





도 1은 본 발명의 실시예에 따른 플라즈마 표시 장치의 개략적인 평면도이다.1 is a schematic plan view of a plasma display device according to an exemplary embodiment of the present invention.
도 2는 본 발명의 실시예에 따른 플라즈마 표시 장치의 제어부의 개략적인 블록도이다.2 is a schematic block diagram of a controller of a plasma display device according to an exemplary embodiment of the present invention.
도 3은 피크 영상(peak image)의 일례를 나타내는 도면이다.3 is a diagram illustrating an example of a peak image.
도 4a는 피크 영상(peak image)의 히스토그램(histogram)의 분포를 나타내며, 도 4b는 일반적인 영상의 히스토그램(histogram)의 분포를 나타내는 도면이다.FIG. 4A illustrates a histogram distribution of a peak image, and FIG. 4B illustrates a distribution of a histogram of a general image.
도 5는 APC 레벨에 대응하는 총 유지 방전 펄스 수를 나타내는 룩업 데이블(look-up table)이다.5 is a look-up table showing the total number of sustain discharge pulses corresponding to the APC level.
본 발명은 플라즈마 표시 장치 및 그 구동 방법에 관한 것이다.The present invention relates to a plasma display device and a driving method thereof.
플라즈마 표시 장치는 기체 방전에 의해 생성되는 플라즈마를 이용하여 문자 또는 영상을 표시하는 플라즈마 표시 패널을 이용한 표시 장치이다.The plasma display device is a display device using a plasma display panel that displays text or an image by using plasma generated by gas discharge.
이러한 플라즈마 표시 장치는 입력되는 한 프레임의 영상신호를 복수의 서브필드로 나누고 이 서브필드를 조합하여 계조를 표현한다. 각 서브필드는 시간적인 동작 변화로 표현하면 어드레스 기간 및 유지 기간을 포함한다. 어드레스 기간은 패널에 켜지는 방전셀과 켜지지 않는 방전셀을 선택하는 기간이며, 유지 기간은 유지 방전 펄스를 인가하여 어드레스 기간에서 켜질 방전셀로 설정된 방전셀에 실제로 화상을 표시하기 위한 방전을 수행하는 기간이다.Such a plasma display device divides an image signal of an input frame into a plurality of subfields and combines the subfields to express gray scales. Each subfield includes an address period and a sustain period, expressed as a temporal operation change. The address period is a period for selecting a discharge cell that is turned on and a discharge cell that is not turned on, and the sustain period is used to apply a sustain discharge pulse to perform discharge for actually displaying an image in the discharge cell set as the discharge cell to be turned on in the address period. It is a period.
한편, 플라즈마 표시 장치의 휘도는 한 프레임의 유지 기간에 인가되는 총 유지 방전 펄스의 개수에 의해 결정된다. 그리고 플라즈마 표시 장치는 소비전력을 일정하게 유지하기 위해 입력 되는 영상신호의 부하율(load ratio)에 따라 한 프레임에 인가되는 총 유지 방전 펄스 개수를 조절한다. 이때 부하율이 낮은 영상의 경우는 휘도를 향상시키기 위해 총 유지 방전 펄스의 개수를 늘리나, 부하율이 낮은 영상이 오래 지속된 후 다른 영상으로 전환되는 경우 이전 프레임의 영상이 겹쳐보이는 잔상(image sticking) 현상이 발생한다.On the other hand, the luminance of the plasma display device is determined by the total number of sustain discharge pulses applied in the sustain period of one frame. In addition, the plasma display device adjusts the total number of sustain discharge pulses applied to one frame according to a load ratio of an input image signal to maintain a constant power consumption. In this case, in case of a low load image, the total number of sustain discharge pulses is increased to improve luminance, but when the low load image is changed to another image after a long duration, the image sticking phenomenon of the previous frame is overlapped. This happens.
본 발명이 이루고자 하는 기술적 과제는 잔상 현상을 방지하며 휘도를 향상시키는 플라즈마 표시 장치 및 그 구동 방법을 제공하기 위한 것이다.SUMMARY OF THE INVENTION The present invention has been made in an effort to provide a plasma display device and a driving method thereof for preventing afterimage phenomenon and improving luminance.
상기한 목적을 달성하기 위한 본 발명의 특징에 따르면, 입력되는 한 프레임의 영상신호를 복수의 서브필드로 나누어 구동하는 플라즈마 표시 장치의 구동 방법이 제공된다. 이 구동 방법은, 상기 한 프레임의 영상 신호가 소정의 영역이 제 1 계조를 가지고 나머지 영역은 상기 제1 계조보다 낮은 제2 계조를 가지는 피크 영상인지 여부를 검출하는 단계; 상기 한 프레임의 영상 신호가 피크 영상인 경우, 피크 영상인 아닌 경우보다 많은 제1 총 유지 방전 펄스 수를 상기 피크 영상에 할당하여 상기 플라즈마 표시 장치에 인가하는 단계; 및 상기 피크 영상 신호가 소정의 시간 동안 지속되는 경우, 상기 제1 총 유지 방전 펄스 수보다 적은 제2 총 유지 방전 펄스 수를 상기 피크 영상에 할당하여 상기 플라즈마 표시 장치에 인가하는 단계를 포함한다. 그리고, 상기 피크 영상인지 여부를 검출하는 단계는, 상기 한 프레임의 영상 신호의 히스토그램의 분포를 검출하는 단계; 및 상기 한 프레임의 영상 신호의 평균 신호 레벨의 값을 계산하는 단계를 포함한다. 여기서, 상기 히스토그램의 분포가 상기 제1 계조 및 상기 제2 계조에만 분포되고 상기 평균 신호 레벨의 값이 소정의 값보다 작은 경우, 상기 피크 영상으로 판단한다.According to a feature of the present invention for achieving the above object, there is provided a driving method of a plasma display device for dividing and driving the video signal of one frame input into a plurality of subfields. The driving method includes detecting whether the image signal of the one frame is a peak image having a first gray level in a predetermined area and a second gray level lower than the first gray level in the remaining area; If the image signal of the one frame is a peak image, assigning the first total sustain discharge pulse number to the peak image more than if it is not a peak image and applying the same to the peak image; And when the peak image signal lasts for a predetermined time, allocating a second total sustain discharge pulse number less than the first total sustain discharge pulse number to the peak image and applying the same to the plasma display device. The detecting of the peak image may include detecting a distribution of a histogram of the image signal of one frame; And calculating a value of an average signal level of the image signal of the one frame. Here, when the distribution of the histogram is distributed only in the first grayscale and the second grayscale and the value of the average signal level is smaller than a predetermined value, it is determined as the peak image.
본 발명의 다른 특징에 따르면 플라즈마 표시 장치가 제공된다. 이 플라즈마 표시 장치는, 복수의 방전셀을 형성하는 플라즈마 표시 패널; 입력되는 한 프레임의 영상신호가 복수의 서브필드로 나누어 구동되도록 제어하는 제어부; 및 상기 제어부의 제어신호에 따라 상기 플라즈마 표시 패널을 구동하는 구동부를 포함하며, 상기 제어부는 상기 한 프레임의 영상 신호가 소정의 영역이 제1 계조를 가지고 나머지 영역은 상기 제1 계조보다 낮은 제2 계조를 가지는 피크 영상인지 여부를 검출하고 상기 한 프레임의 영상 신호가 피크 영상인 경우 한 프레임에 인가되는 총 유지 방전 펄스 중 가장 많은 제1 총 유지 방전 펄스 수를 상기 피크 영상에 할당하여 상기 플라즈마 표시 패널에 인가하도록 제어한다. 그리고, 상기 제어부 는, 상기 피크 영상 신호가 소정의 시간 동안 지속되는 경우, 상기 제1 총 유지 방전 펄스 수보다 적은 제2 총 유지 방전 펄스 수를 상기 피크 영상에 할당하여 상기 플라즈마 표시 패널에 인가하도록 제어한다. 여기서, 상기 제어부는, 상기 한 프레임의 영상 신호의 히스토그램의 분포가 상기 제1 계조 및 상기 제2 계조에만 분포되고 상기 한 프레임의 영상 신호의 평균 신호 레벨의 값이 소정의 값보다 작은 경우, 상기 피크 영상으로 판단한다.According to another feature of the present invention, a plasma display device is provided. The plasma display device includes a plasma display panel for forming a plurality of discharge cells; A controller configured to control an image signal of one input frame to be divided into a plurality of subfields; And a driving unit which drives the plasma display panel according to a control signal of the controller, wherein the controller is configured such that the image signal of the one frame has a first gray level in a predetermined area and a second area lower than the first gray level in the other area. Detecting whether the peak image has a gray level and when the image signal of one frame is the peak image, the first total sustain discharge pulse number of the total sustain discharge pulses applied to one frame is allocated to the peak image to display the plasma image. Control to apply to the panel. The controller may be configured to allocate a second total sustain discharge pulse number less than the first total sustain discharge pulse number to the peak image and apply it to the plasma display panel when the peak image signal lasts for a predetermined time. To control. The controller may be configured to, when the distribution of the histogram of the video signal of one frame is distributed only to the first gray level and the second gray level, and the value of the average signal level of the video signal of one frame is smaller than a predetermined value. Judging by the peak image.
아래에서는 첨부한 도면을 참고로 하여 본 발명의 실시예에 대하여 본 발명이 속하는 기술 분야에서 통상의 지식을 가진 자가 용이하게 실시할 수 있도록 상세히 설명한다. 그러나 본 발명은 여러 가지 상이한 형태로 구현될 수 있으며 여기에서 설명하는 실시예에 한정되지 않는다. 그리고 도면에서 본 발명을 명확하게 설명하기 위해서 설명과 관계없는 부분은 생략하였으며, 명세서 전체를 통하여 유사한 부분에 대해서는 유사한 도면 부호를 붙였다.DETAILED DESCRIPTION Hereinafter, exemplary embodiments of the present invention will be described in detail with reference to the accompanying drawings so that those skilled in the art may easily implement the present invention. As those skilled in the art would realize, the described embodiments may be modified in various different ways, all without departing from the spirit or scope of the present invention. In the drawings, parts irrelevant to the description are omitted in order to clearly describe the present invention, and like reference numerals designate like parts throughout the specification.
명세서 전체에서, 어떤 부분이 어떤 구성요소를 "포함"한다고 할 때, 이는 특별히 반대되는 기재가 없는 한 다른 구성요소를 제외하는 것이 아니라 다른 구성요소를 더 포함할 수 있는 것을 의미한다. 또한, 명세서 전체에서 언급하는 "유지 방전 펄스"란 유지 기간에서 유지 방전을 위해 전극에 인가하는 파형을 의미하며 펄스 형태 파형 뿐만 아니라 여러 가지 형태의 파형을 의미한다. 또한 1개의 유지 방전 펄스에 의해 유지 기간에서 1회의 유지 방전이 발생하므로 "유지 방전 펄스 수"는 유지 기간에서 발생되는 "유지 방전 회수"의 의미로 사용하며, "총 유지 방전 펄스 수"는 한 프레임에 인가되는 유지 방전 펄스의 총 개수를 의미로 사용한 다.Throughout the specification, when a part is said to "include" a certain component, it means that it can further include other components, except to exclude other components unless otherwise stated. In addition, the "maintenance discharge pulse" referred to throughout the specification means a waveform applied to the electrode for the sustain discharge in the sustain period, and means not only a pulse type waveform but also various types of waveforms. In addition, since one sustain discharge is generated once in the sustain period by one sustain discharge pulse, "number of sustain discharge pulses" is used to mean "number of sustain discharges" generated in the sustain period, and "total number of sustain discharge pulses" is one. The total number of sustain discharge pulses applied to the frame is used as a meaning.
도 1은 본 발명의 실시예에 따른 플라즈마 표시 장치의 개략적인 평면도이다.1 is a schematic plan view of a plasma display device according to an exemplary embodiment of the present invention.
도 1에 나타낸 바와 같이, 본 발명의 실시예에 따른 플라즈마 표시 장치는 플라즈마 표시 패널(100), 제어부(200), 어드레스 전극 구동부(300), 주사 전극 구동부(400) 및 유지 전극 구동부(500)를 포함한다.As shown in FIG. 1, a plasma display device according to an exemplary embodiment of the present invention includes a
플라즈마 표시 패널(100)은 열 방향으로 뻗어 있는 복수의 어드레스 전극(A1~Am), 그리고 행 방향으로 서로 쌍을 이루면서 뻗어 있는 복수의 유지 전극(X1~Xn) 및 주사 전극(Y1~Yn)을 포함한다. 유지 전극(X1~Xn)은 각 주사 전극(Y1~Yn)에 대응해서 형성되며, 일반적으로 그 일단이 서로 공통으로 연결되어 있다. 그리고 플라즈마 표시 패널(100)은 유지 및 주사 전극(X1~Xn, Y1~Yn)이 배열된 기판(도시하지 않음)과 어드레스 전극(A1~Am)이 배열된 기판(도시하지 않음)으로 이루어진다. 두 기판은 주사 전극(Y1~Yn)과 어드레스 전극(A1~Am) 및 유지 전극(X1~Xn)과 어드레스 전극(A1~Am)이 각각 직교하도록 방전 공간을 사이에 두고 대향하여 배치된다. 이때, 어드레스 전극(A1~Am)과 유지 및 주사 전극(X1~Xn, Y1~Yn)의 교차부에 있는 방전 공간이 방전 셀을 형성한다. 이러한 플라즈마 표시 패널(100)의 구조는 일 예를 나타낸 것이고, 본 발명은 이에 한정되지 않으며 다른 구조의 패널도 본 발명에 적용될 수 있다.The
어드레스 전극 구동부(300)는 제어부(200)로부터 어드레스 전극 구동 제어신호를 수신하여 표시하고자 하는 방전 셀을 선택하기 위한 표시 데이터 신호를 각 어드레스 전극(A1~Am)에 인가한다. 주사 전극 구동부(400)는 제어부(200)로부터 주사 전극 구동 제어신호를 수신하여 주사 전극(Y1~Yn)에 구동 전압을 인가한다. 유지 전극 구동부(500)는 제어부(200)로부터 유지 전극 구동 제어신호를 수신하여 유지 전극(X1~Xn)에 구동 전압을 인가한다.The
제어부(200)는 외부로부터 영상신호(R, G, B Data)와 동기신호를 수신하여 어드레스 전극 구동 제어신호, 유지 전극 구동 제어신호 및 주사 전극 구동 제어신호를 출력한다. 그리고 제어부(200)는 한 프레임이 복수의 서브필드로 분하되어 구동되도록 제어하며, 각 서브필드는 시간적인 동작 변화로 표현하면 어드레스 기간 및 유지 기간을 포함한다. 여기서, 본 발명의 실시예에 따른 제어부(200)는 잔상 현상을 방지하며 휘도를 향상시키기 위해, 입력되는 영상신호(R, G, B Data)이 소정의 영상(예를 들면, 도 3에 나타낸 피크 영상)인지를 판단하고, 소정의 영상(피크 영상)인 경우에는 잔상 현상을 방지하고 휘도를 향상시키기 위해 별도의 영상처리를 수행한다.The
이하에서는 도 2 내지 도 5를 참조하여 본 발명의 실시예에 따른 플라즈마 표시 장치의 제어부(200)에 의해 잔상 현상을 방지하고 휘도를 향상시키는 방법에 대해서 상세하게 알아본다.Hereinafter, a method of preventing afterimage phenomenon and improving luminance by the
도 2는 본 발명의 실시예에 따른 플라즈마 표시 장치의 제어부(200)의 개략적인 블록도이다.2 is a schematic block diagram of a
도 2에 나타낸 바와 같이 본 발명의 실시예에 따른 플라즈마 표시 장치의 제어부(200)는 피크 영상 검출부(220), 자동 전력 제어부(240), 피크 영상 처리부 (260) 및 주사·유지 전극 구동 제어부(280)를 포함한다. 한편, 도 2에서는 피크 영상에 대해서 잔상을 방지하고 휘도를 향상시키기 위한 필요한 구성에 대해서만 나타내었으며, 서브필드 데이터를 생성하고 어드레스 데이터를 생성하는 구성 등 다른 부분의 구성에 대해서는 설명의 편의상 생략하였다.As shown in FIG. 2, the
피크 영상 검출부(220)는 입력 영상 신호가 전체 화면 중 소정의 영역만이 밝은 영상이며 나머지 부분은 어두운 계조인 영상(이하, '피크 영상(peak image)'이라 함)인지 여부를 히스토그램(histogram) 분포 및 평균 신호 레벨(Average Signal Level, ASL)을 이용하여 검출한다.The
도 3은 이러한 피크 영상(peak image)의 일례를 나타내는 도면이다. 도 3에서 빗금친 부분은 어둔운 계조를 나타내며, 빗금치지 않은 부분은 밝은 계조를 나타낸다. 도 3과 같은 신호는 전체 화면에서 중간 부분만 밝은 계조(예를 들면, 최고 계조)이며 나머지는 어두운 계조(예를 들면, 최소 계조)인 영상이며, 플라즈마 표시 장치는 일반적으로 도 3과 같은 영상을 뛰어 휘도가 얼마인지를 측정하여 휘도 품질을 판단한다. 그리고, 도 3과 같은 영상이 오랫동안 켜져 있다가 다른 영상으로 변환되는 경우 잔상(image sticking) 현상이 발생한다. 한편, 도 3에서는 피크 영상으로 중간 부분만이 밝은 계조인 영상을 나타내었으나 이는 일례를 나타내는 것이며, 중간 부분이 아닌 다른 부분만이 밝은 계조이고 이외의 부분은 어두운 계조의 경우도 피크 영상(peak)으로 판단되어 아래에서 설명하는 본 발명이 적용될 수 있다.3 is a diagram illustrating an example of such a peak image. In FIG. 3, hatched portions represent dark gray scales, and non-hatched portions represent bright gray scales. The signal as shown in FIG. 3 is an image in which only the middle part of the entire screen is light gray (for example, the highest gray scale) and the remainder is dark (for example, the minimum gray scale). The brightness quality is determined by measuring how much the brightness is. In addition, when the image as shown in FIG. 3 is turned on for a long time and is converted into another image, an image sticking phenomenon occurs. Meanwhile, in FIG. 3, the peak image shows an image in which only the middle part is a bright gray level, but this is an example, and only a portion other than the middle part is light gray and the other part is a dark gray level. The present invention described below can be applied to determine that.
도 4a는 피크 영상(peak image)의 히스토그램(histogram)의 분포를 나타내 며, 도 4b는 일반적인 영상의 히스토그램(histogram)의 분포를 나타내는 도면이다. 히스토그램의 분포는 한 프레임의 영상신호에서 계조의 분포를 나타내는 그래프이며, 도 4a 및 도 4b에서는 전체 계조를 32 단계(HIS_0, HIS_1,….HIS_29, HIS_30, HIS_31)로 나눈 경우에 대해서만 나타내었지만 이보다 많은 단계 또는 적은 단계로 나눌 수 있다. 도 3과 같은 피크 영상(peak image)의 경우는 저계조가 대부분이고 고계조가 중간 부분에서 일부 존재하고 나머지 중간 계조의 데이터는 거의 존재하지 않으므로, 도 4a와 같은 히스토그램(histogram)의 분포를 가진다. 그러나, 일반적인 영상의 경우는 여러 계조에서 골고루 분포가 나타나므로 도 4b와 같은 히스토그램(histogram) 분포를 가진다.FIG. 4A illustrates a histogram distribution of a peak image, and FIG. 4B illustrates a distribution of a histogram of a general image. The histogram distribution is a graph showing the distribution of gray levels in a video signal of one frame. In FIG. 4A and FIG. 4B, the histogram distribution is shown only when the total gray levels are divided into 32 steps (HIS_0, HIS_1, .... HIS_29, HIS_30, HIS_31). It can be divided into many steps or fewer steps. In the case of the peak image as shown in FIG. 3, since most of the low gradation, some of the high gradation exist in the middle portion, and little data of the remaining middle gradation exist, it has a histogram distribution as shown in FIG. 4A. . However, the general image has a histogram distribution as shown in FIG. 4B because it is evenly distributed in various gray levels.
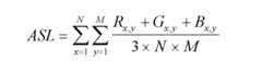
한편, 도 3과 같은 피크 영상(peak image)은 평균 신호 레벨이 작은 신호로서 소정의 기준 값보다 낮으므로, 피크 영상 검출부(220)는 평균 신호 레벨을 검출한다. 여기서, 소정의 기준 값은 미리 설정된 값으로서 도 3과 같은 영상을 테스트 영상으로 뛰어 실험적인 방법을 통해 구할 수 있다. 프레임별 평균 신호 레벨(ASL)은 아래의 수학식 1에 의해 계산된다.Meanwhile, since the peak image as shown in FIG. 3 is a signal having a small average signal level and lower than a predetermined reference value, the
상기 수학식 1에서 Rx,y, Gx,y, Bx,y는 각각 (x,y)위치의 방전 셀에서 R,G,B 계조값이며, N과 M은 각각 프레임의 가로, 세로의 크기이다.In
따라서, 피크 영상 검출부(220)는 히스토 그램 분포가 도 4a와 같이 저계조 및 고계조에서만 분포되고 수학식 1을 이용하여 계산된 평균 신호 레벨(ASL)이 소정의 기준 값보다 낮은 경우, 입력되는 영상신호를 피크 영상(peak image)으로 판단한다. 그리고 피크 영상 검출부(220)는 입력되는 영상신호가 피크 영상(peak image)인 여부를 피크 영상 처리부(260)로 전송한다. 또한, 피크 영상 검출부(220)는 피크 영상(peak image)인지 여부 및 수학식 1을 이용하여 계산된 평균 신호 레벨(ASL)을 자동 전력 제어부(240)로 전송한다.Therefore, the
자동 전력 제어부(240)는 피크 영상(peak image)이 아닌 경우 피크 영상 검출부(220)로부터 전송 받은 평균 신호 레벨(ASL)에 따라 자동 전력 제어(Automatic Power Control, 이하 'APC'라 함) 레벨을 검출하며, 검출된 APC 레벨에 대응하는 총 유지 방전 펄스 수를 도 5와 같은 룩업 테이블(look-up table)을 이용하여 결정한다. 그리고 자동 전력 제어부(240)는 결정한 총 유지 방전 펄스 수를 주사ㅇ유지 전극 구동 제어부(280)에 전송한다. 여기서, APC 레벨은 ASL에 따라 다수의 레벨로 미리 설정되어 있으며, 도 5에서는 자동 전력 제어부(240)에서 적용되는 APC 레벨을 0 내지 255로 나타내었지만 이는 하나의 예시에 불과하며 다른 레벨로 변경될 수 있음은 당연하다.If the peak power is not a peak image, the
한편, 도 5는 APC 레벨에 대응하는 총 유지 방전 펄스 수를 나타내는 룩업 데이블(look-up table)이다. 도 5에서 APC 레벨 중 피크 영상 레벨은 아래에서 설명하는 피크 영상 처리부(260)에서 적용되는 레벨이며 0 내지 255는 자동 전력 제어부(240)에서 적용되는 레벨이다. 그리고, 도 5에서 총 유지 방전 펄스 수를 기 호(Sus_peak, Sus_apc0, Sus_apc1, Sus_apc2…Sus_apc253, Sus_apc254, Sus_apc255)로 나타내었으나 실제에 있어서는 개수로 설정된다. 여기서, 피크 영상(peak image)의 경우 가장 높은 휘도를 내기 위해 Sus_peak에서 가장 많은 총 유지 방전 펄스 수를 설정하며, 소비전력을 일정한 레벨로 이하로 설정하기 위해 APC 레벨이 높은 수록 총 유지 방전 펄스 수의 값을 줄이도록 설정한다. 즉, 도 5에서 Sus_peak에서 Sus_apc255로 갈수록 적은 개수의 총 유지 방전 펄스 수를 설정한다.5 is a look-up table showing the total number of sustain discharge pulses corresponding to the APC level. In FIG. 5, the peak image level among the APC levels is a level applied by the
피크 영상 처리부(260)는 피크 영상 검출부(220)로부터 피크 영상인지 여부를 전송받으며, 피크 영상인 경우 도 5의 룩업 테이블을 참조하여 피크 영상 레벨에 대응하는 총 유지 방전 펄스 수(Sus_peak)를 결정한다. 여기서, 피크 영상 레벨에 대응하는 총 유지 방전 펄스 수인 Sus_peak는 가장 많은 개수의 유지 방전 펄스 수에 해당하며, 이에 따라 피크 영상의 경우에 가장 밝은 영상이 표시 된다. 일반적으로 플라즈마 표시 장치에서는 도 5와 같은 피크 영상을 띄어 플라즈마 표시 장치의 휘도를 체크하여 품위를 결정하므로, 본 발명의 실시예에서는 피크 영상의 경우 가장 많은 유지 방전 펄스 수를 할당함으로써 높은 휘도 품위를 얻을 수 있다.The
한편, 피크 영상 처리부(260)는 피크 영상일 경우 잔상(image sticking) 현상이 발생하는 것을 방지하기 위해, 피크 영상의 소정의 시간 동안 계속하여 입력되는 경우에는 피크 영상 레벨에 대응하는 총 유지 방전 펄스 수를 변경한다. 즉, 피크 영상 처리부(260)는 피크 영상이 미리 정해진 소정의 시간 동안 계속하여 입력되는 경우 총 유지 방전 펄스 수를 Sus_peak 이외인 Sus_apc0 또는 Sus_apc1 등 으로 떨어뜨린다. 이와 같이 피크 영상이 소정의 시간 동안 지속되는 경우 피크 영상에 할당되는 총 유지 방전 펄스 수를 줄임으로써, 잔상(image sticking) 현상을 막을 수 있다. 여기서, 소정의 시간은 피크 영상이 계속하여 입력되는 경우 잔상(image sticking) 현상이 발생하는 시간으로서, 실험적인 방법을 통해 구할 수 있다.On the other hand, the peak
그리고, 피크 영상 처리부(260)는 피크 영상에 대해 결정한 총 유지 방전 펄스 수에 대한 정보를 주사·유지 구동 제어부(280)에 전송한다.Then, the peak
주사·유지 전극 구동 제어부(280)는 자동 전력 제어부(240) 또는 피크 영상 처리부(260)로부터 전송되는 총 유지 방전 펄스가 주사 전극(Y1~Yn) 및 유지 전극(X1~Xn)에 인가되도록 하는 제어신호를 생성하여 주사 전극 구동부(400) 및 유지 전극 구동부(500)로 전송한다.The scan and sustain
이상에서 본 발명의 실시예에 대하여 상세하게 설명하였지만 본 발명의 권리범위는 이에 한정되는 것은 아니고 다음의 청구범위에서 정의하고 있는 본 발명의 기본 개념을 이용한 당업자의 여러 변형 및 개량 형태 또한 본 발명의 권리범위에 속하는 것이다.Although the embodiments of the present invention have been described in detail above, the scope of the present invention is not limited thereto, and various modifications and improvements of those skilled in the art using the basic concepts of the present invention defined in the following claims are also provided. It belongs to the scope of rights.
이상에서 살펴본 바와 같이, 본 발명에 따르면 피크 영상을 검출하고 피크 영상의 경우 가장 많은 총 유지 방전 펄스 수를 할당하여 휘도를 향상시키며 피크 영상이 소정의 시간 동안 지속되는 경우 총 유지 방전 펄스 수를 줄임으로써 잔상 현상을 방지할 수 있다.As described above, according to the present invention, the peak image is detected, and in the case of the peak image, the maximum total number of sustain discharge pulses is increased to improve luminance, and the total number of sustain discharge pulses is reduced when the peak image is sustained for a predetermined time. This can prevent afterimage phenomenon.
| Application Number | Priority Date | Filing Date | Title |
|---|---|---|---|
| KR1020050108971AKR100739627B1 (en) | 2005-11-15 | 2005-11-15 | Plasma display device and driving method thereof |
| Application Number | Priority Date | Filing Date | Title |
|---|---|---|---|
| KR1020050108971AKR100739627B1 (en) | 2005-11-15 | 2005-11-15 | Plasma display device and driving method thereof |
| Publication Number | Publication Date |
|---|---|
| KR20070051432Atrue KR20070051432A (en) | 2007-05-18 |
| KR100739627B1 KR100739627B1 (en) | 2007-07-16 |
| Application Number | Title | Priority Date | Filing Date |
|---|---|---|---|
| KR1020050108971AExpired - Fee RelatedKR100739627B1 (en) | 2005-11-15 | 2005-11-15 | Plasma display device and driving method thereof |
| Country | Link |
|---|---|
| KR (1) | KR100739627B1 (en) |
| Publication number | Priority date | Publication date | Assignee | Title |
|---|---|---|---|---|
| US7349426B2 (en) | 1999-12-30 | 2008-03-25 | Aperto Networks, Inc. | Integrated, self-optimizing, multi-parameter/multi-variable point-to-multipoint communication system [II] |
| Publication number | Priority date | Publication date | Assignee | Title |
|---|---|---|---|---|
| JP2000010522A (en)* | 1998-06-19 | 2000-01-14 | Pioneer Electron Corp | Method and device for controlling luminance of plasma display panel |
| KR100480177B1 (en)* | 2002-08-29 | 2005-04-06 | 엘지전자 주식회사 | Apparatus And Method For Driving Plasma Display Panel Using An Enlarging Method Of Dynamic Range |
| Publication number | Priority date | Publication date | Assignee | Title |
|---|---|---|---|---|
| US7349426B2 (en) | 1999-12-30 | 2008-03-25 | Aperto Networks, Inc. | Integrated, self-optimizing, multi-parameter/multi-variable point-to-multipoint communication system [II] |
| Publication number | Publication date |
|---|---|
| KR100739627B1 (en) | 2007-07-16 |
| Publication | Publication Date | Title |
|---|---|---|
| KR100599747B1 (en) | Driving Device of Plasma Display Panel and Its Gradient Expression Method | |
| JP4233511B2 (en) | Plasma display panel driving apparatus and gradation expression method thereof | |
| JP4611880B2 (en) | Plasma display device and image processing method for plasma display device | |
| KR100560502B1 (en) | Plasma display device and driving method thereof | |
| KR100477972B1 (en) | Plasma display panel and gray display method thereof | |
| KR100739077B1 (en) | Plasma display device and driving method thereof | |
| KR100739627B1 (en) | Plasma display device and driving method thereof | |
| KR100807025B1 (en) | Plasma display device and driving method thereof | |
| KR100898299B1 (en) | Plasma display device and driving method thereof | |
| KR100708852B1 (en) | Plasma display device and driving method thereof | |
| KR100502894B1 (en) | Plasma display panel and gray display method thereof | |
| KR100709259B1 (en) | Plasma display device and driving method thereof | |
| KR100903620B1 (en) | Plasma display device and driving method thereof | |
| KR100570626B1 (en) | Driving apparatus for plasma display panel and driving method thereof | |
| KR100551058B1 (en) | Driving apparatus for plasma display panel and driving method thereof | |
| KR100578935B1 (en) | Plasma Display and Image Processing Method | |
| KR100560486B1 (en) | Plasma Display and Image Processing Method | |
| KR100658637B1 (en) | Plasma display device and driving method thereof | |
| KR100627407B1 (en) | Plasma display device and driving method thereof | |
| KR100796684B1 (en) | Plasma display device and driving method thereof | |
| KR100943959B1 (en) | Plasma display device and driving method thereof | |
| KR20080021190A (en) | Plasma display device and driving method thereof | |
| KR100648703B1 (en) | Plasma display device and driving method thereof | |
| KR100740098B1 (en) | Plasma display device and driving method thereof | |
| KR100590013B1 (en) | Plasma Display and Image Processing Method |
| Date | Code | Title | Description |
|---|---|---|---|
| A201 | Request for examination | ||
| PA0109 | Patent application | St.27 status event code:A-0-1-A10-A12-nap-PA0109 | |
| PA0201 | Request for examination | St.27 status event code:A-1-2-D10-D11-exm-PA0201 | |
| E902 | Notification of reason for refusal | ||
| PE0902 | Notice of grounds for rejection | St.27 status event code:A-1-2-D10-D21-exm-PE0902 | |
| T11-X000 | Administrative time limit extension requested | St.27 status event code:U-3-3-T10-T11-oth-X000 | |
| E13-X000 | Pre-grant limitation requested | St.27 status event code:A-2-3-E10-E13-lim-X000 | |
| P11-X000 | Amendment of application requested | St.27 status event code:A-2-2-P10-P11-nap-X000 | |
| P13-X000 | Application amended | St.27 status event code:A-2-2-P10-P13-nap-X000 | |
| E701 | Decision to grant or registration of patent right | ||
| PE0701 | Decision of registration | St.27 status event code:A-1-2-D10-D22-exm-PE0701 | |
| PG1501 | Laying open of application | St.27 status event code:A-1-1-Q10-Q12-nap-PG1501 | |
| R17-X000 | Change to representative recorded | St.27 status event code:A-3-3-R10-R17-oth-X000 | |
| GRNT | Written decision to grant | ||
| PR0701 | Registration of establishment | St.27 status event code:A-2-4-F10-F11-exm-PR0701 | |
| PR1002 | Payment of registration fee | St.27 status event code:A-2-2-U10-U11-oth-PR1002 Fee payment year number:1 | |
| PG1601 | Publication of registration | St.27 status event code:A-4-4-Q10-Q13-nap-PG1601 | |
| G170 | Re-publication after modification of scope of protection [patent] | ||
| PG1701 | Publication of correction | St.27 status event code:A-5-5-P10-P19-oth-PG1701 Patent document republication publication date:20080422 Republication note text:Request for Correction Notice (Document Request) Gazette number:1007396270000 Gazette reference publication date:20070716 | |
| R18-X000 | Changes to party contact information recorded | St.27 status event code:A-5-5-R10-R18-oth-X000 | |
| R18-X000 | Changes to party contact information recorded | St.27 status event code:A-5-5-R10-R18-oth-X000 | |
| PR1001 | Payment of annual fee | St.27 status event code:A-4-4-U10-U11-oth-PR1001 Fee payment year number:4 | |
| PR1001 | Payment of annual fee | St.27 status event code:A-4-4-U10-U11-oth-PR1001 Fee payment year number:5 | |
| FPAY | Annual fee payment | Payment date:20120625 Year of fee payment:6 | |
| PR1001 | Payment of annual fee | St.27 status event code:A-4-4-U10-U11-oth-PR1001 Fee payment year number:6 | |
| LAPS | Lapse due to unpaid annual fee | ||
| PC1903 | Unpaid annual fee | St.27 status event code:A-4-4-U10-U13-oth-PC1903 Not in force date:20130710 Payment event data comment text:Termination Category : DEFAULT_OF_REGISTRATION_FEE | |
| P22-X000 | Classification modified | St.27 status event code:A-4-4-P10-P22-nap-X000 | |
| R18-X000 | Changes to party contact information recorded | St.27 status event code:A-5-5-R10-R18-oth-X000 | |
| PC1903 | Unpaid annual fee | St.27 status event code:N-4-6-H10-H13-oth-PC1903 Ip right cessation event data comment text:Termination Category : DEFAULT_OF_REGISTRATION_FEE Not in force date:20130710 | |
| P22-X000 | Classification modified | St.27 status event code:A-4-4-P10-P22-nap-X000 | |
| R18-X000 | Changes to party contact information recorded | St.27 status event code:A-5-5-R10-R18-oth-X000 |