

본 발명의 시변 다중 안테나 간섭 채널 기술에 관한 것으로, 보다 상세하게는 간섭 제어 기술의 하나의 간섭 정렬 기술을 시변 채널에 적용하여 빔형성 벡터를 계산하는 순간의 채널과 송신 신호를 전송하는 채널이 다를 경우에도 원하는 성능을 얻을 수 있는 시변 다중 사용자 다중 안테나 간섭 채널 환경에서의 다중 송신 스트림을 위한 빔 설계 알고리즘 및 이를 이용한 빔 설계 방법에 관한 것이다.
The present invention relates to a time-varying multi-antenna interference channel technique, and more particularly, a channel for transmitting a transmission signal and a channel at the moment of calculating a beamforming vector differ from one interference alignment technique of an interference control technique. The present invention relates to a beam design algorithm for a multiple transmission stream in a time varying multi-user multi-antenna interference channel environment and a beam design method using the same.
이동 통신에서의 데이터 수요가 계속 증가하면서, 간섭 관리 기술에 대한 중요성이 대두되고 있고, 간섭 영향을 효과적으로 해결하는 방안으로 간섭 정렬 기술이 제안되었다.As the demand for data in mobile communication continues to increase, the importance of interference management techniques has emerged, and interference alignment techniques have been proposed as a way to effectively solve interference effects.
간섭 정렬 기술은 모든 직접 링크와 간섭 링크의 채널을 알고 있다는 가정에서 전체 공간을 원하는 신호 공간과 간섭 신호 공간으로 나누어서 여러 개의 간섭 신호들은 제한된 간섭 공간에만 존재하도록 하는 송신 빔 형성 기술이다.The interference alignment technique is a transmission beamforming technique in which all interference signals exist in a limited interference space by dividing the entire space into a desired signal space and an interference signal space on the assumption that all direct links and channels of the interference link are known.
원하는 신호 공간과 간섭 신호 공간이 선형 독립이라면, 간섭 영향이 없이 원하는 신호를 추출할 수 있기 때문에, 원하는 자유도 (degrees of freedom), 다시 말해서, multiplexing gain을 얻을 수 있다.If the desired signal space and the interference signal space are linearly independent, the desired signal can be extracted without the influence of interference, so that desired degrees of freedom, that is, multiplexing gain can be obtained.
이와 같은 간섭 정렬을 위한 송신 빔을 설계하는 방법에는 여러 가지가 있다.There are several ways to design a transmission beam for such interference alignment.
그중 한 가지가 사전 특허(출원번호: 10-2009-0108145)에서 제안하고 있는 최소 자승 접근 방식이다.One of them is the least-squares approach proposed by prior patents (application number: 10-2009-0108145).
하지만, 이전 방식에서 송신 스트림 수가 1개이 경우에는 여타 방식들에 비하여 낮은 복잡도를 갖으면서도 거의 동일한 성능을 얻는다는 것을 보였다. 하지만, 2개 이상의 다중 스트림을 전송하는 경우에는 자유도가 보장하지 못하는 단점이 있었다.
However, it has been shown that in the previous scheme, if the number of transmission streams is one, the performance is almost the same while having a lower complexity than the other schemes. However, when two or more multiple streams are transmitted, the degree of freedom cannot be guaranteed.
본 발명에서는 다중 사용자 다중 안테나 간섭 채널 환경에서 특히, 다수개의 송신 데이터 스트림을 전송할 때, 기존 최소 자승 알고리즘에서도 자유도를 보장할 수 있고, 또한, 그리고 시변 채널에서 매 순간 빔 형성 행렬을 구하는 복잡한 반복 알고리즘을 수행하지 않고도 주기적으로 구한의 고유치와 고유벡터 그리고 채널 변화만을 이용하여 새로운 빔 형성 벡터를 간단히 구할 수 있는 시변 다중 사용자 다중 안테나 간섭 채널 환경에서의 다중 송신 스트림을 위한 알고리즘 및 이를 이용한 빔 설계 방법을 제공하는 것이다.
In the present invention, in a multi-user multi-antenna interference channel environment, especially when transmitting a plurality of transmission data streams, it is possible to guarantee the degree of freedom in the existing least squares algorithm, and also to obtain the instantaneous beamforming matrix every time in the time-varying channel. Obtained periodically without performing An algorithm for a multi-transmission stream in a time-varying multi-user multi-antenna interference channel environment in which a new beamforming vector can be easily obtained using only the eigenvalues, the eigenvectors, and the channel change is provided.
상기 과제를 해결하기 위한 본 발명의 실시 예에 따른 시변 다중 사용자 다중 안테나 간섭 채널환경에서의 다중 송신 스트림을 위한 빔 설계 방법은 Hkl로 주어진 채널 행렬 상에서 Aij 선형 조합 계수 행렬을 추출하여 초기화시킨 후, i값(반복 계산 인수)의 최대치 범위의 유무에 따라 진행 여부를 판단하는 제1단계, 상기 채널 행렬 Hkl과 상기 선형 조합 계수 행렬 Aij를 이용하여 행렬의 크기가 (K(K-2)Md×KNd)인 행렬을 구성하는 제2단계, 상기 행렬를 이용하여 행렬의 최소 고유치에 해당하는 고유 벡터들을 추출하는 제3단계, 상기 고유 백터들을 이용하여 수학식 7로 구성되는 빔 벡터로 재구성하는 제4단계, 상기 빔 벡터를 이용하여 상기 Aij 선형 조합 계수 행렬을 수학식 9의 과정을 통하여 갱신하는 제5단계 및 상기 과정들을 iMAX번 반복하는 제6단계를 포함한다.In order to solve the above problems, a beam design method for a multi-transmission stream in a time-varying multi-user multi-antenna interference channel environment is obtained by initializing an Aij linear combination coefficient matrix on a channel matrix given by Hkl . Then, in a first step of determining whether to proceed according to the presence or absence of the maximum value range of the i value (repeating calculation factor), the size of the matrix is determined by using the channel matrix Hkl and the linear combination coefficient matrix Aij . 2) matrix with Md × KNd) The second step of constructing, the matrix Matrix using Extracting the eigenvectors corresponding to the minimum eigenvalues of the second step; reconstructing the eigenvectors into a beam vector of Equation 7 using the eigenvectors; and forming the Aij linear combination coefficient matrix using the beam vector. A fifth step of updating through the process of Equation 9 and a sixth step of repeating the above iMAX times.
상기 수학식 7은Equation 7 is
이다. to be.
여기서, Vi는 고유 벡터를 나타내며, [aij]k는 벡터 aij의 k-번째 성분을 나타내며, 상기 고유 벡터들은 수학식 3을 이용하여 나타낸다.Here, Vi represents an eigenvector, [aij ]k represents a k-th component of the vector aij , and the eigenvectors are represented using Equation 3 below.
상기 수학식 9는,Equation 9 is
이다.
to be.
상기 행렬를 이용하여 행렬의 최소 고유치에 해당하는 고유 벡터들을 추출하는 단계는 하기에 기재된 알고리즘 1에 따라 상기 고유치 분해를 수행하는 단계인 것을 특징으로 한다.
The matrix Matrix using Extracting the eigenvectors corresponding to the minimum eigenvalue of is characterized in that the step of performing the eigenvalue decomposition according to
상기 알고리즘 1은,
시간 n=iL인 경우일 때,(L은 미리 정해진 상수, i=0,1,...) i=0일 때,이고, i〉0일 때,인 상태로 초기화하는 a)단계를 포함하는 것을 특징으로 한다.
When time n = iL (L is a predetermined constant, i = 0,1, ...) When i = 0, And i> 0, It characterized in that it comprises a) step of initializing to the state.
상기 알고리즘 1은 상기들과들을 이용하여를 구성하는 b)단계를 포함하는 것을 특징으로 한다.
상기 알고리즘 1은, 청구항 1항의 단계들을 반복 수행하여을 갱신하는 c단계를 포함하는 것을 특징으로 한다.
상기 알고리즘 1은 상기 c)단계의 최종와을 이용하여을 구성하는 d)단계를 포함하는 것을 특징으로 한다.
상기 알고리즘 1은 상기를 고유치 분해하는 e)단계를 포함하는 것을 특징으로 한다.
상기 e)단계에서 생성된 d개의 최소 고유치에 해당하는 고유벡터를 이용하여 송신 빔을 설계하는 f)단계를 포함하는 것을 특징으로 한다.
And f) designing a transmission beam using eigenvectors corresponding to d minimum eigenvalues generated in step e).
상기 빔 벡터와 상기 Aij 선형 조합 계수 행렬을 이용하여 빔 벡터를 갱신하는 단계는,Updating the beam vector by using the beam vector and the Aij linear combination coefficient matrix,
두 가지 명제에 기반하여 수행되는 단계인 것을 특징으로 하며,Characterized in that it is a step performed based on two propositions,
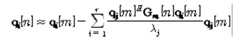
상기 두 가지 명제 중 어느 하나는 시간 m에서이라고 하고, R[m]은 rank가 rF인 full rank 행렬이고, rF개의 각각 다른 고유치와 이에 해당하는 고유벡터가와라고 가정하고, 시간이 n>m일 때,하면, R[n]의 i 번째 (i=1,2, ..., d) 작은 고유치를 갖는 고유 벡터 qi[n]은 [수학식 10]를 이용하여 얻는다.One of the two propositions at time m That is, R [m] are the eigenvectors for the rank r andF a full rank matrix, the eigenvalues of each other and hence rF Wow , And when time is n> m, Then, the eigenvector qi [n] having the i-th (i = 1, 2, ..., d) small eigenvalue of R [n] is obtained using Equation (10).
상기 두 가지 명제 중 또 다른 하나는,Another one of the two propositions,
"시간 m에서 rank가 인 rank deficient 행렬이고, 널 공간의 차원이 d보다 크다고 가정할 경우,"Assuming a rank deficient matrix with rank at time m and the dimension of null space is greater than d,
rF개의 0이 아닌 각각 다른 고유치와 이에 해당하는 고유벡터가 고유벡터가와라고 가정한다.
이때, 시간 n>m에서이라고 하면, R[n]의 i 번째 (i=1,2, ..., d) 0의 고유치를 갖는 고유 벡터qi[n]은 [수학식 11]과 같이 근사적으로 구한다."At this time, n> m , The eigenvectors qi [n] having the eigenvalues of the i th (i = 1, 2, ..., d) 0 of R [n] are approximated by Equation (11). "
[수학식 10]&Quot; (10) "
[수학식 11]&Quot; (11) "
인 것을 특징으로 한다. 여기서 ()H는 허미션 행렬 연산을 나타낸다.
It is characterized by that. Where ()H represents the hermit matrix operation.
알고리즘 2에 따라 상기 고유벡터를 갱신하는 것을 특징으로 한다.
The eigenvector is updated according to
상기 알고리즘 2는,
시간 n=iL+1~iL+L-1일 경우,If time n = iL + 1 ~ iL + L-1,
들과 Hkl[n]들을 이용하여구성하는 g)단계를 포함하는 것을 특징으로 한다.
And Hkl [n] Characterized in that it comprises a step g).
상기 알고리즘 2는,
을 계산하고, R[iL]의 rank에 따라서 수학식 10 또는 수학식 11을 이용하여 고유벡터를 갱신하는 h)단계를 포함하는 것을 특징으로 한다. And h) updating the eigenvector using Equation 10 or Equation 11 according to the rank of R [iL].
상기 수학식 10은,Equation 10 is
이며, ,
상기 수학식 11은
Equation 11 is
이다. 여기서, n= iL+1~iL+L-1이고, m=iL로 설정하면 된다.
to be. Here, n = iL + 1 to iL + L-1 and m = iL may be set.
상기 수학식 10 및 상기 수학식 11은,Equation 10 and Equation 11,
두 가지 명제에 기초하며, 상기 두 가지 명제 중 어느 하나는,Based on two propositions, either of which
시간 m에서이라고 하고, R[m]은 rank가 rF인 full rank 행렬이고, rF개의 각각 다른 고유치와 이에 해당하는 고유벡터가와이며, 상기 두 가지 명제 중 다른 하나는,At hour m That is, R [m] are the eigenvectors for the rank r andF a full rank matrix, the eigenvalues of each other and hence rF Wow And the other of the two propositions is
시간 n>m에서이라고 하면, R[n]의 i 번째 (i=1,2, ..., d) 작은 고유치를 갖는 고유 벡터 qi[n]는 상기 수학식 10 또는 상기 수학식 11과 같이 근사적으로 구할 수 있다" 라는 명제인 것을 특징으로 한다.
At time n> m In this case, the eigenvector qi [n] having the i-th (i = 1, 2, ..., d) small eigenvalue of R [n] can be approximately obtained as in Equation 10 or Equation 11 above. Can "is characterized by the proposition.
상기 과제를 해결하기 위한 본 발명의 실시 예에 따른 시변 다중 사용자 다중 안테나 간섭 채널 환경에서의 다중 송신 스트림을 위한 알고리즘은 시간 n=iL인 경우일 때,(L은 미리 정해진 상수, i=0,1,...) i=0일 때,이고, i〉0일 때,상태로 초기화 하는 a)단계, 상기들과들을 이용하여를 구성하는 b)단계, 청구항 1항의 단계들을 반복 수행하여을 갱신하는 c)단계, 상기 c)단계의 최종와을 이용하여을 구성하는 d)단계, 상기를 고유치 분해하는 e)단계 및 상기 e)단계에서 생성된 d개의 최소 고유치에 해당하는 고유벡터를 이용하여 송신 빔을 설계하는 f)단계를 포함하는 것을 특징으로 한다.
An algorithm for a multi-transmission stream in a time-varying multi-user multi-antenna interference channel environment according to an embodiment of the present invention for solving the above problem is when time n = iL (L is a predetermined constant, i = 0, 1, ...) When i = 0, And i> 0, A) initializing to a state, said With the field Using B) configuring the step, by repeating the steps of claim 1 C) updating the final step of step c) Wow Using D) configuring the above, the E) decomposing eigenvalues and f) designing a transmission beam using eigenvectors corresponding to the d minimum eigenvalues generated in step e).
상기 과제를 해결하기 위한 본 발명의 실시 예에 따른 시변 다중 사용자 다중 안테나 간섭 채널 환경에서의 다중 송신 스트림을 위한 알고리즘은, 시간 n=iL+1~iL+L-1일 경우,들과 Hkl[n]들을 이용하여구성하는 g)단계 및을 계산하고, R[iL]의 rank에 따라서 수학식 10 또는 수학식 11을 이용하여 고유벡터를 갱신하는 h)단계를 포함하는 것을 특징으로 한다.An algorithm for a multi-transmission stream in a time-varying multi-user multi-antenna interference channel environment according to an embodiment of the present invention for solving the above problem, when time n = iL + 1 ~ iL + L-1, And Hkl [n] Configuring step g) and And h) updating the eigenvector using Equation 10 or Equation 11 according to the rank of R [iL].
상기 수학식 10은,Equation 10 is
이며, ,
상기 수학식 11은
Equation 11 is
이다. 여기서 n=iL+1~iL+L-1이고, m=iL로 설정하면 된다. to be. Here, n = iL + 1 to iL + L-1 and m = iL may be set.
이때, 상기 수학식 10 및 상기 수학식 11은 두 가지 명제에 기초하며, 상기 두 가지 명제 중 어느 하나는, 시간 m=iL에서이라고 하고, R[m]은 rank가 rF인 full rank 행렬이고, rF개의 각각 다른 고유치와 이에 해당하는 고유벡터가 고유벡터가와이며, 상기 두 가지 명제 중 다른 하나는, 시간 n>m에서이라고 하면, R[n]의 i 번째 (i=1,2, ..., d) 작은 고유치를 갖는 고유 벡터 qi[n]는 상기 수학식 10 또는 상기 수학식 11과 같이 근사적으로 구할 수 있다" 라는 명제인 것을 특징으로 한다.
In this case, Equation 10 and Equation 11 are based on two propositions, and either of the two propositions is performed at time m = iL. That is, R [m] is a rank rF is a full rank matrix, rF of each of the other eigenvalues and its corresponding eigenvectors are eigenvectors are Wow And the other of the two propositions is at time n> m In this case, the eigenvector qi [n] having the i-th (i = 1, 2, ..., d) small eigenvalue of R [n] can be approximately obtained as in Equation 10 or Equation 11 above. There is a proposition. "
본 발명에 따르면, 기존 최소 자승 방식에서는 약점이었던 다수의 송신 스트림을 전송하는 경우에도 최대 자유도를 보장할 수 있는 효과가 있다.According to the present invention, the maximum degree of freedom can be ensured even when transmitting a plurality of transmission streams, which are weak points in the existing least-squares scheme.
또한, 시변 채널에서 매순간 새로운 빔 형성 벡터를 계산하는 것이 비효율적이기 때문에, 제안된 방식을 바탕으로 이전 계산 결과를 이용하여 현재의 빔 형성 벡터를 간단히 계산하는 적응 빔 형성 벡터 계산 알고리즘을 적용한다.
In addition, since it is inefficient to calculate a new beamforming vector every time in the time-varying channel, an adaptive beamforming vector calculation algorithm is applied which simply calculates the current beamforming vector using the previous calculation result based on the proposed scheme.
도 1은 K개의 안테나를 가지는 송신단과 수신단이 존재하는 K-사용자 MIMO 간섭 채널 환경을 나타내는 개념도이다.
도 2는 본 발명의 실시 예에 따른 시변 다중 사용자 다중 안테나 간섭 채널 환경에서의 다중 송신 스트림을 위한 알고리즘을 이용한 빔 설계 방법 중에서 시간 n=iL 일 때의 빔 설계 방식인 알고리즘 1에 해당하는 부분을 나타낸 플로우 챠트이다.1 is a conceptual diagram illustrating a K-user MIMO interference channel environment in which a transmitter and a receiver having K antennas exist.
FIG. 2 shows a part corresponding to
아래에서는 첨부한 도면을 참고로 하여 본 발명의 실시 예에 대하여 본 발명이 속하는 기술 분야에서 통상의 지식을 가진 자가 용이하게 실시할 수 있도록 상세히 설명한다. 그러나 본 발명은 여러 가지 상이한 형태로 구현될 수 있으며, 여기에서 설명하는 실시 예에 한정되지 않는다. 그리고 도면에서 본 발명을 명확하게 설명하기 위해서 설명과 관계없는 부분은 생략하였으며, 명세서 전체를 통하여 유사한 부분에 대해서는 유사한 도면 부호를 붙였다.
Hereinafter, exemplary embodiments of the present invention will be described in detail with reference to the accompanying drawings so that those skilled in the art may easily implement the present invention. As those skilled in the art would realize, the described embodiments may be modified in various different ways, all without departing from the spirit or scope of the present invention. In order to clearly illustrate the present invention, parts not related to the description are omitted, and similar parts are denoted by like reference characters throughout the specification.
명세서 전체에서, 어떤 부분이 어떤 구성요소를 "포함"한다고 할 때, 이는 특별히 반대되는 기재가 없는 한 다른 구성요소를 제외하는 것이 아니라 다른 구성 요소를 더 포함할 수 있는 것을 의미한다. 또한, 명세서에 기재된 "~부","~기" 등의 용어는 적어도 하나의 기능이나 동작을 처리하는 단위를 의미하며, 이는 하드웨어나 소프트웨어 또는 하드웨어 및 소프트웨어의 결합으로 구현될 수 있다.
Throughout the specification, when a part is said to "include" a certain component, it means that it can further include other components, without excluding other components unless specifically stated otherwise. In addition, the terms "~", "~" described in the specification means a unit for processing at least one function or operation, which may be implemented in hardware or software or a combination of hardware and software.
본 발명과 본 발명의 동작상의 이점 및 본 발명의 실시에 의하여 달성되는 목적을 충분히 이해하기 위해서는 본 발명의 바람직한 실시 예를 예시하는 첨부 도면 및 도면에 기재된 내용을 참조하여야 한다.
DETAILED DESCRIPTION In order to fully understand the present invention, the operational advantages of the present invention, and the objects achieved by the practice of the present invention, reference should be made to the accompanying drawings that illustrate preferred embodiments of the present invention.
도 1은 K개의 안테나를 가지는 송신단과 수신단이 존재하는 K-사용자 MIMO 간섭 채널을 나타낸 예시도이다.1 is an exemplary diagram illustrating a K-user MIMO interference channel having a transmitter and a receiver having K antennas.
도 1에 도시된 바와 같이, 본 발명은 간섭 정렬 기술을 기반으로 한다. 여기서 도 1은 K개의 안테나를 가지는 송신단과 수신단이 존재하는 K-사용자 MIMO 간섭 채널 환경을 나타낸다. 즉, K개의 송신단과 각 송신단에 해당하는 수신단이 존재하고, 각 송신단과 수신단은 N개와 M개의 안테나를 갖는다고 가정한다. 그리고, 무선 채널의 특성상 수신단 k에서 n번째 시간에 수신하는 신호는 하기의 수학식 1과 같이 나타낼 수 있다.
As shown in Figure 1, the present invention is based on an interference alignment technique. 1 illustrates a K-user MIMO interference channel environment in which a transmitter and a receiver having K antennas exist. That is, it is assumed that there are K transmitters and receivers corresponding to each transmitter, and each transmitter and receiver has N and M antennas. In addition, the signal received at the nth time from the receiving end k may be expressed by
여기서, sk[n]과 Vk[n]은 송신단 k가 전송하는 송신 데이터 벡터(d×1)와 빔형성 행렬(N×d)을 나타낸다. 그리고, Hkl[n]과 nk[n]은 송신단 l에서 수신단 k까지의 채널 행렬(M×N)과 잡음 벡터(M×1)을 가리킨다. 그래서 상기 수학식 1의 첫 번째 항은 '원하는 신호'를 두 번째와 세 번째 항은 '간섭'과 '잡음'을 나타낸다.
Here, sk [n] and Vk [n] represent a transmission data vector (d × 1) and a beamforming matrix (N × d) transmitted by the transmitter k. Hkl [n] and nk [n] indicate a channel matrix M × N and a noise vector M × 1 from the transmitter l to the receiver k. Thus, the first term of
한편, 간섭 정렬 기술이란 각 수신단에서 M차원의 신호 공간을 d차원의 신호 부공간과 (M-d)차원의 간섭 부공간으로 나누어 (K-1)개의 간섭 신호들을 모두 (M-d)차원의 공간에 정렬하여 간섭 공간과 선형 독립적인 신호 공간을 확보함으로써 원하는 신호에서 간섭의 영향을 완전히 제거하는 기술을 의미한다.In the meantime, the interference alignment technique divides the M-dimensional signal space into the d-dimensional signal subspace and the (Md) -dimension subspace to align (K-1) interference signals in the (Md) -dimensional space. By means of securing a signal space independent of the interference space means a technique that completely eliminates the influence of the interference in the desired signal.
이렇게 하여 얻을 수 있는 최대 자유도는이다. 이와 같은 최대 자유도를 얻는 경우는 각 송신단에서개의 데이터 스트림을 전송하는, 즉인 경우이다. 이와 같은 경우 간섭 정렬 조건을 하기의 수학식 2와 같이 나타낼 수 있다.
The maximum degree of freedom in this way is to be. When the maximum degree of freedom is obtained, each transmitting end To send data streams, i.e. If In such a case, the interference alignment condition may be expressed by
여기서 C(A)는 A행렬의 열들이 스팬(span)하는 열공간(column space)을 의미한다. 따라서 상기 수학식 2의 각 행은 각 수신단에서 정렬해야 하는 신호들의 공간을 의미한다. 위 조건에서 첫 번째 행의 첫 등식은 하기의 수학식 3과 같이 다시 나타낼 수 있다.
Here, C (A) means a column space in which columns of the matrix A span. Accordingly, each row of
여기서,는 Vi의 k번째 열을 의미하고,은 선형 조합 계수이다. 즉, 두 행렬이 스팬(span)하는 열공간이 일치한다는 것은 한쪽 행렬의 각 열은 다른 쪽 행렬의 선형 조합으로 나타낼 수 있다는 것을 의미한다, 이를 크로네커 곱(Kronecker Product)을 이용하여 다시 정리하면 하기의 수학식 4와 같이 나타낼 수 있다.
here, Is the kth column of Vi , Is a linear combination coefficient. In other words, the coincidence of the column space spanning two matrices means that each column of one matrix can be represented by a linear combination of the other matrix.Then, it is rearranged using the Kronecker product. It can be expressed as in Equation 4.
여기서, Id는 d×d 단위 행렬을 나타내고,는 두 행렬의 크로네커 곱(Kronecker Product)이다. 그리고, vec(A)은 행렬의 열을 계속 쌓아서 만든 벡터를 의미한다.Where Id represents a d × d unit matrix, Is the Kronecker product of two matrices. And, vec (A) means a vector made by stacking the columns of the matrix.
위의 결과를 바탕으로 Aij들과 Hij들이 주어지면, 상기 수학식 2의 전체 등식을 하기의 수학식 5와 같이 하나의 선형식으로 나타낼 수 있다.Given Aij and Hij based on the above results, the entire equation of
여기서, Aij는를 k번째 행과 l번째 열로 갖는 선형 조합 계수 행렬이다. 이 때 앞에 있는 행렬을라고 정의하고 뒤에 있는 벡터를 v로 정의하면 하기의 수학식 6과 같이 나타낼 수 있다.
Where Aij is Is a linear combination coefficient matrix with k th row and l th column. In this case, the matrix If it is defined as and the vector after the v can be expressed as in Equation 6 below.
여기서행렬의 크기는이다.here The size of the matrix to be.
행렬의 크기 및 Aij 의 값에 따라서 수학식 5의 해가 존재하지 않을 수 있다.The solution of Equation 5 may not exist depending on the size of the matrix and the value of Aij .
우선이 위로 긴 행렬(tall matrix)인 경우 (예, K=3, N>M, d=M/2)에는 해가 항상 존재하고, 그 해는의 널공간 (null space)에 있는 임의 벡터가 된다.first For this long matrix (e.g. K = 3, N> M, d = M / 2), there is always a solution, This is an arbitrary vector in null space of.
반면가 정방 행렬 또는 옆으로 긴 행렬(fat matrix)인 경우에는 두 가지의 경우도 다시 나눌 수 있다.On the other hand If is a square matrix or fat matrix, two cases can be divided again.
첫 번째의 경우는 Aij를 잘 선택하여가 d의 nullity를 갖는 경우이고, 두번째의 경우는 어떤 Aij를 선택하더라도가 full rank가 되어 [수학식 5]의 해가 존재하지 않는 경우이다.In the first case, choose Aij Has nullity of d, and in the second case no matter what Aij is selected, Is a full rank so that the solution of Equation 5 does not exist.
상기 첫 번째의 경우(예컨대,가 d의 nullity를 갖는 경우)의 예는 K=3, N=M=2d인 경우를 예로 들 수 있다.In the first case (eg Is the case where d has nullity), for example, K = 3 and N = M = 2d.
이 예는 간섭 정렬이 실제 환경에서 쓰일 수 있는 현실적인 경우 중 하나이다. 그래서 본 특허에서는 이 경우를 중점적으로 설명한다.This example is one of the realistic cases where interference alignment can be used in a real environment. Therefore, this case focuses on this case.
상기 두 번째의 경우(예컨대, 어떤 Aij를 선택하더라도가 full rank가 되는 경우)에 해당하는 예로는, K=4, M=N=2d인 경우로 간섭 정렬이 불가능하다고 알려진 경우이다.In the second case (for example, no matter what Aij is selected Is a case where K = 4, M = N = 2d, and interference sorting is known to be impossible.
앞에서 언급한 바와 같이, K=3, N=M=2d의 경우에는 Aij를 잘 선택하여가 d의 nullity를 갖는다는 사실을 확인할 수 있다.As mentioned earlier, for K = 3 and N = M = 2d, choose Aij You can see that has a nullity of d.
그리고 d 차원을 널 공간의 기저벡터로 이루어진 (KdN×d) 행렬은 다음과 같은 형태를 띤다.The (KdN × d) matrix consisting of the base vector of the null space with the d dimension has the following form.
여기서,의 각 column은 같은 크기 N의 벡터 d개가 각각 다른 상수가 곱해져서 있는 형태이다.here, Each column of is a d vector of the same size N multiplied by different constants.
그래서의 최소 고유치를 갖는 고유값 벡터 하나를 선택하여 송신 빔을 결정할 경우에는 동일 송신 단에서 전송되는 다수의 스트림이 모두 같은 빔 방향으로 전송되는 현상이 나타난다.so When a transmission beam is determined by selecting one eigenvalue vector having a minimum eigenvalue of, all of the streams transmitted from the same transmitter are transmitted in the same beam direction.
그래서 다수의 송신 데이터를 수신 단에서 분리할 수 없는 문제점이 발생한다. Therefore, a problem arises in that a plurality of transmission data cannot be separated at the receiving end.
하지만, Aij를 잘 설계되었을 경우에는 의 nullity가 d이므로 d개의 널벡터 중 어떤 것을 선택하더라고 간섭 정렬이 가능하다.However, if Aij is well-designed, then the nullity of d is d, so any sort of d null vectors can be selected for interference alignment.
따라서, Vi를 [수학식 8]와 같이 선택하면, d개의 독립적인 빔을 형성할 수 있어, 총 Kd개의 자유도를 얻을 수 있다.Therefore, when Vi is selected as shown in Equation 8, d independent beams can be formed, and thus a total of Kd degrees of freedom can be obtained.
여기서, [aij]k는 벡터 aij의 k-번째 성분을 나타낸다.Here, [aij ]k represents the k-th component of the vector aij .
따라서 제안하는 간섭 정렬 빔 설계 방식을 다음과 같이 구성된다.Therefore, the proposed interference alignment beam design scheme is constructed as follows.
우선 Aij를 단위 행렬로 초기화하고, 주어진 채널 행렬들을 이용하여을 구성한다.Initialize Aij to an identity matrix and then use the given channel matrices Configure
그리고의 d개의 최소 고유치에 해당하는 고유벡터들을 구한다. 이들을 가지고, [수학식 8]와 같이 빔 벡터들을 구한다.And Find the eigenvectors corresponding to d minimum eigenvalues of. With these, the beam vectors are obtained as shown in [Equation 8].
그리고 상기 빔 벡터를 바탕으로 [수학식 9]의 과정을 통하여 Aij를 갱신한다. 이와 같은 과정을 정해진 반복 회 수만큼 수행하여 최종 빔을 얻는다.Aij is updated through the process of Equation 9 based on the beam vector. This process is performed for a predetermined number of repetitions to obtain the final beam.
시분변 채널인 경우에는 채널Hij[n]들이 시간 n에 상관없이 항상 같기 때문에, 위 과정을 한번 수행하여 구한 빔 형성 벡터를 모든 시간에 계속 사용할 수 있다.In the case of time-varying channels, since the channels Hij [n] are always the same regardless of the time n, the beamforming vector obtained by performing the above process once can be used continuously at all times.
하지만, 채널이 변할 경우에는 빔 형성 벡터 계산에 사용된 채널과 실제 채널 사이에 차이가 있어서 간섭 정렬이 제대로 이루어지지 못한다. 따라서 매 순간 변하는 채널을 이용하여 다시 빔을 설계해야 한다. 이런 경우, 그 복잡도가 높아 실제 환경에서 활용이 불가능하다.
However, when the channel changes, there is a difference between the channel used for calculating the beamforming vector and the actual channel, so that interference alignment is not properly performed. Therefore, the beam must be designed again using the channel that changes every moment. In this case, the complexity is so high that it cannot be utilized in a real environment.
따라서 본 발명에서는 매트릭스 교란(matrix perturbation) 이론을 이용한 간단한 빔 설계 알고리즘을 제안한다.Therefore, the present invention proposes a simple beam design algorithm using matrix perturbation theory.
구체적인 알고리즘 설명에 앞서 다음의 두 명제를 소개한다.Before describing the algorithm, the following two propositions are introduced.
우선, 시간 m에서이라고 하고, R[m]은 rank가 rF인 full rank 행렬이고, r개의 각각 다른 고유치와 이에 해당하는 고유벡터가와라고 하자.First of all, at time m R [m] is a full rank matrix of rank rF, where r different eigenvalues and corresponding eigenvectors Wow Let's say
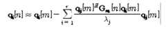
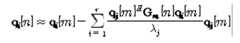
그리고 시간 n>m에서 이라고하면, R[n]의 i 번째 (i=1,2, ..., d) 작은 고유치를 갖는 고유 벡터 qi[n]은 [수학식 10]과 같이 근사적으로 구할 수 있다.And in time n> m In this case, the eigenvector qi [n] having the i-th (i = 1, 2, ..., d) small eigenvalue of R [n] can be approximately obtained as in Equation 10.
또한 시간 m에서 이 rank가 인 rank deficient 행렬이고, 널 공간의 차원이 d보다 크다고 하자. 그리고 rF개의 0이 아닌 각각 다른 고유치와 이에 해당하는 고유벡터가와고 하자.Also assume that at time m, this rank is a rank deficient matrix, and that the dimension of the null space is greater than d. And rF other than eigendifferent eigenvalues and corresponding eigenvectors Wow Let's do it.
그러면, 시간 n>m에서이라고 하면, R[n]의 i 번째 (i=1,2, ..., d) 0의 고유치를 갖는 고유 벡터qi[n]은 [수학식 11]과 같이 근사적으로 구할 수 있다.Then at time n> m In this case, the eigenvector qi [n] having the eigenvalue of the i-th (i = 1, 2, ..., d) 0 of R [n] can be approximated as shown in [Equation 11].
이와 같은 두 명제를 바탕으로 R[m]의 rank에 따라서 빔 설계 알고리즘을 설계할 수 있다.Based on these two propositions, the beam design algorithm can be designed according to the rank of R [m].
[수학식 10]와 [수학식 11]에 있는 근사의 정확도는 채널 변화량 즉 ?Gm[n]?에 비례한다. 따라서 채널 변화 속도에 따라서 고유치 분해를 포함한 도 3과 같은 과정을 수행할 주기 L을 설정한다. 즉 채널 변화 속도가 느리면 L을 크게 하고, 빠르면 L을 작게 한다.The accuracy of the approximation in [Equation 10] and [Equation 11] is proportional to the amount of channel change, i.e.,? Gm [n] ?. Therefore, the period L to perform the process as shown in FIG. 3 including the eigen decomposition according to the channel change rate is set. In other words, if the channel change rate is slow, L is increased, and if L is fast, L is reduced.
그러면 매 L번째 시간에는 도 2의 반복 과정을 통하여 정확한 빔 벡터들과 추가적으로 R[iL]의 고유치 분해를 수행한다.Then, at every L-th time, the eigen value decomposition of R [iL] is performed in addition to the correct beam vectors through the repetition process of FIG. 2.
그리고 그 사이 시간에는 [수학식 10]과 [수학식 11]의 이용하여 간단히 빔을 구한다.
In the meantime, the beam is simply obtained by using Equations 10 and 11 below.
도 2는 본 발명의 실시 예에 따른 시변 다중 사용자 다중 안테나 간섭 채널 환경에서의 다중 송신 스트림을 위한 알고리즘을 이용한 빔 설계 방법 중에서 시간 n=iL 일 때의 빔 설계 방식인 알고리즘 1에 해당하는 부분을 나타낸 플로우 챠트이다.FIG. 2 shows a part corresponding to
도 2를 참조하면, 상기 빔 설계 방법은 제1단계(S10) 내지 제6단계(S60)를 포함한다.Referring to FIG. 2, the beam design method includes first steps S10 to sixth steps S60.
상기 제1단계(S10)는 Hkl로 주어진 채널 행렬 상에서 Aij 선형 조합 계수 행렬을 추출하여 초기화시킨 후, i값의 최대치 범위의 유무에 따라 진행 여부를 판단하는 단계일 수 있다.The first step S10 may be a step of extracting and initializing the Aij linear combination coefficient matrix on the channel matrix given by Hkl, and then determining whether to proceed according to the presence or absence of a maximum value range of i values.
상기 제2단계(S20)는 상기 채널 행렬 Hkl과 상기 선형 조합 계수 행렬 Aij를 이용하여 행렬의 크기가 (K(K-2)Md×KNd)인 행렬을 구성하는 단계일 수 있다.The second step (S20) is a matrix having a size of (K (K-2) Md × KNd) using the channel matrix Hkl and the linear combination coefficient matrix Aij . It may be a step of configuring.
상기 제3단계(S30)는 상기 행렬를 이용하여 행렬의 최소 고유치에 해당하는 고유 벡터들을 추출하는 단계일 수 있다.The third step (S30) is the matrix Matrix using Extracting eigenvectors corresponding to the minimum eigenvalue of.
상기 제4단계(S40)는 상기 고유 백터들을 이용하여 수학식 7로 구성되는 빔 벡터로 재구성하는 단계일 수 있다.The fourth step S40 may be a step of reconstructing a beam vector composed of Equation 7 using the unique vectors.
상기 제5단계(S50)는 상기 빔 벡터를 이용하여 상기 Aij 선형 조합 계수 행렬을 수학식 9의 과정을 통하여 갱신하는 제5단계일 수 있다.The fifth step S50 may be a fifth step of updating the Aij linear combination coefficient matrix using the beam vector through the process of Equation 9.
상기 제6단계(S60)는 상기의 반복 계산 인수값을 증가 시키면서 최대치 범위(iMAX)까지 상기 과정을 반복하는 단계일 수 있다.
The sixth step S60 may be a step of repeating the process to the maximum value range iMAX while increasing the value of the iteration calculation factor.
상기 빔 설계 방법을 구체적으로 정리하면 아래에 기재된 알고리즘 1 및 알고리즘 2를 이용하여 정리할 수 있다.In detail, the beam design method may be arranged using
하기의 알고리즘 2에서는 빔 갱신 과정에서 Akl이 거의 변화가 없다고 가정하였지만, Akl의 갱신까지 포함할 수 있다.In
상기 알고리즘 1은 상기 제3단계의 고유치 분해 과정에 필요한 알고리즘으로서, a)단계 내지 e)단계를 포함한다.
상기 a)단계는 시간 n=iL인 경우일 때,(L은 미리 정해진 상수, i=0,1,...)In step a), when time n = iL, (L is a predetermined constant, i = 0, 1, ...)
인 상태로 초기화하는 단계일 수 있다.
It may be a step of initializing to the in state.
상기 b)단계는 상기들과들을 이용하여를 구성하는 단계일 수 있다.Step b) is With the field Using It may be a step of configuring.
상기 c)단계는 상기 빔 설계 방법의 단계들을 반복 수행하여을 갱신하는 단계일 수 있다.Step c) repeats the steps of the beam design method It may be a step of updating.
상기 d)단계는 상기 c)단계의 최종와을 이용하여을 구성하는 단계일 수 있다.Step d) is the final step of step c) Wow Using It may be a step of configuring.
상기 e)단계는 상기를 고유치 분해를 수행하는 단계일 수 있다.Step e) is May be a step of performing eigenvalue decomposition.
상기 f)단계는 상기 e)단계에서 생성된 d개의 최소 고유치에 해당하는 고유벡터를 이용하여 송신 빔을 설계하는 단계일 수 있다.
Step f) may be a step of designing a transmission beam using eigenvectors corresponding to the d minimum eigenvalues generated in step e).
상기 알고리즘 2는 g)단계 내지 h)단계를 포함한다.
상기 g)단계는 시간 n=iL+1~iL+L-1일 경우,들과 Hkl[n]들을 이용하여구성하는 단계일 수 있다.Step g) is performed when time n = iL + 1 to iL + L-1, And Hkl [n] It may be a step of constructing.
상기 h)단계는을 계산하고, R[iL]의 rank에 따라서 수학식 10 또는 수학식 11을 이용하여 고유벡터를 갱신하는 단계일 수 있다.Step h) And updating the eigenvector using Equation 10 or Equation 11 according to the rank of R [iL].
즉, 본 발명은 다중 사용자 MIMO 간섭 채널에서 반복적인 정보 교환을 통해 각 수신단에서 간섭 정렬(interference alignment)를 할 수 있는 방법으로서, 순방향 채널과 역방향 채널이 고정되어 있다고 가정한 뒤, 송신단과 수신단에서 각각 임시로 만들어진 빔 형성 행렬을 써서 간섭량을 측정한 뒤, 이를 최소화할 수 있는 빔 형성 행렬로 갱신한다. 이 과정을 수 십, 수 백 차례 반복하여 간섭량을 최소화시키는 빔 형성 행렬을 얻는다.That is, the present invention is a method of performing interference alignment at each receiver through repetitive information exchange in a multi-user MIMO interference channel. The present invention assumes that the forward channel and the reverse channel are fixed, and then the transmitter and the receiver are fixed. The amount of interference is measured by using the temporarily formed beamforming matrix, and then updated with a beamforming matrix that can minimize the interference. This process is repeated tens and hundreds of times to obtain a beamforming matrix that minimizes the amount of interference.
이때, 채널이 완벽하게 주어지고 시간에 따라 변하지 않는 경우를 고려하고 있다.At this time, we consider the case where the channel is perfectly given and does not change with time.
따라서, 본 발명에 따르면, 기존 최소 자승 방식에서는 약점이었던 다수의 송신 스트림을 전송하는 경우에도 최대 자유도를 보장할 수 있는 효과가 있다.Therefore, according to the present invention, the maximum degree of freedom can be ensured even when transmitting a plurality of transmission streams, which are weak points in the existing least square method.
또한, 시변 채널에서 매순간 새로운 빔 형성 벡터를 계산하는 것이 비효율적이기 때문에, 제안된 방식을 바탕으로 이전 계산 결과를 이용하여 현재의 빔 형성 벡터를 간단히 계산할 수 있는 효과가 있다.
In addition, since it is inefficient to calculate a new beamforming vector every time in the time-varying channel, it is possible to simply calculate the current beamforming vector using the previous calculation result based on the proposed scheme.
본 발명은 상술한 특정의 바람직한 실시 예에 한정되지 아니하며, 청구범위에서 청구하는 본 발명의 요지를 벗어남이 없이 당해 발명이 속하는 기술분야에서 통상의 지식을 가진 자라면 누구든지 다양한 변형의 실시가 가능한 것은 물론이고, 그와 같은 변경은 청구범위 기재의 범위 내에 있게 된다.
It will be understood by those skilled in the art that various changes in form and details may be made therein without departing from the spirit and scope of the present invention as defined by the appended claims and their equivalents. And such changes are, of course, within the scope of the claims.
S10: 제1단계 S20: 제2단계
S30: 제3단계 S40: 제4단계
S50: 제5단계 S60: 제6단계S10: First step S20: Second step
S30: third step S40: fourth step
S50: fifth step S60: sixth step
| Application Number | Priority Date | Filing Date | Title |
|---|---|---|---|
| KR1020100129160AKR101172717B1 (en) | 2010-12-16 | 2010-12-16 | Beam design method and algorithm for time-varying multiuser mimo interference channels transmitting multiple data streams |
| Application Number | Priority Date | Filing Date | Title |
|---|---|---|---|
| KR1020100129160AKR101172717B1 (en) | 2010-12-16 | 2010-12-16 | Beam design method and algorithm for time-varying multiuser mimo interference channels transmitting multiple data streams |
| Publication Number | Publication Date |
|---|---|
| KR20120089820Atrue KR20120089820A (en) | 2012-08-14 |
| KR101172717B1 KR101172717B1 (en) | 2012-08-14 |
| Application Number | Title | Priority Date | Filing Date |
|---|---|---|---|
| KR1020100129160AExpired - Fee RelatedKR101172717B1 (en) | 2010-12-16 | 2010-12-16 | Beam design method and algorithm for time-varying multiuser mimo interference channels transmitting multiple data streams |
| Country | Link |
|---|---|
| KR (1) | KR101172717B1 (en) |
| Publication number | Priority date | Publication date | Assignee | Title |
|---|---|---|---|---|
| WO2017171305A1 (en)* | 2016-03-29 | 2017-10-05 | 엘지전자 주식회사 | Method for reporting channel state and apparatus therefor in wireless communication system |
| WO2017196098A1 (en)* | 2016-05-11 | 2017-11-16 | 엘지전자(주) | Method for transmitting and receiving channel state information in multi-antenna wireless communication system, and apparatus therefor |
| CN111756416A (en)* | 2019-03-29 | 2020-10-09 | 华为技术有限公司 | A communication method and device |
| Publication number | Priority date | Publication date | Assignee | Title |
|---|---|---|---|---|
| GB2458324B (en) | 2008-03-14 | 2010-12-08 | Toshiba Res Europ Ltd | Wireless communications apparatus |
| Publication number | Priority date | Publication date | Assignee | Title |
|---|---|---|---|---|
| WO2017171305A1 (en)* | 2016-03-29 | 2017-10-05 | 엘지전자 주식회사 | Method for reporting channel state and apparatus therefor in wireless communication system |
| US10582405B2 (en) | 2016-03-29 | 2020-03-03 | Lg Electronics Inc. | Method for reporting channel state and apparatus therefor in wireless communication system |
| WO2017196098A1 (en)* | 2016-05-11 | 2017-11-16 | 엘지전자(주) | Method for transmitting and receiving channel state information in multi-antenna wireless communication system, and apparatus therefor |
| US10491276B2 (en) | 2016-05-11 | 2019-11-26 | Lg Electronics Inc. | Method for transmitting and receiving channel state information in multi-antenna wireless communication system, and apparatus therefor |
| CN111756416A (en)* | 2019-03-29 | 2020-10-09 | 华为技术有限公司 | A communication method and device |
| CN111756416B (en)* | 2019-03-29 | 2021-08-31 | 华为技术有限公司 | A communication method and device |
| Publication number | Publication date |
|---|---|
| KR101172717B1 (en) | 2012-08-14 |
| Publication | Publication Date | Title |
|---|---|---|
| JP5134018B2 (en) | Method and system for communication channel optimization in a multiple-input multiple-output (MIMO) communication system | |
| KR100951381B1 (en) | Scheduling device and method with low complexity in multi-input multi-output system in multi-user environment | |
| EP3780431A1 (en) | Oam multiplexed communication system and inter-mode interference control method | |
| US10886986B2 (en) | Estimation of channel conditions | |
| JP5490827B2 (en) | Method and system for analog beamforming in a wireless communication system | |
| EP3903423B1 (en) | Channel estimation in mimo systems | |
| KR20030075883A (en) | Closed -Loop Signal Processing Method of Multi Input, Multi Output Mobile Communication System | |
| JP2007159130A (en) | Uplink reception method and apparatus in distributed antenna mobile communication system | |
| TW201433116A (en) | Method of determining two-stage codebook set applicable to 4Tx cross-polarized antenna configuration | |
| KR101172717B1 (en) | Beam design method and algorithm for time-varying multiuser mimo interference channels transmitting multiple data streams | |
| US10911124B1 (en) | Method and system for single carrier wideband hybrid beamforming based on limited feedback | |
| KR101005877B1 (en) | Method and System for Approximate Maximum Likelihood (ML) Search in Multiple Input Multiple Output (MIMO) Receiver | |
| KR101206881B1 (en) | Adaptive beam tracking for interference alignment in time-varying MIMO interference channels: Conjugate gradient approach | |
| Vu et al. | A robust transmit CSI framework with applications in MIMO wireless precoding | |
| Zanjani et al. | Gradient-based solution for hybrid precoding in MIMO systems | |
| KR101556482B1 (en) | Method and Apparatus for INTERFERENCE ALIGNMENT METHOD WITH SLNR MAXIMIZATION IN MIMO INTERFERENCE CHANNEL | |
| KR102144715B1 (en) | Online Clustering Aided Minimum Weighted Hamming Distance Detection for MU-MIMO Systems with Low Resolution ADCs and Apparatus Therefor | |
| KR100965100B1 (en) | Adaptive beamforming device and method | |
| KR101172718B1 (en) | Efficient Blind Receiver Architecture for Interference Alignment Systems | |
| Al-Shuraifi et al. | Optimizing antenna selection using limited CSI for massive MIMO systems | |
| EP2039019B1 (en) | Method and system for robustly transmitting the minimum power in multi-user and multi-antenna communications systems with imperfect channel knowledge | |
| KR101356633B1 (en) | Beamformer design method based on k-regularity for massive MIMO systems | |
| KR101446927B1 (en) | Channel Estimation Method and System for Massive MIMO Based on Circulant Jacket Matrices | |
| Du et al. | Reciprocity calibration for massive MIMO with low-resolution ADCs | |
| US20240235897A1 (en) | Communication method based on quantum channel estimation and base station |
| Date | Code | Title | Description |
|---|---|---|---|
| A201 | Request for examination | ||
| PA0109 | Patent application | St.27 status event code:A-0-1-A10-A12-nap-PA0109 | |
| PA0201 | Request for examination | St.27 status event code:A-1-2-D10-D11-exm-PA0201 | |
| D13-X000 | Search requested | St.27 status event code:A-1-2-D10-D13-srh-X000 | |
| D14-X000 | Search report completed | St.27 status event code:A-1-2-D10-D14-srh-X000 | |
| PE0902 | Notice of grounds for rejection | St.27 status event code:A-1-2-D10-D21-exm-PE0902 | |
| P11-X000 | Amendment of application requested | St.27 status event code:A-2-2-P10-P11-nap-X000 | |
| P13-X000 | Application amended | St.27 status event code:A-2-2-P10-P13-nap-X000 | |
| E701 | Decision to grant or registration of patent right | ||
| PE0701 | Decision of registration | St.27 status event code:A-1-2-D10-D22-exm-PE0701 | |
| GRNT | Written decision to grant | ||
| PR0701 | Registration of establishment | St.27 status event code:A-2-4-F10-F11-exm-PR0701 | |
| PR1002 | Payment of registration fee | St.27 status event code:A-2-2-U10-U11-oth-PR1002 Fee payment year number:1 | |
| PG1501 | Laying open of application | St.27 status event code:A-1-1-Q10-Q12-nap-PG1501 | |
| PG1601 | Publication of registration | St.27 status event code:A-4-4-Q10-Q13-nap-PG1601 | |
| R18-X000 | Changes to party contact information recorded | St.27 status event code:A-5-5-R10-R18-oth-X000 | |
| PN2301 | Change of applicant | St.27 status event code:A-5-5-R10-R13-asn-PN2301 St.27 status event code:A-5-5-R10-R11-asn-PN2301 | |
| R18-X000 | Changes to party contact information recorded | St.27 status event code:A-5-5-R10-R18-oth-X000 | |
| FPAY | Annual fee payment | Payment date:20150729 Year of fee payment:4 | |
| PR1001 | Payment of annual fee | St.27 status event code:A-4-4-U10-U11-oth-PR1001 Fee payment year number:4 | |
| LAPS | Lapse due to unpaid annual fee | ||
| PC1903 | Unpaid annual fee | St.27 status event code:A-4-4-U10-U13-oth-PC1903 Not in force date:20160804 Payment event data comment text:Termination Category : DEFAULT_OF_REGISTRATION_FEE | |
| PC1903 | Unpaid annual fee | St.27 status event code:N-4-6-H10-H13-oth-PC1903 Ip right cessation event data comment text:Termination Category : DEFAULT_OF_REGISTRATION_FEE Not in force date:20160804 | |
| R18-X000 | Changes to party contact information recorded | St.27 status event code:A-5-5-R10-R18-oth-X000 | |
| PN2301 | Change of applicant | St.27 status event code:A-5-5-R10-R13-asn-PN2301 St.27 status event code:A-5-5-R10-R11-asn-PN2301 | |
| R18-X000 | Changes to party contact information recorded | St.27 status event code:A-5-5-R10-R18-oth-X000 | |
| R18-X000 | Changes to party contact information recorded | St.27 status event code:A-5-5-R10-R18-oth-X000 | |
| R18-X000 | Changes to party contact information recorded | St.27 status event code:A-5-5-R10-R18-oth-X000 |