










본 발명은 측위 방법 및 장치에 관한 것으로, WiFi와 같은 근거리 무선 데이터통신 시스템에서 이동체인 표적노드의 좌표를 산출할 수 있는 무선통신 시스템의 정밀 측위 방법 및 장치에 관한 것이다.The present invention relates to a positioning method and apparatus, and to a precise positioning method and apparatus in a wireless communication system capable of calculating the coordinates of a target node, which is a moving body, in a short-range wireless data communication system such as WiFi.
전자·통신기술의 비약적으로 발전에 따라 무선 통신망(wireless network)을 이용한 다양한 무선통신 서비스가 제공되고 있다. 이에 따라, 무선통신망을 이용한 무선통신시스템에서 제공하는 서비스는 전화와 같은 제한된 음성 서비스뿐만 아니라 패킷(packet) 데이터 등과 같이 멀티미디어 콘텐츠를 송신하는 멀티미디어 통신서비스로 발전해 가고 있다.With the rapid development of electronic and communication technologies, various wireless communication services using a wireless network are being provided. Accordingly, the service provided by the wireless communication system using the wireless communication network is developing into a multimedia communication service that transmits multimedia contents such as packet data as well as a limited voice service such as a telephone call.
최근에는 건물 내에 위치하는 AP(Access Point)들을 활용하여 실내에서 이동 단말의 위치를 측정하려는 방법 들이 연구되고 있다. 이는 AP 위치정보를 이용하여 AP와 통신가능 하도록 연결된 이동 단말을 휴대한 사용자의 위치정보에 따른 관련 서비스가 가능하게 되는데, 일반적으로는 사전에 AP 위치정보들을 계산하여 두고, 신호 세기 등을 이용하여 측위를 수행하게 된다.Recently, methods for measuring the location of a mobile terminal indoors using APs (Access Points) located in buildings are being studied. This enables related services according to the location information of a user carrying a mobile terminal connected to communicate with the AP using the AP location information. In general, the AP location information is calculated in advance and signal strength is used to positioning will be performed.
이와 관련된 종래기술로서, 한국 등록특허공보 제10-1174542호는 이동 단말의 위치 측정 시스템 및 그 방법으로서, 복수의 AP로부터 이동 단말에 전송된 복수의 무선신호의 수신 세기 값을 측정하고, 복수의 AP 각각과 이동단말 간의 무선신호 전송 환경에 기초하여 복수의 AP별 경로 손실 모델을 설정한 후, 설정된 경로 손실을 이용하여 복수의 무선신호의 수신 세기 값으로부터 복수의 AP 각각과 이동 단말 간의 거리를 산출하여 이동 단말의 위치를 측정하는 기술을 개시하고 있다.As a related art, Korean Patent Registration No. 10-1174542 discloses a system and method for measuring a position of a mobile terminal, which measures the reception intensity values of a plurality of radio signals transmitted from a plurality of APs to the mobile terminal, and After setting a path loss model for a plurality of APs based on the wireless signal transmission environment between each AP and the mobile terminal, the distance between each of the plurality of APs and the mobile terminal is calculated from the reception intensity values of the plurality of wireless signals using the set path loss. Disclosed is a technique for calculating and measuring the position of a mobile terminal.
또한, 정보통신설비 학술대회 논문집 "무선 센서 네트워크와 실내 측위 알고리즘을 사용하여 스마트폰 사용자에게 실내 위치정보 서비스를 제공하는 시스템의 구현(2011.08.25. ~ 27.)"은 무선 센서 네트워크를 활용하여 실내 환경에서 스마트폰 사용자에게 위치정보 서비스를 제공하는 시스템에 관한 것으로, 실내에 구축된 센서들은 사용자의 스마트폰과 통신하여 해당 사용자의 신호 세기를 수신 받고, 각 센서노드는 사용자의 신호 세기를 게이트웨이를 통해 서버에 전송한 후, 서버에서 전송받은 신호 세기를 기반으로 사용자의 위치를 계산하는 것에 관한 기술이 기재되어 있다.In addition, the Proceedings of the Information and Communication Equipment Conference "Implementation of a system that provides indoor location information service to smartphone users using a wireless sensor network and indoor positioning algorithm (2011.08.25. ~ 27.)" utilizes a wireless sensor network. It relates to a system that provides a location information service to a smartphone user in an indoor environment. Sensors built indoors communicate with the user's smartphone to receive the user's signal strength, and each sensor node transmits the user's signal strength to the gateway. After transmitting to the server through the, a technique for calculating the user's location based on the signal strength received from the server is described.
이러한 AP에 기반한 위치 정보 계산은 측정장비를 이용하는 경우도 있고 이동 단말을 이용하는 경우도 있지만, 어느 경우라도 하나의 장비를 이용한 1회의 측정결과에 따른 단순 계산에 의존하고 있는 실정임에 따라 AP 위치 정보에 대한 정확한 계산이 이루어지지 않고 있다는 한계가 있다.The location information calculation based on the AP may use a measuring device or a mobile terminal, but in any case, the AP location information depends on a simple calculation based on a single measurement result using a single device. There is a limitation in that an accurate calculation of .
부정확한 AP 위치 계산은 사용자 위치를 부정확하게 제공하게 되는 결과로 이어지는 바, 관련 서비스에 대한 사용자의 불만이 원인이 된다.Inaccurate AP location calculation leads to inaccurately providing the user's location, which causes user dissatisfaction with related services.
본 발명은 상용화된 무선통신 시스템 중 하나인 WiFi 환경에서 스마트 단말과 같은 이동체를 표적노드로 하고, 고정 좌표의 AP(Access Point)를 앵커로 하여, 표적노드와 앵커간의 추정거리, 수신각도 등의 정보를 이용하여 표적노드의 좌표를 추정하는 무선통신 시스템의 정밀 측위 방법 및 장치를 제공하는 데 과제가 있다.The present invention uses a mobile object such as a smart terminal as a target node in a WiFi environment, which is one of the commercialized wireless communication systems, and an AP (Access Point) of fixed coordinates as an anchor, so that the estimated distance between the target node and the anchor, the reception angle, etc. There is a problem to provide a precise positioning method and apparatus of a wireless communication system for estimating the coordinates of a target node using information.
전술한 과제를 해결하기 위해, 본 발명의 실시예에 따른 무선통신 시스템의 정밀 측위 방법은, 이동체인 표적노드와 하나 이상의 AP(Access Point)인 앵커간의 무선통신에 따른 수신신호를 이용한 표적노드의 측위 방법으로서, 상기 표적노드의 수신신호로부터 추출되는 CSI(Channel State Information)를 수집하고, 상기 CSI에 제1 알고리즘을 적용하여 전파경로를 식별하며 FTM(Fine Time Measurement)를 산출하고, 상기 전파경로와 FTM 추정치에 제2 알고리즘을 적용하여 상기 표적노드와 앵커간 제1 추정 거리값을 산출하는 단계, 상기 CSI를 이용하여 추정한 AoA(Angle of Arrival) 및 복수의 FTM 샘플에 제3 알고리즘을 적용하여 다중경로 오류를 보정하고 상기 AP와 표적노드간 제2 추정 거리값을 산출하는 단계, 다수의 학습데이터 및 환경 파라미터를 이용한 딥 러닝 절차를 통해 학습된 학습모델에 상기 제1 및 제2 추정 거리값을 입력하여 정확도가 높은 하나를 선택적으로 추출하여 거리 추정값을 결정하는 단계 및, 상기 거리 추정값과, 상기 AoA에 대한 위상 완화한 AoA 추정값에 제4 알고리즘을 적용하여 상기 표적노드의 좌표를 생성하는 단계를 포함할 수 있다.In order to solve the above problems, the precise positioning method of a wireless communication system according to an embodiment of the present invention is a target node using a reception signal according to wireless communication between a mobile target node and one or more AP (Access Point) anchors. As a positioning method, CSI (Channel State Information) extracted from the received signal of the target node is collected, a first algorithm is applied to the CSI to identify a propagation path, and FTM (Fine Time Measurement) is calculated, and the propagation path and calculating a first estimated distance value between the target node and the anchor by applying a second algorithm to the FTM estimate, and applying the third algorithm to the angle of arrival (AoA) estimated using the CSI and a plurality of FTM samples to correct the multipath error and calculate a second estimated distance value between the AP and the target node; inputting a value and selectively extracting one with high accuracy to determine a distance estimate; and applying a fourth algorithm to the distance estimate and the phase-relaxed AoA estimate for the AoA to generate the coordinates of the target node may include steps.
또한, 전술한 과제를 해결하기 위해, 본 발명의 실시예에 따른 무선통신 시스템의 정밀 측위 장치는, 이동체인 표적노드와 하나 이상의 AP(Access Point)인 앵커간의 무선통신에 따른 수신신호를 이용한 표적노드의 측위 장치로서, 상기 표적노드의 수신신호로부터 추출되는 CSI(Channel State Information)를 수집하고, 상기 CSI에 제1 알고리즘을 적용하여 전파경로를 식별하며 FTM(Fine Time Measurement)를 산출하고, 상기 전파경로와 FTM 추정치에 제2 알고리즘을 적용하여 상기 표적노드와 앵커간 제1 추정 거리값을 산출하는 제1 거리 추정수단, 상기 CSI를 이용하여 추정한 AoA(Angle of Arrival) 및 복수의 FTM 샘플에 제3 알고리즘을 적용하여 다중경로 오류를 보정하고 상기 AP와 표적노드간 제2 추정 거리값을 산출하는 제2 거리 추정수단, 다수의 학습데이터 및 환경 파라미터를 이용한 딥 러닝 절차를 통해 학습된 학습모델에 상기 제1 및 제2 추정 거리값을 입력하여 정확도가 높은 하나를 선택적으로 추출하여 거리 추정값을 결정하는 딥러닝 예측부 및, 상기 거리 추정값과, 상기 AoA에 대한 위상 완화한 AoA 추정값에 제4 알고리즘을 적용하여 상기 표적노드의 좌표를 생성하는 표적노드 출력부를 포함할 수 있다.In addition, in order to solve the above problems, the precision positioning device of the wireless communication system according to an embodiment of the present invention is a target using a reception signal according to wireless communication between a mobile target node and one or more AP (Access Point) anchors. As a positioning device for a node, collecting CSI (Channel State Information) extracted from the received signal of the target node, applying a first algorithm to the CSI, identifying a propagation path, calculating FTM (Fine Time Measurement), and A first distance estimating means for calculating a first estimated distance value between the target node and the anchor by applying a second algorithm to the propagation path and FTM estimate, AoA (Angle of Arrival) estimated using the CSI, and a plurality of FTM samples Learning learned through a deep learning procedure using a second distance estimation means for correcting multipath errors by applying a third algorithm to the AP and calculating a second estimated distance value between the AP and the target node, a plurality of learning data and environmental parameters A deep learning prediction unit that inputs the first and second estimated distance values to a model and selectively extracts one with high accuracy to determine a distance estimate; 4 It may include a target node output unit for generating the coordinates of the target node by applying the algorithm.
본 발명의 실시예에 따르면, 표적노드와 앵커간 송수신되는 신호로부터 CSI(Channel State Information) 데이터를 추출하고, 복수의 알고리즘을 적용하여 둘 이상의 추정 거리를 도출하며, 딥 러닝을 통해 고도화된 학습모델을 이용하여 추정값을 결정 및 이에 기초하여 표적노드의 좌표를 생성함으로써, 보다 정밀한 이동체의 측위가 가능한 효과가 있다.According to an embodiment of the present invention, CSI (Channel State Information) data is extracted from a signal transmitted and received between a target node and an anchor, a plurality of algorithms are applied to derive two or more estimated distances, and a learning model advanced through deep learning By determining the estimated value using , and generating the coordinates of the target node based on this, there is an effect that more precise positioning of the moving object is possible.
도 1은 본 발명의 실시예에 따른 무선통신 시스템의 정밀 측위 장치의 전체 구조를 개략적으로 나타낸 도면이다.
도 2는 본 발명의 실시예에 따른 무선통신 시스템의 정밀 측위 방법을 파이프라인으로 나타낸 도면이다.
도 3 내지 도 5는 도 2의 정밀 측위 장치에 의한 무선통신 시스템의 정밀 측위 방법을 순서도로 나타낸 도면이다.
도 6은 안테나가 2개인 AP에 대하여 도달하는 신호(incoming signal)의 각도() 성분에 대한 모식도(a) 및, 그 신호 파형에 대한 그래프(b)를 나타낸 도면이다.
도 7은 MUSIC 알고리즘을 이용한 CSI 분석에 따라 추출된 스펙트럼 데이터를 나타내는 그래프(a) 및, 그 스펙트럼 데이터에 따른 거리값에 대한 다이어그램(b)을 나타낸 도면이다.
도 8은 FTM 프로토콜의 데이터 플로우를 예시한 도면이다.
도 9는 4개의 앵커로부터 표적노드의 좌표를 산출하기 위한 좌표 그래프를 예시한 도면이다.
도 10은 두 개의 직선이동을 기반으로 하는 단일 앵커 환경에서 측위를 위한 좌표 그래프를 나타낸 도면이다.
도 11은 표적노드가 임의의 삼각형을 따라 이동하는 단일 앵커 환경에서 측위를 위한 좌표 그래프를 나타낸 도면이다.1 is a diagram schematically showing the overall structure of a precision positioning device of a wireless communication system according to an embodiment of the present invention.
 2 is a diagram illustrating a precise positioning method of a wireless communication system in a pipeline according to an embodiment of the present invention.
 3 to 5 are diagrams illustrating a precise positioning method of a wireless communication system by the precision positioning device of FIG. 2 as a flowchart.
 6 is an angle of an incoming signal for an AP having two antennas ( ) is a diagram showing a schematic diagram (a) of the component and a graph (b) of the signal waveform.
 7 is a diagram showing a graph (a) showing spectrum data extracted according to CSI analysis using the MUSIC algorithm (a) and a diagram (b) of a distance value according to the spectrum data.
 8 is a diagram illustrating a data flow of an FTM protocol.
 9 is a diagram illustrating a coordinate graph for calculating the coordinates of a target node from four anchors.
 10 is a diagram illustrating a coordinate graph for positioning in a single anchor environment based on two linear movements.
 11 is a diagram illustrating a coordinate graph for positioning in a single anchor environment in which a target node moves along an arbitrary triangle.
설명에 앞서, 명세서 전체에서 어떤 부분이 어떤 구성요소를 "구비" 또는 "포함" 한다고 할 때, 이는 특별히 반대되는 기재가 없는 한, 다른 구성요소를 제외하는 것이 아니라 다른 구성요소를 더 포함할 수 있는 것을 의미한다. 또한, 명세서에 기재된 "...부(Unit)", "...서버(Server)", "...시스템(System)" 등의 용어는 적어도 하나의 기능이나 동작을 처리하는 단위를 의미하며, 이는 하드웨어, 소프트웨어 또는, 하드웨어 및 소프트웨어의 결합으로 구현될 수 있다.Prior to the description, when a part in the entire specification "includes" or "includes" a certain component, it does not exclude other components, but may further include other components unless otherwise stated. means there is In addition, terms such as "...unit", "...server", "...system", etc. described in the specification mean a unit that processes at least one function or operation and may be implemented by hardware, software, or a combination of hardware and software.
또한, 본 명세서에서 "실시예"라는 용어는 예시, 사례 또는 도해의 역할을 하는 것을 의미하나, 발명의 대상은 그러한 예에 의해 제한되지 않는다. 또한, "포함하는", "구비하는", "갖는" 및 다른 유사한 용어가 사용되고 있으나, 청구범위에서 사용되는 경우 임의의 추가적인 또는 다른 구성요소를 배제하지 않는 개방적인 전환어(Transition word)로서 "포함하는(Comprising)"이라는 용어와 유사한 방식으로 포괄적으로 사용된다.In addition, the term "embodiment" in this specification means serving as an illustration, example, or illustration, but the subject matter of the invention is not limited by such examples. Also, "comprising", "comprising", "having" and other similar terms are used, but when used in the claims, " as an open-ended transition word that does not exclude any additional or other element. It is used generically in a manner analogous to the term "comprising".
본 명세서에 설명된 다양한 기법은 하드웨어 또는 소프트웨어와 함께 구현될 수 있거나, 적합한 경우에 이들 모두의 조합과 함께 구현될 수 있다. 본 명세서에 사용된 바와 같은 "...부(Unit)", "...서버(Server)", "...시스템(System)" 등의 용어는 마찬가지로 컴퓨터 관련 엔티티(Entity), 즉 하드웨어, 하드웨어 및 소프트웨어의 조합, 소프트웨어 또는 실행 시의 소프트웨어와 등가로 취급할 수 있다. 또한, 본 발명의 시스템에서 구현하는 각 기능은 모듈단위의 프로그램으로 구성될 수 있고, 하나의 물리적 메모리에 기록되거나, 둘 이상의 메모리 및 기록매체 사이에 분산되어 기록될 수 있다.The various techniques described herein may be implemented in conjunction with hardware or software, or a combination of both, where appropriate. As used herein, terms such as "...Unit", "...Server", "...System" and the like likewise refer to computer-related entities, i.e. hardware , a combination of hardware and software, software or software in execution may be treated as equivalent. In addition, each function implemented in the system of the present invention may be configured as a module unit program, and may be recorded in one physical memory or may be recorded while being distributed between two or more memories and recording media.
또한, 이하의 설명에서 본 발명의 "무선통신 시스템의 정밀 측위 장치"의 용어는 설명의 편의상, "정밀 측위 장치"로 약식 표기 될 수 있다.In addition, in the following description, the term "precision positioning device of a wireless communication system" of the present invention may be abbreviated as "precision positioning device" for convenience of description.
이하, 도면을 참조하여, 본 발명의 실시예에 따른 무선통신 시스템의 정밀 측위 방법 및 장치를 상세히 설명한다.Hereinafter, a precise positioning method and apparatus of a wireless communication system according to an embodiment of the present invention will be described in detail with reference to the drawings.
도 1은 본 발명의 실시예에 따른 무선통신 시스템의 정밀 측위 장치의 전체 구조를 개략적으로 나타낸 도면이다.1 is a diagram schematically showing the overall structure of a precision positioning device of a wireless communication system according to an embodiment of the present invention.
도 1을 참조하면, 본 발명의 실시예에 따른 무선통신 시스템의 정밀 측위 장치(100)는, WiFi 환경에서 스마트폰, 태블릿 PC 등의 이동 단말을 표적노드로 하고, WiFi 접속을 지원하는 위치가 고정 설치된 AP(Access Point)를 앵커(anchor)로 하는 무선통신 시스템에서 표적노드를 정밀 측위하는 것을 특징으로 한다.1, the
이를 위해, 본워발명의 실시예에 따른 정밀 측위 장치(100)는 표적노드에서 앵커까지 추정거리, 수신각도 및 앵커의 절대좌표로부터 복수의 알고리즘을 이용하여 표적노드의 좌표를 추정하게 되며, 여기서 앵커의 절대좌표는 고정노드로서 미리 알려진 값임을 전제로 한다.To this end, the
상세하게는, 본 발명의 정밀 측위 장치(100)는 이동체인 표적노드(10)와 하나 이상의 AP(50)인 앵커간의 무선통신에 따른 수신신호를 이용한 표적노드(10)의 측위 장치로서, 표적노드(10)의 수신신호로부터 추출되는 CSI(Channel State Information)를 수집하고, CSI에 제1 알고리즘을 적용하여 전파경로를 식별하며 FTM(Fine Time Measurement)를 산출하고, 전파경로와 FTM 추정치에 제2 알고리즘을 적용하여 표적노드(10)와 AP(50)간 제1 추정 거리값을 산출하는 제1 거리추정 수단(110), CSI를 이용하여 FTM(Fine Time Measurement) 및 AoA(Angle of Arrival)에 대한 다중경로 오류를 보정하는 제3 알고리즘을 적용하여 AP(50)와 표적노드(10)간 제2 추정 거리값을 산출하는 제2 거리 추정수단(120), 다수의 학습데이터 및 환경 파라미터를 이용한 딥 러닝 절차를 통해 학습된 학습모델에 제1 및 제2 추정 거리값을 입력하여 정확도가 높은 하나를 선택적으로 추출하여 거리 추정값을 결정하는 딥러닝 예측부(130) 및, 거리 추정값과, AoA에 대한 위상 완화한 AoA 추정값에 제4 알고리즘을 적용하여 표적노드의 좌표를 생성하는 표적노드 출력부(140)를 포함할 수 있다.In detail, the
제1 거리추정 수단(110)은 본 발명의 WiFi 환경에서 CSI를 수집하고, 이에 기반한 제1 알고리즘인 MUSIC(Multiple Emitter Location and Signal Parameter Estimation) 알고리즘으로부터 1차적으로 결과값을 도출하고, 이에 대한 오류값을 제2 알고리즘인 FUSIC(When FTM Discovered MUSIC)을 통해 수정함으로써 제1 추정 거리값을 산출할 수 있다.The first distance estimating means 110 collects CSI in the WiFi environment of the present invention, and derives the result value from the MUSIC (Multiple Emitter Location and Signal Parameter Estimation) algorithm, which is a first algorithm based thereon, and the error therefor The first estimated distance value may be calculated by correcting the value through a second algorithm, When FTM Discovered MUSIC (FUSIC).
상세하게는, 제1 거리추정 수단(110)은 그 역할에 따라, 표적노드(10)의 송신기 안테나수, 수신기 안테나수 및 부반송파 수의 곱을 통해 수신신호의 PHY로부터 CSI를 추출하는 CSI 데이터 추출부(111), 제1 알고리즘을 적용하여 CSI의 다중신호를 분류하여 의사 스펙트럼을 추출하는 스펙트럼 추출부(112), 의사 스펙트럼의 피크에 기초하여 전파경로를 식별하고, 전파경로에 기초하여 ToF(Time of Flight) 및 전파강도의 추정치를 추출하는 우세경로 계산부(113) 및 제2 알고리즘을 통해 NLOS(Non Line of Sight) 환경을 포함하여 FTM의 부정확한 반환값을 감지하고, 오류를 수정하여 제1 추정 거리값을 산출하는 제1 거리 계산부(114)로 구분될 수 있다.In detail, the first
CSI 데이터 추출부(111)는, 표적노드(10)의 수신신호를 통해 CSI(Channel State Information)를 추출할 수 있다. 본 발명의 실시예에 따른 정밀 측위 장치(100)는 CSI에 포함되는 다양한 정보, 일례로서 반송파(Carrier) n에 대한 감쇠 및 위상편의 θn 값 등을 이용하여 표적노드(10)의 좌표 산출을 위한 FTM 및 AoA 추정치를 획득할 수 있으며, CSI 데이터 추출부(111)는 표적노드(10)의 수신신호로부터 CSI를 추출하게 된다.The CSI
스펙트럼 추출부(112)는 MUSIC 알고리즘을 이용하여 추출된 CSI으로부터 의사 스펙트럼을 추출할 수 있다. 의사 스펙트럼(pseudo spectrum)은 데이터에 대한 다중신호 분류가 가능한 것으로, 스펙트럼 추출부(112)는 CSI의 스펙트럼을 추출하고, 피크값을 통해 전파 경로를 식별하게 된다. 또한, 스펙트럼 추출부(112)는 식별된 전파경로로부터 ToF 및 전파강도 추정치를 추출할 수 있다.The
우세경로 계산부(113)는 스펙트럼 추출부(112)에 의해 추출된 전파경로를 이용하여 우세 경로를 식별할 수 있다. 의사 스펙트럼의 피크에 기초하여 전파경로를 식별하고, 전파경로에 기초하여 ToF(Time of Flight) 및 전파강도의 추정치가 추출되면, 제1 알고리즘인 MUSIC 알고리즘에 의해 식별된 경로별 신호강도 및 ToF를 이용하여 각 경로에 대한 상대적 강도를 계산할 수 있다.The dominant
제1 거리 계산부(114)는 제2 알고리즘을 통해 NLOS(Non Line of Sight) 환경을 포함하여 FTM의 부정확한 반환값을 감지하고, 오류를 수정하여 제1 거리 추정값을 산출할 수 있다. 이를 위해, 제1 거리 계산부(114)는 새로운 매개변수인 'R'를 통해 MUSIC 알고리즘에 따른 스펙트럼에 대한 직접 경로의 기여도를 정량화할 수 있고, 제2 알고리즘인 FUSIC 알고리즘을 통해 전술한 전파경로의 추정 ToF 값으로 FTM의 측정 오차를 계산 및, FTM 측정오차를 계산할 수 있다.The
특히, 상기의 FUSIC 알고리즘은 최종적으로 오류의 영향을 제거하여 거리 추정치를 제공할 수 있으며, 이러한 FUSIC 알고리즘을 비롯하여 MUSIC 알고리즘에 대한 상세한 설명 및 각 알고리즘의 계산 방법에 대한 상세한 설명은 후술한다.In particular, the FUSIC algorithm can provide a distance estimate by finally removing the effect of an error. A detailed description of the MUSIC algorithm, including the FUSIC algorithm, and a detailed description of a calculation method of each algorithm will be described later.
또한, 본 발명의 실시예에 따른 무선통신 시스템의 정밀 측위 장치(100)는 두 개의 거리추정 결과에서 상황인지 기반으로 학습된 딥 러닝 예측을 통해 보다 정확한 거리추정 값을 결정하는 것을 특징으로 하며, 이에 제2 거리 추정수단(120)을 더 포함할 수 있다.In addition, the
구체적으로, 제2 거리 추정수단(120)은, 복수의 링크로부터 M(M은 20이상의 자연수)개의 FTM 샘플 데이터를 수집하는 FTM 수집부(121), 우세경로 계산부로부터, 제1 알고리즘에 의해 추출된 의사 스펙트럼의 피크에 기초하여 추정된 AoA(Angle of Arrival)를 수신하고, 제3 알고리즘을 이용하여 추정된 AoA의 위상완화 및 FTM의 오류를 계산하고, 계산 결과를 평균 및 AIC(Akaike Information Criterion)와 비교하여 최소 양의 평균을 갖는 경로를 범위 추정치로 결정하는 제2 거리 계산부(123) 및, 두 개의 추가 AP로부터 FTM을 더 수집하고, 기존 앵커를 포함하여 3개 이상의 AP로부터 수집된 FTM 추정치에 최소 제곱법에 기반한 다중 위치 계산 알고리즘을 적용하여 제2 거리 계산부(123)에 의해 계산된 측위를 보정하여 제2 거리 추정값을 생성하는 측위 보정부(125)를 포함할 수 있다.Specifically, the second
FTM 수집부(121)는 별도의 샘플 데이터로서, 수신기(FTM-R)를 통해 FTM 메시지를 송신기(FTM-I)에 전송하고 ACK를 대기하며, 각 링크에 대하여 M(M은 20 이상의 자연수) 개의 샘플 데이터를 수집하여 거리 오류를 계산할 수 있다.The FTM collection unit 121 transmits the FTM message to the transmitter (FTM-I) through the receiver (FTM-R) as separate sample data and waits for an ACK, M (M is a natural number greater than or equal to 20) for each link The distance error can be calculated by collecting sample data.
제2 거리 계산부(123)는, 전술한 CSI에 제1 알고리즘을 적용하여 추정한 AoA을 참조하고, 제3 알고리즘을 적용하여 상기의 거리 오류 계산 결과를 각각 평균 및 AIC와 비교하여 최소 양의 평균을 갖는 경로를 범위 추정치로 결정할 수 있다.The second distance calculation unit 123 refers to the AoA estimated by applying the first algorithm to the aforementioned CSI, and compares the distance error calculation result by applying the third algorithm with the average and AIC, respectively, to obtain a minimum amount The path with the mean can be determined as the range estimate.
여기서, AIC는 여러 통계 모델들의 성능을 서로 비교할 수 있게 해주는 것으로, 낮을수록 오류가 적으며, 오버핏 또는 언더핏이 아닌 모델이 선택될 수 있다. 특히, 전술한 AIC는 GMM(Gaussian Mixture Model)에서 최적의 클러스터 수를 식별하는 데 사용되는 것으로, 제2 거리 계산부(123)는 가장 낮은 AIC를 통해 최적의 경로 수를 추론한 후 최소 양의 평균을 가진 경로를 범위 추정치로 사용하게 된다.Here, the AIC allows the performance of several statistical models to be compared with each other, the lower the error, the less the error, and a model that is not overfit or underfit may be selected. In particular, the aforementioned AIC is used to identify the optimal number of clusters in the Gaussian Mixture Model (GMM), and the second distance calculator 123 infers the optimal number of paths through the lowest AIC and then The path with the mean will be used as the range estimate.
전술한 제3 알고리즘은, IEEE 802.11-2016 및 802.11ac 수정안을 적용한 상용칩셋에서 FTM 및 AoA을 대상으로 하여 거리와 방향을 CSI 통해 다중경로 오류를 보정하는 SPRING(Smartphone Positioning with Radio Measurements from a Single WiFi Access Point) 알고리즘 일 수 있다.The above-described third algorithm is SPRING (Smartphone Positioning with Radio Measurements from a Single WiFi) that corrects multipath errors through CSI for distance and direction targeting FTM and AoA in commercial chipsets to which IEEE 802.11-2016 and 802.11ac amendments are applied. Access Point) algorithm.
측위 보정부(125)는 두 개의 추가 AP로부터 FTM을 더 수집할 수 있고, 상기의 AP(50)를 포함하여 3개 이상의 AP의 수신기(FTM-R)로부터 추정 거리를 사용하여 최소 제곱법(Liner Least Squares; LLS)에 기반한 다중 위치 계산 알고리즘(Multilateration algorithm)을 적용하여 제2 거리 계산부(123)에 의해 계산된 측위를 보정하여 제2 거리 추정값을 산출할 수 있다.The
이에 따라, 본 발명의 실시예에 따른 정밀 측위 장치(100)는 제1 및 제2 거리 추정값을 획득하게 되며, 후술하는 상황인지 딥 러닝 기술을 통해 보다 정확한 어느 하나의 값을 선택하게 된다.Accordingly, the
이를 위한 구성으로서, 딥러닝 예측부(130)는 통신 측위시점의 여러 가지 상황을 학습데이터로서 수집하고, 공지의 딥 러닝 기법 중, 강화학습(Reinforcement Learning)을 통해 보다 정확한 거리추정 값을 선택하는 것을 특징으로 한다.As a configuration for this, the deep
즉, 딥러닝 예측부(130)는 전술한 제1 및 제2 거리추정 수단(110, 120)에 의해 산출된 제1 및 제2 거리 추정값 중에서 강화학습에 따른 학습모델을 통해 어느 하나를 선택할 수 있다.That is, the deep
이러한 딥러닝 예측부(130)는 학습절차를 통해 학습용 제1 및 제2 거리 추정값과 환경 파라미터를 포함하는 다수의 학습데이터에 대해 학습모델에 입력하여 강화 학습을 진행함으로써 추후 실제 환경에서 입력되는 제1 및 제2 거리 추정값 중에서 실제 환경 파라미터 값 하에서 더 정확한 거리 추정값을 선택적으로 추출하게 된다.The deep
표적노드 출력부(140)는 딥러닝 예측부(130)에 의해 추출된 거리 추정값에 의한 측위를 보완할 수 있다. 구체적으로, 표적노드 출력부(140)는 상기의 거리 추정값과, AoA에 대한 위상 완화한 AoA 추정값에 제4 알고리즘을 적용하여 표적노드의 좌표를 생성할 수 있다.The target
여기서, 제4 알고리즘은, 전술한 거리 추정값과, 위상 캘리브레이션(Calibration)에 의한 위상오류를 완화한 AoA 추정값에 기초하여 소정개의 AP(50)를 이용하여 정확한 측위를 얻는 ADL(Accurate and Distributed Localization) 알고리즘 또는 표적의 이동을 고려한 확장된 ADL 알고리즘이 적용될 수 있다. 이때, 확장된 ADL 알고리즘은 하나의 AP(50)만 사용할 수 있는 열악한 환경에서의 측위가 가능한 특징이 있다.Here, the fourth algorithm is Accurate and Distributed Localization (ADL) for obtaining accurate positioning using a predetermined number of
이러한 표적노드 출력부(140)는 일반 ADL 알고리즘에 따라, 복수개의 AP(50)가 존재하는 경우, 각 AP(50)에 대하여, 표적노드(10)와 AP(50)간의 각도 및 거리정보를 이용하여 표적노드(10)의 위치 추정치를 계산하고, 모든 AP(50)에서 위치 추정값의 평균을 계산하여 표적노드(10)의 좌표를 계산할 수 있다.According to the general ADL algorithm, the target
또한, 표적노드 출력부(140)는, 확장된 ADL 알고리즘에 따라 하나의 AP(50)가 존재하는 경우, 표적노드(10)는 시작 좌표를 원점으로 하는 가상 좌표계에서 임의의 삼각형을 따라 이동한다고 할 때, 표적노드(10)의 이동하는 방향을 측정하고, 표적노드(10)의 회전점 및 시작지점간 거리를 계산하고, 회전각 또는 이동거리를 측정하여 표적노드(10)의 좌표를 계산할 수 있다.In addition, the target
전술한 ADL 알고리즘 및 확장된 ADL 알고리즘을 이용한 표적노드(10)의 구체적 좌표 계산 방법에 대한 설명은 후술한다.A description of the specific coordinate calculation method of the
이하, 도면을 참조하여, 전술한 정밀 측위 장치에 의한 무선통신 시스템의 정밀 측위 방법을 설명한다.Hereinafter, with reference to the drawings, a precise positioning method of a wireless communication system by the above-described precision positioning device will be described.
도 2는 본 발명의 실시예에 따른 무선통신 시스템의 정밀 측위 방법을 파이프라인으로 나타낸 도면이고, 도 3 내지 도 5는 도 2의 정밀 측위 장치에 의한 무선통신 시스템의 정밀 측위 방법을 순서도로 나타낸 도면이다.2 is a diagram showing a precise positioning method of a wireless communication system according to an embodiment of the present invention in a pipeline, and FIGS. 3 to 5 are flowcharts showing a precise positioning method of a wireless communication system by the precision positioning device of FIG. It is a drawing.
이하의 설명에서, 각 단계별 실행주체는 별도의 기재가 없더라도 본 발명의 무선통신 시스템의 정밀 측위 방법이 된다.In the following description, even if there is no separate description, the execution entity of each step is the precise positioning method of the wireless communication system of the present invention.
도 3 내지 도 5를 참조하면, 본 발명의 실시예에 따른 정밀 측위 방법은, 이동체인 표적노드와 하나 이상의 AP(Access Point)인 앵커간의 무선통신에 따른 수신신호를 이용한 표적노드의 측위 방법으로서, 표적노드의 수신신호로부터 추출되는 CSI(Channel State Information)를 수집하고, CSI에 제1 알고리즘을 적용하여 전파경로를 식별하며 FTM(Fine Time Measurement)를 산출하고, 전파경로와 FTM 추정치에 제2 알고리즘을 적용하여 표적노드와 앵커간 제1 추정 거리값을 산출하는 단계(S100), CSI를 이용하여 추정한 AoA(Angle of Arrival) 및 복수의 FTM 샘플에 제3 알고리즘을 적용하여 다중경로 오류를 보정하고 AP와 표적노드간 제2 추정 거리값을 산출하는 단계(S200), 다수의 학습데이터 및 환경 파라미터를 이용한 딥 러닝 절차를 통해 학습된 학습모델에 제1 및 제2 추정 거리값을 입력하여 정확도가 높은 하나를 선택적으로 추출하여 거리 추정값을 결정하는 단계(S300) 및 거리 추정값과, AoA에 대한 위상 완화한 AoA 추정값에 제4 알고리즘을 적용하여 표적노드의 좌표를 생성하는 단계(S400)를 포함할 수 있다.3 to 5 , the precise positioning method according to an embodiment of the present invention is a positioning method of a target node using a reception signal according to wireless communication between a mobile target node and one or more AP (Access Point) anchors. , collects CSI (Channel State Information) extracted from the received signal of the target node, identifies the propagation path by applying the first algorithm to the CSI, calculates FTM (Fine Time Measurement), and calculates the second Calculating the first estimated distance value between the target node and the anchor by applying the algorithm (S100), applying the third algorithm to the AoA (Angle of Arrival) estimated using CSI and a plurality of FTM samples to eliminate the multipath error Compensating and calculating a second estimated distance value between the AP and the target node (S200), input the first and second estimated distance values to the learning model learned through a deep learning procedure using a plurality of learning data and environmental parameters Selecting one with high accuracy to determine the distance estimate (S300) and applying the fourth algorithm to the distance estimate and the phase-relaxed AoA estimate for AoA to generate the coordinates of the target node (S400) may include
먼저, 표적노드의 수신신호로부터 추출되는 CSI를 수집하고, CSI에 제1 알고리즘을 적용하여 전파경로를 식별하며 FTM를 산출하고, 전파경로와 FTM 추정치에 제2 알고리즘을 적용하여 표적노드와 앵커간 제1 추정 거리값을 산출하는 단계(S100)에서는, 표적노드와 앵커간의 무선 수신신호로부터 PHY의 CSI를 추출하게 된다. 이러한 S100 단계는, 도 4의 S110 단계 내지 S140 단계로 세분화될 수 있다.First, the CSI extracted from the received signal of the target node is collected, the first algorithm is applied to the CSI to identify the propagation path, and the FTM is calculated, and the second algorithm is applied to the propagation path and FTM estimate between the target node and the anchor. In the step of calculating the first estimated distance value (S100), the CSI of the PHY is extracted from the radio reception signal between the target node and the anchor. This step S100 may be subdivided into steps S110 to S140 of FIG. 4 .
구체적으로, S110 단계는 표적노드의 송신기 안테나수, 수신기 안테나수 및 부반송파 수의 곱을 통해 상기 수신신호의 PHY로부터 CSI를 추출하게 된다. 본 발명의 실시예에서는 CSI를 기반으로 하여 분석을 실시하게 된다. 송수신기 모두 다중 어레이 안테나(Multiple Array Antenna)를 가진 WiFi 단말기의 무선통신의 경우, 모든 다중경로의 수신신호의 PHY에서 CSI를 추출할 수 있다. 여기서, 모든 다중 경로 수는, '송신기 안테나수 × 수신기 안테나수 × 부반송파 수'로 계산될 수 있다.Specifically, step S110 extracts CSI from the PHY of the received signal through the product of the number of transmitter antennas, the number of receiver antennas, and the number of subcarriers of the target node. In an embodiment of the present invention, analysis is performed based on CSI. In the case of wireless communication of a WiFi terminal having both transceivers and multiple array antennas, CSI can be extracted from the PHY of all multipath reception signals. Here, the number of all multi-paths may be calculated as 'the number of transmitter antennas × the number of receiver antennas × the number of subcarriers'.
다음으로, S120 단계에서는 제1 알고리즘을 적용하여 CSI의 다중신호를 분류하여 의사 스펙트럼을 추출하게 된다.Next, in step S120, a pseudo spectrum is extracted by classifying the CSI multi-signal by applying the first algorithm.
다음으로, S130 단계에서는 의사 스펙트럼의 피크에 기초하여 상기 전파경로를 식별하고, 상기 전파경로에 기초하여 ToF(Time of Flight) 및 전파강도의 추정치를 추출한다.Next, in step S130, the propagation path is identified based on the peak of the pseudo spectrum, and time of flight (ToF) and an estimate of the radio wave intensity are extracted based on the propagation path.
도 6은 안테나가 2개인 AP에 대하여 도달하는 신호(incoming signal)의 각도(θ) 성분에 대한 모식도(a) 및, 그 신호 파형에 대한 그래프(b)를 예시하고 있다.6 illustrates a schematic diagram (a) of an angle (θ) component of an incoming signal arriving with respect to an AP having two antennas, and a graph (b) of the signal waveform.
전술한 CSI의 데이터 분석은 RSSI(Receiver Signal Strength Indicator)를 고려하는 것 보다 더 높은 확률로 주변 환경의 사소한 변화를 포착하는 것이 가능하다고 알려져 있다. 따라서, 수신된 신호의 직접경로(EDP)를 추정하는데 용이하며, 이에 EDP 기반 거리 추정은 다중 경로 반사에 훨씬 덜 민감하기 때문에 RSSI보다 견고하다는 장점이 있다.It is known that the above-described data analysis of CSI is capable of capturing minor changes in the surrounding environment with a higher probability than considering a Receiver Signal Strength Indicator (RSSI). Therefore, it is easy to estimate the direct path (EDP) of the received signal, and thus EDP-based distance estimation has the advantage of being more robust than RSSI because it is much less sensitive to multi-path reflection.
상기 제1 알고리즘은, 다중 신호원(Emitter)의 위치를 알기 위해 센서 어레이에서 수신된 신호를 처리하는 방법으로 불편 추정량(unbiased estimator)의 점근적인 해석에 기반한 것으로, MUSIC(Multiple Emitter Location and Signal Parameter Estimation) 알고리즘이 이용될 수 있으며, 이에 제공되는 데이터 요소로는, 존재하는 투사파면(혹은 입사파면) 신호 수, 신호의 도착 방향(DOA) 또는 이미터 위치, 입사 파형 사이의 강도 및 교차 상관, 노이즈 및 노이즈 차단의 강도, 편광(Polarization) 등이 있다.The first algorithm is a method of processing a signal received from a sensor array to know the location of a multiple emitter, and is based on asymptotic analysis of an unbiased estimator, Multiple Emitter Location and Signal Parameter (MUSIC) Estimation) algorithm may be used, the data elements provided to it include the number of projected wavefront (or incident wavefront) signals present, the direction of arrival (DOA) or emitter positions of the signals, the intensity and cross-correlation between the incident waveforms; There are noise and noise blocking strength, polarization, and the like.
전술한 요소는, 특정 위치에서 전파가 수신될 때 예측 가능한 위상 변화를 기반으로 신호를 구별함으로써 도출될 수 있다. 예를 들어, WiFi의 경우, OFDM(Orthogonal Frequency Division Multiplexing)시스템의 각 부반송파에서 얻은 측정에 의존하며, 주어진 ToF에 대해 신호 주파수의 차이가 수신측에서의 위상의 차이를 생성함에 따라 추출이 가능하게 된다.The above factors can be derived by distinguishing signals based on predictable phase changes when radio waves are received at specific locations. For example, in the case of WiFi, it relies on measurements obtained from each subcarrier of an OFDM (Orthogonal Frequency Division Multiplexing) system, and for a given ToF, as a difference in signal frequency creates a difference in phase at the receiving side, extraction is possible.
그리고, MUSIC 알고리즘을 통해 CSI를 분석함으로써 의사 스펙트럼 형태의 결과를 획득할 수 있으며, 이러한 스펙트럼으로부터 그 피크를 취함으로써 전파 경로를 식별할 수 있다. 상기의 전파 경로는 ToF와 전파 강도의 추정치를 제공할 수 있다.And, by analyzing the CSI through the MUSIC algorithm, a result in the form of a pseudo-spectrum can be obtained, and a propagation path can be identified by taking the peak from this spectrum. The propagation path above can provide an estimate of the ToF and propagation intensity.
도 7은 MUSIC 알고리즘을 이용한 CSI 분석에 따라 추출된 스펙트럼 데이터를 나타내는 그래프(a) 및, 그 스펙트럼 데이터에 따른 거리값에 대한 다이어그램(b)을 예시한 것으로, 그래프(a)에서 각 채널들은 경계에서 겹치며, 채널 1은 굵은선으로 표시되어 있다.7 illustrates a graph (a) showing spectrum data extracted according to CSI analysis using the MUSIC algorithm, and a diagram (b) for a distance value according to the spectrum data. In the graph (a), each channel is a boundary , and
또한, 스펙트럼 추출 이후, 이를 이용하여 우세 경로를 식별할 수 있다. 우세 경로는 CSI 행렬을 이용하여 식별 가능하며, CSI 행렬은 반송파(Carrier) n에 대한 감쇠, 위상편의 θn 값을 가짐에 따라 제1 알고리즘을 이용하여 FTM 및 도착각(AoA) 추정치를 획득하는 데 이용되게 된다.In addition, after spectral extraction, the dominant path can be identified using this. The dominant path can be identified using a CSI matrix, which has an attenuation for carrier n, θn value of the phase shift, so it is used to obtain FTM and angle of arrival (AoA) estimates using the first algorithm. will be used
다음으로, S140 단계에서는 제2 알고리즘을 통해 NLOS(Non Line of Sight) 환경을 포함하여 상기 FTM의 부정확한 반환값을 감지하고, 오류를 수정하여 상기 제1 추정 거리값을 산출하게 된다.Next, in step S140, an inaccurate return value of the FTM including the NLOS (Non Line of Sight) environment is detected through a second algorithm, and the error is corrected to calculate the first estimated distance value.
한편, Wi-Fi Alliance®의 Wi-Fi Location™은 IEEE 802.11-2016에 따른 FTM (Fine Timing Measurement) 프로토콜을 정의하고 있고, 미터 단위 정확도로 거리정보를 제공하는 표준화를 진행하여 위치확인을 위한 최신기능이 추가되었다. 이에 따라, 최근 상용화된 AP 장치 및 이동통신 단말 등에서는 해당 기능을 지원하고 있으며, 상호 운용성 인증을 위한 테스트가 지속적으로 이루어지고 있다. 도 8은 FTM 프로토콜의 데이터 플로우를 예시하고 있으며, 본 발명의 실시예에서는 이러한 FTM의 특성을 표적노도 위치추정에 활용하게 된다.On the other hand, Wi-Fi Location™ of Wi-Fi Alliance® defines the FTM (Fine Timing Measurement) protocol according to IEEE 802.11-2016, and standardizes the provision of distance information with meter accuracy to provide the latest function was added. Accordingly, recently commercialized AP devices and mobile communication terminals support the corresponding function, and tests for interoperability authentication are continuously being performed. 8 illustrates the data flow of the FTM protocol, and in the embodiment of the present invention, the characteristics of the FTM are utilized for estimating the location of the target road.
특히, 본 발명의 실시예에 따르면, 제2 알고리즘으로서 FUSIC 알고리즘을 이용하게 되며, 이의 거리 추정치를 활용하게 된다.In particular, according to an embodiment of the present invention, the FUSIC algorithm is used as the second algorithm, and a distance estimate thereof is used.
구체적으로, 제2 알고리즘인 FUSIC 알고리즘은 NLOS 환경에서 잘못된 FTM 및 MUSIC의 결과를 활용하여 FTM이 부정확한 값을 반환하는 시기를 감지하고, 필요에 따라 오류를 수정하는 로직으로 이루어질 수 있다.Specifically, the FUSIC algorithm, which is the second algorithm, may consist of logic that detects when the FTM returns an incorrect value by utilizing the results of the incorrect FTM and MUSIC in the NLOS environment, and corrects the error as necessary.
즉, FTM의 LOS(Line of Sight) 정확도를 NLOS 환경으로 확장하려는 목적으로 FTM과 MUSIC을 융합한 접근법을 사용하게 되며, 이의 두 핵심 부분으로서, FTM이 잘못된 결과를 반환하는 시기를 식별하는 메커니즘과, FTM 및 MUSIC의 데이터를 융합하는 오류 수정 메커니즘으로 구분될 수 있다.In other words, an approach that converges FTM and MUSIC is used for the purpose of extending the line of sight (LOS) accuracy of FTM to the NLOS environment. , an error correction mechanism that fuses data from FTM and MUSIC.
여기서, FTM에 대한 수정이 필요한 시기의 감지가 요구되며, 이를 위한 새로운 매개 변수인 'R'을 도입하여 전체 MUSIC 스펙트럼에 대한 직접 경로의 기여도를 정량화하게 된다.Here, it is required to detect when correction of FTM is required, and for this, a new parameter 'R' is introduced to quantify the contribution of the direct path to the entire MUSIC spectrum.
이때, 매개 변수 'R'의 임계값(R_threshold)의 설정이 필요하며, R 임계값에 대한 올바른 값을 선택하기 요구된다. 이는, 임계값이 너무 낮으면 FUSIC 알고리즘이 정확한 FTM 측정을 변경함에 따라 불필요한 오류를 발생시킬 수 있다. 또한, 그 반대의 경우에는 잘못된 FTM 측정을 수정하지 못하게 될 수도 있다.At this time, it is necessary to set a threshold value (R_threshold) of the parameter 'R', and it is required to select a correct value for the R threshold value. This can lead to unnecessary errors as the FUSIC algorithm changes the correct FTM measurement if the threshold is too low. Also, vice versa, it may not be possible to correct erroneous FTM measurements.
이러한 FUSIC 알고리즘에 의한 분석 절차를 구체적으로 설명하면, 우선 MUSIC 알고리즘을 사용하여 우세 경로를 식별한다. 이를 수학식으로 표현하면, 이하의 수학식 1과 같다.When the analysis procedure by the FUSIC algorithm is described in detail, the dominant path is first identified using the MUSIC algorithm. If this is expressed as an equation, it is as shown in
여기서, Pk와 tk는 각각 경로 'k'의 신호강도 및 ToF 이다.Here, Pk and tk are signal intensity and ToF of path 'k', respectively.
이후, 다른 경로에 대한 상대적 강도는 이하의 수학식 2에 의해 계산할 수 있다.Thereafter, the relative intensity with respect to other paths may be calculated by
상기의 수학식 2에 따라 계산된 'R'이 'R 임계값(R_threshold)'과 같거나 클 경우(), 현재 FTM 거리 추정치를 유지하고, 'R'이 'R 임계값'보다 작을 경우, 평균초과지연을 이하의 수학식 3에 의해 계산한다.When 'R' calculated according to
다음으로, 보정된 거리 추정치를 이하의 수학식 4에 의해 계산한다.Next, the corrected distance estimate is calculated by the following Equation (4).
여기서, dfusic은 제2 알고리즘에 의한 거리 추정치이고, dftm은 FTM 거리 추정치를 가리킨다.Here, dfusic is the distance estimate by the second algorithm, and dftm is the FTM distance estimate.
상기의 수학식 1 내지 4 에 위한 절차를 정리하면, FTM 출력 수정을 위한 절차로서, 송수신간 전파 경로가 두 개만 있다고 가정, 즉 LOS 경로는 장애물에 차단되어있고 반사된 경로이라고 하면, FTM은 반사경로의 길이를 출력하게 된다. 이에 따라, FTM 오류는 출력과 LOS 경로의 길이의 차이로 표현된다.Summarizing the procedures for
그리고, MUSIC 알고리즘에 의해 생성된 두 경로에 대한 추정 ToF의 차이는 정확함에 따라, FUSIC 알고리즘은 MUSIC 알고리즘에 의해 분석된 전파경로의 추정 ToF값으로 FTM 측정 오차를 계산할 수 있다.And, since the difference between the estimated ToFs for the two paths generated by the MUSIC algorithm is accurate, the FUSIC algorithm can calculate the FTM measurement error using the estimated ToF values of the propagation paths analyzed by the MUSIC algorithm.
또한, 전술한 평균초과지연은 ToF와 관련하여 추정된 FTM 측정오차이며, 직접 경로의 ToF에 대한 ToF 차이의 계량 평균으로 계산될 수 있다.In addition, the above-mentioned average excess delay is an FTM measurement error estimated in relation to the ToF, and may be calculated as a metric average of the ToF difference with respect to the ToF of the direct path.
이에 따라, 상기의 FUSIC 알고리즘은 최종적으로 오류의 영향을 제거하고 보정된 거리 추정치를 출력하게 된다.Accordingly, the FUSIC algorithm finally removes the effect of the error and outputs the corrected distance estimate.
전술한 절차에 따라, 본 발명의 무선통신 시스템의 정밀 측위 방법에서는 CSI에 기반하여 제1 및 제2 알고리즘에 의한 제1 거리추정 값을 산출할 수 있으며, 이하, 제3 알고리즘에 의한 제2 거리추정 값을 산출하는 방법을 설명한다.According to the above-described procedure, in the precise positioning method of the wireless communication system of the present invention, the first distance estimation value by the first and second algorithms can be calculated based on the CSI, hereinafter, the second distance by the third algorithm A method for calculating the estimated value will be described.
상세하게는, CSI를 이용하여 추정한 AoA 및 복수의 FTM 샘플에 제3 알고리즘을 적용하여 다중경로 오류를 보정하고 AP와 표적노드간 제2 추정 거리값을 산출하는 단계(S200)로서, 802.11-2016 및 802.11ac 수정안을 적용한 상용칩셋에서 FTM 및 도착각(AoA)을 대상으로 하여 거리와 방향에 대하여 CSI를 통해 다중경로 오류를 보정하는 제3 알고리즘을 통해 제2 추정 거리값을 산출하게 되며, 이러한 S200 단계는 도 5의 S210 단계 내지 S240 단계로 세분화될 수 있다.Specifically, applying the third algorithm to the AoA and a plurality of FTM samples estimated using CSI to correct the multipath error and to calculate a second estimated distance value between the AP and the target node (S200), 802.11- In commercial chipsets to which the 2016 and 802.11ac amendments are applied, the second estimated distance value is calculated through a third algorithm that corrects multipath errors through CSI for distance and direction targeting FTM and angle of arrival (AoA), This step S200 may be subdivided into steps S210 to S240 of FIG. 5 .
먼저, S2100 단계에서는 제1 알고리즘을 적용하여 CSI의 다중신호를 분류하여 의사 스펙트럼을 추출하며, 이는 전술한 S100 단계에서 이용한 제1 알고리즘을 통해 CSI 스펙트럼을 추출하는 단계에 대응한다.First, in step S2100, the first algorithm is applied to classify the CSI multi-signal to extract a pseudo spectrum, which corresponds to the step of extracting the CSI spectrum through the first algorithm used in step S100 described above.
또한, S220 단계는, 의사 스펙트럼의 피크에 기초하여 AoA(Angle of Arrival)를 추정하는 단계로서, 전술한 S100 단계에서 CSI에 기초한 FTM 및, AoA를 추정하는 단계에 대응한다. 이때, 가장 강한 경로를 추정하기 위해 MUSIC 알고리즘에 따른 스펙트럼에서 가장 높은 피크를 이용할 수 있다.Also, step S220 is a step of estimating an angle of arrival (AoA) based on the peak of the pseudo spectrum, and corresponds to the step of estimating the FTM and AoA based on the CSI in step S100 described above. In this case, the highest peak in the spectrum according to the MUSIC algorithm may be used to estimate the strongest path.
다음으로, S230 단계에서는 복수의 링크로부터 M(M은 20이상의 자연수)개의 FTM 샘플 데이터를 수집하고, 제3 알고리즘을 이용하여 추정된 AoA의 위상완화 및 FTM의 오류를 계산하고, 계산 결과를 평균 및 AIC(Akaike Information Criterion)와 비교하여 최소 양의 평균을 갖는 경로를 범위 추정치로 결정한다.Next, in step S230, M (M is a natural number greater than or equal to 20) FTM sample data is collected from a plurality of links, the AoA phase relaxation and FTM error estimated using the third algorithm are calculated, and the calculation results are averaged. and Akaike Information Criterion (AIC) to determine the path with the least positive mean as the range estimate.
상세하게는, FTM 측정결과를 수집하기 위해 수신기(FTM-R) 은 FTM 메시지를 송신기(FTM-I)에 전송하고 ACK를 기다리며, 각 링크에 대해 M=20개의 샘플 데이터를 이용하여 거리 오류를 계산하게 된다. 그리고, 계산결과를 평균 및 AIC와 비교한다. 여기서, 후자는 GMM(Gaussian Mixture Model)에서 최적의 클러스터 수를 식별하기 위해 일반적으로 사용되는 것으로, 가장 낮은 AIC를 사용하여 최적의 경로 수를 추론한 후 최소 양의 평균을 가진 경로를 범위 추정치로 사용한다.In detail, in order to collect the FTM measurement result, the receiver (FTM-R) transmits an FTM message to the transmitter (FTM-I) and waits for an ACK, and uses M=20 sample data for each link to detect the distance error. will be calculated Then, the calculation result is compared with the average and AIC. Here, the latter is commonly used to identify the optimal number of clusters in Gaussian Mixture Model (GMM), inferring the optimal number of paths using the lowest AIC and then taking the path with the least positive mean as the range estimate. use.
여기서, AIC는 여러 통계 모델들의 성능을 서로 비교할 수 있도록 하는 것으로, 낮을수록 좋은 결과를 얻을 수 있으며, 오버핏(over fit)이나 언더핏(under fit)이 작은 모델이 선택되도록 하는 특징이 있다.Here, the AIC allows the performance of several statistical models to be compared with each other, and the lower the value, the better the result can be obtained, and the AIC has a feature of selecting a model having a small over fit or under fit.
또한, 제3 알고리즘으로는 SPRING(Smartphone Positioning with Radio Measurements from a Single WiFi Access Point) 알고리즘이 이용될 수 있다.In addition, as the third algorithm, a Smartphone Positioning with Radio Measurements from a Single WiFi Access Point (SPRING) algorithm may be used.
상기의 AoA 추정치는 표준 802.11-2016 및 802.11ac 수정안을 이용하여 상용 칩셋에서 추출한 CSI으로부터 추출된 것으로, 이러한 AoA 추정치는 WiFi 칩셉과 관련된 위상 캘리브레이션 문제가 존재함에 따라, 이를 해결하기 위해 SPRING 알고리즘을 이용하게 된다.The above AoA estimate is extracted from CSI extracted from commercial chipsets using the standard 802.11-2016 and 802.11ac amendments. will do
또한, FTM은 802.11 표준의 새로운 기능임에 따라, 지금까지 노이즈(noise)를 개선할 모델이 제시되지 않았으므로, FTM 프로토콜을 사용하여 범위 성능에 영향을 미치는 주요 요소와 매개변수를 분석하고 FTM 측정 시 노이즈를 처리할 수 있도록 있도록 한다.In addition, as FTM is a new feature of the 802.11 standard, no model to improve noise has been presented so far, so the FTM protocol is used to analyze the main factors and parameters affecting the range performance and measure the FTM. Make it possible to handle the city noise.
다음으로, S240 단계에서는 두 개의 추가 AP로부터 FTM을 더 수집하고, 기존 앵커를 포함하여 3개 이상의 AP로부터 수집된 FTM 추정치에 최소 제곱법에 기반한 다중 위치 계산 알고리즘을 적용하여 상기 제2 추정 거리값을 산출한다.Next, in step S240, FTMs are further collected from two additional APs, and a multi-location calculation algorithm based on the least squares method is applied to the FTM estimates collected from three or more APs including the existing anchor to apply the second estimated distance value. to calculate
이는, 전술한 제3 알고리즘이 SPRING은 하나의 앵커에 대한 정보만이 필요하고 3개의 FTM AP는 다중 평가에 필요하다는 특성에 따른 것이며, 다중 평가의 경우 각 FTM-R로부터의 추정 거리를 사용하여 최소 제곱법(LLS)에 기반한 다중 위치 계산 알고리즘(multilateration algorithm)을 사용하여 초기 위치 추정을 수행하게 된다.This is according to the characteristic that the third algorithm described above requires only information about one anchor for SPRING and that three FTM APs are required for multiple evaluation, and in the case of multiple evaluation, using the estimated distance from each FTM-R The initial position estimation is performed using a multilateration algorithm based on the least squares method (LLS).
전술한 절차에 따라, 본 발명의 무선통신 시스템의 정밀 측위 방법에서는 FTM 측정에서 다중 경로의 영향을 완화하여 CSI로부터 교정된 입력의 수신을 통해 보정된 거리 추정치를 출력하게 된다. 이는 전체 파이프라인에서 제2 거리 추정값에 대응하는 절차라 볼 수 있다.According to the above-described procedure, in the precise positioning method of the wireless communication system of the present invention, a corrected distance estimate is output through reception of a corrected input from CSI by alleviating the influence of multipath in FTM measurement. This can be seen as a procedure corresponding to the second distance estimate in the entire pipeline.
이후, 본 발명의 실시예에 따른 전술한 S100 단계 및 S200 단계를 통해 산출한 제1 및 제2 거리추정 값 중, 어느 하나를 표적노드의 좌표로서 선택하는 절차를 수행하게 된다.Thereafter, a procedure of selecting any one of the first and second distance estimation values calculated through the steps S100 and S200 described above according to an embodiment of the present invention as the coordinates of the target node is performed.
상세하게는, 전술한 추정 거리 계산값의 산출에 따라 다수의 학습데이터 및 환경 파라미터를 이용한 딥 러닝 절차를 통해 학습된 학습모델에 제1 및 제2 추정 거리값을 입력하여 정확도가 높은 하나를 선택적으로 추출하여 거리 추정값을 결정하는 계(S300)로서, 공지의 딥 러닝 기술, 일례로서 강화학습 기법이 이용될 수 있다.In detail, the first and second estimated distance values are input to the learning model learned through a deep learning procedure using a plurality of learning data and environmental parameters according to the calculation of the above-described estimated distance calculation value to select one with high accuracy As a system (S300) for extracting and determining a distance estimate, a well-known deep learning technique, as an example, a reinforcement learning technique may be used.
본 발명의 실시예에 따른 정밀 측위 방법에 의하면, 상황인지 딥러닝 기반 예측은 통신 측위시점의 여러가지 상황을 학습 데이터로 수집하여 강화학습(Reinforcement Learning)의 방법으로 더 올바른 거리추정 값을 선택할 수 있도록 한다. 이는 전출한 절차에 의해 도출된 제1 및 제2 거리 추정값중에서 더 올바른 값을 선택할 수 있도록 하기 위함이다.According to the precision positioning method according to the embodiment of the present invention, situation-aware deep learning-based prediction collects various situations at the time of communication positioning as learning data so that a more correct distance estimation value can be selected by the method of reinforcement learning. do. This is to enable a more correct value to be selected from among the first and second distance estimation values derived by the transferred procedure.
이에 따라, 본 발명에서는 미리 테스트를 진행하여 제1 거리 추정값, 제2 거리 추정값 및 환경파라미터를 포함하는 다량의 학습데이터를 학습모델에 입력하여 강화학습을 수행함으로써, 추후 실제 환경에서 입력되는 두 거리추정 값 중에서 실제 환경파라미터값 하에서 더 정확한 거리 추정값을 선택 추출할 수 있도록 한다.Accordingly, in the present invention, by performing reinforcement learning by inputting a large amount of learning data including the first distance estimate value, the second distance estimate value, and the environment parameter to the learning model by performing a test in advance, the two distances input in the real environment later Among the estimated values, it is possible to select and extract a more accurate distance estimation value under the actual environmental parameter value.
머신러닝의 한 분야인 강화학습은 행동심리학에서 비롯되어, 어떤 환경 안에서 정의된 에이전트가 현재의 상태를 인식하여, 선택 가능한 행동들 중 보상을 최대화하는 행동 혹은 행동 순서를 선택하는 방법으로 알려져 있다. 이러한 문제는 매우 포괄적이기 때문에 게임 이론, 제어이론, 운용 과학, 정보 이론, 시뮬레이션 기반 최적화, 다중 에이전트 시스템, 통계학 및 유전 알고리즘 등의 분야에서도 연구에 활용되고 있으며, 본 발명의 측위 추정에도 적합하다.Reinforcement learning, a field of machine learning, originates from behavioral psychology, and is known as a method of selecting an action or action sequence that maximizes reward among selectable actions by recognizing the current state of an agent defined in an environment. Because these problems are very comprehensive, they are used in research in the fields of game theory, control theory, operation science, information theory, simulation-based optimization, multi-agent systems, statistics, and genetic algorithms, and are also suitable for positioning estimation of the present invention.
또한, 거리추정값 예측을 위해 다수의 환경 파라미터가 고려될 수 있다. 이러한 환경 파라미터에는, 측정에 사용되는 앵커 및 각 앵커의 안테나 개수, 각 앵커에서 전송하는 부반송파 개수 와 주파수 범위 등의 캐퍼빌시티(Capability), LOS 환경의 앵커와 NLOS 앵커 개수, 표적 노드의 안테나 수와 환경 변수 및, 앵커의 기하학적 위치 정보 등이 포함될 수 있다.In addition, a number of environmental parameters may be considered for distance estimation value prediction. These environmental parameters include the anchors used for measurement and the number of antennas of each anchor, the number of subcarriers transmitted by each anchor and capacity such as the frequency range, the number of anchors and NLOS anchors in the LOS environment, the number of antennas of the target node and environment variables, and geometrical location information of anchors, etc. may be included.
다음으로, 머신러닝을 통해 선택되는 어느 하나의 거리 추정값에 대하여 제4 알고리즘인 ADL(Accurate and Distributed Localization) 알고리즘 또는 확장된 ADL(Extended ADL) 알고리즘을 통해 측위를 보완할 수 있다.Next, with respect to any one distance estimate selected through machine learning, positioning may be supplemented through the fourth algorithm, Accurate and Distributed Localization (ADL) algorithm or Extended ADL (Extended ADL) algorithm.
이를 위한 절차로서, 거리 추정값과, AoA에 대한 위상 완화한 AoA 추정값에 제4 알고리즘을 적용하여 표적노드의 좌표를 생성하는 단계(S400)는, 머신 러닝에 의해 선택된 하나의 거리 추정값에 대하여, 위상 캘리브레이션(Calibration)에 의한 위상오류를 완화한 AoA추정값을 통해 소정개의 앵커를 이용하여 측위를 산출하거나, 또는 하나의 앵커에 대하여 표적노드의 이동에 따라 측위를 산출하는 단계일 수 있다.As a procedure for this, the step (S400) of generating coordinates of the target node by applying the fourth algorithm to the distance estimate and the phase-relaxed AoA estimate for AoA (S400) includes: It may be a step of calculating the positioning using a predetermined anchor through the AoA estimation value that alleviates the phase error due to calibration, or calculating the positioning according to the movement of the target node with respect to one anchor.
앵커가 복수일 경우, 제4 알고리즘은, 각 앵커의 각도 및 거리정보를 이용하여 상기 표적노드의 위치 추정치를 계산하는 단계 및, 모든 앵커에서 상기 위치 추정치를 수신하고, 표적노드의 위치 추정 값의 평균을 사용하여 표적노드의 좌표를 계산하는 단계로 구성될 수 있다.When there are a plurality of anchors, the fourth algorithm calculates the position estimate of the target node by using angle and distance information of each anchor, receives the position estimate from all anchors, and calculates the position estimate of the target node. It may consist of calculating the coordinates of the target node using the average.
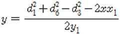
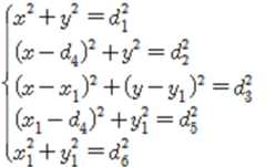
상세하게는, 앵커가 복수개일 경우 각 앵커의 각도 및 거리정보를 이용하여 표적노드의 위치 추정치를 계산하게 되며, 도 9는 4개의 앵커로부터 표적노드의 좌표를 산출하기 위한 좌표 그래프를 예시하고 있다.In detail, when there are a plurality of anchors, an estimate of the position of the target node is calculated using the angle and distance information of each anchor, and FIG. 9 illustrates a coordinate graph for calculating the coordinates of the target node from the four anchors. .
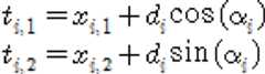
상기 도 9의 예에서 표적노드의 위치는 이하의 수학식 5에 의해 계산될 수 있다.In the example of FIG. 9 , the location of the target node may be calculated by Equation 5 below.
여기서, ti,1, ti,2는 각각 표적좌표의 위치 추정된 좌표, xi,1, xi,2는 각 앵커의 실제 좌표, di는 표적노드와 각 앵커간 거리,,는 각각 표적노드와 앵커간의 신호 각도를 가리킨다.Here, ti,1 , ti,2 are the estimated coordinates of the target coordinates, xi,1 , xi,2 are the actual coordinates of each anchor, di is the distance between the target node and each anchor, , denotes the signal angle between the target node and the anchor, respectively.
다음으로, 모든 앵커에서 상기 위치 추정치를 수신하고, 표적 노드의 위치 추정 값의 평균을 사용하여 표적노드의 좌표를 계산하는 단계는 이하의 수학식 6을 만족한다.Next, the step of receiving the position estimates from all anchors and calculating the coordinates of the target node using the average of the position estimates of the target node satisfies Equation 6 below.
또한, 모든 앵커의 위치 추정 평균을 사용하여 목표 노드의 위치를 계산하는 경우, 효율성을 높이고 정확성을 보장할 수 있다.In addition, when the position of the target node is calculated using the average of the position estimates of all anchors, efficiency can be improved and accuracy can be guaranteed.
상기의 수학식 6, 7에서,는 표적노드의 좌표 추정치, x0는 표적노드의 좌표, m는 앵커의 개수, Ti는 각 앵커별 표적노드의 위치 추정치를 가리킨다.In Equations 6 and 7 above, is the estimated coordinates of the target node, x0 is the coordinates of the target node, m is the number of anchors, and Ti is the estimated position of the target node for each anchor.
한편, 앵커의 수가 3개 미만인 경우에도 표적 노드의 측위가 가능하다. 단, ADL 알고리즘은 각도 및 거리에 관한 정보를 모두 사용하여 측위 계산을 수행함에 따라 동일한 수의 앵커 상황에서 더 정확한 결과를 기대할 수 있다.On the other hand, even when the number of anchors is less than three, positioning of the target node is possible. However, as the ADL algorithm performs positioning calculations using both angle and distance information, more accurate results can be expected in the same number of anchor situations.
또한, 표적노드의 이동을 고려하여 하나의 앵커만 사용할 수 있는 열악한 환경에서는 확장된 ADL 알고리즘을 이용할 수 있다.In addition, in a poor environment where only one anchor can be used in consideration of the movement of the target node, the extended ADL algorithm can be used.
확장된 ADL 알고리즘에 따르면, 표적노드는 시작 좌표를 원점으로 하는 가상 좌표계에서 이동하는 것으로 가정하여 앵커는 표적노드가 이동하는 방향을 측정하여 측정결과를 표적노드에 전송할 수 있다.According to the extended ADL algorithm, it is assumed that the target node moves in the virtual coordinate system with the starting coordinate as the origin, and the anchor measures the direction in which the target node moves and transmits the measurement result to the target node.
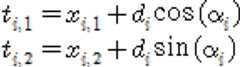
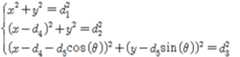
도 10은 두 개의 직선이동을 기반으로 하는 단일 앵커 환경에서 측위를 위한 좌표 그래프이다.10 is a coordinate graph for positioning in a single anchor environment based on two linear movements.
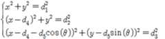
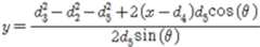
도 10을 참조하면, 앵커가 하나일 경우, 제4 알고리즘은 표적노드 이동 거리 및 회전 각도를 통해서 두 직선이동을 기반으로 하거나, 삼각형 이동을 기반으로 하여 표적노드의 좌표를 계산하는 단계를 포함할 수 있고, 특히 표적노드 이동 거리 및 회전 각도를 통해서 두 직선이동을 기반으로 하여 표적노드의 좌표를 계산하는 단계는, 표적노드는 시작 좌표를 원점으로 하는 가상 좌표계에서 이동하는 것으로 가정하고, 앵커가 표적노드의 이동하는 방향을 측정하여 측정결과를 표적노드에 전송하는 단계 및, 표적노드가 이동하다가(ex. d4 미터), 오른쪽 혹은 왼쪽으로 회전()하고 다시 특정거리에 도달시, 이하의 수학식 8에 기초하여 표적노드의 실제 좌표를 산출하는 단계를 포함할 수 있다.Referring to FIG. 10 , if there is only one anchor, the fourth algorithm may include calculating the coordinates of the target node based on two linear movements or based on triangular movement through the target node movement distance and rotation angle. In particular, in the step of calculating the coordinates of the target node based on two linear movements through the movement distance and rotation angle of the target node, it is assumed that the target node moves in a virtual coordinate system with the starting coordinate as the origin, and the anchor is Steps to measure the moving direction of the target node and transmit the measurement result to the target node, and while the target node is moving (ex. d4 meters), rotate to the right or left ( ) and when the specific distance is reached again, calculating the actual coordinates of the target node based on
여기서, x, y는 표적노드의 이동 위치, θ는 이동중인 표적노드의 회전각, d는 표적노드의 이동거리를 가리킨다.Here, x and y are the moving positions of the target node, θ is the rotation angle of the moving target node, and d is the moving distance of the target node.
또한, 도 11은 표적노드가 임의의 삼각형을 따라 이동하는 단일 앵커 환경에서 측위를 위한 좌표 그래프이다.11 is a coordinate graph for positioning in a single anchor environment in which a target node moves along an arbitrary triangle.
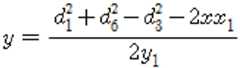
도 11을 참조하면, 상기 삼각형 이동을 기반으로 하여 상기 표적노드의 좌표를 계산하는 단계는, 표적노드는 시작 좌표를 원점으로 하는 가상 좌표계에서 임의의 삼각형을 따라 이동하는 것으로 가정하고, 앵커가 표적노드의 이동하는 방향을 측정하여 측정결과를 표적노드에 전송하는 단계 및, 상기 표적노드의 이동 중 원점에 도달시, 이하의 수학식 9에 의해 산출하는 단계를 포함할 수 있다.Referring to FIG. 11 , in the step of calculating the coordinates of the target node based on the movement of the triangle, it is assumed that the target node moves along an arbitrary triangle in a virtual coordinate system having the starting coordinate as the origin, and the anchor is the target. It may include measuring the moving direction of the node and transmitting the measurement result to the target node, and calculating by Equation 9 below when the origin is reached during the movement of the target node.
여기서, x,y는 표적노드의 이동 위치를 가리킨다.Here, x and y indicate the movement position of the target node.
상기한 설명에 많은 사항이 구체적으로 기재되어 있으나 이것은 발명의 범위를 한정하는 것이라기보다 바람직한 실시예의 예시로서 해석되어야 한다. 따라서, 발명은 설명된 실시예에 의하여 정할 것이 아니고 특허청구범위와 특허청구범위에 균등한 것에 의하여 정하여져야 한다.Although many matters are specifically described in the above description, these should be construed as examples of preferred embodiments rather than limiting the scope of the invention. Accordingly, the invention should not be defined by the described embodiments, but should be defined by the claims and equivalents to the claims.
10 : 표적노드50 : AP
100 : 정밀 측위 장치110 : 제1 거리추정 수단
111 : CSI 데이터 추출부112 : 스펙트럼 추출부
113 : 우세경로 계산부114 : 제1 거리 계산부
120 : 제2 거리추정 수단121 : FTM 수집부
123 : 제2 거리 계산부125 : 측위 보정부
130 : 딥 러닝 예측부140 : 표적노드 출력부10: target node 50: AP
 100: precision positioning device 110: first distance estimating means
 111: CSI data extraction unit 112: spectrum extraction unit
 113: dominant path calculation unit 114: first distance calculation unit
 120: second distance estimation means 121: FTM collection unit
 123: second distance calculation unit 125: positioning correction unit
 130: deep learning prediction unit 140: target node output unit
| Application Number | Priority Date | Filing Date | Title | 
|---|---|---|---|
| KR1020200171685AKR102416604B1 (en) | 2020-12-09 | 2020-12-09 | Mehtod and device for precise positioning for wireless communication system | 
| Application Number | Priority Date | Filing Date | Title | 
|---|---|---|---|
| KR1020200171685AKR102416604B1 (en) | 2020-12-09 | 2020-12-09 | Mehtod and device for precise positioning for wireless communication system | 
| Publication Number | Publication Date | 
|---|---|
| KR20220081797A KR20220081797A (en) | 2022-06-16 | 
| KR102416604B1true KR102416604B1 (en) | 2022-07-05 | 
| Application Number | Title | Priority Date | Filing Date | 
|---|---|---|---|
| KR1020200171685AActiveKR102416604B1 (en) | 2020-12-09 | 2020-12-09 | Mehtod and device for precise positioning for wireless communication system | 
| Country | Link | 
|---|---|
| KR (1) | KR102416604B1 (en) | 
| Publication number | Priority date | Publication date | Assignee | Title | 
|---|---|---|---|---|
| CN115184859B (en)* | 2022-06-27 | 2024-06-21 | 南京森林警察学院 | A method for eliminating ranging and angle measurement errors in non-line-of-sight propagation scenarios | 
| CN115426615B (en)* | 2022-07-21 | 2025-01-21 | 中山大学 | High-precision clock calibration and positioning direction finding method based on 5G millimeter wave communication | 
| CN115665783B (en)* | 2022-10-28 | 2025-06-03 | 紫金山实验室 | Abnormal indicator tracing method, device, electronic device and storage medium | 
| CN117110983B (en)* | 2023-10-25 | 2023-12-22 | 香港中文大学(深圳) | Signal source positioning method based on unmanned aerial vehicle spiral track | 
| CN118449602B (en)* | 2024-05-07 | 2025-02-28 | 旭宇光电(深圳)股份有限公司 | Visible light information communication method, device and equipment based on field of view alignment | 
| CN119270195B (en)* | 2024-09-13 | 2025-08-15 | 重庆邮电大学 | Direct path resolution method based on self-adaptive parameter DBSCAN clustering | 
| CN118972943B (en)* | 2024-10-11 | 2025-01-07 | 深圳市昇润科技有限公司 | Positioning calibration method and system | 
| CN119471569B (en)* | 2025-01-08 | 2025-04-01 | 宁波高知智能科技有限公司 | Position identification system, method, equipment and storage medium based on single code channel | 
| Publication number | Priority date | Publication date | Assignee | Title | 
|---|---|---|---|---|
| KR101174542B1 (en) | 2009-09-22 | 2012-08-16 | 한양대학교 산학협력단 | Mobile terminal, System and Method for measuring location of mobile terminal | 
| KR20190071238A (en)* | 2017-12-14 | 2019-06-24 | 삼성전자주식회사 | A method for performing wireless device to device communication and an electronic device thereof | 
| Publication number | Publication date | 
|---|---|
| KR20220081797A (en) | 2022-06-16 | 
| Publication | Publication Date | Title | 
|---|---|---|
| KR102416604B1 (en) | Mehtod and device for precise positioning for wireless communication system | |
| CN109155984B (en) | Method for determining channel delay, positioning method and related equipment | |
| JP3461167B2 (en) | Position calculation method and position calculation device | |
| US12392859B2 (en) | Line of sight detection based on channel impulse response reported | |
| EP2901737B1 (en) | Method and communication node for determining positioning measurement uncertainty and position determination. | |
| US9804253B2 (en) | System and methods for non-parametric technique based geolocation and cognitive sensor activation | |
| CN108702585B (en) | Hybrid fingerprinting/OTDOA location techniques and systems | |
| CN104467990B (en) | A kind of method and device in the line-of-sight propagation path identifying wireless signal | |
| US12000942B2 (en) | Methods and apparatuses for positioning in a wireless communications network | |
| US20080186234A1 (en) | Method to modify calibration data used to locate a mobile unit | |
| US11294024B2 (en) | System, apparatus, and/or method for determining a time of flight for one or more receivers and transmitters | |
| JP2016515212A (en) | Method and system for improving arrival time calculation | |
| US10241188B2 (en) | Method and apparatus for obtaining time of arrival TOA when mobile terminal is located | |
| Huang et al. | Enhanced LTE TOA/OTDOA estimation with first arriving path detection | |
| CN114144690A (en) | Apparatus and method for automatically marking high-precision indoor locations and determining location information | |
| US12342312B2 (en) | Positioning measurements | |
| US20190089405A1 (en) | Method and receiving node for determining time of arrival, toa, for a received radio signal | |
| CN118524517B (en) | Terminal positioning method and related device | |
| Koenig et al. | Multipath mitigation for indoor localization based on IEEE 802.11 time-of-flight measurements | |
| KR20120047694A (en) | Methods of position tracking of mobile terminal using observed time difference of arrival and mobile terminal using the same | |
| Bahillo et al. | Accurate and integrated localization system for indoor environments based on IEEE 802.11 round-trip time measurements | |
| Wu et al. | DorFin: WiFi fingerprint-based localization revisited | |
| US20250212089A1 (en) | Methods and apparatuses relating to wireless communications | |
| US20240085547A1 (en) | A hybrid method for time-of-arrival-based ranging | |
| CN115567868A (en) | Positioning in a mobile communication system | 
| Date | Code | Title | Description | 
|---|---|---|---|
| PA0109 | Patent application | Patent event code:PA01091R01D Comment text:Patent Application Patent event date:20201209 | |
| PA0201 | Request for examination | Patent event code:PA02012R01D Patent event date:20211229 Comment text:Request for Examination of Application Patent event code:PA02011R01I Patent event date:20201209 Comment text:Patent Application | |
| PA0302 | Request for accelerated examination | Patent event date:20211229 Patent event code:PA03022R01D Comment text:Request for Accelerated Examination Patent event date:20201209 Patent event code:PA03021R01I Comment text:Patent Application | |
| PE0902 | Notice of grounds for rejection | Comment text:Notification of reason for refusal Patent event date:20220324 Patent event code:PE09021S01D | |
| PG1501 | Laying open of application | ||
| E701 | Decision to grant or registration of patent right | ||
| PE0701 | Decision of registration | Patent event code:PE07011S01D Comment text:Decision to Grant Registration Patent event date:20220627 | |
| GRNT | Written decision to grant | ||
| PR0701 | Registration of establishment | Comment text:Registration of Establishment Patent event date:20220629 Patent event code:PR07011E01D | |
| PR1002 | Payment of registration fee | Payment date:20220630 End annual number:3 Start annual number:1 | |
| PG1601 | Publication of registration |