





도 1은 RS를 이용하여 MSS의 처리율을 높이기 위한 방법을 도시한 예시도,1 is a diagram illustrating a method for increasing the throughput of an MSS using RS;
도 2는 하나의 BS 영역 안에서 가까운 거리에서 릴레이를 제공하는 RS들이 상호 영향을 주는 무선 환경을 도시한 예시도,FIG. 2 is an exemplary diagram illustrating a wireless environment in which RSs providing relays at close distances within one BS area have mutual influence;
도 3은 하나의 BS 영역 안에서 RS끼리 상호 인지할 수 없지만 상기 RS의 서비스를 받고 있는 MSS에게 영향을 주는 무선 환경을 도시한 예시도,3 is an exemplary diagram illustrating a wireless environment in which RSs cannot mutually recognize each other within one BS area but affect an MSS receiving the service of the RS;
도 4는 본 발명에 따른 릴레이 기반의 광대역 무선 통신 시스템에서 RS의 릴레이 서비스 제공을 위한 등록 과정을 도시한 도면,4 is a diagram illustrating a registration process for providing a relay service of an RS in a relay-based broadband wireless communication system according to the present invention;
도 5는 본 발명의 실시 예에 따른 거리 측정 기법을 도시한 도면, 및5 is a diagram illustrating a distance measuring technique according to an embodiment of the present invention; and
도 6은 본 발명의 실시 예에 따른 채널 할당 방법의 절차를 도시한 도면.6 is a flowchart illustrating a channel allocation method according to an embodiment of the present invention.
본 발명은 릴레이 기반의 광대역 무선 통신 시스템에 관한 것으로, 특히, 기지국의 중계국 채널 할당 방법에 관한 것이다.The present invention relates to a relay-based broadband wireless communication system, and more particularly, to a relay station channel allocation method of a base station.
IEEE 802.16 표준 등의 차세대 통신시스템에서는 2~6GHz의 고주파수 대역을 사용함으로써 높은 전송 속도를 실현할 수 있다. 하지만, 장애물에 많은 영향을 받기 때문에 NLOS(non line-of-sight) 통신이 어렵게 되며, 이로 인해 큰 빌딩과 같은 장애물이 많은 지역에서는 많은 음영지역이 발생하게 되는 문제점이 있다. 상기 문제를 보완하기 위해 중계국(Relay Station : 이하 'RS'이라 칭함)을 통한 다중홉 릴레이(Multi-hop Relay) 통신 시스템이 제안되고 있다. 상기 RS는 상기 음영지역을 줄이면서 네트워크 서비스 범위를 확대하고 동시에 더 높은 전송 속도를 보장할 수 있는 이점이 있다.In next-generation communication systems such as the IEEE 802.16 standard, high transmission speeds can be realized by using a high frequency band of 2 to 6 GHz. However, since it is affected by obstacles a lot, non-line-of-sight (NLOS) communication becomes difficult, which causes a problem that many shaded areas are generated in areas with many obstacles such as large buildings. In order to solve the above problem, a multi-hop relay communication system through a relay station (hereinafter referred to as 'RS') has been proposed. The RS has the advantage of reducing the shaded area while extending the network service range and at the same time ensuring a higher transmission rate.
도 1은 RS를 이용하여 이동 가입국(MSS)의 처리율을 높이기 위한 방법을 도시한 예시도이다.1 is an exemplary diagram illustrating a method for increasing the throughput of a mobile subscriber station (MSS) using RS.
상기 도 1을 참조하면, 이동 가입국 1(Mobile Subscriber Station 1 : 이하 'MSS1'이라 칭함)(130)의 경우, 기지국(Base Station : 이하 'BS'라 칭함)(110)과 거리상으로 멀리 떨어져 있기 때문에 상기 BS(110)와의 통신을 위해 QPSK와 같이 낮은 전송률로 데이터를 인코딩하여 전송해야한다. 따라서, 상기 BS(110)와 가까운 거리에 있는 MSS와 비교하였을 시, 상기 MSS1은 낮은 전송 속도를 보일 수밖에 없다. 반면, 상기 BS(110)로부터 상기 MSS1(130)과 비슷한 거리에 있는 MSS2(170)의 경우, 비록 상기 BS(110)와는 거리상으로 멀리 떨어져 있지만, 상기 MSS2(170)와 BS(110) 사이에 있는 RS(150)를 이용하여 전송 속도를 향상시킬 수 있다. 여기서, 상기 RS(150)는 상기 MSS2(170) 및 BS(110)와 가까운 거리에 있기 때문에 빠르게 상기 MSS2(170)와 BS(110)로 통신을 수행할 수 있다.Referring to FIG. 1, in the case of a mobile subscriber station 1 (hereinafter referred to as MSS1 ) 130, the mobile subscriber station 1 is far from a
상기 802.16에서는 상기 릴레이(Relay)의 구현을 위해 여러 가지 릴레이 구조가 정의되어있다. 먼저, 상기 릴레이 구조는 상기 RS의 이동성에 따라서 크게 고정 중계국(Fixed Relay Station : FRS), 노매딕 중계국(Nomadic Relay Station : NRS) 그리고 이동 중계국(Mobile Relay Station : MRS)으로 나눌 수 있다. 상기 고정 중계국은 RS가 고정된 위치에서 MSS들을 BS와 통신할 수 있도록 중계해주는 가장 일반적인 릴레이 구조로써, 상기 도 1과 같이 MSS의 처리율을 높여주거나 혹은 상기 BS가 커버하지 못하는 영역에 있는 MSS에까지 서비스 영역을 확대하는데 사용될 수 있다. 상기 노매딕 중계국은 상황과 필요에 따라서 RS의 유무 및 위치가 유동적인 구조를 가지고 있다. 마지막으로, 상기 이동 중계국은 RS가 움직이면서 중계를 하는 구조이다.In 802.16, various relay structures are defined for implementing the relay. First, the relay structure may be classified into a fixed relay station (FRS), a nomadic relay station (NRS), and a mobile relay station (MRS) according to the mobility of the RS. The fixed relay station is the most common relay structure for RS to relay MSSs to BSs in a fixed position. As shown in FIG. 1, the RS can increase the throughput of MSSs or even serve MSSs in areas not covered by BSs. It can be used to enlarge the area. The nomadic relay station has a structure in which the presence or absence of RS is flexible according to circumstances and needs. Finally, the mobile relay station has a structure in which RS is relayed while moving.
또한, 상기 릴레이 구조는 상기 RS의 주파수 할당 전략에 따라서 구분되기도 한다. 먼저, BS와 RS가 다른 주파수 대역을 사용하는 구조가 있다. 즉, 상기 RS가 BS와 통신하는 주파수 대역과 상기 RS 자신의 MSS들과 통신하는 주파수 대역을 따로 사용하는 구조이다. 상기 구조에서 상기 RS는 작은 BS의 역할을 하기 때문에 상향링크와 하향링크의 스케줄링뿐만 아니라 백홀 접근(Backhaul Access)을 제외한 BS의 기능을 모두 수행할 수 있어야 하고, 따라서, 상기 RS가 복잡해질 수 있다. 하지만, 상기 BS와 RS 간 서로 다른 주파수 대역의 사용으로 상기 RS의 MSS와 BS의 MSS간에 간섭이 발생하지 않아 동시에 전송할 수 있다는 장점이 있다. 예를 들어, 상기 BS는 f1의 주파수 대역을 사용하여 RS 및 MSS2와 통신을 하고, 상기 RS는 f2의 주파수 대역을 사용하여 MSS1과 통신을 할 수 있으며, 이 경우, 상기 MSS1과 MSS2간에는 서로 다른 주파수 대역의 사용으로 간섭이 발생하지 않게 된다.In addition, the relay structure may be classified according to the frequency allocation strategy of the RS. First, there is a structure in which BS and RS use different frequency bands. That is, the RS separately uses the frequency band for communicating with the BS and the frequency band for communicating with the MSs of the RS. In the structure, since the RS plays a role of a small BS, not only uplink and downlink scheduling but also BS functions except for backhaul access should be performed. Accordingly, the RS may be complicated. . However, the use of different frequency bands between the BS and the RS does not cause interference between the MSS of the RS and the MSS of the BS. For example, the BS can communicate with RS and MSS2 using a frequency band of f1 , and the RS can communicate with MSS1 using a frequency band of f2 , in this case, MSS1. There is no interference between the MSS2 and the use of different frequency bands.
또한, 상기 릴레이 구조에는 상기 BS와 RS가 같은 주파수 대역을 사용하면서 상기 RS에 시간을 나누는 등의 방법으로 상기 BS가 상기 RS에 서브채널을 할당하는 구조가 있다. 상기 구조에서 RS는 BS 서비스 범위 안에 있는 하나의 MSS처럼 동작한다. 하지만, 상기 BS가 상기 RS에게 서브채널을 할당해야하기 때문에 상기 BS의 용량(Capacity)이 줄어들게 되고, 상기 BS와 RS의 MSS1과 상기 BS의 MSS2가 같은 채널을 사용하기 때문에 상기 MSS1와 MSS2간 서로 간섭을 일으킬 수 있으므로 동시에 전송을 할 수 없는 문제점이 있다. 나아가 네트워크 전체의 성능이 줄어들고, 또한, 하나의 BS 셀 안에 많은 수의 RS가 존재하게 된다면 상기 문제는 더욱 심각하게 발생할 수 있다.In addition, the relay structure has a structure in which the BS allocates a subchannel to the RS in such a manner that the BS and the RS share the time with the RS while using the same frequency band. In this structure, the RS behaves like a single MSS within the BS service range. However, with the MSS1 because the BS is to be assigned a sub-channel to the RS, the capacity (Capacity) of the BS is reduced, because it uses the same channel MSS2 of the BS and RS in the MSS1 and the BS MSS2 There is a problem that can not be transmitted at the same time because they can cause interference with each other. Furthermore, if the performance of the network as a whole decreases and a large number of RSs exist in one BS cell, the problem may occur more seriously.
한편, 상기 802.16 릴레이 모드에서는 하나의 셀에 많은 수의 RS가 릴레이 서비스를 제공할 것으로 기대된다. BS는 상기 많은 수의 RS들을 효율적으로 동작시키기 위해 무선 환경의 특성을 고려하여 상기 RS가 사용할 채널을 할당한다. 도 2와 도 3은 하나의 셀에 두 개의 RS가 릴레이 서비스를 제공하는 무선 환경을 도시한 도면이다.Meanwhile, in the 802.16 relay mode, a large number of RSs are expected to provide relay services in one cell. The BS allocates a channel to be used by the RS in consideration of the characteristics of the radio environment in order to efficiently operate the large number of RSs. 2 and 3 are diagrams illustrating a wireless environment in which two RSs provide relay services in one cell.
상기 도 2는 하나의 BS 영역 안에서 가까운 거리에서 릴레이를 제공하는 RS들이 상호 영향을 주는 무선 환경을 도시한 예시도이다.FIG. 2 is an exemplary diagram illustrating a wireless environment in which RSs providing relays at close distances within one BS area have mutual influences.
상기 도 2를 참조하면, 가까운 거리에서 릴레이를 제공하는 두 RS(230, 250)가 같은 채널을 선택하였을 경우, 상기 두 RS(230, 250)는 서로의 전송에 간섭을 일으킬 수 있다. 이를 해결하기 위해 BS(210)와 상기 RS들(230, 250)이 같은 주파수 대역을 사용하여 물리적(Physical) 프레임 구조에서 전송 시간을 나누게 되면, 상기 두 RS(230, 250)가 동시에 전송을 하지 못해 공간적 재사용(spatial reuse)이 떨어지게 되고, 상기 RS의 수가 많아질수록 지연(delay)이 급속도로 증가하게 되어 릴레이 서비스를 하는데 문제가 발생할 수 있다.Referring to FIG. 2, when two
상기 도 3은 하나의 BS 영역 안에서 RS끼리 상호 인지할 수 없지만 상기 RS의 서비스를 받고 있는 MSS에게 영향을 주는 무선 환경을 도시한 예시도이다.FIG. 3 is an exemplary diagram illustrating a wireless environment in which RSs cannot mutually recognize each other within one BS area but affect MSSs receiving the RS service.
상기 도 3을 참조하면, 두 RS(330, 370)는 거리가 멀어 서로의 존재를 인식하지 못한다. 따라서, 상기 두 RS(330, 370)가 같은 채널을 사용한다고 하더라도 서로 간에 간섭을 받지 않게 된다. 하지만, RS1(330)으로부터 서비스를 받고 있는 MSS 중에서 RS2(370)에 가까이 있는 MSS(350)는 상기 RS2(370)의 전송에 의해서 간섭을 받아 효과적인 서비스를 제공받지 못하는 경우가 발생할 수 있다. 이는 신호의 세기가 거리에 따라 급격하게 감소하여 상기 MSS(350)에 간섭을 일으키는 신호를 상기 RS1(330)이 인식하지 못할 수 있기 때문이다. 각 RS가 애드 혹(ad-hoc)하게 설치되고 빈번하게 서비스를 새로이 시작 및 종료하는 환경에서, BS는 RS의 채널 사용에 대하여 사전에 계획을 세우기 어렵기 때문에, 상기 문제는 더욱 심각하게 발생할 수 있다.Referring to FIG. 3, the two
따라서, 본 발명의 목적은 릴레이 기반의 광대역 무선 통신 시스템에서 기지국의 중계국 채널 할당 방법을 제공함에 있다.Accordingly, an object of the present invention is to provide a relay station channel allocation method of a base station in a relay-based broadband wireless communication system.
본 발명의 다른 목적은 릴레이 기반의 광대역 무선 통신 시스템에서 중계국 간의 영향을 최소화하고 각 중계국이 단말에게 동시에 서비스를 제공할 수 있도록 기지국이 자신의 셀에 있는 모든 중계국 사이의 정보를 이용하여 각 중계국으로 적절한 채널을 할당하기 위한 방법을 제공함에 있다.Another object of the present invention is to provide a base station to each relay station using information between all the relay stations in its cell so that the relay station can minimize the effects between the relay stations and provide services to the terminal simultaneously. The present invention provides a method for allocating an appropriate channel.
상기 목적을 달성하기 위해 본 발명의 실시 예에 따르면, 릴레이 기반의 광대역 무선 통신 시스템에서 기지국(Base Station)의 중계국(Relay Station) 채널 할당 방법은, 새로 등록하는 제 1 중계국에 대해서 주변 중계국과의 거리를 예측하는 과정과, 상기 예측한 주변 중계국과의 거리 정보를 이용하여 적어도 하나 이상의 주변 중계국에 대해서 상기 제 1 중계국이 상기 주변 중계국의 서비스를 받는 단말에게 간섭을 줄 수 있는지 여부와 상기 주변 중계국이 상기 제 1 중계국의 서비스를 받는 단말에게 간섭을 줄 수 있는지 여부를 검사하고, 상기 간섭을 줄 수 있을 시, 해당 주변 중계국을 간섭 중계국으로 분리하는 과정과, 서브 채널에서 하나의 채널을 임의로 선택하고, 상기 선택된 채널을 사용하는 주변 중계국이 상기 간섭 중계국에 속하는지 검사하는 과정과, 상기 선택된 채널을 사용하는 주변 중계 국이 상기 간섭 중계국에 속하지 않을 시, 상기 채널을 상기 제 1 중계국으로 할당하는 과정을 포함하는 것을 특징으로 한다.In order to achieve the above object, according to an embodiment of the present invention, in a relay-based broadband wireless communication system, a relay station channel allocation method of a base station may be performed with a neighboring relay station for a newly registered first relay station. A process of estimating a distance, and whether the first relay station can interfere with a terminal receiving the service of the neighboring relay station with respect to at least one or more neighboring relay stations using the predicted distance information with the neighboring relay station; Checking whether interference may be caused to the terminal receiving the service of the first relay station, and if the interference is possible, separating the neighboring relay station into an interference relay station, and arbitrarily selecting one channel from the subchannels. And checking whether a neighboring relay station using the selected channel belongs to the interfering relay station. And, when not part of the relay station close to the interference relay station to use the selected channel, characterized in that it comprises the step of assigning the channel to the first relay station.
이하 본 발명의 바람직한 실시 예를 첨부된 도면의 참조와 함께 상세히 설명한다. 그리고, 본 발명을 설명함에 있어서, 관련된 공지기능 혹은 구성에 대한 구체적인 설명이 본 발명의 요지를 불필요하게 흐릴 수 있다고 판단된 경우 그 상세한 설명은 생략한다.Hereinafter, exemplary embodiments of the present invention will be described in detail with reference to the accompanying drawings. In describing the present invention, when it is determined that a detailed description of a related known function or configuration may unnecessarily obscure the subject matter of the present invention, the detailed description thereof will be omitted.
이하, 본 발명은 릴레이 기반의 광대역 무선 통신 시스템에서 기지국의 중계국 채널 할당 방법에 대해 설명한다. 본 발명에서는 고정 중계국 환경에서 BS와 RS간에 다른 채널을 사용하여 간섭을 일으키지 않는 모델을 가정하여 설명하도록 한다.Hereinafter, the present invention describes a relay station channel allocation method of a base station in a relay-based broadband wireless communication system. In the present invention, it is assumed that the model does not cause interference by using different channels between the BS and the RS in the fixed RS environment.
도 4는 본 발명에 따른 릴레이 기반의 광대역 무선 통신 시스템에서 RS의 릴레이 서비스 제공을 위한 등록 과정을 도시한 도면이다.4 is a diagram illustrating a registration process for providing a relay service of an RS in a relay-based broadband wireless communication system according to the present invention.
상기 도 4를 참조하면, 새로운 RS(410)는 411단계에서 802.16 표준에 따라 다른 MSS와 마찬가지로 엔트리(entry) 과정을 거쳐 BS(430)와 협정(Association)을 맺는다. 이후, 상기 RS(410)는 다른 노드들을 위한 RS로 동작하기 위해 413단계에서 상기 BS(430)로 RS_REG-REQ 메시지를 전송한다. 여기서, 상기 RS_REG-REQ 메시지는 상기 RS(410)가 자신이 RS로 동작함을 상기 BS(430)에게 알리고 상기 BS(430)로부터 채널을 할당받기 위한 메시지로, 상기 메시지의 형태는 하기 <표 1>과 같이 나타낼 수 있다.Referring to FIG. 4, in step 411, the new RS 410 enters into an agreement with the
여기서, 상기 RS_REG-REQ 메시지는 상기 RS(410) 자신의 위치 정보(location)와 상기 RS(410)가 BS(430)와의 통신을 위해 사용하는 전송파워(transmission power with BS)와 상기 RS(410)의 서비스를 받을 MSS와의 통신을 위해 사용하는 전송파워(transmission power with MSS) 및 기타 RS 서비스를 제공하기 위해 필요한 정보(service information)를 포함한다. 상기 위치 정보는 상기 RS(410)가, 예를 들어, 위성 위치 확인 시스템(Global Positioning System : 이하 'GPS'라 칭함)을 이용하여 자신의 위치 정보를 정확하게 알고 있는 경우 상기 BS(430)로 전송되는 정보로서, 상기 BS(430)는 상기 위치 정보를 이용하여 본 발명에서 제안하는 채널 할당 알고리즘에 따라 보다 정확하게 상기 RS(410)로 채널을 할당할 수 있다. 여기서, 상기 위치 정보가 포함되어 있지 않은 RS_REG-REQ 메시지를 수신한 경우, 상기 BS(430)는 본 발명에 따른 거리 측정 기법에 따라 해당 RS의 위치를 추정하고, 상기 추정된 위치 정보를 이용하여 주변 RS의 간섭을 최소화할 수 있는 채널을 예측하며, 상기 예측된 채널을 상기 RS로 할당하게 된다. 상기 RS(410)의 서비스를 받을 MSS와의 통신을 위해 사용하는 전송파워는 차후 상기 BS(430)로부터 할당받을 채널을 통해 상기 RS(410)가 자신에게 접속한 MSS로 전송을 할 때 사용할 파워로써, 상기 BS(430)는 상기 정보를 이용하여 모든 RS간의 간섭을 알 수 있다.In this case, the RS_REG-REQ message includes a location information of the
이후, 상기 BS(430)는 상기 메시지를 통해 새로운 RS(410)가 서비스를 시작함을 알고, 415단계에서 상기 새로운 RS(410)가 주변 RS로부터 받는 신호의 세기를 알기 위해 상기 RS(410)로 주변 RS를 스캐닝(scanning)하기 위한 시간 구간(time interval)을 할당한다. 여기서, 상기 주변 RS 스캐닝(scanning)을 위한 시간 구간은 IEEE 802.16e에서 정의하고 있는 MOB_SCN-RSP 메시지를 전송함으로써 할당할 수 있다.Thereafter, the
여기서, 상기 MOB_SCN-RSP 메시지는 하기 <표 2>와 같이 나타낼 수 있다.Here, the MOB_SCN-RSP message may be represented as shown in Table 2 below.
이후, 상기 RS(410)는 417단계에서 상기 BS(430)로부터 상기 MOB_SCN-RSP 메시지를 통해 할당받은 시간 구간에 주변의 채널에 대해서 스캐닝을 수행하고, 419단계에서 상기 BS(430)로 IEEE 802.16e에서 정의하고 있는 MOB_SCN-REPORT 메시지를 전송하여 상기 스캐닝 결과를 알린다.In
여기서, 상기 MOB_SCN-REPORT 메시지는 하기 <표 3>과 같이 나타낼 수 있다.Here, the MOB_SCN-REPORT message may be represented as shown in Table 3 below.
여기서, 상기 802.16e에서는 BS가 자신의 서비스를 받고 있는 MSS 주변의 BS에 대한 정보를 얻기 위하여 상기 <표 2>의 MOB_SCN-RSP 메시지와 상기 <표 3>의 MOB_SCN-REPORT 메시지를 사용하지만, 본 발명에서 가정하고 있는 릴레이 환경에서는 RS도 자신의 채널을 가지고 BS와 동일한 역할을 하게 되므로 상기 스캐닝을 통하여 주변 RS의 정보를 알 수 있다.Here, in 802.16e, the BS uses the MOB_SCN-RSP message of Table 2 and the MOB_SCN-REPORT message of Table 3 to obtain information about the BS around the MSS receiving its service. In the relay environment assumed in the present invention, since the RS has its own channel and plays the same role as the BS, the information of the neighbor RS can be known through the scanning.
이후, 상기 BS(430)는 421단계에서 상기 MOB_SCN-REPORT 메시지를 이용하여 상기 RS(410)와 통신 가능한 주변 RS 정보를 추출하고, 본 발명에서 제안하는 거리 측정 기법에 따라 자신의 위치를 정확하게 알지 못하는 RS의 위치를 예측한다. 이때, 상기 BS(430)는 상기 RS(410)에 대한 스캐닝 결과를 유지 및 업데이트할 수 있다. 상기 본 발명에서 제안하는 거리 측정 기법은 이후 도 5에서 자세히 설명하기로 한다.In
이후, 상기 BS(430)는 423단계에서 본 발명에서 제안하는 채널 할당 알고리즘에 따라 상기 RS(410)가 사용할 채널을 선택하고, 425단계에서 상기 RS(410)로 RS_REG-RSP 메시지를 전송하여 상기 채널의 할당을 알린다. 이후, 상기 BS(430)는 802.16 표준에서 정의하고 있는 방법에 따라 상기 RS(410)에게 대역폭(bandwidth)을 할당하고, 상기 RS(410)는 427단계에서 상기 할당된 대역폭을 통해 릴레이 서비스를 시작한다. 상기 본 발명에서 제안하는 채널 할당 알고리즘은 이후 도 6에서 자세히 설명하기로 한다.In
여기서, 상기 BS(430)는 새로운 RS가 채널을 할당받거나 기존의 RS가 사용을 종료할 때마다 주변의 RS들의 이웃(neighbor) 정보를 업데이트해야 한다. 다시 말해, 새로운 RSincoming이 채널을 할당받았을 시, 상기 BS(430)는 상기 RSincoming이 상기 MOB-SCN-REPORT에서 인식한 RS도 상기 RSincoming을 인식할 수 있다고 변경한다. 이때, 상기 RS의 수신 파워는 양쪽 방향의 링크가 동일하다고 가정하여 상기 RSincoming이 수신한 파워를 그대로 사용한다. 또한, 기존의 RS가 서비스를 종료할 시, 상기 BS(430)는 상기 종료된 RS를 인식하고 있는 다른 RS의 정보에서 해당 RS 정보를 삭제한다.Here, the
상기 도 5는 본 발명의 실시 예에 따른 거리 측정 기법을 도시한 도면이다. BS가 RS에게 채널을 할당하기 위해서는 상기 RS의 주변 RS와의 거리 정보를 바탕으로 주변 RS들로부터의 간섭을 예측하여야 한다. 상기 RS가 자신의 위치를 정확하게 알지 못하는 경우에도 상기 RS가 감지하지 못하는 주변 RS가 상기 RS의 서비스를 받고있는 MSS에게 간섭을 일으킬 수 있으므로, 상기 BS는 상기 RS와 주변 RS들과의 거리를 정확히 알아낼 수가 없으며, 따라서, 상기 BS는 상기 RS에 간섭을 줄 수 있는 주변의 모든 RS와의 거리를 예측하고, 이를 바탕으로 채널을 할당할 필요가 있다.5 is a diagram illustrating a distance measuring technique according to an embodiment of the present invention. In order for a BS to allocate a channel to an RS, interference from neighbor RSs must be predicted based on distance information with the neighbor RS of the RS. Even if the RS does not know its location accurately, the neighboring RS, which the RS does not detect, may cause interference to the MSS receiving the RS, so that the BS accurately determines the distance between the RS and the neighboring RSs. Therefore, the BS needs to estimate the distance to all nearby RSs that may interfere with the RS, and allocate a channel based on the distance.
상기 RS의 위치를 예측하는 방법에는 고정된 랜드마크(landmark)로부터의 신호 세기를 측정하여 자신의 위치를 예측하는 방법과 새로운 RS(RSincoming)(530)와 주변 RS(RSneighbor)(570)가 공통으로 인식할 수 있는 또 다른 RS(RSbasis)(550)를 바탕으로 상기 RSincoming(530)의 위치를 예측하는 방법 등이 있다. 여기서, 상기 고정된 랜드마크로부터 자신의 위치를 예측하는 방법은 세 개 이상의 자신의 위치를 알고 있는 랜드마크로부터 정보를 수신하고, 상기 정보를 바탕으로 자신의 위치를 예측하는 방법이다.The method for estimating the position of the RS includes a method of estimating its position by measuring signal strength from a fixed landmark, and a new RS (RSincoming ) 530 and a neighboring RS (RSneighbor ) 570. There is another method for predicting the location of the
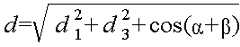
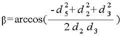
다음으로, 상기 도 5를 참조하여 새로 채널을 할당받는 RSincoming(530)이 주변 RS로부터 자신의 위치를 예측하는 방법을 살펴보면, BS(510)는 각 RS(530, 550, 570)들과의 직접 통신을 통해 상기 각 RS(530, 550, 570)들이 전송하는 파워와 상기 BS(510)가 수신하는 파워를 기반으로 상기 BS(510)와 RSincoming(530)간의 거리 d1, 상기 BS(510)와 RSbasis(550)간의 거리 d2, 상기 BS(510)와 RSneighbor(570)간의 거리 d3를 예측한다. 또한, 상기 RSincoming(530) 및 RSneighbor(570)로부터 수신한 MOB-SCN-REPORT 메시지에 포함되어 있는, 상기 RSincoming(530) 및 RSneighbor(570)가 상기 RSbasis(550)로부터 수신한 파워 정보와 상기 RSbasis(550)로부터 수신한 RS_REG-REQ 메시지에 포함되어 있는 상기 RSbasis(550)가 사용하는 전송파워 정보를 이용하여 상기 RSincoming(530)과 RSbasis(550)의 거리 d4, 상기 RSneighbor(570)와 RSbasis(550)의 거리 d5를 예측한다.Next, referring to FIG. 5, a method in which a newly allocated
이후, 상기 BS(510)는 상기 예측된 거리 정보를 바탕으로 RSincoming(530)-BS(510)-RSbasis(550)의 각도 α, RSbasis(550)-BS(510)-RSneighbor(570)의 각도 β를 구한다. 여기서, 상기 각도 α, β를 구하는 식은 하기 <수학식 1>과 같이 나타낼 수 있다.Subsequently, the
이후, 상기 BS(510)는 상기 <수학식 1>을 이용하여 구한 α, β와 상기 d1,d3를 이용하여 RSincoming(530)과 RSneighbor(570) 사이의 거리 d를 구한다. 여기서, 상기 거리 d를 구하는 식은 하기 <수학식 2>와 같이 나타낼 수 있다.Thereafter, the
이로써, 상기 BS(510)는 상기 RSincoming(530)과 상기 RSincoming(530)에 간섭을 줄 수 있는 임의의 주변 노드 RSneighbor(570)와의 거리를 예측할 수 있다.By this, the BS (510) can estimate the distance to theincoming
여기서, 상기 주변의 RS로부터 자신의 위치를 예측하는 방법은 RS의 수가 많을 때 사용하는 것이 유효하다. 상기 RS가 적은 경우에는 새로 채널을 할당받아 릴레이를 시작하는 RSincoming(530)과 공통으로 인식하는 RSbasis(550)가 없는 주변 RSneighbor(570)는 상기 RSincoming(530)과 지리적으로 멀리 떨어져 서로 영향을 주지 않을 확률이 높기 때문에 RSincoming(530)과의 거리를 예측할 필요가 없다.Here, the method of estimating its position from the surrounding RS is effective when the number of RSs is large. When the RS is small, theneighbor
상기 도 6은 본 발명의 실시 예에 따른 채널 할당 방법의 절차를 도시한 도면이다. 본 발명에서 제안하는 상기 채널 할당 방법은 BS가 새로운 RS에게 주변의 RS로부터 간섭을 받지 않는 채널을 할당하고, 이로써, 공간적 재사용(spatial reuse)을 높이며 상기 RS의 처리율을 높이고 지연(delay)을 줄이기 위한 방법이다. 따라서, 새로운 RS에게 채널을 할당할 시, 상기 BS는 주변 RS들과 같은 채널을 할당할 수 있는지를 판단해야 한다. 하지만, 서로 간섭을 주지 않는 채널의 수는 한정되어 있으므로, 서로 간섭을 주는 RS들에게 모두 다른 채널을 할당할 수는 없으며, 서로 간섭을 줄 수 있는 RS의 수가 채널의 수보다 많아지게 되면, TDD 프레임에 시간을 나눠 할당하는 등의 다른 기법이 필요하다.6 is a flowchart illustrating a channel allocation method according to an embodiment of the present invention. In the channel allocation method proposed in the present invention, the BS allocates a new RS to a new RS without interference from neighboring RSs, thereby increasing spatial reuse, increasing throughput of the RS, and reducing delay. It's a way. Therefore, when allocating a channel to a new RS, the BS should determine whether it can allocate the same channel as the neighbor RSs. However, since the number of channels that do not interfere with each other is limited, it is not possible to assign different channels to all RSs that interfere with each other, and when the number of RSs that can interfere with each other becomes larger than the number of channels, TDD Other techniques are needed, such as allocating time frames.
상기 도 6을 참조하면, BS는 601단계에서 모든 RS에 대해서 체크가 완료되었는지 검사한다. 여기서, 상기 BS는 601 내지 607단계에서 RSincoming과 간섭을 일으킬 수 있는 RSneighbor를 구별하기 위해 모든 RS에 대해서 체크를 한다.Referring to FIG. 6, in
상기 모든 RS에 대해서 체크가 완료되지 않았을 시, 상기 BS는 603단계에서 상기 체크하지 않은 RS 중 하나의 RSneighbor를 임의로 선택하고, 상기 RSincoming이 상기 RSneighbor의 MSS에게 혹은 상기 RSneighbor가 상기 RSincoming의 MSS에게 간섭을 끼칠 수 있는지 판단한다. 상기 RSincoming이 MSS를 서비스할 전송 반경을 dincoming이라 하고, 이때의 전송 파워를 Pincoming이라 하며, 주변의 RSneighbor가 MSS를 서비스하고 있는 전송 반경을 dneighbor라 하고, 이때의 전송 파워를 Pneighbor라 하였을 시, 상기 RSincoming이 상기 RSneighbor의 전송 반경 안에 간섭을 주거나 반대로 상기 RSneighbor가 상기 RSincoming의 전송 반경에 간섭을 주게 되는 경우, 상기 BS는 상기 RSincoming에게 상기 RSneighbor와 같은 채널을 할당하지 않아야 한다. 다시 말해, 상기 RSincoming과 상기 RSneighbor의 서비스를 받고 있는 MSS와의 거리 d-dneighbor에 상기 RSincoming의 상기 Pincoming 파워 전송이 간섭을 줄 수 있는 경우, 상기 BS는 상기 RSneighbor와 다른 채널을 상기 RSincoming으로 할당해야 한다. 마찬가지로, 상기 RSneighbor와 상기 RSincoming의 서비스를 받을 수 있는 MSS와의 최소거리 d-dincoming에 상기 RSneighbor의 상기 Pneighbor파워 전송이 간섭을 줄 수 있는 경우, 상기 BS는 상기 RSincoming에게 상기 RSneighbor와 다른 채널을 할당해야 한다.When not been checked has been completed with respect to all of the RS, the BS may select one of the RSneighbor of the RS is not the check in
상기 RSincoming이 상기 RSneighbor의 MSS에게 혹은 상기 RSneighbor가 상기 RSincoming 의 MSS에게 간섭을 끼칠 수 있음이 판단될 시, 상기 BS는 607단계로 진행하여 상기 RSneighbor를 RSinterference에 넣고, 상기 601단계로 돌아간다. 여기서, 상기 RSinterference는 RSincoming과 간섭을 일으킬 수 있어 다른 채널을 사용해야하는 RSneighbor의 집합을 의미한다. 또한, 상기 RSincoming이 상기 RSneighbor의 MSS에게 간섭을 끼칠 수 없으며 상기 RSneighbor도 상기 RSincoming의 MSS에게 간섭을 끼칠 수 없음이 판단될 시, 상기 BS는 상기 601단계로 돌아가 모든 RS에 대해서 체크가 완료되었는지 검사한다.The RSincoming Put the RSneighbor proceeds to the BS,
상기 601단계에서 모든 RS에 대해서 체크가 완료되었을 시, 상기 BS는 609단계로 진행하여 모든 독립된 채널에 대해서 체크가 완료되었는지 검사한다. 상기 모든 채널에 대해서 체크가 완료되지 않았을 시, 상기 BS는 611단계에서 체크하지 않은 채널 중 하나의 채널을 임의로 선택하고, 613단계로 진행하여 상기 RSinterference에 상기 선택된 채널을 사용하는 RS가 있는지 검사한다. 상기 RSinterference에 상기 채널을 사용하는 RS가 존재할 시, 상기 BS는 609단계로 돌아가고, 상기 RSinterference에 상기 채널을 사용하는 RS가 존재하지 않을 시, 상기 BS는 615단계로 진행하여 해당 채널을 상기 RSincoming으로 할당한 후, 본 발명에 따른 알고리즘을 종료한다. 한편, 상기 609단계에서 모든 채널에 대해서 체크가 완료되었을 시, 즉 모든 채널이 사용 불가능할 시, 상기 BS는 다른 서브채널에서 다시 채널을 선택하는 과정을 거친다. 채널의 수는 한정되어 있으므로 사용 가능한 채널이 없는 경우가 발생할 수 있으며, 이 경우 상기 RS는 다른 서브채널에서 상기 도 4의 스캐닝과정(417)부터 다시 시작하여 채널을 할당받을 수 있다.When the check is completed for all RSs in
한편 본 발명의 상세한 설명에서는 구체적인 실시 예에 관해 설명하였으나, 본 발명의 범위에서 벗어나지 않는 한도 내에서 여러 가지 변형이 가능함은 물론이다. 그러므로 본 발명의 범위는 설명된 실시 예에 국한되어 정해져서는 안되며 후술하는 특허청구의 범위뿐만 아니라 이 특허청구의 범위와 균등한 것들에 의해 정해져야 한다.Meanwhile, in the detailed description of the present invention, specific embodiments have been described, but various modifications are possible without departing from the scope of the present invention. Therefore, the scope of the present invention should not be limited to the described embodiments, but should be determined not only by the scope of the following claims, but also by the equivalents of the claims.
상술한 바와 같이, 본 발명은 릴레이 기반의 광대역 무선 통신 시스템에서 각 RS가 최대한 서로의 간섭없이 효과적으로 동작할 수 있는 채널 할당 방법을 제공함으로써, 하나의 802.16 셀 안에 많은 RS가 존재하고 BS와 RS가 다른 주파수 대역을 사용할 시, 공간적 재사용(spatial reuse)을 높이고 상기 RS들 사이의 경쟁을 최소화하여 처리율을 증가시키며, 여러 가지 실시간 서비스를 제공하기 위한 지연을 감소시켜 릴레이를 보다 효율적으로 사용할 수 있는 이점이 있다.As described above, the present invention provides a channel allocation method in which each RS can operate effectively without interference from each other in a relay-based broadband wireless communication system, so that many RSs exist in one 802.16 cell and BS and RS When using different frequency bands, it is possible to use the relay more efficiently by increasing spatial reuse, minimizing competition among the RSs, increasing throughput, and reducing delays for providing various real-time services. There is this.
| Application Number | Priority Date | Filing Date | Title |
|---|---|---|---|
| KR1020060008665AKR20070078449A (en) | 2006-01-27 | 2006-01-27 | Relay Channel Allocation Method of Base Station in Relay-based Broadband Wireless Communication System |
| Application Number | Priority Date | Filing Date | Title |
|---|---|---|---|
| KR1020060008665AKR20070078449A (en) | 2006-01-27 | 2006-01-27 | Relay Channel Allocation Method of Base Station in Relay-based Broadband Wireless Communication System |
| Publication Number | Publication Date |
|---|---|
| KR20070078449Atrue KR20070078449A (en) | 2007-08-01 |
| Application Number | Title | Priority Date | Filing Date |
|---|---|---|---|
| KR1020060008665AWithdrawnKR20070078449A (en) | 2006-01-27 | 2006-01-27 | Relay Channel Allocation Method of Base Station in Relay-based Broadband Wireless Communication System |
| Country | Link |
|---|---|
| KR (1) | KR20070078449A (en) |
| Publication number | Priority date | Publication date | Assignee | Title |
|---|---|---|---|---|
| KR100924605B1 (en)* | 2006-08-18 | 2009-11-02 | 후지쯔 가부시끼가이샤 | System and method for reusing wireless resources in a wireless network |
| WO2010080013A3 (en)* | 2009-01-12 | 2010-10-21 | Samsung Electronics Co., Ltd. | Method and apparatus for operating moving network in a mobile communication system |
| US7831274B2 (en) | 2008-06-30 | 2010-11-09 | Samsung Electronics Co., Ltd. | Base station for exchanging frequency bands |
| WO2010134749A3 (en)* | 2009-05-19 | 2011-03-10 | 엘지전자 주식회사 | Method and apparatus of transmitting and receiving backhaul downlink control information in wireless communication system |
| KR101370002B1 (en)* | 2007-09-19 | 2014-03-04 | 삼성전자주식회사 | Apparatus and method for scheduling in multi-hop relay wireless communication system |
| KR101415194B1 (en)* | 2007-08-14 | 2014-08-07 | 삼성전자주식회사 | Method and apparatus for resource allocation of mobile relay station in a broadband wireless communication system |
| Publication number | Priority date | Publication date | Assignee | Title |
|---|---|---|---|---|
| KR100924605B1 (en)* | 2006-08-18 | 2009-11-02 | 후지쯔 가부시끼가이샤 | System and method for reusing wireless resources in a wireless network |
| KR101415194B1 (en)* | 2007-08-14 | 2014-08-07 | 삼성전자주식회사 | Method and apparatus for resource allocation of mobile relay station in a broadband wireless communication system |
| KR101370002B1 (en)* | 2007-09-19 | 2014-03-04 | 삼성전자주식회사 | Apparatus and method for scheduling in multi-hop relay wireless communication system |
| US8670716B2 (en) | 2007-09-19 | 2014-03-11 | Samsung Electronics Co., Ltd. | Apparatus and method for scheduling in a multi-hop relay wireless communication system |
| US7831274B2 (en) | 2008-06-30 | 2010-11-09 | Samsung Electronics Co., Ltd. | Base station for exchanging frequency bands |
| WO2010080013A3 (en)* | 2009-01-12 | 2010-10-21 | Samsung Electronics Co., Ltd. | Method and apparatus for operating moving network in a mobile communication system |
| US8355669B2 (en) | 2009-01-12 | 2013-01-15 | Samsung Electronics Co., Ltd. | Method and apparatus for operating moving network in a mobile communication system |
| WO2010134749A3 (en)* | 2009-05-19 | 2011-03-10 | 엘지전자 주식회사 | Method and apparatus of transmitting and receiving backhaul downlink control information in wireless communication system |
| US8644210B2 (en) | 2009-05-19 | 2014-02-04 | Lg Electronics Inc. | Method and apparatus of transmitting and receiving backhaul downlink control information in a wireless communication system |
| Publication | Publication Date | Title |
|---|---|---|
| KR100995531B1 (en) | Apparatus and method for collecting and reporting interference signal information between relay stations in a broadband wireless access communication system using a multi-hop relay method | |
| KR101414632B1 (en) | Method for communicating in a mobile station and system with relay stations | |
| KR100961746B1 (en) | Resource allocating apparatus and method in wireless communication system using multi-hop relay method | |
| KR100810201B1 (en) | Routing Apparatus and Method in Multi-hop Relay Cellular Networks | |
| KR101277954B1 (en) | Method and system for relaying signal in a mobile communication system | |
| US8811318B2 (en) | Method for processing traffic in unused band in an intermediate access point | |
| KR101077597B1 (en) | Relay-station assignment/re-assignment and frequency re-use | |
| CN101064911B (en) | Switch control method, relay station and base station for wireless access system | |
| US7853203B2 (en) | Method and system for selecting a relay station in a communication system using a multihop relay scheme | |
| CN101064913B (en) | Relay station for spreading coverage of base station in wireless network, base station and method thereof | |
| EP3235300B1 (en) | Methods, base station, mobile node and relay node | |
| KR20090062435A (en) | Resource allocation method and system for direct communication between terminals in mobile communication system | |
| JP2008022558A (en) | Cellular network and space division duplex communication method by relay station | |
| WO2007100224A2 (en) | Method of performing ranging through relay station and supporting thereof | |
| CN105191467A (en) | Methods and apparatus for allocation of resources for the transmission of pilot signals by small base stations or UE devices | |
| KR20070111851A (en) | Frequency reuse apparatus and method for avoiding interference between relay stations in multi-hop relay system | |
| WO2018166579A1 (en) | Apparatus and method for nomadic relay node deployment | |
| KR20070078449A (en) | Relay Channel Allocation Method of Base Station in Relay-based Broadband Wireless Communication System | |
| KR20070094229A (en) | Apparatus and method for negotiating relay station function in broadband wireless access communication system using multi-hop relay method | |
| KR101170004B1 (en) | Adaptive Beam based Communication System and Multi-hop Relay Transmission Method Thereof | |
| US10911167B2 (en) | Enhanced radio frequency (RF) management using active sensors | |
| KR102017175B1 (en) | Method and apparatus for allocating resources for a communication between base stations in in-band based communication system | |
| KR101149060B1 (en) | Handover method using handover gateway | |
| KR101415194B1 (en) | Method and apparatus for resource allocation of mobile relay station in a broadband wireless communication system | |
| EP3525517B1 (en) | High-rate multihop network with beamforming |
| Date | Code | Title | Description |
|---|---|---|---|
| PA0109 | Patent application | Patent event code:PA01091R01D Comment text:Patent Application Patent event date:20060127 | |
| PG1501 | Laying open of application | ||
| PC1203 | Withdrawal of no request for examination | ||
| WITN | Application deemed withdrawn, e.g. because no request for examination was filed or no examination fee was paid |