













동적 로드(load)에 RF 전력을 제공하는 다양한 방식들이 존재한다. RF 발생기는 통상적으로 약 400kHz 내지 약 200MHz 사이의 주파수에서 동적 로드에 전력을 제공한다. 일부 과학 응용 분야, 산업 응용 분야, 의학 응용 분야에서 사용되는 주파수들은 약 2MHz, 13.56MHz, 및 27MHz이다.There are various ways of providing RF power to a dynamic load. The RF generator typically provides power to the dynamic load at frequencies between about 400 kHz and about 200 MHz. The frequencies used in some scientific, industrial, and medical applications are about 2 MHz, 13.56 MHz, and 27 MHz.
도 1A에 도시한 바와 같이, RF 전력을 동적 로드(즉, 플라즈마 로드(140))에 제공하기 위한 시스템(100)은 50Ω 전송 라인(130)에 의해 연결된 고정 주파수 RF 발생기(110) 및 2축 튜닝가능 정합 네트워크(120)를 포함한다. 튜닝가능 정합 네트워크(120)는, 직권 전동형(series motorized) 진공 가변 커패시터(122), 인덕터(124), 및 분권 전동형(shunt motorized) 진공 가변 커패시터(126)를 포함한다. 직렬 커패시턴스 및 션트 커패시턴스를 결정하는데 사용되는 알고리즘은 통상적으로 크기 및 위상 검출기(150)를 이용하여 행해지는 임피던스 측정에 기초한다. 독립적 전력 제어는 RF 발생기(110)에서의 전력 측정에 기초한다. 전력 제어 루프(160) 및 임피던스 제어 루프(162)는 독립적이다.As shown in FIG. 1A, a
도 1B에 도시한 바와 같이, RF 전력을 동적 로드에 제공하는 다른 시스템(100')은, RF 발생기(110)에 의해 공급을 받으며 50Ω 전송 라인(130)에 연결된 고정 소자 정합 네트워크(120')를 포함한다. 고정 소자 정합 네트워크(120')는 직 렬 커패시터(122), 인덕터(124), 션트 커패시터(126)를 포함한다. RF 발생기(110)의 주파수는 소정의 범위(예를 들어, 13.56MHz±5%)로 튜닝될 수 있다. RF 발생기(110) 주파수 커맨드는 전압 정재파비(VSWR)의 값에 기초한다. 독립적 전력 루프 및 VSWR (임피던스) 제어 루프(160')는 RF 발생기(110)의 출력에서의 측정에 기초한다.As shown in FIG. 1B, another
도 1C에 도시한 바와 같이, RF 전력을 동적 로드에 제공하는 또 다른 시스템(100")은 집적된 RF 발생기-임피던스 정합 네트워크(120")를 포함한다. RF 발생기-임피던스 정합 네트워크(120")는 직렬 커패시터(122), 인덕터(124), 다수의 션트 커패시터(126a 내지 126n)를 포함한다. 이 션트 커패시터(126a 내지 126n)들은 커패시터(126)들을 그라운드에 결합 및 결합 해제하는 스위칭 회로(127a 내지 127n)에 결합된다. 이 시스템(100")의 전력 제어 및 주파수 제어(160")는 동시에 행해지지 않는다.As shown in FIG. 1C, another
이러한 종래의 기술 및 방법에는 단점이 존재한다. 종래의 기술 및 방법에서는 적어도 2개의 개별적인 모듈을 필요로 하기 때문에 통상적으로 더 많은 비용이 관련된다. 즉, 전송 라인을 통해 연결되는, 1) RF 발생기/증폭기 및 2) 임피던스 정합 네트워크이다. 게다가, 각 모듈은 RF 전압/전류 센서 또는 크기/위상 검출기를 필요로 한다.There are disadvantages to these conventional techniques and methods. More costs are typically associated with the prior art and methods since they require at least two separate modules. That is, 1) an RF generator / amplifier and 2) an impedance matching network, connected via a transmission line. In addition, each module requires an RF voltage / current sensor or magnitude / phase detector.
플라즈마 임피던스는 플라즈마에 전달되는 전력의 함수이다. 게다가, RF 발생기에 의해 전달되는 전력은 발생기 측에서 보는 임피던스의 함수이다. 그 결과, 전달된 전력 및 로드 임피던스 간에 명백한 순환성 상호 의존성이 존재하여 다입력 다출력(MIMO) 시스템에 크로스 커플링이 발생하게 된다. 종래 기술의 시스템에서는, RF 발생기 제어 루프 및 임피던스 정합 제어 루프가 독립적이고 이에 따라 전력 제어 및 임피던스 정합 제어 루프 간의 크로스 커플링을 보상할 수 없다. 이에 따라 폐루프 성능이 열화된다.Plasma impedance is a function of the power delivered to the plasma. In addition, the power delivered by the RF generator is a function of the impedance seen from the generator side. As a result, there is an apparent cyclic interdependency between the delivered power and the load impedance, resulting in cross coupling in a multi-input multiple output (MIMO) system. In prior art systems, the RF generator control loop and the impedance match control loop are independent and thus cannot compensate for cross coupling between the power control and impedance match control loops. As a result, the closed loop performance is degraded.
임의의 피제어 시스템의 동적 응답은 겨우 최저속 기능성 모듈(예를 들어, 센서, 엑츄에이터, 또는 제어 시스템 파라미터)만큼 빠르다. 종래 기술의 시스템에서, 최저속 기능성 모듈은 통상적으로 DC 전원이다. 특히, RF 전력 증폭기의 입력에 공급되는 DC 전력은 일반적으로 보다 높은 주파수를 필터링하는 데 사용되는 큰 전해 커패시터를 포함한다. 이러한 필터 네트워크를 사용하는 경우의 단점은 제어 갱신율에 상관없이 동적 응답(예를 들어, 전력 커맨드에서 스텝 변경에 대한 응답)이 느리다는 것이다. 따라서, 시스템은 플라즈마 불안정성을 충분히 보상할 수 없다.The dynamic response of any controlled system is only as fast as the slowest functional module (eg sensor, actuator, or control system parameter). In prior art systems, the slowest functional module is typically a DC power supply. In particular, the DC power supplied to the input of the RF power amplifier typically includes a large electrolytic capacitor that is used to filter higher frequencies. The disadvantage of using such a filter network is that the dynamic response (eg, response to step change in power command) is slow regardless of the control update rate. Thus, the system cannot sufficiently compensate for plasma instability.
모터에 의해 구동되는 진공 커패시터를 사용하는 시스템에서, 응답 시간은 수백 밀리초(millisecond)이다. 수백 밀리초 내에 관심 대상인 플라즈마 과도현상이 발생한다는 사실로 인해, 플라즈마 과도현상으로 인한 로드 변경을 정합하는 데 진공 커패시터를 사용할 수 없다.In a system using a vacuum capacitor driven by a motor, the response time is several hundred milliseconds. Due to the fact that the plasma transient of interest occurs within hundreds of milliseconds, it is not possible to use a vacuum capacitor to match the load changes due to the plasma transient.
종래 기술에서 사용되는 네트워크들을 정합하기 위한 제어 알고리즘들은 측정된 임피던스의 실수부 및 허수부에 의존해 왔다. 임피던스 측정 기반 정합 제어에는 고유의 단점이 존재한다. 예를 들어, 임피던스의 실수부를 정정하거나 수정하기 위한 션트 커패시턴스의 변경으로 인해 그 임피던스의 허수부에 불필요한 변경이 발생하게 된다. 마찬가지로, 임피던스의 허수부를 정정하거나 수정하기 위한 직렬 커패시턴스 또는 주파수의 변경으로 인해 그 임피던스의 실수부에 불필요한 변경이 발생하게 된다. (임피던스의 실수부 및 허수부에 의해 공식화된) 피제어 가변 벡터 및 (션트 커패시턴스 및 직렬 커패시턴스 또는 션트 커패시턴스 및 주파수에 의해 공식화된) 제어 가변 벡터에 관한 매트릭스는 대각(non-diagonal)이 아니다. 따라서 임피던스 측정 기반 제어 알고리즘은 효율적이지 못하다. 임피던스의 크기 및 위상 측정을 이용함으로써 공식화된 임피던스에 기초하는 제어 알고리즘도 마찬가지로 비효율적이다.Control algorithms for matching networks used in the prior art have relied on the real and imaginary parts of the measured impedance. There are inherent disadvantages to impedance measurement-based matched control. For example, a change in the shunt capacitance to correct or correct the real part of the impedance results in an unnecessary change in the imaginary part of the impedance. Similarly, a change in series capacitance or frequency to correct or correct the imaginary part of the impedance results in unnecessary changes in the real part of the impedance. The matrix for the controlled variable vector (formulated by the real part and the imaginary part of the impedance) and the control variable vector (formulated by the shunt capacitance and the series capacitance or the shunt capacitance and the frequency) is not non-diagonal. Therefore, impedance measurement based control algorithms are not efficient. Control algorithms based on impedances formulated by using impedance magnitude and phase measurements are likewise inefficient.
종래 기술의 시스템을 위한 미세조정(calibration) 방법은 전자 정합 네트워크의 입력에서 RF 임피던스 분석기 또는 VI 프로브를 미세조정한다. 이러한 미세조정 방법은, 전자 정합 네트워크에서의 전력 손실이 전자 정합 네트워크의 모든 상태 및 동작 주파수에 대하여 고정되어 있다고 가정한다. 그러나, 전자 정합 네트워크의 손실은 전체 시스템 동작에 크게 기여한다.The calibration method for prior art systems fine tunes an RF impedance analyzer or VI probe at the input of an electronic matching network. This fine tuning method assumes that power loss in the electronic matching network is fixed for all states and operating frequencies of the electronic matching network. However, the loss of the electronic matching network contributes greatly to the overall system operation.
이에 따라, 동적 플라즈마에 공급되는 전력 및 이에 관련된 손실을 제어하기 위한 방법 및 시스템을 개선할 필요가 있다.Accordingly, there is a need to improve methods and systems for controlling the power supplied to dynamic plasma and related losses.
동적 로드에 전력을 전달하는 시스템이 제공된다. 이 시스템은, 대략 일정한 전력 개루프 응답을 갖는 DC 전력을 제공하는 전원과, DC 전력을 RF 전력으로 변환하는 전력 증폭기와, RF 전력에 관련된, 전압, 전류, 전압 벡터와 전류 벡터 간의 위상각을 측정하는 센서와, 전력 증폭기의 임피던스를 수정하여 동적 로드의 임피던스와 적어도 대략적으로 정합시키는 전기적 제어가능 임피던스 정합 시스템과, 전기적 제어가능 임피던스 정합 시스템을 제어하는 컨트롤러를 포함한다. 이 시스템은, 전력 증폭기에 의해 전달되는 전력을 결정하는 센서 미세조정 측정 모듈과, 동적 로드에 전달되는 전력을 결정하는 전자 정합 시스템 미세조정 모듈과, 전기적 제어가능 임피던스 정합 시스템에서 소모되는 전력을 계산하는 전력 소모 모듈을 더 포함한다.A system for delivering power to a dynamic load is provided. The system includes a power supply that provides a DC power with an approximately constant power open loop response, a power amplifier that converts DC power to RF power, and a phase angle between the voltage, current, voltage vector, and current vector associated with the RF power. A sensor for measuring, an electrically controllable impedance matching system for modifying the impedance of the power amplifier to at least approximately match the impedance of the dynamic load, and a controller for controlling the electrically controllable impedance matching system. The system calculates the power consumed by the sensor fine-tuning measurement module that determines the power delivered by the power amplifier, the electronic matching system fine-tuning module that determines the power delivered to the dynamic load, and the electrically controllable impedance matching system. It further comprises a power consumption module.
일 실시예에서, 전기적 제어가능 임피던스 정합 시스템은, 인덕터, 인덕터에 직렬로 연결된 커패시터, 동적 로드에 병렬로 연결된 다수의 스위칭(switched) 커패시터를 포함한다. 인덕터는 멀티탭형 인덕터 또는 가변형 인덕터일 수 있다. 다수의 스위칭 커패시터의 각각은 스위치 및 추가 커패시터에 직렬로 연결될 수 있다. 다른 일 실시예에서, 전기적 제어가능 임피던스 정합 시스템은, 커패시터, 동적 로드에 병렬로 연결된 다수의 스위칭 커패시터를 포함할 수 있고, 다수의 스위칭 커패시터의 각각은 스위치 및 추가 커패시터에 직렬로 연결된다. 또 다른 일 실시예에서, 전기적 제어가능 임피던스 정합 시스템은 전력 증폭기 및 동적 로드 간에 정합되는 임피던스의 주파수를 제어할 수 있다.In one embodiment, the electrically controllable impedance matching system includes an inductor, a capacitor connected in series with the inductor, and a plurality of switched capacitors connected in parallel with the dynamic load. The inductor may be a multi-tap inductor or a variable inductor. Each of the plurality of switching capacitors may be connected in series to a switch and an additional capacitor. In another embodiment, an electrically controllable impedance matching system may include a capacitor, a plurality of switching capacitors connected in parallel to a dynamic load, each of the plurality of switching capacitors connected in series to a switch and an additional capacitor. In yet another embodiment, the electrically controllable impedance matching system can control the frequency of the impedance matched between the power amplifier and the dynamic load.
일 실시예에서, 컨트롤러는 전력 증폭기 및 동적 로드 간의 임피던스에 관련된 컨덕턴스 및 서셉턴스의 동시 제어를 위해 전기적 제어가능 임피던스 정합 시스템을 제어할 수 있다. 다른 일 실시예에서, 컨트롤러는 RF 전력 주파수, RF 전력 크기, 전력 증폭기 및 동적 로드 간의 임피던스를 동시에 제어할 수 있다. 또 다른 일 실시예에서, 컨트롤러는 컨덕턴스 및 서셉턴스를 불안정한 동적 로드를 안정화시키는 설정점으로 조정하도록 전기적 제어가능 임피던스 정합 시스템을 제어할 수 있다.In one embodiment, the controller may control an electrically controllable impedance matching system for simultaneous control of conductance and susceptance related to impedance between the power amplifier and the dynamic load. In another embodiment, the controller can simultaneously control the RF power frequency, RF power magnitude, impedance between the power amplifier and the dynamic load. In another embodiment, the controller may control the electrically controllable impedance matching system to adjust the conductance and susceptance to a set point that stabilizes the unstable dynamic load.
전기적 제어가능 임피던스 정합 시스템에서 소모되는 전력은 전력 증폭기에 의해 전달되는 전력 및 동적 로드에 전달되는 전력 간의 차이다. 동적 로드에 전달되는 전력은 저항성 로드에 전달되는 전력 및 로드 시뮬레이터 내부에서 소모되는 전력의 합이다.The power consumed in an electrically controllable impedance matching system is the difference between the power delivered by the power amplifier and the power delivered to the dynamic load. The power delivered to the dynamic load is the sum of the power delivered to the resistive load and the power consumed inside the load simulator.
센서 미세조정 측정 모듈은 센서를 저항성 로드 내로 미세조정하고, 이 저항성 로드는 50Ω이다. 전자 정합 모듈은 전기적 제어가능 임피던스 정합 시스템의 출력을 로드 시뮬레이터 내로 미세조정한다. 로드 시뮬레이터는 역(inverse) 전기적 제어가능 임피던스 정합 시스템일 수 있다. 전자 정합 시스템 미세조정 모듈은, 저항성 로드에 전달되는 전력을 결정하는 전력 측정기 미세조정 모듈, 및 로드 시뮬레이터 내부에서 소모되는 전력을 결정하는 로드 시뮬레이터 미세조정 모듈을 포함할 수 있다. 저항성 로드는 50Ω일 수 있다. 무선 주파수 전력 전달 시스템은 종래 기술의 시스템에 비하여 적어도 다음에 따른 이점들을 제공한다. 본 발명의 시스템은, 고속(예를 들어, 일 실시예에서 50kHz를 초과) 디지털 다입력 다출력(MIMO) 제어를 이용하여, 전력 설정점 조정, 임피던스 정합, 로드 교란 완화를 향상시킬 수 있다. 본 발명의 시스템은, 플라즈마 로드 특성에 과도 변경이 존재하고 빠른 플라즈마 안정화에 관련된 상태 하에서 동작할 수 있다. 본 발명의 시스템은 시스템의 기동 동안 과도현상에 대하여 강인한 RF 전력 전달 시스템을 제공할 수 있다. 본 발명의 시스템은 고 전력 스텝업 비를 제공할 수 있으며, 여기서 고 전력 스텝업 비는 100이다(예를 들어, 15W 내지 1500W). 본 발명의 시스템은 집적된 발생기 시스템의 출력에 연결된 로드에 전달되는 전력을 측정할 수 있다. 본 발명의 시스템은 다양한 피제어 변수들의 상태/값에 관련된 전력 손실 변동에 독립적인 전력을 조정할 수 있다. 본 발명의 시스템은 플라즈마 로드에 대한 레시피(recipe) 기반 미세조정을 필요로 하지 않는다.Sensor fine tuning The measurement module fine tunes the sensor into the resistive rod, which is 50Ω. The electronic matching module fine tunes the output of the electrically controllable impedance matching system into the road simulator. The road simulator may be an inverse electrically controllable impedance matching system. The electronic matching system fine tuning module can include a power meter fine tuning module that determines the power delivered to the resistive load, and a load simulator fine tuning module that determines the power consumed inside the load simulator. The resistive load can be 50Ω. The radio frequency power delivery system provides at least the following advantages over prior art systems. The system of the present invention can improve power setpoint adjustment, impedance matching, and load disturbance mitigation using high speed (eg, greater than 50 kHz in one embodiment) digital multi-input multi-output (MIMO) control. The system of the present invention can operate under conditions in which there is a transient change in the plasma rod characteristics and is involved in fast plasma stabilization. The system of the present invention can provide an RF power delivery system that is robust against transients during system startup. The system of the present invention may provide a high power step up ratio, where the high power step up ratio is 100 (eg, 15 W to 1500 W). The system of the present invention can measure the power delivered to a load connected to the output of the integrated generator system. The system of the present invention can adjust power independent of power loss variations related to the state / value of various controlled variables. The system of the present invention does not require recipe-based fine tuning for the plasma rod.
본 발명의 전술한 그리고 다른 목적들, 특징들, 이점들은, 첨부 도면에 예시되어 있듯이, 본 발명의 바람직한 실시예들의 다음에 따르는 보다 특정한 설명으로부터 명백할 것이다. 도면은 반드시 일정한 비율로 되지 않으며 대신에 본 발명의 원리를 예시하고자 강조된다.The foregoing and other objects, features, and advantages of the present invention will become apparent from the following more detailed description of the preferred embodiments of the present invention, as illustrated in the accompanying drawings. The drawings are not necessarily to scale, emphasis instead being placed upon illustrating the principles of the invention.
도 1A는 종래 기술에 따른 2축 튜닝가능 정합 네트워크를 갖는 RF 전력 전달 시스템을 도시한다.1A illustrates an RF power delivery system with a two-axis tunable matching network according to the prior art.
도 1B는 종래 기술에 따른 고정된 정합 네트워크를 갖는 RF 전력 전달 시스템을 도시한다.1B illustrates an RF power delivery system with a fixed matching network according to the prior art.
도 1C는 종래 기술에 따른 집적된 RF 발생기-임피던스 정합 네트워크를 갖는 RF 전력 전달 시스템을 도시한다.1C shows an RF power delivery system with an integrated RF generator-impedance matching network according to the prior art.
도 2는 모듈 기반의 온챔버(On-Chamber) RF 전력 전달 시스템을 도시한다.2 illustrates a module based on-chamber RF power delivery system.
도 3은 플라즈마 안정성을 도시하는 그래프이다.3 is a graph showing plasma stability.
도 4는 도 2의 패스트 DC 버스의 일 실시예를 도시한다.4 illustrates one embodiment of the fast DC bus of FIG. 2.
도 5는 도 2의 RF 임피던스 분석기 또는 VI 프로브의 일 실시예를 도시한다.5 illustrates one embodiment of the RF impedance analyzer or VI probe of FIG. 2.
도 6은 도 2의 전자 정합 네트워크의 일 실시예를 도시한다.6 illustrates one embodiment of the electronic matching network of FIG. 2.
도 7은 모듈 기반의 도 2의 DSP 보상기 보드의 일 실시예를 도시한다.7 illustrates one embodiment of the DSP compensator board of FIG. 2 based on a module.
도 8은 온챔버 RF 전력 전달 시스템을 미세조정하는 블록도이다.8 is a block diagram of fine tuning an on-chamber RF power delivery system.
도 9A는 전력 측정기를 50Ω 칼로리미터 전력 기준으로 미세조정하는 일 실시예를 도시한다.Figure 9A illustrates one embodiment of fine tuning the power meter on a 50 ohm calorimeter power reference.
도 9B는 로드 시뮬레이터를 DC 전력 기준으로 미세조정하는 일 실시예를 도시한다.9B illustrates one embodiment of fine tuning the load simulator on a DC power basis.
도 9C는 RF 임피던스 분석기를 50Ω 로드로 미세조정하는 일 실시예를 도시한다.9C illustrates one embodiment of fine tuning an RF impedance analyzer with a 50Ω load.
도 9D는 로드 시뮬레이터 내부로 전달되는 전력을 미세조정하는 일 실시예를 도시한다.9D illustrates one embodiment of fine tuning the power delivered into the road simulator.
일반적으로, 동적 로드 애플리케이션(예를 들어, 유도성 및/또는 용량성 플라즈마 로드)을 위한 집적된 무선 주파수(RF) 전력 전달 시스템이 제공된다. 도 2는 집적된 무선 주파수(RF) 전력 전달 시스템(200)을 예시하고 있다. 이 집적된 시스템(200)의 대표적인 기능성 모듈들은, 패스트 DC 버스(210), RF 전력 증폭기(PA; 220), 디지털 신호 프로세서(DSP) 보상기 보드(230), RF 임피던스 분석기 또는 VI 프로브(240), 및 전자 정합 네트워크(250)를 포함한다. 이 시스템(200)은 플라즈마 로드(260)에 결합된다. 집적된 시스템(200)이 넓은 범위의 저항성 로드 및 반응성 로드에 대하여 구현될 수 있다는 것을 당업자라면 이해할 것이다.In general, integrated radio frequency (RF) power delivery systems are provided for dynamic load applications (eg, inductive and / or capacitive plasma loads). 2 illustrates an integrated radio frequency (RF)
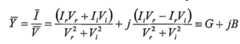
일반적으로, 패스트 DC 버스(210)는 DC 전력을 전력 증폭기(220)에 전달한다. 전력 증폭기(220)는 한 주파수에서 패스트 DC 버스(210)로부터의 DC 전력을 RF 전력으로 변환한다. 전자 정합 시스템(250)은, 션트 커패시터들(도시하지 않음)을 스위칭하여 전력 증폭기(220) 및 플라즈마 로드(260) 간의 임피던스를 정합하여 전력 증폭기(220)로부터 플라즈마 로드(260)로의 안정적이면서 최대 전력 전달을 용이하게 한다. DSP 보상기 보드(230)는, 패스트 버스 컨트롤러(212) 및 RF 임피던스 분석기(240)로부터 수신된 측정에 기초하여 시스템(200)의 동작을 제어한다. RF 임피던스 분석기(240)는 RMS 전압, RMS 전류, RF 전압 벡터 및 RF 전류 벡터 간의 위상각을 측정한다. 이러한 측정에 기초하여, 관련 RF 파라미터들이 DSP 보상기 보드(230)에 의해 계산된다. 이러한 파라미터들은, 임피던스 벡터(), 어드미턴스 벡터(), 전달 전력(), 전압 정재파비(VSWR)를 포함하지만, 이러한 예로 한정되지는 않는다. DSP 보상기 보드의 통상적인 연산들에는, 패스트 버스 컨트롤러(212)를 통한 전력 설정점, 전력 증폭기 드라이버(222)를 통한 RF 전력 주파수 설정점, 및 전자 정합 컨트롤러(252)를 통한 스위칭 주파수가 포함된다.In general,
일 양태에서, 시스템(200)은 전력 및 임피던스의 동시 조정을 달성한다. 독립적 서셉턴스 조정은, 컨덕턴스의 컨덕턴스 설정점으로부터의 편이에만 기초하는 주파수 제어 알고리즘을 구현할 수 있게 한다. 그 결과, 제어 루프들 둘 다가 동시에 그리고 고속으로 동작될 수 있어서 강인성(robustness)이 개선된다. 게다가, 잘 알려져 있는 저압에서의 음전성 플라즈마(예를 들어, 도 3에 도시한 바와 같이 300W 및 5mT에서 SF6)의 불안전성이, 패스트 DC 버스(210)의 동작과 함께 임의의 컨덕턴스 및 서셉턴스 설정점들을 설정함으로써, 안정화될 수 있다.In one aspect,
도 4는 부분적 공명 인버터 전원형 패스트 DC 버스(210)를 도시한다. 패스트 DC 버스(210)는 자신의 관련된 정전력 개루프 응답으로 인해 프로세스 안정성을 제공한다. 패스트 DC 버스(210)는 전체 로드 공간에 대한 FET 활용성을 개선하며 이에 따라 동일한 PA(220)(도 2 참조)를 이용하는 경우 더 많은 전력이 로드에 전달된다. 패스트 DC 버스(210)는 PA(220) 상의 FET들이 안전 모드에서 동작하는 것을 보장하도록 버스 전압을 줄이는 유연성을 허용하는 한편 플라즈마가 소멸되지 않도록 플라즈마에 증가된 전력을 전달할 수 있게 하는 빠른 응답률을 갖는다. 패스트 DC 버스(210)에 대하여 다른 형태들의 토폴로지를 이용할 수 있다. 예를 들어, 공동 계류중인 일부계속출원 및 이것의 부(parent)출원인 2004년 9월 22일자로 출원한 미국 출원번호 제10/947,397호를 참조하기 바라며, 이러한 각 출원의 전체 교시는 본 명세서에 참고로 포함된다.4 shows a partially resonant inverter powered
일 실시예에서, 패스트 DC 버스는, 한 쌍의 스위치(MOSFET; 302a, 302b), 인덕터(L; 306), 커패시터(C; 308), 및 4개의 다이오드(310a, 310b, 310c, 310d)를 포함하는 부분적 공명 인버터(210)일 수 있다. 동작시, 부분적 공명 인버터(210)는 입력 전압을 정현파 또는 다른 알려져 있는 유형의 DC 파형으로 변환한다. 정현파는 인덕터(306) 및 커패시터(308)를 통해 전달되고, 이들의 조합이 LC 필터를 형성하게 되며, 이것은, 다이오드(310c, 310d)에 의해 클램핑되고, 결합되며 변압기 정류기(304)에 의해 정류되고 필터링되어 원하는 DC 전압(전력 설정점)을 얻게 된다. DC 전력 설정점은 DSP 보상기 보드(230)로부터 제공된다(도 2 참조). 원하는 임피던스 설정점은 (어드미턴스라 칭하는) 벡터 인버스(vector inverse)로 특정될 수 있으며 컨덕턴스를 임의의 컨덕턴스 설정점으로 그리고 서셉턴스를 임의의 서셉턴스 설정점으로 동시에 조정한다. 부분 공명 인버터(300)(DC-DC 변환기)의 출력은 RF 전력 발생기/증폭기(220)의 DC 입력에 연결된다.In one embodiment, the fast DC bus comprises a pair of switches (MOSFETs 302a, 302b), an inductor (L; 306), a capacitor (C; 308), and four diodes (310a, 310b, 310c, 310d). It may be a
동작시, 커패시터(308)는 입력 레일(rail) 전압(+Vin)으로 주기적으로 충전되고 커패시터 전류가 플라즈마 로드(260)를 통해 전달되는 동안 방전된다(도 2 참조). 모든 충전 또는 방전 사이클마다 저항성 로드에 축적되는 에너지는 CV2/2이며, 이것은 로드 저항에 무관하다. 따라서, 전력은 FSW x CV2/2이며, 여기서 FSW는 스위칭 주파수이고 V는 입력 전압이다. 인덕터(306)는 커패시터(308)가 유한 시간으로 완전히 충전 및 방전되는 것을 보장한다. 부분적 공명 인버터(300) 설계의 한 가지 이점은 V 및/또는 FSW를 가변함으로써 출력 전압을 제어하는 기능에 있다.In operation, the
도 5는 RF 임피던스 분석기 또는 VI 프로브(240)의 일 실시예를 도시한다. VI 프로브(240)는 DC 전원(242), 분석 보드 어셈블리(244), 및 프로브 헤드 어셈블리(246)를 포함한다. 분석 보드 어셈블리(244)는 프로브 헤드 어셈블리(246)로부터 저 레벨 RF 신호를 수신한다. 프로브 헤드 어셈블리(246)는 2개의 전압 출력을 제공한다. 즉, 1) 프로브 헤드 어셈블리(246)에 존재하는 시변 전계의 전압 표현(전압 신호), 및 2) 프로브 헤드 어셈블리(246)에 존재하는 시변 자계의 전압 표 현(전류 신호)이다. 분석 보드 어셈블리(244)는 프로브 헤드 어셈블리(246)의 2개의 전압 출력을 수신 및 처리하여 RF 파라미터들을 DSP 보상기 보드(230)에 출력한다(도 2 참조). MKS Instruments, Inc. 회사의 VI-Probe-4100 및 VI- Probe-350은 이러한 목적으로 사용될 수 있는 예시적인 분석기들이다.5 illustrates one embodiment of an RF impedance analyzer or
도 6은 전자 정합 네트워크(250)의 일 실시예를 도시한다. 일 실시예에서, 전자 정합 네트워크(250)는, 로드(260)에 직렬로 연결된 인덕턴스(254)(예를 들어, 멀티탭형 컴팩트 인덕터), 고정된 또는 가변 직렬 패딩 커패시터(252), 및 하나 이상의 상위 커패시터(; 258a 내지 258n)들을 대응하는 하위 커패시터(; 258a' 내지 258n')들로 스위칭하는 전계 효과 트랜지스터(FET; 256a 내지 256n)를 포함하고, 이 하위 커패시터들은 그라운드에서 종단된다. 일부 실시예들에서, 전자 정합 네트워크(250)는 로드(260)에 직렬로 연결된 인덕턴스(254)를 포함하지 않는다. 다른 유형의 전자 정합 네트워크를 이용할 수 있다. 예를 들어, 미국 특허번호 제6,887,339호를 참조하기 바라며, 이것의 전체 교시는 본 명세서에 참고로 포함된다.6 illustrates one embodiment of an
도 7은 모듈 기반의 DSP 보상기 보드(230)를 도시한다. DSP 보상기 보드(230)는, 디지털 신호 프로세서(DSP) 및 필드 프로그래머블 게이트 어레이(FPGA) 둘 다를 포함하며, 전체 집적된 시스템(200)을 함께 제어한다. DSP 보상기 보드는, 어드미턴스 보상 모듈(232), 주파수 제어 모듈(234), 전자 정합 제어 모듈(236), RF 전력 계산 모듈(237), RF 전력 제어 모듈(238)을 포함한다. 일반적 으로, DSP 보상기 보드는 VI 프로브(240)로부터의 출력을 수신한다. 어드미턴스 계산 모듈(232)은 VI 프로브 출력을 이용하여 시스템(200)의 어드미턴스를 계산한다. 주파수 제어 모듈(234)은 어드미턴스를 이용하여 전력 증폭기(220)의 주파수를 가변한다. 전자 정합 제어 모듈(236)은 어드미턴스를 이용하여 전자 정합 네트워크(250)의 FET(256)들을 스위칭 온 또는 스위칭 오프한다. RF 전력 계산 모듈(237)은 VI 프로브 출력을 이용하여 시스템(200)의 RF 전력을 계산한다. RF 전력 제어 모듈(234)은 RF 전력 계산을 이용하여 패스트 DC 버스(210)로부터 공급되는 전력을 조정한다. 시스템(200)의 동작의 보다 상세한 설명은 후술되어 있다.7 shows a module based
전력 조정 오브젝티브 및 알고리즘의 일 실시예가 아래와 같이 설명되어 있다. 즉, 오브젝티브는 전달 전력()을 사용자 정의 설정점()으로 조정하는 것이다. 부드러운 천이를 보장하려면, 궤도 발생기를 사용한다. 일 실시예에서, 일차 궤도는 다음과 같이 발생한다.One embodiment of a power regulation objective and algorithm is described below. In other words, the objective is ) To the custom setpoint ( To adjust. To ensure a smooth transition, use an orbital generator. In one embodiment, the primary trajectory occurs as follows.
여기서,는 궤도 시간 상수이고는 원하는 전력 궤도이다. 패스트 버스로 제어되는 전력 변경으로 표현된 전달 전력 제어 알고리즘은 다음과 같은 식으로 주어진다.here, Is the orbital time constant Is the desired power trajectory. The transfer power control algorithm represented by the power change controlled by the fast bus is given by the following equation.
여기서, 및는 각각 비례 이득 및 적분 이득이다.here, And Are proportional gain and integral gain, respectively.
어드미턴스 조정 오브젝티브: 정규화된 어드미턴스 벡터는 다음과 같이 정의된다., 여기서, g는 정규화된 컨덕턴스이고 b는 정규화된 서셉턴스이다. 임피던스 정합 제어 오브젝티브는 다음과 같이 공식화된다. 및, 여기서, gsp 및 bsp는 플라즈마 안정성을 개선하도록 선택되는 임의의 설정점들이다. 전술한 오브젝티브는, 임피던스가 어드미턴스의 역(reciprocal)으로서 정의된다는 점에 주목함으로써, 다음과 같은 관계에 따른 임피던스로 재해석된다.Admittance Adjustment Objective: The normalized admittance vector is defined as Where g is the normalized conductance and b is the normalized susceptance. Impedance match control objective is formulated as And Where gsp and bsp are arbitrary set points selected to improve plasma stability. The above-described objective is reinterpreted as an impedance according to the following relationship by noting that the impedance is defined as the reciprocal of the admittance.
여기서, z는 정규화된 임피던스이고, r 및 x는 각각 저항 및 리액턴스이며, 는 공칭 Rf 증폭기 특징적 임피던스를 나타낸다. 이것은, g->1 및 b->0일 때, R->R0 및 X->0을 얻는다는 점을 따른다.Where z is normalized impedance, r and x are resistance and reactance, respectively, Denotes the nominal Rf amplifier characteristic impedance. This follows that when g-> 1 and b-> 0, R-> R0 and X-> 0 are obtained.
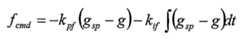
어드미턴스 조정 알고리즘: 주파수 제어 루프는 컨덕턴스 측정을 예를 들어 아래와 같은 PI 제어 알고리즘으로서 이용함으로써 설계된다.Admittance Adjustment Algorithm: The frequency control loop is designed by using conductance measurements as, for example, the PI control algorithm as follows.
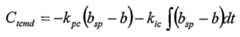
여기서, kpf 및 kif는 스칼라 비례 및 적분 제어 이득들이다. 션트 커패시턴스 제어 루프는 컨덕턴스 측정을 예를 들어 아래와 같은 PI 제어 알고리즘으로서 이용함으로써 설계된다.Where kpf and kif are scalar proportional and integral control gains. The shunt capacitance control loop is designed by using conductance measurement as, for example, the PI control algorithm as follows.
여기서, kpc 및 kic는 스칼라 비례 및 적분 제어 이득들이다.Where kpc and kic are scalar proportional and integral control gains.
동작시, 도 2, 도 3 및 도 6을 참조해 보면, 사용자가 넌제로(non-zero) 설정점을 제공한 후에, 궤도 발생기 및 전력 및 어드미턴스 제어 알고리즘들은 동시에 활성화되고 실행된다. VI 프로브(240)는 RF 전압 및 RF 전류에 비례하는 아날로그 신호들을 제공하고, 이 신호들은 아날로그 대 디지털 변환기들에 의해 동기 샘플링되고, 혼합기 및 CIC 필터(도시하지 않음)에 전송되며 최종적으로 미세조정 매트릭스를 통해 전송되어 다음에 따르는 관계들에 의해 주어지는 RF 전압 및 RF 전류 측정값들을 얻게 된다.In operation, referring to Figures 2, 3 and 6, after the user provides a non-zero set point, the trajectory generator and power and admittance control algorithms are activated and executed simultaneously.
여기서,,는 각각 순간 RF 전압 및 전류의 벡터 표현들을 나타내며, 아래 첨자 r 및 i는 실수부 및 허수부의 스칼라값들을 나타내는 데 사용된다.here, , Represent vector representations of instantaneous RF voltage and current, respectively, and the subscripts r and i are used to represent the scalar values of the real and imaginary parts.
평균 전달 전력은 다음과 같이 계산된다.The average transfer power is calculated as follows.
여기서, Re{}는 벡터의 실수부를 나타내며, 위 첨자 *는 벡터의 복소 공액를 나타낸다.Where Re {} represents the real part of the vector and superscript * represents the complex conjugate of the vector.
이후, 어드미턴스 벡터()는 다음과 같이 계산된다.Then, the admittance vector ( ) Is calculated as
여기서, 컨덕턴스(G) 및 서셉턴스(B)는 어드미턴스()의 실수부 및 허수부이다.Here, the conductance (G) and the susceptance (B) is an admittance ( ) Real part and imaginary part.
정규화된 컨덕턴스(g) 및 정규화된 서셉턴스(b)는 다음과 같이 계산된다.Normalized conductance g and normalized susceptance b are calculated as follows.
여기서, Z0는 RF 증폭기의 특징적 임피던스를 나타낸다. Pdel, g, b의 측정값들은 각각 Pcmd, Fcmd, Ctcmd를 을 위한 제어 알고리즘들에 전송된다.Where Z0 represents the characteristic impedance of the RF amplifier. The measurements of Pdel , g and b are sent to the control algorithms for Pcmd , Fcmd and Ctcmd , respectively.
전자 정합 컨트롤러(252)는 FET(256)들(도 6 참조)을 스위칭하고 이에 따라 션트 커패시터(258)들을 스위칭하여 전력 증폭기(220) 및 동적 로드(260) 간의 임피던스를 정합시킨다. 동적인 기계 부품들이 없기에 더욱 높은 신뢰성을 얻게 된다. 일 실시예에서, 시스템(200)의 스텝 응답은 약 1ms보다 빠르며 그 이유는 응답 속도가 기계적 응답이 아닌 전자적 구성에 의해 좌우되기 때문이다.
주파수 변경으로 인해 컨덕턴스 및 서셉턴스 둘 다에 변경이 발생한다. 그러나, 전송 라인 케이블이 없는 집적된 시스템에 대해선, 션트 커패시턴스의 변경으로 인해 서셉턴스에만 변경이 발생하고 컨덕턴스 값에는 영향을 끼치지 않는다. 따라서, (어드미턴스의 실수부 및 허수부에 의해 공식화된) 피제어 가변 벡터 및 (션트 커패시턴스 및 직렬 커패시턴스 또는 션트 및 주파수에 의해 공식화된) 제어 가변 벡터에 관한 매트릭스는 삼각형이다. 그 결과, 션트 커패시턴스를 가변시킴으로써 독립적인 서셉턴스 조정을 달성한다.The frequency change causes a change in both conductance and susceptance. However, for integrated systems without transmission line cables, the change in shunt capacitance only changes the susceptance and does not affect the conductance value. Thus, the matrix for the controlled variable vector (formulated by the real part and the imaginary part of the admittance) and the control variable vector (formulated by shunt capacitance and series capacitance or shunt and frequency) is a triangle. As a result, independent susceptance adjustment is achieved by varying the shunt capacitance.
독립적 서셉턴스 조정은, 컨덕턴스의 컨덕턴스 설정점으로부터의 편이에만 기초하는 주파수 제어 알고리즘을 구현할 수 있게 한다. 그 결과, 컨덕턴스 기반 주파수 제어 루프 및 서셉턴스 기반 션트 커패시턴스 제어 루프 둘 다가 동시에 그리고 고속으로 동작할 수 있어서, 강인성이 개선된다.Independent susceptance adjustment allows to implement a frequency control algorithm based solely on the deviation from the conductance set point of the conductance. As a result, both the conductance based frequency control loop and the susceptance based shunt capacitance control loop can operate simultaneously and at high speed, thereby improving the robustness.
도 8은 시스템(200)의 효율을 개선하도록 전자 정합 네트워크(250)(도 2 참조)에서 소모되는 전력(손실)을 결정하는 방법의 블록도(300)이다. 스텝 1(310)에선, 전력 측정기(314)(도 9A 참조)를 50Ω 칼로리미터 전력 기준으로 미세조정하여 50Ω 로드에 전달되는 전력을 결정한다. 스텝 2(320)에선, 로드 시뮬레이터 칼로 리미터(332)(도 9B 참조)를 DC 전력 기준으로 미세조정하여 로드 시뮬레이터(342)(도 9D 참조) 내부에서 소모되는 전력을 결정한다. 스텝 3(330)에선, VI 프로브(240)(도 2 참조)를 50Ω 로드로 미세조정하여 전력 증폭기(220)(도 2 참조)에 의해 전달되는 전력을 결정한다. 스텝 4(340)에선, 시스템(200)의 출력을 로드 시뮬레이터(342)로 미세조정하여 ZL = RL + jXL에 전달되는 전력을 결정한다. 스텝 5(350)에선, 전력 증폭기(220)에 의해 전달되는 전력 및 ZL = RL + jXL에 전달되는 전력 간의 차에 의해 전자 정합 시스템에서 소모되는 전력을 계산한다.8 is a block diagram 300 of a method of determining power (loss) consumed in an electronic matching network 250 (see FIG. 2) to improve the efficiency of
도 9A는 전력 측정기(314)를 미세조정하는 스텝(310)의 상세한 구현예를 도시한다. 칼로리미터(322)는 VI 프로브(240)의 출력에 결합되고, RP 전력은 전력 증폭기(220)로부터 인가되며, 전력 측정기(314)가 미세조정된다. 칼로리 측정은 열적 손실의 측정이다. 이것은 칼로리미터(322)에서 50Ω 로드를 열적 절연시켜 주변 열적 손실을 방지하고 냉각수의 유속 및 온도 상승을 측정함으로써 구현된다. 전력 측정기는에 의해 계산되는 로드에서의 전력 소모로 미세조정되고, 여기서, dm/dt는 대량 유속을 나타내며, C는 물의 특정 비열을 나타내며, Tin 및 Tout은 각각 입구(inlet) 및 출구(outlet) 온도를 나타낸다. 컴퓨터(324)는 유속 및 온도 측정값들을 획득하여 전력 측정기의 판독에 대하여 차이(에러) 및 로드에서의 전력 소모를 계산한다. 이후, 컴퓨터(324)는 이러한 에러를 정정값으로서 전력 측정기에 인가하여 미세조정을 완료한다.9A shows a detailed implementation of
도 9B는 로드 시뮬레이터 칼로리미터(332)를 미세조정하기 위한 스텝(320)의 상세한 구현예를 도시한다. 로드 시뮬레이터 칼로리미터(332)는 DC 전원(334)에 결합되고, DC 전력이 인가되며, 로드 시뮬레이터 칼로리미터(332)가 미세조정된다. DC 전원은 DC 전력 측정값들을 공급한다. 냉각 시스템의 입구 및 출구에서의 유속 및 온도 측정값들을 이용함으로써, 컴퓨터(324)는 로드 시뮬레이터에서 소모되는 전력을 계산한다. 이후, 컴퓨터(324)는 DC 전원에 의해 보고되는 전력 및 칼로리미터 방식을 이용하여 계산되는 전력 간의 에러를 정정값으로서 로드 시뮬레이터에 인가하여 미세조정을 완료한다.9B shows a detailed implementation of
도 9C는 RF 임피던스 분석기 또는 VI 프로브(240)를 미세조정하기 위한 스텝(330)의 상세한 구현예를 도시한다. 일반적으로, 집적된 RF 발생기 시스템(200) 내의 각 VI 프로브(240)는, DSP 보상기 보드(230)에 의해 측정되는 VI 프로브 전압 및 전류를 실제 RF 라인 전압 및 전류에 관련시키는 매트릭스 전달 함수를 얻게 하는 다음에 따르는 스텝들을 포함한다.9C shows a detailed implementation of
첫 번째로, 단락 회로 커넥터(312)는 VI 프로브(240)의 RF 라인 출력 단자에 결합되고, RF 전력은 전력 증폭기(220)로부터 인가되고,가 계산되며, 여기서,는 단락 회로용 DSP 보상기 보드(230)에 의해 측정되는 바와 같은 비()로서 정의된다. 두 번째로, 개방 회로 커넥터(314)가 VI 프로브(240)의 RF 라인 출력 단자에 결합되고, RF 전력이 전력 증폭기(220)로부터 인가 되며,가 계산되고, 여기서,는 개방 회로용 DSP 보상기 보드(230)에 의해 측정되는 바와 같은 비()로서 정의된다. 세 번째로, 50Ω 로드(ZL; 316)는 VI 프로브(240)의 출력에 결합되고, RF 전력이 전력 증폭기(220)로부터 인가되고, Vm 및 Im이 기록되며 RF 라인 전압(VL)이 계산되고, 여기서,이다. PL은 50Ω 로드(316)에서 전력 측정기(318)에 의해 측정되는 전달 전력이다. 마지막으로, VI 프로브 미세조정 매트릭스 전달 함수는 다음의 식에 의해 계산된다.First,
수학식 10은 VI 프로브 측정 신호들을 VI 프로브(240)의 출력에서의 RF 라인 전압 및 RF 라인 전류로 번역한다.Equation 10 translates the VI probe measurement signals to RF line voltage and RF line current at the output of
도 9D는 시스템(200)(도 2 참조)을 미세조정하기 위한 스텝(340)의 상세한 구현예를 도시한다. 시스템 레벨 미세조정을 이용하여 네트워크 변수들에 정합하는 값들의 범위에 대하여 전자 정합 네트워크(250)에서의 전력 손실을 정량한다. 로드 시뮬레이터(342)는 전자 정합 네트워크(250)의 출력에 결합된다. 통상적으로, 로드 시뮬레이터는 전자 정합 네트워크(250)에 대하여 역(inverse)인 전자 정 합 네트워크이다. 50Ω 로드는 로드 시뮬레이터(342)의 출력에 결합된다. RF 발생기 시스템(200)의 시스템 레벨 미세조정은 다음과 같이 수행된다. 첫 번째로, 직렬 인덕턴스는스텝()에서 조절된다. 두 번째로, pp 스텝()에서 전력 설정점값이 변경된다. 세 번째로, cc 스텝()에서 션트 커패시턴스 설정점값이 변경된다. 마지막으로, ff 스텝()에서 RF 주파수 값이 변경된다.9D shows a detailed implementation of
전술한 스텝들의 각 조합에 대하여, 로드 시뮬레이터(342)는 전자 정합 네트워크(250)의 출력에서 임피던스 부정합을 제시하도록 설정된다. 다음으로, RF 전력이 전력 증폭기(220)로부터 인가되고 전력 측정기(314)가 종단 로드(312) 저항을 측정한다. 종단 로드 저항은 P50Ω로 표시되고 로드 시뮬레이터(342)의 입력으로 변환된다. 시뮬레이션된 로드는와 같은 Psys로 표시되고, 여기서, C1 및 C2는 로드 시뮬레이터의 직렬 커패시턴스 및 션트 커패시턴스를 나타내고,는 테이블로 된 구성을 나타낸다. 전자 정합 네트워크(250)에서 관련된 손실은 PL 및 P50Ω간의 차이에 의해 계산된다.For each combination of the foregoing steps, the
일부 실시예들에서, 치수를 갖는 미세조정 테이블은 비휘발성 메모리(예를 들어, 플래시 메모리)에로서 저장될 수 있고, 여기서,는 테이블로 된 구성을 나타낸다. 고속 실시간 제어 루프들은 시스템(200)의 동작 동안 미세조정 테이블을 통한 빠른 검색을 필요로 한다. 비휘발성 메모리(예를 들어, 플래시 메모리)는 휘발성 메모리(예를 들어, 다이나믹 RAM)보다 느린 경향이 있다. 고속 휘발성 메모리는 효율적으로 활용되며, 여기서, 미세조정 테이블의 구성(치수)은, Ls, Psp, Ctcmd, f가 얼마나 자주 변경되는 지에 기초할 수 있다. 특히, 미세조정 테이블은 메모리 블록들로 세그먼트화될 수 있다. 즉, 각 블록이 pp 메모리 페이지들을 포함하고, 각 메모리 페이지가 cc x ff 치수 테이블을 포함한다. 새로운 메모리 블록은 Ls가 변경될 때 비휘발성 메모리 내로 로딩될 수 있고, 새로운 메모리 페이지는 전력 설정점이 변경될 때 로딩될 수 있으며, Ctcmd 및 f에 관련된 적합한 메모리 페이지에 대한 미세조정 점들은 실시간으로 실행될 수 있다.In some embodiments, dimensions The reconciliation table can be stored in nonvolatile memory (eg flash memory). Can be stored as Represents a tabular configuration. Fast real-time control loops require a quick search through the fine tuning table during operation of the
본 발명의 바람직한 실시예들을 참조하여 본 발명을 특별히 설명하고 도시하였지만, 당업자라면 청구범위에 의해 포함되는 본 발명의 범위로부터 벗어나지 않고서 본 명세서에서 형태 및 상세에 다양한 변경을 행할 수 있다는 점을 이해할 것이다.Although the invention has been specifically described and illustrated with reference to preferred embodiments thereof, those skilled in the art will understand that various changes may be made in form and detail herein without departing from the scope of the invention as encompassed by the claims. .
| Application Number | Priority Date | Filing Date | Title |
|---|---|---|---|
| US73179705P | 2005-10-31 | 2005-10-31 | |
| US60/731,797 | 2005-10-31 |
| Application Number | Title | Priority Date | Filing Date |
|---|---|---|---|
| KR1020137031679ADivisionKR20130139377A (en) | 2005-10-31 | 2006-10-31 | Radio frequency power delivery system |
| Publication Number | Publication Date |
|---|---|
| KR20080072642Atrue KR20080072642A (en) | 2008-08-06 |
| Application Number | Title | Priority Date | Filing Date |
|---|---|---|---|
| KR1020087010467ACeasedKR20080072642A (en) | 2005-10-31 | 2006-10-31 | High frequency power delivery system |
| KR2020147000034UExpired - LifetimeKR200476063Y1 (en) | 2005-10-31 | 2006-10-31 | Radio frequency power delivery system |
| KR1020137031679AWithdrawnKR20130139377A (en) | 2005-10-31 | 2006-10-31 | Radio frequency power delivery system |
| Application Number | Title | Priority Date | Filing Date |
|---|---|---|---|
| KR2020147000034UExpired - LifetimeKR200476063Y1 (en) | 2005-10-31 | 2006-10-31 | Radio frequency power delivery system |
| KR1020137031679AWithdrawnKR20130139377A (en) | 2005-10-31 | 2006-10-31 | Radio frequency power delivery system |
| Country | Link |
|---|---|
| EP (1) | EP1952533A1 (en) |
| JP (1) | JP5512127B2 (en) |
| KR (3) | KR20080072642A (en) |
| CN (1) | CN101297480B (en) |
| WO (1) | WO2007053569A1 (en) |
| Publication number | Priority date | Publication date | Assignee | Title |
|---|---|---|---|---|
| KR20130086825A (en)* | 2012-01-26 | 2013-08-05 | 세메스 주식회사 | Adjustable capacitor, impedance matching device and substrate treating apparatus |
| Publication number | Priority date | Publication date | Assignee | Title |
|---|---|---|---|---|
| US7755300B2 (en) | 2003-09-22 | 2010-07-13 | Mks Instruments, Inc. | Method and apparatus for preventing instabilities in radio-frequency plasma processing |
| US20080179948A1 (en)* | 2005-10-31 | 2008-07-31 | Mks Instruments, Inc. | Radio frequency power delivery system |
| TWI425767B (en) | 2005-10-31 | 2014-02-01 | Mks Instr Inc | Radio frequency power delivery system |
| US7649363B2 (en)* | 2007-06-28 | 2010-01-19 | Lam Research Corporation | Method and apparatus for a voltage/current probe test arrangements |
| US8847561B2 (en) | 2008-05-07 | 2014-09-30 | Advanced Energy Industries, Inc. | Apparatus, system, and method for controlling a matching network based on information characterizing a cable |
| CN101754566B (en)* | 2008-12-10 | 2012-07-25 | 北京北方微电子基地设备工艺研究中心有限责任公司 | Impedance matching device, impedance matching method and plasma processing system |
| CN102347745A (en)* | 2010-08-04 | 2012-02-08 | 国基电子(上海)有限公司 | Adaptive impedance matching circuit |
| CN102457090A (en)* | 2010-10-14 | 2012-05-16 | 朱斯忠 | Induction charging device |
| TWI455172B (en)* | 2010-12-30 | 2014-10-01 | Semes Co Ltd | Adjustable capacitor, plasma impedance matching device, plasma impedance mathching method, and substrate treating apparatus |
| KR101675625B1 (en)* | 2011-01-04 | 2016-11-22 | 어드밴스드 에너지 인더스트리즈 인코포레이티드 | System level power delivery to a plasma processing load |
| US8576013B2 (en)* | 2011-12-29 | 2013-11-05 | Mks Instruments, Inc. | Power distortion-based servo control systems for frequency tuning RF power sources |
| CN102801433A (en)* | 2012-04-19 | 2012-11-28 | 汤姆逊广播电视技术(北京)有限公司 | Method for tuning adaptive matching network of medium wave broadcast transmission antenna |
| US9685297B2 (en) | 2012-08-28 | 2017-06-20 | Advanced Energy Industries, Inc. | Systems and methods for monitoring faults, anomalies, and other characteristics of a switched mode ion energy distribution system |
| JP6113450B2 (en)* | 2012-09-07 | 2017-04-12 | 株式会社ダイヘン | Impedance adjustment device |
| US9294100B2 (en) | 2012-12-04 | 2016-03-22 | Advanced Energy Industries, Inc. | Frequency tuning system and method for finding a global optimum |
| US10821542B2 (en)* | 2013-03-15 | 2020-11-03 | Mks Instruments, Inc. | Pulse synchronization by monitoring power in another frequency band |
| CN103454489B (en)* | 2013-09-12 | 2016-09-21 | 清华大学 | Calibration method and system for loss power of matching network |
| TWI668725B (en)* | 2013-10-01 | 2019-08-11 | 美商蘭姆研究公司 | Control of etch rate using modeling, feedback and impedance match |
| CN105097397B (en)* | 2014-05-22 | 2018-05-08 | 北京北方华创微电子装备有限公司 | Impedance-matching device and semiconductor processing equipment |
| US10790784B2 (en) | 2014-12-19 | 2020-09-29 | Massachusetts Institute Of Technology | Generation and synchronization of pulse-width modulated (PWM) waveforms for radio-frequency (RF) applications |
| CN107112972B (en)* | 2014-12-19 | 2023-02-14 | 麻省理工学院 | Tunable matching network with phase switching elements |
| US9948265B2 (en)* | 2015-05-14 | 2018-04-17 | Mediatek Inc. | Inductor capacitor tank for resonator |
| US10229816B2 (en)* | 2016-05-24 | 2019-03-12 | Mks Instruments, Inc. | Solid-state impedance matching systems including a hybrid tuning network with a switchable coarse tuning network and a varactor fine tuning network |
| JP2017073772A (en)* | 2016-09-30 | 2017-04-13 | 株式会社ダイヘン | High frequency matching system |
| JP2017073770A (en)* | 2016-09-30 | 2017-04-13 | 株式会社ダイヘン | High frequency matching system |
| CN109150132A (en)* | 2017-06-19 | 2019-01-04 | 展讯通信(上海)有限公司 | Impedance-tumed method, device and mobile terminal |
| KR102504624B1 (en) | 2017-07-07 | 2023-02-27 | 어드밴스드 에너지 인더스트리즈 인코포레이티드 | Inter-period control system for plasma power delivery system and method of operating the same |
| US11615943B2 (en) | 2017-07-07 | 2023-03-28 | Advanced Energy Industries, Inc. | Inter-period control for passive power distribution of multiple electrode inductive plasma source |
| US11651939B2 (en) | 2017-07-07 | 2023-05-16 | Advanced Energy Industries, Inc. | Inter-period control system for plasma power delivery system and method of operating same |
| US11076477B2 (en)* | 2017-10-03 | 2021-07-27 | Mks Instruments, Inc. | Cooling and compression clamp for short lead power devices |
| US12230476B2 (en) | 2017-11-17 | 2025-02-18 | Advanced Energy Industries, Inc. | Integrated control of a plasma processing system |
| KR20250026880A (en) | 2017-11-17 | 2025-02-25 | 에이이에스 글로벌 홀딩스 피티이 리미티드 | Spatial and temporal control of ion bias voltage for plasma processing |
| US11437221B2 (en) | 2017-11-17 | 2022-09-06 | Advanced Energy Industries, Inc. | Spatial monitoring and control of plasma processing environments |
| CN108152696A (en)* | 2017-12-27 | 2018-06-12 | 扬州市神州科技有限公司 | Adaptation dynamic testing method |
| US10672590B2 (en)* | 2018-03-14 | 2020-06-02 | Lam Research Corporation | Frequency tuning for a matchless plasma source |
| KR102348338B1 (en)* | 2019-02-07 | 2022-01-06 | 엠케이에스코리아 유한회사 | The Driving Frequency Control Method of The Pulsed Frequency Variable RF Generator |
| CN115715422A (en) | 2020-06-17 | 2023-02-24 | 朗姆研究公司 | Protection system for switches in direct drive circuit of substrate processing system |
| US11670487B1 (en) | 2022-01-26 | 2023-06-06 | Advanced Energy Industries, Inc. | Bias supply control and data processing |
| US11942309B2 (en) | 2022-01-26 | 2024-03-26 | Advanced Energy Industries, Inc. | Bias supply with resonant switching |
| US12046448B2 (en) | 2022-01-26 | 2024-07-23 | Advanced Energy Industries, Inc. | Active switch on time control for bias supply |
| US11978613B2 (en) | 2022-09-01 | 2024-05-07 | Advanced Energy Industries, Inc. | Transition control in a bias supply |
| KR102760483B1 (en)* | 2022-10-21 | 2025-02-03 | 전북대학교산학협력단 | Impedance adjust circuit |
| Publication number | Priority date | Publication date | Assignee | Title |
|---|---|---|---|---|
| US6424232B1 (en)* | 1999-11-30 | 2002-07-23 | Advanced Energy's Voorhees Operations | Method and apparatus for matching a variable load impedance with an RF power generator impedance |
| US6887339B1 (en)* | 2000-09-20 | 2005-05-03 | Applied Science And Technology, Inc. | RF power supply with integrated matching network |
| US6587019B2 (en)* | 2001-04-11 | 2003-07-01 | Eni Technology, Inc. | Dual directional harmonics dissipation system |
| US6781317B1 (en)* | 2003-02-24 | 2004-08-24 | Applied Science And Technology, Inc. | Methods and apparatus for calibration and metrology for an integrated RF generator system |
| US7312584B2 (en)* | 2004-03-29 | 2007-12-25 | Mitsubishi Electric Corporation | Plasma-generation power-supply device |
| US7477711B2 (en)* | 2005-05-19 | 2009-01-13 | Mks Instruments, Inc. | Synchronous undersampling for high-frequency voltage and current measurements |
| Publication number | Priority date | Publication date | Assignee | Title |
|---|---|---|---|---|
| KR20130086825A (en)* | 2012-01-26 | 2013-08-05 | 세메스 주식회사 | Adjustable capacitor, impedance matching device and substrate treating apparatus |
| Publication number | Publication date |
|---|---|
| KR20140005091U (en) | 2014-09-25 |
| JP2009514176A (en) | 2009-04-02 |
| CN101297480B (en) | 2012-08-08 |
| EP1952533A1 (en) | 2008-08-06 |
| KR200476063Y1 (en) | 2015-01-23 |
| JP5512127B2 (en) | 2014-06-04 |
| WO2007053569A1 (en) | 2007-05-10 |
| CN101297480A (en) | 2008-10-29 |
| KR20130139377A (en) | 2013-12-20 |
| Publication | Publication Date | Title |
|---|---|---|
| KR200476063Y1 (en) | Radio frequency power delivery system | |
| US8633782B2 (en) | Radio frequency power delivery system | |
| US8710926B2 (en) | Radio frequency power delivery system | |
| KR100362598B1 (en) | Electrically tuned matching network using predictor-corrector control systems | |
| CN101180699A (en) | Termination of secondary frequencies in RF power delivery | |
| WO2009024051A1 (en) | Method of realizing the impedance matching of rf and rf impedance matching system | |
| WO2006044722A2 (en) | Apparatus and methods for improving the stability of rf power delivery to a plasma load | |
| CN104377106A (en) | Automatic impedance matching method for plasma reaction chamber | |
| TW202303668A (en) | Power delivery to a plasma via inductive coupling | |
| GB2532901A (en) | Improvements relating to power amplifiers and antennas | |
| KR20030061698A (en) | Transmission-Line Tuned Switching Power Amplifier | |
| EP2709275B1 (en) | An amplifier circuit | |
| US20230039259A1 (en) | Welding Apparatus | |
| CN111193425B (en) | A load-adaptive high-voltage broadband AC power circuit | |
| CN114678924A (en) | Wireless charging staged constant-current and constant-voltage output control method suitable for offset working condition | |
| KR20230073918A (en) | Auto frequency tuning apparatus using impedance table, plasma power apparatus including it and auto frequency tuning mehtod | |
| CN119210379A (en) | An impedance matching device | |
| WO2024249397A1 (en) | System and associated methods for controlling radiofrequency power delivery to plasma processing chamber | |
| TW201438333A (en) | Impedance matching method for plasma system |
| Date | Code | Title | Description |
|---|---|---|---|
| PA0105 | International application | St.27 status event code:A-0-1-A10-A15-nap-PA0105 | |
| R18-X000 | Changes to party contact information recorded | St.27 status event code:A-3-3-R10-R18-oth-X000 | |
| PG1501 | Laying open of application | St.27 status event code:A-1-1-Q10-Q12-nap-PG1501 | |
| P11-X000 | Amendment of application requested | St.27 status event code:A-2-2-P10-P11-nap-X000 | |
| P13-X000 | Application amended | St.27 status event code:A-2-2-P10-P13-nap-X000 | |
| R15-X000 | Change to inventor requested | St.27 status event code:A-3-3-R10-R15-oth-X000 | |
| R16-X000 | Change to inventor recorded | St.27 status event code:A-3-3-R10-R16-oth-X000 | |
| A201 | Request for examination | ||
| PA0201 | Request for examination | St.27 status event code:A-1-2-D10-D11-exm-PA0201 | |
| E902 | Notification of reason for refusal | ||
| PE0902 | Notice of grounds for rejection | St.27 status event code:A-1-2-D10-D21-exm-PE0902 | |
| T11-X000 | Administrative time limit extension requested | St.27 status event code:U-3-3-T10-T11-oth-X000 | |
| T11-X000 | Administrative time limit extension requested | St.27 status event code:U-3-3-T10-T11-oth-X000 | |
| T11-X000 | Administrative time limit extension requested | St.27 status event code:U-3-3-T10-T11-oth-X000 | |
| T11-X000 | Administrative time limit extension requested | St.27 status event code:U-3-3-T10-T11-oth-X000 | |
| P11-X000 | Amendment of application requested | St.27 status event code:A-2-2-P10-P11-nap-X000 | |
| P13-X000 | Application amended | St.27 status event code:A-2-2-P10-P13-nap-X000 | |
| E601 | Decision to refuse application | ||
| PE0601 | Decision on rejection of patent | St.27 status event code:N-2-6-B10-B15-exm-PE0601 | |
| T11-X000 | Administrative time limit extension requested | St.27 status event code:U-3-3-T10-T11-oth-X000 | |
| A107 | Divisional application of patent | ||
| J201 | Request for trial against refusal decision | ||
| PA0104 | Divisional application for international application | St.27 status event code:A-0-1-A10-A18-div-PA0104 St.27 status event code:A-0-1-A10-A16-div-PA0104 | |
| PJ0201 | Trial against decision of rejection | St.27 status event code:A-3-3-V10-V11-apl-PJ0201 | |
| R17-X000 | Change to representative recorded | St.27 status event code:A-3-3-R10-R17-oth-X000 | |
| J301 | Trial decision | Free format text:TRIAL DECISION FOR APPEAL AGAINST DECISION TO DECLINE REFUSAL REQUESTED 20131128 Effective date:20140611 | |
| PJ1301 | Trial decision | St.27 status event code:A-3-3-V10-V15-crt-PJ1301 Decision date:20140611 Appeal event data comment text:Appeal Kind Category : Appeal against decision to decline refusal, Appeal Ground Text : 2008 7010467 Appeal request date:20131128 Appellate body name:Patent Examination Board Decision authority category:Office appeal board Decision identifier:2013101008417 | |
| R18-X000 | Changes to party contact information recorded | St.27 status event code:A-3-3-R10-R18-oth-X000 |