Movatterモバイル変換


[0]ホーム

URL:


KR102603350B1 - A plurality of dopant materials and organic electroluminescent device comprising the same - Google Patents

A plurality of dopant materials and organic electroluminescent device comprising the same
Download PDF

Info

Publication number
KR102603350B1
KR102603350B1KR1020150160952AKR20150160952AKR102603350B1KR 102603350 B1KR102603350 B1KR 102603350B1KR 1020150160952 AKR1020150160952 AKR 1020150160952AKR 20150160952 AKR20150160952 AKR 20150160952AKR 102603350 B1KR102603350 B1KR 102603350B1
Authority
KR
South Korea
Prior art keywords
unsubstituted
substituted
alkyl
aryl
hydrogen
Prior art date
Legal status (The legal status is an assumption and is not a legal conclusion. Google has not performed a legal analysis and makes no representation as to the accuracy of the status listed.)
Active
Application number
KR1020150160952A
Other languages
Korean (ko)
Other versions
KR20160059437A (en
Inventor
장성우
나홍엽
김빛나리
강희룡
Original Assignee
롬엔드하스전자재료코리아유한회사
Priority date (The priority date is an assumption and is not a legal conclusion. Google has not performed a legal analysis and makes no representation as to the accuracy of the date listed.)
Filing date
Publication date
Application filed by 롬엔드하스전자재료코리아유한회사filedCritical롬엔드하스전자재료코리아유한회사
Priority to PCT/KR2015/012380priorityCriticalpatent/WO2016080749A1/en
Publication of KR20160059437ApublicationCriticalpatent/KR20160059437A/en
Application grantedgrantedCritical
Publication of KR102603350B1publicationCriticalpatent/KR102603350B1/en
Activelegal-statusCriticalCurrent
Anticipated expirationlegal-statusCritical

Links

Classifications

Landscapes

Abstract

Translated fromKorean

본 발명은 복수종의 도판트 재료 및 이를 포함하는유기 전계 발광 소자에 관한 것이다. 본 발명에 따른 유기 전계 발광 소자는 우수한 색순도를 유지하면서도, 전류 효율 및 전력 효율과 같은 발광 효율, 용해도, 및 열 안정성이 우수하고, 구동 전압이 낮고, 구동 수명이 길다.The present invention relates to multiple types of dopant materials and an organic electroluminescent device containing the same. The organic electroluminescent device according to the present invention maintains excellent color purity, has excellent luminous efficiency such as current efficiency and power efficiency, solubility, and thermal stability, has a low driving voltage, and has a long driving life.

Description

Translated fromKorean
복수종의 도판트 재료 및 이를 포함하는 유기 전계 발광 소자{A PLURALITY OF DOPANT MATERIALS AND ORGANIC ELECTROLUMINESCENT DEVICE COMPRISING THE SAME}Multiple types of dopant materials and organic electroluminescent devices containing the same {A PLURALITY OF DOPANT MATERIALS AND ORGANIC ELECTROLUMINESCENT DEVICE COMPRISING THE SAME}

본 발명은 복수종의 도판트 재료 및 이를 포함하는 유기 전계 발광 소자에 관한 것이다.The present invention relates to multiple types of dopant materials and organic electroluminescent devices containing the same.

표시 소자 중, 전계발광 소자(electroluminescent device: EL device)는 자체 발광형 표시 소자로서 시야각이 넓고 콘트라스트가 우수할 뿐만 아니라 응답속도가 빠르다는 장점을 가지고 있다. 1987년 이스트만 코닥(Eastman Kodak)사는 발광층 형성용 재료로서 저분자인 방향족 디아민과 알루미늄 착물을 이용하고 있는 유기 전계 발광 소자를 처음으로 개발하였다[Appl. Phys. Lett. 51, 913, 1987].Among display devices, an electroluminescent device (EL device) is a self-luminous display device that has the advantages of a wide viewing angle, excellent contrast, and fast response speed. In 1987, Eastman Kodak developed the first organic electroluminescent device using low-molecular-weight aromatic diamine and aluminum complexes as materials for forming the light-emitting layer [Appl. Phys. Lett. 51, 913, 1987].

유기 EL 소자는 통상 애노드(anode) 및 캐소드(cathode)와 이들 사이에 유기물층을 포함하는 구조를 가지며, 상기 유기물층은 일반적으로 정공주입층, 정공전달층, 전자차단층, 발광층, 정공차단층, 전자전달층, 전자주입층 등을 포함할 수 있다. 이러한 유기 EL 소자는, 전압 인가에 의해 애노드에서 정공이, 캐소드에서 전자가 발광층에 주입되고, 정공과 전자의 재결합에 의해 에너지가 높은 엑시톤이 형성되고, 엑시톤의 에너지에 의해 발광 유기 화합물이 여기 상태로 되며, 발광 유기 화합물의 여기 상태가 기저 상태로 돌아가면서 에너지를 빛으로 방출하는 원리에 의해 발광한다. 따라서, 유기 EL 소자의 발광 재료는 소자의 발광 효율을 결정하는 가장 중요한 요인이다.Organic EL devices usually have a structure including an anode and a cathode and an organic material layer between them, and the organic material layer generally includes a hole injection layer, a hole transport layer, an electron blocking layer, a light emitting layer, a hole blocking layer, and an electron layer. It may include a transmission layer, an electron injection layer, etc. In such an organic EL device, holes are injected from the anode and electrons from the cathode are injected into the light-emitting layer by voltage application, excitons with high energy are formed by recombination of holes and electrons, and the light-emitting organic compound is in an excited state by the energy of the exciton. It emits light based on the principle that the excited state of the light-emitting organic compound returns to the ground state and emits energy as light. Therefore, the light-emitting material of an organic EL device is the most important factor in determining the light-emitting efficiency of the device.

상기 발광 재료는 기능적인 측면에서 호스트 재료와 도판트 재료로 구분될 수 있는데, 일반적으로 EL 특성이 가장 우수한 소자 구조는 호스트에 도판트를 도핑함으로써 형성된 발광층을 포함하는 구조라고 알려져 있다. 호스트/도판트 시스템은 호스트에서 도판트로의 에너지 전이를 통하여 발광효율을 증가시키기 위한 것인데, 이와 같은 호스트/도판트 시스템을 사용할 때, 도판트 및 호스트 재료는 발광 소자의 효율과 성능에 큰 영향을 미친다.The light-emitting material can be divided into a host material and a dopant material in terms of functionality, and it is generally known that the device structure with the best EL characteristics is a structure that includes a light-emitting layer formed by doping a host with a dopant. The host/dopant system is intended to increase luminous efficiency through energy transfer from the host to the dopant. When using such a host/dopant system, the dopant and host material have a significant impact on the efficiency and performance of the light emitting device. It's crazy.

현재까지 이리듐(III) 착물 계열이 인광 발광 재료의 도판트로 널리 알려져 있으며, 각각의 적색, 녹색 및 청색 발광별로 (acac)Ir(btp)2 (비스(2-(2'-벤조티에닐)-피리디네이토-N,C-3')이리듐(아세틸아세토네이트)), Ir(ppy)3 (트리스(2-페닐피리딘)이리듐) 및 Firpic (비스(4,6-디플루오로페닐피리디네이토-N,C2)피콜리네이토이리듐) 등의 재료가 알려져 있다.To date, the iridium(III) complex series is widely known as a dopant for phosphorescent materials, and (acac)Ir(btp)2 (bis(2-(2'-benzothienyl)-) for each red, green, and blue emission. Pyridinato-N,C-3')iridium(acetylacetonate)), Ir(ppy)3 (tris(2-phenylpyridine)iridium) and Firpic (bis(4,6-difluorophenylpyridinium) Materials such as Naito-N,C2)Picolinatoiridium) are known.

인광용 호스트 재료로는 4,4'-N,N'-디카바졸-비페닐(CBP)이 가장 널리 알려져 있었다. 최근에는, 일본의 파이오니어 등이 정공차단층의 재료로 사용되던 바토큐프로인(Bathocuproine, BCP) 및 알루미늄(III)비스(2-메틸-8-퀴놀리네이트)(4-페닐페놀레이트)(Balq) 등을 호스트 재료로 이용해 고성능의 유기 EL 소자를 개발한 바 있다.The most widely known host material for phosphorescence was 4,4'-N,N'-dicarbazole-biphenyl (CBP). Recently, Bathocuproine (BCP) and aluminum(III)bis(2-methyl-8-quinolinate)(4-phenylphenolate) ( A high-performance organic EL device has been developed using Balq as a host material.

한국특허공개공보 제2011-0086021호, 국제공개공보 WO 2008/109824호, 및 국제공개공보 WO 2010/033550호는 2-페닐퀴놀린 계열의 리간드를 갖는 이리듐 착물을 유기 전계 발광 소자의 도판트 화합물로서 개시하고 있다. 그러나, 중대형 OLED 패널에서 요구되는 EL 특성의 수준도 만족시킬 수 있을 만큼 우수한 EL 성능을 제공할 수 있는 도판트 시스템을 개발하는 것이 여전히 필요하다.Korean Patent Publication No. 2011-0086021, International Publication No. WO 2008/109824, and International Publication No. WO 2010/033550 disclose an iridium complex having a 2-phenylquinoline series ligand as a dopant compound for an organic electroluminescent device. It is starting. However, it is still necessary to develop a dopant system that can provide excellent EL performance enough to meet the level of EL characteristics required for mid- to large-sized OLED panels.

한국특허공개공보제2011-0086021호Korean Patent Publication No. 2011-0086021국제공개공보 WO 2008/109824호International Publication No. WO 2008/109824국제공개공보 WO 2010/033550호International Publication No. WO 2010/033550

본 발명의 목적은 구동 수명이 길고, 구동 전압이 낮고, 전류 효율 및 전력 효율과 같은 발광 효율, 색 순도, 용해도, 및 열 안정성이 우수한 유기 전계 발광 소자를 제공하는 것이다.The purpose of the present invention is to provide an organic electroluminescent device with a long driving life, low driving voltage, excellent luminous efficiency such as current efficiency and power efficiency, color purity, solubility, and thermal stability.

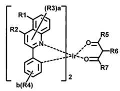
본 발명자들은 양극, 음극, 및 상기 양극과 상기 음극 사이의 유기물층을 포함하고; 상기 유기물층은 1층 이상의 발광층을 포함하고; 상기 발광층 중 적어도 1층이 1종 이상의 호스트 화합물 및 하기 화학식 1로 표시되는 2종 이상의 도판트 화합물을 포함하는 유기 전계 발광 소자가 상술한 목적을 달성할 수 있음을 발견하여 본 발명을 완성하였다.The present inventors propose a battery comprising an anode, a cathode, and an organic layer between the anode and the cathode; The organic material layer includes one or more light-emitting layers; The present invention was completed by discovering that an organic electroluminescent device in which at least one of the light-emitting layers includes one or more host compounds and two or more dopant compounds represented by the following formula (1) can achieve the above-mentioned object.

[화학식 1][Formula 1]

Figure 112015111869714-pat00001
Figure 112015111869714-pat00001

상기 화학식 1에서,In Formula 1,

R1 및 R2는 각각 독립적으로 수소, 치환 또는 비치환된 (C1-C6)알킬, 또는 치환 또는 비치환된 (C6-C30)아릴이고, 단, R1과 R2가 동시에 수소인 경우는 제외하며,R1 and R2 are each independently hydrogen, substituted or unsubstituted (C1-C6)alkyl, or substituted or unsubstituted (C6-C30)aryl, provided that when both R1 and R2 are hydrogen, Except,

R3 및 R4은 각각 독립적으로 수소, 중수소, 할로겐, 치환 또는 비치환된 (C1-C5)알킬, 또는 치환 또는 비치환된 (C6-C30)아릴이고,R3 and R4 are each independently hydrogen, deuterium, halogen, substituted or unsubstituted (C1-C5)alkyl, or substituted or unsubstituted (C6-C30)aryl,

R5 내지 R7은 각각 독립적으로 수소, 치환 또는 비치환된 (C1-C5)알킬, 또는 치환 또는 비치환된 (C6-C30)아릴이며,R5 to R7 are each independently hydrogen, substituted or unsubstituted (C1-C5)alkyl, or substituted or unsubstituted (C6-C30)aryl,

a는 0 내지 2의 정수이고, a가 2인 경우, 각각의 R3은 동일하거나 상이할 수 있으며,a is an integer from 0 to 2, and when a is 2, each R3 may be the same or different,

b는 0 내지 3의 정수이고, b가 2이상의 정수인 경우, 각각의 R4은 동일하거나 상이할 수 있다.b is an integer from 0 to 3, and when b is an integer of 2 or more, each R4 may be the same or different.

본 발명에 따른 유기 전계 발광 소자는 색순도가 우수하면서도, 전류 효율 및 전력 효율과 같은 발광 효율, 용해도, 및 열 안정성이 우수하고, 구동 전압이 낮고, 구동 수명이 길다. 특히, 우수한 색순도를 유지하면서도 전류 효율이 높은 유기 전계 발광 소자가 제조될 수 있다.The organic electroluminescent device according to the present invention has excellent color purity, excellent luminous efficiency such as current efficiency and power efficiency, solubility, and thermal stability, low driving voltage, and long driving life. In particular, an organic electroluminescent device with high current efficiency while maintaining excellent color purity can be manufactured.

이하에서 본 발명을 더욱 상세히 설명하나, 이는 설명을 위한 것으로 본 발명의 범위를 제한하는 방법으로 해석되어서는 안 된다.The present invention is described in more detail below, but this is for illustrative purposes only and should not be construed as limiting the scope of the present invention.

본원에서 "(C1-C5)알킬, (C1-C6)알킬, 또는 (C1-C30)알킬"은 쇄를 구성하는 탄소수가 1 내지 5개, 1 내지 6개, 또는 1 내지 30개인 직쇄 또는 분지쇄 알킬을 의미한다. 구체적으로, 상기 (C1-C5)알킬은 메틸, 에틸, n-프로필, 이소프로필, n-부틸, 이소부틸, sec-부틸, tert-부틸, n-펜틸, 1-메틸부틸, 2-메틸부틸, 3-메틸부틸, 1,1-디메틸프로필, 1,2-디메틸프로필, 2,2-디메틸프로필, 및 1-에틸프로필을 포함한다. 또한, 상기 (C1-C6)알킬은 상기 (C1-C5)알킬에 추가하여, n-헥실, 1-메틸펜틸, 2-메틸펜틸, 3-메틸펜틸, 4-메틸펜틸, 1,1-디메틸부틸, 1,2-디메틸부틸, 1,3-디메틸부틸, 2,2-디메틸부틸, 2,3-디메틸부틸, 3,3-디메틸부틸, 1-에틸부틸, 2-에틸부틸, 1,1,2-트리메틸프로필, 1,2,2-트리메틸프로필, 1-에틸-1-메틸프로필, 및 1-에틸-2-메틸프로필을 포함한다. 본원에서 "(C2-C30)알케닐"은 쇄를 구성하는 탄소수가 2 내지 30개인 직쇄 또는 분지쇄 알케닐을 의미하고, 여기에서 탄소수가 2 내지 20개인 것이 바람직하고, 2 내지 10개인 것이 더 바람직하다. 상기 알케닐의 구체적인 예로서, 비닐, 1-프로페닐, 2-프로페닐, 1-부테닐, 2-부테닐, 3-부테닐, 2-메틸부트-2-에닐 등이 있다. 본원에서 "(C2-C30)알키닐"은 쇄를 구성하는 탄소수가 2 내지 30개인 직쇄 또는 분지쇄 알키닐을 의미하고, 여기에서 탄소수가 2 내지 20개인 것이 바람직하고, 2 내지 10개인 것이 더 바람직하다. 상기 알키닐의 예로서, 에티닐, 1-프로피닐, 2-프로피닐, 1-부티닐, 2-부티닐, 3-부티닐, 1-메틸펜트-2-이닐 등이 있다. 본원에서 "(C3-C30)시클로알킬"은 쇄를 구성하는 탄소수가 3 내지 30개인 단일환 또는 다환 탄화수소를 의미하고, 여기에서 탄소수가 3 내지 20개인 것이 바람직하고, 3 내지 7개인 것이 더 바람직하다. 상기 시클로알킬의 예로서, 시클로프로필, 시클로부틸, 시클로펜틸, 시클로헥실 등이 있다. 본원에서 "(3-7원)헤테로시클로알킬"은 환 골격 원자수가 3 내지 7개, 바람직하게는 5 내지 7개이고, B, N, O, S, Si 및 P로 이루어진 군에서 선택된 하나 이상의 헤테로원자, 바람직하게는 O, S 및 N에서 선택되는 하나 이상의 헤테로원자를 포함하는 시클로알킬을 의미하고, 예를 들어, 테트라히드로푸란, 피롤리딘, 티올란, 테트라히드로피란 등이 있다. 본원에서 "아릴(렌)"은 방향족 탄화수소에서 유래된 단일환 또는 융합환계 라디칼을 의미한다. "(C6-C30)아릴(렌)"은 환 골격 탄소수가 6 내지 30개인 것이고, 6 내지 20개인 것이 바람직하고, 6 내지 15개인 것이 더 바람직하다. 또한, "(C6-C60)아릴(렌)"은 환 골격 탄소수가 6 내지 60개인 것이고, 6 내지 30개인 것이 바람직하고, 6 내지 15개인 것이 더 바람직하다. 상기 아릴의 예로서, 페닐, 비페닐, 터페닐, 나프틸, 플루오레닐, 페난트레닐, 안트라세닐, 인데닐, 트리페닐레닐, 피레닐, 테트라세닐, 페릴레닐, 크라이세닐, 나프타세닐, 플루오란테닐 등이 있다. 본원에서 "(3-30원)헤테로아릴"은 환 골격 원자수가 3 내지 30개이고, B, N, O, S, Si 및 P로 이루어진 군에서 선택된 하나 이상의 헤테로원자를 포함하는 아릴기를 의미한다. 여기에서 환 골격 원자수가 5 내지 20개인 것이 바람직하고, 5 내지 18개인 것이 더 바람직하다. 헤테로원자수는 바람직하게는 1 내지 4개이다. 본원에서 헤테로아릴은 단일 환계이거나 하나 이상의 벤젠환과 축합된 융합환계일 수 있으며, 부분적으로 포화될 수도 있다. 또한, 상기 헤테로아릴은 하나 이상의 헤테로아릴 또는 아릴기가 단일 결합에 의해 헤테로아릴기와 연결된 형태도 포함한다. 상기 헤테로아릴의 예로서, 푸릴, 티오펜일, 피롤릴, 이미다졸릴, 피라졸릴, 티아졸릴, 티아디아졸릴, 이소티아졸릴, 이속사졸릴, 옥사졸릴, 옥사디아졸릴, 트리아진일, 테트라진일, 트리아졸릴, 테트라졸릴, 푸라잔일, 피리딜, 피라진일, 피리미딘일, 피리다진일 등의 단일 환계 헤테로아릴, 벤조푸란일, 벤조티오펜일, 이소벤조푸란일, 디벤조푸란일, 디벤조티오펜일, 벤조이미다졸릴, 벤조티아졸릴, 벤조이소티아졸릴, 벤조이속사졸릴, 벤조옥사졸릴, 이소인돌릴, 인돌릴, 인다졸릴, 벤조티아디아졸릴, 퀴놀릴, 이소퀴놀릴, 신놀리닐, 퀴나졸리닐, 퀴녹살리닐, 카바졸릴, 페녹사진일, 페난트리딘일, 벤조디옥솔릴 등의 융합 환계 헤테로아릴 등이 있다. 본원에서 "질소 함유 헤테로아릴"은 헤테로원자로서 하나 이상의 질소를 포함하는 헤테로아릴을 의미한다. 본원에서 "할로겐"은 F, Cl, Br 및 I 원자를 포함한다.As used herein, “(C1-C5)alkyl, (C1-C6)alkyl, or (C1-C30)alkyl” refers to a straight chain or branched chain having 1 to 5, 1 to 6, or 1 to 30 carbon atoms. refers to chain alkyl. Specifically, the (C1-C5)alkyl is methyl, ethyl, n-propyl, isopropyl, n-butyl, isobutyl, sec-butyl, tert-butyl, n-pentyl, 1-methylbutyl, 2-methylbutyl. , 3-methylbutyl, 1,1-dimethylpropyl, 1,2-dimethylpropyl, 2,2-dimethylpropyl, and 1-ethylpropyl. In addition to the (C1-C5)alkyl, the (C1-C6)alkyl may be n-hexyl, 1-methylpentyl, 2-methylpentyl, 3-methylpentyl, 4-methylpentyl, 1,1-dimethyl. Butyl, 1,2-dimethylbutyl, 1,3-dimethylbutyl, 2,2-dimethylbutyl, 2,3-dimethylbutyl, 3,3-dimethylbutyl, 1-ethylbutyl, 2-ethylbutyl, 1,1 , 2-trimethylpropyl, 1,2,2-trimethylpropyl, 1-ethyl-1-methylpropyl, and 1-ethyl-2-methylpropyl. As used herein, “(C2-C30)alkenyl” refers to straight-chain or branched-chain alkenyl having 2 to 30 carbon atoms, where 2 to 20 carbon atoms are preferred, and 2 to 10 carbon atoms are more preferred. desirable. Specific examples of the alkenyl include vinyl, 1-propenyl, 2-propenyl, 1-butenyl, 2-butenyl, 3-butenyl, and 2-methylbut-2-enyl. As used herein, “(C2-C30)alkynyl” refers to straight or branched chain alkynyl having 2 to 30 carbon atoms, where 2 to 20 carbon atoms are preferred, and 2 to 10 carbon atoms are more preferred. desirable. Examples of the alkynyl include ethynyl, 1-propynyl, 2-propynyl, 1-butynyl, 2-butynyl, 3-butynyl, 1-methylpent-2-ynyl, etc. As used herein, “(C3-C30)cycloalkyl” refers to a monocyclic or polycyclic hydrocarbon having 3 to 30 carbon atoms constituting the chain, where 3 to 20 carbon atoms are preferred, and 3 to 7 carbon atoms are more preferred. do. Examples of the cycloalkyl include cyclopropyl, cyclobutyl, cyclopentyl, and cyclohexyl. As used herein, "(3-7 membered) heterocycloalkyl" has 3 to 7 ring skeleton atoms, preferably 5 to 7, and is one or more heterocycloalkyl selected from the group consisting of B, N, O, S, Si and P. It refers to a cycloalkyl containing an atom, preferably one or more heteroatoms selected from O, S and N, and examples include tetrahydrofuran, pyrrolidine, thiolane, tetrahydropyran, etc. As used herein, “aryl (lene)” refers to a single-ring or fused-ring radical derived from an aromatic hydrocarbon. “(C6-C30)aryl(lene)” has a ring skeleton having 6 to 30 carbon atoms, preferably 6 to 20 carbon atoms, and more preferably 6 to 15 ring carbon atoms. In addition, "(C6-C60)aryl(lene)" has a ring skeleton having 6 to 60 carbon atoms, preferably 6 to 30 carbon atoms, and more preferably 6 to 15 ring carbon atoms. Examples of the aryl include phenyl, biphenyl, terphenyl, naphthyl, fluorenyl, phenanthrenyl, anthracenyl, indenyl, triphenylenyl, pyrenyl, tetracenyl, perylenyl, chrysenyl, naphthacenyl. , fluoranthenyl, etc. As used herein, “(3-30 membered) heteroaryl” refers to an aryl group having 3 to 30 ring skeleton atoms and containing one or more heteroatoms selected from the group consisting of B, N, O, S, Si, and P. Here, the number of ring skeleton atoms is preferably 5 to 20, and more preferably 5 to 18. The number of heteroatoms is preferably 1 to 4. Herein, heteroaryl may be a single ring system or a fused ring system condensed with one or more benzene rings, and may be partially saturated. In addition, the heteroaryl also includes a form in which one or more heteroaryl or aryl groups are connected to a heteroaryl group by a single bond. Examples of the heteroaryl include furyl, thiophenyl, pyrrolyl, imidazolyl, pyrazolyl, thiazolyl, thiadiazolyl, isothiazolyl, isoxazolyl, oxazolyl, oxadiazolyl, triazinyl, and tetrazinyl. , triazolyl, tetrazolyl, furazanyl, pyridyl, pyrazinyl, pyrimidinyl, pyridazinyl, etc. single ring heteroaryl, benzofuranyl, benzothiophenyl, isobenzofuranyl, dibenzofuranyl, di Benzothiophenyl, benzoimidazolyl, benzothiazolyl, benzoisothiazolyl, benzoisoxazolyl, benzooxazolyl, isoindolyl, indolyl, indazolyl, benzothiadiazolyl, quinolyl, isoquinolyl, acid There are fused ring heteroaryls such as nolinyl, quinazolinyl, quinoxalinyl, carbazolyl, phenoxazinyl, phenanthridinyl, and benzodioxolyl. As used herein, “nitrogen-containing heteroaryl” refers to heteroaryl containing at least one nitrogen as a heteroatom. As used herein, “halogen” includes F, Cl, Br and I atoms.

또한, 본원에서 "치환 또는 비치환"이라는 기재에서 "치환"은 어떤 작용기에서 수소 원자가 다른 원자 또는 다른 작용기(즉, 치환체)로 대체되는 것을 뜻한다. 본 발명의 화학식들에서 치환 알킬, 치환 알케닐, 치환 알키닐, 치환 시클로알킬, 치환 아릴(렌), 치환 헤테로아릴, 치환 트리알킬실릴, 치환 트리아릴실릴, 치환 디알킬아릴실릴, 치환 알킬디아릴실릴, 치환 모노- 또는 디-아릴아미노, 치환 알킬아릴아미노, 또는 치환 단일환 또는 다환의 지환족 또는 방향족 고리의 치환체는 각각 독립적으로, 중수소; 할로겐; 시아노; 카르복실; 니트로; 히드록시; (C1-C30)알킬; 할로(C1-C30)알킬; (C2-C30)알케닐; (C2-C30)알키닐; (C1-C30)알콕시; (C1-C30)알킬티오; (C3-C30)시클로알킬; (C3-C30)시클로알케닐; (3-7원)헤테로시클로알킬; (C6-C30)아릴옥시; (C6-C30)아릴티오; (C1-C30)알킬, 트리(C6-C30)아릴실릴, (C1-C30)알킬디(C6-C30)아릴실릴, (C6-C30)아릴, (C1-C30)알킬(C6-C30)아릴, 또는 (C6-C30)아릴로 치환되거나 비치환된 (3-30원)헤테로아릴; (C1-C30)알킬, 할로겐, 트리(C6-C30)아릴실릴, (C6-C30)아릴, (C1-C30)알킬(C6-C30)아릴, 또는 (3-30원)헤테로아릴로 치환되거나 비치환된 (C6-C30)아릴; 트리(C1-C30)알킬실릴; 트리(C6-C30)아릴실릴; 디(C1-C30)알킬(C6-C30)아릴실릴; (C1-C30)알킬디(C6-C30)아릴실릴; 아미노; 모노- 또는 디-(C1-C30)알킬아미노; 모노- 또는 디-(C6-C30)아릴아미노; (C1-C30)알킬(C6-C30)아릴아미노; (C1-C30)알킬카보닐; (C1-C30)알콕시카보닐; (C6-C30)아릴카보닐; 디(C6-C30)아릴보로닐; 디(C1-C30)알킬보로닐; (C1-C30)알킬(C6-C30)아릴보로닐; (C6-C30)아르(C1-C30)알킬; 및 (C1-C30)알킬(C6-C30)아릴로 이루어진 군으로부터 선택되는 1종 이상의 것이다. 바람직하게는, 상기 치환체는 할로겐; 시아노; (C1-C20)알킬; 할로(C1-C20)알킬; (C1-C20)알킬, 트리(C6-C20)아릴실릴, (C1-C20)알킬디(C6-C20)아릴실릴, (C6-C20)아릴, (C1-C20)알킬(C6-C20)아릴, 또는 (C6-C20)아릴로 치환되거나 비치환된 (5-20원)헤테로아릴; (C1-C20)알킬, 할로겐, 트리(C6-C20)아릴실릴, (C6-C20)아릴, (C1-C20)알킬(C6-C20)아릴, 또는 (5-30원)헤테로아릴로 치환되거나 비치환된 (C6-C20)아릴; 트리(C6-C20)아릴실릴; (C1-C20)알킬디(C6-C20)아릴실릴; (C6-C20)아르(C1-C20)알킬; 및 (C1-C20)알킬(C6-C20)아릴로 이루어진 군으로부터 선택되는 1종 이상의 것일 수 있다.In addition, in the description of "substituted or unsubstituted" herein, "substitution" means replacing a hydrogen atom in a certain functional group with another atom or another functional group (i.e., substituent). In the formulas of the present invention, substituted alkyl, substituted alkenyl, substituted alkynyl, substituted cycloalkyl, substituted aryl(ren), substituted heteroaryl, substituted trialkylsilyl, substituted trialylsilyl, substituted dialkylarylsilyl, substituted alkyldia Substituents of rylsilyl, substituted mono- or di-arylamino, substituted alkylarylamino, or substituted mono- or polycyclic alicyclic or aromatic rings are each independently selected from deuterium; halogen; cyano; carboxyl; nitro; hydroxy; (C1-C30)alkyl; halo(C1-C30)alkyl; (C2-C30)alkenyl; (C2-C30)alkynyl; (C1-C30)alkoxy; (C1-C30)alkylthio; (C3-C30)cycloalkyl; (C3-C30)cycloalkenyl; (3-7 members) heterocycloalkyl; (C6-C30)aryloxy; (C6-C30)arylthio; (C1-C30)alkyl, tri(C6-C30)arylsilyl, (C1-C30)alkyldi(C6-C30)arylsilyl, (C6-C30)aryl, (C1-C30)alkyl(C6-C30)aryl , or (3-30 membered) heteroaryl substituted or unsubstituted with (C6-C30)aryl; or substituted with (C1-C30)alkyl, halogen, tri(C6-C30)arylsilyl, (C6-C30)aryl, (C1-C30)alkyl(C6-C30)aryl, or (3-30 membered)heteroaryl. unsubstituted (C6-C30)aryl; tri(C1-C30)alkylsilyl; Tri(C6-C30)arylsilyl; di(C1-C30)alkyl(C6-C30)arylsilyl; (C1-C30)alkyldi(C6-C30)arylsilyl; Amino; mono- or di-(C1-C30)alkylamino; mono- or di-(C6-C30)arylamino; (C1-C30)alkyl(C6-C30)arylamino; (C1-C30)alkylcarbonyl; (C1-C30)alkoxycarbonyl; (C6-C30)arylcarbonyl; di(C6-C30)arylboronyl; di(C1-C30)alkylboronyl; (C1-C30)alkyl(C6-C30)arylboronyl; (C6-C30)ar(C1-C30)alkyl; and (C1-C30)alkyl(C6-C30)aryl. Preferably, the substituent is halogen; cyano; (C1-C20)alkyl; halo(C1-C20)alkyl; (C1-C20)alkyl, tri(C6-C20)arylsilyl, (C1-C20)alkyldi(C6-C20)arylsilyl, (C6-C20)aryl, (C1-C20)alkyl(C6-C20)aryl , or (5-20 membered) heteroaryl substituted or unsubstituted with (C6-C20)aryl; or substituted with (C1-C20)alkyl, halogen, tri(C6-C20)arylsilyl, (C6-C20)aryl, (C1-C20)alkyl(C6-C20)aryl, or (5-30 membered)heteroaryl. unsubstituted (C6-C20)aryl; tri(C6-C20)arylsilyl; (C1-C20)alkyldi(C6-C20)arylsilyl; (C6-C20)ar(C1-C20)alkyl; and (C1-C20)alkyl(C6-C20)aryl.

상기 화학식 1에서, 바람직하게는, 상기 R1 및 R2는 각각 독립적으로 수소, 치환 또는 비치환 (C1-C6)알킬, 또는 치환 또는 비치환 (C6-C15)아릴일 수 있다. 더 바람직하게는 상기 R1 및 R2는 각각 독립적으로 수소, 비치환 (C1-C6)알킬, 또는 (C1-C6)알킬로 치환 또는 비치환된 (C6-C13)아릴일 수 있다. 구체적으로는, 상기 R1 및 R2는 각각 독립적으로, 수소; 메틸; 에틸; n-프로필; 이소프로필; n-부틸; 분지쇄 (C4-C6)알킬; (C1-C6)알킬로 치환 또는 비치환된 페닐; (C1-C6)알킬로 치환 또는 비치환된 나프틸; 및 (C1-C6)알킬로 치환 또는 비치환된 비페닐에서 선택될 수 있다. 더 구체적으로, 상기 R1은 수소; 메틸; 에틸; n-프로필; 이소프로필; n-부틸; 이소부틸; sec-부틸; tert-부틸; 1-메틸부틸; 2-메틸부틸; 3-메틸부틸; 1,1-디메틸프로필; 1,2-디메틸프로필; 2,2-디메틸프로필; 1-에틸프로필; 1,1-디메틸부틸; 1,2-디메틸부틸; 1,3-디메틸부틸; 2,2-디메틸부틸; 2,3-디메틸부틸; 3,3-디메틸부틸; 1-에틸부틸; 2-에틸부틸; 1,1,2-트리메틸프로필; 1,2,2-트리메틸프로필; 1-에틸-1-메틸프로필; 및 1-에틸-2-메틸프로필에서 선택될 수 있다. 더 구체적으로, 상기 R2는 수소; 메틸; 에틸; n-프로필; 이소프로필; n-부틸; 이소부틸; sec-부틸; tert-부틸; 1-메틸부틸; 2-메틸부틸; 3-메틸부틸; 1,1-디메틸프로필; 1,2-디메틸프로필; 2,2-디메틸프로필; 1-에틸프로필; 1,1-디메틸부틸; 1,2-디메틸부틸; 1,3-디메틸부틸; 2,2-디메틸부틸; 2,3-디메틸부틸; 3,3-디메틸부틸; 1-에틸부틸; 2-에틸부틸; 1,1,2-트리메틸프로필; 1,2,2-트리메틸프로필; 1-에틸-1-메틸프로필; 1-에틸-2-메틸프로필; 메틸, 에틸, n-프로필, 이소프로필, n-부틸, 또는 분지쇄 (C4-C6)알킬로 치환 또는 비치환된 페닐; 메틸, 에틸, n-프로필, 이소프로필, n-부틸, 또는 분지쇄 (C4-C6)알킬로 치환 또는 비치환된 비페닐; 및 메틸, 에틸, n-프로필, 이소프로필, n-부틸, 또는 분지쇄 (C4-C6)알킬로 치환 또는 비치환된 나프틸에서 선택될 수 있다.In Formula 1, preferably, R1 and R2 may each independently be hydrogen, substituted or unsubstituted (C1-C6)alkyl, or substituted or unsubstituted (C6-C15)aryl. More preferably, R1 and R2 may each independently be hydrogen, unsubstituted (C1-C6)alkyl, or (C6-C13)aryl unsubstituted or substituted with (C1-C6)alkyl. Specifically, R1 and R2 are each independently hydrogen; methyl; ethyl; n-profile; isopropyl; n-butyl; branched chain (C4-C6)alkyl; (C1-C6) phenyl unsubstituted or substituted with alkyl; Naphthyl substituted or unsubstituted with (C1-C6)alkyl; and (C1-C6)alkyl-substituted or unsubstituted biphenyl. More specifically, R1 is hydrogen; methyl; ethyl; n-profile; isopropyl; n-butyl; isobutyl; sec-butyl; tert-butyl; 1-methylbutyl; 2-methylbutyl; 3-methylbutyl; 1,1-dimethylpropyl; 1,2-dimethylpropyl; 2,2-dimethylpropyl; 1-ethylpropyl; 1,1-dimethylbutyl; 1,2-dimethylbutyl; 1,3-dimethylbutyl; 2,2-dimethylbutyl; 2,3-dimethylbutyl; 3,3-dimethylbutyl; 1-ethylbutyl; 2-ethylbutyl; 1,1,2-trimethylpropyl; 1,2,2-trimethylpropyl; 1-ethyl-1-methylpropyl; and 1-ethyl-2-methylpropyl. More specifically, R2 is hydrogen; methyl; ethyl; n-profile; isopropyl; n-butyl; isobutyl; sec-butyl; tert-butyl; 1-methylbutyl; 2-methylbutyl; 3-methylbutyl; 1,1-dimethylpropyl; 1,2-dimethylpropyl; 2,2-dimethylpropyl; 1-ethylpropyl; 1,1-dimethylbutyl; 1,2-dimethylbutyl; 1,3-dimethylbutyl; 2,2-dimethylbutyl; 2,3-dimethylbutyl; 3,3-dimethylbutyl; 1-ethylbutyl; 2-ethylbutyl; 1,1,2-trimethylpropyl; 1,2,2-trimethylpropyl; 1-ethyl-1-methylpropyl; 1-ethyl-2-methylpropyl; phenyl unsubstituted or substituted with methyl, ethyl, n-propyl, isopropyl, n-butyl, or branched chain (C4-C6)alkyl; Biphenyl unsubstituted or substituted with methyl, ethyl, n-propyl, isopropyl, n-butyl, or branched chain (C4-C6)alkyl; and naphthyl unsubstituted or substituted with methyl, ethyl, n-propyl, isopropyl, n-butyl, or branched chain (C4-C6)alkyl.

상기 R3은 바람직하게는, 수소, 중수소, 할로겐, 치환 또는 비치환 (C1-C5)알킬, 또는 치환 또는 비치환 (C6-C15)아릴일 수 있고; 더 바람직하게는 수소, 할로겐, 비치환 (C1-C5)알킬, 또는 (C1-C5)알킬로 치환 또는 비치환된 (C6-C13)아릴일 수 있다. 구체적으로는, 상기 R3은 수소, 할로겐, 비치환 (C1-C5)알킬, (C1-C5)알킬로 치환 또는 비치환된 페닐, (C1-C5)알킬로 치환 또는 비치환된 비페닐, 또는 (C1-C5)알킬로 치환 또는 비치환된 나프틸일 수 있다. 또한, 상기 R3이 수소가 아닐 경우, 상기 R3은 상기 화학식 1의 2-페닐퀴놀린 리간드의 3, 6, 또는 7 위치에 연결되는 것이 바람직하다.Preferably, R3 may be hydrogen, deuterium, halogen, substituted or unsubstituted (C1-C5)alkyl, or substituted or unsubstituted (C6-C15)aryl; More preferably, it may be hydrogen, halogen, unsubstituted (C1-C5)alkyl, or (C6-C13)aryl substituted or unsubstituted with (C1-C5)alkyl. Specifically, R3 is hydrogen, halogen, unsubstituted (C1-C5)alkyl, phenyl unsubstituted or substituted by (C1-C5)alkyl, biphenyl unsubstituted or substituted by (C1-C5)alkyl, Alternatively, it may be naphthyl substituted or unsubstituted with (C1-C5)alkyl. Additionally, when R3 is not hydrogen, R3 is preferably connected to the 3, 6, or 7 position of the 2-phenylquinoline ligand of Formula 1.

상기 R4는 바람직하게는, 수소, 또는 치환 또는 비치환 (C1-C5)알킬일 수 있고; 더 바람직하게는 수소 또는 비치환 (C1-C5)알킬일 수 있다. 구체적으로, 상기 화학식 1에서 상기 R4를 포함하는 페닐 부분은 하기 화학식 A-1 내지 A-3 중의 어느 하나로 표시될 수 있다:Preferably, R4 may be hydrogen or substituted or unsubstituted (C1-C5)alkyl; More preferably, it may be hydrogen or unsubstituted (C1-C5)alkyl. Specifically, in Formula 1, the phenyl moiety containing R4 may be represented by any one of the following Formulas A-1 to A-3:

[화학식 A-1][Formula A-1]

Figure 112015111869714-pat00002
Figure 112015111869714-pat00002

[화학식 A-2][Formula A-2]

Figure 112015111869714-pat00003
Figure 112015111869714-pat00003

[화학식 A-3][Formula A-3]

Figure 112015111869714-pat00004
Figure 112015111869714-pat00004

상기 화학식 A-1 내지 A-3에서, *는 연결 자리를 나타낸다.In the above formulas A-1 to A-3, * represents the connection site.

바람직하게는, 상기 R5 및 R7은 각각 독립적으로 치환 또는 비치환 (C1-C5)알킬, 또는 치환 또는 비치환 (C6-C15)아릴이고; 상기 R6은 수소, 치환 또는 비치환 (C1-C5)알킬, 또는 치환 또는 비치환 (C6-C15)아릴일 수 있다. 더 바람직하게는, 상기 R5 및 R7은 각각 독립적으로 비치환 (C1-C5)알킬이고; 상기 R6는 수소일 수 있다. 상기 R5 및 R7은 바람직하게는 서로 동일할 수 있다.Preferably, R5 and R7 are each independently substituted or unsubstituted (C1-C5)alkyl, or substituted or unsubstituted (C6-C15)aryl; R6 may be hydrogen, substituted or unsubstituted (C1-C5)alkyl, or substituted or unsubstituted (C6-C15)aryl. More preferably, R5 and R7 are each independently unsubstituted (C1-C5)alkyl; R6 may be hydrogen. Preferably, R5 and R7 may be the same as each other.

본 발명의 일 구현예에 따르면, 상기 화학식 1에서, 상기 R1 및 R2는 각각 독립적으로 수소, 치환 또는 비치환 (C1-C6)알킬, 또는 치환 또는 비치환 (C6-C15)아릴에서 선택되고, 단, R1과 R2가 동시에 수소인 경우는 제외하고; 상기 R3은 수소, 중수소, 할로겐, 치환 또는 비치환 (C1-C5)알킬, 또는 치환 또는 비치환 (C6-C15)아릴이고; 상기 R4는 수소, 또는 치환 또는 비치환 (C1-C5)알킬이고; 상기 R5 및 R7은 각각 독립적으로 치환 또는 비치환 (C1-C5)알킬, 또는 치환 또는 비치환 (C6-C15)아릴이고; 상기 R6은 수소, 치환 또는 비치환 (C1-C5)알킬, 또는 치환 또는 비치환 (C6-C15)아릴일 수 있다.According to one embodiment of the present invention, in Formula 1, R1 and R2 are each independently selected from hydrogen, substituted or unsubstituted (C1-C6)alkyl, or substituted or unsubstituted (C6-C15)aryl. Except for the case where R1 and R2 are simultaneously hydrogen; R3 is hydrogen, deuterium, halogen, substituted or unsubstituted (C1-C5)alkyl, or substituted or unsubstituted (C6-C15)aryl; R4 is hydrogen, or substituted or unsubstituted (C1-C5)alkyl; R5 and R7 are each independently substituted or unsubstituted (C1-C5)alkyl, or substituted or unsubstituted (C6-C15)aryl; R6 may be hydrogen, substituted or unsubstituted (C1-C5)alkyl, or substituted or unsubstituted (C6-C15)aryl.

본 발명의 다른 일 구현예에 따르면, 상기 R1 및 R2는 각각 독립적으로 수소, 비치환 (C1-C6)알킬, 또는 (C1-C6)알킬로 치환 또는 비치환된 (C6-C13)아릴이고; 상기 R3은 수소, 할로겐, 비치환 (C1-C5)알킬, 또는 (C1-C5)알킬로 치환 또는 비치환된 (C6-C13)아릴이고; 상기 R4는 수소 또는 비치환 (C1-C5)알킬이고; 상기 R5 및 R7은 각각 독립적으로 비치환 (C1-C5)알킬이고; 상기 R6는 수소일 수 있다.According to another embodiment of the present invention, R1 and R2 are each independently hydrogen, unsubstituted (C1-C6)alkyl, or (C6-C13)aryl substituted or unsubstituted with (C1-C6)alkyl. ego; R3 is hydrogen, halogen, unsubstituted (C1-C5)alkyl, or (C6-C13)aryl unsubstituted or substituted with (C1-C5)alkyl; R4 is hydrogen or unsubstituted (C1-C5)alkyl; R5 and R7 are each independently unsubstituted (C1-C5)alkyl; R6 may be hydrogen.

본 발명의 다른 일 구현예에 따르면, 상기 화학식 1로 표시되는 2종 이상의 도판트 화합물 중 제1 도판트 화합물이 R1 내지 R3 중 적어도 하나가 치환 또는 비치환 (C6-C15)아릴인 화학식 1의 화합물이고; 제2 도판트 화합물이 R1 내지 R3이 수소, 또는 치환 또는 비치환 (C1-C5)알킬이고, 단, R1과 R2가 동시에 수소인 경우는 제외하는 화학식 1의 화합물일 수 있다.According to another embodiment of the present invention, the first dopant compound among the two or more types of dopant compounds represented by Formula 1 has a formula in which at least one of R1 to R3 is substituted or unsubstituted (C6-C15)aryl. It is a compound of 1; The second dopant compound may be a compound of Formula 1 where R1 to R3 are hydrogen or substituted or unsubstituted (C1-C5)alkyl, except for cases where R1 and R2 are both hydrogen.

상기 화학식 1의 화합물은 보다 구체적으로 하기의 화합물로서 예시될수 있으나, 이들에 한정되는 것은 아니다.The compound of Formula 1 may be exemplified more specifically as the following compounds, but is not limited to these.

Figure 112015111869714-pat00005
Figure 112015111869714-pat00005

Figure 112015111869714-pat00006
Figure 112015111869714-pat00006

Figure 112015111869714-pat00007
Figure 112015111869714-pat00007

Figure 112015111869714-pat00008
Figure 112015111869714-pat00008

Figure 112015111869714-pat00009
Figure 112015111869714-pat00009

Figure 112015111869714-pat00010
Figure 112015111869714-pat00010

Figure 112015111869714-pat00011
Figure 112015111869714-pat00011

Figure 112015111869714-pat00012
Figure 112015111869714-pat00012

본 발명의 2종 이상의 도판트 화합물과 함께 사용되는 1종 이상의 호스트 화합물은 하기 화학식 2로 표시되는 화합물일 수 있다:One or more host compounds used together with two or more dopant compounds of the present invention may be a compound represented by the following formula (2):

[화학식 2][Formula 2]

Figure 112015111869714-pat00013
Figure 112015111869714-pat00013

상기 화학식 2에서,In Formula 2,

Ma는 치환 또는 비치환된 질소 함유 (5-11원)헤테로아릴이고;Ma is substituted or unsubstituted nitrogen-containing (5-11 membered) heteroaryl;

La는 단일 결합, 또는 치환 또는 비치환된 (C6-C30)아릴렌이고;La is a single bond, or substituted or unsubstituted (C6-C30)arylene;

Xa 내지 Xh는 각각 독립적으로 수소, 중수소, 할로겐, 시아노, 치환 또는 비치환된 (C1-C30)알킬, 치환 또는 비치환된 (C2-C30)알케닐, 치환 또는 비치환된 (C2-C30)알키닐, 치환 또는 비치환된 (C3-C30)시클로알킬, 치환 또는 비치환된 (C6-C60)아릴, 치환 또는 비치환된 (3-30원)헤테로아릴, 치환 또는 비치환된 트리(C1-C30)알킬실릴, 치환 또는 비치환된 트리(C6-C30)아릴실릴, 치환 또는 비치환된 디(C1-C30)알킬(C6-C30)아릴실릴, 치환 또는 비치환된 (C1-C30)알킬디(C6-C30)아릴실릴, 치환 또는 비치환된 (C1-C30)알킬(C6-C30)아릴아미노, 또는 치환 또는 비치환된 모노- 또는 디- (C6-C30)아릴아미노이거나; 인접한 치환기끼리 서로 연결되어 치환 또는 비치환된 (C3-C30)단일환 또는 다환의 지환족 또는 방향족 고리를 형성할 수 있으며, 상기 형성된 지환족 또는 방향족 고리의 탄소 원자는 질소, 산소 및 황으로부터 선택되는 하나 이상의 헤테로원자로 대체될 수 있고;Xa to ) Alkynyl, substituted or unsubstituted (C3-C30) cycloalkyl, substituted or unsubstituted (C6-C60) aryl, substituted or unsubstituted (3-30 membered) heteroaryl, substituted or unsubstituted tri( C1-C30)alkylsilyl, substituted or unsubstituted tri(C6-C30)arylsilyl, substituted or unsubstituted di(C1-C30)alkyl(C6-C30)arylsilyl, substituted or unsubstituted (C1-C30) )alkyldi(C6-C30)arylsilyl, substituted or unsubstituted (C1-C30)alkyl(C6-C30)arylamino, or substituted or unsubstituted mono- or di-(C6-C30)arylamino; Adjacent substituents may be linked to each other to form a substituted or unsubstituted (C3-C30) monocyclic or polycyclic alicyclic or aromatic ring, and the carbon atom of the formed alicyclic or aromatic ring is selected from nitrogen, oxygen and sulfur. may be replaced with one or more heteroatoms;

상기 헤테로아릴(렌)은 B, N, O, S, Si 및 P로부터 선택된 하나 이상의 헤테로원자를 포함한다.The heteroaryl (lene) includes one or more heteroatoms selected from B, N, O, S, Si and P.

상기 화학식 2에서, 바람직하게는, 상기 La는 단일 결합, 또는 치환 또는 비치환된 (C6-C12)아릴렌일 수 있고; 더 바람직하게는, 단일 결합 또는 트리(C6-C10)아릴실릴로 치환 또는 비치환된 (C6-C12)아릴렌일 수 있다. 구체적으로, La는 단일 결합, 치환 또는 비치환된 페닐렌, 치환 또는 비치환된 나프틸렌, 또는 치환 또는 비치환된 비페닐렌일 수 있다.In Formula 2, preferably, La may be a single bond, or substituted or unsubstituted (C6-C12)arylene; More preferably, it may be (C6-C12)arylene substituted or unsubstituted with a single bond or tri(C6-C10)arylsilyl. Specifically, La may be a single bond, substituted or unsubstituted phenylene, substituted or unsubstituted naphthylene, or substituted or unsubstituted biphenylene.

바람직하게는, 상기 Ma는 치환 또는 비치환된 질소 함유 (5-11원)헤테로아릴일 수 있고; 더 바람직하게는, 시아노, (C1-C6)알킬, 트리(C6-C12)아릴실릴, (C6-C18)아릴, 또는 (5-15원)헤테로아릴로 치환 또는 비치환된 질소 함유 (6-11원)헤테로아릴일 수 있다. 구체적으로는, 상기 Ma는 치환 또는 비치환된 피롤릴, 치환 또는 비치환된 이미다졸릴, 치환 또는 비치환된 피라졸릴, 치환 또는 비치환된 트리아진일, 치환 또는 비치환된 테트라진일, 치환 또는 비치환된 트리아졸릴, 치환 또는 비치환된 테트라졸릴, 치환 또는 비치환된 피리딜, 치환 또는 비치환된 피라진일, 치환 또는 비치환된 피리미딘일, 치환 또는 비치환된 피리다진일, 치환 또는 비치환된 벤조이미다졸릴, 치환 또는 비치환된 이소인돌릴, 치환 또는 비치환된 인돌릴, 치환 또는 비치환된 인다졸릴, 치환 또는 비치환된 벤조티아디아졸릴, 치환 또는 비치환된 퀴놀릴, 치환 또는 비치환된 이소퀴놀릴, 치환 또는 비치환된 신놀리닐, 치환 또는 비치환된 퀴나졸리닐, 치환 또는 비치환된 나프티리디닐, 또는 치환 또는 비치환된 퀴녹살리닐일 수 있고; 더욱 구체적으로는 치환 또는 비치환된 트리아진일, 치환 또는 비치환된 피리미딘일, 치환 또는 비치환된 피리딜, 치환 또는 비치환된 퀴놀릴, 치환 또는 비치환된 이소퀴놀릴, 치환 또는 비치환된 퀴나졸리닐, 치환 또는 비치환된 나프티리디닐, 또는 치환 또는 비치환된 퀴녹살리닐일 수 있다.Preferably, Ma may be substituted or unsubstituted nitrogen-containing (5-11 membered) heteroaryl; More preferably, nitrogen-containing (6) substituted or unsubstituted with cyano, (C1-C6)alkyl, tri(C6-C12)arylsilyl, (C6-C18)aryl, or (5-15 membered)heteroaryl. -11 won) It may be heteroaryl. Specifically, the Ma is substituted or unsubstituted pyrrolyl, substituted or unsubstituted imidazolyl, substituted or unsubstituted pyrazolyl, substituted or unsubstituted triazinyl, substituted or unsubstituted tetrazinyl, substituted or Unsubstituted triazolyl, substituted or unsubstituted tetrazolyl, substituted or unsubstituted pyridyl, substituted or unsubstituted pyrazinyl, substituted or unsubstituted pyrimidinyl, substituted or unsubstituted pyridazinyl, substituted or Unsubstituted benzoimidazolyl, substituted or unsubstituted isoindolyl, substituted or unsubstituted indolyl, substituted or unsubstituted indazolyl, substituted or unsubstituted benzothiadiazolyl, substituted or unsubstituted quinolyl , substituted or unsubstituted isoquinolyl, substituted or unsubstituted cinnolinyl, substituted or unsubstituted quinazolinyl, substituted or unsubstituted naphthyridinyl, or substituted or unsubstituted quinoxalinyl; More specifically, substituted or unsubstituted triazinyl, substituted or unsubstituted pyrimidinyl, substituted or unsubstituted pyridyl, substituted or unsubstituted quinolyl, substituted or unsubstituted isoquinolyl, substituted or unsubstituted It may be substituted quinazolinyl, substituted or unsubstituted naphthyridinyl, or substituted or unsubstituted quinoxalinyl.

바람직하게는, 상기 Xa 내지 Xh는 각각 독립적으로 수소, 시아노, 치환 또는 비치환된 (C6-C15)아릴, 치환 또는 비치환된 (6-25원)헤테로아릴, 또는 치환 또는 비치환된 트리(C6-C15)아릴실릴이거나, 인접한 치환기와 서로 연결되어 치환 또는 비치환된 (6-20원) 단일환 또는 다환의 방향족 고리를 형성할 수 있고, 상기 형성된 방향족 고리의 탄소 원자는 질소, 산소, 및 황으로부터 선택되는 하나 이상의 헤테로원자로 대체될 수 있다. 더 바람직하게는, 상기 Xa 내지 Xh는 각각 독립적으로, 수소; 시아노; 트리(C6-C10)아릴실릴로 치환 또는 비치환된 (C6-C15)아릴; 트리(C6-C10)아릴실릴 또는 (C6-C12)아릴로 치환 또는 비치환된 (6-25원)헤테로아릴; 또는 트리(C6-C10)아릴실릴이거나, 인접한 치환기끼리 서로 연결되어 치환 또는 비치환된 벤젠, 치환 또는 비치환된 인돌, 치환 또는 비치환된 벤즈인돌, 치환 또는 비치환된 인덴, 치환 또는 비치환된 벤조푸란, 또는 치환 또는 비치환된 벤조티오펜을 형성할 수 있다. 구체적으로는, 상기 Xa 내지 Xh 중의 적어도 하나가 치환 또는 비치환된 카바졸, 또는 치환 또는 비치환된 디벤조카바졸이거나, 인접한 치환기와 서로 연결되어 치환 또는 비치환된 벤젠, 치환 또는 비치환된 인돌, 치환 또는 비치환된 벤즈인돌, 치환 또는 비치환된 인덴, 치환 또는 비치환된 벤조푸란, 또는 치환 또는 비치환된 벤조티오펜을 형성할 수 있다.Preferably, the Xa to (C6-C15) may be arylsilyl, or may be connected to adjacent substituents to form a substituted or unsubstituted (6-20 membered) monocyclic or polycyclic aromatic ring, and the carbon atoms of the formed aromatic ring may be nitrogen or oxygen. , and sulfur. More preferably, Xa to Xh are each independently hydrogen; cyano; (C6-C15)aryl substituted or unsubstituted with tri(C6-C10)arylsilyl; (6-25 membered) heteroaryl substituted or unsubstituted with tri(C6-C10)arylsilyl or (C6-C12)aryl; or tri(C6-C10)arylsilyl, or adjacent substituents are connected to each other to form substituted or unsubstituted benzene, substituted or unsubstituted indole, substituted or unsubstituted benzindole, substituted or unsubstituted indene, substituted or unsubstituted It can form benzofuran, or substituted or unsubstituted benzothiophene. Specifically, at least one of Xa to It may form indole, substituted or unsubstituted benzindole, substituted or unsubstituted indene, substituted or unsubstituted benzofuran, or substituted or unsubstituted benzothiophene.

본 발명의 일 구현예에 따르면, 상기 화학식 2에서, 상기 Xa 내지 Xh 중 하나는 하기 화학식 3-1 내지 3-3에서 선택되고, 나머지는 수소, 시아노, 치환 또는 비치환된 (C6-C15)아릴, 또는 치환 또는 비치환된 트리(C6-C15)아릴실릴이거나, 인접한 치환기와 서로 연결되어 치환 또는 비치환된 (6-20원) 단일환 또는 다환의 방향족 고리를 형성할 수 있다:According to one embodiment of the present invention, in Formula 2, one of Xa to )aryl, or substituted or unsubstituted tri(C6-C15)arylsilyl, or may be connected to adjacent substituents to form a substituted or unsubstituted (6-20 membered) monocyclic or polycyclic aromatic ring:

[화학식 3-1][Formula 3-1]

Figure 112015111869714-pat00014
Figure 112015111869714-pat00014

[화학식 3-2][Formula 3-2]

Figure 112015111869714-pat00015
Figure 112015111869714-pat00015

[화학식 3-3][Formula 3-3]

Figure 112015111869714-pat00016
Figure 112015111869714-pat00016

상기 화학식 3-1 내지 3-3에서,In Formulas 3-1 to 3-3,

Lb, Lc, 및 Ld는 각각 독립적으로 단일 결합, 치환 또는 비치환 (C6-C30)아릴렌, 또는 치환 또는 비치환 (3-30원)헤테로아릴렌이고;Lb , Lc , and Ld are each independently a single bond, substituted or unsubstituted (C6-C30)arylene, or substituted or unsubstituted (3-30 membered)heteroarylene;

Y는 -S-, -O-, 또는 -NR18-이고;Y is -S-, -O-, or -NR18 -;

R11 내지 R17는 각각 독립적으로 수소, 중수소, 할로겐, 시아노, 치환 또는 비치환 (C1-C30)알킬, 치환 또는 비치환 (C3-C30)시클로알킬, 치환 또는 비치환 (C3-C30)시클로알케닐, 치환 또는 비치환 (3-7원)헤테로시클로알킬, 치환 또는 비치환 (C6-C30)아릴, 치환 또는 비치환 (3-30원)헤테로아릴, 치환 또는 비치환 트리(C1-C30)알킬실릴, 치환 또는 비치환 트리(C6-C30)아릴실릴, 치환 또는 비치환 디(C1-C30)알킬(C6-C30)아릴실릴, 치환 또는 비치환 (C1-C30)알킬디(C6-C30)아릴실릴, 치환 또는 비치환 모노 또는 디(C1-C30)알킬아미노, 치환 또는 비치환 모노 또는 디(C6-C30)아릴아미노, 또는 치환 또는 비치환 (C1-C30)알킬(C6-C30)아릴아미노이거나, 인접한 치환기와 연결되어, 치환 또는 비치환된 (3-30원)의 단일환 또는 다환의 지환족 또는 방향족 고리를 형성할 수 있고, 상기 형성된 지환족 또는 방향족 고리의 탄소 원자는 질소, 산소 및 황으로부터 선택되는 하나 이상의 헤테로원자로 대체될 수 있고;R11 to R17 are each independently hydrogen, deuterium, halogen, cyano, substituted or unsubstituted (C1-C30)alkyl, substituted or unsubstituted (C3-C30)cycloalkyl, substituted or unsubstituted (C3-C30) Cycloalkenyl, substituted or unsubstituted (3-7 membered)heterocycloalkyl, substituted or unsubstituted (C6-C30)aryl, substituted or unsubstituted (3-30 membered)heteroaryl, substituted or unsubstituted tri(C1- C30)alkylsilyl, substituted or unsubstituted tri(C6-C30)arylsilyl, substituted or unsubstituted di(C1-C30)alkyl(C6-C30)arylsilyl, substituted or unsubstituted (C1-C30)alkyldi(C6) -C30)arylsilyl, substituted or unsubstituted mono or di(C1-C30)alkylamino, substituted or unsubstituted mono or di(C6-C30)arylamino, or substituted or unsubstituted (C1-C30)alkyl(C6- C30) Arylamino, or may be connected to an adjacent substituent to form a substituted or unsubstituted (3-30 membered) monocyclic or polycyclic alicyclic or aromatic ring, and the carbon atom of the formed alicyclic or aromatic ring. may be replaced with one or more heteroatoms selected from nitrogen, oxygen and sulfur;

R18는 수소, 치환 또는 비치환 (C1-C30)알킬, 치환 또는 비치환 (C6-C30)아릴, 치환 또는 비치환 (3-30원)헤테로아릴, 또는 치환 또는 비치환 (C3-C30)시클로알킬이거나, 인접한 치환기와 연결되어, 치환 또는 비치환된 (3-30원)의 단일환 또는 다환의 지환족 또는 방향족 고리를 형성할 수 있고;R18 is hydrogen, substituted or unsubstituted (C1-C30)alkyl, substituted or unsubstituted (C6-C30)aryl, substituted or unsubstituted (3-30 membered)heteroaryl, or substituted or unsubstituted (C3-C30) It may be cycloalkyl, or may be connected to an adjacent substituent to form a substituted or unsubstituted (3-30 membered) monocyclic or polycyclic alicyclic or aromatic ring;

c는 1 내지 3의 정수이고; d 내지 f, 및 h는 각각 독립적으로 1 내지 4의 정수이고; g는 1 내지 5의 정수이고; 상기 c 내지 h가 2 이상의 정수일 경우, 각각의 R11 내지 R16은 서로 동일하거나 상이할 수 있다.c is an integer from 1 to 3; d to f, and h are each independently an integer of 1 to 4; g is an integer from 1 to 5; When c to h are integers of 2 or more, each of R11 to R16 may be the same or different from each other.

본 발명의 다른 일 구현예에 따르면, 상기 화학식 2로 표시되는 호스트 화합물은 하기 화학식 4로 표시될 수 있다.According to another embodiment of the present invention, the host compound represented by Formula 2 may be represented by Formula 4 below.

[화학식 4][Formula 4]

Figure 112015111869714-pat00017
Figure 112015111869714-pat00017

상기 화학식 4에서, La 및 Ma는 상기 화학식 2에서 정의한 바와 같고; Z는 -S-, -O-, -NR24-, 또는 -CR25R26-이고; R21 내지 R23는 각각 독립적으로 상기 Xa 내지 Xh의 정의와 동일하고; R24 내지 R26는 각각 독립적으로 수소, 치환 또는 비치환(C1-C30)알킬, 치환 또는 비치환 (C6-C30)아릴, 치환 또는 비치환 (3-30원)헤테로아릴, 또는 치환 또는 비치환 (C3-C30)시클로알킬이거나, 인접한 치환기와 연결되어, 치환 또는 비치환된 (3-30원)의 단일환 또는 다환의 지환족 또는 방향족 고리를 형성할 수 있고; i 및 k는 각각 독립적으로 1 내지 4의 정수이고; j는 1 내지 2의 정수이고; i 내지 k가 2 이상의 정수일 경우, 각각의 R21 내지 R23은 동일하거나 상이할 수 있다.In Formula 4, La and Ma are as defined in Formula 2; Z is -S-, -O-, -NR24 -, or -CR25 R26 -; R21 to R23 are each independently the same as defined for Xa to Xh; R24 to R26 are each independently hydrogen, substituted or unsubstituted (C1-C30) alkyl, substituted or unsubstituted (C6-C30) aryl, substituted or unsubstituted (3-30 membered) heteroaryl, or substituted or unsubstituted ring (C3-C30) cycloalkyl, or may be connected to an adjacent substituent to form a substituted or unsubstituted (3-30 membered) monocyclic or polycyclic alicyclic or aromatic ring; i and k are each independently an integer of 1 to 4; j is an integer from 1 to 2; When i to k are integers of 2 or more, each of R21 to R23 may be the same or different.

본 발명의 다른 일 구현예에 따르면, 상기 화학식 2로 표시되는 호스트 화합물은 구체적으로 하기 화학식 5로 표시되는 것일 수 있다.According to another embodiment of the present invention, the host compound represented by Formula 2 may be specifically represented by Formula 5 below.

[화학식 5][Formula 5]

Figure 112015111869714-pat00018
Figure 112015111869714-pat00018

상기 화학식 5에서, La 및 Ma는 상기 화학식 2에서 정의한 바와 같고; R21 내지 R23는 각각 독립적으로 상기 Xa 내지 Xh의 정의와 동일하고; R24는 치환 또는 비치환 (C1-C30)알킬, 치환 또는 비치환 (C6-C30)아릴, 치환 또는 비치환 (3-30원)헤테로아릴, 또는 치환 또는 비치환 (C3-C30)시클로알킬일 수 있고; i, j, 및 k는 상기 화학식 4에서 정의한 바와 같다.In Formula 5, La and Ma are as defined in Formula 2; R21 to R23 are each independently the same as defined for Xa to Xh; R24 is substituted or unsubstituted (C1-C30) alkyl, substituted or unsubstituted (C6-C30) aryl, substituted or unsubstituted (3-30 membered) heteroaryl, or substituted or unsubstituted (C3-C30) cycloalkyl. can be; i, j, and k are as defined in Formula 4 above.

상기 화학식 2의 화합물은 보다 구체적으로 하기의 화합물로서 예시될수 있으나, 이들에 한정되는 것은 아니다.The compound of Formula 2 may be exemplified more specifically as the following compounds, but is not limited to these.

Figure 112015111869714-pat00019
Figure 112015111869714-pat00019

Figure 112015111869714-pat00020
Figure 112015111869714-pat00020

Figure 112015111869714-pat00021
Figure 112015111869714-pat00021

Figure 112015111869714-pat00022
Figure 112015111869714-pat00022

Figure 112015111869714-pat00023
Figure 112015111869714-pat00023

Figure 112015111869714-pat00024
Figure 112015111869714-pat00024

Figure 112015111869714-pat00025
Figure 112015111869714-pat00025

Figure 112015111869714-pat00026
Figure 112015111869714-pat00026

Figure 112015111869714-pat00027
Figure 112015111869714-pat00027

Figure 112015111869714-pat00028
Figure 112015111869714-pat00028

Figure 112015111869714-pat00029
Figure 112015111869714-pat00029

Figure 112015111869714-pat00030
Figure 112015111869714-pat00030

Figure 112015111869714-pat00031
Figure 112015111869714-pat00031

Figure 112015111869714-pat00032
Figure 112015111869714-pat00032

Figure 112015111869714-pat00033
Figure 112015111869714-pat00033

Figure 112015111869714-pat00034
Figure 112015111869714-pat00034

Figure 112015111869714-pat00035
Figure 112015111869714-pat00035

Figure 112015111869714-pat00036
Figure 112015111869714-pat00036

Figure 112015111869714-pat00037
Figure 112015111869714-pat00037

Figure 112015111869714-pat00038
Figure 112015111869714-pat00038

Figure 112015111869714-pat00039
Figure 112015111869714-pat00039

Figure 112015111869714-pat00040
Figure 112015111869714-pat00040

Figure 112015111869714-pat00041
Figure 112015111869714-pat00041

Figure 112015111869714-pat00042
Figure 112015111869714-pat00042

Figure 112015111869714-pat00043
Figure 112015111869714-pat00043

Figure 112015111869714-pat00044
Figure 112015111869714-pat00044

Figure 112015111869714-pat00045
Figure 112015111869714-pat00045

Figure 112015111869714-pat00046
Figure 112015111869714-pat00046

Figure 112015111869714-pat00047
Figure 112015111869714-pat00047

Figure 112015111869714-pat00048
Figure 112015111869714-pat00048

Figure 112015111869714-pat00049
Figure 112015111869714-pat00049

Figure 112015111869714-pat00050
Figure 112015111869714-pat00050

Figure 112015111869714-pat00051
Figure 112015111869714-pat00051

Figure 112015111869714-pat00052
Figure 112015111869714-pat00052

Figure 112015111869714-pat00053
Figure 112015111869714-pat00053

Figure 112015111869714-pat00054
Figure 112015111869714-pat00054

Figure 112015111869714-pat00055
Figure 112015111869714-pat00055

Figure 112015111869714-pat00056
Figure 112015111869714-pat00056

Figure 112015111869714-pat00057
Figure 112015111869714-pat00057

Figure 112015111869714-pat00058
Figure 112015111869714-pat00058

Figure 112015111869714-pat00059
Figure 112015111869714-pat00059

Figure 112015111869714-pat00060
Figure 112015111869714-pat00060

Figure 112015111869714-pat00061
Figure 112015111869714-pat00061

Figure 112015111869714-pat00062
Figure 112015111869714-pat00062

Figure 112015111869714-pat00063
Figure 112015111869714-pat00063

Figure 112015111869714-pat00064
Figure 112015111869714-pat00064

Figure 112015111869714-pat00065
Figure 112015111869714-pat00065

Figure 112015111869714-pat00066
Figure 112015111869714-pat00066

Figure 112015111869714-pat00067
Figure 112015111869714-pat00067

Figure 112015111869714-pat00068
Figure 112015111869714-pat00068

Figure 112015111869714-pat00069
Figure 112015111869714-pat00069

Figure 112015111869714-pat00070
Figure 112015111869714-pat00070

Figure 112015111869714-pat00071
Figure 112015111869714-pat00071

Figure 112015111869714-pat00072
Figure 112015111869714-pat00072

Figure 112015111869714-pat00073
Figure 112015111869714-pat00073

Figure 112015111869714-pat00074
Figure 112015111869714-pat00074

Figure 112015111869714-pat00075
Figure 112015111869714-pat00075

Figure 112015111869714-pat00076
Figure 112015111869714-pat00076

Figure 112015111869714-pat00077
Figure 112015111869714-pat00077

Figure 112015111869714-pat00078
Figure 112015111869714-pat00078

Figure 112015111869714-pat00079
Figure 112015111869714-pat00079

Figure 112015111869714-pat00080
Figure 112015111869714-pat00080

Figure 112015111869714-pat00081
Figure 112015111869714-pat00081

Figure 112015111869714-pat00082
Figure 112015111869714-pat00082

Figure 112015111869714-pat00083
Figure 112015111869714-pat00083

본 발명의 상기 화학식 1의 화합물 및 상기 화학식 2의 화합물은 당업자에게 공지된 합성 방법으로 용이하게 제조할 수 있다. 상기 화학식 1 및 2의 화합물을 제조하기 위한 공지의 합성 방법으로는 Bromination, Suzuki 반응, Buchwald-Hartwig 반응, Ullmann 반응 등을 들 수 있다. 또한, 예를 들어, 상기 화합물은 한국공개특허 KR 10-2011-0015836 A에 개시된 방법에 의해 제조될 수 있다.The compounds of Formula 1 and Formula 2 of the present invention can be easily prepared by synthetic methods known to those skilled in the art. Known synthetic methods for preparing the compounds of Formulas 1 and 2 include bromination, Suzuki reaction, Buchwald-Hartwig reaction, and Ullmann reaction. Additionally, for example, the compound may be prepared by the method disclosed in Korean Patent Publication KR 10-2011-0015836 A.

본 발명에 따른 유기 전계 발광 소자는 양극, 음극, 및 상기 양극과 상기 음극 사이의 유기물층을 포함하고; 상기 유기물층은 1층 이상의 발광층을 포함하고; 상기 발광층 중 적어도 1층이 1종 이상의 호스트 화합물 및 상기 화학식 1로 표시되는 2종 이상의 도판트 화합물을 포함한다.The organic electroluminescent device according to the present invention includes an anode, a cathode, and an organic layer between the anode and the cathode; The organic material layer includes one or more light-emitting layers; At least one of the light-emitting layers includes one or more host compounds and two or more dopant compounds represented by Formula 1 above.

상기 발광층의 의미는 발광이 이루어지는 층이다. 상기 발광층의 호스트 화합물에 대한 도판트 화합물의 도핑 농도가 20 중량% 미만, 바람직하게는 17 중량% 미만인 것이 색순도, 전류 효율, 전력 효율, 구동 전압에 있어서 바람직하다. 본 발명의 유기 전계 발광 소자에 있어서, 제1 도판트 화합물과 제 2 도판트 화합물의 중량비는 바람직하게는 10:90 내지 90:10의 범위, 더 바람직하게는 30:70 내지 70:30의 범위일 수 있다. 상기 제1 도판트 화합물과 상기 제2 도판트 화합물의 중량비가 상기 범위인 것이 색순도, 전류 효율, 전력 효율, 구동 전압에 있어서 바람직하다.The meaning of the light-emitting layer is a layer in which light is emitted. It is preferable in terms of color purity, current efficiency, power efficiency, and driving voltage that the doping concentration of the dopant compound relative to the host compound of the light-emitting layer is less than 20% by weight, preferably less than 17% by weight. In the organic electroluminescent device of the present invention, the weight ratio of the first dopant compound and the second dopant compound is preferably in the range of 10:90 to 90:10, more preferably in the range of 30:70 to 70:30. It can be. It is preferable that the weight ratio of the first dopant compound and the second dopant compound is within the above range in terms of color purity, current efficiency, power efficiency, and driving voltage.

상기 유기물층은 발광층을 포함하고, 정공주입층, 정공전달층, 전자전달층, 전자주입층, 전자버퍼층, 계면층(interlayer), 정공차단층, 및 전자차단층에서 선택되는 1층 이상을 더 포함할 수 있다.The organic material layer includes a light-emitting layer, and further includes one or more layers selected from a hole injection layer, a hole transport layer, an electron transport layer, an electron injection layer, an electron buffer layer, an interlayer, a hole blocking layer, and an electron blocking layer. can do.

본 발명의 다른 양태에 의하면, 본 발명은 상기 화학식 1로 표시되는 2종 이상의 도판트 화합물의 조합물을 제공한다. 또한, 본 발명은 상기 2종 이상의 도판트 화합물의 조합물을 포함하는 유기 전계 발광 소자를 제공한다.According to another aspect of the present invention, the present invention provides a combination of two or more types of dopant compounds represented by Formula 1 above. Additionally, the present invention provides an organic electroluminescent device comprising a combination of the above two or more dopant compounds.

본 발명의 다른 양태에 의하면, 본 발명은 상기 화학식 1로 표시되는 2종 이상의 도판트 화합물을 포함하는 유기 전계 발광 재료, 및 상기 재료를 포함하는 유기 전계 발광 소자를 제공한다. 본원에서, 상기 유기 전계 발광 재료는 유기 전계 발광용으로 사용되는 재료를 의미한다. 상기 재료는 유기 전계 발광 소자를 제조하기 위한 재료일 수 있다. 상기 재료는 유기 전계 발광 소자의 제조를 위해 포함되는 통상의 물질을 추가로 포함할 수 있다. 상기 재료는 조성물 또는 혼합물일 수 있다.According to another aspect of the present invention, the present invention provides an organic electroluminescent material containing two or more types of dopant compounds represented by Formula 1, and an organic electroluminescent device containing the material. As used herein, the organic electroluminescent material refers to a material used for organic electroluminescence. The material may be a material for manufacturing an organic electroluminescent device. The material may further include common materials included for manufacturing organic electroluminescent devices. The material may be a composition or mixture.

본 발명은 추가의 양태로, 1종 이상의 호스트 화합물과 상기 화학식 1로 표시되는 2종 이상의 도판트 화합물을 포함하는 유기물층을 제공한다. 상기 유기물층은 복수의 층을 포함하며, 상기 도판트 화합물과 상기 호스트 화합물은 동일한 층에 포함될 수도 있고, 각각 서로 다른 층에 포함될 수도 있다. 또한, 본 발명은 상기 유기물층을 포함하는 유기 전계 발광 소자를 제공한다.In a further aspect, the present invention provides an organic material layer including one or more host compounds and two or more dopant compounds represented by Formula 1 above. The organic layer includes a plurality of layers, and the dopant compound and the host compound may be included in the same layer or may be included in different layers. Additionally, the present invention provides an organic electroluminescent device including the organic material layer.

본 발명의 유기 전계 발광 소자는 상기 유기물층에 아릴아민계 화합물 또는 스티릴아릴아민계 화합물로 이루어진 군으로부터 선택된 하나 이상의 화합물을 더 포함할 수 있다. 또한, 본 발명의 유기 전계 발광 소자는, 유기물층에 1족, 2족, 4주기, 5주기 전이금속, 란탄 계열 금속, 및 d-전이 원소의 유기 금속으로 이루어진 군으로부터 선택되는 하나 이상의 금속 또는 착체 화합물을 더 포함할 수도 있다.The organic electroluminescent device of the present invention may further include one or more compounds selected from the group consisting of arylamine-based compounds or styrylarylamine-based compounds in the organic material layer. In addition, the organic electroluminescent device of the present invention contains at least one metal or complex selected from the group consisting of group 1, group 2, 4th period, 5th period transition metals, lanthanum series metals, and organic metals of d-transition elements in the organic material layer. Additional compounds may be included.

또한, 본 발명의 상기 유기 전계 발광 소자는 본 발명의 화합물 이외에 당업계에 알려진 청색, 적색, 또는 녹색 발광 화합물을 포함하는 발광층 하나 이상을 더 포함함으로써 백색 발광을 할 수 있다. 또한, 필요에 따라, 황색 또는 오렌지색 발광층을 더 포함할 수도 있다.In addition, the organic electroluminescent device of the present invention may emit white light by further including at least one light-emitting layer containing a blue, red, or green light-emitting compound known in the art in addition to the compound of the present invention. Additionally, if necessary, a yellow or orange light emitting layer may be further included.

본 발명의 유기 전계 발광 소자는 한 쌍의 전극의 적어도 한쪽의 내측 표면에, 칼코제나이드(chalcogenide)층, 할로겐화 금속층, 및 금속 산화물층으로부터 선택되는 1층(이하, 이들을 "표면층"이라고 지칭함) 이상을 배치하는 것이 바람직하다. 구체적으로는, 발광 매체층 측의 양극 표면에 규소 및 알루미늄의 금속의 칼코제나이드(산화물을 포함한다)층을, 또한 발광매체층 측의 음극 표면에 할로겐화 금속층 또는 금속 산화물층을 배치하는 것이 바람직하다. 이것에 의해 구동의 안정화를 얻을 수 있다. 상기 칼코제나이드의 바람직한 예로는 SiOX(1=X=2), AlOX(1=X=1.5), SiON, 또는 SiAlON 등이 있고, 할로겐화 금속의 바람직한 예로는 LiF, MgF2, CaF2, 불화 희토류 금속 등이 있으며, 금속 산화물의 바람직한 예로는 Cs2O, Li2O, MgO, SrO, BaO, CaO 등이 있다.The organic electroluminescent device of the present invention has a layer selected from a chalcogenide layer, a metal halide layer, and a metal oxide layer (hereinafter referred to as the "surface layer") on the inner surface of at least one of a pair of electrodes. It is desirable to place the above. Specifically, it is preferable to dispose a metal chalcogenide (including oxide) layer of silicon and aluminum on the anode surface on the light-emitting medium layer side, and a metal halide layer or metal oxide layer on the cathode surface on the light-emitting medium layer side. do. This allows stabilization of drive. A preferred example of the chalcogenide isSiO(1=X=2) , AlO(1=_ , MgO, SrO, BaO, CaO, etc.

또한, 본 발명의 유기 전계 발광 소자는, 이렇게 제조된 한 쌍의 전극의 적어도 한쪽의 표면에 전자 전달 화합물과 환원성 도판트의 혼합 영역 또는 정공 전달 화합물과 산화성 도판트의 혼합 영역을 배치하는 것도 바람직하다. 이러한 방식에 의해 전자 전달 화합물이 음이온으로 환원되므로 혼합 영역으로부터 발광 매체에 전자를 주입 및 전달하기 용이해진다. 또한, 정공 전달 화합물은 산화되어 양이온으로 되므로 혼합 영역으로부터 발광 매체에 정공을 주입 및 전달하기 용이해진다. 바람직한 산화성 도판트로서는 각종 루이스산 및 억셉터(acceptor) 화합물을 들 수 있고, 바람직한 환원성 도판트로는 알칼리 금속, 알칼리 금속 화합물, 알칼리 토류 금속, 희토류 금속 및 이들의 혼합물을 들 수 있다. 또한 환원성 도판트층을 전하생성층으로 사용하여 두 개 이상의 발광층을 가진 백색 유기 전계 발광 소자를 제조할 수 있다.In addition, in the organic electroluminescent device of the present invention, it is also preferable to dispose a mixed region of an electron transport compound and a reducing dopant or a mixed region of a hole transport compound and an oxidizing dopant on at least one surface of a pair of electrodes manufactured in this way. do. In this way, the electron transfer compound is reduced to an anion, making it easy to inject and transfer electrons from the mixed region to the light-emitting medium. Additionally, since the hole transport compound is oxidized to become a cation, it becomes easy to inject and transfer holes from the mixed region to the light emitting medium. Preferred oxidizing dopants include various Lewis acids and acceptor compounds, and preferred reducing dopants include alkali metals, alkali metal compounds, alkaline earth metals, rare earth metals, and mixtures thereof. Additionally, a white organic electroluminescent device with two or more light-emitting layers can be manufactured by using a reducing dopant layer as a charge generation layer.

본 발명의 유기 전계 발광 소자의 각 층의 형성은 진공증착, 스퍼터링, 플라즈마, 이온플레이팅 등의 건식 성막법이나 잉크 젯 프린팅(ink jet printing), 노즐 프린팅(nozzle printing), 슬롯 코팅(slot coating), 스핀 코팅, 침지 코팅(dip coating), 플로우 코팅 등의 습식 성막법 중의 어느 하나의 방법을 적용할 수 있다.Each layer of the organic electroluminescent device of the present invention is formed using dry film deposition methods such as vacuum deposition, sputtering, plasma, and ion plating, or ink jet printing, nozzle printing, and slot coating. ), any one of wet film forming methods such as spin coating, dip coating, and flow coating can be applied.

습식 성막법의 경우, 각 층을 형성하는 재료를 에탄올, 클로로포름, 테트라하이드로푸란, 디옥산 등의 적절한 용매에 용해 또는 분산시켜 박막을 형성하는데, 그 용매는 각 층을 형성하는 재료가 용해 또는 분산될 수 있고, 성막성에 문제가 없는 것이라면 어느 것이어도 된다.In the case of the wet film forming method, a thin film is formed by dissolving or dispersing the materials forming each layer in an appropriate solvent such as ethanol, chloroform, tetrahydrofuran, or dioxane, and the solvent is used to dissolve or disperse the materials forming each layer. It can be anything, as long as there is no problem with the tabernacle.

본 발명의 유기 전계 발광 소자에서, 상기 발광층의 2종 이상의 도판트 화합물은 공증착 또는 혼합증착된 것일 수 있다. 상기 공증착이란 두가지 이상의 재료를 각각의 개별 도가니 소스에 넣고, 각각의 셀을 동시에 전류를 인가하여 재료를 증발시켜 혼합 증착하는 방식이고, 상기 혼합증착이란 증착 전 두가지 이상의 재료를 하나의 도가니 소스에 혼합한 후, 하나의 셀에 전류를 인가하여 재료를 증발시켜 혼합 증착하는 방식이다.In the organic electroluminescent device of the present invention, two or more types of dopant compounds in the light-emitting layer may be co-deposited or mixed-deposited. The co-deposition is a method of mixing and depositing two or more materials into each individual crucible source and evaporating the materials by simultaneously applying current to each cell. The mixed deposition is mixing two or more materials into one crucible source before deposition. After mixing, current is applied to one cell to evaporate the materials, thereby performing mixed deposition.

또한, 본 발명의 유기 전계 발광 소자를 이용하여 표시 장치 또는 조명 장치를 제조하는 것이 가능하다.Additionally, it is possible to manufacture a display device or lighting device using the organic electroluminescent device of the present invention.

이하에서, 본 발명의 상세한 이해를 위하여 본 발명의 대표 화합물을 들어 본 발명에 따른 유기 전계 발광 소자의 제조방법 및 소자의 발광특성을 설명하나, 이는 단지 그 실시 양태를 예시하기 위한 것일 뿐, 본 발명의 범위를 한정하는 것은 아니다.
Hereinafter, for a detailed understanding of the present invention, the manufacturing method of the organic electroluminescent device according to the present invention and the emission characteristics of the device will be described using representative compounds of the present invention, but this is only for illustrating the embodiment. It does not limit the scope of the invention.

[소자[device실시예Example 1-1] 본 발명에 따른 2종의 1-1] Two types according to the present invention도판트를dopant 포함하는 containingOLEDOLED 소자 제조 device manufacturing

본 발명의 유기 전계 발광 화합물을 이용하여 OLED 소자를 제작하였다. 우선, 투명전극 ITO 박막(10Ω/□)이 올려진 OLED용 글래스(지오마텍사 제조)를, 아세톤, 에탄올, 및 증류수를 순차적으로 사용하여 초음파 세척을 실시한 후, 이소프로판올에 넣어 보관한 후 사용하였다. 다음으로 진공 증착 장비의 기판 홀더에 ITO기판을 장착한 후, 진공 증착장비 내의 셀에HI-1을 넣고 챔버 내의 진공도가 10-6 torr에 도달할 때까지 배기시킨 후, 셀에 전류를 인가하여 증발시켜 ITO 기판 위에 80nm 두께의 정공 주입층 1을 증착하였다. 이어서, 진공 증착 장비 내의 다른 셀에HI-2를 넣고, 셀에 전류를 인가하여 증발시켜 정공 주입층 1위에 5nm 두께의 정공 주입층 2를 증착하였다. 이어서, 진공 증착 장비 내의 다른 셀에HT-1을 넣고, 셀에 전류를 인가하여 증발시켜 정공 주입층 2 위에 10nm 두께의 정공 전달층 1을 증착하였다. 진공 증착 장비 내의 다른 셀에HT-2를 넣고, 셀에 전류를 인가하여 증발시켜 정공 전달층 1 위에 60nm 두께의 정공 전달층 2를 증착하였다. 정공 주입층, 정공 전달층을 형성시킨 후, 그 위에 발광층을 다음과 같이 증착시켰다. 진공 증착 장비 내의 셀에 호스트로서H2-41을 넣고, 또 다른 두개의 셀에는하기 표 1에 기재된도판트 물질을 각각 넣은 후, 호스트 물질을 증발시키고 동시에 도판트 물질을 호스트 물질과는 다른 속도로 증발시켜 호스트와 도판트의 합계량에 대해 도판트를 각각 1.5중량%의 양으로 도핑함으로써 상기 정공 전달층위에 40nm 두께의 발광층을 증착하였다. 이어서, 또다른 셀 두 군데에ET-1EI-1을 1:1의 속도로 증발시켜 발광층 위에 30nm 두께의 전자전달층을 증착하였다. 이어서, 전자주입층으로EI-1을 2nm 두께로 증착한 후, 다른 진공 증착장비를 이용하여 Al 음극을 80nm의 두께로 증착하여 OLED 소자를 제작하였다.An OLED device was manufactured using the organic electroluminescent compound of the present invention. First, OLED glass (manufactured by Geomatec) topped with a transparent electrode ITO thin film (10Ω/□) was ultrasonically cleaned using acetone, ethanol, and distilled water sequentially, and then stored in isopropanol before use. Next, after mounting the ITO substrate on the substrate holder of the vacuum deposition equipment,HI-1 is placed in the cell in the vacuum deposition equipment and the chamber is evacuated until the vacuum degree reaches 10-6 torr, and then a current is applied to the cell. Hole injection layer 1 with a thickness of 80 nm was deposited on the ITO substrate by evaporation. Next,HI-2 was placed in another cell in the vacuum deposition equipment, and a current was applied to the cell to evaporate it, thereby depositing a 5 nm thick hole injection layer 2 on top of the hole injection layer 1. Next,HT-1 was placed in another cell in the vacuum deposition equipment, and a current was applied to the cell to evaporate it, thereby depositing a 10 nm thick hole transport layer 1 on the hole injection layer 2.HT-2 was placed in another cell in the vacuum deposition equipment, and a current was applied to the cell to evaporate it, thereby depositing a 60 nm thick hole transport layer 2 on top of the hole transport layer 1. After forming the hole injection layer and the hole transport layer, a light-emitting layer was deposited thereon as follows.H2-41 was placed as a host in a cell in the vacuum evaporation equipment, andthe dopantmaterialslistedin Table 1 below were placed in two other cells. Then, the host material was evaporated and the dopant material was evaporated at a different rate from the host material. By evaporating and doping each dopant in an amount of 1.5% by weight based on the total amount of host and dopant, a 40 nm thick light emitting layer was deposited on the hole transport layer. Subsequently,ET-1 andEI-1 were evaporated at a rate of 1:1 in two other cells to deposit a 30 nm thick electron transport layer on the light emitting layer. Subsequently,EI-1 was deposited to a thickness of 2 nm as an electron injection layer, and then an Al cathode was deposited to a thickness of 80 nm using another vacuum deposition equipment to manufacture an OLED device.

Figure 112015111869714-pat00084
Figure 112015111869714-pat00084

[[비교예Comparative example 1-1 내지 1-3] 종래의 유기 1-1 to 1-3] Conventional Organic전계electric field 발광 화합물 및 단일 Luminescent compounds and single도판트를dopant 이용한 usedOLEDOLED 소자 제조 device manufacturing

발광층의 도판트로써 하기 표 1에 기재된 도판트만을 사용한 것 외에는 소자 실시예 1-1과 동일한 방법으로 OLED 소자를 제조하였다.An OLED device was manufactured in the same manner as Device Example 1-1, except that only the dopants listed in Table 1 below were used as the dopant of the light emitting layer.

Figure 112015111869714-pat00085
Figure 112015111869714-pat00085

상기 소자 실시예 1-1, 비교예 1-1 내지 1-3 에서 제조한 유기 전계 발광 소자의 평가 결과를 하기 [표 1]에 나타내었다.The evaluation results of the organic electroluminescent devices manufactured in Device Example 1-1 and Comparative Examples 1-1 to 1-3 are shown in Table 1 below.

[표 1][Table 1]

Figure 112015111869714-pat00086
Figure 112015111869714-pat00086

Energy Gap Law라는 법칙에 의하면 발광체의 Energy gap이 작으면 nonradiative decay가 커져 발광 효율에 좋지 않은 영향을 미친다고 알려져 있다. 또한 망막내에 있는 원추세포의 감도가 장파장으로 갈수록 급격히 떨어진다. 따라서 일반적으로 단파장의 발광을 가지는 물질은 고효율을 보이지만, 장파장의 발광을 가지는 물질은 고 효율을 내기가 어렵다. 색순도가 높은 진 적색에 가깝게 도달하기 위해서는 에너지 갭이 더 작아지는 방향으로 갈 수 밖에 없는데 상기 이론과 인체의 색 인식 메커니즘에 의해 진 적색에 가까운 파장을 가지는 물질에서 높은 발광 효율을 기대하기는 어렵게 된다.According to the law called Energy Gap Law, it is known that if the energy gap of the luminous body is small, nonradiative decay increases, which has a negative effect on luminous efficiency. Additionally, the sensitivity of cone cells within the retina decreases sharply toward longer wavelengths. Therefore, in general, materials that emit light at a short wavelength show high efficiency, but materials that emit light at a long wavelength have difficulty producing high efficiency. In order to reach close to deep red with high color purity, there is no choice but to go in the direction of smaller energy gap, but due to the above theory and the human body's color recognition mechanism, it is difficult to expect high luminous efficiency from materials with a wavelength close to deep red. .

따라서, 본 발명에서는 색순도가 높았던 종래에 사용하던 물질과 색좌표는 유사하게 맞추면서 효율이 우수한 소자를 제공하기 위하여 발광 파장이 짧고 효율이 좋은 도판트와, 발광 파장이 길면서 효율이 상대적으로 떨어지는 도펀트를 동시에 사용한 소자를 제작하였다.Therefore, in the present invention, in order to provide a device with excellent efficiency while maintaining color coordinates similar to those of conventionally used materials with high color purity, a dopant with a short emission wavelength and high efficiency and a dopant with a long emission wavelength but relatively low efficiency are used. At the same time, the devices used were manufactured.

실험 결과, 상기 [표 1]에서 보는 바와 같이, D-1 또는 D-29를 단독으로 사용한 비교예 1-1과 1-2의 경우, 색 순도가 높은 진한 적색의 색좌표를 나타냈지만, 효율이 불량하였다. 또한, D-10을 단독으로 사용한 비교예 1-3의 경우, 효율은 우수하였지만 색 순도가 현저히 떨어졌다. 이에 반해, 본 발명에 따른 복수종의 도판트 화합물을 사용한 실시예 1-1에 의하면 진한 적색의 색좌표를 유지하면서(즉, 높은 색순도는 유지하면서) 효율이 더 개선된 소자를 제공할 수 있었다.As a result of the experiment, as shown in [Table 1], Comparative Examples 1-1 and 1-2 using D-1 or D-29 alone showed dark red color coordinates with high color purity, but the efficiency was low. It was defective. In addition, in the case of Comparative Example 1-3 in which D-10 was used alone, the efficiency was excellent, but the color purity was significantly poor. On the other hand, according to Example 1-1 using multiple types of dopant compounds according to the present invention, it was possible to provide a device with further improved efficiency while maintaining a deep red color coordinate (i.e., maintaining high color purity).

Claims (10)

Translated fromKorean
양극, 음극, 및 상기 양극과 상기 음극 사이의 유기물층을 포함하고; 상기 유기물층은 1층 이상의 발광층을 포함하고; 상기 발광층 중 적어도 1층이 하기 화학식 5로 표시되는 1종 이상의 호스트 화합물 및 하기 화학식 1로 표시되는 2종 이상의 도판트 화합물을 포함하는 유기 전계 발광 소자.
[화학식 1]
Figure 112023082956009-pat00087

상기 화학식 1에서,
R1 및 R2는 각각 독립적으로 수소, 치환 또는 비치환된 (C1-C6)알킬, 또는 치환 또는 비치환된 (C6-C30)아릴이고, 단, R1과 R2가 동시에 수소인 경우는 제외하며,
R3 및 R4은 각각 독립적으로 수소, 중수소, 할로겐, 치환 또는 비치환된 (C1-C5)알킬, 또는 치환 또는 비치환된 (C6-C30)아릴이고,
R5 내지 R7은 각각 독립적으로 수소, 치환 또는 비치환된 (C1-C5)알킬, 또는 치환 또는 비치환된 (C6-C30)아릴이며,
a는 0 내지 2의 정수이고, a가 2인 경우, 각각의 R3은 동일하거나 상이할 수 있으며,
b는 0 내지 3의 정수이고, b가 2 이상의 정수인 경우, 각각의 R4은 동일하거나 상이할수 있고;
[화학식 5]

상기 화학식 5에서,
Ma는 치환 또는 비치환된 피롤릴, 치환 또는 비치환된 이미다졸릴, 치환 또는 비치환된 피라졸릴, 치환 또는 비치환된 트리아진일, 치환 또는 비치환된 테트라진일, 치환 또는 비치환된 트리아졸릴, 치환 또는 비치환된 테트라졸릴, 치환 또는 비치환된 피리딜, 치환 또는 비치환된 피라진일, 치환 또는 비치환된 피리미딘일, 치환 또는 비치환된 피리다진일, 치환 또는 비치환된 벤조이미다졸릴, 치환 또는 비치환된 이소인돌릴, 치환 또는 비치환된 인돌릴, 치환 또는 비치환된 인다졸릴, 치환 또는 비치환된 벤조티아디아졸릴, 치환 또는 비치환된 퀴놀릴, 치환 또는 비치환된 이소퀴놀릴, 치환 또는 비치환된 신놀리닐, 치환 또는 비치환된 나프티리디닐, 또는 치환 또는 비치환된 퀴녹살리닐이고;
La는 단일 결합, 또는 치환 또는 비치환된 (C6-C30)아릴렌이고;
R21 내지 R23는 각각 독립적으로 수소, 중수소, 할로겐, 시아노, 치환 또는 비치환된 (C1-C30)알킬, 치환 또는 비치환된 (C2-C30)알케닐, 치환 또는 비치환된 (C2-C30)알키닐, 치환 또는 비치환된 (C3-C30)시클로알킬, 치환 또는 비치환된 (C6-C60)아릴, 치환 또는 비치환된 (3-30원)헤테로아릴, 치환 또는 비치환된 트리(C1-C30)알킬실릴, 치환 또는 비치환된 트리(C6-C30)아릴실릴, 치환 또는 비치환된 디(C1-C30)알킬(C6-C30)아릴실릴, 치환 또는 비치환된 (C1-C30)알킬디(C6-C30)아릴실릴, 치환 또는 비치환된 (C1-C30)알킬(C6-C30)아릴아미노, 또는 치환 또는 비치환된 모노- 또는 디-(C6-C30)아릴아미노이거나; 인접한 치환기끼리 서로 연결되어 치환 또는 비치환된 (C3-C30)단일환 또는 다환의 지환족 또는 방향족 고리를 형성할 수 있으며, 상기 형성된 지환족 또는 방향족 고리의 탄소 원자는 질소, 산소 및 황으로부터 선택되는 하나 이상의 헤테로원자로 대체될 수 있고;
R24는 치환 또는 비치환 (C1-C30)알킬, 치환 또는 비치환 (C6-C30)아릴, 치환 또는 비치환 (3-30원)헤테로아릴, 또는 치환 또는 비치환 (C3-C30)시클로알킬이고;
i 및 k는 각각 독립적으로 1 내지 4의 정수이고; j는 1 내지 2의 정수이고;
i 내지 k가 2 이상의 정수일 경우, 각각의 R21 내지 R23은 동일하거나 상이할 수 있으며;
상기 헤테로아릴은 B, N, O, S, Si 및 P로부터 선택된 하나 이상의 헤테로원자를 포함한다.It includes an anode, a cathode, and an organic layer between the anode and the cathode; The organic material layer includes one or more light-emitting layers; An organic electroluminescent device in which at least one of the light-emitting layers includes one or more host compounds represented by the following formula (5) and two or more dopant compounds represented by the following formula (1).
[Formula 1]
Figure 112023082956009-pat00087

In Formula 1,
R1 and R2 are each independently hydrogen, substituted or unsubstituted (C1-C6)alkyl, or substituted or unsubstituted (C6-C30)aryl, provided that when both R1 and R2 are hydrogen, Except,
R3 and R4 are each independently hydrogen, deuterium, halogen, substituted or unsubstituted (C1-C5)alkyl, or substituted or unsubstituted (C6-C30)aryl,
R5 to R7 are each independently hydrogen, substituted or unsubstituted (C1-C5)alkyl, or substituted or unsubstituted (C6-C30)aryl,
a is an integer from 0 to 2, and when a is 2, each R3 may be the same or different,
b is an integer from 0 to 3, and when b is an integer of 2 or more, each R4 may be the same or different;
[Formula 5]

In Formula 5 above,
Ma is substituted or unsubstituted pyrrolyl, substituted or unsubstituted imidazolyl, substituted or unsubstituted pyrazolyl, substituted or unsubstituted triazinyl, substituted or unsubstituted tetrazinyl, substituted or unsubstituted triazolyl , substituted or unsubstituted tetrazolyl, substituted or unsubstituted pyridyl, substituted or unsubstituted pyrazinyl, substituted or unsubstituted pyrimidinyl, substituted or unsubstituted pyridazinyl, substituted or unsubstituted benzoimi Dazolyl, substituted or unsubstituted isoindolyl, substituted or unsubstituted indolyl, substituted or unsubstituted indazolyl, substituted or unsubstituted benzothiadiazolyl, substituted or unsubstituted quinolyl, substituted or unsubstituted isoquinolyl, substituted or unsubstituted cinnolinyl, substituted or unsubstituted naphthyridinyl, or substituted or unsubstituted quinoxalinyl;
La is a single bond, or substituted or unsubstituted (C6-C30)arylene;
R21 to R23 are each independently hydrogen, deuterium, halogen, cyano, substituted or unsubstituted (C1-C30)alkyl, substituted or unsubstituted (C2-C30)alkenyl, substituted or unsubstituted (C2) -C30)alkynyl, substituted or unsubstituted (C3-C30)cycloalkyl, substituted or unsubstituted (C6-C60)aryl, substituted or unsubstituted (3-30 membered)heteroaryl, substituted or unsubstituted Tri(C1-C30)alkylsilyl, substituted or unsubstituted tri(C6-C30)arylsilyl, substituted or unsubstituted di(C1-C30)alkyl(C6-C30)arylsilyl, substituted or unsubstituted (C1 -C30)alkyldi(C6-C30)arylsilyl, substituted or unsubstituted (C1-C30)alkyl(C6-C30)arylamino, or substituted or unsubstituted mono- or di-(C6-C30)arylamino. This is; Adjacent substituents may be linked to each other to form a substituted or unsubstituted (C3-C30) monocyclic or polycyclic alicyclic or aromatic ring, and the carbon atom of the formed alicyclic or aromatic ring is selected from nitrogen, oxygen and sulfur. may be replaced with one or more heteroatoms;
R24 is substituted or unsubstituted (C1-C30) alkyl, substituted or unsubstituted (C6-C30) aryl, substituted or unsubstituted (3-30 membered) heteroaryl, or substituted or unsubstituted (C3-C30) cycloalkyl. ego;
i and k are each independently an integer of 1 to 4; j is an integer from 1 to 2;
When i to k are integers of 2 or more, each of R21 to R23 may be the same or different;
The heteroaryl contains one or more heteroatoms selected from B, N, O, S, Si and P.제1항에 있어서,
상기 R1 및 R2는 각각 독립적으로 수소, 치환 또는 비치환 (C1-C6)알킬, 또는 치환 또는 비치환 (C6-C15)아릴에서 선택되고, 단, R1과 R2가 동시에 수소인 경우는 제외하고;
상기 R3은 수소, 중수소, 할로겐, 치환 또는 비치환 (C1-C5)알킬, 또는 치환 또는 비치환 (C6-C15)아릴이고;
상기 R4는 수소, 또는 치환 또는 비치환 (C1-C5)알킬이고;
상기 R5 및 R7은 각각 독립적으로 치환 또는 비치환 (C1-C5)알킬, 또는 치환 또는 비치환 (C6-C15)아릴이고;
상기 R6은 수소, 치환 또는 비치환 (C1-C5)알킬, 또는 치환 또는 비치환 (C6-C15)아릴인 유기 전계 발광 소자.
According to paragraph 1,
R1 and R2 are each independently selected from hydrogen, substituted or unsubstituted (C1-C6)alkyl, or substituted or unsubstituted (C6-C15)aryl, provided that R1 and R2 are hydrogen at the same time. Except;
R3 is hydrogen, deuterium, halogen, substituted or unsubstituted (C1-C5)alkyl, or substituted or unsubstituted (C6-C15)aryl;
R4 is hydrogen, or substituted or unsubstituted (C1-C5)alkyl;
R5 and R7 are each independently substituted or unsubstituted (C1-C5)alkyl, or substituted or unsubstituted (C6-C15)aryl;
The organic electroluminescent device wherein R6 is hydrogen, substituted or unsubstituted (C1-C5)alkyl, or substituted or unsubstituted (C6-C15)aryl.
제1항에 있어서,
상기 R1 및 R2는 각각 독립적으로 수소, 비치환 (C1-C6)알킬, 또는 (C1-C6)알킬로 치환 또는 비치환된 (C6-C13)아릴이고;
상기 R3은 수소, 할로겐, 비치환 (C1-C5)알킬, 또는 (C1-C5)알킬로 치환 또는 비치환된 (C6-C13)아릴이고;
상기 R4는 수소 또는 비치환 (C1-C5)알킬이고;
상기 R5 및 R7은 각각 독립적으로 비치환 (C1-C5)알킬이고;
상기 R6는 수소인 유기 전계 발광 소자.
According to paragraph 1,
R1 and R2 are each independently hydrogen, unsubstituted (C1-C6)alkyl, or (C6-C13)aryl unsubstituted or substituted with (C1-C6)alkyl;
R3 is hydrogen, halogen, unsubstituted (C1-C5)alkyl, or (C6-C13)aryl unsubstituted or substituted with (C1-C5)alkyl;
R4 is hydrogen or unsubstituted (C1-C5)alkyl;
R5 and R7 are each independently unsubstituted (C1-C5)alkyl;
The organic electroluminescent device wherein R6 is hydrogen.
제1항에 있어서,
상기 화학식 1로 표시되는 2종 이상의 도판트 화합물 중 제1 도판트 화합물이 R1 내지 R3 중 적어도 하나가 치환 또는 비치환 (C6-C15)아릴인 화학식 1의 화합물이고;
제2 도판트 화합물이 R1 내지 R3이 수소, 또는 치환 또는 비치환 (C1-C5)알킬이고, 단, R1과 R2가 동시에 수소인 경우는 제외하는 화학식 1의 화합물인 유기 전계 발광 소자.
According to paragraph 1,
Among the two or more types of dopant compounds represented by Formula 1, the first dopant compound is a compound of Formula 1 wherein at least one of R1 to R3 is substituted or unsubstituted (C6-C15)aryl;
Organic electroluminescence wherein the second dopant compound is a compound of formula 1 where R1 to R3 are hydrogen or substituted or unsubstituted (C1-C5)alkyl, except for the case where R1 and R2 are hydrogen at the same time. device.
제1항에 있어서, 상기 화학식 1의 도판트 화합물이 하기에서 선택되는, 유기 전계 발광 소자.
Figure 112015111869714-pat00088

Figure 112015111869714-pat00089

Figure 112015111869714-pat00090

Figure 112015111869714-pat00091

Figure 112015111869714-pat00092

Figure 112015111869714-pat00093

Figure 112015111869714-pat00094

Figure 112015111869714-pat00095
The organic electroluminescent device according to claim 1, wherein the dopant compound of Formula 1 is selected from the following.
Figure 112015111869714-pat00088

Figure 112015111869714-pat00089

Figure 112015111869714-pat00090

Figure 112015111869714-pat00091

Figure 112015111869714-pat00092

Figure 112015111869714-pat00093

Figure 112015111869714-pat00094

Figure 112015111869714-pat00095
삭제delete제1항에 있어서,
상기 La는 단일 결합, 치환 또는 비치환된 페닐렌, 치환 또는 비치환된 나프틸렌, 또는 치환 또는 비치환된 비페닐렌인, 유기 전계 발광 소자.
According to paragraph 1,
Wherein La is a single bond, substituted or unsubstituted phenylene, substituted or unsubstituted naphthylene, or substituted or unsubstituted biphenylene, an organic electroluminescent device.
삭제delete제1항에 있어서, 상기 화학식 5의 호스트 화합물이 하기에서 선택되는, 유기 전계 발광 소자.

Figure 112023082956009-pat00103

Figure 112023082956009-pat00104

Figure 112023082956009-pat00105










The organic electroluminescent device according to claim 1, wherein the host compound of Formula 5 is selected from the following.

Figure 112023082956009-pat00103

Figure 112023082956009-pat00104

Figure 112023082956009-pat00105










삭제delete
KR1020150160952A2014-11-182015-11-17A plurality of dopant materials and organic electroluminescent device comprising the sameActiveKR102603350B1 (en)

Priority Applications (1)

Application NumberPriority DateFiling DateTitle
PCT/KR2015/012380WO2016080749A1 (en)2014-11-182015-11-18A plurality of dopant materials and organic electroluminescent device comprising the same

Applications Claiming Priority (2)

Application NumberPriority DateFiling DateTitle
KR10201401606522014-11-18
KR201401606522014-11-18

Publications (2)

Publication NumberPublication Date
KR20160059437A KR20160059437A (en)2016-05-26
KR102603350B1true KR102603350B1 (en)2023-11-21

Family

ID=56104778

Family Applications (1)

Application NumberTitlePriority DateFiling Date
KR1020150160952AActiveKR102603350B1 (en)2014-11-182015-11-17A plurality of dopant materials and organic electroluminescent device comprising the same

Country Status (1)

CountryLink
KR (1)KR102603350B1 (en)

Families Citing this family (2)

* Cited by examiner, † Cited by third party
Publication numberPriority datePublication dateAssigneeTitle
KR102606391B1 (en)*2015-02-122023-11-27롬엔드하스전자재료코리아유한회사Organic Electroluminescent Compounds and Organic Electroluminescent Device Comprising the Same
KR102441870B1 (en)*2017-08-252022-09-13솔루스첨단소재 주식회사 Organic compound and organic electroluminescent device comprising same

Citations (1)

* Cited by examiner, † Cited by third party
Publication numberPriority datePublication dateAssigneeTitle
CN102703059A (en)*2012-05-312012-10-03吉林奥来德光电材料股份有限公司Phosphorescent luminescent materials and preparation method and application thereof

Family Cites Families (5)

* Cited by examiner, † Cited by third party
Publication numberPriority datePublication dateAssigneeTitle
US9130177B2 (en)*2011-01-132015-09-08Universal Display Corporation5-substituted 2 phenylquinoline complexes materials for light emitting diode
CN103087109B (en)2007-03-082015-10-28通用显示公司Phosphor material
TWI482756B (en)2008-09-162015-05-01Universal Display Corp Phosphorescent substance
KR101597855B1 (en)2008-10-232016-02-25유니버셜 디스플레이 코포레이션Organic light emitting device and materials for use in same
KR102056802B1 (en)*2012-09-282019-12-18에스에프씨 주식회사Organic metal compound and organic electroluminescent device comprising the same

Patent Citations (1)

* Cited by examiner, † Cited by third party
Publication numberPriority datePublication dateAssigneeTitle
CN102703059A (en)*2012-05-312012-10-03吉林奥来德光电材料股份有限公司Phosphorescent luminescent materials and preparation method and application thereof

Also Published As

Publication numberPublication date
KR20160059437A (en)2016-05-26

Similar Documents

PublicationPublication DateTitle
KR102660550B1 (en)A plurality of host materials and an organic electroluminescent device comprising the same
KR102849709B1 (en)Multi-component host material and organic electroluminescent device comprising the same
KR102445503B1 (en)Multi-component host material and an organic electroluminescence device comprising the same
KR102357467B1 (en)Organic Electroluminescence Device
KR102613166B1 (en)A plurality of host materials and organic electroluminescent device comprising the same
KR102502306B1 (en)Organic Electroluminescence Device
KR102809315B1 (en)Organic electroluminescent material and organic electroluminescent device comprising the same
KR102593644B1 (en)A plurality of host materials and an organic electroluminescent device comprising the same
KR102395933B1 (en)Multi-component host material and organic electroluminescent device comprising the same
KR102359412B1 (en)Organic electroluminescent compound and organic electroluminescent device comprising the same
KR102409002B1 (en)A plurality of host materials and organic electroluminescence devices comprising the same
KR102667927B1 (en)A plurality of host materials and organic electroluminescent device comprising the same
KR20160010373A (en)Organic Electroluminescence Device
KR20150124902A (en)Multi-Component Host Material and Organic Electroluminescent Device Comprising the Same
KR20230070192A (en)A Novel Combination of a Host Compound and a Dopant Compound and an Organic Electroluminescent Device Comprising the Same
JP2017538284A (en) Multiple host materials and organic electroluminescent devices comprising the same
KR102837349B1 (en)Luminescent Material for Delayed Fluorescence and Organic Electroluminescent Device Comprising the Same
KR102863646B1 (en)Organic electroluminescent material and organic electroluminescent device comprising the same
KR20160006617A (en)An Organic Electroluminescent Compound and An Organic Electroluminescent Device Comprising the Same
KR20170129599A (en)Organic electroluminescent compound, organic electroluminescent material and organic electroluminescent device comprising the same
KR20170052487A (en)A plurality of host materials and organic electroluminescent device comprising the same
KR20170070826A (en)Organic electroluminescent compound and organic electroluminescent device comprising the same
WO2018062758A9 (en)Organic electroluminescent material and organic electroluminescent device comprising the same
KR20190010419A (en)Organic Electroluminescent Compound and Organic Electroluminescent Device Comprising the Same
KR102603350B1 (en)A plurality of dopant materials and organic electroluminescent device comprising the same

Legal Events

DateCodeTitleDescription
PA0109Patent application

St.27 status event code:A-0-1-A10-A12-nap-PA0109

PG1501Laying open of application

St.27 status event code:A-1-1-Q10-Q12-nap-PG1501

P22-X000Classification modified

St.27 status event code:A-2-2-P10-P22-nap-X000

A201Request for examination
PA0201Request for examination

St.27 status event code:A-1-2-D10-D11-exm-PA0201

E902Notification of reason for refusal
PE0902Notice of grounds for rejection

St.27 status event code:A-1-2-D10-D21-exm-PE0902

P22-X000Classification modified

St.27 status event code:A-2-2-P10-P22-nap-X000

T11-X000Administrative time limit extension requested

St.27 status event code:U-3-3-T10-T11-oth-X000

AMNDAmendment
E13-X000Pre-grant limitation requested

St.27 status event code:A-2-3-E10-E13-lim-X000

P11-X000Amendment of application requested

St.27 status event code:A-2-2-P10-P11-nap-X000

P13-X000Application amended

St.27 status event code:A-2-2-P10-P13-nap-X000

P22-X000Classification modified

St.27 status event code:A-2-2-P10-P22-nap-X000

P22-X000Classification modified

St.27 status event code:A-2-2-P10-P22-nap-X000

E601Decision to refuse application
PE0601Decision on rejection of patent

St.27 status event code:N-2-6-B10-B15-exm-PE0601

T11-X000Administrative time limit extension requested

St.27 status event code:U-3-3-T10-T11-oth-X000

T13-X000Administrative time limit extension granted

St.27 status event code:U-3-3-T10-T13-oth-X000

AMNDAmendment
E13-X000Pre-grant limitation requested

St.27 status event code:A-2-3-E10-E13-lim-X000

P11-X000Amendment of application requested

St.27 status event code:A-2-2-P10-P11-nap-X000

P13-X000Application amended

St.27 status event code:A-2-2-P10-P13-nap-X000

PX0901Re-examination

St.27 status event code:A-2-3-E10-E12-rex-PX0901

PX0701Decision of registration after re-examination

St.27 status event code:A-3-4-F10-F13-rex-PX0701

X701Decision to grant (after re-examination)
GRNTWritten decision to grant
PR0701Registration of establishment

St.27 status event code:A-2-4-F10-F11-exm-PR0701

PR1002Payment of registration fee

St.27 status event code:A-2-2-U10-U11-oth-PR1002

Fee payment year number:1

PG1601Publication of registration

St.27 status event code:A-4-4-Q10-Q13-nap-PG1601

PN2301Change of applicant

St.27 status event code:A-5-5-R10-R13-asn-PN2301

St.27 status event code:A-5-5-R10-R11-asn-PN2301

P22-X000Classification modified

St.27 status event code:A-4-4-P10-P22-nap-X000


[8]ページ先頭

©2009-2025 Movatter.jp