Movatterモバイル変換


[0]ホーム

URL:


KR20070100277A - Substituted indole, compositions containing the same, methods of making the same, and uses thereof - Google Patents

Substituted indole, compositions containing the same, methods of making the same, and uses thereof
Download PDF

Info

Publication number
KR20070100277A
KR20070100277AKR1020077015482AKR20077015482AKR20070100277AKR 20070100277 AKR20070100277 AKR 20070100277AKR 1020077015482 AKR1020077015482 AKR 1020077015482AKR 20077015482 AKR20077015482 AKR 20077015482AKR 20070100277 AKR20070100277 AKR 20070100277A
Authority
KR
South Korea
Prior art keywords
phenyl
carboxamide
ureido
indole
trifluoromethylphenyl
Prior art date
Legal status (The legal status is an assumption and is not a legal conclusion. Google has not performed a legal analysis and makes no representation as to the accuracy of the status listed.)
Withdrawn
Application number
KR1020077015482A
Other languages
Korean (ko)
Inventor
프랑크 할레
까뜨린느 수아이에
미셸 따바르
에릭 바끄
파브리스 비비아니
밥티스트 로낭
쟝-필리프 레딸렉
브뤼노 필로쉐-롬므
Original Assignee
아벤티스 파마 소시에떼아노님
Priority date (The priority date is an assumption and is not a legal conclusion. Google has not performed a legal analysis and makes no representation as to the accuracy of the date listed.)
Filing date
Publication date
Priority claimed from FR0412966Aexternal-prioritypatent/FR2878849B1/en
Application filed by 아벤티스 파마 소시에떼아노님filedCritical아벤티스 파마 소시에떼아노님
Publication of KR20070100277ApublicationCriticalpatent/KR20070100277A/en
Withdrawnlegal-statusCriticalCurrent

Links

Classifications

Landscapes

Abstract

The invention relates to the preparation of substituted indoles, to compositions containing them, to a method for the preparation thereof, and to their use as a medicament, particularly as anticancer agents.

Description

Translated fromKorean
치환된 인돌, 그를 함유하는 조성물, 그의 제조 방법 및 그의 용도 {SUBSTITUTED INDOLES, COMPOSITIONS CONTAINING THEM, METHOD FOR THE PRODUCTION THEREOF AND THEIR USE}Substituted indole, compositions containing the same, methods for their preparation, and uses thereof {SUBSTITUTED INDOLES, COMPOSITIONS CONTAINING THEM, METHOD FOR THE PRODUCTION THEREOF AND THEIR USE}

본 발명은 특히, 신규한 화학 화합물, 특히 신규한 치환된 인돌, 그를 함유하는 조성물, 및 의약 제품으로서의 그의 용도에 관한 것이다.The present invention relates in particular to novel chemical compounds, in particular novel substituted indole, compositions containing them, and their use as pharmaceutical products.

보다 특히, 본 발명은 특정 키나제들의 활성을 조절함으로써 항암 활성을 보이는 신규한 특이적인 인돌 및 4-아자인돌에 관한 것이다.More particularly, the present invention relates to novel specific indole and 4-azaindoles that exhibit anticancer activity by modulating the activity of certain kinases.

현재까지, 화학요법에 사용되는 시판되는 화합물들의 대부분은 심각한 부작용 문제와 환자 내약성을 야기하고 있다. 이들 효과들은 사용된 의약 제품이 암세포에 선택적으로 작용하고, 정상 세포에는 작용하지 않는다면 이러한 효과들은 제한될 수 있다. 그러므로, 화학요법의 부작용을 제한하는 해법들 중 한 가지는 암세포에서 주로 발현되고, 정상 세포에서는 아주 미약하거나 전혀 발현되지 않는 대사 경로 또는 이러한 경로를 구성하는 성분에 작용하는 의약 제품의 사용으로 이루어질 수 있다.To date, most of the commercially available compounds used for chemotherapy cause serious side effects and patient tolerability. These effects may be limited if the drug product used acts selectively on cancer cells and not on normal cells. Therefore, one of the solutions that limit the side effects of chemotherapy may consist of the use of a pharmaceutical product that acts primarily on metabolic pathways that are expressed in cancer cells and very weakly or not at all in normal cells or on components that make up these pathways. .

단백질 키나제는 단백질의 특정 잔기, 예를 들어 티로신, 세린 또는 트레오닌 잔기의 히드록실 기를 인산화하는 것을 촉매하는 효소 군이다. 그러한 인산화는 단백질의 기능을 크게 변형시킬 수 있으며; 그에 따라, 단백질 키나제는 세포 활동, 예를 들어 특정 대사, 세포 증식, 세포 분화, 세포 이동 또는 세포 생존의 조절에 있어서 중요한 역할을 수행한다. 단백질 키나제의 활성이 관련되어 있는 다양한 세포 기능들 중, 일부는 암 관련 질환 및 다른 질환들을 치료하는데 있어서 매력적인 표적이다.Protein kinases are a group of enzymes that catalyze the phosphorylation of hydroxyl groups of certain residues of a protein, such as tyrosine, serine or threonine residues. Such phosphorylation can greatly modify the function of the protein; Thus, protein kinases play an important role in the regulation of cellular activity, such as specific metabolism, cell proliferation, cell differentiation, cell migration or cell survival. Among the various cellular functions in which the activity of protein kinases are involved, some are attractive targets for treating cancer-related and other diseases.

따라서, 본 발명의 목적들 중 한 가지는 특히 특정 키나제에 관하여 작용함으로써 항암 활성을 갖는 조성물을 제공하는 것이다. 활성 조절을 조사한 키나제들 중, KDR 및 Tie2가 바람직하다.Accordingly, one of the objects of the present invention is to provide a composition having anticancer activity, in particular by acting on a specific kinase. Of the kinases investigated for activity regulation, KDR and Tie2 are preferred.

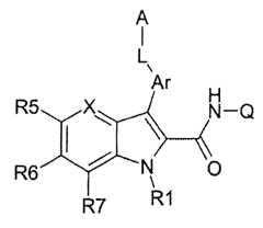
본 발명의 주제가 되는 생성물은 하기 화학식 I에 상응한다:The subject matter of the present invention corresponds to formula (I):

Figure 112007049241203-PCT00001
Figure 112007049241203-PCT00001

상기 식 중,In the above formula,

a) A 및 Ar은 아릴, 헤테로아릴, 치환된 아릴, 치환된 헤테로아릴로 이루어진 군으로부터 독립적으로 선택되고;a) A and Ar are independently selected from the group consisting of aryl, heteroaryl, substituted aryl, substituted heteroaryl;

b) R1은 H 또는 알킬이며, 임의적으로 치환되고;b) R 1 is H or alkyl and optionally substituted;

c) X는 N 또는 N 옥시드 또는 CR12이고;c) X is N or N oxide or CR 12;

d) L은 결합, CO, NH, CO-NH, NH-CO, NH-SO, SO-NH, NH-SO2, SO2-NH, NH-CH2, CH2-NH, CH2-CO-NH, NH-CO-CH2, NH-CH2-CO, CO-CH2-NH, NH-CO-NH, NH-CS-NH, NH-CO-O, O-CO-NH로 이루어진 군으로부터 선택되고;d) L is a bond, CO, NH, CO-NH, NH-CO, NH-SO, SO-NH, NH-SO2 , SO2 -NH, NH-CH2 , CH2 -NH, CH2 -CO From the group consisting of -NH, NH-CO-CH2, NH-CH2 -CO, CO-CH2 -NH, NH-CO-NH, NH-CS-NH, NH-CO-O, O-CO-NH Selected;

e) R5, R6, R7 및 R12는 H, 할로겐, CF3, NO2, R2, CN, O(R2), OC(O)(R2), OC(O)N(R2)(R3), OS(O2)(R2), N(R2)(R3), N=C(R2)(R3), N(R2)C(O)(R3), N(R2)C(O)O(R3), N(R4)C(O)N(R2)(R3), N(R2)C(O)R3N(R4)2, NHC(O)R2N(R3)(R4), N(R4)C(S)N(R2)(R3), N(R2)C(S)R3N(R4)2, NHC(S)R2N(R3)(R4), N(R2)S(O2)(R3), OS(O2)(R3), C(O)(R2), C(O)O(R2), C(O)N(R2)(R3), C(=N(R3))(R2), C(=N(OR3))(R2), S(R2), S(O)(R2), S(O2)(R2), S(O2)O(R2), S(O2)N(R2)(R3)으로 이루어진 군으로부터 각각 독립적으로 선택되고; 여기서, 각각의 R2, R3, R4는 H, 알킬, 알킬렌, 알키닐, 아릴, 알킬아릴, 헤테로아릴, 알킬헤테로아릴, 시클로알킬, 알킬시클로알킬, 헤테로시클릴, 알킬헤테로시클릴, 치환된 알킬, 치환된 알킬렌, 치환된 알키닐, 치환된 아릴, 치환된 헤테로아릴, 치환된 시클로알킬, 치환된 헤테로시클릴로 이루어진 군으로부터 독립적으로 선택되고; R2 및 R3이 R5, R6, R7 및 R12 중 하나 위에 동시에 존재하는 경우, 이들은 서로 연결되어 O, N 및 S로부터 선택되는 0 내지 3개의 헤테로원자들을 포함하는 고리를 형성할 수 있고;e) R5, R6, R7 and R12 are H, halogen, CF3 , NO2 , R2, CN, O (R2), OC (O) (R2), OC (O) N (R2) (R3), OS (O2 ) (R2), N (R2) (R3), N = C (R2) (R3), N (R2) C (O) (R3), N (R2) C (O) O (R3) , N (R4) C (O) N (R2) (R3), N (R2) C (O) R3N (R4)2 , NHC (O) R2N (R3) (R4), N (R4) C (S N (R2) (R3), N (R2) C (S) R3N (R4)2 , NHC (S) R2N (R3) (R4), N (R2) S (O2 ) (R3), OS ( O2 ) (R3), C (O) (R2), C (O) O (R2), C (O) N (R2) (R3), C (= N (R3)) (R2), C ( = N (OR3) (R2), S (R2), S (O) (R2), S (O2 ) (R2), S (O2 ) O (R2), S (O2 ) N (R2 Each independently selected from the group consisting of (R3); Wherein each R 2, R 3, R 4 is H, alkyl, alkylene, alkynyl, aryl, alkylaryl, heteroaryl, alkylheteroaryl, cycloalkyl, alkylcycloalkyl, heterocyclyl, alkylheterocyclyl, substituted Independently selected from the group consisting of alkyl, substituted alkylene, substituted alkynyl, substituted aryl, substituted heteroaryl, substituted cycloalkyl, substituted heterocyclyl; When R2 and R3 are present simultaneously on one of R5, R6, R7 and R12, they can be linked together to form a ring comprising 0 to 3 heteroatoms selected from O, N and S;

f) Q는 H, CH3 및 시클로프로필로부터 선택된다..f) Q is selected from H, CH3 and cyclopropyl.

바람직한 화학식 I의 생성물은 하기 정의에 상응한다:Preferred products of formula (I) correspond to the following definitions:

<화학식 I><Formula I>

Figure 112007049241203-PCT00002
Figure 112007049241203-PCT00002

상기 식 중,In the above formula,

a) A 및 R은 상기에서 정의된 바와 같고;a) A and R are as defined above;

b) R1은 상기에서 정의된 바와 같고;b) R 1 is as defined above;

c) X는 N 또는 CR12이고;c) X is N or CR 12;

d) L은 상기에서 정의된 바와 같고;d) L is as defined above;

e) R5, R6, R7 및 R12는 H, 할로겐, CF3, NO2, R2, CN, O(R2), OC(O)(R2), OC(O)N(R2)(R3), OS(O2)(R2), N(R2)(R3), N=C(R2)(R3), N(R2)C(O)(R3), N(R2)C(O)O(R3), N(R4)C(O)N(R2)(R3), N(R4)C(S)N(R2)(R3), N(R2)S(O2)(R3), OS(O2)(R3), C(O)(R2), C(O)O(R2), C(O)N(R2)(R3), C(=N(R3))(R2), C(=N(OR3))(R2), S(R2), S(O)(R2), S(O2)(R2), S(O2)O(R2), S(O2)N(R2)(R3)으로 이루어진 군으로부터 각각 독립적으로 선택되고; 여기서, 각각의 R2, R3, R4는 상기에서 정의된 바와 같고;e) R5, R6, R7 and R12 are H, halogen, CF3 , NO2 , R2, CN, O (R2), OC (O) (R2), OC (O) N (R2) (R3), OS (O2 ) (R2), N (R2) (R3), N = C (R2) (R3), N (R2) C (O) (R3), N (R2) C (O) O (R3) , N (R4) C (O) N (R2) (R3), N (R4) C (S) N (R2) (R3), N (R2) S (O2 ) (R3), OS (O2 ) (R3), C (O) (R2), C (O) O (R2), C (O) N (R2) (R3), C (= N (R3)) (R2), C (= N (OR3) (R2), S (R2), S (O) (R2), S (O2 ) (R2), S (O2 ) O (R2), S (O2 ) N (R2) ( Each independently selected from the group consisting of R3); Wherein each R 2, R 3, R 4 is as defined above;

f) Q는 상기에서 정의된 바와 같다.f) Q is as defined above.

더욱 바람직한 화학식 I의 생성물은 하기 정의에 상응한다.More preferred products of formula (I) correspond to the following definitions.

<화학식 I><Formula I>

Figure 112007049241203-PCT00003
Figure 112007049241203-PCT00003

상기 식 중,In the above formula,

a) A 및 Ar은 아릴, 헤테로아릴, 치환된 아릴, 치환된 헤테로아릴로 이루어진 군으로부터 독립적으로 선택되고;a) A and Ar are independently selected from the group consisting of aryl, heteroaryl, substituted aryl, substituted heteroaryl;

b) R1은 H이고;b) R 1 is H;

c) X는 CH 또는 N이고;c) X is CH or N;

d) L은 NH-SO2 및 NH-CO-NH로부터 선택되고;d) L is selected from NH-SO2 and NH-CO-NH;

e) R5, R6, R7 및 R12는 H, 할로겐, CF3, NO2, R2, CN, O(R2), OC(O)(R2), OC(O)N(R2)(R3), OS(O2)(R2), N(R2)(R3), N=C(R2)(R3), N(R2)C(O)(R3), N(R2)C(O)O(R3), N(R4)C(O)N(R2)(R3), N(R4)C(S)N(R2)(R3), N(R2)S(O2)(R3), OS(O2)(R3), C(O)(R2), C(O)O(R2), C(O)N(R2)(R3), C(=N(R3))(R2), C(=N(OR3))(R2), S(R2), S(O)(R2), S(O2)(R2), S(O2)O(R2), S(O2)N(R2)(R3)으로 이루어진 군으로부터 각각 독립적으로 선택되고; 여기서, 각각의 R2, R3, R4는 H, 알킬, 알킬렌, 알키닐, 아릴, 알킬아릴, 헤테로아릴, 알킬헤테로아릴, 시클로알킬, 알킬시클로알킬, 헤테로시클릴, 알킬헤테로시클릴, 치환된 알킬, 치환된 알킬렌, 치환된 알키닐, 치환된 아릴, 치환된 헤테로아릴, 치환된 시클로알킬, 치환된 헤테로시클릴로 이루어진 군으로부터 독립적으로 선택되고; R2 및 R3이 R5, R6, R7 및 R12 중 하나 위에 동시에 존재하는 경우, 이들은 서로 연결되어 O, N 및 S로부터 선택되는 하나 이상의 헤테로원자를 임의적으로 함유할 수 있는 고리를 형성할 수 있고;e) R5, R6, R7 and R12 are H, halogen, CF3 , NO2 , R2, CN, O (R2), OC (O) (R2), OC (O) N (R2) (R3), OS (O2 ) (R2), N (R2) (R3), N = C (R2) (R3), N (R2) C (O) (R3), N (R2) C (O) O (R3) , N (R4) C (O) N (R2) (R3), N (R4) C (S) N (R2) (R3), N (R2) S (O2 ) (R3), OS (O2 ) (R3), C (O) (R2), C (O) O (R2), C (O) N (R2) (R3), C (= N (R3)) (R2), C (= N (OR3) (R2), S (R2), S (O) (R2), S (O2 ) (R2), S (O2 ) O (R2), S (O2 ) N (R2) ( Each independently selected from the group consisting of R3); Wherein each R 2, R 3, R 4 is H, alkyl, alkylene, alkynyl, aryl, alkylaryl, heteroaryl, alkylheteroaryl, cycloalkyl, alkylcycloalkyl, heterocyclyl, alkylheterocyclyl, substituted Independently selected from the group consisting of alkyl, substituted alkylene, substituted alkynyl, substituted aryl, substituted heteroaryl, substituted cycloalkyl, substituted heterocyclyl; When R2 and R3 are present simultaneously on one of R5, R6, R7 and R12, they may be linked together to form a ring which may optionally contain one or more heteroatoms selected from O, N and S;

f) Q는 H이다.f) Q is H.

본 발명에 따른 생성물들은 치환기 Q를 가지며, Q는 바람직하게는 H이다.The products according to the invention have a substituent Q and Q is preferably H.

화학식 I의 생성물들에서, Ar-L-A는 유리하게는 하기 화학식과 같다.In the products of formula (I), Ar-L-A is advantageously represented by the formula

Figure 112007049241203-PCT00004
Figure 112007049241203-PCT00004

상기 식 중,In the above formula,

각각의 X1, X2, X3 및 X4는 N 및 C-R11로부터 독립적으로 선택되며, 여기서 R11은 H, 할로겐, NO2, R2, CN, O(R2), OC(O)(R2), OC(O)N(R2)(R3), OS(O2)(R2), N(R2)(R3), N=C(R2)(R3), N(R2)C(O)(R3), N(R2)C(O)O(R3), N(R4)C(O)N(R2)(R3), N(R4)C(S)N(R2)(R3), N(R2)S(O2)(R3), C(O)(R2), C(O)O(R2), C(O)N(R2)(R3), C(=N(R3))(R2), C(=N(OR3))(R2), S(R2), S(O)(R2), S(O2)(R2), S(O2)O(R2), S(O2)N(R2)(R3)으로 이루어진 군으로부터 선택된다.Each X1, X2, X3 and X4 is independently selected from N and C-R11, where R11 is H, halogen, NO2 , R2, CN, O (R2), OC (O) (R2), OC ( O) N (R2) (R3), OS (O2 ) (R2), N (R2) (R3), N = C (R2) (R3), N (R2) C (O) (R3), N (R2) C (O) O (R3), N (R4) C (O) N (R2) (R3), N (R4) C (S) N (R2) (R3), N (R2) S ( O2 ) (R3), C (O) (R2), C (O) O (R2), C (O) N (R2) (R3), C (= N (R3)) (R2), C ( = N (OR3) (R2), S (R2), S (O) (R2), S (O2 ) (R2), S (O2 ) O (R2), S (O2 ) N (R2 ) (R3).

바람직한 치환기 R11은 H, F, Cl, 메틸, NH2, OCF3 및 CONH2로 이루어진 군으 로부터 선택된다.Preferred substituents R 11 are selected from the group consisting of H, F, Cl, methyl, NH2 , OCF3 and CONH2 .

바람직한 치환기 R5, R6, R7 및 R8은 H, 할로겐, 메틸, OCH3, OCF3, OH, NH2, NH(CH2)2OH, NH(CH2)2OCH3, O(CH2)COOH, O(CH2)2COOH, O(CH2)2NH(CH2)2OCH3, O(CH2)2NH(CH2)2OH, 피리딘-3-일카르보닐아미노-, 2-(N,N-디에틸아미노)에톡시, 3-(N,N-디에틸아미노)프로폭시, 2-(피롤리딘-1-일)에톡시, 3-(피롤리딘-1-일)프로폭시, 2-(피페리딘-1-일)에톡시, 3-(피페리딘-1-일)프로폭시, 2-(4-메틸피페라진-1-일)에톡시, 3-(4-메틸피페라진-1-일)프로폭시, 2-(모르폴린-4-일)에톡시 및 3-(모르폴린-4-일)프로폭시로 이루어진 군으로부터 각각 독립적으로 선택된다.Preferred substituents R5, R6, R7 and R8 are H, halogen, methyl, OCH3 , OCF3 , OH, NH2 , NH (CH2 )2 OH, NH (CH2 )2 OCH3 , O (CH2 ) COOH , O (CH2 )2 COOH, O (CH2 )2 NH (CH2 )2 OCH3 , O (CH2 )2 NH (CH2 )2 OH, pyridin-3-ylcarbonylamino-, 2- (N, N-diethylamino) ethoxy, 3- (N, N-diethylamino) propoxy, 2- (pyrrolidin-1-yl) ethoxy, 3- (pyrrolidin-1-yl ) Propoxy, 2- (piperidin-1-yl) ethoxy, 3- (piperidin-1-yl) propoxy, 2- (4-methylpiperazin-1-yl) ethoxy, 3- Each independently selected from the group consisting of (4-methylpiperazin-1-yl) propoxy, 2- (morpholin-4-yl) ethoxy and 3- (morpholin-4-yl) propoxy.

R5 및 R7은 유리하게는 H 및 F로부터 선택된다.R5 and R7 are advantageously selected from H and F.

R6은 바람직하게는 H이다.R6 is preferably H.

바람직한 치환기 L-A는 NH-CO-NH-A, NH-SO2-A 및 NH-CO-CH2-A로부터 선택된다. 특히 효과적인 조합은 L-A가 NHCONH-A인 경우에 얻어진다.Preferred substituents LA are selected from NH-CO-NH-A, NH-SO2 -A and NH-CO-CH2 -A. Particularly effective combinations are obtained when LA is NHCONH-A.

본 발명에 따른 생성물들은 바람직하게는 치환기 A를 가지며, 치환기 A는 페닐, 피리딜, 피리미딜, 피리다지닐, 피라지닐, 티에닐, 푸릴, 피롤릴, 옥사졸릴, 티아졸릴, 이속사졸릴, 이소티아졸릴, 피라졸릴, 이미다졸릴, 인돌릴, 인다조릴, 벤즈이미다졸릴, 벤즈옥사졸릴 및 벤조티아졸릴로 이루어진 군으로부터 선택되며, 이들은 임의적으로 치환된다.The products according to the invention preferably have a substituent A, which is phenyl, pyridyl, pyrimidyl, pyridazinyl, pyrazinyl, thienyl, furyl, pyrrolyl, oxazolyl, thiazolyl, isoxazolyl, Isothiazolyl, pyrazolyl, imidazolyl, indolyl, indazolyl, benzimidazolyl, benzoxazolyl and benzothiazolyl, which are optionally substituted.

더욱 바람직하게는, A는 페닐, 피라졸릴 및 이속사졸릴로부터 선택되며, 이들은 임의적으로 치환된다.More preferably, A is selected from phenyl, pyrazolyl and isoxazolyl, which are optionally substituted.

치환기 A는 매우 유리하게는, 알킬, 할로겐화 알킬, 알킬렌, 알키닐, 아릴, O-알킬, O-시클로알킬, O-아릴, O-헤테로아릴, S-알킬, S-시클로알킬, S-아릴 및 S-헤테로아릴로 이루어진 군으로부터 선택된 제1 치환기로 치환되며, 이들은 각각 임의적으로, (C1-C3)알킬, 할로겐 및 O-(C1-C3)알킬로부터 선택되는 치환기로 치환된다. 치환기 A는 바람직하게는, F, Cl, Br, I, OH, SO3M, COOM, CN, NO2, CON(R8)(R9), N(R8)CO(R9), (C1-C3)알킬-OH, (C1-C3)알킬-N(R8)(R9), (C1-C3)알킬-(R10), (C1-C3)알킬-COOH, N(R8)(R9) 및 O-(C2-C4)알킬-NR8R9로 이루어진 군으로부터 선택되는 제2 치환기로 치환되며; 여기서, R8 및 R9는 H, (C1-C3)알킬, (C1-C3)알킬-OH, (C1-C3)알킬-NH2, (C1-C3)알킬-COOM 및 (C1-C3)알킬-SO3M으로부터 독립적으로 선택되고; R8 및 R9가 동시에 H가 아닌 경우, 이들은 연결되어 N, S 및 O로부터 선택되는 0 내지 3개의 헤테로원자를 함유하는 고리를 형성할 수 있고; M은 H이거나 Li, Na 및 K로부터 선택되는 알칼리 금속 양이온이고; R10은 H이거나, 2 내지 7개의 탄소 원자 및 N, O 및 S로부터 선택되는 1 내지 3개의 헤테로원자를 포함하는 임의적으로 치환된 비방향족 헤테로사이클이다.Substituent A is very advantageously alkyl, halogenated alkyl, alkylene, alkynyl, aryl, O-alkyl, O-cycloalkyl, O-aryl, O-heteroaryl, S-alkyl, S-cycloalkyl, S- Substituted with a first substituent selected from the group consisting of aryl and S-heteroaryl, each of which is optionally substituted with a substituent selected from (C1 -C3 ) alkyl, halogen and O- (C1 -C3 ) alkyl do. Substituent A is preferably F, Cl, Br, I, OH, SO3 M, COOM, CN, NO2 , CON (R8) (R9), N (R8) CO (R9), (C1 -C3 ) alkyl-OH, (C1 -C3 ) alkyl-N (R8) (R9), (C1 -C3 ) alkyl- (R10), (C1 -C3 ) alkyl-COOH, N (R8 ) Is substituted with a second substituent selected from the group consisting of (R9) and O- (C2 -C4 ) alkyl-NR 8 R 9; Wherein R 8 and R 9 are H, (C1 -C3 ) alkyl, (C1 -C3 ) alkyl-OH, (C1 -C3 ) alkyl-NH2 , (C1 -C3 ) alkyl-COOM And (C1 -C3 ) alkyl-SO3 M; When R8 and R9 are not H at the same time, they can be joined to form a ring containing 0 to 3 heteroatoms selected from N, S and O; M is H or an alkali metal cation selected from Li, Na and K; R 10 is H or an optionally substituted non-aromatic heterocycle comprising 2 to 7 carbon atoms and 1 to 3 heteroatoms selected from N, O and S.

특히 바람직한 치환기 A는 페닐, 피라졸릴 및 이속사졸릴로부터 선택되며, 상기 치환기 A는 바람직하게는, 할로겐 (특히, F), (C1-C4)알킬, 할로겐화 (C1-C3)알킬 (특히, CF3), O-(C1-C4)알킬, O-시클로알킬, S-(C1-C4)알킬, S-시클로알킬, 할로 겐화 O-(C1-C4)알킬, 및 할로겐화 S-(C1-C4)알킬로 치환된다.Particularly preferred substituents A are selected from phenyl, pyrazolyl and isoxazolyl, said substituent A preferably being halogen (particularly F), (C1 -C4 ) alkyl, halogenated (C1 -C3 ) alkyl (Particularly CF3 ), O- (C1 -C4 ) alkyl, O-cycloalkyl, S- (C1 -C4 ) alkyl, S-cycloalkyl, halogenated O- (C1 -C4 ) alkyl, and halogenated S- (C1 -C4) is substituted with alkyl.

바람직한 치환기 A는 0, 1, 2, 3, 4 또는 5개의 치환기로 치환된 페닐이며, 상기 치환기들은 알킬, 할로겐화 알킬, 알킬렌, 알키닐, 아릴, O-알킬, O-시클로알킬, O-아릴, O-헤테로아릴, S-알킬, S-시클로알킬, S-아릴, S-헤테로아릴로 이루어진 군으로부터 선택되고; 이들 각각은 임의적으로, (C1-C3)알킬, 할로겐, O-(C1-C3)알킬; 및 F, Cl, Br, I, OH, SO3M, COOM, CN, NO2, CON(R8)(R9), N(R8)CO(R9), (C1-C3)알킬-OH, (C1-C3)알킬-N(R8)(R9), (C1-C3)알킬-(R10), (C1-C3)알킬-COOH, N(R8)(R9), O-(C2-C4)알킬-N(R8)(R9)로부터 선택된 치환기로 치환되고; 여기서, R8 및 R9는 H, (C1-C3)알킬, (C1-C3)알킬-OH, (C1-C3)알킬-NH2, (C1-C3)알킬-COOM, (C1-C3)알킬-SO3M으로부터 독립적으로 선택되고; R8 및 R9가 동시에 H가 아닌 경우, 이들은 연결되어 O, N 및 S로부터 선택되는 0 내지 3개의 헤테로원자를 포함하는 고리를 형성할 수 있고; M은 H 또는 Li, Na 및 K로부터 선택되는 알칼리 금속 양이온이고; R10은 H이거나, 2 내지 7개의 탄소 원자 및 N, O 및 S로부터 선택되는 1 내지 3개의 헤테로원자를 포함하는 임의적으로 치환된 비방향족 헤테로사이클이다.Preferred substituents A are phenyl substituted with 0, 1, 2, 3, 4 or 5 substituents, which substituents are alkyl, halogenated alkyl, alkylene, alkynyl, aryl, O-alkyl, O-cycloalkyl, O- Aryl, O-heteroaryl, S-alkyl, S-cycloalkyl, S-aryl, S-heteroaryl; Each of these optionally comprises (C1 -C3 ) alkyl, halogen, O— (C1 -C3 ) alkyl; And F, Cl, Br, I, OH, SO3 M, COOM, CN, NO2 , CON (R 8) (R 9), N (R 8) CO (R 9), (C1 -C3 ) alkyl-OH, (C1 -C3 ) alkyl-N (R 8) (R 9), (C1 -C3 ) alkyl- (R 10), (C1 -C3 ) alkyl-COOH, N (R 8) (R 9), O Substituted with a substituent selected from-(C2 -C4 ) alkyl-N (R 8) (R 9); Wherein R 8 and R 9 are H, (C1 -C3 ) alkyl, (C1 -C3 ) alkyl-OH, (C1 -C3 ) alkyl-NH2 , (C1 -C3 ) alkyl-COOM , (C1 -C3 ) alkyl-SO3 M independently; When R8 and R9 are not H at the same time, they can be joined to form a ring comprising 0 to 3 heteroatoms selected from O, N and S; M is H or an alkali metal cation selected from Li, Na and K; R 10 is H or an optionally substituted non-aromatic heterocycle comprising 2 to 7 carbon atoms and 1 to 3 heteroatoms selected from N, O and S.

유리하게는, 실시예 1 내지 104의 생성물들이 본 발명의 주제이다.Advantageously, the products of Examples 1 to 104 are the subject of the present invention.

본 발명에 따른 생성물은 하기 형태들 중 임의의 하나의 형태로 존재할 수 있으며, 임의적으로 염화(salify)될 수 있다:The product according to the invention may exist in any one of the following forms and may optionally be salted:

1) 비키랄성 형태, 또는1) achiral form, or

2) 라세미체 형태, 또는2) racemic form, or

3) 한 입체이성질체가 풍부한 형태, 또는3) a form rich in one stereoisomer, or

4) 한 거울상이성질체가 풍부한 형태.4) Forms rich in one enantiomer.

본 발명에 따른 생성물은 병리학적 상태, 특히 암, 또는 혈관신생 탈조절과 관련된 질환, 예를 들어 건선, 만성 염증, 연령 관련 황반 변성, 류마티스성 관절염, 당뇨병성 망막증, 카포시 육종 또는 유아 혈관종을 치료하는데 유용한 의약 제품을 제조하는데 사용될 수 있다.The products according to the invention treat pathological conditions, in particular cancer, or diseases associated with angiogenesis deregulation, such as psoriasis, chronic inflammation, age-related macular degeneration, rheumatoid arthritis, diabetic retinopathy, Kaposi's sarcoma or infant hemangioma It can be used to make a pharmaceutical product useful for.

본 발명은 또한 선택된 투여 방식에 따라 제약학적으로 허용되는 부형제와 함께 본 발명에 따른 생성물을 포함하는 치료적 조성물에 관한 것이다. 본 제약학적 조성물은 고체 또는 액체 형태일 수 있거나, 또는 리포좀 형태일 수 있다.The invention also relates to a therapeutic composition comprising the product according to the invention with a pharmaceutically acceptable excipient according to the mode of administration chosen. The pharmaceutical compositions may be in solid or liquid form or may be in liposome form.

언급될 수 있는 고체 조성물들 중에는 분제, 겔 캡슐제 및 정제가 있다. 또한 포함될 수 있는 경구 형태들 중에는 위의 산성 매질로부터 보호되는 고체 형태가 있다. 고체 형태에 사용되는 지지체는 특히, 무기 지지체, 예를 들어 포스페이트 또는 카르보네이트, 또는 유기 지지체, 예를 들어 락토스, 셀룰로스, 전분 또는 중합체로 이루어진다. 액체 형태는 용액제, 현탁제 또는 분산제로 이루어진다. 이들은 분산 지지체로서 물 또는 유기 용매(에탄올 또는 NMP 등) 또는 계면활성제와 용매 또는 착화제와 용매의 혼합물을 함유한다.Among the solid compositions that may be mentioned are powders, gel capsules and tablets. Among the oral forms that may also be included are solid forms that are protected from the acidic medium of the stomach. The support used in the solid form consists of an inorganic support, for example phosphate or carbonate, or an organic support, for example lactose, cellulose, starch or polymer. The liquid form consists of a solution, suspension or dispersant. These contain water or organic solvents (such as ethanol or NMP) or surfactants and mixtures of solvents or complexing agents with solvents as dispersion supports.

액체 형태는 바람직하게는, 주사용일 것이며, 따라서 그러한 용도에 허용되는 제형을 가질 것이다.The liquid form will preferably be for injection and will therefore have a formulation acceptable for such use.

허용되는 주사 투여 경로에는 정맥내, 복강내, 근육내 및 피하내 경로가 포 함되며, 정맥내 경로가 바람직하다.Acceptable injection routes of administration include intravenous, intraperitoneal, intramuscular and subcutaneous routes, with intravenous routes being preferred.

본 발명의 화합물들의 투여량은 환자에 대한 투여 경로 및 상기 환자의 상태에 따라 전문가에 의해 선택될 것이다.The dosage of the compounds of the present invention will be selected by the expert depending on the route of administration to the patient and the condition of the patient.

본 발명의 화합물들은 단독으로 또는 다른 항암제와의 혼합물로서 투여될 수 있다. 언급될 수 있는 가능한 조합들 중에는 하기를 들 수 있다:The compounds of the present invention can be administered alone or as a mixture with other anticancer agents. Among the possible combinations that may be mentioned are the following:

- 알킬화제, 특히 시클로포스파미드, 멜팔란, 이포스파미드, 클로람부실, 부술판, 티오테파, 프레드니무스틴, 카르무스틴, 로무스틴, 세무스틴, 스트렙토조토신, 데카르바진, 테모졸로마이드, 프로카르바진 및 헥사메틸멜라민Alkylating agents, in particular cyclophosphamide, melphalan, ifosfamide, chlorambucil, busulfan, thiotepa, prednismustine, carmustine, lomustine, semustine, streptozotocin, decarbazine, temozolomide , Procarbazine and hexamethylmelamine

- 백금 유도체, 특히 예를 들어 시스플라틴, 카르보플라틴 또는 옥살리플라틴Platinum derivatives, in particular cisplatin, carboplatin or oxaliplatin

- 항생제, 특히 예를 들어 블레오마이신, 마이토마이신 및 닥티노마이신Antibiotics, in particular for example bleomycin, mitomycin and dactinomycin

- 항미세소관제, 특히 예를 들어 빈블라스틴, 빈크리스틴, 빈데신, 비노렐빈 및 탁소이드(파클리탁셀 및 도세탁셀)Anti-microtubules, in particular for example vinblastine, vincristine, vindesine, vinorelbine and taxoids (paclitaxel and docetaxel)

- 안트라시클린, 특히 예를 들어 독소루비신, 다우노루비신, 이다루비신, 에피루비신, 마이톡산트론 및 로속산트론Anthracyclines, especially for example doxorubicin, daunorubicin, idarubicin, epirubicin, mitoxantrone and roxanthrone

- 토포이소머라제 I 및 II, 예를 들어 에토포사이드, 테니포사이드, 암사크린, 이리노테칸, 토포테칸 및 토무덱스Topoisomerases I and II, for example etoposide, teniposide, amsacrine, irinotecan, topotecan and tomusdex

- 플루오로피리미딘, 예를 들어 5-플루로우라실, UFT 및 플록수리딘Fluoropyrimidines, for example 5-fluorouracil, UFT and phloxuridine

- 시티딘 유사체, 예를 들어 5-아자시티딘, 시타라빈, 젬시타빈, 6-메르캅토뮤린 및 6-티오구아닌Cytidine analogs such as 5-azacytidine, cytarabine, gemcitabine, 6-mercaptomurine and 6-thioguanine

- 아데노신 유사체, 예를 들어 펜토스타틴, 시타라빈 또는 플루다라빈 포스페이트Adenosine analogs, for example pentostatin, cytarabine or fludarabine phosphate

- 메토트렉세이트 및 폴린산Methotrexate and folic acid

- 효소 및 다양한 화합물, 예를 들어 L-아스파라기나제, 히드록시우레아, 트랜스-레티노산, 수라민, 덱스라족산, 아미포스틴 및 헤르셉틴, 및 에스트로겐성 및 안드로겐성 호르몬Enzymes and various compounds, such as L-asparaginase, hydroxyurea, trans-retinoic acid, suramin, dexlaoxanes, amifostine and herceptin, and estrogen and androgenic hormones

- 항혈관제, 예를 들어 콤브레타스타틴 또는 콜히친 유도체, 및 이들의 프로드럭.Antivascular agents such as combretastatin or colchicine derivatives, and prodrugs thereof.

본 발명의 화합물들을 방사선 치료와 조합하는 것 또한 가능하다. 이들 치료들은 동시에, 분리되어 또는 순차적으로 적용될 수 있다. 치료는 처치될 환자에 따라 전문가에 의해 선택될 것이다.It is also possible to combine the compounds of the present invention with radiation therapy. These treatments can be applied simultaneously, separately or sequentially. Treatment will be selected by the expert depending on the patient to be treated.

본 발명의 생성물들은 특정 키나제들을 억제하는 약제로서 유용하다. KDR, Tie2, 오로라(Aurora)1, 오로라2, FAK, PDGFR, FLT1, FGFR 및 VEGF-R3이 본 발명의 생성물들이 억제제로서 특히 유용할 키나제들이다. 이들 키나제들 중, KDR 및 Tie2가 바람직하다. 본 발명의 생성물들 중, X가 질소 원자인 화학식 I의 생성물들이 KDR, Tie2 및 FAK의 억제제로서 바람직하다.The products of the present invention are useful as agents for inhibiting certain kinases. KDR, Tie2, Aurora1, Aurora2, FAK, PDGFR, FLT1, FGFR and VEGF-R3 are kinases in which the products of the invention will be particularly useful as inhibitors. Of these kinases, KDR and Tie2 are preferred. Among the products of the invention, products of formula (I) wherein X is a nitrogen atom are preferred as inhibitors of KDR, Tie2 and FAK.

상기 키나제들이 선택된 이유들은 다음과 같다:The reasons why the kinases were selected are as follows:

KDRKDR

VEGF-R2(혈관 내피 성장 인자 수용체 2)라고도 불리는 KDR(키나제 삽입 도메인 수용체)는 본질적으로 내피 세포에서 발현된다. 이 수용체는 혈관신생 성장 인 자 VEGF에 결합하고, 그에 따라 그의 세포내 키나제 도메인을 활성화시킴으로써 신호전달 매개자로서 작용한다. VEGF-R2의 키나제 활성을 직접적으로 억제하면, 외인성 VEGF(혈관 내피 성장 인자)의 존재 하에서 혈관신생 현상을 감소시킬 수 있다(문헌 [Strawn et al., Cancer Research, 1996, vol. 56, p. 3540 3545]). 이러한 과정은 특히 VEGF-R2 돌연변이에서 보여졌다(문헌 [Millauer et al., Cancer Research, 1996, vol. 56, p. 1615 1620]). VEGF-R2 수용체는 성인에 있어서 VEGF의 혈관신생 활성에 관련되지 않은 기능은 갖고 있지 않은 것으로 보인다. 결과적으로, VEGF-R2의 키나제 활성에 대한 선택적인 억제제는 약한 독성만을 보일 것이다.KDR (kinase insertion domain receptor), also called VEGF-R2 (vascular endothelial growth factor receptor 2), is essentially expressed in endothelial cells. This receptor binds to angiogenic growth factor VEGF and thus acts as a signaling mediator by activating its intracellular kinase domain. Direct inhibition of kinase activity of VEGF-R2 can reduce angiogenesis in the presence of exogenous VEGF (vascular endothelial growth factor) (Strawn et al., Cancer Research, 1996, vol. 56, p. 3540 3545]). This process has been particularly shown in VEGF-R2 mutations (Millauer et al., Cancer Research, 1996, vol. 56, p. 1615 1620). The VEGF-R2 receptor does not appear to have a function not related to the angiogenic activity of VEGF in adults. As a result, selective inhibitors of the kinase activity of VEGF-R2 will show only mild toxicity.

동적인 혈관신생 과정에서의 중심적인 역할 뿐 아니라, 최근의 연구들은 VEGF 발현이 화학요법 및 방사선요법 후의 종양 세포의 생존에 기여하는 것이라고 주장하였으며, 이는 KDR 억제제와 다른 약제들의 상승작용의 가능성을 강조하는 것이다(문헌 [Lee et al., Cancer Research, 2000, vol. 60, p. 5565 5570]).In addition to a central role in the dynamic angiogenesis process, recent studies have argued that VEGF expression contributes to the survival of tumor cells after chemotherapy and radiotherapy, highlighting the potential for synergism of KDR inhibitors and other drugs. (Lee et al., Cancer Research, 2000, vol. 60, p. 5565 5570).

Tie2Tie2

Tie2 (TEK)는 티로신 키아제 수용체 족의 구성원이며, 본질적으로 내피 세포에서 발현된다. Tie2는 수용체의 자가인산화 및 세포 신호전달을 촉진하는 작용제(안지오포이에틴 1 또는 Ang1)(문헌 [S. Davis et al. (1996) Cell 87, 1161 1169] 및 길항제(안지오포이에틴 2 또는 Ang2)(문헌 [P.C. Maisonpierre et al. (1997) Science 227, 55 60] 모두가 알려진 티로신 키나제 활성을 갖는 첫 번째 수용체이다. 안지오포이에틴 1은 신혈관형성의 최종 단계에서 VEGF와 상승 작용을 보일 수 있다[Asahara T. Circ. Res. (1998) 233 240]. Tie2 발현 또는 Ang1 발현에 대한 녹아웃 실험 및 트랜스제닉 조작은 혈관형성 결핍을 보이는 동물을 야기한다(문헌 [D.J. Dumont et al. (1994) Genes Dev. 8, 1897 1909 및 C. Suri (1996) Cell 87, 1171 1180]). Ang1이 그의 수용체에 결합하면, Tie2의 키나제 도메인의 자가인산화를 야기하며, 이는 신혈관형성 및 혈관주위세포 및 평활근 세포의 혈관 동원 및 혈관과의 상호작용에 필수적이며; 이러한 현상들은 새로 형성된 혈관의 성숙 및 안정성에 기여한다(문헌 [P.C. Maisonpierre et al. (1997) Science 227, 55 60]. 문헌 [Lin et al. (1997) J. Clin. Invest. 100, 8: 2072 2078] 및 [Lin P. (1998) PNAS 95, 8829 8834]은 유방암 및 흑색종 제노그래프 모델에서 Tie2(Tek)의 세포외 도메인을 아데노바이러스 감염시키거나 주사하였을 때, 종양 성장 및 혈관형성이 억제되었고, 폐 전이가 감소되었음을 보여주었다.Tie2 (TEK) is a member of the tyrosine kinase receptor family and is essentially expressed in endothelial cells. Tie2 is an agent that promotes autophosphorylation and cellular signaling (Angiopoietin 1 or Ang1) (S. Davis et al. (1996) Cell 87, 1161 1169) and antagonists (Angiopoietin 2 or Ang2) (PC Maisonpierre et al. (1997) Science 227, 55 60) are all first receptors with known tyrosine kinase activity. Angiopoietin 1 has a synergistic effect with VEGF in the final stage of neovascularization. Asahara T. Circ.Res. (1998) 233 240. Knockout experiments and transgenic manipulations on Tie2 expression or Ang1 expression result in animals showing angiogenic deficiency (DJ Dumont et al. 1994) Genes Dev. 8, 1897 1909 and C. Suri (1996) Cell 87, 1171 1180) .When Ang1 binds to its receptor, it causes autophosphorylation of the kinase domain of Tie2, which leads to neovascularization and perivascular angiogenesis Essential for vascular recruitment and interaction with blood vessels of cells and smooth muscle cells These phenomena contribute to the maturation and stability of newly formed blood vessels (PC Maisonpierre et al. (1997) Science 227, 55 60). Lin et al. (1997) J. Clin. Invest. 100, 8: 2072 2078 and [Lin P. (1998) PNAS 95, 8829 8834] describe tumor growth and blood vessels when adenovirus infected or injected with the extracellular domain of Tie2 (Tek) in breast cancer and melanoma genograph models. Formation was inhibited and lung metastasis was reduced.

Tie2 억제제는 신혈관형성이 부적절하게 일어나는 경우(즉, 당뇨병성 망막증, 만성 염증, 건선, 카포시 육종, 황반 변성에 따른 만성 신혈관형성, 류마티스성 관절염, 유아 혈관종 및 암)에 사용될 수 있다.Tie2 inhibitors can be used in cases where neovascularization is inadequate (ie diabetic retinopathy, chronic inflammation, psoriasis, Kaposi's sarcoma, chronic neovascularization following macular degeneration, rheumatoid arthritis, infantile hemangioma and cancer).

FAKFAK

FAK(국소 부착 키나제)는 이종이량체성 세포 부착 수용체의 족인 인테그린에 의해 전달되는 신호 전달에 있어서 중요한 역할을 하는 세포질 티로신 키나제이다. FAK 및 인테그린은 부착 플라크(adhesion plaque)라고 불리는 막주변 구조에 함께 위치한다. 많은 세포 유형들에서, 티로신 잔기에서의 FAK 및 그의 인산화의 활성화, 및 특히 티로신 397에서의 자가인산화의 활성화는 이들의 세포외 리간드에 인 테그린이 결합하는 것에 의존적이며, 그에 따라 세포 부착 동안에 유도된다는 것이 증명되었다(문헌 [Kornberg L, et al. J. Biol. Chem. 267(33): 23439-442. (1992)]). 티로신 397에서의 FAK의 자가인산화는 그의 SH2 도메인을 통해 다른 티로신 키아제인 Src에 대한 결합 자리를 제공한다(문헌 [Schaller et al. Mol. Cell. Biol. 14: 1680 1688, 1994]; [Xing et al. Mol. Cell. Biol. 5: 413 421, 1994]). 그리고 나면, Src는 티로신 925에서 FAK를 인산화할 수 있게 되고, 그에 따라 Grb2 어댑터 단백질을 불러들이고, 특정 세포들에서는, 세포 증식 조절에 관여하는 ras 및 MAP 키나제 경로의 활성화를 유도할 수 있게 된다(문헌 [Schlaepfer et al. Nature; 372: 786-791, 1994]; [Schlaepfer et al. Prog. Biophy. Mol. Biol. 71: 435 478, 1999]; [Schlaepfer and Hunter, J. Biol. Chem. 272: 13189-13195, 1997]). FAK의 활성화는 또한 jun NH2-말단 키나제(JNK) 신호전달 경로를 유도하고, 세포 주기의 G1 기로 세포가 들어가게 할 수 있다(문헌 [Otkay et al. J. Cell. Biol. 145: 1461-1469, 1999]). 포스파티딜이노시톨-3-OH 키나제(PI3-키나제)는 또한, 티로신 397에서 FAK에 결합하며, 이 상호작용은 PI3-키나제의 활성화에 필수적일 수 있다(문헌 [Chen 및 Guan, Proc. Nat. Acad. Sci. USA 91: 10148-10152, 1994]; [Ling et al. J. Cell, Biochem. 73: 533-544, 1999]). FAK/Src 복합체는 섬유아세포에서 팍실린 및 p130CAS와 같은 다양한 기질들을 인산화시킨다(문헌 [Vuori et al. Mol. Cell. Biol. 16: 2606-2613, 1996]).FAK (Local Attachment Kinase) is a cytoplasmic tyrosine kinase that plays an important role in signal transduction delivered by integrins, a family of heterodimeric cell adhesion receptors. FAK and integrins are co-located in a perimembrane structure called an adhesion plaque. In many cell types, activation of FAK and its phosphorylation at tyrosine residues, and in particular autophosphorylation at tyrosine 397, is dependent on the binding of integrins to their extracellular ligands and thus induced during cell attachment. (Kornberg L, et al. J. Biol. Chem. 267 (33): 23439-442. (1992)). Autophosphorylation of FAK at tyrosine 397 provides a binding site for another tyrosine kinase Src via its SH2 domain (Schaller et al. Mol. Cell. Biol. 14: 1680 1688, 1994); Xing et al. Mol. Cell. Biol. 5: 413 421, 1994]. Src can then phosphorylate FAK at tyrosine 925, thereby importing Grb2 adapter proteins and in certain cells, inducing activation of the ras and MAP kinase pathways involved in cell proliferation regulation ( Schlaepfer et al. Nature; 372: 786-791, 1994; Schlaepfer et al. Prog. Biophy. Mol. Biol. 71: 435 478, 1999; Schlaepfer and Hunter, J. Biol. Chem. 272 : 13189-13195, 1997]. Activation of FAK can also induce the jun NH2 -terminal kinase (JNK) signaling pathway and allow cells to enter the G1 phase of the cell cycle (Otkay et al. J. Cell. Biol. 145: 1461-1469 , 1999]). Phosphatidylinositol-3-OH kinase (PI3-kinase) also binds to FAK at tyrosine 397, and this interaction may be essential for the activation of PI3-kinase (see Chen and Guan, Proc. Nat. Acad. Sci. USA 91: 10148-10152, 1994; Ling et al. J. Cell, Biochem. 73: 533-544, 1999). The FAK / Src complex phosphorylates various substrates such as paxillin and p130CAS in fibroblasts (Vuori et al. Mol. Cell. Biol. 16: 2606-2613, 1996).

많은 연구들의 결과들은 FAK 억제제가 암을 치료하는데 유용할 수 있다는 가 설을 뒷받침한다. 연구들은 FAK가 시험관 내에서 세포 증식 및/또는 생존에 있어서 중요한 역할을 수행할 수 있다는 것을 제안하였다. 예를 들어, CHO 세포에서, 어떤 저자들은 p125FAK의 과발현이 G1에서 S로의 전이를 가속화시킨다는 것을 입증하였으며, 이는 p125FAK가 세포 증식을 촉진한다는 것을 시사한다(문헌 [Zhao J.-H et al. J. Cell. Biol. 143: 1997-2008, 1998]). 다른 저자들은 FAK 안티센스 올리고뉴클레오티드로 처리된 종양 세포가 부착 능력을 상실하고, 아폽토시스로 들어간다는 것을 보였다(문헌 [Xu et al. Cell Growth 디ffer. 4: 413-418, 1996]). FAK가 시험관 내에서 세포 이동을 촉진한다는 것 또한 입증되었다. 따라서, FAK 발현이 결핍된 섬유아세포(FAK "녹아웃" 마우스)는 둥글어진 형태, 및 주화성 신호에 대한 세포 이동의 결핍을 보였고, 이들 결함들은 FAK를 재발현시킴으로써 제거되었다(문헌 [DJ. Sieg et al., J. Cell, Science. 112: 2677-91, 1999]). FAK의 C-말단 도메인(FRNK)의 과발현은 시험관 내에서 부착 세포의 신장을 차단하였고, 세포 이동을 감소시켰다(문헌 [Richardson A. and Parsons J.T. Nature. 380: 538-540, 1996]). CHO 또는 COS 세포 또는 인간 성상세포종 세포에서의 FAK의 과발현은 세포들의 이동을 촉진시켰다. 많은 세포 유형들에 있어서, 시험관 내에서 세포 증식 및 이동을 촉진하는데 FAK가 관련되어 있다는 것은 FAK가 신생물 과정에 있어서 잠재적인 역할을 갖는다는 것을 시사한다. 최근의 연구는 인간 성상세포종 세포에서 FAK 발현을 유도한 후 생체 내에서 종양 세포의 증식이 증가하였다는 것을 효과적으로 입증하였다(문헌 [Cary L.A. et al. J. Cell Sci. 109: 1787-94, 1996]; [Wang D et al. J. Cell Sci. 113: 4221-4230, 2000]). 뿐만 아니라, 인간 생검의 면역 조직화학적 연구는 FAK가 전립선 암, 유방암, 갑상선암, 대장암, 흑색종, 뇌암 및 폐암에서 과발현되고, FAK 발현 수준은 대부분의 공격적인 표현형을 보이는 종양들과 직접적인 상관관계를 보인다는 것을 입증하였다(문헌 [Weiner TM, et al. Lancet. 342 (8878): 1024-1025, 1993]; [Owens et al. Cancer Research. 55: 2752-2755, 1995]; [Maung K. et al. Oncogene. 18: 6824-6828, 1999]; [Wang D et al. J. Cell Sci. 113: 4221-4230, 2000]).The results of many studies support the hypothesis that FAK inhibitors may be useful in treating cancer. Studies have suggested that FAK may play an important role in cell proliferation and / or survival in vitro. For example, in CHO cells, some authors have demonstrated that overexpression of p125FAK accelerates the transition from G1 to S, suggesting that p125FAK promotes cell proliferation (Zhao J.-H et al. J. Cell Biol. 143: 1997-2008, 1998]. Other authors have shown that tumor cells treated with FAK antisense oligonucleotides lose adherence and enter apoptosis (Xu et al. Cell Growth Differ. 4: 413-418, 1996). It has also been demonstrated that FAK promotes cell migration in vitro. Thus, fibroblasts lacking FAK expression (FAK "knockout" mice) showed rounded morphology and lack of cell migration to chemotactic signals, and these defects were eliminated by re-expressing FAK (DJ. Sieg et al., J. Cell, Science. 112: 2677-91, 1999]. Overexpression of the C-terminal domain (FRNK) of FAK blocked elongation of adherent cells in vitro and reduced cell migration (Richardson A. and Parsons J. T. Nature. 380: 538-540, 1996). Overexpression of FAK in CHO or COS cells or human astrocytoma cells promoted the migration of cells. For many cell types, the involvement of FAK in promoting cell proliferation and migration in vitro suggests that FAK has a potential role in neoplastic processes. Recent studies have effectively demonstrated the increased proliferation of tumor cells in vivo after inducing FAK expression in human astrocytoma cells (Cary LA et al. J. Cell Sci. 109: 1787-94, 1996 Wang D et al. J. Cell Sci. 113: 4221-4230, 2000). In addition, immunohistochemical studies in human biopsies have shown that FAK is overexpressed in prostate cancer, breast cancer, thyroid cancer, colorectal cancer, melanoma, brain cancer, and lung cancer, and FAK expression levels correlate directly with most aggressive phenotypes. (Weiner TM, et al. Lancet. 342 (8878): 1024-1025, 1993); Owens et al. Cancer Research. 55: 2752-2755, 1995; Maung K. et. al. Oncogene. 18: 6824-6828, 1999; Wang D et al. J. Cell Sci. 113: 4221-4230, 2000).

정의Justice

용어 "할로겐"은 F, Cl, Br 및 I로부터 선택되는 원소를 의미한다.The term "halogen" means an element selected from F, Cl, Br and I.

용어 "알킬"은 1 내지 12개의 탄소 원자를 함유하는 포화된, 선형 또는 분지형 탄화수소계 치환기를 의미한다. 치환기 메틸, 에틸, 프로필, 1-메틸에틸, 부틸, 1-메틸프로필, 2-메틸프로필, 1,1-디메틸에틸, 펜틸, 1-메틸부틸, 2-메틸부틸, 3-메틸부틸, 1,1-디메틸프로필, 1,2-디메틸프로필, 2,2-디메틸프로필, 1-에틸프로필, 헥실, 1-메틸펜틸, 2-메틸펜틸, 1-에틸부틸, 2-에틸부틸, 3,3-디메틸부틸, 헵틸, 1-에틸펜틸, 옥틸, 노닐, 데실, 운데실 및 도데실이 알킬 치환기의 예들이다.The term "alkyl" means a saturated, linear or branched hydrocarbon-based substituent containing 1 to 12 carbon atoms. Substituent methyl, ethyl, propyl, 1-methylethyl, butyl, 1-methylpropyl, 2-methylpropyl, 1,1-dimethylethyl, pentyl, 1-methylbutyl, 2-methylbutyl, 3-methylbutyl, 1, 1-dimethylpropyl, 1,2-dimethylpropyl, 2,2-dimethylpropyl, 1-ethylpropyl, hexyl, 1-methylpentyl, 2-methylpentyl, 1-ethylbutyl, 2-ethylbutyl, 3,3- Dimethylbutyl, heptyl, 1-ethylpentyl, octyl, nonyl, decyl, undecyl and dodecyl are examples of alkyl substituents.

용어 "알킬렌"은 하나 이상의 불포화를 함유하고, 2 내지 12개의 탄소 원자를 함유하는 선형 또는 분지형 탄화수소계 치환기를 의미한다. 에틸레닐, 1-메틸에틸레닐, 프로프-1-에닐, 프로프-2-에닐, Z-1-메틸프로프-1-에닐, E-1-메틸프로프-1-에닐, Z-1,2-디메틸프로프-1-에닐, E-1,2-디메틸프로프-1-에닐, 부트-1,3-디에닐, 1-메틸리데닐프로프-2-에닐, Z-2-메틸-부트-1,3-디에닐, E-2-메틸부트-1,3-디에닐, 2-메틸-1-메틸리데닐프로프-2-에닐, 운데크-1-에닐 및 운데크-10-에닐이 알 킬렌 치환기의 예들이다.The term "alkylene" means a linear or branched hydrocarbon-based substituent containing at least one unsaturation and containing 2 to 12 carbon atoms. Ethylenyl, 1-methylethylenyl, prop-1-enyl, prop-2-enyl, Z-1-methylprop-1-enyl, E-1-methylprop-1-enyl, Z-1 , 2-dimethylprop-1-enyl, E-1,2-dimethylprop-1-enyl, but-1,3-dienyl, 1-methylidedenylprop-2-enyl, Z-2- Methyl-but-1,3-dienyl, E-2-methylbut-1,3-dienyl, 2-methyl-1-methylidedenylprop-2-enyl, undec-1-enyl and undec -10-enyl is an example of an alkylene substituent.

용어 "알키닐"은 인접 탄소 원자 쌍이 갖는 둘 이상의 불포화를 함유하고, 2 내지 12개의 탄소 원자를 함유하는 선형 또는 분지형 탄화수소계 치환기를 의미한다. 치환기 에티닐; 프로프-1-이닐; 프로프-2-이닐; 및 부트-1-이닐이 알키닐 치환기의 예들이다.The term "alkynyl" refers to a linear or branched hydrocarbon-based substituent containing at least two unsaturations possessed by adjacent carbon atom pairs and containing from 2 to 12 carbon atoms. Substituent ethynyl; Prop-1-ynyl; Prop-2-ynyl; And but-1-ynyl are examples of alkynyl substituents.

용어 "아릴"은 6 내지 14개의 탄소 원자를 함유하는 모노시클릭 또는 폴리시클릭 방향족 치환기를 의미한다. 치환기 페닐, 나프트-1-일; 나프트-2-일; 안트라센-9-일; 1,2,3,4-테트라히드로나프트-5-일; 및 1,2,3,4-테트라히드로나프트-6-일이 아릴 치환기의 예들이다.The term "aryl" refers to monocyclic or polycyclic aromatic substituents containing 6 to 14 carbon atoms. Substituent phenyl, naphth-1-yl; Naft-2-yl; Anthracene-9-yl; 1,2,3,4-tetrahydronaphth-5-yl; And 1,2,3,4-tetrahydronaphth-6-yl are examples of aryl substituents.

용어 "헤테로아릴"은 1 내지 13개의 탄소 원자와 1 내지 4개의 헤테로원자를 함유하는 모노시클릭 또는 폴리시클릭 헤테로방향족 치환기를 의미한다. 치환기 피롤-1-일; 피롤-2-일; 피롤-3-일; 푸릴; 티에닐; 이미다졸릴; 옥사졸릴; 티아졸릴; 이속사졸릴; 이소티아졸릴; 1,2,4-트리아졸릴; 옥사디아졸릴; 티아디아졸릴; 테트라졸릴; 피리딜; 피리미딜; 피라지닐; 1,3,5-트리아지닐; 인돌릴; 벤조[b]푸릴; 벤조[b]티에닐; 인다졸릴; 벤즈이미다졸릴; 아자인돌릴; 퀴놀릴; 이소퀴놀릴; 카르바졸릴; 및 아크리딜이 헤테로아릴 치환기의 예들이다.The term "heteroaryl" means a monocyclic or polycyclic heteroaromatic substituent containing 1 to 13 carbon atoms and 1 to 4 heteroatoms. Substituent pyrrole-1-yl; Pyrrole-2-yl; Pyrrole-3-yl; Furyl; Thienyl; Imidazolyl; Oxazolyl; Thiazolyl; Isoxazolyl; Isothiazolyl; 1,2,4-triazolyl; Oxdiazolyl; Thiadiazolyl; Tetrazolyl; Pyridyl; Pyrimidyl; Pyrazinyl; 1,3,5-triazinyl; Indolyl; Benzo [b] furyl; Benzo [b] thienyl; Indazolyl; Benzimidazolyl; Azaindoleyl; Quinolyl; Isoquinolyl; Carbazolyl; And acridil are examples of heteroaryl substituents.

용어 "헤테로원자"는 본원에서, 탄소 이외의 적어도 2가인 원자를 의미한다. N; O; S; 및 Se가 헤테로원자의 예들이다.The term “heteroatom” means herein an atom that is at least divalent other than carbon. N; O; S; And Se are examples of heteroatoms.

용어 "시클로알킬"은 3 내지 12개의 탄소 원자를 함유하는 포화 또는 부분 불포화 시클릭 탄화수소계 치환기를 의미한다. 치환기 시클로프로필; 시클로부틸; 시클로펜틸; 시클로펜테닐; 시클로펜타디에닐; 시클로헥실; 시클로헥세닐; 시클로헵틸; 바이시클로[2.2.1]헵틸; 시클로옥틸; 바이시클로[2.2.2]옥틸; 아다만틸; 및 퍼히드로나프틸이 시클로알킬 치환기의 예들이다.The term "cycloalkyl" refers to a saturated or partially unsaturated cyclic hydrocarbon-based substituent containing 3 to 12 carbon atoms. Substituent cyclopropyl; Cyclobutyl; Cyclopentyl; Cyclopentenyl; Cyclopentadienyl; Cyclohexyl; Cyclohexenyl; Cycloheptyl; Bicyclo [2.2.1] heptyl; Cyclooctyl; Bicyclo [2.2.2] octyl; Adamantyl; And perhydronaphthyl are examples of cycloalkyl substituents.

용어 "헤테로시클릴"은 1 내지 13개의 탄소 원자와 1 내지 4개의 헤테로원자를 함유하는 포화 또는 부분 불포화 시클릭 탄화수소계 치환기를 의미한다. 바람직하게는, 포화 또는 부분 불포화 시클릭 탄화수소계 치환기는 모노시클릭일 것이고, 4 또는 5개의 탄소 원자와 1 내지 3개의 헤테로원자를 함유할 것이다.The term "heterocyclyl" means a saturated or partially unsaturated cyclic hydrocarbon-based substituent containing 1 to 13 carbon atoms and 1 to 4 heteroatoms. Preferably, the saturated or partially unsaturated cyclic hydrocarbon based substituent will be monocyclic and contain 4 or 5 carbon atoms and 1 to 3 heteroatoms.

용어 "치환된"은 H 이외의 치환기, 예를 들어 할로겐, 알킬, 아릴, 헤테로아릴, 시클로알킬, 헤테로시클릴, 알킬렌, 알키닐, OH, O-알킬, O-알킬렌, O-아릴, O-헤테로아릴, NH2, NH-알킬, NH-아릴, NH-헤테로아릴, SH, S-알킬, S-아릴, S(O2)H, S(O2)-알킬, S(O2)-아릴, SO3H, SO3-알킬, SO3-아릴, CHO, C(O)-알킬, C(O)-아릴, C(O)OH, C(O)O-알킬, C(O)O-아릴, OC(O)-알킬, OC(O)-아릴, C(O)NH2, C(O)NH-알킬, C(O)NH-아릴, NHCHO, NHC(O)-알킬, NHC(O)-아릴, NH-시클로알킬 또는 NH-헤테로시클릴을 의미한다.The term "substituted" means substituents other than H, for example halogen, alkyl, aryl, heteroaryl, cycloalkyl, heterocyclyl, alkylene, alkynyl, OH, O-alkyl, O-alkylene, O-aryl , O-heteroaryl, NH2 , NH-alkyl, NH-aryl, NH-heteroaryl, SH, S-alkyl, S-aryl, S (O2 ) H, S (O2 ) -alkyl, S (O2 ) -aryl, SO3 H, SO3 -alkyl, SO3 -aryl, CHO, C (O) -alkyl, C (O) -aryl, C (O) OH, C (O) O-alkyl, C (O) O-aryl, OC (O) -alkyl, OC (O) -aryl, C (O) NH2 , C (O) NH-alkyl, C (O) NH-aryl, NHCHO, NHC (O) -Alkyl, NHC (O) -aryl, NH-cycloalkyl or NH-heterocyclyl.

본 발명에 따른 생성물들은 유기 화학의 통상적인 방법을 사용하여 제조될 수 있다. 하기 반응식 1 및 2는 하기 실시예들의 제조에 사용되는 2가지 방법을 예시한다. 이에 관하여, 이들은 청구하는 화합물들을 제조하는 방법에 관해서 본 발명의 범위를 제한할 수 없다.The products according to the invention can be prepared using conventional methods of organic chemistry. Schemes 1 and 2 below illustrate two methods used to prepare the following examples. In this regard, they cannot limit the scope of the invention with respect to the process for preparing the claimed compounds.

방법 a:Method a:

Figure 112007049241203-PCT00005
Figure 112007049241203-PCT00005

방법 b:Method b:

Figure 112007049241203-PCT00006
Figure 112007049241203-PCT00006

두 가지 경우 모두에 있어서, 별법의 합성 경로는 우레아 사슬을 갖는 보론산과 브롬(아자)인돌을 축합시키는 것으로 이루어져 있다.In both cases, the alternative synthetic route consists of condensing boronic acid and bromine (aza) indole with urea chains.

본 발명의 추가적인 주제는 하기 화학식 VI의 생성물을A further subject matter of the present invention relates to a product of formula

- 3-위치에서 할로겐화시키는 단계Halogenating at the 3-position

- 그 후, 3-위치에서 스즈키(Suzuki) 커플링을 수행함으로써, 화학식 IV의 생성물을 얻는 단계,Thereafter, by performing Suzuki coupling at the 3-position to obtain the product of formula IV,

Figure 112007049241203-PCT00007
Figure 112007049241203-PCT00007

Figure 112007049241203-PCT00008
Figure 112007049241203-PCT00008

- 그 후, 3-위치에서 니트로페닐 기를 아미노페닐로 환원시키고, 2-위치에서 에스테르를 아미드화시키거나, 2-위치에서 에스테르를 아미드화시키고, 3-위치에서 니트로페닐 기를 아미노페닐로 환원시킴으로써, 하기 화학식 II의 생성물을 얻는 단계,Then by reducing the nitrophenyl group to aminophenyl in the 3-position, amidating the ester in the 2-position, or by amidating the ester in the 2-position and reducing the nitrophenyl group to aminophenyl in the 3-position Obtaining a product of formula (II)

Figure 112007049241203-PCT00009
Figure 112007049241203-PCT00009

- 그 후, 3-위치에서 아미노페닐 기를 아실화하는 단계에 적용시키는 것을 특징으로 하는, 상기 정의된 바와 같은 화학식 I의 생성물을 제조하는 방법이다.A process for preparing the product of formula (I) as defined above, which is then characterized in that it is subjected to the step of acylating the aminophenyl group at the 3-position.

화학식 II, IV 및 VI의 중간 생성물들 또한 본 발명의 주제이다.Intermediates of formulas (II), (IV) and (VI) are also subject matter of the invention.

상기 설명된 방법에 따른 방법들을 수행하기 위하여, 당업자는 부반응들을 피하기 위해 아미노, 카르복실 및 알코올 관능기를 보호하는 기들을 도입하는 것이 필요할 수 있다고 이해할 것이다. 이들 기들은 분자의 나머지 부분에 영향 주지 않으면서 제거될 수 있는 것들이다. 아미노 관능기를 보호하는 기들의 예로서, 요오도트리메틸실란을 이용하여 재생될 수 있는 tert-부틸 카르바메이트, 및 산성 매질(예를 들어, 염산)에서 재생될 수 있는 아세틸이 언급될 수 있다. 카르복실 관능기를 보호하는 기들로서는, 에스테르(예를 들어, 메톡시메틸 에스테르, 벤질 에스테르)가 언급될 수 있다. 알코올 관능기를 보호하는 기들로서는, 산성 매질에서 또는 촉매적 수소화에 의해 재생될 수 있는 에스테르(예를 들어, 벤조일 에스테르)가 언급될 수 있다. 사용될 수 있는 다른 보호기들은 문헌 [Greene et al., in Protective Groups in Organic Synthesis, third edition, 1999, Wiley Interscience]에 설명되어 있다.In order to carry out the methods according to the above described methods, one skilled in the art will understand that it may be necessary to introduce groups protecting amino, carboxyl and alcohol functionalities in order to avoid side reactions. These groups are those that can be removed without affecting the rest of the molecule. As examples of groups protecting amino functional groups, mention may be made of tert-butyl carbamate, which may be regenerated with iodotrimethylsilane, and acetyl, which may be regenerated in an acidic medium (eg hydrochloric acid). As groups protecting the carboxyl functional groups, esters (eg methoxymethyl esters, benzyl esters) can be mentioned. As groups protecting alcohol functional groups, mention may be made of esters (eg benzoyl esters) which can be regenerated in acidic media or by catalytic hydrogenation. Other protecting groups that can be used are described in Greene et al., In Protective Groups in Organic Synthesis, third edition, 1999, Wiley Interscience.

화학식 I의 화합물들은 통상적인 공지된 방법, 예를 들어 결정화, 크로마토그래피 또는 추출에 의해 단리되고 정제될 수 있다.The compounds of formula (I) can be isolated and purified by conventional known methods, for example by crystallization, chromatography or extraction.

화학식 I의 화합물들의 거울상이성질체 및 부분입체이성질체들 또한 본 발명의 일부이다.Enantiomers and diastereomers of the compounds of formula I are also part of the present invention.

염기성 잔기를 포함하는 화학식 I의 화합물들은 임의적으로, 유기 용매, 예를 들어 알코올, 케톤, 에테르 또는 염소화된 용매와 같은 용매 중에서 무기산 또는 유기산의 작용에 의해, 무기산 또는 유기산과의 부가 염으로 변환될 수 있다.Compounds of formula (I) comprising a basic moiety may optionally be converted to addition salts with inorganic or organic acids by the action of an inorganic or organic acid in an organic solvent, such as an alcohol, ketone, ether or chlorinated solvent. Can be.

산 잔기를 포함하는 화학식 I의 화합물들은 임의적으로, 그 자체로 공지된 방법에 따라 금속 염 또는 질소성 염기 부가 염으로 변환될 수 있다. 이들 염들은 용매 중에서, 화학식 I의 화합물 상에서 금속 염기(예를 들어, 알칼리 금속 또는 알칼리 토금속), 암모니아, 아민 또는 아민 염의 작용에 의해 얻어질 수 있다. 형성된 염은 통상적인 방법에 의해 분리된다.Compounds of formula (I) comprising acid residues may optionally be converted to metal salts or nitrogenous base addition salts according to methods known per se. These salts may be obtained by the action of metal bases (eg alkali metal or alkaline earth metals), ammonia, amines or amine salts in a compound of the formula (I) in a solvent. The salts formed are separated by conventional methods.

이들 염들 또한 본 발명의 일부이다.These salts are also part of the present invention.

본 발명에 따른 생성물이 하나 이상의 유리 염기성 관능성을 보이는 경우, 상기 생성물과 무기산 또는 유기산 사이의 반응에 의해 제약학적으로 허용되는 염이 제조될 수 있다. 제약학적으로 허용되는 염에는 클로라이드, 니트레이트, 술페이트, 히드로겐 술페이트, 피로술페이트, 비술페이트, 술파이트, 비술파이트, 포스페이트, 모노히드로겐 포스페이트, 디히드로겐 포스페이트, 메타포스페이트, 피로포스페이트, 아세테이트, 프로피오네이트, 아크릴레이트, 4-히드록시부티레이트, 카프릴레이트, 카프로에이트, 데카노에이트, 옥살레이트, 말로네이트, 숙시네이트, 글루타레이트, 아디페이트, 피멜레이트, 말레에이트, 푸마레이트, 시트레이트, 타르트레이트, 락테이트, 페닐아세테이트, 만델레이트, 세바케이트, 수베레이트, 벤조에이트, 프탈레이트, 메탄술포네이트, 프로판술포네이트, 크실렌술포네이트, 살리실레이트, 신나메이트, 글루타메이트, 아스파르테이트, 글루쿠로네이트 또는 갈락투로네이트가 포함된다.If the product according to the invention exhibits at least one free basic functionality, pharmaceutically acceptable salts can be prepared by reaction between the product and an inorganic or organic acid. Pharmaceutically acceptable salts include chlorides, nitrates, sulfates, hydrogen sulfates, pyrosulfates, bisulfates, sulfites, bisulfites, phosphates, monohydrogen phosphates, dihydrogen phosphates, metaphosphates, pyrophosphates , Acetate, propionate, acrylate, 4-hydroxybutyrate, caprylate, caproate, decanoate, oxalate, malonate, succinate, glutarate, adipate, pimelate, maleate, fumarate Latex, citrate, tartrate, lactate, phenylacetate, mandelate, sebacate, suverate, benzoate, phthalate, methanesulfonate, propanesulfonate, xylenesulfonate, salicylate, cinnamate, glutamate, as Partate, glucuronate or galacturonate.

본 발명에 따른 생성물이 하나 이상의 유리 산성 관능성을 보이는 경우, 상기 생성물과 무기 염기 또는 유기 염기 사이의 반응에 의해 제약학적으로 허용되는 염이 제조될 수 있다. 제약학적으로 허용되는 염기에는 알칼리 금속 또는 알칼리 토금속 양이온, 예를 들어 Li, Na, K, Mg 또는 Ca의 히드록시드, 및 염기성 아민 화합물, 예를 들어 암모니아, 아르기닌, 히스티딘, 피페리딘, 모르폴린, 피페라진 또는 트리에틸아민이 포함된다.If the product according to the invention exhibits one or more free acidic functionalities, pharmaceutically acceptable salts can be prepared by reaction between the product and an inorganic base or an organic base. Pharmaceutically acceptable bases include alkali metal or alkaline earth metal cations such as hydroxides of Li, Na, K, Mg or Ca, and basic amine compounds such as ammonia, arginine, histidine, piperidine, mor Pauline, piperazine or triethylamine are included.

본 발명은 또한, 본 발명을 예시하기 위해 제공되는 하기 실시예들을 이용하여 설명된다.The invention is also described using the following examples provided to illustrate the invention.

LC/MS 분석법은 HP 1100 기기에 연결된 마이크로매스(Micromass) 모델 LCT 기기 상에서 수행하였다. 생성물의 양(abundance)는 200-600 nm 파장 범위에 대한 HP G1315A 다이오드 어레이 탐지기 및 세덱스(Sedex) 65 광 산란 탐지기를 사용하여 측정하였다. 질량 스펙트럼은 180 내지 800 범위에서 획득하였다. 마이크로매스 매스링스(MassLynx) 소프트웨어를 사용하여 데어터를 분석하였다. 하이퍼실(Hypersil) BDS C18, 3 ㎛ (50 x 4.6 mm) 컬럼 상에서, 1 ml/분의 유속으로 3.5 분 동안, 0.05% (v/v)의 TFA를 포함하는 물 중 0.05% (v/v) 트리플루오로아세트산(TFA)을 포함하는 아세토니트릴 5 내지 90%의 선형 구배로 용리함으로써 분리를 수행하였다. 총 분석 시간은, 컬럼 재평형화 시간을 포함하여, 7분이었다.LC / MS analysis was performed on a Micromass model LCT instrument connected to an HP 1100 instrument. The abundance of the product was measured using an HP G1315A diode array detector and Sedex 65 light scattering detector for the 200-600 nm wavelength range. Mass spectra were acquired in the 180-800 range. Data was analyzed using Micromass MassLynx software. 0.05% (v / v) in water containing 0.05% (v / v) of TFA for 3.5 minutes at a flow rate of 1 ml / min, on a Hypersil BDS C18, 3 μm (50 × 4.6 mm) column Separation was carried out by eluting with a linear gradient of 5 to 90% acetonitrile containing trifluoroacetic acid (TFA). Total analysis time was 7 minutes, including column re-equilibration time.

MS 스펙트럼은 플랫폼(Platform) II 기기(마이크로매스) 상에서 전기분무 기법(ES+)을 사용하여 측정하였다. 관찰된 주 이온들을 기재하였다.MS spectra were measured using an electrospray technique (ES+ ) on a Platform II instrument (micromass). The main ions observed are described.

녹는점은 메틀러(Mettler) FP62 기기 상에서, 30℃ 내지 300℃ 범위에서, 분당 2℃씩 상승시키면서, 모세관 기법을 사용하여 측정하였다.Melting points were measured using a capillary technique, on a Mettler FP62 instrument, in the range from 30 ° C. to 300 ° C., rising by 2 ° C. per minute.

실시예 72 내지 74의 체류 시간은 엑스브리지(XBRIDGE) C18 유형, 3 x 50 mm, 2.5 ㎛ 입자의 컬럼 상에서 측정하였다. 생성물들은 1.1 ml/분의 유속으로 7 분 동안 0.1% 포름산을 함유하는 물 중 5 내지 95% 아세토니트릴의 선형 구배로 용리하였다.Retention times of Examples 72-74 were measured on a column of XBRIDGE C18 type, 3 × 50 mm, 2.5 μm particles. The products eluted with a linear gradient of 5-95% acetonitrile in water containing 0.1% formic acid for 7 minutes at a flow rate of 1.1 ml / min.

실시예 77 내지 102의 체류 시간은 엑스테라(Xterra) C18 유형, 3 x 50 mm, 3.5 ㎛ 입자의 컬럼 상에서 측정하였다. 생성물들은 600 ㎕/분의 유속으로 7분 동안 0.5%의 TFA를 함유하는 물 중 5 내지 90% 아세토니트릴의 선형 구배로 용리하였다.Retention times of Examples 77-102 were measured on a column of Xterra C18 type, 3 × 50 mm, 3.5 μm particles. The products eluted with a linear gradient of 5-90% acetonitrile in water containing 0.5% TFA for 7 minutes at a flow rate of 600 μl / min.

LCLC/OfMSMS에 의한 정제:Purification by:

생성물은 워터스(Waters) 모델 600 구배 펌프, 워터스 모델 515 재생 펌프, 워터스 리에이전트 매니저(Waters Reagent Manager) 희석 펌프, 워터스 모델 2700 자동 주입기, 2개의 레오다인(Rheodyne) 모델 랩프로(LabPro) 밸브, 워터스 모델 996 다이오드 어레이 탐지기, 워터스 모델 ZMD 질량 분광계 및 길슨(Gilson) 모델 204 분획 수집기로 구성된 워터스 프랙션링스(FractionLynx) 시스템을 사용하여 LC/MS에 의해 정제할 수 있다. 시스템은 워터스 프랙션링스 소프트웨어로 제어하였다. 분리는 2개의 워터스 시메트리(Symmetry) 컬럼(C18, 5 ㎛, 19 x 50 mm, 카탈로그 참조번호 186000210) 상에서 교대로 수행하였다(한 컬럼은 0.07% (v/v) 트리플루오로아세트산을 포함하는 95/5 (v/v) 물/아세토니트릴 혼합물을 이용한 재생을 수행하고, 다른 컬럼은 분리에 사용되었음). 컬럼은 10 ml/분의 유속으로, 0.07% (v/v) 트리플루오로아세트산을 포함하는 물 중 0.7% (v/v) 트리플루오로아세트산을 포함하는 5% 내지 95% 아세토니트릴의 선형 구배를 사용하여 용리하였다. 분리 컬 럼의 출구에서, 유출물의 1000분의 1을 LC 패킹 애큐레이트(Packing Accurate)를 이용하여 분리하고, 0.5 ml/분의 유속으로 메틸 알코올로 희석하고, 75%는 다이오드 어레이 탐지기로, 나머지 25%는 질량 분광계로 하여, 탐지기들로 보냈다. 유출물의 나머지(999/1000)는 분획 수집기로 보냈으며, 여기서 예상 생성물의 질량이 프랙션링스 소프트웨어에 의해 탐지되지 않으면 배출물을 버렸다. 예상 생성물의 분자식을 프랙션링스 소프트웨어에 공급하였으며, 상기 소프트웨어는 탐지된 질량 신호가 이온 [M+H]+ 및/또는 [M+Na]+에 해당하는 경우 생성물 수집을 작동시켰다. 어떤 경우에는, 분석 LC/MS 결과에 따라, [M+2H]++에 해당하는 강한 이온이 탐지된 경우, 계산 분자량의 절반(MW/2)에 해당하는 값도 프랙션링스 소프트웨어에 공급하였다. 이러한 조건 하에서, [M+2H]++ 및/또는 [M+Na+HH]++에 대한 질량 신호가 탐지되는 경우에도 수집을 작동시켰다. 생성물들을 중량을 잰 유리 튜브에 수집하였다. 수집 후, 용매를 사반트(Savant) AES 2000 또는 제네박(Genevac) HT8 원심분리 증발기에서 증발시키고, 용매 증발 후 튜브의 중량을 측정함으로써, 생성물의 질량을 결정하였다.Products include Waters Model 600 Gradient Pump, Waters Model 515 Regeneration Pump, Waters Reagent Manager Dilution Pump, Waters Model 2700 Autoinjector, 2 Rheodyne Model LabPro Valves, Purification by LC / MS using a Waters FractionLynx system consisting of a Waters Model 996 diode array detector, a Waters Model ZMD mass spectrometer, and a Gilson Model 204 fraction collector. The system was controlled by Waters Fractionation software. Separation was performed alternately on two Waters Symmetry columns (C18 , 5 μm, 19 × 50 mm, catalog reference 186000210) (one column containing 0.07% (v / v) trifluoroacetic acid). Regeneration with 95/5 (v / v) water / acetonitrile mixture, other columns were used for separation). The column is a linear gradient of 5% to 95% acetonitrile with 0.7% (v / v) trifluoroacetic acid in water with 0.07% (v / v) trifluoroacetic acid at a flow rate of 10 ml / min. Eluted using. At the outlet of the separation column, one thousandth of the effluent is separated using LC packing accurate, diluted with methyl alcohol at a flow rate of 0.5 ml / min, 75% with a diode array detector and the rest 25% was sent to detectors as a mass spectrometer. The remainder of the effluent (999/1000) was sent to a fraction collector where the effluent was discarded if the mass of the expected product was not detected by FractionLings software. The molecular formula of the expected product was fed to Fractionings software, which turned on product collection if the detected mass signal corresponds to ions [M + H]+ and / or [M + Na]+ . In some cases, according to the analytical LC / MS results, when strong ions corresponding to [M + 2H]++ were detected, values corresponding to half of the calculated molecular weight (MW / 2) were also supplied to Fractionings Software. . Under these conditions, the collection was activated even when a mass signal for [M + 2H]++ and / or [M + Na + HH]++ was detected. The products were collected in a weighed glass tube. After collection, the solvent was evaporated in a Savant AES 2000 or Genevac HT8 centrifugal evaporator and the mass of the product was determined by weighing the tube after solvent evaporation.

실시예 1: 3-{4-[3-(2-플루오로-5-트리플루오로메틸페닐)우레이도]페닐}-1H-인돌-2-카르복스아미드Example 1: 3- {4- [3- (2-fluoro-5-trifluoromethylphenyl) ureido] phenyl} -1H-indole-2-carboxamide

Figure 112007049241203-PCT00010
Figure 112007049241203-PCT00010

방법 a:Method a:

에틸-3-브로모-1H-인돌-2-카르복실레이트Ethyl-3-bromo-1H-indole-2-carboxylate

300 ml의 피리딘 중 67 g의 피리디늄 트리브로마이드를 0℃ 아르곤 하에서, 900 ml의 피리딘 중 37.8 g의 에틸 인돌-2-카르복실레이트 용액에 천천히 첨가하였다. 그 후, 용액을 30분 동안 50℃에서 가열하고 나서, 4 L의 빙냉수에 부었다. 형성된 고체를 여과하고, 물로 세척하고, 필터 건조시켰다. 진공 하에서 건조시킨 후, 48.4 g의 에틸-3-브로모-1H-인돌-2-카르복실레이트를 얻었으며, 그 특성치는 다음과 같았다:67 g of pyridinium tribromide in 300 ml of pyridine was slowly added to 37.8 g of ethyl indole-2-carboxylate solution in 900 ml of pyridine under 0 ° C. argon. The solution was then heated at 50 ° C. for 30 minutes and then poured into 4 L ice cold water. The solid formed was filtered off, washed with water and filtered dried. After drying in vacuo, 48.4 g of ethyl-3-bromo-1H-indole-2-carboxylate were obtained, the properties of which were as follows:

Figure 112007049241203-PCT00011
Figure 112007049241203-PCT00011

에틸-3-(4-니트로페닐)-1H-인돌-2-카르복실레이트Ethyl-3- (4-nitrophenyl) -1H-indole-2-carboxylate

46 ml의 1M 탄산나트륨 용액, 2.23 g의 염화리튬, 그리고 나서 1.1 g의 테트 라키스(트리페닐포스핀)팔라듐을 아르곤 하에서 교반하면서, 110 ml의 에탄올 및 110 ml의 톨루엔 중 5 g의 에틸-3-브로모-1H-인돌-2-카르복실레이트 및 7.8 g의 4-니트로페닐보론산 용액에 연속적으로 첨가하였다. 용액을 2시간 30분 동안 환류시키고 나서, 감압 하에서 농축시켰다. 침전물을 여과하고 나서, 에탄올로부터 재결정화하여 5.1 g의 에틸-3-(4-니트로페닐)-1H-인돌-2-카르복실레이트를 얻었으며, 그의 특성치는 다음과 같았다:46 ml of 1 M sodium carbonate solution, 2.23 g of lithium chloride, and then 1.1 g of Tetrakis (triphenylphosphine) palladium were stirred under argon while 110 ml of ethanol and 5 g of ethyl-3- in 110 ml of toluene Successively added to bromo-1H-indole-2-carboxylate and 7.8 g of 4-nitrophenylboronic acid solution. The solution was refluxed for 2 hours 30 minutes and then concentrated under reduced pressure. The precipitate was filtered off and recrystallized from ethanol to give 5.1 g of ethyl-3- (4-nitrophenyl) -1H-indole-2-carboxylate, the properties of which were as follows:

Figure 112007049241203-PCT00012
Figure 112007049241203-PCT00012

3-(4-니트로페닐)-1H-인돌-2-카르복스아미드3- (4-nitrophenyl) -1H-indole-2-carboxamide

30 ml의 진한 수성 암모니아 중 0.5 g의 암모늄 클로라이드 용액을 50 ml의 7 N 메탄올성 암모니아 중 3.3 g의 에틸-3-(4-니트로페닐)-1H-인돌-2-카르복실레이트 용액에 첨가하였다. 그리고 나서, 용액을 15시간 동안 125℃에서 밀봉된 튜브 내에서 가열하였다. 냉각시킨 후, 형성된 고체를 여과하고, 물로 세척하고 나서, 필터 건조시켰다. 진공 하에서 건조시킨 후, 1.5 g의 3-(4-니트로페닐)-1H-인돌-2-카르복스아미드를 얻었으며, 그의 특성치는 다음과 같았다:0.5 g ammonium chloride solution in 30 ml concentrated aqueous ammonia was added to 3.3 g ethyl-3- (4-nitrophenyl) -1H-indole-2-carboxylate solution in 50 ml 7 N methanolic ammonia. . The solution was then heated in a sealed tube at 125 ° C. for 15 hours. After cooling, the solid formed was filtered off, washed with water and filtered dried. After drying under vacuum, 1.5 g of 3- (4-nitrophenyl) -1H-indole-2-carboxamide were obtained, the characteristics of which were as follows:

Figure 112007049241203-PCT00013
Figure 112007049241203-PCT00013

Figure 112007049241203-PCT00014
Figure 112007049241203-PCT00014

3-(4-아미노페닐)-1H-인돌-2-카르복스아미드3- (4-aminophenyl) -1H-indole-2-carboxamide

2.7 g의 주석을 50 ml의 5 N 염산 중 1.3 g의 3-(4-니트로페닐)-1H-인돌-2-카르복스아미드 현탁액에 첨가하였다. 혼합물을 5시간 동안 주위 온도에서 교반하고 나서, 5 N 수산화나트륨 용액으로 중화시켰다. 수 상을 50 ml의 에틸 아세테이트로 3회 추출하고, 유기 상을 황산마그네슘으로 건조시키고, 여과하고, 감압 하에서 농축시켰다. 실리카 컬럼 상에서 플래시 크로마토그래피에 의해 정제하고, 시클로헥산 및 에틸 아세테이트(부피 기준 20/80)의 혼합물로 용리를 수행한 후, 0.15 g의 3-(4-아미노페닐)-1H-인돌-2-카르복스아미드를 얻었으며, 그의 특성치는 다음과 같았다:2.7 g of tin was added to 1.3 g of 3- (4-nitrophenyl) -1H-indole-2-carboxamide suspension in 50 ml of 5N hydrochloric acid. The mixture was stirred at ambient temperature for 5 hours and then neutralized with 5 N sodium hydroxide solution. The aqueous phase was extracted three times with 50 ml of ethyl acetate and the organic phase was dried over magnesium sulfate, filtered and concentrated under reduced pressure. Purification by flash chromatography on a silica column, eluting with a mixture of cyclohexane and ethyl acetate (20/80 by volume), followed by 0.15 g of 3- (4-aminophenyl) -1H-indole-2- Carboxamides were obtained and their properties were as follows:

Figure 112007049241203-PCT00015
Figure 112007049241203-PCT00015

3-{4-[3-(2-플루오로-5-트리플루오로메틸페닐)우레이도]페닐}-1H-인돌-2-카 르복스아미드3- {4- [3- (2-fluoro-5-trifluoromethylphenyl) ureido] phenyl} -1H-indole-2-carboxamide

2 ml의 테트라히드로푸란 중 0.089 ml의 2-플루오로-5-트리플루오로메틸 이소시아네이트 용액을 10℃에서, 18 ml의 테트라히드로푸란 중 0.11 g의 3-(4-아미노페닐)-1H-인돌-2-카르복스아미드 용액에 적가하였다. 20℃에서 1시간 동안 교반한 후, 5 ml의 메탄올 및 2 ml의 트리에틸아민을 첨가하고, 1시간 동안 교반을 계속하였다. 그리고 나서, 반응 매질을 감압 하에서 농축시키고, 잔류물을 실리카 컬럼 상에서 크로마토그래피에 의해 정제하고, 시클로헥산 및 에틸 아세테이트(부피 기준 35/65)의 혼합물로 용리를 수행하여, 0.13 g의 3-{4-[3-(2-플루오로-5-트리플루오로메틸페닐)우레이도]페닐}-1H-인돌-2-카르복스아미드를 얻었으며, 그의 특성치는 다음과 같았다:0.089 ml of 2-fluoro-5-trifluoromethyl isocyanate solution in 2 ml of tetrahydrofuran was added at 0.1 ° C. in 0.11 g of 3- (4-aminophenyl) -1H-indole in 18 ml of tetrahydrofuran. To the 2-carboxamide solution was added dropwise. After 1 hour of stirring at 20 ° C., 5 ml of methanol and 2 ml of triethylamine were added and stirring was continued for 1 hour. The reaction medium is then concentrated under reduced pressure, the residue is purified by chromatography on a silica column and eluted with a mixture of cyclohexane and ethyl acetate (vol. 35/65 by volume) to yield 0.13 g of 3- { 4- [3- (2-fluoro-5-trifluoromethylphenyl) ureido] phenyl} -1H-indole-2-carboxamide was obtained, the characteristic of which was as follows:

Figure 112007049241203-PCT00016
Figure 112007049241203-PCT00016

실시예 2: 3-{4-[3-(2-플루오로-5-트리플루오로메틸페닐)우레이도]페닐}-1H-피롤로[3,2-b]피리딘-2-카르복스아미드Example 2: 3- {4- [3- (2-fluoro-5-trifluoromethylphenyl) ureido] phenyl} -1H-pyrrolo [3,2-b] pyridine-2-carboxamide

Figure 112007049241203-PCT00017
Figure 112007049241203-PCT00017

방법 b:Method b:

에틸-3-(3-니트로피리딘-2-일)-2-옥소프로피오네이트Ethyl-3- (3-nitropyridin-2-yl) -2-oxopropionate

100 ml의 에탄올 중 121.7 g의 에틸 옥살레이트, 및 15.8 g의 2-메틸-3-니트로피리딘 용액을, 4 g의 나트륨을 아르곤 하에서 교반된 400 ml의 에탄올에 첨가함으로써 제조된 나트륨 에탄올레이트 용액에 첨가하였다. 반응 혼합물을 15시간 동안 교반하고, 형성된 고체를 여과하고, 100 ml의 에탄올 및 100 ml의 디이소프로필 에테르로 연속적으로 세척하고 나서, 필터 건조시켰다. 고체를 300 ml의 에탄올에 녹이고, 5 N 염산 용액으로 산성화시켰다. 얻어진 고체를 여과하고, 50 ml의 5 N 염산 용액으로 세척하고 나서, 100 ml의 에탄올로 세척하고, 필터 건조시켰다. 진공 하에서 건조시킨 후, 18.7 g의 에틸-3-(3-니트로피리딘-2-일)-2-옥소프로피오네이트를 얻었으며, 그의 특성치는 다음과 같았다:To a sodium ethanolate solution prepared by adding 121.7 g of ethyl oxalate, and 15.8 g of 2-methyl-3-nitropyridine solution in 100 ml of ethanol, to 4 ml of sodium to 400 ml of ethanol stirred under argon. Added. The reaction mixture was stirred for 15 hours, the solid formed was filtered, washed successively with 100 ml of ethanol and 100 ml of diisopropyl ether and then filter dried. The solid was taken up in 300 ml of ethanol and acidified with 5 N hydrochloric acid solution. The solid obtained was filtered off, washed with 50 ml of 5N hydrochloric acid solution, then washed with 100 ml of ethanol and filtered dried. After drying under vacuum, 18.7 g of ethyl-3- (3-nitropyridin-2-yl) -2-oxopropionate was obtained, the characteristic of which was as follows:

Figure 112007049241203-PCT00018
Figure 112007049241203-PCT00018

Figure 112007049241203-PCT00019
Figure 112007049241203-PCT00019

에틸-1H-피롤로[3,2-b]피리딘-2-카르복실레이트Ethyl-1H-pyrrolo [3,2-b] pyridine-2-carboxylate

18.4 g의 에틸-3-(3-니트로피리딘-2-일)-2-옥소프로피오네이트 및 5.5 g의 10% 목탄 상 팔라듐을 500 ml의 에탄올에 첨가하고, 반응 혼합물을 20℃, 2 바에서 3시간 동안 수소화시켰다. 그리고 나서, 반응 혼합물을 실리카 겔 박 층으로 여과하고, 여과액을 감압 하에 농축시켜, 14.1 g의 에틸-1H-피롤로[3,2-b]피리딘-2-카르복실레이트를 얻었으며, 그의 특성치는 다음과 같았다:18.4 g of ethyl-3- (3-nitropyridin-2-yl) -2-oxopropionate and 5.5 g of 10% charcoal on palladium are added to 500 ml of ethanol and the reaction mixture is 20 ° C., 2 bar. Hydrogenated at 3 h. The reaction mixture was then filtered through a thin layer of silica gel and the filtrate was concentrated under reduced pressure to afford 14.1 g of ethyl-1H-pyrrolo [3,2-b] pyridine-2-carboxylate, The characteristic values were as follows:

Figure 112007049241203-PCT00020
Figure 112007049241203-PCT00020

에틸-3-브로모-1H-피롤로[3,2-b]피리딘-2-카르복실레이트Ethyl-3-bromo-1H-pyrrolo [3,2-b] pyridine-2-carboxylate

5 ml의 피리딘 중 0.9 g의 피리디늄 트리브로마이드를 0℃ 아르곤 하에서, 12 ml의 피리딘 중 0.5 g의 에틸-1H-피롤로[3,2-b]피리딘-2-카르복실레이트 용액에 천천히 첨가하였다. 그 후, 용액을 15분 동안 50℃에서 가열하고 나서, 100 ml의 빙냉수에 부었다. 형성된 고체를 여과하고, 물로 세척하고, 필터 건조시켰다. 진공 하에서 건조시킨 후, 0.56 g의 에틸-3-브로모-1H-피롤로[3,2-b]피리딘-2-카르복실레이트를 얻었으며, 그의 특성치는 다음과 같았다:0.9 g of pyridinium tribromide in 5 ml of pyridine is slowly added under 0 ° C. argon to 0.5 g of ethyl-1H-pyrrolo [3,2-b] pyridine-2-carboxylate solution in 12 ml of pyridine. It was. The solution was then heated at 50 ° C. for 15 minutes and then poured into 100 ml of ice cold water. The solid formed was filtered off, washed with water and filtered dried. After drying under vacuum, 0.56 g of ethyl-3-bromo-1H-pyrrolo [3,2-b] pyridine-2-carboxylate was obtained, the characteristic of which was as follows:

Figure 112007049241203-PCT00021
Figure 112007049241203-PCT00021

에틸-3-(4-니트로페닐)-1H-피롤로[3,2-b]피리딘-2-카르복실레이트Ethyl-3- (4-nitrophenyl) -1H-pyrrolo [3,2-b] pyridine-2-carboxylate

3 g의 탄산칼륨 및 0.8 g의 팔라듐 테트라키스(트리페닐포스핀)을 50 ml의 디옥산 중 2 g의 에틸-3-브로모-1H-피롤로[3,2-b]피리딘-2-카르복실레이트 및 1.5 g의 4-니트로페닐보론산 용액에 첨가하였다. 혼합물을 20시간 동안 환류시키고 나서, 여과하였다. 여과액을 감압 하에서 농축시키고, 잔류물을 실리카 컬럼 상에서 크로마토그래피에 의해 정제하고, 시클로헥산 및 에틸 아세테이트(부피 기준 50/50)의 혼합물로 용리를 수행하여, 0.52 g의 에틸-3-(4-니트로페닐)-1H-피롤로[3,2-b]피리딘-2-카르복실레이트를 얻었으며, 그의 특성치는 다음과 같았다:3 g potassium carbonate and 0.8 g palladium tetrakis (triphenylphosphine) were added to 2 g ethyl-3-bromo-1H-pyrrolo [3,2-b] pyridine-2- in 50 ml dioxane. To carboxylate and 1.5 g of 4-nitrophenylboronic acid solution. The mixture was refluxed for 20 hours and then filtered. The filtrate was concentrated under reduced pressure, the residue was purified by chromatography on a silica column and eluted with a mixture of cyclohexane and ethyl acetate (50/50 by volume) to give 0.52 g of ethyl-3- (4 -Nitrophenyl) -1H-pyrrolo [3,2-b] pyridine-2-carboxylate, the properties of which were as follows:

Figure 112007049241203-PCT00022
Figure 112007049241203-PCT00022

3-(4-니트로페닐)-1H-피롤로[3,2-b]피리딘-2-카르복스아미드3- (4-nitrophenyl) -1H-pyrrolo [3,2-b] pyridine-2-carboxamide

10 ml의 7 N 암모니아성 메탄올 중 0.4 g의 에틸-3-(4-니트로페닐)-1H-피롤로[3,2-b]피리딘-2-카르복실레이트 용액을 닫힌 용기 내에서 16시간 동안 100℃에서 가열하였다. 그리고 나서, 용매를 감압 하에서 농축시키고, 잔류물을 실리카 컬럼 상에서 크로마토그래피에 의해 정제하고, 에틸 아세테이트로 용리를 수행하여, 0.16 g의 3-(4-니트로페닐-1H-피롤로[3,2-b]피리딘-2-카르복스아미드를 얻었으며, 그의 특성치는 다음과 같았다:0.4 g of ethyl-3- (4-nitrophenyl) -1H-pyrrolo [3,2-b] pyridine-2-carboxylate solution in 10 ml of 7 N ammoniacal methanol for 16 hours in a closed vessel Heated at 100 ° C. The solvent is then concentrated under reduced pressure, the residue is purified by chromatography on a silica column and eluted with ethyl acetate to give 0.16 g of 3- (4-nitrophenyl-1H-pyrrolo [3,2 -b] pyridine-2-carboxamide was obtained and its properties were as follows:

Figure 112007049241203-PCT00023
Figure 112007049241203-PCT00023

3-(4-아미노페닐)-1H-피롤로[3,2-b]피리딘-2-카르복스아미드3- (4-aminophenyl) -1H-pyrrolo [3,2-b] pyridine-2-carboxamide

0.113 g의 Pd/C (10%)를 10 ml의 메탄올 중 0.15 g의 3-(4-니트로페닐)-1H-피롤로[3,2-b]피리딘-2-카르복스아미드 용액에 첨가하였다. 수소압 2 바 하에서 3.5 시간 동안 22℃에서 교반한 후, 반응 매질을 실리카 겔로 여과하고 나서, 감압 하에 농축시켜, 0.1 g의 3-(4-아미노페닐)-1H-피롤로[3,2-b]피리딘-2-카르복스아미드를 얻었으며, 그의 특성치는 다음과 같았다:0.113 g Pd / C (10%) was added to 0.15 g 3- (4-nitrophenyl) -1H-pyrrolo [3,2-b] pyridine-2-carboxamide solution in 10 ml methanol. . After stirring at 22 ° C. for 3.5 h under hydrogen pressure, the reaction medium was filtered through silica gel and concentrated under reduced pressure to yield 0.1 g of 3- (4-aminophenyl) -1H-pyrrolo [3,2- b] pyridine-2-carboxamide was obtained and its properties were as follows:

Figure 112007049241203-PCT00024
Figure 112007049241203-PCT00024

3-{4-[3-(2-플루오로-5-트리플루오로메틸페닐)우레이도]페닐}-1H-피롤로[3,2-b]피리딘-2-카르복스아미드3- {4- [3- (2-fluoro-5-trifluoromethylphenyl) ureido] phenyl} -1H-pyrrolo [3,2-b] pyridine-2-carboxamide

73 mg의 2-플루오로-5-트리플루오로메틸페닐 이소시아네이트를 18 ml의 테트 라히드로푸란 중 80 mg의 3-(4-아미노페닐)-1H-피롤로[3,2-b]피리딘-2-카르복스아미드 용액에 첨가하였다. 1시간 동안 교반한 후, 혼합물을 감압 하에서 농축시키고, 잔류물을 실리카 컬럼 상에서 크로마토그래피에 의해 정제하고, 시클로헥산 및 에틸 아세테이트(부피 기준 20/80)의 혼합물로 용리를 수행하여, 110 mg의 3-{4-[3-(2-플루오로-5-트리플루오로메틸페닐)우레이도]페닐}-1H-피롤로[3,2-b]피리딘-2-카르복스아미드를 얻었으며, 그의 특성치는 다음과 같았다:73 mg of 2-fluoro-5-trifluoromethylphenyl isocyanate was added to 80 mg of 3- (4-aminophenyl) -1H-pyrrolo [3,2-b] pyridine-2 in 18 ml of tetrahydrofuran. -Added to the carboxamide solution. After stirring for 1 hour, the mixture is concentrated under reduced pressure, the residue is purified by chromatography on a silica column, eluting with a mixture of cyclohexane and ethyl acetate (20/80 by volume) to give 110 mg of 3- {4- [3- (2-fluoro-5-trifluoromethylphenyl) ureido] phenyl} -1H-pyrrolo [3,2-b] pyridine-2-carboxamide was obtained, which The characteristic values were as follows:

Figure 112007049241203-PCT00025
Figure 112007049241203-PCT00025

실시예 3: 3-[4-(3-페닐우레이도)페닐]-1H-인돌-2-카르복스아미드Example 3: 3- [4- (3-phenylureido) phenyl] -1 H-indole-2-carboxamide

Figure 112007049241203-PCT00026
Figure 112007049241203-PCT00026

3-[4-(3-페닐우레이도)페닐]-1H-인돌-2-카르복스아미드를 페닐 이소시아네이트를 사용하여 상기에서 설명한 방법 a에 따라 제조하였다. 그의 특성치는 다음과 같다:3- [4- (3-phenylureido) phenyl] -1H-indole-2-carboxamide was prepared according to method a described above using phenyl isocyanate. Its characteristics are as follows:

Figure 112007049241203-PCT00027
Figure 112007049241203-PCT00027

실시예 4: 3-[4-(3-m-톨릴우레이도)페닐]-1H-인돌-2-카르복스아미드Example 4: 3- [4- (3-m-tolylureido) phenyl] -1H-indole-2-carboxamide

Figure 112007049241203-PCT00028
Figure 112007049241203-PCT00028

3-[4-(3-m-톨릴우레이도)페닐]-1H-인돌-2-카르복스아미드를 3-메틸페닐 이소시아네이트를 사용하여 상기 설명한 방법 a에 따라 제조하였다. 그의 특성치는 다음과 같았다:3- [4- (3-m-tolylureido) phenyl] -1H-indole-2-carboxamide was prepared according to method a described above using 3-methylphenyl isocyanate. His characteristics were as follows:

Figure 112007049241203-PCT00029
Figure 112007049241203-PCT00029

Figure 112007049241203-PCT00030
Figure 112007049241203-PCT00030

실시예 5: 3-[4-(3-트리플루오로메틸페닐우레이도)페닐]-1H-인돌-2-카르복스 아미드Example 5: 3- [4- (3-trifluoromethylphenylureido) phenyl] -1 H-indole-2-carbox amide

Figure 112007049241203-PCT00031
Figure 112007049241203-PCT00031

3-[4-(3-트리플루오로메틸페닐우레이도)페닐]-1H-인돌-2-카르복스아미드를 3-트리플루오로메틸페닐 이소시아네이트를 사용하여, 상기 설명한 방법 a에 따라 제조하였다. 그의 특성치는 다음과 같았다:3- [4- (3-trifluoromethylphenylureido) phenyl] -1H-indole-2-carboxamide was prepared according to method a described above using 3-trifluoromethylphenyl isocyanate. His characteristics were as follows:

Figure 112007049241203-PCT00032
Figure 112007049241203-PCT00032

실시예 6: 3-[4-(3,5-디메틸페닐우레이도)페닐]-1H-인돌-2-카르복스아미드Example 6: 3- [4- (3,5-dimethylphenylureido) phenyl] -1H-indole-2-carboxamide

Figure 112007049241203-PCT00033
Figure 112007049241203-PCT00033

3-[4-(3,5-디메틸페닐우레이도)페닐]-1H-인돌-2-카르복스아미드를 3,5-디메틸페닐 이소시아네이트를 사용하여, 상기 설명한 방법 a에 따라 제조하였다. 그의 특성치는 다음과 같았다:3- [4- (3,5-dimethylphenylureido) phenyl] -1H-indole-2-carboxamide was prepared according to method a described above using 3,5-dimethylphenyl isocyanate. His characteristics were as follows:

Figure 112007049241203-PCT00034
Figure 112007049241203-PCT00034

실시예 7: 3-[4-(2-플루오로페닐우레이도)페닐]-1H-인돌-2-카르복스아미드Example 7: 3- [4- (2-fluorophenylureido) phenyl] -1 H-indole-2-carboxamide

Figure 112007049241203-PCT00035
Figure 112007049241203-PCT00035

3-[4-(2-플루오로페닐우레이도)페닐]-1H-인돌-2-카르복스아미드를 2-플루오로페닐 이소시아네이트를 사용하여, 상기 설명한 방법 a에 따라 제조하였다. 그의 특성치는 다음과 같았다:3- [4- (2-fluorophenylureido) phenyl] -1H-indole-2-carboxamide was prepared according to method a described above using 2-fluorophenyl isocyanate. His characteristics were as follows:

Figure 112007049241203-PCT00036
Figure 112007049241203-PCT00036

실시예 8: 3-{4-[3-(2-플루오로-5-트리플루오로메틸페닐)우레이도]페닐}-1-메틸-1H-인돌-2-카르복스아미드Example 8: 3- {4- [3- (2-fluoro-5-trifluoromethylphenyl) ureido] phenyl} -1-methyl-1H-indole-2-carboxamide

Figure 112007049241203-PCT00037
Figure 112007049241203-PCT00037

3-{4-[3-(2-플루오로-5-트리플루오로메틸페닐)우레이도]페닐}-1-메틸-1H-인돌-2-카르복스아미드를 3-(4-니트로페닐)-1H-인돌-2-카르복스아미드 (실시예 1)를 이용하여, 상기 설명한 방법 a에 따라 제조하였다:3- {4- [3- (2-Fluoro-5-trifluoromethylphenyl) ureido] phenyl} -1-methyl-1H-indole-2-carboxamide 3- (4-nitrophenyl)- Prepared according to method a described above, using 1H-indole-2-carboxamide (Example 1):

1-메틸-3-(4-니트로페닐)-1H-인돌-2-카르복스아미드1-methyl-3- (4-nitrophenyl) -1H-indole-2-carboxamide

0.047 g의 수소화나트륨 및 73 ㎕의 메탄 요오다이드를 아르곤 하에서, 8 ml의 무수 디메틸포름아미드 중 0.3 g의 3-(4-니트로페닐)-1H-인돌-2-카르복스아미드 용액에 첨가하였다. 반응 혼합물을 2시간 동안 주위 온도에서 교반하고, 45 ml의 물을 첨가하였다. 형성된 고체를 여과하고, 15 ml의 물로 3회 세척하고, 필터 건 조시켰다. 진공 하에서 건조시킨 후, 0.22 g의 1-메틸-3-(4-니트로페닐)-1H-인돌-2-카르복스아미드를 얻었으며, 그의 특성치는 다음과 같았다:0.047 g of sodium hydride and 73 μl of methane iodide were added under argon to a solution of 0.3 g of 3- (4-nitrophenyl) -1H-indole-2-carboxamide in 8 ml of anhydrous dimethylformamide. . The reaction mixture was stirred for 2 h at ambient temperature and 45 ml of water were added. The solid formed was filtered off, washed three times with 15 ml of water and the filter was dried. After drying under vacuum, 0.22 g of 1-methyl-3- (4-nitrophenyl) -1H-indole-2-carboxamide were obtained, the characteristic of which was as follows:

Figure 112007049241203-PCT00038
Figure 112007049241203-PCT00038

1-메틸-3-(4-아미노페닐)-1H-인돌-2-카르복스아미드1-methyl-3- (4-aminophenyl) -1H-indole-2-carboxamide

0.2 g의 1-메틸-3-(4-니트로페닐)-1H-인돌-2-카르복스아미드 및 0.14 g의 10% 목탄 상 팔라듐을 8 ml의 메탄올에 첨가하고, 반응 혼합물을 25℃, 5 바에서 4시간 30분 동안 수소화시켰다. 그리고 나서, 반응 혼합물을 실리카 겔 박층으로 여과하고, 여과액을 감압 하에서 농축시켜, 0.91 g의 1-메틸-3-(4-아미노페닐)-1H-인돌-2-카르복스아미드를 얻었으며, 그의 특성치는 다음과 같았다:0.2 g of 1-methyl-3- (4-nitrophenyl) -1H-indole-2-carboxamide and 0.14 g of 10% charcoal on palladium are added to 8 ml of methanol and the reaction mixture is 25 ° C., 5 The bar was hydrogenated for 4 hours 30 minutes. The reaction mixture was then filtered through a thin layer of silica gel and the filtrate was concentrated under reduced pressure to yield 0.91 g of 1-methyl-3- (4-aminophenyl) -1H-indole-2-carboxamide, His characteristics were as follows:

Figure 112007049241203-PCT00039
Figure 112007049241203-PCT00039

3-{4-[3-(2-플루오로-5-트리플루오로메틸페닐)우레이도]페닐}-1-메틸-1H-인돌-2-카르복스아미드3- {4- [3- (2-fluoro-5-trifluoromethylphenyl) ureido] phenyl} -1-methyl-1H-indole-2-carboxamide

0.075 g의 2-플루오로-5-트리플루오로메틸페닐 이소시아네이트를 18 ml의 테트라히드로푸란 중 0.086 g의 1-메틸-3-(4-아미노페닐)-1H-인돌-2-카르복스아미드 용액에 첨가하고, 교반을 1시간 동안 계속하였다. 5 ml의 메탄올을 첨가하고 나서, 반응 혼합물을 감압 하에서 농축시키고, 잔류물을 실리카 겔 상에서 크로마토 그래피에 의해 정제하고, 시클로헥산 및 에틸 아세테이트(부피 기준 20/80)의 혼합물로 용리를 수행하여, 90 mg의 3-{4-[3-(2-플루오로-5-트리플루오로메틸페닐)우레이도]페닐}-1-메틸-1H-인돌-2-카르복스아미드를 얻었으며, 그의 특성치는 다음과 같았다:0.075 g of 2-fluoro-5-trifluoromethylphenyl isocyanate was added to a solution of 0.086 g of 1-methyl-3- (4-aminophenyl) -1H-indole-2-carboxamide in 18 ml of tetrahydrofuran. Add and continue stirring for 1 hour. After addition of 5 ml of methanol, the reaction mixture is concentrated under reduced pressure, the residue is purified by chromatography on silica gel, eluting with a mixture of cyclohexane and ethyl acetate (20/80 by volume), 90 mg of 3- {4- [3- (2-fluoro-5-trifluoromethylphenyl) ureido] phenyl} -1-methyl-1H-indole-2-carboxamide were obtained, the characteristic of which was It was as follows:

Figure 112007049241203-PCT00040
Figure 112007049241203-PCT00040

실시예 9: 3-{4-[3-(3-클로로-4-트리플루오로메틸페닐)우레이도]페닐}-1H-인돌-2-카르복스아미드Example 9: 3- {4- [3- (3-chloro-4-trifluoromethylphenyl) ureido] phenyl} -1H-indole-2-carboxamide

Figure 112007049241203-PCT00041
Figure 112007049241203-PCT00041

3-{4-[3-(3-클로로-4-트리플루오로메틸페닐)우레이도]페닐}-1H-인돌-2-카르복스아미드를 3-클로로-4-트리플루오로메틸페닐 이소시아네이트를 사용하여, 상기 설명한 방법 a에 따라 제조하였다. 그의 특성치는 다음과 같았다:3- {4- [3- (3-chloro-4-trifluoromethylphenyl) ureido] phenyl} -1H-indole-2-carboxamide was prepared using 3-chloro-4-trifluoromethylphenyl isocyanate. , According to method a described above. His characteristics were as follows:

Figure 112007049241203-PCT00042
Figure 112007049241203-PCT00042

실시예 10: 3-{4-[3-(5-tert-부틸이속사졸-3-일)우레이도]페닐}-1H-인돌-2-카르복스아미드Example 10 3- {4- [3- (5-tert-butylisoxazol-3-yl) ureido] phenyl} -1H-indole-2-carboxamide

Figure 112007049241203-PCT00043
Figure 112007049241203-PCT00043

3-{4-[3-(5-tert-부틸이속사졸-3-일)우레이도]페닐}-1H-인돌-2-카르복스아미드를 5-tert-부틸이속사졸-3-이소시아네이트를 사용하여, 상기 설명한 방법 a에 따라 제조하였다. 그의 특성치는 다음과 같았다:3- {4- [3- (5-tert-butylisoxazol-3-yl) ureido] phenyl} -1H-indole-2-carboxamide to 5-tert-butylisoxazole-3-isocyanate Was prepared according to the method a described above. His characteristics were as follows:

Figure 112007049241203-PCT00044
Figure 112007049241203-PCT00044

실시예 11: 3-{4-[3-(4-트리플루오로메톡시페닐)우레이도]페닐}-1H-인돌-2- 카르복스아미드Example 11: 3- {4- [3- (4-trifluoromethoxyphenyl) ureido] phenyl} -1H-indole-2-carboxamide

Figure 112007049241203-PCT00045
Figure 112007049241203-PCT00045

3-{4-[3-(4-트리플루오로메톡시페닐)우레이도]페닐}-1H-인돌-2-카르복스아미드를 4-트리플루오로메톡시페닐 이소시아네이트를 사용하여, 상기 설명한 방법 a에 따라 제조하였다. 그의 특성치는 다음과 같았다:3- {4- [3- (4-trifluoromethoxyphenyl) ureido] phenyl} -1H-indole-2-carboxamide was added to method a described above using 4-trifluoromethoxyphenyl isocyanate. Prepared accordingly. His characteristics were as follows:

Figure 112007049241203-PCT00046
Figure 112007049241203-PCT00046

실시예 12: 3-{4-[3-(2-메톡시-5-트리플루오로메틸페닐)우레이도]페닐}-1H-인돌-2-카르복스아미드Example 12: 3- {4- [3- (2-methoxy-5-trifluoromethylphenyl) ureido] phenyl} -1H-indole-2-carboxamide

Figure 112007049241203-PCT00047
Figure 112007049241203-PCT00047

3-{4-[3-(2-메톡시-5-트리플루오로메틸페닐)우레이도]페닐}-1H-인돌-2-카르복스아미드를 2-메톡시-5-트리플루오로메틸페닐 이소시아네이트를 사용하여, 상기 설명한 방법 a에 따라 제조하였다. 그의 특성치는 다음과 같았다:3- {4- [3- (2-methoxy-5-trifluoromethylphenyl) ureido] phenyl} -1H-indole-2-carboxamide to 2-methoxy-5-trifluoromethylphenyl isocyanate Using according to method a described above. His characteristics were as follows:

Figure 112007049241203-PCT00048
Figure 112007049241203-PCT00048

실시예 13: 3-[4-(2-플루오로-5-트리플루오로메틸벤젠술포닐아미노)페닐]-1H-인돌-2-카르복스아미드Example 13: 3- [4- (2-fluoro-5-trifluoromethylbenzenesulfonylamino) phenyl] -1 H-indole-2-carboxamide

Figure 112007049241203-PCT00049
Figure 112007049241203-PCT00049

6 ml의 피리딘 중 162 mg의 2-플루오로-5-트리플루오로메틸페닐술포닐 클로라이드를 0℃에서, 12 ml의 피리딘 중 100 mg의 3-(4-아미노페닐)-1H-인돌-2-카르복스아미드 (실시예 1) 용액에 적가하였다. 혼합물을 6시간 동안 주위 온도에서 교반하고 나서, 50 ml의 빙냉수에 붓고, 형성된 침전물을 여과하였다. 실리카 컬럼 상에서 플래시 크로마토그래피에 의해 정제한 후, 시클로헥산 및 에틸 아세테이 트(부피 기준 20/80)의 혼합물로 용리를 수행하여, 50 mg의 3-[4-(2-플루오로-5-트리플루오로메틸벤젠술포닐아미노)페닐]-1H-인돌-2-카르복스아미드를 얻었으며, 그의 특성치는 다음과 같았다:162 mg of 2-fluoro-5-trifluoromethylphenylsulfonyl chloride in 6 ml of pyridine was added at 0 ° C. and 100 mg of 3- (4-aminophenyl) -1H-indole-2- in 12 ml of pyridine. To the solution of carboxamide (Example 1) was added dropwise. The mixture was stirred for 6 hours at ambient temperature, then poured into 50 ml of ice cold water and the precipitate formed was filtered off. After purification by flash chromatography on a silica column, eluting with a mixture of cyclohexane and ethyl acetate (20/80 by volume) yielded 50 mg of 3- [4- (2-fluoro-5- Trifluoromethylbenzenesulfonylamino) phenyl] -1H-indole-2-carboxamide was obtained and its properties were as follows:

Figure 112007049241203-PCT00050
Figure 112007049241203-PCT00050

실시예 14: 3-[4-(2,3-디클로로벤젠술포닐아미노)페닐]-1H-인돌-2-카르복스아미드Example 14 3- [4- (2,3-dichlorobenzenesulfonylamino) phenyl] -1H-indole-2-carboxamide

Figure 112007049241203-PCT00051
Figure 112007049241203-PCT00051

3-[4-(2,3-디클로로벤젠술포닐아미노)페닐]-1H-인돌-2-카르복스아미드를 3,4-디클로로페닐술포닐 클로라이드를 사용하여 실시예 13에 따라 제조하였다. 그의 특성치는 다음과 같았다:3- [4- (2,3-dichlorobenzenesulfonylamino) phenyl] -1H-indole-2-carboxamide was prepared according to Example 13 using 3,4-dichlorophenylsulfonyl chloride. His characteristics were as follows:

Figure 112007049241203-PCT00052
Figure 112007049241203-PCT00052

Figure 112007049241203-PCT00053
Figure 112007049241203-PCT00053

실시예 15: 3-{4-[3-(5-tert-부틸-2-p-톨릴-2H-피라졸-3-일)우레이도]페닐}-1H-인돌-2-카르복스아미드Example 15 3- {4- [3- (5-tert-butyl-2-p-tolyl-2H-pyrazol-3-yl) ureido] phenyl} -1H-indole-2-carboxamide

Figure 112007049241203-PCT00054
Figure 112007049241203-PCT00054

43 mg의 트리포스겐 및, 이어서 110 ㎕의 트리에틸아민을 0℃에서, 18 ml의 테트라히드로푸란 중 100 mg의 3-(4-아미노페닐)-1H-인돌-2-카르복스아미드 (실시예 1) 용액에 첨가하였다. 혼합물을 주위 온도에서 1시간 동안 교반하고 나서, 110 mg의 5 tert-부틸-2-p-톨릴-2H-피라졸-3-일아민을 첨가하였다. 혼합물을 1시간 동안 교반하고, 감압 하에서 농축시키고, 잔류물을 2 ml의 에틸 아세테이트로 연화처리하여, 흰색 고체를 얻었다. 여과 및 건조 후, 150 mg의 3-{4-[3-(5-tert-부틸-2-p-톨릴-2H-피라졸-3-일)우레이도]페닐}-1H-인돌-2-카르복스아미드를 얻었으 며, 그의 특성치는 다음과 같았다:43 mg of triphosgene and then 110 μl of triethylamine at 0 ° C., 100 mg of 3- (4-aminophenyl) -1H-indole-2-carboxamide in 18 ml of tetrahydrofuran (Example 1) added to the solution. The mixture was stirred at ambient temperature for 1 hour and then 110 mg of 5 tert-butyl-2-p-tolyl-2H-pyrazol-3-ylamine was added. The mixture was stirred for 1 h, concentrated under reduced pressure and the residue triturated with 2 ml of ethyl acetate to give a white solid. After filtration and drying, 150 mg 3- {4- [3- (5-tert-butyl-2-p-tolyl-2H-pyrazol-3-yl) ureido] phenyl} -1H-indole-2- Carboxamides were obtained and their properties were as follows:

Figure 112007049241203-PCT00055
Figure 112007049241203-PCT00055

실시예 16: 3-{4-[3-(2-플루오로-5-메틸페닐)우레이도페닐}-1H-인돌-2-카르복스아미드Example 16: 3- {4- [3- (2-fluoro-5-methylphenyl) ureidophenyl} -1H-indole-2-carboxamide

Figure 112007049241203-PCT00056
Figure 112007049241203-PCT00056

0.115 cm3 (0.876 mmol)의 2-플루오로-5-메틸페닐 이소시아네이트를 아르곤 하에 20℃ 부근의 온도에서, 10 cm3의 테트라히드로푸란 중 0.2 g (0.796 mmol)의 3-(4-아미노페닐)-1H-인돌-2-카르복스아미드 용액에 첨가하였다. 18시간 동안 20℃ 부근의 온도에서 교반시킨 후, 반응 혼합물을 감압 하(2.7 kPa)에서 건조해질 때까지 농축시켜, 400 mg의 잔류물을 얻었으며, 이를 플래시 크로마토그래피[용리액: 에틸 아세테이트/시클로헥산 (부피 기준 7/3)]로 정제하였다. 예상 생성물을 함유하는 분획을 감압 하에서 농축시킨 후, 250 mg의 노란색 잔류물을 얻었으며, 이 잔류물을 10 cm3의 디클로로메탄 중에 교반시키고 나서, 여과하고, 감압(2.7 kPa) 하에서 건조시켜, 180 mg의 3-{4-[3-(2-플루오로-5-메틸페닐)우레이도]페닐}-1H-인돌-2-카르복스아미드를 220℃에서 용융하는 베이지색 고체 형태로 얻었다.0.115 cm3 (0.876 mmol) of 2-fluoro-5-methylphenyl isocyanate under argon at a temperature near 20 ° C., 0.2 g (0.796 mmol) of 3- (4-aminophenyl) in 10 cm3 of tetrahydrofuran To -1H-indole-2-carboxamide solution. After stirring for 18 hours at a temperature near 20 ° C., the reaction mixture was concentrated to dryness under reduced pressure (2.7 kPa) to give 400 mg of residue, which was subjected to flash chromatography [eluent: ethyl acetate / cyclo]. Hexane (volume 7/3)]. The fractions containing the expected product were concentrated under reduced pressure to give 250 mg of a yellow residue which was stirred in 10 cm3 of dichloromethane, filtered and dried under reduced pressure (2.7 kPa), 180 mg of 3- {4- [3- (2-fluoro-5-methylphenyl) ureido] phenyl} -1H-indole-2-carboxamide were obtained in the form of a beige solid which melts at 220 ° C.

Figure 112007049241203-PCT00057
Figure 112007049241203-PCT00057

Figure 112007049241203-PCT00058
Figure 112007049241203-PCT00058

실시예 17: 3-{4-[3-(5-디메틸아미노-2-플루오로페닐)우레이도]페닐}-1H-인돌-2-카르복스아미드Example 17: 3- {4- [3- (5-dimethylamino-2-fluorophenyl) ureido] phenyl} -1 H-indole-2-carboxamide

Figure 112007049241203-PCT00059
Figure 112007049241203-PCT00059

0.14 N 테트라히드로푸란 중 5 디메틸아미노-2-플루오로페닐 이소시아네이트 용액 18 cm3 (2.52 mmol), 및 이어서 0.1 cm3 (0.796 mmol)의 트리에틸아민을 아르곤 대기 하에 20℃ 부근의 온도에서, 0.2 g (0.796 mmol)의 3-(4-아미노페닐)-1H-인돌-2-카르복스아미드에 첨가하였다. 20℃ 부근의 온도에서 18시간 동안 교반한 후, 반응 혼합물을 감압(2.7 kPa) 하에서 건조될 때까지 농축시켜, 0.7 g의 갈색 오일을 얻었으며, 이 오일을 플래시 크로마토그래피 [용리액: 에틸 아세테이트/시클로헥산 (부피 기준 7/3)]로 정제하였다. 예상 생성물을 함유하는 분획을 감압 하에서 농축시킨 후, 220 mg의 노란색 잔류물을 얻었으며, 이 잔류물을 10 cm3의 디에틸 에테르 중에서 교반하고 나서, 여과하고, 감압(2.7 kPa) 하에서 건조시켜, 200 mg의 3-{4-[3-(5-디메틸아미노-2-플루오로페닐)우레이도]페닐}-1H-인돌-2-카르복스아미드를 180℃ 및 220℃ 사이에서 용융하는 베이지색 고체 형태로 얻었다.18 cm3 (2.52 mmol) of 5 dimethylamino-2-fluorophenyl isocyanate solution in 0.14 N tetrahydrofuran, and then 0.1 cm3 (0.796 mmol) of triethylamine at a temperature near 20 ° C. under an argon atmosphere, at 0.2 g (0.796 mmol) to 3- (4-aminophenyl) -1H-indole-2-carboxamide. After stirring for 18 h at a temperature near 20 ° C., the reaction mixture was concentrated to dryness under reduced pressure (2.7 kPa) to give 0.7 g of brown oil, which was flash chromatography [eluent: ethyl acetate / Cyclohexane (volume 7/3)]. Fractions containing the expected product were concentrated under reduced pressure to afford 220 mg of a yellow residue which was stirred in 10 cm3 of diethyl ether, filtered and dried under reduced pressure (2.7 kPa). Beige, melting 200 mg of 3- {4- [3- (5-dimethylamino-2-fluorophenyl) ureido] phenyl} -1H-indole-2-carboxamide between 180 ° C and 220 ° C Obtained in the form of a color solid.

Figure 112007049241203-PCT00060
Figure 112007049241203-PCT00060

Figure 112007049241203-PCT00061
Figure 112007049241203-PCT00061

0.14 N 테트라히드로푸란 중 5-디메틸아미노-2-플루오로페닐 이소시아네이트 용액은 하기 방식으로 제조될 수 있다:A 5-dimethylamino-2-fluorophenyl isocyanate solution in 0.14 N tetrahydrofuran can be prepared in the following manner:

1.09 g (7.1 mmol)의 4-플루오로-N1,N1-디메틸벤젠-1,3-디아민, 및 이어서 4.6 cm3의 피리딘을 아르곤 대기 하에 5℃ 부근의 온도에서, 150 cm3의 디클로로메탄 중 2.82 g (9.5 mmol)의 트리포스겐 용액에 첨가하였다. 20℃ 부근의 온도에서 18시간 동안 교반한 후, 반응 혼합물을 감압(2.7 kPa) 하에 건조해질 때까지 농축시켜 잔류물을 얻고, 이를 40 cm3의 테트라히드로푸란 중에서 연화처리하였다. 여과 후, 약 0.14 N 테트라히드로푸란 중 5-디메틸아미노-2-플루오로페닐 이소시아네 이트 용액을 얻었으며, 이 용액을 다음 단계에서 직접 사용하였다.1.09 g (7.1 mmol) of 4-fluoro-N1, N1-dimethylbenzene-1,3-diamine, and then 4.6 cm3 of pyridine in 150 cm3 of dichloromethane at a temperature near 5 ° C. under an argon atmosphere 2.82 g (9.5 mmol) of triphosgene solution was added. After stirring for 18 h at a temperature near 20 ° C., the reaction mixture was concentrated to dryness under reduced pressure (2.7 kPa) to give a residue, which was triturated in 40 cm3 of tetrahydrofuran. After filtration, a 5-dimethylamino-2-fluorophenyl isocyanate solution in about 0.14 N tetrahydrofuran was obtained, which was used directly in the next step.

4-플루오로-N1,N1-디메틸벤젠-1,3-디아민은 하기 방식으로 제조될 수 있다:4-Fluoro-N1, N1-dimethylbenzene-1,3-diamine can be prepared in the following manner:

3.23 g (17.54 mmol)의 (4-플루오로-3-니트로페닐)디메틸아민을 20℃ 부근의 온도에서, 100 cm3의 메탄올 중 0.6 g (5.63 mmol)의 10% 목탄 상 팔라듐 현탁액에 첨가하였다. 5 바의 수소압, 25℃ 부근의 온도의 오토클레이브 중에서 30분 동안 수소화시킨 후, 반응 혼합물을 여과하고, 촉매를 10 cm3의 메탄올로 3회 세정하고 나서, 여과액을 감압(2.7 kPa) 하에서 건조해질 때까지 농축시켜, 2.7 g의 4-플루오로-N1,N1-디메틸벤젠-1,3-디아민을 갈색 오일 형태로 얻었다.3.23 g (17.54 mmol) of (4-fluoro-3-nitrophenyl) dimethylamine were added to a suspension of palladium on charcoal on 0.6 g (5.63 mmol) of 10% charcoal in 100 cm3 of methanol at a temperature near 20 ° C. . After hydrogenation in an autoclave at 5 bar hydrogen pressure and temperature around 25 ° C. for 30 minutes, the reaction mixture is filtered, the catalyst is washed three times with 10 cm3 of methanol and the filtrate is decompressed (2.7 kPa). Concentrate to dryness under, to give 2.7 g of 4-fluoro-N1, N1-dimethylbenzene-1,3-diamine in the form of a brown oil.

Figure 112007049241203-PCT00062
Figure 112007049241203-PCT00062

(4-플루오로-3-니트로페닐)디메틸아민은 하기 방식으로 제조될 수 있다:(4-fluoro-3-nitrophenyl) dimethylamine can be prepared in the following manner:

13.27 g (96 mmol)의 탄산칼륨을 아르곤 대기 하에 20℃ 부근의 온도에서, 50 cm3의 디메틸포름아미드 중 5 g (32 mmol)의 4-플루오로-3-니트로아닐린 용액에 첨가한 후, 5℃ 부근의 온도에서, 4.6 cm3 (73.6 mmol)의 요오도메탄을 첨가하였다. 20℃ 부근의 온도에서 63시간 동안 교반한 후, 반응 혼합물을 100 cm3의 물에 붓고 나서, 100 cm3의 디클로로메탄으로 3회 추출하였다. 유기 상들을 합하고, 100 cm3의 물로 3회 세척하고, 무수 황산마그네슘으로 건조시키고, 여과하고, 감압(2.7 kPa) 하에서 건조해질 때까지 농축시켜, 5.5 g의 잔류물을 얻었으며, 이를 플래시 크로마토그래피 [용리액: 에틸 아세테이트/시클로헥산 (부피 기준 2/8)]로 정제하였다. 예상 생성물을 함유하는 분획을 감압 하에서 농축시킨 후, 2.78 g의 (4-플루오로-3-니트로페닐)디메틸아민을 적오렌지색 고체 형태로 얻었다.13.27 g (96 mmol) of potassium carbonate was added to a solution of 5 g (32 mmol) of 4-fluoro-3-nitroaniline in 50 cm3 of dimethylformamide at a temperature near 20 ° C. under an argon atmosphere, At a temperature near 5 ° C., 4.6 cm3 (73.6 mmol) of iodomethane were added. After stirring for 63 hours at a temperature near 20 ° C., the reaction mixture was poured into 100 cm3 of water and then extracted three times with 100 cm3 of dichloromethane. The organic phases were combined, washed three times with 100 cm3 of water, dried over anhydrous magnesium sulfate, filtered and concentrated to dryness under reduced pressure (2.7 kPa) to give 5.5 g of residue, which was flash chromatographed. Purification by chromatography [eluent: ethyl acetate / cyclohexane (2/8 by volume)]. After concentration of the fractions containing the expected product under reduced pressure, 2.78 g of (4-fluoro-3-nitrophenyl) dimethylamine were obtained in the form of a red orange solid.

Figure 112007049241203-PCT00063
Figure 112007049241203-PCT00063

실시예 18: 3-{4-[3-(3-디메틸아미노페닐)우레이도]페닐}-1H-인돌-2-카르복스아미드Example 18 3- {4- [3- (3-dimethylaminophenyl) ureido] phenyl} -1H-indole-2-carboxamide

Figure 112007049241203-PCT00064
Figure 112007049241203-PCT00064

0.14 N 테트라히드로푸란 중 3-디메틸아미노페닐 이소시아네이트 용액 8.5 cm3 (0.8 mmol), 및 이어서 0.055 cm3 (0.4 mmol)의 트리에틸아민을 아르곤 대기 하에 20℃ 부근의 온도에서, 0.1 g (0.4 mmol)의 3-(4-아미노페닐)-1H-인돌-2-카르복스아미드에 첨가하였다. 20℃ 부근의 온도에서 18시간 동안 교반한 후, 0.1 cm3의 물을 첨가하고 나서, 반응 혼합물을 감압(2.7 kPa) 하에서 건조해질 때까지 농축시켜, 0.7 g의 잔류물을 얻었으며, 이를 플래시 크로마토그래피 [용리액: 디클로로메탄/메탄올 (부피 기준 95/5)]로 정제하였다. 예상 생성물을 함유하는 분획을 감압 하에서 농축시킨 후, 81 mg의 3-{4-[3-(3-디메틸아미노페닐)우레이도]페닐}-1H-인돌-2-카르복스아미드를 160℃와 220℃ 사이에서 용융하는 흰색 고체 형태로 얻었 다.A solution of 3-dimethylaminophenyl isocyanate in 0.14 N tetrahydrofuran 8.5 cm3 (0.8 mmol), and then 0.055 cm3 (0.4 mmol) triethylamine at a temperature near 20 ° C. under argon atmosphere, 0.1 g (0.4 mmol) ) To 3- (4-aminophenyl) -1H-indole-2-carboxamide. After stirring for 18 hours at a temperature near 20 ° C., 0.1 cm3 of water was added and the reaction mixture was concentrated to dryness under reduced pressure (2.7 kPa) to give 0.7 g of residue, which was flashed. Purify by chromatography [eluent: dichloromethane / methanol (95/5 by volume)]. The fraction containing the expected product was concentrated under reduced pressure, then 81 mg of 3- {4- [3- (3-dimethylaminophenyl) ureido] phenyl} -1H-indole-2-carboxamide was charged with 160 ° C. Obtained in the form of a white solid which melts between 220 ° C.

Figure 112007049241203-PCT00065
Figure 112007049241203-PCT00065

0.14 N 테트라히드로푸란 중 3-디메틸아미노페닐 이소시아네이트 용액은 하기 방식으로 제조할 수 있다.A 3-dimethylaminophenyl isocyanate solution in 0.14 N tetrahydrofuran can be prepared in the following manner.

1.46 g (7 mmol)의 N1,N1-디메틸벤젠-1,3-디아민 디히드로클로라이드, 및 이어서 9.9 cm3 (71.64 mmol)의 트리에틸아민을 아르곤 대기 하에 5℃ 부근의 온도에서, 150 cm3의 디클로로메탄 중 2.82 g (9.5 mmol)의 트리포스겐 용액에 첨가하였다. 20℃ 부근의 온도에서 20시간 동안 교반한 후, 반응 혼합물을 감압(2.7 kPa) 하에서 건조해질 때까지 농축시켜 잔류물을 얻었으며, 이를 50 cm3의 테트라히드로푸란 중에서 연화처리하였다. 여과 후, 약 0.14 N 테트라히드로푸란 중 3-디메틸아미노페닐 이소시아네이트 용액을 얻었으며, 이를 후속 단계에서 직접 사용하였다.1.46 g (7 mmol) of N1, N1-dimethylbenzene-1,3-diamine dihydrochloride, and then 9.9 cm3 (71.64 mmol) of triethylamine at a temperature of around 5 ° C. under an argon atmosphere, 150 cm3 To a solution of 2.82 g (9.5 mmol) of triphosgen in dichloromethane. After stirring for 20 hours at a temperature near 20 ° C., the reaction mixture was concentrated to dryness under reduced pressure (2.7 kPa) to give a residue, which was triturated in 50 cm3 of tetrahydrofuran. After filtration, a solution of 3-dimethylaminophenyl isocyanate in about 0.14 N tetrahydrofuran was obtained, which was used directly in the next step.

실시예 19: 3-{4-[3-(2-피롤리딘-1-일메틸-5-트리플루오로메틸페닐)우레이도]페닐}-1H-인돌-2-카르복스아미드Example 19: 3- {4- [3- (2-pyrrolidin-1-ylmethyl-5-trifluoromethylphenyl) ureido] phenyl} -1H-indole-2-carboxamide

Figure 112007049241203-PCT00066
Figure 112007049241203-PCT00066

19.7 mg (0.066 mmol)의 트리포스겐, 및 이어서 0.056 cm3 (0.4 mmol)의 트리에틸아민을 아르곤 대기 하에 20℃ 부근의 온도에서, 10 cm3의 테트라히드로푸란 중 0.05 g (0.2 mmol)의 4-(4-아미노페닐)-1H-피롤-3-카르복스아미드 용액에 첨가하였다. 20℃ 부근의 온도에서 1시간 동안 교반한 후, 2 cm3의 테트라히드로푸란 중 48.61 mg (0.2 mmol)의 2-피롤리딘-1-일메틸-5-트리플루오로메틸페닐아민 용액을 첨가하였다. 20℃ 부근의 온도에서 3시간 동안 교반한 후, 반응 혼합물을 감압(2.7 kPa) 하에 건조해질 때까지 농축시켜, 0.15 g의 잔류물을 얻었으며, 이를 플래시 크로마토그래피 [용리액: 디클로로메탄/메탄올 (부피 기준 95/5)]로 정제하였다. 예상 생성물을 함유하는 분획을 감압 하에서 농축시킨 후, 45 mg의 3-{4-[3-(2-피롤리딘-1-일메틸-5-트리플루오로메틸페닐)우레이도]페닐}-1H-인돌-2-카르복스아미드를 190℃와 250℃ 사이에서 용융하는 베이지색 고체 형태로 얻었다.19.7 mg (0.066 mmol) of triphosgene, and then 0.056 cm3 (0.4 mmol) of triethylamine in 0.05 cm (0.2 mmol) of 4 in 10 cm3 of tetrahydrofuran at a temperature near 20 ° C. under an argon atmosphere. To-(4-aminophenyl) -1H-pyrrole-3-carboxamide solution. After stirring for 1 hour at a temperature near 20 ° C., 48.61 mg (0.2 mmol) of 2-pyrrolidin-1-ylmethyl-5-trifluoromethylphenylamine solution in 2 cm3 of tetrahydrofuran was added. . After stirring for 3 h at a temperature near 20 ° C., the reaction mixture was concentrated to dryness under reduced pressure (2.7 kPa) to give 0.15 g of residue, which was subjected to flash chromatography [eluent: dichloromethane / methanol ( 95/5) by volume. The fraction containing the expected product was concentrated under reduced pressure and then 45 mg of 3- {4- [3- (2-pyrrolidin-1-ylmethyl-5-trifluoromethylphenyl) ureido] phenyl} -1H Indole-2-carboxamide was obtained in the form of a beige solid which melted between 190 ° C and 250 ° C.

Figure 112007049241203-PCT00067
Figure 112007049241203-PCT00067

2-피롤리딘-1-일메틸-5-트리플루오로메틸페닐아민는 하기 방식으로 제조될 수 있다:2-Pyrrolidin-1-ylmethyl-5-trifluoromethylphenylamine can be prepared in the following manner:

0.44 g (1.604 mmol)의 1-(2-니트로-4-트리플루오로메틸벤질)피롤리딘을 25℃ 부근의 온도에서, 25 cm3의 메탄올 중 0.05 g (0.47 mmol)의 10% 목탄 상 팔라듐 현탁액에 첨가하였다. 25℃ 부근의 온도, 5 바의 수소압 하의 오토클레이브 중에서 3시간 동안 수소화시킨 후, 반응 혼합물을 여과하고, 촉매를 5 cm3의 메탄올로 3회 세정하고 나서, 여과액을 감압(2.7 kPa) 하에서 건조해질 때까지 농축시켜, 0.4 g의 2-피롤리딘-1-일메틸-5-트리플루오로메틸페닐아민을 오렌지색 오일 형태로 얻었다.0.44 g (1.604 mmol) of 1- (2-nitro-4-trifluoromethylbenzyl) pyrrolidine at a temperature near 25 ° C. on 0.05 g (0.47 mmol) of 10% charcoal in 25 cm3 of methanol It was added to the palladium suspension. After hydrogenation in an autoclave at a temperature near 25 ° C. under hydrogen pressure of 5 bar for 3 hours, the reaction mixture is filtered, the catalyst is washed three times with 5 cm3 of methanol, and the filtrate is decompressed (2.7 kPa). Concentrate to dryness under, affording 0.4 g of 2-pyrrolidin-1-ylmethyl-5-trifluoromethylphenylamine in the form of an orange oil.

Figure 112007049241203-PCT00068
Figure 112007049241203-PCT00068

1-(2-니트로-4-트리플루오로메틸벤질)피롤리딘은 하기 방식으로 제조될 수 있다:1- (2-nitro-4-trifluoromethylbenzyl) pyrrolidine can be prepared in the following manner:

0.35 cm3-(4.174 mmol)의 피롤리딘을 아르곤 대기 하에 20℃ 부근의 온도에서, 20 cm3의 디클로로메탄 중 0.5 g (2.087 mmol)의 1-클로로메틸-2-니트로-4-트리플루오로메틸벤젠 용액에 첨가하였다. 20℃ 부근의 온도에서 16시간 동안 교반한 후, 반응 혼합물을 250 cm3의 디클로로메탄으로 희석시키고, 200 cm3의 물로 3회 세척하고, 무수 황산마그네슘으로 건조시키고, 여과하고, 감압(2.7 kPa) 하에서 건조해질 때까지 농축시켜, 458 mg의 1-(2-니트로-4-트리플루오로메틸벤질)피롤리딘을 오일 형태로 얻었다.0.35 cm3- (4.174 mmol) of pyrrolidine at a temperature near 20 ° C. under an argon atmosphere, 0.5 g (2.087 mmol) of 1-chloromethyl-2-nitro-4-trifluoro in 20 cm3 of dichloromethane It was added to the romethylbenzene solution. After stirring for 16 hours at a temperature near 20 ° C., the reaction mixture is diluted with 250 cm3 of dichloromethane, washed three times with 200 cm3 of water, dried over anhydrous magnesium sulfate, filtered and decompressed (2.7 kPa). Concentrated to dryness under) to give 458 mg of 1- (2-nitro-4-trifluoromethylbenzyl) pyrrolidine in oil form.

Figure 112007049241203-PCT00069
Figure 112007049241203-PCT00069

실시예 20: 3-{4-[3-(2-메톡시메틸-5-트리플루오로메틸-페닐)우레이도]페닐}-1H-인돌-2-카르복스아미드Example 20: 3- {4- [3- (2-methoxymethyl-5-trifluoromethyl-phenyl) ureido] phenyl} -1H-indole-2-carboxamide

Figure 112007049241203-PCT00070
Figure 112007049241203-PCT00070

52.5 mg (0.177 mmol)의 트리포스겐, 및 이어서 0.15 cm3 (1.072 mmol)의 트리에틸아민을 아르곤 대기 하에 20℃ 부근의 온도에서, 20 cm3의 테트라히드로푸란 중 134.7 mg (0.536 mmol)의 4-(4-아미노페닐)-1H-피롤-3-카르복스아미드 용액에 첨가하였다. 20℃ 부근의 온도에서 1시간 동안 교반한 후, 2 cm3의 테트라히드로푸란 중 110 mg (0.536 mmol)의 2-메톡시메틸-5-트리플루오로메틸페닐아민 용액을 첨가하였다. 20℃ 부근의 온도에서 3시간 동안 교반한 후, 0.1 cm3의 물을 첨가하고 나서, 반응 혼합물을 감압(2.7 kPa) 하에서 건조해질 때까지 농축시켜, 0.4 g의 노란색 고체를 얻었으며, 이를 플래시 크로마토그래피 [용리액: 에틸 아세테이트/시클로헥산 (부피 기준 7/3)]로 정제하였다. 예상 생성물을 함유하는 분획을 감압 하에서 농축시킨 후, 20 mg의 3-{4-[3-(2-메톡시메틸-5-트리플루오로메틸페닐)우레이도]페닐}-1H-인돌-2-카르복스아미드를 170℃와 220℃ 사이에서 용융하는 베이지 색 고체 형태로 얻었다.52.5 mg (0.177 mmol) of triphosgene, and then 0.15 cm3 (1.072 mmol) of triethylamine were added to 134.7 mg (0.536 mmol) of 4 in 20 cm3 of tetrahydrofuran at a temperature near 20 ° C. under an argon atmosphere. To-(4-aminophenyl) -1H-pyrrole-3-carboxamide solution. After stirring for 1 h at a temperature near 20 ° C., a solution of 110 mg (0.536 mmol) of 2-methoxymethyl-5-trifluoromethylphenylamine in 2 cm3 of tetrahydrofuran was added. After stirring for 3 hours at a temperature near 20 ° C., 0.1 cm3 of water was added and the reaction mixture was concentrated to dryness under reduced pressure (2.7 kPa) to yield 0.4 g of a yellow solid, which was flashed. Purification by chromatography [eluent: ethyl acetate / cyclohexane (volume 7/3)]. The fraction containing the expected product was concentrated under reduced pressure, then 20 mg of 3- {4- [3- (2-methoxymethyl-5-trifluoromethylphenyl) ureido] phenyl} -1H-indole-2- Carboxamides were obtained in the form of a beige solid which melted between 170 ° C. and 220 ° C.

Figure 112007049241203-PCT00071
Figure 112007049241203-PCT00071

2-메톡시메틸-5-트리플루오로메틸페닐아민은 하기 방식으로 제조될 수 있다:2-methoxymethyl-5-trifluoromethylphenylamine can be prepared in the following manner:

0.15 g (0.638 mmol)의 1-메톡시메틸-2-니트로-4-트리플루오로메틸벤젠을 25℃ 부근의 온도에서, 20 cm3의 메탄올 중 0.02 g (0.188 mmol)의 10% 목탄 상 팔라듐 현탁액에 첨가하였다. 25℃ 부근의 온도, 1 바의 수소압의 오토클레이브 중에서 3시간 동안 수소화시킨 후, 반응 혼합물을 여과하고, 촉매를 5 cm3의 메탄올로 세정하고 나서, 여과액을 감압(2.7 kPa) 하에서 건조해질 때까지 농축시켜, 0.12 g의 2-메톡시메틸-5-트리플루오로메틸페닐아민을 노란색 오일 형태로 얻었다.0.15 g (0.638 mmol) of 1-methoxymethyl-2-nitro-4-trifluoromethylbenzene at a temperature near 25 ° C., 0.02 g (0.188 mmol) of palladium on 10% charcoal in 20 cm3 of methanol Added to suspension. After hydrogenation in an autoclave at 1 bar hydrogen pressure at a temperature near 25 ° C. for 3 hours, the reaction mixture is filtered, the catalyst is washed with 5 cm3 of methanol, and the filtrate is dried under reduced pressure (2.7 kPa). Concentration until dark gave 0.12 g of 2-methoxymethyl-5-trifluoromethylphenylamine in the form of a yellow oil.

Figure 112007049241203-PCT00072
Figure 112007049241203-PCT00072

1-메톡시메틸-2-니트로-4-트리플루오로메틸벤젠은 하기 방식으로 제조될 수 있다:1-methoxymethyl-2-nitro-4-trifluoromethylbenzene can be prepared in the following manner:

0.65 cm3 (10 mmol)의 요오도메탄, 및 이어서 1.163 g (5 mmol)의 산화은 및 0.07 cm3의 물을 아르곤 대기 하에 20℃ 부근의 온도에서, 10 cm3의 디클로로메탄 중 0.222 g (1 mmol)의 (2-니트로-4-트리플루오로메틸페닐)메탄올 용액에 첨가하였 다. 암소에서 20℃ 부근의 온도 하에 18시간 동안 교반한 후, 반응 혼합물을 셀라이트(Celite)®에 여과하였다. 셀라이트®를 10 cm3의 디클로로메탄으로 세정하였다. 그리고 나서, 여과액을 감압(2.7 kPa) 하에서 건조해질 때까지 농축시켰다. 잔류물을 10 cm3의 디클로로메탄, 및 0.65 cm3 (10 mmol)의 요오도메탄, 이어서 1.163 g (5 mmol)의 산화은 및 0.07 cm3의 물 중에 재용해시키고, 아르곤 대기 하에 20℃ 부근의 온도에서 첨가하였다. 암소에서 20℃ 부근의 온도 하에 60시간 동안 교반한 후, 반응 혼합물을 셀라이트?로 여과하였다. 셀라이트?를 10 cm3의 디클로로메탄으로 세정하였다. 그리고 나서, 여과액을 감압(2.7 kPa) 하에서 건조해질 때까지 농축시켰다. 잔류물을 플래시 크로마토그래피 [용리액: 디클로로메탄]로 정제하였다. 예상 생성물을 함유하는 분획을 감압 하에서 농축시킨 후, 157 mg의 1-메톡시메틸-2-니트로-4-트리플루오로메틸벤젠을 오일 형태로 얻었다.0.65 cm3 (10 mmol) of iodomethane, followed by 1.163 g (5 mmol) of silver oxide and 0.07 cm3 of water at a temperature near 20 ° C. under an argon atmosphere, at 0.222 g (10 cm3 in dichloromethane) mmol) was added to a (2-nitro-4-trifluoromethylphenyl) methanol solution. After stirring for 18 h at temperatures near 20 ° C. in the dark, the reaction mixture was filtered through Celite®. Celite® was washed with 10 cm3 of dichloromethane. The filtrate was then concentrated to dryness under reduced pressure (2.7 kPa). The residue is redissolved in 10 cm3 of dichloromethane, and 0.65 cm3 (10 mmol) of iodomethane, followed by 1.163 g (5 mmol) of silver oxide and 0.07 cm3 of water, at about 20 ° C. under an argon atmosphere. Add at temperature. After stirring for 60 hours in the dark at a temperature near 20 ° C., the reaction mixture was filtered through Celite®. Celite® was washed with 10 cm3 of dichloromethane. The filtrate was then concentrated to dryness under reduced pressure (2.7 kPa). The residue was purified by flash chromatography [eluent: dichloromethane]. Fractions containing the expected product were concentrated under reduced pressure, then 157 mg of 1-methoxymethyl-2-nitro-4-trifluoromethylbenzene was obtained in oil form.

Figure 112007049241203-PCT00073
Figure 112007049241203-PCT00073

(2-니트로-4-트리플루오로메틸페닐)메탄올은 하기 방식으로 제조될 수 있다:(2-nitro-4-trifluoromethylphenyl) methanol can be prepared in the following manner:

1.9 cm3 (1.9 mmol)의 a 1M 수산화나트륨 수용액을 20℃ 부근의 온도에서, 50 cm3의 메탄올 중 0.5 g (1.9 mmol)의 2-니트로-4-트리플루오로메틸벤질 아세테이트 용액에 첨가하였다. 20℃ 부근의 온도에서 2시간 동안 교반한 후, 20 cm3의 인 산나트륨 포화 수용액을 첨가하고 나서, 혼합물을 50 cm3의 디클로로메탄으로 3회 추출하였다. 유기 상들을 합하고, 50 cm3의 염화나트륨 포화수용액으로 세척하고, 무수 황산마그네슘으로 건조시키고, 여과하고, 감압(2.7 kPa) 하에서 건조해질 때까지 농축시켜, 0.424 g의 (2-니트로-4-트리플루오로메틸페닐)메탄올을 오일 형태로 얻었다.1.9 cm3 (1.9 mmol) of a 1M aqueous sodium hydroxide solution was added to a solution of 0.5 g (1.9 mmol) of 2-nitro-4-trifluoromethylbenzyl acetate in 50 cm3 of methanol at a temperature near 20 ° C. . After stirring for 2 hours at a temperature near 20 ° C., 20 cm3 saturated aqueous sodium phosphate aqueous solution was added, and the mixture was extracted three times with 50 cm3 of dichloromethane. The organic phases were combined, washed with 50 cm3 saturated aqueous sodium chloride solution, dried over anhydrous magnesium sulfate, filtered and concentrated to dryness under reduced pressure (2.7 kPa) to yield 0.424 g of (2-nitro-4-tri). Fluoromethylphenyl) methanol was obtained in oil form.

Figure 112007049241203-PCT00074
Figure 112007049241203-PCT00074

2-니트로-4-트리플루오로메틸벤질 아세테이트는 하기 방식으로 제조될 수 있다:2-nitro-4-trifluoromethylbenzyl acetate can be prepared in the following manner:

2 g (8.348 mmol)의 1-클로로메틸-2-니트로-4-트리플루오로메틸벤젠을 아르곤 대기 하에 20℃ 부근의 온도에서, 100 cm3의 아세트산 중 20 g (244 mmol)의 아세트산나트륨 용액에 첨가하였다. 100℃ 부근의 온도에서 60시간 동안 교반한 후, 반응 혼합물을 200 cm3의 물로 희석하고 나서, 300 cm3의 디클로로메탄으로 2회 추출하였다. 유기 상들을 합하고, 100 cm3의 물로 세척하고, 무수 황산마그네슘으로 건조시키고, 여과하고, 감압(2.7 kPa) 하에 건조해질 때까지 농축시켜, 2.15 g의 2-니트로-4-트리플루오로메틸벤질 아세테이트를 오렌지색 오일 형태로 얻었다.2 g (8.348 mmol) of 1-chloromethyl-2-nitro-4-trifluoromethylbenzene in 20 cm (244 mmol) sodium acetate solution in 100 cm3 of acetic acid at a temperature near 20 ° C. under an argon atmosphere Was added. After stirring for 60 hours at a temperature near 100 ° C., the reaction mixture was diluted with 200 cm3 of water and then extracted twice with 300 cm3 of dichloromethane. The organic phases are combined, washed with 100 cm3 of water, dried over anhydrous magnesium sulfate, filtered and concentrated to dryness under reduced pressure (2.7 kPa) to give 2.15 g of 2-nitro-4-trifluoromethylbenzyl Acetate was obtained in the form of an orange oil.

Figure 112007049241203-PCT00075
Figure 112007049241203-PCT00075

실시예 21: 3-{4-[3-(2-플루오로-5-트리플루오로메틸페닐)우레이도]페닐}-4-옥시-1H-피롤로[3,2-b]피리딘-2-카르복스아미드Example 21: 3- {4- [3- (2-fluoro-5-trifluoromethylphenyl) ureido] phenyl} -4-oxy-1H-pyrrolo [3,2-b] pyridine-2- Carboxamide

Figure 112007049241203-PCT00076
Figure 112007049241203-PCT00076

6 cm3의 디클로로메탄 중 109.5 mg (0.444 mmol)의 3-클로로퍼옥시벤조산 용액을 아르곤 대기 하에 0℃ 부근의 온도에서, 4 cm3의 클로로포름 중 0.1 g (0.218 mmol)의 3-{4-[3-(2-플루오로-5-트리플루오로메틸페닐)우레이도]페닐}-1H-피롤로[3,2-b]피리딘-2-카르복스아미드 용액에 첨가하였다. 0℃ 부근의 온도에서 1시간 동안 교반하고 나서, 20℃ 부근의 온도에서 24시간 동안 교반한 후, 반응 혼합물을 감압(2.7 kPa) 하에서 건조해질 때까지 농축시켜, 87 mg의 잔류물을 얻었으며, 이를 플래시 크로마토그래피 [용리액: 디클로로메탄/메탄올/아세토니트릴 (부피 기준 90/5/5)]로 정제하였다. 예상 생성물을 함유하는 분획을 감압 하에서 농축시킨 후, 65 mg의 노란색 고체를 얻었으며, 이 고체를 4 cm3의 시클로헥산 중에서 연화처리하였다. 여과하고, 30℃ 부근의 온도에서 감압(2.7 kPa) 하에 건조시킨 후, 57 mg의 3-{4-[3-(2-플루오로-5-트리플루오로메틸페닐)우레이도]페닐}-4-옥시-1H-피롤로[3,2-b]피리딘-2-카르복스아미드를 약 283℃에서 용융하는 흰색 고체 형태로 얻었다.A solution of 109.5 mg (0.444 mmol) of 3-chloroperoxybenzoic acid in 6 cm3 of dichloromethane was dissolved in 0.1 cm (0.218 mmol) of 3 g of chloroform in 4 cm3 of chloroform at a temperature near 0 ° C. under argon. [3- (2-Fluoro-5-trifluoromethylphenyl) ureido] phenyl} -1H-pyrrolo [3,2-b] pyridine-2-carboxamide solution was added. After stirring for 1 hour at a temperature near 0 ° C., then for 24 hours at a temperature near 20 ° C., the reaction mixture was concentrated to dryness under reduced pressure (2.7 kPa) to give 87 mg of residue. This was purified by flash chromatography [eluent: dichloromethane / methanol / acetonitrile (90/5/5 by volume)]. Fractions containing the expected product were concentrated under reduced pressure to yield 65 mg of a yellow solid, which was triturated in 4 cm3 of cyclohexane. After filtration and drying under reduced pressure (2.7 kPa) at a temperature near 30 ° C., 57 mg of 3- {4- [3- (2-fluoro-5-trifluoromethylphenyl) ureido] phenyl} -4 -Oxy-1H-pyrrolo [3,2-b] pyridine-2-carboxamide was obtained in the form of a white solid which melts at about 283 ° C.

Figure 112007049241203-PCT00077
Figure 112007049241203-PCT00077

실시예 22: 3-{4-[3-(2-메톡시-5-트리플루오로메틸페닐)우레이도]페닐}-1H-피롤로[3,2-b]피리딘-2-카르복스아미드Example 22: 3- {4- [3- (2-methoxy-5-trifluoromethylphenyl) ureido] phenyl} -1H-pyrrolo [3,2-b] pyridine-2-carboxamide

Figure 112007049241203-PCT00078
Figure 112007049241203-PCT00078

82.4 mg (0.278 mmol)의 트리포스겐, 및 이어서 0.223 cm3의 트리에틸아민을 아르곤 대기 하에 20℃ 부근의 온도에서, 18 cm3의 테트라히드로푸란 중 0.2 g (0.793 mmol)의 3-(4-아미노페닐)-1H-피롤로[3,2-b]피리딘-2-카르복스아미드 용액에 첨가하였다. 20℃ 부근의 온도에서 1시간 동안 교반한 후, 17 cm3의 테트라히드로푸란 중 182 mg (0.952 mmol)의 2-메톡시-5-트리플루오로메틸페닐아민 용액을 첨가하였다. 20℃ 부근의 온도에서 16시간 동안 교반한 후, 반응 혼합물을 감압(2.7 kPa) 하에서 건조해질 때까지 농축시켜, 잔류물을 얻었으며, 이를 플래시 크로마토그래피 [용리액: 디클로로메탄/메탄올/아세토니트릴] (부피 기준 90/5/5)]로 정제하였다. 예상 생성물을 함유하는 분획을 감압 하에서 농축시킨 후, 109 mg의 3- {4-[3-(2-메톡시-5-트리플루오로메틸페닐)우레이도]페닐}-1H-피롤로[3,2-b]피리딘-2-카르복스아미드를 약 194℃에서 용융하는 노란색 고체 형태로 얻었다.82.4 mg 3- (4- of (0.278 mmol) triphosgene, and then 0.223 cm3 of triethylamine at a temperature of 20 ℃ vicinity under an argon atmosphere, 18 cm of tetrahydrofuran 0.2 g (0.793 mmol) of the3 Aminophenyl) -1H-pyrrolo [3,2-b] pyridine-2-carboxamide solution. After stirring for 1 hour at a temperature near 20 ° C., 182 mg (0.952 mmol) of 2-methoxy-5-trifluoromethylphenylamine solution in 17 cm3 of tetrahydrofuran were added. After stirring for 16 h at a temperature near 20 ° C., the reaction mixture was concentrated to dryness under reduced pressure (2.7 kPa) to give a residue, which was subjected to flash chromatography [eluent: dichloromethane / methanol / acetonitrile]. (90/5/5 by volume)]. The fraction containing the expected product was concentrated under reduced pressure, then 109 mg of 3- {4- [3- (2-methoxy-5-trifluoromethylphenyl) ureido] phenyl} -1H-pyrrolo [3, 2-b] pyridine-2-carboxamide was obtained in the form of a yellow solid which melts at about 194 ° C.

Figure 112007049241203-PCT00079
Figure 112007049241203-PCT00079

3-(4-아미노페닐)-1H-피롤로[3,2-b]피리딘-2-카르복스아미드를 실시예 2에 설명된 대로 제조하였다.3- (4-aminophenyl) -1H-pyrrolo [3,2-b] pyridine-2-carboxamide was prepared as described in Example 2.

실시예 23: 3-{4-[3-(2-플루오로-5-트리플루오로메틸페닐)우레이도]페닐}-6-(2-메톡시에톡시)-1H-인돌-2-카르복스아미드Example 23: 3- {4- [3- (2-fluoro-5-trifluoromethylphenyl) ureido] phenyl} -6- (2-methoxyethoxy) -1H-indole-2-carbox amides

Figure 112007049241203-PCT00080
Figure 112007049241203-PCT00080

40 ㎕ (0.28 mmol)의 2-플루오로-5-트리플루오로메틸페닐 이소시아네이트를 주위 온도에서 아르곤 대기 하에, 6 ml의 테트라히드로푸란 중 79 mg (0.24 mmol)의 3-(4-아미노페닐)-6-(2-메톡시에톡시)-1H-인돌-2-카르복스아미드 용액에 첨가하였다. 아르곤 하에서 주위 온도 하에 22시간 동안 교반한 후, 반응 혼합물을 감압 하에서 건조해질 때까지 농축시켰다. 얻어진 잔류물을 에틸 아세테이트에 녹이고, 물로 세척하고 나서, 유기 상을 무수 황산마그네슘으로 건조시키고, 여과하고, 감압 하에서 건조해질 때까지 농축시켰다.40 μl (0.28 mmol) of 2-fluoro-5-trifluoromethylphenyl isocyanate at ambient temperature under an argon atmosphere, 79 mg (0.24 mmol) of 3- (4-aminophenyl)-in 6 ml of tetrahydrofuran- To 6- (2-methoxyethoxy) -1H-indole-2-carboxamide solution. After stirring for 22 h under ambient temperature under argon, the reaction mixture was concentrated to dryness under reduced pressure. The residue obtained was taken up in ethyl acetate and washed with water, then the organic phase was dried over anhydrous magnesium sulfate, filtered and concentrated to dryness under reduced pressure.

조 생성물을 플래시 크로마토그래피 [용리액: 메틸렌 클로라이드/메탄올 (부피 기준 96/4)]로 정제하였다. 예상 생성물을 함유하는 분획을 감압 하에서 농축시킨 후, 78 mg의 3-{4-[3-(2-플루오로-5-트리플루오로메틸페닐)우레이도]페닐}-6-(2-메톡시에톡시)-1H-인돌-2-카르복스아미드를 흰색 고체 형태로 얻었다.The crude product was purified by flash chromatography [eluent: methylene chloride / methanol (96/4 by volume)]. The fraction containing the expected product was concentrated under reduced pressure, then 78 mg of 3- {4- [3- (2-fluoro-5-trifluoromethylphenyl) ureido] phenyl} -6- (2-methoxy Ethoxy) -1H-indole-2-carboxamide was obtained in the form of a white solid.

Figure 112007049241203-PCT00081
Figure 112007049241203-PCT00081

3-(4-아미노페닐)-6-(2-메톡시에톡시)-1H-인돌-2-카르복스아미드는 하기 방식으로 제조할 수 있다:3- (4-aminophenyl) -6- (2-methoxyethoxy) -1H-indole-2-carboxamide can be prepared in the following manner:

메탄올 중 7N 수성 암모니아 8 ml 및 물 중 28% 수성 암모니아 4 ml을 80 mg (0.24 mmol)의 메틸-3-(4-아미노페닐)-6-(2-메톡시에톡시)-1H-인돌-2-카르복실레이트에 첨가하고, 반응 매질을 밀봉된 유리 튜브 내에서 16시간 동안 100℃에서 가열하였다. 그리고 나서, 물 중 28 % 수성 암모니아 2 ml을 첨가하고, 반응물을 24시간 동안 100℃에서 가열하였다. 반응 매질을 감압 하에서 건조해질 때까지 증발시켰다. 조 물질을 플래시 크로마토그래피 [용리액: 메틸렌 클로라이드/메탄올 (부피 기준 98/2, 그 후 95/5)]로 정제하였다. 예상 생성물을 함유하는 분획을 감압 하에서 농축시킨 후, 40 mg의 3-(4-아미노페닐)-6-(2-메톡시에톡시)-1H-인돌-2-카르복스아미드를 갈색 고체 형태로 얻었다.8 ml of 7N aqueous ammonia in methanol and 4 ml of 28% aqueous ammonia in water were added 80 mg (0.24 mmol) of methyl-3- (4-aminophenyl) -6- (2-methoxyethoxy) -1H-indole- The reaction medium was added to 2-carboxylate and heated at 100 ° C. for 16 hours in a sealed glass tube. Then 2 ml of 28% aqueous ammonia in water were added and the reaction was heated at 100 ° C. for 24 hours. The reaction medium was evaporated to dryness under reduced pressure. The crude material was purified by flash chromatography [eluent: methylene chloride / methanol (98/2 by volume, then 95/5)]. The fraction containing the expected product was concentrated under reduced pressure, then 40 mg of 3- (4-aminophenyl) -6- (2-methoxyethoxy) -1H-indole-2-carboxamide in the form of a brown solid. Got it.

Figure 112007049241203-PCT00082
Figure 112007049241203-PCT00082

메틸 3-(4-아미노페닐)-6-(2-메톡시에톡시)-1H-인돌-2-카르복실레이트는 하기 방식으로 제조할 수 있다:Methyl 3- (4-aminophenyl) -6- (2-methoxyethoxy) -1H-indole-2-carboxylate can be prepared in the following manner:

주위 온도에서 0.321 ml (2.29 mmol)의 트리에틸아민을 메탄올/톨루엔 혼합물(30 ml/25 ml) 중 396 mg (2.29 mmol)의 (4-아미노페닐) 보론산 히드로클로라이드에 첨가하였다. 혼합물을 15분 동안 주위 온도에서 교반하고 나서, 300 mg (0.91 mmol)의 메틸 3-브로모-6-(2-메톡시에톡시)-1H-인돌-2-카르복실레이트를 주위 온도에서 첨가한 후, 242 mg (2.28 mmol)의 탄산나트륨 수용액 5 ml을 첨가하였다. 108 mg (2.55 mmol)의 염화리튬를 아르곤 하에 주위 온도에서 첨가한 후, 74 mg (0.06 mmol)의 팔라듐 테트라키스(트리페닐포스핀)를 첨가하였다. 반응물을 아르곤 하에서 4시간 30분 동안 환류시키고, 16시간 동안 주위 온도에서 가열하였다. 반응 혼합물을 감압 하에서 건조해질 때까지 농축시켰다. 얻어진 잔류물을 에틸 아세테이트에 녹이고, 물로 세척하고 나서, 유기 상을 무수 황산마그네슘으로 건조시키고, 여과하고, 감압 하에서 건조해질 때까지 농축시켰다. 조 생성물을 플래시 크로마토그래피 [용리액: 메틸렌 클로라이드/메탄올 (부피 기준 99/1)]로 정제하였다. 예상 생성물을 함유하는 분획을 감압 하에서 농축시킨 후, 219 mg의 메틸 3-(4-아미노페닐)-6-(2-메톡시에톡시)-1H-인돌-2-카르복실레이트를 연한 노란색 고체 형태로 얻었다.0.321 ml (2.29 mmol) of triethylamine were added to 396 mg (2.29 mmol) of (4-aminophenyl) boronic acid hydrochloride in a methanol / toluene mixture (30 ml / 25 ml) at ambient temperature. The mixture is stirred at ambient temperature for 15 minutes, then 300 mg (0.91 mmol) of methyl 3-bromo-6- (2-methoxyethoxy) -1H-indole-2-carboxylate are added at ambient temperature Then 5 ml of 242 mg (2.28 mmol) aqueous sodium carbonate solution were added. 108 mg (2.55 mmol) of lithium chloride were added under argon at ambient temperature followed by 74 mg (0.06 mmol) of palladium tetrakis (triphenylphosphine). The reaction was refluxed under argon for 4 hours 30 minutes and heated at ambient temperature for 16 hours. The reaction mixture was concentrated to dryness under reduced pressure. The residue obtained was taken up in ethyl acetate and washed with water, then the organic phase was dried over anhydrous magnesium sulfate, filtered and concentrated to dryness under reduced pressure. The crude product was purified by flash chromatography [eluent: methylene chloride / methanol (volume 99/1)]. The fraction containing the expected product was concentrated under reduced pressure, then 219 mg of methyl 3- (4-aminophenyl) -6- (2-methoxyethoxy) -1H-indole-2-carboxylate was pale yellow solid. Obtained in form.

Figure 112007049241203-PCT00083
Figure 112007049241203-PCT00083

메틸-3-브로모-6-(2-메톡시에톡시)-1H-인돌-2-카르복실레이트는 하기 방식으로 제조할 수 있다:Methyl-3-bromo-6- (2-methoxyethoxy) -1H-indole-2-carboxylate can be prepared in the following manner:

디메틸포름아미드 중 104 mg (0.42 mmol)의 메틸 6-(2-메톡시에톡시)-1H-인돌-2-카르복실레이트 용액 3 ml을 아세톤/고체 이산화탄소 조 내에서 -40℃로 냉각시키고 나서, 1 ml의 디메틸포름아미드 중 74 mg (0.41 mmol)의 N-브로모숙신이미드 용액을 -40℃에서 첨가하였다. 용액을 -45℃와 -30℃ 사이에서 30분 동안 교반하고 나서, 디메틸포름아미드 중 30 mg (0.17 mmol)의 N-브로모숙신이미드 용액 1 ml을 -40℃에서 첨가하였다. 용액을 -45℃와 -30℃ 사이에서 1시간 동안 교반하였다.3 ml of 104 mg (0.42 mmol) of methyl 6- (2-methoxyethoxy) -1H-indole-2-carboxylate solution in dimethylformamide were cooled to -40 ° C in an acetone / solid carbon dioxide bath. 74 mg (0.41 mmol) of N-bromosuccinimide solution in 1 ml of dimethylformamide were added at -40 ° C. The solution was stirred for 30 minutes between -45 ° C and -30 ° C, then 1 ml of 30 mg (0.17 mmol) of N-bromosuccinimide solution in dimethylformamide was added at -40 ° C. The solution was stirred for 1 hour between -45 ° C and -30 ° C.

용액을 에틸 아세테이트로 희석시키고, 온도를 주위 온도로 되돌리고 나서, 유기 상을 물로 세척하고, 무수 황산마그네슘으로 건조시키고, 여과하고, 감압 하에서 건조해질 때까지 농축시켰다. 조 생성물을 플래시 크로마토그래피 [용리액: 에틸 아세테이트/시클로헥산 (부피 기준 1/2)]로 정제하였다. 예상 생성물을 함유하는 분획을 감압 하에서 농축시킨 후, 92 mg의 메틸 3-브로모-6-(2-메톡시에톡시)-1H-인돌-2-카르복실레이트를 흰색 고체 형태로 얻었다.The solution was diluted with ethyl acetate and the temperature returned to ambient temperature, then the organic phase was washed with water, dried over anhydrous magnesium sulfate, filtered and concentrated to dryness under reduced pressure. The crude product was purified by flash chromatography [eluent: ethyl acetate / cyclohexane (1/2 by volume)]. After concentration of the fractions containing the expected product under reduced pressure, 92 mg of methyl 3-bromo-6- (2-methoxyethoxy) -1H-indole-2-carboxylate were obtained in the form of a white solid.

Figure 112007049241203-PCT00084
Figure 112007049241203-PCT00084

메틸 6-(2-메톡시에톡시)-1H-인돌-2-카르복실레이트는 하기 방식으로 제조될 수 있다:Methyl 6- (2-methoxyethoxy) -1H-indole-2-carboxylate can be prepared in the following manner:

4.915 ml (52.30 mmol)의 2-브로모에틸 메틸 에테르를 주위 온도에서, 아세톤 중 2 g (10.46 mmol)의 메틸 6-히드록시-1H-인돌-2-카르복실레이트, 8.68 g (52.30 mmol)의 요오드화칼륨 및 7.23 g (52.30 mmol)의 탄산칼륨의 현탁액 150 ml에 첨가하였다. 반응 매질을 22시간 동안 환류시켰다. 반응물을 주위 온도로 되돌리고 나서, 에틸 아세테이트를 첨가하였다. 유기 상을 물로 세척하고 나서, 무수 황산마그네슘으로 건조시키고, 여과하고, 감압 하에서 건조해질 때까지 농축시켰다. 조 생성물을 플래시플래시 크로마토그래피 [용리액: 아세톤/시클로헥산 (부피 기준 1/6)]로 정제하였다. 예상 생성물을 함유하는 분획을 감압 하에서 농축시킨 후, 630 mg의 메틸 6-(2-메톡시에톡시)-1H-인돌-2-카르복실레이트를 노란색 고체 형태로 얻었다.4.915 ml (52.30 mmol) of 2-bromoethyl methyl ether at ambient temperature, 2 g (10.46 mmol) of methyl 6-hydroxy-1H-indole-2-carboxylate, 8.68 g (52.30 mmol) in acetone To 150 ml of a suspension of potassium iodide and 7.23 g (52.30 mmol) of potassium carbonate. The reaction medium was refluxed for 22 hours. The reaction was returned to ambient temperature and ethyl acetate was added. The organic phase was washed with water, dried over anhydrous magnesium sulfate, filtered and concentrated to dryness under reduced pressure. The crude product was purified by flashflash chromatography [eluent: acetone / cyclohexane (volume 1/6)]. Fractions containing the expected product were concentrated under reduced pressure, then 630 mg of methyl 6- (2-methoxyethoxy) -1H-indole-2-carboxylate were obtained in the form of a yellow solid.

Figure 112007049241203-PCT00085
Figure 112007049241203-PCT00085

메틸 6-히드록시-1H-인돌-2-카르복실레이트는 하기 방식으로 제조될 수 있다:Methyl 6-hydroxy-1H-indole-2-carboxylate can be prepared in the following manner:

0.144 ml (2.70 mmol)의 진한 황산을 주위 온도에서, 메탄올 중 5.98 g (33.75 mmol)의 6-히드록시-1H-인돌-2-카르복실산 용액 350 ml에 첨가하였다. 혼합물을 9일 동안 환류시키고 나서, 반응 혼합물을 감압 하에서 건조해질 때까지 농축시켰다. 얻어진 잔류물을 물에 녹이고, 38% 수산화칼륨 용액을 이용하여 pH 9로 알칼리화시키고 나서, 생성물을 에틸 아세테이트로 6회 추출하였다. 유기 상을 합하고 나서, 무수 황산마그네슘으로 건조시키고, 여과하고, 감압 하에서 건조해질 때까지 농축시켜, 5.81 g의 메틸 6-히드록시-1H-인돌-2-카르복실레이트를 갈색 고체 형태로 얻었다.0.144 ml (2.70 mmol) of concentrated sulfuric acid was added to 350 ml of 5.98 g (33.75 mmol) of 6-hydroxy-1H-indole-2-carboxylic acid solution in methanol at ambient temperature. The mixture was refluxed for 9 days, and the reaction mixture was concentrated to dryness under reduced pressure. The residue obtained was taken up in water and alkalinized to pH 9 with 38% potassium hydroxide solution, and then the product was extracted six times with ethyl acetate. The organic phases were combined, dried over anhydrous magnesium sulfate, filtered and concentrated to dryness under reduced pressure to give 5.81 g of methyl 6-hydroxy-1H-indole-2-carboxylate in the form of a brown solid.

Figure 112007049241203-PCT00086
Figure 112007049241203-PCT00086

6-히드록시-1H-인돌-2-카르복실산은 하기 방식으로 제조될 수 있다:6-hydroxy-1H-indole-2-carboxylic acid can be prepared in the following manner:

메틸렌 클로라이드 중 1M 붕소 트리브로마이드 146 ml (146 mmol)을 0℃에서 500 ml의 메틸렌 클로라이드 중 10 g (48.73 mmol)의 메틸 6-메톡시-2-인돌 카르복실레이트 용액에 천천히 첨가하였다. 반응 매질을 1시간 동안 0℃에서, 그리고 2시간 동안 주위 온도에서 교반하였다. 반응 매질을 0℃로 냉각시키고, 메틸렌 클로라이드 중 1 M 붕소 트리브로마이드 100 ml (100 mmol)을 0℃에서 천천히 첨가하였다. 반응물을 1시간 동안 0℃에서, 그리고 주위 온도에서 16시간 동안 교반하였다. 그리고 나서, 반응 매질을 약 0℃로 냉각시키고, 1N 염산 용액 (247 ml)을 교반하면서 천천히 첨가하였다. 얻어진 혼합물을 소결 유리로 여과하였다. 여과액의 유기 상(메틸렌 클로라이드)을 분리하고 나서, 수 상을 5 N 염산으로 산성화시키고, 에틸 아세테이트로 추출하였다. 유기 상(에틸 아세테이트)을 무수 황산마그네슘으로 건조시키고, 여과하고, 감압 하에서 건조해질 때까지 농축시켜, 6.39 g의 6-히드록시-1H-인돌-2-카르복실산을 갈색 고체 형태로 얻었다.146 ml (146 mmol) of 1M boron tribromide in methylene chloride were slowly added at 0 ° C. to 10 g (48.73 mmol) of methyl 6-methoxy-2-indole carboxylate solution in 500 ml of methylene chloride. The reaction medium was stirred at 0 ° C. for 1 hour and at ambient temperature for 2 hours. The reaction medium was cooled to 0 ° C. and 100 ml (100 mmol) of 1 M boron tribromide in methylene chloride were slowly added at 0 ° C. The reaction was stirred for 1 h at 0 ° C. and 16 h at ambient temperature. The reaction medium was then cooled to about 0 ° C. and 1N hydrochloric acid solution (247 ml) was added slowly with stirring. The resulting mixture was filtered through sintered glass. The organic phase (methylene chloride) of the filtrate was separated and the aqueous phase was acidified with 5 N hydrochloric acid and extracted with ethyl acetate. The organic phase (ethyl acetate) was dried over anhydrous magnesium sulfate, filtered and concentrated to dryness under reduced pressure to give 6.39 g of 6-hydroxy-1H-indole-2-carboxylic acid in the form of a brown solid.

Figure 112007049241203-PCT00087
Figure 112007049241203-PCT00087

실시예 24: 3-{4-[3-(2-플루오로-5-트리플루오로메틸페닐)우레이도]페닐}-6-(2-피롤리딘-1-일에톡시)-1H-인돌-2-카르복스아미드Example 24: 3- {4- [3- (2-fluoro-5-trifluoromethylphenyl) ureido] phenyl} -6- (2-pyrrolidin-1-ylethoxy) -1H-indole 2-carboxamide

Figure 112007049241203-PCT00088
Figure 112007049241203-PCT00088

17 ㎕ (0.12 mmol)의 2-플루오로-5-트리플루오로메틸페닐 이소시아네이트를 주위 온도에서 아르곤 하에, 6 ml의 테트라히드로푸란 중 45 mg (0.12 mmol)의 3-(4-아미노페닐)-6-(2-피롤리딘-1-일에톡시)-1H-인돌-2-카르복스아미드 용액에 첨가하였다. 아르곤 하에서 22시간 동안 주위 온도에서 교반한 후, 반응 혼합물을 에틸 아세테이트에 녹이고, 물로 세척하고 나서, 유기 상을 무수 황산마그네슘으로 건조시키고, 여과하고, 감압 하에서 건조해질 때까지 농축시켰다. 조 생성물을 플래시 크로마토그래피 [용리액: 메틸렌 클로라이드/메탄올 (부피 기준 70/30)]로 정제하였다. 예상 생성물을 함유하는 분획을 감압 하에서 농축시킨 후, 32 mg의 3-{4-[3-(2-플루오로-5-트리플루오로메틸페닐)우레이도]페닐}-6-(2-피롤리딘-1-일에톡시)-1H-인돌-2-카르복스아미드를 갈색 고체 형태로 얻었다.17 μl (0.12 mmol) of 2-fluoro-5-trifluoromethylphenyl isocyanate at 45 ° C. (0.12 mmol) 3- (4-aminophenyl) -6 in 6 ml of tetrahydrofuran under argon at ambient temperature To-(2-pyrrolidin-1-ylethoxy) -1H-indole-2-carboxamide solution. After stirring for 22 h at ambient temperature under argon, the reaction mixture was taken up in ethyl acetate and washed with water, then the organic phase was dried over anhydrous magnesium sulfate, filtered and concentrated to dryness under reduced pressure. The crude product was purified by flash chromatography [eluent: methylene chloride / methanol (70/30 by volume)]. Fractions containing the expected product were concentrated under reduced pressure, followed by 32 mg of 3- {4- [3- (2-fluoro-5-trifluoromethylphenyl) ureido] phenyl} -6- (2-pyrroli Din-1-ylethoxy) -1H-indole-2-carboxamide was obtained in the form of a brown solid.

Figure 112007049241203-PCT00089
Figure 112007049241203-PCT00089

3-(4-아미노페닐)-6-(2-피롤리딘-1-일에톡시)-1H-인돌-2-카르복스아미드는 하기 방식으로 제조될 수 있다:3- (4-aminophenyl) -6- (2-pyrrolidin-1-ylethoxy) -1H-indole-2-carboxamide can be prepared in the following manner:

메탄올 중 7N 수성 암모니아 8 ml 및 물 중 28% 수성 암모니아 4 ml을 133 mg (0.35 mmol)의 메틸 3-(4-아미노페닐)-6-(2-피롤리딘-1-일에톡시)-1H-인돌-2-카르복실레이트에 첨가하고, 반응 매질을 밀봉된 유리 튜브 내에서 16시간 동안 100℃에서 가열하였다. 그리고 나서, 물 중 28 % 수성 암모니아 2 ml을 첨가하고, 반응물을 24시간 동안 100℃에서 가열하였다. 반응 매질을 감압 하에서 건조해질 때까지 증발시켰다. 조 생성물을 플래시 크로마토그래피 [용리액: 에틸 아세테이트/메탄올 (부피 기준 70/30)]로 정제하였다. 예상 생성물을 함유하는 분획을 감압 하에서 농축시킨 후, 25 mg의 3-(4-아미노페닐)-6-(2-피롤리딘-1-일에톡시)-1H-인돌-2-카르복스아미드를 연한 노란색 고체 형태로 얻었다.8 ml of 7N aqueous ammonia in methanol and 4 ml of 28% aqueous ammonia in water were added 133 mg (0.35 mmol) of methyl 3- (4-aminophenyl) -6- (2-pyrrolidin-1-ylethoxy)- 1 H-indole-2-carboxylate was added and the reaction medium was heated at 100 ° C. for 16 h in a sealed glass tube. Then 2 ml of 28% aqueous ammonia in water were added and the reaction was heated at 100 ° C. for 24 hours. The reaction medium was evaporated to dryness under reduced pressure. The crude product was purified by flash chromatography [eluent: ethyl acetate / methanol (volume 70/30)]. After concentration of the fraction containing the expected product under reduced pressure, 25 mg of 3- (4-aminophenyl) -6- (2-pyrrolidin-1-ylethoxy) -1H-indole-2-carboxamide Obtained in the form of a pale yellow solid.

Figure 112007049241203-PCT00090
Figure 112007049241203-PCT00090

메틸 3-(4-아미노페닐)-6-(2-피롤리딘-1-일에톡시)-1H-인돌-2-카르복실레이트는 하기 방식으로 제조될 수 있다:Methyl 3- (4-aminophenyl) -6- (2-pyrrolidin-1-ylethoxy) -1H-indole-2-carboxylate can be prepared in the following manner:

주위 온도에서 0.223 ml (1.59 mmol)의 트리에틸아민을 메탄올/톨루엔 혼합 물(30 ml/25 ml) 중 275 mg (1.59 mmol)의 (4-아미노페닐) 보론산 히드로클로라이드에 첨가하였다. 혼합물을 15분 동안 주위 온도에서 교반하고 나서, 222 mg (0.60 mmol)의 메틸 3-브로모-6-(2-피롤리딘-1-일에톡시)-1H-인돌-2-카르복실레이트를 주위 온도에서 첨가한 후, 168 mg (1.58 mmol)의 탄산나트륨 수용액 5 ml을 첨가하였다. 75 mg (1.77 mmol)의 염화리튬를 아르곤 하에 주위 온도에서 첨가한 후, 51 mg (0.04 mmol)의 팔라듐 테트라키스(트리페닐포스핀)를 첨가하였다. 반응물을 아르곤 하에서 5시간 동안 환류시키고 나서, 16시간 동안 주위 온도에서 가열하였다. 반응 혼합물을 감압 하에서 건조해질 때까지 농축시켰다. 얻어진 잔류물을 에틸 아세테이트에 녹이고, 물로 세척하고 나서, 유기 상을 무수 황산마그네슘으로 건조시키고, 여과하고, 감압 하에서 건조해질 때까지 농축시켰다. 조 생성물을 플래시 크로마토그래피 [용리액: 메틸렌 클로라이드/메탄올 (부피 기준 98/2)]로 정제하였다. 예상 생성물을 함유하는 분획을 감압 하에서 농축시킨 후, 252 mg의 메틸 3-(4-아미노페닐)-6-(2-피롤리딘-1-일에톡시)-1H-인돌-2-카르복실레이트를 오렌지색 고체 형태로 얻었다.At ambient temperature 0.223 ml (1.59 mmol) triethylamine was added to 275 mg (1.59 mmol) of (4-aminophenyl) boronic acid hydrochloride in methanol / toluene mixture (30 ml / 25 ml). The mixture was stirred at ambient temperature for 15 minutes and then 222 mg (0.60 mmol) of methyl 3-bromo-6- (2-pyrrolidin-1-ylethoxy) -1H-indole-2-carboxylate After addition at ambient temperature, 5 ml of 168 mg (1.58 mmol) aqueous sodium carbonate solution were added. 75 mg (1.77 mmol) of lithium chloride were added under argon at ambient temperature followed by 51 mg (0.04 mmol) of palladium tetrakis (triphenylphosphine). The reaction was refluxed under argon for 5 hours and then heated at ambient temperature for 16 hours. The reaction mixture was concentrated to dryness under reduced pressure. The residue obtained was taken up in ethyl acetate and washed with water, then the organic phase was dried over anhydrous magnesium sulfate, filtered and concentrated to dryness under reduced pressure. The crude product was purified by flash chromatography [eluent: methylene chloride / methanol (98/2 by volume)]. After concentration of the fraction containing the expected product under reduced pressure, 252 mg of methyl 3- (4-aminophenyl) -6- (2-pyrrolidin-1-ylethoxy) -1H-indole-2-carboxyl The rate was obtained in the form of an orange solid.

Figure 112007049241203-PCT00091
Figure 112007049241203-PCT00091

메틸 3-브로모-6-(2-피롤리딘-1-일에톡시)-1H-인돌-2-카르복실레이트는 하기 방식으로 제조될 수 있다:Methyl 3-bromo-6- (2-pyrrolidin-1-ylethoxy) -1H-indole-2-carboxylate can be prepared in the following manner:

디메틸포름아미드 중 495 mg (1.72 mmol)의 메틸 6-(2-피롤리딘-1-일에톡시)-1H-인돌-2-카르복실레이트 용액 11 ml을 아세톤/고체 이산화탄소 조 내에서 -40℃로 냉각시키고 나서, 디메틸포름아미드 중 306 mg (1.72 mmol)의 N-브로모숙신이 미드 용액 6 ml을 -40℃에서 적가하였다. 용액을 -40℃에서 교반하고, 5시간에 걸쳐 천천히 주위 온도로 되돌렸다. 얻어진 잔류물을 에틸 아세테이트에 녹이고 나서, 물로 세척하고, 무수 황산마그네슘으로 건조시키고, 여과하고, 감압 하에서 건조해질 때까지 농축시켰다. 조 생성물을 플래시 크로마토그래피 [용리액: 메틸렌 클로라이드/메탄올 (부피 기준 90/10)]로 정제하였다. 예상 생성물을 함유하는 분획을 감압 하에서 농축시킨 후, 263 mg의 3-브로모-6-(2-피롤리딘-1-일에톡시)-1H-인돌-2-카르복실레이트를 회색 고체 형태로 얻었다.11 ml of a solution of 495 mg (1.72 mmol) of methyl 6- (2-pyrrolidin-1-ylethoxy) -1H-indole-2-carboxylate in dimethylformamide was added to -40 in acetone / solid carbon dioxide bath. After cooling to &lt; RTI ID = 0.0 &gt; The solution was stirred at -40 ° C and slowly returned to ambient temperature over 5 hours. The residue obtained was taken up in ethyl acetate, washed with water, dried over anhydrous magnesium sulfate, filtered and concentrated to dryness under reduced pressure. The crude product was purified by flash chromatography [eluent: methylene chloride / methanol (90/10 by volume)]. The fraction containing the expected product was concentrated under reduced pressure, then 263 mg of 3-bromo-6- (2-pyrrolidin-1-ylethoxy) -1H-indole-2-carboxylate was obtained as a gray solid. Got it.

Figure 112007049241203-PCT00092
Figure 112007049241203-PCT00092

메틸 6-(2-피롤리딘-1-일에톡시)-1H-인돌-2-카르복실레이트는 하기 방식으로 제조될 수 있다:Methyl 6- (2-pyrrolidin-1-ylethoxy) -1H-indole-2-carboxylate can be prepared in the following manner:

아르곤 스트림 하에서, 2.20 g (8.37 mmol)의 트리페닐포스핀을 주위 온도에서, 60 ml의 테트라히드로푸란 중 800 mg (4.18 mmol)의 메틸 6-히드록시-1H-인돌-2-카르복실레이트 용액에 첨가하였다. 그리고 나서, 0.979 ml (8.37 mmol)의 1-(2-히드록시에틸)피롤리딘을 주위 온도에서 반응 매질에 첨가하였다. 그리고 나서, 반응물을 물/빙조에서 약 5℃로 냉각시키고, 5 ml의 테트라히드로푸란 중 1.46 g (8.37 mmol)의 디에틸아조디카르복실레이트 용액을 반응 매질에 적가하고, 첨가하는 동안 온도를 5℃와 10℃ 사이에서 유지시켰다. 그리고 나서, 반응물을 15분 동안 5℃에서 교반한 후, 40시간 동안 주위 온도에서 교반하였다. 에틸 아세테이트를 반응 매질에 첨가하였다. 유기 상을 물로 세척하고 나서, 무수 황산마그네슘으로 건조시키고, 여과하고, 감압 하에서 건조해질 때까지 농축시켰다. 조 생성물 을 플래시 크로마토그래피 [용리액: 메틸렌 클로라이드/메탄올 (부피 기준 90/10)]로 정제하였다. 예상 생성물을 함유하는 분획을 감압 하에서 농축시킨 후, 880 mg의 메틸 6-(2-피롤리딘-1-일에톡시)-1H-인돌-2-카르복실레이트를 갈색 고체 형태로 얻었다.Under an argon stream, 2.20 g (8.37 mmol) triphenylphosphine was added at ambient temperature, 800 mg (4.18 mmol) methyl 6-hydroxy-1H-indole-2-carboxylate solution in 60 ml tetrahydrofuran. Was added. Then 0.979 ml (8.37 mmol) of 1- (2-hydroxyethyl) pyrrolidine were added to the reaction medium at ambient temperature. The reaction is then cooled to about 5 ° C. in a water / ice bath, and a solution of 1.46 g (8.37 mmol) of diethylazodicarboxylate in 5 ml of tetrahydrofuran is added dropwise to the reaction medium and the temperature is increased during addition It was kept between 5 ° C and 10 ° C. The reaction was then stirred at 5 ° C. for 15 minutes and then at ambient temperature for 40 hours. Ethyl acetate was added to the reaction medium. The organic phase was washed with water, dried over anhydrous magnesium sulfate, filtered and concentrated to dryness under reduced pressure. The crude product was purified by flash chromatography [eluent: methylene chloride / methanol (90/10 by volume)]. After concentration of the fraction containing the expected product under reduced pressure, 880 mg of methyl 6- (2-pyrrolidin-1-ylethoxy) -1H-indole-2-carboxylate were obtained in the form of a brown solid.

Figure 112007049241203-PCT00093
Figure 112007049241203-PCT00093

메틸 6-히드록시-1H-인돌-2-카르복실레이트를 실시예 23에 설명된 바와 같이 제조하였다.Methyl 6-hydroxy-1H-indole-2-carboxylate was prepared as described in Example 23.

실시예 25: 3-{6-[3-(2-플루오로-5-트리플루오로메틸페닐)-우레이도]-피리딘-3-일}-6-메톡시-1H-인돌-2-카르복스아미드Example 25 3- {6- [3- (2-fluoro-5-trifluoromethylphenyl) -ureido] -pyridin-3-yl} -6-methoxy-1H-indole-2-carbox amides

Figure 112007049241203-PCT00094
Figure 112007049241203-PCT00094

5 ml의 디옥산 중 100 mg (0.37 mmol)의 3-브로모-6-메톡시-1H-인돌-2-카르복스아미드 및 43 mg (0.04 mmol)의 테트라키스(트리페닐포스핀)팔라듐 (0) 현탁액을 10분 동안 주위 온도에서 교반하였다. 그리고 나서, 190 mg (0.45 mmol)의 1-(2-플루오로-5-트리플루오로메틸페닐)-3-[5-(4,4,5,5-테트라메틸-1,3,2-디옥사보롤란-2-일)피리딘-2-일]우레아 및 6 ml의 디옥산을 주위 온도에서 첨가한 후, 86 mg (1.48 mmol)의 플루오르화칼륨 수용액 1 ml을 첨가하였다. 혼합물을 16시간 45분 동안 환류시켰다. 반응 매질을 감압 하에서 건조해질 때까지 증발시켰다. 조 물 질을 플래시 크로마토그래피 [용리액: 메틸렌 클로라이드/메탄올 (부피 기준 99/1, 그 후 98/2, 그 후 97/3, 그 후 94/4)]로 정제하였다. 예상 생성물을 함유하는 분획을 감압 하에서 농축시킨 후, 60 mg의 3-{6-[3-(2-플루오로-5-트리플루오로메틸페닐)우레이도]피리딘-3-일}-6-메톡시-1H-인돌-2-카르복스아미드를 노란색 고체 형태로 얻었다.100 mg (0.37 mmol) of 3-bromo-6-methoxy-1H-indole-2-carboxamide in 5 ml of dioxane and 43 mg (0.04 mmol) of tetrakis (triphenylphosphine) palladium ( 0) The suspension was stirred at ambient temperature for 10 minutes. Then 190 mg (0.45 mmol) of 1- (2-fluoro-5-trifluoromethylphenyl) -3- [5- (4,4,5,5-tetramethyl-1,3,2-di Oxaborolan-2-yl) pyridin-2-yl] urea and 6 ml of dioxane were added at ambient temperature, followed by 1 ml of 86 mg (1.48 mmol) aqueous potassium fluoride solution. The mixture was refluxed for 16 h 45 min. The reaction medium was evaporated to dryness under reduced pressure. The crude material was purified by flash chromatography [eluent: methylene chloride / methanol (99/1 by volume, then 98/2, then 97/3, then 94/4)]. The fraction containing the expected product was concentrated under reduced pressure, then 60 mg of 3- {6- [3- (2-fluoro-5-trifluoromethylphenyl) ureido] pyridin-3-yl} -6-meth The oxy-1H-indole-2-carboxamide was obtained in yellow solid form.

Figure 112007049241203-PCT00095
Figure 112007049241203-PCT00095

3-브로모-6-메톡시-1H-인돌-2-카르복스아미드는 하기 방식으로 제조될 수 있다:3-Bromo-6-methoxy-1 H-indole-2-carboxamide can be prepared in the following manner:

8 ml의 피리딘 중 540 mg (2.84 mmol)의 6-메톡시-1H-인돌-2-카르복스아미드 용액을 0℃로 냉각시키고, 6 ml의 피리딘 중 908 mg (2.84 mmol)의 피리디늄 트리브로마이드 용액을 거기에 적가하였다. 반응 매질을 30분 동안 0℃에서 교반하고, 19시간 동안 주위 온도에서 교반하였다. 20 ml의 빙냉수를 반응 매질에 첨가하였다. 그리고 나서, 반응 매질을 1시간 동안 주위 온도에서 교반하고 나서, 소결 유리로 여과하여, 538 mg의 3-브로모-6-메톡시-1H-인돌-2-카르복스아미드를 흰색 고체 형태로 얻었다.540 mg (2.84 mmol) of 6-methoxy-1H-indole-2-carboxamide solution in 8 ml of pyridine is cooled to 0 ° C. and 908 mg (2.84 mmol) of pyridinium tribromide in 6 ml of pyridine The solution was added dropwise there. The reaction medium was stirred for 30 minutes at 0 ° C. and for 19 hours at ambient temperature. 20 ml of ice cold water was added to the reaction medium. The reaction medium was then stirred at ambient temperature for 1 hour and then filtered through sintered glass to give 538 mg of 3-bromo-6-methoxy-1H-indole-2-carboxamide in the form of a white solid. .

Figure 112007049241203-PCT00096
Figure 112007049241203-PCT00096

6-메톡시-1H-인돌-2-카르복스아미드는 하기 방식으로 제조될 수 있다:6-methoxy-1H-indole-2-carboxamide can be prepared in the following manner:

60 ml의 28% 수성 암모니아 중 4 g (19.49 mmol)의 메틸 6-메톡시-2-인돌카르복실레이트 현탁액을 오토클레이브에서 14시간 동안 50℃에서 가열하였다. 소결 유리로 혼합물을 여과한 후, 얻어진 흰색 고체를 물로 세척하고, 건조시키고 나서, 에틸 아세테이트/시클로헥산 (100 ml/10 ml)의 고온 혼합물에 첨가하였다. 매질을 빙수조에서 냉각시키고, 소결 유리로 여과하여, 1.05 g의 6-메톡시-1H-인돌-2-카르복스아미드를 흰색 고체 형태로 얻었다.4 g (19.49 mmol) of methyl 6-methoxy-2-indolecarboxylate suspension in 60 ml of 28% aqueous ammonia were heated in an autoclave at 50 ° C. for 14 hours. After filtration of the mixture with sintered glass, the white solid obtained was washed with water, dried and added to a hot mixture of ethyl acetate / cyclohexane (100 ml / 10 ml). The medium was cooled in an ice-water bath and filtered through sintered glass to afford 1.05 g of 6-methoxy-1H-indole-2-carboxamide in the form of a white solid.

Figure 112007049241203-PCT00097
Figure 112007049241203-PCT00097

1-(2-플루오로-5-트리플루오로메틸페닐)-3-[5-(4,4,5,5-테트라메틸-1,3,2-디옥사보롤란-2-일)피리딘-2-일]우레아는 하기 방식으로 제조될 수 있다:1- (2-Fluoro-5-trifluoromethylphenyl) -3- [5- (4,4,5,5-tetramethyl-1,3,2-dioxaborolan-2-yl) pyridine- 2-yl] urea can be prepared in the following manner:

20 ml의 디옥산 중 505 mg (1.80 mmol)의 트리시클로헥실포스핀 및 276 mg (0.48 mmol)의 비스(디벤질리덴아세톤)팔라듐 현탁액을 10분 동안 아르곤 하에 주위 온도에서 교반하였다. 4.54 g (12.01 mmol)의 1-(5-브로모피리딘-2-일)-3-(2-플루오로-5-트리플루오로메틸페닐)우레아를 반응 매질에 첨가한 후, 80 ml의 디옥산, 4.12 g (16.20 mmol)의 비스(피나콜레이토)디보란 및 1.77 g (18.04 mmol)의 아세트산칼륨를 첨가하였다. 반응물을 16시간 동안 아르곤 하에서 환류시키고 나서, 300 ml의 물을 주위 온도에서 첨가하였다. 혼합물을 10분 동안 주위 온도에서 교반하고 나서, 소결 유리로 여과하고, 얻어진 고체를 소량의 물로 세척하였다. 얻어진 고체를 350 ml의 끓는 에틸 아세테이트에 녹이고, 고온 조건 하에서 여과시킨 후, 여과액을 감압 하에서 증발시켰다. 3.05 g의 1-(2-플루오로-5-트리플루오 로메틸페닐)-3-[5-(4,4,5,5-테트라메틸-1,3,2-디옥사보롤란-2-일)피리딘-2-일]우레아를 연한 노란색 고체 형태로 얻었다.A suspension of 505 mg (1.80 mmol) tricyclohexylphosphine and 276 mg (0.48 mmol) bis (dibenzylideneacetone) palladium in 20 ml dioxane was stirred at ambient temperature under argon for 10 minutes. 4.54 g (12.01 mmol) of 1- (5-bromopyridin-2-yl) -3- (2-fluoro-5-trifluoromethylphenyl) urea are added to the reaction medium followed by 80 ml of dioxane 4.12 g (16.20 mmol) bis (pinacolato) diborane and 1.77 g (18.04 mmol) potassium acetate were added. The reaction was refluxed under argon for 16 hours, then 300 ml of water were added at ambient temperature. The mixture was stirred for 10 minutes at ambient temperature, then filtered through a sintered glass and the solid obtained was washed with a small amount of water. The obtained solid was dissolved in 350 ml of boiling ethyl acetate and filtered under high temperature conditions, and then the filtrate was evaporated under reduced pressure. 3.05 g of 1- (2-fluoro-5-trifluoromethylphenyl) -3- [5- (4,4,5,5-tetramethyl-1,3,2-dioxaborolan-2-yl Pyridin-2-yl] urea was obtained as a pale yellow solid.

Figure 112007049241203-PCT00098
Figure 112007049241203-PCT00098

1-(5-브로모피리딘-2-일)-3-(2-플루오로-5-트리플루오로메틸페닐)우레아는 하기 방식으로 제조될 수 있다:1- (5-Bromopyridin-2-yl) -3- (2-fluoro-5-trifluoromethylphenyl) urea can be prepared in the following manner:

3.27 ml (23.44 mmol)의 트리에틸아민을 0℃에서 200 ml의 무수 테트라히드로푸란 중 4.06 g (23.47 mmol)의 2-아미노-5-브로모피리딘 용액에 첨가하였다. 그리고 나서, 3.39 ml (23.44 mmol)의 2-플루오로-5-트리플루오로메틸 페닐이소시아네이트를 0℃에서 적가하였다. 반응물을 64시간 동안 주위 온도에서 교반하였다. 400 ml의 에틸 아세테이트를 반응 매질에 첨가하였다. 그리고 나서, 유기 상을 물로 세척하고 나서, 염화나트륨 포화 수용액으로 세척한 후, 최종적으로 소결 유리로 여과시켰다. 4.55 g의 1-(5-브로모피리딘-2-일)-3-(2-플루오로-5-트리플루오로메틸페닐)우레아를 흰색 고체 형태로 얻었다.3.27 ml (23.44 mmol) triethylamine were added to a solution of 4.06 g (23.47 mmol) of 2-amino-5-bromopyridine in 200 ml of anhydrous tetrahydrofuran at 0 ° C. Then, 3.39 ml (23.44 mmol) of 2-fluoro-5-trifluoromethyl phenylisocyanate was added dropwise at 0 ° C. The reaction was stirred at ambient temperature for 64 hours. 400 ml of ethyl acetate was added to the reaction medium. The organic phase was then washed with water and then with saturated aqueous sodium chloride solution and finally filtered through a sintered glass. 4.55 g of 1- (5-bromopyridin-2-yl) -3- (2-fluoro-5-trifluoromethylphenyl) urea were obtained in the form of a white solid.

Figure 112007049241203-PCT00099
Figure 112007049241203-PCT00099

실시예 26: 3-{4-[3-(2-플루오로-5-트리플루오로메틸페닐)우레이도]페닐}-6-메톡시-1H-인돌-2-카르복스아미드Example 26 3- {4- [3- (2-fluoro-5-trifluoromethylphenyl) ureido] phenyl} -6-methoxy-1H-indole-2-carboxamide

Figure 112007049241203-PCT00100
Figure 112007049241203-PCT00100

125 ml의 디옥산 중 2.54 g (9.44 mmol)의 3-브로모-6-메톡시-1H-인돌-2-카르복스아미드 및 1.09 g (0.94 mmol)의 테트라키스(트리페닐포스핀)팔라듐 (0) 현탁액을 10분 동안 주위 온도에서 교반하였다. 그리고 나서, 4.81 g (11.33 mmol)의 1-(2-플루오로-5-트리플루오로메틸페닐)-3-[4-(4,4,5,5-테트라메틸-1,3,2-디옥사보롤란-2-일)페닐]우레아 및 150 ml의 디옥산을 주위 온도에서 첨가한 후, 25 ml의 2.19 g (37.77 mmol)의 플루오르화칼륨 수용액을 첨가하였다. 혼합물을 18시간 동안 환류시켰다. 반응 매질을 감압 하에서 건조해질 때까지 증발시켰다. 얻어진 잔류물을 에틸 아세테이트에 녹이고, 물로 세척하고 나서, 유기 상을 무수 황산마그네슘으로 건조시키고, 여과하고, 감압하에서 건조해질 때까지 농축시켰다. 조 물질을 플래시 크로마토그래피 [용리액: 메틸렌 클로라이드/메탄올 (부피 기준 98/2)]. 예상 생성물을 함유하는 분획을 감압 하에서 농축시킨 후, 1.73 g의 3-{4-[3-(2-플루오로-5-트리플루오로메틸페닐)우레이도]페닐}-6-메톡시-1H-인돌-2-카르복스아미드를 갈색 고체 형태로 얻었다.2.54 g (9.44 mmol) of 3-bromo-6-methoxy-1H-indole-2-carboxamide and 1.09 g (0.94 mmol) of tetrakis (triphenylphosphine) palladium in 125 ml of dioxane ( 0) The suspension was stirred at ambient temperature for 10 minutes. 4.81 g (11.33 mmol) of 1- (2-fluoro-5-trifluoromethylphenyl) -3- [4- (4,4,5,5-tetramethyl-1,3,2-di Oxaborolan-2-yl) phenyl] urea and 150 ml dioxane were added at ambient temperature, followed by 25 ml of 2.19 g (37.77 mmol) aqueous potassium fluoride solution. The mixture was refluxed for 18 hours. The reaction medium was evaporated to dryness under reduced pressure. The residue obtained was taken up in ethyl acetate and washed with water, then the organic phase was dried over anhydrous magnesium sulfate, filtered and concentrated to dryness under reduced pressure. The crude material was flash chromatography [eluent: methylene chloride / methanol (98/2 by volume)]. After concentration of the fraction containing the expected product under reduced pressure, 1.73 g of 3- {4- [3- (2-fluoro-5-trifluoromethylphenyl) ureido] phenyl} -6-methoxy-1H- Indole-2-carboxamide was obtained in the form of a brown solid.

Figure 112007049241203-PCT00101
Figure 112007049241203-PCT00101

1-(2-플루오로-5-트리플루오로메틸페닐)-3-[4-(4,4,5,5-테트라메틸-1,3,2-디옥사보롤란-2-일)페닐]우레아는 미국 특허 2005043347 A1에 설명된 절차에 따라 제조할 수 있다.1- (2-fluoro-5-trifluoromethylphenyl) -3- [4- (4,4,5,5-tetramethyl-1,3,2-dioxaborolan-2-yl) phenyl] Urea can be prepared according to the procedures described in US Patent 2005043347 A1.

3-브로모-6-메톡시-1H-인돌-2-카르복스아미드는 실시예 25에 설명된 바와 같이 제조할 수 있다.3-Bromo-6-methoxy-1 H-indole-2-carboxamide can be prepared as described in Example 25.

실시예 27: 3-{4-[3-(2-플루오로-5-트리플루오로메틸페닐)우레이도]페닐}-6-히드록시-1H-인돌-2-카르복스아미드Example 27: 3- {4- [3- (2-fluoro-5-trifluoromethylphenyl) ureido] phenyl} -6-hydroxy-1H-indole-2-carboxamide

Figure 112007049241203-PCT00102
Figure 112007049241203-PCT00102

100 ml의 메틸렌 클로라이드 중 1.11 g (2.28 mmol)의 3-{4-[3-(2-플루오로-5-트리플루오로메틸-페닐)우레이도]페닐}-6-메톡시-1H-인돌-2-카르복스아미드 현탁액을 아세톤/고체 이산화탄소 조 내에서 -5℃로 냉각시키고 나서, 12.34 ml (12.34 mmol)의 메틸렌 클로라이드 중 1M 붕소 트리브로마이드 용액을 -5℃에서 적가하였 다. 반응물을 약 0℃에서 2시간 동안 교반하고 나서, 26시간 동안 주위 온도에서 교반하였다. 그리고 나서, 반응 매질을 빙수조에서 약 0℃로 냉각시키고, 30 ml의 1 N 염산을 적가한 후, 50 ml의 메틸렌 클로라이드 및 30 ml의 물을 적가하였다. 혼합물을 15분 동안 약 0℃에서 교반하고 나서, 30분 동안 주위 온도에서 교반하였다. 그리고 나서, 반응 매질을 소결 유리로 여과하여, 갈색 고체를 얻었다. 상기 갈색 고체를 플래시 크로마토그래피 [용리액: 메틸렌 클로라이드/메탄올 (부피 기준 95/5)]로 정제하였다. 예상 생성물을 함유하는 분획을 감압 하에서 농축시킨 후, 840 mg의 3-{4-[3-(2-플루오로-5-트리플루오로메틸-페닐)우레이도]페닐}-6-히드록시-1H-인돌-2-카르복스아미드를 갈색 고체 형태로 얻었다.1.11 g (2.28 mmol) of 3- {4- [3- (2-fluoro-5-trifluoromethyl-phenyl) ureido] phenyl} -6-methoxy-1H-indole in 100 ml of methylene chloride The 2-carboxamide suspension was cooled to −5 ° C. in an acetone / solid carbon dioxide bath and then a solution of 1M boron tribromide in 12.34 ml (12.34 mmol) methylene chloride was added dropwise at −5 ° C. The reaction was stirred at about 0 ° C. for 2 hours and then for 26 hours at ambient temperature. The reaction medium was then cooled to about 0 ° C. in an ice-water bath, 30 ml of 1 N hydrochloric acid was added dropwise, followed by 50 ml of methylene chloride and 30 ml of water. The mixture was stirred at about 0 ° C. for 15 minutes and then at ambient temperature for 30 minutes. The reaction medium was then filtered through sintered glass to give a brown solid. The brown solid was purified by flash chromatography [eluent: methylene chloride / methanol (95/5 by volume)]. The fraction containing the expected product was concentrated under reduced pressure, then 840 mg of 3- {4- [3- (2-fluoro-5-trifluoromethyl-phenyl) ureido] phenyl} -6-hydroxy- 1H-indole-2-carboxamide was obtained in the form of a brown solid.

Figure 112007049241203-PCT00103
Figure 112007049241203-PCT00103

3-{4-[3-(2-플루오로-5-트리플루오로메틸페닐)우레이도]페닐}-6-메톡시-1H-인돌-2-카르복스아미드는 실시예 26에 설명된 바와 같이 제조할 수 있다.3- {4- [3- (2-Fluoro-5-trifluoromethylphenyl) ureido] phenyl} -6-methoxy-1H-indole-2-carboxamide was prepared as described in Example 26. It can manufacture.

실시예 28: 3-{4-[3-(2-플루오로-5-트리플루오로메틸페닐)우레이도]페닐}-6-(2-히드록시에톡시)-1H-인돌-2-카르복스아미드Example 28: 3- {4- [3- (2-fluoro-5-trifluoromethylphenyl) ureido] phenyl} -6- (2-hydroxyethoxy) -1H-indole-2-carbox amides

Figure 112007049241203-PCT00104
Figure 112007049241203-PCT00104

1.23 g (8.90 mmol)의 탄산칼륨을 10 ml의 디메틸포름아미드 중 280 mg (0.59 mmol)의 3-{4-[3-(2-플루오로-5-트리플루오로메틸페닐)우레이도]페닐}-6-히드록시-1H-인돌-2-카르복스아미드 용액에 첨가하였다. 그리고 나서, 0.69 ml (8.89 mmol)의 요오도에탄올을 주위 온도에서 첨가하였다. 반응 매질을 2시간 30분 동안 110℃에서 가열하였다. 매질을 에틸 아세테이트 중에 녹이고, 물로 세척하고 나서, 유기 상을 무수 황산마그네슘으로 건조시키고, 여과하고, 감압 하에서 건조해질 때까지 농축시켰다.1.23 g (8.90 mmol) potassium carbonate in 280 mg (0.59 mmol) of 3- {4- [3- (2-fluoro-5-trifluoromethylphenyl) ureido] phenyl} in 10 ml of dimethylformamide It was added to a -6-hydroxy-1H-indole-2-carboxamide solution. Then 0.69 ml (8.89 mmol) of iodoethanol were added at ambient temperature. The reaction medium was heated at 110 ° C. for 2 hours 30 minutes. The medium is taken up in ethyl acetate and washed with water and then the organic phase is dried over anhydrous magnesium sulfate, filtered and concentrated to dryness under reduced pressure.

조 생성물을 정제용 LC/MS로 정제하였다. 감압 하에서 건조해질 때까지 용매를 증발시킨 후, 얻어진 잔류물을 에틸 아세테이트 및 디이소프로필 에테르로 연화처리하고, 여과 후, 48 mg의 3-{4-[3-(2-플루오로-5-트리플루오로메틸페닐)우레이도]페닐}-6-(2-히드록시에톡시)-1H-인돌-2-카르복스아미드를 회색 고체 형태로 얻었다.The crude product was purified by preparative LC / MS. After evaporation of the solvent until it dries under reduced pressure, the resulting residue was triturated with ethyl acetate and diisopropyl ether, filtered and after 48 mg of 3- {4- [3- (2-fluoro-5- Trifluoromethylphenyl) ureido] phenyl} -6- (2-hydroxyethoxy) -1H-indole-2-carboxamide was obtained in the form of a gray solid.

Figure 112007049241203-PCT00105
Figure 112007049241203-PCT00105

Figure 112007049241203-PCT00106
Figure 112007049241203-PCT00106

3-{4-[3-(2-플루오로-5-트리플루오로메틸페닐)우레이도]페닐}-6-히드록시-1H-인돌-2-카르복스아미드는 실시예 27에 설명된 바와 같이 제조할 수 있다.3- {4- [3- (2-Fluoro-5-trifluoromethylphenyl) ureido] phenyl} -6-hydroxy-1H-indole-2-carboxamide was prepared as described in Example 27. It can manufacture.

실시예 29: 3-{4-[3-(2-플루오로-5-트리플루오로메틸페닐)우레이도]페닐}-7-니트로-1H-인돌-2-카르복스아미드Example 29: 3- {4- [3- (2-fluoro-5-trifluoromethylphenyl) ureido] phenyl} -7-nitro-1H-indole-2-carboxamide

Figure 112007049241203-PCT00107
Figure 112007049241203-PCT00107

135 ml의 디옥산 중 2.70 g (9.5 mmol)의 3-브로모-7-니트로-1H-인돌-2-카르복스아미드 및 1.10 g (0.95 mmol)의 테트라키스(트리페닐포스핀)팔라듐 (0) 현탁액을 10분 동안 주위 온도에서 교반하였다. 그리고 나서, 4.84 g (11.41 mmol)의 1-(2-플루오로-5-트리플루오로메틸페닐)-3-[4-(4,4,5,5-테트라메틸-1,3,2-디옥사보롤란-2-일)페닐]우레아 및 165 ml의 디옥산을 주위 온도에서 첨가한 후, 2.215 g (38.13 mmol)의 플루오르화칼륨 수용액 27 ml을 첨가하였다. 혼합물을 18시간 동 안 환류시켰다. 그리고 나서, 카본 블랙 스페츌라를 약 50℃에서 반응 매질에 첨가하고 나서, 반응 매질을 10분 동안 50℃에서 교반하였다. 반응 매질을 셀라이트로 여과하고 나서, 에틸 아세테이트로 세척하였다. 여과액을 감압 하에서 건조해질 때까지 증발시켰다. 얻어진 잔류물을 에틸 아세테이트에 녹이고, 물로 세척하고 나서, 유기 상을 무수 황산마그네슘으로 건조시키고, 여과하고, 감압 하에서 건조해질 때까지 농축시켰다. 조 물질을 플래시 크로마토그래피 [용리액: 메틸렌 클로라이드/메탄올 (부피 기준 99/1, 그 후 98/2)]로 정제하였다. 예상 생성물을 함유하는 분획을 감압 하에서 농축시킨 후, 3.44 g의 3-{4-[3-(2-플루오로-5-트리플루오로메틸페닐)우레이도]페닐}-7-니트로-1H-인돌-2-카르복스아미드를 노란색 고체 형태로 얻었다.2.70 g (9.5 mmol) of 3-bromo-7-nitro-1H-indole-2-carboxamide in 135 ml of dioxane and 1.10 g (0.95 mmol) of tetrakis (triphenylphosphine) palladium (0 The suspension was stirred at ambient temperature for 10 minutes. 4.84 g (11.41 mmol) of 1- (2-fluoro-5-trifluoromethylphenyl) -3- [4- (4,4,5,5-tetramethyl-1,3,2-di Oxaborolan-2-yl) phenyl] urea and 165 ml of dioxane were added at ambient temperature, followed by 27 ml of 2.215 g (38.13 mmol) of aqueous potassium fluoride solution. The mixture was refluxed for 18 hours. Carbon black specella was then added to the reaction medium at about 50 ° C. and the reaction medium was stirred at 50 ° C. for 10 minutes. The reaction medium was filtered through celite and washed with ethyl acetate. The filtrate was evaporated to dryness under reduced pressure. The residue obtained was taken up in ethyl acetate and washed with water, then the organic phase was dried over anhydrous magnesium sulfate, filtered and concentrated to dryness under reduced pressure. The crude material was purified by flash chromatography [eluent: methylene chloride / methanol (99/1 by volume, then 98/2)]. After concentration of the fraction containing the expected product under reduced pressure, 3.44 g of 3- {4- [3- (2-fluoro-5-trifluoromethylphenyl) ureido] phenyl} -7-nitro-1H-indole -2-carboxamide was obtained in the form of a yellow solid.

Figure 112007049241203-PCT00108
Figure 112007049241203-PCT00108

3-브로모-7-니트로-1H-인돌-2-카르복스아미드는 하기 방식으로 제조될 수 있다:3-Bromo-7-nitro-1H-indole-2-carboxamide can be prepared in the following manner:

35 ml의 피리딘 중 2.57 g (12.53 mmol)의 7-니트로-1H-인돌-2-카르복스아미드 현탁액을 빙수조에서 0℃로 냉각시켰다. 그리고 나서, 20 ml의 피리딘 중 4.01 g (12.53 mmol)의 피리디늄 트리브로마이드 용액을 0℃에서 적가하고 나서, 반응물을 30분 동안 0℃에서 교반하고, 16시간 동안 주위 온도에서 교반하였다. 그 후, 70 ml의 빙냉수를 반응 매질에 첨가하였다. 그리고 나서, 반응 매질을 15분 동안 주위 온도에서 교반한 후, 소결 유리로 여과하여, 2.81 g의 3-브로모-7-니트로-1H-인돌-2-카르복스아미드를 갈색 고체 형태로 얻었다.2.57 g (12.53 mmol) of 7-nitro-1H-indole-2-carboxamide suspension in 35 ml of pyridine was cooled to 0 ° C. in an ice water bath. Then, a solution of 4.01 g (12.53 mmol) of pyridinium tribromide in 20 ml of pyridine was added dropwise at 0 ° C, and the reaction was stirred at 0 ° C for 30 minutes and at ambient temperature for 16 hours. Thereafter, 70 ml of ice cold water was added to the reaction medium. The reaction medium was then stirred at ambient temperature for 15 minutes and then filtered through sintered glass to yield 2.81 g of 3-bromo-7-nitro-1H-indole-2-carboxamide in the form of a brown solid.

Figure 112007049241203-PCT00109
Figure 112007049241203-PCT00109

7-니트로-1H-인돌-2-카르복스아미드는 하기 방식으로 제조될 수 있다:7-nitro-1H-indole-2-carboxamide can be prepared in the following manner:

3.84 ml의 28% 수성 암모니아 중 133 mg (0.57 mmol)의 에틸 7-니트로인돌-2-카르복실레이트 현탁액을 마개로 막은 유리 튜브에서 18시간 동안 50℃에서 가열하였다. 반응 매질을 소결 유리로 여과시켰다. 얻어진 노란색 고체를 물 및 시클로헥산으로 세척한 후, 진공 하에서 건조시켰다. 70 mg의 7 니트로-1H-인돌-2-카르복스아미드를 노란색 고체 형태로 얻었다.133 mg (0.57 mmol) of ethyl 7-nitroindole-2-carboxylate suspension in 3.84 ml of 28% aqueous ammonia was heated in a stoppered glass tube at 50 ° C. for 18 hours. The reaction medium was filtered through sintered glass. The yellow solid obtained was washed with water and cyclohexane and then dried under vacuum. 70 mg of 7 nitro-1H-indole-2-carboxamide was obtained in the form of a yellow solid.

Figure 112007049241203-PCT00110
Figure 112007049241203-PCT00110

실시예 30: 7-아미노-3-{4-[3-(2-플루오로-5-트리플루오로메틸페닐)우레이도]페닐}-1H-인돌-2-카르복스아미드Example 30 7-amino-3- {4- [3- (2-fluoro-5-trifluoromethylphenyl) ureido] phenyl} -1H-indole-2-carboxamide

Figure 112007049241203-PCT00111
Figure 112007049241203-PCT00111

3.28 g의 목탄 상 팔라듐을 480 ml의 메탄올 중 3.42 g (6.82 mmol)의 3-{4-[3-(2-플루오로-5-트리플루오로메틸페닐)우레이도]페닐}-7-니트로-1H-인돌-2-카르 복스아미드 현탁액에 첨가하였다. 반응 혼합물을 오토클레이브 내에서 2시간 동안 3 바, 30℃에서 수소화시키고 나서, 셀라이트로 여과하였다. 여과액을 감압 하에서 건조해질 때까지 증발시켰다. 얻어진 잔류물을 에틸 아세테이트 및 소량의 메틸렌 클로라이드로 연화처리하고 나서, 여과시켰다. 1.30 g의 7-아미노-3-{4-[3-(2-플루오로-5-트리플루오로메틸페닐)우레이도]페닐}-1H-인돌-2-카르복스아미드를 회색 고체 형태로 얻었다.3.28 g of palladium on charcoal was added 3.42 g (6.82 mmol) of 3- {4- [3- (2-fluoro-5-trifluoromethylphenyl) ureido] phenyl} -7-nitro- in 480 ml of methanol. It was added to the 1H-indole-2-carboxamide suspension. The reaction mixture was hydrogenated at 3 bar, 30 ° C. in an autoclave for 2 hours and then filtered through celite. The filtrate was evaporated to dryness under reduced pressure. The residue obtained was triturated with ethyl acetate and a small amount of methylene chloride and filtered. 1.30 g of 7-amino-3- {4- [3- (2-fluoro-5-trifluoromethylphenyl) ureido] phenyl} -1H-indole-2-carboxamide were obtained in the form of a gray solid.

Figure 112007049241203-PCT00112
Figure 112007049241203-PCT00112

Figure 112007049241203-PCT00113
Figure 112007049241203-PCT00113

3-{4-[3-(2-플루오로-5-트리플루오로메틸페닐)우레이도]페닐}-7-니트로-1H-인돌-2-카르복스아미드는 실시예 29에서 설명된 바와 같이 제조될 수 있다.3- {4- [3- (2-fluoro-5-trifluoromethylphenyl) ureido] phenyl} -7-nitro-1H-indole-2-carboxamide was prepared as described in Example 29. Can be.

실시예 31: 3-{4-[3-(2-플루오로-5-트리플루오로메틸페닐)우레이도]페닐}-7-(2-히드록시에틸아미노)-1H-인돌-2-카르복스아미드Example 31: 3- {4- [3- (2-fluoro-5-trifluoromethylphenyl) ureido] phenyl} -7- (2-hydroxyethylamino) -1H-indole-2-carbox amides

Figure 112007049241203-PCT00114
Figure 112007049241203-PCT00114

16 ml의 메탄올 및 19.43 ㎕ (0.34 mmol)의 아세트산 중 160 mg (0.34 mmol)의 7-아미노-3-{4-[3-(2-플루오로-5-트리플루오로메틸페닐)우레이도]페닐}-1H-인돌-2-카르복스아미드 및 20 mg (0.34 mmol)의 2-히드록시아세트알데히드 현탁액을 3시간 동안 50℃에서 가열하고 나서, 64 mg (1.02 mmol)의 시아노붕수소화나트륨을 주위 온도에서 첨가하고, 반응물을 16시간 동안 이 온도에서 교반하였다. 반응물을 감압 하에서 건조해질 때까지 증발시켰다. 얻어진 잔류물을 에틸 아세테이트 및 물에 녹이고 나서, 30% 수산화나트륨을 이용하여 pH 10으로 알칼리화시켰다. 유기 상을 분리하고, 무수 황산마그네슘으로 건조시키고, 여과하고, 감압 하에서 건조해질 때까지 농축시켰다. 조 생성물을 플래시 크로마토그래피 [용리액: 메틸렌 클로라이드/메탄올 (부피 기준 94/6)]로 정제하였다. 얻어진 갈색 고체를 에틸 아세테이트 및 소량의 에테르로 연화처리하고, 여과 후, 14 mg의 3-{4-[3-(2-플루오로-5-트리플루오로메틸페닐)우레이도]페닐}-7-(2-히드록시에틸아미노)-1H-인돌-2-카르복스아미드를 갈색 고체 형태로 얻었다.160 mg (0.34 mmol) of 7-amino-3- {4- [3- (2-fluoro-5-trifluoromethylphenyl) ureido] phenyl in 16 ml of methanol and 19.43 μl (0.34 mmol) of acetic acid } -1 H-indole-2-carboxamide and 20 mg (0.34 mmol) of 2-hydroxyacetaldehyde suspension are heated at 50 ° C. for 3 hours and then 64 mg (1.02 mmol) of sodium cyanoborohydride The temperature was added and the reaction stirred at this temperature for 16 hours. The reaction was evaporated to dryness under reduced pressure. The residue obtained was taken up in ethyl acetate and water and then alkalized to pH 10 with 30% sodium hydroxide. The organic phase was separated, dried over anhydrous magnesium sulfate, filtered and concentrated to dryness under reduced pressure. The crude product was purified by flash chromatography [eluent: methylene chloride / methanol (volume 94/6)]. The resulting brown solid was triturated with ethyl acetate and a small amount of ether, and after filtration, 14 mg of 3- {4- [3- (2-fluoro-5-trifluoromethylphenyl) ureido] phenyl} -7- (2-hydroxyethylamino) -1H-indole-2-carboxamide was obtained in the form of a brown solid.

Figure 112007049241203-PCT00115
Figure 112007049241203-PCT00115

7-아미노-3-{4-[3-(2-플루오로-5-트리플루오로메틸페닐)우레이도]페닐}-1H-인돌-2-카르복스아미드는 실시예 30에 설명된 바와 같이 얻을 수 있다.7-amino-3- {4- [3- (2-fluoro-5-trifluoromethylphenyl) ureido] phenyl} -1H-indole-2-carboxamide was obtained as described in Example 30. Can be.

실시예 32: 7-(2-디메틸아미노아세틸아미노)-3-{4-[3-(2-플루오로-5-트리플루오로메틸페닐)우레이도]페닐}-1H-인돌-2-카르복스아미드Example 32: 7- (2-Dimethylaminoacetylamino) -3- {4- [3- (2-fluoro-5-trifluoromethylphenyl) ureido] phenyl} -1 H-indole-2-carbox amides

Figure 112007049241203-PCT00116
Figure 112007049241203-PCT00116

14.78 ㎕ (0.11 mmol)의 트리에틸아민을 주위 온도에서 6 ml의 메틸렌 클로라이드 중 50 mg (0.11 mmol)의 7-아미노-3-{4-[3-(2-플루오로-5-트리플루오로메틸페닐)우레이도]페닐}-1H-인돌-2-카르복스아미드, 11 mg (0.11 mmol)의 N,N-디메틸글리신, 20 mg (0.10 mmol)의 1-(3-디메틸아미노프로필)-3-에틸카르보디이미드 히드로클로라이드 및 16 mg (0.10 mmol)의 1 히드록시벤조트리아졸 히드레이트 현탁액을 첨가하였다. 그리고 나서, 2 ml의 디메틸포름아미드를 혼합물을 안정화시키기 위하여 첨가하였다. 반응물을 24시간 동안 주위 온도에서 교반하였다. 반응 매질을 메틸렌 클로라이드를 첨가함으로써 희석시키고 나서, 중탄산나트륨 포화 수용액, 그 후 물로 연속적으로 세척하였다. 수 상을 무수 황산마그네슘으로 건조시키고, 여과하고, 감압 하에서 건조해질 때까지 농축시켰다. 조 생성물을 플래시 크로마토그래피 [용리액: 메틸렌 클로라이드/메탄올 (부피 기준 95/5)]로 정제하였다. 예상 생성물을 함유하는 분획을 감압 하에서 농축시킨 후, 50 mg의 7-(2-디메틸아미노아세틸아미노)-3-{4-[3-(2-플루오로-5-트리플루오로메틸페닐)우레이도]페 닐}-1H-인돌-2-카르복스아미드를 크림색 고체 형태로 얻었다.14.78 μl (0.11 mmol) triethylamine was added at 50 ° C. (0.11 mmol) of 7-amino-3- {4- [3- (2-fluoro-5-trifluoro) in 6 ml of methylene chloride at ambient temperature. Methylphenyl) ureido] phenyl} -1H-indole-2-carboxamide, 11 mg (0.11 mmol) N, N-dimethylglycine, 20 mg (0.10 mmol) 1- (3-dimethylaminopropyl) -3 Ethylcarbodiimide hydrochloride and 16 mg (0.10 mmol) of 1 hydroxybenzotriazole hydrate suspension were added. Then 2 ml of dimethylformamide were added to stabilize the mixture. The reaction was stirred at ambient temperature for 24 hours. The reaction medium was diluted by the addition of methylene chloride and then washed successively with saturated aqueous sodium bicarbonate solution and then with water. The aqueous phase was dried over anhydrous magnesium sulfate, filtered and concentrated to dryness under reduced pressure. The crude product was purified by flash chromatography [eluent: methylene chloride / methanol (95/5 by volume)]. After concentration of the fraction containing the expected product under reduced pressure, 50 mg of 7- (2-dimethylaminoacetylamino) -3- {4- [3- (2-fluoro-5-trifluoromethylphenyl) ureido ] Phenyl} -1H-indole-2-carboxamide was obtained in the form of a cream solid.

Figure 112007049241203-PCT00117
Figure 112007049241203-PCT00117

7-아미노-3-{4-[3-(2-플루오로-5-트리플루오로메틸페닐)우레이도]페닐}-1H-인돌-2-카르복스아미드는 실시예 30에 설명된 바와 같이 얻을 수 있다.7-amino-3- {4- [3- (2-fluoro-5-trifluoromethylphenyl) ureido] phenyl} -1H-indole-2-carboxamide was obtained as described in Example 30. Can be.

실시예 33: 3-{6-[3-(2-메톡시-5-트리플루오로메틸페닐)우레이도]피리딘-3-일}-1H-인돌-2-카르복스아미드Example 33: 3- {6- [3- (2-methoxy-5-trifluoromethylphenyl) ureido] pyridin-3-yl} -1H-indole-2-carboxamide

Figure 112007049241203-PCT00118
Figure 112007049241203-PCT00118

9.25 ml의 디옥산 중 400 mg (1.67 mmol)의 3-브로모-1H-인돌-2-카르복스아미드 및 193 mg (0.17 mmol)의 테트라키스(트리페닐포스핀)팔라듐 (0) 현탁액을 10분 동안 주위 온도에서 교반하였다. 805 mg (1.84 mmol)의 1-(2-메톡시-5-트리플루오로메틸페닐)-3-[5-(4,4,5,5-테트라메틸-1,3,2-디옥사보롤란-2-일)피리딘-2-일]우레아 및 10 ml의 디옥산을 그 후 주위 온도에서 첨가한 후, 389 mg (6.69 mmol)의 플루오르화칼륨 수용액 1.75 ml을 첨가하였다. 혼합물을 18시간 동안 환류시켰다. 반응 혼합물을 에틸 아세테이트에 녹이고, 물로 세척하고 나서, 유기 상을 무 수 황산마그네슘으로 건조시키고, 여과하고, 감압 하에서 건조해질 때까지 농축시켰다. 조 물질을 플래시 크로마토그래피 [용리액: 메틸렌 클로라이드/메탄올 (부피 기준 97/3)]로 정제하였다. 감압 하에서 건조해질 때까지 분획을 농축한 후 얻어진 베이지색 고체를 메탄올로 연화처리하고 나서, 소결 유리로 여과한 후, 26 mg의 3-{6-[3-(2-메톡시-5-트리플루오로메틸-페닐)우레이도]피리딘-3-일}-1H-인돌-2-카르복스아미드를 흰색 고체 형태로 얻었다.A suspension of 400 mg (1.67 mmol) of 3-bromo-1H-indole-2-carboxamide and 193 mg (0.17 mmol) of tetrakis (triphenylphosphine) palladium (0) in 9.25 ml of dioxane was Stir at ambient temperature for minutes. 805 mg (1.84 mmol) 1- (2-methoxy-5-trifluoromethylphenyl) -3- [5- (4,4,5,5-tetramethyl-1,3,2-dioxaborolane -2-yl) pyridin-2-yl] urea and 10 ml of dioxane were then added at ambient temperature followed by 1.75 ml of 389 mg (6.69 mmol) aqueous potassium fluoride solution. The mixture was refluxed for 18 hours. The reaction mixture was taken up in ethyl acetate and washed with water, then the organic phase was dried over anhydrous magnesium sulfate, filtered and concentrated to dryness under reduced pressure. The crude material was purified by flash chromatography [eluent: methylene chloride / methanol (97/3 by volume)]. The fractions were concentrated to dryness under reduced pressure and the resulting beige solid was triturated with methanol and filtered through sintered glass, followed by 26 mg of 3- {6- [3- (2-methoxy-5-tri Fluoromethyl-phenyl) ureido] pyridin-3-yl} -1 H-indole-2-carboxamide was obtained in the form of a white solid.

Figure 112007049241203-PCT00119
Figure 112007049241203-PCT00119

3-브로모-1H-인돌-2-카르복스아미드는 하기 방식으로 제조될 수 있다:3-Bromo-1H-indole-2-carboxamide can be prepared in the following manner:

5 g (18.65 mmol)의 메틸 3-브로모-1H-인돌-2-카르복실레이트 및 70 ml의 메탄올 중 7N 수성 암모니아 혼합물을 오토클레이브 내에서 23시간 동안 100℃에서 가열하였다. 그리고 나서, 반응 매질을 감압 하에서 건조해질 때까지 증발시켰다. 조 물질을 플래시 크로마토그래피 [용리액: 에틸 아세테이트/헵탄 (부피 기준 50/50)]로 정제하였다. 감압 하에서 건조해질 때까지 분획을 농축시킨 후 얻어진 핑크색 고체를 약 100 ml의 에틸 아세테이트 중에서 용해시키고, 식물 유래된 탄소 스페츌라를 거기에 첨가하였다. 수 분 동안 교반하고 나서 여과한 후, 여과액을 감압 하에서 증발시키고, 3.11 g의 3-브로모-1H-인돌-2-카르복스아미드를 연한 노 란색 고체 형태로 얻었다.5 g (18.65 mmol) of methyl 3-bromo-1H-indole-2-carboxylate and 7N aqueous ammonia mixture in 70 ml of methanol were heated at 100 ° C. for 23 hours in an autoclave. The reaction medium was then evaporated to dryness under reduced pressure. The crude material was purified by flash chromatography [eluent: ethyl acetate / heptane (volume 50/50)]. After concentration of the fractions to dryness under reduced pressure, the resulting pink solid was dissolved in about 100 ml of ethyl acetate and plant derived carbon specella was added thereto. After stirring for several minutes and then filtered, the filtrate was evaporated under reduced pressure and 3.11 g of 3-bromo-1H-indole-2-carboxamide was obtained in the form of a pale yellow solid.

ES: m/z = 239 (MH+) 기준 피크.ES: m / z = 239 (MH+ ) reference peak.

메틸 3-브로모-1H-인돌-2-카르복실레이트는 실시예 2에 설명된 바와 같이 제조할 수 있다.Methyl 3-bromo-1H-indole-2-carboxylate can be prepared as described in Example 2.

1-(2-메톡시-5-트리플루오로메틸페닐)-3-[5-(4,4,5,5-테트라메틸-1,3,2-디옥사보롤란-2-일)피리딘-2-일]우레아는 하기 방식으로 제조될 수 있다:1- (2-methoxy-5-trifluoromethylphenyl) -3- [5- (4,4,5,5-tetramethyl-1,3,2-dioxaborolan-2-yl) pyridine- 2-yl] urea can be prepared in the following manner:

25 ml의 디옥산 중 539 mg (1.92 mmol)의 트리시클로헥실포스핀 및 295 mg (0.52 mmol)의 비스(디벤질리덴아세톤)팔라듐 현탁액을 10분 동안 아르곤 하에 주위 온도에서 교반하였다. 5 g (12.82 mmol)의 1-(5-브로모피리딘-2-일)-3-(2-메톡시-5-트리플루오로메틸페닐)우레아를 반응 매질에 첨가한 후, 125 ml의 디옥산, 4.40 g (17.3 mmol)의 비스(피나콜레이토)디보란 및 1.89 g (19.2 mmol)의 아세트산칼륨를 첨가하였다. 반응물을 5시간 30분 동안 아르곤 하에서 환류시키고 나서, 300 ml의 물을 주위 온도에서 첨가하였다. 혼합물을 15분 동안 주위 온도에서 교반하고 나서, 소결 유리로 여과하고, 얻어진 고체를 소량의 물로 세척하였다. 5.42 g의 1-(2-메톡시-5-트리플루오로메틸페닐)-3-[5-(4,4,5,5-테트라메틸-1,3,2-디옥사보롤란-2-일)피리딘-2-일]우레아를 연한 녹색 고체 형태로 얻었다.539 mg (1.92 mmol) tricyclohexylphosphine and 295 mg (0.52 mmol) bis (dibenzylideneacetone) palladium suspension in 25 ml dioxane were stirred at ambient temperature under argon for 10 minutes. 5 g (12.82 mmol) of 1- (5-bromopyridin-2-yl) -3- (2-methoxy-5-trifluoromethylphenyl) urea are added to the reaction medium followed by 125 ml of dioxane 4.40 g (17.3 mmol) bis (pinacolato) diborane and 1.89 g (19.2 mmol) potassium acetate were added. The reaction was refluxed under argon for 5 hours 30 minutes and then 300 ml of water were added at ambient temperature. The mixture was stirred at ambient temperature for 15 minutes, then filtered through a sintered glass and the solid obtained was washed with a small amount of water. 5.42 g of 1- (2-methoxy-5-trifluoromethylphenyl) -3- [5- (4,4,5,5-tetramethyl-1,3,2-dioxaborolan-2-yl Pyridin-2-yl] urea was obtained as a pale green solid.

Figure 112007049241203-PCT00120
Figure 112007049241203-PCT00120

1-(5-브로모피리딘-2-일)-3-(2-메톡시-5-트리플루오로메틸페닐)우레아는 하기 방식으로 제조할 수 있다:1- (5-Bromopyridin-2-yl) -3- (2-methoxy-5-trifluoromethylphenyl) urea can be prepared in the following manner:

100 ml의 무수 테트라히드로푸란 중 11.05 g (57.80 mmol)의 2-메톡시-5-트리플루오로메틸아닐린 용액을 3분에 걸쳐 0℃에서, 500 ml의 무수 테트라히드로푸란 중 6 g (20.23 mmol)의 트리포스겐 용액에 첨가하였다. 16.50 ml (116.80 mmol)의 트리에틸아민을 0℃에서 첨가하였다. 반응물을 10분 동안 0℃에서 교반하고 나서, 1시간 45분 동안 주위 온도에서 교반하였다. 그리고 나서, 100 ml의 무수 테트라히드로푸란 중 10 g (57.80 mmol)의 2-아미노-5-브로모피리딘 용액을 주위 온도에서 첨가하였다. 반응물을 20시간 동안 주위 온도에서 교반하였다. 혼합물을 소결 유리로 여과시키고, 얻어진 흰색 고체를 테트라히드로푸란 및 소량의 에틸 아세테이트로 세척하였다. 여과액을 감압 하에서 건조해질 때까지 증발시키고, 연한 노란색 고체를 얻었다. 상기 고체를 에틸 아세테이트 및 물로 연화처리하고 나서, 소결 유리로 여과한 후, 12.04 g의 1-(5-브로모피리딘-2-일)-3-(2-메톡시-5-트리플루오로메틸페닐)우레아를 흰색 고체 형태로 얻었다.11.05 g (57.80 mmol) of 2-methoxy-5-trifluoromethylaniline solution in 100 ml anhydrous tetrahydrofuran at 0 ° C. over 3 minutes, 6 g (20.23 mmol) in 500 ml anhydrous tetrahydrofuran ) To the triphosgen solution. 16.50 ml (116.80 mmol) triethylamine were added at 0 ° C. The reaction was stirred at 0 ° C. for 10 minutes and then at ambient temperature for 1 hour 45 minutes. Then 10 g (57.80 mmol) of 2-amino-5-bromopyridine solution in 100 ml of anhydrous tetrahydrofuran were added at ambient temperature. The reaction was stirred at ambient temperature for 20 hours. The mixture was filtered through sintered glass and the white solid obtained was washed with tetrahydrofuran and a small amount of ethyl acetate. The filtrate was evaporated to dryness under reduced pressure to give a pale yellow solid. The solid was triturated with ethyl acetate and water, filtered through sintered glass and then 12.04 g of 1- (5-bromopyridin-2-yl) -3- (2-methoxy-5-trifluoromethylphenyl Urea was obtained in the form of a white solid.

Figure 112007049241203-PCT00121
Figure 112007049241203-PCT00121

실시예 34: 3-{6-[3-(2-플루오로-5-트리플루오로메틸페닐)우레이도]피리딘-3-일}-1H-인돌-2-카르복스아미드Example 34: 3- {6- [3- (2-fluoro-5-trifluoromethylphenyl) ureido] pyridin-3-yl} -1H-indole-2-carboxamide

Figure 112007049241203-PCT00122
Figure 112007049241203-PCT00122

9.25 ml의 디옥산 중 186 mg (0.78 mmol)의 3-브로모-1H-인돌-2-카르복스아미드 및 90 mg (0.08 mmol)의 테트라키스(트리페닐포스핀)팔라듐 (0) 현탁액을 10분 동안 주위 온도에서 교반하였다. 그리고 나서, 398 mg (0.94 mmol)의 1-(2-플루오로-5-트리플루오로메틸페닐)-3-[5-(4,4,5,5-테트라메틸-1,3,2-디옥사보롤란-2-일)피리딘-2-일]우레아 및 10 ml의 디옥산을 주위 온도에서 첨가한 후, 181 mg (3.12 mmol)의 플루오르화칼륨 수용액 1.75 ml을 첨가하였다. 혼합물을 18시간 동안 환류시켰다. 반응 매질을 감압 하에서 건조해질 때까지 증발시켰다. 조 물질을 플래시 크로마토그래피 [용리액: 메틸렌 클로라이드/메탄올 (부피 기준 98/2)]로 정제하였다. 예상 생성물을 함유하는 분획을 감압 하에서 농축시킨 후, 28 mg의 3-{6-[3-(2-플루오로-5-트리플루오로메틸페닐)우레이도]피리딘-3-일}-1H-인돌-2-카르복스아미드를 흰색 고체 형태로 얻었다.A suspension of 186 mg (0.78 mmol) of 3-bromo-1H-indole-2-carboxamide and 90 mg (0.08 mmol) of tetrakis (triphenylphosphine) palladium (0) in 9.25 ml of dioxane was Stir at ambient temperature for minutes. Then 398 mg (0.94 mmol) of 1- (2-fluoro-5-trifluoromethylphenyl) -3- [5- (4,4,5,5-tetramethyl-1,3,2-di Oxaborolan-2-yl) pyridin-2-yl] urea and 10 ml dioxane were added at ambient temperature followed by 1.75 ml of 181 mg (3.12 mmol) aqueous potassium fluoride solution. The mixture was refluxed for 18 hours. The reaction medium was evaporated to dryness under reduced pressure. The crude material was purified by flash chromatography [eluent: methylene chloride / methanol (98/2 by volume)]. The fraction containing the expected product was concentrated under reduced pressure, then 28 mg of 3- {6- [3- (2-fluoro-5-trifluoromethylphenyl) ureido] pyridin-3-yl} -1H-indole -2-carboxamide was obtained in the form of a white solid.

Figure 112007049241203-PCT00123
Figure 112007049241203-PCT00123

실시예 35 내지 54:Examples 35 to 54:

하기 절차를 반응물질 1 내지 20 및 3-(4-아미노페닐)-1H-인돌-2-카르복스아미드를 수반하는 각각 표적화된 반응에 적용하였다.The following procedure was applied to each targeted reaction involving reactants 1-20 and 3- (4-aminophenyl) -1H-indole-2-carboxamide.

Figure 112007049241203-PCT00124
Figure 112007049241203-PCT00124

용매 중 3-(4-아미노페닐)-1H-인돌-2-카르복스아미드 용액을 100 mg의 화합물이, 사용된 반응기 당 9 ml의 THF(반응 1 내지 13) 또는 5 ml의 톨루엔(반응 14 내지 20) 중에 분포되도록 제조하였다.A solution of 3- (4-aminophenyl) -1H-indole-2-carboxamide in solvent was charged with 9 ml of THF (reactions 1 to 13) or 5 ml of toluene (reaction 14) per 100 mg of compound used. To 20).

20℃의 100 mg의 3-(4-아미노페닐)-1H-인돌-2-카르복스아미드 용액을 평행 합성에 적합한 반응기(카루셀 래들리(Carrousel Radley) 또는 부치 싱코어(Buchi Syncore)) 내에 위치시키고 나서, 해당하는 이소시아네이트를 도입시켰다(표 A 중 1 내지 20 참조). 반응 혼합물을 39시간 동안 20℃에서 교반하였다. 전체 혼합물을 감압 하에서 건조해질 때까지 농축시키고 나서, 5 ml의 디클로로메탄에 녹였다.100 mg of 3- (4-aminophenyl) -1H-indole-2-carboxamide solution at 20 ° C. were placed in a reactor suitable for parallel synthesis (Carrousel Radley or Buchi Syncore) The corresponding isocyanates were then introduced (see 1-20 in Table A). The reaction mixture was stirred at 20 ° C. for 39 hours. The whole mixture was concentrated to dryness under reduced pressure and then dissolved in 5 ml of dichloromethane.

디클로로메탄에서의 가용성 상태에 따라, 화합물들을 다양한 방식으로 처리하였다:Depending on the soluble state in dichloromethane, the compounds were treated in various ways:

1. 디클로로메탄 중에 가용성인 전구체 2, 5 및 14로부터 생성된 화합물들은 실리카 겔 크로마토그래피로 정제하고; 합친 후, 원하는 화합물을 함유하는 분획을 증발시켰다. 단리된 화합물들의 특성들은 하기에 설명되어 있다:1. Compounds resulting from precursors 2, 5 and 14 soluble in dichloromethane are purified by silica gel chromatography; After combining, the fractions containing the desired compound were evaporated. The properties of the isolated compounds are described below:

Figure 112007049241203-PCT00125
Figure 112007049241203-PCT00125

2. 이러한 조건 하에서 불용성인 전구체 1, 3, 4, 6, 7, 8, 9, 10, 11, 12, 13 및 15-20으로부터 생성된 화합물들은 디클로로메탄 중에 연화처리하고, 여과하고, 세척하고 나서, 건조시켰다. 전구체 3, 7, 9 내지 13 및 15 내지 20으로부터 유도된 하기 화합물들을 단리하고 특성화하였다. 단리된 화합물들의 특성들은 하기에 설명되어 있다:2. Compounds produced from precursors 1, 3, 4, 6, 7, 8, 9, 10, 11, 12, 13 and 15-20 that are insoluble under these conditions are softened in dichloromethane, filtered, washed and Then, it was dried. The following compounds derived from precursors 3, 7, 9-13 and 15-20 were isolated and characterized. The properties of the isolated compounds are described below:

Figure 112007049241203-PCT00126
Figure 112007049241203-PCT00126

3. 전구체 6 및 8로부터 유도된 화합물들은 아세토니트릴에 녹이고, 연화처리하고, 여과시키고, 세척하고, 건조시켰다. 하기 화합물들을 단리하고, 확인하고, 특성화하였다. 단리된 화합물들의 특성들은 하기에 설명되어 있다:3. Compounds derived from precursors 6 and 8 were dissolved in acetonitrile, softened, filtered, washed and dried. The following compounds were isolated, identified and characterized. The properties of the isolated compounds are described below:

Figure 112007049241203-PCT00127
Figure 112007049241203-PCT00127

4. 전구체 1 및 4로부터 유도된 화합물들을 정제용 LC/MS로 정제하였다.4. Compounds derived from precursors 1 and 4 were purified by preparative LC / MS.

Figure 112007049241203-PCT00128
Figure 112007049241203-PCT00128

Figure 112007049241203-PCT00129
Figure 112007049241203-PCT00129

Figure 112007049241203-PCT00130
Figure 112007049241203-PCT00130

LCMS 분석 방법LCMS Analysis Method

Figure 112007049241203-PCT00131
Figure 112007049241203-PCT00131

LC/MS 정제 방법:LC / MS Purification Method:

생성물은 워터스 모델 600 구배 펌프, 워터스 모델 515 재생 펌프, 워터스 리에이전트 매니저 희석 펌프, 워터스 모델 2700 자동 주입기, 2개의 레오다인 모델 랩프로 밸브, 워터스 모델 996 다이오드 어레이 탐지기, 워터스 모델 ZMD 질량 분광계 및 길슨 모델 204 분획 수집기로 구성된 워터스 프랙션링스 시스템을 사용하여 LC/MS에 의해 정제하였다. 시스템은 워터스 프랙션링스 소프트웨어로 제어하였다. 분리는 2개의 워터스 시메트리(Symmetry) 컬럼(C18, 5 ㎛, 19 x 50 mm, 카탈로그 참조번호 186000210) 상에서 교대로 수행하였다(한 컬럼은 0.07% (v/v) 트리플루오로아세트산을 포함하는 95/5 (v/v) 물/아세토니트릴 혼합물을 이용한 재생을 수행하고, 다른 컬럼은 분리에 사용되었음). 컬럼은 10 ml/분의 유속으로, 0.07% (v/v) 트리플루오로아세트산을 포함하는 물 중 0.7% (v/v) 트리플루오로아세트산을 포함하는 5% 내지 95% 아세토니트릴의 선형 구배를 사용하여 용리하였다. 분리 컬럼의 출구에서, 유출물의 1000분의 1을 LC 패킹 애큐레이트(Packing Accurate)를 이용하여 분리하고, 0.5 ml/분의 유속으로 메틸 알코올로 희석하고, 75%는 다이오드 어레이 탐지기로, 나머지 25%는 질량 분광계로 하여, 탐지기들로 보냈다. 유출물의 나머지(999/1000)는 분획 수집기로 보냈으며, 여기서 예상 생성물의 질량이 프랙션링스 소프트웨어에 의해 탐지되지 않으면 배출물을 버렸다. 예상 생성물의 분자식을 프랙션링스 소프트웨어에 공급하였으며, 상기 소프트웨어는 탐지된 질량 신호가 이온 [M+H]+ 및/또는 [M+Na]+에 해당하는 경우 생성물 수집을 작동시켰다. 어떤 경우에는, 분석 LC/MS 결과에 따라, [M+2H]++에 해당하는 강한 이온이 탐지된 경우, 계산 분자량의 절반(MW/2)에 해당하는 값도 프랙션링스 소프트웨어에 공급하였다. 이러한 조건 하에서, [M+2H]++ 및/또는 [M+Na+HH]++에 대한 질량 신호가 탐지되는 경우에도 수집을 작동시켰다. 생성물들을 중량을 잰 유리 튜브에 수집하였다. 수집 후, 용매를 원심분리 증발기에서 증발시키고, 용매 증발 후 튜브의 중량을 측정함으로써, 생성물의 질량을 결정하였다.Products include Waters Model 600 Gradient Pump, Waters Model 515 Regeneration Pump, Waters Agent Manager Dilution Pump, Waters Model 2700 Autoinjector, 2 Leodyne Model LapPro Valves, Waters Model 996 Diode Array Detector, Waters Model ZMD Mass Spectrometer and Gilson Purification by LC / MS using a Waters Fractionations system configured with a Model 204 Fraction Collector. The system was controlled by Waters Fractionation software. Separation was performed alternately on two Waters Symmetry columns (C18 , 5 μm, 19 × 50 mm, catalog reference 186000210) (one column containing 0.07% (v / v) trifluoroacetic acid). Regeneration with 95/5 (v / v) water / acetonitrile mixture, other columns were used for separation). The column is a linear gradient of 5% to 95% acetonitrile with 0.7% (v / v) trifluoroacetic acid in water with 0.07% (v / v) trifluoroacetic acid at a flow rate of 10 ml / min. Eluted using. At the outlet of the separation column, one thousandth of the effluent is separated using LC packing accurate, diluted with methyl alcohol at a flow rate of 0.5 ml / min, 75% with a diode array detector, the remaining 25 The% was sent to the detectors as a mass spectrometer. The remainder of the effluent (999/1000) was sent to a fraction collector where the effluent was discarded if the mass of the expected product was not detected by FractionLings software. The molecular formula of the expected product was fed to Fractionings software, which turned on product collection if the detected mass signal corresponds to ions [M + H]+ and / or [M + Na]+ . In some cases, according to the analytical LC / MS results, when strong ions corresponding to [M + 2H]++ were detected, values corresponding to half of the calculated molecular weight (MW / 2) were also supplied to Fractionings Software. . Under these conditions, the collection was activated even when a mass signal for [M + 2H]++ and / or [M + Na + HH]++ was detected. The products were collected in a weighed glass tube. After collection, the solvent was evaporated in a centrifugal evaporator and the mass of the product was determined by weighing the tube after solvent evaporation.

실시예 55: 5-플루오로-3-{4-[3-(2-플루오로-5-트리플루오로-메틸-페닐)우레이도]페닐}-1H-인돌-2-카르복스아미드Example 55 5-fluoro-3- {4- [3- (2-fluoro-5-trifluoro-methyl-phenyl) ureido] phenyl} -1 H-indole-2-carboxamide

Figure 112007049241203-PCT00132
Figure 112007049241203-PCT00132

실시예 56: 6-플루오로-3-{4-[3-(2-플루오로-5-트리플루오로-메틸페닐)우레이도]페닐}-1H-인돌-2-카르복스아미드Example 56: 6-fluoro-3- {4- [3- (2-fluoro-5-trifluoro-methylphenyl) ureido] phenyl} -1H-indole-2-carboxamide

Figure 112007049241203-PCT00133
Figure 112007049241203-PCT00133

실시예 57: 3-{4-[3-(2-플루오로-5-트리플루오로메틸페닐)-메틸카르보닐아미노]페닐}-1H-인돌-2-카르복스아미드Example 57: 3- {4- [3- (2-fluoro-5-trifluoromethylphenyl) -methylcarbonylamino] phenyl} -1 H-indole-2-carboxamide

Figure 112007049241203-PCT00134
Figure 112007049241203-PCT00134

실시예 58: 3-{4-[3-(2-플루오로-5-트리플루오로메틸페닐)-우레이도]-3-플루오로페닐}-1H-인돌-2-카르복스아미드Example 58: 3- {4- [3- (2-fluoro-5-trifluoromethylphenyl) -ureido] -3-fluorophenyl} -1 H-indole-2-carboxamide

Figure 112007049241203-PCT00135
Figure 112007049241203-PCT00135

실시예 59: 3-{4-[3-(2-플루오로-5-트리플루오로메틸페닐)-우레이도]-3-메틸페닐}-1H-인돌-2-카르복스아미드Example 59: 3- {4- [3- (2-fluoro-5-trifluoromethylphenyl) -ureido] -3-methylphenyl} -1 H-indole-2-carboxamide

Figure 112007049241203-PCT00136
Figure 112007049241203-PCT00136

실시예 60: 4-메톡시-3-{4-[3-(2-플루오로-5-트리플루오로-메틸페닐)-우레이도]페닐}-1H-인돌-2-카르복스아미드Example 60: 4-methoxy-3- {4- [3- (2-fluoro-5-trifluoro-methylphenyl) -ureido] phenyl} -1H-indole-2-carboxamide

Figure 112007049241203-PCT00137
Figure 112007049241203-PCT00137

실시예 61: 5-메톡시-3-{4-[3-(2-플루오로-5-트리플루오로-메틸페닐)우레이도]페닐}-1H-인돌-2-카르복스아미드Example 61 5-methoxy-3- {4- [3- (2-fluoro-5-trifluoro-methylphenyl) ureido] phenyl} -1H-indole-2-carboxamide

Figure 112007049241203-PCT00138
Figure 112007049241203-PCT00138

실시예 62: 5-니트로-3-{4-[3-(2-플루오로-5-트리플루오로-메틸페닐)우레이도]페닐}-1H-인돌-2-카르복스아미드Example 62: 5-nitro-3- {4- [3- (2-fluoro-5-trifluoro-methylphenyl) ureido] phenyl} -1 H-indole-2-carboxamide

Figure 112007049241203-PCT00139
Figure 112007049241203-PCT00139

실시예 63: 5-트리플루오로메톡시-3-{4-[3-(2-플루오로-5-트리플루오로메틸페닐)우레이도]페닐}-1H-인돌-2-카르복스아미드Example 63: 5-trifluoromethoxy-3- {4- [3- (2-fluoro-5-trifluoromethylphenyl) ureido] phenyl} -1H-indole-2-carboxamide

Figure 112007049241203-PCT00140
Figure 112007049241203-PCT00140

실시예 64: 7-(2-모르폴린-1-일에톡시)-3-{4-[3-(2-플루오로-5-트리플루오로메틸페닐)우레이도]페닐}-1H-인돌-2-카르복스아미드Example 64 7- (2-morpholin-1-ylethoxy) -3- {4- [3- (2-fluoro-5-trifluoromethylphenyl) ureido] phenyl} -1H-indole- 2-carboxamide

Figure 112007049241203-PCT00141
Figure 112007049241203-PCT00141

실시예 65: 7-(2-피롤리딘-1-일에톡시-3-{4-[3-(2-플루오로-5-트리플루오로메틸페닐)우레이도]페닐}-1H-인돌-2-카르복스아미드Example 65: 7- (2-Pyrrolidin-1-ylethoxy-3- {4- [3- (2-fluoro-5-trifluoromethylphenyl) ureido] phenyl} -1H-indole- 2-carboxamide

Figure 112007049241203-PCT00142
Figure 112007049241203-PCT00142

실시예 66: 7-(3-피리딘-3-일카르보닐아미노)-3-{4-[3-(2-플루오로-5-트리플루오로메틸페닐)우레이도]페닐}-1H-인돌-2-카르복스아미드Example 66: 7- (3-pyridin-3-ylcarbonylamino) -3- {4- [3- (2-fluoro-5-trifluoromethylphenyl) ureido] phenyl} -1H-indole- 2-carboxamide

Figure 112007049241203-PCT00143
Figure 112007049241203-PCT00143

실시예 67: 7-(3-메톡시에틸아미노)-3-{4-[3-(2-플루오로-5-트리플루오로메틸페닐)우레이도]페닐}-1H-인돌-2-카르복스아미드Example 67 7- (3-methoxyethylamino) -3- {4- [3- (2-fluoro-5-trifluoromethylphenyl) ureido] phenyl} -1H-indole-2-carbox amides

Figure 112007049241203-PCT00144
Figure 112007049241203-PCT00144

실시예 68: 7-히드록시-3-{4-[3-(2-플루오로-5-트리플루오로-메틸페닐)우레이도]페닐}-1H-인돌-2-카르복스아미드Example 68: 7-hydroxy-3- {4- [3- (2-fluoro-5-trifluoro-methylphenyl) ureido] phenyl} -1H-indole-2-carboxamide

Figure 112007049241203-PCT00145
Figure 112007049241203-PCT00145

실시예 69: 7-메톡시-3-{4-[3-(2-플루오로-5-트리플루오로-메틸페닐)우레이도]페닐}-1H-인돌-2-카르복스아미드Example 69 7-methoxy-3- {4- [3- (2-fluoro-5-trifluoro-methylphenyl) ureido] phenyl} -1H-indole-2-carboxamide

Figure 112007049241203-PCT00146
Figure 112007049241203-PCT00146

실시예 70: 6-(2-모르폴린-1-일에톡시)-3-{4-[3-(2-플루오로-5-트리플루오로메틸페닐)우레이도]페닐}-1H-인돌-2-카르복스아미드Example 70 6- (2-Morpholin-1-ylethoxy) -3- {4- [3- (2-fluoro-5-trifluoromethylphenyl) ureido] phenyl} -1H-indole- 2-carboxamide

Figure 112007049241203-PCT00147
Figure 112007049241203-PCT00147

실시예 71: 3-{4-[3-(2-플루오로-4-히드록시-5-트리플루오로-메틸페닐)우레이도]페닐}-1H-인돌-2-카르복스아미드Example 71: 3- {4- [3- (2-fluoro-4-hydroxy-5-trifluoro-methylphenyl) ureido] phenyl} -1H-indole-2-carboxamide

Figure 112007049241203-PCT00148
Figure 112007049241203-PCT00148

실시예 72: 3-{4-[3-(4-클로로-5-트리플루오로메틸-페닐)우레이도]페닐}1H-인돌-2-카르복스아미드Example 72: 3- {4- [3- (4-chloro-5-trifluoromethyl-phenyl) ureido] phenyl} 1H-indole-2-carboxamide

Figure 112007049241203-PCT00149
Figure 112007049241203-PCT00149

실시예 73: 7-(2-모르폴린-1-일에톡시)-3-{4-[3-(4-플루오로-5-트리플루오로메틸페닐)우레이도]페닐}-1H-인돌-2-카르복스아미드Example 73: 7- (2-Morpholin-1-ylethoxy) -3- {4- [3- (4-fluoro-5-trifluoromethylphenyl) ureido] phenyl} -1H-indole- 2-carboxamide

Figure 112007049241203-PCT00150
Figure 112007049241203-PCT00150

실시예 74: 7-(2-모르폴린-1-일에톡시)-3-{4-[3-(4-메틸-3-트리플루오로메틸페닐)우레이도]페닐}-1H-인돌-2-카르복스아미드Example 74: 7- (2-morpholin-1-ylethoxy) -3- {4- [3- (4-methyl-3-trifluoromethylphenyl) ureido] phenyl} -1 H-indole-2 Carboxamide

Figure 112007049241203-PCT00151
Figure 112007049241203-PCT00151

실시예 75: 3-{4-[3-(4-(피롤리딘-1-일메톡시)-3-트리-플루오로메틸페닐)우 레이도]페닐}-1H-인돌-2-카르복스아미드Example 75: 3- {4- [3- (4- (pyrrolidin-1-ylmethoxy) -3-tri-fluoromethylphenyl) ureido] phenyl} -1H-indole-2-carboxamide

Figure 112007049241203-PCT00152
Figure 112007049241203-PCT00152

실시예 76: 3-{4-[3-(4-(4-메틸피페라진-1-일메틸)-3-트리플루오로메틸페닐)우레이도]페닐}-1H-인돌-2-카르복스아미드Example 76: 3- {4- [3- (4- (4-methylpiperazin-1-ylmethyl) -3-trifluoromethylphenyl) ureido] phenyl} -1H-indole-2-carboxamide

Figure 112007049241203-PCT00153
Figure 112007049241203-PCT00153

실시예 77: 3-{4-[3-(2-플루오로페닐)우레이도]페닐}-1H-피롤로[3,2-b]피리딘-2-카르복스아미드Example 77: 3- {4- [3- (2-fluorophenyl) ureido] phenyl} -1H-pyrrolo [3,2-b] pyridine-2-carboxamide

Figure 112007049241203-PCT00154
Figure 112007049241203-PCT00154

실시예 78: 3-{4-[3-(2-메톡시페닐)우레이도]페닐}-1H-피롤로[3,2-b]피리딘- 2-카르복스아미드Example 78: 3- {4- [3- (2-methoxyphenyl) ureido] phenyl} -1H-pyrrolo [3,2-b] pyridine-2-carboxamide

Figure 112007049241203-PCT00155
Figure 112007049241203-PCT00155

Figure 112007049241203-PCT00156
Figure 112007049241203-PCT00156

실시예 79: 3-{4-[3-(2-트리플루오로메틸페닐)우레이도]페닐}-1H-피롤로[3,2-b]피리딘-2-카르복스아미드Example 79: 3- {4- [3- (2-trifluoromethylphenyl) ureido] phenyl} -1H-pyrrolo [3,2-b] pyridine-2-carboxamide

Figure 112007049241203-PCT00157
Figure 112007049241203-PCT00157

실시예 80: 3-[4-(3-o-톨릴우레이도)페닐]-1H-피롤로[3,2-b]피리딘-2-카르복스아미드Example 80: 3- [4- (3-o-tolylureido) phenyl] -1H-pyrrolo [3,2-b] pyridine-2-carboxamide

Figure 112007049241203-PCT00158
Figure 112007049241203-PCT00158

실시예 81: 3-{4-[3-(3-플루오로페닐)우레이도]페닐}-1H-피롤로[3,2-b]피리딘-2-카르복스아미드Example 81: 3- {4- [3- (3-fluorophenyl) ureido] phenyl} -1H-pyrrolo [3,2-b] pyridine-2-carboxamide

Figure 112007049241203-PCT00159
Figure 112007049241203-PCT00159

실시예 82: 3-{4-[3-(3-메톡시페닐)우레이도]페닐}-1H-피롤로[3,2-b]피리딘-2-카르복스아미드Example 82: 3- {4- [3- (3-methoxyphenyl) ureido] phenyl} -1H-pyrrolo [3,2-b] pyridine-2-carboxamide

Figure 112007049241203-PCT00160
Figure 112007049241203-PCT00160

실시예 83: 3-{4-[3-(3-트리플루오로메틸페닐)우레이도]페닐}-1H-피롤로[3,2-b]피리딘-2-카르복스아미드Example 83: 3- {4- [3- (3-trifluoromethylphenyl) ureido] phenyl} -1H-pyrrolo [3,2-b] pyridine-2-carboxamide

Figure 112007049241203-PCT00161
Figure 112007049241203-PCT00161

실시예 84: 3-[4-(3-m-톨릴우레이도)페닐]-1H-피롤로[3,2-b]피리딘-2-카르복스아미드Example 84: 3- [4- (3-m-tolylureido) phenyl] -1H-pyrrolo [3,2-b] pyridine-2-carboxamide

Figure 112007049241203-PCT00162
Figure 112007049241203-PCT00162

실시예 85: 3-{4-[3-(4-플루오로페닐)우레이도]페닐}-1H-피롤로[3,2-b]피리딘-2-카르복스아미드Example 85: 3- {4- [3- (4-fluorophenyl) ureido] phenyl} -1H-pyrrolo [3,2-b] pyridine-2-carboxamide

Figure 112007049241203-PCT00163
Figure 112007049241203-PCT00163

Figure 112007049241203-PCT00164
Figure 112007049241203-PCT00164

실시예 86: 3-{4-[3-(4-메톡시페닐)우레이도]페닐}-1H-피롤로[3,2-b]피리딘-2-카르복스아미드Example 86: 3- {4- [3- (4-methoxyphenyl) ureido] phenyl} -1H-pyrrolo [3,2-b] pyridine-2-carboxamide

Figure 112007049241203-PCT00165
Figure 112007049241203-PCT00165

실시예 87: 3-{4-[3-(4-트리플루오로메틸페닐)-우레이도]페닐}-1H-피롤로[3,2-b]피리딘-2-카르복스아미드Example 87: 3- {4- [3- (4-trifluoromethylphenyl) -ureido] phenyl} -1H-pyrrolo [3,2-b] pyridine-2-carboxamide

Figure 112007049241203-PCT00166
Figure 112007049241203-PCT00166

실시예 88: 3-[4-(3-p-톨릴우레이도)페닐]-1H-피롤로[3,2-b]피리딘-2-카르복스아미드Example 88: 3- [4- (3-p-tolylureido) phenyl] -1H-pyrrolo [3,2-b] pyridine-2-carboxamide

Figure 112007049241203-PCT00167
Figure 112007049241203-PCT00167

실시예 89: 3-{4-[3-(4-클로로-3-트리플루오로메틸페닐)-우레이도]페닐}-1H-피롤로[3,2-b]피리딘-2-카르복스아미드Example 89: 3- {4- [3- (4-chloro-3-trifluoromethylphenyl) -ureido] phenyl} -1H-pyrrolo [3,2-b] pyridine-2-carboxamide

Figure 112007049241203-PCT00168
Figure 112007049241203-PCT00168

실시예 90: 3-{4-[3-(2-클로로-5-트리플루오로메틸페닐)-우레이도]페닐}-1H-피롤로[3,2-b]피리딘-2-카르복스아미드Example 90: 3- {4- [3- (2-chloro-5-trifluoromethylphenyl) -ureido] phenyl} -1H-pyrrolo [3,2-b] pyridine-2-carboxamide

Figure 112007049241203-PCT00169
Figure 112007049241203-PCT00169

Figure 112007049241203-PCT00170
Figure 112007049241203-PCT00170

실시예 91: 3-{4-[3-(2-플루오로-3-트리플루오로메틸페닐)-우레이도]페닐}-1H-피롤로[3,2-b]피리딘-2-카르복스아미드Example 91: 3- {4- [3- (2-fluoro-3-trifluoromethylphenyl) -ureido] phenyl} -1H-pyrrolo [3,2-b] pyridine-2-carboxamide

Figure 112007049241203-PCT00171
Figure 112007049241203-PCT00171

실시예 92: 3-{4-[3-(4-플루오로-3-트리플루오로메틸페닐)-우레이도]페닐}-1H-피롤로[3,2-b]피리딘-2-카르복스아미드Example 92: 3- {4- [3- (4-fluoro-3-trifluoromethylphenyl) -ureido] phenyl} -1H-pyrrolo [3,2-b] pyridine-2-carboxamide

Figure 112007049241203-PCT00172
Figure 112007049241203-PCT00172

실시예 93: 3-{4-[3-(3-플루오로-5-트리플루오로메틸페닐)-우레이도]페닐}-1H-피롤로[3,2-b]피리딘-2-카르복스아미드Example 93: 3- {4- [3- (3-fluoro-5-trifluoromethylphenyl) -ureido] phenyl} -1H-pyrrolo [3,2-b] pyridine-2-carboxamide

Figure 112007049241203-PCT00173
Figure 112007049241203-PCT00173

실시예 94: 3-{4-[3-(4-메틸-3-트리플루오로메틸페닐)-우레이도]페닐}-1H-피롤로[3,2-b]피리딘-2-카르복스아미드Example 94: 3- {4- [3- (4-methyl-3-trifluoromethylphenyl) -ureido] phenyl} -1H-pyrrolo [3,2-b] pyridine-2-carboxamide

Figure 112007049241203-PCT00174
Figure 112007049241203-PCT00174

실시예 95: 3-{4-[3-(4-트리플루오로메톡시페닐)-우레이도]페닐}1H-피롤로[3,2-b]피리딘-2-카르복스아미드Example 95: 3- {4- [3- (4-trifluoromethoxyphenyl) -ureido] phenyl} 1H-pyrrolo [3,2-b] pyridine-2-carboxamide

Figure 112007049241203-PCT00175
Figure 112007049241203-PCT00175

실시예 96: 3-{4-[3-(4-디플루오로메톡시페닐)-우레이도]페닐}1H-피롤로[3,2-b]피리딘-2-카르복스아미드Example 96: 3- {4- [3- (4-difluoromethoxyphenyl) -ureido] phenyl} 1H-pyrrolo [3,2-b] pyridine-2-carboxamide

Figure 112007049241203-PCT00176
Figure 112007049241203-PCT00176

실시예 97: 3-{4-[3-(3,4-디메틸페닐)우레이도]페닐}-1H-피롤로[3,2-b]피리딘-2-카르복스아미드Example 97: 3- {4- [3- (3,4-dimethylphenyl) ureido] phenyl} -1H-pyrrolo [3,2-b] pyridine-2-carboxamide

Figure 112007049241203-PCT00177
Figure 112007049241203-PCT00177

실시예 98: 3-{4-[3-(3,4-디메톡시페닐)우레이도]- 페닐}-1H-피롤로[3,2-b]피리딘-2-카르복스아미드Example 98: 3- {4- [3- (3,4-Dimethoxyphenyl) ureido] -phenyl} -1H-pyrrolo [3,2-b] pyridine-2-carboxamide

Figure 112007049241203-PCT00178
Figure 112007049241203-PCT00178

실시예 99: 3-{4-[3-(3,5-디메톡시페닐)우레이도]-페닐}-1H-피롤로[3,2-b]피리딘-2-카르복스아미드Example 99: 3- {4- [3- (3,5-dimethoxyphenyl) ureido] -phenyl} -1H-pyrrolo [3,2-b] pyridine-2-carboxamide

Figure 112007049241203-PCT00179
Figure 112007049241203-PCT00179

Figure 112007049241203-PCT00180
Figure 112007049241203-PCT00180

실시예 100: 3-{4-[3-(2,5-디메틸페닐)우레이도]-페닐}-1H-피롤로[3,2-b]피리딘-2-카르복스아미드Example 100: 3- {4- [3- (2,5-dimethylphenyl) ureido] -phenyl} -1 H-pyrrolo [3,2-b] pyridine-2-carboxamide

Figure 112007049241203-PCT00181
Figure 112007049241203-PCT00181

실시예 101: 3-{4-[3-(2-메톡시-5-메틸페닐)우레이도]-페닐}1H-피롤로[3,2-b]피리딘-2-카르복스아미드Example 101: 3- {4- [3- (2-methoxy-5-methylphenyl) ureido] -phenyl} 1H-pyrrolo [3,2-b] pyridine-2-carboxamide

Figure 112007049241203-PCT00182
Figure 112007049241203-PCT00182

실시예 102: 3-{4-[3-(2,5-디메톡시페닐)우레이도]-페닐}-1H-피롤로[3,2-b]피리딘-2-카르복스아미드Example 102: 3- {4- [3- (2,5-dimethoxyphenyl) ureido] -phenyl} -1H-pyrrolo [3,2-b] pyridine-2-carboxamide

Figure 112007049241203-PCT00183
Figure 112007049241203-PCT00183

실시예 103: 3-{4-[3-(3-클로로-4-디플루오로메톡시페닐) 우레이도]-페닐}-1H-피롤로[3,2-b]피리딘-2-카르복스아미드Example 103: 3- {4- [3- (3-chloro-4-difluoromethoxyphenyl) ureido] -phenyl} -1H-pyrrolo [3,2-b] pyridine-2-carboxamide

Figure 112007049241203-PCT00184
Figure 112007049241203-PCT00184

실시예 104: 3-{4-[3-(3,5-디메틸페닐)우레이도]-페닐}-1H-피롤로[3,2-b]피리딘-2-카르복스아미드Example 104: 3- {4- [3- (3,5-dimethylphenyl) ureido] -phenyl} -1 H-pyrrolo [3,2-b] pyridine-2-carboxamide

Figure 112007049241203-PCT00185
Figure 112007049241203-PCT00185

화합물의 활성 측정 - 실험 프로토콜Activity Measurement of Compounds-Experimental Protocol

1.One.KDRKDR

본 화합물들의 억제 효과를 섬광 기법(96 웰 플레이트, NEN)을 사용하여 시험관 내에서의 KDR 효소에 의한 기질의 인산화 분석법으로 측정하였다.The inhibitory effects of the compounds were determined by phosphorylation assay of substrates by KDR enzymes in vitro using scintillation techniques (96 well plates, NEN).

인간 KDR 효소의 세포질 도메인을 GST 융합 형태로 바큘로바이러스 발현 벡터 pFastBac 내로 클로닝하였다. 단백질을 SF21 세포에서 발현시키고, 약 60%의 균질도로 정제하였다.The cytoplasmic domain of the human KDR enzyme was cloned into the baculovirus expression vector pFastBac in GST fusion form. Protein was expressed in SF21 cells and purified to about 60% homogeneity.

KDR 키나제 활성은 10 mM MgCl2, 100 μM Na3VO4, 1 mM NaF 존재 하에서, 20 mM MOPS, 10 mM MgCl2, 10 mM MnCl2, 1 mM DTT, 2.5 mM EGTA, 10 mM β-글리세로포스페이트, pH = 7.2 중에서 측정하였다. 10 ㎕의 본 화합물을 4℃에서 100 ng의 KDR 효소를 함유하는 키나제 완충액 70 ㎕에 첨가하였다. 2 ㎍의 기질(GST 융합 단백질 형태로 발현된 PLCγ의 SH2-SH3 단편), 2 μCi γ33P[ATP] 및 2 μM의 차가운 ATP를 함유하는 용액 20 ㎕를 첨가함으로써 반응을 개시하였다. 1시간 동안 37℃에서 인큐베이션시킨 후, 1 부피(100 ㎕)의 200 mM EDTA를 첨가함으로써 반응을 중지시켰다. 인큐베이션 완충액을 제거하고, 모든 웰들을 300 ㎕의 PBS로 3회 세척하였다. 탑 카운트 NXT (Top Count NXT) 방사능 계수기(패커드(Packard))를 사용하여 각 웰에서 방사능을 측정하였다.KDR kinase activity was determined by 20 mM MOPS, 10 mM MgCl2 , 10 mM MnCl2 , 1 mM DTT, 2.5 mM EGTA, 10 mM β-glycer in the presence of 10 mM MgCl2 , 100 μM Na3 VO4 , 1 mM NaF. It was measured in phosphate, pH = 7.2. 10 μl of this compound was added to 70 μl of kinase buffer containing 100 ng KDR enzyme at 4 ° C. The reaction was initiated by adding 20 μl of a solution containing 2 μg of substrate (SH2-SH3 fragment of PLCγ expressed in the form of GST fusion protein), 2 μCi γ33 P [ATP] and 2 μM cold ATP. After incubation at 37 ° C. for 1 hour, the reaction was stopped by adding 1 volume (100 μl) of 200 mM EDTA. Incubation buffer was removed and all wells were washed three times with 300 μl of PBS. Radioactivity was measured in each well using a Top Count NXT radioactivity counter (Packard).

방사성 ATP 및 기질만을 함유하는 4개의 상이한 웰에서 방사능을 측정함으로 써, 백그라운드 노이즈를 결정하였다.Background noise was determined by measuring radioactivity in four different wells containing only radioactive ATP and substrate.

모든 반응물질(γ33P-[ATP], KDR 및 PLCγ 기질)을 함유하되, 본 화합물은 함유하지 않은 4개의 상이한 웰에서 전체 활성에 대한 대조 활성을 측정하였다.Control activity for total activity was determined in four different wells containing all reactants (γ33 P- [ATP], KDR and PLCγ substrates) but no compound present.

본 발명의 화합물을 이용한 KDR 활성의 억제는 화합물의 부재 시에 측정된 대조 활성의 억제 백분율로 표현하였다.Inhibition of KDR activity with a compound of the invention is expressed as a percentage inhibition of control activity measured in the absence of the compound.

각 플레이트에는 억제 대조군으로서 화합물 SU5614(칼바이오켐(Calbiochem))(1 μM)이 포함되었다.Each plate contained compound SU5614 (Calbiochem) (1 μM) as an inhibition control.

2.2.Tie2Tie2

세포내 도메인 아미노산 776-1124에 해당하는 인간 Tie2 코딩 서열을 인간 태반 모델로부터 단리한 cDNA를 사용하여 PCT에 의해 생성하였다. 이 서열을 GST 융합 단백질 형태로 바큘로바이러스 발현 벡터 pFastBacGT 내에 도입시켰다.Human Tie2 coding sequences corresponding to intracellular domain amino acids 776-1124 were generated by PCT using cDNA isolated from human placental model. This sequence was introduced into the baculovirus expression vector pFastBacGT in the form of a GST fusion protein.

본 분자들의 억제 효과는 약 80% 균질도로 정제된 GST-Tie2의 존재 하에서의 Tie2에 의한 PLC 인산화 분석법으로 측정하였다. 기질은 GST 융합 단백질 형태로 발현된 PLC의 SH2-SH3 단편들로 이루어졌다.The inhibitory effect of these molecules was determined by PLC phosphorylation assay by Tie2 in the presence of GST-Tie2 purified to about 80% homogeneity. The substrate consisted of SH2-SH3 fragments of PLC expressed in the form of a GST fusion protein.

Tie2의 키나제 활성은 10 mM MgCl2, 10 mM MnCl2, 1 mM DTT 및 10 mM의 글리세로포스페이트를 함유하는 pH 7.2의 20 mM MOPS 완충액에서 측정하였다. 100 ng의 GST-Tie2 효소를 함유하는 70 ㎕의 키나제 완충액으로 이루어진 반응 혼합물을 얼음 상에서 놓아둔 96 웰 플래시플레이트(FlashPlate)의 각 웰 내로 침착시켰다. 그리고 나서, 최대 10% 농도로 DMSO 중에 희석된 시험 분자 10 ㎕를 첨가하였다. 주어진 농도에서, 각각 4회 측정하였다. 2 ㎍의 GST-PLC, 2 μM의 차가운 ATP 및 1 μCi의33P[ATP]를 함유하는 용액 20 ㎕를 첨가함으로써 반응을 개시하였다. 1시간 동안 37℃에서 인큐베이션한 후, 1 부피(100 ㎕)의 200 mM EDTA를 첨가함으로써 반응을 중지시켰다. 인큐베이션 완충액을 제거한 후, 웰들을 300 ㎕의 PBS로 3회 세척하였다. 월락(Wallac) 마이크로베타(MicroBeta) 1450 상에서 방사능을 측정하였다.Kinase activity of Tie2 was measured in 20 mM MOPS buffer at pH 7.2 containing 10 mM MgCl2 , 10 mM MnCl2 , 1 mM DTT, and 10 mM glycerophosphate. A reaction mixture consisting of 70 μl of kinase buffer containing 100 ng of GST-Tie2 enzyme was deposited into each well of a 96 well FlashPlate placed on ice. Then 10 μl of test molecules diluted in DMSO at a concentration of up to 10% were added. At a given concentration, four measurements were made each. The reaction was initiated by adding 20 μl of a solution containing 2 μg GST-PLC, 2 μM cold ATP and 1 μCi33 P [ATP]. After incubation at 37 ° C. for 1 hour, the reaction was stopped by adding 1 volume (100 μl) of 200 mM EDTA. After removal of incubation buffer, wells were washed three times with 300 μl of PBS. Radioactivity was measured on a Wallac MicroBeta 1450.

Tie2 활성 억제는 본 화합물의 부재 중에 측정된 대조 활성에 대한 억제 백분율로서 계산하고 측정하였다.Inhibition of Tie2 activity was calculated and measured as a percentage inhibition against control activity measured in the absence of the present compound.

본 발명에 따른 생성물들은 일반적으로, KDR 또는 Tie2에 대한 IC50 또는 둘 다에 대한 IC50이 1 μM 미만, 바람직하게는 500 mM 미만, 보다 더욱 바람직하게는 100 nM 미만이었다. 이 생성물들 중, 일부는 일반적으로, FAK에 대한 IC50이 1 μM 미만, 바람직하게는 500 nM 미만, 보다 더욱 바람직하게는 100 nM 미만이었다. 예를 들어, 실시예 10의 생성물은 FAK에 대한 IC50 값이 303 nM이었다.The products according to the invention generally have an IC50 for KDR or Tie2 or both for less than 1 μM, preferably less than 500 mM and even more preferably less than 100 nM. Some of these products generally had an IC50 for FAK of less than 1 μM, preferably less than 500 nM, even more preferably less than 100 nM. For example, the product of Example 10 had an IC50 value of 303 nM for FAK.

결과:result:

Figure 112007049241203-PCT00187
Figure 112007049241203-PCT00187

Figure 112007049241203-PCT00188
Figure 112007049241203-PCT00188

Figure 112007049241203-PCT00189
Figure 112007049241203-PCT00189

Figure 112007049241203-PCT00190
Figure 112007049241203-PCT00190

Figure 112007049241203-PCT00191
Figure 112007049241203-PCT00191

Figure 112007049241203-PCT00192
Figure 112007049241203-PCT00192

Claims (31)

Translated fromKorean
하기 화학식 I에 상응하는 생성물.The product corresponding to formula (I)<화학식 I><Formula I>
Figure 112007049241203-PCT00193
Figure 112007049241203-PCT00193
상기 식 중,In the above formula,a) A 및 Ar은 아릴, 헤테로아릴, 치환된 아릴, 치환된 헤테로아릴로 이루어진 군으로부터 독립적으로 선택되고;a) A and Ar are independently selected from the group consisting of aryl, heteroaryl, substituted aryl, substituted heteroaryl;b) R1은 H 또는 알킬이고, 임의적으로 치환되어 있고;b) R 1 is H or alkyl and optionally substituted;c) X는 N 또는 N-옥시드 또는 CR12이고;c) X is N or N-oxide or CR 12;d) L은 결합, CO, NH, CO-NH, NH-CO, NH-SO, SO-NH, NH-SO2, SO2-NH, NH-CH2, CH2-NH, CH2-CO-NH, NH-CO-CH2, NH-CH2-CO, CO-CH2-NH, NH-CO-NH, NH-CS-NH, NH-CO-O, O-CO-NH로 이루어진 군으로부터 선택되고;d) L is a bond, CO, NH, CO-NH, NH-CO, NH-SO, SO-NH, NH-SO2 , SO2 -NH, NH-CH2 , CH2 -NH, CH2 -CO -NH, NH-CO-CH2 , NH-CH2 -CO, CO-CH2 -NH, NH-CO-NH, NH-CS-NH, NH-CO-O, O-CO-NH Is selected from;e) R5, R6, R7 및 R12은 H, 할로겐, CF3, NO2, R2, CN, O(R2), OC(O)(R2), OC(O)N(R2)(R3), OS(O2)(R2), N(R2)(R3), N=C(R2)(R3), N(R2)C(O)(R3), N(R2)C(O)O(R3), N(R4)C(O)N(R2)(R3), N(R2)C(O)R3N(R4)2, NHC(O)R2N(R3)(R4), N(R4)C(S)N(R2)(R3), N(R2)C(S)R3N(R4)2, NHC(S)R2N(R3)(R4), N(R2)S(O2)(R3), OS(O2)(R3), C(O)(R2), C(O)O(R2), C(O)N(R2)(R3), C(=N(R3))(R2), C(=N(OR3))(R2), S(R2), S(O)(R2), S(O2)(R2), S(O2)O(R2), S(O2)N(R2)(R3)으로 이루어진 군으로부터 각각 독립적으로 선택되며; 여기서 각각의 R2, R3, R4는 H, 알킬, 알킬렌, 알키닐, 아릴, 알킬아릴, 헤테로아릴, 알킬헤테로아릴, 시클로알킬, 알킬시클로알킬, 헤테로시클릴, 알킬헤테로시클릴, 치환된 알킬, 치환된 알킬렌, 치환된 알키닐, 치환된 아릴, 치환된 헤테로아릴, 치환된 시클로알킬, 치환된 헤테로시클릴로 이루어진 군으로부터 독립적으로 선택되고; R2 및 R3이 R5, R6, R7 및 R12 중 하나 위에 동시에 존재하는 경우, 이들은 서로 연결되어 O, N 및 S로부터 선택되는 0 내지 3개의 헤테로원자를 포함하는 고리를 형성할 수 있으며;e) R5, R6, R7 and R12 are H, halogen, CF3 , NO2 , R2, CN, O (R2), OC (O) (R2), OC (O) N (R2) (R3), OS (O2 ) (R2), N (R2) (R3), N = C (R2) (R3), N (R2) C (O) (R3), N (R2) C (O) O (R3) , N (R4) C (O) N (R2) (R3), N (R2) C (O) R3N (R4)2 , NHC (O) R2N (R3) (R4), N (R4) C (S N (R2) (R3), N (R2) C (S) R3N (R4)2 , NHC (S) R2N (R3) (R4), N (R2) S (O2 ) (R3), OS ( O2 ) (R3), C (O) (R2), C (O) O (R2), C (O) N (R2) (R3), C (= N (R3)) (R2), C ( = N (OR3) (R2), S (R2), S (O) (R2), S (O2 ) (R2), S (O2 ) O (R2), S (O2 ) N (R2 Each independently selected from the group consisting of (R3); Wherein each R 2, R 3, R 4 is H, alkyl, alkylene, alkynyl, aryl, alkylaryl, heteroaryl, alkylheteroaryl, cycloalkyl, alkylcycloalkyl, heterocyclyl, alkylheterocyclyl, substituted alkyl , Substituted alkylene, substituted alkynyl, substituted aryl, substituted heteroaryl, substituted cycloalkyl, substituted heterocyclyl; When R2 and R3 are present simultaneously on one of R5, R6, R7 and R12, they can be linked together to form a ring comprising 0 to 3 heteroatoms selected from O, N and S;f) Q는 H, CH3 및 시클로프로필로부터 선택된다.f) Q is selected from H, CH3 and cyclopropyl.제1항에 있어서, 하기 화학식 I에 상응하는 생성물.The product according to claim 1, wherein the product corresponds to formula (I)<화학식 I><Formula I>
Figure 112007049241203-PCT00194
Figure 112007049241203-PCT00194
상기 식 중,In the above formula,a) A 및 Ar는 제1항에서 정의된 바와 같고;a) A and Ar are as defined in claim 1;b) R1은 제1항에서 정의된 바와 같고;b) R 1 is as defined in claim 1;c) X는 N 또는 CR12이고;c) X is N or CR 12;d) L은 제1항에서 정의된 바와 같고;d) L is as defined in claim 1;e) R5, R6, R7 및 R12은 H, 할로겐, CF3, NO2, R2, CN, O(R2), OC(O)(R2), OC(O)N(R2)(R3), OS(O2)(R2), N(R2)(R3), N=C(R2)(R3), N(R2)C(O)(R3), N(R2)C(O)O(R3), N(R4)C(O)N(R2)(R3), N(R4)C(S)N(R2)(R3), N(R2)S(O2)(R3), OS(O2)(R3), C(O)(R2), C(O)O(R2), C(O)N(R2)(R3), C(=N(R3))(R2), C(=N(OR3))(R2), S(R2), S(O)(R2), S(O2)(R2), S(O2)O(R2), S(O2)N(R2)(R3)로 이루어진 군으로부터 각각 독립적으로 선택되고; 여기서, 각각의 R2, R3, R4는 제1항에서 정의된 바와 같으며;e) R5, R6, R7 and R12 are H, halogen, CF3 , NO2 , R2, CN, O (R2), OC (O) (R2), OC (O) N (R2) (R3), OS (O2 ) (R2), N (R2) (R3), N = C (R2) (R3), N (R2) C (O) (R3), N (R2) C (O) O (R3) , N (R4) C (O) N (R2) (R3), N (R4) C (S) N (R2) (R3), N (R2) S (O2 ) (R3), OS (O2 ) (R3), C (O) (R2), C (O) O (R2), C (O) N (R2) (R3), C (= N (R3)) (R2), C (= N (OR3) (R2), S (R2), S (O) (R2), S (O2 ) (R2), S (O2 ) O (R2), S (O2 ) N (R2) ( Each independently selected from the group consisting of R3); Wherein each R 2, R 3, R 4 is as defined in claim 1;f) Q는 제1항에서 정의된 바와 같다.f) Q is as defined in claim 1.
제1항 또는 제2항에 있어서, Q가 H인 것을 특징으로 하는 생성물.3. The product of claim 1, wherein Q is H. 4.제3항에 있어서,The method of claim 3,a) A 및 Ar는 아릴, 헤테로아릴, 치환된 아릴, 치환된 헤테로아릴로 이루어진 군으로부터 독립적으로 선택되고;a) A and Ar are independently selected from the group consisting of aryl, heteroaryl, substituted aryl, substituted heteroaryl;b) R1은 H이고;b) R 1 is H;c) X는 CH 또는 N이며;c) X is CH or N;d) L은 NH-SO2 및 NH-CO-NH로부터 선택되는 것을 특징으로 하는 생성물.d) L is selected from NH-SO2 and NH-CO-NH.제1항 내지 제4항 중 어느 한 항에 있어서, Ar-L-A가 하기 화학식과 같은 것을 특징으로 하는 생성물.The product according to any one of claims 1 to 4, wherein Ar-L-A is represented by the following chemical formula.
Figure 112007049241203-PCT00195
Figure 112007049241203-PCT00195
상기 식 중, 각각의 X1, X2, X3 및 X4는 N 및 C R11로부터 독립적으로 선택되고, 여기서, R11은 H, 할로겐, NO2, R2, CN, O(R2), OC(O)(R2), OC(O)N(R2)(R3), OS(O2)(R2), N(R2)(R3), N=C(R2)(R3), N(R2)C(O)(R3), N(R2)C(O)O(R3), N(R4)C(O)N(R2)(R3), N(R4)C(S)N(R2)(R3), N(R2)S(O2)(R3), C(O)(R2), C(O)O(R2), C(O)N(R2)(R3), C(=N(R3))(R2), C(=N(OR3))(R2), S(R2), S(O)(R2), S(O2)(R2), S(O2)O(R2), S(O2)N(R2)(R3)으로 이루어진 군으로부터 선택된다.Wherein each X 1, X 2, X 3 and X 4 are independently selected from N and C R 11, wherein R 11 is H, halogen, NO2 , R2 , CN, O (R 2), OC (O) (R 2 ), OC (O) N (R2) (R3), OS (O2 ) (R2), N (R2) (R3), N = C (R2) (R3), N (R2) C (O) ( R3), N (R2) C (O) O (R3), N (R4) C (O) N (R2) (R3), N (R4) C (S) N (R2) (R3), N ( R2) S (O2 ) (R3), C (O) (R2), C (O) O (R2), C (O) N (R2) (R3), C (= N (R3)) (R2 ), C (= N (OR3)) (R2), S (R2), S (O) (R2), S (O2 ) (R2), S (O2 ) O (R2), S (O2) N (R2) (R3).
제5항에 있어서, R11이 H, F, Cl, 메틸, NH2, OCF3 및 CONH2로 이루어진 군으로부터 선택되는 것을 특징으로 하는 생성물.The product according to claim 5, wherein R 11 is selected from the group consisting of H, F, Cl, methyl, NH2 , OCF3 and CONH2 .제1항 내지 제6항 중 어느 한 항에 있어서, R5, R6, R7 및 R8이 H, 할로겐, 메틸, OCH3, OCF3, OH, NH2, NH(CH2)2OH, NH(CH2)2OCH3, O(CH2)COOH, O(CH2)2COOH, O(CH2)2NH(CH2)2OCH3, O(CH2)2NH(CH2)2OH, 피리딘-3-일카르보닐아미노-, 2-(N,N-디에틸아미노)에톡시, 3-(N,N-디에틸아미노)프로폭시, 2-(피롤리딘-1-일)에톡시, 3-(피롤리딘-1-일)프로폭시, 2-(피페리딘-1-일)에톡시, 3-(피페리딘-1-일)프로폭시, 2-(4-메틸피페라진-1-일)에톡시, 3-(4-메틸피페라진-1-일)프로폭시, 2-(모르폴린-4-일)에톡시 및 3-(모르폴린-4-일)프로폭시로 이루어진 군으로부터 각각 독립적으로 선택되는 것을 특징으로 하는 생성물.7. The compound of claim 1, wherein R 5, R 6, R 7 and R 8 are H, halogen, methyl, OCH3 , OCF3 , OH, NH2 , NH (CH2 )2 OH, NH (CH2 )2 OCH3 , O (CH2 ) COOH, O (CH2 )2 COOH, O (CH2 )2 NH (CH2 )2 OCH3 , O (CH2 )2 NH (CH2 )2 OH, Pyridin-3-ylcarbonylamino-, 2- (N, N-diethylamino) ethoxy, 3- (N, N-diethylamino) propoxy, 2- (pyrrolidin-1-yl) Methoxy, 3- (pyrrolidin-1-yl) propoxy, 2- (piperidin-1-yl) ethoxy, 3- (piperidin-1-yl) propoxy, 2- (4-methyl Piperazin-1-yl) ethoxy, 3- (4-methylpiperazin-1-yl) propoxy, 2- (morpholin-4-yl) ethoxy and 3- (morpholin-4-yl) prop A product, characterized in that each independently selected from the group consisting of foxy.제1항 내지 제7항 중 어느 한 항에 있어서, R5 및 R7이 H 및 F로부터 독립적으로 선택되는 것을 특징으로 하는 생성물.8. The product according to claim 1, wherein R 5 and R 7 are independently selected from H and F. 9.제1항 내지 제8항 중 어느 한 항에 있어서, R6이 H인 것을 특징으로 하는 생성물.The product according to claim 1, wherein R 6 is H. 10.제1항에 있어서, L-A가 NH-CO-NH-A, NH-SO2-A 및 NH-CO-CH2-A로부터 선택되는 것을 특징으로 하는 생성물.The product of claim 1, wherein LA is selected from NH-CO-NH-A, NH-SO2 -A and NH-CO-CH2 -A.제1항 내지 제10항 중 어느 한 항에 있어서, A가 페닐, 피리딜, 피리미딜, 피리다지닐, 피라지닐, 티에닐, 푸릴, 피롤릴, 옥사졸릴, 티아졸릴, 이속사졸릴, 이소티아졸릴, 피라졸릴, 이미다졸릴, 인돌릴, 인다조릴, 벤즈이미다졸릴, 벤즈옥사졸릴 및 벤조티아졸릴로 이루어진 군으로부터 선택되고, 임의적으로 치환되어 있는 것을 특징으로 하는 생성물.The compound of claim 1, wherein A is phenyl, pyridyl, pyrimidyl, pyridazinyl, pyrazinyl, thienyl, furyl, pyrrolyl, oxazolyl, thiazolyl, isoxazolyl, iso A product selected from the group consisting of thiazolyl, pyrazolyl, imidazolyl, indolyl, indazolyl, benzimidazolyl, benzoxazolyl and benzothiazolyl and optionally substituted.제11항에 있어서, A가 페닐, 피라졸릴 및 이속사졸릴로부터 선택되고, 임의적으로 치환되어 있는 것을 특징으로 하는 생성물.12. The product of claim 11, wherein A is selected from phenyl, pyrazolyl and isoxazolyl and optionally substituted.제10항 내지 제12항 중 어느 한 항에 있어서, A가 알킬, 할로겐화 알킬, 알킬렌, 알키닐, 아릴, O-알킬, O-시클로알킬, O-아릴, O-헤테로아릴, S-알킬, S-시클로알킬, S-아릴 및 S-헤테로아릴로 이루어진 군으로부터 선택되는 제1 치환기로 치환되며, 이들 각각은 임의적으로 (C1-C3)알킬, 할로겐 및 O-(C1-C3)알킬로부터 선택되는 치환기로 치환되는 것을 특징으로 하는 생성물.The compound of any one of claims 10-12, wherein A is alkyl, halogenated alkyl, alkylene, alkynyl, aryl, O-alkyl, O-cycloalkyl, O-aryl, O-heteroaryl, S-alkyl Is substituted with a first substituent selected from the group consisting of S-cycloalkyl, S-aryl and S-heteroaryl, each of which is optionally (C1 -C3 ) alkyl, halogen and O- (C1 -C3 ) a product which is substituted with a substituent selected from alkyl.제10항 내지 제13항 중 어느 한 항에 있어서, A가 F, Cl, Br, I, OH, SO3M, COOM, CN, NO2, CON(R8)(R9), N(R8)CO(R9), (C1-C3)알킬-OH, (C1-C3)알킬-N(R8)(R9), (C1-C3)알킬-(R10), (C1-C3)알킬-COOH, N(R8)(R9), O-(C2-C4)알킬-N(R8)(R9)로 이루어진 군으로부터 선택되는 제2 치환기로 치환되며; 여기서, R8 및 R9는 H, (C1-C3)알 킬, (C1-C3)알킬-OH, (C1-C3)알킬-NH2, (C1-C3)알킬-COOM 및 (C1-C3)알킬-SO3M으로부터 독립적으로 선택되고; R8 및 R9가 모두 H가 아닌 경우, 이들은 연결되어 O, N 및 S로부터 선택되는 0 내지 3개의 헤테로원자를 포함하는 고리를 형성하고; M은 H 또는 Li, Na 및 K로부터 선택되는 알칼리 금속 양이온이며; R10은 H이거나, 2 내지 7개의 탄소 원자 및 N, O 및 S로부터 선택된 1 내지 3개의 헤테로원자를 포함하는 임의적으로 치환된 비방향족 헤테로사이클인 것을 특징으로 하는 생성물.The method of claim 10, wherein A is F, Cl, Br, I, OH, SO3 M, COOM, CN, NO2 , CON (R 8) (R 9), N (R 8) CO(R9), (C 1 -C 3) alkyl, -OH, (C1 -C3) alkyl, -N (R8) (R9), (C 1 -C 3) alkyl,- (R10), (C 1 -C3 ) alkyl-COOH, N (R8) (R9), O- (C2 -C4 ) alkyl-N (R8) (R9) and substituted with a second substituent selected from the group consisting of; Wherein R 8 and R 9 are H, (C1 -C3 ) alkyl, (C1 -C3 ) alkyl-OH, (C1 -C3 ) alkyl-NH2 , (C1 -C3 ) alkyl- Independently selected from COOM and (C1 -C3 ) alkyl-SO3 M; If both R8 and R9 are not H, they are joined to form a ring comprising 0 to 3 heteroatoms selected from O, N and S; M is H or an alkali metal cation selected from Li, Na and K; R 10 is H or an optionally substituted non-aromatic heterocycle comprising 2 to 7 carbon atoms and 1 to 3 heteroatoms selected from N, O and S.제10항 내지 제14항 중 어느 한 항에 있어서, A가 할로겐, 특히 F, (C1-C4)알킬, 할로겐화 (C1-C3)알킬, 특히 CF3, O-(C1-C4)알킬, O-시클로알킬, S-(C1-C4)알킬, S-시클로알킬, 할로겐화 O-(C1-C4)알킬 또는 할로겐화 S-(C1-C4)알킬로 치환된 페닐, 피라졸릴 또는 이속사졸릴인 것을 특징으로 하는 생성물.The process according to claim 10, wherein A is halogen, in particular F, (C1 -C4 ) alkyl, halogenated (C1 -C3 ) alkyl, in particular CF3 , O— (C1- C4 ) alkyl, O-cycloalkyl, S- (C1 -C4 ) alkyl, S-cycloalkyl, halogenated O- (C1 -C4 ) alkyl or halogenated S- (C1 -C4 ) alkyl Product which is substituted phenyl, pyrazolyl or isoxazolyl.제1항 내지 제14항 중 어느 한 항에 있어서, A가 알킬, 할로겐화 알킬, 알킬렌, 알키닐, 아릴, O-알킬, O-시클로알킬, O-아릴, O-헤테로아릴, S-알킬, S-시클로알킬, S-아릴, S-헤테로아릴로 이루어진 군으로부터 선택되는 0, 1, 2, 3, 4 또는 5개의 치환기로 치환된 페닐이고; 이들 각각은 (C1-C3)알킬, 할로겐, O-(C1-C3)알킬; 및 F, Cl, Br, I, OH, SO3M, COOM, CN, NO2, CON(R8)(R9), N(R8)CO(R9), (C1-C3)알킬-OH, (C1-C3)알킬-N(R8)(R9), (C1-C3)알킬-(R10), (C1-C3)알킬-COOH, N(R8)(R9), O-(C2-C4)알킬-N(R8)(R9)로부터 선택되는 치환기로 임의적으로 치환되고; 여기서, R8 및 R9는 H, (C1-C3)알킬, (C1-C3)알킬-OH, (C1-C3)알킬-NH2, (C1-C3)알킬-COOM, (C1-C3)알킬-SO3M으로부터 독립적으로 선택되고; R8 및 R9가 모두 H가 아닌 경우, 이들은 연결되어 O, N 및 S로부터 선택되는 0 내지 3개의 헤테로원자를 포함하는 고리를 형성하고; M은 H 또는 Li, Na 및 K로부터 선택되는 알칼리 금속 양이온이며; R10은 H이거나, 2 내지 7개의 탄소 원자 및 N, O 및 S로부터 선택되는 1 내지 3개의 헤테로원자를 포함하는 임의적으로 치환된 비방향족 헤테로사이클인 것을 특징으로 하는 생성물.The compound of claim 1, wherein A is alkyl, halogenated alkyl, alkylene, alkynyl, aryl, O-alkyl, O-cycloalkyl, O-aryl, O-heteroaryl, S-alkyl Phenyl substituted by 0, 1, 2, 3, 4 or 5 substituents selected from the group consisting of S-cycloalkyl, S-aryl, S-heteroaryl; Each of which includes (C1 -C3 ) alkyl, halogen, O— (C1 -C3 ) alkyl; And F, Cl, Br, I, OH, SO3 M, COOM, CN, NO2 , CON (R 8) (R 9), N (R 8) CO (R 9), (C1 -C3 ) alkyl-OH, (C1 -C3 ) alkyl-N (R 8) (R 9), (C1 -C3 ) alkyl- (R 10), (C1 -C3 ) alkyl-COOH, N (R 8) (R 9), O Optionally substituted with a substituent selected from-(C2 -C4 ) alkyl-N (R 8) (R 9); Wherein R 8 and R 9 are H, (C1 -C3 ) alkyl, (C1 -C3 ) alkyl-OH, (C1 -C3 ) alkyl-NH2 , (C1 -C3 ) alkyl-COOM , (C1 -C3 ) alkyl-SO3 M independently; If both R8 and R9 are not H, they are joined to form a ring comprising 0 to 3 heteroatoms selected from O, N and S; M is H or an alkali metal cation selected from Li, Na and K; R 10 is H or an optionally substituted non-aromatic heterocycle comprising 2 to 7 carbon atoms and 1 to 3 heteroatoms selected from N, O and S.제1항에 있어서, 하기 화합물들로부터 선택되는 것을 특징으로 하는 생성물.The product of claim 1, wherein the product is selected from the following compounds.3-{4-[3-(2-플루오로-5-트리플루오로메틸페닐)우레이도]페닐}-1H-인돌-2-카르복스아미드,3- {4- [3- (2-fluoro-5-trifluoromethylphenyl) ureido] phenyl} -1 H-indole-2-carboxamide,3-{4-[3-(2-플루오로-5-트리플루오로메틸페닐)우레이도]페닐}-1H-피롤로[3,2-b]피리딘-2-카르복스아미드,3- {4- [3- (2-fluoro-5-trifluoromethylphenyl) ureido] phenyl} -1H-pyrrolo [3,2-b] pyridine-2-carboxamide,3-[4-(3-페닐우레이도)페닐]-1H-인돌-2-카르복스아미드,3- [4- (3-phenylureido) phenyl] -1 H-indole-2-carboxamide,3-[4-(3-m-톨릴우레이도)페닐]-1H-인돌-2-카르복스아미드,3- [4- (3-m-tolylureido) phenyl] -1H-indole-2-carboxamide,3-[4-(3-트리플루오로메틸페닐우레이도)페닐]-1H-인돌-2-카르복스아미드,3- [4- (3-trifluoromethylphenylureido) phenyl] -1 H-indole-2-carboxamide,3-[4-(3,5-디메틸페닐우레이도)페닐]-1H-인돌-2-카르복스아미드,3- [4- (3,5-dimethylphenylureido) phenyl] -1H-indole-2-carboxamide,3-[4-(2-플루오로페닐우레이도)페닐]-1H-인돌-2-카르복스아미드,3- [4- (2-fluorophenylureido) phenyl] -1 H-indole-2-carboxamide,3-{4-[3-(2-플루오로-5-트리플루오로메틸페닐)우레이도]페닐}-1-메틸-1H-인돌-2-카르복스아미드,3- {4- [3- (2-fluoro-5-trifluoromethylphenyl) ureido] phenyl} -1-methyl-1H-indole-2-carboxamide,3-{4-[3-(3-클로로-4-트리플루오로메틸페닐)우레이도]페닐}-1H-인돌-2-카르복스아미드3- {4- [3- (3-chloro-4-trifluoromethylphenyl) ureido] phenyl} -1H-indole-2-carboxamide3-{4-[3-(5-tert-부틸이속사졸-3-일)우레이도]페닐}1H-인돌-2-카르복스아미드3- {4- [3- (5-tert-butylisoxazol-3-yl) ureido] phenyl} 1H-indole-2-carboxamide3-{4-[3-(4-트리플루오로메톡시페닐)우레이도]페닐}1H-인돌-2-카르복스아미드3- {4- [3- (4-trifluoromethoxyphenyl) ureido] phenyl} 1H-indole-2-carboxamide3-{4-[3-(2-메톡시-5-트리플루오로메틸페닐)우레이도]페닐}-1H-인돌-2-카르복스아미드3- {4- [3- (2-methoxy-5-trifluoromethylphenyl) ureido] phenyl} -1H-indole-2-carboxamide3-[4-(2-플루오로-5-트리플루오로메틸벤젠술포닐아미노)페닐]-1H-인돌-2-카르복스아미드3- [4- (2-fluoro-5-trifluoromethylbenzenesulfonylamino) phenyl] -1H-indole-2-carboxamide3-[4-(2,3-디클로로벤젠술포닐아미노)페닐]-1H-인돌-2-카르복스아미드,3- [4- (2,3-dichlorobenzenesulfonylamino) phenyl] -1H-indole-2-carboxamide,3-{4-[3-(5-tert-부틸-2-p-톨릴-2H-피라졸-3-일)우레이도]페닐}-1H-인돌-2-카르복스아미드,3- {4- [3- (5-tert-butyl-2-p-tolyl-2H-pyrazol-3-yl) ureido] phenyl} -1H-indole-2-carboxamide,3-{4-[3-(2-플루오로-5-메틸페닐)우레이도]페닐}1H-인돌-2-카르복스아미드,3- {4- [3- (2-fluoro-5-methylphenyl) ureido] phenyl} 1H-indole-2-carboxamide,3-{4-[3-(5-디메틸아미노-2-플루오로페닐)우레이도]페닐}-1H-인돌-2-카르복스아미드,3- {4- [3- (5-dimethylamino-2-fluorophenyl) ureido] phenyl} -1H-indole-2-carboxamide,3-{4-[3-(3-디메틸아미노페닐)우레이도]페닐}-1H-인돌-2-카르복스아미드,3- {4- [3- (3-dimethylaminophenyl) ureido] phenyl} -1H-indole-2-carboxamide,3-{4-[3-(2-피롤리딘-1-일메틸-5-트리플루오로메틸페닐)우레이도]페닐}-1H- 인돌-2-카르복스아미드,3- {4- [3- (2-pyrrolidin-1-ylmethyl-5-trifluoromethylphenyl) ureido] phenyl} -1H-indole-2-carboxamide,3-{4-[3-(2-메톡시메틸-5-트리플루오로메틸페닐)우레이도]페닐}-1H-인돌-2-카르복스아미드,3- {4- [3- (2-methoxymethyl-5-trifluoromethylphenyl) ureido] phenyl} -1H-indole-2-carboxamide,3-{4-[3-(2-플루오로-5-트리플루오로메틸페닐)우레이도]페닐}-4-옥시-1H-피롤로[3,2-b]피리딘-2-카르복스아미드,3- {4- [3- (2-fluoro-5-trifluoromethylphenyl) ureido] phenyl} -4-oxy-1H-pyrrolo [3,2-b] pyridine-2-carboxamide,3-{4-[3-(2-메톡시-5-트리플루오로메틸페닐)우레이도]페닐}-1H-피롤로[3,2-b]피리딘-2-카르복스아미드,3- {4- [3- (2-methoxy-5-trifluoromethylphenyl) ureido] phenyl} -1H-pyrrolo [3,2-b] pyridine-2-carboxamide,3-{4-[3-(2-플루오로-5-트리플루오로메틸페닐)우레이도]페닐}-6-(2-메톡시에톡시)-1H-인돌-2-카르복스아미드,3- {4- [3- (2-fluoro-5-trifluoromethylphenyl) ureido] phenyl} -6- (2-methoxyethoxy) -1H-indole-2-carboxamide,3-{4-[3-(2-플루오로-5-트리플루오로메틸페닐)우레이도]페닐}-6-(2-피롤리딘-1-일에톡시)-1H-인돌-2-카르복스아미드,3- {4- [3- (2-fluoro-5-trifluoromethylphenyl) ureido] phenyl} -6- (2-pyrrolidin-1-ylethoxy) -1H-indole-2-car Voxamide,3-{6-[3-(2-플루오로-5-트리플루오로메틸페닐)우레이도]피리딘-3-일}-6-메톡시-1H-인돌-2-카르복스아미드,3- {6- [3- (2-fluoro-5-trifluoromethylphenyl) ureido] pyridin-3-yl} -6-methoxy-1H-indole-2-carboxamide,3-{4-[3-(2-플루오로-5-트리플루오로메틸페닐)우레이도]페닐}-6-메톡시-1H-인돌-2-카르복스아미드,3- {4- [3- (2-fluoro-5-trifluoromethylphenyl) ureido] phenyl} -6-methoxy-1H-indole-2-carboxamide,3-{4-[3-(2-플루오로-5-트리플루오로메틸페닐)우레이도]페닐}-6-히드록시-1H-인돌-2-카르복스아미드,3- {4- [3- (2-fluoro-5-trifluoromethylphenyl) ureido] phenyl} -6-hydroxy-1H-indole-2-carboxamide,3-{4-[3-(2-플루오로-5-트리플루오로메틸페닐)우레이도]페닐}-6-(2-히드록시에톡시)-1H-인돌-2-카르복스아미드,3- {4- [3- (2-fluoro-5-trifluoromethylphenyl) ureido] phenyl} -6- (2-hydroxyethoxy) -1H-indole-2-carboxamide,3-{4-[3-(2-플루오로-5-트리플루오로메틸페닐)우레이도]페닐}-7-니트로-1H- 인돌-2-카르복스아미드,3- {4- [3- (2-fluoro-5-trifluoromethylphenyl) ureido] phenyl} -7-nitro-1H-indole-2-carboxamide,7-아미노-3-{4-[3-(2-플루오로-5-트리플루오로메틸페닐)우레이도]페닐}-1H-인돌-2-카르복스아미드,7-amino-3- {4- [3- (2-fluoro-5-trifluoromethylphenyl) ureido] phenyl} -1H-indole-2-carboxamide,3-{4-[3-(2-플루오로-5-트리플루오로메틸페닐)우레이도]페닐}-7-(2-히드록시에틸아미노)-1H-인돌-2-카르복스아미드,3- {4- [3- (2-fluoro-5-trifluoromethylphenyl) ureido] phenyl} -7- (2-hydroxyethylamino) -1H-indole-2-carboxamide,7-(2-디메틸아미노아세틸아미노)-3-{4-[3-(2-플루오로-5-트리플루오로메틸페닐)우레이도]페닐}-1H-인돌-2-카르복스아미드,7- (2-dimethylaminoacetylamino) -3- {4- [3- (2-fluoro-5-trifluoromethylphenyl) ureido] phenyl} -1H-indole-2-carboxamide,3-{6-[3-(2-메톡시-5-트리플루오로메틸페닐)우레이도]피리딘-3-일}-1H-인돌-2-카르복스아미드,3- {6- [3- (2-methoxy-5-trifluoromethylphenyl) ureido] pyridin-3-yl} -1H-indole-2-carboxamide,3-{6-[3-(2-플루오로-5-트리플루오로메틸페닐)우레이도]피리딘-3-일}-1H-인돌-2-카르복스아미드,3- {6- [3- (2-fluoro-5-trifluoromethylphenyl) ureido] pyridin-3-yl} -1H-indole-2-carboxamide,3-{4-[3-(4-tert-부틸페닐)우레이도]페닐}-1H-인돌-2-카르복스아미드,3- {4- [3- (4-tert-butylphenyl) ureido] phenyl} -1H-indole-2-carboxamide,3-{4-[3-(4-트리플루오로메틸술파닐페닐)우레이도]페닐}-1H-인돌-2-카르복스아미드,3- {4- [3- (4-trifluoromethylsulfanylphenyl) ureido] phenyl} -1H-indole-2-carboxamide,3-{4-[3-(4-디플루오로메톡시페닐)우레이도]페닐}-1H-인돌-2-카르복스아미드,3- {4- [3- (4-difluoromethoxyphenyl) ureido] phenyl} -1H-indole-2-carboxamide,3-{4-[3-(3-플루오로-4-메틸페닐)우레이도]페닐}-1H-인돌-2-카르복스아미드,3- {4- [3- (3-fluoro-4-methylphenyl) ureido] phenyl} -1 H-indole-2-carboxamide,3-{4-[3-(4-클로로페닐)우레이도]페닐}-1H-인돌-2-카르복스아미드,3- {4- [3- (4-chlorophenyl) ureido] phenyl} -1H-indole-2-carboxamide,3-{4-[3-(4-디메틸아미노페닐)우레이도]페닐}-1H-인돌-2-카르복스아미드,3- {4- [3- (4-dimethylaminophenyl) ureido] phenyl} -1H-indole-2-carboxamide,3-[4-(3-p-톨릴우레이도)페닐]-1H-인돌-2-카르복스아미드,3- [4- (3-p-tolylureido) phenyl] -1H-indole-2-carboxamide,3-{4-[3-(4-플루오로페닐)우레이도]페닐}-1H-인돌-2-카르복스아미드,3- {4- [3- (4-fluorophenyl) ureido] phenyl} -1H-indole-2-carboxamide,3-{4-[3-(3-클로로-4-플루오로페닐)우레이도]페닐}-1H-인돌-2-카르복스아미드,3- {4- [3- (3-chloro-4-fluorophenyl) ureido] phenyl} -1 H-indole-2-carboxamide,3-[4-(3-티오펜-2-일우레이도)페닐]-1H-인돌-2-카르복스아미드,3- [4- (3-thiophen-2-ylureido) phenyl] -1H-indole-2-carboxamide,3-{4-[3-(2-디플루오로메톡시페닐)우레이도]페닐}-1H-인돌-2-카르복스아미드,3- {4- [3- (2-difluoromethoxyphenyl) ureido] phenyl} -1 H-indole-2-carboxamide,3-{4-[3-(3-메톡시페닐)우레이도]페닐}-1H-인돌-2-카르복스아미드,3- {4- [3- (3-methoxyphenyl) ureido] phenyl} -1H-indole-2-carboxamide,3-{4-[3-(4-메톡시페닐)우레이도]페닐}-1H-인돌-2-카르복스아미드,3- {4- [3- (4-methoxyphenyl) ureido] phenyl} -1H-indole-2-carboxamide,3-{4-[3-(3-브로모페닐)우레이도]페닐}-1H-인돌-2-카르복스아미드,3- {4- [3- (3-bromophenyl) ureido] phenyl} -1H-indole-2-carboxamide,3-{4-[3-(3-플루오로페닐)우레이도]페닐}-1H-인돌-2-카르복스아미드,3- {4- [3- (3-fluorophenyl) ureido] phenyl} -1H-indole-2-carboxamide,3-{4-[3-(3-클로로페닐)우레이도]페닐}-1H-인돌-2-카르복스아미드,3- {4- [3- (3-chlorophenyl) ureido] phenyl} -1H-indole-2-carboxamide,3-{4-[3-(4-트리플루오로메틸페닐)우레이도]페닐}-1H-인돌-2-카르복스아미드,3- {4- [3- (4-trifluoromethylphenyl) ureido] phenyl} -1H-indole-2-carboxamide,3-{4-[3-(3-에틸페닐)우레이도]페닐}-1H-인돌-2-카르복스아미드,3- {4- [3- (3-ethylphenyl) ureido] phenyl} -1H-indole-2-carboxamide,3-{4-[3-(4-이소프로필페닐)우레이도]페닐}-1H-인돌-2-카르복스아미드,3- {4- [3- (4-isopropylphenyl) ureido] phenyl} -1H-indole-2-carboxamide,3-{4-[3-(5-메틸-2-트리플루오로메틸푸란-3-일)우레이도]페닐}-1H-인돌-2-카르복스아미드,3- {4- [3- (5-methyl-2-trifluoromethylfuran-3-yl) ureido] phenyl} -1H-indole-2-carboxamide,5-플루오로-3-{4-[3-(2-플루오로-5-트리플루오로메틸페닐)우레이도]페닐}-1H-인돌-2-카르복스아미드,5-fluoro-3- {4- [3- (2-fluoro-5-trifluoromethylphenyl) ureido] phenyl} -1 H-indole-2-carboxamide,6-플루오로-3-{4-[3-(2-플루오로-5-트리플루오로메틸페닐)우레이도]페닐}- 1H-인돌-2-카르복스아미드,6-fluoro-3- {4- [3- (2-fluoro-5-trifluoromethylphenyl) ureido] phenyl} -1H-indole-2-carboxamide,3-{4-[3-(2-플루오로-5-트리플루오로메틸페닐)메틸카르보닐아미노]페닐}-1H-인돌-2-카르복스아미드,3- {4- [3- (2-fluoro-5-trifluoromethylphenyl) methylcarbonylamino] phenyl} -1H-indole-2-carboxamide,3-{4-[3-(2-플루오로-5-트리플루오로메틸페닐)우레이도]-3-플루오로페닐}-1H-인돌-2-카르복스아미드,3- {4- [3- (2-fluoro-5-trifluoromethylphenyl) ureido] -3-fluorophenyl} -1 H-indole-2-carboxamide,3-{4-[3-(2-플루오로-5-트리플루오로메틸페닐)우레이도]-3-메틸페닐}-1H-인돌-2-카르복스아미드,3- {4- [3- (2-fluoro-5-trifluoromethylphenyl) ureido] -3-methylphenyl} -1H-indole-2-carboxamide,4-메톡시-3-{4-[3-(2-플루오로-5-트리플루오로메틸페닐)우레이도]페닐}-1H-인돌-2-카르복스아미드,4-methoxy-3- {4- [3- (2-fluoro-5-trifluoromethylphenyl) ureido] phenyl} -1H-indole-2-carboxamide,5-메톡시-3-{4-[3-(2-플루오로-5-트리플루오로메틸페닐)우레이도]페닐}-1H-인돌-2-카르복스아미드,5-methoxy-3- {4- [3- (2-fluoro-5-trifluoromethylphenyl) ureido] phenyl} -1H-indole-2-carboxamide,5-니트로-3-{4-[3-(2-플루오로-5-트리플루오로메틸페닐)우레이도]페닐}-1H-인돌-2-카르복스아미드,5-nitro-3- {4- [3- (2-fluoro-5-trifluoromethylphenyl) ureido] phenyl} -1 H-indole-2-carboxamide,5-트리플루오로메톡시-3-{4-[3-(2-플루오로-5-트리플루오로메틸페닐)우레이도]페닐}-1H-인돌-2-카르복스아미드,5-trifluoromethoxy-3- {4- [3- (2-fluoro-5-trifluoromethylphenyl) ureido] phenyl} -1H-indole-2-carboxamide,7-(2-모르폴린-1-일에톡시)-3-{4-[3-(2-플루오로-5-트리플루오로메틸페닐)우레이도]페닐}-1H-인돌-2-카르복스아미드,7- (2-morpholin-1-ylethoxy) -3- {4- [3- (2-fluoro-5-trifluoromethylphenyl) ureido] phenyl} -1H-indole-2-carbox amides,7-(2-피롤리딘-1-일에톡시-3-{4-[3-(2-플루오로-5-트리플루오로메틸페닐)우레이도]페닐}-1H-인돌-2-카르복스아미드,7- (2-pyrrolidin-1-ylethoxy-3- {4- [3- (2-fluoro-5-trifluoromethylphenyl) ureido] phenyl} -1H-indole-2-carbox amides,7-(3-피리딘-3-일카르보닐아미노)-3-{4-[3-(2-플루오로-5-트리플루오로메틸 페닐)우레이도]페닐}-1H-인돌-2-카르복스아미드,7- (3-pyridin-3-ylcarbonylamino) -3- {4- [3- (2-fluoro-5-trifluoromethyl phenyl) ureido] phenyl} -1H-indole-2-car Voxamide,7-(3-메톡시에틸아미노)-3-{4-[3-(2-플루오로-5-트리플루오로메틸페닐)우레이도]페닐}-1H-인돌-2-카르복스아미드,7- (3-methoxyethylamino) -3- {4- [3- (2-fluoro-5-trifluoromethylphenyl) ureido] phenyl} -1H-indole-2-carboxamide,7-히드록시-3-{4-[3-(2-플루오로-5-트리플루오로메틸페닐)우레이도]페닐}-1H-인돌-2-카르복스아미드,7-hydroxy-3- {4- [3- (2-fluoro-5-trifluoromethylphenyl) ureido] phenyl} -1H-indole-2-carboxamide,7-메톡시-3-{4-[3-(2-플루오로-5-트리플루오로메틸페닐)우레이도]페닐}-1H-인돌-2-카르복스아미드,7-methoxy-3- {4- [3- (2-fluoro-5-trifluoromethylphenyl) ureido] phenyl} -1H-indole-2-carboxamide,6-(2-모르폴린-1-일에톡시)-3-{4-[3-(2-플루오로-5-트리플루오로메틸페닐)우레이도]페닐}-1H-인돌-2-카르복스아미드,6- (2-morpholin-1-ylethoxy) -3- {4- [3- (2-fluoro-5-trifluoromethylphenyl) ureido] phenyl} -1H-indole-2-carbox amides,3-{4-[3-(2-플루오로-4-히드록시-5-트리플루오로메틸페닐)우레이도]페닐}-1H-인돌-2-카르복스아미드,3- {4- [3- (2-fluoro-4-hydroxy-5-trifluoromethylphenyl) ureido] phenyl} -1H-indole-2-carboxamide,3-{4-[3-(4-클로로-5-트리플루오로메틸페닐)우레이도]페닐}-1H-인돌-2-카르복스아미드,3- {4- [3- (4-chloro-5-trifluoromethylphenyl) ureido] phenyl} -1H-indole-2-carboxamide,7-(2-모르폴린-1-일에톡시)-3-{4-[3-(4-플루오로-5-트리플루오로메틸페닐)우레이도]페닐}-1H-인돌-2-카르복스아미드,7- (2-morpholin-1-ylethoxy) -3- {4- [3- (4-fluoro-5-trifluoromethylphenyl) ureido] phenyl} -1H-indole-2-carbox amides,7-(2-모르폴린-1-일에톡시)-3-{4-[3-(4-메틸-3-트리플루오로메틸페닐)우레이도]페닐}-1H-인돌-2-카르복스아미드,7- (2-morpholin-1-ylethoxy) -3- {4- [3- (4-methyl-3-trifluoromethylphenyl) ureido] phenyl} -1H-indole-2-carboxamide ,3-{4-[3-(4-(피롤리딘-1-일메톡시)-3-트리플루오로메틸페닐)우레이도]페닐}-1H-인돌-2-카르복스아미드,3- {4- [3- (4- (pyrrolidin-1-ylmethoxy) -3-trifluoromethylphenyl) ureido] phenyl} -1H-indole-2-carboxamide,3-{4-[3-(4-(4-메틸피페라진-1-일메틸)-3-트리플루오로메틸페닐)우레이도]페 닐}-1H-인돌-2-카르복스아미드,3- {4- [3- (4- (4-methylpiperazin-1-ylmethyl) -3-trifluoromethylphenyl) ureido] phenyl} -1H-indole-2-carboxamide,3-{4-[3-(2-플루오로페닐)우레이도]페닐}-1H-피롤로[3,2-b]피리딘-2-카르복스아미드,3- {4- [3- (2-fluorophenyl) ureido] phenyl} -1H-pyrrolo [3,2-b] pyridine-2-carboxamide,3-{4-[3-(2-메톡시페닐)우레이도]페닐}-1H-피롤로[3,2-b]피리딘-2-카르복스아미드,3- {4- [3- (2-methoxyphenyl) ureido] phenyl} -1H-pyrrolo [3,2-b] pyridine-2-carboxamide,3-{4-[3-(2-트리플루오로메틸페닐)우레이도]페닐}-1H-피롤로[3,2-b]피리딘-2-카르복스아미드,3- {4- [3- (2-trifluoromethylphenyl) ureido] phenyl} -1H-pyrrolo [3,2-b] pyridine-2-carboxamide,3-[4-(3-o-톨릴우레이도)페닐]-1H-피롤로[3,2-b]피리딘-2-카르복스아미드,3- [4- (3-o-tolylureido) phenyl] -1H-pyrrolo [3,2-b] pyridine-2-carboxamide,3-{4-[3-(3-플루오로페닐)우레이도]페닐}-1H-피롤로[3,2-b]피리딘-2-카르복스아미드,3- {4- [3- (3-fluorophenyl) ureido] phenyl} -1H-pyrrolo [3,2-b] pyridine-2-carboxamide,3-{4-[3-(3-메톡시페닐)우레이도]페닐}-1H-피롤로[3,2-b]피리딘-2-카르복스아미드,3- {4- [3- (3-methoxyphenyl) ureido] phenyl} -1H-pyrrolo [3,2-b] pyridine-2-carboxamide,3-{4-[3-(3-트리플루오로메틸페닐)우레이도]페닐}-1H-피롤로[3,2-b]피리딘-2-카르복스아미드,3- {4- [3- (3-trifluoromethylphenyl) ureido] phenyl} -1H-pyrrolo [3,2-b] pyridine-2-carboxamide,3-[4-(3-m-톨릴우레이도)페닐]-1H-피롤로[3,2-b]피리딘-2-카르복스아미드,3- [4- (3-m-tolylureido) phenyl] -1H-pyrrolo [3,2-b] pyridine-2-carboxamide,3-{4-[3-(4-플루오로페닐)우레이도]페닐}-1H-피롤로[3,2-b]피리딘-2-카르복스아미드,3- {4- [3- (4-fluorophenyl) ureido] phenyl} -1H-pyrrolo [3,2-b] pyridine-2-carboxamide,3-{4-[3-(4-메톡시페닐)우레이도]페닐}-1H-피롤로[3,2-b]피리딘-2-카르복스아미드,3- {4- [3- (4-methoxyphenyl) ureido] phenyl} -1H-pyrrolo [3,2-b] pyridine-2-carboxamide,3-{4-[3-(4-트리플루오로메틸페닐)우레이도]페닐}-1H-피롤로[3,2-b]피리딘- 2-카르복스아미드,3- {4- [3- (4-trifluoromethylphenyl) ureido] phenyl} -1H-pyrrolo [3,2-b] pyridine-2-carboxamide,3-[4-(3-p-톨릴우레이도)페닐]-1H-피롤로[3,2-b]피리딘-2-카르복스아미드,3- [4- (3-p-tolylureido) phenyl] -1H-pyrrolo [3,2-b] pyridine-2-carboxamide,3-{4-[3-(4-클로로-3-트리플루오로메틸페닐)우레이도]페닐}-1H-피롤로[3,2-b]피리딘-2-카르복스아미드,3- {4- [3- (4-chloro-3-trifluoromethylphenyl) ureido] phenyl} -1H-pyrrolo [3,2-b] pyridine-2-carboxamide,3-{4-[3-(2-클로로-5-트리플루오로메틸페닐)우레이도]페닐}-1H-피롤로[3,2-b]피리딘-2-카르복스아미드,3- {4- [3- (2-chloro-5-trifluoromethylphenyl) ureido] phenyl} -1H-pyrrolo [3,2-b] pyridine-2-carboxamide,3-{4-[3-(2-플루오로-3-트리플루오로메틸페닐)우레이도]페닐}-1H-피롤로[3,2-b]피리딘-2-카르복스아미드,3- {4- [3- (2-fluoro-3-trifluoromethylphenyl) ureido] phenyl} -1H-pyrrolo [3,2-b] pyridine-2-carboxamide,3-{4-[3-(4-플루오로-3-트리플루오로메틸페닐)우레이도]페닐}-1H-피롤로[3,2-b]피리딘-2-카르복스아미드,3- {4- [3- (4-fluoro-3-trifluoromethylphenyl) ureido] phenyl} -1H-pyrrolo [3,2-b] pyridine-2-carboxamide,3-{4-[3-(3-플루오로-5-트리플루오로메틸페닐)우레이도]페닐}-1H-피롤로[3,2-b]피리딘-2-카르복스아미드,3- {4- [3- (3-fluoro-5-trifluoromethylphenyl) ureido] phenyl} -1H-pyrrolo [3,2-b] pyridine-2-carboxamide,3-{4-[3-(4-메틸-3-트리플루오로메틸페닐)우레이도]페닐}-1H-피롤로[3,2-b]피리딘-2-카르복스아미드,3- {4- [3- (4-methyl-3-trifluoromethylphenyl) ureido] phenyl} -1H-pyrrolo [3,2-b] pyridine-2-carboxamide,3-{4-[3-(4-트리플루오로메톡시페닐)우레이도]페닐}-1H-피롤로[3,2-b]피리딘-2-카르복스아미드,3- {4- [3- (4-trifluoromethoxyphenyl) ureido] phenyl} -1H-pyrrolo [3,2-b] pyridine-2-carboxamide,3-{4-[3-(4-디플루오로메톡시페닐)우레이도]페닐}-1H-피롤로[3,2-b]피리딘-2-카르복스아미드,3- {4- [3- (4-difluoromethoxyphenyl) ureido] phenyl} -1H-pyrrolo [3,2-b] pyridine-2-carboxamide,3-{4-[3-(3,4-디메틸페닐)우레이도]페닐}-1H-피롤로[3,2-b]피리딘-2-카르복스아미드,3- {4- [3- (3,4-dimethylphenyl) ureido] phenyl} -1H-pyrrolo [3,2-b] pyridine-2-carboxamide,3-{4-[3-(3,4-디메톡시페닐)우레이도]페닐}-1H-피롤로[3,2-b]피리딘-2-카르복스아미드,3- {4- [3- (3,4-dimethoxyphenyl) ureido] phenyl} -1H-pyrrolo [3,2-b] pyridine-2-carboxamide,3-{4-[3-(3,5-디메톡시페닐)우레이도]페닐}-1H-피롤로[3,2-b]피리딘-2-카르복스아미드,3- {4- [3- (3,5-dimethoxyphenyl) ureido] phenyl} -1H-pyrrolo [3,2-b] pyridine-2-carboxamide,3-{4-[3-(2,5-디메틸페닐)우레이도]페닐}-1H-피롤로[3,2-b]피리딘-2-카르복스아미드,3- {4- [3- (2,5-dimethylphenyl) ureido] phenyl} -1H-pyrrolo [3,2-b] pyridine-2-carboxamide,3-{4-[3-(2-메톡시-5-메틸페닐)우레이도]페닐}-1H-피롤로[3,2-b]피리딘-2-카르복스아미드,3- {4- [3- (2-methoxy-5-methylphenyl) ureido] phenyl} -1H-pyrrolo [3,2-b] pyridine-2-carboxamide,3-{4-[3-(2,5-디메톡시페닐)우레이도]페닐}-1H-피롤로[3,2-b]피리딘-2-카르복스아미드,3- {4- [3- (2,5-dimethoxyphenyl) ureido] phenyl} -1H-pyrrolo [3,2-b] pyridine-2-carboxamide,3-{4-[3-(3-클로로-4-디플루오로메톡시페닐)우레이도]페닐}-1H-피롤로[3,2-b]피리딘-2-카르복스아미드,3- {4- [3- (3-chloro-4-difluoromethoxyphenyl) ureido] phenyl} -1H-pyrrolo [3,2-b] pyridine-2-carboxamide,3-{4-[3-(3,5-디메틸페닐)우레이도]페닐}-1H-피롤로[3,2-b]피리딘-2-카르복스아미드.3- {4- [3- (3,5-dimethylphenyl) ureido] phenyl} -1H-pyrrolo [3,2-b] pyridine-2-carboxamide.제1항에 있어서, 3-{4-[3-(2-플루오로-5-트리플루오로메틸페닐)우레이도]페닐}-1H-인돌-2-카르복스아미드인 것을 특징으로 하는 생성물.The product according to claim 1, which is 3- {4- [3- (2-fluoro-5-trifluoromethylphenyl) ureido] phenyl} -1H-indole-2-carboxamide.제1항 내지 제18항 중 어느 한 항에 있어서,The method according to any one of claims 1 to 18,1) 비키랄성 형태,1) achiral form,2) 라세미체 형태,2) racemic form,3) 한 입체이성질체가 풍부한 형태, 또는3) a form rich in one stereoisomer, or4) 한 거울상이성질체가 풍부한 형태 중 임의의 한 형태로 존재하며, 임의적으로 염화(salify)되어 있는 것을 특징으로 하는 생성물.4) A product characterized in that it is present in any one of the enantiomer-rich forms and optionally salted.하기 화학식 VI의 생성물을The product of formula- 3-위치에서 할로겐화시키는 단계,Halogenating at the 3-position,- 그 후, 3-위치에서 스즈키(Suzuki) 커플링을 수행함으로써, 하기 화학식 IV의 생성물을 얻는 단계,Thereafter, by carrying out Suzuki coupling at the 3-position to obtain the product of formula- 그 후 3-위치에서 니트로페닐 기를 아미노페닐로 환원시키고, 2-위치에서 에스테르를 아미드화시키거나, 2-위치에서 에스테르를 아미드화시키고, 3-위치에서 니트로페닐 기를 아미노페닐로 환원시킴으로써, 하기 화학식 II의 생성물을 얻는 단계,Then reducing the nitrophenyl group to aminophenyl at 3-position, amidating the ester at 2-position, or amidating the ester at 2-position, and reducing the nitrophenyl group to aminophenyl at 3-position Obtaining a product of formula (II)- 그 후, 3-위치에서 아미노페닐 기를 아실화하는 단계에 적용시키는 것을 특징으로 하는, 제1항에 정의된 바와 같은 화학식 I의 생성물을 제조하는 방법.A process for preparing the product of formula (I) as defined in claim 1, which is then subjected to the step of acylating the aminophenyl group in the 3-position.<화학식 VI><Formula VI>
Figure 112007049241203-PCT00196
Figure 112007049241203-PCT00196
<화학식 IV><Formula IV>
Figure 112007049241203-PCT00197
Figure 112007049241203-PCT00197
<화학식 II><Formula II>
Figure 112007049241203-PCT00198
Figure 112007049241203-PCT00198
제1항 내지 제19항 중 어느 한 항에 기재된 화학식 I의 생성물, 또는 그의 제약학적으로 허용되는 산과의 상기 화합물의 부가 염, 또는 화학식 I의 생성물의 수화물 또는 용매화물을 포함하는 것을 특징으로 하는 의약 제품.20. A product of formula (I) according to claim 1, or an addition salt of said compound with a pharmaceutically acceptable acid thereof, or a hydrate or solvate of a product of formula (I). Medicinal products.제1항 내지 제21항 중 어느 한 항에 기재된 생성물을 제약학적으로 허용되는 부형제와 함께 포함하는 제약학적 조성물.A pharmaceutical composition comprising the product of any one of claims 1-21 together with a pharmaceutically acceptable excipient.키나제에 의해 촉매되는 반응을 억제하기 위한 약제로서의 제1항 내지 제19항 중 어느 한 항에 기재된 생성물의 용도.Use of the product according to any one of claims 1 to 19 as a medicament for inhibiting the reaction catalyzed by kinases.제23항에 있어서, 키나제가 KDR, Tie2, 오로라(Aurora)1, 오로라2, FAK, PDGFR, FLT1, FGFR, VEGF-R1 및 VEGF-R3으로부터 선택되는 것을 특징으로 하는, 제1항 내지 제19항 중 어느 한 항에 기재된 생성물의 용도.The method of claim 23, wherein the kinase is selected from KDR, Tie2, Aurora1, Aurora2, FAK, PDGFR, FLT1, FGFR, VEGF-R1 and VEGF-R3. Use of the product according to any one of claims.제24항에 있어서, 키나제가 KDR 및 Tie2로부터 선택되는 것을 특징으로 하는, 제1항 내지 제19항 중 어느 한 항에 기재된 생성물의 용도.The use of the product of any one of claims 1 to 19, wherein the kinase is selected from KDR and Tie2.제24항에 있어서, KDR, Tie2, 오로라1, 오로라2, FAK, PDGFR, FLT1, FGFR, VEGF-R1 및 VEGF-R3으로부터 선택되는 키나제에 의해 촉매되는 다수의 반응들을 억제하기 위한 약제로서의 제1항 내지 제19항 중 어느 한 항에 기재된 생성물의 용도.The method of claim 24, wherein the first agent is an agent for inhibiting a number of reactions catalyzed by kinases selected from KDR, Tie2, Aurora1, Aurora2, FAK, PDGFR, FLT1, FGFR, VEGF-R1 and VEGF-R3. Use of the product according to any one of claims 19 to 19.제26항에 있어서, 키나제가 KDR 및 Tie2, 또는 KDR, Tie2 및 FAK인 것을 특징으로 하는 제1항 내지 제19항 중 어느 한 항에 기재된 생성물의 용도.The use of any of claims 1 to 19, wherein the kinase is KDR and Tie2 or KDR, Tie2 and FAK.병리학적 상태를 치료하는데 유용한 의약 제품을 제조하기 위한 제1항 내지 제19항 중 어느 한 항에 기재된 생성물의 용도.Use of a product according to any one of claims 1 to 19 for the manufacture of a pharmaceutical product useful for treating a pathological condition.제28항에 있어서, 병리학적 상태가 암인 것을 특징으로 하는 용도.Use according to claim 28, characterized in that the pathological condition is cancer.제28항에 있어서, 병리학적 상태가 혈관신생의 탈조절과 관련된 질환, 예를 들어 건선, 만성 염증, 연령 관련 황반 변성, 류마티스성 관절염, 당뇨병성 망막증, 카포시 육종 또는 유아 혈관종인 것을 특징으로 하는 용도.29. The method of claim 28, wherein the pathological condition is a disease associated with deregulation of angiogenesis, such as psoriasis, chronic inflammation, age related macular degeneration, rheumatoid arthritis, diabetic retinopathy, Kaposi's sarcoma or infant hemangioma. Usage.R1, R5, R6, R7 및 X가 제1항에 정의된 바와 같은, 중간체 생성물로서의 제19항에 정의된 화학식 VI, IV 및 II의 생성물.The product of formulas VI, IV and II as defined in claim 19 as R 1, R 5, R 6, R 7 and X as defined in claim 1.
KR1020077015482A2004-12-062005-12-02 Substituted indole, compositions containing the same, methods of making the same, and uses thereofWithdrawnKR20070100277A (en)

Applications Claiming Priority (4)

Application NumberPriority DateFiling DateTitle
FR0412966AFR2878849B1 (en)2004-12-062004-12-06 SUBSTITUTED INDOLES, COMPOSITIONS CONTAINING SAME, METHOD OF MANUFACTURE AND USE
FR04/129662004-12-06
US65046505P2005-02-072005-02-07
US60/650,4652005-02-07

Publications (1)

Publication NumberPublication Date
KR20070100277Atrue KR20070100277A (en)2007-10-10

Family

ID=38792212

Family Applications (1)

Application NumberTitlePriority DateFiling Date
KR1020077015482AWithdrawnKR20070100277A (en)2004-12-062005-12-02 Substituted indole, compositions containing the same, methods of making the same, and uses thereof

Country Status (9)

CountryLink
JP (1)JP2008532926A (en)
KR (1)KR20070100277A (en)
BR (1)BRPI0515811A (en)
CR (1)CR9115A (en)
EA (1)EA012613B1 (en)
IL (1)IL183438A0 (en)
MA (1)MA29026B1 (en)
MX (1)MX2007006764A (en)
NO (1)NO20073015L (en)

Families Citing this family (2)

* Cited by examiner, † Cited by third party
Publication numberPriority datePublication dateAssigneeTitle
DE102005037499A1 (en)*2005-08-092007-02-15Merck Patent Gmbh pyrazole
WO2020168963A1 (en)*2019-02-182020-08-27深圳市塔吉瑞生物医药有限公司Substituted fused aromatic ring derivative, composition and use thereof

Family Cites Families (6)

* Cited by examiner, † Cited by third party
Publication numberPriority datePublication dateAssigneeTitle
CA2224103A1 (en)*1995-06-071996-12-19Sugen, Inc.Method and compositions for inhibition of adaptor protein/tyrosine kinase interactions
US6376529B1 (en)*1995-06-072002-04-23Peng Cho TangMono- and bis-indolylquinones and prophylactic and therapeutic uses thereof
CA2464214C (en)*2001-10-222011-02-08The Research Foundation Of State University Of New YorkProtein kinase and phosphatase inhibitors, methods for designing them, and methods of using them
CA2489337C (en)*2002-06-242010-05-25Schering CorporationIndole derivatives useful as histamine h3 antagonists
FR2842526B1 (en)*2002-07-162007-07-13Aventis Pharma Sa PHARMACEUTICAL COMPOSITIONS COMPRISING A 3-GUANIDINOCARBONYL-1-HETEROARYL-INDOLE DERIVATIVE, PROCESS FOR THE PREPARATION AS MEDICAMENTS
JP2004149429A (en)*2002-10-292004-05-27Takeda Chem Ind LtdIndole compound and application thereof

Also Published As

Publication numberPublication date
EA012613B1 (en)2009-10-30
CR9115A (en)2007-10-23
IL183438A0 (en)2007-09-20
EA200701227A1 (en)2007-10-26
NO20073015L (en)2007-08-28
BRPI0515811A (en)2008-08-05
MA29026B1 (en)2007-11-01
MX2007006764A (en)2007-08-15
JP2008532926A (en)2008-08-21

Similar Documents

PublicationPublication DateTitle
KR101263970B1 (en)7- - 7-substituted aza-indazoles compositions containing same production method and use thereof
US7566736B2 (en)Substituted indoles, compositions containing them, method for the production thereof and their use
RU2375360C2 (en)Substituted pyrazolopyridines, containing compositions, method for making and application
KR20080007229A (en) Substituted pyrrolo-pyridine, composition comprising the same, method for preparing the same and use thereof
KR20100118989A (en)Pyrido[4,3-d]pyrimidinone derivatives as kinase inhibitors
CN101133023A (en)Substituted pyrroles and imidazoles, compositions containing same, manufacturing process therefor and use thereof
JP2008531663A (en) Hydrazinocarbonyl-thieno [2,3-c] pyrazole, process for its preparation, composition containing it and use thereof
KR20240009929A (en) Substituted fusion bicyclic compounds as PARP inhibitors and uses thereof
JP2008530061A (en) Substituted pyrroles, compositions containing them, methods for their production and their use
TW202214634A (en)Heterocyclic compound and derivative thereof
KR20070100277A (en) Substituted indole, compositions containing the same, methods of making the same, and uses thereof
HK1116487A (en)Substituted indoles, compositions containing them, method for the production thereof and their use
HK1125928B (en)7-substituted aza-indazoles, compositions containing same, production method and use thereof
HK1118463A (en)Substituted pyrazolo-pyridines, compositions containing them, method for the production thereof, and their use

Legal Events

DateCodeTitleDescription
PA0105International application

Patent event date:20070705

Patent event code:PA01051R01D

Comment text:International Patent Application

PG1501Laying open of application
PC1203Withdrawal of no request for examination
WITNApplication deemed withdrawn, e.g. because no request for examination was filed or no examination fee was paid

[8]ページ先頭

©2009-2025 Movatter.jp