03-27 | Apparatus for transmitting wireless power and method for controlling power thereof |
| Country | Link |
|---|---|
| KR (1) | KR20140057506A (en) |
| Publication number | Priority date | Publication date | Assignee | Title |
|---|---|---|---|---|
| KR20160019258A (en)* | 2014-08-11 | 2016-02-19 | 경북대학교 산학협력단 | The wireless system transferring electric power to organ transplanted to human, the transplanted organ transferred electric power on wireless medium and the method transferring electric power to organ transplanted to human |
| KR20160031151A (en)* | 2014-09-12 | 2016-03-22 | 삼성전기주식회사 | Non-contact type power charging apparatus, non-contact type battery apparatus and non-contact type power transmission method |
| WO2016073867A1 (en)* | 2014-11-07 | 2016-05-12 | Murata Manufacturing Co., Ltd. | Variable-distance wireless-power-transfer system with fixed tuning and power limiting |
| KR20170025015A (en)* | 2015-08-27 | 2017-03-08 | 현대자동차주식회사 | An apparatus and method for performing wireless charging in vehicle |
| KR20190094933A (en)* | 2018-02-06 | 2019-08-14 | 삼성전자주식회사 | Wireless power transmission apparatus and wireless power transmission method thereof |
| Publication number | Priority date | Publication date | Assignee | Title |
|---|---|---|---|---|
| KR20160019258A (en)* | 2014-08-11 | 2016-02-19 | 경북대학교 산학협력단 | The wireless system transferring electric power to organ transplanted to human, the transplanted organ transferred electric power on wireless medium and the method transferring electric power to organ transplanted to human |
| KR20160031151A (en)* | 2014-09-12 | 2016-03-22 | 삼성전기주식회사 | Non-contact type power charging apparatus, non-contact type battery apparatus and non-contact type power transmission method |
| WO2016073867A1 (en)* | 2014-11-07 | 2016-05-12 | Murata Manufacturing Co., Ltd. | Variable-distance wireless-power-transfer system with fixed tuning and power limiting |
| JP2017532944A (en)* | 2014-11-07 | 2017-11-02 | 株式会社村田製作所 | Variable distance wireless power supply system with fixed tuning and power limiting function |
| US10483810B2 (en) | 2014-11-07 | 2019-11-19 | Murata Manufacturing Co., Ltd. | Variable-distance wireless-power-transfer system with fixed tuning and power limiting |
| KR20170025015A (en)* | 2015-08-27 | 2017-03-08 | 현대자동차주식회사 | An apparatus and method for performing wireless charging in vehicle |
| KR20190094933A (en)* | 2018-02-06 | 2019-08-14 | 삼성전자주식회사 | Wireless power transmission apparatus and wireless power transmission method thereof |
| Publication | Publication Date | Title |
|---|---|---|
| KR101601352B1 (en) | Apparatus for transmitting wireless power and method for controlling power thereof | |
| KR101543059B1 (en) | Wireless power receiving device and power control method thereof | |
| KR101806592B1 (en) | Apparatus for transmitting wireless power and method for transmitting wireless power | |
| US9680336B2 (en) | Wireless power repeater and method thereof | |
| JP6247438B2 (en) | Wireless power transmitting apparatus, wireless power receiving apparatus, and power receiving method | |
| KR101438880B1 (en) | Apparatus for transmitting wireless power and method for transmitting wireless power | |
| KR20140057506A (en) | Apparatus for transmitting wireless power and method for controlling power thereof | |
| KR20120136214A (en) | A wireless power transmission apparatus and method thereof | |
| KR102128487B1 (en) | Apparatus for transmitting wireless power and method for controlling power thereof | |
| KR101993230B1 (en) | Apparatus for transmitting wireless power and method for controlling power thereof | |
| KR101428162B1 (en) | Apparatus for supplying power and apparatus for transmitting wireless power and method for detecting resonance frequency | |
| KR101822213B1 (en) | Apparatus for transmitting wireless power, apparatus for receiving wireless power, system for transmitting wireless power and method for transmitting wireless power | |
| KR101438883B1 (en) | Apparatus for supplying power and apparatus for transmitting wireless power and method for controlling power | |
| KR101428181B1 (en) | Apparatus for transmitting wireless power, apparatus for supplyinging power and method for power controlling thereof and apparatus for supplying power source and method for power controlling thereof | |
| KR20140077800A (en) | Wireless power transmitting apparatus and method | |
| KR101896944B1 (en) | Wireless power receiving device and power control method thereof | |
| KR102057999B1 (en) | Apparatus for receiving wireless power and method for controlling power thereof | |
| KR101875974B1 (en) | A wireless power transmission apparatus and method thereof | |
| KR20130102511A (en) | Apparatus for transmitting wireless power, apparatus for receiving wireless power, system for transmitting wireless power and method for transmitting wireless power | |
| KR101393852B1 (en) | Apparatus for supplying power and apparatus for transmitting wireless power and method for supplying power |
| Date | Code | Title | Description |
|---|---|---|---|
| A107 | Divisional application of patent | ||
| PA0107 | Divisional application | Comment text:Divisional Application of Patent Patent event date:20140327 Patent event code:PA01071R01D Filing date:20120926 Application number text:1020120107450 | |
| PG1501 | Laying open of application | ||
| A201 | Request for examination | ||
| PA0201 | Request for examination | Patent event code:PA02012R01D Patent event date:20170925 Comment text:Request for Examination of Application Patent event code:PA02011R04I Patent event date:20140327 Comment text:Divisional Application of Patent | |
| E902 | Notification of reason for refusal | ||
| PE0902 | Notice of grounds for rejection | Comment text:Notification of reason for refusal Patent event date:20171207 Patent event code:PE09021S01D | |
| E601 | Decision to refuse application | ||
| PE0601 | Decision on rejection of patent | Patent event date:20180620 Comment text:Decision to Refuse Application Patent event code:PE06012S01D Patent event date:20171207 Comment text:Notification of reason for refusal Patent event code:PE06011S01I | |
| A107 | Divisional application of patent | ||
| PA0107 | Divisional application | Comment text:Divisional Application of Patent Patent event date:20180717 Patent event code:PA01071R01D Filing date:20120926 Application number text:1020120107450 |