













도 1은 디옥시헤모글로빈(Hb)과 옥시헤모글로빈(HbO2)의 빛의 파장에 따른 흡수 계수이다.1 is an absorption coefficient according to the wavelength of light of deoxyhemoglobin (Hb) and oxyhemoglobin (HbO2 ).
도 2는 PPG 신호의 일예이다.2 is an example of a PPG signal.
도 3는 본 발명의 일 실시예에 의한 PPG신호를 이용한 혈압측정시스템을 내장한 휴대용 무선단말기를 설명하기위한 개략적인 블럭도이다.3 is a schematic block diagram illustrating a portable wireless terminal incorporating a blood pressure measuring system using a PPG signal according to an embodiment of the present invention.
도 4은 도 3의 PPG신호 검출부를 설명하기위한 블록도이다.4 is a block diagram illustrating a PPG signal detector of FIG. 3.
도 5는 도 4의 PPG 센싱부의 손가락에서의 부착위치의 일예이다.5 is an example of an attachment position on a finger of the PPG sensing unit of FIG. 4.
도 6은 도 3의 PPG 센싱부, 압력 센싱부, 온도 센싱부의 손가락에서의 부착위치의 일예이다.6 is an example of an attachment position on the finger of the PPG sensing unit, the pressure sensing unit, and the temperature sensing unit of FIG. 3.
도 7은 도 3의 계수 설정부의 구성을 설명하기위한 개략적인 블럭도이다.FIG. 7 is a schematic block diagram for describing a configuration of the coefficient setting unit of FIG. 3.
도 8은 온도 및 압력 제어시의 도 7의 계수 설정부의 동작을 설명하기 위한 흐름도이다.FIG. 8 is a flowchart for explaining an operation of the coefficient setting unit of FIG. 7 in temperature and pressure control.
도 9는 온도 및 압력 미제어시의 도 7의 계수 설정부의 동작을 설명하기 위한 흐름도이다.FIG. 9 is a flowchart for explaining an operation of a coefficient setting unit of FIG. 7 when temperature and pressure are not controlled.
도 10은 온도 및 압력 제어시 도 3의 연산처리부에서 수축기 혈압 및 이완기 혈압을 구하는 개략적인 흐름도이다.FIG. 10 is a schematic flowchart of obtaining systolic blood pressure and diastolic blood pressure in the calculation processor of FIG. 3 during temperature and pressure control.
도 11은 온도 및 압력 미제어시 도 3의 연산처리부에서 수축기 혈압 및 이완기 혈압을 구하는 개략적인 흐름도이다.FIG. 11 is a schematic flowchart of calculating systolic blood pressure and diastolic blood pressure in the calculation processor of FIG. 3 when temperature and pressure are not controlled.
도 12a는 본 발명의 PPG신호를 이용한 혈압측정시스템을 내장한 휴대용 무선단말기의 일실시예이다.12A illustrates an embodiment of a portable wireless terminal incorporating a blood pressure measuring system using a PPG signal according to the present invention.
도 12b는 본 발명의 PPG신호를 이용한 혈압측정시스템을 내장한 휴대용 무선단말기의 또다른 일실시예이다.12b is another embodiment of a portable wireless terminal incorporating a blood pressure measuring system using the PPG signal of the present invention.
도 12c는 본 발명의 PPG신호를 이용한 혈압측정시스템을 내장한 휴대용 무선단말기의 또다른 일실시예이다.12c is another embodiment of a portable wireless terminal incorporating a blood pressure measuring system using the PPG signal of the present invention.
본 발명은 광혈류 측정신호(photoplethysmographic signal)(이하 PPG라 한다)를 이용한 혈압측정시스템을 내장한 휴대용 무선단말기에 관한 것이다.The present invention relates to a portable wireless terminal incorporating a blood pressure measurement system using a photoplethysmographic signal (hereinafter referred to as PPG).
근래에는 고혈압 환자들이 급증하고 있으며, 이러한 고혈압을 진단하고 치료함에 있어서 무엇보다 중요한 것은 정기적으로 혈압을 측정, 관리하는 것이다. 그러나 일상생활 속에서 자칫하면 혈압측정 시기를 잊어버리곤 하며, 또한 정기적으로 혈압을 측정하기위해서 혈압계를 지참하고 다니기는 더욱더 불편하다. 따라서 혈압측정시스템이 대부분의 사람들이 항상 지참하는 휴대폰, PDA(personal digital assistant) 등에 내장되면 이러한 불편을 덜 수 있다. 최근에 사람들은 일상생활속에서 휴대폰 또는 PDA 등의 휴대용 무선단말기를 항상 휴대하는 경우가 많으며, 이러한 휴대폰 또는 PDA 등의 무선단말기가 혈압체크시간에 맞추어진 알람등에 따라 혈압을 체크하게 한다면, 고혈압 환자들은 보다 편리하고 정기적으로 혈압을 잘 관리 할 수 있을 것이다.In recent years, hypertension patients are rapidly increasing, and the most important thing in diagnosing and treating such hypertension is to periodically measure and manage blood pressure. In everyday life, however, people often forget when to measure blood pressure, and it is even more inconvenient to carry a blood pressure monitor to measure blood pressure on a regular basis. Therefore, if the blood pressure measuring system is embedded in a mobile phone, a personal digital assistant (PDA) which most people always carry, this inconvenience can be reduced. Recently, people often carry portable wireless terminals such as mobile phones or PDAs in their daily lives. They will be able to manage their blood pressure more conveniently and regularly.
휴대용 무선단말기에 내장되는 혈압측정시스템의 혈압측정방법은 환자가 혈압 측정하기에 편리한 비관혈적인 혈압측정방법을 사용해야한다. The blood pressure measuring method of the blood pressure measuring system embedded in the portable wireless terminal should use a non-invasive blood pressure measuring method which is convenient for the patient to measure the blood pressure.
비관혈적인 혈압 측정 방법은 청진법(Auscultatory measurement), 촉진법(Palpatory measurement), 오실로메트릭법(Oscillometric measurement), 피나프레스(Finapres)법(Finger Arterial Pressure measurement), 촉각센서의 위상 변이(Phase Shift)법, 맥파 전달 시간을 이용한 방법 등 여러가지가 방법이 있다.Non-invasive blood pressure measurement methods include auscultatory measurement, palpatory measurement, oscillometric measurement, finapres method, finger arterial pressure measurement, and phase shift of tactile sensors. There are various methods such as a method and a method using pulse wave propagation time.
일반적으로 많이 사용되는 비관혈적 혈압을 측정 방법은 청진법과 오실로메트릭 방법으로, 이 두 방법 모두는 피검자의 상완이나 손목에 커프를 부착하여 수축기 혈압보다 높은 압력으로 가압하여 동맥을 폐색시킨 후 천천히 감압을 하면서 혈압을 측정한다. 그리고 피나프레스 방법은 측정 위치를 손가락으로 하며, 오실로메트릭 방법과 같은 방법으로 압력을 제공한 후, 광학적 방법을 통해 혈류의 변동을 획득하여 혈압을 측정한다. 하지만 이렇게 커프를 사용하는 측정 방법은 폐색되었던 동맥이 원상 복귀될 때까지 재 측정을 할 수 없어 연속적인 혈압 측정이나 장시간의 혈압 변화 추이를 관찰하는데 적합하지 않고 커프에 의한 압박으로 인해 피검자가 불편함을 느끼거나 피부 외상을 입을 수도 있다. 특히 이와같이 커프를 사 용하는 것은 정기적으로 혈압을 측정, 관리해야 하는 환자에게는 아주 큰 불편한 일이다. 특히 혈압측정시스템을 내장한 휴대용 무선단말기에 이러한 커프를 사용한 혈압측정방법을 사용한다면, 시스템이 복잡하여지며, 경우에 따라서는 휴대용 무선단말기이외에 커프부분을 따로 가지고 다녀야 하는 불편함이 생긴다.Commonly used non-invasive blood pressure measurement methods include auscultation method and oscillometric method, both of which attach cuffs to the upper arm or wrist of the subject, pressurize them to a pressure higher than systolic blood pressure, occlude the artery, and then slowly depressurize Measure your blood pressure. The pinapress method uses a finger as the measurement position, provides pressure in the same manner as the oscillometric method, and then measures blood pressure by acquiring a change in blood flow through an optical method. However, the measurement method using the cuff cannot be re-measured until the occluded artery returns to its original state, which makes it unsuitable for continuous blood pressure measurement or observation of long-term changes in blood pressure. You may feel or have a skin trauma. In particular, this use of cuff is very inconvenient for patients who need to measure and manage blood pressure on a regular basis. In particular, if the blood pressure measuring method using the cuff is used in a portable wireless terminal having a blood pressure measuring system, the system becomes complicated, and in some cases, it is inconvenient to carry the cuff part separately in addition to the portable wireless terminal.
다른 방법으로 맥파 전달 시간(Pulse Transit Time, PTT)을 이용한 방법이 있는데, 이 방법은 혈압과 맥파 전달 시간의 반비례 관계를 이용하여 혈압을 추정하는 방법으로, 혈압이 증가하게 되면 혈관 벽의 신전성이 감소하고 이에 따라 맥파 전달 시간이 감소하며, 반대로 혈압이 감소하면 혈관 벽의 신전성이 증가하여 맥파 전달 시간이 증가하는 현상을 기초로 혈압을 측정하는 방법이다. 하지만 맥파 전달 시간을 이용한 방법은 심전도 신호의 부가적인 획득이 필요하다.Another method is using pulse transit time (PTT), which is a method of estimating blood pressure using the inverse relationship between blood pressure and pulse wave transmission time. As a result, the pulse wave delivery time decreases, and conversely, when the blood pressure decreases, the extension of the blood vessel wall increases and the pulse wave delivery time increases. However, the method using pulse wave propagation time requires additional acquisition of ECG signal.
또한 심전도 신호의 획득 없이, 반사파 도달 시간(ΔTDVP)을 이용하여 단지 용적 맥파(volume pulse)만을 이용한 혈압 추정법에 관한 연구들이 현재 진행되고 있다.In addition, studies on blood pressure estimation using only a volume pulse using a reflected wave arrival time (ΔTDVP) without an ECG signal are being conducted.
맥파 전달 시간(PTT)을 이용한 혈압 추정방법과, 반사파 도달 시간(ΔTDVP)을 이용하여 단지 용적 맥파(volume pulse)만을 이용한 혈압 추정법은 모두 혈관 벽의 신전성의 단일 요소로만 혈압을 추정하기 때문에 단순하고 간편한 방법을 제시하고 있으나 해결해야할 여러가지 문제들이 있다.Blood pressure estimation using pulse wave propagation time (PTT) and blood pressure estimation using only volume pulse wave using reflected wave arrival time (ΔTDVP) are both simple and simple because they only estimate blood pressure as a single component of the extension of the vessel wall. It offers an easy way, but there are a number of problems to solve.
따라서 혈압측정시스템을 내장한 휴대용 무선단말기에 적합하며, 환자가 손쉽게 혈압을 측정할 수 있는 혈압측정장치가 요망된다.Therefore, it is suitable for a portable wireless terminal incorporating a blood pressure measuring system, and a blood pressure measuring device capable of easily measuring blood pressure by a patient is desired.
본 발명은 커프를 사용하지 않으며 환자가 손쉽게 혈압을 측정할 수 있는 혈 압측정시스템을 내장한 휴대용 무선단말기를 제공한다. 이를 위해, 본 발명에서는 PPG신호를 이용한 혈압측정시스템을 내장한 휴대용 무선단말기를 제공한다.The present invention provides a portable wireless terminal that does not use a cuff and has a blood pressure measurement system in which a patient can easily measure blood pressure. To this end, the present invention provides a portable wireless terminal incorporating a blood pressure measurement system using a PPG signal.
본 발명은 보다 정확도를 높인 PPG신호를 이용한 혈압측정시스템을 내장한 휴대용 무선단말기를 제공한다. 즉 본 발명의 혈압감시 장치는 혈관 벽의 신전성의 단일 요소로 혈압을 추정하여 발생할 수 있는 오류를 제한하기 위해, 온도, 압력 및 PPG 신호에 따른 혈압을 연산식으로 정의하여 보다 정확한 혈압을 측정할 수 있다.The present invention provides a portable wireless terminal incorporating a blood pressure measurement system using a more accurate PPG signal. That is, the blood pressure monitoring apparatus of the present invention defines a blood pressure according to temperature, pressure, and PPG signal to calculate a more accurate blood pressure in order to limit an error that may occur by estimating blood pressure as a single element of the extension of the blood vessel wall. Can be.
또한 본 발명의 혈압감시장치는 혈압을 측정할 뿐만 아니라, PPG 신호로부터 혈류량과 맥파를 분석하여 각각의 요소에 대한 정보를 분석하여 심혈관 기능에 대한 정보도 획득할 수 있다. PPG 신호는 심혈관계에 있어 심장의 출력량을 제시하고 혈관의 저항성 성분을 제시하기 때문에 보다 정확한 심혈관 기능을 제시할 수 있다.In addition, the blood pressure monitor of the present invention may not only measure blood pressure, but also analyze blood flow and pulse waves from the PPG signal to analyze information on each element to obtain information on cardiovascular function. PPG signals can provide more accurate cardiovascular function because they present cardiac output and cardiovascular resistance in the cardiovascular system.
또한 본 발명은 PPG 신호를 얻을 수 있는 인체의 소동맥계 어느 부위에서도 측정이 가능한 혈압감시장치를 제공한다. 종래의 혈압측정계는 손목, 상완, 손가락 등의 한정된 부위에서만 측정할 수 있었으나, 본 발명의 혈압감시장치는 PPG 신호를 얻을 수 있는 인체의 소동맥계 어느 부위에서도 측정가능하다.In another aspect, the present invention provides a blood pressure monitor value that can be measured in any part of the body's arterial system that can obtain a PPG signal. Conventional blood pressure monitors can be measured only in limited areas such as wrists, upper arms, fingers and the like, but the blood pressure monitor of the present invention can be measured in any part of the human arterial system capable of obtaining PPG signals.
본 발명에 따른 이론적 기술배경은 설명하면 다음과 같다.The theoretical background of the present invention will be described below.
혈류는 각 혈관부 사이의 압력차에 의해서 생기며, 혈액은 압력이 높은 부분에서 낮은 부분으로 흐른다. 혈류를 결정하는 요인들은 옴의 법칙과 유사한 수학식 1으로 요약할 수 있다.Blood flow is caused by the pressure difference between each vessel, and blood flows from the high pressure to the low pressure. Factors that determine blood flow can be summarized by Equation 1, which is similar to Ohm's law.
즉, 혈류량 V는 ΔP(rm 체계에서 동맥과 정맥의 평균 혈압 차이)와 혈관의 저항 R의 비와 같다.In other words, blood flow V is equal to the ratio of ΔP (the difference in mean blood pressure between arteries and veins in the rm system) and resistance R of blood vessels.
혈관계에서의 압력(동맥압과 정맥압)은 혈액이 혈관벽에 대해 나타내는 단위면적당 힘에 해당하며, 일반적으로 mmHg로 표시한다.The pressure in the vasculature (arterial and venous pressure) corresponds to the force per unit area that the blood exerts against the vessel wall, usually expressed in mmHg.
저항 R은 직접 측정할 수는 없으나 수학식 1에 의하여 혈관계에서 두지점간의 압력차와 혈류량으로부터 계산할 수 있다. 흐름에 대한 저항은 액체층(fluid layer) 간의 내부 마찰과 혈관벽과 유체층간의 마찰로 인해 발생하는데, 혈관의 크기, 액체의 점성, 흐름의 유형에 의해 결정된다. 혈류량은 하겐-포아제유(Hagen-Poiseuilles) 법칙(HPL)에 의해 수학식 2와 나타낼 수 있다.Resistance R can not be measured directly, but can be calculated from the pressure difference and blood flow between two points in the vascular system by Equation 1. Resistance to flow is caused by internal friction between the fluid layers and friction between the vessel wall and the fluid layer, which is determined by the size of the vessel, the viscosity of the liquid, and the type of flow. Blood flow can be represented by
여기서 ΔP는 압력차, r은 반경, η은 액체의 점성,은 관의 길이이며 상수 8은 속도 종단면도의 적분에서 얻어진다.Where ΔP is the pressure difference, r is the radius, η is the viscosity of the liquid, Is the length of the tube and the constant 8 is obtained from the integral of the velocity profile.
옴의 법칙에 의하면 흐름에 대한 저항은 수학식 3과 같이 나타내어진다.According to Ohm's law, the resistance to flow is represented by equation (3).
수학식 3으로부터 혈류량과 흐름에 대한 저항이 반경의 4 제곱에 각각 정비례, 반비례함을 알 수 있으며, 이 두 변수는 관의 길이나 압력차, 점성 변화보다는 관의 직경 변화에 더 크게 영향을 받는다. 이와 같은 관계에서 관의 반경 변화는 순환계의 적응이 국소적이든 전신적으로 필요하든지간에 혈류량과 압력을 효과적으로 조절하는데 있어 결정적인 기전이 되는 것이 명백하다.It can be seen from Equation 3 that the resistance to blood flow and flow is directly proportional and inversely proportional to four squares of the radius, and these two variables are more affected by the diameter of the tube than by the length, pressure difference, or viscosity change. . In this relationship, it is clear that the change in the radius of the tube is the decisive mechanism for the effective regulation of blood flow and pressure, whether local or systemic adaptation is necessary.
압력과 부피와의 관계를 살펴면, 사람이 성장하는 동안 대동맥의 용량은 증가하며, 신전성(유순도)은 젊은 성인에서 (16∼39세) 가장 크며, 더 나이가 들면 대동맥은 팽창되고 유순도는 감소한다. 즉 나이가 들어감에 따라 부피는 커지고 압력은 줄어든다. 이는 사람이 나이가 들어감에 따라, 혈액의 계속적인 압력하에서 수동적인 팽창이 생기며, 나이든 조직에서 탄성의 감소되기 때문이다.Looking at the relationship between pressure and volume, the capacity of the aorta increases during human growth, and the extension (purity) is greatest in young adults (ages 16 to 39), and at older ages, the aorta dilates and purity is Decreases. As you age, your volume grows and pressure decreases. This is because, as a person ages, passive swelling occurs under constant pressure of blood and there is a decrease in elasticity in older tissues.
혈관은 탄력성을 갖기 때문에 압력변화는 직접 간접적으로 내강 직경의 변화를 일으켜 혈류량에 영향을 미친다. 그러므로 어떤 혈관에서 혈류량은 딱딱한 관에서 옴의 법칙에 따라 예상되는 것보다 훨씬 크게 압력 증가에 의해 영향을 받아, 지속적으로 증가되는 기울기를 갖는 혈류와 압력 곡선이 그려진다. 그러나 어떤 다른 혈관에서는 압력의 증가는 이보다는 적게 혈류량을 증가시키므로 압력의 혈류-압력의 곡선 경사는 지속적으로 감소한다. 이 효과는 신장에 대해 수축반응을 나타내는 평활근 조직의 자동조절반응에 기인한다(Bayliss 효과). 자동조절수축은 혈관 내 압력이 증가할 때 더 강하여, 압력의 증가 시 혈류량이 약간 증가하거나 아예 증가하지 않을 수 있다. 이 기전은 조직에 혈액공급을 안정하게 한다.Because blood vessels are elastic, changes in pressure directly or indirectly change the lumen diameter and affect blood flow. Therefore, the blood flow in some blood vessels is affected by the pressure increase far greater than expected under the law of scabies in rigid tubes, resulting in a blood flow and pressure curve with a constantly increasing slope. However, in some other blood vessels, the increase in pressure causes a smaller increase in blood flow, so the slope of the curve of the blood flow-pressure of pressure continues to decrease. This effect is due to the autoregulated response of smooth muscle tissue to contraction to the kidneys (Bayliss effect). Autoregulated contractions are stronger when intravascular pressure increases, so blood pressure may increase slightly or not at all when pressure increases. This mechanism stabilizes blood supply to tissues.
혈관의 특성은 탄력(Windkessel) 혈관, 저항혈관, 괄약혈관, 교환혈관, 용량혈관, 분류혈관의 6가지로 분류할 수 있다. 이중 저항혈관은 말단동맥과 세동맥, 약간의 모세혈관과 세정맥이 저항혈관에 해당한다. 흐름에 대한 가장 큰 저항은 모세혈관 전 부위(말단동맥과 세동맥)에서 발생하는데 이 혈관들은 비교적 작은 내강과, 근육성분이 많은 두꺼운 벽을 갖고 있다. 이 혈관의 근육조직의 수축 상태가 변화하면 혈관 직경이 뚜렷이 변화하며, 특히 수많은 세동맥 단계에서 총 단면적이 상당히 변화한다. 혈류저항에 대한 단면적의 영향으로 보아 이러한 혈관에서 평활근의 활성은 여러 기관에 심박출량을 분배하는데 있어서 뿐만 아니라 각 혈관 내에 혈류량을 조절하는데 결정적인 요인이라는 것을 알 수 있다.The characteristics of blood vessels can be classified into six categories, such as elastic (Windkessel) vessels, resistance vessels, sphincter vessels, exchange vessels, dose vessels, and classification vessels. Double resistance vessels are terminal arteries and arterioles, and some capillaries and vasculature correspond to resistance vessels. The greatest resistance to flow occurs in all capillaries (terminal and arterioles), which have relatively small lumens and thick walls that are rich in muscle composition. Changes in the contractile state of the muscle tissue of these vessels cause a marked change in the diameter of the vessels, especially in numerous arterial stages, with a significant change in the total cross-sectional area. The effect of cross-sectional area on blood flow resistance suggests that smooth muscle activity in these vessels is a critical factor in regulating blood flow in each vessel as well as in distributing cardiac output to various organs.
혈관계에서의 저항에 있어서, 대동맥, 동맥, 비교적 긴 동맥분지들이 흐름에 대한 전체저항의 약 19%를 차지한다. 말단 동맥과 세동맥들은 거의 50%를 차지한다. 즉, 저항의 거의 반이 겨우 수 mm 길이의 혈관에 존재한다. 이렇게 저항의 커다란 증가는 비교적 작은 직경의 말단 동맥과 세동맥 때문인데 단면적의 감소는 평행관 수가 증가하더라도 완전히 보완되지 않는다. 모세혈관에서의 저항도 상당하여 전체의 25%이다. 정맥부위에서는 세정맥(4%)에서 저항이 가장 크고 나머지 정맥혈관은 겨우 3%만을 차지한다. 총말초저항(Total Peripheral Resistance : TPR)이란 체순환의 전체적인 저항을 말한다. 즉 모든 병렬로 연결된 혈관상의 저항이다. 총말초저항과 총혈류량(심박출량)이 어떤 순간에서의 혈압을 결정한다. 소동 맥계에서의 혈압은 혈액량 × 저항이다.In resistance in the vasculature, the aorta, arteries, and relatively long arterial branches account for about 19% of the total resistance to flow. The distal arteries and arterioles occupy nearly 50%. That is, almost half of the resistance is present in blood vessels only a few mm long. This large increase in resistance is due to relatively small diameter distal arteries and arterioles, and the reduction in cross-sectional area is not fully compensated for by increasing number of parallel tubes. Resistance in capillaries is also significant, accounting for 25% of the total. In the vein region, resistance is greatest in the varicose veins (4%), and the remaining veins occupy only 3%. Total Peripheral Resistance (TPR) is the overall resistance of the body circulation. That is the resistance of all the blood vessels connected in parallel. Total peripheral resistance and total blood flow (cardiac output) determine blood pressure at any moment. Blood pressure in the pauter system is blood volume x resistance.
혈관 내 혈액량은 이완기동안의 심장의 충만압을 결정하는데 중요하며 따라서 심장이 분출하는 혈액량을 결정하는데 있어 중요하다. 저항혈관의 특징은 높은 저항과 작은 용량을 갖고 용량혈관의 특징은 낮은 저항과 큰 용량을 갖는다.Blood volume in the blood vessels is important in determining the heart's fullness during the diastolic phase and thus in determining the volume of blood ejected by the heart. Resistant vessels have high resistance and small doses. Dosage vessels have low resistance and large doses.
동맥계 압력에 있어서, 혈액의 관성으로 인하여, 박출기동안 대동맥으로 들어가는 혈액의 액체기둥이 동시에 가속화 되는 것이 방지된다. 이 가속은 상대동맥의 기저부 혈액에만 일어나며 일시적인 압력 증가, 소위 압맥박(pressure pulse)을 일으킨다. 처음에 압력은 유속과 함께 급속히 증가하다가 그 후에는 매우 서서히 증가하여 혈류맥박이 최대에 이른 후에 압맥박이 최대로 된다. 그 후 압력은 떨어진다.In arterial pressure, due to the inertia of the blood, the liquid column of blood entering the aorta during the ejector phase is prevented from simultaneously accelerating. This acceleration occurs only in the basal blood of the relative artery, causing a temporary increase in pressure, the so-called pressure pulse. At first, the pressure increases rapidly with the flow rate and then increases very slowly, after which the pressure pulse reaches its maximum after the blood flow pulse reaches its maximum. The pressure then drops.
일반적으로 수축기동안 압맥박 곡선의 최대값을 수축기 혈압(PS)이라 하고 이완기 동안의 최소값을 이완기 혈압(PD)이라한다. 혈압의 진폭(PS - PD)를 맥압이라 한다. 평균혈압(PM) 또는 동맥 평균혈압은 혈류를 추진하는 힘으로 혈관의 한 부위에서의 압력의 평균을 나타낸다. 이것은 압맥박 곡선을 시간에 대해 적분하여 얻어진다. 중앙동맥에서 평균혈압은 PS와 PD의 산술평균 즉 이완기 혈압에 혈압의 진폭의 1/2를 더한 값(PM = PD + (PS - PD)/2)으로 꽤 정확히 나타낼 수 있다. 말초동맥에서의 평균혈압은 이완기 혈압에 혈압진폭의 1/3을 더한 값에 더 가깝다(PM = PD + (PS - PD)/3).In general, the maximum value of the pressure pulse curve during the systolic period is called the systolic blood pressure (PS), and the minimum value during the diastolic period is called the diastolic blood pressure (PD). The amplitude of blood pressure (PS-PD) is called pulse pressure. Mean blood pressure (PM), or arterial mean blood pressure, is the force that drives blood flow and represents the average of the pressure at one part of the blood vessel. This is obtained by integrating the pressure pulse curve over time. The mean blood pressure in the central artery can be represented fairly accurately by the arithmetic mean of PS and PD, the diastolic blood pressure plus half the amplitude of blood pressure (PM = PD + (PS-PD) / 2). The mean blood pressure in the peripheral artery is closer to the diastolic blood pressure plus one third of the blood pressure amplitude (PM = PD + (PS-PD) / 3).
맥압에 있어서, 2001년 발표한 프래밍험(Framingham) 연구에서 프랭클린(Franklin) 등은 나이가 듦에 따라 관동맥 위험의 예측인자는 확장기 혈압 에서 수축기 혈압을 거쳐 맥압으로 이동한다고 하였다. 즉 50세 이하에서는 확장기 혈압이 가장 강력한 예측인자였으나 50대 때는 이행기로서 혈압의 세 요소 모두가 엇비슷하게 중요하였고, 60세 이후에는 확장기 혈압은 오히려 관동맥 위험과 음의 상관관계를 보임에 따라 맥압이 수축기 혈압보다 더욱 강력한 위험 예측 인자로 대두된다고 한다. 생리학적인 측면에서 보면 맥압은 심실 구출(ventricular ejection), 동맥의 경직(arterial stiffness) 및 압파 반사(wave reflection)라는 세 주요 혈역학적인 인자에 의해 결정된다. 그러나 나이가 듦에 따라 심실 구출은 감소하기 때문에 50대 이후에는 이 인자는 맥압의 증가에 기여하지 못하고 맥압은 주로 동맥의 경직과 압파 반사에 의해 결정된다.In terms of pulse pressure, a 2001 Framingham study found that Franklin et al. Predicted that as age increases, the predictors of coronary risk shift from diastolic pressure to systolic pressure. In the 50s, diastolic blood pressure was the most powerful predictor, but in the fifties, all three components of blood pressure were equally important. After 60, diastolic blood pressure was negatively correlated with the risk of coronary artery. It is said to be a stronger risk predictor than systolic blood pressure. In physiological terms, pulse pressure is determined by three major hemodynamic factors: ventricular ejection, arterial stiffness, and wave reflection. However, ventricular rescue decreases with age, so after 50's this factor does not contribute to the increase in pulse pressure, which is mainly determined by arterial stiffness and pressure reflection.
중심성 큰 동맥은 말초로의 혈액 수송과 배분을 담당하는 도관의 역할뿐만 아니라 혈류의 박동성(pulsatility)을 완충하는 역할도 담당한다. 즉 큰 탄력성 동맥은 수축기 때 확장되어 박동성 혈류의 일부를 저류시켰다가 확장기 때 내어놓아 혈류가 심주기 동안 지속적으로 흐르게 한다. 심장에서 혈액이 박출되면 상행 대동맥은 확장되어 맥파(pulse wave)를 만들어내는데 이 맥파는 동맥을 따라 말초로 전파된 후 경직된 말초혈관의 저항에 부딪혀 다시 심장 쪽으로 되돌아온다.Central large arteries not only act as conduits responsible for the transport and distribution of blood to the periphery, but also to buffer the pulsatility of the bloodstream. In other words, the large elastic arteries expand during the systolic phase and store some of the pulsatile blood flow and release them during the diastolic phase so that the blood flow continues during the deep cycle. When blood is ejected from the heart, the ascending aorta expands to produce a pulse wave that propagates peripherally along the artery, then hits the resistance of the rigid peripheral blood vessel and returns back to the heart.
상행 대동맥에서 말초 동맥으로 이행하면서 압파의 크기와 모양은 점차적으로 변화하는데 평균 혈압은 거의 변화가 없으나 맥압은 수축기압의 상승 및 확장기압의 소폭 하강에 의하여 점차 커지게 된다 말초 동맥에 서 수축기압이 상승하는 주된 이유는 말초 반사지점에서의 거리가 짧아 반사파가 확장기가 아니라 수축기 때 도달하기 때문이다. 또한 대동맥 근위부의 혈관벽은 엘라스틴(elastin) 이 풍부 하여 혈관의 신전성이 좋으나 말초 동맥으로 갈수록 혈관벽에는 콜라겐(collagen)과 평활근 세포가 많아져 혈관이 경직되어 압파의 전파 속도가 빨라진다. 나이가 듦에 따라 혈관벽은 동맥경화로 두께가 증가하여 경직되는데 이 변화는 중심성 탄력 동맥에서 두드러지게 나타나 수축기압은 상승하고 맥압은 켜져 점차 말초 동맥과의 차이가 사라지게 된다. 그 결과 젊은이에서는 말초동맥의 맥압이 대동맥에 비해 약 50% 증가되어 있지만 고령자에서는 거의 같아진다.As the ascending aorta moves to the peripheral artery, the size and shape of the pressure wave gradually change, but the average blood pressure is almost unchanged, but the pulse pressure gradually increases due to the increase in systolic pressure and the slight decrease in diastolic pressure. The main reason for the rise is that the distance from the peripheral reflection point is short, so that the reflected wave arrives at the systolic phase, not the diastolic. In addition, the vessel wall in the proximal aorta is rich in elastin, so the blood vessels have good extension, but as the peripheral arteries become more collagen and smooth muscle cells in the vessel wall, the blood vessels become stiff and the propagation speed of the pressure wave increases. As the body ages, the vascular wall becomes rigid due to arteriosclerosis. This change is prominent in the central elastic artery, causing systolic pressure to rise and pulse pressure to turn on, and the difference with the peripheral artery gradually disappears. As a result, the pulse pressure of the peripheral arteries is increased by about 50% in the younger than in the aorta, but is almost the same in the elderly.
PPG 신호의 측정에 있어서, 비어람베르트(Beer-Lambert)의 법칙은 빛이 주어진 파장에서 투사되어 동질(homogeneous)의 매질을 통과할 때 투사된 빛과 통과된 빛의 강도에 대한 상관관계를 묘사한다. 이 법칙은 PPG 신호가 측정되는 손가락 끝에서 혈관 수축적 순환 상태로부터 투과한 빛에 대한 상관관계의 평가를 위해 다음의 수학식 4 및 수학식 5의 방정식을 이용한다.In the measurement of PPG signals, Beer-Lambert's law describes the correlation of the projected light and the intensity of the transmitted light when light is projected at a given wavelength and passes through a homogeneous medium. do. This law uses the following equations (4) and (5) for the evaluation of the correlation for light transmitted from the vasoconstrictive circulation state at the fingertip at which the PPG signal is measured.
수학식 4는 혈액과 조직에 대한 평가이고, 수학식 5는 조직에 대한 평가이다. 여기서 I0, I, It는 투사한 빛, 혈액과 조직을 투과한 빛, 조직을 투과한 빛의 강도를 의미한다. εa, εv, εt는 동맥, 정맥, 조직에서의 흡수이며 각각의 상수 Ca, Cv, Ct는 그들의 농도이고, Va, Vv, Vt는 그들의 부피를 나타낸다.Equation 4 is an evaluation of blood and tissue, and Equation 5 is an evaluation of tissue. Where I0 , I, It are the intensity of the projected light, the light transmitted through blood and tissue, and the light transmitted through the tissue. εa , εv , εt are absorptions in arteries, veins, tissues, and the constants Ca , Cv , Ct are their concentrations, and Va , Vv , Vt represent their volumes.
수학식 4를 수학식 5로 나누면 수학식 6과 같이 된다.Dividing Equation 4 by Equation 5 yields Equation 6.
여기서 V는 총 혈액량이고 ε는 총 혈액의 평균 흡수 계수이다. 따라서 V = Va + Vv이고 ε = (εaVa + εvVv) / V이다. 수학식 4의 Ca와 Cv는 헤모글로빈(hemoglobin)의 농도를 나타낸다(hematocrit). Cv의 조건은 정신적 스트레스 동안 증가하나, 변화는 거의 몇 %에 불과하다. 결론적으로 Cv와 Ca는 정상 순환 상태의 총 혈액(C)의 평균 농도로 일정해지고 같아지는 것으로 생각할 수 있다. 따라서 Ca= Cv = C로 표현되어진다.Where V is the total blood volume and ε is the mean absorption coefficient of the total blood. Thus V = Va + Vv and ε = (εa Va + εv Vv ) / V. Ca and Cv in Equation 4 represent the concentration of hemoglobin (hematocrit). The condition of Cv increases during mental stress, but the change is only a few percent. In conclusion, Cv and Ca can be thought of as being constant and equal to the average concentration of total blood C in normal circulation. Thus, Ca = Cv = C.
손의 동맥과 정맥 혈관은 혈관수축 신경 자극에 매우 민감하며, 반사성 정맥수축과 혈관수축이 독립적으로 발생하는 현상은 없다. 그것은 알파 교감신경(alpha-adrenergic) 활성화에 대한 변화가 손가락 끝에서 동맥과 정맥 사이의 혈관 상태에 대응되어진 변화를 알아보기에 적당한 것으로 생각되어질 수 있다는 것을 의미한다. 따라서 λ = Vv / Va(동맥과 정맥 혈액량의 비율)로 놓을 때 ε은 다음 수학식 7과 같이 표현할 수 있다.Arteries and veins of the hand are very sensitive to vasoconstrictive nerve stimulation, and there is no independent reflex and vasoconstriction. That means that changes in alpha-adrenergic activation can be thought of as appropriate for recognizing changes in the vascular state between arteries and veins at the fingertips. Therefore, when λ = Vv / Va (ratio of arterial and venous blood volume), ε can be expressed as Equation 7 below.
특히 ε는 혈액량에 상관된 변화에 의해 영향을 받지 않는다. 따라서 수학식 6 에서 V에 상응하는 I / It의 미분계수는 다음 수학식 8을 표현한다.In particular ε is not affected by changes correlated to blood volume. Therefore, the derivative of I / It corresponding to V in Equation 6 is expressed by the following Equation 8.
그리고 수학식 8은 다음의 수학식 9를 표현한다.Equation 8 expresses the following equation 9.
총 혈액량은 동맥혈액량 뿐만 아니라 정맥 혈액량의 평균과 맥동성 요소로 구성되어 있다. 맥동이 동맥부에서만 관측되어질 때 ΔV와 대응되는 ΔI는 수학식 9에서 ΔVa와 ΔIa로 다시 변환되어진다. 실제 PPG 신호의 측정에서 투과된 빛의 감쇠가 전압을 낮추는 것처럼 보일 때 ΔIa와 I의 값은 각각 (-)와 (+)의 부호를 가진다. 그렇기 때문에 -ΔIa는 이미 수학식 9에서 ΔIa에 대해 (+)를 가지기 위해 ΔIa로 대체되어진다.The total blood volume consists of the mean and pulsating factors of the venous blood volume as well as the arterial blood volume. When the pulsation is observed only in the artery part, ΔI corresponding to ΔV is converted back to ΔVa and ΔIa in Equation (9). When the attenuation of transmitted light appears to lower the voltage in the actual PPG signal measurement, the values of ΔIa and I have signs of (-) and (+), respectively. Therefore, -ΔIa is already replaced by ΔIa to have a positive value for ΔIa in Equation (9).
도 1은 디옥시헤모글로빈(Hb)과 옥시헤모글로빈(HbO2)의 빛의 파장에 따른 흡수 계수이다.1 is an absorption coefficient according to the wavelength of light of deoxyhemoglobin (Hb) and oxyhemoglobin (HbO2 ).
도 1과 같이 적색광이 옥시헤모글로빈을 통과할 때 흡수율은 디옥시헤모글로빈 보다 낮고 적외광이 통과할 때 흡수율은 디옥시헤모글로빈 보다 크다. 이 차이는 현재까지 산소포화도를 계산하기 위한 기본 이론으로서 사용되어 왔다. 이 이론을 살펴보면 흡수도는 투과거리와 헤모글로빈의 농도에 종속적이며 일반적으로 산소포화도를 얻기 위해 적색광과 적외광의 LED 2개를 선택한다. 또한 광학적 흡수도를 통해 산소포화도를 계산하기 위해 비선형적인 보정 과정을 거친다. 흡수도는 혈구혈장비율(hematocrit)과 혈액의 부피에 종속적이다. 덧붙여 산소포화도는 혈관의 해부학적 차이와 혈관을 흐르는 혈류량의 차이에 의존한다. 흡수도는 시간에 따라 변하게 되는데 혈관에서 수축기에 최고값을 가지고 이완기에 최저값을 가진다. 이는 혈압에 의해 혈관에 혈액의 변동이 발생하기 때문이다. 즉 수축기에 적혈구가 조직에 더 많은 산소헤모글로빈을 운반하는 것이다. 그러므로 수축기에 일시적으로 증가하는 산소헤모글로빈의 양에 따라 흡수하는 조직의 일시적인 체적 증가뿐만 아니라, PPG 신호의 흡수 dc 요소와 동맥관 조직을 통해 전달되는 펄스 옥시메터(pulse oximeter)의 맥파의 전압도 일시적으로 증가하게 된다. 따라서 전형적인 펄스 옥시메터의 출력 전압은 혈압의 파형을 따른다. 그러므로 펄스 옥시메터는 기본적으로 심박수를 계산할 수 있다. 또한 보정 후에는 산소포화도 뿐만 아니라 혈압도 계산할 수 있는 것이다.As shown in FIG. 1, when the red light passes through the oxyhemoglobin, the absorption rate is lower than that of the deoxyhemoglobin, and when the infrared light passes, the absorption rate is greater than that of the deoxyhemoglobin. This difference has been used as a basic theory to calculate oxygen saturation. Based on this theory, the absorbance is dependent on the transmission distance and the concentration of hemoglobin, and typically two red and infrared LEDs are selected to obtain oxygen saturation. It also undergoes a nonlinear calibration to calculate oxygen saturation through optical absorption. Absorption is dependent on hematocrit and blood volume. In addition, oxygen saturation depends on the anatomical differences of blood vessels and the difference in blood flow through the vessels. Absorption changes over time, with the highest values in the systole and the lowest in the diastolic. This is because blood fluctuations occur in blood vessels due to blood pressure. In other words, during the systolic period, red blood cells carry more oxygen hemoglobin to tissues. Therefore, in addition to the temporary volume increase of the absorbing tissue with the temporary increase in the amount of oxygen hemoglobin in the systolic phase, the voltage of the pulse wave pulse of the pulse oximeter transmitted through the absorbing dc component of the PPG signal and the arterial tissue is also temporarily Will increase. Thus, the output voltage of a typical pulse oximeter follows the waveform of blood pressure. Therefore, the pulse oximeter can basically calculate the heart rate. After correction, blood pressure can be calculated as well as oxygen saturation.
피부에서의 PPG 신호의 특성을 살펴보면, 피부에서의 광흡수도에 있어서, 즉 광원이 피부에 투과되면 동맥혈, 정맥혈, 조직 등에 의해 흡수되어지며, 그 흡수된 광은 직류성분과 맥동성분을 가진 파형으로 검출된다. 도 2에서와 같이 직류성분(DC) 성분을 가지며, 진폭(AM)을 가지는 맥동성분을 가진 파형이 검출된다. 여기서 맥동성분은 동맥혈관에서 심장의 수축과 이완 작용에 영향을 받는다. 이 부분은 심장의 수축동안 최대값을, 이완동안 최소값을 반영한다. 따라서 도 2에서 진폭(AM)은 맥파신호(이하 PR이라 한다)라 하며, 직류성분(DC) 성분을 수축기 혈액량 신호(이하 PPGSYS라 한다)라 하며, 직류성분(DC) 성분에 진폭(AM)이 합해진 것을 이완기 혈액량 신호(이하 PPGDIA라 한다)라 할 수 있다.Looking at the characteristics of the PPG signal in the skin, it is absorbed by the arterial blood, venous blood, tissue, etc. in the light absorption of the skin, that is, when the light source is transmitted through the skin, the absorbed light is a waveform having a DC component and a pulsating component Is detected. As shown in FIG. 2, a waveform having a DC component and having a pulsation component having an amplitude AM is detected. The pulsating component is affected by the contraction and relaxation of the heart in the arterial vessels. This part reflects the maximum during the contraction of the heart and the minimum during relaxation. Therefore, in FIG. 2, the amplitude AM is referred to as a pulse wave signal (hereinafter referred to as PR), and the direct current component (DC) component is called a systolic blood volume signal (hereinafter referred to as PPGSYS ). ) Can be referred to as the diastolic blood volume signal (hereinafter referred to as PPGDIA ).
맥동성분을 제외한 직류성분은 동맥혈관과 정맥혈관 그리고 조직에 의한 흡수도를 반영한다. 이 중 동맥혈관에 의한 직류성분은 심장의 이완동안 혈관 내에 잔류하는 혈액을 의미하며 두 광원에 대해 상대적으로 같은 비율로 영향을 준다.DC components, except pulsating components, reflect the absorption by arterial, venous, and tissue. Among these, the DC component caused by arterial blood vessels means blood remaining in blood vessels during cardiac relaxation and affects both light sources at the same ratio.
PPG 신호는 시간의 함수 형태로 조직을 통한 빛의 투과를 측정한다. 수축기 동안 조직 혈액량은 증가한다. 따라서 PPG 신호는 빛의 낮은 투과율을 나타낸다.또한 이것은 심장순환 주기와 함께 진동하는 현상을 보인다. 도 2에서와 같이 PPG 신호는 기저선(이하 BL이라 한다), 진폭(이하 AM이라 한다), 주기(이하 P라 한다)와 같은 요소들을 가진다. BL은 조직 혈액량에 반비례하고, AM은 수축기동안 조직 혈액량 증가에 비례하며, P는 실제적인 심장순환 주기이다. PPG 신호의 기저선과 진폭은 호흡률과 같은 저주파수 영역에서 주로 변동한다. 이는 심장 주기의 저주파수 변동이 교감신경계에 의해 주로 조정되어진다. 손가락 혈액량(BL과 AM)의 변동은 교감신경계에 의해 현저하게 영향을 받는 조직에서 혈관의 수축과 이완에 의해 발 생된다.BL과 AM 곡선들의 저주파수 변동은 교감신경계 활동의 자동적인 변동에 기인한다.PPG signals measure the transmission of light through tissue as a function of time. Tissue blood volume increases during the systolic phase. The PPG signal therefore exhibits low light transmission, which also vibrates with the cardiac cycle. As shown in FIG. 2, the PPG signal has elements such as a baseline (hereinafter referred to as BL), an amplitude (hereinafter referred to as AM), and a period (hereinafter referred to as P). BL is inversely proportional to tissue blood volume, AM is proportional to tissue blood volume increase during systole, and P is the actual cardiovascular cycle. The baseline and amplitude of the PPG signal fluctuate mainly in the low frequency region, such as respiratory rate. This is because low-frequency fluctuations in the cardiac cycle are mainly controlled by the sympathetic nervous system. Fluctuations in finger blood volume (BL and AM) are caused by blood vessel contraction and relaxation in tissues significantly affected by the sympathetic nervous system. Low-frequency fluctuations in the BL and AM curves are due to automatic fluctuations in sympathetic nervous system activity. .
온도 및 압력과 PPG 신호의 관계를 살펴보면, 1988년 멘델슨(Mendelson)과 오크스(Ochs)는 PPG 신호와 피부 온도간의 상관관계를 실험하여, 온도 증가에 따라 평균맥동진폭이 감소 함을 보고한 바있다. 또한 센서가 부착 또는 센서 위에서 PPG 신호를 측정할 때 발생되는 압력은 조직 관류에 영향을 준다. 즉 손가락이나 팔에서 외부 압력이 발생될 때 그 압력은 혈관을 수축시킨다. 때문에 혈액량이 제한되어진다. 따라서 의미 있는 PPG 신호를 얻기 위해 측정 부위에 압력은 혈관에 최소한의 영향을 주는 압력이 적용되어져야만 한다.Looking at the relationship between temperature and pressure and PPG signal, Mendelson and Oaks, in 1988, tested the correlation between PPG signal and skin temperature and reported that the average pulsation amplitude decreased with increasing temperature. have. In addition, the pressure generated when a sensor attaches or measures a PPG signal on the sensor affects tissue perfusion. That is, when external pressure is generated on the finger or arm, the pressure constricts blood vessels. Because of this, blood volume is limited. Therefore, in order to obtain a meaningful PPG signal, the pressure at the measurement site must be applied with the least effect on the blood vessel.
혈압과 PPG 신호의 관계를 살펴보면, 혈류 역학적 법칙에 의하면 압력 = 저항 × 심박출량이므로, 혈압의 상승은 말초혈관의 저항 증가와 심박출량의 증가로 대변될 수 있다. 타카자와(Takazawa)는 PPG 신호가 혈압의 파형과 유사함을 보이며 혈관의 수축과 이완의 기전에 대해서도 유사한 변화를 보임을 제시하였다.Looking at the relationship between blood pressure and PPG signal, according to the hemodynamic law, pressure = resistance × cardiac output, the increase in blood pressure can be represented by increased peripheral blood vessel resistance and cardiac output. Takazawa suggested that the PPG signal is similar to the waveform of blood pressure and similar changes in the mechanism of blood vessel contraction and relaxation.
상술된 이론적 배경을 바탕으로 본 발명의 혈압감시장치는 획득된 PPG 신호로부터 심장의 출력과 총 말초 저항을 유도하며, 이로부터, PPG 신호로부터 심혈관의 기능과 혈압을 감시한다.Based on the theoretical background described above, the blood pressure monitor of the present invention induces cardiac output and total peripheral resistance from the obtained PPG signal, from which the cardiovascular function and blood pressure are monitored from the PPG signal.
본 발명이 이루고자 하는 기술적 과제는 PPG 신호를 이용한 혈압측정시스템을 내장한 휴대용 무선단말기를 제공하는 것이다.The technical problem to be achieved by the present invention is to provide a portable wireless terminal incorporating a blood pressure measurement system using a PPG signal.
본 발명이 이루고자 하는 또다른 기술적 과제는 커프를 사용하지 않으며 환 자가 손쉽게 혈압을 측정할 수 있는 혈압측정시스템을 내장한 휴대용 무선단말기를 제공하는 것이다.Another technical problem to be achieved by the present invention is to provide a portable wireless terminal with a blood pressure measurement system that can be easily measured by the patient without using a cuff.
본 발명이 이루고자 하는 또다른 기술적 과제는 보다 정확도를 높인 PPG신호를 이용한 혈압측정시스템을 내장한 휴대용 무선단말기를 제공한다.Another technical problem to be achieved by the present invention is to provide a portable wireless terminal incorporating a blood pressure measurement system using a more accurate PPG signal.
본 발명이 이루고자 하는 또다른 기술적 과제는 PPG 신호를 얻을 수 있는 인체의 소동맥계 어느 부위에서도 측정가능한 혈압측정시스템을 내장한 휴대용 무선단말기를 제공하는 것이다.Another technical problem to be achieved by the present invention is to provide a portable wireless terminal having a blood pressure measurement system that can measure any part of the body's arterial system that can obtain a PPG signal.
이하 본 발명의 일 실시예에 의한 PPG신호를 이용한 혈압측정시스템을 내장한 휴대용 무선단말기의 구성 및 동작을 첨부한 도면을 참조하여 상세히 설명한다.Hereinafter, the configuration and operation of a portable wireless terminal incorporating a blood pressure measuring system using a PPG signal according to an embodiment of the present invention will be described in detail with reference to the accompanying drawings.
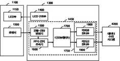
도 3는 본 발명의 일 실시예에 의한 PPG신호를 이용한 혈압측정시스템을 내장한 휴대용 무선단말기를 설명하기위한 개략적인 블럭도이다. 도 3에서와 같이 혈압측정시스템을 내장한 휴대용 무선단말기(100)는 PPG신호 검출부(1000), 온도신호 검출부(2000), 압력신호 검출부(3000), 데이터 수집 시스템(4200), 연산처리부(4400), 메모리부(4500), 제어부(4600), 키입력부(4700), 표시부(4800), 사용자 I/F부(4900), 음성처리부(5000), 무선부(5100), 계수설정부(5200)으로 이루어진다. 즉, 혈압측정시스템을 내장한 휴대용 무선단말기(100)에서 온도, 압력, 광혈류 측정신호(이하 PPG라 한다)의 생체신호를 검출하고 이들로부터 혈압 정보를 생성하여 출력하며, 이 혈압정보를 무선국(6000) 및 네트워크(6100)을 경유하여 지정된 관리자 컴퓨터(6300)로 전송한다. 관리자 컴퓨터(6300)은 건강관리 서비스를 제공하는 사업자측의 컴퓨터가 될 수도 있으며, 또는 사용자의 지정병원측 컴퓨터가 될 수도 있다.3 is a schematic block diagram illustrating a portable wireless terminal incorporating a blood pressure measuring system using a PPG signal according to an embodiment of the present invention. As shown in FIG. 3, the
PPG신호 검출부(1000)는 PPG 센싱부(1100)와 PPG 검출 제어부(1300)로 이루어지며, PPG를 검출하여 데이타 수집 시스템(4200)으로 송신한다.The PPG
PPG 센싱부(1100)는 발광다이오드(이하, LED라 한다)부와 광센서로 이루어지며, 상기 LED부에서 발생된 광이 조직에서 투과되거나 반사되는 광을 광센서를 통해 검출한다.The
PPG 검출 제어부(1300)는 LED 구동부와 PPG신호 검출제어부로 이루어지며, PPG 센싱부(1100)의 LED를 구동시키며, PPG 센싱부의 출력신호로부터 PPG 신호를 검출하게한다. 이는 PPG 신호 중 0.05 ∼20 Hz 대역이 통과 되도록 구성 할 수 있다. 또한 PPG 검출 제어부(1300)로 마이크로콘트롤러를 사용 할 수 있다.The PPG
온도신호 검출부(2000)는 온도 센싱부(2100)와 온도신호 전처리부(2300)로 이루어지며, 온도를 검출하여 데이타 수집 시스템(4200)으로 송신한다.The
온도 센싱부(2100)는 온도센서를 구비하며, 온도를 검출하여 전기적 신호로 바꾸어준다.The
온도신호 전처리부(2300)는 온도 센싱부로 부터 출력된 신호로부터 증폭하며 잡음을 제거한다.The
압력신호 검출부(3000)는 압력 센싱부(3100)와 압력신호 전처리부(3300)로 이루어지며, 온도를 검출하여 데이타 수집 시스템(4200)으로 송신한다.The
압력 센싱부(3100)는 압력센서를 구비하며, 압력을 검출하여 전기적 신호로 바꾸어준다.The
압력신호 전처리부(3300)는 압력 센싱부로 부터 출력된 신호로부터 증폭하며 잡음을 제거한다.The
PPG 센싱부(1000), 온도 센싱부(2100), 압력 센싱부(3100)는 셍체신호 검출부(200)를 구성한다.The
데이터 수집 시스템(4200)은 PPG 검출 제어부(1300), 온도신호 전처리부(2300), 압력신호 전처리부(3300)의 출력신호들을 수신하여 디지털 신호로 변환한다. 시판되는 데이터 수집 시스템을 데이터 수집 시스템(4200)으로 사용할 수 있다.The
연산처리부(4400)는 데이터 수집 시스템(4200)으로 부터 수신된 압력신호와 온도신호가 각각 기준범위내에 있을때, 데이터 수집 시스템(4200)으로 부터 수신된 PPG신호, 압력신호, 온도신호로 부터 혈압값을 연산한다. 이러한 혈압정보는 메모리부(4500)에 저장되며, 제어부(4600)로 송신된다. 혈압값 연산과정은 키입력부(4800)의 모드설정키(미도시)가 온도 및 압력 제어모드를 설정하는가, 또는 온도 및 압력 미제어모드로 설정하는 가에 따라 달라진다.When the pressure signal and the temperature signal received from the
메모리부(4500)는 압력 기준신호, 온도 기준신호, 수축기 혈액량 기준신호, 이완기 혈액량 기준신호, 혈압기준신호, 맥파기준신호, 상관계수들이 저장되며, 연산처리부(4400)로부터 수신된 혈압정보도 저장한다.The
제어부(4600)는 연산처리부(4400)로 부터 수신된 혈압정보를 표시부(4700)를 통해 디스플레이하거나 음성처리부(5000)을 통해 스피커로 출력하도록 제어하며, 또한 연산처리부(4400)로 부터 수신된 혈압정보를 무선부(5100)를 통해 출력하도록 제어한다. 그리고 제어부(4600)는 키입력부(4700)를 통해 혈압측정 개시명령, 계수설정 개시명령을 연산처리부(4400)로 전송하며, 또한 혈압측정 안내정보를 음성처리부(500)를 통해 스피커(5030)로 출력하거나 표시부(4800)에 표시한다 .The
키입력부(4700)는 입력된 키에 따라 혈압측정 개시명령, 계수설정 개시명령을 발생시켜 제어부(4600)를 통해 연산처리부(4400)로 전송한다. 또한 키입력부(4700)는 모드설정키(미도시)를 구비하여 온도 및 압력 제어모드, 온도 및 압력 미제어모드 중 하나를 선택할 수 있게 한다. 여기서 온도 및 압력 제어모드는 온도와 압력이 소정 값으로 일정하도록 제어되는 모드를 말하며, 온도 및 압력 미제어모드는 온도와 압력이 일정하지 않는, 즉 가변하는 모드를 말한다.The
표시부(4800)는 연산처리부(4400)로부터의 혈압정보를 제어부를 통해 수신하여 표시한다. 그리고 표시부(4800)는 혈압측정 안내정보를 표시하며, 온도와 압력이 기준 온도와 기준 압력 범위에 있지 않을 경우 에러메시지를 디스플레이한다.The
음성처리부(5000)는 제어부(4600)의 제어에 의해 마이크로 입력되는 음성을 디지털처리하여 무선부(5100)로 전송하고 무선부(15)를 통해 수신된 음성데이터를 복조하여 스피커(5030)로 출력한다. 또한 음성처리부(5000)는 제어부(4600)의 제어에 의해 혈압측정 안내정보를 스피커(5030)로 출력한다 .The
무선부(5100)는 제어부(4600)에서 출력되는 혈압정보를 변조 및 주파수 변환하여 안테나를 통해 무선신호로 전송하고 상기 안테나를 통해 수신되는 무선신호로 부터 음성 데이터 이외의 신호를 분리하여 이를 주파수변환 및 복조하여 제어부로 전송한다.The
계수설정부(5200)는, 키입력부(4800)로 부터의 계수설정 개시 명령이 제어부(4600)를 통해 연산처리부(4400)에 입력되면, 계수설정부(5200)는 사용자로부터 온도와 압력 변화에 따른 PPG신호와 혈압을 측정하여 회귀분석을 통해 상관계수들을 구하고, 이들을 연산처리부(4400)를 통해 메모리부(4500)에 저장한다. 계수설정부(5200)에서 구해진 상관계수들로, 수축기동안의 혈압에 대한 상관계수인 수축기혈압 상관계수(aSYS, bSYS, cSYS), 이완기동안의 혈압에 대한 상관계수인 이완기혈압 상관계수(aDIA, bDIA, cDIA), 수축기동안의 혈액량 신호에 대한 상관계수인 수축기혈액량 상관계수(αSYS, βSYS, γSYS), 이완기동안의 혈액량 신호에 대한 상관계수인 이완기 혈액량 상관계수(αDIA, βDIA, γDIA), 수축기동안의 맥파신호에 대한 상관계수인 수축기 맥파 상관계수(ΑSYS, ΒSYS, ΓSYS), 이완기 동안의 맥파신호에 대한 상관계수인 이완기 맥파 상관계수(ΑDIA, ΒDIA, ΓDIA)가 있다. 계수설정부(5200)의 계수설정과정은 키입력부(4700)의 모드설정키(미도시)가 온도 및 압력 제어모드를 설정하는가, 또는 온도 및 압력 미제어모드로 설정하는 가에 따라 달라진다. 또한 계수설정부(5200)는 내장 또는 외장이 가능하며, 외장시는 착탈가능 하게 할 수 있다.When the coefficient setting unit 5200 inputs a coefficient setting start command from the
다음은 연산처리부(4400)의 연산처리 과정을 설명한다.Next, the operation processing of the
키입력부(4700)의 모드설정키가 온도 및 압력 미제어모드일 경우의 연산처리부(4400)의 연산처리 과정은 다음과 같다.The calculation processing procedure of the
연산처리부(4400)는 데이터 수집 시스템(4200)으로 부터 입력된 압력신호 및 온도신호가 기설정된 소정의 압력기준범위 및 온도기준범위 내에 있는가를 판단하여, 상기 압력기준범위 및 온도기준범위 내에 있지 않을 때는 혈압측정을 다시하도록, 즉, PPG신호 검출, 압력신호 검출, 온도신호 검출을 다시 하도록 표시부(4600)에서 알린다.The
연산처리부는, 상기 압력기준범위 및 온도기준범위 내에 있을 때는, 데이터 수집 시스템(4200)으로 부터 입력된 PPG 신호로부터 도 2에서와 같이 수축기와 이완기의 시간 구간을 구한다. 그리고 데이터 수집 시스템(4200)으로 부터 입력된 온도신호로 부터, 상기 수축기와 이완기의 시간 구간의 온도인, 수축기 온도(TSYS)와 이완기 온도(TDIA)를 구하며, 데이터 수집 시스템(4200)으로 부터 입력된 압력신호로 부터, 상기 수축기와 이완기의 시간 구간의 압력인, 수축기 압력(PSYS)과 이완기 압력(PDIA)을 구한다.When the calculation processing unit is within the pressure reference range and the temperature reference range, the operation processing unit obtains the time intervals of the systolic and diastolic stages as shown in FIG. 2 from the PPG signal input from the
연산처리부(4400)는 수학식 10에 의해 맥파 신호(PR)를 구한다.The
여기서 수축기 맥파 상관계수인 ΑSYS, ΒSYS, ΓSYS 에 있어서, ΑSYS, ΒSYS는 양의 실수이며, ΓSYS는 음의 실수이다. 그리고 이완기 맥파 상관계수인 ΑDIA, ΒDIA, ΓDIA에 있어서, ΑDIA, ΒDIA는 양의 실수이며, ΓDIA는 음의 실수이다.In the systolic pulse wave correlation coefficients ASYS , ΒSYS , and ΓSYS , ASYS and ΒSYS are positive real numbers and ΓSYS is negative real numbers. In the diastolic pulse wave correlation coefficients ADIA , ΒDIA and ΓDIA , ADIA and ΒDIA are positive real numbers and ΓDIA is negative real numbers.
연산처리부(4400)는 수학식 11에 의해 수축기 혈액량 신호(PPGSYS)를 구한다.The
여기서, 수축기혈액량 상관계수인αSYS, βSYS, γSYS에 있어서, αSYS는 음의 실수이고, βSYS, γSYS는 양의 실수이다.Here, in the systolic blood volume correlation coefficients αSYS , βSYS , and γSYS , αSYS is a negative real number, and βSYS and γSYS are positive real numbers.
연산처리부(4400)는 수학식 12에 의해 이완기 혈액량 신호(PPGDIA)를 구한다.The
여기서, 이완기 혈액량 상관계수인αDIA, βDIA, γDIA에 있어서 αDIA는 음의 실수이고, βDIA, γDIA는 양의 실수이다.Here, in the diastolic blood volume correlation coefficients αDIA , βDIA , and γDIA , αDIA is a negative real number, and βDIA and γDIA are positive real numbers.
연산처리부(4400)는 수학식 13에 의해 수축기 혈압(BPSYS)을 구한다.The
여기서 수축기혈압 상관계수인 aSYS, bSYS, cSYS에 있어서, aSYS, bSYS는 음의 실수이며 cSYS는 양의 실수이다.Here, for the systolic blood pressure correlation coefficients aSYS , bSYS and cSYS , aSYS and bSYS are negative real numbers and cSYS is a positive real number.
연산처리부(4400)는 수학식 14에 의해 이완기 혈압(BPDIA)을 구한다.The
여기서 이완기혈압 상관계수인 aDIA, bDIA, cDIA에 있어서, aDIA, bDIA는 음의 실수이며 cDIA는 양의 실수이다.Here, for diastolic blood pressure correlation coefficients aDIA , bDIA and cDIA , aDIA and bDIA are negative real numbers and cDIA is a positive real number.
즉 상기 수학식 10 내지 수학식 14로부터 수축기 혈액량 신호, 이완기 혈액량 신호, 맥파신호를 산출한다.That is, the systolic blood volume signal, the diastolic blood volume signal, and the pulse wave signal are calculated from Equations 10 to 14.
데이터 수집 시스템(4200)으로 부터 입력된 PPG신호 파형으로 부터 수축기 혈액량 신호, 이완기 혈액량 신호, 맥파신호를 검출한다. 이때 수축기 혈액량 신호, 이완기 혈액량 신호, 맥파신호의 검출은 도 2에서와 같이 PPG신호파형에서는 맥파신호는 진폭(AM)으로 부터 구하며, 수축기 혈액량신호는 직류성분(DC)으로 부터 구하고, 이완기 혈액량신호는 기저선(BL)으로 부터 구한다.The systolic blood volume signal, the diastolic blood volume signal, and the pulse wave signal are detected from the PPG signal waveform input from the
이렇게 측정된 수축기 혈액량 신호, 이완기 혈액량 신호, 맥파신호 값들을, 상기 수학식 10 내지 14로부터 산출된 수축기 혈액량 신호, 이완기 혈액량 신호, 맥파신호 값들과 같은지 판단한다.The measured systolic blood volume signal, diastolic blood volume signal, and pulse wave signal values are determined to be equal to the systolic blood volume signal, diastolic blood volume signal, and pulse wave signal values calculated from Equations 10 to 14.
만약 산출된 값들과 측정된 값들이 같다면, 수학식 10 내지 14로부터 구해진 이완기 혈압 및 수축기 혈압을 혈압값으로 출력한다.If the calculated values and the measured values are the same, the diastolic blood pressure and the systolic blood pressure obtained from Equations 10 to 14 are output as blood pressure values.
만약 산출된 값들과 측정된 값들이 다르다면, 측정된 수축기 혈액량 신호, 이완기 혈액량 신호, 맥파신호를 기존 설정된 온도와 압력에 의해 정규화(normalization)하여 정규화된 수축기 혈액량 신호, 이완기 혈액량 신호, 맥 파신호를 구하고, 이 구해진 값들을 이용하여 이완기 혈압과 수축기 혈압을 다시 산출하여 혈압값으로 출력한다.If the calculated values are different from the measured values, the normalized systolic blood volume signal, diastolic blood volume signal, pulse wave signal by normalizing the measured systolic blood volume signal, diastolic blood volume signal, and pulse wave signal by the preset temperature and pressure. Then, the diastolic and systolic blood pressures are recalculated using the obtained values and output as blood pressure values.
다음은 키입력부(4700)의 모드설정키가 온도 및 압력 제어모드일 경우의 연산처리부(4400)의 연산처리 과정은 다음과 같다.Next, the operation processing of the
연산처리부(4400)는 데이터 수집 시스템(4200)으로 부터 입력된 압력신호 및 온도신호가 기설정된 소정의 압력기준범위 및 온도기준범위 내에 있는가를 판단하여, 상기 압력기준범위 및 온도기준범위 내에 있지 않을 때는 측정 위치, 압력 등을 바꾸어 혈압측정을 다시하도록 표시부(4600)에서 알린다.The
연산처리부는, 상기 압력기준범위 및 온도기준범위 내에 있을 때는, 데이터 수집 시스템(4200)으로 부터 입력된 PPG신호 파형으로 부터 수축기 혈액량 신호, 이완기 혈액량 신호, 맥파신호를 검출한다. 이때 수축기 혈액량 신호, 이완기 혈액량 신호, 맥파신호의 검출은 도 2에서와 같이 PPG신호파형에서는 맥파신호는 진폭(AM)으로 부터 구하며, 수축기 혈액량신호는 직류성분(DC)으로 부터 구하고, 이완기 혈액량신호는 기저선(BL)으로 부터 구한다.The calculation processing unit detects the systolic blood volume signal, the diastolic blood volume signal, and the pulse wave signal from the PPG signal waveform input from the
검출된 수축기 혈액량 신호, 이완기 혈액량 신호, 맥파신호를 이용하여, 수학식 13과 수학식 14에 의해 구한 수축기 혈압(BPSYS)과 이완기 혈압(BPDIA)을 혈압값으로 출력한다.Using the detected systolic blood volume signal, diastolic blood volume signal, and pulse wave signal, systolic blood pressure BPSYS and diastolic blood pressure BPDIA obtained by equations (13) and (14) are output as blood pressure values.
도 4는 도 3의 PPG신호 검출부(1000)를 설명하기위한 블록도로, LED부(1150)및 광센서(1200)를 구비하는 PPG 센싱부(1100)와, LED 구동부(1400)및 PPG신호 전 처리부(1450)를 구비하는 PPG 검출 제어부(1300)로 이루어진다.FIG. 4 is a block diagram illustrating the PPG
PPG 센싱부(1100)는 LED부(1150)와 광센서(1200)로 이루어지며, LED부(1150)에서 발생된 광이 조직에서 투과되거나 반사되는 광을 검출한다.The
LED부(1150)는 PPG 검출 제어부(1300)의 LED 구동부(1400)에 의해 구동되며, 파장이 다른 2개의 광을 출력하여 조사하는 2개의 발광 다이오드(LED)로 이루어진다. LED부(1150)는 적색 파장과 근적외선(near infrared) 파장의 광을 출력하는 각 발광다이오드(LED)를 이용할 수 있다.The
광 센서(1200)는 투과되거나 반사되는 2개의 광을 검출하여 전기신호 즉 전류신호로 변환하는 것으로, 광 센서(1200)는 포토 다이오드로 구성할 수 있다. 광 센서(1200)는 적색 파장과 근적외선 파장을 검출할 수 있는 포토 다이오드로 구성할 수 있다.The
PPG 검출 제어부(1300)는 LED 구동부(1400)와 PPG신호 전처리부(1450)를 구비하며, LED부(1150)의 2개 LED의 각 파장대에 대해 일정한 전류를 인가시키도록 제어하며, PPG 신호를 검출하게한다.The
LED 구동부(1400)는 LED부(1150)의 2개의 LED의 각 파장대에 대해 일정한 전류를 인가시킨다. LED 구동시 전류제어(current control)를 첨가시켜 2개 채널(channel)에서 측정된 신호의 DC값이 일정하게 한다.The
PPG신호 전처리부(1450)는 전류-전압 변환기(1500), PPG 전치증폭기(1600), 디모듈레이터(1700), 필터부(1750)로 이루어지며, 광센서(1200)에서 입력되는 상기 전기신호를 적정 이득을 갖도록 조정하여 증폭한 후, 주변 아티팩트를 제거한다.The
전류-전압 변환기(1500)는 광센서(1200)에서 입력되는 전류신호를 전압신호로 변환한다.The current-
PPG 전치증폭기(1600)는 차동증폭기로 구성되어, 전류-전압 변환기(1500)에서 출력된 신호를 이 차동증폭기를 통해 증폭한다.The
디모듈레이터(1700)는 PPG 전치증폭기(1600)로 부터 입력된 신호를 주변(ambient) 신호와 각 파장별로 신호를 분리한다.The
필터부(1750)는 적색광 필터부(1800), 적외선 필터부(1900)를 구비하며, 디모듈레이터(1700)로 분리되어 출력된 각각의 파장별 신호에 대해 주변(ambient) 신호를 빼서 주변 아티팩트(ambient artifact)를 제거하고 DC 필터링(filtering)과 AC 이득제어(gain control)를 통해 AC 성분만을 가진 광혈류 측정신호(PPG)를 획득하여 데이터 수집 시스템(4200)으로 전달한다.The
적색광 필터부(1800)는 디모듈레이터(1700)에서 분리되어 출력된 적색광 신호에서 주변 신호를 빼서 주변 아티팩트를 제거하고 DC 필터링과 AC 이득제어를 통해 AC 성분만을 가진 적생광 PPG 신호를 획득한다.The red
적외선 필터부(1900)는 디모듈레이터(1700)에서 분리되어 출력된 적외선 신호에서 주변 신호를 빼서 주변 아티팩트를 제거하고 DC 필터링과 AC 이득제어를 통해 AC 성분만을 가진 적외선 PPG 신호를 획득한다.The
도 5는 손가락에서 도 4의 PPG 센싱부의 부착위치의 일예이다.FIG. 5 is an example of an attachment position of the PPG sensing unit of FIG. 4 in a finger. FIG.
PPG 센싱부(1100)가 착용되었을 때 손가락의 횡단면도를 보여준다. 손가락 동맥은 손가락의 세로에 수평하게 피부표면 근처에 위치한다. PPG 센싱부에 있어서 광센서와 LED를 위치 시키는 것은 2가지 방법이 있다. 도 5의 (a)에서와 같이 같은 면에 광센서와 LED를 둘 다를 위치시켜 반사성의 PPG 신호를 얻을 수 있으며, 도 5의 (b)에서와 같이 광센서와 LED를 서로 반대편에 위치시키는 것은 투과성의 PPG 신호를 얻을 수 있다.When the
도 6은 도 3의 PPG 센싱부, 압력 센싱부, 온도 센싱부의 손가락에서의 부착위치의 일예이다. 도 6에서는 도 5의 (b)에서와 같이 광센서와 LED를 서로 반대편에 위치시키며, 온도센서는 LED와 겹치지 않으며 손가락의 저면에 접촉되도록 위치시키고, 그리고 손가락이 눌러짐에 따라 저면에 있는 압력센서가 눌러지도록 압력센서를 위치시킨다. 본 발명에서 PPG 센싱부, 압력 센싱부, 온도 센싱부의 장착위치는 이로써 한정된 것이 아니라, 본 발명의 요지가 변경되지 않는 한도내에서 여러가지 응용이 가능함은 물론이다.6 is an example of an attachment position on the finger of the PPG sensing unit, the pressure sensing unit, and the temperature sensing unit of FIG. 3. In FIG. 6, the optical sensor and the LED are positioned opposite to each other as shown in FIG. 5 (b), and the temperature sensor is positioned so as to contact the bottom of the finger without overlapping the LED, and the pressure at the bottom as the finger is pressed. Position the pressure sensor so that the sensor is pressed. In the present invention, the mounting position of the PPG sensing unit, the pressure sensing unit, and the temperature sensing unit is not limited thereto, and various applications are possible without departing from the spirit of the present invention.
도 7은 도 3의 계수 설정부를 설명하기위한 개략적인 블럭도로, 압력측정부(5300), 온도측정부(5400), 혈압측정부(5500), PPG측정부(5600), 계수연산부(5700)를 구비한다.FIG. 7 is a schematic block diagram illustrating the coefficient setting unit of FIG. 3, including a
압력측정부(5300)는 사용자 측정부위로 부터 가해지는 압력을 측정한다.The
온도측정부(5400)는 사용자 측정부위의 온도를 측정한다.The
혈압측정부(5500)는 별도의 체외 혈압측정기(Non invasive blood pressure, NIBP)를 구비하여, 별도로 사용자의 혈압을 측정한다. 즉 혈압측정부(5500)는 압력측정부(5300)와 온도측정부(5400)에서 온도와 압력을 측정함과 동시에 혈압을 측정한다. 이로써 온도와 압력의 변화에 따른 혈압을 측정할 수 있다. 또한 이때 동시 에 PPG측정부(5600)에 의해 PPG 신호도 측정한다. 별도의 체외 혈압측정기(NIBP)로 오실로메트릭방식의 혈압측정기 또는 청진법에 의한 혈압측정기 등을 사용할 수 있다.The blood
PPG측정부(5600)는 압력측정부(5300)와 온도측정부(5400)에서 온도와 압력을 측정함과 동시에 PPG 신호를 측정한다. 이로써 온도와 압력의 변화에 따른 PPG 신호를 측정할 수 있다. 또한 이와 동시에 혈압도 측정한다.The
계수연산부(5700)는 압력측정부(5300), 온도측정부(5400), 혈압측정부(5500), PPG측정부(5600)로부터 동시에 측정된 압력, 온도, 혈압, PPG신호를 수신하고, 계수연산부(5700)에서 수신한 PPG신호로 부터 온도 또는 압력변화에 따른 수축기 혈압, 이완기 혈압, 맥파를 구하고, 이를 혈압측정부(5200)에서 입력된 온도 또는 압력변화에 따른 수축기 및 이완기 혈압값과 함께 회귀분석(중회귀분석)을 통해 각 상관계수들, 즉 수축기혈압 상관계수(aSYS, bSYS, cSYS), 이완기혈압 상관계수(aDIA, bDIA, cDIA), 수축기혈액량 상관계수(αSYS, βSYS, γSYS), 이완기 혈액량 상관계수(αDIA, βDIA, γDIA), 수축기 맥파 상관계수(ΑSYS, ΒSYS, ΓSYS), 이완기 맥파 상관계수(ΑDIA, ΒDIA, ΓDIA)를 구한다.The coefficient calculating unit 5700 receives pressure, temperature, blood pressure, and PPG signals simultaneously measured from the
도 8은 온도 및 압력 제어시의 도 7의 계수 설정부의 동작을 설명하기 위한 흐름도이다.FIG. 8 is a flowchart for explaining an operation of the coefficient setting unit of FIG. 7 in temperature and pressure control.
키입력부(4800)의 모드설정키가 온도 및 압력 제어모드로 설정되고, 키입력부(4700)에서 계수설정 개시명령이 입력되면, 계수설정부(5200)는 동작을 시작한다.When the mode setting key of the
압력측정부(5300)으로 부터 입력된 압력신호가 기설정된 소정의 기준범위내에 있는가를 판단하며(S3100), 압력신호가 기준범위내에 있다면 온도측정부(5400)로 부터 입력된 온도신호가 기설정된 소정의 기준범위내에 있는가를 판단한다(S3200).It is determined whether the pressure signal input from the
온도와 압력이 소정 기준범위내에 있다면, 계수설정을 보정할 것인가를 판단하며(S3300), 계수설정을 보정안 할 경우에는, 기존회귀식에 따른 계수 설정을 한다(S3400). 즉, 계수설정을 보정을 안할 경우, 사용자 인터페이스에 의해 입력된 사용자의 신장, 손가락둘레, 몸무게, 성별, 나이에 따라 규정되어지는 수축기 혈액량 신호(PPGSYS), 이완기 혈액량 신호(PPGDIA), 맥파신호(PR)에 의해, 수학식 13과 수학식 14에서 사용된 각 계수들을 회귀분석을 통해 구하여 연산처리부(4400)를 통해 메모리부(4500)에 저장한다.If the temperature and pressure are within a predetermined reference range, it is determined whether to correct the coefficient setting (S3300), and when not correcting the coefficient setting, coefficient setting according to the existing regression equation is performed (S3400). That is, when the coefficient setting is not corrected, the systolic blood volume signal (PPGSYS ), the diastolic blood volume signal (PPGDIA ), and pulse wave defined by the user's height, finger circumference, weight, sex, and age inputted by the user interface By the signal PR, the coefficients used in Equations 13 and 14 are obtained through regression analysis and stored in the
계수설정을 보정 할 경우에는 혈압측정부(5500)에서 측정된 혈압(BP)을 측정함과 동시에, PPG측정부(5600)에서 PPG 신호를 측정하고, 측정된 PPG신호파형으로 부터 수축기 혈액량 신호(PPGSYS), 이완기 혈액량 신호(PPGDIA), 맥파신호(PR)를 검출한다(S3500). 이때 PPG신호파형에서 도 2와 같이, 맥파신호(PR)는 진폭(AM)에 의해 구하며, 수축기 혈액량신호(PPGSYS)는 직류성분(DC)에 의해 구하고, 이완기 혈액량신호(PPGDIA)는 기저선(BL)에 의해 구한다.When correcting the coefficient setting, the blood pressure (BP) measured by the blood
기준혈압, 기준 수축기 혈액량 신호(PPGSYS), 기준 이완기 혈액량 신호(PPGDIA), 기준 맥파신호(PR)를 설정한다(S3600). 여기서 기준 혈압은 기준 수축기 혈압과 기준 이완기 혈압을 말한다.Reference blood pressure, reference systolic blood volume signal PPGSYS , reference diastolic blood volume signal PPGDIA , and reference pulse wave signal PR are set (S3600). Here, the reference blood pressure refers to the reference systolic blood pressure and the reference diastolic blood pressure.
기준 혈압값(BP), 기준 수축기 혈액량 신호(PPGSYS), 기준 이완기 혈액량 신호(PPGDIA), 기준 맥파신호(PR)를 메모리부(4500)에 저장한다(S3700).The reference blood pressure value BP, the reference systolic blood volume signal PPGSYS , the reference diastolic blood volume signal PPGDIA , and the reference pulse wave signal PR are stored in the memory unit 4500 (S3700).
혈압값(수축기 혈압, 이완기 혈압), 수축기 혈액량 신호(PPGSYS), 이완기 혈액량 신호(PPGDIA), 맥파신호(PR)로 부터 수학식 13, 수학식 14에서 사용된 각 계수들을 중회귀분석을 통해 구하고 메모리부(4500)에 저장한다(S3800). 즉, 수축기혈압 상관계수(aSYS, bSYS, cSYS), 이완기혈압 상관계수(aDIA, bDIA, cDIA)를 구하여 메모리부(4500)에 저장한다.Multiple regression analysis was performed on the coefficients used in Equations 13 and 14 from the blood pressure values (constrictor blood pressure, diastolic blood pressure), systolic blood volume signal (PPGSYS ), diastolic blood volume signal (PPGDIA ), and pulse wave signal (PR). Obtain through and store in the memory unit 4500 (S3800). That is, systolic blood pressure correlation coefficients (aSYS , bSYS , cSYS ) and diastolic blood pressure correlation coefficients (aDIA , bDIA , cDIA ) are obtained and stored in the
도 9는 온도 및 압력 미제어시의 도 7의 계수 설정부의 동작을 설명하기 위한 흐름도이다.FIG. 9 is a flowchart for explaining an operation of a coefficient setting unit of FIG. 7 when temperature and pressure are not controlled.
키입력부(4700)의 모드설정키가 온도 및 압력 미제어모드로 설정되고, 키입력부(4700)에서 계수설정 개시명령이 입력되면, 계수설정부(5200)는 동작을 시작한다.When the mode setting key of the
압력측정부(5300)으로 부터 입력된 압력신호가 기설정된 소정의 기준범위내에 있는가를 판단하며(S4100), 압력신호가 기준범위내에 있다면 온도측정부(5400)로 부터 입력된 온도신호가 기설정된 소정의 기준범위내에 있는가를 판단한다(S4200).It is determined whether the pressure signal input from the
온도와 압력이 소정 기준범위내에 있다면, 소정시간동안 온도와 압력을 측정한다(S4300).If the temperature and pressure are within a predetermined reference range, the temperature and pressure is measured for a predetermined time (S4300).
계수설정을 보정할 것인가를 판단하며(S4400), 계수설정을 보정 안할 경우에는, 기존회귀식에 따른 계수 설정을 한다(S4500). 즉, 계수설정을 보정 안할 경우, 사용자 인터페이스에 의해 입력된 사용자의 신장, 손가락둘레, 몸무게, 성별, 나이에 따라 규정되어지는 수축기 혈액량 신호(PPGSYS), 이완기 혈액량 신호(PPGDIA), 맥파신호(PR)에 의해, 수학식 10 내지 수학식 14에서 사용된 각 계수들이 회귀분석을 통해 구하여져 메모리부(4500)에 저장된다.It is determined whether to correct the coefficient setting (S4400). If the coefficient setting is not corrected, the coefficient setting according to the existing regression equation is performed (S4500). That is, when the coefficient setting is not corrected, the systolic blood volume signal (PPGSYS ), the diastolic blood volume signal (PPGDIA ), and the pulse wave signal defined by the user's height, finger circumference, weight, gender, and age input by the user interface By (PR), each coefficient used in Equations 10 to 14 is obtained through regression analysis and stored in the
계수설정을 보정 할 경우에는 혈압측정부(5200)에서 측정된 혈압(BP)을, 온도측정부(5400)에서 온도를, 압력측정부(5300)에서 압력을, PPG측정부(5300)에서 PPG 신호를 측정하고, 측정된 PPG신호파형으로 부터 수축기 혈액량 신호(PPGSYS), 이완기 혈액량 신호(PPGDIA), 맥파신호(PR)를 검출한다(S4600). 즉 이때 PPG신호파형에서 도 2와 같이 맥파신호(PR)는 진폭(AM)으로부터, 수축기 혈액량신호(PPGSYS)는 직류성분(DC)으로부터, 이완기 혈액량신호(PPGDIA)는 기저선(BL)으로부터 구한다.When correcting the coefficient setting, the blood pressure BP measured by the blood pressure measuring unit 5200, the temperature by the
기준혈압, 기준 수축기 혈액량 신호(PPGSYS), 기준 이완기 혈액량 신호(PPGDIA), 기준 맥파신호(PR)를 설정한다(S4700). 여기서 기준 혈압은 기준 수 축기 혈압과 기준 이완기 혈압을 말한다.Reference blood pressure, reference systolic blood volume signal (PPGSYS ), reference diastolic blood volume signal (PPGDIA ), and reference pulse wave signal (PR) are set (S4700). Here, the reference blood pressure refers to the reference systolic blood pressure and the reference diastolic blood pressure.
기준 혈압값(BP), 기준 수축기 혈액량 신호(PPGSYS), 기준 이완기 혈액량 신호(PPGDIA), 기준 맥파신호(PR)를 메모리부(4500)에 저장한다(S4800).The reference blood pressure value BP, the reference systolic blood volume signal PPGSYS , the reference diastolic blood volume signal PPGDIA , and the reference pulse wave signal PR are stored in the memory unit 4500 (S4800).
혈압값(수축기 혈압, 이완기 혈압), 온도, 압력, 수축기 혈액량 신호(PPGSYS), 이완기 혈액량 신호(PPGDIA), 맥파신호(PR)로 부터 수학식 10 내지 수학식 14에서 사용된 각 계수들을 중회귀분석을 통해 구하고 메모리부(4500)에 저장한다(S4900). 즉, 수축기혈압 상관계수(aSYS, bSYS, cSYS), 이완기혈압 상관계수(aDIA, bDIA, cDIA), 수축기혈액량 상관계수(αSYS, βSYS, γSYS), 이완기 혈액량 상관계수(αDIA, βDIA, γDIA), 수축기 맥파 상관계수(ΑSYS, ΒSYS, ΓSYS), 이완기 맥파 상관계수(ΑDIA, ΒDIA, ΓDIA)를 구하여 메모리부(4500)에 저장한다.From the blood pressure values (constrictor blood pressure, diastolic blood pressure), temperature, pressure, systolic blood volume signal (PPGSYS ), diastolic blood volume signal (PPGDIA ), pulse wave signal (PR), the respective coefficients used in Equations 10 to 14 Obtained through the regression analysis and stored in the memory unit (500) (S4900). That is, systolic blood pressure correlation coefficient (aSYS , bSYS , cSYS ), diastolic blood pressure correlation coefficient (aDIA , bDIA , cDIA ), systolic blood volume correlation coefficient (αSYS , βSYS , γSYS ), diastolic blood volume correlationObtain coefficients (αDIA , βDIA , γDIA ), systolic pulse wave correlation coefficients (ΑSYS , ΒSYS , ΓSYS ), and diastolic pulse wave correlation coefficients (ΑDIA , ΒDIA , ΓDIA ) and store them in the
도 10은 온도 및 압력 제어시 도 3의 연산처리부에서 수축기 혈압 및 이완기 혈압을 구하는 개략적인 흐름도이다. 도 10은 키입력부(4700)의 모드설정키가 온도 및 압력 제어모드로 설정되고, 키입력부(4800)에서 혈압측정 개시명령이 입력되었을 때의 연산처리부(4400)의 흐름도를 나타낸다.FIG. 10 is a schematic flowchart of obtaining systolic blood pressure and diastolic blood pressure in the calculation processor of FIG. 3 during temperature and pressure control. FIG. 10 shows a flowchart of the
데이터 수집 시스템(4200)으로 부터 입력된 압력신호가 기설정된 소정의 기준범위내에 있는가를 판단하며(S100), 압력신호가 기준범위내에 있다면 데이터 수집 시스템(4200)으로 부터 입력된 온도신호가 기설정된 소정의 기준범위내에 있는가를 판단한다(S130).It is determined whether the pressure signal input from the
온도신호가 소정의 기준범위내에 있다면, 연산처리부(4400)는 PPG신호 검출부(1000)에서 측정된 PPG신호를 데이터 수집 시스템(4200)을 통해 수신하고(S200), 측정된 PPG신호파형으로 부터 수축기 혈액량 신호(PPGSYS), 이완기 혈액량 신호(PPGDIA), 맥파신호(PR)를 검출한다(S300). 즉 이때 PPG신호파형에서 도 2와 같이 맥파신호(PR)는 진폭(AM)으로부터, 수축기 혈액량신호(PPGSYS)는 직류성분(DC)으로부터, 이완기 혈액량신호(PPGDIA)는 기저선(BL)으로부터 구한다.If the temperature signal is within a predetermined reference range, the
연산처리부(4400)는 메모리부(4500)로 부터 상관계수들을 읽어 들인다(S400). 즉 메모리부(4500)로 부터 수축기혈압 상관계수(aSYS, bSYS, cSYS), 이완기혈압 상관계수(aDIA, bDIA, cDIA)를 읽어들인다.The
측정된 PPG신호파형으로 부터 검출된 수축기 혈액량 신호(PPGSYS), 이완기 혈액량 신호(PPGDIA), 맥파신호(PR), 그리고 수축기혈압 상관계수(aSYS, bSYS, cSYS), 이완기혈압 상관계수(aDIA, bDIA, cDIA)를 이용하여 수학식 13 및 수학식 14에 의해 수축기 혈압과 이완기 혈압을 구한다(S500).Systolic blood volume signal (PPGSYS ), diastolic blood volume signal (PPGDIA ), pulse wave signal (PR), and systolic blood pressure correlation coefficient (aSYS , bSYS , cSYS ) detected from the measured PPG signal waveform, diastolic blood pressure correlation Using the coefficients (aDIA , bDIA , cDIA ), systolic and diastolic blood pressures are obtained by using Equations 13 and 14 (S500).
도 11은 온도 및 압력 미제어시 도 3의 연산처리부에서 수축기 혈압 및 이완기 혈압을 구하는 개략적인 흐름도이다. 도 11은 키입력부(4700)의 모드설정키가 온도 및 압력 미제어모드로 설정되고, 키입력부(4700)에서 혈압측정 개시명령이 입력되었을 때의 연산처리부(4400)의 흐름도를 나타낸다.FIG. 11 is a schematic flowchart of calculating systolic blood pressure and diastolic blood pressure in the calculation processor of FIG. 3 when temperature and pressure are not controlled. FIG. 11 shows a flowchart of the
데이터 수집 시스템(4200)으로 부터 입력된 압력신호가 기설정된 소정의 기준범위내에 있는가를 판단하며(S1100), 압력신호가 기준범위내에 있다면 데이터 수집 시스템(4200)으로 부터 입력된 온도신호가 기설정된 소정의 기준범위내에 있는가를 판단한다(S1130).It is determined whether the pressure signal input from the
온도신호가 소정의 기준범위내에 있다면, 연산처리부(4400)는 메모리부(4500)로 부터 상관계수들을 읽어 들인다(S1170). 즉 메모리부(4500)로 부터 수축기혈압 상관계수(aSYS, bSYS, cSYS), 이완기혈압 상관계수(aDIA, bDIA, cDIA), 수축기혈액량 상관계수(αSYS, βSYS, γSYS), 이완기 혈액량 상관계수(αDIA, βDIA, γDIA), 수축기 맥파 상관계수(ΑSYS, ΒSYS, ΓSYS), 이완기 맥파 상관계수(ΑDIA, ΒDIA, ΓDIA)를 읽어들인다(S170).If the temperature signal is within a predetermined reference range, the
연산처리부(4400)는 데이터 수집 시스템(4200)으로 부터 입력된 PPG 신호로부터 수축기와 이완기의 시간 구간을 구한다(S1200).The
데이터 수집 시스템(4200)으로 부터 입력된 온도신호로 부터 상기 수축기와 이완기의 시간 구간의 온도인, 수축기 온도(TSYS)와 이완기 온도(TDIA)를 구한다(S1250).The systolic temperature TSYS and the diastolic temperature TDIA , which are the temperatures of the systolic and diastolic time intervals, are obtained from the temperature signal input from the data collection system 4200 (S1250).
데이터 수집 시스템(4200)으로 부터 입력된 압력신호로 부터 상기 수축기와 이완기의 시간 구간의 압력인, 수축기 압력(PSYS)과 이완기 압력(PDIA)을 구한다(S1300).From the pressure signal input from the
수축기 맥파 상관계수(ΑSYS, ΒSYS, ΓSYS), 수축기 온도(TSYS), 수축기 압력(PSYS)을 가지고 수학식 10에 의해 맥파 신호(PR)를 구하거나, 또는 이완기 맥파 상관계수(ΑDIA, ΒDIA, ΓDIA), 이완기 온도(TDIA), 이완기 압력(PDIA)을 가지고 수학식 10에 의해 맥파 신호(PR)를 구한다(S1350).With the systolic pulse wave correlation coefficient (ΑSYS , ΒSYS , ΓSYS ), systolic temperature (TSYS ), systolic pressure (PSYS ), the pulse wave signal (PR) can be obtained by Equation 10, or the diastolic pulse wave correlation coefficient ( ADIA , ΒDIA , ΓDIA ), a diastolic temperature (TDIA ), and a diastolic pressure (PDIA ) are used to obtain a pulse wave signal PR by Equation 10 (S1350).
수축기혈액량 상관계수(αSYS, βSYS, γSYS), 수축기 온도(TSYS), 수축기 압력(PSYS)을 가지고, 수학식 11에 의해 수축기 혈액량 신호(PPGSYS)를 구한다(S1400).Systolic blood volume correlation coefficients (αSYS , βSYS , γSYS ), systolic temperature (TSYS ), systolic pressure (PSYS ), and the systolic blood volume signal (PPGSYS ) is calculated by Equation 11 (S1400).
이완기 혈액량 상관계수(αDIA, βDIA, γDIA), 이완기 온도(TDIA), 이완기 압력(PDIA)을 가지고 수학식 12에 의해 이완기 혈액량 신호(PPGDIA)를 구한다(S1450).The diastolic blood volume correlation coefficient (αDIA , βDIA , γDIA ), the diastolic temperature (TDIA ), and the diastolic pressure (PDIA ) are obtained using Equation 12 to obtain a diastolic blood volume signal (PPGDIA ) (S1450).
수축기혈압 상관계수(aSYS, bSYS, cSYS), 수축기 혈액량 신호(PPGSYS), 맥파 신호(PR)를 가지고 수학식 13에 의해 수축기 혈압(BPSYS)을 구한다(S1500).The systolic blood pressure correlation coefficient (aSYS , bSYS , cSYS ), the systolic blood volume signal (PPGSYS ), and the pulse wave signal (PR) are used to calculate the systolic blood pressure (BPSYS ) by Equation 13 (S1500).
이완기혈압 상관계수(aDIA, bDIA, cDIA), 이완기 혈액량 신호(PPGDIA), 맥파 신호(PR)를 가지고 수학식 14에 의해 이완기 혈압(BPDIA)을 구한다(S1550).The diastolic blood pressure correlation coefficient (aDIA , bDIA , cDIA ), the diastolic blood volume signal (PPGDIA ), and the pulse wave signal (PR) are calculated using Equation 14 to obtain a diastolic blood pressure (BPDIA ).
데이터 수집 시스템(4200)으로 부터 입력된 PPG신호 파형으로 부터 수축기 혈액량 신호(PPGSYS), 이완기 혈액량 신호(PPGDIA), 맥파신호(PR)를 검출한다(S1600). 즉 PPG신호파형에서는 도 2에서와 같이 맥파신호(PR)는 진폭(AM)으로 구하며, 수축 기 혈액량신호(PPGSYS)는 직류성분(DC)으로 구하고, 이완기 혈액량신호(PPGDIA)는 기저선(BL)으로 구한다.The systolic blood volume signal PPGSYS , the diastolic blood volume signal PPGDIA , and the pulse wave signal PR are detected from the PPG signal waveform input from the data collection system 4200 (S1600). That is, in the PPG signal waveform, as shown in FIG. 2, the pulse wave signal PR is obtained by the amplitude AM, the systolic blood volume signal PPGSYS is obtained by the DC component, and the diastolic blood volume signal PPGDIA is the baseline ( BL).
산출된 값들과 측정된 값들이 같은지 판단한다. 즉 산출된 수축기 혈액량 신호(PPGSYS), 이완기 혈액량 신호(PPGDIA), 맥파신호(PR)들이 측정된 수축기 혈액량 신호(PPGSYS), 이완기 혈액량 신호(PPGDIA), 맥파신호(PR)들과 같은지 판단한다(S1650). 다시말해 S1350 내지 S1550에서 구해진 값(산출된 값)들과 S1600에서 구해진 값(측정된 값)들이 같은지 판단한다.Determine if the calculated values are the same as the measured values. That is, the calculated systolic blood volume signal (PPGSYS ), diastolic blood volume signal (PPGDIA ), pulse wave signals (PR) measured systolic blood volume signal (PPGSYS ), diastolic blood volume signal (PPGDIA ), pulse wave signals (PR) and It is determined whether or not the same (S1650). In other words, it is determined whether the values (calculated values) obtained in S1350 to S1550 and the values (measured values) obtained in S1600 are the same.
산출된 값들과 측정된 값들이 같다면, S1500 내지 S1550에서 연산된 이완기 혈압 및 수축기 혈압을 혈압값으로 출력한다(S1700). 또는 기존 설정된 혈압값을 출력한다.If the calculated values and the measured values are the same, the diastolic blood pressure and the systolic blood pressure calculated in S1500 to S1550 are output as blood pressure values (S1700). Alternatively, the previously set blood pressure value is output.
산출된 값들과 측정된 값들이 서로 다르다면, 측정된 수축기 혈액량 신호(PPGSYS), 이완기 혈액량 신호(PPGDIA), 맥파신호(PR)를 기존 설정된 온도와 압력에 의해 정규화(normalization)하여 정규화된 수축기 혈액량 신호(PPGSYS), 이완기 혈액량 신호(PPGDIA), 맥파신호(PR)를 구하고(S1800), 이 구해진 값들을 이용하여 이완기 혈압과 수축기 혈압을 다시 산출한다(S1850).If the calculated values and the measured values are different from each other, the measured systolic blood volume signal (PPGSYS ), the diastolic blood volume signal (PPGDIA ), and the pulse wave signal (PR) are normalized by the preset temperature and pressure. The systolic blood volume signal (PPGSYS ), the diastolic blood volume signal (PPGDIA ), the pulse wave signal (PR) are obtained (S1800), and the diastolic blood pressure and the systolic blood pressure are again calculated using the obtained values (S1850).
도 12a, 도 12b, 도 12c는 본 발명의 PPG신호를 이용한 혈압측정시스템을 내장한 휴대용 무선단말기의 일실시예이다. 도 12a는 휴대용 무선단말기가 휴대폰인 경우, 생체신호검출부(200)가 키입력부(4700)의 아래부분에 위치한다. 도 12b는 생 체신호검출부(200)가 휴대용 무선단말기 커버의 윗면에 위치시킨 경우이다. 도 12c는 생체신호검출부(200)가 휴대용 무선단말기 본체의 측면에 위치시킨 경우이다. 또한 도 12a, 도 12b, 도 12c의 혈압측정시스템을 내장한 휴대용 무선단말기는 계수설정부(5200)를 연결하는 포트(5230)를 구비한다.12A, 12B and 12C illustrate an embodiment of a portable wireless terminal incorporating a blood pressure measuring system using a PPG signal according to the present invention. 12A illustrates that the
단지, 도 12a, 도 12b, 도 12c는 본 발명의 혈압측정시스템을 내장한 휴대용 무선단말기의 일실시예로써, 이로써 휴대용 무선단말기에서의 생체신호검출부(200)의 위치가 한정된 것이 아니며, 본 발명의 요지가 변경되지 않는 범위에서 변경가능하다. 본 발명의 휴대용 무선단말기의 생체신호검출부(200)는 휴대용 부선단말기 본체의 어느부위에서도 외장 또는 내장의 형태로 삽입 또는 위치시킬 수 있다.12A, 12B, and 12C are exemplary embodiments of the portable wireless terminal incorporating the blood pressure measuring system according to the present invention. Thus, the position of the
본 발명은 이상에서 설명되고 도면에 예시된 것에 의해 한정되는 것은 아니며, 당업자라면 다음에 기재되는 청구범위 내에서 더 많은 변형 및 변용예가 가능한 것임은 물론이다.The present invention is not limited to the above described and illustrated in the drawings, and of course, more modifications and variations are possible to those skilled in the art within the scope of the following claims.
이상에서 설명한 바와 같이, 본 발명은 보다 정확도를 높인 PPG 신호를 이용한 혈압측정시스템을 내장한 휴대용 무선단말기를 제공하며, 본 발명의 혈압측정시스템을 내장한 휴대용 무선단말기는 커프를 사용하지 않으며 환자가 손쉽게 혈압을 측정할 수 있으며, PPG 신호를 얻을 수 있는 인체의 소동맥계 어느 부위에서도 측정가능하여 측정부위에 대한 제약이 적은 혈압측정시스템을 제공한다.As described above, the present invention provides a portable wireless terminal incorporating a blood pressure measuring system using a PPG signal with higher accuracy, and a portable wireless terminal incorporating the blood pressure measuring system of the present invention does not use a cuff and the patient It is easy to measure blood pressure, and it can be measured at any part of the human arterial system that can obtain PPG signal.
또한 본 발명의 혈압감시장치는 PPG신호를 이용하여 혈압측정시 온도와 압력 의 영향을 고려함으로써 보다 정확한 혈압을 측정할 수 있으며, 혈압측정 뿐만 아니라 심혈관 기능에 대한 정보도 획득할 수 있다.In addition, the blood pressure monitor of the present invention can measure blood pressure more accurately by considering the influence of temperature and pressure when measuring blood pressure using a PPG signal, and can obtain information on cardiovascular function as well as blood pressure measurement.
또한 최근에 사람들은 일상생활속에서 휴대폰 또는 PDA 등의 휴대용 무선단말기를 항상 휴대하는 경우가 많으며, 본 발명의 혈압측정시스템을 내장한 휴대용 무선단말기는 휴대폰 또는 PDA 등의 휴대용 무선단말기에 혈압체크시간에 맞추어진 알람등에 따라 혈압을 체크하게 한다면, 고혈압 환자들은 보다 편리하고 정기적으로 혈압을 잘 관리 할 수 있을 것이다.In recent years, people often carry a portable wireless terminal such as a mobile phone or a PDA in everyday life, and the portable wireless terminal with the blood pressure measuring system of the present invention has a blood pressure check time in a portable wireless terminal such as a mobile phone or a PDA. If you check your blood pressure according to the alarm, you will be able to manage your blood pressure more conveniently and regularly.
| Application Number | Priority Date | Filing Date | Title |
|---|---|---|---|
| KR1020050001630AKR100650044B1 (en) | 2005-01-07 | 2005-01-07 | Portable wireless terminal with blood pressure measurement system using optical blood flow measurement signal |
| Application Number | Priority Date | Filing Date | Title |
|---|---|---|---|
| KR1020050001630AKR100650044B1 (en) | 2005-01-07 | 2005-01-07 | Portable wireless terminal with blood pressure measurement system using optical blood flow measurement signal |
| Publication Number | Publication Date |
|---|---|
| KR20060081166Atrue KR20060081166A (en) | 2006-07-12 |
| KR100650044B1 KR100650044B1 (en) | 2006-11-27 |
| Application Number | Title | Priority Date | Filing Date |
|---|---|---|---|
| KR1020050001630AExpired - Fee RelatedKR100650044B1 (en) | 2005-01-07 | 2005-01-07 | Portable wireless terminal with blood pressure measurement system using optical blood flow measurement signal |
| Country | Link |
|---|---|
| KR (1) | KR100650044B1 (en) |
| Publication number | Priority date | Publication date | Assignee | Title |
|---|---|---|---|---|
| US20110071406A1 (en)* | 2009-09-21 | 2011-03-24 | Nellcor Puritan Bennett Ireland | Determining A Characteristic Respiration Rate |
| KR20150082028A (en)* | 2014-01-07 | 2015-07-15 | 삼성전자주식회사 | Sensor device and electronic device having it |
| KR20160113889A (en)* | 2015-03-23 | 2016-10-04 | 삼성전자주식회사 | Apparatus and method for detecting information of the living body |
| KR20190105421A (en) | 2018-03-05 | 2019-09-17 | 주식회사 바이오메디랩스 | apparatus and method for measuring blood presure based on PPG |
| KR20190105422A (en) | 2018-03-05 | 2019-09-17 | 주식회사 바이오메디랩스 | method for measuring blood grucose and wearable type apparatus for the same |
| KR20190110874A (en) | 2018-03-21 | 2019-10-01 | 주식회사 바이오메디랩스 | wearable type apparatus for measuring bio signals and system for medical assistance using the same |
| KR20190134319A (en) | 2018-05-25 | 2019-12-04 | 삼성전자주식회사 | Biological signal measurement apparatus, Blood pressure measurement apparatus and method |
| CN113171069A (en)* | 2021-03-05 | 2021-07-27 | 上海立阖泰医疗科技有限公司 | Embedded graphic blood pressure measuring system |
| CN113271844A (en)* | 2019-01-09 | 2021-08-17 | 图尔库大学 | Device for measuring the function of the arterial system |
| CN119405292A (en)* | 2024-08-21 | 2025-02-11 | 北京邮电大学 | A blood pressure measurement model training method and pulse blood pressure measurement system |
| Publication number | Priority date | Publication date | Assignee | Title |
|---|---|---|---|---|
| KR100880392B1 (en)* | 2007-10-09 | 2009-01-30 | (주)락싸 | Pulse wave detection method using a mobile phone |
| KR102299361B1 (en) | 2014-09-03 | 2021-09-07 | 삼성전자주식회사 | Apparatus and method for monitoring blood pressure, wearable device having function of blood pressure monitoring |
| KR102411658B1 (en) | 2015-01-15 | 2022-06-21 | 삼성전자주식회사 | Apparatus for detecting information of the living body |
| KR102384225B1 (en) | 2015-03-06 | 2022-04-07 | 삼성전자주식회사 | System and method for sensing blood pressure |
| KR102434701B1 (en) | 2015-09-01 | 2022-08-22 | 삼성전자주식회사 | Apparatus and method for acquiring bio- information and apparatus for detecting bio- information |
| KR102655671B1 (en) | 2016-10-12 | 2024-04-05 | 삼성전자주식회사 | Apparatus and method for estimating bio-information |
| KR102451023B1 (en) | 2017-10-11 | 2022-10-04 | 삼성전자주식회사 | Apparatus and method for measuring bio-information |
| KR102560304B1 (en) | 2018-05-25 | 2023-07-26 | 삼성전자주식회사 | Electronic device, blood pressure measuring method of electronic device, blood pressure measuring system |
| Publication number | Priority date | Publication date | Assignee | Title |
|---|---|---|---|---|
| JPH0924029A (en)* | 1995-07-12 | 1997-01-28 | Toto Ltd | Blood presser measuring method and finger hemodynamometer based on volume vibration method |
| Publication number | Priority date | Publication date | Assignee | Title |
|---|---|---|---|---|
| US20110071406A1 (en)* | 2009-09-21 | 2011-03-24 | Nellcor Puritan Bennett Ireland | Determining A Characteristic Respiration Rate |
| US9220440B2 (en)* | 2009-09-21 | 2015-12-29 | Nellcor Puritan Bennett Ireland | Determining a characteristic respiration rate |
| KR20150082028A (en)* | 2014-01-07 | 2015-07-15 | 삼성전자주식회사 | Sensor device and electronic device having it |
| KR20160113889A (en)* | 2015-03-23 | 2016-10-04 | 삼성전자주식회사 | Apparatus and method for detecting information of the living body |
| KR20190105421A (en) | 2018-03-05 | 2019-09-17 | 주식회사 바이오메디랩스 | apparatus and method for measuring blood presure based on PPG |
| KR20190105422A (en) | 2018-03-05 | 2019-09-17 | 주식회사 바이오메디랩스 | method for measuring blood grucose and wearable type apparatus for the same |
| KR20190110874A (en) | 2018-03-21 | 2019-10-01 | 주식회사 바이오메디랩스 | wearable type apparatus for measuring bio signals and system for medical assistance using the same |
| KR20190134319A (en) | 2018-05-25 | 2019-12-04 | 삼성전자주식회사 | Biological signal measurement apparatus, Blood pressure measurement apparatus and method |
| US11779228B2 (en) | 2018-05-25 | 2023-10-10 | Samsung Electronics Co., Ltd. | Bio-signal measurement apparatus and blood pressure measurement apparatus and method |
| CN113271844A (en)* | 2019-01-09 | 2021-08-17 | 图尔库大学 | Device for measuring the function of the arterial system |
| CN113171069A (en)* | 2021-03-05 | 2021-07-27 | 上海立阖泰医疗科技有限公司 | Embedded graphic blood pressure measuring system |
| CN113171069B (en)* | 2021-03-05 | 2024-01-26 | 上海立阖泰医疗科技有限公司 | Embedded graphic blood pressure measurement system |
| CN119405292A (en)* | 2024-08-21 | 2025-02-11 | 北京邮电大学 | A blood pressure measurement model training method and pulse blood pressure measurement system |
| Publication number | Publication date |
|---|---|
| KR100650044B1 (en) | 2006-11-27 |
| Publication | Publication Date | Title |
|---|---|---|
| KR100660349B1 (en) | Mobile blood pressure monitoring device using optical blood flow measurement signal | |
| JP6672489B2 (en) | Personal health data collection | |
| KR100650044B1 (en) | Portable wireless terminal with blood pressure measurement system using optical blood flow measurement signal | |
| US20200214579A1 (en) | Sensor and methods for continuous non-invasive blood pressure measurement and cardiovascular hemodynamics monitoring in healthcare, rehabilitation and wearable wellness monitors | |
| US20110288421A1 (en) | Blood pressure monitor | |
| US12419528B2 (en) | Photoplethysmography-based blood pressure monitoring device | |
| US10092227B2 (en) | Handheld physiological sensor | |
| US20170188960A1 (en) | Floormat physiological sensor | |
| US11123015B2 (en) | Floormat physiological sensor | |
| US10258286B2 (en) | Floormat physiological sensor | |
| US20170188885A1 (en) | Floormat physiological sensor | |
| KR20200129811A (en) | Blood Pressure Meter And Method For Measuring Blood Pressure Using The Same | |
| US10314543B2 (en) | Floormat physiological sensor | |
| KR200380928Y1 (en) | Hand-held type blood pressure monitoring system using PPG signal | |
| US20170188964A1 (en) | Physiological monitoring system featuring floormat and handheld sensor | |
| US20170188944A1 (en) | Physiological monitoring system featuring floormat and handheld sensor | |
| US20170188963A1 (en) | Physiological monitoring system featuring floormat and handheld sensor | |
| US10342492B2 (en) | Floormat physiological sensor | |
| US20170188890A1 (en) | Physiological monitoring system featuring floormat and handheld sensor | |
| US20170188962A1 (en) | Physiological monitoring system featuring floormat and handheld sensor | |
| US9848788B2 (en) | Floormat physiological sensor | |
| US10004460B2 (en) | Floormat physiological sensor | |
| US12268481B2 (en) | Photoplethysmography-based blood pressure monitoring device | |
| US20170188877A1 (en) | Floormat physiological sensor | |
| US20170188856A1 (en) | Floormat physiological sensor |
| Date | Code | Title | Description |
|---|---|---|---|
| A201 | Request for examination | ||
| PA0109 | Patent application | St.27 status event code:A-0-1-A10-A12-nap-PA0109 | |
| PA0201 | Request for examination | St.27 status event code:A-1-2-D10-D11-exm-PA0201 | |
| D13-X000 | Search requested | St.27 status event code:A-1-2-D10-D13-srh-X000 | |
| PG1501 | Laying open of application | St.27 status event code:A-1-1-Q10-Q12-nap-PG1501 | |
| D14-X000 | Search report completed | St.27 status event code:A-1-2-D10-D14-srh-X000 | |
| E701 | Decision to grant or registration of patent right | ||
| PE0701 | Decision of registration | St.27 status event code:A-1-2-D10-D22-exm-PE0701 | |
| GRNT | Written decision to grant | ||
| PR0701 | Registration of establishment | St.27 status event code:A-2-4-F10-F11-exm-PR0701 | |
| PR1002 | Payment of registration fee | St.27 status event code:A-2-2-U10-U11-oth-PR1002 Fee payment year number:1 | |
| PG1601 | Publication of registration | St.27 status event code:A-4-4-Q10-Q13-nap-PG1601 | |
| PN2301 | Change of applicant | St.27 status event code:A-5-5-R10-R11-asn-PN2301 | |
| PN2301 | Change of applicant | St.27 status event code:A-5-5-R10-R14-asn-PN2301 | |
| PR1001 | Payment of annual fee | St.27 status event code:A-4-4-U10-U11-oth-PR1001 Fee payment year number:4 | |
| PN2301 | Change of applicant | St.27 status event code:A-5-5-R10-R13-asn-PN2301 St.27 status event code:A-5-5-R10-R11-asn-PN2301 | |
| PR1001 | Payment of annual fee | St.27 status event code:A-4-4-U10-U11-oth-PR1001 Fee payment year number:5 | |
| PN2301 | Change of applicant | St.27 status event code:A-5-5-R10-R13-asn-PN2301 St.27 status event code:A-5-5-R10-R11-asn-PN2301 | |
| PR1001 | Payment of annual fee | St.27 status event code:A-4-4-U10-U11-oth-PR1001 Fee payment year number:6 | |
| PN2301 | Change of applicant | St.27 status event code:A-5-5-R10-R11-asn-PN2301 | |
| PN2301 | Change of applicant | St.27 status event code:A-5-5-R10-R14-asn-PN2301 | |
| L13-X000 | Limitation or reissue of ip right requested | St.27 status event code:A-2-3-L10-L13-lim-X000 | |
| U15-X000 | Partial renewal or maintenance fee paid modifying the ip right scope | St.27 status event code:A-4-4-U10-U15-oth-X000 | |
| FPAY | Annual fee payment | Payment date:20121116 Year of fee payment:7 | |
| PR1001 | Payment of annual fee | St.27 status event code:A-4-4-U10-U11-oth-PR1001 Fee payment year number:7 | |
| L13-X000 | Limitation or reissue of ip right requested | St.27 status event code:A-2-3-L10-L13-lim-X000 | |
| U15-X000 | Partial renewal or maintenance fee paid modifying the ip right scope | St.27 status event code:A-4-4-U10-U15-oth-X000 | |
| PN2301 | Change of applicant | St.27 status event code:A-5-5-R10-R11-asn-PN2301 | |
| PN2301 | Change of applicant | St.27 status event code:A-5-5-R10-R14-asn-PN2301 | |
| FPAY | Annual fee payment | Payment date:20140515 Year of fee payment:8 | |
| PR1001 | Payment of annual fee | St.27 status event code:A-4-4-U10-U11-oth-PR1001 Fee payment year number:8 | |
| R18-X000 | Changes to party contact information recorded | St.27 status event code:A-5-5-R10-R18-oth-X000 | |
| PR1001 | Payment of annual fee | St.27 status event code:A-4-4-U10-U11-oth-PR1001 Fee payment year number:9 | |
| PN2301 | Change of applicant | St.27 status event code:A-5-5-R10-R11-asn-PN2301 | |
| PN2301 | Change of applicant | St.27 status event code:A-5-5-R10-R14-asn-PN2301 | |
| P14-X000 | Amendment of ip right document requested | St.27 status event code:A-5-5-P10-P14-nap-X000 | |
| P16-X000 | Ip right document amended | St.27 status event code:A-5-5-P10-P16-nap-X000 | |
| Q16-X000 | A copy of ip right certificate issued | St.27 status event code:A-4-4-Q10-Q16-nap-X000 | |
| FPAY | Annual fee payment | Payment date:20151222 Year of fee payment:10 | |
| PR1001 | Payment of annual fee | St.27 status event code:A-4-4-U10-U11-oth-PR1001 Fee payment year number:10 | |
| FPAY | Annual fee payment | Payment date:20161122 Year of fee payment:11 | |
| PR1001 | Payment of annual fee | St.27 status event code:A-4-4-U10-U11-oth-PR1001 Fee payment year number:11 | |
| P22-X000 | Classification modified | St.27 status event code:A-4-4-P10-P22-nap-X000 | |
| PR1001 | Payment of annual fee | St.27 status event code:A-4-4-U10-U11-oth-PR1001 Fee payment year number:12 | |
| PR1001 | Payment of annual fee | St.27 status event code:A-4-4-U10-U11-oth-PR1001 Fee payment year number:13 | |
| PR1001 | Payment of annual fee | St.27 status event code:A-4-4-U10-U11-oth-PR1001 Fee payment year number:14 | |
| PR1001 | Payment of annual fee | St.27 status event code:A-4-4-U10-U11-oth-PR1001 Fee payment year number:15 | |
| R18-X000 | Changes to party contact information recorded | St.27 status event code:A-5-5-R10-R18-oth-X000 | |
| PR1001 | Payment of annual fee | St.27 status event code:A-4-4-U10-U11-oth-PR1001 Fee payment year number:16 | |
| PR1001 | Payment of annual fee | St.27 status event code:A-4-4-U10-U11-oth-PR1001 Fee payment year number:17 | |
| PC1903 | Unpaid annual fee | St.27 status event code:A-4-4-U10-U13-oth-PC1903 Not in force date:20241121 Payment event data comment text:Termination Category : DEFAULT_OF_REGISTRATION_FEE | |
| PC1903 | Unpaid annual fee | St.27 status event code:N-4-6-H10-H13-oth-PC1903 Ip right cessation event data comment text:Termination Category : DEFAULT_OF_REGISTRATION_FEE Not in force date:20241121 |