




































관련 출원의 상호 참조Cross Reference of Related Application
본 출원은 2008.9.30.자로 출원된 미국 특허 가출원 61/194,751호 및 2009.6.30.자로 출원되고 명칭이 "Methods and Apparatus for Soft Demapping and Intercell Interference Mitigation in Flash Memories"인 국제 특허 출원 PCT/US09/49333호의 우선권을 주장하며, 이들 각각은 본 명세서에 참조로 포함된다.This application is filed in US Patent Provisional Application Nos. 61 / 194,751 and 2009.6.30, filed Sep. 30, 2008 and entitled "Methods and Apparatus for Soft Demapping and Intercell Interference Mitigation in Flash Memories." Claims priority of 49333, each of which is incorporated herein by reference.
본 출원은 명칭이 "Methods and Apparatus for Soft Data Generation for Memory Devices Based on Performance Factor Adjustment"인 국제 특허 출원, 명칭이 "Methods and Apparatus for Soft Data Generation for Memory Devices"인 국제 특허 출원, 명칭이 "Methods and Apparatus for Soft Data Generation for Memory Devices Using Decoder Performance Feedback"인 국제 특허 출원과 관련되며, 이들 각각은 본 출원과 동시에 출원되고 본 명세서에 참조로 포함된다.The present application is an international patent application named "Methods and Apparatus for Soft Data Generation for Memory Devices Based on Performance Factor Adjustment", an international patent application named "Methods and Apparatus for Soft Data Generation for Memory Devices", and "Methods and Apparatus for Soft Data Generation for Memory Devices Using Decoder Performance Feedback ", each of which is filed concurrently with the present application and incorporated herein by reference.
발명의 분야Field of invention
본 발명은 일반적으로는 플래시 메모리 장치에 관한 것이고, 더 구체적으로는 이러한 플래시 메모리 장치에서의 셀간 간섭(intercell interference) 효과, 백 패턴 의존성(back pattern dependency), 잡읍 및 다른 왜곡을 감소시키기 위한 개선된 소프트 디매핑(demapping) 및 소프트 데이터 생성 기술에 관한 것이다.
FIELD OF THE INVENTION The present invention relates generally to flash memory devices, and more particularly to improved intercell interference effects, back pattern dependencies, backlash and other distortions in such flash memory devices. Soft demapping and soft data generation techniques.
플래시 메모리 장치와 같은 많은 메모리 장치는 데이터를 저장하는데 아날로그 메모리 셀을 사용한다. 각 메모리 셀은, 저장 값이라고도 지칭되는 전하 또는 전압과 같은 아날로그 값을 저장한다. 저장 값은 셀에 저장된 정보를 나타낸다. 플래시 메모리 장치에서, 예를 들어, 각 아날로그 메모리 셀은 통상 특정 전압을 저장한다. 각 셀에 대한 가능한 아날로그 값의 범위는 통상 문턱 영역들로 나누어지고, 각 영역은 하나 이상의 데이터 비트 값에 대응한다. 희망하는 하나 이상의 비트에 대응하는 공칭 아날로그 값을 기록함으로써 데이터가 아날로그 메모리 셀에 기록된다.Many memory devices, such as flash memory devices, use analog memory cells to store data. Each memory cell stores an analog value, such as a charge or voltage, also referred to as a stored value. The stored value represents the information stored in the cell. In flash memory devices, for example, each analog memory cell typically stores a specific voltage. The range of possible analog values for each cell is typically divided into threshold regions, each region corresponding to one or more data bit values. Data is written to an analog memory cell by writing a nominal analog value corresponding to one or more desired bits.
예를 들어, SLC(single-level cell) 플래시 메모리 장치는 메모리 셀 (또는 2개의 가능한 메모리 상태) 마다 하나의 비트를 저장한다. 반면, MLC(Multi-level cell) 플래시 메모리 장치는 메모리 셀 마다 2 이상의 비트를 저장한다(즉, 각 셀은 4개 이상의 프로그램가능 상태를 갖는다). MLC 플래시 메모리 장치에 대한 더 자세한 논의에 대해서는, 예를 들어, 본 명세서에 참조로 포함되는 2009.3.11.자로 출원된 명칭이 "Methods and Apparatus for Storing Data in a Multi-Level Cell Flash Memory Device with Cross-Page Sectors, Multi-Page Coding And Per-Page Coding"인 국제 특허 출원 PCT/US09/36810호를 참조하라.For example, a single-level cell (SLC) flash memory device stores one bit per memory cell (or two possible memory states). Multi-level cell (MLC) flash memory devices, on the other hand, store two or more bits per memory cell (ie, each cell has four or more programmable states). For a more detailed discussion of MLC flash memory devices, see, for example, the method filed March 31, 2009, which is incorporated herein by reference, "Methods and Apparatus for Storing Data in a Multi-Level Cell Flash Memory Device with Cross." -International Patent Application PCT / US09 / 36810, "Page Sectors, Multi-Page Coding And Per-Page Coding".
예를 들어, 다중레벨 NAND 플래시 메모리 장치에서, 각각이 상이한 멀티비트 값에 대응하는 다수의 인터벌로 나누어진 범위에서 프로그램가능 문턱 전압과 함께 부동 게이트 장치가 채용된다. 주어진 멀티비트 값을 메모리 셀에 프로그램하기 위해, 메모리 셀 내의 부동 게이트 장치의 문턱 전압은 그 값에 대응하는 문턱 전압 인터벌로 프로그램된다.For example, in a multilevel NAND flash memory device, a floating gate device is employed with a programmable threshold voltage in a range divided by a number of intervals each corresponding to a different multibit value. To program a given multi-bit value into a memory cell, the threshold voltage of the floating gate device in the memory cell is programmed to a threshold voltage interval corresponding to that value.
메모리 셀에 저장된 아날로그 값은 종종 왜곡된다. 왜곡은 통상적으로, 예를 들어, 백 패턴 의존성(BPD), 잡음 및 셀간 간섭(ICI)에 기인한다. 플래시 매모리 장치에서의 왜곡에 대한 더 자세한 논의에 대해서는, 예를 들어, 본 명세서에 참조로 포함되는 J. D. Lee 등의 "Effects of Floating-Gate Interference on NAND Flash Memory Cell Operation," IEEE Electron Device Letters, 264-266 (2002 3월) 또는 Ki-Tae Park, 등의 "A Zeroing Cell-to-Cell Interference Page Architecture WithTemporary LSB Storing and Parallel MSB Program Scheme for MLC NAND Flash Memories," IEEE J. of Solid State Circuits, Vol. 43, No. 4, 919-928, (2008 4월)을 참조하라.Analog values stored in memory cells are often distorted. Distortion is typically due to, for example, back pattern dependency (BPD), noise, and intercell interference (ICI). For a more detailed discussion of distortion in flash memory devices, see, for example, JD Lee et al., "Effects of Floating-Gate Interference on NAND Flash Memory Cell Operation," IEEE Electron Device Letters, 264-266 (March 2002) or Ki-Tae Park, et al., "A Zeroing Cell-to-Cell Interference Page Architecture With Temporary LSB Storing and Parallel MSB Program Scheme for MLC NAND Flash Memories," IEEE J. of Solid State Circuits, Vol. 43, No. 4, 919-928, (April 2008).
ICI 및 기타 외란(disturbances)의 효과를 감소시키기 위해 많은 기술이 제안 또는 제시되어 왔다. 예를 들어, Ki-Tae Park 등은 ICI를 감소시키는 홀/짝(even/odd) 프로그래밍, 상향(bottom up) 프로그래밍 및 다단(multistage) 프록래밍과 같은 기존 프로그래밍 기술을 설명한다. 2009.6.30.자로 출원된 명칭이 "Methods and Apparatus for Soft Demapping and Intercell Interference Mitigation in Flash Memories"인 국제 특허 출원 PCT/US09/49333호는 플래시 메모리에서의 소프트 디매핑 및 외란 감소를 위한 방법 및 장치를 개시한다.
Many techniques have been proposed or suggested to reduce the effects of ICI and other disturbances. For example, Ki-Tae Park et al. Describe existing programming techniques such as even / odd programming, bottom up programming and multistage programming that reduce ICI. International Patent Application PCT / US09 / 49333, entitled "Methods and Apparatus for Soft Demapping and Intercell Interference Mitigation in Flash Memories," filed June 30, 2009, discloses a method and apparatus for soft demapping and disturbance reduction in flash memory. Initiate.
이들 기존의 방법은 플래시 메모리의 디코딩 성능을 개선하는데 도움을 주었지만, 이들은 많은 한계를 가지고 있으며, 이를 극복하면 플래시 메모리의 신뢰성이 더 개선될 것이다. 예를 들어, 최근의 플래시 메모리는 통상 디코딩을 위해 플래시 제어 시스템에 하드 데이터만을 제공한다. 그러나, 소프트 데이터가 디코딩 프로세스에서 에러 레이트 성능을 개선할 수 있음이 잘 알려져 있다. 그러므로, 플래시 메모리로부터의 하드 데이터를 이용하여 소프트 데이터를 추정 또는 강화하고 그에 의해 디코딩 성능을 개선하는 소프트 데이터 생성 기술에 대한 필요성이 존재한다.
These existing methods have helped to improve the decoding performance of flash memory, but they have many limitations, and overcoming them will further improve the reliability of flash memory. For example, modern flash memories typically only provide hard data to the flash control system for decoding. However, it is well known that soft data can improve error rate performance in the decoding process. Therefore, there is a need for soft data generation techniques that use hard data from flash memory to estimate or enhance soft data and thereby improve decoding performance.
일반적으로, 기준 셀을 이용하는 메모리 장치를 위한 소프트 데이터 생성 방법 및 장치가 제공된다. 본 발명의 일 태양에 따르면, 하나 이상의 기준 셀에 알려진 데이터를 기록하는 단계와, 상기 기준 셀 중 하나 이상을 판독하는 단계와, 상기 판독된 하나 이상의 기준 셀에 기초하여 판독 통계를 획득하는 단계와, 상기 획득된 판독 통계에 기초하여 상기 적어도 하나의 소프트 데이터 값을 획득하는 단계에 의해 메모리 장치에서 적어도 하나의 소프트 데이터 값이 생성된다. 알려진 데이터는 전압, 전류 및 저항 중 하나 이상을 이용하여 기준 셀에 기록될 수 있다. 유사하게, 상기 판독 단계는 데이터 비트, 전압 수준, 전류 수준 및 저항 수준 중 하나 이상을 판독한다. 상기 알려진 데이터는 비트 패턴 또는 심볼 패턴을 포함할 수 있다. 생성된 소프트 데이터 값은 (i) 하나 이상의 LLR(log likelihood ratio)을 생성하는데 사용되는 소프트 판독 값 또는 (ii) 하나 이상의 LLR을 포함할 수 있다. 통계는 비트 기반 통계, 셀 기반 및 패턴 의존 통계 중 하나 이상을 포함할 수 있다.Generally, a method and apparatus for generating soft data for a memory device using a reference cell is provided. According to one aspect of the present invention, there is provided a method of recording data known to at least one reference cell, reading at least one of the reference cells, acquiring read statistics based on the read at least one reference cell; At least one soft data value is generated in the memory device by obtaining the at least one soft data value based on the obtained read statistics. Known data can be written to a reference cell using one or more of voltage, current and resistance. Similarly, the read step reads one or more of data bits, voltage levels, current levels, and resistance levels. The known data may comprise a bit pattern or a symbol pattern. The generated soft data value may comprise (i) a soft read value used to generate one or more log likelihood ratios (LLRs) or (ii) one or more LLRs. The statistics may include one or more of bit based statistics, cell based and pattern dependent statistics.
일 실시형태에서, 상기 판독 통계는 상기 하나 이상의 기준 셀로부터 판독된 하나 이상의 비트를 상기 알려진 데이터 내의 하나 이상의 비트와 비교함으로써 결정된다. 예를 들어, 상기 판독 통계는 상기 알려진 데이터 내 기준 비트의 총 수에 대한 에러있는 비트의 수에 기초할 수 있다. 상기 판독 통계 또는 상기 소프트 데이터 값(또는 양자 모두)는 인듀어런스(endurance), 프로그램/소거 사이클의 수, 판독 사이클의 수, 리텐션(retention) 시간, 온도, 온도 변화, 프로세스 코너, 셀간 간섭 영향, 상기 메모리 장치 내의 위치, 워드라인 내의 위치, 메모리 어레이 내의 위치, 공격자 셀 내의 패턴 중 하나 이상의 함수로서 계산될 수 있다.In one embodiment, the read statistics are determined by comparing one or more bits read from the one or more reference cells with one or more bits in the known data. For example, the read statistics may be based on the number of faulty bits relative to the total number of reference bits in the known data. The read statistics or the soft data values (or both) may include endurance, number of program / erase cycles, number of read cycles, retention time, temperature, temperature change, process corners, intercell interference effects, It can be calculated as a function of one or more of a location in the memory device, a location in a wordline, a location in a memory array, or a pattern in an attacker cell.
일 태양에 따르면, 상기 판독 통계는 메모리 어레이의 하나 이상의 희망 위치에 대해 획득될 수 있되, 상기 기록 단계는 상기 알려진 데이터를 상기 하나 이상의 희망 위치에 기록하는 단계를 포함한다. 예를 들어, 상기 희망 위치는 다중 수준 셀 내 주어진 비트, 페이지 위치, 워드라인 위치 및 비트라인 위치 중 하나 이상을 포함할 수 있다.According to one aspect, the read statistics can be obtained for one or more desired locations of a memory array, wherein the writing comprises writing the known data to the one or more desired locations. For example, the desired location may include one or more of a given bit, page location, wordline location, and bitline location within a multilevel cell.
다른 태양에 따르면, 상기 판독 통계는 적어도 하나의 타겟 셀과 관련된 하나 이상의 공격자 셀 내 주어진 패턴(PATT)에 대해 획득될 수 있고, 상기 기록 단계는 상기 적어도 하나의 타겟 셀에 상기 알려진 데이터를 기록하는 단계를 포함하고, 상기 방법은 상기 하나 이상의 공격자 셀 내 상기 주어진 패턴(PATT)을 갖는 에러있는 타겟 비트의 수를 결정하는 단계와 상기 에러있는 타겟 비트의 수에 기초하여 상기 주어진 패턴에 대한 상기 판독 통계를 획득하는 단계를 더 포함한다.According to another aspect, the read statistics may be obtained for a given pattern (PATT) in one or more attacker cells associated with at least one target cell, wherein the writing step comprises writing the known data to the at least one target cell. And the method comprises determining a number of erroneous target bits having the given pattern (PATT) in the one or more attacker cells and reading the for the given pattern based on the number of erroneous target bits. Obtaining statistics.
또 다른 태양에 따르면, 상기 판독 통계는 복수의 가능한 값에 대해 획득된 비대칭 판독 통계를 포함할 수 있고, 상기 방법은 상기 알려진 데이터 내 제 1 값을 갖는 에러있는 비트의 수를 결정하는 단계와, 상기 알려진 데이터 내 제 2 값을 갖는 상기 에러있는 비트의 수를 결정하는 단계와, 상기 제 1 값을 갖는 상기 에러있는 비트의 수에 기초하여 상기 제 1 값에 대한 판독 통계를 획득하는 단계와, 상기 제 2 값을 갖는 상기 에러있는 비트의 수에 기초하여 상기 제 2 값에 대한 판독 통계를 획득하는 단계를 더 포함한다.According to another aspect, the read statistics may comprise asymmetric read statistics obtained for a plurality of possible values, the method comprising determining a number of erroneous bits having a first value in the known data; Determining the number of erroneous bits having a second value in the known data, obtaining read statistics for the first value based on the number of erroneous bits having the first value; Obtaining read statistics for the second value based on the number of erroneous bits having the second value.
본 발명 및 본 발명의 추가적인 특징 및 장점의 더 완전한 이해는 이후의 상세한 설명 및 도면을 참조하여 얻어질 것이다.
A more complete understanding of the present invention and further features and advantages of the present invention will be obtained with reference to the following detailed description and drawings.
도 1은 종래 플래시 메모리 시스템의 개략적 블록도이다.
도 2는 도 1의 예시적 플래시 메모리에 대한 예시적인 문턱 전압 분포를 도시한다.
도 3은 MLC 플래시 메모리 장치에서의 예시적인 플래시 셀 어레이의 아키텍처를 도시한다.
도 4는 도 2의 전압 할당 방식에 대한 예시적인 2 단계 MLC 프로그래밍 방식을 도시한다.
도 5a 및 5b는, 다 함께, 이웃 셀에 가해진 ICI를 감소시키는 다른 MLC 프로그래밍 방식을 도시한다.
도 6은 MLC 플래시 메모리 장치에서의 예시적인 플래시 셀 어레이를 더 자세히 도시한다.
도 7은 다수의 예시적인 공격자 셀에 기인하여 타겟 셀에 존재하는 셀간 간섭, 백 패턴 의존성, 잡음 및 기타 왜곡과 같은 외란을 도시한다.
도 8은 본 발명에 따라 제어기 기반 소프트 디메핑/소프트 데이터 생성 기술을 포함하는 예시적인 플래시 메모리 시스템의 개략적 블록도이다.
도 9는 본 발명의 다른 실시형태에 따라 메모리 기반 소프트 디메핑/소프트 데이터 생성 기술을 포함하는 예시적인 플래시 메모리 시스템의 개략적 블록도이다.
도 10은 재귀적인(iterative) 디매핑과 디코딩 및 선택적 인터리빙을 갖는 예시적인 플래시 판독 채널 아키텍처를 도시한다.
도 11은 본 발명에 따라 소프트 데이터 생성을 갖는 예시적인 플래시 메모리 시스템을 도시한다.
도 12a 및 12b는 각각 예시적인 소프트 디매핑 프로세스와 소프트 데이터 생성 프로세스를 설명하는 흐름도이다.
도 13은 LDPC(low-density parity- check) 코드의 예시적인 2자(bipartite) 그래프 표현이다.
도 14는 예시적인 LDPC 디코더 아키텍처의 블록도이다.
도 15는 본 발명의 일 실시형태에 따른 소프트 데이터 생성을 갖는 예시적인 플래시 메모리 시스템을 도시한다.
도 16은 예시적인 이진 채널에 대한 에러 확률 p와 q를 나타내는 격자(trellis)이다.
도 17a 내지 17c는 플래시 메모리로부터 데이터를 판독하는데 대한 통계를 기록하는 예시적인 셀 기반 통계표이다.
도 18은 플래시 메모리로부터 데이터를 판독하는데 대한 패턴 의존적 통계를 기록하는 예시적인 패턴 의존적 셀 기반 통계표이다.
도 19는 본 발명의 기준 셀 실시형태에 대해 도 3의 예시적인 플래시 셀 어레이를 더 자세히 도시한다.
도 20은 본 발명의 기준 셀 실시형태를 위한 비트 기반 통계 생성 프로세스의 예시적인 구현을 설명하는 흐름도이다.
도 21은 본 발명의 기준 셀 실시형태를 위한 셀 기반 통계 생성 프로세스의 예시적인 구현을 설명하는 흐름도이다.
도 22는 본 발명의 디코딩 코드워드 실시형태를 위한 비트 기반 통계 생성 프로세스의 예시적인 구현을 설명하는 흐름도이다.
도 23은 본 발명의 디코딩 코드워드 실시형태를 위한 셀 기반 통계 생성 프로세스의 예시적인 구현을 설명하는 흐름도이다.
도 24는 메모리 어레이에서의 다수의 상이한 위치에 대한 에러 확률 통계를 계산하는 예시적인 비트 기반 위치 특정 통계 생성 프로세스를 설명하는 흐름도이다.
도 25는 메모리 어레이에서의 다수의 상이한 위치에 대한 에러 확률 통계를 계산하는 예시적인 셀 기반 위치 특정 통계 생성 프로세스를 설명하는 흐름도이다.
도 26은 각 공결자 셀의 모든 가능한 값에 기초하여, 주어진 타겟 셀 상의 패턴 의존적 외란 효과를 나타내는 확률 밀도 함수의 집합을 도시한다.
도 27은 적어도 하나의 타겟 셀과 관련된 하나 이상의 공격자 셀에서 주어진 데이터 패턴에 의존하는 에러 확률 통계를 추정하는 예시적인 비트 기반 패턴 의존 통계 생성 프로세스를 설명하는 흐름도이다.
도 28은 적어도 하나의 타겟 셀과 관련된 하나 이상의 공격자 셀에서 주어진 데이터 패턴에 의존하는 통계를 추정하는 예시적인 셀 기반 패턴 의존 통계 생성 프로세스를 설명하는 흐름도이다.
도 29는 본 발명의 기준 셀 실시형태를 위한 2개의 가능한 이진 값에 대한 에러 확률 통계를 추정하는 예시적인 비대칭 통계 생성 프로세스를 설명하는 흐름도이다.
도 30은 본 발명의 디코딩 코드워드 실시형태를 위한 2개의 가능한 이진 값에 대한 에러 확률 통계를 추정하는 예시적인 비대칭 통계 생성 프로세스를 설명하는 흐름도이다.
도 31은 불만족 패리티 체크를 이용한 통계 생성 프로세스의 예시적 구현을 설명하는 흐름도이다.
도 32는 불만족 패리티 체크를 이용한 메모리 어레이에서 다수의 상이한 위치에 대한 에러 확률 통계를 추정하는 예시적인 위치 특정 통계 생성 프로세스를 설명하는 흐름도이다.
도 33은 불만족 패리티 체크를 이용한 2개의 가능한 이진 값에 대한 에러 확률 통계를 추정하는 예시적인 비대칭 통계 생성 프로세스를 설명하는 흐름도이다.1 is a schematic block diagram of a conventional flash memory system.
FIG. 2 illustrates an example threshold voltage distribution for the example flash memory of FIG. 1.
3 illustrates the architecture of an exemplary flash cell array in an MLC flash memory device.
4 illustrates an exemplary two-step MLC programming scheme for the voltage allocation scheme of FIG. 2.
5A and 5B together show another MLC programming scheme that reduces the ICI applied to neighboring cells.
6 illustrates an example flash cell array in more detail in an MLC flash memory device.
7 illustrates disturbances such as intercell interference, back pattern dependence, noise and other distortions present in the target cell due to many exemplary attacker cells.
8 is a schematic block diagram of an exemplary flash memory system including a controller-based soft de-mapping / soft data generation technique in accordance with the present invention.
9 is a schematic block diagram of an exemplary flash memory system that includes a memory based soft de-mapping / soft data generation technique in accordance with another embodiment of the present invention.
10 illustrates an exemplary flash read channel architecture with iterative demapping and decoding and selective interleaving.
11 illustrates an exemplary flash memory system with soft data generation in accordance with the present invention.
12A and 12B are flowcharts illustrating an exemplary soft demapping process and soft data generation process, respectively.
13 is an exemplary bipartite graph representation of a low-density parity-check (LDPC) code.
14 is a block diagram of an exemplary LDPC decoder architecture.
15 illustrates an exemplary flash memory system with soft data generation in accordance with one embodiment of the present invention.
16 is a trellis representing error probabilities p and q for an exemplary binary channel.
17A-17C are exemplary cell-based statistical tables that record statistics for reading data from flash memory.
18 is an exemplary pattern dependent cell based statistics table for recording pattern dependent statistics for reading data from flash memory.
FIG. 19 illustrates the example flash cell array of FIG. 3 in more detail for the reference cell embodiment of the present invention.
20 is a flow diagram illustrating an example implementation of a bit-based statistics generation process for a reference cell embodiment of the present invention.
21 is a flow diagram illustrating an example implementation of a cell based statistics generation process for a reference cell embodiment of the present invention.
22 is a flow diagram illustrating an example implementation of a bit-based statistics generation process for a decoding codeword embodiment of the present invention.
23 is a flow diagram illustrating an example implementation of a cell based statistics generation process for a decoding codeword embodiment of the present invention.
24 is a flow diagram illustrating an example bit-based location specific statistics generation process for calculating error probability statistics for a number of different locations in a memory array.
FIG. 25 is a flow diagram illustrating an example cell based location specific statistics generation process for calculating error probability statistics for a number of different locations in a memory array.
FIG. 26 shows a set of probability density functions that exhibit a pattern dependent disturbance effect on a given target cell, based on all possible values of each contributor cell.
FIG. 27 is a flow diagram illustrating an example bit-based pattern dependent statistics generation process for estimating error probability statistics that depends on a given data pattern in one or more attacker cells associated with at least one target cell.
FIG. 28 is a flow diagram illustrating an example cell-based pattern dependency statistics generation process for estimating statistics dependent on a given data pattern in one or more attacker cells associated with at least one target cell.
29 is a flow diagram illustrating an exemplary asymmetric statistics generation process for estimating error probability statistics for two possible binary values for a reference cell embodiment of the present invention.
30 is a flow diagram illustrating an exemplary asymmetric statistics generation process for estimating error probability statistics for two possible binary values for a decoding codeword embodiment of the present invention.
31 is a flowchart illustrating an example implementation of a statistics generation process using an unsatisfactory parity check.
FIG. 32 is a flow diagram illustrating an example location specific statistics generation process for estimating error probability statistics for a number of different locations in a memory array using an unsatisfactory parity check.
33 is a flow diagram illustrating an example asymmetric statistics generation process for estimating error probability statistics for two possible binary values using an unsatisfactory parity check.
본 발명의 다양한 태양은 단일 레벨 셀 또는 다중 레벨 셀(MLC) NAND 플래시 메모리 장치와 같은 메모리 장치에서의 개선된 디코딩을 위한 소프트 데이터 생성 기술에 관한 것이다. 본 명세서에서, 다중 레벨 셀 플래시 메모리는 각 메모리 셀이 2 이상의 비트를 저장하는 메모리를 포함한다. 통상, 하나의 플래시 셀에 저장된 다수의 비트는 상이한 페이지에 속한다. 본 발명이 여기서 아날로그 값을 전압으로 저장하는 메모리 셀을 이용하여 설명되지만, 본 발명은, 저장된 데이터를 나타내기 위해 전압 또는 전류를 사용하는 것과 같은 메모리 장치에 대한 여하한 저장 방식과 함게 사용될 수 있으며, 이는 당업자에게 명백할 것이다.Various aspects of the present invention relate to soft data generation techniques for improved decoding in memory devices such as single level cell or multi level cell (MLC) NAND flash memory devices. In the present specification, a multi-level cell flash memory includes a memory in which each memory cell stores two or more bits. Typically, multiple bits stored in one flash cell belong to different pages. Although the invention is described herein using memory cells that store analog values as voltages, the invention can be used with any storage scheme for a memory device, such as using voltage or current to represent stored data. This will be apparent to those skilled in the art.
도 1은 종래의 플래시 메모리 시스템(100)의 개략 블록도이다. 도 1에 도시된 바와 같이, 예시적인 플래시 메모리 시스템(100)은 플래시 제어 시스템(110)과 플래시 메모리 블록(160)을 포함한다. 예시적인 플래시 제어 시스템(110)은 플래시 제어기(120), 인코더/디코더 블록(140) 및 하나 이상의 버퍼(145)를 포함한다. 다른 실시형태에서, 인코더/디코더 블록(140) 및 일부 버퍼(145)는 플래시 제어기(120) 내에서 내현될 수 있다. 인코더/디코더 블록(140) 및 버퍼(145)는, 예를 들어, 공지된 상용의 기술 및/또는 제품을 이용하여 구현될 수 있다.1 is a schematic block diagram of a conventional
예시적인 플래시 메모리 블록(160)은 메모리 어레이(170)와 하나 이상의 버퍼(180)를 포함할 수 있으며, 이들 각각은 공지된 사용의 기술 및/또는 제품을 이용하여 구현될 수 있다. 메모리 어레이(170)는, NAND 플래시 메모리, PCM(phase-change memory), MRM 메모리, NOR 플래시 메모리 또는 다른 비휘발성 플래시 메모리와 같은 단일 수준(single-level) 또는 다중 수준(multi-level) 셀 플래시 메모리로 구현될 수 있다. 본 발명이 주로 다중 수준 셀 NAND 플래시 메모리의 맥락에서 설명되지만, 본 발명은 단일 수준 셀 플래시 메모리 및 기타 비휘발성 메모리에도 적용될 수 있으며, 이는 당업자에게 명백할 것이다.Exemplary
다중 수준 셀 플래시 메모리Multi Level Cell Flash Memory
다중 수준 셀 NAND 플래시 메모리에서, 특정 셀과 관련된 전압 값을 사전 결정된 메모리 상태로 변환하는데 문턱 검출기가 통상 채용된다. 도 2는, 본 명세서에 참조로 포함되는 미국 특허 제6,522,580호의 개시 내용에 기초하여, 도 1의 예시적 다중 수준 셀 플래시 메모리(170)에 대한 예시적인 문턱 전압 분포를 도시한다. 일반적으로, 셀의 문턱 전압은 셀이 특정량의 전류를 도전시키기 위해 셀에 인가되어야 하는 전압이다. 문턱 전압은 셀에 저장된 데이터의 척도이다.In multilevel cell NAND flash memories, a threshold detector is typically employed to convert voltage values associated with a particular cell into a predetermined memory state. 2 illustrates an example threshold voltage distribution for the example multi-level
도 2에 도시된 예시적인 실시형태에서, 각 저장 소자는 각 메모리 셀에 2비트의 데이터를 저장하기 위해 4개의 가능한 데이터 상태를 사용한다. 도 2는 4개의 피크(210-213)를 도시하고, 각각의 피크는 하나의 상태에 대응한다. 다중 수준 셀 플래시 장치에서, 문턱 전압 분포 그래프(200)의 상이한 피크(210-213)는 셀에 2 비트를 저장하는데 사용된다.In the exemplary embodiment shown in FIG. 2, each storage element uses four possible data states to store two bits of data in each memory cell. 2 shows four peaks 210-213, each peak corresponding to one state. In a multilevel cell flash device, different peaks 210-213 of the threshold
문턱 전압 분포 그래프(200)의 피크(210-213)는 대응하는 이진 값으로 라벨링된다. 그러므로, 셀이 제1상태(210)에 있으면, 하위 비트(LSB(least significant bit)라고도 함)에 대한 "1"과 상위 비트(MSB(most significant bit)라고도 함)에 대한 "1"을 나타낸다. 상태(210)는 일반적으로 셀의 최초의 미프로그램(unprogrammed) 또는 소거 상태이다. 유사하게, 셀이 제2상태(211)에 있으면, 하위 비트에 대한 "0"과 상위 비트에 대한 "1"을 나타낸다. 셀이 제3상태(212)에 있으면, 하위 비트에 대한 "0"과 상위 비트에 대한 "0"을 나타낸다. 마지막으로, 셀이 제4상태(213)에 있으면, 하위 비트에 대한 "1"과 상위 비트에 대한 "0"을 나타낸다.Peaks 210-213 of threshold
문턱 전압 분포(210)는 0 볼트 아래의 음의 문턱 전압 수준을 갖는 소거 상태("11" 데이터 상태)에 있는 어레이 내의 셀의 문턱 전압 V1의 분포를 나타낸다. "10"과 "00" 사용자 데이터를 각각 저장하는 메모리 셀의 문턱 전압 분포(212 및 212)는 각각 0과 1 볼트 사이 및 1과 2 볼트 사이로 도시된다. 문턱 전압 분포(213)는 "01" 데이터 상태로 프로그램된 셀의 분포를 도시하며, 판독 패스 전압(read pass voltage)의 2와 4.5 볼트 사이로 설정된 문턱 전압 수준을 갖는다.
그러므로, 도 2의 예시적인 실시형태에서, 0 볼트, 1 볼트 및 2 볼트가 각 수준 또는 상태 사이의 전압 수준 문턱으로 사용될 수 있다. 전압 수준 문턱은 플래시 메모리(160)(예를 들어, 플래시 메모리(160)내의 감지 회로)에 의해 주어진 셀의 전압 수준 또는 상태를 결정하는데 사용된다. 플래시 메모리(160)는, 측정된 전압과 전압 수준 문턱의 비교에 기초하여 각 셀에 하나 이상의 비트를 할당할 것이고, 이는 플래시 제어 시스템(110)으로 하드 디시젼(hard decision)으로서 전송된다. 추가하여 또는 다르게는, 소프트 정보를 이용하는 구현에 있어서, 플래시 메모리(160)는 측정된 전압 또는 측정된 전압의 양자화된 버전을 소프트 정보로서 플래시 제어 시스템(110)에 전송할 수 있고, 이 경우 메모리 셀에 저장된 비트의 수보다 많은 비트가 측정된 전압을 나타내는데 사용된다.Therefore, in the exemplary embodiment of FIG. 2, 0 volts, 1 volt and 2 volts can be used as the voltage level threshold between each level or state. The voltage level threshold is used to determine the voltage level or state of a cell given by flash memory 160 (eg, sensing circuitry in flash memory 160). The
또한, 셀은 통상 공지의 프로그램/확인(Program/Verify) 기술을 이용하여 프로그램됨이 중요하라. 일반적으로, 프로그램/확인 사이클 동안, 플래시 메모리(160)는, 셀 트랜지스터에 전하를 저장하기 위해 최소 타겟 문턱 전압을 초과할 때까지 점진적으로 증가하는 전압을 인가한다. 예를 들어, 도 2의 예에서 '10' 데이터 상태를 프로그램할 때, 플래시 메모리(160)는 0.4V의 최소 타겟 문턱 전압을 초과할 때까지 셀 트랜지스터에 전하를 저장하도록 증가하는 전압을 점진적으로 인가할 수 있다.It is also important that the cell is normally programmed using known program / verify techniques. In general, during a program / verify cycle,
이후에 자세히 설명하는 바와 같이, 단일의 메모리 셀에 저장된 2 비트 각각은 상이한 페이지로부터 온 것이다. 달리 말하면, 각 메모리 셀에 저장된 2 비트 각각은 상이한 페이지 주소를 운반한다. 도 2에 도시된 오른쪽의 비트는 하위 페이지 주소가 입력될 때 액세스된다. 왼쪽 비트는 상위 페이지 주소가 입력될 때 액세스된다.As detailed below, each of the 2 bits stored in a single memory cell is from a different page. In other words, each of the two bits stored in each memory cell carries a different page address. The bits on the right shown in FIG. 2 are accessed when the lower page address is entered. The left bit is accessed when the upper page address is entered.
도 3은 MLC(multi-level cell) 플래시 메모리 장치(160)의 예시적 플래시 셀 어레이(300)의 아키텍쳐를 도시하는데, 여기서 각각의 예시적인 셀은 통상 2 비트를 저장하는 부동 게이트 트랜지스터에 대응한다. 도 3에서, 각 셀은 2개의 비트가 속하는 2 개의 페이지에 대한 2개의 숫자와 관련된다. 예시적인 셀 어레이 섹션(300)은 워드라인 n 내지 n+2 및 4개의 비트라인을 도시한다. 예시적인 플래시 셀 어레이(300)는 짝수 및 홀수 페이지로 분할되고, 여기서, 예를 들어, (번호 0 및 2를 갖는 셀과 같은) 짝수를 갖는 셀은 짝수 페이지에 대응하고, (번호 1 및 3을 갖는 셀과 같은) 홀수를 갖는 셀은 홀수 페이지에 대응한다. 워드라인 n은 예를 들어 짝수 비트라인의 짝수 페이지(0과 2)과, 홀수 비트라인의 홀수 페이지(1 및 3)을 저장한다.3 illustrates the architecture of an example
또한, 도 3은 짝수나 홀수 비트라인 셀이 표시된 순서로 연속하여(아래에서 위로) 선택되고 프로그램되는 예시적인 프로그램 시퀀스를 나타낸다. 숫자는 페이지가 프로그램되는 순서를 나타낸다. 예를 들어, 페이지 0은 페이지 1 전에 프로그램된다. 짝수 및 홀수 페이지의 프로그래밍에 대한 추가적인 논의에 대해서는, 예를 들어, 본 명세서에 참조로 포함되는 K.-T. Park 등의 "A Zeroing Cell-to-Cell Interference Page Architecture with Temporary LSB Storing and Parallel MSB Program Scheme for MLC NAND Flash Memories," (IEEE Journal of Solid-State Circuits, Vol. 43, No. 4, 919-928 (2008 4월))을 참조하라.3 also shows an example program sequence in which even or odd bitline cells are selected and programmed in succession (bottom to top) in the displayed order. The numbers indicate the order in which the pages are programmed. For example,
도 4는 도 2의 전압 할당 방식에 대한 예시적인 2단 MLC 프로그래밍 방식(400)을 도시한다. 도 4에 도시된 바와 같이, LSB 프로그램 단계 동안, 소거 상태(410)에 있는 선택된 셀의 상태는 LSB가 0이면 최저 프로그램 상태(411)로 이동한다. 그러므로, LSB 프로그래밍 단계에서, 메모리 셀은 소거 상태 '11'로부터 '10'으로 프로그램된다. 다음, MSB 프로그램 단계동안, 2개의 상태, 상태 '00'(412)와 '01'(413)가 이전 LSB 데이터에 따라 순차적으로 형성된다. 일반적으로, MSB 프로그래밍 단계동안, '10' 상태는 '00'으로 프로그램되고 상태 '11'은 '01'로 프로그램된다.4 illustrates an exemplary two stage
도 4의 프로그래밍 방식(400)은 상태 410으로부터 상태 413으로의 상태 변화와 관련된 최대 전압 변이를 도시함을 유의하라. 상태 변화와 관련된 최대 전압 변이를 감소시켜 전압 변이에 의해 유발되는 ICI를 감소시키기 위해 많은 프로그래밍 방식이 제안 또는 제시되어왔다.Note that the
도 5a 및 5b는, 함께, 이웃 셀에 가해진 ICI를 감소시키는 다른 MLC 프로그래밍 방식(500)을 도시한다. 도 5a에 도시된 바와 같이, LSB 프로그래밍 단계 동안, 메모리 셀은 상태 '11'로부터 임시 (중간) 상태로서 'x0'로 SLC 프로그래밍과 유사한 방법으로 프로그램된다. 동일한 워드라인 내의 인접 셀도 LSB 프로그램된 후에, ICI에 의해 도 5a에서 피크(510)로 도시된 바와 같이 분포가 넓어질 수 있다. 그 후, 도 5b에 도시된 MSB 프로그래밍 단계에서, 'x0' 상태는 입력 데이터에 대응하는 최종 상태로서 '00'이나 '10'으로 프로그램되거나, 그렇지 않으면 '11' 상태가 최종 '01' 상태로 프로그램된다. 일반적으로, '11' 셀을 제외한 모든 메모리 셀은 MSB 프로그래밍 단계에서 LSB에 대한 임시 프로그램 상태로부터 그들의 최종 단계로 재 프로그램되어, 인접 셀에 의해 유발된 ICI가 많이 감소될 수 있다. 최종 상태의 셀은 중간 상태에 있을 때 겪었던 ICI를 겪지 않는데, 이는 셀이 최종 상태로 재 프로그램됐기 때문이다. 최종 상태의 셀은 최종 상태에 있은 이래로 겪은 ICI만을 격을 것이다. 상술한 바와 같이, 중간 프로그램 상태를 이용하는 도 5a 및 5b의 다단계 프로그래밍 시퀀스는 최대 전압 변화를 감소시키고, 그에 따라 이들 전압 변화에 의해 유발되는 ICI를 감소시킨다. 도 5b에서 예를 들어, MSB 프로그래밍 단계 동안 최대 전안 변이는 상태 '11' 에서 '01'로의 전이 및 상태 'x0'에서 '10'으로의 전이에 각각 관련된다는 것을 볼 수 있다. 이들 전압 변이는 도 4에서 상태 '11'로부터 '01'로의 최대 전압 변이보다 현저히 작다.5A and 5B together show another
도 6은 MLC(multi-level cell) 플래시 메모리 장치(130) 내의 예시적인 플래시 셀 어레이(600)를 더 자세히 도시한다. 도 6에 도시된 바와 같이, 플래시 셀 어레이(600)는 플래시 셀, ci당 3 비트를 저장한다. 도 6은 한 블록에 대한 플래시 셀 어레이 아키텍쳐를 도시하는데, 여기서 각 예시적인 셀은 통상 3 비트를 저장하는 부동 게이트 트랜지스터에 대응한다. 예시적인 셀 어레이(600)는 m개의 워드라인과 n개의 비트라인으로 이루어진다. 통상, 현재의 다중 페이지(multi-page) 셀 플래시 메모리에서, 단일 셀 내의 비트는 서로 다른 페이지에 속한다. 도 6의 예에서, 각 셀에 대한 세 개의 비트는 세 개의 상이한 페이지에 대응하고, 각 워드라인은 3 페이지를 저장한다. 다음 논의에서, 페이지 0, 1 및 2는 워드라인 내의 하위, 중간 및 상위 페이지 수준이라고 지칭한다.6 illustrates in more detail an exemplary
상술한 바와 같이, 플래시 셀 어레이는 짝수 및 홀수 페이지로 더 나눠질 수 있으며, 이 경우, 예를 들어, (도 6의 셀 2 및 4와 같은) 짝수를 갖는 셀은 짝수 페이지에 대응하고 (도 6의 셀 1 및 3과 같은) 홀수를 갖는 셀은 홀수 페이지에 대응한다. 이 경우에, (페이지 0과 같은) 페이지는 짝수 셀 내 짝수 페이지(짝수 페이지 0)을, 홀수 셀 내 홀수 페이지(홀수 페이지 0)을 포함할 것이다.As described above, the flash cell array can be further divided into even and odd pages, in which case, for example, cells with even numbers (such as
셀간 간섭 및 기타 외란Intercell Interference and Other Disturbance
도 7은 다수의 예시적인 공격자 셀에 기인하여 타겟 셀에 존재하는 셀간 간섭, 백 패턴 의존성, 잡음 및 기타 왜곡과 같은 외란을 도시한다. 도 7에서 다음의 표기법이 사용된다.7 illustrates disturbances such as intercell interference, back pattern dependence, noise and other distortions present in the target cell due to many exemplary attacker cells. In Figure 7, the following notation is used.
WL: 워드라인;WL: word line;
BL: 비트라인;BL: bit line;
BLo: 홀수 비트라인;BLo: odd bitline;
BLe: 짝수 비트라인; 및BLe: Even Bitline; And
C: 커패시턴스.C: capacitance.
예를 들어, ICI가 타겟 셀(710)이 프로그램된 후에 프로그램되는 공격자 셀(720)에 의해 유발된다. ICI는 타겟 셀(710)의 전압 Vt를 변화시킨다. 예시적인 실시형태에서, "상향(bottom up)"프로그래밍 방식이 가정되고, 워드라인 i 및 i+1의 인접 공격자 셀이 타겟 셀(710)에 대해 ICI를 유발한다. 블록의 이러한 상향 프로그래밍으로, 하위 워드라인 i-1로부터의 ICI가 제거되고, 도 7에 도시된 바와 같이 5 개까지의 이웃 셀이 공격자 셀(720)로서 ICI에 기여한다. 그러나, 본 명세서에 개시된 기술은 워드라인 i-1과 같은 다른 워드라인으로부터의 공격자 셀이 ICI에 기여하는 경우로도 일반화될 수 있으며, 이는 당업자에게 명백할 것이다. 워드라인 i-1, i 및 i+1로부터의 공격자 셀이 ICI에 기여하는 경우, 8개까지의 최근접 이웃 셀이 고려되어야 한다. 타겟 셀로부터 더 먼 다른 셀은, 그들의 ICI에의 기여가 무시할 수 있다면, 무시될 수 있다. 일반적으로, 공격자 셀(720)은 프로그래밍 시퀀스 방식(상향 또는 홀수/짝수 기술 등)을 분석함으로써 식별되어 주어진 타겟 셀(710) 후에 프로그램되는 공격자 셀(720)을 식별한다.For example, ICI is caused by an
일반적으로, Vt는 셀 상에 저장된 데이터를 나타내는 전압이고 판독 동작 동안 획득된다. Vt는 판독 동작에 의해, 예를 들어, 셀 당 저장된 비트 수보다 더 높은 정확도의 소프트 전압 값으로서 또는 셀 당 저장된 비트 수(예를 들어, 3비트/셀 플래시에 대해 3비트)와 동일한 해상도를 갖는, 하드 전압 수준으로 양자화된 값으로 획득될 수 있다.In general, Vt is the voltage representing the data stored on the cell and is obtained during a read operation. Vt is the same resolution by a read operation, for example, as a soft voltage value with a higher accuracy than the number of bits stored per cell, or equal to the number of bits stored per cell (eg 3 bits per cell flash). Can be obtained as a value quantized to a hard voltage level.
ICI 감소 기술에 대한 추가적인 논의에 대해서는, 예를 들어, 각각 본 명세서에 참조로 포함되는, 명칭이 "Methods and Apparatus for Read-Side Intercell Interference Mitigation in Flash Memories"인 국제 특허 출원 PCT/US09/49326호, 또는 명칭이 ""Methods and Apparatus for Write-Side Intercell Interference Mitigation in Flash Memories"인 국제 특허 출원 PCT/US09/49327호를 참조하라.For further discussion of ICI reduction techniques, see, for example, International Patent Application PCT / US09 / 49326, entitled “Methods and Apparatus for Read-Side Intercell Interference Mitigation in Flash Memories,” each of which is incorporated herein by reference. Or International Patent Application PCT / US09 / 49327 entitled "Methods and Apparatus for Write-Side Intercell Interference Mitigation in Flash Memories."
소프트 데이터 생성Soft data generation
본 발명은 플래시 메모리에 대한 소프트 디매핑 및 소프트 데이터 생성 기술을 제공한다. 도 12a와 관련하여 후술하는 일 예시적인 실시형태에서, 강화된 소프트 데이터가 확률 밀도 함수, 그 근사, 비트 기반 확률 또는 셀 기반 확률과 같은 확률 통계를 이용하여 플래시 메모리에 의해 할당된 소프트 데이터로부터 생성된다. 도 12b와 관련하여 후술하는 다른 예시적인 실시형태에서, 소프트 데이터가 확률 밀도 함수, 그 근사, 비트 기반 확률 또는 셀 기반 확률과 같은 확률 통계를 이용하여 플래시 메모리에 의해 할당된 하드 데이터로부터 생성된다. 일반적으로, 플래시 메모리에 의해 할당된 데이터는 초기에 획득된다. 본 발명은 그 후 플래시 메모리로부터의 데이터에 기초하여 확률 또는 신뢰성 정보와 같은 소프트 정보를 생성 또는 강화한다. 생성된 소프트 정보는 선택적으로(optionally) 소프트 결정(decision) 디코딩을 위해 사용될 수 있다. 본 명세서에서, "확률 밀도 함수"라는 용어는 확률 밀도 함수, 및 히스토그램과 가우스 근사와 같은 그의 근사를 포함한다.The present invention provides soft demapping and soft data generation techniques for flash memories. In one exemplary embodiment described below with respect to FIG. 12A, enhanced soft data is generated from soft data allocated by flash memory using probability statistics such as probability density function, approximation, bit-based probability, or cell-based probability. do. In another exemplary embodiment described below with respect to FIG. 12B, soft data is generated from hard data allocated by the flash memory using probability statistics such as a probability density function, its approximation, bit-based probability, or cell-based probability. In general, data allocated by flash memory is initially obtained. The invention then generates or enhances soft information such as probability or reliability information based on the data from the flash memory. The generated soft information can optionally be used for soft decision decoding. As used herein, the term "probability density function" includes probability density functions, and their approximations, such as histogram and Gaussian approximation.
도 8은 본 발명에 따른 제어기-기반 소프트 데이터 생성 기술을 포함하는 예시적인 플래시 메모리 시스템(800)의 개략적 블록도이다. 도 8에 도시된 바와 같이, 예시적인 플래시 메모리 시스템(800)은 인터페이스(850)에 의해 접속된 플래시 제어 시스템(810)과 플래시 메모리 블록(860)을 포함한다. 예시적인 플래시 제어 시스템(810)은 통상 하나 이상의 집적 회로 상에, 플래시 제어기(820) 및 판독 채널(825)을 포함한다.8 is a schematic block diagram of an exemplary
예시적인 판독 채널(825)은 신호 처리 유닛(830), 인코더/디토더 블록(840) 및 하나 이상의 버퍼(845)를 포함한다. "판독 채널"이라는 용어는 기록 채널도 포괄할 수 있음을 유의하라. 다른 실시형태에서, 인코더/디코더 블록(840) 및 일부 버퍼(845)는 플래시 제어기(820) 내부에서 구현될 수 있다. 인코더/디코더 블록(840) 및 버퍼(845)는, 예를 들어, 공지된 상용의 기술 및/또는 제품을 본 발명의 특성 및 기능을 제공하도록 본 명세서에서와 같이 변형하여 이용함으로써 구현될 수 있다.
예시적인 신호 처리 유닛(830)은, 각각, 예를 들어 도 12a 및 12b와 관련하여 후술하는 하나 이상의 소프트 디매퍼 및/또는 소프트 데이터 생성 프로세스(835)를 구현하는 하나 이상의 프로세서를 포함한다. 예시적인 플래시 메모리 블록(860)은 메모리 어레이(870) 및 각각이 공지된 상용 기술 및/또는 제품을 이용하여 구현될 수 있는 하나 이상의 버퍼(880)를 포함한다.Exemplary
개시된 소프트 데이터 생성 기술의 다양한 실시형태에서, 예시적인 인터페이스(850)는 공격자 셀과 관련된 정보를 나타내는 값과 같은 종래의 플래시 메모리 시스템과 관련된 추가적인 정보를 운반하여야 할 수 있다. 그러므로, 인터페이스(850)는 종래 플래시 메모리 시스템의 인터페이스에 비해 더 큰 용량 또는 더 빠른 레이트를 가질 필요가 있을 수 있다. 인터페이스(850)는 선택적으로는 예를 들어, 명칭이 "Methods and Apparatus for Interfacing Between a Flash Memory Controller and a Flash Memory Array"이고 2009년 6월 30일에 출원되었으며 본 명세서에 참조로 포함되는 국제 특허 출원 PCT/US09/49328호(대리인 정리번호 08-0769)의 교시에 따라 구현될 수 있는데, 이는, 예를 들어, 더블 데이터 레이트(DDR) 기술을 이용하여 인터페이스(850)의 정보 운반 용량을 증가시킨다. 기록 동작 동안, 인터페이스(850)는 타겟 셀에 저장될 프로그램 값을 전달하는데, 통상 페이지 또는 워드라인 수준 액세스 기술을 이용한다. 예시적인 페이지 또는 워드라인 수준 액세스 기술에 대한 더 상세한 논의에 대해서는, 예를 들어, 본 명세서에 참조로 포함되는, 명칭이 "Methods and Apparatus for Storing Data in a Multi-Level Cell Flash Memory Device with Cross-Page Sectors, Multi-Page Coding and Per-Page Coding"인 2009년 3월 11일자로 출원된 국제 특허 출원 PCT/US09/36810호를 참조하라.In various embodiments of the disclosed soft data generation techniques,
판독 동작 동안, 인터페이스(850)는 타겟 셀 및 공격자 셀에 대해 메모리 어레이(870)로부터 획득된 하드 및/또는 소프트 판독 값을 전달한다. 예를 들어, 타겟 셀로 페이지에 대한 판독 값에 더하여, 상위/하위 워드라인 또는 인접한 짝수 또는 홀수 비트 라인의 하나 이상의 인접 페이지에 대한 판독 값이 인터페이스 버스를 통해 전달된다. 도 8의 실시형태에서, 개시된 소프트 데이터 생성 기술이 플래시 메모리 외부에서, 통상 최저 면적을 달성하기 위해 논리 회로를 위해 최적화된 처리 기술에서 구현된다. 그러나, 이는 인터페이스(850) 상에 전달될 수 있는 추가적인 공격 셀 데이터를 희생하게 된다.During the read operation, the
도 9는 본 발명의 다른 실시형태에 따른 메모리 기반 소프트 데이터 생성 기술을 포함하는 예시적인 플래시 메모리 시스템(900)의 개략적인 블록도이다. 도 9에 도시된 바와 같이, 예시적인 플래시 메모리 시스템(900)은 플래시 제어 시스템(910)과 플래시 메모리 블록(960)을 포함하고, 이들은 인터페이스(950)에 의해 연결된다.9 is a schematic block diagram of an exemplary
예시적인 플래시 제어 시스템(910)은 플래시 제어기(920)과 선택적인 판독 채널(925)을, 통상 하나 이상의 집적 회로 상에 포함한다. 다른 실시형태에서, 인코더/디코더 블록(940) 및 일부 버퍼(945)는 플래시 제어기(920) 내에 구현될 수 있다. 예시적인 플래시 제어기(920)는, 예를 들어, 본 발명의 특성 및 기능을 지원하도록 본 명세서에서와 같이 수정된, 공지된 상용의 기술 및/또는 제품을 이용하여 구현될 수 있다. 예시적인 판독 채널(925)은 인코더/디코더 블록(940)과 하나 이상의 버퍼(945)를 포함한다. 인코더/디코더 블록(940) 및 버퍼(945)는 공지된 상용의 기술 및/또는 제품을 이용하여 구현될 수 있다.Exemplary
예시적인 플래시 메모리 블록(960)은 메모리 어레이(970) 및 하나 이상의 버퍼(980)를 포함하며, 각각은 공지된 상용 기술 및/또는 제품을 이용하여 구현될 수 있다. 또한, 예시적 플래시 메모리 블록(960)은, 각각이 예를 들어 도 12a 및 12b와 관련하여 후술되는 하나 이상의 소프트 디매핑 및/또는 소프트 데이터 생성 프로세스(990)를 구현하는 하나 이상의 프로세서를 포함하는 예시적인 신호 처리 유닛(985)을 포함한다.Exemplary
개시된 소프트 데이터 생성 기술의 다양한 실시형태에서, 예시적인 인터페이스(950)는, 공격자 셀과 관련된 정보를 나타내는 값과 같은 종래의 플래시 메모리 시스템에 관한 추가적인 정보를 운반하여야 할 수 있다. 그러므로, 인터페이스(950)는 종래 플래시 메모리 시스템의 인터페이스에 비해 더 큰 용량 또는 더 빠른 레이트를 가질 필요가 있을 수 있다. 인터페이스(950)는 선택적으로는 예를 들어, 명칭이 "Methods and Apparatus for Interfacing Between a Flash Memory Controller and a Flash Memory Array"이고 2009년 6월 30일에 출원되었으며 본 명세서에 참조로 포함되는 국제 특허 출원 PCT/US09/49328호(대리인 정리번호 08-0769)의 교시에 따라 구현될 수 있는데, 이는, 예를 들어, 더블 데이터 레이트(DDR) 기술을 이용하여 인터페이스(950)의 정보 운반 용량을 증가시킨다.In various embodiments of the disclosed soft data generation techniques,
기록 동작 동안, 인터페이스(950)는 타겟 셀 및 공격 셀에 저장될 프로그램 데이터를 전달한다. 판독 동작 동안, 인터페이스(950)는 타겟 셀(들) 및 선택적으로는 공격자 셀에 대해 새로운 하드 또는 소프트 판독 값 또는 데이터를 전달한다. 통상, 단일 판독 액세스에 대해 운반되는 정보는 한 페이지 또는 워드라인의 데이터이다. 타겟 셀에 대한 데이터를 전송하는 것만이, 통상 논리 회로가 아니라 메모리에 최적화된 플래시 메모리를 제조하는데 사용되는 메모리 처리 기술을 이용하여 메모리 내에 소프트 데이터 생성 프로세스를 구현하는 것을 비용으로, 인터페이스(950)에 대한 대역폭 요구를 감소시킨다는 점을 유의하라.During a write operation, the
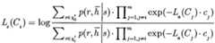
도 10은, 본 명세서에 참조로 포함되는 명칭이 "Methods and Apparatus for Soft Demapping and Intercell Interference Mitigation in Flash Memories"이고 2009년 6월 30일자로 출원된 국제 특허 출원 PCT/US09/49333호의 교시에 따른 재귀적 디매핑과 디코딩, 및 선택적인 인터리빙을 갖는 예시적인 플래시 판독 아키텍쳐(1000)를 도시한다. 도 10에 도시된 바와 같이, 예시적인 기록 경로는 인코더(1010), 선택적인 인터리버(1020), 직렬-병렬(serial-to-parallel) 변환기(1030) 및 매퍼(mapper)(1040)를 포함한다. 데이터는 공지된 방식으로 메모리(1050)로 기록되고 메모리(1050)로부터 판독된다. 예시적인 판독 경로는 소프트 디매퍼 또는 소프트 데이터 생성기(1060), 병렬-직렬 변환기(1070), 디인터리버(1080), 디코더(1090) 및 인터리버(1095)를 포함한다. 일반적으로, 후술하는 바와 같이, 소프트 디매퍼 또는 소프트 데이터 생성기(1060)는, 재귀적 프로세스가 마지막 결정으로 수렴할 때까지, 새로운 소프트 정보를 생성하기 위해 디코더(1090)에 의해 처리되고 재귀적인 방식으로 소프트 디매퍼로 피드백되는 뒤에서 자세히 설명하는 소프트 정보를 생성한다. FIG. 10 is in accordance with the teachings of International Patent Application PCT / US09 / 49333, entitled "Methods and Apparatus for Soft Demapping and Intercell Interference Mitigation in Flash Memories", incorporated by reference herein, filed June 30, 2009; An example
본 발명에 따라 소프트 정보(LLR)를 생성하기 위해 소프트 디매퍼(1060)에 의해 채용되는 등식은 아래의 "판독 통계를 이용한 소프트 데이터(LLR) 계산" 섹션에서 논의된다. 도 10에 도시된 바와 같이, 디매퍼(1060)에 의해 생성되는 소프트 정보는 피즈백 경로의 소프트 디매퍼(1060), 디인터리버(1080), 디코더(1090), 및 인터리버(1095) 사이에서 재귀적인 디매핑 및 디코딩을 위해 사용될 수 있다.The equation employed by the
플래시로부터의 데이터에 기초한 소프트 데이터 생성Soft data generation based on data from flash
본 발명은 현재의 플래시 메모리(860, 960)는 통상 플래시 제어 시스템(810, 910)으로 하드 데이터만을 제공한다는 점을 인식한다. 그러나, 소프트 데이터는 디코딩 프로세스에서 에러 레이트 성능을 개선할 수 있다는 점이 알려져 있다. 그러므로, 본 발명의 일 태양에 따르면, 플래시 메모리(860, 960)로부터의 하드 데이터가 소프트 데이터를 추정하고 그에 의해 플래시 제어 시스템(810, 910)에서 디코딩 성능을 개선하는데 사용된다. 예를 들어, 후술하는 바와 같이, 하드 데이터의 통계적 속성이 소프트 데이터를 추정 또는 강화하는데 사용될 수 있다. 생성된 소프트 데이터는, 에러 레이트 성능을 개선하기 위해, 그 후 LDPC 코드의 신뢰 전파 디코딩(belief propagation decoding)과 같은 디코딩을 위해 사용될 수 있다.The present invention recognizes that
본 발명의 다른 태양에 따르면, 플래시 메모리(860, 960)는 플래시 제어 시스템(810, 910)으로 소프트 데이터 또는 소프트 정보를 제공한다. 강화된 소프트 데이터는 플래시 메모리(860, 960)에 의해 제공된 소프트 데이터로부터 생성되어 플래시 제어 시스템(810, 910)에서 디코딩 성능을 개선한다. 소프트 정보를 이용한 구현에서, 플래시 메모리 시스템(860, 960)은 측정된 전압 또는 측정된 전압의 양자화된 버전을 소프트 정보로서 플래시 제어 시스템(810, 910)에 전송하며, 여기서 메모리 셀에 저장된 비트의 수보다 많은 수의 비트가 측정된 전압을 나타내는데 사용된다.According to another aspect of the present invention,
도 11은 본 발명의 일 실시형태에 따른 제어기 기반 소프트 데이터 생성을 갖는 예시적인 플래시 메모리 시스템(1100)을 도시한다. 도 11에 도시된 바와 같이, 예시적인 플래시 메모리 시스템(1100)은 플래시 메모리 블록(1100)과 플래시 제어 시스템(1120)을 포함하고, 이들은 인터페이스(1115)에 의해 연결된다. 후술하는 바와 같이, 소프트 또는 하드 데이터 값(또는 양자 모두)는 플래시 메모리 블록(1110)에 의해 할당될 수 있고, 추가적인 디코딩 및 처리를 위해 플래시 제어 시스템(1120)으로 인터페이스(1115)를 통해 전달된다. 예시적인 플래시 제어 시스템(1120)은 도 12a 및 12b와 관련하여 후술되는 소프트 디매퍼/소프트 데이터 생성기(1200)와 도 13-14와 관련하여 후술되는 디코더(1400)를 포함한다. 디코더(1400)는, 예를 들어, 신뢰 전파(Belief Propagation), 메시지 전달(Message Passing), 합-곱(Sum-Product) 또는 최소-합(Min-Sum) 알고리즘과 같은 LDPC 디코딩 알고리즘을 이용하여 구현될 수 있다.11 illustrates an example
도 11에 도시된 바와 같이, 소프트 디매퍼/소프트 데이터 생성기(1200)에 의해 생성된 소프트 정보는 선택적으로 소프트 디매퍼/소프트 데이터 생성기(1200)와 디코더(1400) 사이의 재귀적인 디매핑 및 디코딩을 위해 사용될 수 있다. 일반적으로, 도 11에 도시된 바와 같이, 소프트 디매퍼/소프트 데이터 생성기(1200)는 소프트 정보를 LLR(Le) 형태로 생성하는데, 이는 아래의 "판독 통계를 이용한 소프트 데이터(LLR) 계산" 섹션에서 논의한다. 최초에, 소프트 디매퍼/소프트 데이터 생성기(1200)에 의해 계산된 LLR(Le)는 플래시 메모리(1110)로부터의 소프트 또는 하드 판독(또는 양자 모두)와 대응 통계에 기초한다. 재귀적 프로세스가 최종 결정으로 수렴할 때까지 재귀적인 방식으로 소프트 디매퍼/소프트 데이터 생성기(1200)로 피드백되는 새로운 소프트 정보(La)를 생성하기 위해 디코더(1400)에 의해 LLR(Le)이 처리된다.As shown in FIG. 11, soft information generated by the soft demapper /
소프트soft디매퍼Demapper/소프트 데이터 생성기(1200)/ Soft data generator (1200)
도 12a는 플래시 메모리(810, 910)에 의해 제공되는 소프트 데이터로부터 강화된 소프트 데이터를 생성하기 위해 본 발명의 특징을 포함하는 예시적인 소프트 디매핑 프로세스(1200)를 설명하는 흐름도이다. 도 12a에 도시된 바와 같이, 예시적인 소프트 디매핑 프로세스(1200)는 최초에 단계 1210 동안 타겟 셀에 대해 플래시 메모리(810, 910)로부터 소프트 데이터(r)를 획득하고, 선택적으로, 타겟 셀과 관련된 공격자 셀(들)에 저장된 데이터를 나타내는 하나 이상의 값(h)을 획득한다.12A is a flow diagram illustrating an exemplary
소프트 디매핑 프로세스(1200)는 그 후 단계 1220 동안 r 및 선택적으로 h에 기초하여 하나 이상의 확률 밀도 함수와 같은 통계(또는 확률)을 획득한다. 통계는 아래의 "통계의 수집" 섹션에서 더 논의한다.The
획득된 통계는 그 후 단계 1230 동안 LLR을 계산하는데 사용된다. LLR(들)은 아래 "판독 통계를 이용한 소프트 데이터(LLR)의 계산" 섹션에서 논의한다. 계산된 LLR은 그 후 단계 1240 동안 디코더(1400)에 제공되거나, 또는 선택적으로 디인터리버에 제공된다. 계산된 LLR은 선택적으로, 예를 들어, LLR의 부호에 기초하여 판독 데이터에 대한 최종 결정을 내리는데 사용될 수 있다.The obtained statistics are then used to calculate the LLR during
도 12b는 플래시 메모리 (810, 910)에 의해 제공되는 하드 데이터로부터 소프트 데이터를 생성하기 위해 본 발명의 특징을 포함하는 예시적인 소프트 데이터 생성 프로세스(1250)를 설명하는 흐름도이다. 도 12b에 도시된 바와 같이, 예시적인 소프트 데이터 생성 프로세스(1250)는 최초에 단계 1260 동안 타겟 셀에 대해 플래시 메모리(810, 910)로부터 하드 데이터()를 획득하고, 선택적으로, 타겟 셀과 관련된 공격자 셀(들)에 저장된 데이터를 나타내는 하나 이상의 값()을 획득한다. 하드 데이터()는 예를 들어 플래시 메모리(810, 910)에 의해 각 셀에 할당된 이진 비트 또는 수준일 수 있다.12B is a flow diagram illustrating an exemplary soft
셀 내의 한 비트에 대한 LLR을 계산하기 위해, 다른 비트들은 사용가능하지 않고, 셀 내의 다른 비트들은 예를 들어 페이지 및 워드라인 액세스 기술을 이용하여 판독된다. 예시적인 페이지 또는 워드라인 수준 액세스 기술에 대한 더 상세한 논의에 대해서는, 예를 들어, 본 명세서에 참조로 포함되는 명칭이 "Methods and Apparatus for Storing Data in a Multi-Level Cell Flash Memory Device with Cross-Page Sectors, Multi-Page Coding and Per-Page Coding"이고 2009년 3월 11일자로 출원된 국제 특허 출원 PCT/US09/36810을 참조하라. 페이지 액세스 기술로 LLR이 계산되고 있는 페이지가 판독되고, 선택적으로 동일한 워드라인의 다른 페이지도 판독될 수 있어 하드 데이터가 셀에 대한 수준()으로 매핑될 수 있다. 워드라인 액세스 기술로 전체 워드라인이 판독되어 셀 내의 모든 비트가 획득될 수 있고, 그로부터 하드 데이터 수준()이 획득된다.To calculate the LLR for one bit in a cell, the other bits are not available and the other bits in the cell are read using page and wordline access techniques, for example. For a more detailed discussion of an exemplary page or wordline level access technique, see, for example, the method and Apparatus for Storing Data in a Multi-Level Cell Flash Memory Device with Cross-Page, incorporated herein by reference. Sectors, Multi-Page Coding and Per-Page Coding ", and filed March 11, 2009, filed in International Patent Application PCT / US09 / 36810. With page access technology, the page on which the LLR is being computed can be read and, optionally, other pages on the same wordline can also be read so that hard data can be read at the level of the cell. ) Can be mapped. Wordline access technology allows the entire wordline to be read so that every bit in the cell can be obtained, from which the hard data level ( ) Is obtained.
패턴은, 예를 들어, 공격자 셀(720)(또는 공격자 셀(720)이 저장된 페이지 또는 워드라인)로부터 비트를 판독함으로써 획득된다. 공격자 셀을 판독하는 기술에 대한 더 상세한 논의는 예를 들어, 본 명세서에 참조로 포함되는 명칭이 "Methods and Apparatus for Read-Side Intercell Interference Mitigation in Flash Memories"인 국제 특허 출원 PCT/US09/49326호를 참조하라.pattern Is obtained, for example, by reading the bits from the attacker cell 720 (or the page or wordline on which the
소프트 데이터 생성 프로세스(1250)는 그 후 및, 선택적으로,에 기초하여 단계 1270 동안 하나 이상의 확률 밀도 함수와 같은 통계(또는 확률)을 획득한다. 통계는 비트 기반 또는 셀 기반 확률일 수도 있으며, 이는 아래의 "통계의 수집" 섹션에서 논의한다. 소프트 판독 값의 분포에 대한 가우스 근사가 채용되는 경우, 통계는 분포의 평균 값 또는 분산을 포함하며, 이는 다양한 가우스 근사식에 대해 "판독 통계를 사용한 소프트 데이터(LLR)의 계산" 섹션에서 논의한다. 평균 값 및 분산은, 예를 들어, 프로그램/소거 사이클, 판독 사이킬 및 온도와 같은 상이한 성능 인자에 대한 플래시 메모리 칩의 특성화(characterization) 동안 사전 계산되어 표에 저장될 수 있다. 평균 값 및 분산은 성능 인자에 기초하여, 또한 선택적으로 공격자 셀(720)에 저장된 패턴()에도 기초하여 표로부터 획득될 수 있다.The soft
획득된 통계는 그 후 단계 1280 동안 LLR(들)을 계산하는데 사용된다. LLR(들)은 아래의 "판독 통계를 이용한 소프트 데이터(LLR)의 계산" 섹션에서 논의한다. "판독 통계를 이용한 소프트 데이터(LLR)의 계산" 섹션에서 설명하는 바와 같이, 통계에 추가하여, 또는 통계 대신에, 디코더에 의해 제공된 선험적(a-priori) LLR(La)이 LLR을 계산하는데 선택적으로 사용될 수 있음을 유의하라. 셀 내의 비트에 대해 LLR이 계산될 때, 선험적 LLR(La)이 셀 내의 적어도 하나의 비트(선택적으로 모든 다른 비트)에 대해 사용된다. 이는 셀 내의 이들 다른 비트가 판독되었고 그들에 대해 선험적 LLR(La)가 디코더에 의해 계산되었을 것을 요구한다.The obtained statistics are then used to calculate the LLR (s) during
계산된 LLR은 그 후 단계 1290 동안 디코더(1400), 또는 선택적으로 ㄷ디인터리버로 제공된다. 계산된 LLR은, 예를 들어 LLR의 부호에 기초하여 판독 데이터에 대한 최종 결정을 내리는데 선택적으로 사용될 수 있다. 명칭이 "Methods and Apparatus for Storing Data in a Multi-Level Cell Flash Memory Device with Cross-Page Sectors, Multi-Page Coding and Per-Page Coding"이고 2009년 3월 11일에 출원된 국제 특허 출원 PCT/US09/36810에 설명된 바와 같이, 셀 내의 모든 비트 (또는 워드라인 내 모든 페이지)가 함께(jointly) 인코딩되고 디코딩될 수 있음을 유의하라. 다른 실시형태에서, 셀 내의 비트(또는 워드라인 내의 모든 페이지)가, 역시 국제 특허 출원 PCT/US09/36810호에 설명된 바와 같이 별도로 인코딩되고 디코딩될 수 있다.The calculated LLR is then provided to the
디코더(1400)-
LDPC 코드 및 LDPC 디코딩에 대한 이하의 배경 설명은 본 명세서에 참조로 포함되는 A. J. Blanksby와 C. J. Howland의 "A 690-mW 1-Gb/s 1024-b, Rate-1/2 Low-Density Parity-Check Decoder," IEEE J. Solid-State Circuits, Vol. 37, 404-412 (2002 3월)에 기초한 것이다. 더 상세한 논의에 대해서는, Blanksby와 Howland의 논문 전문을 참조하라.The following background description of LDPC codes and LDPC decoding is described in AJ Blanksby and CJ Howland, "A 690-mW 1-Gb / s 1024-b, Rate-1 / 2 Low-Density Parity-Check", incorporated herein by reference. Decoder, "IEEE J. Solid-State Circuits, Vol. 37, 404-412 (March 2002). For a more detailed discussion, see Blanksby and Howland's full text.
LDPCLDPC 코드의 그래프 표현 Graph representation of code
LDPC 코드는, 한 세트의 노드가 패리티 체크 제한을 나타내고 다른 세트가 데이터 비트를 나타내는 2자(bipartite) 그래프를 이용하여서도 표현될 수 있다. 도 13은 LDPC 코드의 에시적인 2자 그래프 표현(1300)이다. 패리티 체크 매트릭스는 그래프의 입사 매트릭스로서, H 내의 엔트리 hji가 설정되어 있으면, 즉 0이 아니면, H 내의 열 i에 대응하는 비트 노드 i는 H 내의 행 j에 대응하는 체크 노드 j에 연결된다.The LDPC code can also be represented using a bipartite graph in which one set of nodes represents a parity check limit and the other set represents data bits. 13 is an illustrative two-
LDPC 코드를 디코딩하는데 사용되는 한 알고리즘은 합-곱 알고리즘으로 알려져 있다. 이 알고리즘으로 양호한 디코딩 성능을 위해, LDPC 코드의 그래프 표현에서 사이클의 길이가 가능한 긴 것이 중요하다. 예시적인 도 13의 표현에서, 길이 4의 예시적인 짧은 사이클이 도시되었다. 도 13에 도시된 길이-4 사이클과 같은 짧은 사이클은 합-곱 알고리즘의 성능을 열화시킨다. LDPC 코드를 디코딩하기 위한 다른 잘 알려진 알고리즘은 최소-합(min-sum) 알고리즘이다.One algorithm used to decode the LDPC code is known as the sum-product algorithm. For good decoding performance with this algorithm, it is important that the length of the cycle in the graphical representation of the LDPC code is as long as possible. In the exemplary representation of FIG. 13, an exemplary short cycle of
합-곱 알고리즘Sum-product algorithm
합-곱 알고리즘은 LDPC 코드를 디코딩하기 위한 재귀적 알고리즘이다. 합-곱 알고리즘은 메시지 전달(message passing) 알고리즘 또는 신뢰 전파(belief propagation)로도 알려져 있다. 합-곱 알고리즘의 더 상세한 논의에 대해서는, 예를 들어, 본 명세서에 참조로 포함되는 A. J. Blanksby와 C. J. Howland, "A 690-mW 1-Gb/s 1024-b, Rate- 1/2 Low-Density Parity- Check Decoder," IEEE J. Solid-State Circuits, Vol. 37, 404-412 (2002 3월), D.E. Hocevar, "LDPC Code Construction With Flexible Hardware Implementation," IEEE Int'l Conf. on Comm. (ICC), Anchorage, AK, 2708-2712 (2003 5월), 및 R. N. S. Ratnayake, E. F. Haratsch와 Gu-Yeon Wei, "A Bit-node centric architecture for low-density parity check decoders,'" IEEE Global Telecommunications Conference (Globecom), Washington, D.C., 265-270 (2007 11월)을 참조하라.The sum-product algorithm is a recursive algorithm for decoding LDPC codes. Sum-product algorithms are also known as message passing algorithms or trust propagation. For a more detailed discussion of the sum-product algorithm, see, for example, AJ Blanksby and CJ Howland, "A 690-mW 1-Gb / s 1024-b,
비트 노드 i에서 체크 노드 j로의 메시지 Qi,j는 다음으로 주어진다.The message Qi, j from bit node i to check node j is given by:
여기서 L은 비트 i에 대해 소프트 디매퍼/소프트 데이터 생성기에 의해 제공된 외적(extrinsic) LLR이다. 체크 노드 j로부터 비트 노드 i로의 메시지 Rj,i는 다음으로 주어진다.Where L is the extrinsic LLR provided by the soft demapper / soft data generator for bit i. The message Rj, i from the check node j to the bit node i is given by
여기서이고,here ego,
이다. to be.
비트 i에 대한 후험적(a-poeteriori) LLR(log-likelihood ratio)라고도 하는 후험적 정보 값 Λi은 다음으로 주어진다.The epigenetic information value Λi , also referred to as the a-poeteriori log-likelihood ratio (LLR) for bit i, is given by:
재귀적 디매핑 및 디코딩을 위해 소프트 디매퍼/소프트 데이터 생성기로 제공되는 비트 i에 대한 La,i는La, i for bit i provided to the soft demapper / soft data generator for recursive demapping and decoding
로 주어지고, 여기서 Bi는 비트 노드 i에 연결되는 체크 노드의 세트이고, Cj는 체크 노드 j에 연결되는 비트 노드의 세트이다.Where Bi is a set of check nodes connected to bit node i, and Cj is a set of bit nodes connected to check node j.
LDPCLDPC 디코더-하드웨어 공유 디코더 Decoder-Hardware Sharing Decoder아키텍쳐Architecture
LDPC 코드를 디코딩하기 위한 합-곱 알고리즘을 구현하는 때에 큰 도전은 메시지의 전달을 관리하는 것이다. 체크 노드와 비트 노드 모두의 기능성이 상대적으로 단순하므로, 그들 각각의 실현에는 적은 수의 게이트만이 관여된다. 중요 이슈는 기능 노드 사이의 메시지 전달을 위해 요구되는 대역폭의 구현이다.A great challenge in implementing a sum-product algorithm for decoding LDPC codes is managing the delivery of messages. Since the functionality of both the check node and the bit node is relatively simple, only a few gates are involved in their respective implementations. An important issue is the implementation of the bandwidth required for message transfer between functional nodes.
도 14는 예시적인 하드웨어 공유 LDPC 디코더 아키텍쳐(1400)의 블록도이다. 도 14에 도시된 바와 같이, 일반화된 LDPC 디코더 아키텍쳐(1400)는 각각 체크 또는 비트 노드 기능성을 구현하는 다수의 기능 유닛(1410, 1420) 및 메시지를 저장하고 그래프 접속성을 실현하는 메모리 패브릭(fabric)(1450)을 포함한다. 제어 로직(1430)은 메모리 패브릭(1450)의 구성을 제어한다. 하드웨어 공유 LDPC 디코더 아키텍쳐(1400)의 구현의 상세한 논의에 대해서는, 예를 들어, E. Yeo 등, "VLSI Architectures for Iterative Decoders in Magnetic Recording Channels," IEEE Trans. On Magnetics, Vol. 37, No. 2, 748-755 (2001 3월)을 참조하라.14 is a block diagram of an example hardware shared
이러한 하드웨어 공유 아키텍쳐는 디코더의 면적을 감소시킨다는 점이 인식되었다.It has been recognized that this hardware sharing architecture reduces the area of the decoder.
도 15는 본 발명의 일 실시형태에 따라 소프트 데이터 생성을 갖는 예시적인 플래시 메모리 시스템(1500)을 도시한다. 도 15에 도시된 바와 같이, 예시적인 플래시 메모리 시스템(1500)은 플래시 메모리 블록(1510)을 포함한다. 이후에 논의되는 바와 같이, 하드 또는 소프트 데이터 값(또는 양자 모두)은 통상 플래시 메모리 블록(1510)에 의해 할당되고 인터페이스(1515)를 통해 플래시 제어 시스템(1520)으로 추가적인 디코딩 및 처리를 위해 전달된다. 예시적인 플래시 제어 시스템(1520)은 도 16과 관련하여 후술하는 LLR 발생기(1550), "통계의 수집" 섹션에서 후술하는 통계 생성기(들)(1570) 및 디코더(1530)을 포함한다. 통계 생성기(들)(1570)에 의해 생성된 통계는, 예를 들어 도 17a 내지 17c 및 18과 관련하여 후술하는 하나 이상의 통계 표(들)(1560)에 선택적으로 기록되고, 또는 다르게는, 실시간으로 생성될 수 있다.15 illustrates an example
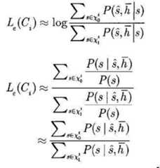
통계 생성기(들)(1570)에 의해 생성된 통계는 LLR 생성기(1550)에 의해 소프트 데이터를 예를 들어 LLR(Le)의 형태로 형성하는데 사용된다. 최초에, LLR(Le)는 플래시 메모리(1510)로부터의 소프트 또는 하드 판독(또는 양자 모두) 및 대응 통계에 기초한다. LLR(Le)은 디코더(1530)에 의해, 재귀적인 프로세스가 최종 결정으로 수렴할 때까지 재귀적인 방식으로 LLR 생성기(1550)로 피드백되는 새로운 소프트 정보(La)를 생성하도록 처리된다.The statistics generated by the statistics generator (s) 1570 are used by the
디코더(1530)는 다시, 예를 들어, 신뢰 전파, 메시지 전달, 합-곱 또는 최소-합 알고리즘과 같은 LDPC 디코딩 알고리즘을 이용하여 구현될 수 있다. 본 명세서에서 설명된 통계 생성기(1570) 및 LLR 생성기(1550)의 기능은 플래시 제어 시스템(1520), 디코더(1530) 및 판독 채널(825)(예를 들어, 도 8 참조) 중 하나 이상에서 구현될 수 있음을 유의하라.
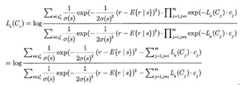
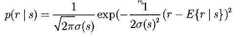
판독 통계를 이용한 소프트 데이터(LLR)의 계산Calculation of Soft Data (LLR) Using Reading Statistics
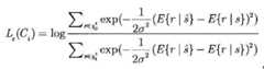
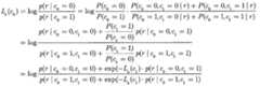
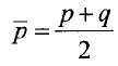
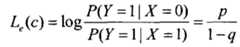
비트 c에 대한 선험적 LLR(log likelihood ratio)La는 다음으로 정의될 수 있다.A prior log likelihood ratio (LLR)La for bit c may be defined as
여기서 P(...)는 확률이다.Where P (...) is the probability.
유사하게, 플래시 출력 r 상에서 조건지워진 비트 c의 LLR은 다음과 같이 계산된다.Similarly, the LLR of bit c conditioned on flash output r is calculated as follows.
여기서Le(c)는 후속 디코더에 전달되는 외적 LLR 또는 소프트 정보이고, p(...)는 확률 밀도 함수(PDF)이다.WhereLe (c) is the external LLR or soft information passed to the subsequent decoder, and p (...) is the probability density function (PDF).
도 16은 예시적인 이진 채널에 대한 에러 확률 p와 q를 나타내는 격자(trellis)(1600)이다. 이진 채널의 맥락에서, p는 에러 확률을 나타내고, p(...)는 확률 밀도 함수를 나타냄을 유의하라. p≠q이면, 이 이진 채널은 비대칭이다. p=q이면, 이 이진 채널은 대칭이다. 도 16 에 도시된 바와 같이, p는 이진 0에 대한 에러 확률(즉, 0이 기록된 때에 1을 판독할 확률)이다. 유사하게, q는 이진 1에 대한 에러 확률(즉, 1이 기록된 때에 0을 판독할 확률)이다. 이진 0을 적절하게 판독할 확률(즉, 0이 기록된 때에 0을 판독할 확률)은 1-p로 표현될 수 있다. 유사하게, 이진 1을 적절하게 판독할 확률(즉, 1이 기록된 때에 1을 판독할 확률)은 1-q로 표현될 수 있다.16 is a
이진 비대칭 채널에 대한 외적(Cross product for binary asymmetric channels (ExtrinsicExtrinsic))LLRLLR
격자(1600)에 의해 정의되는 이진 비대칭 채널에 대한 비트 c의 외적 LLR인Le(c)는 다음과 같이 표현될 수 있다.Le (c), which is the external LLR of bit c for the binary asymmetric channel defined by grating 1600, can be expressed as follows.
판독 비트=0 에 대한 외적 LLR인Le(c)는 다음과 같이 계산된다.Read bitLe (c), the cross product LLR for = 0, is calculated as follows.
판독 비트=1 에 대한 외적 LLR인Le(c)는 다음과 같이 계산된다.Read bitLe (c), the cross product LLR for = 1, is calculated as follows.
이진 대칭 채널에 대한 외적 LLR (p = 1 = P0인 경우)Cross product LLR for binary symmetric channel (if p = 1 = P0 )
판독 비트=0 에 대한 외적 LLR인Le(c)는 다음과 같이 계산된다.Read bitLe (c), the cross product LLR for = 0, is calculated as follows.
판독 비트=1 에 대한 외적 LLR인Le(c), 이 LLR은 다음과 같이 계산된다.Read bitLe (c), which is the cross product LLR for = 1, is calculated as follows.
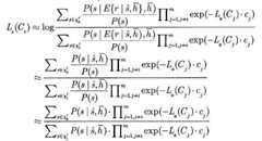
플래시 메모리로부터의 소프트 출력에 대한 외적Cross product for soft output from flash memoryLLRLLR
2 비트/셀 플래시 메모리에 대해, 플래시 메모리(810, 910)로부터 수신된 소프트 값 r에 대한 외적 LLR은 다음과 같이 계산될 수 있다.For a 2-bit / cell flash memory, the external LLR for the soft value r received from the
일반적으로, 여하한 수의 셀 당 비트에 대해, 비트 Ci에 대한 외부 LLR은 다음과 같이 표현될 수 있다.In general, for any number of bits per cell, the outer LLR for bit Ci can be expressed as follows.
여기서,here,
r: 수신 신호r: received signal
s: 저장된 비트 (c0, c1,...,cm)에 의해 주어진 원(original) 저장 상태 또는 수준s: The original storage state or level given by the stored bits (c0 , c1 , ..., cm )
c : 코딩된 비트c: coded bits
셀 당 m 비트M bits per cell
: 선험적 LLR A priori LLR
: 외적 LLR External LLR
: 비트 라벨이 위치 i에서 값 Ci=ci 를 갖는 상태 또는 수준의 부부분집합 : Bit label value in the position i Ci = ci with the state or level of the sub-subset
La(Ci)는 예를 들어, LDPC 디코더(1090 또는 1400)과 같은 디코더에 의해 제공된다. 첫 번째 이터레이션(iteration)에서, La(Ci)는 0으로 초기화될 수 있다.La (Ci ) is provided by a decoder such as, for example,
다음 등식Next equation
을 이용하여, 외적 LLR에 대한 표현은 다음과 같이 쓸 수도 있다.Using, the expression for the external LLR can also be written as
이 식은 다음과 같이 더 간단하게 될 수 있다.This equation can be made simpler as
이 식은 모든 상태 또는 수준의 확률이 같다면(equally likely) 위의 식과 수학적으로 동일하다.This equation is mathematically equivalent to the above equation if the probability of all states or levels is equally likely.
플래시 메모리로부터의 소프트 출력에 대한 패턴 의존 외적Pattern dependent cross product for soft output from flash memoryLLRLLR
플래시 메모리(810, 910)로부터 수신된 타겟 셀에 대한 하나 이상의 소프트 값 r 및 공격자 셀(들)에 대한 하나 이상의 값에 대해, 다음을 보일 수 있다.One or more soft values r for the target cell received from the
여기서,는 주위 셀(들) 또는 타겟 셀에 외란을 유발하는 다른 셀에 저장된 데이터 패턴이다. 예를 들어,here, Is a data pattern stored in the surrounding cell (s) or other cells causing disturbance to the target cell. E.g,
는 LLR이 계산되고 있는 위치 (k,l)에서의 타겟 셀에 인접한 모든 공격자 셀을 나타낸다. Denotes all attacker cells adjacent to the target cell at position (k, l) where the LLR is being calculated.
패턴는 예를 들어 공격자 셀로부터 하드 데이터를 독출하여 획득될 수 있다.pattern For example, may be obtained by reading the hard data from the attacker cell.
외적 LLR에 대한 식은 다음과 같이 쓸 수도 있다.The expression for the external LLR can also be written as
이 식은 다음과 같이 간단하게 할 수 있다.This equation can be simplified as:
이 식은 모든 상태 또는 수준의 확률이 같다면(equally likely) 위의 식과 수학적으로 동일하다.This equation is mathematically equivalent to the above equation if the probability of all states or levels is equally likely.
플래시 메모리부터의From flash memory하드hard 출력에 대한 외적( Cross product for the output (extrinsicextrinsic))LLRLLR
플래시 메모리부터 소프트 출력을 이용할 수 없고, 플래시 메모리가, 플래시 메모리에 의해 저장된 데이터에 할당된 상태 또는 수준인, 하드 데이터()만을 제공하는 경우, 외적 LLR은 아래와 같이 산출될 수 있다:Soft data is not available from the flash memory, and the hard data is a state or level in which the flash memory is allocated to the data stored by the flash memory. If only) is provided, the cross product LLR can be calculated as follows:
상기 식에서, E{r|}은 하드 값()을 가정할 때 (전압과 같은) 소프트 값(r)에 대한 기대값 또는 소프트 값(r)에 대한 다른 어떤 추산치이다. P(|s)는 상태 또는 수준(s)이 본래 기록되거나 저장되었다고 가정할 때(상태 또는 수준과 같은) 하드 값()이 판독될 확률이다.Wherein E {r | } Is the hard value ( ) Is an expected value for soft value r (such as voltage) or some other estimate of soft value r. P ( | s) is a hard value (such as a state or level) assuming a state or level (s) was originally recorded or stored. ) Is the probability of reading.
이와 달리, 외적 LLR 은 아래와 같이 산출될 수 있다:Alternatively, the cross product LLR can be calculated as follows:
상기 식에서, P(s|)는 (상태 또는 수준과 같은) 하드 값()이 판독된다고 가정할 때 상태 또는 수준(s)이 기록되거나 저장되었을 확률이다.Wherein P (s | ) Is the hard value (such as status or level) Assuming that is read, it is the probability that the state or level (s) has been recorded or stored.
플래시 메모리부터의From flash memory하드hard 출력에 대한 패턴 의존형( Pattern-dependent on the output (PatternPattern--DependentDependent) 외적) Cross productLLRLLR
플래시 메모리부터 소프트 출력을 이용할 수 없고, 플래시 메모리가, 플래시 메모리에 의해 저장된 데이터에 할당된 상태 또는 수준인, 하드 데이터()만을 제공하는 경우, 외적 LLR은 공격자 셀 내에 저장된 패턴()에 기초하여 아래와 같이 산출될 수 있다:Soft data is not available from the flash memory, and the hard data is a state or level in which the flash memory is allocated to the data stored by the flash memory. ), Only the external LLR is used to store the pattern ( Can be calculated as follows:
상기 식에서, P(,|s)는 상태 또는 수준(s)이 본래 기록되거나 저장되었을 것을 가정할 때 (상태 또는 수준과 같은) 하드 값()이 판독되고 공격자 셀 내 패턴이일 확률이다.는, 타겟 셀 상 외란을 야기하는 ㅈ주위 셀(들) 또는 다른 셀 내에 저장된 데이터 패턴이다. 예를 들어:Where P ( , | s) is a hard value (such as state or level), assuming a state or level (s) was originally recorded or stored. ) Is read and the pattern in the attacker cell Is the probability. Is the data pattern stored in the surrounding cell (s) or other cells causing disturbance on the target cell. E.g:
은 LLR이 산출되고 있는 위치(k, l)에서의 타겟 셀에 인접한 모든 공격자 셀을 나타낸다. Denotes all attacker cells adjacent to the target cell at the position (k, l) where the LLR is being calculated.
패턴()은 예를 들어 공격자 셀로부터의 하드 데이터를 판독함으로써 획득할 수 있다.pattern( ) Can be obtained, for example, by reading hard data from an attacker cell.
이와 달리 패턴 의존형 LLR은 아래와 같이 산출될 수 있다:Alternatively, the pattern-dependent LLR can be calculated as follows:
상기 식에서, P(s|,)는 (상태 또는 수준과 같은) 하드 값()이 판독되고 공격자 셀 내 패턴이인 것을 가정할 때 상태 또는 수준(s)이 본래 기록되거나 저장되었을 확률이다.Wherein P (s | , ) Is the hard value (such as status or level) ) Is read and the pattern in the attacker cell Assuming that is the probability that the state or level (s) was originally recorded or stored.
플래시로부터의 소프트 출력에 대한 소프트 디코더 피드백이 없는 외적External product with no soft decoder feedback on soft output from flashLLRLLR
소프트 디매퍼/소프트 데이터 생성기 내 사용된 디코더로부터의 소프트 출력이 없는 경우(즉, La(Ci) = 0), 소프트 디매퍼/소프트 데이터 생성기 외적 LLR은 아래와 같이 산출될 수 있다:If there is no soft output from the decoder used in the soft demapper / soft data generator (ie, La (Ci ) = 0), the soft demapper / soft data generator external LLR can be calculated as follows:
그 후, 이러한 외적 LLR은 도 10 및 11에 도시된 디코더로 보내진다. LDPC는 데이터 비트가 디코딩될 때까지 예를 들어 디코더 내 로컬 반복(local iteration)을 위한 메시지-전달(message-passage) 디코딩 알고리즘을 적용할 수 있다. 이 경우, 전체 산출 복잡성을 줄이기 위해 수행되는 소프트 디매퍼/소프트 데이터 생성기 사이의 글로벌 디텍션/디코딩 반복이 없다.This external LLR is then sent to the decoders shown in FIGS. 10 and 11. The LDPC may apply a message-passage decoding algorithm, for example for local iteration in the decoder, until the data bits are decoded. In this case, there is no global detection / decoding iteration between the soft demapper / soft data generator that is performed to reduce the overall computational complexity.
이 경우의 패턴 의존형 LLR은 아래와 같이 산출될 수 있다:The pattern-dependent LLR in this case can be calculated as follows:
플래시로부터의From flash하드hard 출력에 대한 소프트 디코더 피드백이 없는 외적 Cross product with no soft decoder feedback on outputLLRLLR
플래시 메모리부터 이용 가능한 소프트 데이터가 없고, 산출 복잡성을 줄이기 위해 사용되는 디코더로부터의 소프트 출력이 없는 경우, 외적 LLR은 아래와 같이 산출될 수 있다:If no soft data is available from the flash memory and no soft output from the decoder is used to reduce the computational complexity, the external LLR can be calculated as follows:
상기 식에서 E{r|}는 하드 값()을 가정할 때 (전압과 같은) 소프트 값(r)에 대한 기대값 또는 소프트 값(r)에 대한 다른 어떤 추산치이다. P(|s)는 상태 또는 수준(s)이 본래 기록되거나 저장된 것을 가정할 때 (상태 또는 수준과 같은) 하드 값()이 판독되는 확률이다.In which E {r | } Is the hard value ( ) Is an expected value for soft value r (such as voltage) or some other estimate of soft value r. P ( | s) is a hard value (such as state or level), assuming that state or level (s) is originally recorded or stored. ) Is the probability of reading.
이와 다른 구현예에서는, LLR은 아래와 같이 산출될 수 있다:In another embodiment, the LLR can be calculated as follows:
상기 식에서 P(s|)는 (상태 또는 수준과 같은) 하드 값()이 판독되는 것을 가정할 때 상태 또는 수준(s)이 본래 기록되거나 저장되었을 확률이다.Where P (s | ) Is the hard value (such as status or level) Assuming that is read, it is the probability that the state or level (s) was originally recorded or stored.
이 경우의 패턴 의존형 LLR은 아래와 같이 산출될 수 있다:The pattern-dependent LLR in this case can be calculated as follows:
플래시로부터의 소프트 출력에 대한 외적Cross product for soft output from flashLLRLLR의 가우스 근사(Gaussian approximation ofapproximationapproximation))
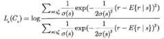
(판독(read) 문턱 전압과 같은) 플래시 메모리로부터의 소프트 출력이 가우스 분산을 가지면서 모델링되는 경우, 본래 저장되거나 기록된 수준(s)을 가정할 때 소프트 출력(p(r))에 대한 조건부의 PDF(p(r|s))는 아래와 같이 표현될 수 있다:If the soft output from the flash memory (such as the read threshold voltage) is modeled with Gaussian variance, then the conditional to the soft output p (r) assuming the level (s) originally stored or written. The PDF of p (r | s) can be expressed as:
상기 식에서,σ(s)는 표준편차이고 E{r|s}는 상태(s)에 대한 (문턱 전압과 같은) 소프트 출력의 평균 또는 기대값이다.Where σ (s) is the standard deviation and E {r | s} is the average or expected value of the soft output (such as the threshold voltage) for state s.
이후, 외적 LLR은 아래와 같이 산출될 수 있다:The cross product LLR can then be calculated as follows:
모든 상태에 대한 전압 분산이 동일한 표준 편차를 가지는 경우(σ(s)=σ), 이 수식은 아래의 표현으로 단순화될 수 있다:If the voltage variances for all states have the same standard deviation (σ (s) = σ), this equation can be simplified to the following expression:
이 수식은 더 단순화될 수 있다:This formula can be further simplified:
플래시로부터의From flash하드hard 출력에 대한 외부 External to outputLLRLLR의 가우스 근사Gaussian approximation
플래시 메모리로부터의 소프트 출력이 이용 가능하지 않은 경우, 소프트 출력이 가우스 분산된다고 가정할 때 LLR은 아래와 같이 산출될 수 있다:If the soft output from the flash memory is not available, assuming that the soft output is Gaussian distributed, the LLR can be calculated as follows:
상기 수식에서 E{r|s}는 상태(s)에 대한 (문턱 전압과 같은) 소프트 출력(r)의 평균 또는 기대값이고, E{r|}은, 플래시 메모리에 의해 할당되고 제공되는 상태 또는 수준인, 하드 출력()에 대한 (문턱 전압과 같은) 소프트 출력(r)의 평균 또는 기대값이다.E {r | s} in the above equation is the average or expected value of the soft output r (such as the threshold voltage) for state s, and E {r | } Is the hard output (state or level allocated and provided by flash memory). Is the average or expected value of the soft output r (such as the threshold voltage).
모든 상태에 대한 전압 분산이 동일한 표준 편차를 가지는 경우(σ(s)=σ), 이 수식은 아래와 같은 표현으로 단순화될 수 있다:If the voltage variances for all states have the same standard deviation (σ (s) = σ), this equation can be simplified to the following expression:
이 수식은 더 단순화될 수 있다:This formula can be further simplified:
플래시 메모리부터의From flash memory하드hard 출력에 대한 패턴 의존형 외적 Pattern-dependent cross product for outputLLRLLR의 가우스 근사Gaussian approximation
소프트 출력에 대한 분산이 가우시안으로서 모델링되는 경우, 하드 출력에 해단 패턴 의존형 LLR은 아래와 같이 산출될 수 있다:If the variance for the soft output is modeled as a Gaussian, then the distal pattern-dependent LLR at the hard output can be calculated as follows:
상기 수식에서는 위에서 정의된 바와 같이 공격자 셀에 저장된 패턴이고, σ(s,)는 상태(s)와 패턴()에 대한 소프트 출력의 분산의 표준 편차이다.In the above formula Is the pattern stored in the attacker cell as defined above, and σ (s, ) Is the state (s) and the pattern ( Is the standard deviation of the variance of the soft output.
모든 상태와 패턴에 대한 전압 분산이 동일한 표준 편차를 가지는 경우σ(s,), 이 수식은 아래의 표현과 같이 단순화될 수 있다:If the voltage variances for all states and patterns have the same standard deviation, then σ (s, This formula can be simplified to the following expression:
이 수식은 더 단순화될 수 있다:This formula can be further simplified:
플래시 메모리부터의 소프트 출력에 대한 소프트 디코더 피드백이 없는 외적 LLR에 대한 가우스 근사Gaussian approximation for cross product LLRs without soft decoder feedback on soft output from flash memory
소프트 디코더 피드백이 사용되지 않는 경우, 외부 LLR은 플래시 메모리로부터의 소프트 출력이 이용 가능할 때 소프트 출력 분산에 대한 가우스 근사를 이용하여 아래와 같이 산출할 수 있다:If soft decoder feedback is not used, the external LLR can calculate as follows using a Gaussian approximation for soft output variance when soft output from flash memory is available:
모든 상태에 대한 전압 분산이 동일한 표준 편차를 가지는 경우(σ(s)=σ), 이 수식은 아래의 표현과 같이 단순화될 수 있다:If the voltage variances for all states have the same standard deviation (σ (s) = σ), this equation can be simplified to the following expression:
이 표현은 더 단순화될 수 있다:This representation can be further simplified:
플래시 메모리로부터의From flash memory하드hard 출력에 대한 소프트 디코더 피드백이 없는 외적 LLR에 대한 가우스 근사 Gaussian approximation to the cross product LLR without soft decoder feedback on the output
소프트 디코더 피드백이 사용되지 않는 경우, 외적 LLR은 플래시 메모리부터의 하드 출력만이 사용가능할 때 소프트 출력 분산에 대한 가우스 근사를 이용하여 아래와 같이 산출될 수 있다:If no soft decoder feedback is used, then the external LLR can be calculated using the Gaussian approximation for soft output variance when only hard output from flash memory is available:
모든 상태에 대한 전압 분산이 동일한 표준 편차를 가지는 경우(σ(s)=σ), 이 수식은 아래의 표현으로 단순화될 수 있다:If the voltage variances for all states have the same standard deviation (σ (s) = σ), this equation can be simplified to the following expression:
이 수식은 더 단순화될 수 있다:This formula can be further simplified:
대응하는 패턴 의존형 LLR은 아래와 같이 산출될 수 있다:The corresponding pattern dependent LLR can be calculated as follows:
모든 상태와 패턴에 대한 전압 분산이 동일한 표준 편차를 가지는 경우(σ(s)=σ), 이 수식은 아래의 표현으로 단순화될 수 있다:If the voltage variances for all states and patterns have the same standard deviation (σ (s) = σ), this equation can be simplified to the following expression:
이는 더 단순화될 수 있다:This can be further simplified:
판독 통계표(Reading Statistics Tablereadreadstatisticsstatisticstablestables))
도 17A 내지 17C는 플래시 메모리로부터의 데이터를 판독하기 위한 통계를 기록(record)하는 셀 기반 통계표의 예시이다. 도 17A는 주어진 한 쌍의 (기록(written) (s)와 판독(read) ()) 수준에 대해, 기록 수준(s)이 기록된 경우, 판독 수준()이 판독된 횟수를 나타내는 셀 기반 통계 카운트 표(1700)의 예이다. 예를 들어, 판독 수준(=00)은, 기록 수준(s) 또한 00인 경우, 10617번 판독되었다. 또한, 판독 수준()은, 기록 수준(s)이 01인 경우, 148번 에러로 판독되었다. 카운트 표(1700)는 또한 선택적으로 각 행(row)과 열(column)의 합을 나타낸다. 카운트 표(1700) 내의 값은 도 21, 23, 25 및 28을 참조하여 아래에서 설명되는 여러 셀 기반 통계 프로세스에 의해 사용된다.17A-17C are examples of cell-based statistical tables that record statistics for reading data from flash memory. Figure 17A shows a given pair of (written (s) and read ( For levels), if the recording level (s) is recorded, then the reading level ( ) Is an example of a cell-based statistical count table 1700 that represents the number of times it has been read. For example, read level ( = 00) was read out 10601 times when the recording level s was also 00. Also, the reading level ( ) Was read with
도 17B는, 주어진 한 쌍의 (기록(s)과 판독()) 수준에 대해, 판독 수준()이 판독되었을 것을 조건으로 하여 기록 수준(s)이 기록된 가능성(p(s|))을 나타내는 셀 기반 통계표의 예이다. 도 17C는, 주어진 한 쌍의 (기록(s)과 판독()) 수준에 대해, 기록 수준(s)이 기록되었을 것을 조건으로 하여 판독 수준()이 판독된 가능성(p(|s))을 나타내는 셀 기반 통계표(1740)의 예이다.Figure 17B shows a given pair of (write s and read ( )) For level, read level ( The probability that the recording level (s) has been written, provided that Is an example of a cell-based statistical table. Figure 17C shows a given pair of (write s and read ( For the level), provided that the recording level (s) has been recorded ) Has been read (p ( (s)) is an example of a cell-based statistical table 1740.
도 18은 주어진 패턴이 존재(presence)할 때 플래시 메모리로부터의 데이터를 판독하기 위한 패턴 의존형 통계를 기록(record)하는 패턴 의존형 셀 기반 통계표(1800)의 예이다. 예시적 표(1800)는, 주어진 패턴()이 있을 때, 주어진 한 쌍의 (기록(s)과 판독()) 수준에 대해서, 기록 수준(s)이 기록되었을 것을 조건으로 하여, 패턴()이 존재할 때 판독 수준()이 판독된 확률(p(,|s))을 나타낸다.18 is an example of a pattern dependent cell based statistics table 1800 that records pattern dependent statistics for reading data from flash memory when a given pattern is present. Exemplary table 1800 shows a given pattern ( ), Given a pair of (write (s) and read ( With respect to the level), the pattern ( ) When present, read level ( ) Reads probability (p ( , | s)).
통계의 수집(collection)Collection of statistics
기준(standard(referencereference) 셀을 사용한 통계 수집) Collect statistics using cells
도 19는 도 3의 예시적 플래시 셀 어레이를 더 상세히 도시한다. 도 19에 도시된 바와 같이, 모든 동작 조건에서 신뢰성 있는 채널 추정 또는 통계를 제공하이 위하여 예시적 플래시 셀 어레이(1900)는 복수의 기준 셀(1900-ref1 내지 1900-refN)(이하에서는 기준 셀(1920)로 집합적으로 지칭함)을 포함한다.19 illustrates the example flash cell array of FIG. 3 in more detail. As shown in FIG. 19, in order to provide reliable channel estimation or statistics under all operating conditions, the exemplary
예시적 기준 셀(1920)은 밑줄친 배경으로 도 19에 도시하였다. 알려진 비트 패턴 또는 알려진 심볼 패턴과 같은 알려진 패턴을 이용하여 기준 셀(1920)은 주기적으로 또는 간헐적으로 프로그래밍될 수 있다. 임의의 바람직한 방법, 예를 들어, 각 워드라인 내 변하지 않는 또는 가변적인 수의 셀을 이용하여 기준 셀(1920)은 플래시 셀 어레이(1900) 사이에서 확산(spread)될 수 있다는 것에 주의한다. 예를 들어, 못 쓰게 된(worn out) 또는 손상을 입은(damaged) 셀을 피하기 위하여 기준 셀(1920)의 위치는 시간에 걸쳐 변하거나 고정될 수 있다. 일 구현예에서, 기준 셀(1920)의 위치는 고정되고 동일 셀(1920)의 성능은 시간에 걸쳐 관찰될 수 있다. 이러한 고정 위치 구현예에서, 기준 셀(1920)은 선택적으로 오직 1회만 기록되거나, 플래시 메모리 어레이 내 다른 셀과 비교될 만한 횟수만큼 기록되고 판독될 수 있다.
다른 변형예에서, 기준 셀(1920)의 성능이 모든 어레이(1900)의 성능을 반영하도록 기준 셀(1920)의 위치는 시간에 따라 변한다. 또 다른 변형예에서, 복수의 상이한 어레이(1900) 내 기준 셀(1920)로부터 통계가 획득될 수 있고, 그 후, 그 결과는 평균을 낼 수 있다.In another variation, the position of the
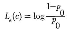
아래에서 더 설명하는 바와 같이, 기준 셀(1920)은 판독되고 알려진 패턴에 비교될 수 있다. 예를 들어, 에러를 감지하는 확률의 추산치(p0)는 아래와 같이 얻을 수 있다:As described further below, the
기준 셀의 프로그래밍과 판독은, 공지의 방법으로, 메모리에 걸쳐서 웨어(wear)와 티어(tear)를 확산하는 웨어-수준(wear-level) 알고리즘과 선택적으로 결합될 수 있다.Programming and reading of the reference cell can be optionally combined with a wear-level algorithm that spreads wear and tear over memory, in known manner.
다양한 실시예에서, 기준 셀(1920)은 모든 가능한 수준을 저장할 수 있고, (수준들이 교호하는(alternate)) 주기적 패턴을 가질 수 있고, 또한 시간에 걸쳐 주기적으로 기록되거나 판독될 수 있다.In various embodiments,
이하에서 논의되는 바와 같이, 본 발명의 다양한 실시예는 비트 기반 통계, 셀 기반 또는 패턴 의존형 통계를 수집하고 이용한다. 비트 기반 통계를 이용하는 실시예에 있어서, 비트 에러 성능이 측정된다. 셀 기반 통계를 이용하는 실시예에 있어서는, 판독 통계가 셀 기초로 측정된다. 패턴 의존형 통계에 있어서는, 판독 통계가 공격자 셀에 저장된 데이터 패턴 또한 고려한다.As discussed below, various embodiments of the present invention collect and use bit based statistics, cell based or pattern dependent statistics. In an embodiment using bit-based statistics, bit error performance is measured. In an embodiment using cell based statistics, read statistics are measured on a cell basis. For pattern dependent statistics, the read statistics also take into account the data patterns stored in the attacker cell.
1. 기준 셀을 이용하는 비트 기반 통계1. Bit-based Statistics Using Reference Cells
도 20은 본 발명의 기준 셀 실시예에 대한 비트 기반 통계 생성(generation) 프로세스(2000)의 예시적 구현예를 도시하는 흐름도이다. 일반적으로, 비트 기반 통계 생성 프로세스(2000)는 비트 에러를 감지하는 확률(p0)을 산출한다. 그 후, 에러를 감지하는 확률(p0)은 LLR 생성기(1550)(도 15)에 의해 이용되어 희망하는 소프트 데이터를 산출한다. 초기에, 단계(2010) 동안 통계 생성 프로세스(2000)는 알려진 패턴을 하나 이상의 기준 셀(1920)에 기록한다. 전술한 바와 같이, 알려진 패턴은, 예를 들어, 알려진 비트 패턴 또는 알려진 심볼 패턴일 수 있다.20 is a flowchart illustrating an example implementation of a bit-based statistics generation process 2000 for a reference cell embodiment of the present invention. In general, the bit-based statistics generation process 2000 calculates a probability p0 for detecting bit errors. The probability of detecting an error p0 is then used by the LLR generator 1550 (FIG. 15) to produce the desired soft data. Initially, during
그 후, 단계(2020) 동안 기준 셀이 판독된다. 그러면, 단계(2030) 동안, 통계 생성 프로세스(2000)는, 기준 셀(1920) 내 에러 비트의 수와 같은 에러 메트릭(error metric)을 결정한다. 전술한 바와 같이, 단계(2020) 동안 판독되었던 기준 셀(1920)은 알려진 패턴에 비교될 수 있다.Thereafter, the reference cell is read during
통계 생성 프로세스(2000)는 단계(2040) 동안 에러 확률을 아래와 같이 산출한다:The statistics generation process 2000 calculates the error probability during
2. 기준 셀을 이용하는 셀 기반 통계2. Cell Based Statistics Using Reference Cells
도 21은 본 발명의 기준 셀 실시예에 대한 셀 기반 통계 생성 프로세스(2100)의 예시적 구현예를 도시하는 흐름도이다. 도 21에 도시된 바와 같이, 셀 기반 통계 생성 프로세스(2100)는 초기에 단계(2110) 동안 하나 이상의 알려진 전압 수준을 기준 셀(1920)에 기록한다.21 is a flowchart illustrating an example implementation of a cell-based statistics generation process 2100 for a reference cell embodiment of the present invention. As shown in FIG. 21, cell-based statistical generation process 2100 initially writes one or more known voltage levels to
그 후, 셀 기반 통계 생성 프로세스(2100)는 기준 셀(1920)로부터 단계(2120) 동안 전압 수준을 판독한다. 가능한 각 기록 수준(s 또는 LVLwrit)에 대해서, 셀 기반 통계 생성 프로세스(2100)는 이 기록 수준(s 또는 LVLwrit)이 기록된 경우 각 수준( 또는 LVLread)이 판독된 횟수를 단계(2130) 동안 카운트한다.The cell based statistics generation process 2100 then reads the voltage level during
에러 확률 통계는 단계(2140) 동안 아래와 같이 산출된다:Error probability statistics are calculated during
상기 수식에서 #는 수(number)를 의미한다.In the above formula, # means number.
이와 달리, 에러 확률 통계는 단계(2140) 동안 아래와 같이 산출될 수 있다(역의 경우):Alternatively, the error probability statistic can be calculated as follows during step 2140 (inversely):
이와 다른 표준화 항(normalization term)이 단계(2140) 동안 산출되는 수식에 대한 분모 내에 사용될 수 있다.Other normalization terms may be used in the denominator for the equations produced during
디코딩된 코드워드를 사용하는 통계 수집Statistics Collection Using Decoded Codewords
본 발명의 디코딩된 코드워드 실시예에서, 디코딩된 코드워드로부터 획득한 데이터를 기준 셀로 사용하여 소프트 데이터는 플래시 메모리 장치(810, 910)와 같은 메모리 장치를 위해 생성된다. 일반적으로, 플래시 메모리와 같은 메모리 장치로부터의 하드 데이터가 디코딩되고, 에러가 있는 디코딩된 비트의 수와 같은 에러 메트릭이 획득된다. 예를 들어, 에러가 있는 디코딩된 비트의 수는 디코딩된 비트를 메모리 장치로부터 획득한 하드 데이터에 비교함으로써 획득할 수 있다. 이 방식에서, 디코딩된 코드워드는 올바르다(correct)고 가정할 수 있고 전술한 기준 셀로서 쓰일 수 있다.In a decoded codeword embodiment of the present invention, soft data is generated for a memory device, such as
1. 디코딩된 코드워드를 사용하는 비트 기반 통계1. Bit-based Statistics Using Decoded Codewords
도 22는 본 발명의 디코딩된 코드워드 실시예에 대한 비트 기반 통계 생성 프로세스(2200)의 예시적 구현예를 도시하는 흐름도이다. 일반적으로, 비트 기반 통계 생성 프로세스(2200)는 디코딩된 코드워드를 이용하여 에러의 감지 확률(p0)을 산출한다. 그 후, 에러 감지 확률(p0)은 LLR 생성기(1500)(도 15)에 의해 사용되어 희망하는 소프트 데이터를 산출할 수 있다. 초기에, 통계 생성 프로세스(2000)는 단계(2210) 동안 플래시 메모리로부터의 하드 데이터를 획득한다.22 is a flowchart illustrating an example implementation of a bit-based statistics generation process 2200 for a decoded codeword embodiment of the present invention. In general, the bit-based statistics generation process 2200 uses the decoded codeword to calculate the probability of detection of an error p0 . The error detection probability p0 can then be used by the LLR generator 1500 (FIG. 15) to yield the desired soft data. Initially, the statistics generation process 2000 obtains hard data from flash memory during
그 후, 비트 기반 통계 생성 프로세스(디코딩된 코드워드)(2200)는 단계(2220) 동안 하드 데이터를 디코딩한다. 플래시 메모리로부터의 에러 비트의 수와 같은, 에러 메트릭은 단계(2230) 동안 결정된다. 에러 비트의 수는, 예를 들어, (올바르다고 가정되는) 디코딩된 비트를 플래시 메모리로부터의 하드 데이터에 비교함으로써 결정될 수 있다.The bit-based statistics generation process (decoded codeword) 2200 then decodes the hard data during
통계 생성 프로세스(2200)는 단계(2240) 동안 에러 확률 통계를 아래와 같이 산출한다:The statistical generation process 2200 calculates error probability statistics during
2. 디코딩된 코드워드를 사용하는 셀 기반 통계2. Cell-Based Statistics Using Decoded Codewords
도 23은 본 발명의 특징을 포함하는 셀 기반 통계 생성 프로세스(디코딩된 코드워드)(2300)의 예시적인 구현예를 도시하는 흐름도이다. 일반적으로, 통계 생성 프로세스(2300)는 디코딩된 코드워드를 사용하여 셀 기반 에러 확률을 산출한다. 초기에, 셀 기반 통계 생성 프로세스(2300)는 단계(2310) 동안 플래시 메모리로부터의 하드 데이터를 획득한다.23 is a flow diagram illustrating an example implementation of a cell-based statistics generation process (decoded codeword) 2300 incorporating features of the present invention. In general, the statistics generation process 2300 uses the decoded codewords to calculate cell based error probabilities. Initially, cell based statistics generation process 2300 obtains hard data from flash memory during
그 후, 셀 기반 통계 생성 프로세스(디코딩된 코드워드)(2300)는 단계(2320) 동안 하드 데이터를 디코딩한다. 디코딩된 비트는 단계(2325) 동안 대응하는 전압 수준에 매핑된다.Cell-based statistics generation process (decoded codeword) 2300 then decodes the hard data during
그 후, 가능한 각 전압 수준(s 또는 LVLdecod)에 대해, 셀 기반 통계 프로세스(디코딩된 코드워드)(2300)는 디코딩된 수준(s LVLdecod)이 디코딩되었던 경우 각 전압 수준( 또는 LVLread)이 판독된 횟수를 단계(2330) 동안 카운트한다.Then, for each possible voltage level (s or LVLdecod ), the cell based statistical process (decoded codeword) 2300 may determine if each decoded level s LVLdecod was decoded. Or LVLread ) is counted during
에러 확률 통계는 단계(2340) 동안 아래와 같이 산출된다:Error probability statistics are calculated during
이와 달리, 에러 확률 통계는 단계(2340) 동안 아래와 같이 산출될 수 있다(역의 경우):Alternatively, the error probability statistics can be calculated as follows during step 2340 (inversely):
조건 특정(Condition-specific (conditioncondition--specificspecific) 에러 확률Error probability
전술한 바와 같이, 에러 확률 통계는, 메모리 어레이의 상이한 위치(location), 공격자 셀의 상이한 패턴, 프로그램/삭제(erase) 또는 판독 사이클의 상이한 수 등과 같은 상이한 조건에 대해서 선택적으로 획득될 수 있다. 그 후, 동일한 조건이 관측되는 경우, 소프트 데이터는 적절한 조건 의존형 통계 또는 확률을 사용하여 획득될 수 있다.As discussed above, error probability statistics may be selectively obtained for different conditions such as different locations of the memory array, different patterns of attacker cells, different numbers of program / erase or read cycles, and the like. Then, if the same condition is observed, soft data can be obtained using appropriate condition dependent statistics or probabilities.
도 24 및 25를 참조하여 아래에서 논의되는 바와 같이, 예시적인 위치 특정 통계 생성 프로세스들(2400, 2500)은, 비트 기반 통계와 셀 기반 통계를 각각 이용하여, 메모리 어레이의 상이한 위치에 대해 에러 확률 통계를 획득한다.As discussed below with reference to FIGS. 24 and 25, example location specific
비트 기반 위치 특정 통계Bit-based position-specific statistics
도 24는 메모리 어레이 내 상이한 위치의 수에 대해 비트 에러의 감지 확률을 추산하는 예시적인 비트 기반 위치 특정 통계 생성 프로세스(2400)를 도시하는 흐름도이다. 예를 들어, 에러를 감지하는 확률(p0.LOC)은 하나 이상의 상이한 페이지 위치, 워드라인 위치, (짝수와 홀수 비트 라인과 같은) 비트 라인 위치와 (MSB(most significant bit)와 LSB(least significant bit)와 같은) 다중 수준(multi-level) 셀 내의 상이한 비트에 대해 획득될 수 있다. 도 24에 도시된 바와 같이, 예시적인 비트 기반 위치 특정 통계 생성 프로세스(2400)는 단계(2430) 동안 희망하는 위치 특정 통계에 기초하여 디코딩된 코드워드 또는 기준 셀의 희망 위치 내 에러 비트의 수를 초기에 결정한다. 예를 들어, 위치 특정 통계가 MSB에 대한 것이면, 에러 MSB 비트의 수는 단계(2430) 동안 평가된다. MSB 통계가 획득되고 있는 경우, 예를 들어, 각 셀 내 임의의 다른 비트는 선택적으로 무시할 수 있다는 것에 주의한다.24 is a flow diagram illustrating an example bit-based location specific
그 후 위치 특정 통계 생성 프로세스(2400)는 위치 특정 에러 확률 통계를 단계(2440) 동안 아래와 같이 산출한다:The location specific
셀 기반 위치 특정 통계Cell-based location specific stats
셀 기반 위치 특정 구현예에 대해서, 메모리 내 상이한 관심(interest) 위치는, 예를 들어, 하나 이상의 워드라인 위치 또는 (짝수와 홀수 비트라인과 같은) 비트라인 위치를 포함할 수도 있다.For cell-based location specific implementations, different interest locations in memory may include, for example, one or more wordline locations or bitline locations (such as even and odd bitlines).
도 25는 하나 이상의 상이한 워드라인 위치 또는 (짝수와 홀수 비트라인과 같은) 비트라인 위치와 같은, 메모리 어레이(1900) 내 상이한 위치의 수에 대한 에러 확률 통계를 획득하는 예시적인 셀 기반 위치 특정 통계 생성 프로세스(2500)를 도시하는 흐름도이다. 도 25에 도시된 바와 같이, 가능한 각 기준 전압 수준(s 또는 LVLref)에 대해, 예시적인 셀 기반 위치 특정 통계 생성 프로세스(2500)는 초기에 단계(2530) 동안 기준 수준(s 또는 LVLref)이 디코딩되었거나 기록되었던 경우 희망 위치 내에서 각 전압 수준( LVLread)이 판독된 횟수를 카운트한다.25 illustrates example cell based location specific statistics for obtaining error probability statistics for a number of different locations in a
그 후 셀 기반 위치 특정 통계 생성 프로세스(2500)는 위치 특정 에러 확률 통계를 단계(2540) 동안 아래와 같이 산출한다:The cell-based location specific
이와 달리, p(s|)는 전술한 바와 같이 산출될 수 있다.In contrast, p (s | ) May be calculated as described above.
본원 발명의 다양한 구현예에서, 분리되어 있는 비트 기반, 셀 기반 또는 패턴-기반 페이지 통계를, 워드라인 또는 메모리 어레이 각각에 대해서, 또는 페이지, 워드라인 또는 메모리 어레이 그룹에 대해서(가령, 워드라인 내 상이한 페이지 수준에 대해서, 또는 메모리 어레이 내 하부, 중간 및 상부 워드라인에 대해서) 수집할 수 있다. 또한, 복수의 페이지, 워드라인 또는 메모리 어레이에 걸쳐서 통계의 평균을 낼 수 있고, 그 후, 평균 통계는 이 페이지, 어드라인 또는 메모리 어레이에 대해서 사용될 수 있다.In various implementations of the invention, separate bit-based, cell-based, or pattern-based page statistics can be generated for each wordline or memory array, or for a page, wordline, or memory array group (eg, within a wordline). For different page levels, or for lower, middle, and upper word lines in a memory array. It is also possible to average the statistics across a plurality of pages, word lines or memory arrays, and then the average statistics can be used for this page, leader or memory array.
패턴 의존형 통계Pattern-dependent statistics
전술한 바와 같이, 본원 발명의 다양한 실시예는 외적 LLR, 하나 이상의 소프트 값에 대한, Le, 타겟 셀과 하나 이상의 값에 대한, r, 공격자 셀(들)에 대한,,를 산출하고, 여기에서는 (서라운딩 셀(들)과 같은) 공격자 셀 내에 저장된 데이터 패턴이다.As noted above, various embodiments of the present invention provide for cross product LLRs, for one or more soft values, Le , for target cells and one or more values, r, for attacker cell (s), , And here Is the data pattern stored within the attacker cell (such as the surrounding cell (s)).
도 26은 각 공격자 셀(720)의 가능한 모든 값에 기초하여, 예시적인 다중 수준 셀 플래시 메모리(600)의 주어진 타겟 셀(710)에 대한 확률 밀도 함수(2610)의 예시적인 집합(2600)을 도시한다. 예시적인 다중 수준 셀 플래시 메모리는 셀 마다 네 개의 수준(2 비트)을 가지고, 하나의 공격자 셀(720)은 데이터 의존형 pdfs를 위해서 고려된다. 주어진 타겟 셀(710)의 가능한 각 수준에 적용 가능한 확률 밀도 함수의 수는 주어진 타겟 셀(210)에 영향을 미치는 공격자 셀(720)의 수가 되는 각 공격자 셀(720)에 대해 가능한 수준의 수이다. 전술한 바와 같이, 예시적 실시예에서, 각 셀은 네 개의 가능한 값 중 하나를 가질 수 있고, 타겟 셀(710)마다 하나의 공격자 셀(720)이 있고, 각 공격자 셀(720)은 네 개의 가능한 수준 중 하나를 가질 수 있다. 그래서, 예를 들어, 확률 밀도 함수의 집합(2600)은, 공격자 셀의 패턴에 기인하는, 데이터 또는 전압 수준 0에 대한 네 개의 확률 밀도 함수(2610-1 내지 2610-4)를 포함한다. 다른 데이터 수준 1, 2와 3 각각에 대한 네 개의 확률 밀도 함수도 존재한다. 본원 발명은 셀마다 임의의 수의 수준과, 임의의 수의 공격자 셀(720)을 가지는 다중 수준 셀 플래시 메모리(600)로 확장될 수 있다는 것은 당업자로서 명확히 알 수 있을 것이다.FIG. 26 illustrates an
일반적으로, 도 26의 확률 밀도 함수 각각은, 다른 노이즈와 외란(disturbance) 효과 중에서, 대응하는 공격자 셀(720)의 주어진 값에 대해 주어진 타겟 셀(710) 상의 ICI 효과를 표시한다. 본 발명의 다른 실시예에서, 데이터 의존형 확률 밀도 함수는 ICI 대신에 또는 ICI와 함께, 다른 데이터 의존형 왜곡(distortion)을 표현할 수 있다. 이하에서 논의되는 바와 같이, 다양한 실시예에서, 확률 밀도 함수는 미리 정의되고(predefined) 고정적(static)이거나, 실시간 관측에 기초하여 적응되거나, 가우스 함수와 같이, 공격자 셀(720)에 대해서, 측정되거나 감지된 값(h)의 함수로서 표현될 수 있다.In general, each of the probability density functions in FIG. 26 indicates, among other noise and disturbance effects, the ICI effect on a given
본 발명의 일 측면에 따르면, 플래시 메모리 장치 내 외란은 적어도 하나의 타겟 셀 상의 하나 이상의 공격자 셀의 패턴 의존형 외란을 나타내는 하나 이상의 확률 밀도 함수를 획득함으로써 특징지을 수 있다. 그 외란은, 예를 들어, 백 패턴 의존성(back pattern dependency), 셀 간 간섭(intercell interference), 프로그램 디스터브(program disturb), 판독 디스터브(read disturb) 및/또는 추가 노이즈를 포함할 수도 있다. 확률 밀도 함수는 하나 이상의 데이터 결정 정보에 기초하여 업데이트될 수 있다. 확률 밀도 함수는 저장된 표 및/또는 수식(expression)으로서 표시될 수 있다.According to one aspect of the invention, the disturbance in the flash memory device may be characterized by obtaining one or more probability density functions indicative of pattern dependent disturbance of one or more attacker cells on the at least one target cell. Other disturbances may include, for example, back pattern dependencies, intercell interference, program disturb, read disturb, and / or additional noise. The probability density function may be updated based on one or more data determination information. The probability density function may be represented as a stored table and / or expression.
확률 밀도 함수의 표 엔트리(entry) 또는 함수 파라미터는, 예를 들어, 수신된 데이터 결정 정보에 기초하여, 선택적으로 그리고 적응적으로 업데이트될 수도 있다. 예를 들어, 확률 밀도 함수는 수신된 어그레서 패턴()에 기초하여 선택된다. 그 후, 선택된 확률 밀도 함수는, 공지의 기술을 이용하여, 수신된 타겟 셀 값(r)에 기초하여, 최근의 발생(occurrence)으로 (예를 들어, 대응하는 카운터를 증가시킴으로써) 업데이트된다.The table entry or function parameter of the probability density function may be selectively and adaptively updated, for example based on the received data determination information. For example, the probability density function can be used to determine the Is selected based on The selected probability density function is then updated using a known technique, based on the received target cell value r, with a recent occurrence (eg, by incrementing the corresponding counter).
전술한 바와 같이, 주어진 타겟 셀(710)에 영향을 미치는 공격자 셀(720)의 수가 복수의 팩터에 기초하여 감소되거나 무시될 수 있다. 이 방식에서, 고려될 필요가 있는 확률 밀도 함수의 수는 감소할 수 있다. 예를 들어, ICI를 마이그레이트(migrate)하는 예시적 구현예에서, (자주 있는 경우처럼) 대각선 결합 계수(diagonal coupling coefficient)(kxy)가 다른 결합 계수보다 많이 작은 경우에는, 대각선으로 위치한 셀로부터의 ICI는 무시될 수 있다. 또한, 프로그래밍 시퀀스(sequence)가 고려되어야 할 공격자 셀(720)의 수에 영향을 미칠 수 있다. 예를 들어, 워드라인이 항상 고정된 순서, 예를 들어, 아래부터 위의 방식(bottom up approach)으로 기록되는 경우에는, 하위 워드라인 내 셀로부터의 외란 ICI 기여가 없을 수도 있다. 또한, 외란 ICI가 타겟 셀(710)의 좌우 인접한 것에 대해서 대칭적인 경우에는, 특징지을 필요가 있는 확률 밀도 함수의 수는 반으로 감소한다.As discussed above, the number of
전술한 바와 같이, 예시적인 일 구현예에서, 확률 밀도 함수는 가우스 확률 밀도 함수를 사용하여 근사화될 수 있다. 다른 변형예에서, 확률 밀도 함수가, 예를 들어, 히스토그램(histogram)에 기초하는 경우, 복잡도를 추가하는 대신 향상된 성능을 얻을 수 있다. 확률 밀도 함수가 히스토그램을 사용하여 구현되는 경우, 그 확률 밀도 함수는 히스토그램을 트레이닝(training)하기 위하여 성공적으로 디코딩된 워드라인을 사용하여 적응적으로 업데이트될 수 있다.As mentioned above, in one exemplary implementation, the probability density function may be approximated using a Gaussian probability density function. In another variant, if the probability density function is based, for example, on a histogram, improved performance may be obtained instead of adding complexity. If the probability density function is implemented using a histogram, the probability density function can be adaptively updated using a successfully decoded wordline to train the histogram.
다른 실시예에서, 확률 밀도 함수와 그 근사화는 판독 데이터를 감지하기 위하여 Viterbi, SOVA(Soft Output Viterbi)와 BCJR과 같은 격자 구조(trellis) 기초 감지 알고리즘에 의해 사용될 수 있다.In another embodiment, the probability density function and its approximation can be used by trellis based sensing algorithms such as Viterbi, Soft Output Viterbi (SOVA) and BCJR to sense read data.
1. 비트 기반 패턴 의존형 통계1. Bit-based pattern dependent statistics
도 27은 적어도 하나의 타겟 셀(710)(도 7)과 연관된 하나 이상의 공격자 셀(720)의 주어진 패턴( 또는 PATT)에 대한 비트 에러를 감지하는 확률(p0,PATT)을 추산하는 예시적인 비트 기반 패턴 의존형 통계 생성 프로세스(2700)를 도시하는 흐름도이다. 초기에, 단계(2720) 동안 비트 기반 패턴 의존형 통계 생성 프로세스(2700)는 기준 타겟 셀(710)과 잠재적으로(potentially) 연관 공격자 셀(들)(720)을 판독한다. 또한, 각 판독 타겟 비트에 대해, 연관 공격자 셀(720)의 패턴(PATT)은 단계(2725) 동안 식별(identify)된다. 패턴은, 예를 들어, 기록된 알려진 패턴을 평가함으로써 또는 디코딩된 코드워드 또는 기준 셀의 실제 판독 동작에 기초하여, 단계(2725) 동안 식별된다.27 illustrates a given pattern of one or
하나 이상의 식별된 패턴에 대해, 대응하는 패턴을 가지는 에러 타겟 비트의 수는 단계(2730) 동안 결정된다. 그 후, 에러 확률 통계는 단계(2740) 동안 아래와 같이 산출된다:For one or more identified patterns, the number of error target bits having a corresponding pattern is determined during step 2730. The error probability statistics are then calculated during
상술한 기술은 선택적으로 통합되어 위치 특정, 패턴 의존형 통계를 획득할 수 있다는 것은 당업자라면 자명한 것이다. 또한, 다른 변형예에서, 판독 통계는 추가적으로 또는 선택적으로 메모리 장치의 인듀어런스(endurance), 판독 사이클, 리텐션(retention), 온도 또는 다른 파라미터의 함수로서 획득될 수 있다.
It will be apparent to those skilled in the art that the above described techniques can be selectively integrated to obtain location specific, pattern dependent statistics. Further, in other variations, read statistics may additionally or alternatively be obtained as a function of endurance, read cycles, retention, temperature, or other parameters of the memory device.
2. 셀 기반 패턴 의존형 통계2. Cell-Based Pattern-Dependent Statistics
도 28은 적어도 하나의 타겟 셀과 연관된 하나 이상의 공격자 셀의 주어진 패턴에 대해 에러를 감지하는 확률을 추산하는 예시적인 셀 기반 패턴 의존형 통계 생성 프로세스(2800)를 도시하는 흐름도이다. 도 28에 도시된 바와 같이, 셀 기반 패턴 의존형 통계 생성 프로세스(2800)는 초기에 단계(2820) 동안 하나 이상의 타겟 셀을 판독한다. 그 후, 연관된 공격자 셀(들)의 패턴( 또는 PATT)은 단계(2825) 동안 식별된다.28 is a flow diagram illustrating an example cell-based pattern dependent statistics generation process 2800 that estimates the probability of detecting an error for a given pattern of one or more attacker cells associated with at least one target cell. As shown in FIG. 28, the cell based pattern dependent statistics generation process 2800 initially reads one or more target cells during
그 후, 하나 이상의 식별된 패턴에 대해서, 그리고, 가능한 각 기준 전압 수준( 또는 LVLref)에 대해서, 셀 기반 패턴 의존형 통계 생성 프로세스(2800)는 기준 수준(s 또는 LVLref)이 디코딩되었거나 기록되었던 경우 각 전압 수준( 또는 LVLread)이 판독된 횟수를 단계(2830) 동안 카운트한다.Then, for one or more identified patterns, and for each possible reference voltage level ( Or LVLref ), the cell-based pattern-dependent statistical generation process 2800 may determine each voltage level (if the reference level s or LVLref ) has been decoded or written. Or LVLread ) is counted during
패턴 의존형 에러 확률 통계는 단계(2840) 동안 아래와 같이 산출된다:The pattern dependent error probability statistics are calculated during
비대칭 에러 확률 통계Asymmetric Error Probability Statistics
전술한 바와 같이, NAND 플래시 메모리 채널과 같은, 특정 채널에서, 바이너리 0과 바이너리 1과 같은, 가능한 상이한 바이너리 값에 대해 에러를 감지하는 확률은 상당히 다를 수 있다. 그래서, 본원 발명은 비대칭 채널에 대한 에러를 감지하는 확률을 선택적으로 제공한다. 도 29 및 30은 바이너리 1과 바이너리 0과 같은, 두 개의 가능한 바이너리 값에 대해, 에러 확률(p와 q)을 추산하는 예시적인 통계 생성 프로세스(2900, 30000)를 제공한다. 아래에서 더 논의하는 바와 같이, 도 29는 기준 셀을 이용하여 비대칭 통계를 추산하고, 도 30은 디코딩한 코드워드를 이용하여 비대칭 통계를 추산한다. 본원 발명은 이렇게 플래시 메모리부터의 하드 데이터에 기초하여 가능한 각 바이너리 값에 대한 비대칭 LLR을 제공한다.As mentioned above, in certain channels, such as NAND flash memory channels, the probability of detecting an error for possible different binary values, such as
비대칭 에러 확률-기준 셀Asymmetric Error Probability-Reference Cell
전술한 바와 같이, 낸드 플래시 메모리 채널과 같은, 특정 채널에서, 바이너리 0과 바이너리 1과 같은, 가능한 상이한 바이너리 값에 대한 에러를 감지하는 확률은 상당히 다를 수 있다. 그래서, 본원 발명은 비대칭 채널에 대해 에러를 감지하는 확률을 선택적으로 제공한다. 도 29는 본원 발명의 기준 셀 실시예에 있어 가능한 두 개의 바이너리 값에 대한 에러 확률을 추산하는 예시적인 비대칭 통계 생성 프로세스(2900)를 도시하는 흐름도이다.As mentioned above, in certain channels, such as NAND flash memory channels, the probability of detecting errors for possible different binary values, such as
도 29에 도시된 바와 같이, 비대칭 통계 생성 프로세스(2900)는 단계(2910) 동안 알려진 패턴을 기준 셀(1920)에 초기에 기록하고, 그 후, 단계(2020) 동안 기준 셀(1920)을 판독한다. 비대칭 통계 생성 프로세스(2900)는 기준 데이터 내 바이너리 0을 가지는 에러 비트의 수를 단계(2930) 동안 결정하고, 그 후, 단계(2940) 동안 바이너리 0에 대한 에러 확률 통계를 아래와 같이 산출한다:As shown in FIG. 29, the asymmetric statistics generation process 2900 initially writes the known pattern to the
그 후, 비대칭 통계 생성 프로세스(2900)는 기준 데이터 내 바이너리 1을 가지는 에러 비트의 수를 단계(2950) 동안 결정하고, 그 후, 바이너리 1에 대한 에러 확률 통계를 단계(2960) 동안 아래와 같이 산출한다:The asymmetric statistics generation process 2900 then determines the number of error bits with
비대칭 에러 확률-디코딩된 코드워드Asymmetric Error Probability-Decoded Codeword
도 30은 본원발명의 디코딩된 코드워드 실시예에 있어서 가능한 두 개의 바이너리 값에 대한 에러 확률을 추산하는 예시적인 비대칭적 통계 생성 프로세스(3000)를 도시하는 흐름도이다. 도 30에 도시된 바와 같이, 비대칭 통계 생성 프로세스(3000)는 플래시 메모리부터의 하드 데이터를 초기에 단계(3010) 동안 획득하고 단계(3020) 동안 하드 데이터를 디코딩한다.30 is a flow diagram illustrating an exemplary asymmetric statistical generation process 3000 for estimating error probabilities for two possible binary values in a decoded codeword embodiment of the present invention. As shown in FIG. 30, asymmetric statistical generation process 3000 initially acquires hard data from flash memory during
그 후, 비대칭 통계 생성 프로세스(3000)는 디코딩된 데이터 내 바이너리 0을 가지는 플래시 메모리로부터의 에러 비트의 수를 단계(3030) 동안 결정한다. 그 후 바이너리 0에 대한 에러 확률 통계는 단계(3040) 동안 아래와 같이 산출된다:The asymmetric statistics generation process 3000 then determines, during
유사하게, 그 후, 디코딩된 데이터 내 바이너리 1을 가지는 플래시 메모리부터의 에러 비트의 수는 단계(3050) 동안 결정된다. 바이너리 1에 대한 에러 확률 통계는 그 후 단계(3060) 동안 아래와 같이 산출된다:Similarly, the number of error bits from the flash
일 실시예에서, NAND 플래시 메모리가 유휴 상태인(즉, 사용자 데이터를 능동적으로(actively) 기록하거나 판독하지 않는) 동안 통계는 수집되고, 산출되고, 저장될 수 있다.In one embodiment, statistics may be collected, calculated, and stored while the NAND flash memory is idle (ie, not actively recording or reading user data).
예시적인 실시예가 기준 셀 또는 디코더 피드백을 이용한 통계 수집을 사용하는 동안, 적응적 방법 또한 사용되어 감지된 또는 디코딩된 데이터를 사용, 예를 들어, 최소 평균 제곱 에러 기준(criterion)을 사용하여 통계를 추산한다.While the exemplary embodiment uses statistics collection using reference cell or decoder feedback, the adaptive method is also used to detect statistics using sensed or decoded data, eg, using a minimum mean square error criterion. Estimate
다른 실시예에서, 통계 또는 대응하는 LLR을 (예를 들어, 프로그램/삭제(erase) 사이클의 수, 리텐션(retention) 시간과 온도 면에서) 최악 케이스(worst-case) 동작 조건에 대해서, 예를 들어, 플래시 메모리의 실험적 특성 묘사(characterization)에 기초하여 미리 산출(precompute)할 수 있고, 그 후, 나쁜 채널 조건에 대해서 이를 이용할 수 있다. 이 방식에서, 에러 확률이 가장 높은 경우, 보다 정확한 통계 또는 LLR이 이용 가능하다. 즉, 미리 규정되는(pre-defined) 통계 또는 대응하는 LLR이 미리 규정된 동작 조건에 대해서 미리 산출될 수 있다.In another embodiment, statistics or corresponding LLRs may be used for worst-case operating conditions (eg, in terms of number of program / erase cycles, retention time and temperature), eg For example, it can precompute based on experimental characterization of the flash memory and then use it for bad channel conditions. In this way, more accurate statistics or LLRs are available where the error probability is highest. In other words, pre-defined statistics or corresponding LLRs can be calculated in advance for predefined operating conditions.
다른 변형예에서, 디코딩이 성공적일 때까지 소프트 데이터는 상이한 통계(예를 들어, 에러 확률)에 기초하여 반복적으로 생성될 수 있다. 통계는 데이터의 성공적인 감지 또는 디코딩이 있을 때까지 범위에 걸쳐 변화할 수 있다. 본 발명의 이러한 변형은 데이터의 가상 재판독(virtual reread)을 제공한다. 데이터가 플래시 메모리로부터 실제로 재판독되지 않아도, 데이터는 다른 소프트 정보로 성공적으로 디코딩된다.In another variation, soft data may be generated repeatedly based on different statistics (eg, error probability) until decoding is successful. Statistics may change over a range until successful detection or decoding of the data. This variant of the invention provides a virtual reread of the data. Even if the data is not actually read back from the flash memory, the data is successfully decoded into other soft information.
불만족 패리티(Dissatisfaction parity (parityparity) 체크에 기초한 에러 성능(Error performance based onperformanceperformance))
본원 발명의 일 측면들은 불만족 패리티 체크가 성능 메트릭으로서 사용되어 소프트 데이터를 획득할 수 있다는 것을 인식한다. (N, K, J, L) LDPC 코드-N은 코드워드 길이, K는 부호화되지 않은(uncoded) 코드워드 길이(코드워드 내 사용자 데이터 길이), J와 L은 각각 패리티 체크 매트릭스의 열(column)과 행(row) 웨이트-를 고려한다. (N, K, J, L) LDPC 코드워드가 에러 확률 p0와 저장되거나 전달되는 경우, 체크섬(check sum)이 제 1 반복(iteration)에서 실패하는 확률은 아래와 같이 표현될 수 있다:One aspect of the present invention recognizes that an unsatisfactory parity check can be used as a performance metric to obtain soft data. (N, K, J, L) LDPC code-N is the codeword length, K is the uncoded codeword length (user data length in the codeword), and J and L are the columns of the parity check matrix, respectively. ) And row weights. If the (N, K, J, L) LDPC codeword is stored or passed with an error probability p0 , the probability that the check sum fails in the first iteration can be expressed as follows:
이 확률은 아래와 같이 추산될 수 있다:This probability can be estimated as follows:
그래서, 에러 확률(p0)는 아래와 같이 추산될 수 있다:So, the error probability p0 can be estimated as:
상기 과정에서, 채널과 초기 LLR 값은 반복적인 디코딩을 수행하기 전에 추산될 수 있다. 채널 추산 복잡도와 레이턴시(latency)는 LDPC 코드의 하드 결정(hard decision) 디코딩에 대한 상당한 이득(gain)을 가진 소프트-결정 디코딩의 한 반복(iteration)의 것보다 작다. 소프트-결정 디코딩의 표준 구현에 비교하여 추가되는 하드웨어는 이하의 산출을 수행하는 블록이다:In this process, the channel and initial LLR values can be estimated before performing the iterative decoding. Channel estimation complexity and latency are less than that of one iteration of soft-decision decoding with a significant gain for hard decision decoding of the LDPC code. Hardware added in comparison to the standard implementation of soft-decision decoding is a block that performs the following calculations:
도 31은 본원 발명의 일 측면에 따른 불만족 패리티 체크를 사용한 통계 생성 프로세스(3100)의 예시적인 구현예를 도시하는 흐름도이다. 일 실시예에서, 제 1 반복 이후의 불만족 패리티 체크가 사용된다. 일반적으로, 통계 생성 프로세스(3100)는 불만족 패리티 체크를 사용하여 에러를 감지하는 확률(p0)을 산출한다. 그 후, 에러 감지 확률(p0)은 LLR 생성기(1500)(도 15)에 의해서 사용되어 희망 소프트 데이터를 산출할 수 있다.31 is a flowchart illustrating an example implementation of a statistics generation process 3100 using an unsatisfactory parity check in accordance with an aspect of the present invention. In one embodiment, an unsatisfactory parity check after the first iteration is used. In general, the statistics generation process 3100 uses an unsatisfactory parity check to calculate the probability of detecting an error p0 . The error detection probability p0 can then be used by the LLR generator 1500 (FIG. 15) to calculate the desired soft data.
초기에, 통계 생성 프로세스(3100)는 불만족 패리티 체크의 수를 단계(3110) 동안 획득한다. 그 후 통계 생성 프로세스(3100)는 에러 확률 통계를 단계(3120) 동안 아래와 같이 산출한다:Initially, the statistics generation process 3100 obtains the number of unsatisfactory parity checks during
위치 특정 통계-불만족 패리티 체크Location specific stats-dissatisfaction parity check
도 32는 불만족 패리티 체크를 사용하여 메모리 어레이(1900) 내 복수의 상이한 위치에 대한 에러 확률 통계를 획득하는 예시적인 위치 특정 통계 생성 프로세스(3200)를 도시하는 흐름도이다. 예를 들어, 에러 확률 통계가 하나 이상의 상이한 페이지 위치, 워드라인 위치, (짝수와 홀수 비트라인 같은) 비트라인 위치와 (MSB(Most Significant Bit)와 LSB(Least Significant Bit)와 같은) 다중 수준 셀 내 상이한 비트에 대해 획득될 수 있다. 일반적으로, 위치 특정 통계는 희망 위치 내 비트를 위치시키는 코드워드를 이용함으로써 불만족 패리티 체크를 이용하여 획득할 수 있다(단계(3210)).32 is a flow diagram illustrating an example location specific statistics generation process 3200 for obtaining error probability statistics for a plurality of different locations within a
도 32에 도시된 바와 같이, 그 후 예시적인 위치 특정 통계 생성 프로세스(3200)는 코드워드에 대한 불만족 패리티 체크의 수를 단계(3220) 동안 획득한다. 그 후, 위치 특정 에러 확률 통계는 단계(3230) 동안 아래와 같이 산출된다:As shown in FIG. 32, the example location specific statistics generation process 3200 then obtains the number of unsatisfactory parity checks for the codeword during
불만족 패리티 체크에 기초한 비대칭 통계Asymmetric Statistics Based on Unsatisfactory Parity Check
도 33은 불만족 패리티 체크를 이용하여 두 개의 가능한 바이너리 값에 대한 에러를 감지하는 확률을 추산하는 예시적인 비대칭 통계 생성 프로세스(3300)를 도시하는 흐름도이다. 본원 발명의 이러한 측면은 평균 에러 확률()이 불만족 패리티 체크에 기초하여 산출될 수 있다는 것을 인식한다(여기에서). p와 q에 대한 값은 평균 확률 확률()과, 에러 확률(p와 q)의 비율(k)에 기초하여 산출될 수 있다.33 is a flow diagram illustrating an example asymmetric statistics generation process 3300 that estimates the probability of detecting an error for two possible binary values using an unsatisfactory parity check. This aspect of the invention relates to an average error probability ( It can be appreciated that can be calculated based on the dissatisfaction parity check (where ). The values for p and q are the average probability probabilities ( ) And the ratio k of the error probabilities p and q.
에러 확률(p와 q)의 비율(k)은 데이터 분석, 예를 들어, 전술한 디코딩된 코드워드 기술을 이용하여 획득할 수 있다. 이와 달리, 에러 확률(p와 q)의 비율(k)은, 예를 들어, 본원과 함께 동시에 출원되고 여기에 참조로서 통합되는 국제 특허 출원 "Methods and Apparatus for Soft Data Generation for memory devices Using Reference Cells"에 설명된 기준 셀 기술을 이용하여 획득할 수 있다. 에러 확률(p와 q)의 비율(k)은 통상적으로 오프라인으로 산출되고, 예를 들어, 표 내에 저장될 것이다. 도 33에 도시된 바와 같이, 예시적인 비대칭 통계 생성 프로세스(불만족 패리티 체크)(3300)는 초기에 단계(3310) 동안 에러 확률(p와 q)의 비율(k)을 획득한다.The ratio k of the error probabilities p and q can be obtained using data analysis, eg, the decoded codeword technique described above. Alternatively, the ratio k of error probabilities p and q is, for example, the international patent application "Methods and Apparatus for Soft Data Generation for memory devices Using Reference Cells, which is filed concurrently with, and incorporated herein by reference. Can be obtained using the reference cell technique described in " The ratio k of the error probabilities p and q is typically calculated offline and will be stored, for example, in a table. As shown in FIG. 33, an exemplary asymmetric statistics generation process (dissatisfaction parity check) 3300 initially obtains the ratio k of error probabilities p and q during
평균 에러 확률 확률()은 도 16을 참조하여 전술한 기술을 사용하여 단계(3320) 동안 획득할 수 있다. 특히, 평균 에러 확률 확률()은 아래와 같이 추산될 수 있다:Mean error probability probability ( ) May be obtained during
그 후, 바이너리 0에 대한 에러 확률 통계(p)는 단계(3330) 동안 아래와 같이 산출된다:The error probability statistics p for
그 후, 바이너리 1에 대한 에러 확률 통계(q)는 단계(3340) 동안 아래와 같이 산출된다:Then, the error probability statistics q for
비대칭 통계 생성 프로세스(불만족 패리티 체크)(3300)에 의해서 산출되는 에러 확률 통계(p와 q)가 선택적으로 위치 특정적 및/또는 패턴 의존적이라는 것에 주목한다.Note that the error probability statistics p and q calculated by the asymmetric statistics generation process (dissatisfaction parity check) 3300 are optionally location specific and / or pattern dependent.
프로세스, 시스템 및 제품(Processes, systems and products (articlearticleofofmanufacturemanufacture)의 상세 사항) Details
여기의 다수의 흐름도가 단계의 예시적인 순서를 설명하는 한편, 순서가 변할 수 있다는 것 또한 본원발명의 실시예이다. 알고리즘의 다양한 치환(permutations)은 본 발명의 다른 실시예로서 고려된다. 당업자가 자명하게 알 수 있듯이, 본원 발명의 예시적 실시예가 소프트웨어 프로그램 내 프로세싱 단계와 관련하여 설명되었지만, 다양한 기능이 소프트웨어 프로그램 내 프로세싱 단계로서의 디지탈 도메인 내에서, 회로 구성요소에 의한 하드웨어 내에서, 또는 스테이트 머신 또는 하드웨어와 소프트웨어 모두의 조합으로 구현될 수도 있다. 이러한 소프트웨어는, 예를 들어, 디시탈 신호 프로세서, 애플리케이션 특정 집적 회로, 마이크로 컨트롤러 또는 범용(general-purpose) 컴퓨터에서 사용될 수도 있다. 이러한 하드웨어와 소프트웨어는 집적 회로 내에 구현된 회로 내에서 구현될 수도 있다.While a number of flowcharts herein illustrate an exemplary order of steps, it is also an embodiment of the present invention that the order may vary. Various permutations of the algorithm are contemplated as another embodiment of the present invention. As will be apparent to one skilled in the art, although exemplary embodiments of the present invention have been described in connection with processing steps in a software program, various functions may be performed in the digital domain as processing steps in the software program, in hardware by circuit components, or It may be implemented in a state machine or a combination of both hardware and software. Such software may be used, for example, in digital signal processors, application specific integrated circuits, microcontrollers or general-purpose computers. Such hardware and software may be implemented within circuitry implemented within integrated circuits.
그래서, 본원 발명의 기능은 이러한 방법의 실행을 위한 방법과 장치의 형태로 구현될 수 있다. 본원 발명의 하나 이상의 측면은, 예를 들어, 저장 매체에 저장되거나, 머신에 로딩되거나/되고 머신에 의해 실행되거나, 어떠한 전송 매체를 넘어 전송되는 프로그램 코드의 형태로 구현되고, 이 프로그램 코드가 컴퓨터와 같은 머신에 로딩되고 이에 의해 실행되는 경우, 그 머신은 본 발명을 실행하는 장치가 된다. 범용 프로세서에 구현된 경우, 프로그램 코드 세그먼트는 프로세서와 결합되어 특정 논리 회로와 유사하게 동작하는 장치를 제공한다. 본 발명은 또한 하나 이상의 집적 회로, 디지탈 신호 프로세서, 마이크로프로세서와 마이크로 컨트롤러의 형태로 구현될 수 있다.Thus, the functionality of the present invention may be implemented in the form of methods and apparatus for carrying out such a method. One or more aspects of the invention are embodied in the form of program code, for example, stored on a storage medium, loaded on a machine, and / or executed by a machine, or transmitted over any transmission medium, the program code being a computer When loaded into and executed by a machine, such a machine becomes an apparatus for implementing the invention. If implemented in a general-purpose processor, the program code segment may be combined with the processor to provide an apparatus that operates similar to a particular logic circuit. The invention may also be implemented in the form of one or more integrated circuits, digital signal processors, microprocessors and microcontrollers.
해당 분야에 알려진 바와 같이, 여기에 논의된 방법과 장치는 그 위에서 구현되는 컴퓨터 판독 가능한 코드 수단을 가지는 컴퓨터 판독 가능한 매체를 그 자체가 포함하는 제조 물품으로서 배포될 수도 있다. 컴퓨터 판독 가능한 프로그램 코드 수단은 컴퓨터 시스템과 결합하여 동작 가능하여 여기에 논의된 방법을 수행하거나 장치를 제조하기 위하여 모든 또는 일부의 단계를 수행할 수 있다. 컴퓨터 판독 가능한 매체는 기록 가능한 매체(예를 들어, 플로피 디스크, 하드 드라이브, 컴팩트 디스크, 메모리 카드, 반도체 장치, 칩, ASIC)일 수도 있고, 송신 매체(예를 들어, 광섬유, 월드와이드 웹, 케이블 또는 시간 분할 다중 접속, 코드 분할 다중 접속 또는 다른 무선 주파수 채널을 이용하는 무선 채널을 포함하는 네트워크)일 수도 있다. 컴퓨터 시스템으로 사용하는 데에 적절한 정보를 저장할 수 있는 공지되거나 개발된 임의의 매체가 사용될 수도 있다. 컴퓨터 판독 가능한 코드 수단은 컴퓨터가, 컴팩트 디스크의 표면 상의 높이 변화 또는 자기 매체의 자성 변화와 같은, 인스트력선과 데이터를 읽을 수 있게 하는 임의의 메카니즘이다.As known in the art, the methods and apparatus discussed herein may be distributed as an article of manufacture that itself includes a computer readable medium having computer readable code means implemented thereon. The computer readable program code means may be operable in conjunction with a computer system to perform all or some of the steps for carrying out the method or manufacturing the device discussed herein. Computer-readable media may be recordable media (eg, floppy disks, hard drives, compact discs, memory cards, semiconductor devices, chips, ASICs), and transmission media (eg, optical fibers, worldwide web, cables) Or a network including a radio channel using time division multiple access, code division multiple access, or another radio frequency channel). Any medium known or developed that can store information appropriate for use with a computer system may be used. Computer readable code means is any mechanism that allows a computer to read inline lines and data, such as changes in height on the surface of a compact disc or changes in magnetic properties of magnetic media.
여기에 설명된 컴퓨터 시스템과 서버는 각각 관련 프로세서를 구성하여 여기에 개시된 방법, 단계와, 기능을 구현할 메모리를 각각 포함한다. 메모리는 분산되어 있거나 로컬일 수 있고, 프로세스는 분산되어 있거나 하나(singular)일 수 있다. 메모리는, 전기적, 자기적 또는 광학적 메모리로서 또는 이들 또는 다른 타입의 저장 장치의 임의의 조합으로서 구현될 수 있다. 또한, "메모리"라는 용어는 관련 프로세서에 의해 접속되는 어드레스 가능한 공간 내 어드레스로부터 또는 어드레스로 판독되거나 기록될 수 있는 임의의 정보를 포함하기에 충분하도록 넓게 해석되어야 한다. 이러한 정의로, 네트워크 상 정보도 관련 프로세서가 네트워크로부터 정보를 검색할 수 있기 때문에 메모리 내에 있다.The computer system and server described herein each comprise an associated processor and each includes a memory for implementing the methods, steps, and functions disclosed herein. The memory may be distributed or local, and the process may be distributed or singular. The memory may be implemented as an electrical, magnetic or optical memory or any combination of these or other types of storage devices. In addition, the term “memory” should be construed broadly enough to include any information that can be read or written to or from an address in an addressable space connected by the associated processor. With this definition, information on the network is also in memory because the relevant processor can retrieve information from the network.
여기에 도시되고 설명된 실시예와 변형예는 단순히 본 발명의 원리를 설명하는 것이고 다양한 변형을 본 발명의 범위와 정신을 벗어나지 않고 당업자에 의해 구현할 수도 있다는 것을 알 수 있을 것이다.It will be appreciated that the embodiments and variations shown and described herein are merely illustrative of the principles of the invention and that various modifications may be made by those skilled in the art without departing from the scope and spirit of the invention.
| Application Number | Priority Date | Filing Date | Title |
|---|---|---|---|
| US19475108P | 2008-09-30 | 2008-09-30 | |
| US61/194,751 | 2008-09-30 | ||
| US4933309A | 2009-06-30 | 2009-06-30 | |
| WOPCT/US09/49333 | 2009-06-30 |
| Publication Number | Publication Date |
|---|---|
| KR20110082016Atrue KR20110082016A (en) | 2011-07-15 |
| Application Number | Title | Priority Date | Filing Date |
|---|---|---|---|
| KR1020117009701AWithdrawnKR20110082016A (en) | 2008-09-30 | 2009-09-30 | Soft data value generation method and soft data value generation system |
| Country | Link |
|---|---|
| KR (1) | KR20110082016A (en) |
| Publication number | Priority date | Publication date | Assignee | Title |
|---|---|---|---|---|
| KR20190035936A (en)* | 2016-09-16 | 2019-04-03 | 마이크론 테크놀로지, 인크. | Apparatus and method for generating probability information using current integral detection |
| Publication number | Priority date | Publication date | Assignee | Title |
|---|---|---|---|---|
| KR20190035936A (en)* | 2016-09-16 | 2019-04-03 | 마이크론 테크놀로지, 인크. | Apparatus and method for generating probability information using current integral detection |
| Publication | Publication Date | Title |
|---|---|---|
| KR101758192B1 (en) | Methods and apparatus for soft data generation for memory devices | |
| KR101628413B1 (en) | Methods and apparatus for soft demapping and intercell interference mitigation in flash memories | |
| US10929221B2 (en) | Multi-tier detection and decoding in flash memories utilizing data from additional pages or wordlines | |
| US8775913B2 (en) | Methods and apparatus for computing soft data or log likelihood ratios for received values in communication or storage systems | |
| US8429500B2 (en) | Methods and apparatus for computing a probability value of a received value in communication or storage systems | |
| US9106264B2 (en) | Encoding and decoding in flash memories using convolutional-type low-density parity check codes | |
| US8504885B2 (en) | Methods and apparatus for approximating a probability density function or distribution for a received value in communication or storage systems | |
| US9082480B2 (en) | Detection and decoding in flash memories with error correlations for a plurality of bits within a sliding window | |
| KR20110082016A (en) | Soft data value generation method and soft data value generation system |
| Date | Code | Title | Description |
|---|---|---|---|
| PA0105 | International application | Patent event date:20110428 Patent event code:PA01051R01D Comment text:International Patent Application | |
| PG1501 | Laying open of application | ||
| PC1203 | Withdrawal of no request for examination | ||
| WITN | Application deemed withdrawn, e.g. because no request for examination was filed or no examination fee was paid |