



본 발명은 무선전력 제공 가능한 모바일 단말 기술에 관한 것으로, 보다 상세하게는, 인접 디바이스의 연결 여부와 무관하게 유선전력을 통해 상시 동작될 수 있고 배터리 전원을 기초로 인접 디바이스에게 무선전력을 제공하여 인접 디바이스를 함께 동작시킬 수 있는 무선전력 제공 가능한 모바일 단말에 관한 것이다.The present invention relates to a mobile terminal technology capable of providing wireless power, and more particularly, it can operate at all times through wired power regardless of whether the adjacent device is connected or not, and provides wireless power to the adjacent device based on battery power to provide wireless power to the adjacent device. It relates to a mobile terminal capable of providing wireless power capable of operating devices together.
스마트폰이나 태블릿, 휴대용 컴퓨터와 같은 모바일 단말은 특성상 재충전이 가능한 배터리로 구동된다. 근래에는 무선 충전 기능이 지원되는 모바일 단말이 널리 사용되고 있다.Mobile terminals such as smartphones, tablets, and portable computers are powered by rechargeable batteries due to their nature. Recently, a mobile terminal supporting a wireless charging function has been widely used.
모바일 단말에 사용되는 무선충전 방식은 크게 공진 유도 방식(공진 방식)과 자기 유도 방식(유도 방식) 충전으로 나뉠 수 있다. 공진 방식은 모바일 단말을 무선 충전기에 접촉할 필요없이 일정 거리 안에 있으면 무선충전을 할 수 있다. 유도 방식은 모바일 단말과 무선 충전기를 직접 물리적으로 접촉시켜야 충전이 이뤄질 수 있다.The wireless charging method used in mobile terminals can be largely divided into a resonance induction method (resonance method) and a magnetic induction method (induction method) charging. In the resonance method, wireless charging can be performed if the mobile terminal is within a certain distance without contacting the wireless charger. In the induction method, charging can be achieved only when the mobile terminal and the wireless charger are in direct physical contact.
한편, 무선충전 기술은 모바일 단말이 다른 기기를 충전할 수 있는 역방향 무선충전까지 지원할 수 있게 되었다.On the other hand, wireless charging technology has become able to support reverse wireless charging in which a mobile terminal can charge other devices.
한국등록특허공보 제10-1844283호(2018.03.27)는 무선 디바이스의 에너지 공유 방법 및 장치에 관한 것으로, 적어도 하나의 인접 디바이스-상기 적어도 하나의 인접 디바이스는 무선으로 상기 무선 디바이스와 데이터 또는 에너지를 공유할 수 있는 디바이스임-를 스캐닝하는 스캐닝부, 상기 무선 디바이스와 상기 적어도 하나의 인접 디바이스와의 사이에서 에너지 공급자 및 에너지 수요자 중 어느 하나로 상기 무선 디바이스의 역할을 결정하는 역할 결정부, 상기 적어도 하나의 인접 디바이스와 상기 무선 디바이스 사이에 에너지를 공유하기 위한 에너지 전송 방법을 결정하는 전송 방법 결정부, 상기 에너지 전송 방법을 기초로 상기 적어도 하나의 인접 디바이스와 에너지를 공유하는 공유부, 및 상기 적어도 하나의 인접 디바이스와 상기 데이터 또는 에너지를 송수신하는 송수신부를 포함하고, 상기 에너지 공유 장치는 상기 무선 디바이스와 상기 적어도 하나의 인접 디바이스 각각의 배터리 레벨 및 라이프 타임을 체크하고, 상기 체크 결과를 기초로, 상기 무선 디바이스와 상기 적어도 하나의 인접 디바이스간의 배터리 레벨의 차이 또는 라이프 타임의 차이를 산출하며, 상기 배터리 레벨의 차이 또는 상기 라이프 타임의 차이가 미리 설정된 임계값에 해당하는지 여부를 기초로 상기 적어도 하나의 인접 디바이스와의 사이에 즉각적인 에너지 공유가 필요한지 여부를 판단한다.Korean Patent Publication No. 10-1844283 (2018.03.27) relates to a method and apparatus for sharing energy of a wireless device, wherein at least one adjacent device-the at least one adjacent device wirelessly transmits data or energy with the wireless device. A scanning unit that scans for a shareable device; a transmission method determining unit that determines an energy transmission method for sharing energy between a neighboring device of and the wireless device, a sharing unit that shares energy with the at least one neighboring device based on the energy transmission method, and the at least one and a transceiver for transmitting and receiving the data or energy to and from a neighboring device, wherein the energy sharing device checks the battery level and life time of each of the wireless device and the at least one neighboring device, and based on the check result, the Calculate a difference in battery level or a difference in lifetime between the wireless device and the at least one adjacent device, and based on whether the difference in battery level or the difference in life time corresponds to a preset threshold value, the at least one Determines whether immediate energy sharing with neighboring devices is required.
한국등록특허 제10-0736053호(2007.06.29)는 유도 방식에 의해 무선으로 전원을 공유하는 장치 및 방법에 관한 것으로서, 전원을 공급하는 제 1 배터리, 교류입력 전압을 받아 직류전압으로 변환하여 출력하는 정류기, 직류입력 전압을 받아 교류전압으로 변환하여 출력하는 인버터, 상기 전류기와 인버터 중 하나와 연결하여 상기 제 1 배터리를 충전시키거나 또는 상기 제 1 배터리의 전원으로 외부 디바이스에 포함된 제 2 배터리를 충전시키기 위해 전원을 제공하는 전원제어변환부, 및 상기 외부 디바이스와 통신을 수행하는 근거리 통신부를 포함한다.Korean Patent Registration No. 10-0736053 (June 29, 2007) relates to an apparatus and method for wirelessly sharing power by induction method. a rectifier that receives a DC input voltage and converts it into an AC voltage and outputs it, a second battery included in an external device as a power source of the first battery or charging the first battery by connecting to one of the current and the inverter It includes a power control conversion unit for providing power to charge, and a short-range communication unit for communicating with the external device.
본 발명의 일 실시예는 인접 디바이스의 연결 여부와 무관하게 유선전력을 통해 상시 동작될 수 있고 배터리 전원을 기초로 인접 디바이스에게 무선전력을 제공하여 인접 디바이스를 함께 동작시킬 수 있는 무선전력 제공 가능한 모바일 단말을 제공하고자 한다.An embodiment of the present invention is a mobile capable of providing wireless power that can be operated at all times through wired power regardless of whether the adjacent device is connected and can operate the adjacent device together by providing wireless power to the adjacent device based on battery power. We want to provide a terminal.
본 발명의 일 실시예는 외부 이벤트에 따라 무선전력 개시 명령을 생성하고 근거리 통신 모듈을 통해 인접 디바이스로부터 동작에 따른 무선 데이터를 수신할 수 있는 무선전력 제공 가능한 모바일 단말을 제공하고자 한다.An embodiment of the present invention is to provide a mobile terminal capable of providing wireless power that can generate a wireless power start command according to an external event and receive wireless data according to operation from a nearby device through a short-range communication module.
본 발명의 일 실시예는 인접 디바이스의 피드백 수신 과정을 통해 배터리 전원의 방출 시점을 인지하고 특정시간 동안만 순간적으로 무선전력을 제공하여 평상시에는 배터리 전원이 방출되지 않게 무선전력 방출 타이밍을 제어할 수 있는 무선전력 제공 가능한 모바일 단말을 제공하고자 한다.An embodiment of the present invention recognizes the release timing of battery power through the feedback receiving process of the adjacent device and provides wireless power instantaneously for a specific period of time to control the wireless power release timing so that the battery power is not normally released. An object of the present invention is to provide a mobile terminal capable of providing wireless power.
실시예들 중에서, 무선전력 제공 가능한 모바일 단말은 배터리, 상기 배터리를 내부에 포함하고 비-배터리 타입 인접 디바이스의 연결 여부와 무관하게 유선전력을 통해 상시 동작되도록 상기 배터리를 제어하는 모바일 단말 제어부, 무선전력 개시 명령 또는 무선전력 중지 명령에 따라 상기 배터리에 있는 전원을 기초로 상기 비-배터리 타입 인접 디바이스에게 무선전력의 송신을 개시하여 상기 비-배터리 타입 인접 디바이스를 함께 동작시키거나 또는 상기 인접 디바이스에 대한 상기 무선전력의 송신을 중지하는 무선전력 처리부 및 상기 무선전력 개시 명령 또는 상기 무선전력 중지 명령을 제공하는 무선전력 제어부를 포함한다.Among the embodiments, a mobile terminal capable of providing wireless power includes a battery, a mobile terminal controller including the battery therein, and controlling the battery to be operated at all times through wired power regardless of whether a non-battery type adjacent device is connected or not; In accordance with a power start command or a wireless power stop command, wireless power transmission is started to the non-battery type neighboring device based on the power in the battery to operate the non-battery type neighboring device together or to the neighboring device. It includes a wireless power processing unit for stopping the transmission of the wireless power to the wireless power control unit for providing the wireless power start command or the wireless power stop command.
상기 비-배터리 타입 인접 디바이스는 모바일 단말 케이스, 모바일 단말 거치형 조이스틱 또는 모바일 단말 거치대에 해당할 수 있다.The non-battery type adjacent device may correspond to a mobile terminal case, a mobile terminal mounted joystick, or a mobile terminal holder.
상기 무선전력 처리부는 외부 이벤트를 수신하는 경우에는 상기 무선전력 개시 명령 또는 상기 무선전력 중지 명령을 통해 상기 무선전력의 송신을 개시하거나 또는 중지할 수 있다.When receiving an external event, the wireless power processing unit may start or stop the transmission of the wireless power through the wireless power start command or the wireless power stop command.
상기 무선전력 처리부는 상기 외부 이벤트에 따라 상기 무선전력 개시 명령이 생성된 경우에는 근거리 통신 모듈을 통해 상기 비-배터리 타입 인접 디바이스로부터 상기 동작에 따른 무선 데이터를 수신할 수 있다.When the wireless power start command is generated according to the external event, the wireless power processing unit may receive wireless data according to the operation from the non-battery type adjacent device through a short-range communication module.
상기 무선전력 제어부는 외부 이벤트에 따라 상기 무선전력 개시 명령이 생성된 경우에는 상기 외부 이벤트의 종류를 기초로 상기 무선전력의 송신 지속 시간을 결정할 수 있다.When the wireless power start command is generated according to an external event, the wireless power control unit may determine the duration of transmission of the wireless power based on the type of the external event.
상기 무선전력 제어부는 상기 무선전력의 송신 지속 시간의 과정 중에 상기 비-배터리 타입 인접 디바이스의 피드백이 특정 시간 동안 수신되지 않는 경우에는 상기 무선전력 중지 명령을 생성할 수 있다.The wireless power control unit may generate the wireless power stop command when the feedback from the non-battery type adjacent device is not received for a specific time during the duration of the wireless power transmission.
상기 무선전력 제어부는 상기 배터리의 전원 잔량이 특정 기준 이하인 경우에는 상기 무선전력 개시 명령을 무시하여 상기 무선전력의 생성을 금지할 수 있다.The wireless power control unit may disregard the wireless power start command and prohibit the generation of the wireless power when the remaining power of the battery is less than or equal to a specific standard.
상기 무선전력 제어부는 사용자의 설정에 따라 상기 특정 기준을 결정할 수 있다.The wireless power control unit may determine the specific criterion according to a user's setting.
상기 무선전력 처리부는 외부 무선전력이 수신되는 경우에는 상기 배터리의 전원 잔량을 기초로 상기 외부 무선전력을 상기 비-배터리 타입 인접 디바이스에 바이패스할지 여부를 결정할 수 있다.When external wireless power is received, the wireless power processing unit may determine whether to bypass the external wireless power to the non-battery type adjacent device based on the remaining power of the battery.
실시예들 중에서, 무선전력 제공 가능한 모바일 단말은 배터리, 상기 배터리를 내부에 포함하고 배터리 타입 인접 디바이스의 연결 여부와 무관하게 유선전력을 통해 상시 동작되도록 상기 배터리를 제어하는 모바일 단말 제어부, 무선전력 개시 명령 또는 무선전력 중지 명령에 따라 상기 배터리에 있는 전원을 기초로 상기 배터리 타입 인접 디바이스에게 무선전력의 송신을 개시하여 상기 배터리 타입 인접 디바이스를 함께 동작시키거나 또는 상기 인접 디바이스에 대한 상기 무선전력의 송신을 중지하며, 상기 외부 이벤트에 따라 상기 무선전력 개시 명령이 생성된 경우에는 근거리 통신 모듈을 통해 상기 배터리 타입 인접 디바이스로부터 상기 동작에 따른 무선 데이터를 수신하는 무선전력 처리부 및 상기 배터리 타입 인접 디바이스의 배터리 잔량에 따라 상기 무선전력 개시 명령 또는 상기 무선전력 중지 명령을 제공하는 무선전력 제어부를 포함한다.In embodiments, a mobile terminal capable of providing wireless power includes a battery and the battery therein, and a mobile terminal controller that controls the battery to be operated at all times through wired power regardless of whether a battery-type adjacent device is connected, wireless power start In accordance with a command or a wireless power stop command, wireless power transmission is started to the battery-type adjacent device based on the power in the battery to operate the battery-type adjacent device together, or transmission of the wireless power to the adjacent device When the wireless power start command is generated according to the external event, a wireless power processing unit for receiving wireless data according to the operation from the battery-type adjacent device through a short-range communication module and the battery of the battery-type adjacent device and a wireless power control unit that provides the wireless power start command or the wireless power stop command according to the remaining amount.
상기 무선전력 제어부는 상기 무선전력의 송신 지속 시간의 과정 중에 상기 배터리 타입 인접 디바이스의 피드백이 특정 시간 동안 수신되지 않는 경우에는 상기 무선전력 중지 명령을 생성할 수 있다.The wireless power control unit may generate the wireless power stop command when the feedback from the battery-type adjacent device is not received for a specific time during the duration of the wireless power transmission.
상기 무선전력 제어부는 상기 배터리 타입 인접 디바이스에 있는 배터리의 전원 잔량이 상기 배터리의 전원 잔량보다 큰 경우에는 상기 무선전력 중지 명령을 제공할 수 있다.The wireless power control unit may provide a command to stop the wireless power when the remaining power of the battery in the battery type adjacent device is greater than the remaining power of the battery.
개시된 기술은 다음의 효과를 가질 수 있다. 다만, 특정 실시예가 다음의 효과를 전부 포함하여야 한다거나 다음의 효과만을 포함하여야 한다는 의미는 아니므로, 개시된 기술의 권리범위는 이에 의하여 제한되는 것으로 이해되어서는 아니 될 것이다.The disclosed technology may have the following effects. However, this does not mean that a specific embodiment should include all of the following effects or only the following effects, so the scope of the disclosed technology should not be construed as being limited thereby.
본 발명의 일 실시예에 따른 무선전력 제공 가능한 모바일 단말은 비-배터리 타입 인접 디바이스 또는 배터리 타입 인접 디바이스의 연결 여부와 무관하게 유선전력을 통해 상시 동작될 수 있고 배터리 전원을 기초로 인접 디바이스에게 무선전력을 제공하여 인접 디바이스를 함께 동작시킬 수 있다.The mobile terminal capable of providing wireless power according to an embodiment of the present invention can be operated at all times through wired power regardless of whether a non-battery type neighboring device or a battery type neighboring device is connected, and wirelessly to neighboring devices based on battery power. It can provide power to operate adjacent devices together.
본 발명의 일 실시예에 따른 무선전력 제공 가능한 모바일 단말은 외부 이벤트에 따라 무선전력 개시 명령을 생성하고 근거리 통신 모듈(NFC)을 통해 인접 디바이스로부터 동작에 따른 무선 데이터를 수신할 수 있다.A mobile terminal capable of providing wireless power according to an embodiment of the present invention may generate a wireless power start command according to an external event and receive wireless data according to an operation from an adjacent device through a near field communication module (NFC).
본 발명의 일 실시예에 따른 무선전력 제공 가능한 모바일 단말은 인접 디바이스의 피드백 수신 과정을 통해 배터리 전원의 방출 시점을 인지하고 특정시간 동안만 순간적으로 무선전력을 제공하여 평상시에는 배터리 전원이 방출되지 않게 무선전력 방출 타이밍을 제어할 수 있다.The mobile terminal capable of providing wireless power according to an embodiment of the present invention recognizes the release time of battery power through a feedback receiving process of an adjacent device and provides wireless power instantaneously only for a specific time so that the battery power is not normally discharged. The timing of wireless power release can be controlled.
따라서, 본 발명의 일 실시예에 따른 무선전력 제공 가능한 모바일 단말은 내부 배터리로 인접 위치에 있는 모바일 단말 케이스, 모바일 단말 거치형 조이스틱 또는 모바일 단말 거치대 등의 다른 디바이스에게 무선전력을 제공하여 인접한 다른 디바이스가 사전에 정해진 동작을 수행할 수 있게 한다.Therefore, the mobile terminal capable of providing wireless power according to an embodiment of the present invention provides wireless power to other devices such as a mobile terminal case, a mobile terminal-mounted joystick, or a mobile terminal cradle located in an adjacent position with an internal battery so that other adjacent devices Allows you to perform predetermined actions.
도 1은 본 발명이 적용된 모바일 단말과 인접 디바이스 간의 무선전력 제공 시스템을 개략적으로 보여주는 도면이다.
도 2는 본 발명의 일 실시예에 따른 무선전력 제공 가능한 모바일 단말을 나타내는 도면이다.
도 3은 본 발명의 일 실시예에 따른 모바일 단말이 조이스틱에 거치되어 무선전력을 제공하는 일 실시 과정을 설명하는 흐름도이다.
도 4는 본 발명의 일 실시예에 따른 모바일 단말이 케이스에 끼워져 무선전력을 제공하는 일 실시 과정을 설명하는 흐름도이다.1 is a diagram schematically showing a system for providing wireless power between a mobile terminal to which the present invention is applied and an adjacent device.
2 is a diagram illustrating a mobile terminal capable of providing wireless power according to an embodiment of the present invention.
3 is a flowchart illustrating an exemplary process in which a mobile terminal is mounted on a joystick to provide wireless power according to an embodiment of the present invention.
4 is a flowchart illustrating an exemplary process in which a mobile terminal is inserted into a case and provides wireless power according to an embodiment of the present invention.
본 발명에 관한 설명은 구조적 내지 기능적 설명을 위한 실시예에 불과하므로, 본 발명의 권리범위는 본문에 설명된 실시예에 의하여 제한되는 것으로 해석되어서는 아니 된다. 즉, 실시예는 다양한 변경이 가능하고 여러 가지 형태를 가질 수 있으므로 본 발명의 권리범위는 기술적 사상을 실현할 수 있는 균등물들을 포함하는 것으로 이해되어야 한다. 또한, 본 발명에서 제시된 목적 또는 효과는 특정 실시예가 이를 전부 포함하여야 한다거나 그러한 효과만을 포함하여야 한다는 의미는 아니므로, 본 발명의 권리범위는 이에 의하여 제한되는 것으로 이해되어서는 아니 될 것이다.Since the description of the present invention is merely an embodiment for structural or functional description, the scope of the present invention should not be construed as being limited by the embodiment described in the text. That is, since the embodiment may have various modifications and may have various forms, it should be understood that the scope of the present invention includes equivalents capable of realizing the technical idea. In addition, since the object or effect presented in the present invention does not mean that a specific embodiment should include all of them or only such effects, it should not be understood that the scope of the present invention is limited thereby.
한편, 본 출원에서 서술되는 용어의 의미는 다음과 같이 이해되어야 할 것이다.On the other hand, the meaning of the terms described in the present application should be understood as follows.
"제1", "제2" 등의 용어는 하나의 구성요소를 다른 구성요소로부터 구별하기 위한 것으로, 이들 용어들에 의해 권리범위가 한정되어서는 아니 된다. 예를 들어, 제1 구성요소는 제2 구성요소로 명명될 수 있고, 유사하게 제2 구성요소도 제1 구성요소로 명명될 수 있다.Terms such as “first” and “second” are for distinguishing one component from another, and the scope of rights should not be limited by these terms. For example, a first component may be termed a second component, and similarly, a second component may also be termed a first component.
어떤 구성요소가 다른 구성요소에 "연결되어"있다고 언급된 때에는, 그 다른 구성요소에 직접적으로 연결될 수도 있지만, 중간에 다른 구성요소가 존재할 수도 있다고 이해되어야 할 것이다. 반면에, 어떤 구성요소가 다른 구성요소에 "직접 연결되어"있다고 언급된 때에는 중간에 다른 구성요소가 존재하지 않는 것으로 이해되어야 할 것이다. 한편, 구성요소들 간의 관계를 설명하는 다른 표현들, 즉 "~사이에"와 "바로 ~사이에" 또는 "~에 이웃하는"과 "~에 직접 이웃하는" 등도 마찬가지로 해석되어야 한다.When a component is referred to as being “connected” to another component, it should be understood that the component may be directly connected to the other component, but other components may exist in between. On the other hand, when it is mentioned that a certain element is "directly connected" to another element, it should be understood that the other element does not exist in the middle. Meanwhile, other expressions describing the relationship between elements, that is, “between” and “immediately between” or “neighboring to” and “directly adjacent to”, etc., should be interpreted similarly.
단수의 표현은 문맥상 명백하게 다르게 뜻하지 않는 한 복수의 표현을 포함하는 것으로 이해되어야 하고, "포함하다"또는 "가지다" 등의 용어는 실시된 특징, 숫자, 단계, 동작, 구성요소, 부분품 또는 이들을 조합한 것이 존재함을 지정하려는 것이며, 하나 또는 그 이상의 다른 특징이나 숫자, 단계, 동작, 구성요소, 부분품 또는 이들을 조합한 것들의 존재 또는 부가 가능성을 미리 배제하지 않는 것으로 이해되어야 한다.The singular expression is to be understood to include the plural expression unless the context clearly dictates otherwise, and terms such as "comprises" or "have" refer to the embodied feature, number, step, action, component, part or these It is intended to indicate that a combination exists, and it should be understood that it does not preclude the possibility of the existence or addition of one or more other features or numbers, steps, operations, components, parts, or combinations thereof.
각 단계들에 있어 식별부호(예를 들어, a, b, c 등)는 설명의 편의를 위하여 사용되는 것으로 식별부호는 각 단계들의 순서를 설명하는 것이 아니며, 각 단계들은 문맥상 명백하게 특정 순서를 기재하지 않는 이상 명기된 순서와 다르게 일어날 수 있다. 즉, 각 단계들은 명기된 순서와 동일하게 일어날 수도 있고 실질적으로 동시에 수행될 수도 있으며 반대의 순서대로 수행될 수도 있다.Identifiers (eg, a, b, c, etc.) in each step are used for convenience of description, and the identification code does not describe the order of each step, and each step clearly indicates a specific order in context. Unless otherwise specified, it may occur in a different order from the specified order. That is, each step may occur in the same order as specified, may be performed substantially simultaneously, or may be performed in the reverse order.
본 발명은 컴퓨터가 읽을 수 있는 기록매체에 컴퓨터가 읽을 수 있는 코드로서 구현될 수 있고, 컴퓨터가 읽을 수 있는 기록 매체는 컴퓨터 시스템에 의하여 읽혀질 수 있는 데이터가 저장되는 모든 종류의 기록 장치를 포함한다. 컴퓨터가 읽을 수 있는 기록 매체의 예로는 ROM, RAM, CD-ROM, 자기 테이프, 플로피 디스크, 광 데이터 저장 장치 등이 있다.The present invention can be embodied as computer-readable codes on a computer-readable recording medium, and the computer-readable recording medium includes all types of recording devices in which data readable by a computer system is stored. . Examples of the computer-readable recording medium include ROM, RAM, CD-ROM, magnetic tape, floppy disk, optical data storage device, and the like.
여기서 사용되는 모든 용어들은 다르게 정의되지 않는 한, 본 발명이 속하는 분야에서 통상의 지식을 가진 자에 의해 일반적으로 이해되는 것과 동일한 의미를 가진다. 일반적으로 사용되는 사전에 정의되어 있는 용어들은 관련 기술의 문맥상 가지는 의미와 일치하는 것으로 해석되어야 하며, 본 출원에서 명백하게 정의하지 않는 한 이상적이거나 과도하게 형식적인 의미를 지니는 것으로 해석될 수 없다.All terms used herein have the same meaning as commonly understood by one of ordinary skill in the art to which this invention belongs, unless otherwise defined. Terms defined in general used in the dictionary should be interpreted as being consistent with the meaning in the context of the related art, and cannot be interpreted as having an ideal or excessively formal meaning unless explicitly defined in the present application.
도 1은 본 발명이 적용된 모바일 단말과 인접 디바이스 간의 무선전력 제공 시스템을 개략적으로 보여주는 도면이다.1 is a diagram schematically showing a system for providing wireless power between a mobile terminal to which the present invention is applied and an adjacent device.
도 1을 참조하면, 일 실시예에 따른 무선전력 제공 가능한 모바일 단말(100)은 인접 위치에 있는 외부의 다른 디바이스(200)들에게 무선전력을 제공할 수 있다. 여기에서, 모바일 단말(100)은 내부에 배터리를 포함할 수 있고 배터리에 있는 전원을 기초로 하여 인접 디바이스(200)에게 무선전력을 송신할 수 있다. 모바일 단말(100)은 평상시에는 배터리 전원을 방출하지 않고 인접 디바이스(200)와 연결 시점을 인지하여 특정 시간 동안만 순간적으로 무선전력을 송신할 수 있다.Referring to FIG. 1 , a
인접 디바이스(200)는 모바일 단말(100)과 인접한 위치에서 모바일 단말(100)에서 제공하는 무선전력을 수신할 수 있고 무선전력에 따라 사전 정해진 동작을 수행할 수 있다. 일 실시예에서, 인접 디바이스(200)는 모바일 단말(100)과 인접 위치에서 동작할 수 있는 외부의 다른 디바이스로, 모바일 단말 케이스, 모바일 단말 거치형 조이스틱 또는 모바일 단말 거치대 등에 해당할 수 있다. 여기에서, 인접 디바이스(200)는 비-배터리 타입 인접 디바이스(210)와 배터리 타입 인접 디바이스(220)를 포함할 수 있다. 인접 디바이스(200)는 모바일 단말(100)로부터 무선전력이 수신되면 미리 결정되어 있거나 또는 모바일 단말(100)로부터 동작코드를 수신하여 동작을 수행할 수 있다. 비-배터리 타입 인접 디바이스(210)의 경우에는 내부에 배터리를 포함하지 않더라도 일 실시예에 따른 모바일 단말(100)로부터 무선전력을 제공받아 정해진 동작을 수행할 수 있다. 배터리 타입 인접 디바이스(220)의 경우에는 내부에 포함되는 배터리의 잔량에 따라 일 실시예에 따른 모바일 단말(100)로부터 무선전력을 제공받아 정해진 동작을 수행할 수 있다.The
도 2는 본 발명의 일 실시예에 따른 무선전력 제공 가능한 모바일 단말을 나타내는 도면이다.2 is a diagram illustrating a mobile terminal capable of providing wireless power according to an embodiment of the present invention.
도 2를 참조하면, 무선전력 제공 가능한 모바일 단말(100)은 배터리(110), 모바일 단말 제어부(120), 무선전력 처리부(130), 무선전력 제어부(140) 및 제어부(150)를 포함할 수 있다.Referring to FIG. 2 , the
배터리(110)는 모바일 단말(100)의 전력원으로, 충전하여 사용할 수 있다. 예컨대, 배터리(110)는 리튬이온배터리로 구현될 수 있다. 일 실시예에서, 배터리(110)는 외부 무선전력을 수신하여 충전할 수 있고 배터리(110)의 전원은 인접 디바이스(200)의 전력원으로 제공될 수 있다.The
모바일 단말 제어부(120)는 내부에 배터리(110)를 포함할 수 있고 인접 디바이스(200)의 연결 여부와 무관하게 유선전력을 통해 상시 동작되도록 배터리(110)를 제어할 수 있다.The mobile
무선전력 처리부(130)는 무선전력 개시 명령 또는 무선전력 중지 명령에 따라 배터리(110)에 있는 전원을 기초로 인접 디바이스(200)에게 무선전력의 송신을 개시하여 인접 디바이스(200)를 함께 동작시키거나 또는 인접 디바이스(200)에 대한 무선전력의 송신을 중지할 수 있다. 일 실시예에서, 무선전력 처리부(130)는 외부 이벤트를 수신하는 경우에는 무선전력 개시 명령 또는 무선전력 중지 명령을 통해 무선전력의 송신을 개시하거나 또는 중지할 수 있다. 여기에서, 무선전력 처리부(130)는 외부 이벤트를 수신하는 경우에 연결된 인접 디바이스(200)에 따라 무선전력의 송신을 개시하거나 중단할 수 있다.The wireless
예를 들어, 모바일 단말(100)이 인접 디바이스(200)로 모바일 단말 케이스에 끼워진 상태에서 전화 수신된 경우에는 모바일 단말 케이스에게 무선 전력의 송신을 개시하여 모바일 단말 케이스에서 특정 색상으로 발광하여 모바일 단말(100)이 전화 수신 상태임을 표시하는 지정된 동작을 수행할 수 있다.For example, when a call is received while the
예를 들어, 모바일 단말(100)이 인접 디바이스(200)로 모바일 단말 거치형 조이스틱에 거치된 상태에서 전화 수신된 경우에는 모바일 단말 거치형 조이스틱에게 무선전력을 중단하여 조이스틱 조정 동작을 중지시키고 모바일 단말(100)이 전화 통화 동작되도록 할 수 있다.For example, when the
일 실시예에서, 무선전력 처리부(130)는 외부 이벤트에 따라 무선전력 개시 명령이 생성된 경우에는 근거리 통신 모듈을 통해 인접 디바이스(200)로부터 동작에 따른 무선 데이터를 수신할 수 있다. 여기에서, 근거리 통신 모듈로는 NFC를 사용할 수 있고, 이에 한정되지 않고 블루투스, 적외선통신, 와이파이 다이렉트 등의 무선통신 기술을 사용할 수 있다.In an embodiment, when a wireless power start command is generated according to an external event, the wireless
NFC(Near Field Communication)는 스마트폰을 근거리에서 터치하여 결제, 정보 전송 등이 가능한 차세대 IT기술이다. RFID(Radio-Frequency Identification)의 하나로 13.56㎒ 주파수 대역을 사용하는 비접촉식 근거리 무선통신 모듈로 10㎝의 가까운 거리에서 단말기 간 데이터를 전송하는 기술을 의미하는데, 휴대폰 결제 시스템, 교통카드 시스템, 개인정보관리 시스템, 헬스케어 시스템이 있다. NFC는 통신거리가 짧은 반면 보안에 강하다는 장점이 있다.NFC (Near Field Communication) is a next-generation IT technology that enables payment and information transmission by touching a smartphone at a short distance. As one of RFID (Radio-Frequency Identification), it is a non-contact short-distance wireless communication module using the 13.56 MHz frequency band, which means a technology to transmit data between terminals at a distance of 10 cm. system, and health care system. NFC has the advantage of being strong in security while having a short communication distance.
예를 들어, 무선전력 처리부(130)는 모바일 단말(100)이 인접 디바이스(200)로 모바일 단말 거치형 조이스틱에 거치된 상태에서 외부 이벤트에 따라 무선전력 개시 명령이 생성되어 배터리(110)에 있는 전원이 모바일 단말 거치형 조이스틱에 무선전력으로 제공되는 경우에 조이스틱의 조작 데이터를 NFC로 수신할 수 있다.For example, the wireless
일 실시예에서, 무선전력 처리부(130)는 외부 무선전력이 수신되는 경우에는 배터리(110)의 전원 잔량을 기초로 외부 무선전력을 인접 디바이스(200)에 바이패스할지 여부를 결정할 수 있다. 예를 들어, 무선전력 처리부(130)는 배터리(110)의 전원 잔량이 90% 이상인 경우에 수신되는 외부 무선전력을 인접 디바이스(200)에 바이패스하도록 결정할 수 있다.In an embodiment, when the external wireless power is received, the wireless
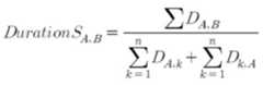
무선전력 제어부(140)는 무선전력 개시 명령 또는 무선전력 중지 명령을 제공할 수 있다. 일 실시예에서, 무선전력 제어부(140)는 외부 이벤트에 따라 무선전력 개시 명령이 생성된 경우에는 외부 이벤트의 종류를 기초로 무선전력의 송신 지속 시간을 결정할 수 있다. 예를 들어, 무선전력 처리부(130)는 모바일 단말(100)이 인접 디바이스(200)로 모바일 단말 케이스에 끼워진 상태에서 전화 수신 이벤트가 발생되면 전화 통화를 지속하는 동안 무선전력을 계속 송신하여 모바일 단말 케이스에서 특정 색상의 빛을 방출하는 동작을 수행할 수 있다. 여기에서, 무선전력의 송신 지속시간(DurationSA,B)은 하기의 수학식과 같이 표현할 수 있다.The wireless
[수학식][Equation]
여기서,는 전화를 송신 및 수신한 총 통화 시간,는 전화 수신한 총 통화시간을 각각 의미한다.here, is the total time of calls sent and received, is the total number of calls received.
일 실시예에서, 무선전력 제어부(140)는 무선전력의 송신 지속 시간의 과정 중에 인접 디바이스(200)의 피드백이 특정 시간 동안 수신되지 않는 경우에는 무선전력 중지 명령을 생성할 수 있다. 여기에서, 모바일 단말(100)은 인접 디바이스(200)에 무선전력을 송신한 후 피드백을 수신하여 인접 디바이스(200)와의 연결을 인지할 수 있다. 무선전력 제어부(140)는 인접 디바이스(200)의 피드백 수신이 되지 않는 경우에는 인접 디바이스(200)가 모바일 단말(100)로부터 이탈된 경우로 인지할 수 있고 이때 무선전력 중지 명령을 생성하여 배터리(110)에 있는 전원이 더 이상 방출되지 않도록 한다.In an embodiment, the wireless
일 실시예에서, 무선전력 제어부(140)는 배터리(110)의 전원 잔량이 특정 기준 이하인 경우에는 무선전력 개시 명령을 무시하여 무선전력의 생성을 금지할 수 있다. 여기에서, 특정 기준은 사용자의 설정에 따라 결정할 수 있다. 예를 들어, 무선전력 제어부(140)는 배터리(110)의 전원 잔량이 사용자의 설정에 따라 결정된 기준인 10% 이하인 경우에는 무선전력 개시 명령을 무시하고 무선전력의 생성을 금지할 수 있다. 이에 따라, 배터리(110)가 완전 방전되지 않도록 배터리(110)의 전원 잔량을 관리하면서 인접 디바이스(200)에게 무선전력을 제공할 수 있다.In an embodiment, the wireless
일 실시예에서, 무선전력 제어부(140)는 인접 디바이스(200)가 배터리 타입 인접 디바이스(220)인 경우에는 배터리 타입 인접 디바이스(220)에 포함하는 배터리의 잔량에 따라 무선전력 개시 명령 또는 무선전력 중지 명령을 제공할 수 있다. 여기에서, 무선전력 제어부(140)는 배터리 타입 인접 디바이스(220)에 있는 배터리의 전원 잔량이 모바일 단말(100)에 있는 배터리(110)의 전원 잔량보다 큰 경우에는 무선전력 중지 명령을 제공할 수 있다.In an embodiment, when the
제어부(150)는 무선전력 제공 가능한 모바일 단말(100)의 전체적인 동작을 제어하고, 배터리(110)를 내부에 포함하는 모바일 단말 제어부(120), 무선전력 처리부(130) 및 무선전력 제어부(140)와 전기적으로 연결되어 이들 간의 제어 흐름 또는 데이터 흐름을 제어할 수 있다. 일 실시예에서, 제어부(150)는 무선전력 제공 가능한 모바일 단말(100)의 프로세서로 구현될 수 있다.The
일 실시예에서, 무선전력 제공 가능한 모바일 단말(100)은 모바일 단말 케이스, 모바일 단말 거치형 조이스틱, 모바일 단말 거치대 등 인접 위치에서 동작할 수 있는 인접 디바이스(200)에 무선 전력을 제공할 수 있고, 그 밖에 디지털 도어락, 터치펜 등 다양한 외부 디바이스에 적용될 수 있음은 물론이다.In one embodiment, the
도 3은 본 발명의 일 실시예에 따른 모바일 단말이 조이스틱에 거치되어 무선전력을 제공하는 일 실시 과정을 설명하는 흐름도이다.3 is a flowchart illustrating an exemplary process in which a mobile terminal is mounted on a joystick to provide wireless power according to an embodiment of the present invention.
도 3에서, 무선전력 제공 가능한 모바일 단말(100)은 조이스틱(300)에 거치한 상태에서 게임이 시작되면 배터리(110)에 있는 전원을 기초로 조이스틱(300)에게 무선전력을 송신할 수 있다(단계 S310).In FIG. 3 , the
조이스틱(300)은 무선전력을 수신하여 사용자 조작에 따른 조정 동작을 수행할 수 있고 조정 동작에 따른 데이터를 NFC를 통해 모바일 단말(100)에 제공할 수 있다(단계 S320).The
무선전력 제공 가능한 모바일 단말(100)은 조이스틱(300)의 조작 데이터를 NFC로 수신하여 조작 데이터에 대응하는 게임을 진행할 수 있다(단계 S330). 무선전력 제공 가능한 모바일 단말(100)은 조이스틱(300)의 조정 동작을 게임의 명령으로 변환하여 게임 진행할 수 있다.The
무선전력 제공 가능한 모바일 단말(100)은 배터리(110)의 전원 잔량이 특정 기준 이하가 될 때, 진행되는 게임이 종료될 때, 그리고 외부 이벤트(예: 전화수신)가 수신될 때 무선전력의 송신을 중지할 수 있다(단계 S340).The
따라서, 모바일 단말 거치형 조이스틱(300)은 별도의 배터리 없이도 무선전력 제공 가능한 모바일 단말(100)의 무선전력으로 조정 동작을 수행할 수 있다.Accordingly, the mobile terminal-mounted
도 4는 본 발명의 일 실시예에 따른 모바일 단말이 케이스에 끼워져 무선전력을 제공하는 일 실시 과정을 설명하는 흐름도이다.4 is a flowchart illustrating an exemplary process in which a mobile terminal is inserted into a case and provides wireless power according to an embodiment of the present invention.
도 4에서, 무선전력 제공 가능한 모바일 단말(100)은 케이스(400)에 장착된 상태에서 외부 이벤트(예:전화, 문자 수신) 발생하면 배터리(110)에 있는 전원을 기초로 케이스(400)에게 무선전력을 송신할 수 있다(단계 S410).In FIG. 4 , the
케이스(400)는 무선전력이 수신되는 동안 LED 발광 제어를 통해 특정 색상의 조명을 제공할 수 있고 무선전력 수신에 대해 모바일 단말(100)에 피드백을 제공할 수 있다(단계 S420). 여기에서, 특정 색상은 사용자 설정에 따라 다양하게 결정될 수 있다. 예를 들어, 전화 수신의 경우 초록색, 문자 수신의 경우 노랑색 등 이벤트 종류에 따라 색상을 달리 정할 수 있다.The
무선전력 제공 가능한 모바일 단말(100)은 배터리(110)의 전원 잔량이 특정 기준 이하가 될 때, 외부 이벤트(예: 전화통화, 문자확인)가 종료될 때, 그리고 케이스(400)로부터 무선전력 송신에 대한 피드백이 특정시간 동안 수신되지 않을 때(예: 케이스 분리) 무선전력의 송신을 중지할 수 있다(단계 S330).The
따라서, 모바일 단말 케이스(400)은 별도의 배터리 없이도 무선전력 제공 가능한 모바일 단말(100)의 무선전력으로 모바일 단말(100)과 함께 동작할 수 있다.Accordingly, the mobile
본 발명의 일 실시예에 따른 무선전력 제공 가능한 모바일 단말(100)은 상기와 같은 방식으로 배터리에 있는 전원을 비-배터리 타입 인접 디바이스 또는 배터리 타입 인접 디바이스에게 무선전력을 제공할 수 있고, 이에 따라, 비-배터리 타입 인접 디바이스의 경우 별도의 배터리를 포함하지 않고도 정해진 동작을 수행할 수 있어 폐건전지 배출량을 절감할 수 있고, 근거리 통신 모듈을 통해 인접 디바이스의 동작에 따른 데이터를 무선 수신하여 모바일 단말과 인접 디바이스를 함께 동작시킬 수 있다.The
상기에서는 본 발명의 바람직한 실시예를 참조하여 설명하였지만, 해당 기술 분야의 숙련된 당업자는 하기의 특허 청구의 범위에 기재된 본 발명의 사상 및 영역으로부터 벗어나지 않는 범위 내에서 본 발명을 다양하게 수정 및 변경시킬 수 있음을 이해할 수 있을 것이다.Although the above has been described with reference to preferred embodiments of the present invention, those skilled in the art can variously modify and change the present invention within the scope without departing from the spirit and scope of the present invention as set forth in the claims below. You will understand that it can be done.
100: 무선전력 제공 가능한 모바일 단말
110: 배터리 120: 모바일 단말 제어부
130: 무선전력 처리부 140: 무선전력 제어부
150: 제어부
200: 인접 디바이스
210: 비-배터리 타입 인접 디바이스
220: 배터리 타입 인접 디바이스
300: 모바일 단말 거치형 조이스틱
400: 모바일 단말 케이스100: mobile terminal capable of providing wireless power
110: battery 120: mobile terminal control unit
130: wireless power processing unit 140: wireless power control unit
150: control unit
200: adjacent device
210: non-battery type adjacent device
220: battery type adjacent device
300: mobile terminal mounted joystick
400: mobile terminal case
| Application Number | Priority Date | Filing Date | Title |
|---|---|---|---|
| KR1020190154001AKR102323012B1 (en) | 2019-11-27 | 2019-11-27 | Mobile device for providing wireless power |
| Application Number | Priority Date | Filing Date | Title |
|---|---|---|---|
| KR1020190154001AKR102323012B1 (en) | 2019-11-27 | 2019-11-27 | Mobile device for providing wireless power |
| Publication Number | Publication Date |
|---|---|
| KR20210066044A KR20210066044A (en) | 2021-06-07 |
| KR102323012B1true KR102323012B1 (en) | 2021-11-11 |
| Application Number | Title | Priority Date | Filing Date |
|---|---|---|---|
| KR1020190154001AActiveKR102323012B1 (en) | 2019-11-27 | 2019-11-27 | Mobile device for providing wireless power |
| Country | Link |
|---|---|
| KR (1) | KR102323012B1 (en) |
| Publication number | Priority date | Publication date | Assignee | Title |
|---|---|---|---|---|
| KR100971748B1 (en)* | 2007-11-30 | 2010-07-22 | 정춘길 | Short range wireless power transfer system |
| JP3213041U (en) | 2014-09-29 | 2017-10-19 | アップル インコーポレイテッド | Inductive charging between electronic devices |
| Publication number | Priority date | Publication date | Assignee | Title |
|---|---|---|---|---|
| KR100736053B1 (en) | 2005-10-24 | 2007-07-06 | 삼성전자주식회사 | Apparatus and method for sharing power wirelessly by induction |
| KR101844283B1 (en) | 2011-08-18 | 2018-04-03 | 삼성전자주식회사 | A method and an apparatus for energy sharing of wireless communication device |
| US10559971B2 (en)* | 2015-04-10 | 2020-02-11 | Ossia Inc. | Wirelessly chargeable battery apparatus |
| Publication number | Priority date | Publication date | Assignee | Title |
|---|---|---|---|---|
| KR100971748B1 (en)* | 2007-11-30 | 2010-07-22 | 정춘길 | Short range wireless power transfer system |
| JP3213041U (en) | 2014-09-29 | 2017-10-19 | アップル インコーポレイテッド | Inductive charging between electronic devices |
| Publication number | Publication date |
|---|---|
| KR20210066044A (en) | 2021-06-07 |
| Publication | Publication Date | Title |
|---|---|---|
| US8213862B2 (en) | Headset charge via short-range RF communication | |
| CN104995815B (en) | Wireless power transmitter and receiver, and pass through the method for wireless power transmitter unlicensed radio power receiver | |
| US10038344B2 (en) | Wireless power transmitting unit, wireless power receiving unit, and control methods thereof | |
| KR101457889B1 (en) | Power transmitting apparatus, power receiving apparatus and methods thereof | |
| US10298025B2 (en) | Power supply apparatus | |
| JP2006229583A (en) | Communication system and digital camera and dock apparatus | |
| KR20240015704A (en) | Wireless power transmitter and wireless power receiver and method for operating thereof | |
| KR20160105798A (en) | Wireless power transmission apparatus and wireless power transmission method | |
| JP2011045190A (en) | Power transmission control unit, power transmission device, power reception control unit, power reception device, and electronic apparatus | |
| JP6282050B2 (en) | Wireless power transmission apparatus, control method for wireless power transmission apparatus, and program | |
| KR20140113892A (en) | Power transmitting apparatus, power receiving apparatus and methods thereof | |
| KR101390402B1 (en) | Power sharing apparatus and system using power sharing program installed in mobile terminal | |
| US20160028269A1 (en) | System for wireless exchange of power between mobile devices | |
| US20210175756A1 (en) | Power receiving apparatus, power transmitting apparatus, method for controlling same, and computer-readable medium | |
| US20210184512A1 (en) | Power receiving apparatus, power transmitting apparatus, control methods thereof, and non-transitory computer-readable storage medium | |
| CN104284447A (en) | Control device, electronic device and control method | |
| WO2017064968A1 (en) | Power reception device, electronic apparatus, and power supply system | |
| US9667102B2 (en) | Wireless electric power transmission apparatus, method for controlling wireless electric power transmission apparatus, and storage medium | |
| KR102323012B1 (en) | Mobile device for providing wireless power | |
| CN105429231A (en) | Mobile terminal, wireless charging device, wireless charging system and wireless charging method | |
| US10756562B2 (en) | Communication device, control program, and non contact power-supply system | |
| KR20210089906A (en) | Electronic device executing wireless power sharing function quickly and method for thereof | |
| CN114448102B (en) | Earphone box, wireless charging method, device and storage medium | |
| US10559979B2 (en) | Charging rechargeable apparatus | |
| KR101739187B1 (en) | Wireless interface apparatus based on rf energy harvesting and control method for wireless interface apparatus based on rf energy harvesting |
| Date | Code | Title | Description |
|---|---|---|---|
| PA0109 | Patent application | Patent event code:PA01091R01D Comment text:Patent Application Patent event date:20191127 | |
| PA0201 | Request for examination | ||
| PE0902 | Notice of grounds for rejection | Comment text:Notification of reason for refusal Patent event date:20210105 Patent event code:PE09021S01D | |
| PG1501 | Laying open of application | ||
| E701 | Decision to grant or registration of patent right | ||
| PE0701 | Decision of registration | Patent event code:PE07011S01D Comment text:Decision to Grant Registration Patent event date:20210806 | |
| GRNT | Written decision to grant | ||
| PR0701 | Registration of establishment | Comment text:Registration of Establishment Patent event date:20211102 Patent event code:PR07011E01D | |
| PR1002 | Payment of registration fee | Payment date:20211103 End annual number:3 Start annual number:1 | |
| PG1601 | Publication of registration | ||
| PR1001 | Payment of annual fee | Payment date:20240911 Start annual number:4 End annual number:4 |