






본 발명은 무선랜(Wireless Local Access Network, WLAN)에 관한 것으로, 보다 구체적으로 무선 메쉬 네트워크에서의 링크 메트릭(Link Metric)을 위한 알고리즘과 이 알고리즘을 이용한 링크 측정 절차에 관한 것이다.The present invention relates to a wireless local access network (WLAN), and more particularly, to an algorithm for a link metric in a wireless mesh network and a link measurement procedure using the algorithm.
최근 정보통신 기술의 발전과 더불어 다양한 무선 통신기술이 개발되고 있다. 이 중에서 WLAN은 무선 주파수 기술을 바탕으로 개인 휴대용 정보 단말기(Personal Digital Assistant, PDA), 랩탑 컴퓨터, 휴대형 멀티미디어 플레이어(Portable Multimedia Player, PMP) 등과 같은 휴대형 단말기를 이용하여 가정이나 기업 또는 특정 서비스 제공지역에서 무선으로 초고속 인터넷에 접속할 수 있도록 하는 기술이다.Recently, with the development of information and communication technology, various wireless communication technologies have been developed. Among them, WLAN is based on radio frequency technology to provide home, business, or specific service area using portable terminals such as personal digital assistants (PDAs), laptop computers, and portable multimedia players (PMPs). Is a technology that allows users to access high-speed Internet wirelessly.
무선 메쉬 네트워크(Wireless Mesh Network)는 중계 기능을 가진 다수의 무 선기기, 즉 메쉬 포인트(Mesh Point, MP)가 액세스 포인트(Access Point, AP)를 경유하지 않고 직접 통신하는 것을 지원하는 네트워크라고 할 수 있다. 기능적으로 볼 때, AP를 연결시켜 주는 분배 시스템(Distribution System, DS)은 상호작용하는 MP들 간의 무선 링크(Interoperable Wireless Link between MPs) 또는 다수의 MP들 사이의 멀티-홉(Multi-hop) 경로로 대체될 수 있다. 이러한 메쉬 네트워크에 의하면, 어느 하나의 MP는 이웃하는 다른 MP들과 상호작용하는 피어-투-피어(Peer-to-peer) 무선 링크를 설정할 수 있기 때문에, 보다 유연한 무선 연결이 가능한 장점이 있다.A wireless mesh network is a network that supports a plurality of wireless devices having relay functions, that is, mesh points (MPs), to communicate directly without access points (APs). Can be. Functionally, a Distribution System (DS) that connects APs is an Interoperable Wireless Link between MPs or a Multi-hop path between multiple MPs. Can be replaced with According to such a mesh network, since one MP can establish a peer-to-peer radio link that interacts with other neighboring MPs, a more flexible wireless connection is possible.
메쉬 네트워크에서 하나의 무선기기는 다른 다수의 무선기기와 연결되어 다수의 통신 경로를 가질 수 있는데, 이러한 무선기기간의 통신 경로를 무선 메쉬 링크(Wireless Mesh Link) 또는 단순히 메쉬 링크 또는 피어 링크(Peer Link)라고도 한다. 이러한 무선기기는 메쉬 포인트(Mesh Point, MP)로 불리지만, 여기에만 한정되는 것은 아니다. 그리고 MP 중에서 전술한 중계 기능 외에도 엑세스 포인트(Access Point, AP)의 기능을 함께 수행하는 것을 메쉬 엑세스 포인트(Mesh Access Point, MAP)라고 한다.In a mesh network, one wireless device may have a plurality of communication paths connected to a plurality of other wireless devices, and the communication path between these wireless devices may be a wireless mesh link or simply a mesh link or a peer link. Also called). Such a wireless device is called a mesh point (MP), but is not limited thereto. In addition to the relay function described above, the MP performs a function of an access point (Access Point, AP) together is called a mesh access point (Mesh Access Point, MAP).
이러한 메쉬 네트워크는 네트워크 구축의 유연성, 우회 경로에 의한 신뢰성 및 통신거리의 단축에 따른 전력 소비의 절감 등의 이점이 있다. 보다 구체적으로, 메쉬 네트워크를 이용하면 기존의 통신망이 없는 장소에서도 MP 간에 유연한 네트워크를 구축할 수 있다. 그리고 메쉬 네트워크에서는 다수의 MP 간에 서로 연결되어 다수의 우회 경로를 확보할 수 있어서 하나의 MP가 고장 나더라도 다른 경로를 통하여 데이터를 전송할 수 있다. 또한, 메쉬 네트워크에서는 하나의 MP의 통신 영역(coverage)이 넓지 않더라도 인접하는 MP를 경유하여 통신할 수 있으므로 낮은 전력으로도 원거리 통신이 가능하게 된다.Such a mesh network has advantages such as flexibility in network construction, reliability by a bypass path, and power consumption reduction due to a shorter communication distance. More specifically, the mesh network may be used to build a flexible network between MPs even in a place without an existing communication network. In a mesh network, a plurality of MPs may be connected to each other to secure a plurality of bypass paths, so that even if one MP fails, data may be transmitted through another path. In addition, in a mesh network, even though the coverage of one MP is not wide, communication can be performed through adjacent MPs, thereby enabling long-distance communication with low power.
이와 같이, 메쉬 네트워크에서는 분배 시스템(Distribution System, DS)으로 유선망이 아닌 메쉬 포인트(MP)들 간의 무선 멀티홉을 이용한다. 무선 멀티홉으로 이루어진 경로들은 같은 소스(Source) MP와 목표(Destination) MP 사이에서도 다양하게 설정될 수 있으므로, 효율적으로 데이터를 전송하기 위해서는 시시각각 변하는 링크의 채널 상태를 관찰하여 좋은 경로를 선택할 수 있도록 하는 것이 바람직하다. 현재의 무선 메쉬 네트워크에서는 링크의 채널 상태를 측정함에 있어서 에어타임 코스트 링크 메트릭(Airtime Cost Link Metric)을 사용하며, 이를 기반으로 하여 경로를 선택한다.As described above, in the mesh network, wireless multi-hop between mesh points (MPs) is used as a distribution system (DS) rather than a wired network. The paths composed of wireless multi-hops can be set in various ways between the same source MP and destination MP. Therefore, in order to efficiently transmit data, it is possible to select a good path by observing the channel status of the link that changes every time. It is desirable to. In the current wireless mesh network, an airtime cost link metric is used to measure a channel state of a link, and a path is selected based on the airtime cost link metric.
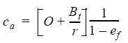
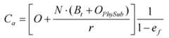
수학식 1은 기존의 IEEE 802.11s 규격서에 개시되어 있는 무선 메쉬 네트워크에서의 에어타임 코스트 링크 메트릭(Ca)의 계산식이다. 즉, IEEE 802.11s 무선 메쉬 네트워크에서의 경로 선택은 수학식 1과 같은 에어타임 코스트 링크 메트릭을 기반으로 한다. 수학식 1의 에어타임 코스트 링크 메트릭은 1024바이트 크기의 테스트 프레임의 프레임 에러 레이트와 물리 계층(Physical sub-layer, PHY) 레이트를 이용하여 계산되는데, 프레임 전송에 따른 오버헤드(Overhead)도 고려한다. 이러한 수학식 1은 무선랜 표준에 따른 분배 코디네이션 기능(Distributed Coordination Function, DCF)이 이진 익스포넨셜 백오프(Binary Exponentially Backoff)를 수행하지 않는다는 것과 재시도 리미트(Retry Limit)가 설정되지 않는다는 가정을 바탕으로 한 것으로서, 이에 의하여 계산의 복잡도를 줄일 수 있다.
여기서, O 는 채널 액세스 오버헤드에 해당되는데, 그 값은 사용되는 물리 계층에 따라 달라진다. 채널 액세스 오버헤드는 평균 백오프 시간(Average Backoff Time), 프레임간 간격 시간(Inter-frame Space Time), 확인 프레임 전송 시간(Acknowledgement Frame Transmission Time) 등을 포함할 수 있다. Bt는 테스트 프레임의 크기에 해당되는데, 예컨대 1024바이트일 수 있다. r은 물리 계층 레이트에 해당된다. 그리고 ef는 수신측에서 측정한 테스트 프레임에 대한 에러 레이트를 나타내는데, 1024바이트의 테스트 프레임을 r이라는 물리 계층 레이트로 전송했을 때의 프레임 에러 레이트가 ef이다.Here, O corresponds to channel access overhead, the value of which depends on the physical layer used. The channel access overhead may include an average backoff time, an inter-frame space time, an acknowledgment frame transmission time, and the like. Bt corresponds to the size of the test frame, and may be, for example, 1024 bytes. r corresponds to the physical layer rate. And ef represents the error rate with respect to the test frame measured at the receiving side, the frame error rate when the test frame of 1024 bytes at the physical layer rate of r is ef .
한편, IEEE 802.11n에 따른 무선랜 표준에서는, 고처리율(High Through, HT)을 달성하기 위한 하나의 방법으로 프레임 어그리게이션(Frame Aggregation) 메커니즘을 지원한다. 프레임 어그리게이션 메커니즘이란 복수의 프레임을 하나의 전송 단위, 예컨대 A-MSDU(Aggregated-MAC Service Data Unit) 또는 A-MPDU(Aggregated-MAC Protocol Data Unit)로 만들어서 전송하는 방법을 가리킨다. 프레임 어그리게이션 메커니즘이 무선 메쉬 네트워크에서 사용될 수 있기 위해서는 MP가 IEEE 802.11n을 지원하는 고처리율 메쉬포인트(HT MP)이어야 하며, 이러한 경우에는 프레임 어그리게이션 메커니즘을 통해 채널의 이용도를 높일 수가 있다.Meanwhile, in the WLAN standard according to IEEE 802.11n, a frame aggregation mechanism is supported as one method for achieving high throughput (HT). The frame aggregation mechanism refers to a method of transmitting a plurality of frames in one transmission unit, for example, an Aggregated-MAC Service Data Unit (A-MSDU) or an Aggregated-MAC Protocol Data Unit (A-MPDU). In order for the frame aggregation mechanism to be used in a wireless mesh network, the MP must be a high throughput mesh point (HT MP) supporting IEEE 802.11n, in which case the frame aggregation mechanism can increase the channel's availability. have.
그런데, 전술한 수학식 1에 따른 에어타임 코스트 링크 메트릭은 하나의 테스트 프레임을 전송하는 것을 가정한 것으로서, 이러한 링크 메트릭은 프레임 어그리게이션 메커니즘을 전혀 반영하고 있지 못하다. 즉, 수학식 1은 프레임 어그리게이션 메커니즘을 반영하고 있지 않기 때문에, 어그리게이션 메커니즘이 이용되는 무선 메쉬 네트워크에서의 HT MP들 사이의 경로 선택 알고리즘으로 이용될 수가 없다. 즉, 기존의 에어타임 코스트 링크 메트릭은 프레임 어그리게이션을 포함하는 고속 처리율 서비스를 지원하는 HT MP가 경로 선택을 하는 것을 충분히 지원할 수가 없다.However, the airtime cost link metric according to
따라서 본 발명이 해결하고자 하는 하나의 과제는 고처리율 서비스가 지원되는 무선 메쉬 네트워크에서 HT MP들 사이에서 경로 선택을 위한 근거로서 이용할 수 있는 링크 측정 방법과 이를 이용한 경로 선택 알고리즘을 제공하는 것이다.Accordingly, one problem to be solved by the present invention is to provide a link measurement method and a path selection algorithm using the same as a basis for path selection between HT MPs in a wireless mesh network supported by a high throughput service.
본 발명이 해결하고자 하는 다른 하나의 과제는 무선 메쉬 네트워크에서 프레임 어그리게이션 알고리즘이 반영된 링크 측정 방법과 이를 이용한 경로 선택 알고리즘을 제공하는 것이다.Another problem to be solved by the present invention is to provide a link measurement method reflecting a frame aggregation algorithm in a wireless mesh network and a path selection algorithm using the same.
상기한 과제를 해결하기 위한 본 발명의 일 실시예는 무선 메쉬 네트워크에서의 링크 메트릭에 관한 것으로서, 상기 링크 메트릭은 하나 또는 복수의 프레임들에 대하여 계산되고, 그리고 상기 링크 메트릭은 상기 프레임들에 대하여 프레임 어그리게이션이 없는 제1 경우, 상기 프레임들에 대하여 매체 접속 제어MSDU 어그리게이션이 있는 제2 경우, 및 상기 프레임들에 대하여 MPDU 어그리게이션이 있는 제3 경우 중에서 적어도 하나의 경우에 대하여 계산한다.One embodiment of the present invention for solving the above problem relates to a link metric in a wireless mesh network, wherein the link metric is calculated for one or a plurality of frames, and the link metric is for the frames. For at least one of the first case without frame aggregation, the second case with media access control MSDU aggregation for the frames, and the third case with MPDU aggregation for the frames Calculate
상기 실시예의 일 측면에 의하면, 상기 링크 메트릭은 N개의 프레임들에 대하여 상기 세 개의 식 중에서 하나를 이용하여 계산될 수 있다.According to an aspect of the embodiment, the link metric may be calculated using one of the three equations for N frames.
여기서, 각각은 어그리게이션이 없는 경우, MSDU 어그리게이션이 있는 경우, 및 MPDU 어그리게이션이 있는 경우이다. 그리고 상기 식에서 O 는 채널 엑세스 오버헤드, OPhySub는 서브프레임 오버헤드, Bt는 테스트 프레임의 크기, r은 물리 계층 레이트, ef는 수신측에서 측정한 테스트 프레임에 대한 에러 레이트, 그리고 N은 테스트 프레임의 개수로써 1이상의 자연수이다.Here, each is when there is no aggregation, when there is MSDU aggregation, and when there is MPDU aggregation. Where O is channel access overhead, OPhySub is subframe overhead, Bt is the size of the test frame, r is the physical layer rate, ef is the error rate for the test frame measured at the receiver, and N is Number of test frames, which is a natural number equal to or greater than 1.
상기한 과제를 해결하기 위한 본 발명의 다른 실시예에 따른 무선 메쉬 네트워크에서의 링크 메트릭 방법은 메쉬 네트워크의 이웃 피어 메쉬 포인트에게 링크 메트릭 요청 프레임을 전송하는 단계, 및 상기 링크 메트릭 요청 프레임에 응답으로, 복수의 프레임들에 대하여 계산된 링크 메트릭이 포함된 링크 메트릭 리포트 프레임을 상기 이웃 피어 메쉬 포인트로부터 수신하는 단계를 포함한다.According to another aspect of the present invention, there is provided a link metric method in a wireless mesh network, the method comprising: transmitting a link metric request frame to neighboring peer mesh points of a mesh network, and in response to the link metric request frame; And receiving from the neighbor peer mesh point a link metric report frame that includes the link metric calculated for a plurality of frames.
이 경우에, 상기 링크 메트릭은 상기 복수의 프레임들에 대한 어그리게이션이 없는 제1 경우, 상기 복수의 프레임들에 대한 MSDU 어그리게이션이 있는 제2 경우, 및 상기 복수의 프레임들에 대한 MPDU 어그리게이션이 있는 제3 경우 중에서 적어도 하나의 경우에 대하여 계산될 수 있다.In this case, the link metric is the first case without aggregation for the plurality of frames, the second case with MSDU aggregation for the plurality of frames, and the MPDU for the plurality of frames. It may be calculated for at least one of the third cases with aggregation.
상기한 과제를 해결하기 위한 본 발명의 또 다른 실시예는 무선 메쉬 네트워크에서의 링크 메트릭 알고리즘으로써, 상기 무선 메쉬 네트워크를 구성하는 하나 또는 그 이상의 메쉬 포인트는 고속 처리율(High Thorugh, HT) 서비스를 지원하고, 상기 링크 메트릭 알고리즘은 이웃 피어 상기 메쉬 포인트들 사이에서의 복수의 프레임들에 대한 어그리게이션 여부를 고려하여 계산한다.Another embodiment of the present invention for solving the above problems is a link metric algorithm in a wireless mesh network, wherein one or more mesh points constituting the wireless mesh network support a High Thorugh (HT) service. The link metric algorithm calculates considering aggregation of a plurality of frames between neighboring peer mesh points.
본 발명의 실시예에 따른 링크 메트릭 알고리즘은 HT 서비스를 지원하는 무선 메쉬 네트워크에서의 어그리게이션 메커니즘을 반영하여 링크 메트릭을 계산한 다. 따라서 무선 메쉬 네트워크를 구성하는 HT MP들은 어그리게이션이 없는 경우, MSDU 어그리게이션이 있는 경우, 또는 MPDU 어그리게이션이 있는 경우 등에 대하여 별개로 링크 메트릭 정보를 획득할 수가 있기 때문에, 무선 메쉬 네트워크에서도 어그리게이션 메커니즘을 효과적으로 활용할 수가 있다.The link metric algorithm according to the embodiment of the present invention calculates the link metric by reflecting the aggregation mechanism in the wireless mesh network supporting the HT service. Therefore, the HT MPs constituting the wireless mesh network can obtain link metric information separately for no aggregation, MSDU aggregation, or MPDU aggregation. Aggregation mechanisms can be used effectively.
이하, 첨부도면을 참조하여 본 발명의 실시예에 대하여 상세하게 설명한다.Hereinafter, with reference to the accompanying drawings will be described in detail an embodiment of the present invention.
도 1은 무선 메쉬 네트워크의 구성의 일례를 보여 주는 도면이다. 상기 무선 메쉬 네트워크는 고유의 메쉬 식별자(Mesh Identifier)를 가지는데, 메쉬 식별자는 무선 메쉬 네트워크를 구성하는 MP들의 그룹을 식별하기 위한 약칭으로 사용된다. 메쉬 식별자를 어떻게 부여할지는 아무런 제한이 없다.1 is a diagram illustrating an example of a configuration of a wireless mesh network. The wireless mesh network has a unique mesh identifier, which is used as an abbreviation for identifying a group of MPs constituting the wireless mesh network. There is no limit on how to assign a mesh identifier.
도 1을 참조하면, 무선 메쉬 네트워크는 하나 또는 다수의 STA(131, 132, 133, 134)과 하나 또는 그 이상의 무선기기, 즉 MP들(110, 121, 122, 123)을 포함한다. 상기 MP들 중에서 참조 번호 121과 122는 자신과 결합되어 있는 STA(131, 132, 133, 134)이 존재하므로, AP의 기능을 동시에 수행하는 MP, 즉 MAP가 된다. 그리고 참조 번호 121의 MP는 유선 또는 무선으로 외부 네트워크와 연결되는 MP인데, 이를 메쉬 포털(Mesh Portal)이라 한다.Referring to FIG. 1, a wireless mesh network includes one or
STA(131 내지 134)은 IEEE 802.11 표준의 규정을 따르는 매체 접속 제어(Medium Access Control, MAC)와 무선 매체에 대한 물리층(Physical Layer) 인터 페이스를 포함하는 임의의 기능 매체로서, 비AP 스테이션(Non-AP Station)이다. 이러한 STA은 무선국이라는 명칭 외에 무선 송수신 유닛(Wireless Transmit/Receive Unit, WTRU), 사용자 장비(User Equipment, UE), 이동국(Mobile Station, MS), 또는 이동 가입자 유닛(Mobile Subscriber Unit) 등으로도 불릴 수 있다.The STAs 131 to 134 are any functional medium including a medium access control (MAC) compliant with the IEEE 802.11 standard and a physical layer interface to a wireless medium, and include a non-AP station (Non AP Station). Such a STA may also be called a wireless transmit / receive unit (WTRU), a user equipment (UE), a mobile station (MS), or a mobile subscriber unit (Mobile Subscriber Unit) in addition to a radio station. Can be.
MP(110, 121, 122, 123)는 무선 메쉬 네트워크를 구성하는 개체로서, IEEE 802.11 표준의 규정을 따르는 매체 접속 제어와 물리층 인터페이스를 포함하는 IEEE 802.11의 기능 개체의 하나이다. MP(110, 121, 122, 123)는 메쉬 서비스(mesh services)를 지원하는 무선기기인데, 메쉬 서비스는 메쉬 네트워크를 구성하는 MP들간에 직접 통신을 가능하게 해주는 제반 서비스를 포함한다. 메쉬 서비스를 제공하기 위한 두 개의 MP들, 예컨데 참조 번호 121의 MP와 참조 번호 123의 MP들 사이에서의 통신은, 상기 두 개의 MP들 사이에 설정되어 있는 직접 링크인 메쉬 링크 또는 피어 링크를 통해서 이루어진다.MP (110, 121, 122, 123) is an entity constituting a wireless mesh network, and is one of the functional entities of IEEE 802.11 including a medium access control and a physical layer interface in accordance with the IEEE 802.11 standard. The
두 개 이상의 MP들이 서로 피어 링크를 설정하여 메쉬 네트워크를 형성하거나 또는 이미 존재하는 메쉬 네트워크에 다른 MP가 참여하기 위해서는, 피어 링크를 설정하는 MP들 사이에는 메쉬 프로파일(Mesh Profile)이 일치해야 한다. MP는 적어도 하나의 메쉬 프로파일을 지원하는데, 메쉬 프로파일은 메쉬 식별자(Mesh ID), 경로 선택 프로토콜 식별자(Path Selection Protocol Identifier), 및 경로 선택 측정 식별자(Path Selection Metric Identifier)를 포함한다. 또한, 메쉬 프로파일은 혼잡 제어 모드 식별자(Congestion Control Mode Identifier) 등을 더 포함할 수도 있다.In order for two or more MPs to establish a peer network with each other to form a mesh network, or for another MP to participate in an existing mesh network, a mesh profile must match between the MPs for establishing a peer link. The MP supports at least one mesh profile, which includes a mesh ID, a path selection protocol identifier, and a path selection metric identifier. In addition, the mesh profile may further include a congestion control mode identifier.
그리고, 전술한 바와 같이, MP 중에서 AP로서의 기능을 함께 수행하는 MP를 특별히 MAP라고 한다. 따라서 MAP(121, 122)는 전술한 MP의 기능 외에도 자신에게 연결 설정된 무선국(Associated Station)을 위하여 AP로서의 기능도 수행한다. AP는 엑세스 포인트라는 명칭 외에 집중 제어기, 기지국(Base Station, BS), 노드-B, 또는 사이트 제어기 등으로 불릴 수도 있다.As described above, an MP that performs a function as an AP among MPs is specifically referred to as MAP. Accordingly, the
그리고 본 발명의 실시예에 의하면, 상기 MP(110, 121, 122, 123)의 전부 또는 일부는 IEEE802.11n에 따른 고속 처리율(HT) 서비스를 지원할 수 있다. 이러한 MP들은 고속 처리율 메쉬 포인트(High Throughput Mesh Point, HT MP)일 수 있다. 채널의 이용 효율을 높이기 위하여, HT MP들은 프레임 어그리게이션 메커니즘을 포함하여 IEEE 802.11 표준의 규격서에 규정되어 있는 여러 가지 기능을 지원한다.According to an embodiment of the present invention, all or part of the
다음으로 무선 메쉬 네트워크에서의 MP들 사이의 메시지 전송 경로에 대하여 설명한다. 무선 메쉬 네트워크에서의 사용될 수 있는 경로 선택(Path Selection) 프로토콜의 하나로써, 전술한 바와 같이 HWMP가 있다. HWMP는 온-디맨드(On-demand) 경로 선택이 갖는 유연성을 체계적인 프로엑티브 경로와 결합한 경로 선택 프로토콜로써, 다양한 종류의 메쉬 네트워크에서 최적의 그리고 효율적인 경로 선택이 가능하도록 한다.Next, a message transmission path between MPs in a wireless mesh network will be described. One of the path selection protocols that can be used in a wireless mesh network is HWMP, as described above. HWMP is a path selection protocol that combines the flexibility of on-demand path selection with systematic proactive paths, enabling optimal and efficient path selection in a wide variety of mesh networks.
HWMP는 그 구성(Configuration)에 따라서 두 가지 모드의 동작을 지원하는데, 그것은 온-디맨드 모드와 프로엑티브 트리 빌딩 모드(Proactive Tree Building Mode)이다. 온-디맨드 모드에서는 MP가 피어간 경로(peer-to-peer path)를 이용하 여 통신할 수가 있다. 이 모드는 일반적으로 루트 MP가 없는 구성에서 사용되지만, 루트 MP가 있는 경우라도 더 좋은 경로를 제공할 수 있다면 온-디맨드 모드가 사용될 수도 있다. 프로엑티브 트리 빌딩 모드에 의하면, 루트 MP가 주기적으로 브로드캐스팅하는 프레임, 예컨대 프로액티브 경로 요청 프레임(Path Request, PREQ) 또는 루트 알림 프레임(Root Announcement, RANN)을 사용하여 경로가 설정된다. 이하에서는 온-디맨드 모드 및 프로엑티브 트리 빌딩 모드에 따라 선택된 경로를 각각 온-디맨드 경로(또는 온-디맨드 경로) 및 프로엑티브 경로라고 칭하기로 한다.HWMP supports two modes of operation, depending on its configuration: on-demand mode and Proactive Tree Building Mode. In the on-demand mode, the MP can communicate using a peer-to-peer path. This mode is typically used in configurations without a root MP, but on-demand mode may be used if a better route can be provided even with a root MP. According to the proactive tree building mode, the path is set using a frame periodically broadcasted by the root MP, for example, a proactive path request frame (PREQ) or a root announcement frame (RANN). Hereinafter, the paths selected according to the on-demand mode and the proactive tree building mode will be referred to as on-demand paths (or on-demand paths) and proactive paths, respectively.
프로엑티브 경로는 메시지 전송 경로가 루트 MP를 기점으로 하여 나무의 가지처럼 연쇄적으로 분기되어 있는 구조로서, MP들 사이의 메시지 전송 경로가 모자 관계(Parent-Child Relation)에 의하여 주기적으로 설정된다. 상기 모자 관계는 루트 MP를 기점으로 하여 다수의 MP들 사이에 조모-모-자-손자(Grand Parent-Parent-Child-Grand Child) 등으로 순서로 연속적으로 이어지는 트리 모양의 경로이다. 프로엑티브 경로를 설정하기 위한 방법은 특별한 제한이 없는데, 예를 들어 프로액티브 PREQ 메커니즘이나 또는 RAAN 메커니즘이 사용될 수 있다.The proactive path is a structure in which the message transmission path is branched like a tree branch from the root MP, and the message transmission path between the MPs is periodically set by parent-child relation. The mother-child relationship is a tree-shaped path that is continuously connected in order to grandparents-children-grandchildren among the plurality of MPs starting from the root MP. The method for establishing a proactive path is not particularly limited, for example, a proactive PREQ mechanism or a RAAN mechanism may be used.
반면, 온-디맨드 경로는 필요시에 MP들 사이에서 임의적으로 설정되는 전송 경로이다. 온-디맨드 경로를 설정할 때에는 예컨대, AODV(Ad hoc On-demand Distance Vector) 프로토콜을 사용할 수 있다. 온-디맨드 경로는 루트 MP를 경유할 필요가 없는데, 예를 들어, 그 시점에서 소스 MP와 타깃 MP 사이에 가장 짧은 경로 또는 링크 특성(Link Metric)이 가장 좋은 경로가 선택될 수 있다.On the other hand, the on-demand path is a transmission path arbitrarily established between the MPs when necessary. When establishing an on-demand path, for example, the Ad hoc On-demand Distance Vector (AODV) protocol may be used. The on-demand path does not need to be via the root MP, for example, at that point, the shortest path or path with the best link metric between the source MP and the target MP may be selected.
HWMP에 의하면, 프로엑티브 트리 빌딩 모드와 온-디맨드 모드는 서로 배타적 이지 않기 때문에, 상기한 프로엑티브 경로와 온-디맨드 경로는 서로 결합되어 사용될 수 있다. 예를 들어, 소스 MP가 목표 MP에게 처음 전송하는 데이터 프레임은 프로엑티브 경로를 따라 전송될 수 있다. 이 경우에, 프로엑티브 경로의 상향 경로를 따라 소스 MP에서 루트 MP로 데이터 프레임을 전송하고, 상기 프로엑티브 경로의 하향 경로를 따라 루트 MP로부터 목표 MP로 데이터를 전송한다. 그리고 이후에 목표 MP는 소스 MP를 향하여 온-디맨드 경로를 찾은 다음에, 이 온-디맨드 경로를 이용하여 다른 데이터 프레임을 전송할 수 있다.According to HWMP, since the proactive tree building mode and the on-demand mode are not mutually exclusive, the above-described proactive path and on-demand path can be used in combination with each other. For example, a data frame that the source MP first transmits to the target MP may be sent along the proactive path. In this case, data frames are transmitted from the source MP to the root MP along the upstream path of the proactive path, and data is transmitted from the root MP to the target MP along the downstream path of the proactive path. The target MP may then find an on-demand path towards the source MP and then use this on-demand path to transmit another data frame.
도 2는 무선 메쉬 네트워크에서의 전술한 메시지 전송 경로를 보여 주기 위한 도면으로서, MP④에서부터 MP⑨까지의 프로엑티브 경로와 온-디맨드 경로가 각각 도시되어 있다.FIG. 2 is a diagram illustrating the aforementioned message transmission path in a wireless mesh network, in which a proactive path and an on-demand path from MP④ to MP⑨ are shown.
도 2를 참조하면, MP④에서부터 MP⑨까지의 프로엑티브 경로는 MP④에서 MP③ 및 MP②를 통해 루트 MP인 MP①로 이어지는 '상향 경로'와 루트 MP인 MP①에서 MP⑥을 거쳐 MP⑨로 이어지는 '하향 경로'로 이루어진다. 여기서, 상향 경로는 자MP로부터 모MP로(예컨대, MP④에서 MP③으로, MP③에서 MP②로, 그리고 MP②에서 MP①로) 향하는 경로로서, 종점이 루트 MP인 경로를 말한다. 하향 경로는 모MP로부터 자MP로(예컨대, MP①에서 MP⑥으로, 그리고 MP⑥에서 MP⑨로) 향하는 경로로서, 시점이 루트 MP인 경로를 말한다.Referring to FIG. 2, the proactive path from MP④ to MP⑨ is composed of an 'upward path' leading from MP④ to MP①, the root MP, and a 'downward path' leading from MP① to MP⑨ from MP①, the root MP. . Here, the upward path is a path from the child MP to the parent MP (for example,
그리고 MP④에서부터 MP⑨까지의 온-디맨드 경로는 예컨대, MP④에서 MP⑦을 거쳐 MP⑨로 가는 경로일 수 있다. 이 온-디맨드 전송 경로에서, 소스(Source) MP는 MP④가 되고, 목표(Destination) MP는 MP⑨가 되며, MP⑦는 중간(Intermediate) MP에 해당된다. 이러한 경로는 MP④에서 MP⑨로 또는 MP⑨에서 MP④로의 메시지 전송을 위하여 임시로 설정된 경로 중의 하나이다.The on-demand path from MP④ to MP⑨ may be, for example, a path from MP④ to MP⑨ through MP⑦. In this on-demand transmission path, the source MP becomes MP4, the destination MP becomes MP9, and MP7 corresponds to the intermediate MP. Such a path is one of temporary paths for message transmission from MP④ to MP⑨ or from MP⑨ to MP④.
다음으로 본 발명의 일 실시예에 따른 무선 메쉬 네트워크에서의 링크 측정 알고리즘에 관하여 설명한다.Next, a link measurement algorithm in a wireless mesh network according to an embodiment of the present invention will be described.
본 발명의 실시예에서는 하나의 테스트 프레임에 대한 에어타임 코스트 링크 메트릭을 계산하는 기존의 방법과는 달리, N(N은 1이상의 자연수)개의 테스트 프레임에 대하여 링크 메트릭을 계산한다. 이것은 고속 처리율(HT) 서비스를 지원하는 경우에, 프레임 어그리게이션 기법을 이용함으로써 N개의 프레임을 한 번에 전송할 수가 있기 때문이다. 본 발명의 실시예에 의하면, 고속 처리율 서비스를 지원하는 HT MP는 프레임 어그리게이션 절차를 거치지 않고 N개의 프레임을 하나씩 전송하거나 또는 N개의 프레임을 A-MSDU 또는 A-MPDU로 어그리게이션하여 한 번에 전송할 수가 있으므로, 에어타임 코스트 링크 메트릭(Ca)을 계산함에 있어서 각각의 경우에 대하여 N개의 프레임을 전송하는데 소요되는 링크 메트릭의 계산식을 정의한다.In the embodiment of the present invention, unlike the conventional method of calculating the airtime cost link metric for one test frame, the link metric is calculated for N (N is one or more natural numbers) test frames. This is because N frames can be transmitted at once by using a frame aggregation technique when supporting a high throughput (HT) service. According to an embodiment of the present invention, the HT MP supporting the high throughput service may transmit N frames one by one or aggregate N frames into an A-MSDU or an A-MPDU without performing a frame aggregation procedure. since the number of transfer times, and defines the calculation of the link metrics required to transmit the N frames for each case in calculating the air-time cost link metric (Ca).
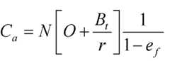
수학식 2는 어그리게이션 메커니즘을 지원하지 않거나 또는 이용하지 않는 경우에 에어타임 코스트 링크 메트릭(Ca)을 보여 주는 식이다. 예컨대, 어그리게이션을 지원하는 않는 MP, 즉 Non-HT MP의 경우에는 링크 메트릭을 계산함에 있어서 수학식 2를 이용할 수 있다. 수학식 2를 참조하면, 하나의 테스트 프레임에 대한 계산식인 기존의 에어타임 코스트 링크 메트릭 계산식(수학식 1 참조)에 N을 곱하 여 링크 메트릭을 계산한다. 이것은 Non-HT MP의 경우에 어그리게이션 기법을 사용하지 않고 N개의 프레임을 순차적으로 전송한다는 사실을 반영한 것이다.
여기서, O 는 평균 백오프 시간(Average Backoff Time), 프레임간 간격 시간(Inter-frame Space Time), 확인 프레임 전송 시간(Acknowledgement Frame Transmission Time) 등을 포함하는 채널 엑세스 오버헤드, Bt는 테스트 프레임의 크기, r은 물리 계층 레이트, ef는 수신측에서 측정한 테스트 프레임에 대한 에러 레이트, 그리고 N은 테스트 프레임의 개수로써 1이상의 자연수이다.Where O is channel access overhead including average backoff time, inter-frame space time, acknowledgment frame transmission time, and Bt is test frame. Where r is the physical layer rate, ef is the error rate for the test frame measured at the receiver, and N is the number of test frames, which is a natural number of one or more.
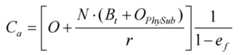
수학식 3은 무선 메쉬 네트워크에서 MSDU 어그리게이션을 지원하는 경우의 에어타임 코스트 링크 메트릭(Ca)을 보여 주는 계산식이다. 즉, 수학식 3은 N개의 테스트 프레임을 A-MSDU 기법을 이용하여 어그리게이션한 후에 전송할 경우의 링크 메트릭을 계산하기 위한 식이다. 수학식 3을 참조하면, 기존의 채널 엑세스 오버헤드(O) 외에도 어그리게이션되는 각각의 MSDU에 서브프레임 오버헤드(Subframe Overhead, OMacSub)가 추가되며, 또한 A-MSDU에 대하여 에러가 발생하지 않을 확률은 (1-ef)N로 줄게 된다.
여기서, O 는 채널 엑세스 오버헤드, OMacSub는 서브프레임 오버헤드, Bt는 테스트 프레임의 크기, r은 물리 계층 레이트, ef는 수신측에서 측정한 테스트 프레임에 대한 에러 레이트, 그리고 N은 테스트 프레임의 개수로써 1이상의 자연수이다.Where O is the channel access overhead, OMacSub is the subframe overhead, Bt is the size of the test frame, r is the physical layer rate, ef is the error rate for the test frame measured at the receiver, and N is the test. Number of frames, one or more natural numbers.
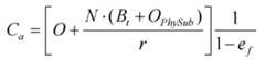
수학식 4는 무선 메쉬 네트워크에서 MPDU 어그리게이션을 지원하는 경우의 에어타임 코스트 링크 메트릭(Ca)을 보여 주는 계산식이다. 즉, 수학식 4는 N개의 테스트 프레임을 A-MPDU 기법을 이용하여 어그리게이션한 후에 전송할 경우의 링크 메트릭을 계산하기 위한 식이다. 수학식 4를 참조하면, 기존의 채널 엑세스 오버헤드(O) 외에도 어그리게이션되는 각각의 MSDU에 서브프레임 오버헤드(Subframe Overhead, OPhySub)가 추가된다. 하지만, A-MPDU 어그리게이션의 경우에는 어그리게이션되는 각각의 MPDU에 대하여 손실된 데이터를 복구하기 위한 정보(CRC(Cyclic Redundancy Check) 필드)가 포함되므로, 에러가 발생하지 않을 확률은 1개의 프레임을 전송하는 경우와 동일하다.
여기서, O 는 채널 엑세스 오버헤드, OPhySub는 서브프레임 오버헤드, Bt는 테스트 프레임의 크기, r은 물리 계층 레이트, ef는 수신측에서 측정한 테스트 프레임에 대한 에러 레이트, 그리고 N은 테스트 프레임의 개수로써 1이상의 자연수이다.Where O is the channel access overhead, OPhySub is the subframe overhead, Bt is the size of the test frame, r is the physical layer rate, ef is the error rate for the test frame measured at the receiver, and N is the test. Number of frames, one or more natural numbers.
도 3 내지 도 5는 전술한 본 발명의 실시예에 따른 N개의 프레임에 대한 에어타임 코스트 링크 메트릭을 보여 주는 개념도로써, 각각 수학식 2 내지 수학식 4에 도시된 계산식을 보여 주는 다이어그램이다. 도 3 내지 도 5에서는 설명의 편의를 위하여 N은 2이고 ef는 0으로 설정하였다. 보다 구체적으로, 도 3은 어그리게이션없이 2개의 테스트 프레임을 전송한 경우에, 수신측에서 에러가 없이 모든 프레임을 수신한 경우의 링크 메트릭을 나타낸다. 도 4는 2개의 테스트 프레임을 MSDU 어그리게이션을 이용하여 어그리게이션하여 A-MSDU를 전송하는 경우에, 수신측에서 에러가 없이 모든 프레임을 수신한 경우의 링크 메트릭을 나타낸다. 그리고 도 5는 2개의 테스트 프레임을 MPDU 어그리게이션을 이용하여 어그리게이션하여 A-MPDU를 전송하는 경우에, 수신측에서 에러가 없이 모든 프레임을 수신한 경우의 링크 메트릭을 나타낸다.3 to 5 are conceptual views illustrating airtime cost link metrics for N frames according to the above-described embodiment of the present invention, and are diagrams showing calculation equations shown in
본 발명의 실시예의 일 측면에 의하면, 프레임 어그리게이션 메커니즘을 지원하는 무선 메쉬 네트워크에서 경로 선택을 함에 있어서 N개의 테스트 프레임을 각각 연속적으로 전송하는 경우, MSDU 어그리게이션을 이용하여 전송하는 경우, 또는 MPDU 어그리게이션을 이용하여 전송하는 경우로 구분하여 링크 메트릭을 측정할 수 있다. 이러한 세 가지의 링크 메트릭은 미리 결정되어 있는 전송 메커니즘에 따라서 어느 하나만이 이용되거나 또는 MP가 지원하는 메커니즘만을 이용되거나 또는 모든 메커니즘을 이용하여 링크 메트릭을 측정할 수도 있다.According to an aspect of an embodiment of the present invention, in the case of transmitting the N test frames continuously in the path selection in the wireless mesh network supporting the frame aggregation mechanism, when transmitting using MSDU aggregation, Alternatively, the link metric may be measured by dividing the transmission using the MPDU aggregation. These three link metrics may be used either according to a predetermined transmission mechanism, only the mechanisms supported by the MP, or all the mechanisms to measure the link metrics.
다음으로 본 발명의 일 실시예에 따른 링크 메트릭의 측정 절차에 관하여 설명한다. 도 6은 본 발명의 일 실시예에 따른 링크 메트릭의 측정 절차를 보여 주는 메시지 흐름도이다.Next, a measurement procedure of a link metric according to an embodiment of the present invention will be described. 6 is a message flow diagram illustrating a measurement procedure of a link metric according to an embodiment of the present invention.
도 6을 참조하면, 요청(Requesting) MP는 피요청(Requested) MP에게 링크 메트릭 요청 프레임(Link Metric Request Frame)을 전송한다(S11). 링크 메트릭 요청 프레임은 메쉬 링크 메트릭의 관리를 위한 액션 프레임들 중의 하나이다. 요청 MP는 메트릭 정보를 요청하기 위하여 이러한 링크 메트릭 요청 프레임을 메쉬 네트워크에서의 이웃 피어 MP(neighbon peer MP)에게 전송한다. 이러한 링크 메트릭 요청 프레임은 개별적인 주소로, 즉 유니캐스트 방식으로 피요청 MP에게 전송된다.Referring to FIG. 6, the requesting MP transmits a link metric request frame to the requested MP (S11). The link metric request frame is one of action frames for managing the mesh link metric. The request MP sends this link metric request frame to a neighbor peer MP in the mesh network to request metric information. These link metric request frames are sent to the requested MP at separate addresses, i.e. in a unicast manner.
표 1은 링크 메트릭 요청 프레임의 프레임 바디에 포함되는 정보를 보여주고 있다. 표 1을 참조하면, 링크 메트릭 요청 프레임은 카테고리 정보(Category)와 액션값(Action Value) 정보를 포함한다. 카테고리 정보를 담는 카테고리 필드는 메쉬 링크 메트릭에 관한 카테고리를 지시하는 값으로 설정된다. 그리고 액션값을 담는 액션 필드는 메쉬 링크 메트릭 요청을 지시하는 값으로 설정된다.Table 1 shows information included in the frame body of the link metric request frame. Referring to Table 1, the link metric request frame includes category information and action value information. The category field containing category information is set to a value indicating a category related to the mesh link metric. The action field containing the action value is set to a value indicating a mesh link metric request.
계속해서 도 6을 참조하면, 피요청(Requested) MP는 요청(Requesting) MP에게 링크 메트릭 리포트 프레임(Link Metric Report Frame)을 전송한다(S12). 피요청 MP, 즉 링크 메트릭 요청 프레임을 수신한 단말은 전송 에러율 ef값을 바탕으로 링크 메트릭을 계산한 후에 상기 링크 메트릭 리포트 프레임으로 응답한다. 링크 메트릭 리포트 프레임도 메쉬 링크 메트릭의 관리를 위한 액션 프레임들 중의 하나인데, 상기 프레임은 메쉬 네트워크에서의 이웃 피어 MP(neighbon peer MP)에게 링크 메트릭 정보를 알리기 위하여 전송한다. 여기서, 요청 MP와 피요청 MP는 예시적인 것으로서, 어느 하나의 MP가 메쉬 네트워크에서의 이웃 피어 MP에게 링크 메트릭을 알려주기 위하여 상기 링크 메트릭 리포트 프레임이 전송될 수 있다. 이러한 링크 메트릭 리포트 프레임도 개별적인 주소로, 즉 유니캐스트 방식으로 피요청 MP에게 전송된다.6, the requested MP transmits a link metric report frame to the requesting MP (S12). After receiving the requested MP, that is, the link metric request frame, the terminal calculates the link metric based on the transmission error rate ef and responds with the link metric report frame. The link metric report frame is also one of action frames for managing the mesh link metric, which is transmitted to inform the neighbor peer MP in the mesh network to inform the link metric information. Here, the request MP and the requested MP are exemplary, and the link metric report frame may be transmitted in order for one MP to inform the neighbor peer MP in the mesh network. These link metric report frames are also sent to the requested MP at separate addresses, ie in a unicast fashion.
표 2는 링크 메트릭 리포트 프레임의 프레임 바디에 포함되는 정보를 보여주고 있다. 표 2를 참조하면, 링크 메트릭 요청 프레임은 카테고리 정보(Category), 액션값(Action Value) 정보, 및 로컬 링크 상태 알림 요소(Local Link State Announcement Element) 및/또는 링크 메트릭 리포트 요소(Link Metric Report Element)를 포함한다. 카테고리 정보를 담는 카테고리 필드는 메쉬 링크 메트릭에 관한 카테고리를 지시하는 값으로 설정된다. 그리고 액션값을 담는 액션 필드는 메쉬 링크 메트릭 요청을 지시하는 값으로 설정된다.Table 2 shows the information included in the frame body of the link metric report frame. Referring to Table 2, the link metric request frame includes category information, action value information, and a local link state announcement element and / or a link metric report element. ). The category field containing category information is set to a value indicating a category related to the mesh link metric. The action field containing the action value is set to a value indicating a mesh link metric request.
링크 메트릭 리포트 요소는 피요청 MP가 요청 MP에게 그들 사이의 링크의 품질을 나타내기 위하여 전송하는 것이다. 만일 경로 선택 프로토콜에 의하여 요청되는 경우에는, 상기 링크 메트릭은 모든 메쉬 링크에 대하여 시메트릭(symmetric)할 수 있다. 링크 메트릭 리포트 요소의 포맷에 대한 일례는 도 7과 같다.The link metric report element is what the requested MP sends to the requesting MP to indicate the quality of the link between them. If requested by the path selection protocol, the link metric may be symmetric for all mesh links. An example of the format of the link metric report element is shown in FIG.
도 7을 참조하면, 링크 메트릭 리포트 요소는 요소 아이디 필드(Element ID), 길이 필드(Length), 및 메트릭 필드(MetricM)를 포함한다. 요소 아이디 필드는 링크 메트릭 리포트 요소에 할당되어 있는 소정의 값이 설정된다. 길이 필드는 능동 경로 선택 메트릭에서 메트릭 필드의 길이를 지시하는 값으로 설정될 수 있다. 메트릭 필드는 상기 링크 메트릭 리포트 요소를 전송하는 이웃 피어 MP와 로컬 MP 사이이ㅡ 메쉬 링크와 관련된 링크 메트릭의 값으로 설정된다.Referring to FIG. 7, the link metric report element includes an element ID field (Element ID), a length field (Length), and a metric field (MetricM ). The element ID field is set to a predetermined value assigned to the link metric report element. The length field may be set to a value indicating the length of the metric field in the active path selection metric. The metric field is set to the value of the link metric associated with the mesh link between the neighboring peer MP and the local MP sending the link metric report element.
이상에서 상세하게 설명한 본 발명의 실시예는 단지 본 발명의 기술 사상을 보여주기 위한 예시적인 것으로서, 상기 실시예에의 의하여 본 발명의 기술 사상이 한정되는 것으로 해석되어서는 안된다. 본 발명의 보호 범위는 후술하는 본 발명의 특허청구범위에 의하여 특정된다.The embodiments of the present invention described in detail above are merely illustrative of the technical idea of the present invention, and should not be construed as limiting the technical idea of the present invention by the embodiments. The protection scope of the present invention is specified by the claims of the present invention described later.
도 1은 무선 메쉬 네트워크의 구성의 일례를 보여 주는 블록도이다.1 is a block diagram illustrating an example of a configuration of a wireless mesh network.
도 2는 무선 메쉬 네트워크에서의 프로액티브 트리 경로와 온-디맨드 경로를 설명하기 위한 도면이다.2 is a diagram illustrating a proactive tree path and an on-demand path in a wireless mesh network.
도 3은 본 발명의 일 실시예에 따라서 N개의 프레임에 대하여 어그리게이션이 없는 경우의 에어타임 코스트 링크 메트릭을 보여 주는 개념도이다.3 is a conceptual diagram illustrating an airtime cost link metric when there is no aggregation for N frames according to an embodiment of the present invention.
도 4는 본 발명의 다른 실시예에 따라서 N개의 프레임에 대하여 MSDU 어그리게이션이 있는 경우의 에어타임 코스트 링크 메트릭을 보여 주는 개념도이다.4 is a conceptual diagram illustrating an airtime cost link metric when there is an MSDU aggregation for N frames according to another embodiment of the present invention.
도 5는 본 발명의 또 다른 실시예에 따라서 N개의 프레임에 대하여 MPDU 어그리게이션이 있는 에어타임 코스트 링크 메트릭을 보여 주는 개념도이다.5 is a conceptual diagram illustrating an airtime cost link metric with MPDU aggregation for N frames according to another embodiment of the present invention.
도 6은 본 발명의 일 실시예에 따른 무선 메쉬 네트워크에서의 경로 측정 절차를 보여 주는 메시지 흐름도이다.6 is a message flow diagram illustrating a path measurement procedure in a wireless mesh network according to an embodiment of the present invention.
도 7은 링크 메트릭 리포트 요소의 포맷에 대한 일례를 보여 주는 블록도이다.7 is a block diagram illustrating an example of a format of a link metric report element.
| Application Number | Priority Date | Filing Date | Title |
|---|---|---|---|
| KR1020080043544AKR20090117478A (en) | 2008-05-09 | 2008-05-09 | Link Measurement Algorithm in Wireless Mesh Network and Link Measurement Procedure Using the Same |
| Application Number | Priority Date | Filing Date | Title |
|---|---|---|---|
| KR1020080043544AKR20090117478A (en) | 2008-05-09 | 2008-05-09 | Link Measurement Algorithm in Wireless Mesh Network and Link Measurement Procedure Using the Same |
| Publication Number | Publication Date |
|---|---|
| KR20090117478Atrue KR20090117478A (en) | 2009-11-12 |
| Application Number | Title | Priority Date | Filing Date |
|---|---|---|---|
| KR1020080043544AWithdrawnKR20090117478A (en) | 2008-05-09 | 2008-05-09 | Link Measurement Algorithm in Wireless Mesh Network and Link Measurement Procedure Using the Same |
| Country | Link |
|---|---|
| KR (1) | KR20090117478A (en) |
| Publication number | Priority date | Publication date | Assignee | Title |
|---|---|---|---|---|
| KR101440454B1 (en)* | 2013-01-30 | 2014-09-17 | 부산대학교 산학협력단 | Apparatus and method of flow routing considering available bandwidth in WLAN mesh network |
| JPWO2015107895A1 (en)* | 2014-01-15 | 2017-03-23 | 日本電気株式会社 | Wireless communication apparatus, wireless communication method, wireless communication program, and information notification system |
| Publication number | Priority date | Publication date | Assignee | Title |
|---|---|---|---|---|
| KR101440454B1 (en)* | 2013-01-30 | 2014-09-17 | 부산대학교 산학협력단 | Apparatus and method of flow routing considering available bandwidth in WLAN mesh network |
| JPWO2015107895A1 (en)* | 2014-01-15 | 2017-03-23 | 日本電気株式会社 | Wireless communication apparatus, wireless communication method, wireless communication program, and information notification system |
| Publication | Publication Date | Title |
|---|---|---|
| CN101911601B (en) | Data transmission method in wireless mesh network and A-MSDU format | |
| JP4871393B2 (en) | Send success / failure indication (ACK_BITMAP) in relay network | |
| US8023426B2 (en) | Method to select access point and relay node in multi-hop wireless networking | |
| JP4871394B2 (en) | Topology and route discovery and management in transit networks | |
| US7616575B2 (en) | System and method for link quality routing using a weighted cumulative expected transmission time metric | |
| US7558818B2 (en) | System and method for characterizing the quality of a link in a wireless network | |
| TWI444009B (en) | Direct link setup procedure in tunneled direct link setup wireless network and station supporting the procedure | |
| CN100521648C (en) | Multi-forwarding routing method of distributed wireless local area network | |
| KR101001622B1 (en) | Wireless communication system and network size measurement method that can perform optimized routing | |
| US20080221988A1 (en) | Wireless Network | |
| US8532071B2 (en) | Method of updating proxy information | |
| US20080298249A1 (en) | Method for selection of an association access point for a station in a mesh network | |
| US20100020740A1 (en) | Wireless Communication System, Wireless Communication Device, Wireless Communication Method, and Program | |
| CN102137437A (en) | Method for sending an acknowledgement to an ingress mesh point in a mesh network and a medium access control frame format | |
| US20110019686A1 (en) | Path selection procedure in mesh network and format of path request frame therefor | |
| JP5132944B2 (en) | Communication device | |
| JP5353576B2 (en) | Wireless communication apparatus and wireless communication program | |
| KR20090117478A (en) | Link Measurement Algorithm in Wireless Mesh Network and Link Measurement Procedure Using the Same | |
| KR20090111990A (en) | Path Selection Procedure in Mesh Networks | |
| JP2004015746A (en) | Communication method and communication equipment | |
| Repantis et al. | A Performance Comparison of Routing Protocols for Large-Scale Wireless Mobile Ad Hoc Networks | |
| JP6471696B2 (en) | Wireless communication apparatus, wireless communication method, wireless communication program, and information notification system | |
| Zhu et al. | On improving the performance of IEEE 802.11 with multihop concepts | |
| Nwup et al. | Evaluation of the pre IEEE 802.11 s RFC | |
| Nwup et al. | Evaluation of the pre IEEE 802.11 s RFC: Aspects of the Design and Implementation of the Mesh Station with RA-OLSR in the C-Core |
| Date | Code | Title | Description |
|---|---|---|---|
| PA0109 | Patent application | Patent event code:PA01091R01D Comment text:Patent Application Patent event date:20080509 | |
| PG1501 | Laying open of application | ||
| PC1203 | Withdrawal of no request for examination | ||
| WITN | Application deemed withdrawn, e.g. because no request for examination was filed or no examination fee was paid |