


본 발명은 무선전력 송신장치, 무선전력 수신장치, 무선전력 전송 시스템 및 무선전력 전송 방법에 관한 것이다.The present invention relates to a wireless power transmitter, a wireless power receiver, a wireless power transmission system and a wireless power transmission method.
무선으로 전기 에너지를 원하는 기기로 전달하는 무선전력전송 기술(wireless power transmission 또는 wireless energy transfer)은 이미 1800년대에 전자기유도 원리를 이용한 전기 모터나 변압기가 사용되기 시작했고, 그 후로는 라디오파나 레이저와 같은 전자파를 방사해서 전기에너지를 전송하는 방법도 시도되었다. 우리가 흔히 사용하는 전동칫솔이나 일부 무선면도기도 실상은 전자기유도 원리로 충전된다. 현재까지 무선 방식에 의한 에너지 전달 방식은 자기 유도, 자기 공진 및 단파장 무선 주파수를 이용한 원거리 송신 기술 등이 있다.In the 1800s, electric motors and transformers using electromagnetic induction principles began to be used, and then radio waves and lasers were used to transmit the electric energy to the desired devices wirelessly. A method of transmitting electrical energy by radiating the same electromagnetic wave has also been attempted. Our electric toothbrushes and some wireless shavers are actually charged with electromagnetic induction. To date, energy transmission methods using wireless methods include magnetic induction, magnetic resonance, and long-distance transmission technology using short wavelength radio frequencies.
최근에는 이와 같은 무선 전력 전송 기술 중 송신 측은 자기 공진 방식, 수신 측은 자기 유도 방식을 이용한 에너지 전달 방식이 많이 사용되고 있다.Recently, among the wireless power transmission technologies, energy transmission methods using a magnetic resonance method and a magnetic induction method have been widely used for a transmitting side.
그러나, 상기와 같은 에너지 전달 방식은 송신 공진 코일과 수신 코일 간의 결합계수가 변경에 따라 수신 측에 일정한 전력을 공급하지 못하는 문제가 있다.However, the energy transfer scheme as described above has a problem in that constant power cannot be supplied to the receiving side as the coupling coefficient between the transmitting resonance coil and the receiving coil changes.
이와 관련된 선행특허문헌으로는 대한민국 공개특허공보 제10-2010-0116556호가 있다.Related prior art documents include Korean Laid-Open Patent Publication No. 10-2010-0116556.
본 발명은 송신 공진 코일과 수신 코일 간의 결합계수가 변경되어도 수신 측에 일정한 전력의 공급이 가능하도록 하는 무선전력 송신장치, 무선전력 수신장치, 무선전력 전송 시스템 및 무선전력 전송 방법의 제공을 목적으로 한다.An object of the present invention is to provide a wireless power transmitter, a wireless power receiver, a wireless power transmission system and a wireless power transmission method for supplying a constant power to a receiving side even if the coupling coefficient between the transmission resonance coil and the receiving coil is changed. do.
본 발명의 실시 예에 따른 자기 유도형의 무선전력 수신장치에 무선으로 전력을 전송하는 자기 공진형의 무선전력 송신장치는 전력 소스에서 생성된 교류 전력을 전송하는 송신 코일과 상기 송신 코일로부터 전달받은 교류 전력을 상기 무선전력 수신장치에 구비된 수신 코일에 전송하는 송신 공진 코일 및 상기 무선전력 송신장치의 송신 전력을 조절하기 위해 상기 송신 공진 코일과 상기 수신 코일의 결합상태를 검출하는 검출부를 포함한다.The magnetic resonance type wireless power transmitter for wirelessly transmitting power to a magnetic induction type wireless power receiver according to an embodiment of the present invention receives a transmission coil for transmitting AC power generated from a power source and received from the transmission coil. A transmission resonant coil for transmitting AC power to a reception coil provided in the wireless power receiver, and a detector configured to detect a coupling state of the transmission resonant coil and the reception coil to adjust transmission power of the wireless power transmitter. .
본 발명의 또 다른 실시 예에 따른 자기 공진형의 무선전력 송신장치로부터 무선으로 전력을 수신하는 자기 유도형의 무선전력 수신장치는 상기 무선전력 송신장치의 송신 공진 코일과 상기 무선전력 수신장치의 수신 코일의 결합상태에 따라 조절된 전력을 수신하는 수신 코일과 상기 수신한 전력을 정류하는 정류 회로 및 상기 정류된 전력을 전달받는 부하를 포함한다.In accordance with still another aspect of the present invention, there is provided a magnetic induction type wireless power receiver that wirelessly receives power from a magnetic resonance type wireless power transmitter, and receives the transmission resonance coil of the wireless power transmitter and the wireless power receiver. And a rectifying circuit for rectifying the received power, a rectifying circuit for rectifying the received power, and a load receiving the rectified power.
본 발명의 실시 예에 따르면, 다음과 같은 효과가 있다.According to the embodiment of the present invention, the following effects can be obtained.
첫째, 무선전력 수신장치의 구성이 간단하므로 모바일 기기와 같은 소형화가 필요한 전자기기에 활용도를 높일 수 있다.First, since the configuration of the wireless power receiver is simple, it is possible to increase the utilization of electronic devices that require miniaturization such as mobile devices.
둘째, 송신 공진 코일과 수신 코일 간의 결합계수가 변경되더라도 무선전력 수신장치에 일정한 전력을 공급할 수 있다.Second, even if the coupling coefficient between the transmission resonance coil and the reception coil is changed, it is possible to supply a constant power to the wireless power receiver.
한편 그 외의 다양한 효과는 후술될 본 발명의 실시 예에 따른 상세한 설명에서 직접적 또는 암시적으로 개시될 것이다.Meanwhile, various other effects will be directly or implicitly disclosed in the detailed description according to the embodiment of the present invention to be described later.
도 1은 본 발명의 일 실시 예에 따른 무선전력 전송 시스템의 구성도이다.
도 2는 본 발명의 일 실시 예에 따른, 무선전력 전송 시스템의 등가회로도 이다.
도 3은 본 발명의 일 실시 예에 따른 무선전력 전송 방법의 흐름도이다.1 is a block diagram of a wireless power transmission system according to an embodiment of the present invention.
2 is an equivalent circuit diagram of a wireless power transmission system according to an embodiment of the present invention.
3 is a flowchart illustrating a wireless power transmission method according to an embodiment of the present invention.
이하에서는, 첨부된 도면을 참조하여 본 발명의 바람직한 실시 예에 대하여 본 발명이 속하는 기술분야에서 통상의 지식을 가진 자가 용이하게 실시할 수 있도록 상세히 설명한다.Hereinafter, preferred embodiments of the present invention will be described in detail with reference to the accompanying drawings, which will be easily understood by those skilled in the art.
도 1은 본 발명의 일 실시 예에 따른 무선 전력 전송 시스템(1000)의 구성도이다.1 is a block diagram of a wireless
도 1을 참고하면, 무선전력 전송 시스템(1000)은 전력 소스(100), 무선전력 송신장치(200), 무선전력 수신장치(300), 부하단(400)을 포함한다. 무선전력 수신장치(300)로 전달된 전력은 정류회로(미도시)를 거쳐 부하단(400)으로 전달된다. 부하단(400)은 충전지 또는 기타 전력을 필요로 하는 임의의 장치를 의미할 수 있고, 본 발명의 실시 예에서는 부하저항을 RL로 나타낸다. 일 실시 예에서 부하단(400)은 무선전력 수신장치(300)에 포함될 수 있다.Referring to FIG. 1, the wireless
무선전력 송신장치(200)는 송신부(210), 검출부(230), 전력 조절부(240)를 포함한다.The
송신부(210)는 송신 유도 코일부(211), 송신 공진 코일부(212)를 포함한다.The
무선전력 수신장치(300)는 수신부(310), 정류회로(320)를 포함한다.The
수신부(310)는 수신 코일부(311)를 포함한다.The
전력 소스(100)에서 생성된 전력은 무선전력 송신장치(200)로 전달되고, 무선전력 송신장치(200)에 전달된 전력은 전자기 유도 현상에 의해 무선전력 수신장치(300)로 전달된다.Power generated by the
보다 구체적으로 살펴보면, 전력 소스(100)는 소정 주파수의 교류 전력을 제공하는 교류 전력 소스이다.More specifically, the
송신부(210)는 전력 소스(100)와 연결되며, 전력소스(100)로부터 전력을 공급받아 교류 전류가 흐르게 된다. 송신 유도 코일부(211)에 교류 전류가 흐르면, 전자기 유도에 의해 물리적으로 이격되어 있는 송신 공진 코일부(212)에도 교류 전류가 유도된다. 송신 공진 코일부(212)로 전달된 전력은 무선으로 무선전력 수신장치(300)로 전달된다.The
수신부(310)는 수신 코일부(311)를 통해 전력을 수신하고, 수신 코일부(311)로 전달된 전력은 정류 회로(320)를 통해 정류되어 부하(400)로 전달된다.The
자기 공진형의 무선전력 송신장치(200)와 자기 유도형의 무선전력 수신장치(300)를 포함하는 무선전력 전송 시스템(1000)은 무선전력 수신장치(300)의 구성이 간단하므로 모바일 기기와 같은 소형화가 필요한 전자기기에 활용도를 높일 수 있다.The wireless
도 2는 본 발명의 일 실시 예에 따른, 무선전력 전송 시스템(1000)의 등가회로도 이다.2 is an equivalent circuit diagram of a wireless
도 2를 참고하면, 송신 유도 코일부(211)는 송신 유도 코일(L1)과 캐패시터(C1)를 포함한다. 여기서, 캐패시터(C1)의 캐패시턴스는 고정된 값일 수 있다.Referring to FIG. 2, the transmission
캐패시터(C1)의 일단은 전력소스(100)의 일단에 연결되고, 캐패시터(C1)의 타단은 송신 유도 코일(L1)의 일단에 연결된다. 송신 유도 코일(L1)의 타단은 전력소스(100)의 타단에 연결된다.One end of the capacitor C1 is connected to one end of the
송신 공진 코일부(212)는 송신 공진 코일(L2), 캐패시터(C2), 저항(R2)를 포함한다. 송신 공진 코일(L2)은 캐패시터(C2)의 일단에 연결된 일단과 저항(R2)의 일단에 연결된 타단을 포함한다. 저항(R2)의 타단은 캐패시터(C2)의 타단에 연결된다. 저항(R2)는 송신 공진 코일(L2)에서 전력손실로 발생하는 양을 저항으로 나타낸 것이다.The transmission
검출부(230)는 송신 공진 코일(L2)과 수신 코일(L3)의 결합계수 값을 검출할 수 있다. 결합계수는 송신 공진 코일(L2)과 수신 코일(L3)간의 전자기적 결합의 정도를 표시하는 것으로, 송신 공진 코일부(212)와 수신 코일부(311)의 거리, 방향, 위치 중 적어도 어느 하나에 의해 달라질 수 있는 값이다.The
검출부(230)는 전력소스(100)에서 송신부(210)를 바라본 제1 입력 임피던스(Z1)를 측정하고, 측정된 제1 입력 임피던스(Z1)에 기초하여 결합계수 값을 검출할 수 있다.The
검출부(230)는 송신부(210)에서 수신부(310)를 바라본 제2 입력 임피던스(Z2)를 측정하고, 제2 입력 임피던스(Z2)를 이용하여 제1 입력 임피던스(Z1)를 측정한 후, 측정된 제1 입력 임피던스(Z1)에 기초하여 결합계수 값을 검출할 수 있다.The
전력 조절부(240)는 상기 검출된 결합계수 값을 기초로 무선전력 수신장치(300)에 전달되는 전력을 조절할 수 있다.The
전력 조절부(240)는 전력소스(100)를 제어하여 무선전력 송신장치(200)에 전달하는 전력을 조절하고, 이에 따라 무선전력 수신장치(300)에 전달하는 전력을 조절한다.The
전력 조절부(240)는 결합계수 값의 변경에 따라 무선전력 수신장치(300)에 전달되는 전력이 일정하도록 전력소스(100)를 제어할 수 있다.The
이하에서는, 검출부(230)를 통해 송신 공진 코일(L2)과 수신 코일(L3)의 결합계수 값을 검출하고, 전력 조절부(240)를 통해 검출된 결합계수 값에 따라 무선전력 수신장치(300)에 전력이 전송되는 과정을 설명한다.Hereinafter, the coupling coefficient value of the transmission resonance coil L2 and the reception coil L3 is detected through the
먼저, 송신 공진 코일(L2)과 수신 코일(L3)의 결합계수 값을 검출하는 과정을 살펴본다.First, a process of detecting a coupling coefficient value of the transmission resonance coil L2 and the reception coil L3 will be described.
먼저, 검출부(230)는 무선전력 송신장치(200)에서 무선전력 수신장치(300)를 바라보았을 때 측정되는 제2 입력 임피던스(Z2)를 측정할 수 있다. 제2 입력 임피던스(Z2)는 [수학식 1]과 같이 표현될 수 있다.First, the
[수학식 1][Equation 1]
여기서, w는 공진주파수이고, [수학식 2]와 같이 표현될 수 있다.Here, w is the resonant frequency and can be expressed as shown in [Equation 2].
[수학식 2]&Quot; (2) "
여기서, C2는 송신 공진 코일부(212)를 등가회로로 변환시 표현되는 캐패시터를 의미한다.Here, C2 means a capacitor that is expressed when the transmission
[수학식 1]에서 M2는 송신 공진 코일(L2)와 수신 코일(L3)간 상호 인덕턴스를 의미하고, RL은 부하저항을 의미한다. [수학식 1]은 주파수 영역을 기준으로 한 수식이고, 이하의 수식들도 주파수 영역을 기준으로 한다. 상호 인덕턴스 M2는 송신 공진 코일(L2)와 수신 코일(L3)간의 결합계수(K2)에 따라 변화될 수 있는 값이다.In Equation 1, M2 means mutual inductance between the transmission resonance coil L2 and the reception coil L3, and RL means load resistance. Equation 1 is an expression based on the frequency domain, and the following equations are also based on the frequency domain. The mutual inductance M2 is a value that can vary depending on the coupling coefficient K2 between the transmission resonance coil L2 and the reception coil L3.
결합계수(K2)는 송신 공진 코일(L2)와 수신 코일(L3)간의 전자기적 결합의 정도를 표시하는 것으로, 송신 공진 코일(L2) 및 수신 코일(L3)간의 거리, 방향, 위치 중 적어도 어느 하나에 의해 달라질 수 있는 값이다.The coupling coefficient K2 indicates the degree of electromagnetic coupling between the transmission resonant coil L2 and the reception coil L3 and includes at least any one of a distance, a direction, and a position between the transmission resonant coil L2 and the reception coil L3. A value that can vary by one.
검출부(230)는 측정된 제2 입력 임피던스(Z2)를 이용해 제1 입력 임피던스(Z1)를 측정할 수 있다. 제1 입력 임피던스(Z1)는 전력소스(100)에서 송신부(210)를 바라본 임피던스이다. 제1 입력 임피던스(Z1)는 [수학식 3]과 같이 표현될 수 있다.The
[수학식 3]&Quot; (3) "
여기서, M1은 송신 유도 코일(L1)과 송신 공진 코일(L2)간의 상호 인덕턴스를 의미하고, 또한, R2는 송신 공진 코일(L2)에서 전력손실로 발생하는 량을 저항으로 나타낸 것이다.Here, M1 means mutual inductance between the transmission induction coil L1 and the transmission resonant coil L2, and R2 represents the amount generated by the power loss in the transmission resonant coil L2 as a resistance.
캐패시터(C2), 누설저항(R2)는 고정된 값일 수 있으나, 상호 인덕턴스 M1은 송신 유도 코일(L1)과 송신 공진 코일(L2)간의 결합계수(K1)에 따라 변화될 수 있는 값이다. 결합계수(K1)는 고정된 값을 갖는다.The capacitor C2 and the leakage resistance R2 may be fixed values, but the mutual inductance M1 may be changed according to the coupling coefficient K1 between the transmission induction coil L1 and the transmission resonance coil L2. Coupling coefficient K1 has a fixed value.
[수학식 3]은 [수학식 2]를 통해 다음의 [수학식 4]로 표현될 수 있다.[Equation 3] can be expressed by the following [Equation 4] through [Equation 2].
[수학식 4]&Quot; (4) "
송신 공진 코일부(212)에서 양호도(Q)가 우수하다고 가정하여, R2의 값을 0으로 놓고, [수학식 1]을 [수학식 4]에 대입하면, [수학식 5]와 같이 정리될 수 있다.Assuming good transmittance (Q) in the transmission
[수학식 5]&Quot; (5) "
여기서, 상호 인덕턴스 M1과 M2는 각각 [수학식 6]과 [수학식 7]과 같이 표현될 수 있다.Here, the mutual inductances M1 and M2 may be expressed as Equation 6 and Equation 7, respectively.
[수학식 6]&Quot; (6) "
[수학식 7][Equation 7]
[수학식 5]에 [수학식 6] 및 [수학식 7]을 대입하면, [수학식 8]과 같이 정리될 수 있다.Substituting [Equation 6] and [Equation 7] into [Equation 5], can be arranged as shown in [Equation 8].
[수학식 8][Equation 8]
여기서, 다시 공진주파수 w를 [수학식 9]처럼 정한다.Here, the resonance frequency w is determined again as shown in [Equation 9].
[수학식 9]&Quot; (9) "
[수학식 9]을 [수학식 8]에 대입하면, [수학식 10]과 같이 정리될 수 있다.Substituting [Equation 9] into [Equation 8], it can be arranged as shown in [Equation 10].
[수학식 10]&Quot; (10) "
결합계수(K1)는 고정된 값이고, 결합계수(K2)는 송신 공진 코일(L2)과 수신 코일(L3) 간의 거리, 위치, 방향에 따라 가변 되는 값이다. L1, L3, RL의 값은 회로 설계 시 정해지는 고정된 값을 갖는다. 결합계수(K2)는 제1 입력 임피던스(Z1)를 측정하면, [수학식 10]을 통해 결합계수(K2) 값이 검출될 수 있다. 검출부(230)는 제1 입력 임피던스(Z1)를 측정할 수 있다. 제1 입력 임피던스(Z1)는 전력소스(100)로부터 무선전력 송신장치(200)에 입력되는 입력전압과 입력전류의 rms 값을 측정하면, [수학식 11]을 이용해 계산될 수 있다.The coupling coefficient K1 is a fixed value, and the coupling coefficient K2 is a value that varies depending on a distance, a position, and a direction between the transmission resonance coil L2 and the reception coil L3. The values of L1, L3, and RL have fixed values determined during circuit design. When the coupling coefficient K2 measures the first input impedance Z1, the coupling coefficient K2 may be detected through Equation 10. The
[수학식 11]&Quot; (11) "
여기서, Vrms는 전력소스(100)로부터 무선전력 송신장치(200)에 입력되는 rms 입력전압이고, Irms는 전력소스(100)로부터 무선전력 송신장치(200)에 입력되는 rms 입력전류이다.Here, Vrms is an rms input voltage input from the
만약, 무선전력 송신장치(200)와 무선전력 수신장치(300) 간 거리가 멀어져 결합계수(K2)값이 작아지면, 제1 입력 임피던스(Z1)가 커지고, 그에 따라 입력전류가 작아지게 되어 전력소스(100)에서 무선전력 송신장치(200)에 전달되는 송신전력이 작아진다. 송신전력이 작아지면, 무선전력 수신장치(300)가 수신하는 전력도 작아지므로 무선전력 수신장치(300)에 일정한 전력을 공급하도록 입력전압을 조절할 필요가 있다.If the distance between the
이하에서는 입력전압을 조절하여 무선전력 수신장치(300)에 일정한 전력을 공급하는 과정을 설명한다.Hereinafter, a process of supplying constant power to the
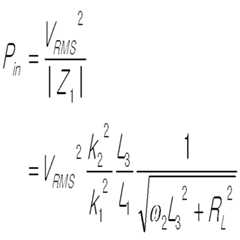
먼저, 결합계수(K2)에 따른 송신전력은 [수학식 12]와 같이 표현될 수 있고,First, the transmission power according to the coupling coefficient (K2) can be expressed as shown in [Equation 12],
[수학식 12]&Quot; (12) "
[수학식 12]를 통해 입력전압에 관한 [수학식 13]을 얻을 수 있다.Through
[수학식 13]&Quot; (13) "
또한, 무선전력 수신장치(300)가 수신하는 수신전력은 송신전력과 전송효율의 곱으로 표현된다. 전력 조절부(240)는 무선전력 수신장치(300)에 일정한 전력이 공급되도록 [수학식 13]의 입력전압을 변경시킬 수 있다. 입력전압이 변경되면, 송신전력 또한, 변경되어 수신전력 또한 일정하게 유지될 수 있다.In addition, the reception power received by the
도 3은 본 발명의 일 실시 예에 따른 무선전력 전송 시스템(1000)의 무선전력 전송 방법의 흐름도이다.3 is a flowchart illustrating a wireless power transmission method of the wireless
먼저, 검출부(230)는 제1 입력 임피던스를 측정한다(S101). 제1 입력 임피던스는 전력소스(100)에서 송신부(210)를 바라보았을 때 측정되는 임피던스이다.First, the
그 후, 검출부(230)는 측정된 제1 입력 임피던스에 기초하여 결합계수 값을 검출할 수 있다(S103). 구체적으로, 검출부(230)는 송신부(210)에서 수신부(310)를 바라본 제2 입력 임피던스(Z2)를 측정하고, 제2 입력 임피던스(Z2)를 이용하여 제1 입력 임피던스(Z1)를 측정한 후, 측정된 제1 입력 임피던스(Z1)에 기초하여 결합계수 값을 검출할 수 있다.Thereafter, the
그 후, 전력 조절부(240)는 검출된 결합계수 값을 기초로 전력소스(100)를 제어하여 무선전력 수신장치(300)에 전달되는 전력을 조절할 수 있다(S105). 일 실시 예에서 전력 조절부(240)는 결합계수 값의 변경에 따라 무선전력 수신장치(300)에 전달되는 전력이 일정하도록 전력소스(100)를 조절할 수 있다.Thereafter, the
그 후, 송신부(210)는 전력 조절부(240)에 의해 조절된 전력을 무선전력 수신장치(300)에 전송할 수 있다(S107). 전력전송 방식은 자기 공진 현상에 기초할 수 있다.
Thereafter, the
또한, 이상에서는 본 발명의 바람직한 실시 예에 대하여 도시하고 설명하였지만, 본 발명은 상술한 특정의 실시 예에 한정되지 아니하며, 청구범위에서 청구하는 본 발명의 요지를 벗어남이 없이 당해 발명이 속하는 기술분야에서 통상의 지식을 가진 자에 의해 다양한 변형 실시가 가능한 것은 물론이고, 이러한 변형 실시들은 본 발명의 기술적 사상이나 전망으로부터 개별적으로 이해 되어서는 안될 것이다.While the present invention has been particularly shown and described with reference to exemplary embodiments thereof, it is to be understood that the invention is not limited to the disclosed exemplary embodiments, but, on the contrary, It should be understood that various modifications may be made by those skilled in the art without departing from the spirit and scope of the present invention.
100: 전력 소스
200: 무선전력 송신장치
300: 무선전력 수신장치
400: 부하단100: Power source
200: Wireless power transmitting device
300: Wireless power receiving device
400: load stage
| Application Number | Priority Date | Filing Date | Title |
|---|---|---|---|
| KR1020130008136AKR101795098B1 (en) | 2013-01-24 | 2013-01-24 | Apparatus for transmitting wireless power, apparatus for receiving wireless power, system for transmitting wireless power and method for transmitting wireless power |
| Application Number | Priority Date | Filing Date | Title |
|---|---|---|---|
| KR1020130008136AKR101795098B1 (en) | 2013-01-24 | 2013-01-24 | Apparatus for transmitting wireless power, apparatus for receiving wireless power, system for transmitting wireless power and method for transmitting wireless power |
| Application Number | Title | Priority Date | Filing Date |
|---|---|---|---|
| KR1020110137785ADivisionKR101360550B1 (en) | 2011-09-29 | 2011-12-19 | Apparatus for transmitting wireless power, apparatus for receiving wireless power, system for transmitting wireless power and method for transmitting wireless power |
| Publication Number | Publication Date |
|---|---|
| KR20130070612Atrue KR20130070612A (en) | 2013-06-27 |
| KR101795098B1 KR101795098B1 (en) | 2017-11-07 |
| Application Number | Title | Priority Date | Filing Date |
|---|---|---|---|
| KR1020130008136AActiveKR101795098B1 (en) | 2013-01-24 | 2013-01-24 | Apparatus for transmitting wireless power, apparatus for receiving wireless power, system for transmitting wireless power and method for transmitting wireless power |
| Country | Link |
|---|---|
| KR (1) | KR101795098B1 (en) |
| Publication number | Priority date | Publication date | Assignee | Title |
|---|---|---|---|---|
| WO2015064815A1 (en)* | 2013-10-31 | 2015-05-07 | 주식회사 한림포스텍 | Hybrid wireless power transmission system and method therefor |
| KR20150049858A (en)* | 2013-10-31 | 2015-05-08 | 주식회사 한림포스텍 | Method for processing signal in hybrid wireless power transmission device which enables to transmit magnetic resonance wirelss power signal and induce wireless power signal, and hybrid wireless power transmission device using the same |
| KR20190130750A (en)* | 2018-05-15 | 2019-11-25 | 삼성전자주식회사 | Electronic device and method for transmitting information to external device for adjusting wireless power to be transmitted from external device based on proximity of external object |
| KR102243495B1 (en)* | 2019-11-15 | 2021-04-22 | 경희대학교 산학협력단 | System and method for simultaneously transmitting wireless power and information |
| Publication number | Priority date | Publication date | Assignee | Title |
|---|---|---|---|---|
| JP2009112153A (en)* | 2007-10-31 | 2009-05-21 | Meleagros Corp | Power reception device of power transmission apparatus |
| JP5165408B2 (en) | 2008-02-08 | 2013-03-21 | 三菱電機株式会社 | Non-contact power transmission device |
| JP2011050140A (en) | 2009-08-26 | 2011-03-10 | Sony Corp | Non-contact electric power feeding apparatus, non-contact power electric receiver receiving apparatus, non-contact electric power feeding method, non-contact electric power receiving method and non-contact electric power feeding system |
| JP5016069B2 (en)* | 2010-01-12 | 2012-09-05 | トヨタ自動車株式会社 | Power transmission system and vehicle power supply device |
| Publication number | Priority date | Publication date | Assignee | Title |
|---|---|---|---|---|
| WO2015064815A1 (en)* | 2013-10-31 | 2015-05-07 | 주식회사 한림포스텍 | Hybrid wireless power transmission system and method therefor |
| KR20150049858A (en)* | 2013-10-31 | 2015-05-08 | 주식회사 한림포스텍 | Method for processing signal in hybrid wireless power transmission device which enables to transmit magnetic resonance wirelss power signal and induce wireless power signal, and hybrid wireless power transmission device using the same |
| US10014725B2 (en) | 2013-10-31 | 2018-07-03 | Ge Hybrid Technologies, Llc | Hybrid wireless power transmitting system and method therefor |
| US10778037B2 (en) | 2013-10-31 | 2020-09-15 | Ge Hybrid Technologies, Llc | Hybrid wireless power transmitting system and method therefor |
| US11038378B2 (en) | 2013-10-31 | 2021-06-15 | Ge Hybrid Technologies, Llc | Hybrid wireless power transmitting system and method therefor |
| US11362544B2 (en) | 2013-10-31 | 2022-06-14 | Ge Hybrid Technologies, Llc | Hybrid wireless power transmitting system and method therefor |
| US11936202B2 (en) | 2013-10-31 | 2024-03-19 | Ge Hybrid Technologies, Llc | Hybrid wireless power transmitting system and method therefor |
| KR20190130750A (en)* | 2018-05-15 | 2019-11-25 | 삼성전자주식회사 | Electronic device and method for transmitting information to external device for adjusting wireless power to be transmitted from external device based on proximity of external object |
| US11973353B2 (en) | 2018-05-15 | 2024-04-30 | Samsung Electronics Co., Ltd. | Electronic device and method for transmitting information to external device for adjusting wireless power to be transmitted from external device on basis of proximity of external object |
| KR102243495B1 (en)* | 2019-11-15 | 2021-04-22 | 경희대학교 산학협력단 | System and method for simultaneously transmitting wireless power and information |
| Publication number | Publication date |
|---|---|
| KR101795098B1 (en) | 2017-11-07 |
| Publication | Publication Date | Title |
|---|---|---|
| KR101338654B1 (en) | Apparatus for transmitting wireless power, apparatus for receiving wireless power, system for transmitting wireless power and method for transmitting wireless power | |
| US10493856B2 (en) | System, apparatus and method for optimizing wireless charging alignment | |
| JP6306816B2 (en) | Wireless power transmission apparatus and power transfer method thereof | |
| US9680336B2 (en) | Wireless power repeater and method thereof | |
| US10284018B2 (en) | System, apparatus and method for adaptive tuning for wireless power transfer | |
| US9190850B2 (en) | Wireless power transmitter | |
| KR101262615B1 (en) | Apparatus for transmitting wireless power, apparatus for receiving wireless power, system for transmitting wireless power and method for transmitting wireless power | |
| US9865391B2 (en) | Wireless power repeater and method thereof | |
| EP2413451B1 (en) | Wireless feeding system | |
| CN104701998A (en) | Resonance type noncontact power supply device, electricity energy emission end and control method | |
| US9912194B2 (en) | Wireless power apparatus and operation method thereof | |
| KR20120136214A (en) | A wireless power transmission apparatus and method thereof | |
| KR101795098B1 (en) | Apparatus for transmitting wireless power, apparatus for receiving wireless power, system for transmitting wireless power and method for transmitting wireless power | |
| KR101360550B1 (en) | Apparatus for transmitting wireless power, apparatus for receiving wireless power, system for transmitting wireless power and method for transmitting wireless power | |
| KR101360744B1 (en) | Apparatus for transmitting wireless power, apparatus for receiving wireless power, system for transmitting wireless power and method for transmitting wireless power | |
| KR101428162B1 (en) | Apparatus for supplying power and apparatus for transmitting wireless power and method for detecting resonance frequency | |
| KR101822213B1 (en) | Apparatus for transmitting wireless power, apparatus for receiving wireless power, system for transmitting wireless power and method for transmitting wireless power | |
| KR101305898B1 (en) | Apparatus for transmitting wireless power, apparatus for receiving wireless power, system for transmitting wireless power and method for controling impedence | |
| KR101305828B1 (en) | Apparatus for transmitting wireless power, apparatus for receiving wireless power, system for transmitting wireless power and method for transmitting wireless power | |
| KR20130102511A (en) | Apparatus for transmitting wireless power, apparatus for receiving wireless power, system for transmitting wireless power and method for transmitting wireless power | |
| KR101875974B1 (en) | A wireless power transmission apparatus and method thereof | |
| KR20130096210A (en) | Apparatus for transmitting wireless power, apparatus for receiving wireless power, system for transmitting wireless power and method for transmitting wireless power | |
| KR101745043B1 (en) | A wireless power transmission apparatus and method thereof | |
| KR101795097B1 (en) | Apparatus for transmitting wireless power, apparatus for receiving wireless power, system for transmitting wireless power and method for controling impedence | |
| KR20120048314A (en) | Wireless power transfer system using electromagnetic field resonance mode |
| Date | Code | Title | Description |
|---|---|---|---|
| A107 | Divisional application of patent | ||
| PA0107 | Divisional application | Comment text:Divisional Application of Patent Patent event date:20130124 Patent event code:PA01071R01D | |
| PG1501 | Laying open of application | ||
| PA0201 | Request for examination | Patent event code:PA02011R04I Patent event date:20130124 Comment text:Divisional Application of Patent | |
| E902 | Notification of reason for refusal | ||
| PE0902 | Notice of grounds for rejection | Comment text:Notification of reason for refusal Patent event date:20170206 Patent event code:PE09021S01D | |
| E701 | Decision to grant or registration of patent right | ||
| PE0701 | Decision of registration | Patent event code:PE07011S01D Comment text:Decision to Grant Registration Patent event date:20170829 | |
| GRNT | Written decision to grant | ||
| PR0701 | Registration of establishment | Comment text:Registration of Establishment Patent event date:20171101 Patent event code:PR07011E01D | |
| PR1002 | Payment of registration fee | Payment date:20171101 End annual number:3 Start annual number:1 | |
| PG1601 | Publication of registration | ||
| PR1001 | Payment of annual fee | Payment date:20201013 Start annual number:4 End annual number:4 | |
| PR1001 | Payment of annual fee | Payment date:20211013 Start annual number:5 End annual number:5 | |
| PR1001 | Payment of annual fee | Payment date:20221011 Start annual number:6 End annual number:6 | |
| PR1001 | Payment of annual fee | Payment date:20231012 Start annual number:7 End annual number:7 | |
| PR1001 | Payment of annual fee | Payment date:20241015 Start annual number:8 End annual number:8 |