







본 발명은 이동로봇에서 홈포지셔닝을 이용하여 오도메트리를 보정하는 방법에 관한 것이다.The present invention relates to a method for correcting odometry using home positioning in a mobile robot.
최근 이동로봇 기술 개발이 활발해지면서 이동로봇이 더 이상 산업현장에서만 쓰이지 않고 다양한 분야에 보급이 되어, 청소용 로봇, 교육용 로봇 등 가정에서 볼 수 있는 로봇으로부터 군사용 목적으로도 이동로봇 기술이 적용되고 있다.With the recent development of mobile robot technology, mobile robots are not only used in industrial sites anymore but are spread to various fields, and mobile robot technologies are applied to military purposes from robots that can be seen at home such as cleaning robots and educational robots.
그런데 이러한 이동 로봇에서는 실용적인 로봇 위치 인식, 지도형성 그리고 주행(Localization, mapping and navigation) 알고리즘에 대한 연구의 중요성이 강조되며, 이동 로봇 바퀴의 엔코더로부터 로봇의 상대적 위치를 인식하는 기술인 오도메트리는 이들 기술의 가장 기본적인 기술이며, 성능에 큰 영향을 미치는 요소이다.However, in these mobile robots, the importance of research on practical robot location recognition, mapping and navigation algorithms is emphasized, and odometry, which is a technology that recognizes the relative positions of robots from encoders of mobile robot wheels, is emphasized. Is the most basic technology and has a big impact on performance.
이러한 오도메트리는 다양한 원인에 의해 오차가 발생하는데, 이러한 오드메트리 오차는 크게 시스템적적 오차( systematic error)와 비시스템적 오차(non-systematic error)로 구분된다. 시스템적 오차는 주로 내부 시스템의 영향으로 인 해 발생하며, 편향된 오차(biased error)를 갖는다는 특성이 있다. 비시스템적 오차는 주로 시스템 외부의 환경에 의해 만들어지는 오차로 시스템 자체와는 무관하며, 비편향된 무작위(random)오차의 특성을 갖는다.Such odometry is caused by various causes, and these odometry errors are largely divided into systematic errors and non-systematic errors. Systemic error is mainly caused by the influence of the internal system and has the characteristic of having biased error. Non-systemic errors are errors made mainly by the environment outside the system and are independent of the system itself and have the characteristics of unbiased random errors.
Borenstein. J, "Internal Correction of Dead-reckoning Errors With the Smart Encoder Trailer", IEEE, Intelligent Robots and Systems, 1994 논문과, Borenstein. J, "Measurement and Correction of Systematic Odometry Errors in Mobile R.obots", IEEE TRANSACTIONS ON ROBOTICS AND AUTOMATION, VOL. 12, NO. 6, DECEMBER 1996 논문에서는 이들 오차를 야기하는 가능한 요인들에 대해 분석하고 있다.Borenstein. J, "Internal Correction of Dead-reckoning Errors With the Smart Encoder Trailer", IEEE, Intelligent Robots and Systems, 1994, and Borenstein. J, "Measurement and Correction of Systematic Odometry Errors in Mobile R.obots", IEEE TRANSACTIONS ON ROBOTICS AND AUTOMATION, VOL. 12, NO. 6, DECEMBER 1996 paper analyzes the possible causes of these errors.
이 분석에 의하면 시스템적 오차는 바퀴의 마모, 이물질의 부착 등으로 인해 발생하며, 비시스템적 오차는 바닥의 특성 등에 의하여 발생하는 것을 알 수 있다. 시스템적 오차와 비시스템적 오차의 요인은 환경이 바뀌거나 시간이 지나면서 지속적으로 변하기 때문에 이런 요인을 파악하여 교정하는 오도메트리 보정(odometry calibration)은 수시로 이루어져야 한다.According to this analysis, the system error is caused by the wear of wheels, the adhesion of foreign matters, and the non-system error is caused by the characteristics of the floor. Since the sources of systemic and non-systemic errors change over time or constantly change over time, odometry calibrations that identify and correct these factors should be made from time to time.
이처럼 오도메트리 보정은 이동 로봇의 자율 주행 성능 개선을 위해 필요하며, 이 필요성에 따라 오래 전부터 많은 연구자들이 오도메트리 보정 기술을 개발해 왔다. 지금까지 연구해 온 오도메트리의 보정 기술은 크게 오프라인 방법과 온라인 방법으로 나눌 수 있다.As such, odometry correction is necessary to improve autonomous driving performance of mobile robots, and many researchers have been developing odometry correction technology for a long time. Odometry's calibration techniques studied so far can be largely divided into an offline method and an online method.
오프라인 방법은 주로 특정 컨트롤 입력이나, 특정 궤도를 따라 로봇이 주행한 후, 직접 계측한 로봇의 최종 실제 위치와 로봇의 오도메트리 상의 최종 추청 위치를 비교하여 그 차이를 이용하여 오도메트리를 보정하는 방법이다. 이와 같은 방법으로 오도메트리를 보정하면, 최종 위치를 직접 측정하기 때문에 외부 센서의 도움 없이 엔코더 값만으로도 이동 로봇의 오도메트리 보정이 가능하다는 장점이 있으나, 사람이 직접 측정해야 하기 때문에 자동화시키기 어렵다는 단점이 있다.The off-line method mainly compares the final actual position of the robot directly measured with a specific control input or a specific trajectory, and then the final tracking position on the robot's odometry, and corrects the odometry by using the difference. That's how. This method has the advantage of correcting the odometry by directly measuring the final position, so it is possible to correct the odometry of the mobile robot without the help of an external sensor, but it is difficult to automate because it needs to be measured manually. There are disadvantages.
지금까지 연구된 대표적인 오프라인 오도메트리 보정 방법으로는 차동주행방식(differential drive type) 로봇을 정사각형의 궤도를 반복적으로 주행시킨 후 최종위치를 측정하여 오도메트리 보정을 하는 Borenstein의 UMB mark 방법 (Borenstein. J and Feng. L, UMBmark - A method for measuring comparing and correcting dead-reckoning errors in mobile robots. Technical Report UM-MEAM-94-22, University of Michigan)이 있고, 선형적 시스템 오차(linearized systematic error)에 대한 일반적 해법을 제시한 Kelly의 방법 (Kelly A, “General Solution for Linearized Systematic Error Propagation in Vehicle Odometry,” International Conference on Inteligent Robot and Systems (IROSOI) Maui, Hawaii, USA, Oct. 29 - Nov. 3, pag 1938-1945, 2001)이 있다. 또한 기존의 방법과는 약간 다르게 GVG(Generalized Voronoi Graph)를 따라서 전진과 후진을 한 궤도는 일치해야 한다는 아이디어로 오도메트리 보정을 하는 PC-방법 (Doh, N., Choset, H., and Chung,W.K. 2003. Accurate relative localization using odometry. Robotics and Automation. In Proceedings. ICRA ’03. IEEE International Conference, Taipei, Taiwan vol. 2, pp. 1606?1612) 이 오프라인 방법에 속한다.Representative off-line odometry correction methods studied so far include Borenstein's UMB mark method (borenstein), which measures a final position after a differential drive type robot repeatedly runs a square track. J and Feng.L, UMBmark-A method for measuring comparing and correcting dead-reckoning errors in mobile robots.Technical Report UM-MEAM-94-22, University of Michigan, linearized systematic error Kelly's Method of General Solution for Linearized Systematic Error Propagation in Vehicle Odometry, International Conference on Inteligent Robot and Systems (IROSOI) Maui, Hawaii, USA, Oct. 29-Nov. 3 , pag 1938-1945, 2001). In addition, the PC-method of odometry correction (Doh, N., Choset, H., and Chung) with the idea that the trajectory of forward and reverse along the Generalized Voronoi Graph (GVG) must coincide slightly differently from the conventional method. , WK 2003. Accurate relative localization using odometry.Robotics and Automation.In Proceedings.ICRA '03 .IEEE International Conference, Taipei, Taiwan vol. 2, pp. 1606-1612).
반면에, 온라인 방법은 임의의 궤도를 주행하는 동안, 거리센서 혹은 비전 센서 등을 이용하여 자신의 위치인식(localization)을 하여 얻은 정보와 오도메트리로서 얻은 자신의 위치의 차이를 비교하며 오도메트리를 보정하는 방법이다. 이와 같은 방법은 엔코더 이외의 외부 센서를 이용하여 지속적으로 보정이 이루어지기 때문에 자동화시키기 쉬우며, 확률적 접근이라는 장점이 있지만, 오도메트리 보정의 결과가 자기위치인식을 위한 센서의 성능에 의존한다는 단점이 있다.On the other hand, the online method compares the difference between the information obtained by localization using a distance sensor or vision sensor and the difference between its position obtained as an odometry while driving on an arbitrary track. How to calibrate a tree. This method is easy to automate because it is continuously calibrated using an external sensor other than the encoder, and it has the advantage of a probabilistic approach. However, the result of the odometry correction depends on the sensor's performance for magnetic position recognition. There are disadvantages.
온라인 방법은 likelihood를 최대화시키는 방법으로 오도메트리를 보정한 N.Roy의 방법 (N. Roy and S. Thrun, “Online self-calibration for mobile robots,” in Proc. Int. Conf. Robotics and Automation, vol. 3, 1999, pp. 2292?2297.)이 있고, Larsen의 방법(T.D. Larsen, “Optimal Fusion of Sensors,” PhD thesis, Department of Automation, Technical University of Denmark, Sept. 1998 , T.D. Larsen, M. Bak, N.A. Andersen and O. Ravn,“Location Estimation for Autonomously Guided Vehicle using an Augmented Kalman filter to Autocalibrate the Odometry,” FUSION98 Spie Conference Las Vegas, USA, July 1998)과, Martinelli방법 (Martinelli, A., Tomatis, N., Tapus, A., and Siegwart, R. 2003. Simultaneous localization and odometry calibration. In International Conference on Inteligent Robot and Systems (IROS03), LasVegas, USA.)은 AKF (Augmented Kalman Filter)를 통해 비전 센서와 레이저 센서로 로봇의 위치 인식을 하면서 오도메트리 보정을 하였다.The online method is N. Roy's method of correcting odometry by maximizing likelihood (N. Roy and S. Thrun, “Online self-calibration for mobile robots,” in Proc. Int. Conf. Robotics and Automation, 3, 1999, pp. 2292-2297.) and Larsen's method (TD Larsen, “Optimal Fusion of Sensors,” PhD thesis, Department of Automation, Technical University of Denmark, Sept. 1998, TD Larsen, M Bak, NA Andersen and O. Ravn, “Location Estimation for Autonomously Guided Vehicle using an Augmented Kalman filter to Autocalibrate the Odometry,” FUSION98 Spie Conference Las Vegas, USA, July 1998), and the Martinelli method (Martinelli, A., Tomatis). , N., Tapus, A., and Siegwart, R. 2003. Simultaneous localization and odometry calibration.In International Conference on Inteligent Robot and Systems (IROS03), LasVegas, USA.) Uses AKF (Augmented Kalman Filter) Odometry while Recognizing Robot's Position by Using Was done.
본 발명은 이상과 같은 오프라인 및 온라인 오도메트리 보정 방법의 단점을 감안하여, 홈포지셔닝을 이용한 오도메트리 보정 방법을 제공한다.The present invention provides an odometry correction method using home positioning in view of the disadvantages of the offline and online odometry correction method as described above.
이상과 기술적 과제를 달성하기 위하여, 본 발명은, 이동로봇에서 홈포지셔닝을 이용한 오도메트리 보정 방법에 있어서,In order to achieve the above and the technical problem, the present invention, in the odometry correction method using the home positioning in a mobile robot,
로봇이 홈포지션에서 이동을 시작하는 단계; 상기 로봇이 임의의 궤도를 주행하는 단계;The robot starting to move in the home position; The robot traveling on any track;
상기 로봇이 홈포지션으로 돌아오는 왔을 때, 상기 로봇이 추정한 자신의 위치와 실제 홈포지션의 위치의 차이를 비교하여 시스템 오차 매개변수를 업데이트하는 단계; 상기의 단계들을 시스템 오차 매개변수가 임의 값에 수렴할 때까지 반복하는 단계를 포함하는 것을 특징으로 한다.When the robot returns to the home position, comparing the difference between its estimated position and the actual home position, and updating a system error parameter; And repeating the above steps until the system error parameter converges to an arbitrary value.
이와 같은 본 발명의 오도메트리 보정 방법을 이용하면 오프라인 보정 방법의 특성과 온라인 보정 방법의 특성을 함께 가지면서, 홈포지셔닝은 대체로 물리적 접촉으로 이루어지기 때문에 오프라인보정 방법 수준의 정확한 위치 정보를 얻을 수 있고, 위치인식을 위한 센서가 필요 없어 외부 센서의 도움 없이도 오도메트리 보정이 가능하며, 이미 청소로봇 등에 상용화되어 있는 자동 홈포지셔닝 모듈을 이용하면 쉽게 자동화 시킬 수 있다.Using the odometry correction method of the present invention, the home positioning is generally made by physical contact while having the characteristics of the offline correction method and the characteristics of the online correction method, so that accurate position information of the offline correction method level can be obtained. It does not need a sensor for position recognition, so it is possible to correct odometry without the help of an external sensor, and it can be easily automated by using an automatic home positioning module already commercialized in a cleaning robot.
이제, 이러한 구성에 따른 본 발명을 구체적으로 살펴 보기로 한다.Now, the present invention according to this configuration will be described in detail.
본 발명에서는 로봇이 홈포지션에서 출발을 하여 임의의 궤도를 돌아 다시 홈포지션으로 돌아오는 것을 홈포지셔닝(Home positioning)이라 명명한다.In the present invention, the robot starts from the home position and returns to the home position after returning to an arbitrary trajectory is called home positioning.
본 발명에서 새롭게 제시하고자 하는 오도메트리 보정 방법은 이동 로봇의 특성상 충전, 초기 맵핑 등의 이유로 자주 수행되어지는 홈포지셔닝을 이용한 AKF(Augmented Kalman Filter)오도메트리 보정 방법이다.The odometry correction method newly proposed in the present invention is an AKF (Augmented Kalman Filter) odometry correction method that is frequently performed for reasons of charging, initial mapping, etc. due to the characteristics of a mobile robot.
홈포지셔닝을 로봇이 다시 제자리로 돌아왔음을 알리는 신호로 이용한다면, 홈포지셔닝이 이루어지는 순간 이동 로봇은 자신의 위치 정보를 얻을 수 있고, 이 위치 정보를 기반으로 확장된 상태 벡터(augmented state)를 업데이트함으로써 오도메트리 보정을 수행할 수 있는 것이다. 이와 같은 방법으로 오도메트리를 보정한다면, 오프라인 보정 방법의 특성과 온라인 보정 방법의 특성을 함께 가지면서 다음과 같은 장점을 같게 된다.If home positioning is used as a signal to indicate that the robot is back in place, the mobile robot can obtain its location information as soon as home positioning is performed, and update the expanded state vector based on this location information. By doing so, odometry correction can be performed. If the odometry is corrected in this way, the following advantages are obtained with the characteristics of the offline correction method and the online correction method.
1. 홈포지셔닝은 대체로 물리적 접촉으로 이루어지기 때문에 오프라인 보정방법 수준의 정확한 위치 정보를 얻을 수 있다.1. Since home positioning is usually made of physical contact, accurate position information can be obtained at the level of off-line correction method.
2. 위치인식을 위한 센서가 필요 없어 외부 센서의 도움 없이도 오도메트리 보정이 가능하다.2. It does not need a sensor for position recognition, so it is possible to correct odometry without the help of an external sensor.
3. 이미 청소로봇 등에 상용화되어 있는 자동 홈포지셔닝 모듈을 이용하면 쉽게 자동화 시킬 수 있다.3. Automated home positioning module, which is already commercially available for cleaning robots, can be easily automated.
즉, 오프라인의 방법과 온라인의 방법이 가지고 있던 문제를 동시에 보완하면서 상용화하기에 바람직한 특성을 갖는다.That is, it has desirable characteristics for commercialization while simultaneously complementing the problems of the offline method and the online method.
제1장. 기구학적 운동 모델과 시스템적 오차와
본 발명에서는 자율주행 이동로봇이 가장 많이 채택하고 있는 차동주행방식(differential drive type)의 로봇을 이용하였다. 차동주행방식의 기구학적 운동 모델(kinematic motion model)로는 Chong 과 Kleeman(Chong, K.S. and Kleeman, L. 1997. Accurate odometry and error modelling for a mobile robot. In International Conference on Robotics and Automation, vol. 4, pp. 2783-2788.)이 제시한 모델을 기본으로 하였으며 그 식은 다음과 같다In the present invention, a differential drive type robot, which is adopted by autonomous mobile robots, is used. Kinematic motion models for differential driving include Chong and Kleeman (Chong, KS and Kleeman, L. 1997. Accurate odometry and error modeling for a mobile robot.In International Conference on Robotics and Automation, vol. 4, The model presented by pp. 2783-2788.) is based on the following equation.
: 측정된 오른쪽/왼쪽 바퀴 반지름을 이용해 구한 오른쪽/왼쪽 바퀴의 구름거리 : Rolling distance of right / left wheels using measured right / left wheel radius
: 측정된 오른쪽/왼쪽 바퀴의 반지름 : Measured radius of right / left wheel
d : 측정된 두 바퀴 사이의 거리d : distance between two measured wheels
: k번째 스텝, 오른쪽/왼쪽 엔코더 펄스 수 : kth step, right / left encoder pulse number
: 한바퀴 돌 때 나오는 엔코더의 펄스 수 Is the number of pulses of the encoder
: 측정된 바퀴 크기로부터 구한 오른쪽/왼쪽 바퀴의 구름거리 : Rolling distance of right / left wheels from measured wheel size
: k번째 스텝, 로봇의 이동거리 : kth step, robot moving distance
: k번째 스텝, 로봇의 회전각 변화 : kth step, rotation angle change of robot
: k번째 스텝, 로봇의 x축 위치 : kth step, robot's x-axis position
: k번째 스텝, 로봇의 y축 위치 : kth step, robot y-axis position
: k번째 스텝, 로봇의 회전각 : kth step, robot's rotation angle
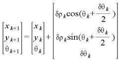
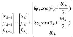
이상적인 로봇의 경우는 (수학식3)을 따라 주행하겠지만 실제의 로봇은 앞서 말한 시스템적 오차와 비시스템적 오차의 원인으로 오차를 갖게 된다. 이 시스템적 오차와 비시스템적 오차를 모델링 하기 가장 쉬운 방법은 두 바퀴의 구름거리(rolling distance)에 생기는 오차를 독립적으로 모델링하는 것이다. 시스템적 오차는 양 바퀴의 실제크기와 측정된 크기의 차이 그리고 두 바퀴 사이의 실제 거리와 측정된 거리의 차이가 만든다고 가정하였으며, 비시스템 오차는 바퀴의 주행거리에 비례하는 표준편차를 갖는 가우시안 랜덤잡음(gaussian random noise)이 들어온다고 가정하였다.The ideal robot will travel according to
k 번째 스텝에서의, 실제 오른쪽/왼쪽 바퀴의 구름거리에 대한 모델은 가우시안 잡음과 시스템적 오차 원인(systematic error source)을 함께 모델링 함으로써 얻을 수 있다.At the k-th step, a model of the actual right / left wheel rolling distance can be obtained by modeling the Gaussian noise with a systematic error source.
본 발명에서 사용된 바퀴의 구름거리 오차 모델은 아래와 같은 수학식들로 표시된다.The rolling distance error model of the wheel used in the present invention is represented by the following equation.
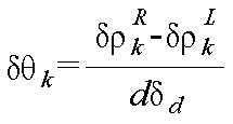
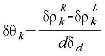
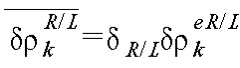
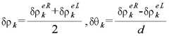
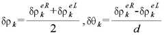
은 (수학식1)에서 볼 수 있듯이 엔코더 값과 측정으로 알고 있는 오른쪽/왼쪽 바퀴의 크기로부터 구해진 오른쪽/왼쪽 바퀴의 구름거리이다.은 측정된 바퀴의 크기의 오차를 보정해주기 위한 매개변수로서 은 실제 오른쪽/왼쪽 바퀴의 크기이다.은으로부터 편향오차를 보정한 오른쪽/왼쪽 바퀴의 구름거리이며,은 비시스템적 오차까지 모델링한 오른쪽/왼쪽 바퀴의 구름거리이다. 비시스템적 오차는 평균이 0이고 표준편차는 주행거리에 값으로 비례하는 가우시안 랜덤잡음으로 모델링하였다. 위의 수학식들을 기반으로 시스템적 오차와 비시스템적 오차를 고려한 로봇의 k 번째 이동거리와 회전양은 다음의 관계를 갖는다. Is the cloud distance of the right / left wheels, obtained from the size of the right / left wheels known from the encoder values and measurements, as shown in (1). Is a parameter to correct the error of the measured wheel size. Is the actual right / left wheel size. silver Cloud distance of right / left wheels with deflection error corrected from Is the rolling distance of the right and left wheels modeled to nonsystemic error. The non-systemic error is modeled as Gaussian random noise with a mean of 0 and standard deviation proportional to the distance traveled. Based on the above equations, the k-th moving distance and rotation amount of the robot considering the system error and non-system error have the following relationship.
d 는 측정된 두 바퀴간의 거리이며,는 d값을 보정하기 위한 매개변수로서 는 보정된 실제 두 바퀴간의 거리이다. 수학식4 내지 8)을 통해서 볼 수 있듯이, 세개의 시스템적 오차 매개변수(systematic error parameter),, 와 비시스템적 오차 매개변수 (non-systematic error parameter)를 이용하여 시스템적 오차와 비시스템적 오차를 모두 고려한 로봇의 기구학적 운동 모델을 만들었다. 즉 시스템적 오차 매개변수(systematic error parameter),,를 구함으로서 로봇의 편향된 오차를 보정할 수 있으며, 비시스템적 오차 매개변수 (non-systematic error parameter)를 구함으로써 로봇의 비편향 오차가 얼마나 큰지를 가늠할 수 있다.d is the distance between the two measured wheels, Is the parameter for calibrating d value, and is the actual distance between two wheels. As can be seen from
다음으로, 홈포지셔닝을 이용하여 시스템적 오차매개변수를 추정하는 방법을 설명하도록 한다.Next, a method of estimating systemic error parameters using home positioning will be described.
제2장.
시스템적 오차 파라미터들을 추정하기 위해 본 발명에서는 이상에서 언급한 Larsen의 AKF 알고리즘을 이용하였다. Larsen 방법과 Martinelli방법은 레이져 센서와 같은 거리 센서를 이용한 주행 중 자기위치인식을 통한 보정 방법인 반면, 본 발명이 제시하고자 하는 방법은 임의의 궤도를 지나 다시 홈포지션으로 돌아왔을 때, 궤도 종결(loop closing)에 실패한 오도메트리를 바로 잡아주는 패턴을 반복함으로서 시스템적오차 매개변수를 추정하는 하기와 같은 시나리오를 사용한다. 도2에서는 로봇이 추측한 궤도(실선)와 실제 궤도(점선)를 도시한다.In order to estimate the system error parameters, the present invention uses Larsen's AKF algorithm. The Larsen method and the Martinelli method are correction methods through magnetic position recognition while driving using a distance sensor such as a laser sensor, while the method proposed by the present invention returns to the home position after passing through an arbitrary track, The following scenario is used to estimate the systematic error parameter by repeating the pattern that corrects the failed odometry. 2 shows the trajectory (solid line) and the actual trajectory (dashed line) estimated by the robot.
1. 홈포지션에서 로봇이 이동을 시작한다.1. The robot starts to move in the home position.
2. 임의의 궤도를 주행한다.2. Drive on any track.
3. 홈포지션으로 돌아온다.3. Return to your home position.
4. 로봇의 추측한 자신의 위치와 실제 홈포지션을 비교하여 시스템오차매개변수를 업데이트한다.4. Update the system error parameter by comparing the robot's estimated position with the actual home position.
5. 1-4번 스텝을 시스템오차매개변수가 어느 값에 수렴할 때까지 반복한다.5. Repeat steps 1-4 until the system error parameter converges to a value.
2-1. 확장된 로봇의 상태2-1. State of extended robot
AKF는 EKF(Extended Kalman Filter)의 위치인식 알고리즘(Thrun S, Burgard W, Fox D, Probabilistic Robotics, MIT Press, p203-210)과 비슷하다. 다만 AKF는 EKF가 갖고 있는 상태벡터(state,로봇의 x,y,)외에 시스템 오차 매개변수를 추가하여 상태벡터를 확장(augment)시킨 후 로봇의 기존의 상태벡터와 함께 시스템 오차 매개변수까지 함께 추정하는 알고리즘이다.를 본래의 로봇 환경(configuration) 상태벡터이라 한다면이고 Xa 는 시스템오차매개변수까지 추가된 형태로 다음과 같이 표현되어진다.AKF is similar to the Extended Kalman Filter (EKF) position recognition algorithm (Thrun S, Burgard W, Fox D, Probabilistic Robotics, MIT Press, p203-210). However, AKF is the state vector (state, robot's x, y, In addition to the system error parameter, the algorithm expands the state vector and estimates the system error parameter together with the robot's existing state vector. Is the original robot configuration state vector, Xa is added as system error parameter and is expressed as follows.
2-2. 확장된 로봇 상태의 예측(2-2. Prediction of extended robot state (predictionprediction))
홈포지션에 다시 돌아와 자신의 위치에 대한 측정(measurement)이 이루어지 기 전까지, 시스템의 상태벡터는 단순히 운동기구학모델(수학식3)에 따른 예측만으로 얻어진다. 확장되기 전의 예측 모델은 ,,의 식에 따라 로봇의 운동을 예측할 수 있으며. 증가된 상태(augmented state)의 Xa에 대해서는 확장된 예측모델(prediction model)을 아래와 같이 적용시킬 수 있다.The state vector of the system until you return to the home position and make a measurement of your position. Is simply obtained by prediction based on the kinematics model (Equation 3). The predictive model before expansion, , You can predict the robot's movement according to the equation. For the augmented state Xa, an extended prediction model can be applied as follows.
수학식11에서 알 수 있듯이 어떤 측정이 들어오기 전까지 예측만 할 경우에 는 확장된 부분인 시스템적 오차 매개변수는 변하지 않는다. 본 발명이 제시하는 방법으로 설명을 하면, 로봇이 홈포지션을 출발하여서 다시 홈포지션으로 돌아올 때까지 로봇은 수학식11을 이용하여 로봇 상태의 평균값을 지속적으로 예측해 준다. 또한 로봇 상태에 대한 공분산행렬은 AKF 알고리즘에 따라 다음의 수학식12와 같이 증가시켜 준다.As can be seen from Equation 11, the system error parameter, which is an extended part, does not change when the prediction is made until a measurement comes in. Referring to the method proposed by the present invention, the robot continuously predicts the average value of the robot state by using Equation 11 until the robot starts the home position and returns to the home position. In addition, the covariance matrix for the robot state is increased by
P : 로봇상태의 공분산 (robot covariance matrix)P: robot covariance matrix
Q : 제어입력(control input)에 대한 잡음 공분산행렬 (noise covariance matrix)Q: Noise covariance matrix for control input
위의 수학식12로 로봇의 공분산은 증가하게 되며, 제어입력의 비시스템적 에러는 입력의 크기에 비례하는 공분산을 갖는 가우시안 랜덤 모델로 모델링 된다.The covariance of the robot is increased by
2-3. 확장된 로봇 상태의2-3. Expanded robot state업데이트update
AKF의 측정(measurement)으로는 로봇의 홈포지셔닝을 이용한다. 홈포지셔닝을 로봇 위치의 측정으로서 이용할 경우에는 거리센서가 주는 측정 정보에 비해 더 강력하게 이용할 수 있다. 거리센서는 특정 형상까지의 거리와 각도의 2차원 정보만을 주어 로봇의 3차원 정보(x,y,)를 결정지을 수 없으나, 홈포지셔닝을 측정으로 이용한다면 직접적으로 로봇의 3차원 정보를 얻을 수 있게 된다. 또한 거리센서는 고가의 장비인 레이저로만이 정확한 데이터를 얻을 수 있으며, 실용적인 센서인 초음파 센서나 IR 센서에는 많은 불확실성이 존재한다. 그러나 홈포지셔닝은 대부분 물리적 접촉으로 확인할 수 있기에 그 정확도가 매우 높다.The robot's home positioning is used to measure AKF. When using home positioning as a robot position measurement, it can be used more powerfully than the measurement information given by the distance sensor. The distance sensor gives only two-dimensional information of the distance and angle to a specific shape. ) Can not be determined, but if home positioning is used as a measurement, three-dimensional information of the robot can be obtained directly. In addition, the distance sensor can obtain accurate data only with expensive equipment laser, and there is a lot of uncertainty in the ultrasonic sensor or IR sensor which is a practical sensor. However, home positioning is most accurate because it can be confirmed by physical contact.
홈포지션에 도달했을 때의 측정 모델은 다음의 수학식15, 수학식16과 같이 표현할 수 있다.When the home position is reached, the measurement model can be expressed by the following equations (15) and (16).
그리고 측정을 통한 상태벡터와 공분산의 업데이트는 다음과 같은 식으로 이루어진다.And the update of state vector and covariance through measurement is done as follows.
: 측정 잡음 공분산 Measurement noise covariance
즉 홈포지션에 돌아올 때까지 계속 상태를 예측만 해주다가 홈포지션에 돌아왔을 때 예측된 상태와 실제의 상태를 비교하여 칼만 이득을 통해 업데이트를 해줌으로써 새로운 확장된 상태벡터(augmented state)를 얻는 것이다. 이런 예측과 측정을 통한 업데이트를 반복하면 로봇은 실제 시스템적 오차 매개변수(reference systematic error parameter)에 수렴할 수 있다.In other words, it only predicts the state until it returns to the home position, and when it returns to the home position, it compares the predicted state with the actual state and updates the Kalman gain to obtain a new augmented state. . By repeating these updates with predictions and measurements, the robot can converge on the actual systematic systematic error parameters.
4. 실험결과4. Experimental Results
4-1. 시뮬레이션4-1. simulation
실제 로봇으로 실험을 하기 전에, 알고리즘의 성능평가를 위하여 Matlab을 이용한 시뮬레이션을 먼저 수행하였다. 시뮬레이션의 시나리오는 앞서 설명한 바와 같이 홈포지션에서 로봇이 출발하여 임의의 궤도를 따라 움직인 후 다시 돌아오는 홈포지셔닝 패턴을 10회 반복하는 것이다. 시뮬레이션의 조건은 다음과 같다 .Before experimenting with a real robot, we first performed a simulation using Matlab to evaluate the performance of the algorithm. In the simulation scenario, as described above, the robot starts from the home position, moves along an arbitrary trajectory, and repeats the
- 시뮬레이션 언어 : MatlabSimulation language: Matlab
- 엔코더 샘플링 타임 (encoder sampling time) : 0.025초Encoder sampling time: 0.025 seconds
- 양쪽 바퀴의 측정된 반지름 : 50mmMeasured radius of both wheels: 50mm
- 두 바퀴간의 간격 : 400mm-Distance between two wheels: 400mm
- 엔코더의 레졸루션 : 360 신호/회전Encoder resolution: 360 signals / rotation
- 모션 잡음(motion noise) : 표준편차 10%의 가우시안 분포-Motion noise: Gaussian distribution with 10% standard deviation
- 측정 잡음(measurement noise) : 10mm, 10mm, 0.02rad 의 표준편차를 갖는 가우시안 분포Measurement noise: Gaussian distribution with standard deviations of 10 mm, 10 mm, and 0.02 rad
- 실제 시스템오차매개변수 :Actual System Error Parameters:
=0.99=1.02=1.01 = 0.99 = 1.02 = 1.01
- AKF parameterAKF parameter
위의 조건을 바탕으로 시뮬레이션을 수행한 결과는 도4, 5와 같다.The results of the simulation based on the above conditions are shown in FIGS. 4 and 5.
도4의 시뮬레이션 결과와 같이 처음 단계에서는 홈포지션까지 돌아오는 로봇의 실제 경로와 로봇이 추측한 오도메트리의 경로가 많이 차이가 났다. 그러나 점차 홈포지셔닝을 측정으로 이용하여 시스템 오차 매개변수를 도5와 같이 보정시켜준 결과, 매회 홈포지셔닝을 거듭할수록 오도메트리의 경로는 실제 경로와 가까워짐을 알 수 있다. 또한 시스템 오차 매개변수의 값 역시 시뮬레이션에서 준 참조값( reference value)에 수렴하였음을 확인할 수 있다.As shown in the simulation result of FIG. 4, in the first step, the actual path of the robot returning to the home position and the path of the odometry estimated by the robot were greatly different. However, as a result of using the home positioning as a measurement and correcting the system error parameter as shown in FIG. 5, it can be seen that the path of the odometry becomes closer to the actual path as the home positioning is repeated every time. In addition, it can be seen that the value of the system error parameter also converged to the reference value in the simulation.
최종 추정된 시스템오차매개변수Last estimated system error parameter
= 0.98862,= 1.0205,= 1.0149 = 0.98862, = 1.0205, = 1.0149
시스템오차매개변수 참조값 (reference value)System error parameter reference value
= 0.99= 1.02= 1.01 = 0.99 = 1.02 = 1.01
4-2. 실제 환경에서의 실험 결과4-2. Experimental results in real environment
시뮬레이션 결과를 바탕으로 실제 로봇을 이용하여 실험을 하였다. 실험에 사용한 로봇은 시판중인 유진로보틱스社의 청소로봇 아이클레보 Free 제품의 주행모듈을 이용하였다. 자동 홈포지셔닝 기능을 가지고 있으며 수동으로 로봇의 조정이 가능하다. 로봇의 엔코더 값과 양바퀴의 크기(wheel radius), 양바퀴 사이의 거리(base length)를 측정하여 로봇의 오도메트리 경로를 추정할 수 있었으며 실험에 사용한 로봇의 구성은 다음과 같다.Based on the simulation results, the experiment was conducted using a real robot. The robot used in the experiment was a driving module of a commercial robot, Eugene Robotics' cleaning robot iClebo Free. It has automatic home positioning function and the robot can be adjusted manually. By measuring the encoder value of the robot, the wheel radius, and the base length between the wheels, the robot's odometry path could be estimated. The configuration of the robot used in the experiment is as follows.
- 로봇명 : 유진로보틱스社 아이클레보 free-Robot Name: Eugene Robotics' iClebo free
- 엔코더 샘플링 타임 : 0.03초Encoder Sampling Time: 0.03 sec
- 엔코더 레졸루션 : 900 신호/회전Encoder resolution: 900 signals / rotation
- 바퀴 반지름 : 42mmWheel radius: 42mm
- 바퀴간의 거리 : 298mmDistance between wheels: 298mm
- 자동 홈포지셔닝 기능 있음-Auto home positioning function
시뮬레이션과 동일한 방법으로 홈포지션에서 로봇을 출발 시킨 후 임의의 경 로로 움직인 후 자동 홈포지셔닝 기능을 이용하여 다시 홈포지션까지 돌아온다. 앞의 동작을 20회 반복한다.In the same way as in the simulation, the robot starts from the home position, moves in a random path, and then returns to the home position using the automatic home positioning function. Repeat the
실제 로봇으로 한 실험이기에 정확한 참조값은 알 수 없지만, 도7과 같이 시스템 오차 파라미터 3개 모두 어떤 값에 수렴하였음을 확인할 수 있었다.The exact reference value is not known because it is an experiment with a real robot, but as shown in FIG. 7, all three system error parameters converged to a certain value.
최종 시스템오차매개변수Final system error parameter
= 0.9727,= 0.9704,= 0.9929 = 0.9727, = 0.9704, = 0.9929
도8은 최종적으로 보정된 시스템 오차 매개변수를 기반으로 한 오도메트리 경로와, 보정되기 전 시스템 오차매개변수를 기반으로 한 오도메트리 경로를 함께 그린 그림이다. 실제 실험에서는 로봇의 절대 경로를 정확히 알 수 없기에 중요 길목(way point)만 붉은점으로 표시하였다. 도7에서 볼 수 있듯이 보정후의 경로가 way point를 더 근접하게 지나갔으며 홈포지셔닝에도 보다 잘 성공하였음을 확인할 수 있었다. 8 is a drawing of an odometry path based on a finally corrected system error parameter and an odometry path based on a system error parameter before correction. In the actual experiment, the absolute path of the robot is not known exactly, so only the important way points are marked with red dots. As can be seen in Figure 7, the path after the correction was closer to the way point and it was confirmed that the home positioning was more successful.
본 발명에서는 홈포지셔닝을 이용한 차동주행방식 로봇의 오도메트리 보정의 새로운 방법을 제시하였으며, 시뮬레이션과 실제 로봇을 통한 실험으로 그 성능을 평가하였다.In the present invention, a new method for correcting the odometry of a differential driving robot using home positioning is presented, and its performance is evaluated by simulation and experiments using a real robot.
본 발명에서 제시한 방법은 기존의 온라인 보정 방법이 가지고 있는 임의의 패스를 움직이며 자동화하기 쉽다는 장점을 갖으면서도, 온라인 보정 방법이 갖는 결정적인 문제점인 센서의 성능에 오도메트리 보정 성능이 좌우된다는 단점을 홈포지셔닝을 이용함으로써 극복하였다.The method proposed in the present invention has the advantage that it is easy to move and automate arbitrary paths of the existing on-line correction method, but the performance of the odometry correction depends on the sensor performance, which is a critical problem of the on-line correction method. The disadvantage was overcome by using home positioning.
시뮬레이션을 통한 실험에서는 고의로 만들어 준 편향오차를 정확히 극복함을 확인할 수 있었으며, 실제 로봇을 이용한 실험에서 역시 보정 전보다 확연히 성능이 향상된 오도메트리 경로를 그리며 주행하였다. 특히 실험에 사용된 실험용 로봇이 아닌 이미 시중에서 청소용 로봇으로 판매되고 있는 저가형 로봇이라는 것을 고려해보면, 본 오도메트리 보정은 기존의 기술들에 비해 상용화에 보다 가까운 기술임을 확인할 수 있었다.In the experiment through simulation, it was confirmed that the deflection error that was deliberately overcome was accurately overcome. In the experiment using the real robot, the vehicle also drove with an improved odometry path than before the correction. In particular, considering that it is a low-cost robot that is already sold as a cleaning robot on the market, not the experimental robot used in the experiment, it can be confirmed that this odometry correction is closer to commercialization than the existing technologies.
도1은 본 발명에서 사용된 차동주행 방식을 설명하는 도면1 is a diagram illustrating a differential driving method used in the present invention.
도2는 본 발명에서 홈포지셔닝을 이용한 시스템 오차 매개변수의 추정방법을 도시함.2 illustrates a method for estimating system error parameters using home positioning in the present invention.
도3은 본 발명에서 홈포지셔닝 장면을 도시함.Figure 3 shows a home positioning scene in the present invention.
도4는 본 발명에 따라 실제 경로와 오도메트리 경로의 시뮬레이션 비교 결과를 도시함.Figure 4 shows the simulation comparison results of the actual path and the odometry path in accordance with the present invention.
도5는 본 발명에 따라 시스템 오차 매개 변수의 시뮬레이션 결과를 도시함.5 shows simulation results of system error parameters in accordance with the present invention.
도6은 본 발명의 실험에 사용된 로봇을 도시함.Figure 6 shows the robot used in the experiment of the present invention.
도7은 도6의 로봇을 사용한 시스템 오차 매개변수의 실험 결과를 도시함.FIG. 7 shows experimental results of system error parameters using the robot of FIG. 6.
도8은 도6의 로봇을 사용한 오도메트리 경로의 실험 결과를 도시함.Figure 8 shows the experimental results of the odometry path using the robot of Figure 6;
| Application Number | Priority Date | Filing Date | Title |
|---|---|---|---|
| KR1020070081585AKR100864801B1 (en) | 2007-08-14 | 2007-08-14 | Odometry Correction Method Using Home Positioning in Mobile Robot |
| Application Number | Priority Date | Filing Date | Title |
|---|---|---|---|
| KR1020070081585AKR100864801B1 (en) | 2007-08-14 | 2007-08-14 | Odometry Correction Method Using Home Positioning in Mobile Robot |
| Publication Number | Publication Date |
|---|---|
| KR20070090864Atrue KR20070090864A (en) | 2007-09-06 |
| KR100864801B1 KR100864801B1 (en) | 2008-10-23 |
| Application Number | Title | Priority Date | Filing Date |
|---|---|---|---|
| KR1020070081585AExpired - Fee RelatedKR100864801B1 (en) | 2007-08-14 | 2007-08-14 | Odometry Correction Method Using Home Positioning in Mobile Robot |
| Country | Link |
|---|---|
| KR (1) | KR100864801B1 (en) |
| Publication number | Priority date | Publication date | Assignee | Title |
|---|---|---|---|---|
| CN103284662A (en)* | 2012-03-02 | 2013-09-11 | 恩斯迈电子(深圳)有限公司 | Cleaning system and control method thereof |
| US10107897B2 (en) | 2013-12-31 | 2018-10-23 | Korea University Research And Business Foundation | Method for evaluating type of distance measured by laser range finder and method for estimating position of mobile robot by using same |
| KR20190085765A (en) | 2018-01-11 | 2019-07-19 | 서울대학교산학협력단 | Visual odometry system and method using structured environmental features |
| CN110181511A (en)* | 2019-05-22 | 2019-08-30 | 上海展湾信息科技有限公司 | Robot zero point loss detection and the method and system for assisting zero point correction |
| WO2019194636A1 (en)* | 2018-04-06 | 2019-10-10 | 엘지전자 주식회사 | Mobile robot and control method of mobile robot |
| CN112649017A (en)* | 2019-10-10 | 2021-04-13 | 北京京东乾石科技有限公司 | Method and device for calibrating system error of odometer |
| CN115019537A (en)* | 2022-06-20 | 2022-09-06 | 芜湖宏景电子股份有限公司 | Intelligent navigation system applied to low-quality network condition |
| Publication number | Priority date | Publication date | Assignee | Title |
|---|---|---|---|---|
| KR101222298B1 (en) | 2010-09-08 | 2013-01-15 | 고려대학교 산학협력단 | Calibrating method of odometry error of 2-wheel mobile robot |
| CN106393104B (en)* | 2016-08-25 | 2019-06-28 | 北京创想智控科技有限公司 | A kind of stroke calibration method of mobile robot |
| Publication number | Priority date | Publication date | Assignee | Title |
|---|---|---|---|---|
| KR20050088636A (en)* | 2004-03-02 | 2005-09-07 | 학교법인 포항공과대학교 | Method for forming an odometry error model of synchro drive robots |
| KR100621096B1 (en)* | 2005-02-01 | 2006-09-13 | 삼성전자주식회사 | Method and device for calibrating system error of robot using magnetic field |
| JP2007156576A (en) | 2005-11-30 | 2007-06-21 | Mitsubishi Heavy Ind Ltd | Method and device for adjusting odometry(wheel range finder) parameter for traveling carrier |
| KR100883792B1 (en)* | 2005-12-29 | 2009-02-18 | 한국생산기술연구원 | Position estimation system of mobile robot and its method |
| Publication number | Priority date | Publication date | Assignee | Title |
|---|---|---|---|---|
| CN103284662A (en)* | 2012-03-02 | 2013-09-11 | 恩斯迈电子(深圳)有限公司 | Cleaning system and control method thereof |
| CN103284662B (en)* | 2012-03-02 | 2016-09-21 | 恩斯迈电子(深圳)有限公司 | Cleaning system and control method thereof |
| US10107897B2 (en) | 2013-12-31 | 2018-10-23 | Korea University Research And Business Foundation | Method for evaluating type of distance measured by laser range finder and method for estimating position of mobile robot by using same |
| KR20190085765A (en) | 2018-01-11 | 2019-07-19 | 서울대학교산학협력단 | Visual odometry system and method using structured environmental features |
| WO2019194636A1 (en)* | 2018-04-06 | 2019-10-10 | 엘지전자 주식회사 | Mobile robot and control method of mobile robot |
| CN110181511A (en)* | 2019-05-22 | 2019-08-30 | 上海展湾信息科技有限公司 | Robot zero point loss detection and the method and system for assisting zero point correction |
| CN112649017A (en)* | 2019-10-10 | 2021-04-13 | 北京京东乾石科技有限公司 | Method and device for calibrating system error of odometer |
| CN112649017B (en)* | 2019-10-10 | 2024-05-17 | 北京京东乾石科技有限公司 | A method and device for calibrating odometer system error |
| CN115019537A (en)* | 2022-06-20 | 2022-09-06 | 芜湖宏景电子股份有限公司 | Intelligent navigation system applied to low-quality network condition |
| CN115019537B (en)* | 2022-06-20 | 2023-11-14 | 芜湖宏景电子股份有限公司 | Intelligent navigation system applied to low-quality network condition |
| Publication number | Publication date |
|---|---|
| KR100864801B1 (en) | 2008-10-23 |
| Publication | Publication Date | Title |
|---|---|---|
| KR100864801B1 (en) | Odometry Correction Method Using Home Positioning in Mobile Robot | |
| Moreno et al. | A genetic algorithm for mobile robot localization using ultrasonic sensors | |
| EP2993544B1 (en) | Autonomous moving body | |
| US10860035B2 (en) | Travel history storage method, method for producing travel path model, method for estimating local position, and travel history storage device | |
| EP1548534B1 (en) | Method and apparatus for using rotational movement amount of mobile device and computer-readable recording medium for storing computer program | |
| US20070271003A1 (en) | Robot using absolute azimuth and mapping method thereof | |
| Martinelli et al. | Estimating the odometry error of a mobile robot during navigation | |
| CN112882053B (en) | Method for actively calibrating external parameters of laser radar and encoder | |
| Ivanjko et al. | Extended Kalman filter based mobile robot pose tracking using occupancy grid maps | |
| Yatim et al. | Particle filter in simultaneous localization and mapping (Slam) using differential drive mobile robot | |
| Goudar et al. | Range-visual-inertial sensor fusion for micro aerial vehicle localization and navigation | |
| Burguera et al. | Probabilistic sonar scan matching for robust localization | |
| Font et al. | Mobile robot localization. Revisiting the triangulation methods | |
| Sumanarathna et al. | Simulation of mobile robot navigation with sensor fusion on an uneven path | |
| Zeghmi et al. | A Kalman-particle hybrid filter for improved localization of AGV in indoor environment | |
| González et al. | Comparative study of localization techniques for mobile robots based on indirect kalman filter | |
| WO2013040411A1 (en) | System and method for dynamic localization of wheeled mobile robots | |
| KR102716453B1 (en) | Robot monitoring apparatus and robot monitoring method | |
| Azizi et al. | Mobile robot position determination | |
| Yun et al. | Odometry calibration using home positioning function for mobile robot | |
| Barbosa et al. | Design and validation of an RGB-D based localization system-integration in a docking system | |
| Yang et al. | SLAM self-cruise vehicle based on ROS platform | |
| Bais et al. | Stereo vision based self-localization of autonomous mobile robots | |
| Xu et al. | KLILO: Kalman Filter based LiDAR-Inertial-Leg Odometry for Legged Robots | |
| Yang et al. | A rotating sonar and a differential encoder data fusion for map-based dynamic positioning |
| Date | Code | Title | Description |
|---|---|---|---|
| A201 | Request for examination | ||
| PA0109 | Patent application | St.27 status event code:A-0-1-A10-A12-nap-PA0109 | |
| PA0201 | Request for examination | St.27 status event code:A-1-2-D10-D11-exm-PA0201 | |
| PG1501 | Laying open of application | St.27 status event code:A-1-1-Q10-Q12-nap-PG1501 | |
| R18-X000 | Changes to party contact information recorded | St.27 status event code:A-3-3-R10-R18-oth-X000 | |
| D13-X000 | Search requested | St.27 status event code:A-1-2-D10-D13-srh-X000 | |
| D14-X000 | Search report completed | St.27 status event code:A-1-2-D10-D14-srh-X000 | |
| E902 | Notification of reason for refusal | ||
| PE0902 | Notice of grounds for rejection | St.27 status event code:A-1-2-D10-D21-exm-PE0902 | |
| E13-X000 | Pre-grant limitation requested | St.27 status event code:A-2-3-E10-E13-lim-X000 | |
| P11-X000 | Amendment of application requested | St.27 status event code:A-2-2-P10-P11-nap-X000 | |
| P13-X000 | Application amended | St.27 status event code:A-2-2-P10-P13-nap-X000 | |
| T11-X000 | Administrative time limit extension requested | St.27 status event code:U-3-3-T10-T11-oth-X000 | |
| E701 | Decision to grant or registration of patent right | ||
| PE0701 | Decision of registration | St.27 status event code:A-1-2-D10-D22-exm-PE0701 | |
| GRNT | Written decision to grant | ||
| PR0701 | Registration of establishment | St.27 status event code:A-2-4-F10-F11-exm-PR0701 | |
| PR1002 | Payment of registration fee | St.27 status event code:A-2-2-U10-U11-oth-PR1002 Fee payment year number:1 | |
| PG1601 | Publication of registration | St.27 status event code:A-4-4-Q10-Q13-nap-PG1601 | |
| FPAY | Annual fee payment | Payment date:20110916 Year of fee payment:4 | |
| PR1001 | Payment of annual fee | St.27 status event code:A-4-4-U10-U11-oth-PR1001 Fee payment year number:4 | |
| FPAY | Annual fee payment | Payment date:20121011 Year of fee payment:5 | |
| PR1001 | Payment of annual fee | St.27 status event code:A-4-4-U10-U11-oth-PR1001 Fee payment year number:5 | |
| PN2301 | Change of applicant | St.27 status event code:A-5-5-R10-R13-asn-PN2301 St.27 status event code:A-5-5-R10-R11-asn-PN2301 | |
| LAPS | Lapse due to unpaid annual fee | ||
| PC1903 | Unpaid annual fee | St.27 status event code:A-4-4-U10-U13-oth-PC1903 Not in force date:20131017 Payment event data comment text:Termination Category : DEFAULT_OF_REGISTRATION_FEE | |
| R18-X000 | Changes to party contact information recorded | St.27 status event code:A-5-5-R10-R18-oth-X000 | |
| PC1903 | Unpaid annual fee | St.27 status event code:N-4-6-H10-H13-oth-PC1903 Ip right cessation event data comment text:Termination Category : DEFAULT_OF_REGISTRATION_FEE Not in force date:20131017 | |
| P22-X000 | Classification modified | St.27 status event code:A-4-4-P10-P22-nap-X000 | |
| PN2301 | Change of applicant | St.27 status event code:A-5-5-R10-R13-asn-PN2301 St.27 status event code:A-5-5-R10-R11-asn-PN2301 | |
| PN2301 | Change of applicant | St.27 status event code:A-5-5-R10-R13-asn-PN2301 St.27 status event code:A-5-5-R10-R11-asn-PN2301 | |
| R18-X000 | Changes to party contact information recorded | St.27 status event code:A-5-5-R10-R18-oth-X000 | |
| P22-X000 | Classification modified | St.27 status event code:A-4-4-P10-P22-nap-X000 |