























본 발명은 차로 인식 방법 및 장치에 관한 것으로, 더욱 상세하게는 주행 차량이 입력받은 영상으로부터 도로 영역 및 기하학적 정보를 이용하여 도로 영역 내의 차선 및 차로를 인식하는 차로 인식 방법 및 장치에 관한 것이다.
The present invention relates to a method and apparatus for recognizing a lane, and more particularly, to a lane recognition method and apparatus for recognizing lanes and lanes in a road area by using road area and geometric information from an image input by a driving vehicle.
자동차가 현대 생활에 빠질 수 없는 수단이 되고, 이와 관련되어 발전하고 있는 IT기술을 적용한 IVS(Intelligent Vehicle System) 분야는 가장 주목받는 연구 분야가 되었다. 최근에 이 IVS 분야 가운데서도 차량 주변 상황을 차량에 설치한 센서 등에 의해 안전한 운전이 가능하도록 하는 지원시스템이 주목받고 있다. 특히 주행 중인 차량의 전면에서 일어나는 상황을 분석하는 것이 주류이지만, 실제 사고의 경우 차량의 전면보다 측,후면에서 일어나는 사고가 더 많은 것이 사실이다. The IVS (Intelligent Vehicle System) field, in which automobiles become an indispensable means of modern life and adopts advanced IT technology, has become the most noticeable research field. Recently, among the IVS fields, a support system for driving safely around a vehicle by a sensor installed in the vehicle has been attracting attention. In particular, it is mainstream to analyze the situation occurring in front of the driving vehicle, but in the case of an actual accident, more accidents occur at the side and rear than the front of the vehicle.
자동차 충돌사고 분석 및 통계 결과는 졸음운전이나 부주의한 운전으로 인한 단독 사고가 주류를 차지하고 있다. 그러나 단독 사고를 제외하면, 그 다음으로 차선변경 시 발생하는 충돌 사고가 가장 위협적인 사고 원인으로 나타난다. 미국 내 자동차 충돌 사고에 관한 분석 결과, 전체 고속도로의 충돌사고 가운데 약 8%가 차로 변경 과정에서 일어난다. 그리고 이와 같은 사고의 가장 큰 원인은 운전자의 상황 인식 착오이다. 사고를 줄이기 위해서는 차로 변경 시, 운전자가 주행 중인 차로뿐만 아니라 주위 차로의 주변 상황도 신속하고 정확하게 인식해야한다. 차로 변경의 경우, 현재 운전자가 주행 중인 차로와 변경할 차로의 상대적인 위치 정보가 가장 기본이 된다. 그리고 인식된 차로를 기준으로 각 차로에서의 차량유무 및 속도와 같은 상황 또한 인식해야 한다.Car crash accident analysis and statistical results are mainly dominated by drowsy driving or careless driving. However, with the exception of single accidents, the next most likely crash is a crash. Analysis of car crashes in the United States shows that about 8% of all highway crashes occur during lane changes. The biggest cause of such accidents is the driver's situational awareness and error. In order to reduce accidents, when changing lanes, the driver must be aware of the surrounding lane as well as the driving lane. In the case of a lane change, the basic position is the relative position information of the lane in which the driver is currently driving and the lane to be changed. In addition, based on the recognized lanes, situations such as vehicle presence and speed in each lane should also be recognized.
종래에는 색상 정보와 검출된 에지의 각도를 이용하여 차선 특징을 정의하고 확률 모델을 사용하여 차선 경계선을 검출하였고, 원근법에 의한 소실점(Vanishing Point)과 같은 기하학적 특징을 이용하여 차선 경계선을 인식하였다. 그러나 이와 같은 종래기술은 낱개의 차선 자체가 가지고 있는 특징을 고려하지 않기 때문에 차선표시를 정확하게 검출하는 것이 불가능한 문제점이 있었다.
Conventionally, lane characteristics are defined using color information and detected edge angles, lane boundaries are detected using a probability model, and lane boundaries are recognized using geometric features such as vanishing points by perspective. However, such a prior art has a problem that it is impossible to accurately detect a lane marking because it does not take into account the characteristics of each lane itself.
일본 특허공개공보 제5-151341호(1993.06.18)에는 차량용 주행로 검출장치가 개시되어 있다. 도 15는 상기 공보에 개시된 종래 공지기술에 따른 차량용 주행로 검출장치의 블록 구성을 나타낸 도면이다. 도시된 바와 같이, 공지된 차량용 주행로 검출장치는 주행하는 차량의 전방에 있는 도로의 영상을 촬영하기 위한 영상입력수단(100)과, 경계점을 추출하기 위해 영상입력수단(100)으로부터 신호를 수신하는 준비수단(preparation means)(101)과, 이전의 계산동작 시에 획득한 선형식 근처에 윈도우를 설정하고 그리고 선형 계산을 통해 다수의 선형식을 얻기 위해 설정된 윈도우에서 다수의 경계점의 좌표를 측정하기 위한 선적응수단(line adaptation means)(102), 소멸점의 X- 및 Y-좌표와 그리고 선형식에서 에러 제곱의 합을 최소화하기 위하여 획득한 선형식을 토대로 소멸점을 통과하는 직선의 경사도에 상응하는 량을 추정하고 또한 이들 추정된 값들을 이때의 결과에 설정하는 선 및 소멸점 결정수단(line and vanishing point determining means)(104), 준비수단(101)의 결과와 선 적응수단(102)의 검출결과를 토대로 차선표시에 상응하는 경계점을 추출하는 경계점 추적수단(edge point tracing meand)(103), 곡선 식(a curved equation)을 추출된 경계점에 적용하는 곡선 적응수단(curve adaptation means)(105) 및 곡선 적응수단(105)의 결과를 평탄하게 하는 평탄수단(smoothing means)(106)을 포함한다.Japanese Patent Laid-Open No. 5-151341 (1993.06.18) discloses a vehicle traveling path detecting device. FIG. 15 is a block diagram illustrating a vehicle traveling road detection apparatus according to the related art disclosed in the above publication. As shown in the drawing, a known vehicle traveling path detecting apparatus receives a signal from the image input means 100 for capturing an image of a road in front of a driving vehicle and the image input means 100 to extract a boundary point. Setting means 101 and setting the window near the linear equation obtained in the previous calculation operation and measuring the coordinates of the plurality of boundary points in the set window to obtain the multiple linear equation through linear calculation. The slope of the straight line through the vanishing point based on the line adaptation means 102, the X- and Y-coordinates of the vanishing point, and the linear equation obtained to minimize the sum of error squares in the linear equation. The line and vanishing point determining means 104, the result and line of the preparation means 101, which estimate the quantity corresponding to and also set these estimated values to the result at this time. An edge point tracing mean 103 for extracting a boundary point corresponding to the lane display based on the detection result of the response means 102, and a curve adaptation means for applying a curved equation to the extracted boundary point ( curve adaptation means 105 and smoothing means 106 for smoothing the result of the curve adaptation means 105.
이와 같이 공지된 차량용 주행로 검출장치는, 곡선 식의 적용은 최소 제곱법으로 실행되므로, 따라서 잡음에 쉽게 영향을 받으므로, 입력 영상으로부터 차선 및 차로를 정확하게 검출하는 것이 불가능해지는 문제점이 있었다.
Since the application of the curve equation is performed by the least square method, the known vehicle traveling road detection apparatus has a problem in that it is impossible to accurately detect lanes and lanes from an input image because it is easily affected by noise.
본 발명은 상술한 종래기술의 문제점을 극복하기 위한 것으로서, 입력 영상으로부터 차선 및 차로를 인식하는 방법 및 장치를 제공하는데에 그 목적이 있다.SUMMARY OF THE INVENTION The present invention has been made to overcome the above-mentioned problems of the related art, and an object thereof is to provide a method and apparatus for recognizing a lane and a lane from an input image.
본 발명은 또한 입력 영상으로부터 차선 및 차로를 인식하는데 필요한 정보만을 효과적으로 선별함으로써 효율적인 차선 및 차로 인식 방법 및 장치를 제공하는데에 그 목적이 있다.Another object of the present invention is to provide an efficient lane and lane recognition method and apparatus by effectively selecting only information necessary for recognizing lanes and lanes from an input image.
본 발명은 또한, 입력 영상에 존재하는 건물 외벽이나 방음벽 등과 같은 인공물이나, 하늘 또는 나무 등과 같은 자연물에 의한 영향을 최소화함으로써, 잡음에 쉽게 영향을 받지 않고, 정확한 차선 및 차로 인식 방법 및 장치를 제공하는 데에 그 목적이 있다.
The present invention also provides an accurate lane and lane recognition method and apparatus without being easily affected by noise by minimizing the effects of artifacts such as building exterior walls, soundproof walls, etc., or natural objects such as the sky or trees present in the input image. Its purpose is to.
상기 목적을 달성하기 위해 본 발명은, DB에 저장된 다수의 도로 영상으로부터 관심 영역에 대한 표면 특징 표준 벡터를 구하고, 입력 영상의 표면 특징 벡터와 비교하여 도로 영역을 판단하는 도로영역 판단단계; 도로 영역 내에서 차선의 기하학적 정보를 이용하여 차선과 교차점을 검출하고, 소실점을 획득하여 차선 경계선 및 차로를 인식하는 경계선 및 차로 검출단계; 차선 경계선의 위치, 각도 및 이동 속도를 산출하여 차선변경 방향, 차선변경 개시시점 및 차선변경 완료시점을 판단하고, 그에 대한 예상시간을 산출하는 차선변경 예상시간 산출단계;를 포함하는 도로 영역 및 기하학적 정보를 이용한 차로 인식 방법을 제공한다.In order to achieve the above object, the present invention provides a road region determination step of obtaining a surface feature standard vector of a region of interest from a plurality of road images stored in a DB, and comparing the surface feature vector of an input image with a road feature; A boundary line and a lane detection step of detecting an intersection with a lane using geometric information of a lane in a road area, acquiring a vanishing point, and recognizing a lane boundary and a lane; A lane area estimation time calculation step of determining a lane change direction, a lane change start time, and a lane change completion time by calculating a position, an angle, and a moving speed of a lane boundary, and calculating an estimated time for the lane change direction; Provides a method of recognizing a car using information.
상기 도로영역 판단단계는, 다수의 도로 영상을 포함하는 DB에서 어느 하나의 특정 영상에서 동일한 거리에 따른 관심 영역을 설정하는 단계; 관심 영역을 다수의 분할 영역으로 나누고, 각각의 분할 영역에 대한 각각의 표면 특징 벡터를 구하는 단계; 각각의 표면 특징 벡터에 대한 평균을 계산하여 관심 영역에 대한 표면 특징 표준 벡터를 구하는 단계; 입력 영상에서 분할 영역의 표면 특징 벡터를 계산하고, 이 영역과 상응하는 거리에 따른 관심 영역 내에 포함된 표면 특징 표준 벡터를 비교하여 도로 영역을 결정하는 단계를 포함한다.The determining of the road area may include setting a region of interest according to the same distance in any one specific image in a DB including a plurality of road images; Dividing the region of interest into a plurality of partitions, and obtaining respective surface feature vectors for each partition; Calculating a mean for each surface feature vector to obtain a surface feature standard vector for the region of interest; Calculating a surface feature vector of the divided region in the input image and comparing the region with the surface feature standard vector included in the region of interest according to a corresponding distance to determine the road region.
상기 경계선 및 차로 검출단계는, 도로 영역으로부터 적응적 임계값을 획득하는 단계; 영상을 이진화하는 단계; 픽셀계수를 이용하여 레이블링을 수행하고 관심 블롭(Blob)을 저장하는 단계; 차선 개별 특징(주축 정보)을 이용하여 차선을 검출하는 단계; 관심 블롭의 주요 주축 정보를 이용하여 교차점을 획득하는 단계; 교차점 분석을 통한 최고밀도 소영역을 결정하는 단계; 소영영의 무게중심으로 소실점을 획득하는 단계; 소실선 획득과 각도 통합을 통하여 차선 경계선 후보를 설정하는 단계; 및 소실점과 차선을 이어 위치에 따른 차선 경계선을 검출하고, 경계선을 통하여 차로를 인식하는 단계를 포함한다.The boundary line and lane detection step may include: obtaining an adaptive threshold value from a road area; Binarizing the image; Performing labeling using a pixel count and storing a blob of interest; Detecting a lane using lane individual features (spindle information); Acquiring the intersection using the main axis information of the blob of interest; Determining the highest density small region through intersection analysis; Acquiring a vanishing point with the center of gravity of Soyoungyoung; Establishing a lane boundary candidate through vanishing line acquisition and angle integration; And detecting a lane boundary line according to a position after the vanishing point and the lane, and recognizing the lane through the boundary line.
상기 차선변경 예상시간 산출단계는, 입력 영상으로부터 차량 경계선을 검출하는 단계; 차선 경계선에 중첩되는 차량 경계선의 각도를 계산하여 차선변경 방향을 판단하는 단계; 상기 차량 경계선과 상기 차선 경계선의 중첩 위치 및 정도를 검출하여 기준값 이상 중첩될 경우 차선변경 개시시점을 판단하는 단계; 차량의 크기와 이동 속도를 검출하여 차선변경 완료시점을 예측하는 단계; 및 상기 차선변경 예상시간을 산출하여 표시하는 단계를 포함한다.The lane change estimated time calculating step may include detecting a vehicle boundary line from an input image; Determining a lane change direction by calculating an angle of a vehicle boundary line overlapping the lane boundary line; Detecting an overlapping position and a degree of the vehicle boundary line and the lane boundary line and determining a lane change start time when the vehicle boundary line overlaps with a reference value or more; Predicting a lane change completion time by detecting a size and a moving speed of the vehicle; And calculating and displaying the estimated lane change time.
또한, 본 발명은, DB에 저장된 다수의 도로 영상으로부터 관심 영역에 대한 표면 특징 표준 벡터를 구하고, 입력 영상의 표면 특징 벡터와 비교하여 도로 영역을 판단하는 도로영역 판단수단; 도로 영역 내에서 차선의 기하학적 정보를 이용하여 차선과 교차점을 검출하고, 소실점을 획득하여 차선 경계선 및 차로를 인식하는 경계선 및 차로 검출수단; 차선 경계선의 위치, 각도 및 이동 속도를 산출하여 차선변경 방향, 차선변경 개시시점 및 차선변경 완료시점을 판단하고, 그에 대한 예상시간을 산출하는 차선변경 예상시간 산출수단;을 포함하는 도로 영역 및 기하학적 정보를 이용한 차로 인식 장치를 제공한다.
In addition, the present invention, the road region determination means for obtaining a surface feature standard vector for the region of interest from the plurality of road images stored in the DB, and determines the road area compared with the surface feature vector of the input image; Boundary line and lane detection means for detecting an intersection with a lane using geometric information of the lane within a road area, acquiring a vanishing point, and recognizing a lane boundary and a lane; Road area and geometry including; lane change estimated time calculating means for calculating the position, angle, and moving speed of a lane boundary, determining a lane change direction, a lane change start time, and a lane change completion time, and calculating an estimated time for the lane change direction Provided is a vehicle recognition apparatus using information.
상기와 같이 구성된 본 발명에 따른 도로 영역 및 기하학적 정보를 이용한 차로 인식 방법 및 장치에 의하면, 입력 영상의 에너지, 콘트라스트, 균질성 및 상관도 중에서 선택되는 어느 하나 이상의 정보를 이용하여 입력영상으로부터 도로 영역을 검출함으로써, 효율적으로 차선 및 차로를 인식할 수 있는 효과가 있다.According to the lane recognition method and apparatus using the road area and the geometric information according to the present invention configured as described above, the road area from the input image using any one or more information selected from the energy, contrast, homogeneity and correlation of the input image By detecting it, there exists an effect which can recognize a lane and a lane efficiently.
또한, 검출된 도로 영역 내에서 차선의 기하학적 정보를 이용하여 차선 경계선 및 차로를 정확하게 검출함으로써, 잡음에 쉽게 영향을 받지 않으며 차로인식률이 향상되어 더욱 정확하게 차선을 검출할 수 있는 효과가 있다.
In addition, by accurately detecting lane boundaries and lanes using geometric information of lanes within the detected road area, the lane recognition rate is not easily affected, and the lane recognition rate is improved, so that the lanes can be detected more accurately.
도 1은 본 발명의 바람직한 일실시예에 따른 도로 영역 및 기하학적 정보를 이용한 차로 인식 방법을 나타낸 제어 흐름도.
도 2는 도 1의 도로영역 판단단계를 더욱 상세히 나타낸 제어 흐름도.
도 3은 도 1의 경계선 및 차로 검출단계를 더욱 상세히 나타낸 제어 흐름도.
도 4는 도 1의 차선변경 예상시간 산출단계를 더욱 상세히 나타낸 제어 흐름도.
도 5a 및 5b는 각각의 영역을 분할하고, 거리에 따른 각 관심 영역을 256색으로 표현한 도면.
도 6a 내지 6d는 각 특징에 대한 거리에 따른 관심 영역의 표면 특징 표준 벡터를 나타낸 그래프.
도 7a 및 도 7b는 입력 영상 및 이에 대하여 결정된 하나의 도로 후보 영역을 나타낸 도면.
도 7c는 본 발명 실시예의 결과로 결정된 도로 영역을 나타낸 도면.
도 8은 본 발명의 바람직한 실시예에 따라 도로영역으로부터 차선 경계선을 검출하기 위한 알고리즘의 개요를 나타낸 순서도.
도 9a는 이진화 영상, 도 9b는 레이블링 결과를 나타낸 도면.
도 10은 임계값을 구하기 위한 히스토그램과 파라미터를 예시한 그래프.
도 11은 획득된 교차점 Xu(x,y)를 표현한 그래프.
도 12는 반지름 20인 원 이내의 교차점(도 10에서 최고밀도 영역)을 나타낸 그래프.
도 13a는 소실선, 도 13b는 차선 경계선 검출 결과를 나타낸 도면.
도 13c는 현재 주행 중인 차로와 차로 변경 시 진입할 차로를 나타낸 도면.
도 14는 본 발명에 따른 도로 영역 및 기하학적 정보를 이용한 차로 인식 장치의 일실시예를 나타낸 블록 구성도.
도 15는 종래 공지기술에 따른 차량용 주행로 검출장치의 블록 구성도이다.1 is a control flowchart illustrating a lane recognition method using road area and geometric information according to an exemplary embodiment of the present invention.
2 is a control flowchart illustrating the road area determination step of FIG. 1 in more detail.
3 is a control flow diagram illustrating in detail the boundary line and lane detection step of FIG.
4 is a control flowchart illustrating the lane change estimated time calculation step of FIG. 1 in more detail.
5A and 5B are diagrams in which respective regions are divided, and each region of interest according to distance is represented by 256 colors.
6A-6D are graphs showing surface feature standard vectors of a region of interest according to distance for each feature.
7A and 7B illustrate an input image and one road candidate region determined therewith.
7C illustrates a road area determined as a result of an embodiment of the present invention.
8 is a flow chart illustrating an overview of an algorithm for detecting lane boundary lines from a road area according to a preferred embodiment of the present invention.
9A shows a binarization image, and FIG. 9B shows a labeling result.
10 is a graph illustrating a histogram and parameters for obtaining a threshold.
11 is a graph representing the obtained intersection point Xu (x, y).
FIG. 12 is a graph showing the intersection (highest density region in FIG. 10) within a circle of
FIG. 13A is a vanishing line, and FIG. 13B is a lane boundary line detection result. FIG.
FIG. 13C is a diagram illustrating a lane currently being driven and a lane to be entered when the lane is changed.
14 is a block diagram illustrating an embodiment of a lane recognition apparatus using road area and geometric information according to the present invention;
15 is a block diagram of a vehicle traveling road detecting apparatus according to the related art.
이하, 본 발명의 바람직한 실시예를 첨부된 도면을 참조하여 상세히 설명하기로 한다.
Hereinafter, preferred embodiments of the present invention will be described in detail with reference to the accompanying drawings.
도 1은 본 발명의 바람직한 일실시예에 따른 도로 영역 및 기하학적 정보를 이용한 차로 인식 방법을 나타낸 제어 흐름도이다.1 is a control flowchart illustrating a lane recognition method using road area and geometric information according to an exemplary embodiment of the present invention.
도시된 바와 같이, 본 발명의 바람직한 일실시예에 따른 도로 영역 및 기하학적 정보를 이용한 차로 인식 방법은, DB에 저장된 다수의 도로 영상으로부터 관심 영역에 대한 표면 특징 표준 벡터를 구하고, 입력 영상의 표면 특징 벡터와 비교하여 도로 영역을 판단하는 도로영역 판단단계(S010); 도로 영역 내에서 차선의 기하학적 정보를 이용하여 차선과 교차점을 검출하고, 소실점을 획득하여 차선 경계선 및 차로를 인식하는 경계선 및 차로 검출단계(S020); 차선 경계선의 위치, 각도 및 이동 속도를 산출하여 차선변경 방향, 차선변경 개시시점 및 차선변경 완료시점을 판단하고, 그에 대한 예상시간을 산출하는 차선변경 예상시간 산출단계(S030)를 포함한다.
As shown, the lane detection method using the road area and the geometric information according to an embodiment of the present invention, to obtain the surface feature standard vector for the ROI from a plurality of road images stored in the DB, the surface feature of the input image A road area determination step (S010) of determining a road area by comparing with a vector; A boundary line and a lane detection step of detecting a crossing point with a lane using geometric information of a lane in a road area, acquiring a vanishing point, and recognizing a lane boundary and a lane (S020); A lane change estimation time calculating step (S030) is performed to calculate the position, angle, and moving speed of the lane boundary, determine a lane change direction, a lane change start time, and a lane change completion time, and calculate an estimated time for the lane change direction.
도 2는 도 1의 도로영역 판단단계를 더욱 상세히 나타낸 제어 흐름도이다. 도시된 바와 같이, 본 발명의 바람직한 일실시예에 따른 상기 도로영역 판단단계(S010)는, 다수의 도로 영상을 포함하는 DB에서 어느 하나의 특정 영상에서 동일한 거리에 따른 관심 영역을 설정하는 단계(S011); 관심 영역을 다수의 분할 영역으로 나누고, 각각의 분할 영역에 대한 각각의 표면 특징 벡터를 구하는 단계(S012); 각각의 표면 특징 벡터에 대한 평균을 계산하여 관심 영역에 대한 표면 특징 표준 벡터를 구하는 단계(S013); 입력 영상에서 관심 영역의 표면 특징 벡터를 계산하고, 표면 특징 표준 벡터와 비교하여 관심 영역과 대응하는 도로 영역을 결정하는 단계(S014)를 포함한다. 또한, 본 발명의 바람직한 실시예에 따른 상기 도로영역 판단단계(S010)의 표면 특징 벡터를 구하는 대상은, 영상에너지, 콘트라스트, 균질성 및 상관도 중에서 선택되는 어느 하나 이상의 데이터인 것이 바람직하다.
2 is a control flowchart illustrating the road area determination step of FIG. 1 in more detail. As shown, the step of determining the road area according to an embodiment of the present invention (S010), the step of setting the ROI according to the same distance in any one specific image in a DB including a plurality of road images ( S011); Dividing the region of interest into a plurality of divided regions, and obtaining respective surface feature vectors for each divided region (S012); Calculating a mean for each surface feature vector to obtain a surface feature standard vector for the region of interest (S013); Computing a surface feature vector of the region of interest in the input image and comparing the surface feature standard vector to determine a road region corresponding to the region of interest (S014). In addition, the target for obtaining the surface feature vector of the road area determination step (S010) according to the preferred embodiment of the present invention is preferably at least one data selected from image energy, contrast, homogeneity and correlation.
본 발명의 바람직한 실시예에 있어서, 도로 영역을 구하기 위해 제안된 알고리즘은 다수의 도로 영상으로 구성된 데이터베이스(이하, DB라 약칭한다)에서 영상 내 분할 영역의 표면 특징 벡터를 구한 다음, 영상 내 거리에 따라 정의된 거리에 따른 관심 영역에 포함되는 모든 분할 영역의 표면 특징 벡터의 평균을 계산한다. 즉, 바람직하게는 거리에 따른 관심 영역별로 정의 된 각 표면 특징 벡터의 평균이 영역별 도로 영역을 결정하기 위한 비교 기준값인 표면 특징 표준 벡터가 될 수 있다.In a preferred embodiment of the present invention, the proposed algorithm for finding road areas obtains a surface feature vector of a segmented area in an image from a database composed of a plurality of road images (hereinafter, abbreviated as DB), The average of the surface feature vectors of all the divided regions included in the region of interest according to the distance defined accordingly is calculated. That is, preferably, the average of each surface feature vector defined for each region of interest according to distance may be a surface feature standard vector, which is a comparison reference value for determining a road region for each region.
입력 영상에서는 분할 영역의 표면 특징 벡터를 계산하고 이 영역과 상응하는 거리에 따른 관심 영역 내에 포함된 표면 특징 표준 벡터를 비교하여 도로 영역을 결정한다. 이렇게 구해진 도로 영역의 결과는 추후에 차선을 찾기 위한 과정 중에서 관심 색상 영역을 정하기 위한 영상 이진화 과정에 이용된다.In the input image, the road region is determined by calculating the surface feature vector of the divided region and comparing the surface feature standard vector included in the region of interest according to the corresponding distance with the region. The result of the road area thus obtained is used in the image binarization process to determine the area of interest color in the process of finding the lane later.
본 발명의 바람직한 일 실시예에 따르면, 데이터베이스에서 영상 내 거리에 따른 관심 영역을 설정할 수 있다. 이 영역을 대표하는 표면 특징 표준 벡터는 동일한 거리에 따른 관심 영역 내에 분포한 모든 분할 영역에서 각각의 표면 특징 벡터에 대한 평균을 계산하여 결정한다.According to a preferred embodiment of the present invention, the ROI may be set according to the distance within the image in the database. The surface feature standard vector representing this region is determined by calculating the average for each surface feature vector in all divided regions distributed within the region of interest over the same distance.
다음으로, DB의 영상에서 분할 영역을 결정하고 이 영역 내에서 표면 특징 벡터를 계산한다. 이때 본 발명의 바람직한 일 실시예에 따른 분할 영역은 영상(640×80)을 40×40으로 분할된 각각의 패치를 말한다. 본 발명이 적용 가능한 실시예에 있어서 바람직한 분할영역의 크기는 본 발명이 속하는 기술분야에서 통상의 지식을 가진 당업자에 의하여 적절하게 선택되어 질 수 있다. 본 발명의 바람직한 실시예에 따른 표면 특징 벡터는 영상 내 거리를 기준으로 영역을 나누어 영역별로 그 값을 정의할 수 있다. 이때 거리에 따라 구분된 영역을 거리에 따른 관심 영역이라고 정의한다. 이는 아래의 수학식 1을 통해서 정의되고 18개의 구역으로 나눌 수 있다.Next, the segmentation area is determined in the image of the DB and the surface feature vector is calculated within this area. In this case, the divided region according to the exemplary embodiment of the present invention refers to each patch divided into 40 × 40 images 640 × 80. In the embodiments to which the present invention is applicable, the preferred size of the partition may be appropriately selected by those skilled in the art to which the present invention pertains. The surface feature vector according to an exemplary embodiment of the present invention may define a value for each region by dividing the region based on the distance in the image. At this time, the region divided according to the distance is defined as the region of interest according to the distance. This is defined by Equation 1 below and can be divided into 18 zones.
도 5a 및 5b는 본 발명의 바람직한 실시예에 따라 각각의 영역을 분할하고, 거리에 따른 각 관심 영역을 256색으로 표현한 예시를 나타내었다.5A and 5B illustrate an example in which each region is divided according to a preferred embodiment of the present invention, and each region of interest according to a distance is represented by 256 colors.
또한, 본 발명의 바람직한 일 실시예에 있어서, 상기 도로영역에 대한 각 패치의 표면 특징을 나타내는 값으로는 에너지, 콘트라스트, 균질성 및 상관도 중에서 선택되는 어느 하나 이상에 대한 특징 벡터가 사용될 수 있다. 각 표면특징은 아래의 수학식 1 내지 수학식 5로 정의한다.
In addition, in a preferred embodiment of the present invention, a feature vector for any one or more selected from energy, contrast, homogeneity and correlation may be used as a value representing the surface characteristic of each patch for the road area. Each surface feature is defined by Equations 1 to 5 below.
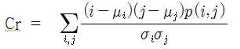
여기서 p(i,j)는 분할 영역에서 0도 방향으로 이웃한 2 픽셀간의 인텐시티(intensity) 변화를 나타내는 상생행렬(Cooccurrence matrix)에서의 동일 변화 빈도수를 나타낸다. 분할 영역 내 각 영역에서 4가지 표면 특징을 이용하여 도로 표면을 정의한다. 여기서 E, Ct, H, Cr은 각각 에너지(Energy), 콘트라스트(대비, Contrast), 균질성(Homogeneity), 상관도(Correlation)을 나타낸다.Here, p (i, j) represents the same frequency of change in the cooccurrence matrix representing the change in intensity between two pixels adjacent to each other in the direction of 0 degrees in the divided region. The road surface is defined using four surface features in each area within the partition. E, Ct, H, and Cr represent Energy, Contrast, Homogeneity, and Correlation, respectively.
본 발명의 바람직한 실시예에 있어서, 모든 데이터베이스의 동일한 거리에 따른 관심 영역에 위치한 표면 특징 벡터의 평균을 계산함으로써, 도로 영역을 검출하기 위한 기준값인 표면 특징 표준 벡터를 결정할 수 있다.
In a preferred embodiment of the present invention, the surface feature standard vector, which is a reference value for detecting the road area, can be determined by calculating the average of the surface feature vectors located in the region of interest according to the same distance of all databases.
도 6a 내지 6d는 각 특징에 대한 거리에 따른 관심 영역의 표면 특징 표준 벡터를 나타낸 그래프로서, 도 6a는 에너지, 도 6b는 콘트라스트, 도 6c는 균질성, 도 6d는 상관도를 각각 나타낸다. 앞에서 설명한 도 5a의 (0,0)을 기준으로 인덱스(가로축)가 0이면 도 5a의 원점에 가깝고 숫자가 커질수록 원점에서 멀어진다.
6A-6D are graphs showing the surface feature standard vectors of the region of interest according to distance for each feature, where FIG. 6A is energy, FIG. 6B is contrast, FIG. 6C is homogeneity, and FIG. 6D is a correlation diagram. If the index (horizontal axis) is 0 based on (0,0) of FIG. 5A described above, the index is closer to the origin of FIG. 5A, and the larger the number, the farther from the origin.
다음으로 입력 영상에 대해서도 상술한 바와 같은 영역 분할 및 표면 특징 벡터 검출 과정을 반복하여 입력 영상의 분할 영역에 대한 표면 특징 벡터를 계산한다.Next, the above-described region segmentation and surface feature vector detection processes are repeated on the input image to calculate the surface feature vectors of the divided regions of the input image.
본 발명의 바람직한 실시예에 있어서, 상기 계산된 분할 영역별 표면 특징 벡터를 거리에 따른 관심 영역에 상응하는 위치의 표면 특징 표준 벡터와 비교하여 ±50%에 해당하는 특징이 4개의 특징 중 2개 이상이면 입력 영상의 해당 분할 영역을 도로 후보 영역으로 결정할 수 있다.
In a preferred embodiment of the present invention, two out of four features correspond to ± 50% by comparing the calculated surface feature vector for each divided region with the surface feature standard vector at a position corresponding to the region of interest over distance. In this case, the divided region of the input image may be determined as the road candidate region.
도 7a 및 도 7b는 입력 영상 및 이에 대하여 결정된 하나의 도로 후보 영역을 나타낸 도면이다. 본 발명의 바람직한 실시예에 있어서 위에서 검출된 여러 도로 후보 영역중에서 하나의 도로 영역을 정하기 위해서 도 7b의 결과를 모폴로지(닫기) 연산을 실행할 수 있다. 그리고 이 결과를 레이블링(labelling) 과정을 수행하여 독립적으로 분리된 영역들을 구하고 이들 영역 중에서 가장 많은 픽셀의 수를 가진 단 하나의 영역을 도로 영역으로 결정할 수 있다. 도 7c는 이러한 과정을 통하여 결정된 도로 영역을 나타낸다.7A and 7B illustrate an input image and one road candidate region determined with respect to the input image. In a preferred embodiment of the present invention, a morphology (close) operation may be performed on the result of FIG. 7B to determine one road area among the road candidate areas detected above. The result of the labeling process is to obtain independently separated regions, and to determine a single region having the largest number of pixels among the regions as a road region. 7C shows the road area determined through this process.
레이블링(Labeling)이란 인접한 화소에 모두 같은 번호(Label)를 붙이고 연결되지 않은 다른 성분에는 다른 번호를 붙이는 것으로 이진 영상에서 수행되는 영역 구분 작업을 말한다. 상기 레이블링은 영상 처리 분야에서 일반적으로 사용되는 통상의 학술용어로서 각각의 용어는 사전적 의미로 해석될 수 있으므로, 여기서 이 용어에 대한 상세한 설명은 생략하기로 한다.
Labeling refers to an area classification operation performed on a binary image by attaching the same number to all adjacent pixels and different numbers to other unconnected components. The labeling is a general academic term commonly used in the field of image processing, and each term may be interpreted in a dictionary meaning, and thus a detailed description thereof will be omitted.
본 발명의 바람직한 일실시예에 따른 상기 경계선 및 차로 검출단계(S020)는; 도로 영역 내에서 차선의 기하학적 정보를 이용하여 차선과 교차점을 검출하고, 소실점을 획득하여 차선 경계선 및 차로를 인식할 수 있다.The boundary line and lane detection step (S020) according to an embodiment of the present invention; The intersection with the lane may be detected using geometric information of the lane within the road area, and the vanishing point may be obtained to recognize the lane boundary and the lane.
도 3은 도 1의 경계선 및 차로 검출단계를 더욱 상세히 나타낸 제어 흐름도이다. 도시된 바와 같이, 본 발명의 바람직한 일실시예에 따른 상기 경계선 및 차로 검출단계(S020)는; 상기 도로 영역으로부터 적응적 임계값을 획득하는 단계(S021); 상기 도로 영역의 영상을 이진화하는 단계(S022); 픽셀계수를 이용하여 레이블링을 수행하고, 관심 블롭(Blob)을 저장하는 단계(S023); 차선 개별 특징(주축 정보)을 이용하여 차선을 검출하는 단계(S024); 관심 블롭의 주요 주축 정보를 이용하여 교차점을 획득하는 단계(S025); 교차점 분석을 통한 최고밀도 소영역을 결정하는 단계(S026); 소영영의 무게중심으로 소실점을 획득하는 단계(S027); 소실선 획득과 각도 통합을 통하여 차선 경계선 후보를 설정하는 단계(S028); 및 소실점과 차선을 이어 위치에 따른 차선 경계선을 검출하고, 경계선을 통하여 차로를 인식하는 단계(S029)를 포함한다.
3 is a control flowchart illustrating in detail the boundary line and lane detection step of FIG. 1. As shown, the boundary line and lane detection step (S020) according to a preferred embodiment of the present invention; Obtaining an adaptive threshold value from the road area (S021); Binarizing the image of the road area (S022); Performing labeling using a pixel coefficient and storing a blob of interest (S023); Detecting a lane by using lane individual features (spindle information) (S024); Acquiring an intersection point using the main axis information of the blob of interest (S025); Determining the highest density small region through the intersection analysis (S026); Obtaining a vanishing point with the center of gravity of the small-young (S027); Setting a lane boundary candidate through evanescent line acquisition and angular integration (S028); And detecting a lane boundary line according to a position following the vanishing point and the lane, and recognizing the lane through the boundary line (S029).
상기에서 블롭(BLOB)은 바이너리 타입을 데이타 베이스에 기록하는 것으로, 문자열을 데이타 베이스에 기록하는 텍스트(TEXT)와, 캐릭터 타입을 데이타 베이스에 기록하는 클롭(CLOB)과 구별된다. 바이너리 데이타 타입은 모든 유형의 파일이 될 수 있다. 일반적으로 텍스트의 경우는 문자열의 데이터를 저장하는 데 사용이 되며, 블롭의 경우는 문서, 이미지, 비디오 클립 등을 저장하기 위한 타입이다. 따라서, 블롭은 일반 워드문서에서 미디어 파일에 이르기까지, 컴퓨터가 인식하는 모든 파일들을 데이타 베이스에 기록할 수 있다는 장점이 있다. 상기 블롭은 영상 처리 분야에서 일반적으로 사용되는 통상의 학술용어로서 각각의 용어는 사전적 의미로 해석될 수 있으므로, 여기서 이 용어에 대한 상세한 설명은 생략하기로 한다.
In the above description, a blob writes a binary type in a database, and is distinguished from a text (TEXT) for writing a character string in a database and a clob (CLOB) for writing a character type in a database. Binary data types can be files of any type. In general, text is used to store string data, and blob is a type for storing documents, images, and video clips. Hence, Blob has the advantage of being able to record all files that the computer recognizes, from normal word documents to media files. The blob is a general term commonly used in the field of image processing, and each term may be interpreted in a dictionary meaning, and thus a detailed description thereof will be omitted.
도 8은 본 발명의 바람직한 실시예에 따라 도로영역으로부터 차선 경계선을 검출하기 위한 알고리즘의 개요를 나타낸 순서도이다.8 is a flowchart illustrating an outline of an algorithm for detecting lane boundary lines from a road area according to a preferred embodiment of the present invention.
본 발명의 바람직한 실시예에 있어서 차로 인식에 앞서 차선 경계선을 검출한다. 이를 위해 같은 방향의 차로에서는 차선들이 도로 평면에 서로 평행하게 그려졌다는 것을 전제로 검출한다. 포장도로에서 차선은 주로 흰색으로 아스팔트 영역과 색상 구분이 확연히 난다. 이런 색상 특징은 도로에서 차선의 영역만을 구별하여 검출할 수 있는 특징으로 중요하게 이용된다. 본 발명의 바람직한 실시예에 있어서 입력 영상중 흰색에 가까운 밝은 색상 영역과 나머지 도로 영역을 구분하기 위해서 적응적으로 임계값을 결정하는 방법을 사용할 수 있다.In a preferred embodiment of the present invention, lane boundary lines are detected prior to lane recognition. For this purpose, lanes in the same direction are detected on the premise that lanes are drawn parallel to each other on the road plane. The lanes on the pavement are mainly white, which clearly distinguishes the asphalt area from the color. This color feature is important as a feature that can distinguish and detect only an area of a lane on a road. In a preferred embodiment of the present invention, a method of adaptively determining a threshold value may be used to distinguish a bright color region close to white and a remaining road region in an input image.
본 발명의 바람직한 실시예에 있어서 차선에 있어서 한쪽이 길게 되어있는 직사각형의 모양 또한 차선을 검출하기에 좋은 특징으로 활용할 수 있다. 이를 위해 이진화된 영상에서 레이블링 과정을 통해 독립된 영역의 블롭(Blob)들을 구한다. 각 블롭들이 포함하는 픽셀의 분포를 나타내기 위한 공분산 행렬을 구하고 이들의 고유값과 고유벡터를 계산하여 주축(Principal Axes)을 구한다. 구해진 주축을 이용하여 차선 모양의 개형을 정의한다. 평행한 차선들은 투시투영에 따라 하나의 소실점에서 만나는데 이 소실점을 찾는 과정을 뒤에서 설명한다. 색상과 모양의 조건에 만족하는 관심 블롭들의 크기가 큰 주요 주축의 연장선을 이어서 서로의 주축이 만나는 교차점을 구하고 이들을 분석하여 하나의 소실점을 찾는다. 획득한 소실점과 관심 블롭의 중심을 이어 차선 경계선을 생성한다. 제안된 알고리즘의 최종 결과인 차로는 획득된 차선 경계선을 기준에서 차량에 설치된 카메라의 위치를 감안하여 인식한다.
In a preferred embodiment of the present invention, the rectangular shape of which one side is long in the lane can also be utilized as a good feature for detecting the lane. To do this, blobs of independent regions are obtained through a labeling process in the binarized image. Principal axes are obtained by obtaining a covariance matrix to represent the distribution of pixels included in each blob and calculating their eigenvalues and eigenvectors. The main axis is used to define the lane shape. Parallel lanes meet at a single vanishing point according to perspective projection. The process of finding this vanishing point is described later. Following the extension lines of the major major axes of interest blobs satisfying the condition of color and shape, find the intersection point where the major axes meet and analyze them to find one vanishing point. A lane boundary is created by connecting the acquired vanishing point and the center of the blob of interest. The lane, which is the final result of the proposed algorithm, is recognized by considering the position of the camera installed in the vehicle based on the obtained lane boundary.
도로에서 차선은 아스팔트의 어두운 회색과는 달리 밝은 흰색에 가깝다. 차선의 특징인 밝은 색상 영역만을 추출하기 위해 입력 영상을 이진화 한다. 하늘이나 나무와 같은 자연물과 건물과 방음벽과 같은 인공물 등의 불필요한 색상 영역이 영상에 많이 포함되어 있으면 이진화를 위한 임계값을 찾는 과정에서 적절한 임계값을 찾지 못한다. 그래서 본 실험에서는 앞서 획득한 도로 영역에서 임계값을 결정하여 불필요한 영상 정보의 영향을 최소화하였다.The lanes on the road are close to bright white, unlike the dark gray of asphalt. The input image is binarized to extract only the bright color region that is the characteristic of the lane. If the image contains a lot of unnecessary color areas such as natural objects such as sky or trees and artifacts such as buildings and soundproof walls, the appropriate threshold is not found in the process of finding a threshold for binarization. Therefore, in this experiment, the threshold value is determined in the road area obtained earlier to minimize the influence of unnecessary image information.
임계값 T는 수학식 6에 의해 결정되며 입력 영상 히스토그램에서 배경과 전경을 분리하는 임계값이다.The threshold T is determined by
N1과 N2는 k에 의해 나누어진 히스토그램 그룹 내의 총 픽셀수이다. 그리고N1 and N2 are the total number of pixels in the histogram group divided by k. And
μ1과 μ2는 각 그룹의 평균이다. T에 의해 이진화 영상 Ib(x, y)를 수학식 7로 구한다.μ1 and μ2 are the mean of each group. By T, the binarized image Ib (x, y) is obtained from equation (7).
도 9a는 이진화 영상 결과 도면, 도 9b는 레이블링 결과를 나타낸 도면이고, 도 10은 임계값을 구하기 위한 적응적 임계값 결정에 사용된 파라미터들의 값을 나타낸 그래프이다.9A is a diagram illustrating a binarized image result, FIG. 9B is a diagram illustrating a labeling result, and FIG. 10 is a graph showing values of parameters used for adaptive threshold determination for obtaining a threshold.
레이블링 과정은 8방향으로 연결된 이웃 픽셀들을 동일 영역으로 통합하여 독립된 블롭 단위로 분리한다. 이때 본 발명의 바람직한 실시예에 있어서 독립된 블롭을 구성하는 픽셀의 수가 20 보다 작으면 불필요한 블롭으로 간주하고 시스템은 자동적으로 고려하지 않을 수 있다. 이러한 기준은 본 발명이 속하는 기술분야에서 통상의 지식을 가진 당업자에 의해 적절하게 선택될 수 있다. 도 9b에서 보이듯이 도 9a에 나타난 작은 노이즈가 많이 소거된 것을 확인할 수 있다. 노이즈를 제거한 다음 남겨진 블롭들을 B0라하고 아래 첨자 O는 블롭들의 인덱스(index)로 정의한다.
The labeling process separates adjacent pixels connected in eight directions into the same area and separates them into independent blob units. At this time, in the preferred embodiment of the present invention, if the number of pixels constituting the independent blob is less than 20, it is regarded as an unnecessary blob and the system may not automatically consider it. Such criteria may be appropriately selected by those skilled in the art to which the present invention pertains. As shown in FIG. 9B, it can be confirmed that many small noises shown in FIG. 9A are canceled out. The blobs left after removing the noise are called B0 and the subscript O is defined as the index of the blobs.
차선은 색상과 한 방향으로 긴 직사각형 모양으로 영상에 존재하는 다른 사물과 구별되는 특징을 가진다. 본 발명의 바람직한 실시예에 있어서, 차선의 가로와 세로 길이의 크기 비율을 이용하여 그 특징을 정의할 수 있다. 이 비율은 B0의 공분산 행렬에서 구해진 고유값으로 계산되며 큰 값을 가지는 고유값에 상응하는 고유벡터가 해당 블롭의 주요 주축 P0로 지정된다. 아래의 수학식 9는 주축의 비율 M0를 구하기 위해 두 개의 고유값을 비교하는데 이용된다.The lanes have a color and a long rectangular shape in one direction that distinguishes them from other objects in the image. In a preferred embodiment of the present invention, the feature may be defined using the ratio of the width to the length of the lane. This ratio is calculated from the eigenvalues obtained from the covariance matrix of B0 , and the eigenvectors corresponding to the large eigenvalues are designated as the principal major axis P0 of the blob.
그리고 도 9b에서 보이듯이 차선들의 기하학적 개형은 영상의 왼쪽 상단에서 오른쪽 하단의 방향으로 대각선을 이루며 존재한다. 본 발명의 바람직한 실시예에 있어서, 차선의 주요 주축 P0의 각도 A0가 0도 보다 크고 50도 보다 작은 블롭들만을 고려할 수 있다. 각도 A0는 수학식 10으로 표현된다. 수학식 8로 표현되는 위 두 조건을 만족하는 B0를 관심 블롭 F1으로 나타내며 관심 블롭 F1만을 소실점을 구하는 다음 과정에 이용할 수 있다. 각도 A0는 수학식 10으로 계산된다. Px0와 Py0는 주요 주축의 영상에서 가로인 X축과 세로인 Y축의 길이이다.And as shown in Figure 9b the geometric modification of the lanes exist in a diagonal line in the direction of the upper left to the lower right of the image. In a preferred embodiment of the present invention, only blobs in which the angle A0 of the main main axis P0 of the lane is larger than 0 degrees and smaller than 50 degrees can be considered. The angle A0 is represented by equation (10). Represents a blob F1 B0 of interest for satisfying the above two conditions represented by the equation (8) may be used in the following process to obtain the vanishing point of interest only blobs F1. The angle A0 is calculated by the equation (10). Px0 and Py0 are the lengths of the horizontal x-axis and the vertical y-axis in the image of the main principal axis.
블롭의 교차점 분석은 관심 블롭 F1의 주요 주축을 이용하여 주요 주축의 직선의 방정식을 생성한다. F1의 모든 주요 주축의 쌍을 고려하여 교차점 Xu(x,y)를 획득한다. 도 11은 이렇게 획득된 교차점 Xu(x,y)를 표현한 그래프이다.
The intersection analysis of the blobs creates an equation of the straight line of the major principal axis using the principal major axis of the blob F1 of interest. The intersection point Xu (x, y) is obtained by considering all the major axes of F1 . 11 is a graph representing the intersection point Xu (x, y) thus obtained.
본 발명의 바람직한 실시예에 따라 상기에서 획득한 교차점 Xu(x,y)의 분포를 분석하여 최고밀도 소영역의 중심을 소실점으로 결정할 수 있다. 최고밀도 영역을 결정하기 위해 임의의 기준 교차점을 중심으로 설정한 일정 반지름을 갖는 원에 존재하는 영역 내 교차점을 이용하여 기준 교차점과 영역 내 교차점의 거리를 계산하다. 모든 기준 교차점에 대한 영역 내 교차점의 총합이 최대가 되는 기준 교차점의 인덱스 u를 h로 결정한다.를 기준으로 상기 반지름 이내의 영역 내 교차점의 무게 중심을 계산하고 이를 소실점 V(x,y)으로 결정한다.According to a preferred embodiment of the present invention, the center of the highest density small region may be determined as the vanishing point by analyzing the distribution of the intersection points Xu (x, y) obtained above. In order to determine the highest density region, the distance between the reference intersection point and the intersection point within the area is calculated by using the intersection point in the area existing on a circle having a constant radius centered on an arbitrary reference point. The index u of the reference intersection point at which the sum of the intersection points in the area for all the reference intersection points is maximum is determined as h. The center of gravity of the intersection point in the area within the radius is calculated and determined as the vanishing point V (x, y).
도 12는 본 발명의 바람직한 일 실시예에 따라 반지름의 크기를 20으로 하는 경우에 있어서, 원 이내의 교차점(도 10에서 최고밀도 영역)을 나타낸 그래프로서, A는 최고밀도 영역으로 결정된 영역의 기준 교차점 Xh(x,y), B는 소실점 V(x,y)으로 결정된 영역 내 교차점의 무게 중심, 검은 점은 Xu(x,y)의 영역 내 교차점을 나타낸다.
12 is a graph illustrating intersection points within a circle (the highest density region in FIG. 10) when the radius is 20 according to an exemplary embodiment of the present invention, where A is a reference of the region determined as the highest density region. The intersection Xh (x, y), B is the center of gravity of the intersection in the region determined by the vanishing point V (x, y), and the black point represents the intersection in the region of Xu (x, y).
위에서 정의된 소실점 V(x,y)와 관심 블롭 F1의 무게 중심을 연결하여 소실선을 생성한다. 시스템은 생성된 소실선 끼리의 각도가 5도 이내라면 해당하는 소실선들의 평균 각도를 가지는 차선 경계선 후보로 선정한다. 이 과정을 모든 소실선에 대해 적용하여 모든 차선 경계선 후보를 획득한다. 도 13a의 검은 실선은 본 과정에서 생성되는 모든 소실선을 나타내고 있다.
A vanishing line is created by connecting the vanishing point V (x, y) defined above to the center of gravity of the blob F1 of interest. The system selects a lane boundary candidate having an average angle of corresponding vanishing lines if the generated vanishing lines are within 5 degrees. This process is applied to all vanishing lines to obtain all lane line candidates. The solid black line in FIG. 13A shows all the disappearance lines generated in this process.
본 과정의 결과에서 다수의 차선 경계선 후보가 획득되지만 모든 검출된 후보를 사용할 필요는 없다. 전술한 바와 같이 제안된 알고리즘은 주행 중인 자동차가 옆 차로로 차로를 변경하는 상황을 고려하고 있다. 그러므로 구해진 차선 경계선의 후보 중에서 영상의 좌,하단 구석에서부터 가까이 있는 2개의 차선 경계선 후보를 차선 경계선으로 설정한다. 도 13b의 검은 실선이 차선 경계선을 나타내고 있다.
Multiple lane boundary candidates are obtained as a result of this process, but not all detected candidates need to be used. As described above, the proposed algorithm considers a situation in which a driving car changes lanes to a side lane. Therefore, among the obtained lane boundary candidates, two lane boundary candidates near the left and bottom corners of the image are set as lane boundary lines. The solid black line in Fig. 13B represents a lane boundary.
도 13c는 현재 주행 중인 차로와 차로 변경 시 진입 할 차로를 나타낸 도면으로서, 위에서 검출된 차선 경계선에서 좌,하단 구석과 첫 번째 차선 경계선을 기준으로 그려지는 닫힌 면(도 13에서 ①로 표시된 영역) 을 본 발명에서는 현재 주행 중인 차로의 영역으로 인식한다. 그리고 첫 번째와 두 번째 차선 경계선을 기준으로 그려지는 닫힌 면(그림 13에서 ②로 표시된 영역)을 본 발명에서는 차로 변경 시 진입할 차로로 인식할 수 있다.
FIG. 13C is a diagram illustrating a currently running lane and a lane to be entered when the lane is changed, and a closed surface drawn based on the left and bottom corners and the first lane boundary line from the lane boundary line detected above (area indicated by ① in FIG. 13). In the present invention, it is recognized as the area of the currently driving lane. In addition, in the present invention, a closed surface (area indicated by ② in Fig. 13) drawn on the basis of the first and second lane boundary lines may be recognized as a lane to be entered when the lane is changed.
본 발명의 바람직한 일실시예에 따른 상기 차선변경 예상시간 산출단계(S030)는 차선 경계선의 위치, 각도 및 이동 속도를 산출하여 차선변경 방향, 차선변경 개시시점 및 차선변경 완료시점을 판단하고, 그에 대한 예상시간을 산출할 수 있다.In the lane change estimation time calculating step (S030) according to an exemplary embodiment of the present invention, the lane change direction, the lane change start time, and the lane change completion time are calculated by calculating the position, angle, and moving speed of the lane boundary. The expected time can be calculated.
도 4는 도 1의 차선변경 예상시간 산출단계를 더욱 상세히 나타낸 제어 흐름도이다. 도시된 바와 같이, 본 발명의 바람직한 일실시예에 따른 상기 차선변경 예상시간 산출단계(S030)는; 입력 영상으로부터 차량 경계선을 검출하는 단계(S031); 차선 경계선에 중첩되는 차량 경계선의 각도를 계산하여 차선변경 방향을 판단하는 단계(S032); 상기 차량 경계선과 상기 차선 경계선의 중첩 위치 및 정도를 검출하여 기준값 이상 중첩될 경우 차선변경 개시시점을 판단하는 단계(S033); 차량의 크기와 이동 속도를 검출하여 차선변경 완료시점을 예측하는 단계(S034); 및 상기 차선변경 예상시간을 산출하여 표시하는 단계(S035)를 포함한다.
FIG. 4 is a control flowchart illustrating the lane change expected time calculating step of FIG. 1 in more detail. As shown, the estimated lane change time calculation step (S030) according to an embodiment of the present invention; Detecting a vehicle boundary line from an input image (S031); Determining a lane change direction by calculating an angle of a vehicle boundary line overlapping the lane boundary line (S032); Detecting an overlapping position and a degree of the vehicle boundary line and the lane boundary line and determining a lane change start time when the vehicle boundary line overlaps with a reference value (S033); Predicting a lane change completion time by detecting a size and a moving speed of the vehicle (S034); And calculating and displaying the expected lane change time (S035).
도 14는 본 발명에 따른 도로 영역 및 기하학적 정보를 이용한 차로 인식 장치의 일실시예를 나타낸 블록 구성도이다.14 is a block diagram illustrating an embodiment of a lane recognition apparatus using road area and geometric information according to the present invention.
도시된 바와 같이, 본 발명에 따른 장치의 일실시예는, DB(40)에 저장된 다수의 도로 영상으로부터 관심 영역에 대한 표면 특징 표준 벡터를 구하고, 입력 영상의 표면 특징 벡터와 비교하여 도로 영역을 판단하는 도로영역 판단수단(10); 도로 영역 내에서 차선의 기하학적 정보를 이용하여 차선과 교차점을 검출하고, 소실점을 획득하여 차선 경계선 및 차로를 인식하는 경계선 및 차로 검출수단(20); 차선 경계선의 위치, 각도 및 이동 속도를 산출하여 차선변경 방향, 차선변경 개시시점 및 차선변경 완료시점을 판단하고, 그에 대한 예상시간을 산출하는 차선변경 예상시간 산출수단(30)을 포함한다.As shown, an embodiment of the apparatus according to the present invention obtains a surface feature standard vector for a region of interest from a plurality of road images stored in the
도로영역 판단수단(10)은, 다수의 도로 영상을 포함하는 DB에서 어느 하나의 특정 영상에서 동일한 거리에 따른 관심 영역을 설정하고; 관심 영역을 다수의 분할 영역으로 나누고, 각각의 분할 영역에 대한 각각의 표면 특징 벡터를 구하고; 각각의 표면 특징 벡터에 대한 평균을 계산하여 관심 영역에 대한 표면 특징 표준 벡터를 구하고; 입력 영상에서 관심 영역의 표면 특징 벡터를 계산하고, 표면 특징 표준 벡터와 비교하여 관심 영역과 대응하는 도로 영역을 결정한다. 이때, 표면 특징 벡터를 구하는 대상은, 영상에너지, 콘트라스트, 균질성 및 상관도 중에서 선택되는 어느 하나 이상의 데이터인 것이 바람직하다.The road area determining means 10 sets a region of interest according to the same distance in any one specific image in a DB including a plurality of road images; Divide the region of interest into a plurality of partitions, and obtain respective surface feature vectors for each partition; Calculating a mean for each surface feature vector to obtain a surface feature standard vector for the region of interest; A surface feature vector of the ROI is calculated from the input image and compared with the surface feature standard vector to determine a road region corresponding to the ROI. At this time, the object for obtaining the surface feature vector is preferably any one or more data selected from image energy, contrast, homogeneity and correlation.
경계선 및 차로 검출수단(20)은, 도로 영역으로부터 적응적 임계값을 획득하고; 영상을 이진화하고; 픽셀(Pixel)계수를 이용하여 레이블링을 수행하고 관심 블롭을 저장하고; 차선 개별 특징(주축 정보)을 이용하여 차선을 검출하고; 관심 블롭의 주요 주축 정보를 이용하여 교차점을 획득하고; 교차점 분석을 통한 최고밀도 소영역을 결정하고; 소영영의 무게중심으로 소실점을 획득하고; 소실선 획득과 각도 통합을 통하여 차선 경계선 후보를 설정하고; 소실점과 차선을 이어 위치에 따른 차선 경계선을 검출하고, 경계선을 통하여 차로를 인식한다.The boundary line and lane detection means 20 obtain an adaptive threshold value from the road area; Binarize the image; Perform labeling using a Pixel coefficient and store the blob of interest; Detecting a lane using lane individual features (axis information); Acquire intersection points using key principal information of the blob of interest; Determine the highest density small region through intersection analysis; Obtain the vanishing point with Soyoung Young's center of gravity; Establishing lane boundary candidates through vanishing line acquisition and angle integration; Following the vanishing point and the lane, the lane boundary line according to the position is detected and the lane is recognized through the boundary line.
차선변경 예상시간 산출수단(30)은, 입력 영상으로부터 차량 경계선을 검출하고, 차선 경계선에 중첩되는 차량 경계선의 각도를 계산하여 차선변경 방향을 판단하고, 상기 차량 경계선과 상기 차선 경계선의 중첩 위치 및 정도를 검출하여 기준값 이상 중첩될 경우 차선변경 개시시점을 판단하고, 차량의 크기와 이동 속도를 검출하여 차선변경 완료시점을 예측하고, 상기 차선변경 예상시간을 산출하여 표시한다.The lane change estimated
본 명세서에 기재된 본 발명의 실시예와 도면에 도시된 구성은 본 발명의 가장 바람직한 실시예에 관한 것이고, 발명의 기술적 사상을 모두 포괄하는 것은 아니므로, 출원시점에 있어서 이들을 대체할 수 있는 다양한 균등물과 변형예들이 있을 수 있음을 이해하여야 한다. 따라서 본 발명은 상술한 실시예에 한정되지 아니하며, 청구범위에서 청구하는 본 발명의 요지를 벗어남이 없이 당해 발명이 속하는 기술분야에서 통상의 지식을 가진 자라면 누구든지 다양한 변형실시가 가능한 것은 물론이고, 그와 같은 변경은 청구범위 기재의 권리범위 내에 있게 된다.
The embodiments of the present invention described in the present specification and the configurations shown in the drawings relate to the most preferred embodiments of the present invention and are not intended to encompass all of the technical ideas of the present invention so that various equivalents It should be understood that water and variations may be present. Therefore, it is to be understood that the present invention is not limited to the above-described embodiment, and that various changes and modifications may be made without departing from the spirit and scope of the invention as defined in the appended claims. , Such changes shall be within the scope of the claims set forth in the claims.
10 : 도로영역 판단수단
20 : 경계선 및 차로 검출수단
30 : 차선변경 예상시간 산출수단
40 : 데이터 베이스(DB)10: road area determination means
20: boundary line and lane detection means
30: estimated lane change time
40: Database
| Application Number | Priority Date | Filing Date | Title |
|---|---|---|---|
| KR1020120017144AKR101347886B1 (en) | 2012-02-20 | 2012-02-20 | Method and Apparatus for Road Lane Recognition by Surface Region and Geometry Information |
| Application Number | Priority Date | Filing Date | Title |
|---|---|---|---|
| KR1020120017144AKR101347886B1 (en) | 2012-02-20 | 2012-02-20 | Method and Apparatus for Road Lane Recognition by Surface Region and Geometry Information |
| Publication Number | Publication Date |
|---|---|
| KR20130095578Atrue KR20130095578A (en) | 2013-08-28 |
| KR101347886B1 KR101347886B1 (en) | 2014-01-08 |
| Application Number | Title | Priority Date | Filing Date |
|---|---|---|---|
| KR1020120017144AExpired - Fee RelatedKR101347886B1 (en) | 2012-02-20 | 2012-02-20 | Method and Apparatus for Road Lane Recognition by Surface Region and Geometry Information |
| Country | Link |
|---|---|
| KR (1) | KR101347886B1 (en) |
| Publication number | Priority date | Publication date | Assignee | Title |
|---|---|---|---|---|
| KR101480652B1 (en)* | 2013-12-11 | 2015-01-09 | 현대자동차주식회사 | Lane change control apparatus and control method of the same |
| KR20160023409A (en)* | 2014-08-22 | 2016-03-03 | 현대모비스 주식회사 | Operating method of lane departure warning system |
| KR20200095330A (en)* | 2019-01-31 | 2020-08-10 | 주식회사 스트라드비젼 | Post-processing method and device for detecting lanes to plan the drive path of autonomous vehicle by using segmentation score map and clustering map |
| KR20210005818A (en)* | 2014-03-31 | 2021-01-15 | 팅크웨어(주) | Electronic apparatus and control method thereof |
| KR102498538B1 (en)* | 2022-03-02 | 2023-02-10 | 렉스젠(주) | Image analysis system, method, computer program and computer readable recording medium that analyzes image based on segmentation |
| Publication number | Priority date | Publication date | Assignee | Title |
|---|---|---|---|---|
| CN101185084B (en)* | 2005-05-31 | 2010-06-16 | 皇家飞利浦电子股份有限公司 | Method and system for detecting roads at night |
| KR100941271B1 (en)* | 2007-03-30 | 2010-02-11 | 현대자동차주식회사 | Lane departure prevention method for automobile |
| US20110313665A1 (en)* | 2009-03-04 | 2011-12-22 | Adc Automotive Distance Control Systems Gmbh | Method for Automatically Detecting a Driving Maneuver of a Motor Vehicle and a Driver Assistance System Comprising Said Method |
| Publication number | Priority date | Publication date | Assignee | Title |
|---|---|---|---|---|
| KR101480652B1 (en)* | 2013-12-11 | 2015-01-09 | 현대자동차주식회사 | Lane change control apparatus and control method of the same |
| KR20210005818A (en)* | 2014-03-31 | 2021-01-15 | 팅크웨어(주) | Electronic apparatus and control method thereof |
| KR20160023409A (en)* | 2014-08-22 | 2016-03-03 | 현대모비스 주식회사 | Operating method of lane departure warning system |
| KR20200095330A (en)* | 2019-01-31 | 2020-08-10 | 주식회사 스트라드비젼 | Post-processing method and device for detecting lanes to plan the drive path of autonomous vehicle by using segmentation score map and clustering map |
| KR102498538B1 (en)* | 2022-03-02 | 2023-02-10 | 렉스젠(주) | Image analysis system, method, computer program and computer readable recording medium that analyzes image based on segmentation |
| Publication number | Publication date |
|---|---|
| KR101347886B1 (en) | 2014-01-08 |
| Publication | Publication Date | Title |
|---|---|---|
| CN106203398B (en) | A kind of method, apparatus and equipment detecting lane boundary | |
| CN101334836B (en) | License plate positioning method incorporating color, size and texture characteristic | |
| CN108960183B (en) | Curve target identification system and method based on multi-sensor fusion | |
| CN107766821B (en) | Method and system for detecting and tracking full-time vehicle in video based on Kalman filtering and deep learning | |
| Mammeri et al. | A real-time lane marking localization, tracking and communication system | |
| Huang et al. | On-board vision system for lane recognition and front-vehicle detection to enhance driver's awareness | |
| CN103324930B (en) | A license plate character segmentation method based on gray histogram binarization | |
| CN100452110C (en) | Automobile video frequency discrimination speed-testing method | |
| De Paula et al. | Automatic detection and classification of road lane markings using onboard vehicular cameras | |
| CN103136528B (en) | A kind of licence plate recognition method based on dual edge detection | |
| CN110210451B (en) | A zebra crossing detection method | |
| KR102089298B1 (en) | System and method for recognizing multinational license plate through generalized character sequence detection | |
| CN103745598B (en) | Based on the model recognizing method of front face feature | |
| CN109948552B (en) | A method of lane line detection in complex traffic environment | |
| CN104966049B (en) | Lorry detection method based on image | |
| CN104899554A (en) | Vehicle ranging method based on monocular vision | |
| CN107066986A (en) | A kind of lane line based on monocular vision and preceding object object detecting method | |
| CN107194393B (en) | Method and device for detecting temporary license plate | |
| CN104392212A (en) | Method for detecting road information and identifying forward vehicles based on vision | |
| CN113759391A (en) | Passable area detection method based on laser radar | |
| CN107909012B (en) | Real-time vehicle tracking detection method and device based on disparity map | |
| CN106951898B (en) | Vehicle candidate area recommendation method and system and electronic equipment | |
| Chen | Nighttime vehicle light detection on a moving vehicle using image segmentation and analysis techniques | |
| KR101347886B1 (en) | Method and Apparatus for Road Lane Recognition by Surface Region and Geometry Information | |
| CN103310199B (en) | Based on the vehicle model recognition methods of high-definition remote sensing data |
| Date | Code | Title | Description |
|---|---|---|---|
| A201 | Request for examination | ||
| PA0109 | Patent application | St.27 status event code:A-0-1-A10-A12-nap-PA0109 | |
| PA0201 | Request for examination | St.27 status event code:A-1-2-D10-D11-exm-PA0201 | |
| P11-X000 | Amendment of application requested | St.27 status event code:A-2-2-P10-P11-nap-X000 | |
| P13-X000 | Application amended | St.27 status event code:A-2-2-P10-P13-nap-X000 | |
| E902 | Notification of reason for refusal | ||
| PE0902 | Notice of grounds for rejection | St.27 status event code:A-1-2-D10-D21-exm-PE0902 | |
| AMND | Amendment | ||
| E13-X000 | Pre-grant limitation requested | St.27 status event code:A-2-3-E10-E13-lim-X000 | |
| P11-X000 | Amendment of application requested | St.27 status event code:A-2-2-P10-P11-nap-X000 | |
| P13-X000 | Application amended | St.27 status event code:A-2-2-P10-P13-nap-X000 | |
| PG1501 | Laying open of application | St.27 status event code:A-1-1-Q10-Q12-nap-PG1501 | |
| E601 | Decision to refuse application | ||
| PE0601 | Decision on rejection of patent | St.27 status event code:N-2-6-B10-B15-exm-PE0601 | |
| X091 | Application refused [patent] | ||
| PN2301 | Change of applicant | St.27 status event code:A-3-3-R10-R11-asn-PN2301 St.27 status event code:A-3-3-R10-R13-asn-PN2301 | |
| AMND | Amendment | ||
| P11-X000 | Amendment of application requested | St.27 status event code:A-2-2-P10-P11-nap-X000 | |
| P13-X000 | Application amended | St.27 status event code:A-2-2-P10-P13-nap-X000 | |
| PX0901 | Re-examination | St.27 status event code:A-2-3-E10-E12-rex-PX0901 | |
| PX0701 | Decision of registration after re-examination | St.27 status event code:A-3-4-F10-F13-rex-PX0701 | |
| X701 | Decision to grant (after re-examination) | ||
| GRNT | Written decision to grant | ||
| PR0701 | Registration of establishment | St.27 status event code:A-2-4-F10-F11-exm-PR0701 | |
| PR1002 | Payment of registration fee | Fee payment year number:1 St.27 status event code:A-2-2-U10-U11-oth-PR1002 | |
| R18-X000 | Changes to party contact information recorded | St.27 status event code:A-5-5-R10-R18-oth-X000 | |
| PG1601 | Publication of registration | St.27 status event code:A-4-4-Q10-Q13-nap-PG1601 | |
| R18-X000 | Changes to party contact information recorded | St.27 status event code:A-5-5-R10-R18-oth-X000 | |
| FPAY | Annual fee payment | Payment date:20161214 Year of fee payment:4 | |
| PR1001 | Payment of annual fee | Fee payment year number:4 St.27 status event code:A-4-4-U10-U11-oth-PR1001 | |
| P22-X000 | Classification modified | St.27 status event code:A-4-4-P10-P22-nap-X000 | |
| FPAY | Annual fee payment | Payment date:20180223 Year of fee payment:5 | |
| PR1001 | Payment of annual fee | Fee payment year number:5 St.27 status event code:A-4-4-U10-U11-oth-PR1001 | |
| PR1001 | Payment of annual fee | Fee payment year number:6 St.27 status event code:A-4-4-U10-U11-oth-PR1001 | |
| FPAY | Annual fee payment | Payment date:20191205 Year of fee payment:7 | |
| PR1001 | Payment of annual fee | Fee payment year number:7 St.27 status event code:A-4-4-U10-U11-oth-PR1001 | |
| PN2301 | Change of applicant | St.27 status event code:A-5-5-R10-R11-asn-PN2301 | |
| PN2301 | Change of applicant | St.27 status event code:A-5-5-R10-R14-asn-PN2301 | |
| P14-X000 | Amendment of ip right document requested | St.27 status event code:A-5-5-P10-P14-nap-X000 | |
| P16-X000 | Ip right document amended | St.27 status event code:A-5-5-P10-P16-nap-X000 | |
| Q16-X000 | A copy of ip right certificate issued | St.27 status event code:A-4-4-Q10-Q16-nap-X000 | |
| R18-X000 | Changes to party contact information recorded | St.27 status event code:A-5-5-R10-R18-oth-X000 | |
| PR1001 | Payment of annual fee | Fee payment year number:8 St.27 status event code:A-4-4-U10-U11-oth-PR1001 | |
| PN2301 | Change of applicant | St.27 status event code:A-5-5-R10-R11-asn-PN2301 St.27 status event code:A-5-5-R10-R13-asn-PN2301 | |
| PN2301 | Change of applicant | St.27 status event code:A-5-5-R10-R11-asn-PN2301 St.27 status event code:A-5-5-R10-R13-asn-PN2301 | |
| PR1001 | Payment of annual fee | Fee payment year number:9 St.27 status event code:A-4-4-U10-U11-oth-PR1001 | |
| R18-X000 | Changes to party contact information recorded | St.27 status event code:A-5-5-R10-R18-oth-X000 | |
| R18-X000 | Changes to party contact information recorded | St.27 status event code:A-5-5-R10-R18-oth-X000 | |
| R18-X000 | Changes to party contact information recorded | St.27 status event code:A-5-5-R10-R18-oth-X000 | |
| PC1903 | Unpaid annual fee | Not in force date:20221228 Payment event data comment text:Termination Category : DEFAULT_OF_REGISTRATION_FEE St.27 status event code:A-4-4-U10-U13-oth-PC1903 | |
| R18-X000 | Changes to party contact information recorded | St.27 status event code:A-5-5-R10-R18-oth-X000 | |
| PC1903 | Unpaid annual fee | Ip right cessation event data comment text:Termination Category : DEFAULT_OF_REGISTRATION_FEE Not in force date:20221228 St.27 status event code:N-4-6-H10-H13-oth-PC1903 | |
| P22-X000 | Classification modified | St.27 status event code:A-4-4-P10-P22-nap-X000 | |
| R18-X000 | Changes to party contact information recorded | St.27 status event code:A-5-5-R10-R18-oth-X000 | |
| R18-X000 | Changes to party contact information recorded | St.27 status event code:A-5-5-R10-R18-oth-X000 | |
| R18-X000 | Changes to party contact information recorded | St.27 status event code:A-5-5-R10-R18-oth-X000 |