



도 1은 광신호를 이용한 거리 및 경사각 측정장치의 일예로 사용 가능한 휴대용 장치의 사시도.1 is a perspective view of a portable device that can be used as an example of a distance and tilt angle measuring device using an optical signal.
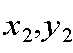
도 2는 본 발명의 실시예에 따른 광신호를 이용한 거리 및 경사각 측정장치의 블럭 구성도.Figure 2 is a block diagram of a distance and tilt angle measuring apparatus using the optical signal according to an embodiment of the present invention.
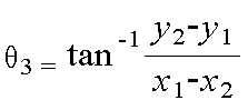
도 3은 본 발명의 실시예로서 광신호를 이용하여 거리를 측정하는 과정을 설명하기 위한 도면.3 is a view for explaining a process of measuring a distance using an optical signal as an embodiment of the present invention.
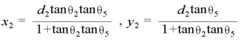
도 4는 본 발명의 실시예로서 광신호를 이용하여 경사각을 측정하는 과정을 설명하기 위한 도면.4 is a view for explaining a process of measuring the inclination angle using an optical signal as an embodiment of the present invention.
본 발명은 거리 및 경사각 측정장치에 관한 것으로, 특히 레이저광을 이용하여 물체와의 거리 및(혹은) 대상체의 경사각을 측정하는 장치에 관한 것이다.The present invention relates to a distance and inclination angle measuring apparatus, and more particularly, to a device for measuring a distance to an object and / or an inclination angle of an object using a laser beam.
레이저를 사용하여 점대점(point-to-point)의 거리를 수 mm 오차로서 측정할 수 있도록 된 거리측정장치가 개발되어 이용되고 있다. 이러한 거리측정장치는 소 정 주파수를 목표물에 입사시키고, 반사되어 수신되는 시간을 비교함으로서 목표물까지의 거리를 측정하게 된다.Distance measuring devices have been developed and used to measure point-to-point distances with a few millimeter error using a laser. Such a distance measuring device measures a distance to a target by injecting a predetermined frequency into the target, and comparing the time of reflection and reception.
그러나 레이저를 이용한 거리측정장치는 그 장비가 고가라는 점에서 그 사용이 일부에 국한되어 있다는 점에서, 일반인이 손쉽게 이용할 수 있는 장비는 아니라고 볼 수 있다.However, the laser distance measuring device is not easy to use for the general public because its use is limited to a part because the equipment is expensive.
한편 소규모 건축업자, 인테리어 업자, 댁내에서도 일반적으로 줄자와 같은 거리측정수단을 이용하여 목표물까지의 거리를 계측하고 있으나 그 사용이 불편하기 때문에, 대중화되어 있는 휴대용 단말기들, 예를 들면, 휴대폰, DMB 단말기, 디지털 카메라, PDA와 같은 장치들에 거리측정기능을 탑재한다면 단말기 사용자들의 편의를 도모해 줄 수 있을 것으로 판단된다.On the other hand, even small builders, interior contractors, and homes generally measure distances to targets using distance measuring means such as tape measure, but because they are inconvenient to use, portable terminals such as mobile phones and DMBs are becoming popular. If distance measurement functions are installed in devices such as terminals, digital cameras, and PDAs, it is expected to provide convenience for terminal users.
더 나아가 두 목표지점 사이의 경사면 각을 측정하기 위해서는 전문가가 사용할 수 있는 측정기기를 이용하여야 하나, 이 역시 일반인들이 손쉽게 접할 수 있는 기기는 아니다.Furthermore, in order to measure the inclination angle between two target points, a measuring instrument that can be used by a professional should be used, but this is also not easily accessible to the general public.
따라서 일반인들이 손쉽게 접할 수 있는 기기들에 경사각 측정 기능을 탑재할 수 있다면, 해당 기기들이 복합기로서 널리 사용될 수 있를 뿐만 아니라 해당 기기 사용자들의 편의를 도모해 줄 수 있을 것이라 사료된다.Therefore, if the inclination angle measurement function can be installed in devices that are easily accessible to the general public, the devices can be widely used as a multifunction device and can provide convenience to users of the device.
이에 본 발명의 목적은 사용이 편리하면서도 저가의 제품으로서 사용될 수 있는 광신호를 이용한 거리측정장치를 제공함에 있으며,Accordingly, an object of the present invention is to provide a distance measuring device using an optical signal that can be used as a convenient and low-cost product,
더 나아가 목표물까지의 거리측정은 물론 목표 지점 사이의 경사면 각을 함 께 측정 할 수도 있는 광신호를 이용한 거리 및 경사각 측정장치를 제공함에 있다.Furthermore, to provide a distance and inclination angle measuring device using an optical signal that can measure the distance to the target as well as the angle of the inclined plane between the target point.
또한 본 발명은 목표물까지의 거리측정은 물론 목표 지점 사이의 경사면 각을 함께 측정하되, 광 방사각 조절을 자유로이 할 수도 있는 광신호를 이용한 거리 및 경사각 측정장치를 제공함에 있다.In another aspect, the present invention provides a distance and inclination angle measuring device using an optical signal that can measure the inclination angle between the target point as well as the distance to the target, as well as freely adjusting the light emission angle.
더 나아가 본 발명의 또 다른 목적은 사용이 대중화되어 있는 여러 형태의 정보통신 단말기들을 사용하여 목표물까지의 거리는 물론, 목표 지점 사이의 경사면 각을 측정할 수 있는 광신호를 이용한 거리 및 경사각 측정장치를 제공함에 있다.Furthermore, another object of the present invention is to provide a distance and inclination angle measuring device using an optical signal that can measure the distance to the target as well as the inclination angle between the target points by using various types of information communication terminals that are popularized. In providing.
상기 목적을 달성하기 위한 본 발명의 실시예에 따른 거리 및 경사각 측정장치는,Distance and inclination angle measuring device according to an embodiment of the present invention for achieving the above object,
서로 다른 지점에 레이저 광을 방사하기 위한 레이저 광 방사부와;A laser light emitter for emitting laser light at different points;
피측정체에서 산란된 레이저 광을 집광하기 위한 집광렌즈와;A condenser lens for condensing laser light scattered from the object under test;
상기 집광렌즈를 통해 집광되는 레이저 광을 촬상하기 위한 촬상수단과;Imaging means for imaging laser light focused through the condensing lens;
상기 레이저 광 방사부와 상기 촬상수단을 연동시켜 구동시키기 위한 카메라 구동부와;A camera driver for driving the laser light emitting unit and the imaging unit in association with each other;
상기 레이저 광 각각의 방사각 정보와, 상기 촬상수단에 촬상되는 각 레이저 광의 위치와 촬상수단의 기준점간의 거리정보에 기초하여 서로 다른 지점까지의 거리를 각각 산출하는 거리 산출부와;A distance calculator for calculating distances to different points based on the emission angle information of each of the laser beams and the distance information between the position of each laser beam picked up by the image pickup means and the distance information between the reference point of the image pickup means;
상기 레이저 광 각각의 방사각 정보와, 상기 촬상수단에 촬상되는 각 레이 저 광의 위치와 촬상수단의 기준점간의 거리정보 및 상기 서로 다른 지점까지의 거리 정보에 기초하여 상기 서로 다른 지점 사이의 경사각을 산출하는 경사각 산출부와; Calculate the inclination angles between the different points based on the radiation angle information of each of the laser beams, the position of each laser light picked up by the imaging means, the distance information between the reference point of the imaging means, and the distance information to the different points. An inclination angle calculator;
산출된 거리 및 경사각 정보중 하나 이상을 선택적으로 출력하기 위한 정보 출력부;를 포함함을 특징으로 한다.And an information output unit for selectively outputting one or more of the calculated distance and inclination angle information.
더 나아가 본 발명의 또 다른 실시예에 따른 광신호를 이용한 거리 및 경사각 측정장치는 적어도 두 개 이상의 레이저 발광 다이오드를 포함함을 특징으로 하며,Furthermore, the distance and tilt angle measuring apparatus using the optical signal according to another embodiment of the present invention is characterized in that it comprises at least two laser light emitting diodes,
더 나아가 사용자 명령에 따라 레이저 광의 방사각을 조정하기 위한 변위조정신호와 그 변위값을 상기 산출부들에 건네 주는 방사각 변위 조정부와;Furthermore, a radiation angle displacement adjusting unit for passing a displacement adjusting signal for adjusting the radiation angle of the laser light and the displacement value to the calculating units according to a user command;
상기 변위조정신호에 따라 상기 레이저 광 다이오드를 각각 회전이동시키는 구동부;를 더 포함함을 특징으로 한다.And a driving unit for rotating the laser photodiode according to the displacement adjustment signal, respectively.
이하 본 발명의 바람직한 실시예들을 첨부 도면을 참조하여 상세히 설명하기로 한다. 본 발명을 설명함에 있어 관련된 공지 기능 혹은 구성에 대한 구체적인 설명이 본 발명의 요지를 불필요하게 흐릴 수 있다고 판단되는 경우 그에 대한 상세한 설명은 생략하기로 한다.Hereinafter, preferred embodiments of the present invention will be described in detail with reference to the accompanying drawings. In the following description of the present invention, if it is determined that a detailed description of related known functions or configurations may unnecessarily obscure the subject matter of the present invention, the detailed description thereof will be omitted.
우선 도 1은 광신호를 이용한 거리 및 경사각 측정장치의 일예로 사용 가능한 휴대용 장치, 보다 구체적으로는 음성 통화 가능한 휴대용 정보 단말기의 사시도를 도시한 것이다.1 illustrates a perspective view of a portable device that can be used as an example of a distance and inclination angle measuring device using an optical signal, and more specifically, a portable information terminal capable of making a voice call.
도 1에 도시한 바와 같이 본 발명의 실시예에 따른 광 신호를 이용한 거리 및 경사각 측정장치의 일 구성요소인 레이저 광 방사부(100)와 카메라 모듈(110)은 장치 외부에 노출되어 있으며, 도 2에서 설명될 기타 구성들은 장치 내부의 PCB 보드 상에 위치한다.As shown in FIG. 1, the
도 1에 도시한 레이저 광 방사부(100)는 피측정체로 레이저 광을 방사하기 위한 것으로, 하나 이상의 레이저 발광 다이오드를 포함한다. 예를 들면 하나의 레이저 발광 다이오드를 이용하는 경우에는 목표물인 피측정까지의 거리를 구할 수 있으며, 두 개의 레이저 발광 다이오드를 이용하는 경우에는 두 지점을 잇는 경사면의 경사각까지 구할 수 있다.The laser
참고적으로 각 레이저 발광 다이오드는 레이저 광의 방사각을 조정하기 위해 일반 감시카메라를 팬/틸트 조정하는 것과 같이 별도의 구동부를 구비하여 방사각 조정할 수도 있을 것이다.For reference, each laser light emitting diode may be provided with a separate driving unit such as pan / tilt adjustment of a general surveillance camera to adjust the radiation angle of the laser light.
레이저 광 방사부(100) 주변에 위치하는 카메라 모듈(110)은 도 2에서 상세히 설명하겠지만 기본적으로 집광렌즈 및 촬상소자 등을 포함한다. 이러한 카메라 모듈(110)은 레이저 광 방사부(100)에서 방사되어 피측정체에 의해 산란되는 레이저 광(산란광)을 촬상하는 역할을 한다.The
도 1에서는 본 발명의 구현을 위한 레이저 광 방사부(100)와 카메라 모듈(110)이 휴대폰에 장착되어 있는 경우를 예시하였지만, DMB 단말기, 휴대용 게임기, PDA와 같은 휴대용 정보 단말기들에 장착할 수도 있으며, 장애물 감지를 위한 차량 등에도 설치 운용 가능하다.1 illustrates a case in which the laser
이하 상술한 레이저 광 방사부(100), 카메라 모듈(110)과 연동하여 사용되는 거리 및 경사각 측정장치의 나머지 구성을 도 2를 참조하여 보다 상세히 설명하기로 한다.Hereinafter, the remaining components of the distance and tilt angle measuring devices used in conjunction with the above-described
도 2는 본 발명의 실시예에 따른 광신호를 이용한 거리 및 경사각 측정장치의 블럭 구성도를 도시한 것이다.2 is a block diagram of an apparatus for measuring distance and inclination angle using an optical signal according to an exemplary embodiment of the present invention.
도 2에 도시한 바와 같이 광신호를 이용한 거리 및 경사각 측정장치는 하나 혹은 서로 다른 지점에 레이저 광을 방사하기 위한 레이저 광 방사부(100)와, 피측정체에서 산란된 레이저 광을 집광하기 위한 집광렌즈(112)와, 상기 집광렌즈(112)를 통해 집광되는 레이저 광을 촬상하기 위한 촬상소자(114)를 포함한다. 경우에 따라서는 원하는 파장의 빛, 즉 레이저 광의 반사광만을 투과시키기 위해 수단으로서 필터를 더 포함할 수 있을 것이다. 필터를 이용하여 주변 광에 의한 노이즈를 원천적으로 제거할 수도 있지만, 이러한 경우에는 피사체 영상 자체를 얻을 수 없는 문제가 발생할 수 있으므로, 필터를 사용하지 않는 대신 카메라 영상을 처리하는 신호 처리부에서 인접 프레임간의 영상차를 이용하여 원하는 광만 캡쳐하도록 하는 것이 바람직하다 할 것이다.As shown in FIG. 2, the apparatus for measuring distance and inclination angle using an optical signal includes a
촬상소자(114)로서 CCD(Charge Coupled Device), CIS(CMOS Image Sensor) 등을 사용할 수 있다. 참고적으로 상기 집광렌즈(112)와 촬상소자(114) 및 필터는 하나의 카메라 모듈(110)로 칭할 수 있다. As the
상기 구성 외에 본 발명의 실시예에 따른 광신호를 이용한 거리 및 경사각 측정장치는 상기 레이저 광 방사부(100)와 상기 촬상소자(114)를 구동시키기 위한 카메라 구동부(126)와, 상기 레이저 광 각각의 방사각 정보(θ)와, 상기 촬상소 자(114)에 촬상되는 각 레이저 광의 위치와 촬상소자(114)의 기준점간의 거리정보에 기초하여 피측정체의 하나 혹은 서로 다른 두 지점까지의 거리를 각각 산출하는 거리 산출부(122)를 더 포함한다.In addition to the above configuration, the apparatus for measuring distance and inclination angle using an optical signal according to an exemplary embodiment of the present invention includes a
참고적으로 상기 촬상소자(114)의 기준점이란 촬상영상이 정보 출력부(140)의 하나인 표시부상에 표시되는 영상의 정 중앙 위치, 즉 촬상소자(114)의 정 중앙점을 의미하는 것으로 정의하기로 한다.For reference, the reference point of the
더 나아가 광신호를 이용한 거리 및 경사각 측정장치는 상기 레이저 광 각각의 방사각 정보(θ)와, 촬상소자(114)에 촬상되는 각 레이저 광의 위치와 촬상소자(114)의 기준점간의 거리정보 및 피측정체의 서로 다른 두 지점까지의 거리 정보에 기초하여 상기 서로 다른 두 지점 사이의 경사각을 산출하는 경사각 산출부(124)와, 산출된 거리 및 경사각 정보중 하나 이상을 선택적으로 출력하기 위한 정보 출력부(140)를 포함한다. 상기 정보 출력부(140)는 표시부와 음성출력부를 포함하는 개념이다.Furthermore, the distance and inclination angle measuring apparatus using the optical signal includes radiation angle information θ of each of the laser beams, distance information between the position of each laser beam picked up by the
위 구성에서는 거리 산출부(122)와 경사각 산출부(124)가 각각 피측정체와의 거리와 경사면 각을 산출하는 것으로 설명하였으나, 경사각 산출부(124)가 피측정체와의 거리와 경사면 각을 모두 산출할 수 있다. 그 이유는 경사각 산출부(124)가 거리 산출부(122)에서 거리 산출을 위해 필요한 모든 정보를 이용하고 있기 때문에이다.In the above configuration, the
상술한 기본 구성 외에 광신호를 이용한 거리 및 경사각 측정장치는 사용자 명령에 따라 레이저 광의 방사각을 조정하기 위한 변위조정신호와 그 변위값을 상 기 산출부들(122,124)에 건네 주는 방사각 변위 조정부(150)와, 상기 변위조정신호에 따라 레이저 광 방사부(100)를 구성하는 레이저 광 다이오드를 각각 회전이동시키는 구동부(160)를 더 포함할 수도 있다. 상기 구동부(160)는 일예로 감시카메라를 팬/틸트 구동시키기 위해 요구되는 구동부로 구현 가능하다.In addition to the above-described basic configuration, the distance and inclination angle measuring device using the optical signal may include a displacement adjustment signal for adjusting the radiation angle of the laser light and a displacement value thereof to the
아울러 상기 거리 산출부(122), 경사각 산출부(124), 카메라 구동부(126), 경우에 따라서는 방사각 변위 조정부(150)까지 포함하여 하나의 제어부(120)로 구체화할 수 있으며, 이러한 제어부(120)는 별도의 프로세서를 존재할 수도 있지만 휴대폰과 같은 휴대용 정보 단말기의 메인 프로세서를 이용하도록 구현될 수도 있을 것이다.In addition, the
도 2에서 미설명된 사용자 인터페이스부(130)는 거리 및 경사각 측정을 위해 필요한 사용자 명령을 입력받기 위한 구성으로서, 각 휴대용 정보 단말기의 키버튼부를 이용할 수 있다.The
이하 도 2 내지 도 4를 참조하여 피측정체까지의 거리 혹은 피측정체 두 지점의 경사각을 측정하는 과정을 설명하기로 한다.Hereinafter, a process of measuring a distance to an object to be measured or an inclination angle of two points to be measured will be described with reference to FIGS. 2 to 4.
도 3은 본 발명의 실시예로서 광신호를 이용하여 거리를 측정하는 과정을 설명하기 위한 도면을 도시한 것이다.3 is a diagram illustrating a process of measuring a distance using an optical signal as an embodiment of the present invention.
도 3을 참조하면, 우선 측정장치 사용자가 피측정체까지의 거리를 산출하고자 사용자 I/F부(130)를 통해 레이저 광 방사 명령을 내렸다면, 카메라 구동부(126)는 그에 응답하여 레이저 광 방사부(100)와 카메라 모듈(110)을 활성화시킨다.Referring to FIG. 3, first, when a user of a measuring device sends a laser light emission command through the user I /
레이저 광 방사부(100)가 활성화됨으로서 레이저 발광 다이오드는 레이저 광을 방사한다. 이때의 광 방사각은 도 3에 도시되어 있는 바와 같이로 고정되어 있는 것으로 가정한다. 피측정체 표면의 경사각에 따라서 레이저 광은 반사될 것이며, 적어도 산란광은 집광렌즈(112)를 통해 촬상소자(114)의 소정 위치에 촬상된다.As the
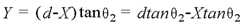
촬상소자(114)의 소정 위치에 촬상되는 레이저 광의 위치정보는 이후 거리 산출부(122)로 입력된다. 이에 거리 산출부(122)는 레이저 광의 방사각 정보와, 상기 촬상소자(114)에 촬상되는 레이저 광의 촬상위치와 촬상소자의 기준점간의 거리정보(D) 및 상기 기준점과 집광렌즈(112) 중심점까지의 거리정보(f)에 기초하여 피측정체 까지의 거리를 하기 수학식 3에 의거하여 최종 산출한다.The positional information of the laser light captured at a predetermined position of the
보다 구체적으로 도 3에 도시한 바와 같이은 수학식 1과 같은 X,Y 관계식으로 나타낼 수 있으며, 는 수학식 2과 같이 d,X,Y 관계식으로 나타낼 수 있다.More specifically, as shown in FIG. Can be represented by the X, Y relationship as shown in Equation 1, As shown in Equation 2 can be represented by the d, X, Y relationship.
상기 수학식 1과 2로부터 하기 수학식 3을 얻을 수 있다. 즉, 피측정체와 거리측정장치까지의 거리(Y)는 하기 수학식 3과 같이과 및 d의 관계식으로 나타낼 수 있다.The following Equation 3 can be obtained from Equations 1 and 2 above. That is, the distance Y between the object under test and the distance measuring device is expressed by Equation 3 below. and And d.
상기 수학식 3에서는 레이저 광의 방사각 정보로서 이는 이미 알고 있는 값이며, d는 촬상소자(114)의 기준위치(집광렌즈의 중심점)로부터 레이저 광 다이오드까지의 거리로서 이 역시 알고 있는 값이고,은 촬상소자(114)에 촬상되는 레이저 광의 촬상위치와 촬상소자의 기준점간의 거리(D) 및 상기 기준점과 집광렌즈(112) 중심점까지의 거리정보(f)를 알면 구할 수 있는 값이다.In Equation 3 Is the radiation angle information of the laser light, which is a known value, d is the distance from the reference position (center point of the condenser lens) of the
따라서 거리 산출부(122)는 레이저 광의 방사각 정보와, 상기 촬상소자(114)에 촬상되는 레이저 광의 촬상위치와 촬상소자의 기준점간의 거리정보(D) 및 상기 기준점과 집광렌즈(112) 중심점까지의 거리정보(f)에 기초하여 피측정체 까지의 거리를 수학식 3에 의거하여 산출한 후 이를 정보 출력부(140)로 출력하여 준다.Accordingly, the
이에 측정장치 사용자는 피측정체까지의 거리정보를 시각 혹은 청각적으로 확인할 수 있게 되는 것이다.Accordingly, the user of the measuring apparatus can visually or audibly check the distance information to the object under measurement.
더 나아가 상술한 바와 같이 동작하는 거리측정장치가 휴대폰에 탑재된다면, 단말기 사용자 역시 언제 어디서나 편리하게 피측정체까지의 거리를 신속하게 측정할 수 있을 것이다.Furthermore, if the distance measuring device operating as described above is mounted in the mobile phone, the terminal user can also quickly and conveniently measure the distance to the object under test anytime, anywhere.
도 4는 본 발명의 실시예로서 광신호를 이용하여 경사각을 측정하는 과정을 설명하기 위한 도면을 도시한 것이다.4 is a diagram illustrating a process of measuring an inclination angle using an optical signal as an embodiment of the present invention.
도 4를 참조하여 경사각 측정 과정을 설명하면, 우선 측정장치 사용자가 피측정체의 두 지점이 이루는 경사면의 경사각을 산출하고자 사용자 I/F부(130)를 통해 레이저 광 방사 명령을 내린다면, 카메라 구동부(126)는 그에 응답하여 레이저 광 방사부(100)와 카메라 모듈(110)을 활성화시킨다.Referring to FIG. 4, a tilt angle measuring process will be described. First, when a user of a measuring device issues a laser light emission command through a user I /
레이저 광 방사부(100)가 활성화됨으로서 서로 다른 방사각()을 가지는 각각의 레이저 발광 다이오드는 레이저 광을 방사한다. 이러한 레이저 광은 피측정체 표면의 경사각에 따라서 반사될 것이며, 적어도 산란광은 도 4에 도시한 바와 같이 집광렌즈(112)를 통해 촬상소자(114)의 소정 위치에 각각 촬상된다.As the
촬상소자(114)의 소정 위치에 각각 촬상되는 레이저 광의 위치정보는 이후 거리 산출부(122)로 입력된다. 이에 거리 산출부(122)는 레이저 광의 방사각 정보와, 상기 촬상소자(114)에 촬상되는 레이저 광의 각 촬상위치와 촬상소자의 기준점간의 거리정보(D1, D2) 및 상기 기준점과 집광렌즈(112) 중심점까지의 거리정보(f)에 기초하여 피측정체 까지의 거리()를 하기 수학식 7에 의거하여 최종 산출한다.The positional information of the laser beams respectively photographed at predetermined positions of the
보다 구체적으로 도 4에 도시한 바와 같이은 수학식 4과 같이의 관계식으로 나타낼 수 있으며,는 수학식 5과 같이의 관계식으로 나타낼 수 있다.More specifically, as shown in FIG. Is given by Equation 4 Can be expressed in terms of Is as shown in Equation 5 It can be expressed as a relation of.
그리고는의 관계식 즉,로 나타낼 수 있으므로, 결국 피측정체의 서로 다른 두 지점 사이의 경사각는 하기 수학식 6에 기초하여 산출할 수 있다.And Is That is, Inclination angle between two different points on the subject Can be calculated based on Equation 6 below.
상기 수학식 6에서는 레이저 광의 방사각 정보로서 이는 이미 알고 있는 값이며,,는 촬상소자(114)에 촬상되는 레이저 광의 각각의 촬상위치와 촬상소자의 기준점간의 거리(D1, D2) 및 상기 기준점과 집광렌즈(112) 중심점까 지의 거리정보(f)를 알면 구할 수 있기 때문에 결과적으로값을 구할 수 있다.In Equation 6 Is the radiation angle information of the laser light, which is a known value, , Is obtained by knowing the distances (D1, D2) between the respective imaging positions of the laser light picked up by the
또한 역시 또 하나의 레이저 광의 방사각 정보로서 이는 이미 알고 있는 값이며, 역시 촬상소자(114)에 촬상되는 레이저 광 각각의 촬상위치와 촬상소자의 기준점간의 거리(D1, D2) 및 상기 기준점과 집광렌즈(112) 중심점까지의 거리정보(f)를 알면 구할 수 있기 때문에 결과적으로값을 구할 수 있다.Also Again, the radiation angle information of another laser light, which is a known value, Since the distances (D1, D2) between the imaging position of each laser beam picked up by the
따라서 경사각 산출부(124)는 레이저 광의 방사각 정보와, 상기 촬상소자(114)에 촬상되는 레이저 광의 각 촬상위치와 촬상소자의 기준점간의 거리정보(D1, D2) 및 상기 기준점과 집광렌즈(112) 중심점까지의 거리정보(f)에 기초하여 피측정체 두 지점 경사면의 경사각을 수학식 6에 의거하여 산출한 후 이를 정보 출력부(140)로 출력하여 준다.Accordingly, the
이에 측정장치 사용자는 피측정체 두 지점의 경사면에 대한 경사각을 시각 혹은 청각적으로 확인할 수 있게 되는 것이다.Accordingly, the user of the measuring device can visually or auditoryly check the inclination angle of the inclined surfaces of the two points to be measured.
이상의 실시예에서는 레이저 광 방사부(100)의 레이저 발광 다이오드가 소정의 방사각을 가지도록 설계되어 있는 시스템을 가정하여 설명하였지만, 방사각 변위 조정부(150)와 구동부(160)를 더 구비하여 필요에 따라 레이저 발광 다이오드의 방사각이 조정되도록 설계함으로서, 피측정체의 원하는 지점을 가변하면서 그 지점까지의 거리를 측정하거나 원하는 두 지점을 가변하면서 그 두 지점이 이루는 경사 면의 경사각을 측정할 수도 있을 것이다.In the above embodiment, the laser light emitting diode of the laser
한편 본 발명의 응용예로서 방사각을 촬상면의 좌측 끝점으로부터 우측 끝점, 그리고 상단에서 하단까지 이동하면서 피측정체 각 점들과의 거리측정을 하면 대상물에 대한 3차원 영상 정보를 획득할 수도 있을 것이다. 즉, 본 발명은 거리측정 및 경사각 측정은 물론, 피측정체에 대한 3차원 영상을 획득할 수 있는 기기로도 활용될 수 있는 것이다.On the other hand, as an application example of the present invention, when the radiation angle is measured from the left end point to the right end point of the imaging surface and the distance between each point to be measured, the 3D image information of the object may be obtained. That is, the present invention can be used as a device for acquiring a 3D image of the object to be measured as well as measuring distance and tilting angle.
상술한 바와 같이 본 발명은 음성 통화 가능한 혹은 영상 수신이 가능한 휴대용 정보 단말기들을 사용하여 거리 측정 및 경사각 측정이 가능하기 때문에, 사용이 편리하면서도 다용도로 사용할 수 있는 저가의 제품을 일반 사용자들에게 제공할 수 있는 실익이 있으며,As described above, since the present invention enables distance measurement and tilt angle measurement using portable information terminals capable of voice call or video reception, it is possible to provide a low-cost product that is convenient to use and versatile to general users. There is a good thing to do,
또한 본 발명은 목표물까지의 거리측정은 물론 목표 지점 사이의 경사면 각을 함께 측정하되, 광 방사각 조절을 자유롭게 할 수 있는 장점이 있다.In addition, the present invention, while measuring the distance to the target as well as measuring the inclined plane angle between the target point, there is an advantage that can freely adjust the light emission angle.
더 나아가 본 발명은 차량 후방의 장애물 검출기로도 활용될 수 있어 그 활용도가 높은 장점을 가진다고 볼 수 있다.Furthermore, the present invention can also be used as an obstacle detector in the rear of the vehicle can be seen that has the advantage of high utilization.
또한 본 발명은 레이저 광의 주광선이 아닌 산란광을 집광하여 이용하므로 주광선을 이용하는 시스템에 비해 넓은 화각에 위치하는 피측정체 임의 지점까지의 거리를 간편하게 측정할 수 있는 실익이 있다.In addition, since the present invention collects and uses scattered light instead of the chief ray of the laser light, there is an advantage in that the distance to an arbitrary point to be measured at a wide angle of view can be easily measured as compared to a system using the chief ray.
한편 본 발명은 도면에 도시된 실시예들을 참고로 설명되었으나 이는 예시적인 것에 불과하며, 당해 기술분야에 통상의 지식을 지닌자라면 이로부터 다양한 변 형 및 균등한 타실시예가 가능하다는 점을 이해할 것이다. 따라서 본 발명의 진정한 기술적 보호범위는 첨부된 특허청구범위에 의해서만 정해져야 할 것이다.On the other hand, the present invention has been described with reference to the embodiments shown in the drawings but this is only illustrative, it will be understood by those skilled in the art that various modifications and equivalent other embodiments are possible. . Therefore, the true technical protection scope of the present invention should be defined only by the appended claims.
| Application Number | Priority Date | Filing Date | Title |
|---|---|---|---|
| KR1020070016131AKR20080076338A (en) | 2007-02-15 | 2007-02-15 | Distance and tilt angle measuring device using optical signal |
| Application Number | Priority Date | Filing Date | Title |
|---|---|---|---|
| KR1020070016131AKR20080076338A (en) | 2007-02-15 | 2007-02-15 | Distance and tilt angle measuring device using optical signal |
| Publication Number | Publication Date |
|---|---|
| KR20080076338Atrue KR20080076338A (en) | 2008-08-20 |
| Application Number | Title | Priority Date | Filing Date |
|---|---|---|---|
| KR1020070016131ACeasedKR20080076338A (en) | 2007-02-15 | 2007-02-15 | Distance and tilt angle measuring device using optical signal |
| Country | Link |
|---|---|
| KR (1) | KR20080076338A (en) |
| Publication number | Priority date | Publication date | Assignee | Title |
|---|---|---|---|---|
| KR101329529B1 (en)* | 2012-06-27 | 2013-11-14 | 주식회사 나무가 | Gesture recognition module and gesture recognition using the module |
| CN105890519A (en)* | 2016-03-24 | 2016-08-24 | 青岛万龙智控科技有限公司 | Detection system and method for end portion of rubber compound |
| US10928517B2 (en) | 2016-10-27 | 2021-02-23 | SOS Lab co., Ltd | Apparatus and method for detecting obstacle |
| KR20210085825A (en)* | 2019-12-31 | 2021-07-08 | 김지현 | Leveler Apparatus with Linear Light Beam and Method thereof |
| WO2022139146A1 (en)* | 2020-12-24 | 2022-06-30 | 한국기계연구원 | Ground information acquisition system using laser, ground information acquisition method using same, and mobile platform driving method based on ground information |
| CN118500297A (en)* | 2024-07-16 | 2024-08-16 | 武汉星纪魅族科技有限公司 | Detection method for folding angle of folding equipment, folding equipment and electronic equipment |
| Publication number | Priority date | Publication date | Assignee | Title |
|---|---|---|---|---|
| KR101329529B1 (en)* | 2012-06-27 | 2013-11-14 | 주식회사 나무가 | Gesture recognition module and gesture recognition using the module |
| CN105890519A (en)* | 2016-03-24 | 2016-08-24 | 青岛万龙智控科技有限公司 | Detection system and method for end portion of rubber compound |
| US10928517B2 (en) | 2016-10-27 | 2021-02-23 | SOS Lab co., Ltd | Apparatus and method for detecting obstacle |
| KR20210085825A (en)* | 2019-12-31 | 2021-07-08 | 김지현 | Leveler Apparatus with Linear Light Beam and Method thereof |
| WO2022139146A1 (en)* | 2020-12-24 | 2022-06-30 | 한국기계연구원 | Ground information acquisition system using laser, ground information acquisition method using same, and mobile platform driving method based on ground information |
| KR20220092031A (en)* | 2020-12-24 | 2022-07-01 | 한국기계연구원 | Ground information obtaining system, method for obtaining ground information using the same, method for driving mobile platform based on ground information |
| CN118500297A (en)* | 2024-07-16 | 2024-08-16 | 武汉星纪魅族科技有限公司 | Detection method for folding angle of folding equipment, folding equipment and electronic equipment |
| Publication | Publication Date | Title |
|---|---|---|
| US12313779B2 (en) | Depth sensing using optical time-of-flight techniques through a transmissive cover | |
| CN104024797B (en) | Method and device for determining 3D coordinates of an object | |
| CN100491913C (en) | Distance measuring device with sighting device | |
| US20140168424A1 (en) | Imaging device for motion detection of objects in a scene, and method for motion detection of objects in a scene | |
| KR20080076338A (en) | Distance and tilt angle measuring device using optical signal | |
| JP2004138530A (en) | Position measuring device | |
| KR100768752B1 (en) | Distance measuring method using camera module | |
| US20120013886A1 (en) | Distance Measuring Module And Electronic Device Including The Same | |
| JP2016142562A (en) | Method of measuring distance or area using portable device and beam projection device | |
| KR102794864B1 (en) | Electronic device for using depth information and operating method thereof | |
| WO2019049494A1 (en) | Sound pickup device, sound pickup system, sound pickup method, program, and calibration method | |
| US20060187333A1 (en) | Still image pickup device | |
| WO2017077906A1 (en) | Information processing device, information processing method, and program | |
| CN111596507B (en) | Camera module and manufacturing method thereof | |
| TW201400791A (en) | Distance measuring device on mobile phone | |
| CN118226465A (en) | A handheld cloud height measuring device | |
| CN113267785B (en) | Distance detection method and device, electronic equipment | |
| US20150116694A1 (en) | Mobile measurement devices, instruments and methods | |
| US20030234869A1 (en) | Camera for measuring distance to object | |
| CN113191976A (en) | Image shooting method, device, terminal and storage medium | |
| JP6971942B2 (en) | Imaging device, imaging system, and imaging method | |
| CN213600058U (en) | Laser rangefinder equipment and laser range finder thereof | |
| CN106526609B (en) | Laser ranging system, device, combined device and method | |
| CN113050107B (en) | High-precision intelligent distance measuring system of laser displacement sensor | |
| CN112291418B (en) | Buckle type device for detecting micro lens based on mobile phone camera |
| Date | Code | Title | Description |
|---|---|---|---|
| PA0109 | Patent application | Patent event code:PA01091R01D Comment text:Patent Application Patent event date:20070215 | |
| PG1501 | Laying open of application | ||
| A201 | Request for examination | ||
| PA0201 | Request for examination | Patent event code:PA02012R01D Patent event date:20120201 Comment text:Request for Examination of Application Patent event code:PA02011R01I Patent event date:20070215 Comment text:Patent Application | |
| E902 | Notification of reason for refusal | ||
| PE0902 | Notice of grounds for rejection | Comment text:Notification of reason for refusal Patent event date:20130328 Patent event code:PE09021S01D | |
| E601 | Decision to refuse application | ||
| PE0601 | Decision on rejection of patent | Patent event date:20130825 Comment text:Decision to Refuse Application Patent event code:PE06012S01D Patent event date:20130328 Comment text:Notification of reason for refusal Patent event code:PE06011S01I |