

















본 발명의 실시예들은 터치패널 및 이를 포함하는 플렉서블 터치표시장치에 관한 것이다.Embodiments of the present invention relate to a touch panel and a flexible touch display device including the same.
정보화 사회가 발전함에 따라 화상을 표시하기 위한 표시장치에 대한 요구가 다양한 형태로 증가하고 있으며, 근래에는 액정표시장치, 플라즈마 표시장치, 유기발광표시장치 등과 같은 여러 가지 표시장치가 활용되고 있다.As the information society develops, the demand for a display device for displaying an image is increasing in various forms, and in recent years, various display devices such as a liquid crystal display device, a plasma display device, and an organic light emitting display device are utilized.
이러한 표시장치 중에는, 버튼, 키보드, 마우스 등의 통상적인 입력방식에서 탈피하여, 사용자가 손쉽게 정보 혹은 명령을 직관적이고 편리하게 입력할 수 있도록 해주는 터치 기반의 입력방식을 제공하는 터치표시장치가 있다.Among these display devices, there is a touch display device that provides a touch-based input method that allows a user to easily and intuitively and conveniently input information or commands by breaking away from a conventional input method such as a button, a keyboard, and a mouse.
이러한 터치표시장치가 터치 기반의 입력 방식을 제공하기 위해서는, 사용자의 터치 유무를 파악하고 터치 좌표를 정확하게 검출할 수 있어야 한다.In order for such a touch display device to provide a touch-based input method, it is necessary to detect the presence or absence of a user's touch and accurately detect the touch coordinates.
이를 위해, 여러 가지의 터치 센싱 방식 중, 다수의 터치전극에 형성되는 캐패시턴스의 변화를 토대로 터치 유무 및 터치 좌표 등을 검출하는 캐패시턴스 기반의 터치 센싱 방식이 많이 이용되고 있다.To this end, among various touch sensing methods, a capacitance-based touch sensing method that detects the presence or absence of a touch and touch coordinates based on a change in capacitance formed on a plurality of touch electrodes is widely used.
터치표시장치의 터치패널에는 다수의 터치전극과 다수의 터치배선이 위치하고, 이러한 터치패널에는 여러 개의 터치전극들이 복잡한 형태로 배치되기 때문에, 터치패널 또는 터치패널을 내장하는 표시패널 등의 전극 패턴 구조에 따라 불필요한 기생 캐패시턴스가 발생하는 문제점이 발생하고 있다.A plurality of touch electrodes and a plurality of touch wirings are located on the touch panel of the touch display device, and since the plurality of touch electrodes are arranged in a complex shape on such a touch panel, an electrode pattern structure such as a touch panel or a display panel having a built-in touch panel Accordingly, there is a problem in that unnecessary parasitic capacitance is generated.
또한, 최근 터치표시장치는 스마트폰과 태블릿 PC와 같은 모바일 기기뿐만 아니라 TV(Television), 자동차 디스플레이, 웨어러블(wearable) 기기 등 다양한 분야에 적용되고 있다. 다양한 분야에 적용되기 위해, 구조적 변형이 요구되고 있으며, 그 중 벤딩(bending) 가능한 플렉서블 터치표시장치가 각광받고 있다.In addition, recently, the touch display device has been applied to various fields such as a TV (Television), an automobile display, and a wearable device, as well as a mobile device such as a smart phone and a tablet PC. In order to be applied to various fields, structural modifications are required, and among them, a flexible touch display device capable of bending is in the spotlight.
그러나, 벤딩 가능한 플렉서블 터치표시장치에서 제2 유전율층들이 적층된 영역에서는 플렉서블 터치표시장치 벤딩 시 제2 유전율층들 내에 압축응력(compressive stress)이 크게 발생하여, 파손이 발생할 수 있다.However, in the area where the second dielectric constant layers are stacked in the bendable flexible touch display device, when the flexible touch display device is bent, a compressive stress may be generated in the second dielectric constant layers to cause damage.
또한, 이러한 플렉서블 터치표시장치의 터치패널은 표시패널 상에 부착되거나 표시패널 내에 내장될 수 있다. 여기서 표시패널은 액정표시패널, 플라즈마 표시패널, 유기발광 표시패널 중 어느 하나 일 수 있는데, 이 중 표시패널이 유기발광 표시패널일 경우, 유기발광 표시패널에 구비된 유기발광소자가 수분과 공기에 매우 취약하다는 문제가 있다.In addition, the touch panel of the flexible touch display device may be attached to the display panel or embedded in the display panel. Here, the display panel may be any one of a liquid crystal display panel, a plasma display panel, and an organic light emitting display panel. Among them, when the display panel is an organic light emitting display panel, the organic light emitting device provided in the organic light emitting display panel is exposed to moisture and air. The problem is that it is very vulnerable.
이러한 배경에서, 본 발명의 실시예들의 목적은 터치 전극과 유기발광소자의 전극 사이의 기생 커패시턴스를 줄일 수 있는 구조를 갖는 터치패널 및 플렉서블 터치표시장치를 제공하는 데 있다.Against this background, an object of the embodiments of the present invention is to provide a touch panel and a flexible touch display device having a structure capable of reducing parasitic capacitance between a touch electrode and an electrode of an organic light emitting device.
본 발명의 실시예들의 다른 목적은 벤딩 가능한 플렉서블 터치표시장치에서 제2 유전율층의 파손이 발생하는 것을 방지할 수 있는 구조를 갖는 터치패널 및 플렉서블 터치표시장치를 제공하는 데 있다.Another object of the embodiments of the present invention is to provide a touch panel and a flexible touch display device having a structure capable of preventing the second dielectric constant layer from being damaged in a bendable flexible touch display device.
본 발명의 실시예들의 또 다른 목적은 유기발광소자에 수분 및 공기가 침투되는 것을 방지할 수 있는 구조를 갖는 터치패널 및 플렉서블 터치표시장치를 제공하는 데 있다.Another object of the embodiments of the present invention is to provide a touch panel and a flexible touch display device having a structure that can prevent moisture and air from penetrating into an organic light emitting diode.
일 측면에서, 본 발명의 실시예들은, 기판 상에 배치되고, 제1 전극, 발광층 및 제2 전극을 포함하는 유기발광소자, 유기발광소자 상에 배치된 봉지층, 봉지층 상에 배치되고, 두 층 이상을 포함하는 응력이완부재, 응력이완부재 상에 배치된 다수의 터치 전극 및 다수의 터치 전극 중 적어도 하나로 터치 구동 신호를 공급하고, 상기 터치 구동 신호에 응답하여 터치 유무 및 터치 위치 중 적어도 하나를 감지하는 터치 센싱 회로를 포함하고, 상기 응력이완부재는 적어도 하나의 제1 유전율층과 적어도 하나의 제2 유전율층을 포함하고, 적어도 하나의 제1 유전율층은 적어도 하나의 제2 유전율층과 다른 비유전율을 갖는다.In one aspect, embodiments of the present invention are disposed on a substrate, an organic light emitting device including a first electrode, a light emitting layer and a second electrode, an encapsulation layer disposed on the organic light emitting device, disposed on the encapsulation layer, A touch driving signal is supplied to at least one of a stress relaxation member including two or more layers, a plurality of touch electrodes disposed on the stress relaxation member, and a plurality of touch electrodes, and in response to the touch driving signal, at least one of a touch presence and a touch position a touch sensing circuit for sensing one, wherein the stress relaxation member includes at least one first dielectric constant layer and at least one second dielectric constant layer, wherein the at least one first dielectric constant layer includes at least one second dielectric constant layer and has a different dielectric constant.
이러한 플렉서블 터치표시장치는 벤딩 가능하고, 응력이완부재는 플렉서블 터치표시장치가 벤딩 가능한 영역에 위치할 수 있다.The flexible touch display device may be bendable, and the stress relaxation member may be positioned in a bendable region of the flexible touch display device.
봉지층은 적어도 하나의 유기절연층과 적어도 하나의 무기절연층을 포함하고, 다수의 터치 전극과 유기발광소자의 제2 전극 사이에는 봉지층과, 응력이완부재가 배치될 수 있다.The encapsulation layer may include at least one organic insulating layer and at least one inorganic insulating layer, and an encapsulation layer and a stress relaxation member may be disposed between the plurality of touch electrodes and the second electrode of the organic light emitting device.
기판 상에는 유기발광소자의 제2 전극이 배치된 영역의 외곽 영역에 적어도 하나의 댐이 배치되고, 댐 상에는 봉지층의 적어도 하나의 무기절연층과 응력이완부재가 배치될 수 있다.At least one dam may be disposed on the substrate in an outer region of a region where the second electrode of the organic light emitting device is disposed, and at least one inorganic insulating layer of an encapsulation layer and a stress relaxation member may be disposed on the dam.
그리고, 터치 전극에 전기적으로 연결된 터치 라인을 더 포함하고, 터치 라인은 댐 상을 지나 기판에서 댐의 외곽에 위치하는 패드부와 전기적으로 연결되고, 터치 라인과 응력이완부재는 댐 상에 중첨될 수 있다.And, it further includes a touch line electrically connected to the touch electrode, the touch line passes over the dam and is electrically connected to the pad portion positioned on the outside of the dam on the substrate, and the touch line and the stress relaxation member are superimposed on the dam. can
다른 측면에서, 본 발명의 실시예들은, 기판 상에 배치된 유기발광소자, 기판 상에 배치되고, 유기발광소자의 외곽에 배치된 적어도 하나의 댐, 기판 상에 배치되고, 적어도 하나의 무기절연층과 적어도 하나의 유기절연층을 포함하는 봉지층, 봉지층 상에 배치되고, 적어도 하나의 제1 유전율층과 적어도 하나의 제2 유전율층을 포함하는 응력이완부재 및 응력이완부재 상에 배치된 다수의 터치 전극을 포함하고, 응력이완부재는 적어도 하나의 제1 유전율층을 포함하고, 댐 상에는 상기 봉지층의 적어도 하나의 무기절연층과 응력이완부재가 배치될 수 있다.In another aspect, embodiments of the present invention, an organic light emitting device disposed on a substrate, disposed on the substrate, at least one dam disposed outside the organic light emitting device, disposed on the substrate, at least one inorganic insulating an encapsulation layer comprising a layer and at least one organic insulating layer, disposed on the encapsulation layer, and disposed on the stress relaxation member and the stress relaxation member including at least one first dielectric constant layer and at least one second dielectric constant layer It may include a plurality of touch electrodes, the stress relaxation member may include at least one first dielectric constant layer, and at least one inorganic insulating layer of the encapsulation layer and a stress relaxation member may be disposed on the dam.
이상에서 전술한 본 발명의 실시예들에 의하면, 터치 전극과 유기발광소자의 전극 사이의 기생 커패시턴스를 줄일 수 있는 구조를 갖는 터치패널 및 플렉서블 터치표시장치를 제공할 수 있다.According to the above-described embodiments of the present invention, it is possible to provide a touch panel and a flexible touch display device having a structure capable of reducing parasitic capacitance between the touch electrode and the electrode of the organic light emitting device.
본 발명의 다른 실시예들에 의하면, 벤딩 가능한 플렉서블 터치표시장치에서 제2 유전율층의 파손이 발생하는 것을 방지할 수 있는 구조를 갖는 터치패널 및 플렉서블 터치표시장치를 제공할 수 있다.According to other embodiments of the present invention, it is possible to provide a touch panel and a flexible touch display device having a structure capable of preventing the second dielectric constant layer from being damaged in a bendable flexible touch display device.
본 발명의 또 다른 실시예들에 의하면, 유기발광소자에 수분 및 공기가 침투되는 것을 방지할 수 있는 구조를 갖는 터치패널 및 플렉서블 터치표시장치를 제공할 수 있다.According to still other embodiments of the present invention, it is possible to provide a touch panel and a flexible touch display device having a structure that can prevent moisture and air from penetrating into the organic light emitting diode.
도 1은 본 발명의 실시예들에 따른 플렉서블 터치표시장치의 시스템 구성도이다.
도 2 및 도 3은 본 발명의 실시예들에 따른 플렉서블 터치표시장치가 뮤추얼-커패시턴스 기반의 터치 센싱 방식으로 터치를 센싱하는 경우, 터치패널(TSP)의 예시도이다.
도 4는 본 발명의 실시예들에 따른 플렉서블 터치표시장치가 셀프-커패시턴스 기반의 터치 센싱 방식으로 터치를 센싱하는 경우, 터치패널(TSP)의 예시도이다.
도 5는 본 발명의 실시예들에 따른 플렉서블 터치표시장치에서, 터치패널(TSP)에 배치된 비 메쉬 타입(Non-mesh type)의 터치 전극(TE)을 나타낸 도면이다.
도 6은 본 발명의 실시예들에 따른 플렉서블 터치표시장치에서, 터치패널(TSP)에 배치된 메쉬 타입(Mesh type)의 터치 전극을 나타낸 도면이다.
도 7은 본 발명의 실시예들에 따른 플렉서블 터치표시장치에서, 터치패널(TSP)에 배치된 메쉬 타입의 터치 전극(TE)과 서브픽셀(Sub Pixel) 간의 대응 관계를 설명하기 위한 도면이다.
도 8 및 도 9는 본 발명의 실시예들에 따른 표시패널의 서브픽셀 회로를 나타낸 도면이다.
도 10은 본 발명의 실시예들에 따른 표시패널에서 터치 전극의 위치를 나타낸 도면이다.
도 11은 본 발명의 실시예들에 따른 플렉서블 터치표시장치에서 터치 전극과 제2전극 간의 기생 커패시턴스와 이에 의한 터치 감도 영향을 나타낸 도면이다.
도 12는 본 발명의 실시예들예 따른 플렉서블 터치표시장치의 단면도이다.
도 13은 본 발명의 실시예들에 따른 플렉서블 터치표시장치에서 제2 전극과 터치 전극 사이의 기생 커패시턴스와 제2 전극과 터치 전극 사이의 거리(또는 두께)의 상관관계를 나타낸 도면이다.
도 14는 본 발명의 실시예들에 따른 응력이완부재를 도시한 도면이다.
도 15는 본 발명의 다른 실시예들에 따른 플렉서블 터치표시장치의 단면도이다.
도 16은 본 발명의 또 다른 플렉서블 터치표시장치의 단면도이다.
도 17은 본 발명의 다른 실시예들에 따른 응력이완부재를 도시한 도면이다.
도 18은 본 발명의 실시예들에 따른 플렉서블 터치표시장치가 적어도 하나의 벤딩 영역을 포함한 구성을 도시한 사시도이다.1 is a system configuration diagram of a flexible touch display device according to embodiments of the present invention.
 2 and 3 are exemplary views of a touch panel TSP when a flexible touch display device according to embodiments of the present invention senses a touch using a mutual-capacitance-based touch sensing method.
 4 is an exemplary diagram of a touch panel TSP when the flexible touch display device according to embodiments of the present invention senses a touch using a self-capacitance-based touch sensing method.
 5 is a diagram illustrating a non-mesh type touch electrode TE disposed on a touch panel TSP in a flexible touch display device according to embodiments of the present invention.
 6 is a diagram illustrating a mesh type touch electrode disposed on a touch panel TSP in a flexible touch display device according to embodiments of the present invention.
 FIG. 7 is a diagram for explaining a correspondence relationship between a mesh-type touch electrode TE disposed on a touch panel TSP and a sub-pixel in a flexible touch display device according to embodiments of the present invention.
 8 and 9 are diagrams illustrating sub-pixel circuits of a display panel according to embodiments of the present invention.
 10 is a diagram illustrating a position of a touch electrode in a display panel according to embodiments of the present invention.
 FIG. 11 is a diagram illustrating a parasitic capacitance between a touch electrode and a second electrode and an effect on touch sensitivity thereby in a flexible touch display device according to embodiments of the present invention.
 12 is a cross-sectional view of a flexible touch display device according to embodiments of the present invention.
 13 is a diagram illustrating a correlation between a parasitic capacitance between a second electrode and a touch electrode and a distance (or thickness) between the second electrode and the touch electrode in a flexible touch display device according to embodiments of the present invention.
 14 is a view showing a stress relaxation member according to embodiments of the present invention.
 15 is a cross-sectional view of a flexible touch display device according to other embodiments of the present invention.
 16 is a cross-sectional view of another flexible touch display device of the present invention.
 17 is a view showing a stress relaxation member according to another embodiment of the present invention.
 18 is a perspective view illustrating a configuration in which a flexible touch display device according to embodiments of the present invention includes at least one bending area.
이하, 본 발명의 일부 실시예들을 예시적인 도면을 참조하여 상세하게 설명한다. 각 도면의 구성요소들에 참조부호를 부가함에 있어서, 동일한 구성요소들에 대해서는 비록 다른 도면상에 표시되더라도 가능한 한 동일한 부호를 가질 수 있다. 또한, 본 발명을 설명함에 있어, 관련된 공지 구성 또는 기능에 대한 구체적인 설명이 본 발명의 요지를 흐릴 수 있다고 판단되는 경우에는 그 상세한 설명은 생략할 수 있다.Hereinafter, some embodiments of the present invention will be described in detail with reference to exemplary drawings. In adding reference numerals to components of each drawing, the same components may have the same reference numerals as much as possible even though they are indicated in different drawings. In addition, in describing the present invention, when it is determined that a detailed description of a related known configuration or function may obscure the gist of the present invention, the detailed description may be omitted.
또한, 본 발명의 구성 요소를 설명하는 데 있어서, 제 1, 제 2, A, B, (a), (b) 등의 용어를 사용할 수 있다. 이러한 용어는 그 구성 요소를 다른 구성 요소와 구별하기 위한 것일 뿐, 그 용어에 의해 해당 구성 요소의 본질, 차례, 순서 또는 개수 등이 한정되지 않는다. 어떤 구성 요소가 다른 구성요소에 "연결", "결합" 또는 "접속"된다고 기재된 경우, 그 구성 요소는 그 다른 구성요소에 직접적으로 연결되거나 또는 접속될 수 있지만, 각 구성 요소 사이에 다른 구성 요소가 "개재"되거나, 각 구성 요소가 다른 구성 요소를 통해 "연결", "결합" 또는 "접속"될 수도 있다고 이해되어야 할 것이다.In addition, in describing the components of the present invention, terms such as first, second, A, B, (a), (b), etc. may be used. These terms are only for distinguishing the elements from other elements, and the essence, order, order, or number of the elements are not limited by the terms. When it is described that a component is “connected”, “coupled” or “connected” to another component, the component may be directly connected or connected to the other component, but other components may be interposed between each component. It should be understood that each component may be “interposed” or “connected,” “coupled,” or “connected” through another component.
소자(element) 또는 층이 다른 소자 또는 "위(on)" 또는 "상(on)"으로 지칭되는 것은 다른 소자 또는 층의 바로 위뿐만 아니라 중간에 다른 층 또는 다른 소자를 개재한 경우를 모두 포함한다. 반면, 소자가 "직접 위(directly on)" 또는 "바로 위"로 지칭되는 것은 중간에 다른 소자 또는 층을 개재하지 않는 것을 나타낸다.Reference to an element or layer to another element or “on” or “on” includes not only directly on the other element or layer, but also with other layers or other elements interposed therebetween. do. On the other hand, reference to an element "directly on" or "directly on" indicates that there are no intervening elements or layers.
공간적으로 상대적인 용어인 "아래(below, beneath)", "하부 (lower)", "위(above)", "상부(upper)" 등은 도면에 도시되어 있는 바와 같이 하나의 소자 또는 구성 요소들과 다른 소자 또는 구성 요소들과의 상관관계를 용이하게 기술하기 위해 사용될 수 있다. 공간적으로 상대적인 용어는 도면에 도시되어 있는 방향에 더하여 사용시 또는 동작 시 소자의 서로 다른 방향을 포함하는 용어로 이해 되어야 한다. 예를 들면, 도면에 도시되어 있는 소자를 뒤집을 경우, 다른 소자의 "아래(below)" 또는 "아래(beneath)"로 기술된 소자는 다른 소자의 "위(above)"에 놓여질 수 있다. 따라서, 예시적인 용어인 "아래"는 아래와 위의 방향을 모두 포함 할 수 있다.The spatially relative terms "below, beneath", "lower", "above", "upper", etc. are one element or component as shown in the drawings. and can be used to easily describe the correlation with other devices or components. Spatially relative terms should be understood as terms including different directions of the device during use or operation in addition to the directions shown in the drawings. For example, when an element shown in the figures is turned over, an element described as "beneath" or "beneath" another element may be placed "above" the other element. Accordingly, the exemplary term “below” may include both directions below and above.
또한, 본 발명의 구성 요소를 설명하는 데 있어서, 제 1, 제 2, A, B, (a), (b) 등의 용어를 사용할 수 있다. 이러한 용어는 그 구성 요소를 다른 구성 요소와 구별하기 위한 것일 뿐, 그 용어에 의해 해당 구성 요소의 본질, 차례, 순서 또는 개수 등이 한정되지 않는다.In addition, in describing the components of the present invention, terms such as first, second, A, B, (a), (b), etc. may be used. These terms are only for distinguishing the elements from other elements, and the essence, order, order, or number of the elements are not limited by the terms.
도 1은 본 발명의 실시예들에 따른 플렉서블 터치표시장치의 시스템 구성도이다.1 is a system configuration diagram of a flexible touch display device according to embodiments of the present invention.
도 1을 참조하면, 본 발명의 실시예들에 따른 플렉서블 터치표시장치는 영상을 표시하기 위한 영상 표시 기능과, 사용자의 터치를 센싱하는 터치 센싱 기능을 제공할 수 있다.Referring to FIG. 1 , a flexible touch display device according to embodiments of the present invention may provide an image display function for displaying an image and a touch sensing function for sensing a user's touch.
본 발명의 실시예들에 따른 플렉서블 터치표시장치는, 영상 표시를 위해, 데이터 라인들과 게이트 라인들이 배치되는 표시패널(DISP)과, 표시패널(DISP)을 구동하기 위한 디스플레이 구동 회로 등을 포함할 수 있다.A flexible touch display device according to embodiments of the present invention includes a display panel DISP on which data lines and gate lines are disposed for displaying an image, a display driving circuit for driving the display panel DISP, and the like. can do.
디스플레이 구동 회로는, 데이터 라인들을 구동하기 위한 데이터 구동 회로(DDC)와, 게이트 라인들을 구동하기 위한 게이트 구동 회로(GDC)와, 데이터 구동 회로(DDC) 및 게이트 구동 회로(GDC)를 제어하기 위한 디스플레이 컨트롤러(D-CTR) 등을 포함할 수 있다.The display driving circuit includes a data driving circuit DDC for driving the data lines, a gate driving circuit GDC for driving the gate lines, and a data driving circuit DDC and for controlling the gate driving circuit GDC. It may include a display controller (D-CTR) and the like.
본 발명의 실시예들에 따른 플렉서블 터치표시장치는, 터치 센싱을 위해, 터치 센서(Touch Sensor)로서 다수의 터치 전극들(TE)이 배치된 터치패널(TSP)과, 터치패널(TSP)의 구동 및 센싱 처리를 수행하는 터치 센싱 회로(TSC) 등을 포함할 수 있다.A flexible touch display device according to embodiments of the present invention includes a touch panel TSP on which a plurality of touch electrodes TE are disposed as a touch sensor, and a touch panel TSP for touch sensing. It may include a touch sensing circuit (TSC) that performs driving and sensing processing, and the like.
터치 센싱 회로(TSC)는 터치패널(TSP)을 구동하기 위하여 터치패널(TSP)로 구동 신호를 공급하고, 터치패널(TSP)로부터 센싱 신호를 검출하고, 이를 토대로, 터치유무 및/또는 터치위치(터치좌표)를 센싱한다.The touch sensing circuit TSC supplies a driving signal to the touch panel TSP in order to drive the touch panel TSP, detects a sensing signal from the touch panel TSP, and based on this, touch presence and/or touch position (touch coordinates) is sensed.
이러한 터치 센싱 회로(TSC)는 구동 신호를 공급하고 센싱 신호를 수신하는 터치 구동 회로(TDC)와, 터치유무 및/또는 터치위치(터치좌표)를 산출하는 터치 컨트롤러(T-CTR) 등을 포함하여 구현될 수도 있다.The touch sensing circuit (TSC) includes a touch driving circuit (TDC) for supplying a driving signal and receiving a sensing signal, and a touch controller (T-CTR) for calculating the presence/absence of a touch and/or a touch position (touch coordinates), etc. may be implemented.
터치 센싱 회로(TSC)는 하나 또는 둘 이상의 부품(예: 집적회로)으로 구현될 수 있으며, 디스플레이 구동 회로와 별도로 구현될 수도 있다.The touch sensing circuit TSC may be implemented as one or more components (eg, an integrated circuit), and may be implemented separately from the display driving circuit.
또한, 터치 센싱 회로(TSC)의 전체 또는 일부는, 디스플레이 구동 회로 또는 그 내부 회로 중 하나 이상과 통합되어 구현될 수 있다. 예를 들어, 터치 센싱 회로(TSC)의 터치 구동 회로(TDC)는 디스플레이 구동 회로의 데이터 구동 회로(DDC)와 함께 집적회로로 구현될 수 있다.In addition, all or part of the touch sensing circuit TSC may be implemented by being integrated with one or more of a display driving circuit or an internal circuit thereof. For example, the touch driving circuit TDC of the touch sensing circuit TSC may be implemented as an integrated circuit together with the data driving circuit DDC of the display driving circuit.
한편, 본 발명의 실시예들에 따른 플렉서블 터치표시장치는 터치 전극들(TE, 터치센서들)에 형성되는 커패시턴스(Capacitance)에 기반하여 터치를 센싱할 수 있다.Meanwhile, the flexible touch display device according to embodiments of the present invention may sense a touch based on capacitance formed in the touch electrodes TE (touch sensors).
본 발명의 실시예들에 따른 플렉서블 터치표시장치는 커패시턴스 기반의 터치 센싱 방식으로서, 뮤추얼-커패시턴스(Mutual-capacitance) 기반의 터치 센싱 방식으로 터치를 센싱할 수도 있고, 셀프-커패시턴스(Self-capacitance) 기반의 터치 센싱 방식으로 터치를 센싱할 수도 있다.The flexible touch display device according to the embodiments of the present invention is a capacitance-based touch sensing method, and may sense a touch using a mutual-capacitance-based touch sensing method, and may use a self-capacitance method. A touch may be sensed using a touch-based touch sensing method.
도 2 내지 도 4는 본 발명의 실시예들에 따른 플렉서블 터치표시장치에서, 터치패널(TSP)의 3가지 예시도로서, 도 2 및 도 3은 본 발명의 실시예들에 따른 플렉서블 터치표시장치가 뮤추얼-커패시턴스 기반의 터치 센싱 방식으로 터치를 센싱하는 경우, 터치패널(TSP)의 예시도이고, 도 4는 본 발명의 실시예들에 따른 플렉서블 터치표시장치가 셀프-커패시턴스 기반의 터치 센싱 방식으로 터치를 센싱하는 경우, 터치패널(TSP)의 예시도이다.2 to 4 are three exemplary views of a touch panel TSP in a flexible touch display device according to embodiments of the present invention. FIGS. 2 and 3 are flexible touch display devices according to embodiments of the present invention. is an exemplary view of a touch panel (TSP) when a touch is sensed using a mutual-capacitance-based touch sensing method, and FIG. 4 is a self-capacitance-based touch sensing method of a flexible touch display device according to embodiments of the present invention. It is an exemplary diagram of a touch panel (TSP) when sensing a touch.
도 2를 참조하면, 뮤추얼-커패시턴스 기반의 터치 센싱 방식의 경우, 터치패널(TSP)에 배치되는 다수의 터치 전극들(TE)은 구동 신호가 인가되는 구동 터치 전극(구동전극, 송신전극, 또는 구동라인이라고도 함)과, 센싱 신호가 센싱되고 구동전극과 커패시턴스를 형성하는 센싱 터치 전극(센싱전극, 수신전극, 또는 센싱라인이라고도 함)으로 분류될 수 있다.Referring to FIG. 2 , in the case of the mutual-capacitance-based touch sensing method, the plurality of touch electrodes TE disposed on the touch panel TSP may be a driving touch electrode (a driving electrode, a transmitting electrode, or a driving electrode) to which a driving signal is applied. It may be classified into a driving line) and a sensing touch electrode (also referred to as a sensing electrode, a receiving electrode, or a sensing line) that senses a sensing signal and forms a capacitance with the driving electrode.
그리고, 터치 전극들의 구동 터치 전극들 중에서, 동일한 행 (또는 동일한 열)에 배치된 구동 터치 전극들은 일체화 방식에 의해 (또는 브릿지 패턴에 의한 연결 방식에 의해) 전기적으로 서로 연결되어 하나의 구동 터치 전극 라인(DEL)을 형성한다.And, among the driving touch electrodes of the touch electrodes, the driving touch electrodes arranged in the same row (or the same column) are electrically connected to each other by an integration method (or by a connection method by a bridge pattern) to form one driving touch electrode A line DEL is formed.
도 2를 참조하면, 터치 전극들의 센싱 터치 전극들 중에서, 동일한 열 (또는 동일한 행)에 배치된 센싱 터치 전극들은 브릿지 패턴에 의해 (또는 일체화 방식에 의해) 전기적으로 서로 연결되어 하나의 센싱 터치 전극 라인(SEL)을 형성한다.Referring to FIG. 2 , among the sensing touch electrodes of the touch electrodes, the sensing touch electrodes disposed in the same column (or the same row) are electrically connected to each other by a bridge pattern (or by an integrated method) to form one sensing touch electrode. A line SEL is formed.
이러한 뮤추얼-커패시턴스 기반의 터치 센싱 방식의 경우, 터치 센싱 회로(TSC)는, 하나 이상의 구동 터치 전극 라인(DEL)으로 구동 신호를 인가하고, 하나 이상의 센싱 터치 전극 라인(SEL)으로부터 센싱 신호를 수신하고, 수신된 센싱 신호를 토대로, 손가락, 펜 등의 포인터의 유무에 따른 구동 터치 전극 라인(DEL)과 센싱 터치 전극 라인(SEL) 간의 커패시턴스(뮤추얼-커패시턴스)의 변화를 토대로 터치 유무 및/또는 터치 좌표 등을 검출한다.In this mutual-capacitance-based touch sensing method, the touch sensing circuit TSC applies a driving signal to one or more driving touch electrode lines DEL, and receives a sensing signal from one or more sensing touch electrode lines SEL. and, based on the received sensing signal, the presence or absence of a touch based on the change in capacitance (mutual-capacitance) between the driving touch electrode line DEL and the sensing touch electrode line SEL according to the presence of a pointer such as a finger or a pen, and/or Detect touch coordinates and the like.
도 2를 참조하면, 구동 신호 및 센싱 신호 전달을 위해, 다수의 구동 터치 전극 라인(DEL) 및 다수의 센싱 터치 전극 라인(SEL) 각각은 하나 이상의 터치 라인(TL)을 통해 터치 구동 회로(TDC)와 전기적으로 연결된다.Referring to FIG. 2 , each of the plurality of driving touch electrode lines DEL and the plurality of sensing touch electrode lines SEL is connected to the touch driving circuit TDC through one or more touch lines TL to transmit a driving signal and a sensing signal. ) is electrically connected to
구체적으로, 구동 신호 전달을 위해, 다수의 구동 터치 전극 라인(DEL) 각각은 하나 이상의 구동 터치 라인(TLd)을 통해, 터치 구동 회로(TDC)와 전기적으로 연결된다. 그리고, 센싱 신호 전달을 위해, 다수의 센싱 터치 전극 라인(SEL) 각각은 하나 이상의 센싱 터치 라인(TLs)을 통해, 터치 구동 회로(TDC)와 전기적으로 연결된다.Specifically, each of the plurality of driving touch electrode lines DEL is electrically connected to the touch driving circuit TDC through one or more driving touch lines TLd for driving signal transmission. In addition, in order to transmit a sensing signal, each of the plurality of sensing touch electrode lines SEL is electrically connected to the touch driving circuit TDC through one or more sensing touch lines TLs.
또한, 뮤추얼 커패시턴스 기반의 터치 센싱 방식의 플렉서블 터치표시장치(100)는 도 3으로 나타낼 수도 있다.Also, the flexible
도 3을 참조하면, 터치패널(TSP)에는 다수의 터치전극들(TE)이 배치되며, 이러한 터치전극들(TE)과 터치회로(130)를 전기적으로 연결해주는 터치라인들(TL)이 배치될 수 있다.Referring to FIG. 3 , a plurality of touch electrodes TE are disposed on the touch panel TSP, and touch lines TL electrically connecting the touch electrodes TE and the touch circuit 130 are disposed. can be
또한, 터치패널(TSP)에는, 터치라인들(TL)과 터치 구동 회로(TDC)를 전기적으로 연결해주기 위하여, 터치 구동 회로(TDC)가 접촉하는 터치패드들이 존재할 수도 있다.In addition, in order to electrically connect the touch lines TL and the touch driving circuit TDC, touch pads contacting the touch driving circuit TDC may exist in the touch panel TSP.
터치전극들(TE) 및 터치라인들(TL)은 동일한 층에 존재할 수도 있고 서로 다른 층에 존재할 수도 있다.The touch electrodes TE and the touch lines TL may exist on the same layer or on different layers.
하나의 구동 터치전극 라인(Driving TE Line)을 형성하는 둘 이상의 터치전극은 구동 터치전극(Driving TE)이라고 한다. 하나의 센싱 터치전극 라인(Sensing TE Line)을 형성하는 둘 이상의 터치전극(TE)을 센싱 터치전극(Sensing TE)이라고 한다.Two or more touch electrodes forming one driving touch electrode line (Driving TE Line) are referred to as driving touch electrodes (Driving TE). Two or more touch electrodes TE forming one sensing touch electrode line are referred to as sensing touch electrodes Sensing TE.
하나의 구동 터치전극 라인마다 적어도 하나의 터치라인(TL)이 연결되고, 하나의 센싱 터치전극 라인마다 적어도 하나의 터치라인(TL)이 연결될 수 있다.At least one touch line TL may be connected to each driving touch electrode line, and at least one touch line TL may be connected to each sensing touch electrode line.
하나의 구동 터치전극 라인마다 연결되는 적어도 하나의 터치라인(TL)을 구동 터치라인(Driving TL)이라고 한다. 하나의 센싱 터치전극 라인마다 연결되는 적어도 하나의 터치라인(TL)을 센싱 터치라인(Sensing TL)이라고 한다.At least one touch line TL connected to each driving touch electrode line is referred to as a driving touch line TL. At least one touch line TL connected to each sensing touch electrode line is referred to as a sensing touch line TL.
하나의 터치라인(TL)마다 하나의 터치패드(TP)가 연결될 수 있다.One touch pad TP may be connected to each one touch line TL.
도 3을 참조하면, 다수의 터치전극들(TE) 각각은, 일 예로, 외곽의 윤곽을 볼 때, 마름모형일 수 있으며, 경우에 따라서는, 직사각형 (정사각형을 포함할 수 있음)일 수도 있으며, 이뿐만 아니라 다양한 모양으로 되어 있을 수도 있다.Referring to FIG. 3 , each of the plurality of touch electrodes TE may, for example, have a rhombus shape when viewing the outline, and in some cases, a rectangular shape (which may include a square), In addition to this, it may have various shapes.
실시예들에 따른 터치패널(TSP)은 표시영역(A/A)과 비 표시영역(N/A)을 갖는 표시패널의 내부에 존재할 수 있다(내장형).The touch panel TSP according to the exemplary embodiment may exist inside the display panel having the display area A/A and the non-display area N/A (embedded type).
터치패널(TSP)이 내장형인 경우, 터치패널(TSP)과 표시패널은 한번의 패널 제작 공정을 통해 함께 만들어질 수 있다.When the touch panel TSP is a built-in type, the touch panel TSP and the display panel may be manufactured together through a single panel manufacturing process.
터치패널(TSP)이 내장형인 경우, 터치패널(TSP)은 다수의 터치전극들(TE)의 집합체로 볼 수 있다. 여기서, 다수의 터치전극들(TE)이 놓이는 판(Plate)은 전용 기판일 수도 있고, 표시패널에 이미 존재하는 층(예: 봉지층)일 수도 있다.When the touch panel TSP is a built-in type, the touch panel TSP may be viewed as an aggregate of a plurality of touch electrodes TE. Here, the plate on which the plurality of touch electrodes TE are placed may be a dedicated substrate or a layer (eg, an encapsulation layer) already present in the display panel.
도 4를 참조하면, 셀프-커패시턴스(Self-capacitance) 기반의 터치 센싱 방식의 경우, 터치패널(TSP)에 배치되는 각 터치 전극(TE)은 구동 터치 전극의 역할 (구동 신호 인가)과 센싱 터치 전극의 역할(센싱 신호 검출)을 모두 갖는다.Referring to FIG. 4 , in the case of the self-capacitance-based touch sensing method, each touch electrode TE disposed on the touch panel TSP serves as a driving touch electrode (applying a driving signal) and sensing touch. It has both the role of an electrode (detection of a sensing signal).
즉, 각 터치 전극(TE)으로 구동 신호가 인가되고, 구동 신호가 인가된 터치 전극(TE)을 통해 센싱 신호를 수신한다. 따라서, 셀프-커패시턴스(Self-capacitance) 기반의 터치 센싱 방식에서는, 구동전극과 센싱전극의 구분이 따로 없다.That is, a driving signal is applied to each touch electrode TE, and a sensing signal is received through the touch electrode TE to which the driving signal is applied. Accordingly, in the self-capacitance-based touch sensing method, there is no distinction between the driving electrode and the sensing electrode.
이러한 셀프-커패시턴스 기반의 터치 센싱 방식의 경우, 터치 센싱 회로(TSC)는, 하나 이상의 터치 전극(TE)으로 구동 신호를 인가하고, 구동 신호가 인가된 터치 전극(TE)으로부터 센싱 신호를 수신하며, 수신된 센싱 신호를 토대로, 손가락, 펜 등의 포인터와 터치 전극(TE) 간의 커패시턴스의 변화를 토대로 터치 유무 및/또는 터치 좌표 등을 검출한다.In this self-capacitance-based touch sensing method, the touch sensing circuit TSC applies a driving signal to one or more touch electrodes TE, and receives a sensing signal from the touch electrode TE to which the driving signal is applied. , based on the received sensing signal, the presence or absence of a touch and/or touch coordinates are detected based on a change in capacitance between a pointer such as a finger or a pen and the touch electrode TE.
도 4를 참조하면, 구동 신호 및 센싱 신호 전달을 위해, 다수의 터치 전극(TE) 각각은 하나 이상의 터치 라인(TL)을 통해 터치 구동 회로(TDC)와 전기적으로 연결된다.Referring to FIG. 4 , each of the plurality of touch electrodes TE is electrically connected to the touch driving circuit TDC through one or more touch lines TL to transmit a driving signal and a sensing signal.
이와 같이, 본 발명의 실시예들에 따른 플렉서블 터치표시장치는, 뮤추얼-커패시턴스 기반의 터치 센싱 방식으로 터치를 센싱할 수도 있고, 셀프-커패시턴스 기반의 터치 센싱 방식으로 터치를 센싱할 수도 있다.As such, the flexible touch display device according to embodiments of the present invention may sense a touch using a mutual-capacitance-based touch sensing method or may sense a touch using a self-capacitance-based touch sensing method.
한편, 본 발명의 실시예들에 따른 플렉서블 터치표시장치에서, 터치패널(TSP)은 표시패널(DISP)의 제작 시 함께 제작되어 표시패널(DISP)의 내부에 존재하는 내장형 타입일 수도 있다. 즉, 본 발명의 실시예들에 따른 표시패널(DISP)은 터치패널(TSP)를 내장할 수 있다.Meanwhile, in the flexible touch display device according to the embodiments of the present invention, the touch panel TSP may be of a built-in type that is manufactured together with the display panel DISP and exists inside the display panel DISP. That is, the display panel DISP according to embodiments of the present invention may have a built-in touch panel TSP.
또한, 본 발명의 실시예들에서 터치 전극들(TE) 및 터치 라인들(TL)은 표시패널(DISP)의 내부에 존재하는 전극 및 신호배선이다.In addition, in embodiments of the present invention, the touch electrodes TE and the touch lines TL are electrodes and signal wires existing inside the display panel DISP.
또 한편, 본 발명의 실시예들에 따른 플렉서블 터치표시장치의 표시패널(DISP)은, 유기발광다이오드 패널(OLED Panel), 액정표시패널(LCD Panel) 등의 다양한 타입일 수 있다. 아래에서는, 설명의 편의를 위해, 유기발광다이오드 패널(OLED Panel)을 주로 예로 들어 설명한다.On the other hand, the display panel DISP of the flexible touch display device according to the embodiments of the present invention may be of various types such as an organic light emitting diode panel (OLED Panel), a liquid crystal display panel (LCD Panel). Hereinafter, for convenience of description, an organic light emitting diode panel (OLED Panel) will be mainly described as an example.
도 5는 본 발명의 실시예들에 따른 플렉서블 터치표시장치에서, 터치패널(TSP)에 배치된 비 메쉬 타입(Non-mesh type)의 터치 전극(TE)을 나타낸 도면이다.5 is a diagram illustrating a non-mesh type touch electrode TE disposed on a touch panel TSP in a flexible touch display device according to embodiments of the present invention.
도 5를 참조하면, 본 발명의 실시예들에 따른 플렉서블 터치표시장치에서, 터치패널(TSP)에 배치된 다수의 터치 전극(TE) 각각은 비 메쉬 타입일 수 있다. 구체적으로, 개구부가 없는 터치 전극(TE)일 수 있다.Referring to FIG. 5 , in the flexible touch display device according to embodiments of the present invention, each of the plurality of touch electrodes TE disposed on the touch panel TSP may be of a non-mesh type. Specifically, it may be a touch electrode TE without an opening.
비 메쉬 타입(Non-mesh type)의 터치 전극(TE)은 오픈 영역(Open Area)이 없는 판 형태의 전극메탈일 수 있다.The non-mesh type touch electrode TE may be a plate-shaped electrode metal having no open area.
이 경우, 터치 전극(TE)은 투명 전극일 수 있다. 상술한 바와 같이 다수의 터치 전극(TE)이 개구부가 없는 투명 전극으로 이루어질 때, 다수의 터치 전극(TE)이 투명 전극으로 이루어짐으로써, 표시패널의 발광효율을 높여줄 수 있다.In this case, the touch electrode TE may be a transparent electrode. As described above, when the plurality of touch electrodes TE are formed of transparent electrodes without openings, the plurality of touch electrodes TE are formed of transparent electrodes, thereby increasing the luminous efficiency of the display panel.
도 6은 본 발명의 실시예들에 따른 플렉서블 터치표시장치에서, 터치패널(TSP)에 배치된 메쉬 타입(Mesh type)의 터치 전극을 나타낸 도면이다.6 is a diagram illustrating a mesh type touch electrode disposed on a touch panel TSP in a flexible touch display device according to embodiments of the present invention.
도 6을 참조하면, 본 발명의 실시예들에 따른 플렉서블 터치표시장치에서, 터치패널(TSP)에 배치된 다수의 터치 전극(TE) 각각은 비 메쉬 타입일 수 있다.Referring to FIG. 6 , in the flexible touch display device according to embodiments of the present invention, each of the plurality of touch electrodes TE disposed on the touch panel TSP may be of a non-mesh type.
메쉬 타입(Mesh type)의 터치 전극(TE)은 메쉬 타입으로 패터닝 된 전극메탈(EM)로 되어 있을 수 있다.The mesh type touch electrode TE may be formed of an electrode metal EM patterned into a mesh type.
이에 따라, 메쉬 타입(Mesh type)의 터치 전극(TE)의 영역에는 다수의 오픈 영역(OA)이 존재할 수 있다.Accordingly, a plurality of open areas OA may exist in the area of the mesh type touch electrode TE.
도 7은 본 발명의 실시예들에 따른 플렉서블 터치표시장치에서, 터치패널(TSP)에 배치된 메쉬 타입의 터치 전극(TE)과 서브픽셀(Sub Pixel) 간의 대응 관계를 설명하기 위한 도면이다.FIG. 7 is a diagram for explaining a correspondence relationship between a mesh-type touch electrode TE disposed on a touch panel TSP and a sub-pixel in a flexible touch display device according to embodiments of the present invention.
도 7을 참조하면, 메쉬 타입으로 패터닝 된 전극메탈(EM)로 되어 있는 터치 전극(TE)의 영역 내 존재하는 다수의 오픈 영역(OA) 각각은 하나 이상의 서브픽셀의 발광 영역과 대응될 수 있다.Referring to FIG. 7 , each of the plurality of open areas OA existing in the area of the touch electrode TE made of the electrode metal EM patterned in a mesh type may correspond to the emission area of one or more subpixels. .
예를 들어, 하나의 터치 전극(TE)의 영역 내 존재하는 다수의 오픈 영역(OA) 각각은 적색 서브픽셀, 녹색 서브픽셀 및 청색 서브픽셀 등 중 하나 이상의 발광 영역과 대응될 수 있다.For example, each of the plurality of open areas OA existing in the area of one touch electrode TE may correspond to a light emitting area of at least one of a red subpixel, a green subpixel, and a blue subpixel.
다른 예로, 하나의 터치 전극(TE)의 영역 내 존재하는 다수의 오픈 영역(OA) 각각은 적색 서브픽셀, 녹색 서브픽셀, 청색 서브픽셀 및 흰색 서브픽셀 등 중 하나 이상의 발광 영역과 대응될 수 있다.As another example, each of the plurality of open areas OA existing in the area of one touch electrode TE may correspond to a light emitting area of at least one of a red subpixel, a green subpixel, a blue subpixel, and a white subpixel. .
전술한 바와 같이, 평면에서 볼 때, 각 터치 전극(TE)의 오픈 영역들(OA) 각각에 하나 이상의 서브픽셀의 발광 영역이 존재함으로써, 터치 센싱을 가능하게 하면서도, 표시패널(DISP)의 개구율 및 발광 효율을 더욱 높여줄 수 있다.As described above, when viewed in a plan view, a light emitting area of one or more subpixels exists in each of the open areas OA of each touch electrode TE, thereby enabling touch sensing and the aperture ratio of the display panel DISP. and luminous efficiency may be further increased.
위에서 전술한 바와 같이, 하나의 터치 전극(TE)의 외곽의 대략적인 윤곽은 마름모형 또는 직사각형(정사각형 포함 가능) 등일 수 있으며, 하나의 터치 전극(TE)에서의 구멍에 해당하는 오픈 영역(OA) 또한, 마름모형 또는 직사각형(정사각형 포함 가능) 등일 수 있다.As described above, the rough outline of the outer edge of one touch electrode TE may be a rhombus or a rectangle (including a square), and an open area OA corresponding to a hole in one touch electrode TE. ) may also be a rhombus or a rectangle (including a square).
하지만, 이러한 터치 전극(TE)의 형상과 오픈 영역(OA)의 형상은, 서브픽셀의 형상, 서브픽셀들의 배열 구조, 터치 감도 등을 고려하여, 다양하게 변형되어 설계될 수 있을 것이다.However, the shape of the touch electrode TE and the shape of the open area OA may be variously modified and designed in consideration of the shape of the sub-pixel, the arrangement structure of the sub-pixels, and touch sensitivity.
이에, 아래에서는, 유기발광다이오드(OLED: Organic Light Emitting Diode)를 이용하여 영상을 표시하기 위한 표시패널에서의 서브픽셀 구조(서브픽셀 회로)를 살펴본다.Accordingly, a sub-pixel structure (sub-pixel circuit) in a display panel for displaying an image using an organic light emitting diode (OLED) will be described below.
도 8 및 도 9는 본 발명의 실시예들에 따른 표시패널의 서브픽셀 회로를 나타낸 도면이다.8 and 9 are diagrams illustrating sub-pixel circuits of a display panel according to embodiments of the present invention.
도 8 및 도 9를 참조하면, 각 서브픽셀(SP)은, 기본적으로, 유기발광다이오드(OLED)와, 유기발광다이오드(OLED)를 구동하는 구동 트랜지스터(DRT)를 포함할 수 있다.8 and 9 , each subpixel SP may basically include an organic light emitting diode (OLED) and a driving transistor (DRT) driving the organic light emitting diode (OLED).
도 8을 참조하면, 각 서브픽셀(SP)은, 구동 트랜지스터(DRT)의 게이트 노드에 해당하는 제1 노드(N1)로 데이터 전압(VDATA)을 전달해주기 위한 제1 트랜지스터(T1)와, 영상 신호 전압에 해당하는 데이터 전압(VDATA) 또는 이에 대응되는 전압을 한 프레임 시간 동안 유지하는 스토리지 캐패시터(C1)를 더 포함하여 구성될 수 있다.Referring to FIG. 8 , each subpixel SP includes a first transistor T1 for transferring a data voltage VDATA to a first node N1 corresponding to the gate node of the driving transistor DRT, and an image The data voltage VDATA corresponding to the signal voltage or a storage capacitor C1 for maintaining the voltage corresponding thereto for one frame time may be further included.
유기발광다이오드(OLED)는 제1전극(E1, 애노드 전극 또는 캐소드 전극), 발광층(EL) 및 제2전극(E2, 캐소드 전극 또는 애노드 전극) 등으로 이루어질 수 있다.The organic light emitting diode OLED may include a first electrode E1 (anode electrode or cathode electrode), a light emitting layer EL, and a second electrode E2 (cathode electrode or anode electrode).
일 예로, 유기발광다이오드(OLED)의 제2전극(E2)에는 기저 전압(EVSS)이 인가될 수 있다.For example, the ground voltage EVSS may be applied to the second electrode E2 of the organic light emitting diode OLED.
구동 트랜지스터(DRT)는 유기발광다이오드(OLED)로 구동 전류를 공급해줌으로써 유기발광다이오드(OLED)를 구동해준다.The driving transistor DRT drives the organic light emitting diode (OLED) by supplying a driving current to the organic light emitting diode (OLED).
구동 트랜지스터(DRT)는 제1 노드(N1), 제2 노드(N2) 및 제3노드(N3)를 갖는다.The driving transistor DRT has a first node N1 , a second node N2 , and a third node N3 .
구동 트랜지스터(DRT)의 제1 노드(N1)는 게이트 노드에 해당하는 노드로서, 제1 트랜지스터(T1)의 소스 노드 또는 드레인 노드와 전기적으로 연결될 수 있다.The first node N1 of the driving transistor DRT is a node corresponding to a gate node and may be electrically connected to a source node or a drain node of the first transistor T1 .
구동 트랜지스터(DRT)의 제2 노드(N2)는 유기발광다이오드(OLED)의 제1전극(E1)과 전기적으로 연결될 수 있으며, 소스 노드 또는 드레인 노드일 수 있다.The second node N2 of the driving transistor DRT may be electrically connected to the first electrode E1 of the organic light emitting diode OLED, and may be a source node or a drain node.
구동 트랜지스터(DRT)의 제3노드(N3)는 구동 전압(EVDD)이 인가되는 노드로서, 구동 전압(EVDD)을 공급하는 구동전압 라인(DVL: Driving Voltage Line)과 전기적으로 연결될 수 있으며, 드레인 노드 또는 소스 노드일 수 있다.The third node N3 of the driving transistor DRT is a node to which the driving voltage EVDD is applied, and may be electrically connected to a driving voltage line DVL supplying the driving voltage EVDD, and has a drain. It can be a node or a source node.
구동 트랜지스터(DRT)와 제1 트랜지스터(T1)는, n 타입으로 구현될 수도 있고, p 타입으로도 구현될 수도 있다.The driving transistor DRT and the first transistor T1 may be implemented as an n-type or a p-type.
제1 트랜지스터(T1)는 데이터 라인(DL)과 구동 트랜지스터(DRT)의 제1 노드(N1) 사이에 전기적으로 연결되고, 게이트 라인을 통해 스캔 신호(SCAN)를 게이트 노드로 인가 받아 제어될 수 있다.The first transistor T1 may be electrically connected between the data line DL and the first node N1 of the driving transistor DRT, and may be controlled by receiving the scan signal SCAN as a gate node through the gate line. have.
이러한 제1 트랜지스터(T1)는 스캔 신호(SCAN)에 의해 턴-온 되어 데이터 라인(DL)으로부터 공급된 데이터 전압(VDATA)을 구동 트랜지스터(DRT)의 제1 노드(N1)로 전달해줄 수 있다.The first transistor T1 may be turned on by the scan signal SCAN to transfer the data voltage VDATA supplied from the data line DL to the first node N1 of the driving transistor DRT. .
스토리지 캐패시터(C1)는 구동 트랜지스터(DRT)의 제1 노드(N1)와 제2 노드(N2) 사이에 전기적으로 연결될 수 있다.The storage capacitor C1 may be electrically connected between the first node N1 and the second node N2 of the driving transistor DRT.
이러한 스토리지 캐패시터(C1)는, 구동 트랜지스터(DRT)의 제1 노드(N1)와 제2 노드(N2) 사이에 존재하는 내부 캐패시터(Internal Capacitor)인 기생 캐패시터(예: Cgs, Cgd)가 아니라, 구동 트랜지스터(DRT)의 외부에 의도적으로 설계한 외부 캐패시터(External Capacitor)이다.The storage capacitor C1 is not a parasitic capacitor (eg, Cgs, Cgd) which is an internal capacitor existing between the first node N1 and the second node N2 of the driving transistor DRT, It is an external capacitor intentionally designed outside the driving transistor (DRT).
도 9를 참조하면, 본 실시예들에 따른 표시패널에 배치된 각 서브픽셀은, 유기발광다이오드(OLED), 구동 트랜지스터(DRT), 제1 트랜지스터(T1) 및 스토리지 캐패시터(C1) 이외에, 제2 트랜지스터(T2)를 더 포함할 수 있다.Referring to FIG. 9 , each sub-pixel disposed in the display panel according to the present exemplary embodiments includes an organic light emitting diode (OLED), a driving transistor (DRT), a first transistor ( T1 ), and a storage capacitor ( C1 ). Two transistors T2 may be further included.
제2 트랜지스터(T2)는 구동 트랜지스터(DRT)의 제2 노드(N2)와 기준 전압(VREF: Reference Voltage)을 공급하는 기준 전압 라인(RVL: Reference Voltage Line) 사이에 전기적으로 연결되고, 게이트 노드로 스캔 신호의 일종인 센싱 신호(SENSE)를 인가 받아 제어될 수 있다.The second transistor T2 is electrically connected between the second node N2 of the driving transistor DRT and a reference voltage line RVL supplying a reference voltage VREF, and a gate node It may be controlled by receiving a sensing signal SENSE, which is a kind of raw scan signal.
전술한 제2 트랜지스터(T2)를 더 포함함으로써, 서브픽셀(SP) 내 구동 트랜지스터(DRT)의 제2 노드(N2)의 전압 상태를 효과적으로 제어해줄 수 있다.By further including the above-described second transistor T2 , the voltage state of the second node N2 of the driving transistor DRT in the subpixel SP may be effectively controlled.
이러한 제2 트랜지스터(T2)는 센싱 신호(SENSE)에 의해 턴-온 되어 기준 전압 라인(RVL)을 통해 공급되는 기준 전압(VREF)을 구동 트랜지스터(DRT)의 제2 노드(N2)에 인가해준다.The second transistor T2 is turned on by the sensing signal SENSE to apply the reference voltage VREF supplied through the reference voltage line RVL to the second node N2 of the driving transistor DRT. .
도 9의 서브픽셀 구조는, 구동 트랜지스터(DRT)의 제2 노드(N2)의 전압 초기화를 정확하게 해주는데 유리하고, 구동 트랜지스터(DRT)의 고유 특성치(문턱전압 또는 이동도), 유기발광다이오드(OLED)의 고유 특성치(예: 문턱전압)을 센싱하기 위해 유리한 구조이다.The sub-pixel structure of FIG. 9 is advantageous for accurately initializing the voltage of the second node N2 of the driving transistor DRT, and includes a unique characteristic value (threshold voltage or mobility) of the driving transistor DRT, and an organic light emitting diode (OLED). ) is an advantageous structure for sensing the intrinsic characteristic value (eg, threshold voltage).
한편, 스캔 신호(SCAN) 및 센싱 신호(SENSE)는 별개의 게이트 신호일 수 있다. 이 경우, 스캔 신호(SCAN) 및 센싱 신호(SENSE)는, 서로 다른 게이트 라인을 통해, 제1 트랜지스터(T1)의 게이트 노드 및 제2 트랜지스터(T2)의 게이트 노드로 각각 인가될 수도 있다.Meanwhile, the scan signal SCAN and the sensing signal SENSE may be separate gate signals. In this case, the scan signal SCAN and the sensing signal SENSE may be respectively applied to the gate node of the first transistor T1 and the gate node of the second transistor T2 through different gate lines.
경우에 따라서는, 스캔 신호(SCAN) 및 센싱 신호(SENSE)는 동일한 게이트 신호일 수도 있다. 이 경우, 스캔 신호(SCAN) 및 센싱 신호(SENSE)는 동일한 게이트 라인을 통해 제1 트랜지스터(T1)의 게이트 노드 및 제2 트랜지스터(T2)의 게이트 노드에 공통으로 인가될 수도 있다.In some cases, the scan signal SCAN and the sensing signal SENSE may be the same gate signal. In this case, the scan signal SCAN and the sensing signal SENSE may be commonly applied to the gate node of the first transistor T1 and the gate node of the second transistor T2 through the same gate line.
도 10은 본 발명의 실시예들에 따른 표시패널에서 터치 전극의 위치를 나타낸 도면이다.10 is a diagram illustrating a position of a touch electrode in a display panel according to embodiments of the present invention.
도 10을 참조하면, 본 발명의 실시예들에 따른 표시패널에서 터치 전극(TE)는, 유기발광다이오드(OLED) 상에 위치하는 봉지층(1030) 상에 배치될 수 있다.Referring to FIG. 10 , in the display panel according to embodiments of the present invention, the touch electrode TE may be disposed on the
여기서, 봉지층(1030)은 발광층(EL)에 포함된 유기물질을 수분, 공기 등으로부터 보호하기 위한 층으로서, 캐소드 전극일 수 있는 유기발광다이오드(OLED)의 제2전극(E2) 상에 위치할 수 있다.Here, the
한편, 봉지층(1030)은 메탈 금속일 수도 있고, 무기물로 되어 있을 수도 있고, 하나 이상의 유기절연층과 하나 이상의 무기절연층이 적층 되어 구성될 수도 있다.On the other hand, the
이와 같이, 터치 전극(TE)이 봉지층(1030) 상에 형성된 터치구조를 TOE (Touch On Encapsulation Layer)라고 한다.As described above, the touch structure in which the touch electrode TE is formed on the
한편, 봉지층(1030)과 터치 전극(TE) 사이에 컬러필터 층이 추가로 존재하거나, 터치 전극(TE) 상에 컬러필터 층이 추가로 존재할 수도 있다.Meanwhile, a color filter layer may be additionally present between the
도 11은 본 발명의 실시예들에 따른 플렉서블 터치표시장치에서 터치 전극과 제2전극 간의 기생 커패시턴스와 이에 의한 터치 감도 영향을 나타낸 도면이다.11 is a diagram illustrating a parasitic capacitance between a touch electrode and a second electrode and an effect on touch sensitivity thereby in a flexible touch display device according to embodiments of the present invention.
도 11을 참조하면, 터치센싱구간 동안, 소정의 전압을 갖는 터치구동신호가 터치 전극(TE)에 인가될 수 있다.Referring to FIG. 11 , a touch driving signal having a predetermined voltage may be applied to the touch electrode TE during the touch sensing period.
이에 따라, 제2전극(E2)과 터치센서(TS) 사이에 전위치가 발생하여 커패시턴스(Cp)가 형성될 수 있다.Accordingly, a potential value may be generated between the second electrode E2 and the touch sensor TS to form a capacitance Cp.
터치센싱에 필요한 커패시턴스는, 터치 전극(TE) 간의 커패시턴스거나, 터치 전극(TE)와 터치 오브젝트(예: 손가락, 펜 등) 간의 커패시턴스다.The capacitance required for touch sensing is a capacitance between the touch electrodes TE or a capacitance between the touch electrodes TE and a touch object (eg, a finger, a pen, etc.).
따라서, 제2전극(E2)과 터치 전극(TE) 사이에 형성되는 커패시턴스(Cp)는 기생 커패시턴스에 해당한다.Accordingly, the capacitance Cp formed between the second electrode E2 and the touch electrode TE corresponds to the parasitic capacitance.
터치패널(TSP)을 내장하는 표시패널을 구현하는 방안으로서, 터치 전극(TE)을 봉지층(1030) 상에 바로 형성하여 터치패널(TSP)을 표시패널에 내장하게 되면, 제2전극(E2)과 터치 전극(TE) 사이의 거리가 상당히 가까워질 수 있다.As a method of realizing a display panel having a built-in touch panel (TSP), when the touch electrode (TE) is directly formed on the encapsulation layer (1030) and the touch panel (TSP) is embedded in the display panel, the second electrode (E2) ) and the touch electrode TE may be considerably closer.
이에 따라, 제2전극(E2)과 터치 전극(TE) 사이에 기생 커패시턴스(Cp)가 커지게 된다. 이로 인해, RC 지연(Resistive-Capacitive Delay)도 커지게 될 수 있다.Accordingly, the parasitic capacitance Cp between the second electrode E2 and the touch electrode TE increases. Due to this, the RC delay (resistive-capacitive delay) may also become large.
한편, 플렉서블 터치표시장치(100)에서는 얇은 두께에 대한 요구 사항이 있기 때문에, 플렉서블 터치표시장치(100)의 두께의 요구 조건에 따라, 제2전극(E2)과 터치 전극(TE) 사이가 더욱 가까워져 이 둘 사이에 기생 커패시턴스(Cp)가 더 커질 수 있다.On the other hand, since there is a requirement for a thin thickness in the flexible
본 발명의 실시예들에 따른 플렉서블 터치표시장치(100)는 제2전극(E2)과 터치 전극(TE) 사이의 기생 커패시턴스(Cp)를 줄일 수 있는 구조를 포함한다.The flexible
이를 도 12 및 도 13에서 자세히 검토하면 다음과 같다.A detailed review of this with reference to FIGS. 12 and 13 is as follows.
도 12는 본 발명의 실시예들예 따른 플렉서블 터치표시장치의 단면도이다. 도 13은 본 발명의 실시예들에 따른 플렉서블 터치표시장치에서 제2 전극과 터치 전극 사이의 기생 커패시턴스와 제2 전극과 터치 전극 사이의 거리(또는 두께)의 상관관계를 나타낸 도면이다.12 is a cross-sectional view of a flexible touch display device according to embodiments of the present invention. 13 is a diagram illustrating a correlation between a parasitic capacitance between a second electrode and a touch electrode and a distance (or thickness) between the second electrode and the touch electrode in a flexible touch display device according to embodiments of the present invention.
먼저 도 12를 참조하면, 본 발명의 실시예들에 따른 플렉서블 터치표시장치(100)는 기판(1200) 상에 버퍼층(1201)이 위치한다. 이 때, 기판(1200)은 폴리이미드(Polyimide)로 이루어질 수 있으나, 본 발명이 이에 국한되는 것은 아니다. 예를 들면, 기판(1200)는 휘거나 접히는데 파손되지 않는 물질로 이루어질 수 있다.First, referring to FIG. 12 , in the flexible
이에 따라, 본 발명의 실시예들에 따른 플렉서블 터치표시장치(100)는 벤딩될 수 있다. 본 발명의 실시예들에 따른 플렉서블 터치표시장치(100)는 벤딩되는 영역인 벤딩영역을 적어도 하나 포함할 수 있다.Accordingly, the flexible
예를 들면, 본 발명의 플렉서블 터치표시장치(100)는 외력을 가하여 형상을 변형시킬 수 있는 표시장치일 경우, 폴더블(foldable)  터치표시장치, 커브드(curved)  터치표시장치, 롤러블(rolable)  터치표시장치, 및 플렉서블(flexible)  터치표시장치 등일 수 있다.For example, when the flexible
즉, 본 발명의 실시예들에 따른 플렉서블 터치표시장치(100)를 벤딩 시킨다는 것은 플렉서블 터치표시장치(100)를 휘거나 접는다는 의미를 모두 포함할 수 있다.That is, bending the flexible
한편, 도 12에는 도시하지 않았으나, 버퍼층(1201) 상에는 액티브층, 제1 층간절연막, 게이트전극, 게이트절연막, 소스전극, 드레인전극, 보호층 및 오버코트층 등이 위치할 수 있다.Meanwhile, although not shown in FIG. 12 , an active layer, a first interlayer insulating layer, a gate electrode, a gate insulating layer, a source electrode, a drain electrode, a protective layer, and an overcoat layer may be positioned on the
버퍼층(1201) 상에는 각 서브픽셀의 발광 위치에 유기발광소자(OLED)의 제1 전극(E1)이 위치한다. 제1 전극(E1) 상에는 제1 전극(E1)의 상면의 일부를 노출하도록 뱅크(1211)가 위치한다.On the
그리고, 제1 전극(E1) 상에는 발광층(EL)이 위치한다. 도 12에서는 발광층(EL)이 뱅크(1211)로 인해 노출된 제1 전극(E1) 상면에 위치한 구성을 도시하였으나, 본 발명은 이에 국한되지 않는다. 예를 들면, 발광층(EL)은 뱅크로(1211)로 인해 노출된 제1 전극(E1) 상면 및 뱅크(1211) 상에 위치할 수도 있다.In addition, the light emitting layer EL is positioned on the first electrode E1 . Although FIG. 12 illustrates a configuration in which the light emitting layer EL is positioned on the upper surface of the first electrode E1 exposed by the
제1 전극(E1)과 뱅크(1211) 상에는 유기발광소자(OLED)의 제2 전극(E2)이 위치한다. 여기서, 제2 전극(E2)은 모든 서브픽셀 영역에 공통으로 구비될 수 있다.The second electrode E2 of the organic light emitting diode OLED is positioned on the first electrode E1 and the
그리고, 제2 전극(E2) 상에는 수분, 공기 등의 침투 방지를 위한 봉지층(1030)이 위치한다.In addition, an
또한, 기판(1200)의 외곽 영역, 구체적으로, 유기발광소자(OLED)의 제2 전극(E2)이 배치된 영역의 외곽 영역에는, 댐(DAM, 2060)이 위치할 수 있다. 여기서 댐(2060)은 유기발광소자(OLED)를 포함하는 패널 제조 시, 유기물질 등이 일정 영역 밖으로 넘치는 것을 방지하는 역할을 할 수 있으며, 기판(1200)의 외곽 영역에서 수분 및 공기가 침투하는 것을 방지할 수 있다.Also, in an outer region of the
봉지층(1030)은 하나의 층으로 되어 있을 수도 있고, 두 개 이상의 층이 적층 되어 있을 수도 있다. 또한, 봉지층(1030)은 금속 층으로 되어 있을 수도 있고, 유기절연층과 무기절연층이 둘 이상이 적층되어 있을 수도 있다.The
후술하는 설명에서는 봉지층(1030)이 제1 봉지층(1031), 제2 봉지층(1032) 및 제3 봉지층(1033)을 포함하는 구성을 중심으로 설명한다.In the following description, the configuration in which the
제1 봉지층(1031) 상에는 제2 봉지층(1252)이 배치되고, 제2 봉지층(1032) 상에는 제3 봉지층(1033)이 배치될 수 있다. 그리고, 제1 봉지층(1031)과 제3 봉지층(1033)은 무기절연층일 수 있고, 제2 봉지층(1032)은 유기절연층일 수 있다.A
즉, 본 발명의 플렉서블 터치표시장치(100)에서 봉지층(1030)은 무기절연층과 유기절연층이 서로 교번하여 배치되는 형태일 수 있다.That is, in the flexible
이러한 봉지층(1030)은 유기발광소자(OLED) 상부뿐 만 아니라, 댐(2060) 상에도 위치한다. 구체적으로, 댐(2060) 상에는 제1 봉지층(1031)과 제3 봉지층(1033)이 위치할 수 있다.The
기판(1200) 외곽에 위치한 댐(1260) 상에는 무기절연층인 제1 봉지층(1031)과 제3 봉지층(1033)이 위치한다. 다시 말해, 댐(126) 상에는 유기절연층인 제2 봉지층(1032)이 위치하지 않는다.A
제2 봉지층(1032)은 제2 전극(E2)과 터치 전극(TE) 사이의 기생 커패시턴스(Cp)를 줄이기 위해 두께를 매우 두껍게 설계할 수 있다. 예를 들어, 봉지층(1030)의 두께는 5 마이크로 미터 이상일 수 있으며, 봉지층(1030)의 두께 중 대부분은 제2 봉지층(1032)이 차지하는 두께일 수 있다.The
이와 같이 두께가 두꺼운 제2 봉지층(1032)이 기판(1200) 외곽까지 배치될 경우, 플렉서블 터치표시장치(100) 내에 침투한 수분 또는 공기의 이동도를 떨어트리는 역할을 할 수 있으나, 반대로, 수분 또는 공기의 침투가 용이하여, 유기발광소자(OLED)의 수명을 단축시킬 수 있다.When the thick
이를 방지하기 위해, 제2 봉지층(1032)은 기판(1200) 외곽(예를 들면, 댐의 상부)에 위치하지 않는다.To prevent this, the
이러한 봉지층(1030) 상에는 응력이완부재(1250)가 위치한다. 응력이완부재(1250) 상에는 브릿지 패턴(BP)이 위치하고, 브릿지 패턴(BP) 상에는 제2 층간절연막(1235)이 위치한다, 그리고, 제2 층간절연막(1235) 상에는 터치 전극(TE) 및 터치 라인(TL)이 위치한다.A
동일한 행 (또는 동일한 열)에 배치된 터치 전극(TE)들은 브릿지 패턴(BP)을 통해 전기적으로 연결되어 하나의 구동 터치 전극 라인을 형성하거나, 하나의 센싱 터치 전극 라인을 형성할 수 있다.The touch electrodes TE disposed in the same row (or the same column) may be electrically connected through the bridge pattern BP to form one driving touch electrode line or one sensing touch electrode line.
도 12에서는 터치 전극(TE)과 터치 라인(TL)이 동일층에 위치한 구성을 도시하였으나, 본 발명은 이에 국한되지 않으며, 터치 전극(TE)과 터치 라인(TL)이 서로 다른 층에 위치할 수도 있다.Although FIG. 12 illustrates a configuration in which the touch electrode TE and the touch line TL are located on the same layer, the present invention is not limited thereto, and the touch electrode TE and the touch line TL may be located on different layers. may be
이러한 터치 라인(TL)과 터치 전극(TE)은 전기적으로 연결될 수 있다. 그리고, 터치 라인(TL)은 댐(1260) 상에 위치하고, 댐(1260)의 외곽에 위치하는 패드부(TPA)까지 연장된다. 이러한 터치 라인(TL)은 패드부(TPA)와 전기적으로 연결된다. 구체적으로, 터치 라인(TL)은 패드부(TPA)에 위치한 패드(TP)와 전기적으로 연결될 수 있다. 그리고, 터치 라인(TL)과 응력이완부재(1250)는 댐 (1260) 상에 중첩하도록 배치될 수 있다.The touch line TL and the touch electrode TE may be electrically connected. In addition, the touch line TL is positioned on the
터치 라인(TL)이 연결된 패드(TP)는 터치 센싱 회로(TSC)와 연결될 수 있다. 터치 센싱 회로(TSC)는 다수의 터치 전극(TE) 중 적어도 하나로 터치 구동 신호를 공급하고, 터치 구동 신호에 응답하여 터치 유무 및 터치 위치 중 적어도 하나를 감지할 수 있다.The pad TP to which the touch line TL is connected may be connected to the touch sensing circuit TSC. The touch sensing circuit TSC may supply a touch driving signal to at least one of the plurality of touch electrodes TE and sense at least one of a touch presence and a touch position in response to the touch driving signal.
터치 전극(TE)이 위치한 제2 층간절연막(1235) 상에는 평탄화층(1240)이 위치한다. 그리고, 평탄화층(1240) 상에는 편광판(1245)이 위치한다.A
한편, 본 발명의 실시예들에 따른 응력이완부재(1250)는 적어도 한 층의 저유전율(low-K)층(1252)을 포함할 수 있다.Meanwhile, the
여기서 제1 유전율층(1252)을 구성하는 저유전율 물질이란 이산화규소(SiO-2)보다 낮은 비유전율을 갖는 물질을 의미한다.Here, the low dielectric constant material constituting the first dielectric
예를 들면, 이산화규소의 비유전율이 3.9 F/m 내지 4.3 F/m 이라고 할 때, 봉지층(1250)의 제1 유전율층(1252)의 비유전율은 3.9 F/m 미만인 물질들일 수 있다.For example, when the relative dielectric constant of silicon dioxide is 3.9 F/m to 4.3 F/m, the dielectric constant of the first dielectric
한편, 응력이완부재(1250)의 제1 유전율층(152)이 낮은 비유전율을 가짐으로써, 유기발광소자(OLED)의 제2 전극(E2)과 터치 전극(TE) 사이의 기생 커패시턴스(Cp)를 낮출 수 있다.Meanwhile, since the first dielectric constant layer 152 of the
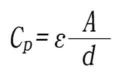
제2 전극(E2)과 터치 전극(TE) 사이의 기생 커패시턴스(Cp)는 다음의 수학식 1에 따라 정의된다.The parasitic capacitance Cp between the second electrode E2 and the touch electrode TE is defined according to
[수학식 1][Equation 1]
여기서, ε은 공기의 유전율과 도전체들(제2 전극(E2)과 터치 전극(TE)) 사이에 위치한 부도체(봉지층 및 응력이완부재)의 비유전율의 곱, A는 전극의 넓이, d는 전극간 거리를 나타낸다.Here, ε is the product of the dielectric constant of air and the relative dielectric constant of the insulator (the encapsulation layer and the stress relaxation member) located between the conductors (the second electrode E2 and the touch electrode TE), A is the width of the electrode, d represents the inter-electrode distance.
수학식 1에 따르면, 제2 전극(E2)과 터치 전극(TE) 사이의 기생 커패시턴스(Cp)는 제2 전극(E2)과 터치 전극(TE) 사이에 위치한 부도체들의 비유전율과 비례하므로, 결국, 기생 커패시턴스(Cp)는 제2 전극(E2)과 터치 전극(TE) 사이에 위치한 부도체 중 하나인 응력이완부재(1250)의 제1 유전율층(1252)의 비유전율과도 비례한다.According to
따라서, 제1 유전율층(1252)의 비유전율이 낮으므로, 제2 전극(E2)과 터치 전극(TE) 사이의 기생 커패시턴스(Cp)도 낮아질 수 있으며, 이에 따라, RC 지연도 완화시킬 수 있다.Accordingly, since the dielectric constant of the first dielectric
또한, 응력이완부재(1250)는 적어도 하나의 제2 유전율층(1251)을 포함할 수 있다. 이 때, 제2 유전율층(1251)은 산화규소로 이루어질 수 있으나, 본 발명은 이에 국한되지 않는다.In addition, the
한편, 도 12에서는 봉지층(1030) 상에 응력이완부재(1250)의 제2 유전율층(1251)이 배치되고, 제2 유전율층(1251) 상에 제1 유전율층(1252)이 배치되는 구성을 도시하였으나, 본 발명이 이에 국한되는 것은 아니다. 예를 들면, 봉지층(1030) 상에 응력이완부재(1250) 제1 유전율층(1252)이 배치되고, 제1 유전율층(1252) 상에 제2 유전율층(1251)이 배치될 수도 있다.Meanwhile, in FIG. 12 , the second dielectric
다시 말해, 본 발명의 응력이완부재(1250)가 적어도 하나의 제2 유전율층(1251)과 적어도 하나의 제1 유전율층(1252)을 포함하는 구성이면 충분하다. 여기서, 제1 유전율층(1252)의 비유전율은 제2 유전율층(1251)의 비유전율과 다를 수 있다.In other words, it is sufficient if the
제1 유전율층(1252)은 이산화규소보다 비유전율이 낮은 규소(Si)를 포함하는 물질로 이루어지거나, 이산화규소보다 비유전율이 낮은 유기 물질로 이루어진 물질일 수 있다.The first dielectric
또는, 제1 유전율층(1252)을 구성하는 물질은 제2 유전율층(1251)을 구성하는 물질보다 비유전율이 낮은 물질일 수 있다.Alternatively, the material constituting the first dielectric
또는, 제1 유전율층(1252)을 구성하는 물질은 제1 봉지층(1031) 또는 제3 봉지층(1033)의 물질보다 비유전율이 낮은 물질일 수 있다.Alternatively, the material constituting the first dielectric
예를 들면, 제1 유전율층(1252)은 탄소가 도핑된 산화규소(SiOx:C), 불소가 도핑된 산화규소(SiOx:F), 탄소가 도핑된 다공성의 산화규소(Porous SiOx:C), 스핀 온 유기 절연물질(Spin-on organic polymeric dielectrics)(예를 들어, polynobornenes, benzocyclobutene 등), 스핀 온 규소계 유기 절연물질(Spin-on silicon based polymeric dielectrics)(예를 들어, hydrogen silsesquioxane, methyl silsesquiozane 등) 중 적어도 어느 하나의 물질로 이루어질 수 있다.For example, the first dielectric
한편, 상술한 제1 유전율층(1252)의 물질들은 유기 절연물질이거나, 유기 절연물질의 물성과 유사한 물성을 갖는다.Meanwhile, the materials of the above-described first dielectric
구체적으로, 스핀 온 유기 절연물질과 스핀 온 규소계 유기 절연물질은 이산화규소, 제2 유전율층(1251), 제1 봉지층(1031) 및 제3 봉지층(1033) 중 어느 하나의 구성보다 비유전율이 낮은 유기 절연물질이며, 탄소가 도핑된 산화규소(SiOx:C), 불소가 도핑된 산화규소(SiOx:F), 탄소가 도핑된 다공성의 산화규소(Porous SiOx:C)는 이산화규소, 제2 유전율층(1251), 제1 봉지층(1031) 및 제3 봉지층(1033) 중 어느 하나의 구성보다 비유전율이 낮고 유기 절연물질의 물성과 유사한 물성을 갖는 물질들이다.Specifically, the spin-on organic insulating material and the spin-on silicon-based organic insulating material are similar to those of any one of silicon dioxide, the second dielectric
예를 들면, 탄소가 도핑된 산화규소(SiOx:C), 불소가 도핑된 산화규소(SiOx:F), 탄소가 도핑된 다공성의 산화규소(Porous SiOx:C)는 상술한 유기 절연물질들과 같이 높은 연성을 갖고, 플렉서블 터치표시장치(100) 내로 침투한 수분 또는 공기의 이동 경로를 늘려 유기발광소자(OLED)에 도달하는 시간을 지연시키는 역할을 할 수 있다.For example, silicon oxide doped with carbon (SiOx:C), silicon oxide doped with fluorine (SiOx:F), and porous silicon oxide doped with carbon (Porous SiOx:C) are combined with the organic insulating materials described above. It has high ductility and may serve to delay the time it takes to reach the organic light emitting diode (OLED) by increasing the movement path of moisture or air that has penetrated into the flexible
한편, 응력완화부재(1250)의 제2 유전율층(1251)이 산화규소로 이루어지고, 제1 유전율층(1252)이 규소를 포함하는 물질로 이루어질 경우, 응력완화부재(1250)를 형성하는 공정이 간단해질 수 있다. 예를 들어, 제3 봉지층(1233) 상에 산화규소로 이루어지는 제2 유전율층(1251)을 형성하고, 제1 유전율층(1252)은 산화규소 물질에 탄소 또는 불소를 도핑하여 형성할 수 있다. 즉, 제1 유전율층(1252)은 제2 유전율층(1251)과 동일 물질로 형성하고 이후 탄소 또는 불소를 도핑하여 형성할 수 있으므로, 제2 유전율층(1251)과 다른 원료물질로 형성할 필요가 없다. 따라서, 제1 유전율층(1252)의 형성 공정이 간단해질 수 있다.On the other hand, when the second dielectric
한편, 도 13에 도시한 바와 같이, 제2 전극(E2)과 터치 전극(TE) 사이의 기생 커패시턴스(Cp)는 제2 전극(E2)과 터치 전극(TE) 사이의 거리(d1, 또는 두께)에 반비례 하므로, 제2 전극(E2)과 터치 전극(TE) 사이의 기생 커패시턴스(Cp)를 낮추기 위해서는 제2 전극(E2)과 터치 전극(TE) 사이의 거리(d1)를 증가시키는 방법도 있다.Meanwhile, as shown in FIG. 13 , the parasitic capacitance Cp between the second electrode E2 and the touch electrode TE is the distance d1 or the thickness between the second electrode E2 and the touch electrode TE. ), in order to lower the parasitic capacitance Cp between the second electrode E2 and the touch electrode TE, there is also a method of increasing the distance d1 between the second electrode E2 and the touch electrode TE. have.
다시 말해, 제2 전극(E2)과 터치 전극(TE) 사이에 위치한 구성들의 거리(d1)를 증가시키면 제2 전극(E2)과 터치 전극(TE) 사이의 기생 커패시턴스(Cp)를 줄일 수 있다.In other words, if the distance d1 of components positioned between the second electrode E2 and the touch electrode TE is increased, the parasitic capacitance Cp between the second electrode E2 and the touch electrode TE may be reduced. .
즉, 제1 유전율층(1252)은 비유전율이 낮으므로 제2 전극(E2)과 터치 전극(TE) 사이의 기생 커패시턴스(Cp)를 줄여줄 수 있다. 그리고, 제1 유전율층(1252)이 높은 연성을 갖는 물질로 이루어지기 때문에 기생 커패시턴스(Cp)를 줄이기 위해 거리(d1)를 증가시키더라도, 플렉서블 터치표시장치(100)를 휘거나 접기 위해 외력을 가할 때 플렉서블 터치표시장치(100) 내에 발생된 응력을 이완(relaxation)시킬 수 있다.That is, since the first dielectric
구체적으로, 플렉서블 터치표시장치(100)가 벤딩 가능하고, 응력이완부재(1250)는 플렉서블 터치표시장치(100)가 벤딩 가능한 영역에 위치한다. 한편, 응력이완부재(1250)는 벤딩 가능한 영역을 포함하여, 벤딩 가능하지 않는 영역까지 배치될 수도 있다.Specifically, the flexible
이러한 응력이완부재(1250)가 높은 연성을 갖는 제1 유전율층(1252)을 포함하지 않을 경우, 제2 봉지층(1032) 상에는 제3 봉지층(1232) 제2 유전율층(1251), 제2 층간절연막(1235)등 적어도 세 개의 무기절연층이 연달아 위치하게 된다.When the
그러나, 플렉서블 터치표시장치(100)를 휘거나 접기 위해 외력을 가할 경우, 적층된 무기절연층 내에 발생하는 응력이 매우 커서 무기절연층들이 안으로 말리거나 깨지는 현상이 발생한다.However, when an external force is applied to bend or fold the flexible
그러나, 본 발명에서는 제2 유전율층(1251)과 제2 층간절연막(1235) 사이에 제1 유전율층(1252)이 위치하여, 무기절연층들 내에 발생하는 응력을 이완시켜 줄 수 있다. 따라서, 무기절연층들이 안으로 말리거나 깨지는 현상이 발생하는 것을 방지할 수 있다.However, in the present invention, the first dielectric
이와 더불어, 제1 유전율층(1252)을 포함하는 응력이완부재(1250)는 기판(1200) 외곽에 위치한 댐(1260) 상에도 위치한다. 구체적으로, 댐(1260) 상에는 봉지층(1030)과 응력이완부재(1250)가 배치된다. 여기서, 응력이완부재(1250) 상에 배치되는 봉지층(1030)은 제1 봉지층(1031)과 제3 봉지층(1033)일 수 있다.In addition, the
이러한 구조에서 응력이완부재(1250)가 높은 연성을 갖는 제1 유전율층(1252)을 포함하지 않을 경우, 댐(1260) 상에는 제2 유전율층인 제1 봉지층(1031), 제2 봉지층(1233), 제2 유전율층(1251) 및 제1 층간절연막(1235) 등 적어도 네 개의 무기절연층이 연달아 적층 된다.In this structure, when the
그러나, 본 발명에서는 댐(1260) 상에서 제2 유전율층(1251)과 제2 층간절연막(1235) 사이에 유기물 특성을 갖는 제1 유전율층(1252)이 위치하므로, 무기절연층들 내에 응력이 발생하여 파손되는 것을 방지할 수 있다.However, in the present invention, since the first dielectric
또한, 응력이완부재(1250)의 제2 유전율층(1251)의 두께(T1)는 제1 유전율층(1252)의 두께(T2)보다 얇을 수 있다. 이와 같이, 높은 연성을 갖는 제1 유전율층(1252)의 두께가 두껍고, 낮은 연성을 갖는 제2 유전율층(1251)의 두께가 얇게 형성되어, 플렉서블 터치표시장치(100) 벤딩 시 제2 유전율층(1251)이 파손되는 것을 방지할 수 있다.In addition, the thickness T1 of the second dielectric
특히, 제2 유전율층(1251)이 두꺼울수록 벤딩 시키기 위한 외력이 크게 가해져야 하는데, 제2 유전율층(1251)에 가해지는 외력이 클수록 제2 유전율층(1251) 내부에 발생하는 응력도 커지므로, 제2 유전율층(1251)에 균열(crack)이 발생할 확률이 커진다. 그러나, 본 발명에서는 제2 유전율층(1251)의 두께를 얇게(구체적으로, 제1 유전율층의 두께보다 얇게)하여 제2 유전율층(1251)에 균열이 발생하는 것을 억제할 수 있다.In particular, the thicker the second dielectric
상술한 바와 같이, 응력이완부재(1250)는 하나의 제1 유전율층(1252)과 적어도 하나의 제2 유전율층(1251)을 포함할 수 있다.As described above, the
이로써, 응력이완부재(1250)는 제1 유전율층(1252)과 제2 유전율층(1251) 경계에 위치한 경계면을 가질 수 있다.Accordingly, the
서로 다른 물질 사이의 경계면은 수분 및 공기의 침투를 막거나 수분 및 공기의 이동을 방해할 수 있다.The interface between different materials can prevent the penetration of moisture and air or impede the movement of moisture and air.
이를 도 14를 참조하여 검토하면 다음과 같다.This will be reviewed with reference to FIG. 14 as follows.
도 14는 본 발명의 실시예들에 따른 응력이완부재를 도시한 도면이다.14 is a view showing a stress relaxation member according to embodiments of the present invention.
도 14를 참조하면, 응력이완부재(1250)는 제1 유전율층(1252)과 제1 유전율층(1252) 하부에 배치된 제2 유전율층(1251)을 포함한다. 제1 유전율층(1252)과 제2 유전율층(1251) 사이에는 경계면(1410)이 위치한다.Referring to FIG. 14 , the
도 14와 같이, 제1 유전율층(1252) 하부에 제2 유전율층(1251)이 배치된 구조에서 제1 유전율층(1252)에 외부로부터 유입된 수분 및 공기(1400)가 침투할 경우, 수분과 공기(1400)의 이동 경로를 늘려, 다른 구성에 침투하는 속도를 지연시킬 수 있다.14, in the structure in which the second dielectric
한편, 제2 유전율층(1251)의 경우, 핀 홀(pin hole)등의 결함이 거의 없는 관계로, 낮은 투습성을 가질 수 있다.On the other hand, in the case of the second dielectric
따라서, 수분 및 공기(1400)가 제1 유전율층(1252)을 통과하더라도, 제1 유전율층(1252)과 제2 유전율층(1251)이 만나는 경계면(1310)에서 제2 유전율층(1251)에 의해 더 이상 이동하지 못하고 저지될 수 있다.Therefore, even if moisture and
한편, 도 12 내지 도 14에서는 뮤추얼-커패시턴스 기반의 터치 센싱 방식으로 터치를 센싱하는 플렉서블 터치표시장치(100)를 중심으로 설명하였으나, 본 발명은 이에 국한되지 않고, 셀프-커패시턴스 기반의 터치 센싱 방식으로도 터치를 센싱하는 플렉서블 터치표시장치(100)일 수도 있다.Meanwhile, in FIGS. 12 to 14 , the flexible
셀프-커패시턴스 기반의 터치 센싱 방식으로 터치를 센싱하는 플렉서블 터치표시장치(100)가 유기발광소자(OLED), 봉지층(1030), 응력이완부재(1250) 및 터치 전극(TE)을 포함하는 구성을 검토하면 다음과 같다.The flexible
도 15는 본 발명의 다른 실시예들에 따른 플렉서블 터치표시장치의 단면도이다. 후술하는 설명에서는 앞서 설명한 실시예들과 중복되는 내용(구성, 효과 등)은 생략할 수 있다.15 is a cross-sectional view of a flexible touch display device according to other embodiments of the present invention. In the following description, content (configuration, effect, etc.) that overlaps with the above-described embodiments may be omitted.
도 15를 참조하면, 본 발명의 다른 실시예들에 따른 플렉서블 터치표시장치(100)에서, 봉지층(1030) 상에 제2 유전율층(1251)과 제1 유전율층(1252)을 포함하는 응력이완부재(1250)가 위치하고, 응력이완부재(1250) 상에는 제2 층간절연막(1235)이 위치한다. 제2 층간절연막(1235) 상에는 다수의 터치 전극(TE) 및 터치 전극(TE)과 연결된 터치라인(TL)이 배치된다.Referring to FIG. 15 , in the flexible
한편, 도 12에서는 동일한 행 (또는 동일한 열)에 배치된 터치 전극(TE)들이 브릿지 패턴(BP)을 통해 전기적으로 연결되어 하나의 구동 터치 전극 라인을 형성하거나, 하나의 센싱 터치 전극 라인을 형성한 뮤추얼-커패시턴스 방식의 플렉서블 터치표시장치(100)를 도시하였다.Meanwhile, in FIG. 12 , the touch electrodes TE disposed in the same row (or the same column) are electrically connected through the bridge pattern BP to form one driving touch electrode line or one sensing touch electrode line. One mutual-capacitance type flexible
도 15에서는 도 12와는 다르게 하나 이상의 터치 전극(TE)으로 구동 신호를 인가하고, 구동 신호가 인가된 터치 전극(TE)으로부터 센싱 신호를 수신하며, 수신된 센싱 신호를 토대로, 손가락, 펜 등의 포인터와 터치 전극(TE) 간의 커패시턴스의 변화를 토대로 터치 유무 및/또는 터치 좌표 등을 검출하는 셀프-커패시턴스 방식의 플렉서블 터치표시장치(100)를 도시한다.In FIG. 15 different from FIG. 12 , a driving signal is applied to one or more touch electrodes TE, a sensing signal is received from the touch electrode TE to which the driving signal is applied, and based on the received sensing signal, The self-capacitance type flexible
즉, 본 발명의 응력이완부재(1250)는 뮤추얼-커패시턴스 방식의 플렉서블 터치표시장치(100)와 셀프-커패스턴스 방식의 플렉서블 터치표시장치(100) 모두에 적용될 수 있다.That is, the
또한, 도 12 내지 도 15에서는 응력이완부재(1250)가 하나의 제2 유전율층(1251)과 제1 유전율층(1252)을 구비하는 구성을 중심으로 설명하였으나, 본 발명은 이에 국한되지 않고, 도 16 및 도 17의 구조로 이루어질 수도 있다.In addition, in FIGS. 12 to 15, the
도 16은 본 발명의 또 다른 플렉서블 터치표시장치의 단면도이다. 후술하는 설명에서는 앞서 설명한 실시예들과 중복되는 내용(구성, 효과 등)은 생략할 수 있다.16 is a cross-sectional view of another flexible touch display device of the present invention. In the following description, content (configuration, effect, etc.) that overlaps with the above-described embodiments may be omitted.
도 16을 참조하면, 본 발명의 또 다른 플렉서블 터치표시장치(100)에서는 봉지층(1030) 상에 위치하는 응력완화부재(1250)가 3중층으로 이루어질 수 있다.Referring to FIG. 16 , in another flexible
여기서, 응력완화부재(1250)는 적어도 하나의 제2 유전율층(1251, 1451)과 적어도 하나의 제1 유전율층(1252)을 포함할 수 있다.Here, the
한편, 도면 16에서는 제3 봉지층(1033) 상에 제1 제2 유전율층(1251)이 위치하고, 제1 제2 유전율층(1251) 상에 제1 유전율층(1252)이 위치하고, 제1 유전율층(1251) 상에 제2 제2 유전율층(1451)이 위치할 수 있다.Meanwhile, in FIG. 16 , the first second dielectric
이 경우, 플렉서블 터치표시장치(100)의 외부에서 침투하는 수분 및 공기가 제2 제2 유전율층(1451)에 의해 더 이상 다른 구성에 침투하지 못하고 차단 될 수 있고, 제2 제2 유전율층(1451)에 핀 홀 등의 결함이 존재하여 수분 및 공기가 침투하더라도, 제2 제2 유전율층(1451) 하부에 위치한 제1 유전율층(1252)에 의해 이동이 지연될 수 있다. 이와 같이, 이동이 지연된 수분 및 공기는 제1 제2 유전율층(1251)을 침투하지 못하고 이동이 차단될 수 있다.In this case, moisture and air penetrating from the outside of the flexible
도 16의 응력완화부재(1250)는 적어도 제1 제2 유전율층(1251)과 제1 유전율층(1252) 사이와, 제1 유전율층(1252)과 제2 제2 유전율층(1451) 사이에 경계면을 가질 수 있다. 상술한 바와 같이 서로 다른 물질 사이의 경계면은 외부로부터 침투된 수분 및 공기를 차단하거나, 이동을 지연시키는 역할을 할 수 있다.The
한편, 본 발명의 응력이완부재(1250)의 구조는 상술한 설명에 국한되지 않으며, 제3 봉지층(1033) 상에 제1 제1 유전율층이 위치하고, 제1 제1 유전율층 상에 제2 유전율층이 위치하고 제2 유전율층 상에 제2 제1 유전율층이 위치할 수도 있다.Meanwhile, the structure of the
응력이완부재(1250)가 제1 및 제2 제2 유전율층(1251, 1451)을 포함하고, 제1 및 제2 제2 유전율층(1251, 1451) 사이에 제1 유전율층(1252)이 위치함으로써, 도 12에 도시된 터치 전극(TE)과 제2 전극(E2) 사이의 거리(d1)보다 제2 제2 유전율층(1451)의 두께만큼 증가할 수 있다.The
이에 따라, 터치 전극(TE)과 제2 전극(E2) 사이의 거리(d2)가 증가하여 터치 전극(TE)과 제2 전극(E2) 사이의 기생 커패시턴스(Cp)를 줄일 수 있는 동시에, 제1 유전율층(1252)을 통해 플렉서블 터치표시장치(100) 벤딩 시 파손을 방지하고, 수분 및 공기를 차단하거나 이동을 지연시킬 수 있는 효과를 가질 수 있다.Accordingly, the distance d2 between the touch electrode TE and the second electrode E2 is increased to reduce the parasitic capacitance Cp between the touch electrode TE and the second electrode E2, and at the same time, the first Through the first dielectric
이와 같이, 본 발명에 실시예들에 따른 응력이완부재(1250)는 적어도 하나의 제1 유전율층과 적어도 하나의 제2 유전율층을 포함하는 구성이면 충분하다.As described above, it is sufficient if the
도 17은 본 발명의 다른 실시예들에 따른 응력이완부재를 도시한 도면이다.17 is a view showing a stress relaxation member according to another embodiment of the present invention.
도 17을 참조하면, 응력이완부재(1250)는 n개의 제2 유전율층(1251)과 m개의 제1 유전율층(1252)을 포함할 수 있다. 여기서, n과 m은 각각 서로 독립적으로 동일하거나 상이한 1 이상의 자연수일 수 있다.Referring to FIG. 17 , the
n과 m이 1일 경우, 도 12에 도시한 응력이완부재(1250)의 구조와 동일할 수 있고, n이 2이고, m이 1일 경우, 도 16에 도시한 응력이완부재(1250)의 구조와 동일할 수 있다.When n and m are 1, the structure of the
n과 m이 커질수록 제2 전극(E2)과 터치 전극(TE) 사이의 거리가 증가하여 제2 전극(E2)과 터치 전극(TE) 사이의 기생 커패시턴스(Cp)를 저감할 수 있고, 제2 유전율층(1251)과 제1 유전율층(1252)의 경계면 수가 증가하여 수분 및 공기를 차단하거나 이동을 지연시킬 수 있는 현저한 효과를 가질 수 있다. 또한, 제2 유전율층(1251)들 사이에 유기 물질이거나 유기 물질의 특성을 갖는 물질로 이루어진 제1 유전율층(1252)이 배치됨으로써, 플렉서블 터치표시장치(100) 벤딩 시 파손을 억제할 수 있다.As n and m increase, the distance between the second electrode E2 and the touch electrode TE increases, thereby reducing the parasitic capacitance Cp between the second electrode E2 and the touch electrode TE. The number of interfaces between the second dielectric
또한, n과 m이 작을 경우(예를 들어, 도 12에 도시된 응력이완부재(1250)), 플렉서블 터치표시장치(100)의 전체 두께를 크게 증가시키지 않는 범위에서 제2 전극(E2)과 터치 전극(TE) 사이의 기생 커패시턴스(Cp)를 저감할 수 있으며, 제2 유전율층(1251)과 제1 유전율층(1252)을 통해 수분 및 공기의 침투를 억제할 수 있다. 또한, 제2 유전율층(1251)과 제2 층간절연막(1235) 상에 제1 유전율층(1252)이 배치되어 플렉서블 터치표시장치(100) 벤딩 시 파손을 억제할 수 있다.In addition, when n and m are small (eg, the
도 18은 본 발명의 실시예들에 따른 플렉서블 터치표시장치가 적어도 하나의 벤딩 영역을 포함한 구성을 도시한 사시도이다.18 is a perspective view illustrating a configuration in which a flexible touch display device according to embodiments of the present invention includes at least one bending area.
도 18을 참조하면, 본 발명의 실시예들에 따른 플렉서블 터치표시장치(100)는 적어도 하나의 벤딩 영역(BA)을 포함할 수 있다. 벤딩 영역(BA)은 벤딩 기준 라인(BL)을 기준으로 휘어질 수 있다.Referring to FIG. 18 , the flexible
그리고, 벤딩 영역(BA) 양 측에 비 벤딩 영역(NBA1, NBA2)을 더 포함할 수 있다.In addition, non-bending areas NBA1 and NBA2 may be further included on both sides of the bending area BA.
도 18에는 플렉서블 터치표시장치(100)가 하나의 벤딩 영역(BA)과 두 개의 비 벤딩 영역(NBA1, NBA2)을 포함하는 구조인 것을 도시하였으나, 본 발명의 플렉서블 터치표시장치(100)는 이에 국한되지 않으며, 다수의 벤딩 영역(BA)을 포함할 수도 있고, 비 벤딩 영역(NBA1, NBA2) 영역을 포함하지 않거나, 3개 이상의 비 벤딩 영역(NBA1, NBA2)을 포함할 수도 있다.Although FIG. 18 shows that the flexible
또한, 별도로 도시하지는 않았으나, 본 발명에 따른 플렉서블 터치표시장치(100)는 텔레비전 또는 외부 광고판과 같은 대형 전자장치를 비롯하여, 휴대 전화, 퍼스널 컴퓨터, 노트북 컴퓨터, 개인 디지털 단말기, 자동차 네이게이션 유닛, 게임기, 휴대용 전자 기기, 손목 시계형 전자 기기, 카메라와 같은 중소형 전자장치 등에 사용될 수 있다.In addition, although not shown separately, the flexible
또한, 본 발명의 실시예들에 따른 플렉서블 터치표시장치(100)의 표시패널(1800)은 해당 영역이 이미지를 표시 하는지 여부에 따라 표시영역(AA) 및 비 표시영역(NA)으로 구분될 수 있다.In addition, the
플렉서블 터치표시장치(100)의 표시패널(1800)은 표시영역(AA)를 통해 이미지를 표시할 수 있다. 비 표시영역(NA)은 이미지를 표시 하지 않는다. 비 표시영역(NA)에는 표시 영역(AA)을 구동하기 위한 구동부 및/또는 배선들이 배치 될 수 있다. 비 표시영역(NA)은 표시영역(AA)을 둘러쌀 수 있다.The
그리고, 터치패널은 이러한 표시패널(1800)에 내장될 수 있으며, 구체적으로는, 봉지층 상에 위치할 수 있다. 그리고, 봉지층과 터치 전극 사이에는 응력완화부재가 위치할 수 있다.In addition, the touch panel may be embedded in the
이상에서 전술한 본 발명의 실시예들에 의하면, 터치 전극과 유기발광소자의 전극 사이의 기생 커패시턴스를 줄일 수 있는 구조를 갖는 터치패널 및 플렉서블 터치표시장치를 제공할 수 있다.According to the above-described embodiments of the present invention, it is possible to provide a touch panel and a flexible touch display device having a structure capable of reducing parasitic capacitance between the touch electrode and the electrode of the organic light emitting device.
본 발명의 다른 실시예들에 의하면, 벤딩 가능한 플렉서블 터치표시장치에서 제2 유전율층의 파손이 발생하는 것을 방지할 수 있는 구조를 갖는 터치패널 및 플렉서블 터치표시장치를 제공할 수 있다.According to other embodiments of the present invention, it is possible to provide a touch panel and a flexible touch display device having a structure capable of preventing the second dielectric constant layer from being damaged in a bendable flexible touch display device.
본 발명의 또 다른 실시예들에 의하면, 유기발광소자에 수분 및 공기가 침투되는 것을 방지할 수 있는 구조를 갖는 터치패널 및 플렉서블 터치표시장치를 제공할 수 있다.According to still other embodiments of the present invention, it is possible to provide a touch panel and a flexible touch display device having a structure that can prevent moisture and air from penetrating into the organic light emitting diode.
이상에서의 설명 및 첨부된 도면은 본 발명의 기술 사상을 예시적으로 나타낸 것에 불과한 것으로서, 본 발명이 속하는 기술 분야에서 통상의 지식을 가진 자라면 본 발명의 본질적인 특성에서 벗어나지 않는 범위에서 구성의 결합, 분리, 치환 및 변경 등의 다양한 수정 및 변형이 가능할 것이다. 따라서, 본 발명에 개시된 실시예들은 본 발명의 기술 사상을 한정하기 위한 것이 아니라 설명하기 위한 것이고, 이러한 실시예에 의하여 본 발명의 기술 사상의 범위가 한정되는 것은 아니다. 본 발명의 보호 범위는 아래의 청구범위에 의하여 해석되어야 하며, 그와 동등한 범위 내에 있는 모든 기술 사상은 본 발명의 권리범위에 포함되는 것으로 해석되어야 할 것이다.The above description and the accompanying drawings are merely illustrative of the technical idea of the present invention, and those of ordinary skill in the art to which the present invention pertains can combine configurations within a range that does not depart from the essential characteristics of the present invention. , various modifications and variations such as separation, substitution and alteration will be possible. Therefore, the embodiments disclosed in the present invention are not intended to limit the technical spirit of the present invention, but to explain, and the scope of the technical spirit of the present invention is not limited by these embodiments. The protection scope of the present invention should be construed by the following claims, and all technical ideas within the equivalent range should be construed as being included in the scope of the present invention.
100: 플렉서블 터치표시장치
110: 터치표시패널
1230: 봉지층
1250: 응력이완부재
1251: 제2 유전율층
1252: 제1 유전율층100: flexible touch display device
 110: touch display panel
 1230: encapsulation layer
 1250: stress relaxation member
 1251: second dielectric constant layer
 1252: first dielectric constant layer
| Application Number | Priority Date | Filing Date | Title | 
|---|---|---|---|
| KR1020170174354AKR102444979B1 (en) | 2017-12-18 | 2017-12-18 | Touch panel and flexible touch display device including same | 
| KR1020220115861AKR102631412B1 (en) | 2017-12-18 | 2022-09-14 | TOUCH PANEL AND Flexible DISPLAY DEVICE INCLUDING THE SAME | 
| KR1020240011681AKR102796424B1 (en) | 2017-12-18 | 2024-01-25 | TOUCH PANEL AND Flexible DISPLAY DEVICE INCLUDING THE SAME | 
| KR1020250047003AKR20250056856A (en) | 2017-12-18 | 2025-04-10 | TOUCH PANEL AND Flexible DISPLAY DEVICE INCLUDING THE SAME | 
| Application Number | Priority Date | Filing Date | Title | 
|---|---|---|---|
| KR1020170174354AKR102444979B1 (en) | 2017-12-18 | 2017-12-18 | Touch panel and flexible touch display device including same | 
| Application Number | Title | Priority Date | Filing Date | 
|---|---|---|---|
| KR1020220115861ADivisionKR102631412B1 (en) | 2017-12-18 | 2022-09-14 | TOUCH PANEL AND Flexible DISPLAY DEVICE INCLUDING THE SAME | 
| Publication Number | Publication Date | 
|---|---|
| KR20190073061A KR20190073061A (en) | 2019-06-26 | 
| KR102444979B1true KR102444979B1 (en) | 2022-09-19 | 
| Application Number | Title | Priority Date | Filing Date | 
|---|---|---|---|
| KR1020170174354AActiveKR102444979B1 (en) | 2017-12-18 | 2017-12-18 | Touch panel and flexible touch display device including same | 
| KR1020220115861AActiveKR102631412B1 (en) | 2017-12-18 | 2022-09-14 | TOUCH PANEL AND Flexible DISPLAY DEVICE INCLUDING THE SAME | 
| KR1020240011681AActiveKR102796424B1 (en) | 2017-12-18 | 2024-01-25 | TOUCH PANEL AND Flexible DISPLAY DEVICE INCLUDING THE SAME | 
| KR1020250047003APendingKR20250056856A (en) | 2017-12-18 | 2025-04-10 | TOUCH PANEL AND Flexible DISPLAY DEVICE INCLUDING THE SAME | 
| Application Number | Title | Priority Date | Filing Date | 
|---|---|---|---|
| KR1020220115861AActiveKR102631412B1 (en) | 2017-12-18 | 2022-09-14 | TOUCH PANEL AND Flexible DISPLAY DEVICE INCLUDING THE SAME | 
| KR1020240011681AActiveKR102796424B1 (en) | 2017-12-18 | 2024-01-25 | TOUCH PANEL AND Flexible DISPLAY DEVICE INCLUDING THE SAME | 
| KR1020250047003APendingKR20250056856A (en) | 2017-12-18 | 2025-04-10 | TOUCH PANEL AND Flexible DISPLAY DEVICE INCLUDING THE SAME | 
| Country | Link | 
|---|---|
| KR (4) | KR102444979B1 (en) | 
| Publication number | Priority date | Publication date | Assignee | Title | 
|---|---|---|---|---|
| KR20210072200A (en) | 2019-12-06 | 2021-06-17 | 삼성디스플레이 주식회사 | Display device | 
| KR102705522B1 (en) | 2020-05-22 | 2024-09-11 | 삼성디스플레이 주식회사 | Display device | 
| KR20220022528A (en) | 2020-08-18 | 2022-02-28 | 삼성디스플레이 주식회사 | Display device | 
| KR102832331B1 (en)* | 2021-06-22 | 2025-07-10 | 삼성디스플레이 주식회사 | Display device | 
| KR20230027360A (en) | 2021-08-18 | 2023-02-28 | 삼성디스플레이 주식회사 | Display device | 
| Publication number | Priority date | Publication date | Assignee | Title | 
|---|---|---|---|---|
| CN106803514A (en)* | 2017-02-22 | 2017-06-06 | 上海天马微电子有限公司 | Touch-control integrated organic light-emitting diode display device | 
| Publication number | Priority date | Publication date | Assignee | Title | 
|---|---|---|---|---|
| US9544994B2 (en)* | 2014-08-30 | 2017-01-10 | Lg Display Co., Ltd. | Flexible display device with side crack protection structure and manufacturing method for the same | 
| KR102362189B1 (en)* | 2015-04-16 | 2022-02-11 | 삼성디스플레이 주식회사 | Organic light emitting diode display | 
| KR102401080B1 (en)* | 2015-09-30 | 2022-05-23 | 삼성디스플레이 주식회사 | Display device | 
| KR102615113B1 (en)* | 2016-05-10 | 2023-12-19 | 삼성디스플레이 주식회사 | flexible display device | 
| Publication number | Priority date | Publication date | Assignee | Title | 
|---|---|---|---|---|
| CN106803514A (en)* | 2017-02-22 | 2017-06-06 | 上海天马微电子有限公司 | Touch-control integrated organic light-emitting diode display device | 
| Publication number | Publication date | 
|---|---|
| KR20240015133A (en) | 2024-02-02 | 
| KR20250056856A (en) | 2025-04-28 | 
| KR102796424B1 (en) | 2025-04-17 | 
| KR102631412B1 (en) | 2024-01-30 | 
| KR20190073061A (en) | 2019-06-26 | 
| KR20220128605A (en) | 2022-09-21 | 
| Publication | Publication Date | Title | 
|---|---|---|
| US11698702B2 (en) | Touch sensing unit and display device including the same | |
| KR102796424B1 (en) | TOUCH PANEL AND Flexible DISPLAY DEVICE INCLUDING THE SAME | |
| KR102498436B1 (en) | Touch display device and touch display panel | |
| US20200027929A1 (en) | Display apparatus with touch sensor | |
| KR102553530B1 (en) | Touch display panel, touch display device and method for driving thereof | |
| CN109725780A (en) | Touch screen panel and touch display device including the same | |
| US10845928B2 (en) | Display apparatus with touch sensor | |
| US20230064771A1 (en) | Display device | |
| US20180181239A1 (en) | Liquid crystal display device with touch sensor and method for driving the same | |
| US11903280B2 (en) | Display device | |
| US20230354659A1 (en) | Display panel and display device | |
| CN101819494B (en) | Image display system | |
| US20230309353A1 (en) | Display panel and display device | |
| US12405694B2 (en) | Display panel and display device including the same | |
| US12408517B2 (en) | Display device | |
| US20230301158A1 (en) | Display panel and display device | |
| US12045423B2 (en) | Display device | |
| US20230217704A1 (en) | Display device | |
| US20230157129A1 (en) | Display device | |
| CN116390567A (en) | Display device | |
| KR102745726B1 (en) | Touch display device | |
| US20230299065A1 (en) | Display panel and display device | |
| US20230200185A1 (en) | Display Device | |
| US20230185416A1 (en) | Touch display device | |
| KR20230133441A (en) | Display integrated touch sensing device | 
| Date | Code | Title | Description | 
|---|---|---|---|
| PA0109 | Patent application | St.27 status event code:A-0-1-A10-A12-nap-PA0109 | |
| PG1501 | Laying open of application | St.27 status event code:A-1-1-Q10-Q12-nap-PG1501 | |
| A201 | Request for examination | ||
| PA0201 | Request for examination | St.27 status event code:A-1-2-D10-D11-exm-PA0201 | |
| D13-X000 | Search requested | St.27 status event code:A-1-2-D10-D13-srh-X000 | |
| P22-X000 | Classification modified | St.27 status event code:A-2-2-P10-P22-nap-X000 | |
| D14-X000 | Search report completed | St.27 status event code:A-1-2-D10-D14-srh-X000 | |
| E902 | Notification of reason for refusal | ||
| PE0902 | Notice of grounds for rejection | St.27 status event code:A-1-2-D10-D21-exm-PE0902 | |
| T11-X000 | Administrative time limit extension requested | St.27 status event code:U-3-3-T10-T11-oth-X000 | |
| E13-X000 | Pre-grant limitation requested | St.27 status event code:A-2-3-E10-E13-lim-X000 | |
| P11-X000 | Amendment of application requested | St.27 status event code:A-2-2-P10-P11-nap-X000 | |
| P13-X000 | Application amended | St.27 status event code:A-2-2-P10-P13-nap-X000 | |
| E701 | Decision to grant or registration of patent right | ||
| PE0701 | Decision of registration | St.27 status event code:A-1-2-D10-D22-exm-PE0701 | |
| A107 | Divisional application of patent | ||
| PA0107 | Divisional application | St.27 status event code:A-0-1-A10-A18-div-PA0107 St.27 status event code:A-0-1-A10-A16-div-PA0107 | |
| GRNT | Written decision to grant | ||
| PR0701 | Registration of establishment | St.27 status event code:A-2-4-F10-F11-exm-PR0701 | |
| PR1002 | Payment of registration fee | St.27 status event code:A-2-2-U10-U11-oth-PR1002 Fee payment year number:1 | |
| PG1601 | Publication of registration | St.27 status event code:A-4-4-Q10-Q13-nap-PG1601 | |
| P22-X000 | Classification modified | St.27 status event code:A-4-4-P10-P22-nap-X000 | |
| P22-X000 | Classification modified | St.27 status event code:A-4-4-P10-P22-nap-X000 | |
| P22-X000 | Classification modified | St.27 status event code:A-4-4-P10-P22-nap-X000 | |
| PR1001 | Payment of annual fee | St.27 status event code:A-4-4-U10-U11-oth-PR1001 Fee payment year number:4 |