Movatterモバイル変換


[0]ホーム

URL:


KR102646535B1 - 패터닝된 기판의 제조 방법 - Google Patents

패터닝된 기판의 제조 방법
Download PDF

Info

Publication number
KR102646535B1
KR102646535B1KR1020207019458AKR20207019458AKR102646535B1KR 102646535 B1KR102646535 B1KR 102646535B1KR 1020207019458 AKR1020207019458 AKR 1020207019458AKR 20207019458 AKR20207019458 AKR 20207019458AKR 102646535 B1KR102646535 B1KR 102646535B1
Authority
KR
South Korea
Prior art keywords
substrate
compound
group
metal
mass
Prior art date
Legal status (The legal status is an assumption and is not a legal conclusion. Google has not performed a legal analysis and makes no representation as to the accuracy of the status listed.)
Active
Application number
KR1020207019458A
Other languages
English (en)
Other versions
KR20200106499A (ko
Inventor
류이치 세리자와
노조미 사토우
유우스케 오오츠보
Original Assignee
제이에스알 가부시끼가이샤
Priority date (The priority date is an assumption and is not a legal conclusion. Google has not performed a legal analysis and makes no representation as to the accuracy of the date listed.)
Filing date
Publication date
Application filed by 제이에스알 가부시끼가이샤filedCritical제이에스알 가부시끼가이샤
Publication of KR20200106499ApublicationCriticalpatent/KR20200106499A/ko
Application grantedgrantedCritical
Publication of KR102646535B1publicationCriticalpatent/KR102646535B1/ko
Activelegal-statusCriticalCurrent
Anticipated expirationlegal-statusCritical

Links

Classifications

Landscapes

Abstract

높은 감도로 극단 자외선 또는 전자선 리소그래피를 행할 수 있고, 해상성 및 도괴 억제성이 우수한 레지스트 패턴을 형성할 수 있으며, 나아가서는, 양호한 기판 패턴을 얻을 수 있는 패터닝된 기판의 제조 방법의 제공을 목적으로 한다. 본 발명은, 적어도 한쪽의 표층에 금속 원소를 함유하는 기판의 상기 금속 원소를 함유하는 표면에 표면 처리제를 도공하는 공정과, 상기 표면 처리제를 도공한 면에 레지스트 조성물을 도공하는 공정과, 상기 레지스트 조성물 도공 공정에 의해 형성된 레지스트막을 극단 자외선 또는 전자선으로 노광하는 공정과, 상기 노광된 레지스트막을 현상하는 공정과, 상기 현상 공정에 의해 형성된 레지스트 패턴을 마스크로 하여 상기 기판을 에칭하는 공정을 구비하고, 상기 표면 처리제가, 극성기를 포함하는 기를 주쇄의 적어도 한쪽의 말단에 갖는 중합체와, 용매를 함유하는 패터닝된 기판의 제조 방법이다.

Description

패터닝된 기판의 제조 방법
본 발명은, 패터닝된 기판의 제조 방법에 관한 것이다.
반도체 소자 등의 패턴 형성에는, 기재 상에 하층막 등을 통해 적층된 레지스트막을 노광 및 현상하고, 얻어진 레지스트 패턴을 마스크로 하여 에칭을 행하는 레지스트 프로세스가 다용되고 있다(일본 특허 공개 제2004-310019호 공보 및 국제 공개 제2012/039337호 참조). 근년, 반도체 디바이스의 고집적화가 더욱 진행되고 있으며, 사용하는 노광광이 KrF 엑시머 레이저 광(248nm) 및 ArF 엑시머 레이저 광(193nm)으로부터, 극단 자외선(13.5nm, EUV)으로 단파장화되는 경향이 있다. 여기서, EUV 노광 광원의 출력이 불충분하다. 그 때문에, 레지스트막을 EUV로 노광하는 EUV 리소그래피에 있어서는, 높은 감도로 레지스트 패턴을 형성할 수 있는 것이 필요해지고 있다. 즉, 낮은 에너지의 노광량으로, 양호한 레지스트 패턴을 형성할 수 있는 것이 필요해지고 있다.
일본 특허 공개 제2004-310019호 공보국제 공개 제2012/039337호
그러나, EUV 리소그래피에 있어서는, 높은 감도로 또한 해상성 및 도괴 억제성이 우수한 레지스트 패턴을 형성하는 것이 어렵고, 그 결과, 양호한 기판 패턴을 형성하는 것이 어렵다는 문제가 있다.
본 발명은 이상과 같은 사정에 기초하여 이루어진 것이며, 그의 목적은, 높은 감도로 극단 자외선 또는 전자선 리소그래피를 행할 수 있고, 해상성 및 도괴 억제성이 우수한 레지스트 패턴을 형성할 수 있으며, 나아가서는, 양호한 기판 패턴을 얻을 수 있는 패터닝된 기판의 제조 방법을 제공하는 데 있다.
상기 과제를 해결하기 위해 이루어진 발명은, 적어도 한쪽의 표층에 금속 원소를 함유하는 기판의 상기 금속 원소를 함유하는 표면에 표면 처리제를 도공하는 공정과, 상기 표면 처리제를 도공한 면에 레지스트 조성물을 도공하는 공정과, 상기 레지스트 조성물 도공 공정에 의해 형성된 레지스트막을 극단 자외선 또는 전자선으로 노광하는 공정과, 상기 노광된 레지스트막을 현상하는 공정과, 상기 현상 공정에 의해 형성된 레지스트 패턴을 마스크로 하여 상기 기판을 에칭하는 공정을 구비하고, 상기 표면 처리제가, 극성기를 포함하는 기를 주쇄의 적어도 한쪽의 말단에 갖는 중합체와, 용매를 함유하는 패터닝된 기판의 제조 방법이다.
본 발명의 패터닝된 기판의 제조 방법에 의하면, 높은 감도로 극단 자외선 또는 전자선 리소그래피를 행할 수 있고, 해상성 및 도괴 억제성이 우수한 레지스트 패턴을 얻을 수 있으며, 나아가서는 양호한 기판 패턴을 얻을 수 있다. 따라서, 당해 패터닝된 기판의 제조 방법은, 극단 자외선 또는 전자선 리소그래피에 적합하게 사용할 수 있고, 금후 더욱 미세화가 진행될 것으로 예상되는 반도체 디바이스의 제조 등에 적합하게 사용할 수 있다.
이하, 본 발명의 패터닝된 기판의 제조 방법의 실시 형태에 대하여 설명한다.
<패터닝된 기판의 제조 방법>
당해 패터닝된 기판의 제조 방법(이하, 「기판의 제조 방법」이라고도 함)은, 적어도 한쪽 표면에 금속 원소를 함유하는 기판을 준비하는 공정(이하, 「기판 준비 공정」이라고도 함)과, 상기 기판의 금속 원소를 함유하는 표면에 표면 처리제(이하, 「표면 처리제 (S)」라고도 함)를 도공하는 공정(이하, 「표면 처리제 도공 공정」이라고도 함)과, 상기 표면 처리제를 도공한 면에 레지스트 조성물을 도공하는 공정(이하, 「레지스트 조성물 도공 공정」이라고도 함)과, 상기 레지스트 조성물 도공 공정에 의해 형성된 레지스트막을 극단 자외선 또는 전자선으로 노광하는 공정(이하, 「노광 공정」이라고도 함)과, 상기 노광된 레지스트막을 현상하는 공정(이하, 「현상 공정」이라고도 함)과, 상기 현상 공정에 의해 형성된 레지스트 패턴을 마스크로 하여 상기 기판을 에칭하는 공정(이하, 「에칭 공정」이라고도 함)을 구비하고, 상기 표면 처리제 (S)가, 극성기를 포함하는 기를 주쇄의 적어도 한쪽의 말단에 갖는 중합체(이하, 「[C] 중합체」라고도 함)와, 용매(이하, 「[D] 용매」라고도 함)를 함유하는 패터닝된 기판의 제조 방법이다.
당해 기판의 제조 방법은, 상기 각 공정을 구비함으로써, 높은 감도로 극단 자외선 또는 전자선 리소그래피를 행할 수 있고, 해상성 및 도괴 억제성이 우수한 레지스트 패턴을 형성할 수 있으며, 나아가서는 양호한 기판 패턴을 얻을 수 있다. 당해 기판의 제조 방법이 상기 구성을 구비함으로써 상기 효과를 발휘하는 이유로서는 반드시 명확하지는 않지만, 예를 들어 이하와 같이 추정할 수 있다. 즉, 표면에 금속 원소를 함유하는 기판을 사용하면, 극단 자외선 또는 전자선 리소그래피에 있어서, 조사된 EUV 광 또는 전자선이 기판 표면의 금속 원소에 흡수되어, 2차 전자 등이 발생하고, 이 2차 전자가 레지스트막에 있어서의 감도에 기여하고 있다고 생각된다. 당해 기판의 제조 방법에 의하면, 이 기판의 표면에, 표면의 금속 원소와 상호 작용하는 극성기를 주쇄의 말단에 갖고, 또한 상기 특정한 구조를 갖는 중합체를 함유하는 표면 처리제를 도공함으로써, 기판 표면의 금속 원자에 있어서의 전자 상태, 배위 상태 등을 어느 정도 유지하면서, 기판 표면의 친수성을 적절하게 저하시킬 수 있으므로, 극단 자외선 또는 전자선 노광의 감도를 향상시키면서, 형성되는 레지스트 패턴의 해상성 및 도괴 억제성을 향상시킬 수 있고, 나아가서는, 양호한 기판 패턴이 얻어지는 것으로 생각된다.
당해 기판의 제조 방법에 있어서, 레지스트 조성물 도공 공정 전에, 상기 표면 처리제를 도공한 면에 대하여, 자외선의 폭로, 산소 플라스마의 폭로, 물의 접촉, 알칼리의 접촉, 산의 접촉, 과산화수소의 접촉 및 오존의 접촉 중 1 또는 2 이상의 처리를 행하는 처리 공정(이하, 「처리 공정」이라고도 함)을 더 구비하고 있어도 된다. 이하, 각 공정에 대하여 설명한다.
[기판 준비 공정]
본 공정에서는, 적어도 한쪽의 표층에 금속 원소를 함유하는 기판(이하, 「기판 (P)」라고도 함)을 준비한다. 「표층」이란, 기판의 표면으로부터 5nm의 깊이까지의 영역을 의미한다.
기판 (P)의 표층이 함유하는 금속 원소(이하, 「금속 원소 (a)」라고도 함)로서는, 예를 들어 주기율표 제3족 내지 제15족의 제3 주기 내지 제7 주기에 속하는 금속 원소 등을 들 수 있다. 또한, 금속 원소 (a)에는, 붕소, 규소, 비소 등의 반금속 원소는 포함되지 않는다.
제3족의 금속 원소 (a)로서는, 예를 들어 스칸듐, 이트륨, 란탄, 세륨 등을,
제4족의 금속 원소 (a)로서는, 예를 들어 티타늄, 지르코늄, 하프늄 등을,
제5족의 금속 원소 (a)로서는, 예를 들어 바나듐, 니오븀, 탄탈 등을,
제6족의 금속 원소 (a)로서는, 예를 들어 크롬, 몰리브덴, 텅스텐 등을,
제7족의 금속 원소 (a)로서는, 망간, 레늄 등을,
제8족의 금속 원소 (a)로서는, 철, 루테늄, 오스뮴 등을,
제9족의 금속 원소 (a)로서는, 코발트, 로듐, 이리듐 등을,
제10족의 금속 원소 (a)로서는, 니켈, 팔라듐, 백금 등을,
제11족의 금속 원소 (a)로서는, 구리, 은, 금 등을,
제12족의 금속 원소 (a)로서는, 아연, 카드뮴, 수은 등을,
제13족의 금속 원소 (a)로서는, 알루미늄, 갈륨, 인듐 등을,
제14족의 금속 원소 (a)로서는, 게르마늄, 주석, 납 등을,
제15족의 금속 원소 (a)로서는, 안티몬, 비스무트 등을 들 수 있다.
금속 원소 (a)로서는, 제3족 내지 제15족의 제4 주기 내지 제7 주기에 속하는 금속 원소가 바람직하고, 제4족 내지 제6족의 제4 주기 내지 제7 주기에 속하는 금속 원소가 보다 바람직하고, 제4족에 속하는 금속 원소가 더욱 바람직하고, 티타늄 또는 지르코늄이 특히 바람직하다.
기판 (P)로서는, 예를 들어 기재의 적어도 한쪽의 면측에 금속 원소 (a)를 함유하는 층(이하, 「금속 함유층 (T)」라고도 함)을 갖는 기판, 금속 함유 기판 등을 들 수 있다.
상기 기재로서는, 예를 들어 산화실리콘, 질화실리콘, 산질화실리콘, 폴리실록산 등의 절연막을 갖는 기재, 수지 기재 등을 들 수 있다. 예를 들어, AMAT사의 「블랙 다이아몬드」, 다우 케미컬사의 「실크」, JSR(주)의 「LKD5109」 등에 의해 형성되는 저유전체 절연막으로 피복한 웨이퍼 등을 사용할 수 있다. 이 기재로서는 배선 홈(트렌치), 플러그 홈(비아) 등의 패턴화된 기재를 사용해도 된다.
(유기 하층막)
기판 (P)에 있어서, 상기 기재와 금속 함유층 (T) 사이에, 유기 하층막을 마련해도 된다. 즉, 상기 기판은, 기재와, 이 기재의 적어도 한쪽의 면측에 형성된 유기 하층막과, 이 유기 하층막의 상기 기재와는 반대의 면측에 형성된 금속 함유층을 구비하고 있어도 된다.
유기 하층막은 금속 함유층 (T)와는 상이한 것이다. 유기 하층막은, 기판의 제조 방법에 있어서, 금속 함유층 (T) 및/또는 레지스트막이 갖는 기능을 더욱 보충하거나, 이들이 갖지 않는 기능을 얻기 위해서, 필요한 소정의 기능(예를 들어 반사 방지성, 도포막 평탄성, 불소계 가스에 대한 고에칭 내성)을 부여하거나 하는 막이다.
유기 하층막으로서는, 예를 들어 반사 방지막 등을 들 수 있다. 반사 방지막 형성용 조성물로서는, 예를 들어 JSR(주)의 「NFC HM8006」 등을 들 수 있다.
유기 하층막은, 유기 하층막 형성용 조성물을 회전 도공법 등에 의해 도포하여 도막을 형성한 후, 가열함으로써 형성할 수 있다.
(금속 함유층)
금속 함유층 (T)는 금속 원소 (a)를 함유하는 층이다. 금속 함유층 (T)를 형성하는 방법으로서는, 예를 들어 금속 함유 조성물(이하, 「금속 함유 조성물 (X)」라고도 함)을 사용하는 방법, 화학 기상 증착법(CVD), 물리 기상 증착법(PVD) 등을 사용하는 방법 등을 들 수 있다.
(금속 함유 조성물)
금속 함유 조성물 (X)로서는, 예를 들어 금속-산소 공유 결합을 갖는 화합물(이하, 「[A] 화합물」이라고도 함)과 용매(이하, 「[B] 용매」라고도 함)를 함유하는 조성물 등을 들 수 있다.
[A] 화합물은 금속 원소 (a) 및 산소 이외의 기타 원소를 포함해도 된다. 기타 원소로서는, 예를 들어 붕소, 규소 등의 반금속 원소, 탄소, 수소, 질소, 인, 황, 할로겐 등의 비금속 원소 등을 들 수 있다. 이들 중에서 규소, 탄소 및/또는 수소가 바람직하다.
[A] 화합물에 있어서의 금속 원소 (a)의 원자의 함유율의 하한으로서는, 1질량%가 바람직하고, 5질량%가 보다 바람직하고, 10질량%가 더욱 바람직하다. 상기 함유율의 상한으로서는, 50질량%가 바람직하다. 금속 원소 (a)의 원자의 함유율은, 시차열 천칭(TG/DTA)을 사용하는 측정에 의해 구할 수 있다.
[A] 화합물로서는, 예를 들어 금속-산소-금속의 결합을 갖는 다핵 착체 등을 들 수 있다. 「다핵 착체」란, 복수개의 금속 원자를 갖는 착체를 말한다. 이러한 다핵 착체는, 예를 들어 후술하는 바와 같이, 가수 분해성기를 갖는 금속 함유 화합물의 가수 분해 축합에 의해 합성할 수 있다.
[A] 화합물이 다핵 착체인 경우, [A] 화합물의 겔 투과 크로마토그래피(GPC)에 의한 폴리스티렌 환산 중량 평균 분자량(Mw)의 하한으로서는, 1,000이 바람직하고, 1,500이 보다 바람직하고, 2,000이 더욱 바람직하다. 상기 Mw의 상한으로서는, 30,000이 바람직하고, 20,000이 보다 바람직하고, 15,000이 더욱 바람직하다.
본 명세서에 있어서, [A] 화합물의 Mw는 GPC 칼럼(도소(주)의 「AWM-H」 2개, 「AW-H」 1개 및 「AW2500」 2개)을 사용하여, 유량: 0.3mL/분, 용출 용매: N,N-디메틸아세트아미드에 LiBr(30mM) 및 시트르산(30mM)을 첨가한 것, 칼럼 온도: 40℃의 분석 조건에서, 단분산 폴리스티렌을 표준으로 하는 겔 투과 크로마토그래피(검출기: 시차 굴절계)에 의해 측정되는 값이다.
[A] 화합물의 함유율의 하한으로서는, 금속 함유 조성물 (X)의 [B] 용매 이외의 전체 성분에 대하여, 70질량%가 바람직하고, 80질량%가 보다 바람직하고, 90질량%가 더욱 바람직하다. 상기 함유율의 상한은 100질량%여도 된다. [A] 화합물의 함유율을 상기 범위로 함으로써, 금속 함유 조성물 (X)의 도공성을 보다 향상시킬 수 있다. 금속 함유 조성물 (X)는 [A] 화합물을 1종 또는 2종 이상 함유하고 있어도 된다.
[A] 화합물로서는, 시판되는 금속 화합물을 사용할 수도 있지만, 예를 들어 가수 분해성기를 갖는 금속 함유 화합물(이하, 「[b] 금속 함유 화합물」이라고도 함)을 사용하여, 가수 분해 축합 반응을 행하는 방법 등에 의해 합성할 수 있다. 즉, [A] 화합물은 [b] 금속 함유 화합물에서 유래하는 것으로 할 수 있다. 여기서 「가수 분해 축합 반응」이란, [b] 금속 함유 화합물이 갖는 가수 분해성기가 가수 분해하여 -OH로 변환되고, 얻어진 2개의 -OH가 탈수 축합하여 -O-가 형성되는 반응을 말한다.
[b] 금속 함유 화합물은, 가수 분해성기를 갖는 금속 화합물(이하, 「금속 화합물 (I)」이라고도 함), 금속 화합물 (I)의 가수 분해물, 금속 화합물 (I)의 가수 분해 축합물 또는 이들의 조합이다. 금속 화합물 (I)은 1종 단독으로 또는 2종 이상 조합하여 사용할 수 있다.
상기 가수 분해성기로서는, 예를 들어 할로겐 원자, 알콕시기, 아실옥시기 등을 들 수 있다.
상기 할로겐 원자로서는, 예를 들어 불소 원자, 염소 원자, 브롬 원자, 요오드 원자 등을 들 수 있다.
상기 알콕시기로서는, 예를 들어 메톡시기, 에톡시기, n-프로폭시기, i-프로폭시기, 부톡시기 등을 들 수 있다.
상기 아실옥시기로서는, 예를 들어 아세톡시기, 에티릴옥시기, 프로피오닐옥시기, 부티릴옥시기, t-부티릴옥시기, t-아미릴옥시기, n-헥산카르보닐옥시기, n-옥탄카르보닐옥시기 등을 들 수 있다.
상기 가수 분해성기로서는, 알콕시기가 바람직하고, 이소프로폭시기 또는 부톡시기가 보다 바람직하다.
[b] 금속 함유 화합물이 금속 화합물 (I)의 가수 분해 축합물인 경우에는, 이 금속 화합물 (I)의 가수 분해 축합물은, 본 발명의 효과를 손상시키지 않는 한, 금속 원소 (a)를 포함하는 금속 화합물 (I)과 반금속 원소를 포함하는 화합물의 가수 분해 축합물이어도 된다.
금속 화합물 (I)로서는, 예를 들어 하기 식 (1)로 표시되는 화합물(이하, 「금속 화합물 (I-1)」이라고도 함) 등을 들 수 있다.
LaMYb (1)
상기 식 (1) 중, M은 금속 원자이다. L은 배위자이다. a는 0 내지 6의 정수이다. a가 2 이상인 경우, 복수의 L은 동일하거나 또는 상이하다. Y는 할로겐 원자, 알콕시기 및 아실옥시기로부터 선택되는 가수 분해성기이다. b는 2 내지 6의 정수이다. 복수의 Y는 동일하거나 또는 상이하다. L은 Y에 해당하지 않는 배위자이다.
M으로 표시되는 금속 원자로서는, 기판 (P)의 표층이 함유하는 금속 원소 (a)의 원자로서 예시한 것과 마찬가지의 원자 등을 들 수 있다.
L로 표시되는 배위자로서는, 단좌 배위자 및 다좌 배위자를 들 수 있다.
상기 단좌 배위자로서는, 예를 들어 히드록소 배위자, 카르복시 배위자, 아미드 배위자, 아민 배위자, 암모니아 배위자, 올레핀 배위자 등을 들 수 있다.
상기 다좌 배위자로서는, 예를 들어 히드록시산에스테르 유래의 배위자, β-디케톤 유래의 배위자, β-케토에스테르 유래의 배위자, α,α-디카르복실산에스테르 유래의 배위자 등을 들 수 있다.
상기 히드록시산에스테르로서는, 예를 들어 글리콜산에스테르, 락트산에스테르, 2-히드록시시클로헥산-1-카르복실산에스테르, 살리실산에스테르 등을 들 수 있다.
상기 β-디케톤으로서는, 예를 들어 2,4-펜탄디온, 3-메틸-2,4-펜탄디온, 3-에틸-2,4-펜탄디온 등을 들 수 있다.
상기 β-케토에스테르로서는, 예를 들어 아세토아세트산에스테르, α-알킬 치환 아세토아세트산에스테르, β-케토펜탄산에스테르, 벤조일아세트산에스테르, 1,3-아세톤디카르복실산에스테르 등을 들 수 있다.
상기 α,α-디카르복실산에스테르로서는, 예를 들어 말론산디에스테르, α-알킬 치환 말론산디에스테르, α-시클로알킬 치환 말론산디에스테르, α-아릴 치환 말론산디에스테르 등을 들 수 있다.
a로서는, 0 내지 3이 바람직하고, 0 내지 2가 보다 바람직하고, 1 또는 2가 더욱 바람직하고, 2가 특히 바람직하다. a를 상기 값으로 함으로써, [A] 화합물의 안정성을 적절하게 높일 수 있다.
Y로 표시되는 가수 분해성기로서는, 예를 들어 상기 [b] 금속 함유 화합물의 가수 분해성기로서 예시한 기와 마찬가지의 기 등을 들 수 있다.
b로서는, 2 내지 4가 바람직하고, 2 또는 3이 보다 바람직하고, 2가 더욱 바람직하다. b를 상기 값으로 함으로써, 가수 분해 축합물인 [A] 화합물의 분자량을 적절하게 높일 수 있다.
[b] 금속 함유 화합물로서는, 예를 들어
티타늄을 포함하는 화합물로서, 디이소프로폭시비스(2,4-펜탄디오네이트)티타늄(IV), 테트라n-부톡시티타늄(IV), 테트라n-프로폭시티타늄(IV), 트리n-부톡시모노스테아레토티탄(IV), 티타늄(IV)부톡시드 올리고머, 아미노프로필트리메톡시티타늄(IV), 트리에톡시모노(2,4-펜탄디오네이트)티타늄(IV), 트리n-프로폭시모노(2,4-펜탄디오네이트)티타늄(IV), 트리이소프로폭시모노(2,4-펜탄디오네이트)티타늄, 디n-부톡시비스(2,4-펜탄디오네이트)티타늄(IV) 등을,
지르코늄을 포함하는 화합물로서, 디부톡시비스(에틸아세토아세테이트)지르코늄(IV), 디n-부톡시비스(2,4-펜탄디오네이트)지르코늄(IV), 테트라n-부톡시지르코늄(IV), 테트라n-프로폭시지르코늄(IV), 테트라이소프로폭시지르코늄(IV), 아미노프로필트리에톡시지르코늄(IV), 2-(3,4-에폭시시클로헥실)에틸트리메톡시지르코늄(IV), γ-글리시독시프로필트리메톡시지르코늄(IV), 3-이소시아노프로필트리메톡시지르코늄(IV), 트리에톡시모노(2,4-펜탄디오네이트)지르코늄(IV), 트리n-프로폭시모노(2,4-펜탄디오네이트)지르코늄(IV), 트리이소프로폭시모노(2,4-펜탄디오네이트)지르코늄(IV), 트리(3-메타크릴옥시프로필)메톡시지르코늄(IV), 트리(3-아크릴옥시프로필)메톡시지르코늄(IV) 등을,
하프늄을 포함하는 화합물로서, 디이소프로폭시비스(2,4-펜탄디오네이트)하프늄(IV), 테트라부톡시하프늄(IV), 테트라이소프로폭시하프늄(IV), 테트라에톡시하프늄(IV), 디클로로비스(시클로펜타디에닐)하프늄(IV) 등을,
탄탈을 포함하는 화합물로서, 테트라부톡시탄탈(IV), 펜타부톡시탄탈(V), 펜타에톡시탄탈(V) 등을,
텅스텐을 포함하는 화합물로서, 테트라부톡시텅스텐(IV), 펜타부톡시텅스텐(V), 펜타메톡시텅스텐(V), 헥사브톡시텅스텐(VI), 헥사에톡시텅스텐(VI), 디클로로비스(시클로펜타디에닐)텅스텐(IV) 등을,
철을 포함하는 화합물로서, 염화철(III) 등을,
루테늄을 포함하는 화합물로서, 디아세테이트[(S)-(-)-2,2'-비스(디페닐포스피노)-1,1'-비나프틸]루테늄(II) 등을,
코발트를 포함하는 화합물로서, 디클로로[에틸렌비스(디페닐포스핀)]코발트(II) 등을,
아연을 포함하는 화합물로서, 디이소프로폭시아연(II), 아세트산아연(II) 등을,
알루미늄을 포함하는 화합물로서, 디이소프로폭시에틸아세토아세테이트알루미늄(III), 아세트산알루미늄(III) 등을,
인듐을 포함하는 화합물로서, 아세트산인듐(III), 트리이소프로폭시인듐(III) 등을,
주석을 포함하는 화합물로서, 테트라에틸디아세톡시스타녹산, 테트라부톡시주석(IV), 테트라이소프로폭시주석(IV), t-부틸트리스(디에틸아미드)주석(IV) 등을,
게르마늄을 포함하는 화합물로서, 테트라이소프로폭시게르마늄(IV) 등을 들 수 있다.
[A] 화합물의 합성 반응 시에, 금속 화합물 (I) 이외에도, [A] 화합물에 있어서 단좌 배위자 또는 다좌 배위자가 될 수 있는 화합물이나 가교 배위자가 될 수 있는 화합물 등을 첨가해도 된다. 상기 가교 배위자가 될 수 있는 화합물로서는, 예를 들어 복수개의 히드록시기, 이소시아네이트기, 아미노기, 에스테르기 및 아미드기를 갖는 화합물 등을 들 수 있다.
[b] 금속 함유 화합물을 사용하여 가수 분해 축합 반응을 행하는 방법으로서는, 예를 들어 [b] 금속 함유 화합물을, 물을 포함하는 용매 중에서 가수 분해 축합 반응시키는 방법 등을 들 수 있다. 이 경우, 필요에 따라서 가수 분해성기를 갖는 다른 화합물을 첨가해도 된다.
[B] 용매는, [A] 화합물 및 필요에 따라서 함유하는 다른 성분을 용해 또는 분산시킬 수 있으면 특별히 한정되지 않는다. [B] 용매로서는, 예를 들어 알코올계 용매, 케톤계 용매, 에테르계 용매, 에스테르계 용매, 질소 함유계 용매, 물 등을 들 수 있다. [B] 용매는 1종 단독으로 또는 2종 이상을 조합하여 사용할 수 있다.
이들 중에서도, 에테르계 용매, 에스테르계 용매 및/또는 물이 바람직하고, 글리콜 구조를 갖는 에테르계 용매 또는 에스테르계 용매가 보다 바람직하다.
글리콜 구조를 갖는 에테르계 용매 또는 에스테르계 용매로서는, 예를 들어 프로필렌글리콜모노메틸에테르, 프로필렌글리콜모노에틸에테르, 프로필렌글리콜모노프로필에테르, 프로필렌글리콜모노메틸에테르아세테이트, 프로필렌글리콜모노에틸에테르아세테이트, 프로필렌글리콜모노프로필에테르아세테이트 등을 들 수 있다.
금속 함유 조성물 (X)는, [A] 화합물 및 [B] 용매 이외의 다른 성분으로서, 예를 들어 산발생제, 계면 활성제 등을 함유하고 있어도 된다.
산발생제는 자외광의 조사 및/또는 가열에 의해 산을 발생하는 화합물이다. 산발생제는 1종 단독으로 또는 2종 이상을 조합하여 사용할 수 있다.
산발생제로서는, 예를 들어 오늄염 화합물, N-술포닐옥시이미드 화합물 등을 들 수 있다.
(금속 함유 조성물의 조제 방법)
금속 함유 조성물 (X)의 조제 방법으로서는 특별히 한정되지 않고, 예를 들어 [A] 화합물, [B] 용매 및 필요에 따라서 다른 성분을 소정의 비율로 혼합하고, 바람직하게는 얻어진 혼합 용액을 구멍 직경 0.2㎛ 이하의 필터로 여과함으로써 조제할 수 있다.
금속 함유 조성물 (X)의 고형분 농도의 하한으로서는, 0.01질량%가 바람직하고, 0.05질량%가 보다 바람직하고, 0.1질량%가 더욱 바람직하고, 0.2질량%가 특히 바람직하다. 상기 고형분 농도의 상한으로서는, 20질량%가 바람직하고, 10질량%가 보다 바람직하고, 5질량%가 더욱 바람직하고, 3질량%가 특히 바람직하다. 금속 함유 조성물 (X)의 고형분 농도란, 금속 함유 조성물 (X)를 250℃에서 30분간 소성함으로써, 금속 함유 조성물 (X) 중의 고형분의 질량을 측정하고, 이 고형분의 질량을 금속 함유 조성물 (X)의 질량으로 제산함으로써 산출되는 값(질량%)이다.
금속 함유층 (T)는 금속 함유 조성물 (X)를, 기재, 유기 하층막 등의 다른 하층막 등의 표면에 도공함으로써 도막을 형성하고, 이 도막을 가열 처리하여, 경화시킴으로써 형성할 수 있다.
금속 함유층 (T)의 형성에 사용되는 CVD법으로서는, 예를 들어 플라스마 원용 CVD법, 저압 CVD법, 에피택셜 성장법 등을 들 수 있다. PVD법으로서는, 예를 들어 스퍼터링법, 증발법 등을 들 수 있다. CVD법, PVD법 등에 의해 형성되는 금속 함유층 (T)로서는, 예를 들어 산화티타늄막, 질화티타늄막, 산화지르코늄막, 산화알루미늄막, 산질화알루미늄막, 산화하프늄막 등을 들 수 있다.
기판 (P)로서의 금속 함유 기판으로서는, 예를 들어 티타늄 함유 기판, 산화티타늄 함유 기판, 질화티타늄 함유 기판 등의 Ti 함유 기판, 산화지르코늄 함유 기판, 질화 지르코늄 함유 기판 등의 Zr 함유 기판, 산화하프늄 함유 기판 등의 Hf 함유 기판, 산화아연 기판 등의 Zn 함유 기판, 산화알루미늄 함유 기판, 산질화알루미늄 함유 기판 등의 Al 함유 기판 등을 들 수 있다.
[표면 처리제 도공 공정]
본 공정에서는, 상기 기판 (P)의 금속 원소 (a)를 함유하는 표면(이하, 「표면 (Q)」라고도 함)에 표면 처리제 (S)를 도공한다. 이하, 표면 처리제 (S)에 대하여 설명한다.
(표면 처리제)
표면 처리제 (S)는 [C] 중합체와 [D] 용매를 함유한다. 표면 처리제 (S)는 [C] 중합체 및 [D] 용매 이외에도, 다른 성분을 함유하고 있어도 된다.
([C] 중합체)
[C] 중합체는, 극성기를 포함하는 기(이하, 「기 (I)」이라고도 함)를 주쇄의 적어도 한쪽의 말단에 갖는 중합체이다. 「주쇄」란, 중합체를 구성하는 원자쇄 중 가장 긴 것을 말한다.
(기 (I))
기 (I)은 극성기를 포함하는 기이다. 「극성기」란, 적어도 하나의 헤테로 원자를 포함하는 기를 말한다. 상기 헤테로 원자로서는, 예를 들어 산소 원자, 질소 원자, 황 원자, 규소 원자, 인 원자, 티타늄 원자, 주석 원자, 붕소 원자, 할로겐 원자 등을 들 수 있다.
상기 극성기로서는, 예를 들어 히드록시기, 카르복시기, 술포기, 술파닐기, 실라놀기, 포스폰산기(-PO(OH)2), 카르복실산에스테르기(-COOR), 이소시아네이트기, 티타늄산에스테르기(-TiO(OR)), 티타놀기(-TiOH), 아미노기, -SiCl, -SiH 등을 들 수 있다. 상기 R은 탄소수 1 내지 20의 1가의 탄화수소기이다. 이들 중에서 히드록시기, 카르복시기, 술포기, 술파닐기 또는 실라놀기가 바람직하고, 히드록시기가 보다 바람직하다.
[C] 중합체의 주쇄는 복수개의 구조 단위로 구성된다. [C] 중합체는 1종의 구조 단위로 구성되는 단독 중합체여도, 복수종의 구조 단위로 구성되는 공중합체여도 된다. 복수종의 구조 단위로 구성되는 [C] 중합체는, 블록 공중합체여도 랜덤 공중합체여도 된다.
[C] 중합체의 주쇄를 구성하는 구조 단위는 특별히 한정되지 않지만, 구조 단위를 부여하는 단량체로서는, 예를 들어 치환 또는 비치환된 스티렌, 치환 또는 비치환된 에틸렌(단, 상기 치환 또는 비치환된 스티렌에 해당하는 것을 제외함) 등을 들 수 있다.
치환 스티렌으로서는, 예를 들어 α-메틸스티렌, o-, m-, p-메틸스티렌, p-t-부틸스티렌, 2,4,6-트리메틸스티렌, p-메톡시스티렌, p-t-부톡시스티렌, o-, m-, p-비닐스티렌, o-, m-, p-히드록시스티렌, m-, p-클로로메틸스티렌, p-클로로스티렌, p-브로모스티렌, p-요오도스티렌, p-니트로스티렌, p-시아노스티렌 등을 들 수 있다.
치환 에틸렌으로서는, 예를 들어 프로펜, 부텐, 펜텐 등의 알켄, 비닐시클로펜탄, 비닐시클로헥산 등의 비닐시클로알칸, 시클로펜텐, 시클로헥센 등의 시클로알켄, 4-히드록시-1-부텐, 비닐글리시딜에테르, 비닐트리메틸실릴에테르 등을 들 수 있다.
[C] 중합체는 방향족 탄소환을 갖는 것이 바람직하다. [C] 중합체는 방향족 탄소환을 가짐으로써, 보다 부피가 커지고, 그 결과, 감도 및 레지스트 패턴의 해상성 및 도괴 억제성이 보다 향상된다. [C] 중합체에 있어서의 방향족 탄소환으로서는, 예를 들어 벤젠환, 나프탈렌환, 안트라센환 등을 들 수 있다.
[C] 중합체의 구조 단위를 부여하는 단량체로서는, 치환 또는 비치환된 스티렌이 바람직하고, 비치환된 스티렌이 보다 바람직하다.
([C] 중합체의 합성 방법)
[C] 중합체는, 예를 들어 리빙 양이온 중합, 리빙 음이온 중합, 리빙 라디칼 중합, 배위 중합(지글러·나타 촉매, 메탈로센 촉매) 등에 의해 합성할 수 있다. 이들 중에서 주쇄의 말단으로의 기 (I)의 도입이 보다 용이한 점에서, 리빙 음이온 중합이 바람직하다. [C] 중합체는, 예를 들어 단량체를 중합 개시제의 존재 하에서 중합하고, 그 중합 말단을 말단 정지제로 처리하여, 주쇄의 말단에 기 (I)을 도입함으로써 합성할 수 있다.
중합에 사용하는 용매로서는, 예를 들어 n-펜탄, n-헥산, n-헵탄, n-옥탄, n-노난, n-데칸 등의 알칸, 시클로헥산, 시클로헵탄, 시클로옥탄, 데칼린, 노르보르난 등의 시클로알칸, 벤젠, 톨루엔, 크실렌, 에틸벤젠, 쿠멘 등의 방향족 탄화수소, 아세트산에틸, 아세트산n-부틸, 아세트산i-부틸, 프로피온산메틸 등의 포화 카르복실산에스테르, 아세톤, 2-부타논, 4-메틸-2-펜타논, 2-헵타논, 시클로헥사논 등의 케톤, 테트라히드로푸란, 디메톡시에탄류, 디에톡시에탄류 등의 에테르 등을 들 수 있다. 이들 용매는 단독으로 사용해도 되고 2종 이상을 병용해도 된다.
중합에 있어서의 반응 온도는, 음이온 중합 개시제의 종류 등에 따라서 적절히 선택할 수 있지만, 반응 온도의 하한으로서는, -150℃가 바람직하고, -80℃가 보다 바람직하다. 반응 온도의 상한으로서는, 50℃가 바람직하고, 40℃가 보다 바람직하다. 반응 시간의 하한으로서는, 5분이 바람직하고, 20분이 보다 바람직하다. 반응 시간의 상한으로서는, 24시간이 바람직하고, 12시간이 보다 바람직하다.
리빙 음이온 중합에 사용하는 음이온 중합 개시제로서는, 예를 들어 알킬리튬, 알킬마그네슘할라이드, 나프탈렌나트륨, 알킬화란타노이드 화합물, t-부톡시칼륨, 18-크라운-6-에테르칼륨 등의 칼륨알콕시드, 디메틸아연, 디에틸아연 등의 알킬아연, 트리메틸알루미늄 등의 알킬알루미늄, 벤질칼륨, 쿠밀칼륨, 쿠밀세슘 등의 방향족계 금속 화합물 등을 들 수 있다. 이들 중에서 알킬리튬이 바람직하다.
기 (I)을 부여하는 말단 정지제로서는, 예를 들어 1,2-부틸렌옥시드, 부틸글리시딜에테르, 프로필렌옥시드, 에틸렌옥시드, 2-에틸헥실글리시딜에테르, 에폭시아민 등의 에폭시 화합물, 이소시아네이트 화합물, 티오이소시아네이트 화합물, 이미다졸리디논, 이미다졸, 아미노케톤, 피롤리돈, 디에틸아미노벤조페논, 니트릴 화합물, 아지리딘, 포름아미드, 에폭시아민, 벤질아민, 옥심 화합물, 아진, 히드라존, 이민, 아조카르복실산에스테르, 아미노스티렌, 비닐피리딘, 아미노아크릴레이트, 아미노디페닐에틸렌, 이미드 화합물 등의 질소 함유 화합물, 알콕시실란, 아미노실란, 케토이미노실란, 이소시아네이트실란, 실록산, 글리시딜실란, 머캅토 실란, 비닐실란, 에폭시실란, 피리딜실란, 피페라질실란, 피롤리돈실란, 시아노실란, 이소시안산실란 등의 실란 화합물, 할로겐화주석, 할로겐화규소, 이산화탄소 등을 들 수 있다. 또한, 말단 정지제로서, 4-클로로메틸-2,2-디메틸-1,3-디옥솔란 등의 할로겐화디옥솔란 화합물을 사용하면, 가수 분해 반응을 행함으로써, 디올 구조를 갖는 기 (I)을 형성할 수 있다. 말단 정지제로서는, 에폭시 화합물 또는 할로겐화옥솔란 화합물이 바람직하고, 2-에틸헥실글리시딜에테르, 에틸렌옥시드 또는 4-클로로메틸-2,2-디메틸-1,3-디옥솔란이 보다 바람직하다.
중합에 의해 형성된 [C] 중합체는, 재침전법에 의해 회수하는 것이 바람직하다. 즉, 반응 종료 후, 반응액을 재침 용매에 투입함으로써, 목적으로 하는 중합체를 분체로서 회수한다. 재침 용매로서는, 알코올, 초순수, 알칸 등을 단독으로 또는 2종 이상을 혼합하여 사용할 수 있다. 재침전법 이외에도, 분액 조작이나 칼럼 조작, 한외 여과 조작 등에 의해, 단량체, 올리고머 등의 저분자량 성분을 제거하여 중합체를 회수할 수도 있다.
[C] 중합체의 겔 투과 크로마토그래피(GPC)에 의한 폴리스티렌 환산 중량 평균 분자량(Mw)의 하한으로서는, 2,000이 바람직하고, 3,000이 보다 바람직하고, 4,000이 더욱 바람직하고, 5,000이 특히 바람직하다. 상기 Mw의 상한으로서는, 500,000이 바람직하고, 100,000이 보다 바람직하고, 10,000이 더욱 바람직하고, 7,000이 특히 바람직하다.
[C] 중합체의 폴리스티렌 환산 수평균 분자량(Mn)의 하한으로서는, 2,000이 바람직하고, 3,000이 보다 바람직하고, 4,000이 더욱 바람직하고, 5,000이 특히 바람직하다. 상기 Mn의 상한으로서는, 500,000이 바람직하고, 100,000이 보다 바람직하고, 10,000이 더욱 바람직하고, 7,000이 특히 바람직하다.
[C] 중합체의 분산도(Mw/Mn)의 상한으로서는, 5가 바람직하고, 3이 보다 바람직하고, 2가 더욱 바람직하고, 1.5가 특히 바람직하고, 1.2가 특히 더 바람직하고, 1.1이 가장 바람직하다. 상기 분산도의 하한은 통상 1이다.
본 명세서에 있어서, [C] 중합체의 Mw 및 Mn은 GPC 칼럼(도소(주)의 「G2000HXL」 2개, 「G3000HXL」 1개, 「G4000HXL」 1개)을 사용하여, 유량 1.0mL/분, 용출 용매 테트라히드로푸란, 시료 농도 1.0질량%, 시료 주입량 100㎛, 칼럼 온도 40℃의 분석 조건에서, 검출기로서 시차 굴절계를 사용하여, 단분산 폴리스티렌을 표준으로 하는 GPC에 의해 측정된 값이다.
표면 처리제 (S) 중의 [D] 용매 이외의 전체 성분에 대한 [C] 중합체의 함유율의 하한으로서는, 70질량%가 바람직하고, 80질량%가 보다 바람직하고, 90질량%가 더욱 바람직하다. 상기 함유율의 상한으로서는, 100질량%여도 된다. [C] 중합체의 함유율을 상기 범위로 함으로써, 표면 처리제 (S)의 도공성을 보다 향상시킬 수 있다. 표면 처리제 (S)는 [C] 중합체를 1종 또는 2종 이상 함유하고 있어도 된다.
([D] 용매)
[D] 용매는, [C] 중합체 및 필요에 따라서 함유하는 다른 성분을 용해 또는 분산시킬 수 있으면 특별히 한정되지 않는다. [D] 용매로서는, 예를 들어 알코올계 용매, 케톤계 용매, 에테르계 용매, 에스테르계 용매, 질소 함유계 용매, 물 등을 들 수 있다. [D] 용매는 1종 단독으로 또는 2종 이상을 조합하여 사용할 수 있다. [D] 용매로서는, 예를 들어 상기 금속 함유 화합물 (X)의 [B] 용매로서 예시한 용매 등을 들 수 있다.
[D] 용매로서는, 에스테르계 용매가 바람직하고, 다가 알코올 부분 에테르카르복실레이트계 용매가 보다 바람직하고, 프로필렌글리콜모노메틸에테르아세테이트가 더욱 바람직하다.
(다른 성분)
표면 처리제 (S)에 있어서의 다른 성분으로서는, 예를 들어 계면 활성제 등을 들 수 있다. 표면 처리제 (S)가 다른 성분을 함유하는 경우, 다른 성분의 함유량의 상한으로서는, [C] 중합체 100질량부에 대하여 5질량부가 바람직하고, 1질량부가 보다 바람직하다.
(표면 처리제의 조제 방법)
표면 처리제 (S)의 조제 방법으로서는 특별히 한정되지 않고, 예를 들어 [C] 중합체, [D] 용매 및 필요에 따라서 다른 성분을 소정의 비율로 혼합하고, 바람직하게는 얻어진 혼합 용액을 구멍 직경 0.2㎛ 이하의 필터로 여과함으로써 조제할 수 있다.
표면 처리제 (S)의 고형분 농도의 하한으로서는, 0.01질량%가 바람직하고, 0.1질량%가 보다 바람직하고, 0.5질량%가 더욱 바람직하고, 1질량%가 특히 바람직하다. 상기 고형분 농도의 상한으로서는, 20질량%가 바람직하고, 10질량%가 보다 바람직하고, 5질량%가 더욱 바람직하고, 3질량%가 특히 바람직하다. 표면 처리제 (S)의 고형분 농도란, 표면 처리제 (S)를 250℃에서 30분간 소성함으로써, 표면 처리제 (S) 중의 고형분의 질량을 측정하고, 이 고형분의 질량을 표면 처리제 (S)의 질량으로 제산함으로써 산출되는 값(질량%)이다.
표면 처리제 (S)의 표면 (Q)로의 도공 방법으로서는, 예를 들어 회전 도공법, 롤 코팅법, 침지법 등을 들 수 있다. 이에 의해, 표면 처리제 (S)의 도막이 기판 (P)의 표면 (Q)에 형성된다.
표면 처리제 도공 공정에 있어서, 표면 처리제 (S)의 도막을 가열할 수 있다. 가열의 온도의 하한으로서는, 80℃가 바람직하고, 100℃가 보다 바람직하다. 상기 온도의 상한으로서는, 250℃가 바람직하고, 200℃가 보다 바람직하다. 가열 시간의 하한으로서는, 10초가 바람직하고, 30초가 보다 바람직하다. 상기 시간의 상한으로서는, 30분이 바람직하고, 10분이 보다 바람직하다.
표면 처리제 도공 공정에 있어서, 상기 가열 후 또는 비가열의 표면 처리제 (S)의 도막을 용매로 세정해도 된다. 세정에 사용되는 용매로서는, 예를 들어 상기 금속 함유 조성물 (X)의 [B] 용매로서 예시한 용매 등을 들 수 있다. 이들 중에서 에스테르계 용매가 바람직하고, 다가 알코올 부분 에테르카르복실레이트계 용매가 보다 바람직하고, 프로필렌글리콜모노메틸에테르아세테이트가 더욱 바람직하다. 상기 세정 방법으로서, 예를 들어 회전 도공법, 롤 코팅법, 침지법 등의 도공 방법을 사용할 수 있다.
표면 (Q)에 형성되는 표면 처리제 (S)에서 유래하는 막의 평균 두께의 하한으로서는, 0.1nm가 바람직하고, 0.5nm가 보다 바람직하고, 1nm가 더욱 바람직하다. 상기 평균 두께의 상한으로서는, 10nm가 바람직하고, 5nm가 보다 바람직하고, 3nm가 더욱 바람직하다. 표면 (Q)에 형성되는 표면 처리제 (S)에서 유래하는 막의 평균 두께를 상기 범위로 함으로써, 감도 그리고 레지스트 패턴의 해상성 및 도괴 억제성을 보다 향상시킬 수 있다.
[처리 공정]
당해 기판의 제조 방법은, 레지스트 조성물 도공 공정 전에, 처리 공정을 구비하고 있어도 된다. 본 공정에서는, 기판 (P)의 표면 처리제를 도공한 면(표면)에 대하여, 자외선의 폭로, 산소 플라스마의 폭로, 물의 접촉, 알칼리의 접촉, 산의 접촉, 과산화수소의 접촉 및 오존의 접촉 중 1 또는 2 이상의 처리를 행한다.
본 공정에서는, 이들 자외선의 폭로, 산소 플라스마의 폭로, 물의 접촉, 알칼리의 접촉, 산의 접촉, 과산화수소의 접촉 및 오존의 접촉 중, 하나의 처리만을 행해도 되고, 이들 중의 2개 이상의 처리를 순차 또는 동시에 행해도 된다.
자외선의 파장의 하한으로서는, 13nm가 바람직하고, 150nm가 보다 바람직하다. 상기 파장의 상한으로서는, 370nm가 바람직하고, 255nm가 보다 바람직하다.
[레지스트 조성물 도공 공정]
본 공정에서는, 상기 표면 처리제를 도공한 면에 레지스트 조성물을 도공한다. 이하, 레지스트 조성물에 대하여 설명한다.
(레지스트 조성물)
레지스트 조성물로서는, 예를 들어 산해리성기를 갖는 중합체 및 감방사선성 산발생제를 함유하는 감방사선성 수지 조성물(화학 증폭형 레지스트 조성물), 알칼리 가용성 수지와 퀴논디아지드계 감광제를 포함하는 포지티브형 레지스트 조성물, 알칼리 가용성 수지와 가교제를 함유하는 네가티브형 레지스트 조성물, 금속 함유 화합물을 함유하는 감방사선성 조성물(금속 레지스트 조성물) 등을 들 수 있다. 이들 중에서 감방사선성 수지 조성물이 바람직하다. 감방사선성 수지 조성물을 사용한 경우, 알칼리 현상액으로 현상함으로써 포지티브형 패턴을 형성할 수 있고, 유기 용매 현상액으로 현상함으로써 네가티브형 패턴을 형성할 수 있다.
감방사선성 수지 조성물에 함유되는 중합체는, 산해리성기를 포함하는 구조 단위 이외에도, 예를 들어 락톤 구조, 환상 카르보네이트 구조 및/또는 술톤 구조를 포함하는 구조 단위, 알코올성 수산기를 포함하는 구조 단위, 페놀성 수산기를 포함하는 구조 단위, 불소 원자를 포함하는 구조 단위 등을 갖고 있어도 된다.
레지스트 조성물의 표면 처리제 (S)를 도공한 면으로의 도공 방법으로서는, 예를 들어 회전 도공법 등의 종래의 방법 등을 들 수 있다.
레지스트 조성물의 도막을 프리베이크함으로써, 도막 내의 용매를 휘발시킴으로써, 레지스트막이 형성된다.
[노광 공정]
본 공정에서는, 상기 도공 공정에 의해 형성된 레지스트막을 극단 자외선 또는 전자선으로 노광한다. 이 노광은, 예를 들어 반사 마스크를 사용하여 선택적으로 방사선을 조사하여 행한다.
[현상 공정]
본 공정에서는, 상기 노광된 레지스트막을 현상한다. 이에 의해, 레지스트 패턴이 형성된다.
상기 현상은 알칼리 현상이어도 유기 용매 현상이어도 된다. 당해 기판의 제조 방법에 의하면, 극단 자외선 또는 전자선 노광에 의한 레지스트막의 감도를 높일 수 있으며, 또한 해상성 및 도괴 억제성이 우수한 레지스트 패턴을 형성할 수 있다. 특히, 알칼리 현상에 의해 얻어지는 포지티브형의 레지스트 패턴은, 레지스트막의 잔사 발생이 억제된다고 생각되고, 해상성이 우수하고, 유기 용매 현상에 의해 얻어지는 네가티브형의 레지스트 패턴은, 레지스트막이 접촉하는 면과의 밀착성이 적절하게 유지된다고 생각되고, 도괴 억제성이 우수한 것이 된다. 이와 같이, 당해 기판의 제조 방법에 의하면, 양호한 레지스트 패턴을 형성할 수 있다.
알칼리 현상액으로서는, 예를 들어 수산화나트륨, 수산화칼륨, 탄산나트륨, 규산나트륨, 메타규산나트륨, 암모니아, 에틸아민, n-프로필아민, 디에틸아민, 디-n-프로필아민, 트리에틸아민, 메틸디에틸아민, 디메틸에탄올아민, 트리에탄올아민, 테트라메틸암모늄히드록시드(TMAH), 테트라에틸암모늄히드록시드, 피롤, 피페리딘, 콜린, 1,8-디아자비시클로[5.4.0]-7-운데센, 1,5-디아자비시클로[4.3.0]-5-노넨 등의 알칼리성 수용액 등을 들 수 있다. 또한, 이들 알칼리성 수용액은, 예를 들어 메탄올, 에탄올 등의 알코올류 등의 수용성 유기 용매, 계면 활성제 등을 적량 첨가한 것이어도 된다.
유기 용매 현상액으로서는, 예를 들어 케톤계 용매, 알코올계 용매, 아미드계 용매, 에테르계 용매, 에스테르계 용매 등의 유기 용매를 주성분으로 하는 액 등을 들 수 있다. 이들 용매로서는, 예를 들어 상기 금속 함유 조성물 (X)의 [B] 용매로서 예시한 각각의 용매와 마찬가지의 것 등을 들 수 있고, 보다 구체적으로는 아세트산n-부틸, 아세트산iso-부틸, 아세트산sec-부틸, 아세트산아밀 등을 들 수 있다. 이들 용매는 1종 단독이어도, 복수 혼합하여 사용해도 된다.
현상액으로 현상을 행한 후, 바람직하게는 세정하고 건조시킴으로써, 레지스트 패턴을 얻을 수 있다.
[에칭 공정]
본 공정에서는, 상기 현상 공정에 의해 형성된 레지스트 패턴을 마스크로 하여 상기 기판을 에칭한다. 보다 구체적으로는, 상기 레지스트 패턴을 마스크로 한 1회 또는 복수회의 에칭을 행하여, 패터닝된 기판을 얻는다.
기판 (P)가, 기재 상에 유기 하층막 및 금속 함유층 (T)를 형성시킨 것인 경우, 레지스트 패턴을 마스크로 하여 금속 함유층 (T)를 에칭함으로써 금속 함유층의 패턴을 형성하고, 이 금속 함유층 패턴을 마스크로 하여 유기 하층막을 에칭함으로써 유기 하층막의 패턴을 형성하고, 이 유기 하층막 패턴을 마스크로 하여 기재를 에칭함으로써, 기재에 패턴이 형성된다.
상기 에칭은 건식 에칭이어도 습식 에칭이어도 되지만, 건식 에칭이 바람직하다.
건식 에칭은, 예를 들어 공지된 건식 에칭 장치를 사용하여 행할 수 있다. 건식 에칭에 사용하는 에칭 가스로서는, 에칭되는 금속 함유층 (T) 및 유기 하층막의 원소 조성 등에 의해 적절히 선택할 수 있고, 예를 들어 CHF3, CF4, C2F6, C3F8, SF6 등의 불소계 가스, Cl2, BCl3 등의 염소계 가스, O2, O3, H2O 등의 산소계 가스, H2, NH3, CO, CO2, CH4, C2H2, C2H4, C2H6, C3H4, C3H6, C3H8, HF, HI, HBr, HCl, NO, NH3, BCl3 등의 환원성 가스, He, N2, Ar 등의 불활성 가스 등이 사용된다. 이들 가스는 혼합하여 사용할 수도 있다. 금속 함유층 (T)의 건식 에칭에는, 통상 불소계 가스가 사용되고, 이것에 염소계 가스와 불활성 가스를 혼합한 것이 적합하게 사용된다. 또한, 유기 하층막의 건식 에칭에는, 통상 산소계 가스가 사용된다.
실시예
이하, 실시예를 설명한다. 또한, 이하에 나타내는 실시예는, 본 발명의 대표적인 실시예의 일례를 나타낸 것이며, 이에 의해 본 발명의 범위가 좁게 해석되는 것은 아니다.
<금속 함유 조성물의 조제>
본 실시예에 있어서의 [A] 화합물의 용액에 있어서의 고형분 농도, [A] 화합물의 중량 평균 분자량(Mw), 및 막의 평균 두께는 하기 방법에 의해 측정하였다.
[[A] 화합물의 용액 고형분 농도]
[A] 화합물의 용액 0.5g을 250℃에서 30분간 소성함으로써, 이 용액 0.5g 중의 고형분의 질량을 측정하고, [A] 화합물의 용액 고형분 농도(질량%)를 산출하였다.
[중량 평균 분자량(Mw)]
GPC 칼럼(도소(주)의 「AWM-H」 2개, 「AW-H」 1개 및 「AW2500」 2개)을 사용하여, 유량: 0.3mL/분, 용출 용매: N,N-디메틸아세트아미드에 LiBr(30mM) 및 시트르산(30mM)을 첨가한 것, 칼럼 온도: 40℃의 분석 조건에서, 단분산 폴리스티렌을 표준으로 하는 겔 투과 크로마토그래피(검출기: 시차 굴절계)에 의해 측정하였다.
[막의 평균 두께]
막의 평균 두께는, 분광 엘립소미터(J. A. WOOLLAM사의 「M2000D」)를 사용하여 측정하였다.
[[A] 화합물의 합성]
[A] 화합물의 합성에 사용한 금속 함유 화합물을 이하에 나타낸다. 또한, 이하의 합성예에 있어서는 특별히 언급하지 않는 한, 「질량부」는 사용한 금속 함유 화합물의 합계 질량을 100질량부로 한 경우의 값을 의미한다.
M-1: 디이소프로폭시비스(2,4-펜탄디오네이트)티타늄(IV)(75질량% 농도의 2-프로판올 용액)
M-2: 디부톡시비스(에틸아세토아세테이트)지르코늄(IV)(70질량% 농도의 n-부탄올 용액)
M-3: 테트라메톡시실란
M-4: 메틸트리메톡시실란
M-5: 디이소프로폭시에틸아세토아세테이트알루미늄(III)(75질량% 농도의 2-프로판올 용액)
[합성예 1-1] (화합물 (A-1)의 합성)
반응 용기 내에 있어서, 화합물 (M-1)(100질량부. 단 용매를 제외한다.)을 프로필렌글리콜모노에틸에테르 468질량부에 용해시켰다. 상기 반응 용기 내에 있어서, 실온(25℃ 내지 30℃)에서 교반하면서 물 53질량부를 10분에 걸쳐 적하하였다. 이어서, 60℃에서 반응을 2시간 실시하였다. 반응 종료 후, 반응 용기 내를 30℃ 이하로 냉각시켰다. 냉각시킨 반응 용액에, 프로필렌글리콜모노에틸에테르 654질량부를 첨가한 후, 증발기를 사용하여, 물, 반응에 의해 생성된 알코올 및 잉여의 프로필렌글리콜모노에틸에테르를 제거하여, 하기 식 (A-1)로 표시되는 화합물(이하, 「화합물 (A-1)」이라고도 함)의 프로필렌글리콜모노에틸에테르 용액을 얻었다. 화합물 (A-1)의 Mw는 4,200이었다. 이 화합물 (A-1)의 프로필렌글리콜모노에틸에테르 용액의 고형분 농도는, 7.6질량%였다.
Figure 112020069774290-pct00001
[합성예 1-2] (화합물 (A-2)의 합성)
반응 용기 내에 있어서, 화합물 (M-2)(100질량부. 단 용매를 제외한다.)를 프로필렌글리콜모노에틸에테르 1,325질량부에 용해시켰다. 상기 반응 용기 내에 있어서, 실온(25℃ 내지 30℃)에서 교반하면서 물 7질량부를 10분에 걸쳐 적하하였다. 이어서, 60℃에서 반응을 2시간 실시하였다. 반응 종료 후, 반응 용기 내를 30℃ 이하로 냉각시켰다. 냉각시킨 반응 용액에, 프로필렌글리콜모노에틸에테르 981질량부를 첨가한 후, 증발기를 사용하여, 물, 반응에 의해 생성된 알코올 및 잉여의 프로필렌글리콜모노에틸에테르를 제거하여, 하기 식 (A-2)로 표시되는 화합물(이하, 「화합물 (A-2)」라고도 함)의 프로필렌글리콜모노에틸에테르 용액을 얻었다. 화합물 (A-2)의 Mw는 2,400이었다. 이 화합물 (A-2)의 프로필렌글리콜모노에틸에테르 용액의 고형분 농도는, 13.0질량%였다.
Figure 112020069774290-pct00002
[합성예 1-3] (화합물 (A-3)의 합성)
반응 용기 내에 있어서, 화합물 (M-1)(50몰%)과, 화합물 (M-3)(50몰%)을 이소프로필알코올 343질량부에 용해시켰다. 상기 반응 용기 내에 있어서, 40℃에서 교반하면서, 6.2질량% 옥살산 수용액 22.3질량부와 이소프로필알코올 343질량부를 혼합한 것을 20분에 걸쳐 적하하였다. 이어서, 60℃에서 반응을 2시간 실시하였다. 반응 종료 후, 반응 용기 내를 30℃ 이하로 냉각시켰다. 냉각시킨 반응 용액에, 프로필렌글리콜모노에틸에테르 809질량부를 첨가한 후, 증발기를 사용하여, 물, 반응에 의해 생성된 알코올 및 잉여의 프로필렌글리콜모노에틸에테르를 제거하여, 하기 식 (A-3)으로 표시되는 화합물(이하, 「화합물 (A-3)」이라고도 함)의 프로필렌글리콜모노에틸에테르 용액을 얻었다. 화합물 (A-3)의 Mw는 14,000이었다. 이 화합물 (A-3)의 프로필렌글리콜모노에틸에테르 용액의 고형분 농도는, 4.0질량%였다.
Figure 112020069774290-pct00003
[합성예 1-4] (화합물 (A-4)의 합성)
반응 용기 내에 있어서, 화합물 (M-1)(50몰%)과, 화합물 (M-3)(20몰%)과, 화합물 (M-4)(30몰%)를 이소프로필알코올 364질량부에 용해시켰다. 상기 반응 용기 내에 있어서, 40℃에서 교반하면서, 5.9질량% 옥살산 수용액 24.3질량부와 이소프로필알코올 364질량부를 혼합한 것을 20분에 걸쳐 적하하였다. 이어서, 60℃에서 반응을 2시간 실시하였다. 반응 종료 후, 반응 용기 내를 30℃ 이하로 냉각시켰다. 냉각시킨 반응 용액에, 프로필렌글리콜모노에틸에테르 849질량부를 첨가한 후, 증발기를 사용하여, 물, 반응에 의해 생성된 알코올 및 잉여의 프로필렌글리콜모노에틸에테르를 제거하여, 하기 식 (A-4)로 표시되는 화합물(이하, 「화합물 (A-4)」라고도 함)의 프로필렌글리콜모노에틸에테르 용액을 얻었다. 화합물 (A-4)의 Mw는 8,500이었다. 이 화합물 (A-4)의 프로필렌글리콜모노에틸에테르 용액의 고형분 농도는, 4.0질량%였다.
Figure 112020069774290-pct00004
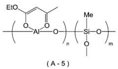
[합성예 1-5] (화합물 (A-5)의 합성)
반응 용기 내에 있어서, 화합물 (M-5)(10몰%)와, 화합물 (M-4)(90몰%)를 프로필렌글리콜모노에틸에테르 198질량부에 용해시켰다. 상기 반응 용기 내에 있어서, 실온(25℃ 내지 30℃)에서 교반하면서 17.6질량% 아세트산 수용액 39질량부를 10분에 걸쳐 적하하였다. 이어서, 95℃에서 반응을 5시간 실시하였다. 반응 종료 후, 반응 용기 내를 30℃ 이하로 냉각시켰다. 냉각시킨 반응 용액에, 프로필렌글리콜모노에틸에테르 471질량부를 첨가한 후, 증발기를 사용하여, 물, 반응에 의해 생성된 알코올 및 잉여의 프로필렌글리콜모노에틸에테르를 제거하여, 하기 식 (A-5)로 표시되는 화합물(이하, 「화합물 (A-5)」라고도 함)의 프로필렌글리콜모노에틸에테르 용액을 얻었다. 화합물 (A-5)의 Mw는 2,700이었다. 이 화합물 (A-5)의 프로필렌글리콜모노에틸에테르 용액의 고형분 농도는, 13.1질량%였다.
Figure 112020069774290-pct00005
[합성예 1-6] (화합물 (A-6)의 합성)
반응 용기 내에 있어서, 화합물 (M-1)(45몰%)과, 화합물 (M-3)(30몰%)과, 화합물 (M-4)(25몰%)를 이소프로필알코올 373질량부에 용해시켰다. 상기 반응 용기 내에 있어서, 40℃에서 교반하면서, 1.7질량% 옥살산 수용액 21.5질량부와 이소프로필알코올 373질량부를 혼합한 것을 20분에 걸쳐 적하하였다. 이어서, 60℃에서 반응을 2시간 실시하였다. 반응 종료 후, 반응 용기 내를 30℃ 이하로 냉각시켰다. 냉각시킨 반응 용액에, 프로필렌글리콜모노에틸에테르아세테이트 867질량부를 첨가한 후, 증발기를 사용하여, 물, 반응에 의해 생성된 알코올 및 잉여의 프로필렌글리콜모노에틸에테르아세테이트를 제거하여, 하기 식 (A-6)으로 표시되는 화합물(이하, 「화합물 (A-6)」이라고도 함)의 프로필렌글리콜모노에틸에테르아세테이트 용액을 얻었다. 화합물 (A-6)의 Mw는 1,400이었다. 이 화합물 (A-6)의 프로필렌글리콜모노에틸에테르아세테이트 용액의 고형분 농도는, 5.6질량%였다.
Figure 112020069774290-pct00006
[합성예 1-7] (화합물 (A-7)의 합성)
반응 용기 내에 있어서, 화합물 (M-1)(40몰%)과, 화합물 (M-3)(30몰%)과, 화합물 (M-4)(30몰%)를 이소프로필알코올 370질량부에 용해시켰다. 상기 반응 용기 내에 있어서, 40℃에서 교반하면서, 1.8질량% 옥살산 수용액 23.0질량부와 이소프로필알코올 370질량부를 혼합한 것을 20분에 걸쳐 적하하였다. 이어서, 60℃에서 반응을 2시간 실시하였다. 반응 종료 후, 반응 용기 내를 30℃ 이하로 냉각시켰다. 냉각시킨 반응 용액에, 프로필렌글리콜모노에틸에테르아세테이트 900질량부를 첨가한 후, 증발기를 사용하여, 물, 반응에 의해 생성된 알코올 및 잉여의 프로필렌글리콜모노에틸에테르아세테이트를 제거하여, 하기 식 (A-7)로 표시되는 화합물(이하, 「화합물 (A-7)」이라고도 함)의 프로필렌글리콜모노에틸에테르아세테이트 용액을 얻었다. 화합물 (A-7)의 Mw는 1,500이었다. 이 화합물 (A-7)의 프로필렌글리콜모노에틸에테르아세테이트 용액의 고형분 농도는, 5.4질량%였다.
Figure 112020069774290-pct00007
[합성예 1-8] (화합물 (A-8)의 합성)
반응 용기 내에 있어서, 화합물 (M-1)(30몰%)과, 화합물 (M-3)(30몰%)과, 화합물 (M-4)(40몰%)를 이소프로필알코올 430질량부에 용해시켰다. 상기 반응 용기 내에 있어서, 40℃에서 교반하면서, 2.0질량% 옥살산 수용액 26.4질량부와 이소프로필알코올 430질량부를 혼합한 것을 20분에 걸쳐 적하하였다. 이어서, 60℃에서 반응을 2시간 실시하였다. 반응 종료 후, 반응 용기 내를 30℃ 이하로 냉각시켰다. 냉각시킨 반응 용액에, 프로필렌글리콜모노에틸에테르아세테이트 849질량부를 첨가한 후, 증발기를 사용하여, 물, 반응에 의해 생성된 알코올 및 잉여의 프로필렌글리콜모노에틸에테르아세테이트를 제거하여, 하기 식 (A-8)로 표시되는 화합물(이하, 「화합물 (A-8)」이라고도 함)의 프로필렌글리콜모노에틸에테르아세테이트 용액을 얻었다. 화합물 (A-8)의 Mw는 1,700이었다. 이 화합물 (A-8)의 프로필렌글리콜모노에틸에테르아세테이트 용액의 고형분 농도는, 5.5질량%였다.
Figure 112020069774290-pct00008
[합성예 1-9] (화합물 (A-9)의 합성)
반응 용기 내에 있어서, 화합물 (M-1)(20몰%)과, 화합물 (M-4)(80몰%)를 이소프로필알코올 510질량부에 용해시켰다. 상기 반응 용기 내에 있어서, 40℃에서 교반하면서, 2.1질량% 옥살산 수용액 28.4질량부와 이소프로필알코올 510질량부를 혼합한 것을 20분에 걸쳐 적하하였다. 이어서, 60℃에서 반응을 2시간 실시하였다. 반응 종료 후, 반응 용기 내를 30℃ 이하로 냉각시켰다. 냉각시킨 반응 용액에, 프로필렌글리콜모노에틸에테르아세테이트 1150질량부를 첨가한 후, 증발기를 사용하여, 물, 반응에 의해 생성된 알코올 및 잉여의 프로필렌글리콜모노에틸에테르아세테이트를 제거하여, 하기 식 (A-9)로 표시되는 화합물(이하, 「화합물 (A-9)」라고도 함)의 프로필렌글리콜모노에틸에테르아세테이트 용액을 얻었다. 화합물 (A-9)의 Mw는 2,000이었다. 이 화합물 (A-9)의 프로필렌글리콜모노에틸에테르아세테이트 용액의 고형분 농도는, 5.6질량%였다.
Figure 112020069774290-pct00009
[금속 함유 조성물의 조제]
금속 함유 조성물의 조제에 사용한 [B] 용매에 대하여 이하에 나타낸다.
([B] 용매)
B-1: 프로필렌글리콜모노에틸에테르
B-2: 프로필렌글리콜모노메틸에테르아세테이트
[조제예 1-1]
[A] 화합물(고형분)로서의 (A-1) 2질량부와, [B] 용매로서의 (B-1) 95질량부([A] 화합물의 용액에 포함되는 용매 (B-1)도 포함함) 및 (B-2) 5질량부를 혼합하고, 얻어진 용액을 구멍 직경 0.2㎛의 필터로 여과하여, 금속 함유 조성물 (X-1)을 조제하였다.
[조제예 1-2 내지 1-11]
각 성분의 종류 및 함유량을 하기 표 1에 나타내는 대로 한 것 이외에는, 조제예 1-1과 마찬가지로 조작하여, 금속 함유 조성물 (X-2) 내지 (X-11)을 조제하였다.
Figure 112020069774290-pct00010
<기판의 제작>
[기판 (JF-1-1)의 제작]
실리콘 기재 상에, 상기 조제한 금속 함유 조성물 (X-1)을 스핀 코터(도쿄 일렉트론(주)의 「CLEAN TRACK ACT8」)에 의한 회전 도공법에 의해 도공하고, 220℃에서 60초간 가열한 후, 23℃에서 30초간 냉각시킴으로써, 평균 두께 30nm의 금속 함유층을 형성하여, 기판 (JF-1-1)을 얻었다.
[기판 (JF-1-2)의 제작]
실리콘 기재 상에, 상기 조제한 금속 함유 조성물 (X-2)를 상기 스핀 코터에 의한 회전 도공법에 의해 도공하고, 220℃에서 60초간 가열한 후, 23℃에서 30초간 냉각시킴으로써, 평균 두께 30nm의 금속 함유막을 형성하여, 기판 (JF-1-2)를 얻었다.
[기판 (JF-1-3)의 제작]
실리콘 기재 상에, 상기 조제한 금속 함유 조성물 (X-3)을 상기 스핀 코터에 의한 회전 도공법에 의해 도공하고, 220℃에서 60초간 가열한 후, 20℃ 내지 25℃에서 30초간 냉각시킴으로써, 평균 두께 30nm의 금속 함유막을 형성하여, 기판 (JF-1-3)을 얻었다.
[기판 (JF-1-4)의 제작]
실리콘 기재 상에, 상기 조제한 금속 함유 조성물 (X-4)를 상기 스핀 코터에 의한 회전 도공법에 의해 도공하고, 220℃에서 60초간 가열한 후, 20℃ 내지 25℃에서 30초간 냉각시킴으로써, 평균 두께 30nm의 금속 함유막을 형성하여, 기판 (JF-1-4)를 얻었다.
[기판 (JF-1-5)의 제작]
실리콘 기재 상에, 상기 조제한 금속 함유 조성물 (X-5)를 상기 스핀 코터에 의한 회전 도공법에 의해 도공하고, 220℃에서 60초간 가열한 후, 20℃ 내지 25℃에서 30초간 냉각시킴으로써, 평균 두께 30nm의 금속 함유막을 형성하여, 기판 (JF-1-5)를 얻었다.
[기판 (JF-1-6)의 제작]
실리콘 기재 상에, 상기 조제한 금속 함유 조성물 (X-6)을 상기 스핀 코터에 의한 회전 도공법에 의해 도공하고, 220℃에서 60초간 가열한 후, 20℃ 내지 25℃에서 30초간 냉각시킴으로써, 평균 두께 30nm의 금속 함유막을 형성하여, 기판 (JF-1-6)을 얻었다.
[기판 (JF-1-7)의 제작]
실리콘 기재 상에, 상기 조제한 금속 함유 조성물 (X-7)을 상기 스핀 코터에 의한 회전 도공법에 의해 도공하고, 220℃에서 60초간 가열한 후, 20℃ 내지 25℃에서 30초간 냉각시킴으로써, 평균 두께 30nm의 금속 함유막을 형성하여, 기판 (JF-1-7)을 얻었다.
[기판 (JF-1-8)의 제작]
실리콘 기재 상에, 상기 조제한 금속 함유 조성물 (X-8)을 상기 스핀 코터에 의한 회전 도공법에 의해 도공하고, 220℃에서 60초간 가열한 후, 20℃ 내지 25℃에서 30초간 냉각시킴으로써, 평균 두께 30nm의 금속 함유막을 형성하여, 기판 (JF-1-8)을 얻었다.
[기판 (JF-1-9)의 제작]
실리콘 기재 상에, 상기 조제한 금속 함유 조성물 (X-9)를 상기 스핀 코터에 의한 회전 도공법에 의해 도공하고, 220℃에서 60초간 가열한 후, 20℃ 내지 25℃에서 30초간 냉각시킴으로써, 평균 두께 30nm의 금속 함유막을 형성하여, 기판 (JF-1-9)를 얻었다.
[기판 (JF-1-10)의 제작]
실리콘 기재 상에, 상기 조제한 금속 함유 조성물 (X-10)을 상기 스핀 코터에 의한 회전 도공법에 의해 도공하고, 220℃에서 60초간 가열한 후, 20℃ 내지 25℃에서 30초간 냉각시킴으로써, 평균 두께 30nm의 금속 함유막을 형성하여, 기판 (JF-1-10)을 얻었다.
[기판 (JF-1-11)의 제작]
실리콘 기재 상에, 상기 조제한 금속 함유 조성물 (X-11)을 상기 스핀 코터에 의한 회전 도공법에 의해 도공하고, 220℃에서 60초간 가열한 후, 20℃ 내지 25℃에서 30초간 냉각시킴으로써, 평균 두께 30nm의 금속 함유막을 형성하여, 기판 (JF-1-11)을 얻었다.
[기판 (JF-2-1)의 제작]
상기 제작한 기판 (JF-1-1) 상에, 메타크릴계 수지 조성물인 브루어 사이언스사의 「DUV42」를 상기 스핀 코터에 의한 회전 도공법에 의해 도공하고, 205℃에서 60초간 가열한 후, 20℃ 내지 25℃에서 30초간 냉각시킴으로써, 평균 두께 60nm의 메타크릴계 수지막 구비의 기판 (JF-2-1)을 얻었다.
[기판 (JF-2-2) 내지 (JF-2-5)의 제작]
상기 제작한 기판 (JF-2-1)과 마찬가지로 하여, 기판 (JF-1-2) 내지 (JF-1-5) 상에, 상기 「DUV42」를 상기 스핀 코터에 의한 회전 도공법에 의해 도공하고, 205℃에서 60초간 가열한 후, 20℃ 내지 25℃에서 30초간 냉각시킴으로써, 평균 두께 60nm의 메타크릴계 수지막 구비의 기판 (JF-2-2) 내지 (JF-2-5)를 얻었다.
[기판 (JF-2-6)의 제작]
실리콘 기재 상에, 상기 「DUV42」를 상기 스핀 코터에 의한 회전 도공법에 의해 도공하고, 205℃에서 60초간 가열한 후, 20℃ 내지 25℃에서 30초간 냉각시킴으로써, 평균 두께 60nm의 메타크릴계 수지막 구비의 기판 (JF-2-6)을 얻었다.
<표면 처리제의 조제>
본 실시예에 있어서의 [C] 중합체의 중량 평균 분자량(Mw) 및 수평균 분자량(Mn)은 하기 방법에 의해 측정하였다.
[Mw 및 Mn]
[C] 중합체의 Mw 및 Mn은, 겔 투과 크로마토그래피(GPC)에 의해 도소(주)의 GPC 칼럼(「G2000HXL」 2개, 「G3000HXL」 1개 및 「G4000HXL」 1개)을 사용하여, 이하의 조건에 의해 측정하였다.
용리액: 테트라히드로푸란(와코 쥰야꾸 고교(주))
유량: 1.0mL/분
시료 농도: 1.0질량%
시료 주입량: 100μL
칼럼 온도: 40℃
검출기: 시차 굴절계
표준 물질: 단분산 폴리스티렌
[[C] 중합체의 합성]
[합성예 2-1] (중합체 (C-1)의 합성)
플라스크 반응 용기를 감압 건조시킨 후, 질소 분위기 하에서 증류 탈수 처리를 행한 테트라히드로푸란(THF) 120g을 주입하고, -78℃까지 냉각시켰다. 그 후, 이 THF에 sec-부틸리튬(sec-BuLi)의 1N 시클로헥산 용액을 3.10mL 주입하고, 그 후, 중합 금지제 제거를 위한 실리카겔에 의한 흡착 여과 분리와 증류 탈수 처리를 행한 스티렌 16.6mL를 30분에 걸쳐 적하 주입하고, 중합계가 주황색인 것을 확인하였다. 이 적하 주입 시에, 중합 반응액의 내온이 -60℃ 이상이 되지 않도록 주의하였다. 적하 종료 후에 30분간 숙성하였다. 이 후, 말단 정지제로서의 2-에틸헥실글리시딜에테르 0.63mL와 메탄올 1mL의 혼합물을 주입하여 중합 말단의 정지 반응을 행하였다. 이 중합 반응액을 실온까지 승온하고, 농축한 후, 용매를 메틸이소부틸케톤(MIBK)으로 치환하였다. 그 후, 2질량% 옥살산 수용액 1,000g을 주입 교반하고, 정치 후, 하층의 수층을 제거하였다. 이 조작을 3회 반복하여, Li염을 제거하였다. 그 후, 초순수 1,000g을 주입 교반하고, 정치 후, 하층의 수층을 제거하였다. 이 조작을 3회 반복하여 옥살산을 제거한 후, 얻어진 용액을 농축하고 나서, 메탄올 500g 중에 적하함으로써 중합체를 석출시켜, 부흐너 깔때기로 고체를 회수하였다. 얻어진 중합체를 60℃에서 감압 건조시킴으로써 백색 고체의 하기 식 (C-1)로 표시되는 중합체 14.8g을 얻었다. 이 중합체 (C-1)은 Mw가 6,100, Mn이 5,700, Mw/Mn이 1.07이었다.
Figure 112020069774290-pct00011
[합성예 2-2] (중합체 (C-2)의 합성)
반응 용기를 감압 건조시킨 후, 질소 분위기 하에서 증류 탈수 처리를 행한 THF 120g을 주입하고, -78℃까지 냉각시켰다. 그 후, 이 THF에 sec-BuLi의 1N 시클로헥산 용액을 2.38mL 주입하고, 그 후, 중합 금지제 제거를 위한 실리카겔에 의한 흡착 여과 분리와 증류 탈수 처리를 행한 스티렌 13.3mL를 30분에 걸쳐 적하 주입하고, 중합계가 주황색인 것을 확인하였다. 이 적하 주입 시에, 반응 용액의 내온이 -60℃ 이상이 되지 않도록 주의하였다. 적하 종료 후에 30분간 숙성하였다. 이 후, 말단 정지제로서의 에틸렌옥시드의 1mol/L 농도의 THF 용액을 2.40mL 주입하여 중합 말단의 정지 반응을 행하였다. 이 반응 용액을 실온까지 승온하고, 얻어진 반응 용액을 농축하여, 용매를 MIBK로 치환하였다. 그 후, 2질량% 옥살산 수용액 1,000g을 주입 교반하고, 정치 후, 하층의 수층을 제거하였다. 이 조작을 3회 반복하여, Li염을 제거하였다. 그 후, 초순수 1,000g을 주입 교반하고, 정치 후, 하층의 수층을 제거하였다. 이 조작을 3회 반복하여 옥살산을 제거한 후, 용액을 농축하여 메탄올 500g 중에 적하함으로써 중합체를 석출시켜, 부흐너 깔때기로 고체를 회수하였다. 이 중합체를 60℃에서 감압 건조시킴으로써 백색의 하기 식 (C-2)로 표시되는 중합체 11.6g을 얻었다. 이 중합체 (C-2)는 Mw가 5,300, Mn이 5,100, Mw/Mn이 1.04였다.
Figure 112020069774290-pct00012
[합성예 2-3] (중합체 (C-3)의 합성)
플라스크 반응 용기를 감압 건조시킨 후, 질소 분위기 하에서 증류 탈수 처리를 행한 THF 120g을 주입하고, -78℃까지 냉각시켰다. 이 THF에 sec-BuLi의 1N 시클로헥산 용액을 2.38mL 주입하고, 또한 중합 금지제 제거를 위해서 실리카겔에 의한 흡착 여과 분리와 증류 탈수 처리를 행한 스티렌 13.3mL를 30분에 걸쳐 적하 주입하고, 중합계가 주황색인 것을 확인하였다. 이 적하 주입 시에, 반응 용액의 내온이 -60℃ 이상이 되지 않도록 주의하였다. 적하 종료 후에 30분간 숙성하였다. 이어서, 말단 정지제로서의 4-클로로메틸-2,2-디메틸-1,3-디옥솔란 0.32mL를 주입하여 중합 말단의 정지 반응을 행하였다. 다음에, 1N의 염산수 용액을 10g 첨가하여, 60℃에서 2시간 가열 교반을 행하고, 가수 분해 반응을 행하여, 주쇄의 말단에 디올 구조를 포함하는 기를 갖는 중합체를 얻었다. 이 반응 용액을 실온까지 냉각시키고, 얻어진 반응 용액을 농축하여, 용매를 MIBK로 치환하였다. 그 후, 2질량% 옥살산 수용액 1,000g을 주입 교반하고, 정치 후, 하층의 수층을 제거하였다. 이 조작을 3회 반복하여, Li염을 제거하였다. 그 후, 초순수 1,000g을 주입 교반하고, 정치 후, 하층의 수층을 제거하였다. 이 조작을 3회 반복하여 옥살산을 제거한 후, 용액을 농축하여 메탄올 500g 중에 적하함으로써 중합체를 석출시켜, 부흐너 깔때기로 고체를 회수하였다. 이 중합체를 60℃에서 감압 건조시킴으로써 백색의 하기 식 (C-3)으로 표시되는 중합체 11.3g을 얻었다. 이 중합체 (C-3)은 Mw가 5,300, Mn이 4,900, Mw/Mn이 1.08이었다.
Figure 112020069774290-pct00013
[표면 처리제의 조제]
표면 처리제의 조제에 사용한 [D] 용매에 대하여 이하에 나타낸다.
([D] 용매)
D-1: 프로필렌글리콜모노메틸에테르아세테이트
[조제예 2-1]
[C] 중합체로서의 (C-1) 1.2질량부와, [D] 용매로서의 (D-1) 98.8질량부를 혼합하고, 얻어진 용액을 구멍 직경 0.2㎛의 필터로 여과하여, 표면 처리제 (S-1)을 조제하였다.
[조제예 2-2]
[C] 중합체로서의 (C-2) 1.2질량부와, [D] 용매로서의 (D-1) 98.8질량부를 혼합하고, 얻어진 용액을 구멍 직경 0.2㎛의 필터로 여과하여, 표면 처리제 (S-2)를 조제하였다.
[조제예 2-3]
[C] 중합체로서의 (C-3) 1.2질량부와, [D] 용매로서의 (D-1) 98.8질량부를 혼합하고, 얻어진 용액을 구멍 직경 0.2㎛의 필터로 여과하여, 표면 처리제 (S-3)을 조제하였다.
[조제예 2-4]
[C] 중합체로서의 (C-1) 0.1질량부와, [D] 용매로서의 (D-1) 99.9질량부를 혼합하고, 얻어진 용액을 구멍 직경 0.2㎛의 필터로 여과하여, 표면 처리제 (S-4)를 조제하였다.
<표면 처리제 도공 공정>
상기 제작한 기판 (JF-1-1) 내지 (JF-1-11)의 각각에 대하여, 상기 조제한 표면 처리제 (S-1) 내지 (S-4) 중 표 2에 나타내는 것을 사용하여, 하기 (P-1) 내지 (P-3)으로 나타내는 표면 처리제 도공 공정의 처리 중 표 2에 나타내는 것을 행하였다.
P-1: 기판 상에, 표면 처리제를 스핀 코터(도쿄 일렉트론(주)의 「CLEAN TRACK ACT8」)에 의한 회전 도공법에 의해, 1,500rpm의 회전 속도로 도공하고, 150℃에서 180초간 가열한 후, 20℃ 내지 25℃에서 30초간 냉각시키고 나서, 도공한 면을, 프로필렌글리콜모노메틸에테르아세테이트를 사용하여, 1,500rpm의 회전 속도로 30초간 세정하였다.
P-2: 기판 상에, 표면 처리제를 상기 스핀 코터에 의한 회전 도공법에 의해, 1,500rpm의 회전 속도로 도공한 후, 도공한 면을, 프로필렌글리콜모노메틸에테르아세테이트를 사용하여, 1,500rpm의 회전 속도로 30초간 세정하였다.
P-3: 기판 상에, 표면 처리제를 상기 스핀 코터에 의한 회전 도공법에 의해, 1,500rpm의 회전 속도로 도공하였다.
상기 (P-1) 내지 (P-3) 중 어느 경우에 있어서도, 기판의 표면에 평균 두께 2nm의 표면 처리제 유래의 막이 형성되었다.
<레지스트 조성물의 조제>
레지스트 조성물을 이하와 같이 하여 조제하였다.
[조제예 3-1]
레지스트 조성물 (R-1)은, 4-히드록시스티렌에서 유래하는 구조 단위 (1), 스티렌에서 유래하는 구조 단위 (2) 및 4-t-부톡시스티렌에서 유래하는 구조 단위 (3)(각 구조 단위의 함유 비율은 (1)/(2)/(3)=65/5/30(몰%))을 갖는 중합체 100질량부와, 감방사선성 산발생제로서의 트리페닐술포늄살리실레이트 2.5질량부와, 용매로서의 락트산에틸 4,400질량부 및 프로필렌글리콜모노메틸에테르아세테이트 1,900질량부를 혼합하고, 얻어진 용액을 구멍 직경 0.2㎛의 필터로 여과함으로써 얻었다.
<레지스트 패턴의 형성>
(알칼리 현상액에 의한 현상)
[실시예 1-1 내지 1-15 및 비교예 1-1 내지 1-17]
하기 표 2에 나타내는 표면 처리제 도공 공정의 처리를 행하거나 또는 행하지 않은 각 기판의 표면에, 레지스트 조성물 (R-1)을 도공하고, 130℃에서 60초간 가열한 후, 23℃에서 30초간 냉각시킴으로써 평균 두께 50nm의 레지스트막을 형성하였다. 이어서, 전자선 묘화 장치((주)히다치 세이사꾸쇼의 「HL800D」, 출력: 50KeV, 전류 밀도: 5.0암페어/cm2)를 사용하여 레지스트막에 전자선을 조사하였다. 전자선의 조사 후, 기판을 110℃에서 60초간 가열하고, 이어서 23℃에서 60초간 냉각시킨 후, 2.38질량%의 TMAH 수용액(20℃ 내지 25℃)을 사용하여, 퍼들법에 의해 현상한 후, 물로 세정하고 건조시킴으로써, 레지스트 패턴이 형성된 평가용 기판을 얻었다. 상기 평가용 기판의 레지스트 패턴 측장 및 관찰에는 주사형 전자 현미경((주) 히타치 하이테크놀러지즈의 「S-9380」)을 사용하였다.
<평가>
감도 및 해상성에 대하여, 하기 방법에 따라서 평가하였다. 평가 결과를 하기 표 2에 나타낸다. 표 2 중의 「-」은, 표면 처리제 도공 공정의 처리를 행하지 않은 것을 나타낸다. 또한, 표 2의 비교예 1-11의 감도에 있어서의 「-」은, 감도 평가의 기준인 것을 나타낸다.
[감도]
상기 레지스트 패턴 형성 시에, 직경이 100nm인 홀 패턴이 형성되는 노광량을 최적 노광량 (1)이라 하였다. 감도는, 기판 (JF-2-6)의 경우의 최적 노광량 (1)에 대하여 10% 이상 고감도(최적 노광량 (1)이 0.90배 이하)인 경우에는 「A」(양호)라고, 감도의 향상이 2% 이상 10% 미만(최적 노광량 (1)이 0.90배 초과 0.98배 이하)인 경우에는 「B」(약간 양호)라고, 감도의 향상이 2% 미만 또는 감도가 향상되지 않은 경우(최적 노광량 (1)이 0.98배 초과)에는 「C」(불량)라고 평가하였다.
[해상성]
상기 레지스트 패턴 형성 시에, 직경이 80nm인 홀 패턴이 형성되는 노광량을 최적 노광량 (2)라 하였다. 해상성은, 상기 최적 노광량 (2)로 형성된 홀 패턴에 있어서, 레지스트막의 잔사가 확인되지 않은 경우에는 「A」(양호)라고, 레지스트막의 잔사가 확인된 경우에는 「B」(불량)라고 평가하였다.
Figure 112020069774290-pct00014
<레지스트 패턴의 형성>
(유기 용매 현상액에 의한 현상)
[실시예 2-1 내지 2-15 및 비교예 2-1 내지 2-17]
하기 표 3에 나타내는 표면 처리제 도공 공정의 처리를 행하거나 또는 행하지 않은 각 기판의 표면에, 레지스트 조성물 (R-1)을 도공하고, 130℃에서 60초간 가열한 후, 23℃에서 30초간 냉각시킴으로써 평균 두께 50nm의 레지스트막을 형성하였다. 이어서, 전자선 묘화 장치((주)히다치 세이사꾸쇼의 「HL800D」, 출력: 50KeV, 전류 밀도: 5.0암페어/cm2)를 사용하여 레지스트막에 전자선을 조사하였다. 전자선의 조사 후, 기판을 110℃에서 60초간 가열을 행하고, 이어서 23℃에서 60초간 냉각시킨 후, 아세트산부틸(20℃ 내지 25℃)을 사용하여, 퍼들법에 의해 현상한 후, 건조시킴으로써, 레지스트 패턴이 형성된 평가용 기판을 얻었다. 상기 평가용 기판의 레지스트 패턴의 측장 및 관찰에는 주사형 전자 현미경((주) 히타치 하이테크놀러지즈의 「S-9380」)을 사용하였다.
<평가>
감도 및 레지스트 패턴 도괴 억제성에 대하여, 하기 방법에 따라서 평가하였다. 평가 결과를 하기 표 3에 나타낸다. 표 3 중의 「-」은, 표면 처리제 도공 공정의 처리를 행하지 않은 것을 나타낸다. 또한, 표 3의 비교예 2-11의 감도에 있어서의 「-」은, 감도 평가의 기준인 것을 나타낸다.
[감도]
상기 레지스트 패턴 형성 시에, 선 폭 150nm의 일대일 라인 앤 스페이스로 형성되는 노광량을 최적 노광량 (3)이라 하였다. 감도는, 기판 (JF-2-6)의 경우의 최적 노광량 (3)에 대하여 10% 이상 고감도(최적 노광량 (3)이 0.9배 이하)인 경우에는 「A」(양호)라고, 감도의 향상이 2% 이상 10% 미만(최적 노광량 (3)이 0.90배 초과 0.98배 이하)인 경우에는 「B」(약간 양호)라고, 감도의 향상이 2% 미만 또는 감도가 향상되지 않은 경우(최적 노광량 (3)이 0.98배 초과)에는 「C」(불량)라고 평가하였다.
[레지스트 패턴 도괴 억제성]
상기 레지스트 패턴 형성 시에, 선 폭 100nm의 일대일 라인 앤 스페이스로 형성되는 노광량을 최적 노광량 (4)라 하였다. 레지스트 패턴 도괴 억제성은, 상기 최적 노광량 (4)에 있어서 형성된 레지스트 패턴의 도괴가 확인되지 않은 경우에는 「A」(양호)라고, 레지스트 패턴의 도괴가 확인된 경우에는 「B」(불량)라고 평가하였다.
Figure 112020069774290-pct00015
표 2 및 표 3의 결과로부터 명백해진 바와 같이, 실시예의 기판의 제조 방법에 의하면, 높은 감도로, 해상성 및 도괴 억제성이 우수한 레지스트 패턴을 형성할 수 있다. 이에 비해, 비교예의 기판의 제조 방법에서는, 높은 감도와, 레지스트 패턴의 우수한 해상성 및 도괴 억제성을 양립시킬 수 없었다. 실시예의 기판의 제조 방법에 의하면, 형성한 해상성 및 도괴 억제성이 우수한 양호한 레지스트 패턴을 사용함으로써, 양호한 기판 패턴을 얻을 수 있다고 생각된다. 또한, 일반적으로, 전자선 노광에 있어서의 레지스트 패턴은, 극단 자외선 또는 전자선 노광에 있어서의 레지스트 패턴과 마찬가지의 경향을 나타내는 것이 알려져 있다. 따라서, 실시예의 기판의 제조 방법에 의하면, 극단 자외선 또는 전자선 노광의 경우에 있어서도, 높은 감도로 리소그래피를 행할 수 있고, 해상성 및 도괴 억제성이 우수한 레지스트 패턴을 형성할 수 있으며, 나아가서는, 양호한 기판 패턴을 얻을 수 있는 것으로 추측된다.
본 발명의 패터닝된 기판의 제조 방법에 의하면, 높은 감도로 극단 자외선 또는 전자선 리소그래피를 행할 수 있고, 해상성 및 도괴 억제성이 우수한 레지스트 패턴을 얻을 수 있으며, 나아가서는 양호한 기판 패턴을 얻을 수 있다. 따라서, 당해 패터닝된 기판의 제조 방법은, 극단 자외선 또는 전자선 리소그래피에 적합하게 사용할 수 있고, 금후 더욱 미세화가 진행될 것으로 예상되는 반도체 디바이스의 제조 등에 적합하게 사용할 수 있다.

Claims (7)

  1. 적어도 한쪽의 표층에 금속 원소를 함유하는 기판의 상기 금속 원소를 함유하는 표면에 표면 처리제를 도공하는 공정과,
    상기 표면 처리제를 도공한 면에 레지스트 조성물을 도공하는 공정과,
    상기 레지스트 조성물 도공 공정에 의해 형성된 레지스트막을 극단 자외선 또는 전자선으로 노광하는 공정과,
    상기 노광된 레지스트막을 현상하는 공정과,
    상기 현상 공정에 의해 형성된 레지스트 패턴을 마스크로 하여 상기 기판을 에칭하는 공정
    을 구비하고,
    상기 표면 처리제가, 중합체와 용매를 함유하고,
    상기 중합체가,
    치환 또는 비치환된 스티렌에서 유래하는 구조 단위를 포함하는 주쇄와,
    주쇄의 적어도 한쪽의 말단에 도입된 극성기를 포함하는 기
    를 갖는 패터닝된 기판의 제조 방법.
  2. 제1항에 있어서, 상기 기판의 표층의 금속 원소가 주기율표 제3족 내지 제15족의 제3 주기 내지 제7 주기에 속하는 패터닝된 기판의 제조 방법.
  3. 제2항에 있어서, 상기 금속 원소가 주기율표 제4족에 속하는 패터닝된 기판의 제조 방법.
  4. 제3항에 있어서, 상기 금속 원소가 티타늄, 지르코늄 또는 이들의 조합인 패터닝된 기판의 제조 방법.
  5. 제1항 내지 제4항 중 어느 한 항에 있어서, 상기 중합체의 극성기가 히드록시기, 카르복시기, 술포기, 술파닐기, 실라놀기 또는 이들의 조합인 패터닝된 기판의 제조 방법.
  6. 제1항 내지 제4항 중 어느 한 항에 있어서, 상기 기판이, 기재와, 상기 기재의 적어도 한쪽의 면측에 형성된 유기 하층막과, 상기 유기 하층막의 상기 기재와는 반대의 면측에 형성된 금속 함유층을 구비하는 패터닝된 기판의 제조 방법.
  7. 삭제
KR1020207019458A2018-01-092018-12-19패터닝된 기판의 제조 방법ActiveKR102646535B1 (ko)

Applications Claiming Priority (3)

Application NumberPriority DateFiling DateTitle
JPJP-P-2018-0014662018-01-09
JP20180014662018-01-09
PCT/JP2018/046876WO2019138823A1 (ja)2018-01-092018-12-19パターニングされた基板の製造方法

Publications (2)

Publication NumberPublication Date
KR20200106499A KR20200106499A (ko)2020-09-14
KR102646535B1true KR102646535B1 (ko)2024-03-13

Family

ID=67218351

Family Applications (1)

Application NumberTitlePriority DateFiling Date
KR1020207019458AActiveKR102646535B1 (ko)2018-01-092018-12-19패터닝된 기판의 제조 방법

Country Status (4)

CountryLink
US (1)US20200333706A1 (ko)
JP (1)JPWO2019138823A1 (ko)
KR (1)KR102646535B1 (ko)
WO (1)WO2019138823A1 (ko)

Families Citing this family (2)

* Cited by examiner, † Cited by third party
Publication numberPriority datePublication dateAssigneeTitle
KR102777083B1 (ko)*2020-06-122025-03-07닛산 가가쿠 가부시키가이샤디올구조를 포함하는 보호막 형성용 조성물
TW202434985A (zh)*2023-02-152024-09-01日商東京威力科創股份有限公司基板處理裝置及基板處理方法

Citations (2)

* Cited by examiner, † Cited by third party
Publication numberPriority datePublication dateAssigneeTitle
WO2013141015A1 (ja)*2012-03-232013-09-26日産化学工業株式会社Euvリソグラフィー用レジスト下層膜形成組成物
JP2015219246A (ja)2014-05-132015-12-07Jsr株式会社パターン形成方法

Family Cites Families (6)

* Cited by examiner, † Cited by third party
Publication numberPriority datePublication dateAssigneeTitle
JPH11223941A (ja)*1998-02-051999-08-17Fuji Photo Film Co Ltdポジ型フォトレジスト組成物
US6054248A (en)*1999-03-122000-04-25Arch Specialty Chemicals, Inc.Hydroxy-diisocyanate thermally cured undercoat for 193 nm lithography
JP4369203B2 (ja)2003-03-242009-11-18信越化学工業株式会社反射防止膜材料、反射防止膜を有する基板及びパターン形成方法
WO2012039337A1 (ja)2010-09-212012-03-29日産化学工業株式会社保護された脂肪族アルコールを含有する有機基を有するシリコン含有レジスト下層膜形成組成物
WO2012133597A1 (ja)*2011-03-302012-10-04Jsr株式会社多層レジストプロセスパターン形成方法及び多層レジストプロセス用無機膜形成組成物
US9910354B2 (en)*2014-04-252018-03-06Nissan Chemical Industries, Ltd.Resist underlayer film-forming composition and method for forming resist pattern using the same

Patent Citations (2)

* Cited by examiner, † Cited by third party
Publication numberPriority datePublication dateAssigneeTitle
WO2013141015A1 (ja)*2012-03-232013-09-26日産化学工業株式会社Euvリソグラフィー用レジスト下層膜形成組成物
JP2015219246A (ja)2014-05-132015-12-07Jsr株式会社パターン形成方法

Also Published As

Publication numberPublication date
WO2019138823A1 (ja)2019-07-18
KR20200106499A (ko)2020-09-14
JPWO2019138823A1 (ja)2021-01-21
US20200333706A1 (en)2020-10-22

Similar Documents

PublicationPublication DateTitle
KR101715965B1 (ko)규소 함유 레지스트 하층막 형성용 조성물 및 패턴 형성 방법
TWI845539B (zh)氫矽酸鹽樹脂塗佈組成物、產生組成物的方法、基板圖案化的方法、形成抗蝕膜的方法以及產生半導體裝置的方法
US9676934B2 (en)Block copolymer-containing composition and method of reducing pattern
JP2021162865A (ja)半導体フォトレジスト用組成物およびこれを利用したパターン形成方法
KR101735856B1 (ko)레지스트 하층막 형성용 조성물, 및 패턴 형성 방법
KR102611177B1 (ko)극단 자외선 또는 전자선 리소그래피용 금속 함유막 형성 조성물, 극단 자외선 또는 전자선 리소그래피용 금속 함유막 및 패턴 형성 방법
JP6204418B2 (ja)パターン収縮法
TWI531865B (zh)A multilayer photoresist process pattern forming method and an inorganic film forming composition for a multilayer photoresist process
TWI769312B (zh)抗蝕劑圖案形成方法及基板的處理方法
KR20170062395A (ko)규소 함유 축합물, 규소 함유 레지스트 하층막 형성용 조성물 및 패턴 형성 방법
TW201616239A (zh)感光性樹脂組成物、硬化膜、具備硬化膜的元件及半導體裝置、以及半導體裝置的製造方法
WO2021011367A1 (en)Stabilized interfaces of inorganic radiation patterning compositions on substrates
KR102646535B1 (ko)패터닝된 기판의 제조 방법
KR20160055145A (ko)다층 레지스트 프로세스용 무기 막 형성 조성물 및 패턴 형성 방법
KR102426440B1 (ko)기재 표면의 선택적 수식 방법 및 조성물
JPWO2015137193A1 (ja)半導体デバイス製造用組成物および該半導体デバイス製造用組成物を用いたパターン形成方法
JP7101932B2 (ja)Euvリソグラフィー用ケイ素含有膜形成組成物、euvリソグラフィー用ケイ素含有膜及びパターン形成方法
US20150191829A1 (en)Pattern-forming method
CN118742855A (zh)包含自交联性聚合物的光固化性树脂组合物
TW202217458A (zh)抗蝕劑圖案形成方法及抗蝕劑底層膜形成用組成物
WO2023157772A1 (ja)保護膜形成用組成物
TW202424649A (zh)Euv誘導之聚矽氧烷溶膠-凝膠薄膜之縮合
CN120020643A (zh)图案形成方法
TW202120635A (zh)抗蝕劑底層膜形成用組成物、圖案形成方法、及電子器件的製造方法
KR20210045444A (ko)패턴 형성 방법, 및 유기 용제 현상용 레지스트 적층체

Legal Events

DateCodeTitleDescription
PA0105International application

St.27 status event code:A-0-1-A10-A15-nap-PA0105

PG1501Laying open of application

St.27 status event code:A-1-1-Q10-Q12-nap-PG1501

P11-X000Amendment of application requested

St.27 status event code:A-2-2-P10-P11-nap-X000

P13-X000Application amended

St.27 status event code:A-2-2-P10-P13-nap-X000

PA0201Request for examination

St.27 status event code:A-1-2-D10-D11-exm-PA0201

E902Notification of reason for refusal
PE0902Notice of grounds for rejection

St.27 status event code:A-1-2-D10-D21-exm-PE0902

E13-X000Pre-grant limitation requested

St.27 status event code:A-2-3-E10-E13-lim-X000

P11-X000Amendment of application requested

St.27 status event code:A-2-2-P10-P11-nap-X000

P13-X000Application amended

St.27 status event code:A-2-2-P10-P13-nap-X000

E701Decision to grant or registration of patent right
PE0701Decision of registration

St.27 status event code:A-1-2-D10-D22-exm-PE0701

PR0701Registration of establishment

St.27 status event code:A-2-4-F10-F11-exm-PR0701

PR1002Payment of registration fee

St.27 status event code:A-2-2-U10-U12-oth-PR1002

Fee payment year number:1

PG1601Publication of registration

St.27 status event code:A-4-4-Q10-Q13-nap-PG1601


[8]ページ先頭

©2009-2025 Movatter.jp